- Tổng quan
- Nội dung
- VB gốc
- Tiếng Anh
- Hiệu lực
- VB liên quan
- Lược đồ
-
Nội dung hợp nhất
Tính năng này chỉ có tại LuatVietnam.vn. Nội dung hợp nhất tổng hợp lại tất cả các quy định còn hiệu lực của văn bản gốc và các văn bản sửa đổi, bổ sung, đính chính... trên một trang. Việc hợp nhất văn bản gốc và những văn bản, Thông tư, Nghị định hướng dẫn khác không làm thay đổi thứ tự điều khoản, nội dung.
Khách hàng chỉ cần xem Nội dung hợp nhất là có thể nắm bắt toàn bộ quy định hiện hành đang áp dụng, cho dù văn bản gốc đã qua nhiều lần chỉnh sửa, bổ sung.
- Tải về
Thông tư 17/2023/TT-BTTTT QCVN thiết bị vô tuyến cự ly ngắn dải tần từ 9 kHz đến 25 MHz
| Cơ quan ban hành: | Bộ Thông tin và Truyền thông |
Số công báo:
Số công báo là mã số ấn phẩm được đăng chính thức trên ấn phẩm thông tin của Nhà nước. Mã số này do Chính phủ thống nhất quản lý.
|
Đã biết
|
| Số hiệu: | 17/2023/TT-BTTTT | Ngày đăng công báo: |
Đã biết
|
| Loại văn bản: | Thông tư | Người ký: | Nguyễn Mạnh Hùng |
|
Ngày ban hành:
Ngày ban hành là ngày, tháng, năm văn bản được thông qua hoặc ký ban hành.
|
27/11/2023 |
Ngày hết hiệu lực:
Ngày hết hiệu lực là ngày, tháng, năm văn bản chính thức không còn hiệu lực (áp dụng).
|
Đang cập nhật |
|
Áp dụng:
Ngày áp dụng là ngày, tháng, năm văn bản chính thức có hiệu lực (áp dụng).
|
Đã biết
|
Tình trạng hiệu lực:
Cho biết trạng thái hiệu lực của văn bản đang tra cứu: Chưa áp dụng, Còn hiệu lực, Hết hiệu lực, Hết hiệu lực 1 phần; Đã sửa đổi, Đính chính hay Không còn phù hợp,...
|
Đã biết
|
| Lĩnh vực: | Thông tin-Truyền thông |
TÓM TẮT THÔNG TƯ 17/2023/TT-BTTTT
Ngày 27/11/2023, Bộ Thông tin và Truyền thông đã ra Thông tư 17/2023/TT-BTTTT ban hành “Quy chuẩn kỹ thuật quốc gia về thiết bị vô tuyến cự ly ngắn dải tần từ 9 kHz đến 25 MHz và thiết bị vòng từ hoạt động trong dải tần từ 9 kHz đến 30 MHz”. Cụ thể như sau:
1. Quy chuẩn này áp dụng cho các loại thiết bị vô tuyến cự ly ngắn sau:
- Thiết bị vô tuyến cự ly ngắn dùng cho mục đích chung hoạt động trong dải tần từ 9 kHz đến 25 MHz;
- Thiết bị vòng từ hoạt động trong dải tần từ 9 kHz đến 30 MHz, gồm: thiết bị nhận dạng vô tuyến điện (RFID), thiết bị sử dụng công nghệ giao tiếp trường gần (NFC), và thiết bị sử dụng trong hệ thống cổng từ an ninh (EAS) hoạt động ở dải tần LF và HF.
2. Tất cả các thiết bị vô tuyến cự ly ngắn phải tuân thủ các quy định về quy hoạch tần số và phân kênh tần số của Việt Nam; 03 trường hợp các loại thiết bị vô tuyến điện hoạt động trong các băng tần từ 9 kHz đến 30 MHz gồm:
- Có kết nối đầu ra vô tuyến với ăng ten rời hoặc với ăng ten tích hợp;
- Sử dụng mọi loại điều chế;
- Thiết bị cố định, thiết bị di động và thiết bị cầm tay.
3. Quy chuẩn được áp dụng cho các tổ chức, cá nhân Việt Nam và nước ngoài trên toàn lãnh thổ Việt Nam có hoạt động sản xuất, kinh doanh các thiết bị thuộc phạm vi điều chỉnh của quy chuẩn này.
Thông tư này có hiệu lực kể từ ngày 01/7/2024.
Xem chi tiết Thông tư 17/2023/TT-BTTTT có hiệu lực kể từ ngày 01/07/2024
Tải Thông tư 17/2023/TT-BTTTT
|
BỘ THÔNG TIN VÀ TRUYỀN THÔNG |
CỘNG HÒA XÃ HỘI CHỦ NGHĨA VIỆT NAM |
THÔNG TƯ
Ban hành “Quy chuẩn kỹ thuật quốc gia về thiết bị vô tuyến
cự ly ngắn dải tần từ 9 kHz đến 25 MHz và thiết bị vòng từ hoạt động trong
dải tần từ 9 kHz đến 30 MHz”
__________________
Căn cứ Luật Tiêu chuẩn và Quy chuẩn kỹ thuật ngày 29 tháng 6 năm 2006;
Căn cứ Luật Viễn thông ngày 23 tháng 11 năm 2009;
Căn cứ Luật Tần số vô tuyến điện ngày 23 tháng 11 năm 2009, Luật sửa đổi, bổ sung một số điều của Luật Tần số vô tuyến điện ngày 09 tháng 11 năm 2022;
Căn cứ Nghị định số 127/2007/NĐ-CP ngày 01 tháng 8 năm 2007 của Chính phủ quy định chi tiết và hướng dẫn thi hành một số điều của Luật Tiêu chuẩn và Quy chuẩn kỹ thuật;
Căn cứ Nghị định số 78/2018/NĐ-CP ngày 16 tháng 5 năm 2018 của Chính phủ sửa đổi, bổ sung một số điều của Nghị định số 127/2007/NĐ-CP ngày 01 tháng 8 năm 2007 của Chính phủ quy định chi tiết thi hành một số điều Luật Tiêu chuẩn và Quy chuẩn kỹ thuật;
Căn cứ Nghị định số 48/2022/NĐ-CP ngày 26 tháng 7 năm 2022 của Chính phủ quy định chức năng, nhiệm vụ, quyền hạn và cơ cấu tổ chức của Bộ Thông tin và Truyền thông;
Theo đề nghị của Vụ trưởng Vụ Khoa học và Công nghệ,
Bộ trưởng Bộ Thông tin và Truyền thông ban hành Thông tư quy định Quy chuẩn kỹ thuật quốc gia về thiết bị vô tuyến cự ly ngắn dải tần từ 9 kHz đến 25 MHz và thiết bị vòng từ hoạt động trong dải tần từ 9 kHz đến 30 MHz.
Điều 1. Ban hành kèm theo Thông tư này Quy chuẩn kỹ thuật quốc gia về thiết bị vô tuyến cự ly ngắn dải tần từ 9 kHz đến 25 MHz và thiết bị vòng từ hoạt động trong dải tần từ 9 kHz đến 30 MHz (QCVN 55:2023/BTTTT).
Điều 2. Hiệu lực thi hành
1. Thông tư này có hiệu lực thi hành kể từ ngày 01 tháng 7 năm 2024.
2. Khoản 15, Điều 1 Thông tư số 29/2011/TT-BTTTT ngày 26 tháng 10 năm 2011 của Bộ trưởng Bộ Thông tin và Truyền thông hết hiệu lực thi hành kể từ ngày 01 tháng 7 năm 2024.
Điều 3. Chánh Văn phòng, Vụ trưởng Vụ Khoa học và Công nghệ, Thủ trưởng các cơ quan, đơn vị thuộc Bộ Thông tin và Truyền thông, Giám đốc Sở Thông tin và Truyền thông các tỉnh, thành phố trực thuộc Trung ương và các tổ chức, cá nhân có liên quan chịu trách nhiệm thi hành Thông tư này./.
|
Nơi nhận: |
BỘ TRƯỞNG
Nguyễn Mạnh Hùng |

