- Tổng quan
- Nội dung
- Quy chuẩn liên quan
- Lược đồ
- Tải về
Quy chuẩn QCVN 06:2010/BXD An toàn cháy cho nhà và công trình
| Số hiệu: | QCVN 06:2010/BXD | Loại văn bản: | Quy chuẩn Việt Nam |
| Cơ quan ban hành: | Bộ Xây dựng | Lĩnh vực: | Xây dựng |
|
Ngày ban hành:
Ngày ban hành là ngày, tháng, năm văn bản được thông qua hoặc ký ban hành.
|
28/07/2010 |
Hiệu lực:
|
Đã biết
|
| Người ký: | Đang cập nhật |
Tình trạng hiệu lực:
Cho biết trạng thái hiệu lực của văn bản đang tra cứu: Chưa áp dụng, Còn hiệu lực, Hết hiệu lực, Hết hiệu lực 1 phần; Đã sửa đổi, Đính chính hay Không còn phù hợp,...
|
Đã biết
|
TÓM TẮT QUY CHUẨN VIỆT NAM QCVN 06:2010/BXD
Nội dung tóm tắt đang được cập nhật, Quý khách vui lòng quay lại sau!
QUY CHUẨN KỸ THUẬT QUỐC GIA
QCVN 06:2010/BXD
QUY CHUẨN KỸ THUẬT QUỐC GIA
VỀ AN TOÀN CHÁY CHO NHÀ VÀ CÔNG TRÌNH
Vietnam Building Code on Fire Safety of Buildings
LỜI NÓI ĐẦU
1. QUY ĐỊNH CHUNG
2. PHÂN LOẠI KỸ THUẬT VỀ CHÁY
3. BẢO ĐẢM AN TOÀN CHO NGƯỜI
4. NGĂN CHẶN CHÁY LAN
5. CHỮA CHÁY VÀ CỨU NẠN
Phụ lục A Giải thích từ ngữ
Phụ lục B Phân loại vật liệu xây dựng theo các đặc trưng cháy
Phụ lục C Phân hạng nhà và các gian phòng theo tính nguy hiểm cháy và cháy nổ
Phụ lục D Các quy định bảo vệ chống khói cho nhà và công trình
Phụ lục E Yêu cầu về khoảng cách phòng cháy chống cháy giữa các nhà và công trình
Phụ lục F Giới hạn chịu lửa danh định của một số cấu kiện kết cấu
Phụ lục G Quy định về khoảng cách đến các lối thoát nạn và chiều rộng của lối ra thoát nạn
Phụ lục H Một số quy định về số tầng giới hạn (chiều cao cho phép) và diện tích khoang cháy của nhà
LỜI NÓI ĐẦU
QCVN 06 : 2010/BXD do Viện Khoa học Công nghệ Xây dựng chủ trì biên soạn, Vụ Khoa học Công nghệ và Môi trường trình duyệt, Bộ Xây dựng ban hành kèm theo Thông tư số 07 /2010/TT-BXD ngày 28 tháng 7 năm 2010. Quy chuẩn này được soát xét và thay thế chương 11, phần III, tập II, Quy chuẩn xây dựng Việt Nam được ban hành kèm theo Quyết định số 439/BXD-CSXD ngày 25/9/1997 của Bộ trưởng Bộ Xây dựng.
QUY CHUẨN KỸ THUẬT QUỐC GIA
VỀ AN TOÀN CHÁY CHO NHÀ VÀ CÔNG TRÌNH
Vietnam Building Code on Fire Safety of Buildings
1. QUY ĐỊNH CHUNG
1.1. Phạm vi điều chỉnh
1.1.1. Quy chuẩn này quy định các yêu cầu chung về an toàn cháy cho các gian phòng, nhà và công trình xây dựng (sau đây gọi chung là nhà) và bắt buộc áp dụng trong tất cả các giai đoạn xây dựng mới, cải tạo, sửa chữa hay thay đổi công năng, đồng thời quy định phân loại kỹ thuật về cháy cho các nhà, phần và bộ phận của nhà, cho các gian phòng, cấu kiện xây dựng và vật liệu xây dựng.
CHÚ THÍCH: Thuật ngữ “An toàn cháy cho nhà, công trình” được nêu trong A.1 của Phụ lục A.
1.1.2. Các phần 3, 4 và 5 của Quy chuẩn này không áp dụng cho các nhà có chức năng đặc biệt (nhà sản xuất hay bảo quản các chất và phương tiện gây nổ, các kho chứa dầu mỏ và sản phẩm dầu mỏ, khí đốt tự nhiên, kho hóa chất độc hại, công trình quân sự, phần ngầm của công trình tầu điện ngầm, công trình hầm mỏ, …).
1.1.3. Các tiêu chuẩn và các yêu cầu về phòng cháy, chống cháy của các tài liệu chuẩn trong xây dựng phải dựa trên yêu cầu của Quy chuẩn này.
Cùng với việc áp dụng Quy chuẩn này, còn phải tuân theo các yêu cầu phòng cháy chống cháy quy định cụ thể hơn trong các tài liệu chuẩn khác được quy định áp dụng cho từng đối tượng nhà và công trình. Khi chưa có các tài liệu chuẩn quy định cụ thể theo các yêu cầu của Quy chuẩn này thì vẫn cho phép sử dụng các quy định cụ thể trong các tiêu chuẩn hiện hành cho đến khi các tiêu chuẩn đó được soát xét lại, cũng như cho phép sử dụng các tiêu chuẩn hiện hành của nước ngoài trên nguyên tắc đảm bảo yêu cầu của Quy chuẩn này và các quy định pháp luật của Việt Nam trong việc áp dụng tiêu chuẩn của nước ngoài về phòng cháy chữa cháy và áp dụng tiêu chuẩn nước ngoài trong hoạt động xây dựng ở Việt Nam.
Trong các tài liệu chuẩn hiện hành có liên quan về phòng cháy, chống cháy cho nhà và công trình, nếu có các quy định, yêu cầu kỹ thuật thấp hơn về mức độ an toàn cháy so với những quy định và yêu cầu của Quy chuẩn này, thì áp dụng theo Quy chuẩn này.
CHÚ THÍCH: Thuật ngữ “tài liệu chuẩn” được nêu trong mục A.11 của Phụ lục A.
1.1.4. Các tài liệu thiết kế và tài liệu kỹ thuật của nhà, kết cấu, cấu kiện và vật liệu xây dựng phải nêu rõ các đặc tính kỹ thuật về cháy của chúng theo quy định của Quy chuẩn này.
1.1.5. Khi thiết kế và xây dựng công trình, ngoài việc đáp ứng những quy định của Quy chuẩn này, còn phải tuân theo các quy định ở những tài liệu chuẩn hiện hành khác có liên quan đến phòng chống cháy và yêu cầu khác đối với công trình như: quy hoạch, kiến trúc, kết cấu, hệ thống cấp nước, hệ thống điện, thiết bị điện, chống sét, hệ thống cấp nhiên liệu, cấp nhiệt, hệ thống thông gió, điều hoà không khí, an toàn sử dụng kính, tránh rơi ngã, va đập.
1.1.6. Đối với các nhà chưa có tiêu chuẩn phòng cháy, chống cháy, cũng như các nhà thuộc nhóm nguy hiểm cháy theo công năng F 1.3([1]) có chiều cao lớn hơn 75 m([2]), các nhà thuộc nhóm nguy hiểm cháy theo công năng khác có chiều cao lớn hơn 50 m, các nhà có số tầng hầm lớn hơn 1, các nhà đặc biệt phức tạp và khác thường thì ngoài việc tuân thủ quy chuẩn này còn phải bổ sung các yêu cầu kỹ thuật và các giải pháp về tổ chức, về kỹ thuật công trình phù hợp với các đặc điểm riêng về phòng chống cháy của các nhà đó, trên cơ sở các tài liệu chuẩn hiện hành được phép áp dụng. Các yêu cầu và giải pháp này phải được cơ quan Cảnh sát phòng cháy chữa cháy và cứu nạn cứu hộ có thẩm quyền thẩm duyệt.
1.1.7. Trong một số trường hợp riêng biệt, Bộ Xây dựng chỉ cho phép giảm bớt một số yêu cầu của Quy chuẩn này đối với công trình cụ thể, khi có luận chứng gửi Bộ Xây dựng nêu rõ các giải pháp bổ sung, thay thế và luận chứng này phải được sự thẩm duyệt của Cục Cảnh sát phòng cháy chữa cháy và cứu nạn cứu hộ.
1.1.8. Khi thay đổi công năng hoặc thay đổi các giải pháp quy hoạch không gian và kết cấu của các nhà hiện hữu hoặc các gian phòng riêng của các nhà đó thì phải áp dụng Quy chuẩn này và các tài liệu chuẩn hiện hành phù hợp với những thay đổi đó.
1.1.9. Đối với nhà ở riêng lẻ cho hộ gia đình có chiều cao từ 06 tầng trở xuống, không bắt buộc áp dụng Quy chuẩn này mà thực hiện theo hướng dẫn riêng, phù hợp cho từng đối tượng nhà và khu dân cư.
1.2. Đối tượng áp dụng
Các cơ quan, tổ chức và cá nhân có liên quan đến hoạt động xây dựng nhà dân dụng và nhà công nghiệp trên lãnh thổ Việt Nam phải tuân thủ các quy định của Quy chuẩn này.
1.3. Giải thích từ ngữ
Các thuật ngữ và định nghĩa trong Quy chuẩn này được nêu tại Phụ lục A.
1.4. Các quy định chung
1.4.1. Trong các nhà, khi thiết kế phải có các giải pháp kết cấu, quy hoạch không gian và kỹ thuật công trình để đảm bảo khi xảy ra cháy thì:
- Mọi người trong nhà (không phụ thuộc vào tuổi tác và tình trạng sức khỏe) có thể sơ tán ra bên ngoài tới khu vực an toàn (sau đây gọi là bên ngoài) trước khi xuất hiện nguy cơ đe doạ tính mạng và sức khoẻ do tác động của các yếu tố nguy hiểm của đám cháy;
- Có khả năng cứu người;
- Lực lượng và phương tiện chữa cháy có thể tiếp cận đám cháy và thực hiện các biện pháp chữa cháy, cứu người và tài sản;
- Không để cháy lan sang các nhà bên cạnh, kể cả trong trường hợp nhà đang cháy bị sập đổ;
- Hạn chế các thiệt hại trực tiếp và gián tiếp về vật chất, bao gồm bản thân ngôi nhà và các tài sản bên trong nhà, có xét tới tương quan kinh tế giữa giá trị thiệt hại và chi phí cho các giải pháp cùng trang thiết bị kỹ thuật phòng cháy chữa cháy.
1.4.2. Trong quá trình xây dựng phải đảm bảo:
- Ưu tiên thực hiện các giải pháp phòng chống cháy theo thiết kế phù hợp với tiêu chuẩn hiện hành và đã được thẩm duyệt theo quy định;
- Thực hiện các yêu cầu phòng cháy chữa cháy cho các công trình đang xây dựng, các công trình phụ trợ và các quy định phòng cháy chữa cháy trong thi công xây lắp theo pháp luật về phòng cháy chữa cháy hiện hành;
- Trang bị các phương tiện chữa cháy theo quy định và trong trạng thái sẵn sàng hoạt động;
- Khả năng thoát nạn an toàn và cứu người, cũng như bảo vệ tài sản khi xảy ra cháy trong công trình đang xây dựng và trên công trường.
1.4.3. Trong quá trình khai thác sử dụng phải:
- Giữ nguyên cấu trúc, nội thất của nhà và khả năng làm việc của các trang thiết bị phòng cháy chữa cháy đúng với yêu cầu của thiết kế và các tài liệu kỹ thuật lập cho chúng;
- Thực hiện các quy định về phòng cháy chữa cháy theo pháp luật hiện hành;
- Không được phép thay đổi kết cấu hay các giải pháp quy hoạch không gian và kỹ thuật công trình mà không có thiết kế được phê duyệt theo quy định;
- Khi tiến hành sửa chữa, không cho phép sử dụng các cấu kiện và vật liệu không đáp ứng các yêu cầu của các quy chuẩn, tiêu chuẩn hiện hành.
Khi nhà được cấp phép ở điều kiện phải hạn chế về tải trọng cháy, về số người trong nhà hoặc trong bất kỳ phần nào của nhà, thì bên trong nhà phải đặt thông báo về những hạn chế này ở những nơi dễ thấy, còn bộ phận quản lý nhà phải thiết lập các biện pháp tổ chức riêng về phòng cháy chữa cháy và sơ tán người khi xảy ra cháy.
1.4.4. Khi phân tích tính nguy hiểm cháy của nhà, có thể sử dụng các tình huống tính toán dựa trên tương quan giữa các thông số: sự phát triển và lan truyền các yếu tố nguy hiểm của đám cháy, việc sơ tán người và tổ chức chữa cháy.
2. PHÂN LOẠI KỸ THUẬT VỀ CHÁY
2.1. Quy định chung
2.1.1. Nhà, các phần và các bộ phận của nhà, gian phòng, vật liệu xây dựng, cấu kiện xây dựng, được phân loại kỹ thuật về cháy dựa trên các tính chất sau:
- Tính nguy hiểm cháy: tính chất làm phát sinh và phát triển các yếu tố nguy hiểm cháy;
- Tính chịu lửa: tính chất chống lại các tác động của đám cháy và chống sự lan truyền các yếu tố nguy hiểm của đám cháy.
2.1.2. Việc phân loại kỹ thuật về cháy dùng để thiết lập các yêu cầu cần thiết về bảo vệ chống cháy cho các kết cấu, gian phòng, nhà, các phần và các bộ phận của nhà phụ thuộc vào tính chịu lửa và / hoặc tính nguy hiểm cháy của chúng.
2.2. Vật liệu xây dựng
2.2.1. Về mặt an toàn cháy, vật liệu xây dựng chỉ được đặc trưng bằng tính nguy hiểm cháy.
Tính nguy hiểm cháy của vật liệu xây dựng được xác định theo các đặc tính kỹ thuật về cháy sau: tính cháy, tính bắt cháy, tính lan truyền lửa trên bề mặt, khả năng tạo khói và chất độc.
2.2.2. Theo tính cháy, vật liệu xây dựng được phân thành vật liệu không cháy và vật liệu cháy. Vật liệu xây dựng cháy được phân thành 4 nhóm:
- Ch1 (cháy yếu);
- Ch2 (cháy vừa phải);
- Ch3 (cháy mạnh vừa);
- Ch4 (cháy mạnh).
Tính cháy và các nhóm của vật liệu xây dựng theo tính cháy được xác định theo Phụ lục B, mục B.2.
Đối với vật liệu xây dựng không cháy thì không quy định về tính nguy hiểm cháy và không xác định các chỉ tiêu khác.
2.2.3. Theo tính bắt cháy, vật liệu xây dựng cháy được phân thành 3 nhóm:
- BC1 (khó bắt cháy);
- BC2 (bắt cháy vừa phải);
- BC3 (dễ bắt cháy).
Nhóm vật liệu xây dựng theo tính bắt cháy được xác định theo Phụ lục B, mục B.3.
2.2.4. Theo tính lan truyền lửa trên bề mặt, vật liệu xây dựng cháy được phân thành 4 nhóm:
- LT1 (không lan truyền);
- LT2 (lan truyền yếu);
- LT3 (lan truyền vừa phải);
- LT4 (lan truyền mạnh).
Nhóm vật liệu xây dựng theo tính lan truyền lửa trên bề mặt được quy định cho lớp vật liệu bề mặt của mái và sàn, kể cả lớp thảm trải sàn, theo Phụ lục B, mục B.4.
Đối với các vật liệu xây dựng khác, không xác định và không quy định việc phân nhóm về lan truyền lửa trên bề mặt.
2.2.5. Theo khả năng sinh khói, vật liệu xây dựng cháy được phân thành 3 nhóm:
- SK1 (khả năng sinh khói thấp);
- SK2 (khả năng sinh khói vừa phải);
- SK3 (khả năng sinh khói cao).
Nhóm vật liệu xây dựng theo khả năng sinh khói được xác định theo Phụ lục B, mục B.5.
2.2.6. Theo độc tính của các sản phẩm cháy, vật liệu xây dựng cháy được phân thành 4 nhóm:
- ĐT1 (độc tính thấp);
- ĐT2 (độc tính vừa phải);
- ĐT3 (độc tính cao);
- ĐT4 (độc tính đặc biệt cao).
Nhóm vật liệu xây dựng theo độc tính của các sản phẩm cháy được xác định theo Phụ lục B, mục B.6.
2.3. Cấu kiện xây dựng
2.3.1. Cấu kiện xây dựng được đặc trưng bằng tính chịu lửa và tính nguy hiểm cháy.
Tính chịu lửa của một cấu kiện được thể hiện bằng giới hạn chịu lửa của cấu kiện đó. Tính nguy hiểm cháy của một cấu kiện được đặc trưng bằng cấp nguy hiểm cháy của nó.
2.3.2. Giới hạn chịu lửa của cấu kiện xây dựng được xác định bằng khoảng thời gian (tính bằng phút) kể từ khi bắt đầu thử chịu lửa theo chế độ nhiệt tiêu chuẩn cho đến khi xuất hiện một hoặc một số dấu hiệu nối tiếp nhau của các trạng thái giới hạn được quy định đối với cấu kiện đã cho như sau:
- Mất khả năng chịu lực (khả năng chịu lực được ký hiệu bằng chữ R);
- Mất tính toàn vẹn (tính toàn vẹn được ký hiệu bằng chữ E);
- Mất khả năng cách nhiệt (khả năng cách nhiệt được ký hiệu bằng chữ I).
CHÚ THÍCH:
1) Giới hạn chịu lửa của cấu kiện xây dựng được xác định bằng thử nghiệm chịu lửa theo các tiêu chuẩn TCXDVN 342 : 2005 đến TCXDVN 348 : 2005([3]) hoặc các tiêu chuẩn tương đương. Giới hạn chịu lửa của cấu kiện xây dựng có thể xác định bằng tính toán theo tiêu chuẩn thiết kế chịu lửa được áp dụng.
2) Giới hạn chịu lửa yêu cầu của các cấu kiện xây dựng cụ thể được quy định trong Quy chuẩn này và trong các Quy chuẩn kỹ thuật cho từng loại công trình. Giới hạn chịu lửa yêu cầu của cấu kiện xây dựng được ký hiệu bằng REI, EI, RE hoặc R kèm theo các chỉ số tương ứng về thời gian chịu tác động của lửa tính bằng phút. Ví dụ: Cấu kiện có giới hạn chịu lửa yêu cầu là REI 120 nghĩa là cấu kiện phải duy trì được đồng thời cả ba khả năng: chịu lực, toàn vẹn và cách nhiệt trong khoảng thời gian chịu tác động của lửa là 120 phút; Cấu kiện có giới hạn chịu lửa yêu cầu là R 60, thì cấu kiện chỉ phải duy trì khả năng chịu lực trong thời gian 60 phút, không yêu cầu về khả năng cách nhiệt và tính toàn vẹn.
3) Một cấu kiện xây dựng được cho là đảm bảo yêu cầu về khả năng chịu lửa nếu thỏa mãn một trong hai điều kiện sau:
a) Cấu kiện có cấu tạo với đặc điểm kỹ thuật giống như mẫu thí nghiệm chịu lửa và mẫu này khi thí nghiệm có giới hạn chịu lửa không nhỏ hơn giới hạn chịu lửa yêu cầu của cấu kiện đó;
b) Cấu kiện có cấu tạo với đặc điểm kỹ thuật phù hợp với cấu kiện nêu trong Phụ lục F và có giới hạn chịu lửa danh định tương ứng cho trong phụ lục này không nhỏ hơn giới hạn chịu lửa yêu cầu của cấu kiện đó.
2.3.3. Theo tính nguy hiểm cháy, cấu kiện xây dựng được phân thành 4 cấp:
- K0 (không nguy hiểm cháy);
- K1 (ít nguy hiểm cháy);
- K2 (nguy hiểm cháy vừa phải);
- K3 (nguy hiểm cháy).
CHÚ THÍCH:
1) Cấp nguy hiểm cháy của cấu kiện xây dựng được xác định bằng thử nghiệm theo tiêu chuẩn Việt Nam hiện hành hoặc tương đương.
2) Cho phép xác định cấp nguy hiểm cháy của cấu kiện mà không cần thử nghiệm như sau:
+ Xếp vào cấp K0, nếu cấu kiện được chế tạo chỉ từ vật liệu không cháy;
+ Xếp vào cấp K1, nếu bề mặt ngoài của cấu kiện được cấu tạo từ vật liệu có đồng thời các chỉ tiêu kỹ thuật về cháy không nguy hiểm hơn Ch1, BC1, SK1;
+ Xếp vào cấp K2, nếu bề mặt ngoài của cấu kiện được cấu tạo từ vật liệu có đồng thời các chỉ tiêu kỹ thuật về cháy không nguy hiểm hơn Ch2, BC2, SK2;
+ Xếp vào cấp K3, nếu bề mặt ngoài của cấu kiện được cấu tạo chỉ từ các vật liệu có một trong các chỉ tiêu kỹ thuật về cháy là Ch3, BC3, SK3.
2.4. Bộ phận ngăn cháy
2.4.1. Bộ phận ngăn cháy được dùng để ngăn cản đám cháy và các sản phẩm cháy lan truyền từ một khoang cháy hoặc từ một gian phòng có đám cháy tới các gian phòng khác.
Bộ phận ngăn cháy bao gồm tường ngăn cháy, vách ngăn cháy và sàn ngăn cháy.
2.4.2. Bộ phận ngăn cháy được đặc trưng bằng tính chịu lửa và tính nguy hiểm cháy.
Tính chịu lửa của một bộ phận ngăn cháy được xác định bằng tính chịu lửa của các bộ phận cấu thành ra nó, bao gồm:
- Phần ngăn cách (tấm vách, tấm tường, tấm sàn, …);
- Cấu kiện giữ ổn định cho phần ngăn cách (khung, thanh giằng, …);
- Cấu kiện đỡ phần ngăn cách (dầm đỡ, sườn đỡ, tường đỡ, …);
- Các chi tiết liên kết giữa chúng.
Giới hạn chịu lửa theo trạng thái mất khả năng chịu lực (R) của cấu kiện giữ ổn định cho phần ngăn cách, của cấu kiện đỡ phần ngăn cách và của các chi tiết liên kết giữa chúng phải không được thấp hơn giới hạn chịu lửa yêu cầu đối với phần ngăn cách.
Tính nguy hiểm cháy của bộ phận ngăn cháy được xác định bằng tính nguy hiểm cháy của phần ngăn cách cùng với các chi tiết liên kết và của các cấu kiện giữ ổn định cho phần ngăn cách.
2.4.3. Bộ phận ngăn cháy được phân loại theo giới hạn chịu lửa của phần ngăn cách như trong Bảng 1.
Khi trong bộ phận ngăn cháy có các cửa đi, cổng, cửa nắp, van, cửa sổ, màn chắn (sau đây gọi chung là cửa và van ngăn cháy), hay khi ở các cửa đó có bố trí khoang đệm (gọi là khoang đệm ngăn cháy) thì cửa, van ngăn cháy và khoang đệm ngăn cháy phải được chọn loại cũng có khả năng ngăn cháy phù hợp với loại của bộ phận ngăn cháy theo quy định tại Bảng 1.
Giới hạn chịu lửa của các loại cửa và van ngăn cháy trong bộ phận ngăn cháy được quy định tại Bảng 2.
Giới hạn chịu lửa của các bộ phận của khoang đệm ngăn cháy (vách, sàn, cửa và van ngăn cháy) ở cửa và van ngăn cháy trong bộ phận ngăn cháy phải phù hợp quy định tại Bảng 3.
Bộ phận ngăn cháy loại 1 phải thuộc cấp nguy hiểm cháy K0. Trong các trường hợp riêng, cho phép sử dụng cấp nguy hiểm cháy K1 trong các bộ phận ngăn cháy loại 2 đến loại 4.
Bảng 1 - Phân loại bộ phận ngăn cháy
| Bộ phận ngăn cháy | Loại bộ phận ngăn cháy | Giới hạn chịu lửa của bộ phận ngăn cháy, không nhỏ hơn | Loại cửa và van ngăn cháy trong bộ phận ngăn cháy, không thấp hơn | Loại khoang đệm ngăn cháy, không thấp hơn |
| Tường ngăn cháy | 1 | RЕI 150 | 1 | 1 |
| 2 | RЕI 60 | 2 | 2 | |
| Vách ngăn cháy | 1 | ЕI 45 | 2 | 1 |
| 2 | ЕI 15 | 3 | 2 | |
| Sàn ngăn cháy | 1 | RЕI 150 | 1 | 1 |
| 2 | RЕI 60 | 2 | 1 | |
| 3 | RЕI 45 | 2 | 1 | |
| 4 | RЕI 15 | 3 | 2 |
Bảng 2 - Giới hạn chịu lửa của cửa và van ngăn cháy trong bộ phận ngăn cháy
| Cửa và van ngăn cháy trong bộ phận ngăn cháy | Loại cửa và van ngăn cháy trong bộ phận ngăn cháy | Giới hạn chịu lửa, không nhỏ hơn |
| Cửa đi, cổng, cửa nắp, van | 1 | ЕI 70 |
| 2 | ЕI 45* | |
| 3 | ЕI 15 | |
| Cửa sổ | 1 | Е 70 |
| 2 | Е 45 | |
| 3 | Е 15 | |
| Màn chắn | 1 | ЕI 70 |
| GHI CHÚ: * - Giới hạn chịu lửa của cửa trong giếng thang máy được phép lấy không nhỏ hơn E 45 | ||
Bảng 3 - Giới hạn chịu lửa của các bộ phận của khoang đệm ở các cửa và van ngăn cháy trong bộ phận ngăn cháy
| Loại khoang đệm ngăn cháy | Giới hạn chịu lửa của các bộ phận của khoang đệm, không nhỏ hơn | ||
| Vách ngăn của khoang đệm | Sàn của khoang đệm | Cửa và van ngăn cháy của khoang đệm | |
| 1 2 | EI 45 EI 15 | REI 45 REI 15 | EI 30 EI 15 |
2.5. Cầu thang và buồng thang bộ
2.5.1. Cầu thang và buồng thang bộ dùng để thoát nạn được phân thành các loại sau:
a) Các loại cầu thang bộ:
+ Loại 1 – cầu thang bên trong nhà, được đặt trong buồng thang;
+ Loại 2 – cầu thang bên trong nhà, để hở;
+ Loại 3 – cầu thang bên ngoài nhà, để hở;
CHÚ THÍCH: Để hở tức là không được đặt trong buồng thang.
b) Các loại buồng thang bộ thông thường:
+ L1 – có các lỗ cửa ở tường ngoài trên mỗi tầng (để hở hoặc lắp kính);
+ L2 – được chiếu sáng tự nhiên qua các lỗ ở trên mái (để hở hoặc lắp kính);
c) Các loại buồng thang bộ không nhiễm khói:
+ N1 – có lối vào buồng thang từ mỗi tầng đi qua khoảng thông thoáng bên ngoài nhà theo một lối đi hở (khoảng thông thoáng này thường ở dạng logia hoặc ban công). Lối đi qua khoảng thông thoáng này không được nhiễm khói;
+ N2 – có áp suất không khí dương (áp suất không khí trong buồng thang cao hơn bên ngoài buồng thang) trong buồng thang khi có cháy;
+ N3 – có lối vào buồng thang từ mỗi tầng đi qua khoang đệm có áp suất không khí dương (áp suất không khí dương trong khoang đệm là thường xuyên hoặc khi có cháy).
2.5.2. Thang chữa cháy để phục vụ cho việc chữa cháy và cứu nạn được phân thành 2 loại sau:
- P1 – thang đứng;
- P2 – thang bậc với độ nghiêng không quá 6 : 1 (không quá 80o).
2.6. Nhà, khoang cháy, gian phòng
2.6.1. Nhà hoặc các phần của nhà được ngăn cách riêng biệt bằng các tường ngăn cháy loại 1 (gọi là khoang cháy) được phân nhóm theo bậc chịu lửa, theo cấp nguy hiểm cháy kết cấu và theo nhóm nguy hiểm cháy theo công năng.
- Bậc chịu lửa của nhà và khoang cháy được xác định bằng giới hạn chịu lửa của các cấu kiện xây dựng của nó;
- Cấp nguy hiểm cháy kết cấu của nhà và khoang cháy được xác định theo mức độ tham gia của các cấu kiện xây dựng vào sự phát triển cháy và hình thành các yếu tố nguy hiểm của đám cháy;
- Nhóm nguy hiểm cháy theo công năng của nhà và các phần của nhà được xác định theo mục đích sử dụng và đặc điểm của các quy trình công nghệ bố trí bên trong nó;
2.6.2. Nhà và các khoang cháy được phân theo bậc chịu lửa như Bảng 4.
Các bộ phận chịu lực của nhà bao gồm các tường và cột chịu lực, các thanh giằng, các vách cứng, các bộ phận của sàn (dầm, xà hoặc tấm) tham gia vào việc đảm bảo sự ổn định tổng thể và sự không biến đổi hình dạng của nhà khi có cháy.
Các cấu kiện chịu lực không tham gia vào việc đảm bảo độ ổn định tổng thể cho nhà phải được đơn vị thiết kế chỉ dẫn trong tài liệu kỹ thuật của nhà.
Không quy định giới hạn chịu lửa đối với bộ phận bịt lỗ thông (cửa, cổng, cửa sổ, cửa nắp, cửa trời, trong đó có cả cửa trên đỉnh và các phần cho ánh sáng xuyên qua khác của tấm lợp mái), ngoại trừ các cửa, van ngăn cháy trong bộ phận ngăn cháy và các trường hợp được nói riêng.
Khi giới hạn chịu lửa tối thiểu của cấu kiện được yêu cầu là R 15 (RE 15, REI 15) thì cho phép sử dụng các kết cấu thép không bọc bảo vệ mà không phụ thuộc vào giới hạn chịu lửa thực tế của nó, ngoại trừ các trường hợp khi giới hạn chịu lửa của các bộ phận chịu lực của nhà theo kết quả thí nghiệm nhỏ hơn R 8.
Trong các buồng thang bộ không nhiễm khói loại N1 được phép sử dụng các bản thang và các chiếu thang với giới hạn chịu lửa R 15 và thuộc cấp nguy hiểm cháy K0.
Bảng 4 - Bậc chịu lửa của nhà
| Bậc chịu lửa của nhà | Giới hạn chịu lửa của cấu kiện xây dựng, không nhỏ hơn | ||||||
| Bộ phận chịu lực của nhà | Tường ngoài không chịu lực | Sàn giữa các tầng (bao gồm cả sàn tầng áp mái và sàn trên tầng hầm) | Bộ phận mái không có tầng áp mái | Buồng thang bộ | |||
| Tấm lợp (bao gồm tấm lợp có lớp cách nhiệt) | Giàn, dầm, xà gồ | Tường buồng thang trong nhà | Bản thang và chiếu thang | ||||
| I | R 150 | Е 30 | RЕI 60 | RЕ 30 | R 30 | RЕI 150 | R 60 |
| II | R 120 | Е 15 | RЕI 45 | RЕ 15 | R 15 | RЕI 120 | R 60 |
| III | R 90 | Е 15 | RЕI 45 | RЕ 15 | R 15 | RЕI 90 | R 60 |
| IV | R 30 | E 15 | RЕI 15 | RЕ 15 | R 15 | RЕI 30 | R 15 |
| V | Không quy định | ||||||
| CHÚ THÍCH: 1) Trong các ngôi nhà có bậc chịu lửa I, II, III thì sàn và trần của tầng hầm, tầng nửa hầm phải làm bằng vật liệu không cháy và có giới hạn chịu lửa ít nhất 90 phút. Sàn các tầng 1 và tầng trên cùng phải làm bằng vật liệu có tính cháy không thấp hơn Ch1. 2) Trong các ngôi nhà có bậc chịu lửa IV, V thì sàn của tầng hầm hay tầng nửa hầm phải làm bằng vật liệu có tính cháy không thấp hơn Ch1 và có giới hạn chịu lửa không dưới 45 phút. 3) Trong các phòng có sản xuất hay bảo quản các chất lỏng cháy được thì sàn phải làm bằng vật liệu không cháy. 4) Tường, tường ngăn và sàn của buồng thang máy và buồng máy của thang máy bố trí trong nhà thuộc bất kỳ bậc chịu lửa nào phải làm bằng vật liệu không cháy với giới hạn chịu lửa không nhỏ hơn 60 phút. Nếu thang máy bố trí ngoài nhà thì giới hạn chịu lửa của những bộ phận đã nêu không nhỏ hơn 30 phút. 5) Tường ngăn, bao che hành lang giữa của nhà có bậc chịu lửa I, phải làm bằng vật liệu không cháy với giới hạn chịu lửa ít nhất 30 phút và của nhà có bậc chịu lửa II, III, IV phải làm bằng vật liệu không cháy hay cháy yếu (Ch1) với giới hạn chịu lửa ít nhất 15 phút. Riêng nhà có bậc chịu lửa II của hạng sản xuất D, E có thể bao che hành lang bằng tường kính. | |||||||
2.6.3. Theo tính nguy hiểm cháy về kết cấu, nhà và các khoang cháy được phân thành 4 cấp S0, S1, S2, S3 như trong Bảng 5 gọi là cấp nguy hiểm cháy kết cấu của nhà.
Không quy định về tính nguy hiểm cháy đối với cửa, cổng, cửa sổ, cửa nắp trong kết cấu bao che của nhà trừ những trường hợp được nói riêng.
Bảng 5 - Cấp nguy hiểm cháy kết cấu của nhà
| Cấp nguy hiểm cháy kết cấu của nhà | Cấp nguy hiểm cháy của cấu kiện xây dựng, không nhỏ hơn | ||||
| Các bộ phận chịu lực dạng thanh (cột, xà, dàn, v.v.) | Tường ngoài từ phía ngoài | Tường, vách ngăn, sàn và mái không có tầng áp mái | Tường của buồng thang bộ và bộ phận ngăn cháy | Bản thang và chiếu thang trong buồng thang bộ | |
| S0 | K0 | K0 | K0 | K0 | K0 |
| S1 | K1 | K2 | K1 | K0 | K0 |
| S2 | K3 | KЗ | K2 | K1 | K1 |
| SЗ | Không quy định | K1 | KЗ | ||
2.6.4. Khi áp dụng vào thực tế xây dựng các kết cấu hoặc hệ kết cấu mà không thể xác định được giới hạn chịu lửa hoặc cấp nguy hiểm cháy của chúng trên cơ sở các thử nghiệm chịu lửa tiêu chuẩn hoặc theo tính toán thì cần tiến hành thử nghiệm chịu lửa đối với các mẫu giống như cấu tạo thực của các bộ phận đó theo yêu cầu của quy định hiện hành về thử nghiệm chịu lửa.
2.6.5. Nhà và các phần của nhà (các gian phòng hoặc nhóm các gian phòng có công năng liên quan với nhau) được phân thành các nhóm nguy hiểm cháy theo công năng tuỳ thuộc vào đặc điểm sử dụng chúng, vào mức đe dọa tới sự an toàn của người trong trường hợp xảy ra đám cháy có tính đến: tuổi tác, trạng thái thể chất, khả năng có người đang ngủ, nhóm người sử dụng theo công năng chính và số người của nhóm đó. Phân nhóm nguy hiểm cháy theo công năng được quy định tại Bảng 6.
Nhà và gian phòng dùng để sản xuất hoặc làm kho được phân hạng theo tính nguy hiểm cháy và cháy nổ phụ thuộc vào số lượng và tính chất nguy hiểm cháy nổ của các chất và vật liệu chứa trong chúng, có tính đến đặc điểm của quá trình công nghệ sản xuất. Việc phân hạng quy định trong Phụ lục C.
Các gian phòng sản xuất và các gian phòng kho, kể cả các phòng thí nghiệm và nhà xưởng trong các nhà thuộc Nhóm F 1, F 2, F 3 và F 4, được xếp vào Nhóm F 5.
Bảng 6 - Phân nhóm nhà dựa trên tính nguy hiểm cháy theo công năng
| Nhóm | Mục đích sử dụng | Đặc điểm sử dụng |
| (1) | (2) | (3) |
| F 1 | Nhà để ở thường xuyên hoặc tạm thời (trong đó có cả để ở suốt ngày đêm). | Các gian phòng trong nhà này thường được sử dụng cả ngày và đêm. Nhóm người trong đó có thể gồm nhiều lứa tuổi và trạng thái thể chất khác nhau. Đặc trưng của các nhà này là có các phòng ngủ. |
| F 1.1 | Nhà trẻ, mẫu giáo, nhà chuyên dùng cho người cao tuổi và người khuyết tật (không phải nhà căn hộ), bệnh viện, khối nhà ngủ của các trường nội trú và của các cơ sở cho trẻ em; | |
| F 1.2 | Khách sạn, ký túc xá, khối nhà ngủ của các cơ sở điều dưỡng và nhà nghỉ chung, của các khu cắm trại, nhà trọ (motel) và nhà an dưỡng; | |
| F 1.3 | Nhà ở nhiều căn hộ (chung cư); | |
| F 1.4 | Nhà ở một căn hộ riêng lẻ kể cả các nhà có một số căn hộ liền kề và mỗi căn hộ đều có lối ra ngoài riêng | |
| F 2 | Các công trình văn hoá thể thao đại chúng. | Các gian phòng chính trong các nhà này được đặc trưng bởi số lượng lớn khách lưu lại trong một khoảng thời gian nhất định. |
| F 2.1 | Nhà hát, rạp chiếu phim, phòng hoà nhạc, câu lạc bộ, rạp xiếc, các công trình thể thao có khán đài, thư viện và các công trình khác có số lượng chỗ ngồi tính toán cho khách trong các gian phòng kín; | |
| F 2.2 | Bảo tàng, triển lãm, phòng nhảy và các cơ sở tương tự khác trong các gian phòng kín; | |
| F 2.3 | Các cơ sở được đề cập ở mục F 2.1, hở ra ngoài trời; | |
| F 2.4 | Các cơ sở được đề cập ở mục F 2.2, hở ra ngoài trời. | |
| F3 | Các cơ sở dịch vụ dân cư. | Các gian phòng của các cơ sở này được đặc trưng bởi số lượng khách lớn hơn so với nhân viên phục vụ. |
| F 3.1 | Cơ sở bán hàng; | |
| F 3.2 | Cơ sở ăn uống công cộng; | |
| F 3.3 | Nhà ga; | |
| F 3.4 | Phòng khám chữa bệnh đa khoa và cấp cứu; | |
| F 3.5 | Các gian phòng cho khách của các cơ sở dịch vụ đời sống và công cộng có số lượng chỗ ngồi cho khách không được tính toán (bưu điện, quỹ tiết kiệm, phòng vé, văn phòng tư vấn luật, văn phòng công chứng, cửa hàng giặt là, nhà may, sửa chữa giày và quần áo, cửa hàng cắt tóc, cơ sở phục vụ lễ tang, cơ sở tôn giáo và các cơ sở tương tự); | |
| F 3.6 | Các khu liên hợp rèn luyện thể chất và các khu tập luyện thể thao không có khán đài; Các gian phòng dịch vụ; Nhà tắm. | |
| F 4 | Các trường học, tổ chức khoa học và thiết kế, cơ quan quản lý. | Các phòng trong các nhà này được sử dụng một số thời gian nhất định trong ngày, bên trong phòng thường có nhóm người cố định, quen với điều kiện tại chỗ, có độ tuổi và trạng thái thể chất xác định. |
| F 4.1 | Các trường phổ thông, cơ sở đào tạo ngoài trường phổ thông, trường trung học chuyên nghiệp, trường dạy nghề; |
|
| F 4.2 | Các trường đại học, cao đẳng, trường bồi dưỡng nâng cao nghiệp vụ; |
|
| F 4.3 | Các cơ sở của các cơ quan quản lý, tổ chức thiết kế, tổ chức thông tin và nhà xuất bản, tổ chức nghiên cứu khoa học, ngân hàng, cơ quan, văn phòng; |
|
| F 4.4 | Các trạm (đội) chữa cháy và cứu nạn, cứu hộ. |
|
| F 5 | Các nhà, công trình, gian phòng dùng để sản xuất hay để làm kho. | Các gian phòng loại này được đặc trưng bởi sự có mặt của nhóm người làm việc cố định, kể cả làm việc suốt ngày đêm |
| F 5.1 | Các nhà và công trình sản xuất, các gian phòng sản xuất và thí nghiệm, nhà xưởng; | |
| F 5.2 | Các nhà và công trình kho, bãi đỗ xe ô tô không có dịch vụ kỹ thuật và sửa chữa, kho chứa sách, kho lưu trữ, các gian phòng kho; | |
| F 5.3 | Các nhà phục vụ nông nghiệp. |
3. BẢO ĐẢM AN TOÀN CHO NGƯỜI
3.1. Quy định chung
3.1.1. Các yêu cầu của phần này nhằm đảm bảo:
- Thoát nạn cho người kịp thời và không bị cản trở;
- Cứu người bị tác động của các yếu tố nguy hiểm của đám cháy;
- Bảo vệ người trên đường thoát nạn, tránh khỏi những tác động của các yếu tố nguy hiểm của đám cháy.
3.1.2. Thoát nạn là quá trình tự di chuyển có tổ chức của người ra bên ngoài từ các gian phòng, nơi các yếu tố nguy hiểm của đám cháy có thể tác động lên họ. Thoát nạn còn là sự di chuyển không tự chủ của nhóm người ít có khả năng vận động, do các nhân viên phục vụ thực hiện. Thoát nạn được thực hiện theo các đường thoát nạn qua các lối ra thoát nạn.
3.1.3. Cứu nạn là sự di chuyển cưỡng bức của người ra bên ngoài khi họ bị các yếu tố nguy hiểm của đám cháy tác động hoặc khi xuất hiện nguy cơ trực tiếp của các tác động đó. Cứu nạn được thực hiện một cách tự chủ với sự trợ giúp của lực lượng chữa cháy hoặc nhân viên được huấn luyện chuyên nghiệp, bao gồm cả việc sử dụng các phương tiện cứu hộ, qua các lối ra thoát nạn và lối ra khẩn cấp.
3.1.4. Việc bảo vệ người trên các đường thoát nạn phải được bảo đảm bằng tổ hợp các giải pháp quy hoạch không gian, tiện nghi, kết cấu, kỹ thuật công trình và tổ chức.
Các đường thoát nạn trong phạm vi gian phòng phải đảm bảo sự thoát nạn an toàn qua các lối ra thoát nạn từ gian phòng đó mà không tính đến các phương tiện bảo vệ chống khói và chữa cháy có trong gian phòng này.
Ngoài phạm vi gian phòng, phải tính đến việc bảo vệ đường thoát nạn từ điều kiện đảm bảo thoát nạn an toàn cho người có kể đến tính nguy hiểm cháy theo công năng của các gian phòng trên lối ra thoát nạn, số người thoát nạn, bậc chịu lửa và cấp nguy hiểm cháy kết cấu của nhà, số lối ra thoát nạn từ một tầng và từ toàn bộ ngôi nhà.
Trong các gian phòng và trên các đường thoát nạn ngoài phạm vi gian phòng phải hạn chế tính nguy hiểm cháy của vật liệu xây dựng thuộc các lớp bề mặt kết cấu (lớp hoàn thiện và ốp mặt) tùy thuộc vào tính nguy hiểm cháy theo công năng của gian phòng và ngôi nhà, có tính đến các giải pháp khác về bảo vệ đường thoát nạn.
3.1.5. Khi bố trí thoát nạn từ các gian phòng và ngôi nhà không được tính đến các biện pháp và phương tiện dùng để cứu nạn, cũng như các lối ra không đáp ứng yêu cầu về lối ra thoát nạn quy định tại 3.2.1.
3.1.6. Không cho phép bố trí các gian phòng nhóm F 5 hạng A hoặc hạng B dưới các gian phòng dùng cho hơn 50 người có mặt đồng thời, cũng như trong các tầng hầm hoặc tầng nửa hầm.
Không cho phép bố trí các gian phòng nhóm F 1.1, F 1.2 và F 1.3 trong các tầng hầm và tầng nửa hầm.
CHÚ THÍCH:
1) Tầng hầm là tầng mà quá một nửa chiều cao của nó nằm dưới cốt mặt đất đặt công trình theo qui hoạch được duyệt.
2) Tầng nửa hầm là tầng mà một nửa chiều cao của nó nằm trên hoặc ngang cốt mặt đất đặt công trình theo qui hoạch được duyệt.
3.1.7. Để đảm bảo thoát nạn an toàn, phải phát hiện cháy và báo cháy kịp thời. Nhà và các phần nhà phải được trang bị các hệ thống báo cháy theo các quy định hiện hành.
CHÚ THÍCH: Các yêu cầu cơ bản về bố trí hệ thống báo cháy được quy định trong tiêu chuẩn TCVN 3890 : 2009.
3.1.8. Để bảo vệ người thoát nạn, phải bảo vệ chống khói xâm nhập các đường thoát nạn của nhà và các phần nhà.
CHÚ THÍCH: Các yêu cầu cơ bản về bảo vệ chống khói của nhà được cho trong Phụ lục D.
3.1.9. Hiệu quả của các giải pháp đảm bảo an toàn cho người khi cháy có thể được đánh giá bằng tính toán.
3.2. Lối ra thoát nạn và lối ra khẩn cấp
3.2.1. Các lối ra được coi là lối ra thoát nạn (còn gọi là lối thoát nạn) nếu:
a) Dẫn từ các gian phòng ở tầng 1 ra ngoài theo một trong những cách sau:
- Ra ngoài trực tiếp;
- Qua hành lang;
- Qua tiền sảnh (hay phòng chờ);
- Qua buồng thang bộ;
- Qua hành lang và tiền sảnh (hay phòng chờ);
- Qua hành lang và buồng thang bộ;
b) Dẫn từ các gian phòng của tầng bất kỳ, trừ tầng 1, vào một trong các nơi sau:
- Trực tiếp vào buồng thang bộ hay tới cầu thang bộ loại 3;
- Vào hành lang dẫn trực tiếp vào buồng thang bộ hay tới cầu thang bộ loại 3;
- Vào phòng sử dụng chung (hay phòng chờ) có lối ra trực tiếp dẫn vào buồng thang bộ hoặc tới cầu thang bộ loại 3;
c) Dẫn vào gian phòng liền kề (trừ gian phòng nhóm F 5 hạng A hoặc B) trên cùng tầng mà từ gian phòng này có các lối ra như được nêu ở a) và b). Lối ra dẫn vào gian phòng hạng A hoặc B được phép coi là lối ra thoát nạn nếu nó dẫn từ gian phòng kỹ thuật không có chỗ cho người làm việc thường xuyên mà chỉ dùng để phục vụ các gian phòng hạng A hoặc B nêu trên.
3.2.2. Các lối ra từ tầng hầm và tầng nửa hầm là lối ra thoát nạn khi thoát trực tiếp ra ngoài và tách biệt với các buồng thang bộ chung của nhà.
Cho phép bố trí:
- Các lối ra thoát nạn từ tầng hầm đi qua các buồng thang bộ chung có lối đi riêng ra bên ngoài được ngăn cách với phần còn lại của buồng thang bộ bằng vách đặc ngăn cháy loại 1;
- Các lối ra thoát nạn từ tầng hầm và tầng nửa hầm có bố trí các gian phòng hạng C, D, E, đi vào các gian phòng hạng C 4, D và E và vào sảnh nằm trên tầng một của nhà nhóm F 5 khi bảo đảm các yêu cầu của 4.24;
- Các lối ra thoát nạn từ phòng chờ, phòng gửi đồ, phòng hút thuốc và phòng vệ sinh ở tầng hầm hoặc tầng nửa hầm của nhà nhóm F 2, F 3 và F 4 đi vào sảnh của tầng 1 theo các cầu thang bộ riêng loại 2;
- Khoang đệm, kể cả khoang đệm kép trên lối ra ngoài trực tiếp từ nhà, từ tầng hầm và tầng nửa hầm.
3.2.3. Các lối ra không được coi là lối ra thoát nạn nếu trên lối ra này có đặt cửa hay cổng có cánh mở kiểu trượt hoặc xếp, cửa cuốn, cửa quay.
Các cửa đi có cánh mở ra (cửa bản lề) nằm trong các cửa hay cổng nói trên được coi là lối ra thoát nạn.
3.2.4. Số lượng và chiều rộng của các lối ra thoát nạn từ các gian phòng, các tầng và các ngôi nhà được xác định theo số lượng người thoát nạn lớn nhất có thể đi qua chúng và khoảng cách giới hạn cho phép từ chỗ xa nhất có thể có người (sinh hoạt, làm việc) tới lối thoát nạn gần nhất.
CHÚ THÍCH:
1) Số lượng người thoát nạn lớn nhất từ các không gian khác nhau của nhà hoặc phần nhà được xác định theo Phụ lục G, mục G.3;
2) Ngoài các yêu cầu chung được nêu trong Quy chuẩn này, yêu cầu cụ thể về số lượng và chiều rộng của các lối ra thoát nạn được nêu trong Quy chuẩn kỹ thuật cho từng loại công trình. Phụ lục G nêu một số quy định cụ thể cho các nhóm nhà thường gặp.
Các phần của ngôi nhà có tính nguy hiểm cháy theo công năng khác nhau được ngăn cách bằng các bộ phận ngăn cháy phải có các lối ra thoát nạn riêng.
3.2.5. Các gian phòng sau phải có không ít hơn hai lối ra thoát nạn:
- Các gian phòng nhóm F 1.1 có mặt đồng thời hơn 10 người;
- Các gian phòng trong tầng hầm và tầng nửa hầm có mặt đồng thời hơn 15 người; riêng các gian phòng trong tầng hầm và tầng nửa hầm có từ 6 đến 15 người có mặt đồng thời thì cho phép một trong hai lối ra tuân theo các yêu cầu của 3.2.13 d);
- Các gian phòng có mặt đồng thời hơn 50 người;
- Các gian phòng nhóm F 5 hạng A hoặc B có số người làm việc trong ca đông nhất lớn hơn 5 người, hạng C - lớn hơn 25 người hoặc có diện tích lớn hơn 1.000 m2;
- Các sàn công tác hở hoặc các sàn dành cho người vận hành và bảo dưỡng thiết bị trong các gian phòng nhóm F 5 có diện tích lớn hơn 100 m2 - đối với các gian phòng thuộc hạng A và B hoặc lớn hơn 400 m2 - đối với các gian phòng thuộc các hạng khác.
Các gian phòng nhóm F 1.3 (căn hộ) được bố trí ở cả hai tầng (2 cao trình – thường gọi là căn hộ thông tầng), khi chiều cao bố trí của tầng phía trên lớn hơn 18 m thì phải có các lối ra thoát nạn từ mỗi tầng.
3.2.6. Các tầng nhà thuộc các nhóm sau đây phải có không ít hơn hai lối ra thoát nạn:
- F 1.1; F 1.2; F 2.1; F 2.2; F 3; F 4;
- F 1.3 khi tổng diện tích các căn hộ trên một tầng lớn hơn 500 m2 (đối với các nhà đơn nguyên thì tính diện tích trên một tầng của đơn nguyên). Trường hợp tổng diện tích nhỏ hơn 500 m2 và khi chỉ có một lối ra thoát nạn từ một tầng, thì từ mỗi căn hộ ở độ cao lớn hơn 15 m, ngoài lối ra thoát nạn phải có một lối ra khẩn cấp theo 3.2.13;
- F 5, hạng A hoặc B khi số người làm việc trong ca đông nhất lớn hơn 5 người, hạng C khi số người làm việc trong ca đông nhất lớn hơn 25 người.
Tầng hầm và nửa hầm phải có không ít hơn hai lối ra thoát nạn khi có diện tích lớn hơn 300 m2 hoặc dùng cho hơn 15 người có mặt đồng thời.
Trong các nhà có chiều cao không quá 15 m, cho phép có một lối ra thoát nạn từ mỗi tầng (hoặc từ một phần của tầng được ngăn cách khỏi các phần khác của tầng bằng các bộ phận ngăn cháy) có nhóm nguy hiểm cháy theo công năng F 1.2, F 3, F 4.3 có diện tích không lớn hơn 300 m2, với số người không lớn hơn 20 người và khi lối thoát nạn đi vào buồng thang bộ có cửa đi ngăn cháy loại 2 (theo Bảng 2).
3.2.7. Số lối ra thoát nạn từ một tầng không được ít hơn hai nếu tầng này có gian phòng có yêu cầu số lối ra thoát nạn không ít hơn hai.
Số lối ra thoát nạn từ một ngôi nhà không được ít hơn số lối ra thoát nạn từ bất kỳ tầng nào của ngôi nhà đó.
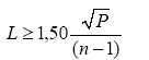
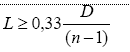
3.2.8. Khi có từ hai lối ra thoát nạn trở lên, chúng phải được bố trí phân tán (trừ các lối ra từ hành lang vào các buồng thang bộ không nhiễm khói). Khoảng cách tối thiểu L (m) giữa các lối ra thoát nạn xa nhất (lối nọ cách lối kia) được xác định theo các công thức:
- Tính cho các lối ra từ gian phòng: 
Tính cho các lối ra từ hành lang: 
Trong đó:
P - chu vi gian phòng, m;
n - số lối ra thoát nạn;
D - chiều dài hành lang, m.
Nếu trong gian phòng, trên một tầng hoặc trong ngôi nhà có từ hai lối ra thoát nạn trở lên, thì khi tính toán khả năng thoát nạn của các lối ra cần giả thiết là đám cháy đã ngăn cản không cho người sử dụng thoát nạn qua một trong những lối ra đó. Các lối ra còn lại phải đảm bảo khả năng thoát nạn an toàn cho tất cả số người có trong gian phòng, trên tầng hoặc trong ngôi nhà đó.
3.2.9. Chiều cao thông thuỷ của lối ra thoát nạn phải không nhỏ hơn 1,9 m, chiều rộng thông thủy không nhỏ hơn:
+ 1,2 m – từ các gian phòng nhóm F 1.1 khi số người thoát nạn lớn hơn 15 người, từ các gian phòng và nhà thuộc nhóm nguy hiểm cháy theo công năng khác có số người thoát nạn lớn hơn 50 người, ngoại trừ nhóm F 1.3;
+ 0,8 m – trong tất cả các trường hợp còn lại.
Chiều rộng của các cửa đi bên ngoài của buồng thang bộ cũng như của các cửa đi từ buồng thang bộ vào sảnh không được nhỏ hơn giá trị tính toán hoặc chiều rộng của bản thang được quy định tại 3.4.1.
Trong mọi trường hợp, khi xác định chiều rộng của một lối ra thoát nạn phải tính đến dạng hình học của đường thoát nạn qua lỗ cửa hoặc cửa để bảo đảm không cản trở việc vận chuyển các cáng tải thương có người nằm trên.
3.2.10. Các cửa của lối ra thoát nạn và các cửa khác trên đường thoát nạn phải được mở theo chiều lối thoát từ trong nhà ra ngoài.
Không quy định chiều mở của các cửa đối với:
a) Các gian phòng nhóm F 1.3 và F 1.4;
b) Các gian phòng có mặt đồng thời không quá 15 người, ngoại trừ các gian phòng hạng A hoặc B;
c) Các phòng kho có diện tích không lớn hơn 200 m2 và không có chỗ cho người làm việc thường xuyên;
d) Các buồng vệ sinh;
e) Các lối ra dẫn vào các chiếu thang của các cầu thang bộ loại 3.
3.2.11. Các cửa của các lối ra thoát nạn từ các hành lang tầng, không gian chung, phòng chờ, sảnh và buồng thang bộ phải không có chốt khóa để có thể mở được cửa tự do từ bên trong mà không cần chìa. Trong các nhà chiều cao lớn hơn 15 m, các cánh cửa nói trên, ngoại trừ các cửa của căn hộ, phải là cửa đặc hoặc với kính cường lực.
Đối với các buồng thang bộ, các cửa ra vào phải có cơ cấu tự đóng và khe cửa phải được chèn kín. Các cửa trong buồng thang bộ mở trực tiếp ra ngoài cho phép không có cơ cấu tự đóng và không cần chèn kín khe cửa.
Các cửa của lối ra thoát nạn từ các gian phòng hay các hành lang được bảo vệ chống khói cưỡng bức, phải là cửa đặc được trang bị cơ cấu tự đóng và khe cửa phải được chèn kín. Các cửa này nếu cần để mở khi sử dụng, thì phải được trang bị cơ cấu tự động đóng khi có cháy.
3.2.12. Các lối ra không thoả mãn các yêu cầu đối với lối ra thoát nạn có thể được xem là lối ra khẩn cấp để tăng thêm mức độ an toàn cho người khi có cháy. Các lối ra khẩn cấp không được đưa vào tính toán thoát nạn khi cháy.
3.2.13. Ngoài trường hợp đã nêu ở 3.2.12, các lối ra khẩn cấp còn gồm có:
a) Lối ra ban công hoặc lôgia, mà ở đó có khoảng tường đặc với chiều rộng không nhỏ hơn 1,2 m tính từ mép ban công (lôgia) tới ô cửa sổ (hay cửa đi lắp kính) hoặc không nhỏ hơn 1,6 m giữa các ô cửa kính mở ra ban công (lôgia);
b) Lối ra dẫn vào một lối đi chuyển tiếp hở (cầu vượt) dẫn tiếp đến một đơn nguyên liền kề của nhà nhóm F 1.3 hoặc đến một khoang cháy liền kề. Lối đi chuyển tiếp này phải có chiều rộng không nhỏ hơn 0,6 m;
c) Lối ra ban công hoặc lôgia, mà ở đó có trang bị thang bên ngoài nối các ban công hoặc lôgia theo từng tầng;
d) Lối ra bên ngoài trực tiếp từ các gian phòng có cao trình sàn hoàn thiện không thấp hơn âm 4,5 m và không cao hơn 5,0 m qua cửa sổ hoặc cửa đi có kích thước không nhỏ hơn 0,75 m x 1,5 m, cũng như qua cửa nắp có kích thước không nhỏ hơn 0,6 m x 0,8 m; khi đó tại các lối ra này phải được trang bị thang leo; độ dốc của các thang leo này không quy định;
e) Lối ra mái của nhà có bậc chịu lửa I, II và III thuộc cấp S0 và S1 qua cửa sổ, cửa đi hoặc cửa nắp với kích thước và thang leo được quy định như tại mục d).
3.2.14. Trong các tầng kỹ thuật cho phép bố trí các lối ra thoát nạn với chiều cao không nhỏ hơn 1,8 m.
Từ các tầng kỹ thuật chỉ dùng để đặt các mạng kỹ thuật công trình (đường ống, đường dây,…) cho phép bố trí lối ra khẩn cấp qua cửa đi với kích thước không nhỏ hơn 0,75 m x 1,5 m hoặc qua cửa nắp với kích thước không nhỏ hơn 0,6 m x 0,8 m mà không cần bố trí lối ra thoát nạn.
Khi tầng kỹ thuật có diện tích tới 300 m2 cho phép bố trí một lối ra, còn cứ mỗi diện tích tiếp theo nhỏ hơn hoặc bằng 2.000 m2 thì phải bố trí thêm không ít hơn một lối ra.
Trong các tầng kỹ thuật ngầm các lối ra này phải được ngăn cách với các lối ra khác của ngôi nhà và dẫn trực tiếp ra bên ngoài.
3.3. Đường thoát nạn
3.3.1. Đường thoát nạn là một đường di chuyển liên tục và không bị chặn từ một điểm bất kỳ trong nhà hoặc công trình đến lối ra bên ngoài. Các đường thoát nạn phải được chiếu sáng và chỉ dẫn phù hợp với các yêu cầu của tiêu chuẩn TCVN 3890 : 2009 – Phương tiện Phòng cháy chữa cháy cho nhà và công trình trang bị, bố trí, kiểm tra, bảo dưỡng.
3.3.2. Khoảng cách giới hạn cho phép từ vị trí xa nhất của gian phòng, hoặc từ chỗ làm việc xa nhất tới lối ra thoát nạn gần nhất, được đo theo trục của đường thoát nạn, phải được hạn chế tùy thuộc vào:
+ Nhóm nguy hiểm cháy theo công năng và hạng nguy hiểm cháy nổ của gian phòng và nhà;
+ Số lượng người thoát nạn;
+ Các thông số hình học của gian phòng và đường thoát nạn;
+ Cấp nguy hiểm cháy kết cấu và bậc chịu lửa của nhà.