CỘNG HÒA XÃ HỘI CHỦ NGHĨA VIỆT NAM
QCVN 55:2023/BTTTT
QUY CHUẨN KỸ THUẬT QUỐC GIA
VỀ THIẾT BỊ VÔ TUYẾN CỰ LY NGẮN
DẢI TẦN TỪ 9 kHz ĐẾN 25 MHz VÀ THIẾT BỊ VÒNG TỪ
HOẠT ĐỘNG TRONG DẢI TẦN TỪ 9 kHz ĐẾN 30 MHz
National technical regulation
on Short Range Device (SRD) - Radio equipment to be used
in the 9 kHz to 25 MHz frequency range and inductive loop
systems in the frequency range 9 kHz to 30 MHz
HÀ NỘI – 2023
Mục lục
1. QUY ĐỊNH CHUNG…………………………………………………………………………………………..5
1.1. Phạm vi điều chỉnh…………………………………………………………………………………………5
1.2. Đối tượng áp dụng…………………………………………………………………………………………6
1.3. Tài liệu viện dẫn…………………………………………………………………………………………….6
1.4. Giải thích từ ngữ…………………………………………………………………………………………....6
1.5. Ký hiệu……………………………………………………………………………………………………....7
1.6. Chữ viết tắt………………………………………………………………………………………..….……..8
2. QUY ĐỊNH KỸ THUẬT……………………………………………………………………………………….9
2.1. Yêu cầu kỹ thuật……………………………………………………………………………………………9
2.1.1. Các yêu cầu chung………………………………………………………………………………………9
2.1.2. Thiết bị đo kiểm…………………………………………………………………………………………10
2.1.3. Thiết kế cơ và điện……………………………………………………………………………………..11
2.1.4. Công bố thông tin sản phẩm. …………………………………………………………………………11
2.1.5. Thiết bị đo kiểm phụ trợ………………………………………………………………………………..11
2.1.6. Giải thích kết quả đo……………………………………………………………………………………11
2.2. Điều kiện đo kiểm, nguồn điện và nhiệt độ môi trường………………………………………………12
2.2.1. Điều kiện môi trường…………………………………………………………………………………...12
2.2.2. Nguồn điện đo kiểm…………………………………………………………………………………….12
2.2.3. Điều kiện đo kiểm bình thường……………………………………………………………………….12
2.2.4. Điều kiện đo kiểm tới hạn……………………………………………………………………………...13
2.3. Các điều kiện chung………………………………………………………………………………………15
2.3.1. Các tín hiệu đo kiểm bình thường và điều chế đo kiểm……………………………………………15
2.3.2. Ăng ten giả………………………………………………………………………………………………16
2.3.3. Bộ ghép đo………………………………………………………………………………………………16
2.3.4. Vị trí đo kiểm và sơ đồ đo chung đối với các phép đo bức xạ…………………………………….17
2.3.5. Chế độ hoạt động của máy phát………………………………………………………………………17
2.3.6. Máy thu đo……………………………………………………………………………………………….17
2.4. Các yêu cầu đối với máy phát…………………………………………………………………………...18
2.4.1. Phân loại máy phát……………………………………………………………………………………..18
2.4.2. Trường H (bức xạ) ……………………………………………………………………………………..21
2.4.3. Dòng sóng mang RF……………………………………………………………………………………23
2.4.4. Trường E bức xạ………………………………………………………………………………………..24
2.4.5. Dải tần được cho phép hoạt động…………………………………………………………………….24
2.4.6. Dải tần hoạt động……………………………………………………………………………………….24
2.4.7. Băng thông điều chế……………………………………………………………………………………25
2.4.8. Phát xạ giả dẫn của máy phát…………………………………………………………………………26
2.4.9. Phát xạ giả miền bức xạ của máy phát (< 30 MHz) ………………………………………………..27
2.4.10. Phát xạ giả miền bức xạ của máy phát (> 30 MHz) ………………………………………………28
2.4.11. Độ ổn định tần số máy phát………………………………………………………………………….30
2.5. Các yêu cầu đối với máy thu…………………………………………………………………………….30
2.5.1. Độ chọn lọc kênh lân cận………………………………………………………………………………30
2.5.2. Đặc tính chặn hay mức giảm độ nhạy thu đối với tín hiệu không mong muốn…………………..31
2.5.3. Phát xạ giả của máy thu……………………………………………………………………………….33
2.6. Độ không đảm bảo đo……………………………………………………………………………………34
Phụ lục A (Quy định) Phép đo bức xạ……………………………………………………………………….36
Phụ lục B (Quy định) Hệ số hiệu chỉnh giới hạn trường H đối với các trường E……………………….47
Phụ lục C (Quy định) Các ăng ten vòng chế tạo theo yêu cầu của khách hàng………………………..48
Phụ lục D (Tham khảo) Bộ ghép đo dòng sóng mang và hài máy phát cảm ứng sử dụng ăng ten giả (chỉ áp dụng đối với sản phẩm nhóm 3) …………………………………………………………………….50
Phụ lục E (Tham khảo) Các trường E trong trường gần tại các tần số thấp……………………………52
Phụ lục F (Quy định) Các giới hạn và phép đo trường H tại khoảng cách 3 m và 30 m……………….54
Phụ lục G (Quy định) Các mức phát xạ của máy phát và các phép đo mặt nạ phổ……………………56
Phụ lục H (Quy định) Các giới hạn vòng cảm ứng chung trong dải tần 148,5 kHz đến 30 MHz……...58
Phụ lục I (Tham khảo) Cách xác định và sử dụng băng thông đo………………………………………..60
Phụ lục J (Quy định) Mã HS thiết bị vô tuyến cự ly ngắn dải tần từ 9 kHz đến 25 MHz và thiết bị vòng từ hoạt động trong dải tần từ 9 kHz đến 30 MHz…………………………………………………………..61
Thư mục tài liệu tham khảo………………………………………………………………...…………………62
Lời nói đầu
QCVN 55:2023/BTTTT thay thế QCVN 55:2011/BTTTT.
QCVN 55:2023/BTTTT do Cục Viễn thông biên soạn, Vụ Khoa học và Công nghệ trình duyệt, Bộ Khoa học và Công nghệ thẩm định, Bộ Thông tin và Truyền thông ban hành kèm theo Thông tư số ..../2023/TT-BTTTT ngày ... tháng .... năm 2023.
QUY CHUẨN KỸ THUẬT QUỐC GIA
VỀ THIẾT BỊ VÔ TUYẾN CỰ LY NGẮN DẢI TẦN TỪ 9 kHz ĐẾN 25 MHz VÀ
THIẾT BỊ VÒNG TỪ HOẠT ĐỘNG TRONG DẢI TẦN TỪ 9 kHz ĐẾN 30 MHz
National technical regulation
on Short Range Device (SRD) - Radio Equipment
to be used in the 9 kHz to 25 MHz frequency range and inductive loop systems
in the frequency range 9 kHz to 30 MHz
1. QUY ĐỊNH CHUNG
1.1. Phạm vi điều chỉnh
Quy chuẩn này áp dụng cho các loại thiết bị vô tuyến cự ly ngắn (SRD) sau:
a) Thiết bị vô tuyến cự ly ngắn dùng cho mục đích chung hoạt động trong dải tần từ 9 kHz đến 25 MHz; và
b) Thiết bị vòng từ hoạt động trong dải tần từ 9 kHz đến 30 MHz, gồm: thiết bị nhận dạng vô tuyến điện (RFID), thiết bị sử dụng công nghệ giao tiếp trường gần (NFC), và thiết bị sử dụng trong hệ thống cổng từ an ninh (EAS) hoạt động ở dải tần LF và HF.
Quy chuẩn này áp dụng đối với sản phẩm, hàng hóa là thiết bị vô tuyến cự ly ngắn có mã số HS quy định tại Phụ lục J.
Tất cả các thiết bị vô tuyến cự ly ngắn quy định trong quy chuẩn này phải tuân thủ các quy định về quy hoạch tần số và phân kênh tần số của Việt Nam. Các loại thiết bị vô tuyến điện liệt kê ở trên hoạt động trong các băng tần từ 9 kHz đến 30 MHz (như quy định trong Bảng 1) cho các trường hợp:
- Có kết nối đầu ra vô tuyến với ăng ten rời hoặc với ăng ten tích hợp;
- Sử dụng mọi loại điều chế;
- Thiết bị cố định, thiết bị di động và thiết bị cầm tay.
Bảng 1 - Các băng tần được phép sử dụng cho thiết bị cự ly ngắn
dải tần từ 9 kHz đến 30 MHz
|
|
Băng tần/tần số |
Ứng dụng |
|
Phát và Thu |
9 kHz ÷ 90 kHz |
Thiết bị cảm ứng, dùng cho mục đích chung |
|
Phát và Thu |
90 kHz ÷ 119 kHz |
Thiết bị cảm ứng, dùng cho mục đích chung |
|
Phát và Thu |
119 kHz ÷ 140 kHz |
Thiết bị cảm ứng, dùng cho mục đích chung |
|
Phát và Thu |
140 kHz ÷ 148,5 kHz |
Thiết bị cảm ứng, dùng cho mục đích chung |
|
Phát và Thu |
148,5 kHz ÷ 190 kHz |
Thiết bị cảm ứng, dùng cho mục đích chung |
|
Phát và Thu |
3 155 kHz ÷ 3 400 kHz |
Thiết bị cảm ứng, dùng cho mục đích chung |
|
Phát và Thu |
3 234 kHz ÷ 5 234 kHz |
Thiết bị cảm ứng, dùng trong giao thông |
|
Phát và Thu |
6 765 kHz ÷ 6 795 kHz |
Thiết bị cảm ứng, dùng cho mục đích chung |
|
Phát và Thu |
10,200 MHz ÷ 11,000 MHz |
Thiết bị cảm ứng, dùng cho mục đích chung |
|
Phát và Thu |
13,553 MHz ÷ 13,567 MHz |
Thiết bị cảm ứng, dùng cho mục đích chung |
|
Phát và Thu |
26,957 MHz ÷ 27,283 MHz |
Thiết bị cảm ứng, dùng cho mục đích chung |
1.2. Đối tượng áp dụng
Quy chuẩn này được áp dụng cho các tổ chức, cá nhân Việt Nam và nước ngoài trên toàn lãnh thổ Việt Nam có hoạt động sản xuất, kinh doanh các thiết bị thuộc phạm vi điều chỉnh của quy chuẩn này.
1.3. Tài liệu viện dẫn
ETSI TR 100 028 (all parts) (V1.4.1): Electromagnetic compatibility and Radio spectrum Matters (ERM); Uncertainties in the measurement of mobile radio equipment characteristics.
CISPR 16-1-4:2010+AMD1:2012: Specification for radio disturbance and immunity measuring apparatus and methods - Part 1-4: Radio disturbance and immunity measuring apparatus - Antennas and test sites for radiated disturbance measurements.
CEPT/ERC/REC 70-03: Relating to the use of Short Range Devices (SRD).
Recommendation ITU-T O.153: Basic parameters for the measurement of error performance at bit rates below the primary rate.
Recommendation ITU-T O.41: Psophometer for use on telephone-type circuits.
ANSI C63.5: American National Standard for Electromagnetic Compatibility-Radiated Emission Measurements in Electromagnetic Interference (EMI) Control-Calibration of Antennas (9 kHz to 40 GHz).
ETSI TR 102 273-2: Electromagnetic compatibility and Radio spectrum Matters (ERM); Improvement on Radiated Methods of Measurement (using test site) and evaluation of the corresponding measurement uncertainties; Part 2: Anechoic chamber.
ETSI TR 102 273-3: Electromagnetic compatibility and Radio spectrum Matters (ERM); Improvement on Radiated Methods of Measurement (using test site) and evaluation of the corresponding measurement uncertainties; Part 3: Anechoic chamber with a ground plane.
ETSI TR 102 273-4: Electromagnetic compatibility and Radio spectrum Matters (ERM); Improvement on Radiated Methods of Measurement (using test site) and evaluation of the corresponding measurement uncertainties; Part 4: Open area test site.
ETSI TR 103 059 (V1.2.1): Electromagnetic compatibility and Radio spectrum Matters (ERM); Short-Range Devices (SRD) for operation in the 13,56 MHz band; System Reference Document for Radio Frequency Identification (RFID) equipment.
1.4. Giải thích từ ngữ
1.4.1. Ăng ten giả (artificial antenna)
Tải giả đã được điều chỉnh bức xạ, có trở kháng danh định bằng trở kháng ra cao tần của thiết bị cần đo kiểm. Mức trở kháng này do nhà cung cấp thiết bị quy định.
1.4.2. Băng tần được ấn định (assigned frequency band)
Dải tần trong đó thiết bị được phép hoạt động.
1.4.3. Các phép đo dẫn (conducted measurements)
Các phép đo được thực hiện bằng cách sử dụng kết nối trực tiếp với EUT.
1.4.4. Ăng ten tùy chỉnh (customized antenna)
Ăng ten được chế tạo theo các nguyên tắc thiết kế ăng ten của các nhà sản xuất trong các giới hạn được thử nghiệm.
1.4.5. Ăng ten rời (dedicated antenna)
Ăng ten có thể tháo rời, được thiết kế là một phần không thể thiếu được của thiết bị.
1.4.6. Trạm cố định (fixed station)
Thiết bị nhằm mục đích sử dụng tại một vị trí cố định.
1.4.7. Ăng ten tích hợp (integral antenna)
Ăng ten được gắn cố định bên trong thiết bị và được thiết kế như là một phần của thiết bị.
1.4.8. Mô men lưỡng cực từ (chỉ các cuộn lõi không khí) (magnetic dipole moment)
Tích của (số vòng cuộn) (tiết diện cuộn) (dòng qua cuộn).
1.4.9. Thiết bị vòng từ (Inductive Loop)
Thiết bị vô tuyến điện cự ly ngắn hoạt động dựa trên nguyên lý trường điện từ (phát xạ trường gần) và dùng tần số thấp.
1.4.10. Thiết bị cảm ứng (Inductive devices)
Thiết bị vô tuyến điện cự ly ngắn dùng công nghệ mạch vòng cảm ứng.
1.4.11. Trạm di động (mobile station)
Thiết bị thường được lắp trên xe có động cơ.
1.4.12. Thiết bị cầm tay (portable station)
Thiết bị mang theo người hoặc gắn trên xe.
1.4.13. Các phép đo bức xạ (radiated measurements)
Các phép đo về đo giá trị tuyệt đối trường bức xạ.
1.4.14. Phát xạ giả (spurious emissions)
Phát xạ trên một hay nhiều tần số nằm ngoài độ rộng băng tần chiếm dụng và có thể làm giảm mức phát xạ đó mà không ảnh hưởng đến việc truyền thông tin tương ứng.
1.4.15. Thiết bị vô tuyến cự ly ngắn (short range device)
Thiết bị vô tuyến điện phát hoặc thu-phát tín hiệu có công suất thấp, được thiết kế chế tạo để hoạt động trong một phạm vi hẹp, ít khả năng gây nhiễu có hại cho các thiết bị vô tuyến điện khác khi đáp ứng các điều kiện kỹ thuật, khai thác nhất định.
1.4.16. Bộ phát đáp (transponder)
Thiết bị phản hồi với tín hiệu dò tìm.
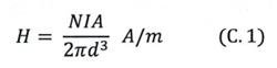
1.5. Ký hiệu
Ω ohm
A tiết diện cuộn cảm tính bằng m2
C hệ số điều chỉnh
E cường độ điện trường
f tần số
fA máy phát tần số A
fB máy phát tần số B
fC tần số trung tâm
fH tần số cao nhất
fL tần số thấp nhất
fc tần số sóng mang tính bằng Hz
H cường độ từ trường
Hef cường độ từ trường được tạo ra bởi ăng ten điện trường
Hf giới hạn cường độ từ trường
Hc giới hạn trường H phát ra
Hs giới hạn cường độ trường H đối với phát xạ giả bức xạ
Ic giới hạn dòng sóng mang
Is giới hạn dòng của phát xạ giả dẫn
λ bước sóng
m mô men lưỡng cực từ
N số vòng của anten vòng
NB biến số được xác định trong Bảng 10 (xem 2.5.3.3)
I dòng trong cuộn cảm của ăng ten
NIA tích của N x I x A
P công suất
t thời gian
1.6. Chữ viết tắt
|
EAS |
Electronic Article Surveillance |
Hệ thống cổng từ an ninh |
|
EMC |
ElectroMagnetic Compatibility |
Tương thích điện từ |
|
CEPT |
European Conference of Postal and Telecommunications administrations |
Hiệp hội các nhà quản lý bưu chính và viễn thông châu Âu |
|
ERC |
European Radiocommunications Commitee |
Ủy ban thông tin vô tuyến châu Âu |
|
EUT |
Equipment Under Test |
Thiết bị được đo kiểm |
|
ITU-T |
ITU-Telecommunication sector |
Lĩnh vực viễn thông thuộc Tổ chức viễn thông quốc tế |
|
LF |
Low Frequency |
Tần số thấp |
|
NFC |
Near Field Communication |
Giao tiếp trường gần |
|
NRI |
National Radio Interfaces |
Giao diện vô tuyến quốc gia |
|
RF |
Radio Frequency |
Tần số vô tuyến |
|
RFID |
Radio Frequency IDentification |
Nhận dạng bằng tần số vô tuyến |
|
SND/ND |
Signal, Noise and Distortion over Noise and Distortion |
(Tín hiệu + Tạp âm + Méo)/(Tạp âm + Méo) |
|
SRD |
Short Range Device |
Thiết bị vô tuyến cự ly ngắn |
|
VSWR |
Voltage Standing Wave Ratio |
Tỉ số sóng đứng theo điện áp |
2. QUY ĐỊNH KỸ THUẬT
2.1. Yêu cầu kỹ thuật
2.1.1. Các yêu cầu chung
2.1.1.1. Yêu cầu về máy thu
Các yêu cầu kiểm tra sự phù hợp của máy thu được xác định trong Bảng 2 dưới đây.
Bảng 2 – Kiểm tra sự phù hợp của máy thu theo công nghệ
|
Công nghệ |
Phát xạ giả của máy thu (xem 2.5.3) |
Độ chọn lọc kênh lân cận (xem 2.5.1) |
Đặc tính chặn hay mức giảm độ nhạy thu (xem 2.5.2) |
|
Hệ thống gắn thẻ |
Yêu cầu |
Không (Chú thích 2) |
Không (Chú thích 1) |
|
Hệ thống trong dải tần 27 MHz |
Yêu cầu |
Yêu cầu |
Yêu cầu |
|
Hệ thống khác |
Yêu cầu |
Không (Chú thích 2) |
Yêu cầu |
|
CHÚ THÍCH 1: Không yêu cầu đặc tính chặn hay mức giảm độ nhạy thu, vì máy thu đặt cùng vị trí máy phát trong hệ thống gắn thẻ có Rx và Tx làm việc cùng lúc. Tín hiệu Tx tại ngõ vào Rx khoảng 90 dB cao hơn độ nhạy máy thu hay mức tín hiệu gắn thẻ (xem ETSI TR 103 059, Hình 8). Ngoài ra, với phạm vi giao tiếp rất ngắn cho các ứng dụng (ví dụ: NFC, RFID), tín hiệu chặn nhiễu phải cao hơn khoảng 90 dB so với tín hiệu máy phát tại ăng ten, điều này khó có thể xảy ra. CHÚ THÍCH 2: Độ chọn lọc kênh lân cận phù hợp theo Quy hoạch tần số vô tuyến điện quốc gia có khoảng cách kênh tần số không thay đổi, ví dụ: băng tần 27 MHz. |
|||
2.1.1.2. Tiêu chí chất lượng
Đối với mục tiêu kiểm tra chất lượng, máy thu phải tạo ra đầu ra thích hợp trong điều kiện bình thường như được chỉ ra dưới đây:
- Tỷ lệ SND/ND là 20 dB, được đo ở đầu ra máy thu thông qua mạng đo trọng số điện thoại như mô tả trong Khuyến nghị ITU-T O.41; hoặc là
- Sau khi giải điều chế, tín hiệu dữ liệu có tỷ lệ lỗi bit là 10-2 mà không cần hiệu chỉnh; hoặc là
- Sau khi giải điều chế, tỷ lệ chấp nhận bản tin là 80 %; hoặc là
Khi không thể đạt được tiêu chí chất lượng trên, nhà sản xuất phải công bố các Tiêu chí để xác định chất lượng của máy thu.
2.1.2. Thiết bị đo kiểm
Khi yêu cầu đo kiểm chứng nhận thì thiết bị cần đo kiểm phải đáp ứng đầy đủ các yêu cầu trong Quy chuẩn này ở tất cả các tần số hoạt động của thiết bị.
Thiết bị cần đo kiểm phải được khai báo dải tần, điều kiện hoạt động và yêu cầu về công suất để thiết lập các điều kiện đo kiểm phù hợp. Ngoài ra, phải cung cấp kèm theo các tài liệu kỹ thuật và hướng dẫn vận hành liên quan.
Nhà sản xuất có thể cung cấp bộ ghép đo cho thiết bị có ăng ten tích hợp (xem 2.3.3). Với thiết bị không có ăng ten, nghĩa là nhóm sản phẩm loại 3, nhà sản xuất phải cung cấp tải làm giảm bức xạ (xem 2.3.2.1) hoặc ăng ten giả theo quy định trong Phụ lục D.
Để đơn giản hóa và hài hòa các quy trình đo giữa các phòng đo khác nhau, các phép đo phải được thực hiện trên các mẫu thiết bị đáp ứng yêu cầu trong 2.1.2.1 đến 2.1.2.4. Khi đó, các yêu cầu đặt ra trong quy chuẩn này sẽ được đáp ứng mà không cần thực hiện các phép đo trên tất cả các tần số.
2.1.2.1. Lựa chọn mẫu thiết bị để đo kiểm
Nhà sản xuất phải cung cấp một hoặc nhiều mẫu thiết bị thích hợp với bài đo kiểm.
Nếu thiết bị có một số chức năng tùy chọn nhưng không gây ảnh hưởng đến các thông số vô tuyến (RF), chỉ cần đo kiểm thiết bị với một cấu hình sao cho kết hợp được tất cả các đặc điểm phức tạp nhất. Thiết bị cần đo kiểm phải có đầu kết nối ra có trở kháng RF 50 Ω để đo công suất dẫn.
Trong trường hợp thiết bị dùng ăng ten tích hợp hoặc ăng ten trong, nhưng không có đầu kết nối cố định RF 50 Ω, phải có một mẫu thiết bị thứ hai có kết nối tạm thời ăng ten bên ngoài trở kháng 50 Ω, phù hợp với yêu cầu đo kiểm (xem 2.1.2.3).
2.1.2.2. Đo kiểm thiết bị với các cường độ trường bức xạ khác nhau
Nếu thiết bị cần đo có cường độ trường bức xạ khác nhau do nhiều khối công suất riêng tạo thành, hoặc bằng cách cộng thêm các tầng công suất, tất cả các thông tin trên phải được khai báo trong tài liệu kỹ thuật. Mỗi khối công suất hoặc mỗi tầng công suất cộng thêm cần được đo kiểm kết hợp với thiết bị. Trong trường hợp tối giản, các phép đo cường độ trường bức xạ, phát xạ giả phải được thực hiện cho từng tổ hợp và phải được ghi lại trong báo cáo đo kiểm.
2.1.2.3. Đo kiểm thiết bị không có đầu nối 50 W RF bên ngoài (thiết bị dùng ăng ten tích hợp)
2.1.2.3.1. Thiết bị có đầu nối ăng ten tạm thời hoặc cố định bên trong hoặc sử dụng bộ ghép đo riêng
Để hỗ trợ cho việc đo kiểm, các đầu truy nhập thiết bị, đầu kết nối cố định hoặc tạm thời cần được ghi rõ trên sơ đồ mạch điện. Nhà cung cấp thiết bị có thể trang bị các bộ ghép đo phù hợp. Việc sử dụng bộ ghép đo, kết nối ăng ten trong hoặc kết nối tạm thời ăng ten ngoài cụ thể phải được ghi lại trong báo cáo đo kiểm.
Thông tin về bộ ghép đo được cho trong 2.3.3 và Phụ lục A.
2.1.2.3.2. Thiết bị có đầu nối ăng ten tạm thời
Có thể đo bức xạ cho thiết bị có kết nối với ăng ten chuẩn. Nhà cung cấp thiết bị phải phối hợp, hỗ trợ các phòng đo khi xác định kết quả phép đo bức xạ, tháo ăng ten và lắp đầu kết nối tạm thời ăng ten ngoài.
Nói một cách khác, có hai loại thiết bị cần đo trong phòng đo: một loại thiết bị được nối với đầu kết nối tạm thời, một loại thiết bị có ăng ten đang được kết nối. Các phép đo được thực hiện bằng cách sử dụng kết hợp giữa hai loại thiết bị trên. Bên có thiết bị cần đo phải công bố hai mẫu thiết bị như nhau trong quy chuẩn, ngoại trừ đầu kết nối ăng ten.
2.1.2.4. Đo kiểm tại nơi lắp đặt
Trong các trường hợp không thể cung cấp các mẫu ăng ten và/hoặc thiết bị do giới hạn vật lý, phải thực hiện các phép đo tương đương với các phép đo mô tả trong tài liệu tại nơi lắp đặt thiết bị.
2.1.3. Thiết kế cơ và điện
2.1.3.1. Tổng quát
Máy phát và máy thu có thể là các khối riêng hoặc nằm kết hợp trong một khối.
2.1.3.2. Các chức năng điều khiển
Người sử dụng không thể dễ dàng truy cập tới các chức năng điều khiển, nếu điều khiển sai có thể tăng khả năng gây nhiễu của thiết bị.
2.1.3.3. Chức năng tự động tắt máy phát
Nếu máy phát có chức năng ngắt tự động thì chức năng này phải được ngắt trong thời gian đo kiểm.
2.1.3.4. Ngăn chức năng giảm ồn và tiết kiệm pin ở máy thu
Nếu máy thu có chức năng làm yên lặng, khử ồn hoặc tiết kiệm pin, chức năng này phải được ngắt trong thời gian đo. Trong trường hợp không thể ngắt chức năng này, một phương pháp đo thích hợp sẽ được mô tả và ghi lại.
2.1.4. Công bố thông tin sản phẩm
Khi gửi EUT để đo kiểm, nhà sản xuất phải cung cấp các thông tin cần thiết theo yêu cầu của phòng thí nghiệm.
2.1.5. Thiết bị đo kiểm phụ trợ
Thông tin cài đặt và nguồn tín hiệu đo đặc dụng phải được gửi kèm cùng thiết bị đo kiểm.
2.1.6. Giải thích kết quả đo
Việc giải thích kết quả đo khi so sánh các giá trị đo với các giới hạn được quy định như sau:
a) Khi giá trị đo không vượt quá giá trị giới hạn, thiết bị được đo đáp ứng các yêu cầu của quy chuẩn này.
b) Khi giá trị đo vượt quá giá trị giới hạn, thiết bị được đo không đáp ứng các yêu cầu của quy chuẩn này.
c) Độ không đảm bảo đo được tính toán bởi kỹ thuật viên kiểm tra thực hiện phép đo phải được ghi lại trong báo cáo đo.
Độ không đảm bảo đo được tính toán bởi kỹ thuật viên kiểm tra có thể là giá trị tối đa cho một phạm vi các giá trị đo hoặc có thể là độ không đảm bảo đo cho phép đo cụ thể chưa được đo. Phương pháp được sử dụng phải được ghi lại trong báo cáo đo kiểm.
2.2. Điều kiện đo kiểm, nguồn điện và nhiệt độ môi trường
2.2.1. Điều kiện môi trường
Các yêu cầu kỹ thuật của quy chuẩn này áp dụng trong điều kiện môi trường hoạt động của thiết bị do nhà sản xuất công bố/khai báo. Thiết bị phải tuân thủ tất cả yêu cầu kỹ thuật của quy chuẩn này khi hoạt động trong giới hạn biên của điều kiện hoạt động môi trường được khai báo.
2.2.2. Nguồn điện đo kiểm
2.2.2.1. Tổng quát
Thiết bị phải được kiểm tra bằng cách sử dụng nguồn điện đo thích hợp theo quy định tại 2.2.2.2 hoặc 2.2.2.3. Trong trường hợp được cấp nguồn bằng nguồn điện bên ngoài và bên trong, thiết bị phải được kiểm tra bằng cách sử dụng nguồn năng lượng bên ngoài như quy định tại 2.2.2.2, sau đó lặp lại sử dụng nguồn điện bên trong như quy định tại 2.2.2.3.
Nguồn năng lượng đo được sử dụng phải được nêu trong báo cáo đo kiểm.
2.2.2.2. Nguồn điện đo kiểm bên ngoài
Trong quá trình đo, nguồn điện của thiết bị phải được thay thế bằng nguồn năng lượng đo bên ngoài có khả năng tạo ra điện áp đo chuẩn như trong 2.2.3.2. Trở kháng bên trong của nguồn điện đo bên ngoài phải đủ thấp để mức độ ảnh hưởng đến kết quả đo không đáng kể. Đối với mục đích đo, điện áp của nguồn điện đo bên ngoài phải được đo tại các đầu vào của thiết bị. Nguồn năng lượng đo bên ngoài phải được tách rời phù hợp và được áp dụng càng gần các cực của pin thiết bị càng tốt. Đối với các phép đo bức xạ, bất kỳ dây dẫn công suất bên ngoài nào cũng phải được bố trí sao cho không ảnh hưởng đến các phép đo.
Trong khi đo kiểm, điện áp nguồn đo phải nằm trong phạm vi dung sai < ±1 % so với điện áp ở đầu mỗi phép đo. Giá trị của dung sai này có thể rất quan trọng đối với các phép đo nhất định. Sử dụng dung sai nhỏ hơn sẽ cung cấp giá trị độ không đảm bảo đo tốt hơn cho các phép đo này.
2.2.2.3. Nguồn điện đo kiểm bên trong
Đối với các phép đo bức xạ trên thiết bị cầm tay có ăng ten tích hợp, nên sử dụng pin bên trong được sạc đầy. Pin được sử dụng phải được cung cấp hoặc khuyến nghị bởi nhà sản xuất. Nếu sử dụng pin bên trong, điện áp phải nằm trong phạm vi dung sai nhỏ hơn ±5 % so với điện áp ban đầu. Trong trường hợp không phù hợp, một chú thích cho hiệu ứng này sẽ được thêm vào báo cáo đo kiểm.
Đối với các phép đo dẫn hoặc trong trường hợp sử dụng bộ ghép đo, nguồn điện bên ngoài tại mức điện áp quy định có thể thay thế cho các pin đi kèm thiết bị. Việc này phải được ghi lại trong báo cáo đo kiểm.
2.2.3. Điều kiện đo kiểm bình thường
2.2.3.1. Nhiệt độ và độ ẩm bình thường
Nhiệt độ và độ ẩm của phòng đo trong dải các giá trị sau:
- Nhiệt độ: từ +15 °C đến +35 °C;
- Độ ẩm: từ 20 % đến 75 %.
Trong trường hợp không thiết lập được các điều kiện đo trên, báo cáo đo kiểm cần ghi rõ các tham số cụ thể của môi trường đo.
2.2.3.2. Nguồn điện đo kiểm bình thường
2.2.3.2.1. Nguồn điện lưới
Điện áp nguồn nối với thiết bị đo phải là điện áp danh định.
Nhà cung cấp thiết bị phải khai báo điện áp danh định cho từng thiết bị cụ thể.
Tần số nguồn điện xoay chiều phải nằm trong khoảng từ 49 Hz đến 51 Hz.
2.2.3.2.2. Nguồn ắc quy axit-chì
Khi thiết bị vô tuyến dùng nguồn ắc quy axit-chì, điện áp đo thông dụng là 1,1 nhân với điện áp danh định của ắc quy (6 V, 12 V, v.v.).
2.2.3.2.3. Các nguồn khác
Khi thiết bị hoạt động với các loại nguồn khác, hoặc loại ắc quy khác, điện áp đo phải được nhà cung cấp thiết bị khai báo và phải được các phòng đo chấp thuận. Các giá trị này phải được ghi lại trong báo cáo đo kiểm.
2.2.4. Điều kiện đo kiểm tới hạn
2.2.4.1. Nhiệt độ tới hạn
Trước khi thực hiện các phép đo, thiết bị cần đo phải đạt tới trạng thái cân bằng nhiệt trong phòng đo. Thiết bị phải được tắt nguồn trong thời gian ổn định nhiệt độ.
Trong trường hợp thiết bị có thiết kế mạch ổn định nhiệt độ để hoạt động liên tục, mạch ổn định nhiệt độ phải được bật khoảng 15 phút sau khi đạt được sự cân bằng nhiệt, và thiết bị phải thoả mãn các yêu cầu quy định.
Khi không thể kiểm tra sự cân bằng nhiệt bằng phép đo, phải tuân thủ khoảng thời gian cân bằng nhiệt tối thiểu là 01 giờ hoặc một khoảng thời gian do nhân viên phòng đo quyết định. Lựa chọn thứ tự các phép đo và giám sát độ ẩm trong phòng đo sao cho không xuất hiện quá trình ngưng tụ nước.
2.2.4.1.1. Thủ tục đo kiểm tại các nhiệt độ tới hạn
Nếu nhà sản xuất công bố thiết bị được thiết kế để hoạt động liên tục thì thủ tục đo kiểm như sau:
- Trước khi đo kiểm tại nhiệt độ tới hạn trên, thiết bị phải được đặt trong phòng đo cho đến khi đạt sự cân bằng nhiệt. Sau khi đạt cân bằng nhiệt, thiết bị được bật nguồn và ở trạng thái phát trong khoảng thời gian 30 phút. Sau đó tiến hành các phép đo kiểm.
Đối với các phép đo kiểm tại nhiệt độ tới hạn dưới, thiết bị phải được đặt trong phòng đo cho đến khi đạt được sự cân bằng nhiệt. Sau khi đạt cân bằng nhiệt, thiết bị được bật nguồn trong khoảng thời gian 01 phút, sau đó thiết bị phải thỏa mãn các yêu cầu trong tiêu chuẩn.
2.2.4.1.2. Thủ tục đo kiểm đối với thiết bị được thiết kế hoạt động liên tục
Nếu nhà sản xuất công bố thiết bị được thiết kế để hoạt động liên tục thì thủ tục đo kiểm như sau:
- Trước khi đo kiểm tại nhiệt độ tới hạn trên, thiết bị phải được đặt trong phòng đo cho đến khi đạt sự cân bằng nhiệt. Sau khi đạt cân bằng nhiệt, thiết bị được bật nguồn và ở trạng thái phát trong khoảng thời gian 30 phút. Sau đó tiến hành các phép đo kiểm.
Đối với các phép đo kiểm tại nhiệt độ tới hạn dưới, thiết bị phải được đặt trong phòng đo cho đến khi đạt được sự cân bằng nhiệt. Sau khi đạt cân bằng nhiệt, thiết bị được bật nguồn trong khoảng thời gian 01 phút, sau đó thiết bị phải thỏa mãn các yêu cầu trong tiêu chuẩn.
2.2.4.1.3. Thủ tục đo kiểm đối với thiết bị được thiết kế hoạt động không liên tục
Nếu nhà sản xuất công bố thiết bị được thiết kế để hoạt động không liên tục thì thủ tục đo kiểm như sau:
- Trước khi đo kiểm tại nhiệt độ tới hạn trên, thiết bị phải được đặt trong phòng đo để đạt được sự cân bằng nhiệt, sau đó:
+ Bật và tắt máy phát theo chu kỳ hoạt động mà nhà sản xuất công bố trong khoảng thời gian 05 phút; hoặc
+ Nếu nhà sản xuất công bố chu kỳ hoạt động lớn hơn 01 phút thì phát trong khoảng thời gian không quá 01 phút, sau đó để máy ở chế độ tắt hoặc chờ (standby) trong khoảng 04 phút; sau đó thiết bị phải thỏa mãn các yêu cầu trong tiêu chuẩn.
- Đối với các phép đo kiểm ở nhiệt độ tới hạn dưới, đặt thiết bị trong phòng đo cho đến khi đạt sự cân bằng nhiệt. Khi đạt được sự cân bằng nhiệt, đặt thiết bị ở chế độ chờ hoặc thu trong vòng 01 phút, sau đó thiết bị phải thỏa mãn các yêu cầu trong tiêu chuẩn.
2.2.4.1.4. Dải nhiệt độ tới hạn
Đối với các phép đo kiểm tại các nhiệt độ tới hạn, các phép đo phải được thực hiện theo các thủ tục quy định trong 2.2.4.1.1 tại các nhiệt độ thấp và cao hơn của một trong các dải sau:
- Phân nhóm I (chung) từ -20 °C đến +55 °C;
- Phân nhóm II (cầm tay) từ -10 °C đến +55 °C;
- Phân nhóm III (thiết bị sử dụng trong nhà) từ 0 °C đến +35 °C.
CHÚ THÍCH: Thuật ngữ “thiết bị sử dụng trong nhà” có nghĩa nhiệt độ trong nhà tối thiểu bằng hoặc lớn hơn 5°C.
Trong các ứng dụng đặc biệt, nhà sản xuất phải xác định dải nhiệt độ rộng hơn so với các dải quy định tối thiểu trên.
Ghi lại dải nhiệt độ sử dụng trong báo cáo đo kiểm.
2.2.4.2. Nguồn điện đo kiểm tới hạn
2.2.4.2.1. Nguồn điện lưới
Điện áp nguồn đo kiểm tới hạn đối với thiết bị được nối tới nguồn điện lưới phải là điện áp nguồn điện lưới danh định ±10 %. Đối với thiết bị hoạt động quá dải các điện áp nguồn điện lưới, áp dụng 2.2.4.2.4.
2.2.4.2.2. Nguồn ắc quy axit-chì
Khi thiết bị vô tuyến hoạt động với các loại nguồn ắc quy axit-chì thì điện áp đo kiểm tới hạn phải bằng 1,3 và 0,9 nhân với điện áp danh định của ắc quy (ví dụ: 6 V hay 12 V).
Khi nạp điện sử dụng các ắc quy loại “gel-cell”, điện áp giới hạn bằng 1,15 và 0,85 nhân với điện áp danh định của ắc quy.
2.2.4.2.3. Nguồn ắc quy khác
Điện áp đo kiểm tới hạn dưới đối với thiết bị sử dụng nguồn ắc quy quy không phải là axit-chì như sau:
- Đối với thiết bị có chỉ thị nguồn ắc quy, là điện áp điểm cuối được chỉ thị.
- Đối với thiết bị không có chỉ thị nguồn ắc quy, phải áp dụng các điện áp điểm cuối sau:
+ Đối với loại ắc quy leclanché hay lithium: 0,85 nhân với điện áp danh định của ắc quy;
+ Đối với loại nickel-cadmium: 0,9 nhân với điện áp danh định của ắc quy.
- Đối với loại thiết bị hoặc ắc quy khác, điện áp đo kiểm tới hạn dưới trong điều kiện phóng điện phải do nhà sản xuất công bố.
Điện áp đo kiểm tới hạn trên, trong trường hợp này phải là điện áp danh định.
2.2.4.2.4. Các nguồn khác
Đối với thiết bị sử dụng các nguồn khác, hay có khả năng hoạt động với nhiều loại nguồn khác nhau, điện áp đo kiểm phải được nhà sản xuất thiết bị công bố và được phòng thử nghiệm chấp thuận. Các giá trị này phải được nêu trong báo cáo thử nghiệm.
2.3. Các điều kiện chung
2.3.1. Các tín hiệu đo kiểm bình thường và điều chế đo kiểm
Tín hiệu điều chế đo là tín hiệu dùng để điều chế sóng mang, phụ thuộc vào loại thiết bị cần đo và các phép đo yêu cầu. Các tín hiệu điều chế đo chỉ áp dụng cho các thiết bị có đầu kết nối điều chế ngoài. Đối với các thiết bị không có đầu kết nối điều chế ngoài, sử dụng điều chế đang vận hành để đo.
2.3.1.2 Tín hiệu đo bình thường đối với thoại tương tự
Tín hiệu đo kiểm đối với thoại tương tự được quy định như sau:
- A-M1: tần số 1 000Hz
- A-M2: tần số 1 250Hz.
Đối với điều chế pha, mức chuẩn của các tín hiệu đo kiểm A-M1 và A-M2 phải được điều chỉnh để tạo ra độ di tần bằng 12% khoảng cách kênh hoặc một giá trị thấp hơn do nhà cung cấp thiết bị khai báo như mức đang vận hành để đo.
Trong trường hợp điều chế biên độ, độ sâu điều chế chuẩn là 60% hoặc giá trị thấp hơn do do nhà cung cấp thiết bị khai báo. Giá trị này được sử dụng như mức đang vận hành để đo và phải được ghi lại trong báo cáo đo kiểm.
2.3.1.3. Tín hiệu đo bình thường đối với dữ liệu
Đối với thiết bị có đầu kết nối ngoài để điều chế dữ liệu, sử dụng tín hiệu đo chuẩn như sau:
a) D-M2: Tín hiệu thử là chuỗi nhị phân giả ngẫu nhiên, gồm ít nhất 511 bit, được lặp lại liên tục, phù hợp với Khuyến nghị ITU-T O.153. Nếu chuỗi tín hiệu không được lặp lại liên tục, cần ghi rõ phương pháp áp dụng thực tế trong báo cáo đo kiểm.
b) D-M3: Trong trường hợp dùng các tin báo chọn lọc, có kèm theo bộ tạo mã/giải mã trong thiết bị đo kiểm, phải có sự thỏa thuận giữa nhà cung cấp thiết bị và phòng đo kiểm về tín hiệu đo.
Đối với điều chế pha, mức chuẩn của tín hiệu thử D-M3 phải tạo ra độ di tần bằng 20% khoảng cách kênh hoặc giá trị do nhà cung cấp thiết bị khai báo như mức đang vận hành để đo.
Trong trường hợp điều chế biên độ, tỉ số điều chế là 60% hoặc giá trị do nhà cung cấp thiết bị khai báo như mức đang vận hành để đo.
2.3.2. Ăng ten giả
Có thể dùng ăng ten giả để đo thiết bị vô tuyến cự ly ngắn, nhưng nó phải thuộc loại tải thuần trở. VSWR trên đầu kết nối RF 50 Ω không được vượt quá 1,2 : 1 cho toàn bộ dải tần đo kiểm.
2.3.2.1. Ăng ten giả cho các máy phát có ăng ten cuộn cảm (khác 50 Ω)
Đối với các phép đo máy phát có ăng ten cuộn cảm trở kháng khác 50 Ω, sử dụng tải làm giảm bức xạ nối vào đầu ra ăng ten theo thoả thuận với phòng đo kiểm.
Trở kháng ăng ten giả phải bằng trở kháng danh định của thiết bị cần đo, do nhà sản xuất quy định.
Phương pháp này được dùng cho các phép đo dẫn sau:
- Dòng mạch vòng sóng mang phát tần số đến 30MHz;
- Dòng mạch vòng phát giả của phát tần số đến 30MHz; và
- Phép đo phát giả dẫn trong 30 MHz đến 1GHz.
Việc sử dụng tải khác 50 Ω phải được ghi vào báo cáo đo kiểm.
2.3.2.2. Ăng ten giả cho các máy phát có đầu nối trở kháng 50 Ω
Đối với các phép đo máy phát có trở kháng danh định ăng ten là 50 Ω, phải sử dụng ăng ten giả là một tải 50 Ω, không bức xạ, không có thành phần kháng nối vào cổng ăng ten. Tỉ số sóng đứng điện áp (VSWR) không lớn hơn 1,2 : 1 trong dải tần của phép đo.
Phương pháp này được dùng cho các phép đo dẫn sau:
- Dòng mạch vòng sóng mang phát tần số đến 30MHz;
- Dòng mạch vòng phát giả của phát tần số đến 30MHz; và
- Phép đo phát giả dẫn trong 30 MHz đến 1GHz.
Việc sử dụng tải 50 Ω phải được ghi vào báo cáo đo kiểm.
2.3.3. Bộ ghép đo
Sử dụng bộ ghép đo đối với thiết bị có ăng ten tích hợp không có đầu kết nối nối ra 50 W theo thỏa thuận với phòng đo kiểm.
Bộ ghép đo là thiết bị ghép nối tần số vô tuyến để ghép ăng ten tích hợp với kết cuối 50 W trong dải tần hoạt động của thiết bị cần đo kiểm. Điều này cho phép thực hiện các phép đo theo phương pháp đo dẫn.
Nhà sản xuất có nhiệm vụ mô tả đầy đủ bộ ghép đo. Phòng đo kiểm phải hiệu chuẩn thiết bị này bằng cách thực hiện các phép đo trường yêu cầu tại nhiệt độ bình thường và tại vị trí đo kiểm được quy định. Sau đó, thực hiện các phép đo tương tự đối với thiết bị cần đo kiểm sử dụng bộ ghép đo đối với tất cả các thành phần tần số.
Ngoài ra, bộ ghép đo có thể cung cấp:
- Kết nối tới nguồn điện ngoài;
- Giao diện âm tần được kết nối trực tiếp hoặc qua bộ phối âm;
- Kết nối tới giao diện số liệu.
Các chỉ tiêu chất lượng của bộ ghép đo phải tuân thủ các tham số cơ bản sau:
- Mạch ghép RF không chứa các linh kiện phi tuyến hoặc tích cực;
- Suy hao ghép nối không ảnh hưởng tới các kết quả đo;
- Suy hao ghép nối không phụ thuộc vào vị trí của bộ ghép đo và không bị ảnh hưởng bởi các đối tượng hoặc người gần đó;
- Suy hao ghép nối không thay đổi khi tháo hoặc nối lại với thiết bị cần đo kiểm;
- Suy hao ghép nối không thay đổi khi các điều kiện môi trường thay đổi.
2.3.4. Vị trí đo kiểm và sơ đồ đo chung đối với các phép đo bức xạ
Sơ đồ bố trí đo bức xạ và mô tả chi tiết được cho trong Phụ lục A.
2.3.5. Chế độ hoạt động của máy phát
Đối với các phép đo trong Quy chuẩn này, máy phát hoạt động ở trạng thái không điều chế. Ngoài ra, nhà sản xuất và phòng đo thoả thuận về phương pháp để đạt được tần số sóng mang không điều chế hay các mẫu điều chế đặc biệt và phải được ghi lại trong báo cáo kết quả đo kiểm.
Đối với các máy phát sử dụng sóng mang quét băng rộng liên tục, phải thực hiện phép đo với chế độ quét được bật.
Đối với phép đo kiểm mẫu này (xem 2.3.1.2 và 2.3.1.3), tín hiệu đo kiểm bình thường được đưa tới đầu vào của máy phát cần đo với điều kiện ngắt thiết bị đầu vào (ví dụ microphone).
2.3.6. Máy thu đo
Thuật ngữ máy thu đo nói đến vôn kế chọn lọc hay máy phân tích phổ. Băng thông và loại (kiểu) tách sóng được quy định trong Bảng 3.
Bảng 3 - Băng thông và loại tách sóng
|
Tần số (f) |
Loại tách sóng |
Băng thông máy thu |
Băng thông máy phân tích phổ |
|
9 kHz ≤ f < 150 kHz |
Cận đỉnh |
200 Hz |
300 Hz |
|
150 kHz ≤ f < 30 MHz |
Cận đỉnh |
9 kHz |
10 kHz |
|
30 MHz ≤ f ≤ 1 000 MHz |
Cận đỉnh |
120 kHz |
100 kHz |
|
CHÚ THÍCH: Đối với phép đo của dải tần từ 6,765 MHz ≤ f ≤ 6,795 MHz và 11,810 MHz ≤ f ≤ 15,310 MHz, băng thông đo phải từ 200 Hz đến 300 Hz. |
|||
Trường hợp ngoại lệ, có thể sử dụng băng thông khác nếu được sự đồng ý của phòng đo. Điều này phải được ghi trong báo cáo đo kiểm.
2.4. Các yêu cầu đối với máy phát
2.4.1. Phân loại máy phát
Các máy phát được phân theo các loại sản phẩm dựa trên loại ăng ten sử dụng. Đối với các máy phát nhóm sản phẩm loại 2 và loại 3, có thể sử dụng ăng ten vòng riêng dựa trên các hướng dẫn thiết kế được nêu trong hướng dẫn sử dụng của các nhà sản xuất. Các hướng dẫn này được đánh giá bởi phòng đo kiểm như một phần của quá trình đo kiểm thiết bị và so sánh với các phép đo bức xạ thực tế.
2.4.1.1. Máy phát ăng ten cuộn cảm
Máy phát này được đặc trưng bởi:
- Tiết diện cuộn cảm ăng ten A < 30 m2;
- Độ dài của một phần tử ăng ten vòng bất kỳ < λ/4 (< 75/f trong đó f tính theo MHz) hay < 30 m, chọn giá trị nhỏ hơn;
- Cuộn cảm ăng ten có thể có một hoặc nhiều vòng.
2.4.1.2. Máy phát ăng ten cuộn cảm kích thước lớn
Máy phát này đặc trưng bởi:
- Tiết diện cuộn cảm ăng ten lớn A > 30
- Ăng ten chỉ có vòng;
- Dải tần chỉ giới hạn từ 9 kHz đến 135kHz.
2.4.1.3. Các máy phát khác
Máy phát này đặc trưng bởi:
- Các phát trường E,hoặc
- Các phát ăng ten cuộn cảm không thoả tiêu chuẩn trong 2.4.1.1 và 2.4.1.2.
2.4.1.4. Các loại sản phẩm
Thiết bị được phân loại tuỳ thuộc vào loại ăng ten được sử dụng. Các loại sản phẩm không gây nhầm lẫn với các loại máy thu (xem 2.1.1.1). Các loại ăng ten khác nhau tham khảo Khuyến nghị CEPT/ERC 70-03.
Các loại sản phẩm gồm:
Sản phẩm loại 1:
Máy phát có ăng ten cuộn cảm, được đo kiểm bằng ăng ten hoặc là:
- Ăng ten tích hợp (ăng ten loại 1);hoặc
- Ăng ten riêng cung cấp theo thiết bị (ăng ten loại 2). Các giới hạn sau áp dụng cho loại sản phẩmnày:
+ Dải tần từ 9 kHz đến 25MHz;
+ Trường ăng ten không thiết theo yêu cầu của kháchhàng;
+ Tiết diện vòng ăng ten < 30 và
+ Độdàicủaphầntửvòngăngtennhỏhơngiánhỏnhấttronghaigiátrịsau: < λ/4 (< 75/f trong đó f tính theo MHz) hay < 30 m.
Các giới hạn đầu ra của sóng mang máy phát và giới hạn phát xạ giả quy định tương ứng tại Mục 2.4.8.4, 2.4.9.3 và 2.4.10.3.
Nếu nhà sản xuất cung cấp các ăng ten chuẩn, thiết bị phải được kiểm tra như sản phẩm loại 1 với các ăng ten kèm theo. Các phép đo phải được lặp lại với từng ăng ten như vậy.
Sản phẩm loại 2:
Các máy phát có ăng ten cuộn cảm, cho phép thay đổi trường của ăng ten.
Việc thay đổi chỉ được cho phép phù hợp với các nguyên tắc thiết kế của nhà sản xuất quy định.
Sản phẩm loại 2 được kiểm tra như sản phẩm loại 1 với hai ăng ten chuẩn kèm theo thiết bị. Hai ăng ten này phải đáp ứng các nguyên tắc thiết kế của nhà sản xuất thiết bị và có tiết diện vòng cực đại và cực tiểu tương ứng. Cả hai ăng ten phải có mô men lưỡng cực từ cực đại theo công bố của nhà sản xuất. Các giới hạn phụ sau đây được áp dụng cho loại sản phẩm này:
- Dải tần từ 9 kHz đến 30MHz;
- Tiết diện vòng ăng ten < 30 và
- Độ dài của phần tử vòng ăng ten nhỏ hơn giá nhỏ nhất trong hai giá trị sau: < λ/4 (< 75/f trong đó f tính theo MHz) hay < 30 m.
Các giới hạn đầu ra của sóng mang máy phát và giới hạn phát xạ giả quy định tại 2.4.2.3, 2.4.3.3 và 2.4.9.3, 2.4.10.3).
Trong trường hợp do các ràng buộc về kích thước, không có khả năng vận chuyển và kiểm tra ăng ten lớn cùng với thiết bị, phải đo kiểm thiết bị:
- Tại một vị trí rộng cùng với ăng ten chế tạo theo yêu cầu của khách hàng có kích thước cực đại và cực tiểu; hay
- Tại nơi lắp đặt thiết bị phù hợp 2.1.2.4.
Sản phẩm loại 3:
Sản phẩm loại này chỉ sử dụng các ăng ten vòng kích thước lớn chế tạo theo yêu cầu của khách hàng. Các máy phát ăng ten cuộn cảm được kiểm tra bằng cách sử dụng ăng ten giả.
Các giới hạn sau áp dụng cho loại sản phẩm này:
- Dải tần từ 9 kHz đến 135 kHz;
- Tiết diện vòng ăng ten > 30
- Chỉ có duy nhất một vòng.
Sóng mang máy phát và các phát xạ giả được giới hạn bởi dòng đầu ra cực đại nhân với tiết diện vòng ăng ten và phải phù hợp với giới hạn trường H được bức xạ (xem 2.4.2.3, 2.4.3.3, 2.4.9.3, 2.4.10.3 và 2.4.11.3). Nhà sản xuất phải công bố kích thước cực đại của vòng trong hướng dẫn sử dụng.
Sản phẩm loại 4:
Máy phát trường E, được đo kiểm với mỗi loại ăng ten được sử dụng.
Sóng mang máy phát và các phát xạ giả được giới hạn bởi trường E cực đại, được đo như trường H tương đương (xem 2.4.2.3, 2.4.9.3).
Bảng 4 - Mô tả các loại sản phẩm máy phát
|
Loại sản phẩm |
Mô tả máy phát |
Ăng ten được đo kiểm |
Dải tần |
Tiết diện vòng ăng ten |
Chiều dài ăng ten (đường kính lớn nhất) |
Ăng ten chế tạo theo yêu cầu của khách hàng |
Giới hạn sóng mang máy phát |
Giới hạn phát xạ giả |
|---|---|---|---|---|---|---|---|---|
|
1 |
Máy phát có ăng ten cuộn cảm |
Ăng ten tích hợp (ăng ten loại 1); hoặc ăng ten rời cung cấp theo thiết bị (ăng ten loại 2). (xem chú thích 1) |
9 kHz – 30 MHz |
<30 m2 |
Chọn giá trị nhỏ nhất: <λ/4 (<75m/f trong đó f tính theo MHz) hay <30 m |
Không |
Trường H ở 10 m (xem 2.4.2.3) |
Trường H ở 10 m (xem 2.4.9.3, 2.4.10.3) |
|
2 |
Máy phát có ăng ten cuộn cảm |
Hai ăng ten chuẩn kèm theo thiết bị (xem chú thích 2) |
9 kHz – 30 MHz |
<30 m2 (xem chú thích 3) |
Chọn giá trị nhỏ nhất: <λ/4 (<75m/f trong đó f tính theo MHz) hay <30 m |
Có (xem chú thích 3) |
Trường H ở 10 m (xem 2.4.2.3) |
Trường H ở 10 m (xem 2.4.9.3, 2.4.10.3) |
|
3 |
Chỉ sử dụng các ăng ten vòng kích thước lớn chế tạo theo yêu cầu của khách hàng |
Đo kiểm bằng cách sử dụng ăng ten giả |
9 kHz – 135 kHz |
> 30 m2 |
Không áp dụng |
Có |
Dòng điện trong ăng ten giả (xem chú thích 4 và 2.4.2.3, 2.4.4.3 |
Dòng điện trong ăng ten giả (xem chú thích 4 và 2.4.8.3, 2.4.10.3 |
|
4 |
Máy phát trường E |
Mỗi loại ăng ten được sử dụng |
9 kHz – 30 MHz |
Không áp dụng |
Không áp dụng |
Không áp dụng |
Trường H ở 10 m (xem 2.4.4.3) |
Trường H ở 10 m (xem 2.4.9.3, 2.4.10.3) |
|
CHÚ THÍCH 1: Nhà sản xuất cung cấp nhiều loại ăng ten tiêu chuẩn, thiết bị sẽ được đo kiểm như sản phẩm loại 1, với các ăng ten đi kèm. Các phép đo phải được lặp lại cho từng ăng ten. CHÚ THÍCH 2: Hai ăng ten phải đáp ứng các quy tắc thiết kế của nhà sản xuất được công bố và phải có tiết diện vòng lớn nhất và nhỏ nhất tương ứng. Cả hai ăng ten phải có mô men lưỡng cực từ lớn nhất theo công bố của nhà sản xuất. CHÚ THÍCH 3: Việc thay đổi chỉ được cho phép phù hợp với các quy tắc thiết kế của nhà sản xuất quy định. CHÚ THÍCH 4: Các phép đo tại chỗ thể được yêu cầu. |
||||||||
2.4.2. Trường H (bức xạ)
Các yêu cầu về trường H của máy phát chỉ áp dụng cho sản phẩm loại 1 và loại 2.
2.4.2.1. Định nghĩa
Trong trường hợp máy phát với ăng ten tích hợp hay ăng ten rời, trường H được đo ở hướng có cường độ trường cực đại trong các điều kiện được xác định của phép đo.
2.4.2.2. Phương pháp đo
Các phép đo được thực hiện trong điều kiện do nhà sản xuất công bố. Việc giải thích kết quả đo với độ không đảm bảo đo phải được nêu trong 2.6.
Các phép đo phải được thực hiện tại vị trí như quy định trong Phụ lục A. Bất kỳ giá trị đo được nào cũng phải lớn hơn mức tạp âm môi trường tối thiểu là 6 dB.
Trường H mà thiết bị tạo ra phải được đo tại khoảng cách tiêu chuẩn là 10 m. Nếu do kích thước của thiết bị bao gồm cả ăng ten hay do sử dụng một ăng ten loại trường đặc biệt thì có thể áp dụng khoảng cách khác. Khi sử dụng khoảng cách khác, thì khoảng cách đó và giá trị cường độ trường đo được phải được ghi lại trong báo cáo đo kiểm. Trong trường hợp này, giá trị đo được tại khoảng cách thực tế phải được ngoại suy cho giá trị tại 10 m và được ghi lại trong báo cáo đo kiểm.
Trường H được đo bằng ăng ten vòng có màn chắn nối với máy thu đo. Băng thông và kiểu tách sóng của máy thu đo phải tuân theo 2.3.6.
Thiết bị cần đo kiểm phải hoạt động ở chế độ có điều chế. Nếu không, điều này phải được ghi lại trong báo cáo đo kiểm.
Đối với các máy phát sử dụng sóng mang quét băng rộng liên tục, phép đo được thực hiện khi tắt chế độ quét. Nếu không có khả năng tắt chế độ quét, các phép đo được thực hiện với chế độ quét và điều này phải được ghi lại trong báo cáo đo kiểm.
Các phép đo được thực hiện trong điều kiện bình thường và tới hạn. Tuy nhiên, các phép đo ở nhiệt độ tới hạn không được yêu cầu khi các phép đo chỉ có thể được thực hiện tại vị trí đo kiểm mở do các hạn chế về kích thước của ăng ten vòng
Đối với thiết bị đo được hiệu chuẩn theo dBµV/m, giá trị đọc được phải giảm đi 51,5 dB để đổi thành dBµA/m.
2.4.2.3. Các giới hạn
Các giới hạn được quy định trong Bảng 5.
Bảng 5 - Các giới hạn trường H đo tại khoảng cách 10 m
|
Băng tần |
Loại thiết bị vô tuyến điện |
Giới hạn cường độ từ trường (Hf) dBµA/m tại 10 m |
|---|---|---|
|
9 kHz ÷ 90 kHz |
Thiết bị cảm ứng, dùng cho mục đích chung |
≤ 42 dBµA/m đo tại khoảng cách 10 m |
|
90 kHz ÷ 119 kHz |
Thiết bị cảm ứng, dùng cho mục đích chung |
≤ 42 dBµA/m đo tại khoảng cách 10 m |
|
119 kHz ÷ 135 kHz |
Thiết bị cảm ứng, dùng cho mục đích chung |
≤ 66 dBµA/m đo tại khoảng cách 10 m (giảm 10 dB/decade ở tần số trên 119 kHz) hoặc theo Chú thích 1 (xem Chú thích 2 và Chú thích 3) |
|
135 kHz ÷ 140 kHz |
Thiết bị cảm ứng, dùng cho mục đích chung |
≤ 42 dBµA/m đo tại khoảng cách 10 m |
|
140 kHz ÷ 148,5 kHz |
Thiết bị cảm ứng, dùng cho mục đích chung |
≤ 37,7 dBµA/m đo tại khoảng cách 10 m |
|
148,5 kHz ÷ 190 kHz |
Thiết bị cảm ứng, dùng cho mục đích chung |
≤ 30 dBµA/m đo tại khoảng cách 10 m |
|
≤ -15 dBµA/m đo tại khoảng cách 10 m (trong băng thông 10 kHz) |
||
|
115 kHz ÷ 150 kHz |
Thiết bị nhận dạng vô tuyến điện |
≤ 66 dBµA/m đo tại khoảng cách 10 m |
|
3,155 MHz ÷ 3,400 MHz |
Thiết bị cảm ứng, dùng cho mục đích chung |
≤ 13,5 dBµA/m đo tại khoảng cách 10 m |
|
3,234 MHz ÷ 5,234 MHz |
Thiết bị vô tuyến điện cự ly ngắn ứng dụng trong giao thông |
≤ 9 dBµA/m đo tại khoảng cách 10 m |
|
6,765 MHz ÷ 6,795 MHz |
Thiết bị cảm ứng, dùng cho mục đích chung |
≤ 42 dBµA/m đo tại khoảng cách 10 m (xem Chú thích 2) |
|
10,2 MHz ÷ 11 MHz |
Thiết bị cảm ứng, dùng cho mục đích chung |
≤ 9 dBµA/m đo tại khoảng cách 10 m |
|
13,553 MHz ÷ 13,567 MHz |
Thiết bị vòng từ |
≤ 42 dBµA/m đo tại khoảng cách 10 m (xem Chú thích 2) |
|
Thiết bị nhận dạng vô tuyến điện |
≤ 60 dBµA/m đo tại khoảng cách 10 m (xem Chú thích 2) |
|
|
Thiết bị vô tuyến điện cự ly ngắn dùng cho mục đích chung |
≤ 4,5 mW ERP |
|
|
26,957 MHz ÷ 27,283 MHz |
Thiết bị cảm ứng, dùng cho mục đích chung |
≤ 42 dBµA/m đo tại khoảng cách 10 m (xem Chú thích 2) |
|
CHÚ THÍCH 1: Đối với dải tần từ 119 kHz đến 135 kHz, các hạn chế bổ sung sau áp dụng cho các giới hạn lớn hơn 42 dBµA/m: - Đối với ăng ten cuộn cảm có tiết diện ≥ 0,16 m2 áp dụng Bảng 5 và Bảng 4 với các giới hạn của ăng ten; - Đối với ăng ten cuộn cảm có tiết diện từ 0,05 m2 đến 0,16 m2 áp dụng Bảng 4 với hệ số hiệu chỉnh. Giới hạn là: giá trị trong bảng + 10 × log (tiết diện/0,16 m2); - Đối với ăng ten cuộn cảm có tiết diện < 0,05 m2, giới hạn thấp hơn 10 dB so với giá trị trong Bảng 4. CHÚ THÍCH 2: Giới hạn mặt nạ phổ, xem Phụ lục G. CHÚ THÍCH 3: Giới hạn là 42 dBµA/m đối với các tần số điểm sau: 60 kHz ± 250 Hz, 66,6 kHz ± 750 Hz, 75 kHz ± 250 Hz, 77,5 kHz ± 250 Hz và 129,1 kHz ± 500 Hz. |
||
2.4.3. Dòng sóng mang RF
Các yêu cầu về dòng sóng mang RF của máy phát chỉ áp dụng cho sản phẩm loại 3.
2.4.3.1. Định nghĩa
Dòng sóng mang RF được quy định là dòng đưa tới tải giả trong các điều kiện đo xác định. Nhà sản xuất phải công bố kích thước vòng ăng ten lớn nhất.
2.4.3.2. Phương pháp đo
Các phép đo được thực hiện trong điều kiện do nhà sản xuất công bố. Việc giải thích kết quả đo với độ không đảm bảo đo phải được nêu trong 2.6.
Máy phát được nối tới ăng ten giả, xem 2.3.2 và Phụ lục D. Dòng RF tới ăng ten giả trong chu kỳ hoạt động được đo tới tần số 30 MHz bằng cách sử dụng:
- Đầu dò dòng đã hiệu chuẩn nối tới máy thu đo; hoặc
- Đầu ra từ ăng ten giả đã hiệu chuẩn nối tới thu đo, xem Phụ lục D.
Dải tần đo và loại bộ tách sóng tuân theo 2.3.6.
Đối với các máy phát sử dụng sóng mang quét băng rộng liên tục, thực hiện phép đo khi tắt chế độ quét. Nếu không tắt được chế độ quét, thực hiện các phép đo với chế độ quét. Điều này phải được ghi lại trong báo cáo đo kiểm.
Mối liên hệ giữa dòng sóng mang RF, hệ số ăng ten (N x A) và trường H được quy định trong Phụ lục C.
2.4.3.3. Các giới hạn
Bảng 6 quy định giới hạn dòng sóng mang RF nhân với tiết diện ăng ten đối với các máy phát vòng ăng ten kích thước lớn sản phẩm loại 3.
Bảng 6 - Dòng sóng mang RF x tiết diện ăng ten
|
Dải tần (MHz) |
Dòng sóng mang RF x tiết diện ăng ten, dBAm2 |
|
0,009 ≤ f < 0,135 |
40 giảm dần 3 dB/oct trên 30 kHz (xem chú thích) |
|
CHÚ THÍCH: Giới hạn là 10 dBAm2 đối với các tần số điểm sau: 60 kHz ± 250 Hz, 75 kHz ± 250 Hz, 77,5 kHz ± 250 Hz và 129,1 kHz ± 500 Hz. |
|
2.4.4. Trường E bức xạ
Các yêu cầu về trường E bức xạ của máy phát chỉ áp dụng cho sản phẩm loại 4.
2.4.4.1. Định nghĩa
Trường E bức xạ được quy định là trường E ở hướng cường độ trường cực đại dưới các điều kiện đo xác định. Đây là định nghĩa cho máy phát với ăng ten tích hợp.
Mô tả chi tiết mối liên hệ giữa trường E và trường H được cho trong Phụ lục E.
2.4.4.2. Phương pháp đo
Các phép đo được thực hiện trong điều kiện do nhà sản xuất công bố. Việc giải thích kết quả đo với độ không đảm bảo đo phải được nêu trong 2.6.
Phép đo trường E được dựa trên trường H tương đương, tại khoảng cách 10 m.
Trường H được đo bằng ăng ten vòng có màn chắn nối với máy thu đo. Băng thông và loại tách sóng của máy thu đo tuân theo 2.3.6.
Mô tả chi tiết mối liên hệ giữa trường E và trường H được cho trong Phụ lục E.
2.4.4.3. Các giới hạn
Trong dải tần từ 9 kHz đến 4,78 MHz, các giới hạn đối với Hef theo các giới hạn trường H, Hf, quy định trong mục 2.4.2.3, Bảng 5 với hệ số hiệu chỉnh bổ sung C. Hệ số sau áp dụng cho khoảng cách đo 10 m.
Giới hạn Hef = Hf + C, trong đó: C = 20 x log(fc/4,78 x 106) dB;
với fc là tần số sóng mang tính bằng Hz.
Đồ thị hệ số hiệu chỉnh C được cho trong Phụ lục B.
Trong dải tần từ 4,78 MHz đến 25 MHz, các giới hạn là tương tự như trong 2.4.2.3, Bảng 5, không cần hệ số hiệu chỉnh.
2.4.5. Dải tần được cho phép hoạt động
2.4.5.1. Định nghĩa
Dải tần số mà thiết bị được cấp phép hoạt động.
2.4.5.2. Phương pháp đo
Các phép đo được thực hiện trong điều kiện do nhà sản xuất công bố. Dải tần hoạt động của thiết bị được đo kiểm theo hướng dẫn tại 2.4.6.
2.4.5.3. Các giới hạn
Dải tần này phải đáp ứng theo dải tần thiết bị được phép sử dụng tại Bảng 1 của phạm vi điều chỉnh.
2.4.6. Dải tần hoạt động
Các yêu cầu về dải tần hoạt động của máy phát áp dụng đối với tất cả các loại sản phẩm.
2.4.6.1. Định nghĩa
Dải tần hoạt động là dải tần mà thiết bị đang phát. Dải tần hoạt động của thiết bị được xác định bởi tần số thấp nhất (fL) và tần số cao nhất (fH) được chiếm dụng bởi đường bao công suất.
Tần số trung tâm của dải tần hoạt động: fC = (fL + fH)/2.
Thiết bị có thể có nhiều dải tần hoạt động.
2.4.6.2. Phương pháp đo
Các phép đo được thực hiện trong điều kiện do nhà sản xuất công bố. Việc giải thích kết quả đo với độ không đảm bảo đo phải được nêu trong mục 2.6.
2.4.6.2.1. Quy định chung
Máy thu đo có thể là máy phân tích phổ, máy hiện sóng, máy đo công suất chọn lọc hoặc bất kỳ máy thu đo nào thích hợp để thực hiện phép đo của thiết bị cần đo