Chiều dài của đường thoát nạn theo cầu thang bộ loại 2 lấy bằng ba lần chiều cao của thang đó.
CHÚ THÍCH: Các yêu cầu cụ thể về khoảng cách giới hạn cho phép từ vị trí xa nhất đến lối ra thoát nạn gần nhất được nêu trong các Quy chuẩn cho từng loại công trình. Phụ lục G nêu một số quy định cụ thể cho các nhóm nhà thường gặp.
3.3.3. Khi bố trí, thiết kế các đường thoát nạn phải căn cứ vào yêu cầu của 3.2.1. Đường thoát nạn không bao gồm các thang máy, thang cuốn và các đoạn đường được nêu dưới đây:
- Đường đi qua các hành lang có lối ra từ giếng thang máy, qua các sảnh thang máy và các khoang đệm trước thang máy, nếu các kết cấu bao che giếng thang máy, bao gồm cả cửa của giếng thang máy, không đáp ứng các yêu cầu như đối với bộ phận ngăn cháy;
- Đường đi qua các buồng thang bộ khi có lối đi xuyên chiếu tới của buồng thang là một phần của hành lang, cũng như đường đi qua gian phòng có đặt cầu thang bộ loại 2, mà cầu thang này không phải là cầu thang để thoát nạn;
- Đường đi theo mái nhà, ngoại trừ mái đang được khai thác sử dụng hoặc một phần mái được trang bị riêng cho mục đích thoát nạn;
- Đường đi theo các cầu thang bộ loại 2, nối thông từ ba tầng (sàn) trở lên, cũng như dẫn từ tầng hầm và tầng nửa hầm, ngoại trừ các trường hợp nêu trong 3.2.2.
3.3.4. Trên đường thoát nạn trong các nhà thuộc tất cả các bậc chịu lửa và cấp nguy hiểm cháy kết cấu, ngoại trừ các nhà có bậc chịu lửa V và nhà thuộc cấp S3, không cho phép sử dụng các vật liệu có tính nguy hiểm cháy cao hơn các nhóm dưới đây:
- Ch1, BC1, SK2, ĐT2 - đối với lớp hoàn thiện tường, trần và tấm trần treo trong các sảnh, trong buồng thang bộ và trong sảnh thang máy;
- Ch2, BC2, SK3, ĐT3 hoặc Ch2, BC3, SK2, ĐT2 - đối với lớp hoàn thiện tường, trần và tấm trần treo trong các hành lang chung, phòng sử dụng chung và phòng chờ;
- Ch2, LT2, SK2, ĐT2 - đối với các lớp phủ sàn trong sảnh, buồng thang bộ và sảnh thang máy;
- BC2, LT2, SK3, ĐT2 - đối với các lớp phủ sàn trong hành lang chung, không gian chung và phòng chờ.
Trong các gian phòng nhóm F 5 hạng A, B và C 1, trong đó có sản xuất, sử dụng hoặc lưu giữ các chất lỏng dễ bắt cháy, các sàn phải được làm bằng các vật liệu không cháy hoặc vật liệu có tính cháy thuộc nhóm Ch1.
Các khung trần treo trong các gian phòng và trên các đường thoát nạn phải được làm bằng vật liệu không cháy.
3.3.5. Trong các hành lang trên lối ra thoát nạn nêu ở 3.2.1, ngoại trừ những trường hợp nói riêng trong quy chuẩn, không cho phép bố trí: thiết bị nhô ra khỏi mặt phẳng của tường trên độ cao nhỏ hơn 2 m; các ống dẫn khí cháy và ống dẫn các chất lỏng cháy được, cũng như các tủ tường, trừ các tủ thông tin liên lạc và tủ đặt họng nước chữa cháy.
Các hành lang nêu ở 3.2.1 phải được bao bọc bằng các bộ phận ngăn cháy phù hợp quy định trong các quy chuẩn cho từng loại công trình.
Các hành lang dài hơn 60 m phải được phân chia bằng các vách ngăn cháy loại 2 thành các đoạn có chiều dài được xác định theo yêu cầu bảo vệ chống khói nêu trong Phụ lục D, nhưng không được vượt quá 60 m. Các cửa đi trong các vách ngăn cháy này phải phù hợp với các yêu cầu của 3.2.11.
Khi các cánh cửa đi của gian phòng mở nhô ra hành lang, thì chiều rộng của đường thoát nạn theo hành lang được lấy bằng chiều rộng thông thủy của hành lang trừ đi:
- Một nửa chiều rộng phần nhô ra của cánh cửa (tính cho cửa nhô ra nhiều nhất) - khi cửa được bố trí một bên hành lang;
- Cả chiều rộng phần nhô ra của cánh cửa (tính cho cửa nhô ra nhiều nhất) - khi các cửa được bố trí hai bên hành lang;
- Yêu cầu này không áp dụng cho hành lang tầng (sảnh chung) nằm giữa cửa ra từ căn hộ và cửa ra dẫn vào buồng thang bộ trong các đơn nguyên nhà nhóm F 1.3.
3.3.6. Chiều cao thông thủy các đoạn nằm ngang của đường thoát nạn không được nhỏ hơn 2 m, chiều rộng thông thủy các đoạn nằm ngang của đường thoát nạn và các đoạn dốc không được nhỏ hơn:
+ 1,2 m - đối với hành lang chung dùng để thoát nạn cho hơn 15 người từ các gian phòng nhóm F 1, hơn 50 người - từ các gian phòng thuộc nhóm nguy hiểm cháy theo công năng khác;
+ 0,7 m – đối với các lối đi đến các chỗ làm việc đơn lẻ;
+ 1,0 m – trong tất cả các trường hợp còn lại.
Trong bất kỳ trường hợp nào, các đường thoát nạn phải đủ rộng, có tính đến dạng hình học của chúng, để không cản trở việc vận chuyển các cáng tải thương có người nằm trên.
3.3.7. Trên sàn của đường thoát nạn không được có các giật cấp với chiều cao chênh lệch nhỏ hơn 45 cm hoặc có gờ nhô lên, ngoại trừ các ngưỡng trong các ô cửa đi. Tại các chỗ có giật cấp phải bố trí bậc thang với số bậc không nhỏ hơn 3 hoặc làm đường dốc với độ dốc không được lớn hơn 1 : 6 (độ chênh cao không được quá 10 cm trên chiều dài 60 cm hoặc góc tạo bởi đường dốc với mặt bằng không lớn hơn 9,5o).
Khi làm bậc thang ở những nơi có chiều cao chênh lệch lớn hơn 45 cm phải bố trí lan can tay vịn.
Trên đường thoát nạn không cho phép bố trí cầu thang xoắn ốc, cầu thang cong toàn phần hoặc từng phần theo mặt bằng và trong phạm vi một bản thang và một buồng thang bộ không cho phép bố trí các bậc có chiều cao khác nhau và chiều rộng mặt bậc khác nhau. Trên đường thoát nạn không được bố trí gương soi gây ra sự nhầm lẫn về đường thoát nạn.
3.4. Cầu thang bộ và buồng thang bộ trên đường thoát nạn
3.4.1. Chiều rộng của bản thang bộ dùng để thoát người, trong đó kể cả bản thang đặt trong buồng thang bộ, không được nhỏ hơn chiều rộng tính toán hoặc chiều rộng của bất kỳ lối ra thoát nạn (cửa đi) nào trên nó, đồng thời không được nhỏ hơn:
a) 1,35 m – đối với nhà nhóm F 1.1;
b) 1,2 m – đối với nhà có số người trên tầng bất kỳ, trừ tầng một, lớn hơn 200 người;
c) 0,7 m – đối với cầu thang bộ dẫn đến các chỗ làm việc đơn lẻ;
d) 0,9 m – đối với tất cả các trường hợp còn lại.
3.4.2. Độ dốc (góc nghiêng) của các thang bộ trên các đường thoát nạn không được lớn hơn 1 : 1 (45o); bề rộng mặt bậc không được nhỏ hơn 25 cm, còn chiều cao bậc không được lớn hơn 22 cm.
Độ dốc (góc nghiêng) của các cầu thang bộ hở đi tới các chỗ làm việc đơn lẻ cho phép tăng đến 2 : 1 (63,5o).
Cho phép giảm chiều rộng mặt bậc của cầu thang cong đón tiếp (thường bố trí ở sảnh tầng 1) ở phần thu hẹp tới 22 cm; Cho phép giảm chiều rộng mặt bậc tới 12 cm đối với các cầu thang bộ chỉ dùng cho các gian phòng có tổng số chỗ làm việc không lớn hơn 15 người (trừ các gian phòng nhóm F 5 hạng A hoặc B).
Các cầu thang bộ loại 3 phải được làm bằng vật liệu không cháy và được đặt ở sát các phần đặc (không có ô cửa sổ hay lỗ ánh sáng) của tường có nhóm nguy hiểm cháy không thấp hơn K1 và có giới hạn chịu lửa không thấp hơn REI 30. Các cầu thang bộ này phải có chiếu thang nằm cùng cao trình với lối ra thoát nạn, có lan can cao 1,2 m và bố trí cách lỗ cửa sổ không nhỏ hơn 1 m.
Cầu thang bộ loại 2 phải thỏa mãn các yêu cầu quy định đối với bản thang và chiếu thang trong buồng thang bộ.
3.4.3. Chiều rộng của chiếu thang bộ phải không nhỏ hơn chiều rộng của bản thang. Còn chiều rộng của chiếu thang ở trước lối vào thang máy (chiếu thang đồng thời là sảnh của thang máy) đối với thang máy có cánh cửa bản lề mở ra, phải không nhỏ hơn tổng chiều rộng bản thang và một nửa chiều rộng cánh cửa của thang máy, nhưng không nhỏ hơn 1,6 m.
Các chiếu nghỉ trung gian trong bản thang bộ thẳng phải có chiều dài không nhỏ hơn 1 m.
Các cửa đi có cánh cửa mở vào buồng thang bộ thì khi mở, cánh cửa không được làm giảm chiều rộng tính toán của các chiếu thang và bản thang.
3.4.4. Trong các buồng thang bộ không cho phép bố trí:
- Các ống dẫn khí cháy và chất lỏng cháy được;
- Các tủ tường, trừ các tủ thông tin liên lạc và tủ chứa các họng nước chữa cháy;
- Các cáp và dây điện đặt hở (trừ dây điện cho thiết bị điện dòng thấp) để chiếu sáng hành lang và buồng thang bộ;
- Các lối ra từ thang tải và thiết bị nâng hàng;
- Các thiết bị nhô ra khỏi mặt tường ở độ cao dưới 2,2 m tính từ bề mặt của các bậc và chiếu thang.
Trong không gian của các buồng thang bộ, không cho phép bố trí bất kỳ các phòng chức năng nào.
3.4.5. Trong không gian của các buồng thang bộ, trừ các buồng thang không nhiễm khói, cho phép bố trí không quá hai thang máy chở người hạ xuống chỉ đến tầng 1 với các kết cấu bao che giếng thang làm từ các vật liệu không cháy.
Các giếng thang máy nằm ngoài nhà, nếu cần bao che thì phải sử dụng các kết cấu làm từ vật liệu không cháy.
3.4.6. Các buồng thang bộ ở tầng 1 phải có lối ra ngoài trực tiếp tới khu đất liền kề ngôi nhà hoặc qua sảnh được ngăn cách với các hành lang tiếp giáp bằng các vách ngăn cháy loại 1 có cửa đi. Khi bố trí các lối ra thoát nạn từ hai buồng thang bộ qua sảnh chung thì một trong số đó, trừ lối ra dẫn vào sảnh, phải có cửa ra bên ngoài trực tiếp.
Các buồng thang bộ loại N1 phải có lối ra thoát trực tiếp ngay ra ngoài trời.
3.4.7. Các buồng thang bộ, trừ buồng thang bộ loại L2, phải có các lỗ lấy ánh sáng với diện tích không nhỏ hơn 1,2 m2 trên các tường ngoài ở mỗi tầng.
Cho phép bố trí không quá 50% buồng thang bộ bên trong không có các lỗ lấy ánh sáng, dùng để thoát nạn, trong các trường hợp sau:
- Các nhà thuộc nhóm F 2, F 3 và F 4: đối với buồng thang loại N2 hoặc N3 có áp suất không khí dương khi cháy;
- Các nhà thuộc nhóm F 5 hạng C có chiều cao tới 28 m, còn hạng D và E không phụ thuộc chiều cao nhà: đối với buồng thang loại N3 có áp suất không khí dương khi cháy;
Các buồng thang bộ loại L2 phải có lỗ lấy ánh sáng trên mái có diện tích không nhỏ hơn 4 m2 với khoảng hở giữa các vế thang có chiều rộng không nhỏ hơn 0,7 m hoặc giếng lấy sáng theo suốt chiều cao của buồng thang bộ với diện tích mặt cắt ngang không nhỏ hơn 2 m2.
3.4.8. Việc bảo vệ chống khói các buồng thang bộ loại N2 và N3 phải tuân theo Phụ lục D. Khi cần thiết, các buồng thang bộ loại N2 phải được chia thành các khoang theo chiều cao bằng các vách ngăn cháy đặc loại 1 với lối đi lại giữa các khoang nằm ngoài không gian buồng thang bộ;
Các cửa sổ trong các buồng thang bộ loại N2 phải là cửa sổ không mở được.
3.4.9. Tính không nhiễm khói của lối đi qua khoảng thông thoáng bên ngoài dẫn tới các buồng thang bộ không nhiễm khói loại N1 phải được đảm bảo bằng các giải pháp kết cấu và quy hoạch không gian.
Các lối đi này phải để hở, thường không đặt tại các góc bên trong của nhà, đồng thời phải đảm bảo các yêu cầu sau:
- Khi một phần của tường ngoài của nhà nối tiếp với phần tường khác dưới một góc nhỏ hơn 135o thì khoảng cách theo phương ngang từ lỗ cửa đi gần nhất ở khoảng thông thoáng bên ngoài tới đỉnh góc tiếp giáp phải không nhỏ hơn 4 m; khoảng cách này có thể giảm đến bằng giá trị phần nhô ra của tường ngoài; yêu cầu này không áp dụng cho lối đi, nằm ở các góc tiếp giáp lớn hơn hoặc bằng 135o, cũng như cho phần nhô ra của tường ngoài có giá trị không lớn hơn 1,2 m;
- Chiều rộng phần tường giữa các lỗ cửa đi của khoảng thông thoáng bên ngoài và ô cửa sổ gần nhất của gian phòng không được nhỏ hơn 2 m;
- Các lối đi phải có chiều rộng không nhỏ hơn 1,2 m với chiều cao lan can 1,2 m, chiều rộng của phần tường giữa các lỗ cửa đi ở khoảng thông thoáng bên ngoài phải không nhỏ hơn 1,2 m.
3.4.10. Các buồng thang bộ loại L1 được phép bố trí trong các nhà thuộc tất cả các nhóm nguy hiểm cháy theo công năng có chiều cao tới 28 m; khi đó, trong nhà nhóm F 5 hạng A hoặc B, lối ra hành lang tầng từ các gian phòng hạng A hoặc B phải đi qua khoang đệm luôn luôn có áp suất không khí dương.
3.4.11. Các buồng thang bộ loại L2 được phép bố trí trong các nhà có bậc chịu lửa I, II, III thuộc cấp nguy hiểm cháy kết cấu S0, S1 và nhóm nguy hiểm cháy theo công năng F 1, F 2, F 3 và F 4, với chiều cao không quá 9 m. Cho phép tăng chiều cao của nhà đến 12 m khi lỗ lấy sáng bên trên được mở tự động khi cháy và khi trong nhà nhóm F 1.3 có hệ thống báo cháy tự động hoặc có các đầu báo cháy độc lập.
Khi bố trí các buồng thang bộ loại L2, còn phải đảm bảo các yêu cầu sau:
- Trong các nhà nhóm F 2, F 3 và F 4, số lượng các buồng thang bộ loại L2 phải không được quá 50%, các buồng thang bộ còn lại phải có lỗ lấy sáng trên tường ngoài ở mỗi tầng (loại L1);
- Đối với các nhà nhóm F 1.3 dạng đơn nguyên, trong từng căn hộ có bố trí ở độ cao trên 4 m phải có một lối ra khẩn cấp theo 3.2.13.
3.4.12. Trong các nhà có chiều cao lớn hơn 28 m, cũng như trong các nhà nhóm F 5 hạng A hoặc B phải bố trí các buồng thang bộ không nhiễm khói loại N1. Cho phép:
- Bố trí không quá 50% buồng thang bộ loại N2 trong các nhà nhóm F 1.3 dạng hành lang;
- Bố trí không quá 50% buồng thang bộ loại N2 hoặc N3 có áp suất không khí dương khi cháy trong các nhà nhóm F 1.1, F 1.2, F 2, F 3 và F 4;
- Bố trí buồng thang bộ loại N2 và N3 có chiếu sáng tự nhiên và luôn có áp suất không khí dương trong các nhà nhóm F 5 hạng A hoặc B;
- Bố trí buồng thang bộ loại N2 hoặc N3 có áp suất không khí dương khi cháy trong các nhà nhóm F 5 hạng B;
- Bố trí buồng thang bộ loại N2 hoặc N3 có áp suất không khí dương khi cháy trong các nhà nhóm F 5 hạng C hoặc D. Khi bố trí buồng thang bộ loại L1 thì buồng thang phải được phân khoang bằng vách ngăn cháy đặc qua mỗi 20 m chiều cao và lối đi từ khoang này sang khoang khác của buồng thang phải đặt ở ngoài không gian của buồng thang.
3.4.13. Trong các nhà có các buồng thang bộ không nhiễm khói phải bố trí bảo vệ chống khói cho các hành lang chung, các sảnh, các không gian chung và các phòng chờ.
3.4.14. Trong các nhà có bậc chịu lửa I và II thuộc cấp nguy hiểm cháy kết cấu S0, cho phép bố trí các cầu thang bộ loại 2 đi từ tiền sảnh lên tầng hai có tính đến các yêu cầu của 4.26.
3.4.15. Trong các nhà cao không quá 28 m thuộc các nhóm nguy hiểm cháy theo công năng F 1.2, F 2, F 3, F 4, với bậc chịu lửa I, II và cấp nguy hiểm cháy kết cấu S0, thì cho phép sử dụng các cầu thang bộ loại 2 nối hai tầng trở lên, khi các buồng thang bộ thoát nạn đáp ứng yêu cầu của các tài liệu chuẩn và 4.27.
3.4.16. Các thang cuốn phải được bố trí phù hợp các yêu cầu quy định cho cầu thang bộ loại 2.
4. NGĂN CHẶN CHÁY LAN
4.1. Việc ngăn chặn sự lan truyền của đám cháy được thực hiện bằng các biện pháp hạn chế diện tích cháy, cường độ cháy và thời gian cháy. Cụ thể là:
- Sử dụng giải pháp kết cấu và quy hoạch không gian, để ngăn cản sự lan truyền của các yếu tố nguy hiểm của đám cháy trong một gian phòng, giữa các gian phòng với nhau, giữa các nhóm gian phòng có tính nguy hiểm cháy theo công năng khác nhau, giữa các tầng và các đơn nguyên, giữa các khoang cháy, cũng như giữa các tòa nhà;
- Hạn chế tính nguy hiểm cháy của vật liệu xây dựng được sử dụng ở các lớp bề mặt của kết cấu nhà, bao gồm: lớp lợp mái, các lớp hoàn thiện của tường ngoài, của các gian phòng và của các đường thoát nạn;
- Hạn chế tính nguy hiểm cháy và nguy hiểm cháy nổ công nghệ trong các gian phòng và nhà;
- Có các thiết bị chữa cháy ban đầu, trong đó bao gồm thiết bị tự động và cầm tay;
- Có thiết bị phát hiện cháy và báo cháy.
CHÚ THÍCH:
1) Quy định về khoảng cách phòng cháy chống cháy giữa các nhà ở, công trình công cộng và các nhà sản xuất được cho ở Phụ lục E. Khoảng cách giữa các kho chất lỏng cháy, các kho hở trên mặt đất có chứa chất cháy, các bồn chứa LPG([4]), khí cháy đến các công trình khác phải tuân theo những quy chuẩn chuyên ngành.
2) Thuật ngữ “Cường độ cháy” được nêu trong Phụ lục A.
4.2. Nhà ở, công trình công cộng, nhà sản xuất và nhà kho phải đảm bảo các yêu cầu về phòng chống cháy của Quy chuẩn này và các quy định trong tiêu chuẩn thiết kế cho các loại công trình đó. Riêng số tầng (chiều cao cho phép của nhà), diện tích khoang cháy và tầng giới hạn bố trí hội trường của một số công trình phải tuân thủ các quy định nêu trong Phụ lục H.
4.3. Các bộ phận nhà (các gian phòng, tầng kỹ thuật, tầng hầm, tầng nửa hầm và các phần khác của nhà) mà việc chữa cháy khó khăn cần được trang bị các phương tiện bổ sung nhằm hạn chế diện tích, cường độ và thời gian cháy.
4.4. Hiệu quả của các giải pháp nhằm ngăn chặn sự lan truyền của đám cháy được phép đánh giá bằng các tính toán kinh tế - kỹ thuật dựa trên các yêu cầu của 1.4.1 về hạn chế thiệt hại trực tiếp và gián tiếp do cháy.
4.5. Các phần nhà và gian phòng thuộc các nhóm nguy hiểm cháy theo công năng khác nhau phải được ngăn cách với nhau bằng các kết cấu ngăn cách với giới hạn chịu lửa và cấp nguy hiểm cháy kết cấu theo quy định hoặc ngăn cách nhau bằng các bộ phận ngăn cháy. Khi đó yêu cầu đối với các kết cấu ngăn cách và bộ phận ngăn cháy này được xem xét có kể đến tính nguy hiểm cháy theo công năng của các gian phòng, giá trị tải trọng cháy, bậc chịu lửa và cấp nguy hiểm cháy kết cấu của nhà.
4.6. Trong một ngôi nhà khi các phần có tính nguy hiểm cháy theo công năng khác nhau đã được phân chia bằng các bộ phận ngăn cháy thì mỗi phần đó phải đáp ứng các yêu cầu về chống cháy đặt ra như đối với nhà có nhóm nguy hiểm cháy theo công năng tương ứng.
Việc lựa chọn hệ thống bảo vệ chống cháy của nhà phải được dựa trên cơ sở: khi các phần của nhà có tính nguy hiểm cháy theo công năng khác nhau, thì tính nguy hiểm cháy theo công năng của toàn nhà có thể lớn hơn tính nguy hiểm cháy theo công năng của bất cứ phần nào trong nhà đó.
4.7. Trong các nhà thuộc nhóm F 5, nếu yêu cầu công nghệ cho phép, cần bố trí các gian phòng hạng A và B ở gần tường ngoài, còn trong các nhà nhiều tầng, cần bố trí các gian phòng này ở các tầng phía trên.
4.8. Trong các tầng hầm và tầng nửa hầm, không cho phép bố trí các gian phòng có sử dụng hoặc lưu giữ các chất khí và chất lỏng cháy cũng như các vật liệu dễ bắt cháy, trừ các trường hợp được nói riêng.
4.9. Các cấu kiện xây dựng không được tạo điều kiện cho việc lan truyền cháy ngầm.
4.10. Tính chịu lửa của các chi tiết liên kết cấu kiện xây dựng không được thấp hơn tính chịu lửa yêu cầu của chính cấu kiện đó.
4.11. Kết cấu tạo dốc sàn trong các phòng khán giả phải đáp ứng các yêu cầu về giới hạn chịu lửa và cấp nguy hiểm cháy theo Bảng 4 và Bảng 5 như đối với các sàn giữa các tầng.
4.12. Khi bố trí các đường ống kỹ thuật, đường cáp đi xuyên qua các kết cấu tường, sàn, vách, thì chỗ tiếp giáp giữa các đường ống, đường cáp với các kết cấu này phải được chèn bịt hoặc xử lý thích hợp để không làm giảm các chỉ tiêu kỹ thuật về cháy theo yêu cầu của kết cấu.
4.13. Các lớp phủ và lớp tẩm chống cháy đặc biệt, phủ trên bề mặt hở của các cấu kiện, phải đáp ứng các yêu cầu đặt ra cho việc hoàn thiện các cấu kiện đó.
Trong các tài liệu kỹ thuật cho các lớp phủ hoặc lớp tẩm này phải chỉ rõ chu kỳ thay thế hoặc khôi phục chúng tùy thuộc vào điều kiện khai thác sử dụng.
Để tăng giới hạn chịu lửa hoặc làm giảm mức nguy hiểm cháy của cấu kiện, không cho phép sử dụng các lớp phủ và lớp tẩm chống cháy đặc biệt tại các vị trí mà ở đó không thể khôi phục hoặc định kỳ thay thế chúng.
4.14. Hiệu quả của các biện pháp chống cháy, sử dụng cho việc làm giảm tính nguy hiểm cháy của vật liệu, phải được đánh giá bằng các thử nghiệm nhóm nguy hiểm cháy của vật liệu xây dựng nêu trong phần 2 (Phân loại kỹ thuật về cháy).
Hiệu quả của các biện pháp chống cháy, sử dụng để nâng cao tính chịu lửa của cấu kiện, phải được đánh giá bằng các thử nghiệm giới hạn chịu lửa của các cấu kiện xây dựng nêu trong phần 2 (Phân loại kỹ thuật về cháy).
Hiệu quả của các biện pháp chống cháy, không được tính đến khi xác định khả năng chịu lực của các cấu kiện kim loại (cột hay dầm), được phép đánh giá bằng các thử nghiệm so sánh các mô hình kích thước thu nhỏ của cột với chiều cao không nhỏ hơn 1,7 m hoặc các mô hình dầm có nhịp không nhỏ hơn 2,8 m mà không có tải trọng tĩnh.
4.15. Các trần treo dùng để nâng cao giới hạn chịu lửa của các sàn và mái, xét về tính nguy hiểm cháy, phải đáp ứng các yêu cầu đặt ra cho các sàn và mái đó.
Các vách ngăn cháy trong các gian phòng có trần treo phải ngăn chia cả không gian phía trên trần treo.
Trong không gian bên trên các trần treo không cho phép bố trí các kênh và đường ống để vận chuyển các chất cháy dạng khí, hỗn hợp bụi - khí, chất lỏng và vật liệu cháy.
Các trần treo không được bố trí trong các gian phòng hạng A hoặc B.
4.16. Tại các vị trí giao nhau giữa các bộ phận ngăn cháy với các kết cấu bao che của nhà, kể cả tại các vị trí thay đổi hình dạng nhà, phải có các giải pháp bảo đảm không để cháy lan truyền qua các bộ phận ngăn cháy này.
4.17. Các tường ngăn cháy, dùng để phân chia nhà thành các khoang cháy, phải được bố trí trên toàn bộ chiều cao nhà và phải bảo đảm không để cháy lan truyền từ phía nguồn cháy vào khoang cháy liền kề khi các kết cấu nhà ở phía có cháy bị sụp đổ.
4.18. Các lỗ thông trong các bộ phận ngăn cháy phải được đóng kín khi có cháy.
Các cửa sổ trong các bộ phận ngăn cháy phải là các cửa không mở được, còn các cửa đi, cổng, cửa nắp và van phải có cơ cấu tự đóng và các khe cửa phải được chèn kín. Các cửa đi, cổng, cửa nắp và van nếu cần mở để khai thác sử dụng thì phải được lắp các thiết bị tự động đóng kín khi có cháy.
4.19. Tổng diện tích các lỗ cửa trong các bộ phận ngăn cháy, trừ kết cấu bao che của các giếng thang máy, không được vượt quá 25% diện tích của bộ phận ngăn cháy đó. Cửa và van ngăn cháy trong các bộ phận ngăn cháy phải đáp ứng các yêu cầu của 2.4.3 và các yêu cầu của phần này.
Tại các cửa đi trong các bộ phận ngăn cháy dùng để ngăn các gian phòng hạng A hoặc B với các không gian khác như: phòng có hạng khác với hạng A hoặc B, hành lang, buồng thang bộ và sảnh thang máy, phải bố trí các khoang đệm luôn có áp suất không khí dương như yêu cầu nêu trong Phụ lục D. Không được phép bố trí các khoang đệm chung cho hai gian phòng trở lên cùng có hạng A hoặc B.
4.20. Khi không thể bố trí các khoang đệm ngăn cháy trong các bộ phận ngăn cháy dùng để ngăn các gian phòng hạng A hoặc B với các gian phòng khác hoặc khi không thể bố trí các cửa đi, cổng, cửa nắp và van trong các bộ phận ngăn cháy dùng để ngăn các gian phòng hạng C với các gian phòng khác, cần phải thiết lập tổ hợp các giải pháp nhằm ngăn ngừa sự lan truyền của đám cháy và sự xâm nhập vào các phòng và tầng liền kề của các khí, hơi dễ bắt cháy, hơi của các chất lỏng, bụi và xơ cháy mà các chất này có khả năng tạo thành các nồng độ nguy hiểm nổ. Hiệu quả của các giải pháp đó phải được chứng minh.
Trong các lỗ cửa của các bộ phận ngăn cháy giữa các gian phòng liền kề hạng C, D và E, khi không thể đóng được bằng cửa hoặc cổng ngăn cháy, cho phép bố trí các khoang đệm hở được trang bị thiết bị chữa cháy tự động. Các kết cấu bao che của các khoang đệm này phải là kết cấu ngăn cháy.
4.21. Cửa và van ngăn cháy trong các bộ phận ngăn cháy phải được làm từ các vật liệu không cháy.
Cho phép sử dụng các vật liệu thuộc nhóm có tính cháy không thấp hơn Ch3 được bảo vệ bằng vật liệu không cháy có độ dày không nhỏ hơn 4 mm để làm các cửa, cổng, cửa nắp và van ngăn cháy.
Cửa của các khoang đệm ngăn cháy, cửa đi, cổng, cửa nắp ngăn cháy trong các bộ phận ngăn cháy ở phía các gian phòng trong đó không bảo quản và không sử dụng các chất khí cháy, chất lỏng cháy và vật liệu cháy, cũng như không có các quá trình công nghệ liên quan tới việc hình thành các bụi cháy, được phép làm từ vật liệu thuộc nhóm có tính cháy Ch3 với chiều dày không nhỏ hơn 40 mm và không có hốc rỗng.
4.22. Không cho phép bố trí các kênh, giếng và đường ống vận chuyển khí cháy, hỗn hợp bụi - khí cháy, chất lỏng cháy, chất và vật liệu cháy xuyên qua các tường và sàn ngăn cháy loại 1.
Đối với các kênh, giếng và đường ống để vận chuyển các chất và vật liệu khác với các loại nói trên thì tại các vị trí giao cắt với các bộ phận ngăn cháy này phải có thiết bị tự động ngăn cản sự lan truyền của các sản phẩm cháy theo các kênh, giếng và ống dẫn.
CHÚ THÍCH:
1) Cho phép đặt ống thông gió và ống khói trong tường ngăn cháy của nhà ở, công trình công cộng và nhà phụ trợ khi chiều dầy tối thiểu của tường ngăn cháy (trừ tiết diện đường ống) ở chỗ đó không được dưới 25 cm, còn bề dày phần ngăn giữa ống khói và ống thông hơi tối thiểu là 12 cm.
2) Những lỗ đặt ống dẫn nước ở bộ phận ngăn cháy phải được xử lý phù hợp với quy định trong 4.12.
4.23. Các kết cấu bao che của các giếng thang máy (trừ các giếng đã nêu trong 3.4.5) và các phòng máy của thang máy (trừ các phòng trên mái), cũng như của các kênh, giếng và hộp kỹ thuật phải đáp ứng các yêu cầu đặt ra như đối với các vách ngăn cháy loại 1 và các sàn ngăn cháy loại 3. Không quy định giới hạn chịu lửa của các kết cấu bao che giữa giếng thang máy và phòng máy của thang máy.
Khi không thể lắp các cửa ngăn cháy trong các kết cấu bao che các giếng thang máy nêu trên, phải bố trí các khoang đệm hoặc các sảnh với các vách ngăn cháy loại 1 và sàn ngăn cháy loại 3 hoặc các màn chắn tự động đóng các lỗ cửa đi của giếng thang khi cháy. Các màn chắn này phải được làm bằng vật liệu không cháy và giới hạn chịu lửa của chúng không nhỏ hơn EI 45.
Trong các nhà có các buồng thang bộ không nhiễm khói phải bố trí bảo vệ chống khói tự động cho các giếng thang máy mà tại cửa ra của chúng không có các khoang đệm ngăn cháy với áp suất không khí dương khi cháy.
4.24. Buồng chứa rác, ống và cửa thu rác phải được thiết kế, lắp đặt phù hợp với tiêu chuẩn, yêu cầu kỹ thuật quy định riêng cho bộ phận này và các yêu cầu cụ thể sau:
- Các ống đổ rác và buồng chứa rác phải được cách ly với những phần khác của ngôi nhà bằng các bộ phận ngăn cháy; cửa thu rác ở các tầng phải có cửa nắp ngăn cháy tự động đóng kín;
- Không được đặt các ống đổ rác và buồng chứa rác bên trong các buồng thang bộ, sảnh đợi hoặc khoang đệm được bao bọc ngăn cháy dùng cho thoát nạn.
- Các buồng có chứa ống đổ rác hoặc để chứa rác phải đảm bảo có lối vào trực tiếp qua một khoảng thông thoáng bên ngoài nhà hoặc qua một khoang đệm ngăn cháy được thông gió thường xuyên.
- Cửa vào buồng chứa rác không được đặt liền kề với các lối thoát nạn hoặc cửa ra bên ngoài của nhà hoặc đặt gần với cửa sổ của nhà ở.
4.25. Trong nhà thuộc mọi nhóm nguy hiểm cháy theo công năng, trừ nhóm F 1.3, theo các điều kiện của công nghệ, cho phép bố trí các thang bộ riêng biệt để lưu thông giữa tầng hầm hoặc tầng nửa hầm với tầng một.
Các thang bộ này phải được bao che bằng các vách ngăn cháy loại 1 với khoang đệm ngăn cháy có áp suất không khí dương khi cháy.
Cho phép không bố trí khoang đệm ngăn cháy như đã nêu cho các thang bộ này trong các nhà nhóm F 5 với điều kiện chúng dẫn từ tầng hầm hoặc tầng nửa hầm có các gian phòng hạng C 4, D, E vào các gian phòng cùng hạng ở tầng một.
Các thang bộ này không được kể đến khi tính toán thoát nạn, trừ các trường hợp nói ở 3.2.1.
4.26. Khi bố trí các cầu thang bộ loại 2 đi từ sảnh tầng 1 lên tầng 2, thì sảnh này phải được ngăn cách khỏi các hành lang và các gian phòng liền kề bằng các vách ngăn cháy loại 1.
4.27. Gian phòng, trong đó có bố trí cầu thang bộ loại 2 theo 3.4.15, phải được ngăn cách với các hành lang thông với nó và các gian phòng khác bằng các vách ngăn cháy loại 1. Cho phép không ngăn cách gian phòng có cầu thang bộ loại 2 bằng các vách ngăn cháy khi:
- Có trang bị chữa cháy tự động trong toàn bộ nhà;
- Trong các nhà có chiều cao không lớn hơn 9 m với diện tích một tầng không quá 300 m2.
4.28. Trong tầng hầm hoặc tầng nửa hầm, trước lối vào các thang máy phải bố trí các khoang đệm ngăn cháy loại 1 có áp suất không khí dương khi cháy.
4.29. Việc lựa chọn kích thước của nhà và của các khoang cháy, cũng như khoảng cách giữa các nhà phải dựa vào bậc chịu lửa, cấp nguy hiểm cháy kết cấu, nhóm nguy hiểm cháy theo công năng và giá trị tải trọng cháy, có tính đến hiệu quả của các phương tiện bảo vệ chống cháy được sử dụng, sự có mặt, vị trí và mức độ trang bị của các đơn vị chữa cháy, những hậu quả có thể về kinh tế và môi trường sinh thái do cháy.
4.30. Trong quá trình khai thác vận hành, tất cả các thiết bị kỹ thuật bảo vệ chống cháy phải bảo đảm khả năng làm việc theo đúng yêu cầu đã đặt ra.
4.31. Việc trang bị hệ thống báo cháy và chữa cháy tự động phải tuân theo tiêu chuẩn TCVN 3890 : 2009.
5. CHỮA CHÁY VÀ CỨU NẠN
5.1. Nhà và công trình phải đảm bảo việc chữa cháy và cứu nạn bằng các giải pháp: kết cấu, quy hoạch không gian, kỹ thuật - công trình và giải pháp tổ chức.
Các giải pháp này bao gồm:
- Bố trí các đường cho xe chữa cháy và lối tiếp cận cho lực lượng và phương tiện chữa cháy, kết hợp chung với các đường và lối đi theo công năng của ngôi nhà hoặc bố trí riêng;
- Bố trí các thang chữa cháy ngoài nhà và bảo đảm các phương tiện cần thiết khác để đưa lực lượng chữa cháy cùng các trang thiết bị kỹ thuật chữa cháy đến các tầng và mái của các ngôi nhà, trong đó gồm cả việc bố trí các thang máy có chế độ “chuyên chở lực lượng chữa cháy”;
- Bố trí đường ống cấp nước chữa cháy, kết hợp với các đường ống cấp nước sinh hoạt hoặc bố trí riêng, và khi cần thiết, bố trí các họng tiếp nước, đường ống tiếp nước vào trong nhà cho lực lượng chữa cháy, các trụ nước, bể chứa nước chữa cháy hoặc các nguồn cấp nước chữa cháy khác;
- Bảo vệ chống khói cho các lối đi của lực lượng chữa cháy bên trong ngôi nhà;
- Trang bị cho ngôi nhà các phương tiện cứu người cho cá nhân và tập thể trong trường hợp cần thiết;
- Bố trí trên địa phận khu dân cư, khu công nghiệp hoặc công trình, các trạm (đội) phòng cháy và chữa cháy với số lượng nhân viên và các thiết bị kỹ thuật chữa cháy cần thiết, đáp ứng các điều kiện chữa cháy trên các công trình hoặc khu vực trong phạm vi hoạt động của các trạm (đội) này.
Việc lựa chọn các giải pháp nêu trên phụ thuộc vào bậc chịu lửa, cấp nguy hiểm cháy kết cấu và nhóm nguy hiểm cháy theo công năng của ngôi nhà.
5.2. Đường cho xe chữa cháy phải đảm bảo các yêu cầu sau:
- Chiều rộng của mặt đường không được nhỏ hơn 3,50 m cho mỗi làn xe. Chiều cao của khoảng không tính từ mặt đường lên phía trên không được nhỏ hơn 4,25 m;
- Mặt đường phải đảm bảo chịu được tải trọng của xe chữa cháy theo yêu cầu thiết kế và phù hợp với chủng loại phương tiện của cơ quan Cảnh sát phòng cháy chữa cháy và Cứu nạn cứu hộ nơi xây dựng công trình;
- Đường cụt dùng cho một làn xe không được dài quá 150 m, cuối đường phải có bãi quay xe theo các quy định trong 5.3. Nếu dài quá 100 m phải có chỗ tránh xe với kích thước theo quy định ở 5.4;
- Có thể tiếp cận tới các nguồn nước chữa cháy của công trình cũng như tới các điểm thuận lợi cho việc chữa cháy, cứu nạn. Khoảng cách từ nơi đỗ xe chữa cháy tới họng tiếp nước vào nhà không được lớn hơn 18 m.
5.3. Thiết kế bãi quay xe phải tuân theo một trong các quy định sau:
- Hình tam giác đều có cạnh không nhỏ hơn 7 m, một đỉnh nằm ở đường cụt, hai đỉnh nằm cân đối ở hai bên đường;
- Hình vuông có cạnh không nhỏ hơn 12 m;
- Hình tròn, đường kính không nhỏ hơn 10 m;
- Hình chữ nhật vuông góc với đường cụt, cân đối về hai phía của đường, có kích thước không nhỏ hơn 5 m x 20 m.
5.4. Đối với đường giao thông nhỏ hẹp chỉ đủ cho 1 làn xe chạy thì cứ ít nhất 100 m phải thiết kế đoạn mở rộng tối thiểu 7 m dài 8 m để xe chữa cháy và các loại xe khác có thể tránh nhau dễ dàng.
5.5. Đường dành cho xe chữa cháy đối với nhà ở, công trình công cộng và nhà phụ trợ của các cơ sở công nghiệp.
Phải đảm bảo đường cho các xe chữa cháy tiếp cận đến các nhà ở và công trình công cộng, đường và bãi đỗ cho xe thang hoặc xe có cần nâng để có thể tiếp cận đến từng căn hộ hoặc gian phòng trên các tầng cao.
Khoảng cách từ mép đường xe chạy đến tường nhà cho phép từ 5 m đến 8 m đối với các nhà cao đến 10 tầng, và từ 8 m đến 10 m đối với các nhà cao trên 10 tầng. Trong các vùng có khoảng cách này không cho phép bố trí tường ngăn, đường dây tải điện trên không và trồng cây cao thành hàng.
Dọc theo các mặt ngoài nhà nơi không có lối vào, cho phép bố trí các khoảng đất có chiều rộng tối thiểu 6 m và chiều dài tối thiểu 12 m dùng đậu xe chữa cháy có kể tới tải trọng cho phép của chúng trên lớp áo và đất nền.
5.6. Đường cho xe chữa cháy đối với nhà và công trình công nghiệp
Theo toàn bộ chiều dài của các nhà và công trình công nghiệp, phải đảm bảo có lối vào cho xe chữa cháy: từ một bên, khi chiều rộng nhà hoặc công trình nhỏ hơn 18 m và từ cả hai bên, khi chiều rộng của nhà hoặc công trình lớn hơn 18 m.
Đối với những ngôi nhà có diện tích xây dựng lớn hơn 10.000 m2 hoặc rộng trên 100 m thì phải có lối vào cho xe chữa cháy từ mọi phía.
Khi điều kiện sản xuất không yêu cầu có đường vào thì lối vào cho xe chữa cháy được phép bố trí phần đường rộng 3,5 m cho xe chạy, nền đường được gia cố bằng các vật liệu đảm bảo chịu được tải trọng của xe chữa cháy và đảm bảo thoát nước mặt.
Khoảng cách từ mép lối vào cho xe chữa cháy đến tường của ngôi nhà phải không lớn hơn 5 m đối với các nhà có chiều cao nhỏ hơn 12 m, không lớn hơn 8 m đối với các nhà có chiều cao trên 12 m đến 28 m và không lớn hơn 10 m đối với các nhà có chiều cao trên 28 m.
Trong những trường hợp cần thiết, khoảng cách từ mép đường đến tường ngoài của ngôi nhà và công trình được tăng đến 60 m với điều kiện ngôi nhà và công trình này có các đường cụt vào, kèm theo bãi quay xe chữa cháy và bố trí các trụ nước chữa cháy. Trong trường hợp đó, khoảng cách từ nhà và công trình đến bãi quay xe chữa cháy phải không nhỏ hơn 5 m và không lớn hơn 15 m và khoảng cách giữa các đường cụt không được vượt quá 100 m.
CHÚ THÍCH:
1) Chiều rộng của tòa nhà và công trình lấy theo khoảng cách giữa các trục định vị.
2) Đối với các hồ nước được sử dụng để chữa cháy, cần bố trí lối vào với khoảng sân có kích thước mỗi chiều không nhỏ hơn 12 m.
3) Các trụ nước chữa cháy cần được bố trí dọc đường xe chạy, đảm bảo khoảng cách đến mép đường không lớn hơn 2,5 m và khoảng cách đến tường của tòa nhà không nhỏ hơn 5 m.
5.7. Đối với các nhà có chiều cao lớn hơn hoặc bằng 10 m tính đến diềm mái hoặc mép trên của tường ngoài (tường chắn) phải có các lối ra mái trực tiếp từ các buồng thang bộ hoặc đi qua tầng áp mái, hoặc đi theo cầu thang bộ loại 3, hoặc đi theo thang chữa cháy ngoài nhà.
Số lượng lối ra mái và việc bố trí chúng phải dựa trên tính nguy hiểm cháy theo công năng và các kích thước của ngôi nhà, nhưng không được ít hơn một lối ra:
- Cho mỗi khoảng cách nhỏ hơn hoặc bằng 100 m chiều dài của nhà có tầng áp mái;
- Cho mỗi diện tích nhỏ hơn hoặc bằng 1.000 m2 mái của nhà không có tầng áp mái thuộc các nhóm F 1, F 2, F 3 và F 4;
- Cho mỗi 200 m chu vi của ngôi nhà nhóm F 5 đi theo các thang chữa cháy.
Cho phép không bố trí:
- Các thang chữa cháy tại mặt chính của nhà nếu chiều rộng nhà không quá 150 m và ở phía trước ngôi nhà có tuyến đường ống cấp nước chữa cháy;
- Lối ra mái của các nhà một tầng có diện tích mái không lớn hơn 100 m2.
5.8. Trong các tầng áp mái của nhà, trừ các nhà nhóm F 1.4, phải có các lối ra mái qua các thang cố định và các cửa đi, cửa nắp hoặc cửa sổ có kích thước không nhỏ hơn 0,6 m x 0,8 m.
Các lối ra mái hoặc ra tầng áp mái từ các buồng thang bộ phải được bố trí theo các bản thang có các chiếu thang ở trước lối ra, qua các cửa ngăn cháy loại 2 kích thước không nhỏ hơn 0,75 m x 1,5 m. Các bản thang và chiếu thang nói trên có thể được làm bằng thép nhưng phải có độ dốc (góc nghiêng) không lớn hơn 2 : 1 (63,5o) và chiều rộng không nhỏ hơn 0,7 m.
Trong các nhà nhóm F 1, F 2, F 3 và F 4 cao đến 15 m cho phép bố trí các lối ra tầng áp mái hoặc ra mái từ các buồng thang bộ qua các cửa nắp ngăn cháy loại 2 với kích thước 0,6 m x 0,8 m theo các thang leo bằng thép gắn cố định.
5.9. Trong các tầng kỹ thuật, bao gồm cả các tầng hầm kỹ thuật và các tầng áp mái kỹ thuật, chiều cao thông thuỷ của lối đi phải không nhỏ hơn 1,8 m; trong các tầng áp mái dọc theo toàn bộ ngôi nhà -không nhỏ hơn 1,6 m. Chiều rộng của các lối đi này phải không nhỏ hơn 1,2 m. Trong các đoạn riêng biệt có chiều dài không lớn hơn 2 m cho phép giảm chiều cao của lối đi xuống 1,2 m, còn chiều rộng tối thiểu là 0,9 m.
5.10. Trong các nhà có tầng gác áp mái phải có các cửa nắp trong các kết cấu bao che các hốc của tầng áp mái.
5.11. Tại các điểm chênh lệch độ cao của mái lớn hơn 1 m (trong đó có cả điểm chênh cao để nâng các cửa lấy sáng - thông gió) phải có thang chữa cháy.
Tại khu vực chênh lệch độ cao của mái hơn 10 m, nếu mỗi một phần mái diện tích lớn hơn 100 m2 có cửa ra mái riêng thỏa mãn các yêu cầu của 5.7, hoặc độ cao phần thấp hơn của mái, xác định theo 5.7 không vượt quá 10 m thì cho phép không bố trí thang chữa cháy.
5.12. Phải sử dụng các thang chữa cháy loại P1 để lên độ cao đến 20 m và tại các chỗ chênh lệch độ cao của mái từ 1 m đến 20 m. Phải sử dụng các thang chữa cháy loại P2 để lên độ cao lớn hơn 20 m và tại các chỗ chênh lệch độ cao trên 20 m.
Các thang chữa cháy phải được làm bằng vật liệu không cháy, đặt ở nơi dễ thấy và cách xa cửa sổ không dưới 1 m. Chiều rộng thang 0,7 m. Đối với thang loại P1, từ độ cao 10 m trở lên phải có cung tròn bảo hiểm đường kính 0,35 m, tâm của cung tròn cách thang 0,45 m. Các cung tròn phải được đặt cách nhau 0,7 m, ở nơi ra mái phải đặt chiếu tới có lan can cao ít nhất 0,6 m. Đối với thang P2 phải có tay vịn và có chiếu nghỉ đặt cách nhau không quá 8 m.
5.13. Giữa các bản thang và giữa các lan can tay vịn của bản thang phải có khe hở với chiều rộng thông thủy chiếu trên mặt bằng không nhỏ hơn 100 mm.
5.14. Trong mỗi khoang cháy của các nhà có chiều cao lớn hơn 28 m (trừ nhà nhóm F 1.3) phải bố trí các thang máy đáp ứng yêu cầu để vận chuyển lực lượng và phương tiện chữa cháy.
CHÚ THÍCH: Yêu cầu kỹ thuật cụ thể của thang máy đảm bảo để vận chuyển lực lượng và phương tiện chữa cháy có tiêu chuẩn quy định riêng.
5.15. Trong các nhà có độ dốc mái đến 12%, chiều cao đến diềm mái hoặc mép trên của tường ngoài (tường chắn) lớn hơn 10 m, cũng như trong các nhà có độ dốc mái lớn hơn 12% và chiều cao đến diềm mái lớn hơn 7 m phải có lan can, tay vịn trên mái phù hợp tiêu chuẩn hiện hành. Các lan can, tay vịn loại này cũng phải được bố trí cho các mái phẳng, ban công, lô gia, hành lang bên ngoài, cầu thang bên ngoài loại hở, bản thang bộ và chiếu thang bộ mà không phụ thuộc vào chiều cao nhà.
5.16. Các hệ thống cấp nước chữa cháy cho nhà phải bảo đảm để lực lượng và phương tiện chữa cháy có thể tiếp cận và sử dụng ở mọi thời điểm.
5.17. Việc cấp nước chữa cháy cũng như trang bị và bố trí các phương tiện, dụng cụ chữa cháy chuyên dụng khác cho nhà và công trình phải tuân theo quy định của tiêu chuẩn TCVN 3890 : 2009.
5.18. Phòng trực điều khiển chống cháy.
a) Các nhà cao trên 10 tầng, các nhà công cộng tập trung đông người, gara, nhà sản xuất, kho có diện tích trên 18.000 m2 phải có phòng trực điều khiển chống cháy và có nhân viên có chuyên môn thường xuyên trực tại phòng điều khiển.
b) Phòng trực điều khiển chống cháy phải:
- Có diện tích đủ để bố trí các thiết bị theo yêu cầu phòng chống cháy của nhà nhưng không nhỏ hơn 6 m2;
- Có hai lối ra vào: một lối thông với không gian trống ngoài nhà và một lối thông với hành lang chính để thoát nạn;
- Được ngăn cách với các phần khác của nhà bằng các bộ phận ngăn cháy loại 1;
- Có lắp đặt các thiết bị thông tin và đầu mối của hệ thống báo cháy liên hệ với tất cả các khu vực của ngôi nhà;
- Có bảng theo dõi điều khiển các thiết bị chữa cháy, thiết bị khống chế khói và có sơ đồ mặt bằng bố trí các thiết bị phòng cháy chữa cháy của nhà.
PHỤ LỤC A
GIẢI THÍCH TỪ NGỮ
A.1. An toàn cháy cho nhà, công trình (hạng mục công trình)
Đảm bảo các yêu cầu về tính chất vật liệu và cấu tạo kết cấu xây dựng, về các giải pháp kiến trúc, quy hoạch, các giải pháp kỹ thuật và công nghệ phù hợp với đặc điểm sử dụng của công trình, nhằm ngăn ngừa cháy (phòng cháy), hạn chế lan truyền, đảm bảo dập tắt đám cháy (chống cháy), ngăn chặn các yếu tố nguy hiểm có hại đối với con người, hạn chế đến mức thấp nhất thiệt hại về tài sản khi có cháy xảy ra.
A.2. Bê tông cốt liệu gốc silic
Bê tông được chế tạo với các cốt liệu có tỷ trọng thông thường, có thành phần cấu tạo chủ yếu là Silica (SiO2) hoặc Silicate (muối của axit silic).
A.3. Cấp nguy hiểm cháy của cấu kiện xây dựng (xem 2.3 và Phụ lục B)
Đặc trưng phân nhóm của cấu kiện xây dựng, dựa trên các mức khác nhau của thông số kết quả thí nghiệm gây cháy cho vật liệu cấu thành của cấu kiện xây dựng theo các tiêu chuẩn quy định.
A.4. Cấp nguy hiểm cháy kết cấu của nhà
Cấp nguy hiểm cháy kết cấu của nhà được xác định theo cấp nguy hiểm cháy của các cấu kiện xây dựng chủ yếu của nhà (xem 2.6.3).
A.5. Cường độ cháy
Đại lượng biểu thị tốc độ giải phóng nhiệt lượng của một đám cháy.
A.6. Nhóm nguy hiểm cháy theo công năng
Đặc trưng phân nhóm của nhà (hoặc các phần của nhà) dựa trên đặc điểm sử dụng của chúng và theo các yếu tố có thể đe dọa tới sự an toàn của người trong trường hợp xảy ra cháy, có tính đến các yếu tố tuổi tác, trạng thái thể chất, khả năng có người đang ngủ, … của nhóm người sử dụng theo công năng chính.
A.7. Nhóm nguy hiểm cháy của vật liệu xây dựng (xem 2.2 và Phụ lục B)
Đặc trưng phân nhóm của vật liệu xây dựng, dựa trên các mức khác nhau của thông số kết quả thí nghiệm gây cháy cho vật liệu theo các tiêu chuẩn quy định.
A.8. Khoang cháy
Một phần của ngôi nhà được ngăn cách với các phần khác của ngôi nhà bằng các tường ngăn cháy loại 1.
A.9. Khoang đệm
Không gian chuyển tiếp giữa hai cửa đi, dùng để bảo vệ tránh sự xâm nhập của khí lạnh, của khói, hoặc của các khí khác khi đi vào nhà, vào buồng thang bộ, hoặc vào các gian phòng khác của nhà.
A.10. Khoang đệm ngăn cháy
Khoang đệm có các bộ phận cấu thành có giới hạn chịu lửa đảm bảo yêu cầu quy định (xem 2.4.3).
A.11. Tài liệu chuẩn
Tài liệu đề ra các quy tắc, hướng dẫn hoặc đặc tính đối với những hoạt động hoặc những kết quả của chúng (theo tiêu chuẩn TCVN 6450 : 2007).
CHÚ THÍCH: Thuật ngữ “tài liệu chuẩn” là một thuật ngữ chung bao gồm các tài liệu như các tiêu chuẩn (standards), quy định kỹ thuật (technical specifications), quy phạm thực hành (code of practices) và quy chuẩn (regulation, code).
A.12. Vùng khói
Là một phần của nhà có diện tích không quá 3.000 m2, từ đó các sản phẩm cháy (khói) được hút, xả ra ngoài, đảm bảo việc thoát nạn từ các gian phòng có đám cháy.
A.13. Các định nghĩa và thuật ngữ khác được nêu tại tiêu chuẩn TCVN 5303 : 1990 và tiêu chuẩn TCVN 3991 : 1985.
PHỤ LỤC B
PHÂN LOẠI VẬT LIỆU XÂY DỰNG THEO CÁC ĐẶC TRƯNG CHÁY
B.1. Vật liệu xây dựng được phân thành hai loại: vật liệu cháy và vật liệu không cháy theo các trị số của các thông số thí nghiệm cháy như sau:
a) Vật liệu không cháy, phải đảm bảo trong suốt khoảng thời gian thí nghiệm:
- Mức gia tăng nhiệt độ của lò đốt không quá 50oC;
- Khối lượng mẫu bị giảm không quá 50%;
- Thời gian kéo dài của ngọn lửa không quá 10 giây.
b) Vật liệu cháy là vật liệu khi thí nghiệm, không thỏa mãn một trong 3 yếu tố trên.
CHÚ THÍCH:
1) Các thông số thí nghiệm được xác định theo tiêu chuẩn TCXDVN 331 : 2004([5]) (EN ISO 1182), “Vật liệu xây dựng – Phương pháp thử tính không cháy” hoặc tiêu chuẩn tương đương.
2) Một số vật liệu thực tế sau được xếp vào vật liệu không cháy: Các vật liệu vô cơ nói chung như bê tông, gạch đất sét nung, gốm, kim loại, khối xây và vữa trát, …
B.2. Theo tính cháy, vật liệu cháy được phân thành 4 nhóm, ứng với các thông số cháy thí nghiệm như sau:
Bảng B 1 - Phân nhóm vật liệu cháy theo tính cháy
| Nhóm cháy của vật liệu | Các thông số cháy | |||
| Nhiệt độ khí trong ống thoát khói (ký hiệu T) [oC] | Mức độ hư hỏng làm giảm chiều dài mẫu (ký hiệu L) [%] | Mức độ hư hỏng làm giảm khối lượng mẫu (ký hiệu m) [%] | Khoảng thời gian tự cháy [giây] | |
| Ch1 - Cháy yếu | ≤ 135 | ≤ 65 | ≤ 20 | 0 |
| Ch2 - Cháy vừa phải | ≤ 235 | ≤ 85 | ≤ 50 | ≤ 30 |
| Ch3 - Cháy mạnh vừa | ≤ 450 | > 85 | ≤ 50 | ≤ 300 |
| Ch4 - Cháy mạnh | > 450 | > 85 | > 50 | > 300 |
| CHÚ THÍCH: 1) Các thông số thí nghiệm được xác định theo tiêu chuẩn Việt Nam hiện hành hoặc tiêu chuẩn tương đương về phương pháp thử tính cháy của vật liệu xây dựng. 2) Nếu thí nghiệm theo TCXDVN 331 : 2004, các vật liệu đáp ứng yêu cầu sau cũng được xếp vào nhóm vật liệu cháy yếu: - Mức gia tăng nhiệt độ của lò đốt không quá 50oC; - Khối lượng mẫu bị giảm không quá 50 % và thời gian kéo dài của ngọn lửa không quá 20 giây. | ||||
B.3. Theo tính bắt cháy, vật liệu cháy được phân thành 3 nhóm ứng với các thông số thí nghiệm cháy như sau:
Bảng B 2 - Phân nhóm vật liệu cháy theo tính bắt cháy
| Nhóm bắt cháy của vật liệu | Cường độ thông lượng nhiệt bề mặt tới hạn [kW/m2] |
| BC1 - khó bắt cháy | ≥ 35,0 |
| BC2 - bắt cháy vừa phải | lớn hơn hoặc bằng 20,0 và nhỏ hơn 35,0 |
| BC3 - dễ bắt cháy | <> |
| CHÚ THÍCH: Các thông số thí nghiệm được xác định theo tiêu chuẩn ISO 5657 (Các thử nghiệm phản ứng với lửa – Thử nghiệm tính bắt cháy của vật liệu xây dựng khi chịu tác động của nguồn nhiệt bức xạ) hoặc tiêu chuẩn tương đương. | |
B.4. Theo tính lan truyền lửa trên bề mặt, vật liệu cháy được phân thành 4 nhóm ứng với các thông số thí nghiệm cháy như sau:
Bảng B 3 - Phân nhóm vật liệu cháy theo tính lan truyền lửa trên bề mặt
| Nhóm lan truyền lửa trên bề mặt của vật liệu | Cường độ thông lượng nhiệt bề mặt tới hạn [kW/m2] |
| LT1 - không lan truyền | ≥ 11,0 |
| LT2 - lan truyền yếu | Lớn hơn hoặc bằng 8,0 và nhỏ hơn 11,0 |
| LT3 - lan truyền vừa phải | Lớn hơn hoặc bằng 5,0 và nhỏ hơn 8,0 |
| LT4 - lan truyền mạnh | <> |
| CHÚ THÍCH: Các thông số thí nghiệm được xác định theo tiêu chuẩn ISO 9239 (Các thử nghiệm phản ứng với lửa – Sự lan truyền của ngọn lửa trên bề mặt vật liệu sàn. Xác định các ứng xử cháy khi chịu tác động của nguồn nhiệt bức xạ) hoặc tiêu chuẩn tương đương. | |
B.5. Theo khả năng sinh khói, vật liệu cháy được phân thành 3 nhóm ứng với các thông số thí nghiệm như sau:
Bảng B 4 - Phân nhóm vật liệu cháy theo khả năng sinh khói
| Nhóm theo khả năng sinh khói của vật liệu | Trị số hệ số sinh khói của vật liệu [m2/kG] |
| SK1 - khả năng sinh khói thấp | ≤ 50 |
| SK2 - khả năng sinh khói vừa phải | Lớn hơn 50 và nhỏ hơn hoặc bằng 500 |
| SK3 - khả năng sinh khói cao | > 500 |
| CHÚ THÍCH: Các thông số thí nghiệm được xác định theo tiêu chuẩn ISO 5660 – 2 (Các thử nghiệm phản ứng với lửa – Mức độ giải phóng nhiệt, mức độ sinh khói và mức độ giảm trọng lượng – Phần 2 Mức độ sinh khói) hoặc tiêu chuẩn tương đương. | |
B.6. Theo độc tính, vật liệu cháy được phân thành 4 nhóm ứng với chỉ số độc tính HCL50 của sản phẩm cháy như sau:
Bảng B 5 - Phân nhóm vật liệu cháy theo độc tính
| Nhóm theo độc tính của vật liệu | Chỉ số HCL50 [g/m3], tương ứng với thời gian để lộ | |||
| 5 phút | 15 phút | 30 phút | 60 phút | |
| ĐT1 - Độc tính thấp | > 210 | > 150 | > 120 | > 90 |
| ĐT2 - Độc tính vừa phải | 70 đến 210 | 50 đến 150 | 40 đến 120 | 30 đến 90 |
| ĐT3 - Độc tính cao | 25 đến 70 | 47 đến 50 | 13 đến 40 | 10 đến 30 |
| ĐT4 - Độc tính đặc biệt cao | ≤ 25 | ≤ 47 | ≤ 13 | ≤ 10 |
| CHÚ THÍCH: Các thông số thí nghiệm và tính toán chỉ số HCL50 theo quy định của tiêu chuẩn ISO 13571 (Các yếu tố đe dọa sự sống của đám cháy – Hướng dẫn xác định khoảng thời gian cho phép để thoát nạn từ các số liệu của đám cháy) hoặc tiêu chuẩn tương đương. | ||||
PHỤ LỤC C
PHÂN HẠNG NHÀ VÀ CÁC GIAN PHÒNG THEO TÍNH NGUY HIỂM CHÁY VÀ CHÁY NỔ
C.1. Theo tính nguy hiểm cháy và cháy nổ, nhà và các gian phòng được phân thành các hạng A, B, C1 đến C4, D và E.