Hình 1 - Thiết lập thử nghiệm để đo dải tần hoạt động được cho phép
2.4.6.2.2. Đo dải tần hoạt động của thiết bị bằng máy phân tích phổ
Ăng ten đo phải được đặt tại một điểm được thiết lập. Ngoài ra, một đầu dò có thể được sử dụng
+ Tần số bắt đầu: thấp hơn biên dưới của dải tần được phép.
+ Tần số kết thúc: cao hơn biên trên của dải tần được phép.
+ Băng thông phân giải: xem bảng máy thu đo tại 2.3.6.
+ Băng thông Video: ≥ băng thông phân giải
+ Chế độ tách sóng (Detector mode): RMS
+ Chế độ hiển thị (Display mode): Mức lớn nhất (Max hold)
Chức năng 99% băng thông chiếm dụng (OBW) được sử dụng để xác định dải tần hoạt động:
• Xác định fH: là tần số của điểm đánh dấu phía trên từ dải tần hoạt động (OFR).
• Xác định fL: là tần số của điểm đánh dấu phía dưới từ dải tần hoạt động (OFR).
• Xác định tần số trung tâm fc: fc = (fH +fL)/2
Ngoài ra, có thể sử dụng kết quả được ghi lại từ phép đo trường H được mô tả tại 2.4.2.2.
2.4.6.3. Các giới hạn
Các dải tần hoạt động với phát xạ có chủ đích phải nằm hoàn toàn trong Bảng 1 của phạm vi điều chỉnh.
2.4.7. Băng thông điều chế
Các yêu cầu về băng thông điều chế của máy phát áp dụng đối với tất cả các loại sản phẩm.
2.4.7.1. Định nghĩa
Băng thông điều chế và các băng phụ kèm theo phải ở trên các mức sau:
a) Đối với các tần số sóng mang dưới 135 kHz:
- Thấp hơn 23 dB so với sóng mang hoặc giới hạn phát giả tương ứng, đối với RFID trong ranh giới phát xạ của máy phát của Hình G.1, và đối với các hệ thống RFID và EAS trong mặt nạ máy phát của Hình G.2, G.3 và G.4, xem CISPR 16-1-4 hoặc giới hạn phát xạ giả tương ứng được xác định tại 2.4.8, 2.4.9, 2.4.10;
b) Đối với các tần số sóng mang trong dải từ 135 kHz đến 30MHz:
- Thấp hơn 15 dB so với sóng mang hoặc giới hạn phát giả tương ứng, xemtại 2.4.8, 2.4.9, 2.4.10.
2.4.7.2. Phương pháp đo
Các phép đo được thực hiện trong điều kiện do nhà sản xuất công bố. Việc giải thích kết quả đo với độ không đảm bảo đo phải được nêu trong 2.6.
Máy phát được nối tới ăng ten giả hoặc nếu máy phát có ăng ten tích hợp, sử dụng bộ ghép đo (xem 2.3.3). Đầu ra RF của thiết bị phải được nối tới máy phân tích phổ qua suy hao biến đổi có trở kháng 50 Ω.
Máy phát hoạt động với mức công suất sóng mang danh định hoặc cường độ trường được đo dưới các điều kiện đo kiểm bình thường. Điều chỉnh suy hao để có hiển thị mức phù hợp trên máy phân tích phổ.
Máy phát phải được điều chế với quá trình điều chế đo kiểm chuẩn (xem 2.3.1.2 và 2.3.1.3). Nếu thiết bị không có điều chế ngoài, sử dụng quá trình điều chế bên trong.
Đối với các máy phát sử dụng sóng mang quét băng rộng liên tục, các phép đo phải được thực hiện trong chế độ quét.
Đầu ra máy phát có hoặc không có bộ ghép đo, phải được đo bằng cách sử dụng máy phân tích phổ có băng thông phân giải phù hợp để chấp nhận tất cả các dải biên chính. Sau đó hiệu chuẩn mức công suất của máy phân tích phổ so với mức công suất hoặc cường độ trường được đo theo 2.4.7. Tính mức công suất tuyệt đối của dải biên.
Khẩu độ máy phân tích phổ phải được đảm bảo đủ rộng để chứa sóng mang và tất cả các dải biên chính.
Tần số tại các điểm trên và dưới đường bao công suất trong quá trình điều chế, bao gồm cả trôi tần số, được hiển thị, phải bằng các mức quy định trong 2.4.7 được ghi lại là băng thông điều chế.
2.4.7.3. Các giới hạn
Phạm vi cho phép của băng thông điều chế phải nằm trong băng tần được ấn định, xem Bảng 1 hoặc ± 7,5% của tần số sóng mang, tùy theo giá trị nào nhỏ hơn. Đối với hệ thống RFID và EAS, băng thông điều chế cho phép phải nằm trong ranh giới phát xạ của máy phát tại Phụ lục G (Hình G.1, G.2, G.3 và G.4).
Dải băng thông điều chế cho phép phải trong các giới hạn của băng tần được phân định theo Khuyến nghị CEPT/ERC/REC 70-03 hoặc các hướng dẫn ERC.
2.4.8. Phát xạ giả dẫn của máy phát
Các yêu cầu về phát xạ giả dẫn của máy phát chỉ áp dụng cho sản phẩm loại 3.
2.4.8.1. Định nghĩa
Phát xạ giả là phát xạ tại các tần số khác với tần số sóng mang và các dải biên kèm theo quá trình điều chế đo kiểm bình thường.
2.4.8.2. Phương pháp đo phát xạ giả dẫn của máy phát (< 30 MHz)
Máy phát được nối với ăng ten giả như trong 2.3.2.1. Máy thu đo được nối với đầu ra của ăng ten giả, đo dòng của sóng mang và các thành phần phát xạ giả. Chi tiết của ăng ten giả được cho trong Phụ lục D.
Phương pháp xác định giới hạn dòng phát xạ giả Is, tính toán như sau:
Ic - Is = Hc - Hs
trong đó:
Is là dòng của phát xạ giả dẫn đo được tính bằng dBµA;
Ic là dòng sóng mang đo được tính bằng dBµA, xem 2.4.3.3;
Hc là giới hạn trường H phát ra tính bằng dBµA/m, xem 2.4.2.3;
Hs là giới hạn đối với phát xạ giả trường H tính bằng dBµA/m, xem 2.4.9.3.
Số hạng (Hc - Hs) trong công thức trên là suy hao yêu cầu của phát xạ giả trường H, được tính bằng dBc.
Yêu cầu này có thể thay đổi theo tần số do các giá trị giới hạn thay đổi theo tần số.
Số hạng (Ic - Is), tính theo dB, là suy hao của dòng phát xạ giả so với dòng sóng mang.
2.4.8.3. Phương pháp đo phát xạ giả dẫn của máy phát (≥ 30 MHz)
Máy phát được nối với ăng ten giả theo 2.3.2.2. Các thành phần phát xạ giả được đo bằng vôn kế chọn lọc nối với đầu ra của máy phát bằng thiết bị ghép phù hợp. Chi tiết của ăng ten giả được cho trong Phụ lục D.
2.4.8.4. Các giới hạn
Giới hạn Is được xác định theo công thức:
(Ic - Is) = (Hc - Hs)
Trong đó: Hc (xem 2.4.2);
Hs (xem 2.4.3);
Ic (xem 4.3.5).
2.4.9. Phát xạ giả miền bức xạ của máy phát (< 30 MHz)
Các yêu cầu về phát xạ giả miền bức xạ của máy phát (< 30 MHz) áp dụng đối với tất cả các loại sản phẩm.
2.4.9.1. Định nghĩa
Giới hạn phát xạ giả miền bức xạ là giới hạn phát xạ tại các tần số khác với tần số sóng mang và các dải biên (xem 2.4.6 và 2.4.7) kèm theo quá trình điều chế đo kiểm bình thường.
2.4.9.2. Phương pháp đo
Các phép đo được thực hiện trong điều kiện do nhà sản xuất công bố. Việc giải thích kết quả đo với độ không đảm bảo đo phải được nêu trong 2.6.
Cường độ trường phải được đo đối với các tần số dưới 30 MHz. Thiết bị cần đo kiểm phải được đo tại khoảng cách 10 m ở vị trí đo kiểm ngoài trời. Ăng ten đo phải là ăng ten trường từ có màn chắn được hiệu chuẩn. Bố trí thiết bị cần đo kiểm và ăng ten đo như A.1 của Phụ lục A.
Đối với các sản phẩm loại 3, nối ăng ten giả với cổng ăng ten phát của thiết bị cần đo kiểm (xem 2.3.2) và đầu ra của ăng ten giả phải được kết cuối.
Thiết bị cần đo kiểm hoạt động với quá trình điều chế bình thường. Các đặc tính của tín hiệu điều chế được sử dụng phải được nêu ra trong báo cáo đo kiểm. Máy thu đo được điều chỉnh trong dải từ 9 kHz tới 30 MHz, ngoại trừ dải tần máy phát hoạt động.
Tại mỗi tần số mà ở đó tín hiệu phát xạ giả được phát hiện, thiết bị cần đo kiểm và ăng ten được xoay cho đến khi thu được mức cường độ trường cực đại trên máy thu đo. Mức này phải được ghi lại.
Nếu máy phát có thể hoạt động trong chế độ chờ, thì phép đo này phải được lặp lại trong cả chế độ chờ.
Đối với các thiết bị đo hiệu chuẩn theo dBµV/m, phải trừ giá trị đo được đi 51,5 dB để có giá trị đo tính bằng dBµA/m.
2.4.9.3. Các giới hạn
Các bức xạ dưới 30 MHz không được vượt quá giá trị cường độ trường H (dBµA/m) tại khoảng cách 10 m, quy định trong Bảng 7.
Bảng 7 – Giới hạn phát xạ giả miền bức xạ của máy phát (< 30 MHz)
|
Trạng thái máy phát |
Tần số 9 kHz ≤ f < 10 MHz |
Tần số 10 MHz ≤ f < 30 MHz |
|
Phát |
27 dBµA/m tại 9 kHz giảm 3 dB/oct |
-3,5 dBµA/m |
|
Chờ |
5,5 dBµA/m tại 9 kHz giảm 3 dB/oct |
-25 dBµA/m |
2.4.10. Phát xạ giả miền bức xạ của máy phát (> 30 MHz)
Các yêu cầu về phát xạ giả miền bức xạ của máy phát (> 30 MHz) áp dụng đối với tất cả các loại sản phẩm.
2.4.10.1. Định nghĩa
Phát xạ giả là phát xạ tại các tần số khác với tần số sóng mang và các dải biên kèm theo quá trình điều chế đo kiểm bình thường.
2.4.10.2. Phương pháp đo
Đối với sản phẩm loại 1, loại 2 và loại 4 vị trí kiểm tra thích hợp phải được lựa chọn theo Phụ lục A. Thiết bị cần kiểm tra được đặt trên giá đỡ không dẫn điện tại độ cao xác định và tại vị trí gần với vị trí hoạt động thông thường mà nhà sản xuất công bố.
Đối với sản phẩm loại 3, nối ăng ten giả tới cổng ăng ten máy phát (xem 2.3.2).
Ăng ten đo được định hướng để có phân cực đứng. Đầu ra của ăng ten đo được nối với máy thu đo.
Máy phát hoạt động ở chế độ điều chế bình thường và máy thu đo được điều chỉnh trong dải tần từ 30 MHz đến 1 000 MHz.
Tại mỗi tần số ở đó tín hiệu phát xạ giả được phát hiện, ăng ten đo được nâng lên và hạ xuống trong phạm vi độ cao quy định cho đến khi thu được mức tín hiệu cực đại trên máy thu đo.
Sau đó, máy phát được xoay 360° theo mặt phẳng nằm ngang, cho đến khi đạt được mức tín hiệu cực đại trên máy thu đo.
Ghi lại mức tín hiệu cực đại máy thu đo nhận được.
Ăng ten thay thế phải được định hướng cho phân cực đứng và hiệu chuẩn tới tần số của thành phần phát xạ giả được phát hiện.
Điều chỉnh tần số tín hiệu của máy phát tín hiệu chuẩn tới tần số của thành phần phát xạ giả được phát hiện. Nếu cần, điều chỉnh suy hao đầu vào của máy thu đo để tăng độ nhạy máy thu đo.
Ăng ten đo được nâng lên và hạ xuống trong một khoảng xác định để đảm bảo thu được tín hiệu lớn nhất.
Khi sử dụng vị trí đo kiểm tuân theo A.1.1, không cần thay đổi độ cao ăng ten.
Điều chỉnh tín hiệu đầu vào ăng ten thay thế cho đến khi máy thu đo đạt được mức tương đương hoặc mức tương ứng đã biết tách từ máy phát.
Ghi lại mức công suất tín hiệu lối vào ăng ten thay thế.
Số đo công suất bức xạ hiệu dụng của các thành phần phát xạ giả là số lớn hơn trong hai mức công suất được ghi lại đối với mỗi thành phần phát xạ giả tại đầu vào ăng ten thay thế.
Nếu không có được sóng mang không điều chế, thì thực hiện các phép đo với tín hiệu đo kiểm bình thường (xem 2.3.1.3). Trường hợp này, phải ghi lại trong báo cáo đo kiểm.
Nếu máy phát có chế độ chờ, thực hiện các phép đo ở cả chế độ chờ.
2.4.10.3. Các giới hạn
Công suất phát xạ giả bất kỳ không được lớn hơn các giá trị quy định trong Bảng 8.
Bảng 8 – Giới hạn phát xạ giả miền bức xạ của máy phát (> 30 MHz)
|
Trạng thái |
Tần số |
Các tần số khác giữa 30 MHz ÷ 1000 MHz |
|
47 MHz ÷ 74 MHz 87,5 MHz ÷ 118 MHz 174 MHz ÷ 230 MHz 470 MHz ÷ 790 MHz |
||
|
Hoạt động |
4 nW |
250 nW |
|
Chờ |
2 nW |
2 nW |
2.4.11. Độ ổn định tần số máy phát
2.4.11.1. Định nghĩa
Độ ổn định tần số trong điều kiện điện áp thấp là khả năng thiết bị duy trì tần số hoạt động và không tạo ra các phát xạ vượt quá bất kỳ giới hạn liên quan nào khi điện áp pin giảm xuống dưới mức điện áp cực thấp.
Độ ổn định tần số chỉ áp dụng cho các hệ thống phân kênh trong đó các giới hạn kênh được xác định.
2.4.11.2. Phương pháp đo
Các phép đo được thực hiện trong điều kiện do nhà sản xuất công bố. Việc giải thích kết quả đo với độ không đảm bảo đo phải được nêu trong 2.6.
Bước 1:
Thiết bị ở chế độ hoạt động tại tần số hoạt động do nhà sản xuất khai báo, với tín hiệu đo kiểm thích hợp và thiết bị hoạt động ở điện áp hoạt động danh định.
Tần số trung tâm của tín hiệu được phát đi phải được đo và ghi lại.
Bước 2:
Điện áp hoạt động phải được giảm theo các bước thích hợp cho đến khi điện áp bằng không.
Tần số trung tâm của tín hiệu được phát đi phải được đo và ghi lại.
Bất kỳ thông tin bất thường nào cũng phải được ghi nhận.
2.4.11.3. Các giới hạn
Thiết bị phải đáp ứng một trong các điều kiện sau:
a) Duy trì trong kênh hoạt động mà không vượt quá bất kỳ giới hạn có thể chấp nhận (ví dụ: chu kỳ làm việc); hoặc
b) Giảm công suất bức xạ hiệu dụng xuống dưới các giới hạn phát xạ giả mà không vượt quá bất kỳ giới hạn áp dụng nào (ví dụ: chu kỳ làm việc); hoặc
c) tắt, (ví dụ: không phát xạ trên mức EMC).
2.5. Các yêu cầu đối với máy thu
2.5.1. Độ chọn lọc kênh lân cận
Phép đo này chỉ yêu cầu khi sử dụng quy hoạch tần số với khoảng cách kênh tiêu chuẩn, ví dụ tại 27 MHz.
Không thực hiện phép đo này nếu:
a) Không thể tắt máy phát và khoảng cách giữa tần số máy phát và máy thu nhỏ hơn 10 lần băng thông 3 dB được công bố; hoặc
b) Máy phát và máy thu hoạt động cùng tần số và không thể tắt máy phát vì sóng mang được sử dụng làm tín hiệu đưa vào máy thu (ví dụ đối với các hệ thống homodyne).
Trong trường hợp áp dụng mục a) và/hoặc b) ở trên, ghi lại điều này trong báo cáo đo kiểm.
Yêu cầu này không áp dụng cho các hệ thống gắn thẻ (Ví dụ: Nhận dạng RF, chống trộm, kiểm soát truy cập, hệ thống định vị).
Độ chọn lọc kênh lân cận đối với máy thu chỉ áp dụng đối với các hệ thống phân kênh
2.5.1.1. Định nghĩa
Độ chọn lọc kênh lân cận là số đo khả năng máy thu hoạt động được khi có tín hiệu không mong muốn có tần số chênh lệch so với tần số của tín hiệu mong muốn một lượng bằng độ phân cách kênh lân cận.
2.5.1.2. Phương pháp đo
Phép đo được thực hiện trong các điều kiện bình thường. Phép đo này chỉ áp dụng đối với thiết bị phân kênh.
Hai máy phát tín hiệu A và B được nối tới máy thu qua mạng kết hợp hoặc:
a) Qua bộ ghép đo hoặc ăng ten thử tới máy thu có ăng ten tích hợp, ăng ten rời hoặc ăng ten đo kiểm; hoặc
b) Trực tiếp tới cổng ăng ten tạm thời hay cố định của máy thu.
Phương pháp đấu nối với máy thu được ghi lại trong báo cáo đo kiểm.
Máy phát tín hiệu A được đặt tại tần số danh định của máy thu, với quá trình điều chế bình thường tín hiệu mong muốn.
Máy phát tín hiệu B không điều chế và phải được điều chỉnh tới tần số kênh lân cận ngay trên kênh tần số tín hiệu mong muốn.
Ban đầu máy phát tín hiệu B được tắt và sử dụng máy phát tín hiệu A với mức tín hiệu tạo ra đáp ứng đủ. Sau đó tăng mức phát tín hiệu thêm 3 dB.
Bật máy phát tín hiệu B và điều chỉnh mức tín hiệu cho đến khi đạt tới chỉ tiêu mong muốn. Ghi lại mức này.
Phép đo được lặp lại với tín hiệu máy phát B được điều chỉnh tới tần số kênh lân cận ngay dưới tín hiệu mong muốn.
Độ chọn lọc kênh lân cận đối với các kênh trên và dưới là tỉ số tính theo dB của mức tín hiệu không mong muốn và mức tín hiệu mong muốn.
2.5.1.3. Các giới hạn
Độ chọn lọc kênh lân cận của thiết bị trong các điều kiện xác định không nhỏ hơn giá trị quy định trong Bảng 9.
Bảng 9 - Độ chọn lọc kênh lân cận
|
Khoảng cách kênh 25 kHz |
Khoảng cách kênh 25 kHz |
|
60 dB |
70 dB |
2.5.2. Đặc tính chặn hay mức giảm độ nhạy thu đối với tín hiệu không mong muốn
2.5.2.1. Định nghĩa
Khả năng chặn (giảm độ nhạy thu đối với tín hiệu không mong muốn) là khả năng máy thu thu được tín hiệu điều chế mong muốn mà không gây ra sự suy giảm chất lượng vượt quá mức quy định do sự xuất hiện của tín hiệu đầu vào không mong muốn tại bất kỳ tần số nào không tính đến các đáp ứng giả hoặc độ chọn lọc kênh lân cận, xem 2.5.1.
Yêu cầu này không áp dụng cho các hệ thống gắn thẻ (Ví dụ: Nhận dạng RF, thiết bị sử dụng công nghệ giao tiếp trường gần NFC, thẻ thông minh Smart Card, chống trộm, kiểm soát truy cập, hệ thống định vị).
2.5.2.2. Phương pháp đo
Phép đo được thực hiện trong các điều kiện bình thường.
Hai máy phát tín hiệu A và B được nối máy thu qua mạng kết hợp hoặc:
a) Qua bộ ghép đo hoặc ăng ten thử tới máy thu có ăng ten tích hợp hoặc ăng ten riêng; hoặc
b) Trực tiếp tới cổng ăng ten tạm thời hay cố định của máy thu.
Phương pháp đấu nối với máy thu được ghi lại trong báo cáo đo kiểm.
Máy phát tín hiệu A được đặt tại tần số danh định của máy thu, với quá trình điều chế bình thường.
Máy phát B phát không điều chế và được điều chỉnh đến tần số đo kiểm quy định dưới đây.
Ban đầu máy phát tín hiệu B được tắt và sử dụng máy phát tín hiệu A với mức tín hiệu tương ứng với độ nhạy máy thu đã chỉ định. Sau đó, máy phát tín hiệu A tăng thêm 3 dB.
Bật máy phát tín hiệu B và điều chỉnh mức tín hiệu cho đến khi đạt tới chỉ tiêu mong muốn. Ghi lại mức này.
Tần số của máy phát tín hiệu B được xác định bằng a) hoặc b), chọn giá trị lớn hơn như sau:
a) Đối với dải tần từ 9 kHz đến < 500 kHz, các phép đo thực hiện tại tần số lân cận +50 kHz, +100 kHz, +200 kHz, + 300 kHz và +500 kHz từ tần số hoạt động cao nhất của máy thu cộng với băng thông 3 dB của máy thu.
Lặp lại các phép đo tại tần số lân cận -50 kHz, -100 kHz, -200 kHz, -300 kHz và -500 kHz từ tần số hoạt động thấp nhất của máy thu trừ đi băng thông 3 dB của máy thu.
Đối với dải tần ³ 500 kHz đến 30 MHz, các phép đo thực hiện tại tần số lân cận +500 kHz, +1 MHz, +2 MHz và +5 MHz từ tần số hoạt động cao nhất của máy thu cộng với băng thông 3 dB của máy thu.
Lặp lại các phép đo tại tần số lân cận lân cận -500 kHz, -1 MHz, -2 MHz và -5 MHz từ tần số hoạt động thấp nhất của máy thu trừ đi băng thông 3 dB của máy thu.
Nhà sản xuất phải công bố các tần số hoạt động và băng thông 3 dB của máy thu;
hoặc:
b) Các tần số đo kiểm trên và dưới đối với máy phát B được quy định như sau:
Các tần số đo kiểm trên: tần số hoạt động cao nhất + (băng thông 3 dB của máy thu) x (NB + 1).
Các tần số đo kiểm dưới: tần số hoạt động thấp nhất - (băng thông 3 dB của máy thu) x (NB + 1).
Giá trị của NB được quy định trong 2.5.2.3, Bảng 10.
Nhà sản xuất phải công bố các tần số hoạt động và băng thông 3 dB của máy thu.
Đối với các hệ thống có các tần số hoạt động quét:
Các tần số đo kiểm trên: tần số cao của dải quét + (băng thông 3 dB của máy thu) x (NB + 1).
Các tần số đo kiểm dưới: tần số thấp của dải quét - (băng thông 3 dB của máy thu) x (NB + 1).
Nhà sản xuất phải công bố các tần số hoạt động và băng thông 3 dB và dải quét của máy thu.
Khả năng chặn hay giảm độ nhạy thu tín hiệu không mong muốn là tỉ số tính theo dB mức thấp nhất của tín hiệu không mong muốn (máy phát B) với mức tín hiệu mong muốn (máy phát A).
Không quy định và không đo các tần số của máy phát B dưới 9 kHz.
2.5.2.3 Các giới hạn
Tỉ số chặn đối với một tần số bất kỳ trong các dải quy định không được nhỏ hơn các giá trị quy định trong Bảng 10, ngoại trừ các tần số trong đó có các đáp ứng phát xạ giả. Giá trị giới hạn được xác định bởi giá trị giới hạn chuẩn (Ref) cộng với hệ số điều chỉnh (dB) tuỳ thuộc vào việc phân loại máy thu tương ứng.
Bảng 10 – Khả năng giảm độ nhạy thu đối với tín hiệu không mong muốn
|
Dịch tần máy phát B fA - fB theo a) hoặc b), tuỳ thuộc giá trị nào lớn hơn (xem chú thích 3) |
Giới hạn (dB) |
||
|
a) theo mục 2.5.2.2 khoản a) |
b) theo mục 2.5.2.2, khoản b) |
||
|
fA < 500 kHz |
fA ³ 500 kHz |
Giá trị của NB, xem dưới đây |
|
|
± 100 kHz |
± 500 kHz |
2 |
Giới hạn chuẩn x 1/2 (xem chú thích 2) |
|
± 200 kHz |
± 1 MHz |
4 |
Giới hạn chuẩn x 2/3 (xem chú thích 2) |
|
± 300 kHz |
± 2 MHz |
8 |
Giới hạn chuẩn x 5/6 (xem chú thích 2) |
|
± 500 kHz |
± 5 MHz |
20 |
Giới hạn chuẩn (xem chú thích 1) |
|
CHÚ THÍCH 1: Giới hạn chuẩn (Ref) = 30 dB tại 9 kHz tăng với độ dốc 10 dB/decade tới 65,2 dB tại 30 MHz. CHÚ THÍCH 2: Giới hạn là phân số của giá trị chuẩn. CHÚ THÍCH 3: Không quy định các tần số máy phát B dưới 9 kHz. |
|||
2.5.3. Phát xạ giả của máy thu
Không áp dụng yêu cầu này cho các máy thu được sử dụng kết hợp với các máy phát cố định cùng vị trí để truyền liên tục. Trong những trường hợp này, máy thu sẽ được đo kiểm cùng với máy phát ở chế độ hoạt động (xem 2.4.7).
2.5.3.1. Định nghĩa
Phát xạ giả từ máy thu là các phát xạ được bức xạ từ ăng ten, khung và vỏ máy thu, được xác định là công suất bức xạ của tín hiệu rời rạc.
2.5.3.2. Phương pháp đo
1) Đối với các bức xạ dưới 30 MHz, phương pháp đo phải phù hợp với 2.4.9.2.
2) Đối với các bức xạ bằng hoặc trên 30 MHz, phương pháp đo phải phù hợp 2.4.10.2.
Chuyển đổi số đo với hệ số 51,5 dB đối với các thiết bị đo hiệu chuẩn theo dBV hay dBV/m.
2.5.3.3. Các giới hạn
2.5.3.3.1. Các phát xạ bức xạ dưới 30 MHz
Các phát xạ giả dưới 30 MHz không được vượt quá các giá trị cường độ trường H (dBµA/m) tại khoảng cách 10 m, quy định trong Bảng 11.
Bảng 11 - Giới hạn phát xạ giả của máy thu
|
Tần số 9 kHz ≤ f < 10 MHz |
Tần số 10 MHz ≤ f < 30 MHz |
|
5,5 dBµA/m tại 9 kHz giảm 3 dB/oct |
-25 dBµA/m |
2.5.3.3.2. Các phát xạ bức xạ trên 30 MHz
Giá trị đo được không vượt quá 2 nW.
2.6. Độ không đảm bảo đo
Việc giải thích các kết quả được ghi lại trong một báo cáo đo cho các phép đo được mô tả trong Quy chuẩn này sẽ như sau:
- Giá trị đo được liên quan đến giới hạn tương ứng sẽ được sử dụng để quyết định xem một thiết bị có đáp ứng các yêu cầu của quy chuẩn này hay không;
- Giá trị của độ không đảm bảo đo đối với phép đo của từng thông số phải được đưa vào báo cáo đo kiểm;
- Giá trị được ghi lại của độ không đảm bảo đo phải là, đối với mỗi phép đo, bằng hoặc nhỏ hơn các số liệu trong Bảng 12.
Bảng 12 - Độ không bảo đảm đo tối đa
|
STT |
Các tham số |
Độ không đảm bảo đo |
|
1 |
Tần số vô tuyến |
±1 x 10-7 |
|
2 |
Công suất RF (dẫn) |
±1 dB |
|
3 |
Công suất RF (bức xạ) |
±6 dB |
|
4 |
Nhiệt độ |
±1 0C |
|
5 |
Độ ẩm |
±5 % |
Đối với các phương pháp đo, theo quy chuẩn này, các số liệu độ không đảm bảo đo phải được tính toán theo phương pháp mô tả trong ETSI TR 100 028 và sẽ tương ứng với hệ số giãn nở (hệ số che phủ) k = 1,96 hoặc k = 2 (cung cấp mức tin cậy tương ứng 95% và 95,45% trong trường hợp các phân phối đặc trưng cho độ không đảm bảo đo thực tế là bình thường (Gauss)).
Độ không đảm bảo đo tại Bảng 12 dựa trên các yếu tố mở rộng như vậy.
Hệ số mở rộng cụ thể được sử dụng để đánh giá độ không đảm bảo đo phải được nêu rõ.
3. QUY ĐỊNH VỀ QUẢN LÝ
3.1. Các thiết bị vô tuyến cự ly ngắn dải tần từ 9 kHz đến 25 MHz và thiết bị vòng từ hoạt động trong dải tần từ 9 kHz đến 30 MHz thuộc phạm vi điều chỉnh tại mục 1.1 phải tuân thủ các quy định kỹ thuật trong quy chuẩn này.
3.2. Tần số hoạt động của thiết bị: tuân thủ quy định về quản lý, sử dụng tần số vô tuyến điện tại Việt Nam.
3.3. Phương tiện, thiết bị đo: tuân thủ các quy định hiện hành của pháp luật về đo lường.
4. TRÁCH NHIỆM CỦA TỔ CHỨC, CÁ NHÂN
Các tổ chức cá nhân liên quan có trách nhiệm thực hiện các quy định về chứng nhận hợp quy, công bố hợp quy thiết bị vô tuyến cự ly ngắn dải tần từ 9 kHz đến 25 MHz và thiết bị vòng từ hoạt động trong dải tần từ 9 kHz đến 30 MHz theo quy định về chứng nhận hợp quy và công bố hợp và chịu sự kiểm tra của các cơ quan quản lý nhà nước theo các quy định hiện hành.
5. TỔ CHỨC THỰC HIỆN
5.1. Cục Viễn thông, Cục Tần số vô tuyến điện và các Sở Thông tin và Truyền thông có trách nhiệm tổ chức triển khai hướng dẫn và quản lý thiết bị vô tuyến cự ly ngắn dải tần từ 9 kHz đến 25 MHz và thiết bị vòng từ hoạt động trong dải tần từ 9 kHz đến 30 MHz theo Quy chuẩn này.
5.2. Quy chuẩn này được áp dụng thay thế cho Quy chuẩn kỹ thuật quốc gia QCVN 55:2011/BTTTT Quy chuẩn kỹ thuật quốc gia về thiết bị vô tuyến cự ly ngắn dải tần 9 kHz - 25 MHz.
5.3. Trong trường hợp các quy định nêu tại quy chuẩn này có sự thay đổi, bổ sung hoặc được thay thế thì thực hiện theo quy định tại văn bản mới.
5.4. Trong quá trình triển khai thực hiện quy chuẩn này, nếu có vấn đề phát sinh, vướng mắc, các tổ chức và cá nhân có liên quan phản ánh bằng văn bản về Bộ Thông tin và Truyền thông (Vụ Khoa học và Công nghệ) để được hướng dẫn, giải quyết.
Phụ lục A
(Quy định)
Phép đo bức xạ
A.1. Các vị trí đo kiểm và bố trí chung cho các phép đo liên quan tới việc sử dụng các trường bức xạ
Phụ lục này giới thiệu ba loại vị trí đo kiểm phổ biến nhất hiện nay có thể được sử dụng cho đo kiểm bức xạ là: phòng hấp thụ, phòng bán hấp thụ (phòng hấp thụ với một mặt đáy tiếp đất) và vị trí đo kiểm ngoài trời (OATS). Nói chung, các vị trí đo kiểm này được gọi là các vị trí đo kiểm trường tự do. Cả phép đo tuyệt đối và tương đối đều có thể được thực hiện ở các vị trí này. Để thực hiện được các phép đo tuyệt đối đòi hỏi phải kiểm tra buồng đo. Thủ tục kiểm tra chi tiết được mô tả trong ETSI TR 102 273-2, ETSI TR 102 273-3 và ETSI TR 102 273-4.
CHÚ THÍCH: Để đảm bảo có thể dễ dàng kiểm soát và tái tạo được các phép đo bức xạ, chỉ sử dụng các vị trí đo kiểm này cho các phép đo trong Quy chuẩn này.
A.1.1. Phòng hấp thụ
Phòng hấp thụ là một không gian kín được che chắn, trong đó mặt trong của các bức tường, sàn phòng và trần phòng được phủ bằng vật liệu hấp thụ sóng vô tuyến, thường là loại xốp urethane hình chóp. Thông thường, buồng gồm có một giá đỡ ăng ten ở một đầu và một bàn xoay ở đầu kia. Phòng hấp thụ điển hình được minh họa trong Hình A.1.