C.1.1. Hạng nguy hiểm cháy và cháy nổ của gian phòng được phân như Bảng C 1.
Bảng C 1 - Phân hạng nguy hiểm cháy và cháy nổ đối với gian phòng
| Hạng nguy hiểm cháy của gian phòng | Đặc tính của các chất và vật liệu có (hình thành) trong gian phòng |
| A Nguy hiểm cháy nổ | - Các chất khí cháy, chất lỏng dễ bắt cháy có nhiệt độ bùng cháy không lớn hơn 28oC, với khối lượng có thể tạo thành hỗn hợp khí - hơi nguy hiểm nổ, khi bốc cháy tạo ra áp suất nổ dư tính toán trong gian phòng vượt quá 5 kPa. - Các chất và vật liệu có khả năng nổ và cháy khi tác dụng với nước, với ôxy trong không khí hoặc tác dụng với nhau, với khối lượng để áp suất nổ dư tính toán trong gian phòng vượt quá 5 kPa. |
| B Nguy hiểm cháy nổ | - Các chất bụi hoặc sợi cháy, chất lỏng dễ bắt cháy, có nhiệt độ bùng cháy lớn hơn 28oC, các chất lỏng cháy, và khối lượng có thể tạo thành hỗn hợp khí - bụi hoặc khí - hơi nguy hiểm nổ, khi bốc cháy tạo ra áp suất nổ dư tính toán trong gian phòng vượt quá 5 kPa. |
| C 1 đến C 4 Nguy hiểm cháy | - Các chất lỏng cháy hoặc khó cháy, các chất và vật liệu cháy và khó cháy ở thể rắn (kể cả bụi và sợi), các chất và vật liệu khi tác dụng với nước, với ôxy trong không khí hoặc tác dụng với nhau có khả năng cháy, ở điều kiện gian phòng có các chất và vật liệu này không thuộc các hạng A hoặc B. - Việc chia gian phòng thành các hạng C 1 đến C 4 theo trị số tải trọng cháy riêng của các chất chứa trong nó như sau: C 1 - Có tải trọng cháy riêng lớn hơn 2200 MJ/m2; C 2 - Có tải trọng cháy riêng từ 1401 MJ/m2 đến 2200 MJ/m2; C 3 - Có tải trọng cháy riêng từ 181 MJ/m2 đến 1400 MJ/m2; C 4 - Có tải trọng cháy riêng từ 1 MJ/m2 đến 180 MJ/m2; |
| D | Các chất và vật liệu không cháy ở trạng thái nóng, nóng đỏ hoặc nóng chảy, mà quá trình gia công có kèm theo sự phát sinh bức xạ nhiệt, tia lửa và ngọn lửa; Các chất rắn, lỏng, khí cháy được sử dụng để làm nhiên liệu. |
| E | Các chất và vật liệu không cháy ở trạng thái nguội. |
C.1.2. Hạng nguy hiểm cháy và cháy nổ của nhà
a) Nhà được xếp vào hạng A nếu trong nhà đó tổng diện tích của các gian phòng hạng A vượt quá 5% diện tích của tất cả các gian phòng của nhà, hoặc vượt quá 200 m2.
Cho phép không xếp nhà vào hạng A nếu tổng diện tích của các gian phòng hạng A trong nhà đó không vượt quá 25% tổng diện tích của tất cả các gian phòng của nhà (nhưng không vượt quá 1.000 m2) và các gian phòng hạng A đó đều được trang bị các thiết bị chữa cháy tự động.
b) Nhà được xếp vào hạng B nếu đồng thời thỏa mãn 2 điều kiện sau:
- Nhà không thuộc hạng A;
- Tổng diện tích của các gian phòng hạng A và B vượt quá 5% tổng diện tích của tất cả các gian phòng của nhà hoặc vượt quá 200 m2.
Cho phép không xếp nhà vào hạng B nếu tổng diện tích của các gian phòng hạng A và B trong nhà đó không vượt quá 25% tổng diện tích của tất cả các gian phòng của nhà (nhưng không vượt quá 1.000 m2) và các gian phòng hạng A và B đó đều được trang bị các thiết bị chữa cháy tự động.
c) Nhà được xếp vào hạng C nếu đồng thời thỏa mãn 2 điều kiện sau:
- Nhà không thuộc hạng A hoặc B;
- Tổng diện tích của các gian phòng hạng A, B và C vượt quá 5% (10%, nếu trong nhà không có hạng A và B) tổng diện tích của tất cả các gian phòng của nhà.
Cho phép không xếp nhà vào hạng C nếu tổng diện tích của các gian phòng hạng A, B và C trong nhà đó không vượt quá 25% tổng diện tích của tất cả các gian phòng của nhà (nhưng không vượt quá 3.500 m2) và các gian phòng đó đều được trang bị các thiết bị chữa cháy tự động.
d) Nhà được xếp vào hạng D nếu đồng thời thỏa mãn 2 điều kiện sau:
- Nhà không thuộc hạng A, B và C;
- Tổng diện tích của các gian phòng hạng A, B, C và D vượt quá 5% tổng diện tích của tất cả các gian phòng của nhà.
Cho phép không xếp nhà vào hạng D nếu tổng diện tích của các gian phòng hạng A, B, C và D trong nhà đó không vượt quá 25% tổng diện tích của tất cả các gian phòng của nhà (nhưng không vượt quá 5.000 m2) và các gian phòng hạng A, B, C đều được trang bị các thiết bị chữa cháy tự động.
e) Nhà được xếp vào hạng E nếu nó không thuộc các hạng A, B, C hoặc D.
C.2. Một số nhà và gian phòng thuộc các phân xưởng, nhà kho, bộ phận sản xuất được phép phân hạng nguy hiểm cháy và cháy nổ như sau:
a) Hạng A
- Phân xưởng chế tạo và sử dụng Natri và Kali;
- Phân xưởng nhà máy làm sợi nhân tạo, cao su nhân tạo;
- Phân xưởng sản xuất xăng, dầu;
- Phân xưởng Hydro hóa chưng cất và phân chia khí;
- Phân xưởng sản xuất nhiên liệu lỏng nhân tạo, thu hồi và chưng cất các chất lỏng hòa tan hữu cơ với nhiệt độ bùng cháy ở thể hơi từ 28oC trở xuống;
- Kho chứa bình đựng hơi đốt, kho xăng;
- Các căn phòng chứa ắc quy kiềm và axit của nhà máy điện;
- Các trạm bơm chất lỏng có nhiệt độ bắt cháy ở thể hơi từ 28oC trở xuống.
b) Hạng B
- Phân xưởng sản xuất và vận chuyển than cám, mùn cưa, những trạm tẩy rửa các thùng dầu madút và các chất lỏng khác có nhiệt độ bùng cháy ở thể hơi từ 28oC đến 61oC;
Gian nghiền và xay cán chất rắn, phân xưởng chế biến cao su nhân tạo, phân xưởng sản xuất đường, những kho chứa dầu madút của nhà máy điện, những trạm bơm chất lỏng có nhiệt độ bùng cháy ở thể hơi từ 28oC đến 61oC.
c) Hạng C
- Phân xưởng xẻ gỗ, Phân xưởng làm đồ mỹ thuật bằng gỗ;
- Phân xưởng dệt và may mặc;
- Phân xưởng công nghiệp giấy với quá trình sản xuất khô;
- Xí nghiệp chế biến sơ bộ sợi bông, gai đay và những chất sợi khác;
- Những bộ phận sàng, sẩy hạt của các nhà máy xay và kho chứa hạt;
- Phân xưởng tái sinh dầu mỡ, chưng cất nhựa đường, những kho chứa vật liệu cháy và dầu mỡ;
- Những thiết bị phân phối điện có máy ngắt điện và thiết bị điện với lượng dầu mỡ lớn hơn 60 kg cho một đơn vị thiết bị;
- Cầu vượt, hành lang dùng để vận chuyển than đá, than bùn;
- Kho kín chứa than, những kho hàng hỗn hợp, những trạm bơm chất lỏng có nhiệt độ bùng cháy của hơi trên 61oC.
d) Hạng D
- Phân xưởng đúc và luyện kim, Phân xưởng rèn, hàn;
- Trạm sửa chữa đầu máy xe lửa;
- Phân xưởng cán nóng kim loại, gia công kim loại bằng nhiệt;
- Những gian nhà đặt động cơ đốt trong;
- Phòng thí nghiệm điện cao thế;
- Nhà chính của nhà máy điện (gian lò, gian tuốc bin, …);
- Trạm nồi hơi.
e) Hạng E
- Phân xưởng cơ khí gia công nguội kim loại (trừ hợp kim Magiê);
- Sân chứa liệu (quặng);
- Xưởng sản xuất xút (trừ bộ phận lò);
- Trạm quạt gió, trạm máy ép không khí và các chất khí không cháy;
- Phân xưởng tái sinh axít;
- Trạm sửa chữa xe điện và đầu máy xe điện;
- Phân xưởng dập, khuôn và cán nguội các khoáng chất quặng Amiăng, muối và các nguyên liệu không cháy khác;
Phân xưởng thuộc công nghiệp dệt và giấy có quá trình sản xuất ướt;
- Phân xưởng chế biến thực phẩm, cá, thịt, sữa;
- Trạm điều khiển điện;
- Công trình làm sạch nước (lắng, lọc, tẩy, …);
- Trạm bơm và hút nước của nhà máy điện;
- Bộ phận chứa Axit Cacbonic và Clo, các tháp làm lạnh, những trạm bơm chất lỏng không cháy.
PHỤ LỤC D
CÁC QUY ĐỊNH BẢO VỆ CHỐNG KHÓI CHO NHÀ VÀ CÔNG TRÌNH
D.1. Việc bảo vệ chống khói cho nhà và công trình để đảm bảo an toàn cho người thoát khỏi ngôi nhà khi xảy ra cháy. Hệ thống chống khói phải độc lập cho từng khoang cháy. Việc bảo vệ chống khói cho nhà và công trình bao gồm hút xả khói (bao gồm cả các sản phẩm cháy) và cấp không khí vào.
D.2. Việc hút khói phải được thực hiện từ các khu vực sau:
a) Từ các hành lang và sảnh của các nhà ở, công trình công cộng, các nhà hành chính – sinh hoạt, các nhà đa năng có chiều cao lớn hơn 28 m. Chiều cao của nhà được xác định theo 1.1.6;
b) Từ các hành lang của tầng hầm, tầng nửa hầm không có chiếu sáng tự nhiên của các nhà ở, công trình công cộng, nhà hành chính – sinh hoạt, nhà sản xuất và nhà đa năng khi các hành lang này thường xuyên có người;
c) Từ các hành lang có chiều dài lớn hơn 15 m không có chiếu sáng tự nhiên của các nhà sản xuất, nhà kho hạng A, B và C từ 2 tầng trở lên, cũng như của các công trình công cộng và nhà đa năng từ 6 tầng trở lên;
d) Từ các hành lang và sảnh chung sử dụng các buồng thang bộ không nhiễm khói của các nhà công năng khác nhau;
e) Từ các hành lang không có chiếu sáng tự nhiên của nhà ở có khoảng cách từ cửa căn hộ xa nhất tới cửa buồng thang bộ hoặc khoang đệm dẫn vào vùng không khí ngoài trời của thang loại N1 lớn hơn 12 m;
f) Từ các sảnh thông tầng của nhà có chiều cao lớn hơn 28 m, cũng như từ các sảnh thông tầng có chiều cao lớn hơn 15 m và từ các hành lang có cửa đi hoặc ban công mở thông với không gian của sảnh thông tầng trên;
g) Từ các buồng thang bộ loại L2 có cửa trời tự động mở khi có cháy ở các cơ sở chữa bệnh nội trú;
h) Từ mọi gian phòng sản xuất hoặc kho chứa thuộc các hạng A, B, hoặc C, D hoặc E trong các nhà có bậc chịu lửa IV, có chỗ làm việc ổn định không có chiếu sáng tự nhiên hoặc có chiếu sáng tự nhiên qua cửa sổ hoặc cửa trời, nhưng không có dẫn động cơ khí để mở các lỗ thông thoáng của cửa sổ (ở cao độ bằng và lớn hơn 2,2 m tính từ mặt sàn đến mép dưới của lỗ cửa) và mở các lỗ thông ở cửa mái (trong cả hai trường hợp, diện tích các lỗ phải đủ để thoát khói khi có cháy);
i) Từ mọi gian phòng không có chiếu sáng tự nhiên sau:
- Các gian phòng công cộng hoặc hành chính – sinh hoạt, có tập trung đông người;
- Các gian phòng với diện tích bằng hoặc lớn hơn 50 m2, có người làm việc, dùng để cất giữ hoặc sử dụng các chất và vật liệu cháy;
- Các gian bán hàng;
- Các phòng thay, gửi đồ (quần áo) có diện tích bằng hoặc lớn hơn 200 m2.
Cho phép hút khói từ các gian phòng sản xuất hạng C có diện tích nhỏ hơn hoặc bằng 200 m2 qua các hành lang bên cạnh.
D.3. Việc hút khói không cần áp dụng cho:
a) Các gian phòng có diện tích tới 200 m2, được trang bị các thiết bị chữa cháy tự động bằng nước hoặc bọt (trừ các gian phòng hạng A và B);
b) Các gian phòng được trang bị thiết bị chữa cháy tự động bằng khí hoặc bột;
c) Các hành lang hoặc sảnh, khi các gian phòng có cửa đi vào hành lang hoặc sảnh này đã được thoát khói trực tiếp.
CHÚ THÍCH: Không cần có thoát khói riêng cho các gian phòng khác có diện tích nhỏ hơn hoặc bằng 50 m2, khi chúng nằm trong căn phòng chính, mà ở đó đã lắp đặt hệ thống thoát khói.
D.4. Lưu lượng hút khói phải được xác định bằng tính toán trong những trường hợp sau:
a) Từ các hành lang nêu trong D.2 a), b), c), d), e) – cho mỗi đoạn chiều dài không lớn hơn 45 m;
b) Từ các gian phòng nêu trong D.2 f), g), h), i) – cho mỗi vùng khói có diện tích không lớn hơn 3.000 m2.
CHÚ THÍCH: Việc tính toán lưu lượng hút khói phải theo các tiêu chuẩn kỹ thuật hiện hành, có xét đến tải trọng cháy, nhiệt độ, các sản phẩm cháy được tạo ra, các thông số của không khí bên ngoài, đặc trưng hình học và vị trí của các lỗ mở;
D.5. Thiết kế hệ thống hút khói bảo vệ các hành lang phải riêng biệt với hệ thống hút khói để bảo vệ các phòng.
D.6. Cửa thu khói của các giếng hút khói để hút khói từ các hành lang phải đặt ở dưới trần của hành lang và phải thấp hơn dạ cửa. Cho phép đặt các cửa thu khói trên các ống nhánh dẫn vào giếng hút khói. Chiều dài hành lang cần lắp một cửa thu khói không được lớn hơn 45 m.
D.7. Khi hút khói trực tiếp từ các gian phòng có diện tích lớn hơn 3.000 m2 thì phải chia thành các vùng khói có diện tích không lớn hơn 3.000 m2 và phải tính đến khả năng xảy ra cháy ở một trong các vùng đó. Mỗi cửa thu khói chỉ được tính phục vụ cho một diện tích không quá 1.000 m2.
D.8. Việc thoát khói trực tiếp cho các gian phòng của nhà 1 tầng phải bao gồm cả thoát khói tự nhiên qua các ống có van, cửa nắp hoặc các ô lấy sáng không bịt kín.
Từ các vùng gần cửa sổ, với chiều rộng tới 15 m, cho phép thoát khói qua các lỗ cửa nhỏ của cửa sổ (cửa chớp) mà cạnh dưới của lỗ cửa ở độ cao không nhỏ hơn 2,2 m tính từ mặt nền. Trong các nhà nhiều tầng phải có hệ thống thoát khói cưỡng bức dạng cơ khí.
D.9. Các đường ống và thiết bị của hệ thống hút khói phải được làm từ vật liệu không cháy, có giới hạn chịu lửa phù hợp yêu cầu của tiêu chuẩn liên quan hiện hành. Khi ống dẫn khói xuyên qua các bộ phận ngăn cháy của khoang cháy phải có các van ngăn cháy.
Khói và sản phẩm cháy phải được xả ở bên ngoài nhà và công trình, điểm xả khói phải cách miệng lấy không khí của hệ thống cấp không khí ít nhất là 5 m. Miệng xả khói vào không khí phải đảm bảo khoảng cách đến các bề mặt làm bằng vật liệu cháy và các lỗ mở khác theo quy định của tiêu chuẩn thiết kế chuyên ngành.
Cho phép xả khói từ các ống hút khói từ tầng hầm và tầng nửa hầm qua các khoang được thông gió. Trong trường hợp này, miệng xả khói phải được đặt cách nền của khoang thông gió ít nhất là 6 m (cách kết cấu của một ngôi nhà ít nhất là 3 m theo chiều đứng và 1 m theo chiều ngang) hoặc đối với thiết bị xả dạng ướt phải cách mặt sàn ít nhất là 3 m. Không lắp các van khói trên những ống này.
D.10. Việc bảo vệ chống khói phải cung cấp không khí từ bên ngoài vào các khu vực sau:
a) Trong giếng thang máy (khi không thể hỗ trợ cấp khí các khoang đệm trong điều kiện có cháy) ở những nhà có buồng thang không nhiễm khói;
b) Trong giếng thang máy ở chế độ “chuyên chở lực lượng chữa cháy”;
c) Trong các cầu thang bộ không nhiễm khói loại N2;
d) Trong các khoang đệm của cầu thang bộ không nhiễm khói loại N3;
e) Trong các khoang đệm trước thang máy (bao gồm cả thang máy) trong các tầng hầm và tầng nửa hầm;
f) Các khoang đệm ở cầu thang bộ loại 2, dẫn đến các gian phòng của tầng 1 của tầng hầm hoặc tầng nửa hầm, trong các phòng có sử dụng hoặc cất giữ các vật chất và vật liệu cháy. Trong các khoang đệm ở các gian xưởng luyện, đúc, cán và các gian gia công nhiệt khác cho phép cấp không khí vào từ các gian thông khí của nhà;
g) Trong các khoang đệm ở lối vào sảnh kín và hành lang từ các tầng hầm và tầng nửa hầm của sảnh kín và hành lang theo D.2 f).
D.11. Lưu lượng cấp không khí dùng để bảo vệ chống khói cần được tính toán để đảm bảo áp suất không khí không thấp hơn 20 Pa ở các vị trí sau:
a) Phần dưới của giếng thang máy khi các cửa vào giếng thang máy đều đóng kín ở tất cả các tầng (trừ tầng dưới);
b) Phần dưới của mọi khoang của buồng thang bộ không nhiễm khói loại N2, khi các cửa trên đường thoát nạn từ các hành lang và sảnh trên tầng có cháy vào buồng thang bộ và từ ngôi nhà ra bên ngoài để mở, khi các cửa từ các hành lang và sảnh trên tất cả các tầng còn lại đều đóng kín;
c) Các khoang đệm trên tầng có cháy trong các nhà có buồng thang bộ không nhiễm khói loại N3, khi lối vào hành lang hoặc sảnh tại các tầng hầm, phòng chờ thang máy và các khoang đệm trước thang máy có một cửa mở, còn ở tất cả những tầng khác cửa đều đóng.
Lưu lượng cấp không khí vào khoang đệm trên một cửa mở phải được tính toán trong điều kiện gió thổi qua cửa có tốc độ trung bình (nhưng không thấp hơn 1,3 m/s), và phải tính đến hiệu ứng tổ hợp của việc thổi khói ra ngoài. Lưu lượng cấp không khí vào một khoang đệm kín phải xét đến lượng khí bị thất thoát ra ngoài từ những lỗ hổng của cửa.
Độ dư của áp suất không khí phải được so sánh với không gian liền kề với gian phòng được bảo vệ.
D.12. Khi tính toán các thông số của hệ thống cấp không khí vào phải kể đến:
a) Độ dư của áp suất không khí không thấp hơn 20 Pa và không lớn hơn 50 Pa - ở các giếng thang máy, ở các cầu thang bộ không nhiễm khói loại N2, ở các khoang đệm của cầu thang bộ không nhiễm khói loại N3 trong các không gian liền kề (hành lang, sảnh);
b) Các cửa hai cánh có diện tích lớn;
c) Các buồng thang máy thông với chiếu tới của thang bộ và khi các cửa thang máy ở tầng đang xét để mở.
D.13. Các đường ống và thiết bị của hệ thống cấp không khí vào phải được làm từ vật liệu không cháy, có giới hạn chịu lửa phù hợp yêu cầu của tiêu chuẩn liên quan hiện hành.
PHỤ LỤC E
YÊU CẦU VỀ KHOẢNG CÁCH PHÒNG CHÁY CHỐNG CHÁY GIỮA CÁC NHÀ VÀ CÔNG TRÌNH
E.1. Đối với nhà ở, công trình công cộng và nhà phụ trợ của các cơ sở công nghiệp
Khoảng cách phòng cháy chống cháy (PCCC) giữa các nhà ở, công trình công cộng và nhà phụ trợ của các cơ sở công nghiệp lấy theo Bảng E 1.
Khoảng cách PCCC từ nhà ở, công trình công cộng, nhà phụ trợ có bậc chịu lửa I và II đến các ngôi nhà sản xuất và gara có bậc chịu lửa I và II phải không nhỏ hơn 9 m; đến các ngôi nhà sản xuất có mái với lớp cách nhiệt bằng chất liệu Polyme hoặc vật liệu cháy phải không nhỏ hơn 15 m.
Bảng E 1 - Khoảng cách PCCC giữa các nhà ở, công trình công cộng và nhà phụ trợ của các cơ sở công nghiệp
| Bậc chịu lửa của ngôi nhà thứ nhất | Khoảng cách (m) đến ngôi nhà thứ hai có bậc chịu lửa | ||
| I, II | III | IV, V | |
| I, II | 6 | 8 | 10 |
| III | 8 | 8 | 10 |
| IV, V | 10 | 10 | 15 |
| CHÚ THÍCH: 1) Khoảng cách giữa các ngôi nhà và công trình là khoảng cách thông thủy giữa các bức tường hoặc các kết cấu bên ngoài của chúng. Trong trường hợp các kết cấu của ngôi nhà hoặc công trình làm bằng những vật liệu cháy lồi ra hơn 1 m thì phải lấy khoảng cách giữa các kết cấu này. 2) Khoảng cách giữa các bức tường không có lỗ cửa sổ cho phép lấy nhỏ hơn 20% ngoại trừ các ngôi nhà có bậc chịu lửa IV và V. 3) Đối với các nhà 2 tầng có kết cấu khung và tấm với bậc chịu lửa V, cũng như các nhà được lợp bằng vật liệu cháy thì khoảng cách PCCC cần phải tăng thêm 20%. 4) Khoảng cách giữa các ngôi nhà có bậc chịu lửa I và II được phép nhỏ hơn 6 m, nếu các bức tường của ngôi nhà cao hơn nằm đối diện với ngôi nhà khác là các tường ngăn cháy. 5) Không quy định khoảng cách giữa các nhà ở, cũng như giữa các nhà ở và các công trình phục vụ sinh hoạt khác khi tổng diện tích đất xây dựng (gồm cả diện tích đất không xây dựng giữa chúng) không vượt quá diện tích tầng cho phép lớn nhất trong phạm vi của một khoang cháy (xem Phụ lục H, nhà nhóm F.1, F.2). | |||
E.2. Đối với các nhà và công trình công nghiệp
Khoảng cách PCCC giữa các nhà và các công trình công nghiệp phụ thuộc vào bậc chịu lửa và hạng sản xuất của chúng phải không nhỏ hơn giá trị trong Bảng E 2.
Bảng E 2 - Khoảng cách PCCC giữa các nhà và công trình công nghiệp
| Bậc chịu lửa của ngôi nhà thứ nhất | Khoảng cách (m) đến ngôi nhà thứ hai có bậc chịu lửa | ||
| I, II | III | IV, V | |
| I, II | - Đối với các nhà và công trình thuộc hạng sản xuất D và E: không quy định. - Đối với nhà và công trình thuộc hạng sản xuất A, B và C: 9 m (xem thêm Chú thích 3). | 9 | 12 |
| III | 9 | 12 | 15 |
| IV và V | 12 | 15 | 18 |
| CHÚ THÍCH: 1) Khoảng cách nhỏ nhất giữa các ngôi nhà và công trình là khoảng cách thông thủy giữa các bức tường hoặc kết cấu bên ngoài của chúng. Trong trường hợp ngôi nhà hoặc công trình có phần kết cấu làm bằng những vật liệu cháy lồi ra hơn 1 m thì khoảng cách nhỏ nhất phải lấy là khoảng cách giữa các kết cấu này. 2) Không quy định khoảng cách giữa các ngôi nhà sản xuất và công trình công nghiệp trong những trường hợp sau: a) Nếu tổng diện tích mặt sàn của từ 2 ngôi nhà trở lên có bậc chịu lửa III, IV không vượt quá diện tích cho phép tầng lớn nhất trong phạm vi một khoang cháy (Phụ lục H); b) Nếu như tường của ngôi nhà hay công trình cao hơn hoặc rộng hơn, quay về phía một công trình khác là bức tường ngăn cháy; c) Nếu các ngôi nhà và công trình có bậc chịu lửa III không phụ thuộc vào độ nguy hiểm cháy theo hạng sản xuất của chúng có các bức tường đứng đối diện là tường đặc hoặc tường có lỗ được xây kín bằng gạch block kính (hoặc kính có cốt) với giới hạn chịu lửa không nhỏ hơn 1 giờ. 3) Khoảng cách đã cho đối với những ngôi nhà và công trình có bậc chịu lửa I, II, thuộc hạng sản xuất A, B, C, được giảm từ 9 m xuống còn 6 m khi đáp ứng một trong những điều kiện sau: a) Ngôi nhà và công trình được trang bị hệ thống chữa cháy tự động; b) Tải trọng riêng làm bằng các chất cháy trong các ngôi nhà thuộc hạng sản xuất C nhỏ hơn hoặc bằng 10 kg tính trên 1 m2 diện tích tầng. | |||
E.3. Các trường hợp khoảng cách PCCC được lấy nhỏ hơn quy định
Khoảng cách PCCC từ một ngôi nhà đến các ngôi nhà và công trình xung quanh, có thể lấy nhỏ hơn các quy định nêu trong mục E.1 (Bảng E 1) và trong mục E.2 (Bảng E 2) khi được sự chấp thuận của cơ quan PCCC có thẩm quyền và thực hiện theo các quy định sau:
a) Khoảng cách PCCC của ngôi nhà được xác định trong trường hợp này là khoảng cách từ ngôi nhà đến đường ranh giới khu đất của ngôi nhà (không phải khoảng cách đến một ngôi nhà khác ở khu đất bên cạnh);
GHI CHÚ: Đường ranh giới khu đất của ngôi nhà có thể là đường nằm trùng hoặc song song với một cạnh của ngôi nhà hoặc hợp với một cạnh của ngôi nhà một góc nhỏ hơn 80o.
b) Cho phép tường ngoài của ngôi nhà cách đường ranh giới khu đất của nhà trong phạm vi từ 0 mét đến nhỏ hơn 1,0 m; với các điều kiện sau:
+ Tường ngoài phải là tường ngăn cháy loại 1 (REI 150) đối với nhà có bậc chịu lửa I và II; và là tường ngăn cháy loại 2 (REI 60) đối với nhà có bậc chịu lửa III và IV;
+ Bề mặt ngoài của tường ngoài không được sử dụng các vật liệu có tính nguy hiểm cháy cao hơn các nhóm Ch1 và LT1.
c) Nếu tường ngoài của ngôi nhà cách đường ranh giới khu đất của nhà một khoảng lớn hơn 1,0 m thì cho phép bố trí, cấu tạo một số phần diện tích của bề mặt tường ngoài có tính chịu lửa thấp hơn yêu cầu đối với một tường ngăn cháy và được gọi là phần diện tích không được bảo vệ chống cháy của tường. Diện tích cho phép lớn nhất của phần không được bảo vệ chống cháy của tường ngoài được quy định phụ thuộc vào khoảng cách của tường ngoài đó đến đường ranh giới khu đất của nhà, và được cho trong Bảng E 3.
CHÚ THÍCH: Phần không được bảo vệ chống cháy của tường ngoài thường là các phần sau:
- Các cửa (cửa đi, cửa sổ,...) không đáp ứng yêu cầu là các cửa ngăn cháy trong tường ngăn cháy;
- Các phần tường có giới hạn chịu lửa thấp hơn giới hạn chịu lửa của tường ngăn cháy tương ứng;
- Các phần tường mà bề mặt ngoài có sử dụng các vật liệu có tính nguy hiểm cháy bằng và cao hơn các nhóm Ch2 và LT2.
Bảng E 3 - Khoảng cách từ tường ngoài của nhà (hoặc khoang cháy) đến đường ranh giới khu đất xác định theo diện tích vùng bề mặt không được bảo vệ chống cháy của tường đó
| Khoảng cách nhỏ nhất giữa mặt bên của ngôi nhà tới đường ranh giới khu đất (m) | Tỷ lệ % diện tích lớn nhất của các vùng bề mặt không được bảo vệ chống cháy so với tổng diện tích bề mặt tường đối diện với ranh giới khu đất | |
| Nhà ở, công trình công cộng, nhà phụ trợ của các cơ sở công nghiệp | Nhà và công trình công nghiệp, nhà kho | |
| 1,0 | 1,0 | 4,0 |
| 1,5 | 2,0 | 8,0 |
| 3,0 | 4,0 | 20,0 |
| 6,0 | 8,0 | 40,0 |
| CHÚ THÍCH: 1) Khi tính toán xác định diện tích lớn nhất của bề mặt không được bảo vệ chống cháy của tường ngoài, có thể bỏ qua không tính các vùng sau: - Vùng có diện tích nhỏ hơn 1 m2 và khoảng cách đến bất kì một vùng không được bảo vệ chống cháy khác phải không nhỏ hơn 4 m; - Vùng không được bảo vệ chống cháy có diện tích nhỏ hơn 0,1 m2 và khoảng cách đến bất kỳ một vùng không được bảo vệ chống cháy khác phải không nhỏ hơn 1,5 m; - Vùng tường ngoài của một cầu thang bộ có buồng thang và các tường bên trong của buồng thang đảm bảo yêu cầu ngăn cháy tương ứng với bậc chịu lửa của nhà; - Vùng bề mặt ngoài của tường ngoài có sử dụng vật liệu với tính nguy hiểm cháy bằng và cao hơn các nhóm Ch2 và LT2 thì diện tích không được bảo vê chống cháy được lấy bằng 1/2 diện tích của vùng đó. 2) Các giá trị trung gian có thể xác định bằng cách nội suy. | ||
PHỤ LỤC F
GIỚI HẠN CHỊU LỬA DANH ĐỊNH CỦA MỘT SỐ CẤU KIỆN KẾT CẤU
F.1. Cấu kiện tường
Bảng F 1 - Tường xây hoặc tường bê tông
| TT | Kết cấu và vật liệu | Chiều dày nhỏ nhất không kể lớp trát (mm) để đảm bảo giới hạn chịu lửa | |||||||||||
| Cho cấu kiện chịu lực | Cho cấu kiện không chịu lực | ||||||||||||
| REI 240 | REI 180 | REI 120 | REI 90 | REI 60 | REI 30 | EI 240 | EI 180 | EI 120 | EI 90 | EI 60 | EI 30 | ||
| (1) | (2) | (3) | (4) | (5) | (6) | (7) | (8) | (9) | (10) | (11) | (12) | (13) | (14) |
| 1 | Bê tông cốt thép, có chiều dày lớp bê tông bảo vệ nhỏ nhất của cốt thép chịu lực chính là 25 mm a) Không trát b) Trát Ximăng cát dày 12,5 mm c) Trát thạch cao – cát dày 12,5 mm d) Trát thạch cao – Vermiculite dày 12,5 mm |
180
|
-
|
100
|
100
|
75
|
75
|
|
|
|
|
|
|
| 2 | Bê tông cốt liệu Cấp 2(c), không mịn a) Trát Ximăng cát dày 13 mm b) Trát thạch cao – cát dày 13 mm c) Trát thạch cao - Vermiculite dày 13 mm |
|
|
|
|
|
|
|
|
|
|
|
|
| 3 | Tường gạch đất sét nung, bê tông hoặc vôi - cát a) Không trát b) Trát Ximăng cát dày 13 mm c) Trát thạch cao – cát dày 13 mm |
200
|
200
|
100
|
100
|
100
|
100
|
170
|
170
|
100
|
100
|
75
|
75
|
|
| d) Trát thạch cao – Vermiculite hoặc thạch cao – perlite (a) dày 13 mm | 100 | - | 100 | 100 | 100 | 100 | 100 | - | 100 | 100 | 75 | 75 |
| 4 | Tường Block bê tông cốt liệu Cấp 1(b) a) Không trát b) Trát Ximăng cát dày 12,5 mm c) Trát thạch cao – cát dày 12,5 mm d) Trát thạch cao – Vermiculite 12,5 mm |
150
|
-
|
100
|
100
|
100
|
100
|
100
|
-
|
75
|
75
|
75
|
50
|
| 5 | Tường Block bê tông cốt liệu Cấp 2(c) a) Không trát b) Trát Ximăng cát dày 12,5 mm c) Trát thạch cao – cát dày 12,5 mm d) Trát thạch cao – Vermiculite 12,5 mm |
-
|
-
|
100
|
100
|
100
|
100
|
150
|
-
|
100
|
100
|
75
|
50
|
| 6 | Tường Block bê tông xốp chưng áp có khối lượng thể tích từ 475 kG/m3 đến 1.200 kG/m3 | 180 | 140 | 100 | 100 | 100 | 100 | 100 | - | 62 | 62 | 50 | 50 |
| 7 | Tường bê tông lỗ, có 1 lõi rỗng nằm trong chiều dày tường, cốt liệu Cấp 1(b) a) Không trát b) Trát Ximăng cát dày 12,5 mm c) Trát thạch cao – cát dày 12,5 mm |
-
-
- |
-
-
- |
100
100
100 |
100
100
100 |
100
100
100 |
100
100
100 |
150
150
150 |
-
-
- |
100
100
100 |
100
75
75 |
75
75
75 |
75
75
75 |
|
| d) Trát thạch cao – Vermiculite 12,5 mm | - | - | 100 | 100 | 100 | 100 | 100 | - | 75 | 75 | 75 | 62 |
| 8 | Tường bê tông lỗ, có 1 lõi rỗng nằm trong chiều dày tường, cốt liệu Cấp 2(c) a) Không trát b) Trát Ximăng cát dày 12,5 mm c) Trát thạch cao – cát dày 12,5 mm d) Trát thạch cao – Vermiculite 12,5 mm |
-
-
-
- |
-
-
-
- |
-
-
-
- |
-
-
-
- |
-
-
-
- |
-
-
-
- |
150
150
150
125 |
-
-
-
- |
150
150
150
100 |
125
125
125
100 |
125
125
125
100 |
125
100
100
75 |
| 9 | Tường gạch lỗ đất sét nung với tỷ lệ phần đặc lớn hơn 50% a) Trát Ximăng cát dày 12,5 mm b) Trát thạch cao – cát dày 12,5 mm c) Trát thạch cao – Vermiculite 12,5 mm |
-
-
- |
-
-
- |
-
-
- |
-
-
- |
-
-
- |
-
-
- |
-
-
200 |
- |
100 |
-
-
100 |
100
100
100 |
75
75
62 |
| 10 | Tường rỗng có lớp tường ngoài xây bằng gạch nung hoặc block đất sét với chiều dày không nhỏ hơn 100 mm và lớp tường trong như sau: a) Xây bằng gạch hoặc block đất sét nung, hỗn hợp, bê tông hoặc vôi - cát b) Xây bằng gạch hoặc viên bê tông đặc hoặc lỗ, cốt liệu Cấp 1(b) |
100
100 |
100
100 |
100
100 |
100
100 |
100
100 |
100
100 |
75
75 |
-
- |
75
75 |
75
75 |
75
75 |
75
75 |
| 11 | Tường rỗng với lớp tường ngoài xây bằng block đất sét nung có lỗ như mục 9 ở trên và lớp tường trong xây bằng viên bê tông xốp hấp hơi có khối lượng thể tích từ 480 kG/m3 đến 1.200 kG/m3 | 150 | 140 | 100 | 100 | 100 | 100 | 75 | 75 | 75 | 75 | 75 | 75 |
| CHÚ THÍCH: (a) Chỉ áp dụng trát perlite - thạch cao vào gạch đất sét nung. (b) “Cốt liệu Cấp 1” có nghĩa là: xỉ bọt, đá bọt, xỉ lò cao, viên tro bay, gạch vỡ và các sản phẩm đất sét nung (bao gồm cả viên gạch phồng), clinker nung già và đá vôi nghiền. (c) “Cốt liệu Cấp 2” có nghĩa là: sỏi cuội, đá granite và tất cả các dạng đá nghiền tự nhiên khác ngoài đá vôi. | |||||||||||||
Bảng F 2 - Kết cấu vách (không chịu lực)
| TT | Kết cấu và vật liệu | Giới hạn chịu lửa |
| (1) | (2) | (3) |
| 1 | Vách khung xương thép có lớp phủ bên ngoài dày 16 mm trên Lati thép và ốp bên trong bằng block bê tông xốp hấp hơi có khối lượng thể tích từ 480 đến 1.120 kG/m3 và chiều dày bằng: 50 mm 62 mm 75 mm |
EI 180 EI 240 |
| 2 | Vách khung xương thép có lớp phủ bên ngoài bằng block bê tông dày 100 mm và ốp bên trong bằng vữa thạch cao dày 16 mm trên Lati thép | EI 240 |
| 3 | Vách khung xương thép có lớp phủ bên ngoài dày 16 mm trên Lati thép và ốp bên trong bằng bằng vữa thạch cao dày 16 mm trên Lati thép | EI 60 |
| 4 | Khung xương thép hoặc gỗ với vật liệu hoàn thiện trên hai mặt bằng a) Vữa thạch cao hoặc ximăng cát trên Lati thép với chiều dày bằng 19 mm 12,5 mm b) Vữa thạch cao – Vermiculite hoặc thạch cao – Perlite trên Lati thép với chiều dày bằng 25 mm 19 mm 12,5 mm c) Tấm ốp hoàn thiện dày 9,5 mm có lớp trát thạch cao dày 5 mm |
EI 60 EI 30
EI 90 EI 60 EI 30 |
|
| d) Tấm ốp hoàn thiện dày 9,5 mm có lớp trát thạch cao - Vermiculite chiều dày bằng: 25 mm 16 mm 10 mm 5 mm e) Tấm ốp hoàn thiện dày 12,5 mm Không trát Có lớp trát thạch cao dày 12,5 mm f) Tấm ốp hoàn thiện dày 12,5 mm có lớp trát thạch cao - Vermiculite chiều dày bằng: 25 mm 16 mm 10 mm g) Tấm ốp hoàn thiện dày 19 mm (hoặc gồm hai lớp dày 9,5 mm cố định tại các mép cắt) không có lớp trát ngoài h) Tấm ốp hoàn thiện dày 19 mm cho hai lớp dày 9,5 mm có lớp trát ngoài là thạch cao - Vermiculite chiều dày bằng: 16 mm 10 mm i) Tấm ốp bằng sợi cách nhiệt dày 12,5 mm có lớp trát thạch cao dày 12,5 mm j) Tấm sợi gỗ dày 25 mm có lớp trát thạch cao dày 12,5 mm |
EI 120 EI 90 EI 60 EI 30
EI 30 EI 60
EI 120 EI 90 EI 60 EI 60
EI 120 EI 90 EI 30 EI 60 |
| 5 | Tấm ép vỏ trấu trong các khung gỗ trát cả hai mặt bằng lớp trát thạch cao dày 5 mm | EI 60 |
| 6 | Vách ngăn rỗng bằng tấm ốp hoàn thiện dày 9,5 mm Không trát Có lớp trát thạch cao dày 12,5 mm Có lớp trát thạch cao – vermiculite dày 22 mm |
EI 30 EI 30 EI 120 |
| 7 | Vách ngăn rỗng bằng tấm ốp hoàn thiện dày 12,5 mm Không trát Có lớp trát thạch cao dày 12,5 mm Có lớp trát thạch cao – vermiculite dày 16 mm |
EI 30 EI 60 EI 120 |
| 8 | Tấm ốp hoàn thiện dày 19 mm trát cả hai mặt bằng lớp thạch cao dày 16 mm | EI 60 |
| 9 | Tấm ốp hoàn thiện dày 12,5 mm được gắn kết bằng vữa thạch cao mỏng mịn vào hai mặt của tấm ốp hoàn thiện dày 19 mm | EI 90 |
| 10 | Ba lớp tấm ốp hoàn thiện dày 19 mm được gắn kết bằng vữa thạch cao mỏng mịn | EI 120 |
| 11 | Tấm sợi gỗ dày 12,5 mm có lớp phủ hoặc trát với chiều dày bằng: 75 mm 50 mm |
EI 120 EI 60 |
| 12 | Tấm ép vỏ trấu dày 50 mm có các mạch ghép được phủ bằng các thanh nẹp gỗ tiết diện 75 mm x 12,5 mm | EI 30 |
Bảng F 3 - Tường ngoài (không chịu lực)
| TT | Kết cấu và vật liệu | Giới hạn chịu lửa |
| (1) | (2) | (3) |
| 1 | Tường bằng khung xương thép có các tấm phủ bên ngoài là vật liệu không cháy và ốp bên trong bằng a) Lớp trát ximăng cát hoặc thạch cao dày 12,5 mm trên Lati thép b) Hai lớp tấm ốp hoàn thiện dày 9,5 mm c) Tấm ốp hoàn thiện dày 9,5 mm trát bằng thạch cao dày 12,5 mm d) Tấm ốp hoàn thiện dày 12,5 mm trát bằng thạch cao dày 5 mm e) Tấm ép vỏ trấu dày 50 mm f) Tấm ép vỏ trấu dày 50 mm trát bằng thạch cao dày 5 mm |
EI 30 EI 30 EI 30 EI 30 EI 120 |
| 2 | Tường bằng khung xương gỗ có lớp phủ bên ngoài dày 10 mm bằng lớp phủ ximăng cát hoặc xi măng – vôi(a) và ốp bên trong bằng a) Lớp trát thạch cao dày 16 mm trên Lati thép b) Tấm ốp hoàn thiện dày 9,5 mm trát thạch cao dày 12,5 mm c) Tấm ốp hoàn thiện dày 12,5 mm trát bằng thạch cao dày 5 mm d) Tấm ép vỏ trấu dày 50 mm e) Block bê tông xốp có chiều dày bằng: 50 mm 62 mm 75 mm 100 mm |
EI 60 EI 60 EI 60
EI 180 EI 240 EI 240 EI 240 |
| 3 | Tường bằng khung xương gỗ có lớp phủ bên ngoài dày 100 mm bằng gạch hoặc block đất sét nung, bê tông hoặc vôi - cát, bên trong trát thạch cao dày 16 mm trên Lati thép 75 mm 75 mm | EI 240
EI 180 |
| 4 | Tường bằng khung xương gỗ có lớp phủ bên ngoài bằng các tấm ốp chồng mép hoặc gỗ dán dày 9,5 mm(a) và ốp bên trong bằng a) Trát thạch cao dày 16 mm trên Lati thép b) Tấm ốp hoàn thiện dày 9,5 mm trát thạch cao dày 12,5 mm c) Tấm ốp hoàn thiện dày 12,5 mm trát bằng thạch cao dày 5 mm d) Tấm ép vỏ trấu dày 50 mm e) Block bê tông xốp có chiều dày bằng: 50 mm 62 mm 75 mm 100 mm |
EI 30 EI 30 EI 30
EI 180 EI 240 EI 240 EI 240 |
| CHÚ THÍCH: (a) Phải coi sự có mặt của bộ phận ngăn chặn các dạng hơi có thể cháy được trong phần bề dày của những kết cấu này không có đóng góp gì cho khả năng chịu lửa của chúng | ||
F.2. Dầm bê tông cốt thép
Bảng F 4 - Dầm bê tông cốt thép
| TT | Đặc điểm | Kích thước nhỏ nhất của phần bê tông (mm) để đảm bảo giới hạn chịu lửa | |||||
| R 240 | R 180 | R 120 | R 90 | R 60 | R 30 | ||
| 1 | Bê tông cốt liệu gốc silic a) Chiều dày trung bình của lớp bê tông bảo vệ cho cốt thép chịu lực b) Chiều rộng tiết diện dầm |
65(a)
|
55(a)
|
45(a)
|
35
|
25
|
15
|
| 2 | Bê tông cốt liệu gốc silic có trát ximăng hoặc thạch cao dày 15 mm trên lưới thép mảnh a) Chiều dày trung bình của lớp bê tông bảo vệ cho cốt thép chịu lực b) Chiều rộng tiết diện dầm |
|
|
|
|
|
|
| 3 | Bê tông cốt liệu gốc silic có trát vermiculite / thạch cao (b) dày 15 mm a) Chiều dày trung bình của lớp bê tông bảo vệ cho cốt thép chịu lực b) Chiều rộng tiết diện dầm |
|
|
|
|
|
|
| 4 | Bê tông cốt liệu nhẹ a) Chiều dày trung bình của lớp bê tông bảo vệ cho cốt thép chịu lực b) Chiều rộng tiết diện dầm |
50
|
45
|
35
|
30
|
20
|
15
|
| CHÚ THÍCH: (a) Có thể phải bổ sung cốt thép phụ để giữ lớp bê tông bảo vệ. (b) Vermiculite/thạch cao phải có tỷ lệ trộn theo thể tích nằm trong khoảng 11/2 đến 2:1 | |||||||
F.3. Dầm bê tông cốt thép ứng suất trước
Bảng F 5 - Dầm bê tông cốt thép ứng suất trước
| TT | Đặc điểm | Kích thước nhỏ nhất của phần bê tông (mm) để đảm bảo giới hạn chịu lửa | |||||
| R 240 | R 180 | R 120 | R 90 | R 60 | R 30 | ||
| (1) | (2) | (3) | (4) | (5) | (6) | (7) | (8) |
| 1 | Bê tông cốt liệu gốc silic a) Chiều dày trung bình của lớp bê tông bảo vệ cho cốt thép dự ứng lực b) Chiều rộng tiết diện dầm |
100(a)
|
85(a)
|
65(a)
|
50(a)
|
40
|
25
|
| 2 | Bê tông cốt liệu gốc silic, có các ván bê tông Vermiculite dày 15 mm sử dụng như tấm chắn cố định a) Chiều dày trung bình của lớp bê tông bảo vệ cho cốt thép dự ứng lực b) Chiều rộng tiết diện dầm |
210 |
170 |
125 |
100 |
70 |
70 |
| 3 | Bê tông cốt liệu gốc silic, có các ván bê tông Vermiculite dày 25 mm sử dụng như tấm chắn cố định a) Chiều dày trung bình của lớp bê tông bảo vệ cho cốt thép dự ứng lực b) Chiều rộng tiết diện dầm |
|
|
|
|
|
|
| 4 | Bê tông cốt liệu gốc silic, có trát thạch cao dày 15 mm trên lưới thép mảnh a) Chiều dày trung bình của lớp bê tông bảo vệ cho cốt thép dự ứng lực b) Chiều rộng tiết diện dầm |
250 |
210 |
170 |
110 |
85 |
70 |
| 5 | Bê tông cốt liệu gốc silic có trát vermiculite/ thạch cao(b) dày 15 mm a) Chiều dày trung bình của lớp bê tông bảo vệ cho cốt thép dự ứng lực b) Chiều rộng tiết diện dầm |
170 |
145 |
125 |
85 |
60 |
60 |
| 6 | Bê tông cốt liệu gốc silic có trát vermiculite / thạch cao(b) dày 25 mm a) Chiều dày trung bình của lớp bê tông bảo vệ cho cốt thép dự ứng lực |
|
|
|
|
|
|
|
| b) Chiều rộng tiết diện dầm | 140 | 125 | 85 | 70 | 60 | 60 |
| 7 | Bê tông cốt liệu nhẹ a) Chiều dày trung bình của lớp bê tông bảo vệ cho cốt thép dự ứng lực b) Chiều rộng tiết diện dầm |
80
250 |
65
200 |
50
160 |
40
130 |
30
100 |
20
80 |
| CHÚ THÍCH: (a) Có thể phải bổ sung cốt thép phụ để giữ lớp bê tông bảo vệ. (b) Vermiculite / thạch cao phải có tỷ lệ trộn theo thể tích nằm trong khoảng 11/2 đến 2:1 | |||||||
F.4. Cột bê tông cốt thép
Bảng F 6 - Cột bê tông cốt thép (có 4 mặt đều tiếp xúc với lửa)
| TT | Đặc điểm | Kích thước nhỏ nhất của phần bê tông (mm) để đảm bảo giới hạn chịu lửa | |||||
| R 240 | R 180 | R 120 | R 90 | R 60 | R 30 | ||
| (1) | (2) | (3) | (4) | (5) | (6) | (7) | (8) |
| 1 | Bê tông cốt liệu gốc silic a) Không có biện pháp bảo vệ bổ sung b) Có trát ximăng hoặc thạch cao dày 15 mm trên lưới thép mảnh c) Có trát vermiculite/thạch cao(a) |
450 300
|
400 275
|
300 225
|
250 150
|
200 150
|
150 150
|
| 2 | Bê tông cốt liệu đá vôi hoặc gốc silic Có cốt thép phụ trợ trong lớp bê tông bảo vệ |
300 |
275 |
225 |
200 |
190 |
150 |
| 3 | Bê tông cốt liệu nhẹ | 300 | 275 | 225 | 200 | 190 | 150 |
| CHÚ THÍCH: (a) Vermiculite/thạch cao phải có tỷ lệ trộn theo thể tích nằm trong khoảng 11/2 đến 2:1 | |||||||
Bảng F 7 - Cột bê tông cốt thép (có 1 mặt tiếp xúc với lửa)
| TT | Đặc điểm | Kích thước nhỏ nhất của phần bê tông (mm) để đảm bảo giới hạn chịu lửa | |||||
| R 240 | R 180 | R 120 | R 90 | R 60 | R 30 | ||
| (1) | (2) | (3) | (4) | (5) | (6) | (7) | (8) |
| 1 | Bê tông cốt liệu gốc silic a) Không có biện pháp bảo vệ bổ sung b) Có trát vermiculite / thạch cao(a) dày 15 mm trên bề mặt tiếp xúc với lửa |
180
125 |
150
100 |
100
75 |
100
75 |
75
65 |
75
65 |
| CHÚ DẪN: (a) Vermiculite / thạch cao phải có tỷ lệ trộn theo thể tích nằm trong khoảng 11/2 đến 2:1 | |||||||
F.5. Thép kết cấu
Bảng F 8 - Cột chống bằng thép được bọc bảo vệ
(khối lượng cột trên 1 m dài không nhỏ hơn 45 kg)
| TT | Kết cấu và vật liệu bọc bảo vệ | Chiều dày nhỏ nhất (mm) của lớp bảo vệ để đảm bảo giới hạn chịu lửa | |||||
| R 240 | R 180 | R 120 | R 90 | R 60 | R 30 | ||
| (1) | (2) | (3) | (4) | (5) | (6) | (7) | (8) |
| A | Lớp bảo vệ dạng đặc(a) (không trát) |
|
|
|
|
|
|
| 1 | Bê tông cốt liệu tự nhiên có cấp phối không ít xi măng hơn 1:2:4 a) Bê tông không tham gia chịu lực, có cốt thép (b) b) Bê tông có tham gia chịu lực được gia cường bằng cốt thép |
|
|
|
|
|
|
| 2 | Gạch đặc bằng đất sét nung, composite hoặc vôi - cát | 100 | 75 | 50 | 50 | 50 | 50 |
| 3 | Block đặc bằng bê tông xỉ bọt hoặc bê tông đá bọt có cốt thép(b) tại tất cả các mối nối ngang | 75 | 60 | 50 | 50 | 50 | 50 |
| B | Lớp bảo vệ dạng rỗng(c) |
|
|
|
|
|
|
| 1 | Gạch đặc bằng đất sét nung, composite hoặc vôi - cát được gia cường tại tất cả các mối nối ngang, không trát | 115 | - | 50 | 50 | 50 | 50 |
| 2 | Block đặc bằng bê tông xỉ bọt hoặc bê tông đá bọt được gia cường(b) tại tất cả các mối nối ngang, không trát | 75 | - | 50 | 50 | 50 | 50 |
| 3 | Lati thép, trát thạch cao hoặc ximăng – vôi với chiều dày bằng: | - | - | 38(d) | 25 | 19 | 12,5 |
| 4 | a) Lati thép, trát thạch cao – vermiculite hoặc thạch cao perlite với chiều dày bằng: b) Lati thép đặt cách nhau 25 mm tính từ cánh có trát thạch cao – vermiculite hoặc thạch cao perlite với chiều dày bằng: | 50(d)
44 | -
- | 19
19 | 16
12,5 | 12,5
12,5 | 12,5
12,5 |
| 5 | Tấm ốp hoàn thiện bằng thạch cao buộc bằng sợi thép 1.6 mm với khoảng cách 100 mm a) Tấm ốp hoàn thiện dày 9,5 mm có trát thạch cao với chiều dày bằng: b) Tấm ốp hoàn thiện dày 19 mm có trát thạch cao với chiều dày bằng: |
-
- |
-
- |
-
12,5 |
-
10 |
12,5
7 |
12,5
7 |
| 6 | Tấm ốp hoàn thiện bằng thạch cao buộc bằng sợi thép 1.6 mm với khoảng cách 100 mm a) Tấm ốp hoàn thiện dày 9,5 mm có trát thạch cao – vermiculite với chiều dày bằng: |
- |
- |
16 |
15 |
10 |
10 |
|
| b) Tấm ốp hoàn thiện dày 19 mm có trát thạch cao – vermiculite với chiều dày bằng: | 38(d) | - | 20 | 13 | 10 | 10 |
| 7 | Tấm vermiculite – ximăng theo tỷ lệ 4:1 được gia cường bằng lưới thép và bả hoàn thiện. Chiều dày tấm bằng: | 63 | - | 25 | 25 | 25 | 25 |
| CHÚ THÍCH: (a) Lớp bảo vệ dạng đặc có nghĩa là một vỏ bên ngoài được gắn chặt vào thép, không tạo ra khe hở giữa bề mặt tiếp xúc và tất cả các mạch ghép nối trong phần vỏ đó đều kín và đặc. (b) Cốt thép gia cường phải là các sợi thép buộc có chiều dày không nhỏ hơn 2,3 mm, hoặc là một lưới thép có khối lượng đơn vị không nhỏ hơn 0,48 kg/m2. Khoảng cách giữa các bộ phận cốt thép gia cường, trong lớp bảo vệ bằng bê tông, theo bất kỳ chiều nào không được lớn hơn 150 mm. (c) Lớp bảo vệ dạng rỗng có nghĩa là có một khoảng trống giữa vật liệu bảo vệ và thép. Tất cả các dạng bảo vệ rỗng cho cột phải được chèn bịt một cách có hiệu quả tại mỗi cao trình sàn. (d) Cần có lưới thép mảnh gia cường đặt cách bề mặt từ 12,5 mm đến 19 mm trừ trường hợp có sử dụng các nẹp góc (corner bead) đặc biệt | |||||||
Bảng F 9 - Dầm bằng thép được bọc bảo vệ (khối lượng dầm trên 1 m dài không nhỏ hơn 30 kg)
| TT | Kết cấu và vật liệu bọc bảo vệ | Chiều dày nhỏ nhất (mm) của lớp bảo vệ để đảm bảo giới hạn chịu lửa | |||||
| R 240 | R 180 | R 120 | R 90 | R 60 | R 30 | ||
| (1) | (2) | (3) | (4) | (5) | (6) | (7) | (8) |
| 1 | Bê tông cốt liệu tự nhiên có cấp phối không ít xi măng hơn 1 : 2 : 4 a) Bê tông không tham gia chịu lực, có cốt thép(b) b) Bê tông có tham gia chịu lực có cốt thép |
|
|
|
|
|
|
| 2 | Phun bọc bằng vermiculite – ximăng với chiều dày bằng: | - | - | 38 | 32 | 19 | 12,5 |
| B | Lớp bảo vệ dạng rỗng(c) |
|
|
|
|
|
|
| 1 | Lati thép a) Trát ximăng – vôi với chiều dày bằng: b) Trát thạch cao với chiều dày bằng: c) Trát thạch cao – vermiculite hoặc thạch cao – perlite với chiều dày bằng: |
-
-
32 |
-
-
- |
38
22
12,5 |
25
19
12,5 |
19
16
12,5 |
12,5
12,5
12,5 |
| 2 | Tấm ốp hoàn thiện bằng thạch cao buộc bằng sợi thép 1.6 mm với khoảng cách 100 mm a) Tấm ốp hoàn thiện dày 9,5 mm, trát thạch cao với chiều dày bằng: b) Tấm ốp hoàn thiện dày 19 mm, trát thạch cao với chiều dày bằng: |
-
- |
-
- |
-
12,5 |
-
10 |
12,5
7 |
12,5
7 |
| 3 | Tấm ốp hoàn thiện buộc bằng sợi thép 1.6 mm với khoảng cách 100 mm a) Tấm ốp hoàn thiện dày 9,5 mm cố định vào khung xương gỗ bằng đinh, trát thạch cao với chiều dày bằng: b) Tấm ốp hoàn thiện dày 19 mm, trát thạch cao - vermiculite với chiều dày bằng: c) Tấm ốp hoàn thiện dày 19 mm, trát thạch cao - vermiculite với chiều dày bằng: d) Tấm ốp hoàn thiện dày 19 mm, trát thạch cao với chiều dày bằng: |
-
32
- |
-
-
- |
16
10
20 |
15
10
13 |
10
7
10 |
10
7
10 |
| 4 | Tấm vermiculite – ximăng theo tỷ lệ 4 : 1 được gia cường bằng lưới thép và bả hoàn thiện. Chiều dày tấm bằng: | 63 | - | 25 | 25 | 25 | 25 |
| 5 | Trát thạch cao – cát dày 12,5 mm vào tấm sợi gỗ cường lực với chiều dày bằng: | - | - | 50 | 38 | 38 | 38 |
| CHÚ THÍCH: (a) Lớp bảo vệ dạng đặc có nghĩa là một vỏ bên ngoài được gắn chặt vào thép, không tạo ra khe hở giữa bề mặt tiếp xúc và tất cả các mạch ghép nối trong phần vỏ đó đều kín và đặc. (b) Cốt thép gia cường phải là các sợi thép buộc có chiều dày không nhỏ hơn 2,3 mm, hoặc là một lưới thép có khối lượng đơn vị không nhỏ hơn 0,48 kg/m2. Khoảng cách giữa các bộ phận cốt thép gia cường, trong lớp bảo vệ bằng bê tông, theo bất kỳ chiều nào không được lớn hơn 150 mm. (c) Lớp bảo vệ dạng rỗng có nghĩa là có một khoảng trống giữa vật liệu bảo vệ và thép. Tất cả các dạng bảo vệ rỗng cho cột phải được chèn bịt một cách có hiệu quả tại mỗi cao trình sàn. | |||||||
F.6. Nhôm kết cấu
Bảng F 10 - Cột chống và dầm bằng hợp kim nhôm được bọc bảo vệ
(khối lượng cấu kiện trên 1 m dài không nhỏ hơn 16 kg)
| TT | Kết cấu và vật liệu bảo vệ | Chiều dày nhỏ nhất (mm) của lớp bảo vệ để đảm bảo giới hạn chịu lửa | |||||
| R 240 | R 180 | R 120 | R 90 | R 60 | R 30 | ||
| (1) | (2) | (3) | (4) | (5) | (6) | (7) | (8) |
| A | Lớp bảo vệ dạng đặc(a) |
|
|
|
|
|
|
| 1 | Phun bọc bằng vermicullite – ximăng với chiều dày bằng: | - | - | - | - | 44 | 19 |
| B | Lớp bảo vệ dạng rỗng(b) |
|
|
|
|
|
|
| 1 | Lati thép, trát thạch cao – vermiculite hoặc thạch cao - perlite với chiều dày bằng: | - | - | 32 | 22 | 16 | 12,5 |