Hình A.1 - Phòng hấp thụ điển hình
Việc sử dụng vật liệu hấp thụ sóng vô tuyến và việc che chắn phòng kết hợp với nhau sẽ tạo ra một môi trường được kiểm soát cho các mục đích đo kiểm. Loại phòng đo kiểm này mô phỏng tốt nhất các điều kiện trong không gian tự do.
Việc che chắn sẽ tạo ra được một không gian đo kiểm giảm bớt được mức nhiễu của các tín hiệu xung quanh và cũng như làm giảm các hiệu ứng bên ngoài khác, trong khi đó, vật liệu hấp thụ sóng vô tuyến sẽ giảm thiểu được tia phản xạ không mong muốn từ tường và trần, những tia phản xạ này có thể ảnh hưởng đến phép đo. Thực tế, có thể dễ dàng che chắn để loại bỏ được nhiễu xung quanh ở mức cao (80 dB đến 140 dB), thường có thể bỏ qua được nhiễu xung quanh.
Bàn xoay phải xoay được 3600 trong mặt phẳng ngang và được dùng để nâng mẫu thiết bị cần đo kiểm (EUT) lên một độ cao thích hợp so với mặt sàn (ví dụ: 1 m). Phòng đo phải đủ rộng sao cho khoảng cách đo tối thiểu phải là 3 m hoặc là 2 (d1 + d1)2/λ (m), lấy giá trị lớn nhất trong hai giá trị này (xem A.2.4). Khoảng cách đo thực tế phải được ghi lại cùng với các kết quả đo.
Phòng hấp thụ thường có một số ưu điểm so với các phương tiện đo kiểm khác. Giảm thiểu sự can thiệp của môi trường xung quanh, giảm thiểu các phản xạ từ sàn, trần, tường và không phụ thuộc vào thời tiết. Tuy nhiên, Phòng hấp thụ có một số nhược điểm bao gồm khoảng cách đo và việc sử dụng tần số thấp hơn bị hạn chế do kích thước của các vật liệu hấp thụ hình chóp. Để cải thiện hiệu suất của tần số thấp, thường sử dụng kết hợp các chóp ferrite với các lớp hấp thụ xốp urethane.
Tất cả các phép đo bức xạ, đo độ nhạy và miễn nhiễm có thể được thực hiện trong phòng hấp thụ mà không có sự hạn chế nào.
A.1.2. Phòng bán hấp thụ (Phòng hấp thụ có mặt đáy dẫn điện)
Phòng bán hấp thụ là phòng hấp thụ có sàn phòng làm bằng kim loại không được che phủ và tạo thành mặt phẳng nền. Một phòng bán hấp thụ điển hình được mô tả trong Hình A.2.
Phòng bán hấp thụ mô phỏng vị trí đo kiểm ngoài trời lý tưởng có đặc tính chính là một mặt nền dẫn điện hoàn hảo được mở rộng không giới hạn.

Hình A.2 - Phòng bán hấp thụ điển hình
Trong phòng này, mặt đáy tiếp đất tạo ra tia phản xạ mong muốn, sao cho tín hiệu thu được tại ăng ten thu sẽ là tổng của các tín hiệu được truyền theo đường thẳng và theo đường phản xạ. Do vậy, với mỗi độ cao nhất định của ăng ten phát (hoặc EUT) và ăng ten thu so với mặt sàn, ta sẽ có một mức tín hiệu thu duy nhất.
Cột ăng ten có khả năng thay đổi chiều cao từ 1 m đến 4 m để vị trí của ăng ten đo kiểm có thể được tối ưu hóa cho tín hiệu ghép nối lớn nhất giữa các ăng ten hoặc giữa EUT và ăng ten đo kiểm.
Bàn xoay có khả năng xoay 360° trong mặt phẳng nằm ngang và được sử dụng để nâng mẫu thử cần đo kiểm (EUT) lên một độ cao nhất định so với mặt sàn, thường là 1,5 m. Phòng đo phải đủ rộng sao cho khoảng cách tối thiểu là 3 m hoặc là 2(d1 + d2)2/λ (m), lấy giá trị lớn nhất trong hai giá trị này (xem A.2.4). Khoảng cách đo thực tế phải được ghi lại cùng với các kết quả đo.
Phép đo phát xạ trước hết chính là đo giá trị cường độ trường lớn nhất bức xạ từ EUT bằng cách điều chỉnh độ cao của ăng ten thu trên cột (để thu được các giao thoa cộng biên độ của các tín hiệu trực tiếp và phản xạ từ EUT), sau đó xoay bàn xoay để tìm ra hướng thu được cường độ trường lớn nhất trong mặt phẳng phương vị. Phải ghi lại giá trị biên độ của tín hiệu thu tại độ cao này của ăng ten đo kiểm. Thứ hai, thay EUT bằng một ăng ten thay thế (được đặt tại tâm khối hoặc tâm diện EUT), ăng ten này được nối đến một bộ phát tín hiệu. ‘Lấy cực đại’ giá trị cường độ trường của tín hiệu được phát xạ từ ăng ten thay thế này, phải điều chỉnh đầu ra của bộ phát tín hiệu sao cho đúng bằng giá trị đã ghi lại ở bước một.
Các phép đo độ nhạy máy thu qua một mặt nền cũng chính là ‘lấy cực đại’ cường độ trường bằng cách điều chỉnh độ cao của ăng ten đo kiểm trên cột để thu được các giao thoa cộng biên độ của tín hiệu theo đường thẳng và đường phản xạ là lớn nhất, lần này đặt ăng ten đo tại đúng vị trí tâm khối hoặc tâm diện của EUT để đo kiểm. Ở đây phải có hệ số chuyển đổi. Ăng ten đo kiểm vẫn được giữ ở độ cao như bước hai, trong khi đó ăng ten đo được thay thế bằng EUT. Giảm biên độ của tín hiệu phát để xác định mức cường độ trường mà tại đó đáp ứng đã chỉ ra của EUT vẫn duy trì được.
A.1.3. Vị trí đo kiểm ngoài trời (OATS)
A.1.3.0. Tổng quát
OATS có thể được sử dụng cho các phép đo trong dải tần từ 9 kHz đến 1 000 MHz.
Các phép đo dưới 30 MHz phải được thực hiện theo mục A.1.3.1 và các phép đo trên 30 MHz phải được thực hiện theo mục A.1.3.2.
Vị trí đo kiểm ngoài trời bao gồm một bàn xoay ở một đầu và cột ăng ten có chiều cao thay đổi ở đầu kia. Một OATS điển hình được mô tả trong Hình A.3.
Trong Hình A.3, đối với các phép đo dưới 30 MHz, các ăng ten lưỡng cực phải được thay thế bằng các ăng ten vòng và được giải thích trong mục A1.3.1.