| 2 | Lati thép trát thạch cao mịn với chiều dày bằng | - | - | - | - | 19 | 12,5 |
| 3 | Tấm ốp hoàn thiện bằng thạch cao buộc bằng sợi thép 1,6 mm với khoảng cách 100 mm, trát thạch cao – vermiculite dày: | - | - | 22 | 16 | 10 | 10 |
| CHÚ THÍCH: (a) Lớp bảo vệ dạng đặc có nghĩa là một vỏ bên ngoài được gắn chặt vào thép, không tạo ra khe hở giữa bề mặt tiếp xúc và tất cả các mạch ghép nối trong phần vỏ đó đều kín và đặc. (b) Lớp bảo vệ dạng rỗng có nghĩa là có một khoảng trống giữa vật liệu bảo vệ và thép. Tất cả các dạng bảo vệ rỗng cho cột phải được chèn bịt một cách có hiệu quả tại mỗi cao trình sàn. | |||||||
F.7. Kết cấu sàn
Bảng F 11 - Sàn gỗ
| TT | Kết cấu và vật liệu | Chiều dày nhỏ nhất (mm) của lớp bảo vệ để đảm bảo giới hạn chịu lửa | |
| REI 60 | REI 30 | ||
| (1) | (2) | (3) | (4) |
| A | Tấm có mép ghép phẳng cố định vào các dầm gỗ có chiều rộng không nhỏ hơn 38 mm, bề mặt trần phía dưới bằng |
|
|
| 1 | Nẹp gỗ và trát với chiều dày trát bằng | - | 16,0 |
| 2 | Nẹp gỗ và trát với chiều dày trát nhỏ nhất bằng 16 mm, bề mặt dưới được che bằng tấm ốp hoàn thiện có chiều dày bằng | - | 12,5 |
| 3 | Lati thép và trát bằng a) Thạch cao với chiều dày bằng b) Vermiculite với chiều dày bằng |
- - |
16,0 12,5 |
| 4 | Một lớp tấm ốp hoàn thiện có chiều dày bằng: | - | 12,5 |
| 5 | Một lớp tấm ốp hoàn thiện dày 9,5 mm, trát thạch cao với chiều dày bằng: | - | 12,5 |
| 6 | Một lớp tấm ốp hoàn thiện dày 12,5 mm, trát thạch cao với chiều dày bằng: | - | 12,5 |
| 7 | Hai lớp tấm ốp hoàn thiện có tổng chiều dày bằng: | - | 25,0 |
| 8 | Một lớp tấm sợi cách nhiệt chiều dày nhỏ nhất 9,5 mm, trát thạch cao với chiều dày bằng: | - | 5,0 |
| 9 | Một lớp tấm sợi cách nhiệt chiều dày nhỏ nhất 12,5 mm, trát thạch cao với chiều dày bằng: | - | 12,5 |
| 10 | Tấm sợi gỗ dày 25 mm, trát thạch cao với chiều dày bằng: | - | 5,0 |
| B | Tấm có mép ghép dạng rãnh và gờ với chiều dày(a) không nhỏ hơn 16 mm (chiều dày hoàn thiện), cố định vào các dầm gỗ có chiều rộng không nhỏ hơn 38 mm, bề mặt trần phía dưới bằng |
|
|
| 1 | Nẹp gỗ và trát với chiều dày trát bằng | - | 16,0 |
| 2 | Nẹp gỗ và trát với chiều dày trát nhỏ nhất bằng 16 mm, bề mặt dưới được che bằng tấm ốp hoàn thiện có chiều dày bằng | - | 9,5 |
| 3 | Lati thép và trát bằng a) Thạch cao với chiều dày bằng b) Vermiculite với chiều dày bằng |
22,0 12,5 |
16,0 12,5 |
| 4 | Một lớp tấm ốp hoàn thiện có chiều dày bằng: | - | 9,5 |
| 5 | Một lớp tấm ốp hoàn thiện với chiều dày nhỏ nhất là 9,5 mm, trát bằng: a) Thạch cao với chiều dày bằng b) Vermiculite – thạch cao với chiều dày bằng |
12,5 |
- |
| 6 | Một lớp tấm ốp hoàn thiện dày 12,5 mm, trát thạch cao với chiều dày bằng: | - | 5,0 |
| 7 | Hai lớp tấm ốp hoàn thiện có tổng chiều dày bằng: | - | 22,0 |
| 8 | Một lớp tấm sợi cách nhiệt chiều dày nhỏ nhất 9,5 mm, trát thạch cao với chiều dày bằng: | - | 5,0 |
| 9 | Tấm sợi gỗ dày 25 mm, trát bằng: a) Thạch cao với chiều dày bằng b) Vermiculite – thạch cao với chiều dày bằng |
- 10,0 |
5,0 - |
| C | Tấm có mép ghép dạng rãnh và gờ với chiều dày(a) không nhỏ hơn 21 mm (chiều dày hoàn thiện), cố định vào các dầm gỗ có kích thước tiết diện (cao x rộng) không nhỏ hơn 175 mm x 50 mm, bề mặt trần phía dưới bằng |
|
|
| 1 | Nẹp gỗ và trát với chiều dày trát bằng | - | 16,0 |
| 2 | Lati thép và trát với chiều dày trát bằng | - | 16,0 |
| 3 | Một lớp tấm ốp hoàn thiện có chiều dày bằng: | - | 9,5 |
| 4 | Một lớp tấm ốp hoàn thiện với chiều dày nhỏ nhất là 9,5 mm, trát bằng: a) Thạch cao với chiều dày bằng b) Vermiculite – thạch cao với chiều dày bằng |
12,5 |
- |
| 5 | Một lớp tấm ốp hoàn thiện dày 12,5 mm, trát thạch cao với chiều dày bằng: | - | 5,0 |
| 6 | Hai lớp tấm ốp hoàn thiện có tổng chiều dày bằng: | - | 19,0 |
| 7 | Một lớp tấm sợi cách nhiệt với chiều dày bằng: | - | 12,5 |
| 8 | Một lớp tấm sợi cách nhiệt có chiều dày nhỏ nhất là 12,5 mm trát thạch cao với chiều dày bằng: | - | 12,5 |
| 9 | Tấm sợi gỗ dày 25 mm, trát bằng: a) Thạch cao với chiều dày bằng b) Vermiculite – thạch cao với chiều dày bằng |
- 10,0 |
5,0 - |
| CHÚ THÍCH: (a) Hoặc chiều dày tương đương của tấm gỗ dăm bào | |||
Bảng F 12 - Sàn bê tông cốt thép (Cốt liệu gốc silic hoặc đá vôi)
| TT | Kết cấu sàn | Kích thước nhỏ nhất (mm) để đảm bảo giới hạn chịu lửa | |||||
| REI 240 | REI 180 | REI 120 | REI 90 | REI 60 | REI 30 | ||
| (1) | (2) | (3) | (4) | (5) | (6) | (7) | (8) |
| 1 | Bản sàn đặc a) Chiều dày trung bình của lớp bê tông bảo vệ cốt thép b) Chiều cao tổng thể(a) của tiết diện |
25
|
25
|
20
|
20
|
15
|
15
|
| 2 | Bản sàn ống với ống tiết diện hình tròn hoặc ống, cao hơn chiều rộng. Phải có không ít hơn 50% tổng diện tích tiết diện ngang của sàn là vật liệu đặc a) Chiều dày trung bình của lớp bê tông bảo vệ cốt thép b) Chiều dày của bản cánh phía dưới c) Chiều cao tổng thể(a) của tiết diện |
25
190 |
25
175 |
20
160 |
20
140 |
15
110 |
15
100 |
| 3 | Tiết diện hộp có một hoặc nhiều khoang rỗng theo chiều dọc với chiều rộng lớn hơn chiều cao a) Chiều dày trung bình của lớp bê tông bảo vệ cốt thép b) Chiều dày của bản cánh phía dưới c) Chiều cao tổng thể(a) của tiết diện |
25 50 230 |
25 40 205 |
20 40 180 |
20 30 155 |
15 25 130 |
15 20 105 |
| 4 | Tiết diện có sườn tăng cứng với phần hộp rỗng chèn bằng block đất sét nung, hoặc sườn tiết diện T ngược có phần hộp rỗng được chèn bằng block bê tông hoặc đất sét nung. Nếu sàn có không quá 50% tổng diện tích tiết diện ngang là vật liệu đặc thì phải được phủ một lớp trát dày 15 mm ở bể mặt phía dưới a) Chiều dày trung bình của lớp bê tông bảo vệ cốt thép b) Chiều rộng hoặc sườn tăng cứng hoạc dầm ở phía dưới c) Chiều cao tổng thể(a) của tiết diện |
25
190 |
25
175 |
20
160 |
20
140 |
15
110 |
15
100 |
| 5 | Sườn tăng cứng chữ T a) Chiều dày trung bình của lớp bê tông bảo vệ cốt thép b) Chiều dày của lớp bê tông bảo vệ cốt thép ở mặt bên c) Bề rộng sườn hoặc của chân chữ T d) Chiều dày của cánh |
65(b)
|
55(b)
|
45(b)
|
35
|
25
|
15
|
| 6 | Sườn tăng cứng tiết diện chữ U ngược với bán kính cong tại giao điểm của bản đáy với phần trên cùng của sườn không lớn hơn chiều dày của tiết diện a) Chiều dày trung bình của lớp bê tông bảo vệ cốt thép b) Chiều dày của lớp bê tông bảo vệ cốt thép ở mặt bên c) Bề rộng sườn hoặc của chân chữ U d) Chiều dày tại bản phía trên |
|
|
|
|
|
|
| 7 | Sườn tăng cứng tiết diện chữ U ngược với bán kính cong tại giao điểm của bản đáy với phần trên cùng của sườn lớn hơn chiều dày của tiết diện a) Chiều dày trung bình của lớp bê tông bảo vệ cốt thép b) Chiều dày của lớp bê tông bảo vệ cốt thép ở mặt bên c) Bề rộng sườn hoặc của chân chữ U d) Chiều dày tại bản phía trên |
65(b)
|
55(b)
|
45(b)
|
35
|
25
|
15
|
| CHÚ THÍCH: (a) Có thể cộng thêm chiều dày của các lớp láng hoặc lớp hoàn thiện bằng vật liệu không cháy (b) Có thể phải bổ sung cốt thép phụ để giữ lớp bê tông bảo vệ | |||||||
Bảng F 13 - Sàn bê tông cốt thép dự ứng lực (Cốt liệu gốc silic hoặc đá vôi)
| TT | Kết cấu sàn | Kích thước nhỏ nhất (mm) để đảm bảo giới hạn chịu lửa | |||||
| REI 240 | REI 180 | REI 120 | REI 90 | REI 60 | REI 30 | ||
| (1) | (2) | (3) | (4) | (5) | (6) | (7) | (8) |
| 1 | Bản sàn đặc a) Chiều dày trung bình của lớp bê tông bảo vệ cốt thép b) Chiều cao tổng thể(b) của tiết diện |
65(a)
150 |
50(a)
150 |
40
125 |
30
125 |
25
100 |
15
100 |
| 2 | Bản sàn ống với ống tiết diện hình tròn hoặc ống cao hơn chiều rộng. Phải có không ít hơn 50% tổng diện tích tiết diện ngang của sàn là vật liệu đặc |
|
|
|
|
|
|
|
| a) Chiều dày trung bình của lớp bê tông bảo vệ cốt thép b) Chiều dày của bản cánh phía dưới c) Chiều cao tổng thể(b) của tiết diện | 65(a)
50
190 | 50(a)
40
175 | 40
40
160 | 30
30
140 | 25
25
110 | 15
20
100 |
| 3 | Tiết diện hộp có một hoặc nhiều khoang rỗng theo chiều dọc với chiều rộng lớn hơn chiều a) Chiều dày trung bình của lớp bê tông bảo vệ cốt thép b) Chiều dày của bản cánh phía dưới c) Chiều cao tổng thể(b) của tiết diện |
65
230 |
50
205 |
40
180 |
30
155 |
25
130 |
15
105 |
| 4 | Tiết diện có sườn tăng cứng với phần hộp rỗng chèn bằng block đất sét nung, hoặc dầm tiết diện T ngược có phần hộp rỗng được chèn bằng block bê tông hoặc đất sét nung. Nếu sàn có không quá 50% tổng diện tích tiết diện ngang là vật liệu đặc thì phải được phủ một lớp trát dày 15 mm ở bể mặt phía dưới a) Chiều dày trung bình của lớp bê tông bảo vệ cốt thép b) Chiều rộng hoặc sườn tăng cứng hoạc dầm ở phía dưới c) Chiều cao tổng thể(b) của tiết diện |
65(a)
190 |
50(a)
175 |
40
160 |
30
140 |
25
110 |
15
100 |
| 5 | Sườn tăng cứng tiết diện chữ T a) Chiều dày trung bình của lớp bê tông bảo vệ cốt thép b) Chiều dày của lớp bê tông bảo vệ cốt thép ở mặt bên c) Bề rộng sườn hoặc của chân chữ T d) Chiều dày của cánh |
100(a)
|
85(a)
|
65(a)
|
50(a)
|
40
|
25
|
| 6 | Sườn tăng cứng tiết diện chữ U ngược với bán kính cong tại giao điểm của bản đáy với phần trên cùng của sườn không lớn hơn chiều dày của tiết diện a) Chiều dày trung bình của lớp bê tông bảo vệ cốt thép b) Chiều dày của lớp bê tông bảo vệ cốt thép ở mặt bên c) Bề rộng sườn hoặc của chân chữ U d) Chiều dày tại bản phía trên |
|
|
|
|
|
|
| 7 | Sườn tăng cứng tiết diện chữ U ngược với bán kính cong tại giao điểm của bản đáy với phần trên cùng của sườn lớn hơn chiều dày của tiết diện a) Chiều dày trung bình của lớp bê tông bảo vệ cốt thép b) Chiều dày của lớp bê tông bảo vệ cốt thép ở mặt bên c) Bề rộng sườn hoặc của chân chữ U d) Chiều dày tại bản phía trên |
|
|
|
|
|
|
| CHÚ THÍCH: (a) Có thể cộng thêm chiều dày của các lớp láng hoặc lớp hoàn thiện bằng vật liệu không cháy (b) Có thể phải bổ sung cốt thép phụ để giữ lớp bê tông bảo vệ | |||||||
F.8. Bộ phận lắp kính
Bảng F 14 - Bộ phận lắp kính
| TT | Kết cấu và vật liệu | Chiều dày nhỏ nhất (mm) của bộ phận lắp kính để đảm bảo giới hạn chịu lửa | |
| E 60 | E 30 | ||
| (1) | (2) | (3) | (4) |
| 1 | Kính, tổ hợp gián tiếp với kim loại có điểm nóng chảy không thấp hơn 982,2oC, có hình vuông với diện tích không lớn hơn 0,015 m2 Chiều dày của kính |
- |
6,35 |
| 2 | Kính, gia cường bằng lưới kim loại đan ô vuông đường kính không nhỏ hơn 0,46 mm, khoảng cách tính từ tim các sợi trong lưới không quá 12,70 mm, giao điểm của các sợi kim loại được liên kết hàn bấm điểm, hoặc lưới kim loại đan ô lục giác với khoảng cách mắt lưới đo theo hai cạnh song song là 25,4 mm Chiều dày của kính |
- |
6,35 |
| 3 | Kính, gia cường bằng lưới kim loại như đề cập trong mục 2 của bảng này lắp đặt trong cửa đi, cửa sổ, ô lấy sáng, cửa mái và cửa trời được cố định trong khung kim loại (chắn cố định) với diện tích không lớn hơn 1,115 m2. Việc cố định được thực hiện bởi nẹp góc kim loại, tất cả các chi tiết kim loại phải có điểm nóng cháy không thấp hơn 982,2oC Chiều dày của kính |
6,35 |
6,35 |
| 4 | Viên gạch hoặc block bằng kính trong tường | - | 98,43 |
| CHÚ THÍCH: Trong bảng trên, một số vị trí thuộc cột giới hạn chịu lửa không có giá trị có nghĩa là bộ phận kính theo miêu tả không được phép sử dụng cho trường hợp đó. Kính phù hợp với mục 1 và 2 trên đây khi lắp đặt trong cửa đi, cửa sổ, ô lấy sáng, cửa mái và cửa trời được cố định trong khung gỗ (chắn cố định) có bề rộng và chiều dày nhỏ nhất là 44,45 mm không bị giảm yếu. Việc cố định được thực hiện bởi nẹp góc bằng gỗ hoặc kim loại hoặc bởi tổ hợp tấm kính và chi tiết giữ góc hoặc kẹp với diện tích không quá 0,372 m2. | |||
PHỤ LỤC G
QUY ĐỊNH VỀ KHOẢNG CÁCH ĐẾN CÁC LỐI RA THOÁT NẠN VÀ CHIỀU RỘNG CỦA LỐI RA THOÁT NẠN
G.1. Khoảng cách giới hạn cho phép từ chỗ xa nhất (có người sinh hoạt, làm việc) tới lối ra thoát nạn gần nhất
G.1.1. Đối với nhà ở
Khoảng cách giới hạn cho phép từ cửa ra vào của căn hộ (nhà nhóm F 1.3) hay của phòng ở (nhà nhóm F 1.2) đến lối ra thoát nạn gần nhất (buồng thang bộ hoặc lối ra bên ngoài) phài phù hợp với Bảng G 1.
Bảng G 1 - Khoảng cách giới hạn cho phép từ cửa ra vào của căn hộ hay của phòng ở đến lối ra thoát nạn gần nhất
| Bậc chịu lửa của nhà | Cấp nguy hiểm cháy kết cấu của nhà | Khoảng cách giới hạn cho phép từ cửa ra vào căn hộ hoặc phòng ở đến lối ra thoát nạn gần nhất (m) | |
| Khi cửa bố trí ở giữa các buồng thang bộ hoặc giữa các lối ra ngoài | Khi cửa bố trí ở hành lang cụt | ||
| I, II | S0 | 40 | 25 |
| II | S1 | 30 | 20 |
| III | S0 | 30 | 20 |
|
| S1 | 25 | 15 |
| IV | S0 | 25 | 15 |
|
| S1, S2 | 20 | 10 |
| V | Không quy định | 20 | 10 |
G.1.2. Đối với công trình công cộng
a) Khoảng cách giới hạn cho phép theo đường thoát nạn từ cửa ra vào của gian phòng xa nhất của nhà công cộng (trừ các gian phòng vệ sinh, phòng tắm giặt, phục vụ khác) đến lối ra thoát nạn gần nhất (lối ra bên ngoài hoặc vào buồng thang bộ) phài phù hợp với Bảng G 2a.
Bảng G 2a- Khoảng cách giới hạn cho phép từ cửa ra vào của gian phòng tới lối ra thoát nạn gần nhất đối với nhà công cộng
| Bậc chịu lửa của nhà | Khoảng cách (m) khi mật độ dòng người thoát nạn (người / m2) là | ||||
| Đến 2 | Từ lớn hơn 2 đến 3 | Từ lớn hơn 3 đến 4 | Từ lớn hơn 4 đến 5 | Lớn hơn 5 | |
| (1) | (2) | (3) | (4) | (5) | (6) |
| A. Từ gian phòng có cửa ra bố trí ở giữa các buồng thang bộ hoặc ở giữa các lối ra bên ngoài | |||||
| I, II, III | 60 | 50 | 40 | 35 | 20 |
| IV | 40 | 35 | 30 | 25 | 15 |
| V | 30 | 25 | 20 | 15 | 10 |
| B. Từ gian phòng có cửa ra mở vào hành lang cụt hoặc mở vào sảnh chung | |||||
| I, II, III | 30 | 25 | 20 | 15 | 10 |
| IV | 20 | 15 | 15 | 10 | 7 |
| V | 15 | 10 | 10 | 5 | 5 |
| CHÚ THÍCH 1) Mật độ dòng người thoát nạn được xác định bằng tỉ số giữa tổng số người phải thoát nạn theo đường thoát nạn và diện tích của đường thoát nạn đó. 2) Phải áp dụng những giá trị khoảng cách cho trong Bảng G 2a như sau: Đối với trường mầm non lấy theo cột (6); Đối với các trường học, trường kỹ thuật dạy nghề và các trường cao đẳng, chuyên nghiệp và đại học lấy theo cột (3); Đối với các cơ sở điều trị nội trú lấy theo cột (5); Đối với khách sạn lấy theo (4). Đối với các nhà công cộng khác, mật độ dòng người thoát nạn trong hành lang được lấy cụ thể cho từng dự án. | |||||
b) Khoảng cách giới hạn cho phép từ một điểm bất kỳ của các gian phòng có khối tích khác nhau không có ghế ngồi cho khán giả đến lối ra thoát nạn gần nhất phải phù hợp với Bảng G 2b. Khi có sự kết hợp các lối thoát nạn chính vào một lối chung thì chiều rộng của lối chung không được nhỏ hơn tổng chiều rộng của các lối thành phần
Bảng G 2b - Khoảng cách giới hạn cho phép từ một điểm bất kỳ của gian phòng công cộng không có ghế ngồi cho khán giả tới lối ra thoát nạn gần nhất
| Loại sử dụng của gian phòng | Bậc chịu lửa của nhà | Khoảng cách giới hạn cho phép (m) từ 1 điểm bất kỳ của gian phòng tới lối ra thoát nạn gần nhất với khối tích gian phòng (nghìn m3) | ||
| Đến 5 | Từ lớn hơn 5 đến 10 | Lớn hơn hoặc bằng 10 | ||
| 1- Các gian phòng chờ, bán vé, trưng bày triển lãm, khiêu vũ, nghỉ và tương tự. | I, II | 30 | 45 | 55 |
| III, IV | 20 | 30 | - | |
| V | 15 | - | - | |
| 2- Các gian phòng ăn, phòng đọc khi diện tích của mỗi lối đi chính tính theo đầu người không nhỏ hơn 0,2 m2. | I, II | 65 | - | - |
| III, IV | 45 | - | - | |
| V | 30 | - | - | |
| 3a- Các gian phòng thương mại khi diện tích của các lối đi chính tính theo phần trăm diện tích của gian phòng không nhỏ hơn 25%. | I, II | 50 | 65 | 80 |
| III, IV | 35 | 45 | - | |
| V | 25 | - | - | |
| 3b- Các gian phòng thương mại khi diện tích của các lối đi chính tính theo phần trăm diện tích của gian phòng nhỏ hơn 25%. | I, II | 25 | 30 | 35 |
| III, IV | 15 | 20 | - | |
| V | 10 | - | - | |
G.1.3. Đối với nhà sản xuất
a) Khoảng cách giới hạn cho phép từ chỗ làm việc xa nhất trong gian phòng đến lối ra thoát nạn gần nhất (lối ra trực tiếp bên ngoài hoặc buồng thang bộ) phài phù hợp với Bảng G 3. Đối với các gian phòng có diện tích lớn hơn 1.000 m2 thì khoảng cách cho trong Bảng G 3 bao gồm cả chiều dài của đường đi theo hành lang để đến lối ra;
b) Khoảng cách giới hạn cho phép trong Bảng G3 với các trị số trung gian của khối tích của gian phòng được xác định bằng nội suy tuyến tính;
c) Khoảng cách giới hạn cho phép trong Bảng G3 được thiết lập cho các gian phòng có chiều cao đến 6,0 m. Khi chiều cao gian phòng lớn hơn 6,0 m, thì khoảng cách này được tăng lên như sau: khi chiều cao gian phòng đến 12,0 m thì tăng thêm 20%; đến 18,0 m thì tăng thêm 30%; đến 24,0 m thì tăng thêm 40%, nhưng không được lớn hơn 140,0 m đối với gian phòng có hạng A, B và không lớn hơn 240,0 m đối với gian phòng có hạng C.
Bảng G 3 - Khoảng cách giới hạn cho phép từ chỗ làm việc xa nhất đến lối ra thoát nạn gần nhất của nhà sản xuất
| Khối tích của gian phòng (1.000 m3) | Hạng của gian phòng | Bậc chịu lửa của nhà | Cấp nguy hiểm cháy kết cấu của nhà | Khoảng cách (m) khi mật độ dòng người thoát nạn trên lối đi chung (người/m2) là | ||
| Đến 1 | Từ lớn hơn 1 đến 3 | Từ lớn hơn 3 đến 5 | ||||
| (1) | (2) | (3) | (4) | (5) | (6) | (7) |
| Đến 15 | A, B | I, II, III, IV | S0 | 40 | 25 | 15 |
| C 1, C 2, C 3 | I, II, III, IV | S0 | 100 | 60 | 40 | |
| III, IV | S1 | 70 | 40 | 30 | ||
| V | S2, S3 | 50 | 30 | 20 | ||
| 30 | A, B | I, II, III, IV | S0 | 60 | 35 | 25 |
| C 1, C 2, C 3 | I, II, III, IV | S0 | 145 | 85 | 60 | |
| III, IV | S1 | 100 | 60 | 40 | ||
| 40 | A, B | I, II, III, IV | S0 | 80 | 50 | 35 |
| C 1, C 2, C 3 | I, II, III, IV | S0 | 160 | 95 | 65 | |
| III, IV | S1 | 110 | 65 | 45 | ||
| 50 | A, B | I, II, III, IV | S0 | 120 | 70 | 50 |
| C 1, C 2, C 3 | I, II, III, IV | S0 | 180 | 105 | 75 | |
| III, IV | S1 | 160 | 95 | 65 | ||
| Bằng và lớn hơn 60 | A, B | I, II, III, IV | S0 | 140 | 85 | 60 |
| C 1, C 2, C 3 | I, II, III, IV | S0 | 200 | 110 | 85 | |
| III, IV | S1 | 180 | 105 | 75 | ||
| Bằng và lớn hơn 80 | C 1, C 2, C 3 | I, II, III, IV | S0 | 240 | 140 | 100 |
| III, IV | S1 | 200 | 110 | 85 | ||
| Không phụ thuộc vào khối tích | C 4, D | I, II, III, IV | S0 | Không hạn chế | Không hạn chế | Không hạn chế |
| III, IV | S1 | 160 | 95 | 65 | ||
| V | Không quy định | 120 | 70 | 50 | ||
| Không phụ thuộc vào khối tích | E | I, II, III, IV | S0, S1 | Không hạn chế | Không hạn chế | Không hạn chế |
| IV, V | S2, S3 | 160 | 95 | 65 | ||
| CHÚ THÍCH: Mật độ dòng người thoát nạn được xác định bằng tỉ số giữa tổng số người phải thoát nạn theo đường thoát nạn và diện tích của đường thoát nạn đó | ||||||
d) Khoảng cách giới hạn cho phép từ cửa ra vào của gian phòng xa nhất có diện tích không lớn hơn 1.000 m2 của nhà sản xuất đến lối ra thoát nạn gần nhất (ra ngoài hoặc vào buồng thang bộ) phải phù hợp với Bảng G 4.
Bảng G 4 - Khoảng cách giới hạn cho phép từ cửa ra vào của gian phòng sản xuất có diện tích đến 1.000 m2 tới lối ra thoát nạn gần nhất
| Vị trí cửa ra của gian phòng | Hạng của gian phòng | Bậc chịu lửa của nhà | Cấp nguy hiểm cháy kết cấu của nhà | Khoảng cách đi theo hành lang (m) từ cửa gian phòng đến lổi ra thoát nạn gần nhất, khi mật độ dòng người thoát nạn trên lối đi chung (người / m2) là | |||
| Đến 2 | Từ lớn hơn 2 đến 3 | Từ lớn hơn 3 đến 4 | Từ lớn hơn 4 đến 5 | ||||
| Ở giữa hai lối ra thoát nạn | A, B | I, II, III, IV | S0 | 60 | 50 | 40 | 35 |
| C 1, C 2, C 3 | I, II, III, IV | S0 | 120 | 95 | 80 | 65 | |
| III, IV | S1 | 85 | 65 | 55 | 45 | ||
| Không quy định | S2, S3 | 60 | 50 | 40 | 35 | ||
| C 4, D, E | I, II, III, IV | S0 | 180 | 140 | 120 | 100 | |
| C 4, D, E | III, IV | S1 | 125 | 100 | 85 | 70 | |
| Không quy định | S2, S3 | 90 | 70 | 60 | 50 | ||
| Đi vào hành lang cụt | Không phụ thuộc vào hạng | I, II, III, IV | S0 | 30 | 25 | 20 | 15 |
| III, IV | S1 | 20 | 15 | 15 | 10 | ||
| Không quy định | S2, S3 | 15 | 10 | 10 | 8 | ||
G.2. Chiều rộng của lối ra thoát nạn
G.2.1. Đối với nhà công cộng
a) Chiều rộng của một lối ra thoát nạn, từ hành lang vào buồng thang bộ, cũng như chiều rộng bản thang phải được xác định theo số lượng người cần thoát nạn qua lối ra thoát nạn đó và định mức người thoát nạn tính cho 1 mét chiều rộng lối ra (cửa ra). Tùy theo bậc chịu lửa của nhà (không bao gồm các nhà rạp chiếu phim, câu lạc bộ, nhà hát và các công trình thể thao) định mức này được lấy không vượt quá các giá trị sau:
- Nhà có bậc chịu lửa I, II không được lớn hơn 165 người/m;
- Nhà có bậc chịu lửa III, IV không được lớn hơn 115 người/m;
- Nhà có bậc chịu lửa V không được lớn hơn 80 người/m.
b) Để tính toán chiều rộng lối thoát nạn của các nhà thuộc trường học phổ thông, trường học nội trú và các khu nội trú của trường, cần xác định số lượng người lớn nhất đồng thời có mặt trên một tầng từ số lượng người lớn nhất của các phòng học, của các phòng dạy nghề và của các phòng ngủ cũng như các gian thể thao, hội nghị, giảng đường nằm trên tầng đó (Xem mục G.3, Bảng G 9).
c) Chiều rộng của các cửa ra từ các phòng học với số lượng học sinh lớn hơn 15 người, không được nhỏ hơn 0,9 m.
d) Chiều rộng của một lối ra thoát nạn từ các gian phòng không có ghế ngồi cho khán giả phải xác định theo số lượng người cần thoát nạn qua lối ra đó theo Bảng G 5 sau, nhưng không được nhỏ hơn 1,2 m ở các gian phòng có sức chứa hơn 50 người.