Hình A.3 – Vị trí đo kiểm ngoài trời điển hình
A.1.3.1. Các phép đo dưới 30 MHz
Đối với các phép đo dưới 30 MHz, các phép đo kiểm có thể được thực hiện theo CISPR 16-1-4. Các phép đo được thực hiện bằng một ăng ten đo kiểm vòng cảm ứng được che chắn, ăng ten này chỉ đọc từ trường (trường H). Các phép đo này có hiệu lực cho cả trường xa và trường gần. Trong trường hợp này, OATS không được có mặt đất bằng vật liệu dẫn điện hoặc từ tính.
Đối với vị trí đo kiểm phát xạ bức xạ (OATS) dưới 30 MHz không được có vật thể kim loại, đường ống được chôn và bất kỳ vật thể nào có thể ảnh hưởng đến phép đo bức xạ. Vị trí đo kiểm thay thế nếu chứng tỏ tương đương với vị trí đo kiểm như mô tả trong phần trên sẽ được chấp nhận cho các mục đích của quy chuẩn này.
A.1.3.2. Các phép đo trên 30 MHz
Vị trí đo kiểm ngoài trời bao gồm một bàn xoay ở một đầu và cột ăng ten có chiều cao thay đổi ở đầu kia, bề mặt đất trong trường hợp lý tưởng là dẫn điện hoàn hảo và mở rộng vô hạn. Thực tế, có thể tạo được một mặt nền dẫn điện tốt nhưng không thể tạo ra được mặt nền vô hạn. Một OATS điển hình được mô tả trong Hình A.3.
Mặt nền tạo ra các tia phản xạ mong muốn, do đó ăng ten thu sẽ thu được một tín hiệu là tổng của tín hiệu được truyền trực tiếp và tín hiệu phản xạ. Đối với từng độ cao ăng ten phát (hoặc EUT) và độ cao ăng ten thu so với mặt nền, độ lệch pha giữa hai tín hiệu này sẽ tạo ra một mức thu duy nhất.
Chất lượng của vị trí đo kiểm có liên quan tới các vị trí ăng ten, bàn xoay, khoảng cách đo và các bố trí khác như phòng bán hấp thụ. Trong các phép đo bức xạ, vị trí đo ngoài trời được dùng tương tự như phòng bán hấp thụ.
Cách bố trí phổ biến nhất cho một vị trí đo có mặt nền để đo chỉ tiêu phát xạ giả được mô tả trong Hình A.4.