Bảng G 5 - Số lượng người tối đa trên 1 mét chiều rộng của lối ra thoát nạn của các gian phòng không có ghế ngồi cho khán giả của nhà công cộng
| Loại sử dụng của gian phòng | Bậc chịu lửa của nhà | Số lượng người tối đa trên 1 mét chiều rộng của lối ra thoát nạn trong các gian phòng có khối tích (nghìn m3) | ||
| Đến 5 | Từ lớn hơn 5 đến 10 | Lớn hơn hoặc bằng 10 | ||
| 1- Các gian phòng thương mại khi diện tích của các lối đi thoát nạn chính không nhỏ hơn 25% diện tích của gian phòng; Các phòng ăn và phòng đọc khi mật độ dòng người trong mỗi lối đi chính không lớn hơn 5 người/m2. | I, II | 165 | 220 | 275 |
| III, IV | 115 | 155 | - | |
| V | 80 | - | - | |
| 2- Các gian phòng thương mại khi diện tích của các lối đi thoát nạn chính nhỏ hơn 25% diện tích của gian phòng; - Các gian phòng khác. | I, II | 75 | 100 | 125 |
| III, IV | 50 | 70 | - | |
| V | 40 | - | - | |
e) Chiều rộng của các lối đi thoát nạn chính trong một gian phòng thương mại phải lấy như sau:
- Không nhỏ hơn 1,4 m khi diện tích thương mại không lớn hơn 100 m2;
- Không nhỏ hơn 1,6 m khi diện tích thương mại lớn hơn 100 m2 và không lớn hơn 150 m2;
- Không nhỏ hơn 2,0 m khi diện tích thương mại lớn hơn 150 m2 và không lớn hơn 400 m2;
- Không nhỏ hơn 2,5 m khi diện tích thương mại lớn hơn 400 m2.
f) Số lượng người trên 1 m chiều rộng đường thoát nạn từ các khán đài của các công trình thể thao và biểu diễn ngoài trời phải phù hợp với Bảng G 6.
Bảng G 6 - Số lượng người tối đa trên 1 mét chiều rộng của đường thoát nạn từ khán đài của các công trình thể thao, biểu diễn ngoài trời
| Bậc chịu lửa của công trình | Số lượng người tối đa trên 1 m chiều rộng của đường thoát nạn | |||
| Theo các cầu thang bộ của các lối đi chính của khán đài | Đi qua cửa ra từ các lối đi chính của khán đài | |||
| Đi xuống | Đi lên | Đi xuống | Đi lên | |
| I, II | 600 | 825 | 620 | 1.230 |
| III, IV | 420 | 580 | 435 | 860 |
| V | 300 | 415 | 310 | 615 |
| CHÚ THÍCH: Số lượng tổng cộng người thoát nạn đi qua một cửa ra thoát nạn không được vượt quá 1.500 người, khi khán đài có bậc chịu lửa I, II. Khi khán đài có bậc chịu lửa là bậc III, thì tổng số người đi qua phải giảm xuống 30% và ở bậc IV, bậc V thì phải giảm xuống 50%. | ||||
G.2.2. Đối với nhà sản xuất
a) Chiều rộng của một lối ra thoát nạn từ một gian phòng phải xác định theo số lượng người cần thoát nạn qua lối ra đó và theo số lượng người trên 1 m chiều rộng của lối ra thoát nạn phù hợp với Bảng G 7 sau, nhưng không nhỏ hơn 0,9 m.
Số lượng người trên 1 m chiều rộng của một lối ra thoát nạn đối với các trị số trung gian của khối tích của nhà được xác định bằng nội suy.
Số lượng người trên 1 m chiều rộng của một lối ra thoát nạn từ các gian phòng có chiều cao lớn hơn 6 m được tăng lên như sau: tăng lên 20% khi chiều cao nhà là 12 m; tăng lên 30% khi chiều cao nhà là 18 m và lên 40% khi chiều cao nhà là 24 m. Khi chiều cao nhà là các trị số trung gian thì số lượng người trên 1 m chiều rộng của một lối ra thoát nạn được xác định nội suy.
Bảng G 7 - Số lượng người tối đa trên 1 mét chiều rộng của lối ra thoát nạn từ một gian phòng của nhà sản xuất
| Khối tích của gian phòng (nghìn m3) | Hạng của gian phòng | Bậc chịu lửa của nhà | Cấp nguy hiểm cháy kết cấu của nhà | Số lượng người tối đa trên 1m chiều rộng của lối ra thoát nạn từ một gian phòng (người) |
| (1) | (2) | (3) | (4) | (5) |
| Đến 15 | A, B | I, II, III, IV | S0 | 45 |
| C 1, C2, C 3 | I, II, III, IV | S0 | 110 | |
| III, IV | S1 | 75 | ||
| Không quy định | S2, S3 | 55 | ||
| 30 | A, B | I, II, III, IV | S0 | 65 |
| C 1, C2, C 3 | I, II, III, IV | S0 | 155 | |
| III, IV | S1 | 110 | ||
| 40 | A, B | I, II, III, IV | S0 | 85 |
| C 1 , C2, C 3 | I, II, III, IV | S0 | 175 | |
| III, IV | S1 | 120 | ||
| 50 | A, B | I, II, III, IV | S0 | 130 |
| C 1, C2, C 3 | I, II, III, IV | S0 | 195 | |
| III, IV | S1 | 135 | ||
| Bằng và lớn hơn 60 | A, B | I, II, III, IV | S0 | 150 |
| C 1, C2, C 3 | I, II, III, IV | S0 | 220 | |
| III, IV | S1 | 155 | ||
| Bằng và lớn hơn 80 | C 1, C2, C 3 | I, II, III, IV | S0 | 260 |
| III, IV | S1 | 220 | ||
| Không phụ thuộc vào khối tích | C 4, D | I, II, III, IV | S0 | 260 |
| III, IV | S1 | 180 | ||
| Không quy định | S2, S3 | 130 | ||
| Không phụ thuộc vào khối tích | E | Không quy định |
|
|
b) Chiều rộng của một lối ra thoát nạn từ hành lang ra bên ngoài hoặc vào một buồng thang bộ, phải xác định theo tổng số người cần thoát nạn qua lối ra đó và theo định mức số người trên 1 m chiều rộng của lối ra thoát nạn phù hợp với Bảng G 8 nhưng không nhỏ hơn 0,9 m.
Bảng G 8 - Số lượng người tối đa trên 1 mét chiều rộng của lối ra thoát nạn từ hành lang của nhà sản xuất
| Hạng của gian phòng có nguy hiểm cháy cao nhất có lối ra thoát nạn đi vào hành lang | Bậc chịu lửa của nhà | Cấp nguy hiểm cháy kết cấu của nhà | Số lượng người tối đa trên 1m chiều rộng của lối ra thoát nạn từ hành lang (người) |
| A, B | I, II, III, IV | S0 | 85 |
| C 1, C2, C 3 | I, II, III, IV | S0 | 173 |
| IV | S1 | 120 | |
| Không quy định | S2, S3 | 85 | |
| C 4, D, E | I, II, III, IV | S0 | 260 |
| IV | S1 | 180 | |
| Không quy định | S2, S3 | 130 |
G.3. Xác định số lượng người lớn nhất trong ngôi nhà hoặc trong một phần của nhà
Số lượng người lớn nhất trong một gian phòng, một tầng hoặc của ngôi nhà là số lượng người lớn nhất theo thiết kế được duyệt. Khi thiết kế không chỉ rõ giá trị này, số lượng người lớn nhất được tính bằng diện tích sàn của phòng, của tầng hoặc của ngôi nhà chia cho hệ số không gian sàn (m2/người) nêu tại Bảng G 9.
CHÚ THÍCH: “Diện tích sàn" ở đây không kể diện tích của cầu thang bộ, thang máy, khu vệ sinh và các phần phụ trợ khác.
Bảng G 9 - Hệ số không gian sàn(a)
| TT | Không gian sử dụng(b)(c) | Hệ số không gian sàn (m2/người) |
| (1) | (2) | (3) |
| 1 | Khu vực khán giả đứng, quầy bar không có ghế ngồi và các khu vực giải lao tương tự | 0,3 |
| 2 | Khu vực vui chơi có mái che, hội trường, nơi đông người, câu lạc bộ, sàn nhảy và các khu tương tự | 0,5 |
| 3 | Sảnh lớn, khu vực xếp hàng hoặc khu vực bán hàng rộng | 0,7 |
| 4 | Phòng họp, phòng khách, phòng hội thảo, phòng ăn, phòng đọc, nhà hàng, phòng làm việc hoặc phòng đợi. | 1,0 |
| 5 | Nhà chợ, trung tâm thương mại, siêu thị | 1,35 |
| 6 | Phòng triển lãm hoặc trường quay (phim, thu phát sóng, truyền hình, ghi âm) | 1,5 |
| 7 | Các cửa hàng mua bán, dịch vụ: bách hóa, dịch vụ cắt, uốn tốc, giặt là, sửa chữa hoặc tương tự | 2,0 |
| 8 | Phòng trưng bày nghệ thuật, khu trưng bày sản phẩm, bảo tàng hoặc các khu tương tự | 5,0 |
| 9 | Văn phòng | 6,0 |
| 10 | Các cửa hàng bán đồ nội thất lớn như bàn ghế, đồ trải sàn, … | 7,0 |
| 11 | Nhà bếp hoặc thư viện | 7,0 |
| 12 | Phòng ngủ hoặc phòng ngủ kết hợp phòng học | 8,0 |
| 13 | Phòng khách, phòng giải trí | 10,0 |
| 14 | Kho hoặc nơi chứa đồ | 30,0 |
| 15 | Nhà để xe ôtô | 2 người/ô để xe |
| CHÚ THÍCH: a) Nếu không sử dụng các giá trị trong bảng trên thì có thể xác định hệ số không gian sàn theo số liệu thực tế lấy từ công trình tương tự. Trong trường hợp này, các số liệu cần phải phản ánh mật độ sinh hoạt trung bình tại thời điểm cao nhất trong năm. b) Khi một đối tượng không thuộc không gian sử dụng được nêu ở trên thì có thể lựa chọn giá trị phù hợp từ một đối tượng tương tự. c) Nếu một khu vực nhà được sử dụng cho nhiều mục đích khác nhau thì cần áp dụng hệ số cho số lượng người lớn nhất. Nếu ngôi nhà có nhiều khu vực sử dụng khác nhau thì mỗi khu vực cần được tính toán với hệ số không gian tương ứng cho khu vực đó. | ||
PHỤ LỤC H
MỘT SỐ QUY ĐỊNH VỀ SỐ TẦNG GIỚI HẠN (CHIỀU CAO CHO PHÉP) VÀ DIỆN TÍCH KHOANG CHÁY CỦA NHÀ
H.1. Nhà ở
H.1.1. Nhà ở chung cư
Chiều cao cho phép của nhà và diện tích cho phép lớn nhất của một tầng nhà trong phạm vi một khoang cháy đối với nhà chung cư được quy định theo Bảng H 1.
Bảng H 1 - Diện tích khoang cháy và chiều cao lớn nhất cho phép của nhà chung cư
| Bậc chịu lửa của nhà | Cấp nguy hiểm cháy kết cấu của nhà | Chiều cao lớn nhất cho phép của nhà (m) | Diện tích cho phép lớn nhất của một tầng nhà trong phạm vi một khoang cháy (m2) |
| I | S0 | 75 | 2.200 |
| II | S0 | 50 | 2.200 |
| S1 | 28 | 2.200 | |
| III | S0 | 25 | 1.800 |
| S1 | 15 | 1.800 | |
| IV | S0 | 5 | 1.000 |
| 3 | 1.400 | ||
| S1 | 5 | 800 | |
| 3 | 1.200 | ||
| S2 | 5 | 500 | |
| 3 | 900 | ||
| V | Không quy định | 5 | 500 |
| 3 | 800 |
H.1.2. Nhà ký túc xá
Chiều cao cho phép của nhà và diện tích cho phép của một tầng nhà trong phạm vi một khoang cháy đối với nhà ký túc xá được lấy như sau:
- Đối với nhà ký túc xá có dạng đơn nguyên lấy theo Bảng H 1 (như nhà ở chung cư);
- Đối với nhà ký túc xá có dạng hành lang lấy theo Bảng H 2.
Bảng H 2 - Diện tích khoang cháy cho nhà ký túc xá có dạng hành lang chung
| Bậc chịu lửa của nhà | Cấp nguy hiểm cháy kết cấu của nhà | Chiều cao lớn nhất cho phép của nhà (m) | Diện tích cho phép lớn nhất của một tầng nhà trong phạm vi một khoang cháy (m2) |
| (1) | (2) | (3) | (4) |
| I | S0 | 50 | 2.200 |
| II | S0 | 28 | 2.200 |
| S1 | 15 | 1.000 | |
| III | S0 | 15 | 1.000 |
| S1 | 9 | 1200 | |
| IV, V | Không quy định | 3 | 400 |
H.2. Nhà và công trình công cộng
H.2.1. Số tầng lớn nhất và diện tích cho phép lớn nhất của một tầng nhà trong phạm vi một khoang cháy của một số loại công trình công cộng được quy định tại Bảng H 3.
Bảng H 3 - Diện tích cho phép lớn nhất của một tầng trong phạm vi một khoang cháy của một số loại công trình công cộng
| Bậc chịu lửa của nhà | Số tầng lớn nhất | Diện tích cho phép lớn nhất của một tầng trong phạm vi một khoang cháy (m2) |
| I, II | Lấy theo Bảng H 4 | 2.200 |
| III | Lấy theo Bảng H 4 | 1.800 |
| IV | 1 | 1.400 |
| 2 | 1.000 | |
| V | 1 | 1.000 |
| 2 | 800 |
CHÚ THÍCH:
1) Trong các nhà có bậc chịu lửa I và II, khi có trang bị hệ thống chữa cháy tự động thì diện tích khoang cháy cho trong Bảng H 3 được phép tăng lên nhưng không quá 2 lần.
2) Các tường (mặt tường), vách và trần bằng gỗ của nhà có bậc chịu lửa V sử dụng làm nhà trẻ, trường phổ thông, trường nội trú, cơ sở khám bệnh và điều trị ngoại trú, các trại chăm sóc sức khỏe cho trẻ em và các câu lạc bộ (ngoại trừ các nhà câu lạc bộ 1 tầng có tường ốp đá) phải được bảo vệ chống cháy.
3) Nếu trong phạm vi khoang cháy của nhà 1 tầng có một phần nhà 2 tầng với diện tích chiếm không quá 15% diện tích của khoang cháy thì khoang cháy đó vẫn được coi như nhà 1 tầng.
4) Trong các nhà ga hành khách và các nhà hay phòng có công năng tương tự, nếu không thể bố trí được các tường ngăn cháy thì cho phép thay thế tường ngăn cháy bằng thiết bị tạo màn nước Drencher bố trí thành 2 dải cách nhau 0,5 m và với cường độ phun không nhỏ hơn 1 lít/giây cho mỗi mét chiều dài màn nước (tính chung cho cả 2 dải). Khoảng thời gian duy trì màn nước ít nhất là 1 giờ.
5) Trong các nhà ga sân bay có bậc chịu lửa I, diện tích sàn giữa các tường ngăn cháy (khoang cháy) có thể tăng lên đến 10.000 m2 khi không có tầng hầm hoặc nếu có tầng hầm thì trong tầng hầm (tầng nửa hầm) không có các kho và các dạng buồng khác có chứa các vật liệu cháy (ngoại trừ buồng giữ đồ và mũ áo của nhân viên). Khi đó, lối đi lại từ các phòng dụng cụ vệ sinh đặt trong tầng hầm và tầng nửa hầm lên tầng 1 có thể đi theo các buồng thang bộ hở, nếu đi từ các buồng giữ đồ phải đi theo các cầu thang bộ riêng nằm trong buồng thang kín. Các buồng giữ đồ (ngoại trừ những buồng có trang bị các hốc gửi tự động) và buồng giữ mũ áo phải được ngăn cách với những phần khác của tầng hầm bằng các vách ngăn cháy loại I và được trang bị hệ thống chữa cháy tự động, còn các trạm điều độ - chỉ huy phải được ngăn cách bằng các vách ngăn cháy.
6) Trong các nhà ga sân bay, không hạn chế diện tích sàn giữa các tường ngăn cháy nếu được trang bị các hệ thống chữa cháy tự động.
7) Những phần phụ của nhà chính như mái hiên, sân thềm, hành lang ngoài,… được phép lấy bậc chịu lửa thấp hơn 1 bậc so với bậc chịu lửa của nhà chính.
8) Trong các gian thi đấu thể thao, bể bơi trong nhà (kể cả có ghế ngồi hoặc không có ghế ngồi) cũng như trong các gian phòng huấn luyện bơi lội, các khu vực huấn luyện bắn súng trong nhà (kể cả đặt ở dưới khán đài hoặc xây trong các ngôi nhà công cộng khác) thì diện tích khoang cháy có thể tăng lên đến 6.000 m2 đối với nhà 1 tầng có bậc chịu lửa I, II; tăng lên đến 5.000 m2 đối với nhà từ 2 đến 5 tầng có bậc chịu lửa I và tăng lên đến 4.000 m2 đối với nhà từ 2 đến 5 tầng có bậc chịu lửa II.
9) Trong các nhà nhà thi đấu thể thao độc lập, có bậc chịu lửa I, II cho phép bố trí diện tích khoang cháy lên tới 10.000 m2. Diện tích này được phép tăng thêm nhưng không quá 2 lần khi có hệ thống chữa cháy tự động.
10) Trong các gian tiền sảnh và phòng chờ có diện tích lớn hơn giá trị trong Bảng H 3, cho phép thay thế tường ngăn cháy bằng vách ngăn cháy trong suốt loại 2.
H.2.2. Nhà trẻ, mẫu giáo, bệnh viện, nhà hộ sinh, nhà học, rạp chiếu bóng, nhà hát, câu lạc bộ, nhà văn hóa, nhà của cơ sở bán hàng, nhà của cơ sở dịch vụ đời sống là các công trình độc lập thì số tầng lớn nhất tùy thuộc quy mô công trình và bậc chịu lửa của nhà, được lấy theo Bảng H 4.
Bảng H 4 - Số tầng lớn nhất cho phép của một số dạng nhà và công trình công cộng độc lập
| Tên công trình và quy mô | Bậc chịu lửa của nhà | Số tầng lớn nhất cho phép |
| (1) | (2) | (3) |
| 1- Nhà trẻ, Mẫu giáo a) Đến 50 cháu b) Đến 150 cháu c) Đến 350 cháu |
V, IV III II, I |
1 tầng 2 tầng 2 tầng, 3 tầng(a) |
| 2- Bệnh viện, Nhà hộ sinh a) Đến 50 giường b) Trên 50 giường c) Không phụ thuộc số giường |
V, IV III II, I |
1 tầng 2 tầng 9 tầng(b) |
| 3- Nhà học của trường phổ thông và nội trú a) Đến 270 chỗ b) Đến 360 chỗ c) Đến 720 chỗ d) Không phụ thuộc số lượng chỗ |
V IV III II, I |
1 tầng 1 tầng 2 tầng 4 tầng |
| 4- Rạp chiếu bóng a) Dưới 300 chỗ b) Đến 400 chỗ c) Đến 600 chỗ d) Từ 600 chỗ trở lên |
V IV III II, I |
1 tầng 2 tầng 2 tầng Không quy định |
| 5- Nhà hát | II, I | Không quy định |
| 6- Câu lạc bộ, Nhà văn hóa(c) a) Dưới 300 chỗ b) Dưới 400 chỗ c) Dưới 600 chỗ d) Từ 600 chỗ trở lên |
V IV III I, II |
1 tầng 2 tầng 3 tầng Không quy định |
| 7- Nhà của cơ sở bán hàng (Cửa hàng bách hóa, lương thực thực phẩm, siêu thị) |
V, IV III II, I |
1 tầng 2 tầng 5 tầng |
| 8- Nhà của các cơ sở dịch vụ đời sống |
V, IV III II, I |
1 tầng 2 tầng 6 tầng |
| GHI CHÚ: (a) Trong nhà trẻ, mẫu giáo 3 tầng thì ở tầng 3 chỉ được bố trí các cháu lớp lớn; các gian phòng dành cho học nhạc và thể dục; không gian chơi cho các cháu; (b) Khu vực dành cho trẻ em (kể cả trẻ dưới 3 tuổi có mẹ đi kèm) trong bệnh viện phải được bố trí từ tầng 5 trở xuống. Khu vực dành cho trẻ em dưới 7 tuổi phải bố trí từ tầng 2 trở xuống; (c) Gian khán giả của câu lạc bộ, nhà văn hóa có bậc chịu lửa IV phải bố trí ở tầng 1; Gian khán giả của câu lạc bộ, nhà văn hóa có bậc chịu lửa III chỉ được bố trí từ tầng 2 trở xuống. | ||
H.3. Tầng cao nhất cho phép bố trí gian giảng đường, hội nghị, hội thảo, phòng họp, gian tập thể thao
Các gian giảng đường, phòng hội nghị, hội thảo, phòng họp, gian tập thể thao trong các nhà công cộng, nhà đa năng chỉ được bố trí ở tầng cao nhất như quy định tại Bảng H 5.
Bảng H 5 - Tầng cao nhất được phép bố trí gian giảng đường, hội nghị, hội thảo, phòng họp, gian tập thể thao
| Bậc chịu lửa của nhà | Số chỗ ngồi | Tầng cao nhất được phép bố trí |
| (1) | (2) | (3) |
| I, II | Đến 300 | 14 |
| Từ trên 300 đến 600 | 5 | |
| Trên 600 | 3 | |
| III | Đến 300 | 3 |
| Từ trên 300 đến 600 | 2 | |
| IV, V | Đến 300 | 1 |
| CHÚ THÍCH: 1) Khi xác định tầng cao nhất để bố trí các gian phòng có sàn dốc thì cao độ của tầng được lấy tương đương cao độ của hàng ghế ngồi đầu tiên. 2) Các gian hội trường của các trường phổ thông và bán trú với bậc chịu lửa III phải được bố trí không quá tầng 2, sàn của các gian phòng này phải là sàn ngăn cháy loại 2. | ||
H.4. Đối với nhà sản xuất và nhà kho
H.4.1. Đối với nhà sản xuất, diện tích tầng cho phép lớn nhất trong phạm vi một khoang cháy phụ thuộc vào bậc chịu lửa, cấp nguy hiểm cháy kết cấu của nhà và chiều cao nhà được cho trong Bảng H 6.
Bảng H 6 - Diện tích khoang cháy cho nhà sản xuất (nhà nhóm F 5.1)
| Hạng của nhà sản xuất | Số tầng tối đa cho phép (tầng) | Bậc chịu lửa của nhà | Diện tích cho phép lớn nhất của một tầng nhà trong phạm vi một khoang cháy (m2) | ||
| Nhà một tầng | Nhà hai tầng | Nhà 3 tầng trở lên | |||
| (1) | (2) | (3) | (4) | (5) | (6) |
| A và B | 6 | I | (*) | ||
| A và B (trong trường hợp không sản xuất hóa chất và chế biến dầu khí) | 6 | II | (*) | 5.200 | 3.500 |
| A (có sản xuất hóa chất và chế biến dầu khí) | 6 | II | (*) | 5.200 | 3.500 |
| B (có sản xuất hóa chất và chế biến dầu khí) | 6 | II | (*) | 10.400 | 7.800 |
| C | Không quy định | I đến II | (*) | ||
| 3 | III | 5.200 | 3.500 | 2.600 | |
| 1 | IV | 2.600 |
|
| |
| 1 | V | 1.200 |
|
| |
| D | Không quy định | I đến II | (*) | ||
| 3 | III | 6.500 | 2.500 | 3.500 | |
| 1 | IV | 3.500 |
|
| |
| 1 | V | 1.500 |
|
| |
| E | Không quy định | I và II | (*) | ||
| 3 | III | 7.800 | 6.500 | 3.500 | |
| 1 | IV | 3.500 |
|
| |
| 1 | V | 2.600 |
|
| |
| CHÚ THÍCH: (*) Không quy định cụ thể về diện tích khoang cháy nhưng công trình phải tuân thủ đầy đủ các yêu cầu về PCCC của tiêu chuẩn thiết kế áp dụng cho công trình đó; 1) Các gian sản xuất có các thiết bị chữa cháy tự động diện tích sàn giữa các tường ngăn cháy cho phép tăng lên so với quy định tại Bảng H 6 nhưng không quá 2 lần; 2) Khi các phòng hoặc gian sản xuất được trang bị các thiết bị báo cháy tự động, thì diện tích sàn giữa các tường ngăn cháy cho phép tăng 25 % so với quy định ở Bảng H 6; 3) Diện tích khoang cháy ở tầng 1 của nhà nhiều tầng, khi sàn trần tầng 1 có giới hạn chịu lửa 150 phút, được phép lấy như diện tích khoang cháy của nhà 1 tầng. 4) Đối với các nhà sản xuất chế biến gỗ có bậc chịu lửa II, diện tích khoang cháy được phép lấy tối đa là 10.400 m2 đối với nhà 1 tầng. Đối với nhà hai tầng, diện tích khoang cháy tối đa là 7.800 m2, còn đối với nhà nhiều tầng hơn thì diện tích khoang cháy tối đa là 5.200 m2; 5) Trong các ngôi nhà sản xuất một tầng có bậc chịu lửa I và II, cho phép không thiết kế tường ngăn cháy. Quy định này không áp dụng đối với nhà có bậc chịu lửa II mà trong đó sản xuất hóa chất, chế biến gia công dầu khí, hoặc các kho chứa vật liệu hay sản phẩm dễ cháy; các ngôi nhà sản xuất gia công chế biến gỗ; | |||||
H.4.2. Đối với nhà kho, bậc chịu lửa, cấp nguy hiểm cháy kết cấu, chiều cao nhà kho và diện tích tầng trong phạm vi một khoang cháy của nhà lấy theo quy định ở Bảng H 7.
Bảng H 7 - Diện tích khoang cháy cho nhà kho
| Hạng của nhà kho | Chiều cao nhà (m) | Bậc chịu lửa của nhà | Cấp nguy hiểm cháy kết cấu của nhà | Diện tích tầng cho phép lớn nhất của một tầng nhà trong phạm vi một khoang cháy (m2) | ||
| Nhà một tầng | Nhà hai tầng | Nhà nhiều tầng | ||||
| (1) | (2) | (3) | (4) | (5) | (6) | (7) |
| A | - | I, II | S0 | 5.200 | - | - |
| - | III | S0 | 4.400 | - | - | |
| - | IV | S0 | 3.600 | - | - | |
| B | 18 | I, II | S0 | 7.800 | 5.200 | 3.500 |
| - | III | S0 | 6.500 | - | - | |
| - | IV | S0 | 5.200 | - | - | |
| C | 36 | I, II | S0 | 10.400 | 7.800 | 5.200 |
| 24 | III | S0 | 10.400 | 5.200 | 2.600 | |
| - | IV | S0, S1 | 7.800 | - | - | |
| - | IV | S2, S3 | 2.600 | - | - | |
| - | V | Không quy định | 1.200 | - | - | |
| E | Không hạn chế | I, II | S0 | Không hạn chế | 10.400 | 7.800 |
| 36 | III | S0, S1 | Không hạn chế | 7.800 | 5.200 | |
| 12 | IV | S0, S1 | Không hạn chế | 2.200 | - | |
| - | IV | S2, S3 | 5.200 | - | - | |
| 9 | V | Không quy định | 2.200 | 1.200 | - | |
| CHÚ THÍCH: Khi trong các gian phòng kho có bậc chịu lửa I, II, III có trang thiết bị chữa cháy tự động, thì diện tích quy định trong Bảng H 7 được phép tăng lên nhưng không quá 2 lần. | ||||||
[1] Xem 2.6.5 - Bảng 6
[2] Từ đây về sau, ngoài các trường hợp được nói riêng, chiều cao nhà được xác định bằng chiều cao bố trí của tầng trên cùng không kể tầng kỹ thuật trên cùng. Còn chiều cao bố trí của tầng được xác định bằng khoảng cách từ mặt đường cho xe chữa cháy tiếp cận tới mép dưới của cửa sổ mở trên tường ngoài của tầng đó.
[3] Các tiêu chuẩn TCXDVN sẽ được chuyển đổi thành TCVN theo quy định của Luật Tiêu chuẩn và Quy chuẩn kỹ thuật.
[4] LPG là từ viết tắt của Liquified Petrolium Gas – Khí dầu mỏ hóa lỏng
[5] Tiêu chuẩn TCXDVN 331 : 2004 sẽ được chuyển đổi thành TCVN theo quy định của Luật Tiêu chuẩn và Quy chuẩn kỹ thuật.
Bạn chưa Đăng nhập thành viên.
Đây là tiện ích dành cho tài khoản thành viên. Vui lòng Đăng nhập để xem chi tiết. Nếu chưa có tài khoản, vui lòng Đăng ký tại đây!