Hình A.4 - Bố trí phép đo tại vị trí đo kiểm có mặt nền dẫn
(Thiết lập OATS để đo kiểm phát xạ giả)
A.1.4. Ăng ten đo kiểm (Test Antenna)
Ăng ten đo kiểm luôn được sử dụng trong các phương pháp đo bức xạ. Đối với các phép đo phát xạ (tức là sai số tần số, công suất bức xạ hiệu dụng, công suất phát xạ giả và công suất kênh liền kề), ăng ten đo kiểm được sử dụng để thu cường độ trường bức xạ từ EUT trong bước một của quy trình đo, và thu cường độ trường bức xạ từ ăng ten thay thế trong bước hai. Khi vị trí đo kiểm được dùng để đo các đặc tính của máy thu (tức là: độ nhạy và các tham số miễn nhiễm khác nhau), thì ăng ten đo kiểm được dùng như một thiết bị phát.
Ăng ten đo kiểm phải được gắn trên một giá đỡ cho phép ăng ten có thể sử dụng được theo phân cực đứng hoặc phân cực ngang, và ở các vị trí đo kiểm có một mặt nền (tức là, các phòng bán hấp thụ hoặc các vị trí đo kiểm ngoài trời) độ cao của tâm ăng ten so với mặt đất phải thay đổi được trong một khoảng nhất định (thường là 1 m đến 4 m).
Trong dải tần từ 9 kHz đến 30 MHz, ăng ten vòng cảm ứng được che chắn theo CISPR 16-1-4 thường được khuyến nghị sử dụng. Phương pháp ăng ten đo kiểm này hỗ trợ cho các phép đo ở cả trường xa và trường gần.
Trong dải tần từ 30 MHz đến 1 000 MHz, khuyến nghị sử dụng các ăng ten lưỡng cực (cấu tạo tương ứng với ANSI C63.5). Đối với các tần số lớn hơn hoặc bằng 80 MHz, các ăng ten lưỡng cực phải có độ dài chấn tử sao cho có cộng hưởng tại tần số đo kiểm. Với các tần số nhỏ hơn 80 MHz, khuyến nghị sử dụng các ăng ten lưỡng cực có độ dài chấn tử ngắn. Tuy nhiên, đối với các phép đo phát xạ giả, nên sử dụng kết hợp các bicone và các ăng ten dàn lưỡng cực loga chu kỳ (thường gọi chung là ăng ten loga chu kỳ) để có thể làm việc trong cả hai dản tần từ 30 MHz đến 1 000 MHz. Đối với các tần số lớn hơn 1 000 MHz, khuyến nghị sử dụng các ống dẫn sóng hình loa, mặc dù trong trường hợp này vẫn có thể sử dụng các ăng ten loga chu kỳ.
CHÚ THÍCH: Độ tăng ích của ăng ten loa thường được biểu diễn tương đương với một bộ phát xạ đẳng hướng.
A.1.5. Ăng ten thay thế
Ăng ten thay thế được sử dụng để thay thế cho EUT trong các phép đo tham số của máy phát (tức là sai số tần số, công suất bức xạ hiệu dụng, các phản xạ giả và công suất kênh liền kề). Với các phép đo được thực hiện trong dải băng tần từ 30 MHz đến 1 000 MHz, ăng ten thay thế phải là ăng ten lưỡng cực (cấu tạo phù hợp với ANSI C63.5). Với các tần số lớn hơn hoặc bằng 80 MHz, các ăng ten lưỡng cực phải có độ dài chấn tử sao cho có cộng hưởng tại tần số đo kiểm. Với các tần số nhỏ hơn 80 MHz, nên sử dụng các chấn tử ngắn. Đối với các tần số lớn hơn 1 000 MHz, nên sử dụng các ống dẫn sóng hình loa. Tâm của ăng ten này phải trùng với tâm điện hoặc tâm khối EUT.
Các phép đo thay thế dưới 30 MHz không được sử dụng vì trường H bức xạ được đo bằng ăng ten vòng được che chắn theo CISPR 16-1-4.
A.1.6. Ăng ten đo (Measuring Antenna)
Ăng ten đo được sử dụng trong các phép đo trên EUT để đo tham số thu (tức là đo độ nhậy và đo các tham số chống nhiễu). Mục đích của loại ăng ten này là cho phép cường độ trường điện ở vùng liền kề EUT.
Đối với các phép đo trong dải tần từ 30 MHz đến 1 000 MHz, ăng ten đo phải là ăng ten lưỡng cực (cấu tạo phù hợp với ANSI C63.5). Với các tần số lớn hơn hoặc bằng 80 MHz, các ăng ten lưỡng cực phải có độ dài chấn tử sao cho có cộng hưởng tại tần số đo kiểm. Với các tần số nhỏ hơn 80 MHz, nên sử dụng các chấn tử ngắn. Tâm của ăng ten đo phải trùng khớp với tâm diện hoặc tâm khối EUT (như quy định trong phương pháp đo).
Đối với các phép đo trên hệ thống mạch vòng cảm ứng hoạt động dưới 30 MHz, ăng ten đo là ăng ten vòng đã được hiệu chuẩn.
A.2. Hướng dẫn sử dụng các vị trí đo kiểm bức xạ
A.2.0. Tổng quát
Mục này chi tiết hóa các thủ tục, việc kiểm tra và bố trí thiết bị đo kiểm cần được thực hiện trước bất cứ một phép đo bức xạ nào. Đây là quy định chung đối với tất cả các vị trí đo kiểm đã được quy định trong A.1.
A.2.1. Kiểm tra vị trí đo kiểm
Không một phép đo nào được thực hiện tại một vị trí đo kiểm mà vị trí này chưa được xác nhận là đã kiểm tra. Các thủ tục kiểm tra đối với các loại vị trí đo kiểm khác nhau quy định trong A.1 (tức là phòng hấp thu, phòng bán hấp thụ và vị trí đo kiểm ngoài trời) cũng đã được quy định trong ETSI TR 102 273-2, ETSI TR 102 273-3 và ETSI TR 102 273-4, tương ứng với A.2.2, A.2.3 và A.2.4.
A.2.2. Chuẩn bị EUT
Nhà sản xuất phải cung cấp các thông tin về EUT bao gồm: tần số làm việc, phân cực, điện áp cấp và cấu tạo ngoài. Các thông tin bổ sung, cụ thể đối với EUT như công suất sóng mang, khoảng cách kênh, mẫu này có thể làm việc ở các chế độ khác nhau hay không (ví dụ: chế độ công suất cao và thấp), làm việc ở chế độ liên tục hay có một chu trình đo kiểm lớn nhất nào đó (ví dụ: một phút bật, bốn phút tắt).
Nếu cần, phải có một giá đỡ có kích thước nhỏ nhất để đặt EUT trên bàn xoay. Giá đỡ này phải được làm bằng vật liệu dẫn điện thấp, có hằng số điện môi tương đối thấp (tức là nhỏ hơn 1,5) chẳng hạn như polystyrene chống co, gỗ balsa….
A.2.3. Nguồn cung cấp cho EUT
Nếu có thể, tất cả các phép đo đều phải được cấp nguồn khi tiến hành đo, kể các các phép đo được tiến hành trên các EUT được thiết kế chỉ sử dụng pin. Trong mọi trường hợp, dây dẫn của nguồn cấp phải được nối với đầu cấp nguồn cho EUT (và được kiểm tra bằng một vôn kế số), tuy nhiên vẫn phải giữ lại pin nhưng phải để pin cách điện hoàn toàn với thiết bị, có thể thực hiện điều này bằng cách quấn băng dính vào các đầu tiếp xúc của pin.
Tuy nhiên, việc có mặt của các dây dẫn của nguồn cấp cũng làm ảnh hưởng đến hiệu năng đo của EUT. Vì vậy chúng phải được làm sao cho càng “thông suốt” về mặt đo kiểm càng tốt. Có thể thực hiện được việc này bằng cách đặt các dây của nguồn cấp tránh xa EUT và dưới lớp chắn, dưới mặt nền hoặc sau thành của thiết bị (tùy điều kiện) theo đường ngắn nhất. Phải rất thận trọng để tránh xảy ra hiện tượng cảm biến giữa các dây (ví dụ: các dây có thể xoắn vào nhau, mắc tải bằng các ferrite cách nhau 0,15 m hoặc một loại tải khác).
A.2.4. Khoảng cách đo
A.2.4.1. Khoảng cách đo trường xa trên 30 MHz
Khoảng cách đo của tất cả các loại thiết bị phải đảm bảo rằng phép đo được thực hiện trong trường xa của EUT, tức là khoảng cách đó phải lớn hơn hoặc bằng:

Trong đó:
d1: là kích thước lớn nhất của EUT/Ăng ten lưỡng cực sau khi thay thế (m);
d2: là kích thước lớn nhất của ăng ten đo kiểm (m);
: là bước sóng của tần số đo kiểm (m).
Lưu ý: nếu tại phần thay thế của phép đo có cả ăng ten đo kiểm và ăng ten thay thế đều là ăng ten lưỡng cực nửa sóng, thì khoảng cách nhỏ nhất của phép đo trường xa phải là:

Lưu ý: trong các kết quả đo kiểm khi mà một trong hai điều kiện này không đáp ứng được, thì phải bổ sung thêm độ không đảm bảo đo cùng với kết quả đo.
CHÚ THÍCH 1: Đối với phòng hấp thụ hoàn toàn, tại bất cứ góc quay nào của bàn xoay, không một phần nào của EUT được nằm ngoài “vùng lặng” của phòng đo tại tần số danh định của phép đo.
CHÚ THÍCH 2: “Vùng lặng” là phần thể tích nằm trong phòng hấp thụ (loại phòng không có mặt nền tiếp đất) mà hoặc được chứng minh từ phép đo hoặc được nhà thiết kế/sản xuất đảm bảo sẽ có một hiệu quả đo xác định. Thường, hiệu quả đo xác định là hệ số phản xạ của các tấm hấp thụ hoặc là một tham số liên quan trực tiếp (ví dụ: độ đồng nhất về biên độ và pha của tín hiệu). Tuy nhiên, chú thích rằng, các định nghĩa về “vùng lặng” có xu hướng thay đổi.
CHÚ THÍCH 3: Đối với phòng hấp thụ có một mặt nền tiếp đất: phải có khả năng quét đủ theo chiều cao, tức là từ 1 m đến 4 m, do đó không một phần nào của hai loại phòng hấp thụ, hệ số phản xạ của các tấm hấp thụ không được nhỏ hơn -5 dB.
CHÚ THÍCH 4: Đối với phòng hấp thụ có mặt nền tiếp đất và vị trí đo kiểm ngoài trời: tại bất cứ thời điểm nào trong suốt quá trình của các phép đo, không một phần nào của mọi ăng ten được cách mặt nền một khoảng nhỏ hơn 0,25 m. Khi một trong những điều kiện này không được thỏa mãn thì không tiến hành đo.
A.2.4.2. Khoảng cách đo trường gần và trường xa dưới 30 MHz
Các hệ thống cảm ứng dưới 30 MHz có thể được đo cả trong vùng trường gần và vùng trường xa tại vị trí đo kiểm ngoài trời bằng ăng ten vòng được che chắn theo CISPR 16-1-4.
Khoảng cách đo tối thiểu, d được xác định bởi:
d ≥ 3D
trong đó D là kích thước lớn nhất tính bằng mét của vòng dây cảm ứng.
A.2.5. Chuẩn bị vị trí đo
Các dây dẫn ở hai đầu của vị trí đo phải được đặt ngang cách xa khu vực đo ít nhất 2 m trong mặt phẳng ngang (trừ trường hợp cả hai loại phòng hấp thụ có tường chắn sau) và sau đó được phép đi dây xuống và xuyên qua mặt nền hoặc lớp chắn (tùy trường hợp) để đi đến thiết bị đo kiểm. Khi đi dây phải rất thận trọng để tối thiểu hóa được hiện tượng cảm biến giữa các dây (ví dụ: phải bọc thêm các hạt ferrite hoặc điện trở khác). Việc đi dây và bọc lớp điện trở cho các dây cáp phải giống hệt với khi tiến hành kiểm tra.
CHÚ THÍCH: Đối với các vị trí đo phản xạ mặt nền (tức là, các phòng bán hấp thụ và các vị trí đo ngoài trời) có sự kết hợp của một ống cáp với một cột ăng ten thì yêu cầu 2 m là không thể thực hiện được. Trong trường hợp này, việc định tuyến các dây dẫn phải được mô tả trong báo cáo đo kiểm.
Số liệu hiệu chỉnh cho tất cả các thành phần của thiết bị đo kiểm cần phải có sẵn và có giá trị. Để đo kiểm, các ăng ten đo và ăng ten thay thế, dữ liệu phải bao gồm hệ số tăng ích liên quan đến hệ số bức xạ đẳng hướng (hoặc hệ số ăng ten) ở tần số đo kiểm. Tương tự, phải có giá trị VSWR của các ăng ten thay thế và ăng ten đo kiểm.
Số liệu hiệu chỉnh cho tất cả các dây dẫn và các bộ suy hao phải bao gồm suy hao thêm vào và VSWR trên toàn bộ dải tần của các phép đo. Tất cả các giá trị VSWR và suy hao thêm vào đều phải được ghi lại ở trang kết quả của sổ nhật ký đối với đo kiểm cụ thể.
Phải có sẵn các hệ số / bảng hiệu chỉnh khi cần thiết.
Đối với tất cả các thành phần của thiết bị đo kiểm, phải biết các sai số lớn nhất cùng với phân bố của lỗi, ví dụ:
- Suy hao cáp: ±0,5 dB với phân bố hình chữ nhật;
- Máy thu đo: độ chính xác của mức tín hiệu là 1,0 dB (độ lệch chuẩn) với phân bố lỗi Gauss.
Khi bắt đầu các phép đo, phải thực hiện kiểm tra hệ thống trên tất cả các thành phần của thiết bị đo được sử dụng tại vị trí đo.
A.3. Ghép tín hiệu
A.3.1. Tổng quan
Các dây dẫn trong trường bức xạ có thể gây nhiễu cho trường bức xạ đó và dẫn tới độ không đảm bảo đo. Có thể tối thiểu hóa được các ảnh hưởng nhiễu bằng cách sử dụng các phương pháp ghép nối thích hợp, đảm bảo được việc tách biệt tín hiệu và tối thiểu hóa ảnh hưởng nhiễu lên trường bức xạ (ví dụ, ghép nối âm học và quang học)
A.3.2. Tín hiệu số liệu
Việc tách biệt tín hiệu có thể được thực hiện bằng cách sử dụng các thiết bị quang học, thiết bị siêu âm hoặc thiết bị hồng ngoại. Có thể giảm thiểu hóa nhiễu trường bức xạ bằng cách sử dụng một đường nối cáp quang thích hợp. Các kết nối bằng siêu âm hoặc hồng ngoại yêu cầu phải có phép đo thích hợp để tối thiểu hóa được nhiễu xung quanh.
A.4. Vị trí đo kiểm chuẩn
Trừ bộ tạo trường điện, vị trí đo kiểm chuẩn nằm trong tất cả các vị trí đo kiểm đối với loại thiết bị không dùng để đeo lên người, bao gồm cả thiết bị xách tay, phải là một giá đỡ không dẫn điện, cao 1,5 m, có khả năng quay được xung quanh trục đứng của thiết bị. Vị trí đo chuẩn của thiết bị phải như sau:
a) Đối với thiết bị có ăng ten tích hợp, phải được đặt ở vị trí gần với vị trí hay dùng nhất mà nhà sản xuất đã công bố.
b) Đối với thiết bị có ăng ten ngoài cứng, ăng ten phải thẳng đứng.
c) Đối với thiết bị có ăng ten ngoài mềm, ăng ten phải được dựng thẳng đứng bằng một giá đỡ cách điện.
Có thể sử dụng một giá đỡ hình người để đo các thiết bị chuyên dùng được đeo bên người.
Giá đỡ hình người này bao gồm một ống acrylic có thể xoay được chứa đầy nước muối, đặt trên mặt đất.
Ống này phải có kích thước như sau:
- Chiều cao: 1,7 m ± 0,1 m;
- Đường kính trong: 300 mm ± 5 mm;
- Độ dày của thành ống: 5 mm ± 0,5 mm.
Ống được đổ đầy dung dịch nước muối (NaCl) nồng độ 1,5 g/lit nước cất.
Thiết bị phải được giữ cố định trên bề mặt giá đỡ hình người, ở chiều cao thích hợp của thiết bị.
CHÚ THÍCH: Để làm giảm khối lượng người mô phỏng, có thể sử dụng một dạng ống khác thay thế có lõi rỗng đường kính lớn nhất là 220 mm.
Trong bộ tạo trường điện, thiết bị được đo kiểm hoặc ăng ten thay thế phải được đặt trong vùng đo kiểm ở vị trí hoạt động bình thường, tương ứng với trường được ứng dụng, trên một bệ được làm bằng vật liệu điện môi thấp (hệ số điện môi nhỏ hơn 2).
A.5. Bộ ghép đo
A.5.0. Sử dụng bộ ghép đo
Đối với các thiết bị dùng ăng ten tích hợp và không có đầu kết nối ra 50 Ω, cần sử dụng bộ ghép đo thích hợp.
A.5.1. Mô tả
Bộ ghép đo là một loại thiết bị vô tuyến dùng để ghép ăng ten bên trong máy với thiết bị đầu cuối RF 50 Ω ở tất cả các tần số cần đo. Điều này cho phép thực hiện một số phép đo nhất định bằng cách sử dụng biện pháp đo dẫn. Chỉ các phép đo tương đối được thực hiện tại gần hoặc đúng các tần số mà bộ ghép đo được hiệu chỉnh.
Các bộ ghép đo phải được mô tả đầy đủ. Ngoài ra, bộ ghép đo có thể cung cấp:
a) Kết nối với nguồn điện bên ngoài.
b) Một phương thức cung cấp đầu vào hoặc đầu ra từ thiết bị. Điều này có thể bao gồm khớp nối đến hoặc từ ăng ten. Trong trường hợp đánh giá thiết bị giọng nói, giao diện âm thanh có thể được cung cấp bằng kết nối trực tiếp hoặc bằng bộ ghép âm hoặc trong trường hợp thiết bị không nói, thiết bị kiểm tra cũng có thể cung cấp phương tiện ghép phù hợp, ví dụ: dữ liệu.
Các hộp ghép đo thường được cung cấp bởi nhà sản xuất.
Các đặc tính hiệu suất của thiết bị đo phải được phòng đo chấp thuận và phải tuân theo các thông số cơ bản sau:
a) Suy hao do ghép không được lớn hơn 30 dB;
b) Tính chất băng thông thích hợp;
c) Sự biến thiên suy hao do ghép không vượt quá 2 dB trên dải tần được sử dụng trong phép đo;
d) Mạch liên kết được nối với bộ đấu nối RF phải là mạch không được chứa các thiết bị tích cực hoặc không tuyến tính;
e) VSWR tại ổ cắm 50 Ω không được lớn hơn 1,5 trên dải tần của các phép đo;
f) Suy hao do ghép phải độc lập với vị trí của bộ ghép đo và không bị ảnh hưởng bởi sự lân cận của các đối tượng hoặc người xung quanh. Suy hao do ghép phải lặp lại được khi thiết bị đo kiểm được tháo ra và thay thế. Thông thường, bộ ghép đo ở một vị trí cố định và quy định vị trí cho EUT;
g) Suy hao do ghép sẽ không thay đổi đáng kể khi điều kiện môi trường thay đổi.
Các đặc tính kỹ thuật của bộ ghép đo và việc hiệu chỉnh bộ ghép đo phải được ghi lại trong báo cáo đo kiểm.
A.5.2. Hiệu chỉnh
Việc hiệu chỉnh bộ ghép đo sẽ xác định được mối quan hệ giữa đầu ra của máy tạo tín hiệu và cường độ trường thiết bị bên trong bộ ghép đo.
Đối với mỗi loại phân cực xác định thì hiệu chỉnh chỉ có giá trị ở mỗi tần số đã cho của máy tạo tín hiệu.
Trong thực tế cách bố trí phụ thuộc vào loại thiết bị (số liệu, thoại….).

1) Thiết bị ghép nối.
2) Thiết bị đánh giá chỉ tiêu kỹ thuật, ví dụ như máy đo hệ số méo/mức âm, máy đo tỉ số lỗi bít BER, v.v.
Hình A.5 – Sơ đồ bố trí thiết bị để hiệu chỉnh
Phương pháp hiệu chỉnh:
a) Xác định độ nhạy thể hiện bằng cường độ như quy định trong quy chuẩn này rồi ghi lại giá trị cường độ trường tính bằng dBµV/m và loại phân cực sử dụng;
b) Đặt máy thu bên trong bộ ghép đo nối với máy tạo tín hiệu. Mức tín hiệu của máy tạo tín hiệu tạo ra:
- Tỷ số lỗi bit là 0,01; hoặc
- Tỷ lệ bản tin chấp nhận được là 80% phải được ghi lại.
Hiệu chỉnh bộ ghép đo là mối quan hệ giữa cường độ trường tính bằng dBµV/m và mức tín hiệu của máy tạo tín hiệu tính bằng dBµV/m emf. Mối quan hệ này được coi là tuyến tính.
A.5.3. Phương thức thực hiện
Bộ ghép đo có thể được sử dụng cho các phép đo đối với các thiết bị có ăng ten tích hợp.
Đặc biệt bộ ghép đo được sử dụng để đo công suất sóng mang bức xạ và độ nhạy (được thể hiện bằng cường độ từ trường) trong các điều kiện tới hạn.
Đối với các phép đo máy phát không cần hiệu chỉnh như các phép đo tương đối được sử dụng.
Đối với các phép đo máy thu cần phải hiệu chỉnh như các phép đo tuyệt đối được sử dụng.
Để áp dụng cho mức tín hiệu mong muốn xác định được biểu diễn bằng cường độ từ trường, chuyển đổi giá trị này sang mức tín hiệu của máy tạo tín hiệu (emf) sử dụng hiệu chỉnh bộ ghép đo. Áp dụng giá trị này cho máy tạo tín hiệu.
A.6. Tính năng kỹ thuật của máy phân tích phổ
Có thể, sử dụng thông số băng thông phân giải 1 kHz, để đo biên độ của tín hiệu hoặc nhiễu ở mức cao hơn mức nhiễu nền hiển thị trên màn hình của máy phân tích phổ từ 3 dB trở lên, với độ chính xác ± 2 dB khi có tín hiệu ở phân cách tần số 10 kHz, ở mức cao hơn 90 dB so với mức của tín hiệu cần đo.
Độ chính xác giá trị đọc được của điểm đánh dấu tần số phải nằm trong khoảng ± 2% của dải tần phụ.
Độ chính xác của các phép đo biên độ tương đối phải trong khoảng ± 1 dB.
Có thể điều chỉnh máy phân tích phổ để cho phép tách hai thành phần có tần số chênh lệch 1 kHz trên màn hình.
Phụ lục B
(Quy định)
Hệ số hiệu chỉnh giới hạn trường H đối với các trường E

Hình B.1 - Hệ số hiệu chỉnh giới hạn trường H
(Quy định)
Các ăng ten vòng chế tạo theo yêu cầu của khách hàng
C.1. Các loại sản phẩm liên quan đến ăng ten vòng
Quy chuẩn kỹ thuật này cho phép chế tạo các ăng ten vòng theo yêu cầu của khách hàng với các giới hạn sau:
- Sản phẩm loại 1 được đo kiểm với ăng ten tích hợp hoặc ăng ten riêng, không cho phép sửa đổi ăng ten theo yêu cầu của khách hàng;
- Sản phẩm loại 2 được giới hạn cho các tiết diện ăng ten nhỏ hơn 30 m2 và độ dài vòng ăng ten nhỏ hơn giá trị nhỏ nhất trong hai giá trị: l/4 hay 30 m;
- Sản phẩm loại 2 được đo kiểm với hai ăng ten vòng có kích thước cực đại và cực tiểu do nhà sản xuất cung cấp. Sản phẩm loại 2 cho phép: chế tạo ăng ten vòng theo yêu cầu của khách hàng phù hợp với các nguyên tắc thiết kế của nhà sản xuất.
- Sản phẩm loại 3 giới hạn đối với các kích thước ăng ten vòng lớn hơn 30 m2. Chỉ đo kiểm thiết bị với ăng ten giả: cho phép thay đổi một vòng lớn.
Các công thức thiết kế cho trong các mục C.2 và C.3 chỉ có tính chất hướng dẫn.
C.2. Các vòng ăng ten dưới 1 MHz
Từ trường bức xạ H từ một ăng ten cuộn cảm trong trường gần được xác định như sau:

Trong đó:
N : số vòng dây của ăng ten cuộn cảm.
I : dòng trong cuộn cảm của ăng ten tính theo Ampe.
A : tiết diện của cuộn cảm tính theo m2.
d : khoảng cách từ máy phát, tính theo m.
Công thức trên chỉ hợp lệ với các tần số thấp trong các điều kiện sau:
• Chiều dài của cuộn cảm: l < λ/2π
• Khoảng cách từ cuộn cảm: d < λ/2π
Tích của NIA là mô men lưỡng cực từ m của cuộn cảm.
Công thức của momen từ:
m = NIA = H 2π d3 (Am2) (C.2)
Trong quy chuẩn kỹ thuật này, khoảng cách đo chuẩn d là 10 m hoặc 30 m.
Nếu thay khoảng cách là 10 m vào (C.2), ta có:
m = NIA = H10 × 6283 (Am2) (C.3)
Trong đó:
H10 là giới hạn trường H ở 10 m tính bằng A/m, xem 2.4.2.
Hệ thức trên chỉ hợp lệ với các tần số tới 1 MHz.
Phương pháp đo dòng mạch vòng trong ăng ten giả được cho trong Phụ lục D.
C.3. Các vòng ăng ten trên 1 MHz
Đối với các tần số trên 1 MHz, mô men lưỡng cực lớn nhất có thể tính theo công thức:
Trong đó:
μ0 : độ từ thẩm của không gian tự do;
m : mô men từ của anten lưỡng cực;
c : tốc độ ánh sáng
f : tần số
Có thể viết lại công thức (C.4) dưới dạng:
Trên 1 MHz, giới hạn được xác định theo công thức (C.5) và giảm theo hay 12 dB/oct.
Dưới 1 MHz, giới hạn được xác định theo công thức (C.3), xem C.2.
Các giới hạn e.r.p liên quan là 250 nW, 2,5 mW và 10 mW.
Các tích N x I x A tương ứng được tính trong các công thức (C.6), (C.7) và (C.8):
Với e.r.p = 250 nW e.r.p trong (C.5):

Với e.r.p = 2,5 mW e.r.p trong (C.5):

Với e.r.p = 10 mW e.r.p trong (C.5):

trong đó là tần số tính theo MHz trong các công thức (C.6), (C.7) và (C.8).
Phương pháp đo dòng mạch vòng trong ăng ten giả được cho trong Phụ lục D.
Phụ lục D
(Tham khảo)
Bộ ghép đo dòng sóng mang và hài máy phát cảm ứng sử dụng ăng ten giả
(chỉ áp dụng đối với sản phẩm nhóm 3)
Ăng ten giả được sử dụng đối với thiết bị có đầu nối ăng ten và cho quá trình kiểm tra mẫu không có ăng ten. Các trường bức xạ của sóng mang và phát xạ giả tỉ lệ với các dòng sóng mang RF và dòng phát xạ giả. Do đó, thực hiện các phép đo để xác định các dòng sóng mang RF và dòng phát xạ giả trong ăng ten giả.

Hình D.1 - Sơ đồ cơ khí và mạch điện tương đương của các linh kiện

Hình D.2 - Sơ đồ cơ khí và mạch điện tương đương của các linh kiện
Ví dụ về sơ đồ cơ khí và mạch điện tương đương của các linh kiện được cho trong hình D.2 và D.1.
Nếu nhà sản xuất sử dụng độ tự cảm ăng ten, thì nhà sản xuất phải cung cấp hai ăng ten giả có độ tự cảm cực đại và cực tiểu phù hợp với yêu cầu của phòng đo kiểm. Điều này phải được ghi lại trong báo cáo kiểm tra.
Rz là điện trở thuần có giá trị thấp. Điện áp trên Rz tỉ lệ với các dòng vòng sóng mang và phát xạ giả. Các dòng này có thể được đo tại đầu nối C.
Rs kết hợp với Rz đảm bảo rằng ăng ten giả có cùng hệ số phẩm chất Q như ăng ten vòng thực.
Điện trở R1 cùng với điện trở tải 50 W tạo ra suy hao tín hiệu đầu ra EUT tại đầu nối B được sử dụng cho các phép đo phát xạ giả dẫn giữa 30 MHz và 1 GHz. Khuyến nghị R1 > 200 Ω.
Các điện dung C1 và C2 là các linh kiện tuỳ chọn cùng với cuộn cảm L được sử dụng phù hợp với điện cảm của nhà sản xuất để mô phỏng cấu hình ăng ten vòng thực. Các cấu hình khác được minh hoạ trong hình D.3.

Hình D.3 – Các cấu hình khác
Cấu hình bộ ghép đo kiểm do nhà sản xuất công bố được nêu trong ứng dụng và báo cáo đo kiểm.
Phụ lục E
(Tham khảo)
Các trường E trong trường gần tại các tần số thấp
Điện trường E tại các tần số thấp thường ở trong trường gần và chỉ có thể dễ dàng đo thành phần trường H bằng ăng ten vòng có màn chắn; trong trường hợp này, có mối liên hệ giữa trường E và trường H qua trở kháng sóng Z. Trong trường gần, trở kháng sóng phụ thuộc nhiều vào loại ăng ten bức xạ (vòng hoặc dây đầu cuối hở) và bước sóng. Nếu mật độ công suất tại khoảng cách nào đó là tương tự đối với một tín hiệu tạo ra trường E và trường H, có thể thực hiện tính toán như sau:
Trong hướng công suất cực đại ở trường gần, mật độ công suất S là:
Trong đó:
S: mật độ công suất;
E: trường điện tạo ra bởi ăng ten trường điện tại khoảng cách ;
He: trường từ tạo ra bởi ăng ten trường E tại khoảng cách ;
Hm: trường từ tạo ra bởi ăng ten trường từ tại khoảng cách ;
Ze: trở kháng sóng của trường tạo ra bởi ăng ten trường E tại khoảng cách d;
Zm: trở kháng sóng của trường tạo ra bởi ăng ten trường H tại khoảng cách d.

từ công thức (E.1) ta có:

Thay (E.2) và (E.3) vào (E.4) ta có:

trong đó
là tần số sóng mang tính bằng MHz.
Với 2πd/λ = 1, d = 10 và fc = 4,78 MHz, sử dụng công thức (E.5), ta có:

Với 2πd/λ < 1 nếu fc < 4,78 MHz thì công thức (E.5) hợp lệ, (nghĩa là trường gần).
Với 2πd/λ ≥ 1 nếu fc > 4,78 MHz thì He ≈ Hm.
CHÚ THÍCH: Các điều kiện trường xa như He = Hm và trở kháng sóng của trường Ze = Zm = 377 Ω có giá trị đối với d >> 5λ/2π nếu fc >> 23,86 MHz.
Phương pháp này cho phép trường E được tạo ra được đo như trường H bằng cách cộng thêm hệ số hiệu chỉnh lấy từ (E.6).
Biểu thị dưới dạng đồ thị hệ số hiệu chỉnh được cho trong Phụ lục B.
Phụ lục F
(Quy định)
Các giới hạn và phép đo trường H tại khoảng cách 3 m và 30 m
F.0. Tổng quát
Quy chuẩn này cho phép thực hiện các phép đo ở các khoảng cách khác 10 m. Trong trường hợp này, giới hạn trường H tương ứng, Hx, đối với khoảng cách đo do bên có thiết bị cần kiểm tra yêu cầu, dx, phải được tính. Cả khoảng cách đo được yêu cầu và giới hạn tương ứng phải được nêu trong báo cáo đo kiểm.
Việc chuyển đổi các giới hạn trường H ở 10 m sang một khoảng cách đo khác không phải là dễ vì ranh giới trường gần sang trường xa sẽ thay đổi theo cả tần số và khoảng cách. Các kết hợp khác nhau giữa trường gần/trường xa và cường độ trường bức xạ lớn nhất theo hướng đồng trục hoặc đồng phẳng của ăng ten vòng, việc chuyển đổi về giới hạn trường H trong quy chuẩn này tại 3 m hoặc 30 m là một đường cong không liên tục, xem F.1 và F.2.
Các phương pháp chuyển đổi của Phụ lục này chỉ có thể áp dụng nếu kích thước lớn nhất của cuộn dây nhỏ hơn so với khoảng cách đo.
F.1. Giới hạn cho phép đo ở khoảng cách 30 m
Giới hạn trường H ở 30 m, H30m, được xác định theo công thức sau:
H30m = H10m + C30 (F.1)
Trong đó:
H10m là giới hạn trường H tính bằng dBµA/m ở khoảng cách 10 m theo quy chuẩn này; và
C30 là hệ số chuyển đổi tính bằng dB được xác định từ Hình F.1.
Hệ số chuyển đổi, C30, cho các giới hạn ở khoảng cách 30 m, dB

Tần số, MHz
Hình F.1 - Hệ số chuyển đổi C30 so với tần số
F.2. Giới hạn cho phép đo ở khoảng cách 3 m
Giới hạn trường H tính bằng dBµA/m ở 3 m, H3m, được xác định theo công thức sau:
H3m = H10m + C3 (F.2)
Trong đó:
H10m là giới hạn trường H tính bằng dBµA/m ở khoảng cách 10 m theo quy chuẩn này; và
C3 là hệ số chuyển đổi tính bằng dB được xác định từ Hình F.2.
Hệ số hiệu chỉnh, C3, đối với các giới hạn ở khoảng cách 3 m, dB

Tần số, MHz
Hình F.2 - Hệ số chuyển đổi C3 so với tần số
Phụ lục G
(Quy định)
Các mức phát xạ của máy phát và các phép đo mặt nạ phổ
Quy chuẩn này cho phép thực hiện các phép đo phổ của máy phát. Các phép đo có thể phù hợp với SRDs hoạt động trong khoảng từ 9 kHz đến 30 MHz.
Mặt nạ phổ bức xạ phải do nhà sản xuất công bố, phải tuân theo các giới hạn trong 2.4.7.3 và các Hình G.1 và G.2. Để biết thêm thông tin, xem phụ lục thích hợp của Khuyến nghị CEPT/ERC 70-03 được triển khai thông qua giao diện vô tuyến quốc gia (NRI) và NRI bổ sung có liên quan.

CHÚ THÍCH: Giới hạn tại 129,1 kHz ± 500 Hz là tối đa 42 dBµA/m ở 10 m.
Hình G.1 - Ranh giới bức xạ cho hệ thống LF RFID

Hình G.2 - Giới hạn mặt nạ phổ RFID, EAS trong dải tần 6,78 MHz và 13,56 MHz

Hình G.3 - Giới hạn mặt nạ phổ cho RFID băng rộng (bao gồm NFC) trong dải tần 13,56 MHz

Hình G.4 - Giới hạn mặt nạ phổ cho RFID băng hẹp (bao gồm NFC) trong dải tần 13,56 MHz
Phụ lục H
(Quy định)
Các giới hạn vòng cảm ứng chung trong dải tần 148,5 kHz đến 30 MHz
H.1. Giới thiệu
Phụ lục này cung cấp thông tin bổ sung về phép đo hệ thống cảm ứng ở các mức cường độ từ trường rất thấp.
H.2. Cường độ trường H bức xạ
H.2.1. Phương pháp đo
Các phương pháp đo phải phù hợp 2.4.3.2 với các điều khoản bổ sung sau đây, một trong hai:
a) Đối với thiết bị có thể tắt điều chế máy phát, áp dụng các phép đo sau:
Bước 1 Tắt điều chế máy phát và đo cường độ trường H ở khoảng cách 10 m theo mục 2.4.9.2 của quy chuẩn này bằng cách sử dụng bộ tách sóng cận đỉnh và băng thông độ phân giải 10 kHz. Kết quả được ghi lại trong báo cáo đo kiểm dưới dạng tổng cường độ trường.
Bước 2 Bật điều chế máy phát và đo băng thông của máy phát theo các mục 2.4.5 mục b) và 2.4.6.2, 2.4.7.2. Kết quả được ghi lại trong báo cáo đo kiểm.
Bước 3 Xác định tần số cho giá trị lớn nhất của phổ. Tần số được điều chỉnh đến trung tâm của màn hình máy phân tích phổ.
Bước 4 Thay đổi Span của máy phân tích phổ thành 0 Hz và bộ tách sóng được chuyển từ cận đỉnh sang đỉnh dương. Kết quả đo được ghi lại trong báo cáo đo kiểm như là mật độ cường độ trường H tối đa.
Hoặc:
b) Đối với thiết bị không thể tắt điều chế máy phát, áp dụng các phép đo sau: Các bước từ 2 đến 4 được thực hiện.
Bước 1 không liên quan và không thể tiến hành.
Đối với các phép đo mật độ trường H của sóng mang với máy phát được điều chế ASK hoạt động trong dải 400 kHz đến 600 kHz, trong đó không thể tắt điều chế, giá trị 3 dB có thể bị trừ khỏi giá trị đo.
H.2.2. Giới hạn cường độ trường H bức xạ
H.2.2.1. Giới hạn tổng mật độ trường H và mật độ trường H phát xạ theo các phép đo trong mục H.2.1 a)
Giới hạn này áp dụng cho thiết bị có thể tắt điều chế máy phát.
Trong điều kiện đo kiểm bình thường và tới hạn (xem 2.2.3 và 2.2.4), cường độ trường H của máy phát bức xạ đối với mục a) trong điều H.2.1 không được vượt quá giới hạn đối với tổng cường độ trường và mật độ trường cho trong Bảng H.1 và H. 2.
Bảng H.1 - Giới hạn cường độ trường H bức xạ và mật độ trường H
ở khoảng cách 10 m
|
Dải tần (MHz) |
Tổng cường độ trường H ở 10 m (dBµA/m) |
Mật độ cường độ trường H ở 10 m trong băng thông độ phân giải 10 kHz (dBµA/m) |
|
0,1485 đến 25 |
-5 (xem chú thích 1) |
-15 (xem chú thích 2) |
|
CHÚ THÍCH 1: Không có điều chế máy phát. CHÚ THÍCH 2: Có điều chế máy phát. |
||
Đối với thiết bị RFID hoạt động trong dải tần từ 400 kHz đến 600 kHz, áp dụng giới hạn sau:
Bảng H.2 - Giới hạn cường độ trường H bức xạ và mật độ trường H ở khoảng
cách 10 m đối với thiết bị RFID
|
Dải tần (MHz) |
Tổng cường độ trường H ở 10 m (dBµA/m) |
Mật độ cường độ trường H ở 10 m trong băng thông độ phân giải 10 kHz (dBµA/m) |
|
0,400 đến 0,600 |
-5 (xem chú thích 1) |
-8 (xem chú thích 2) |
|
CHÚ THÍCH 1: Với điều chế máy phát. CHÚ THÍCH 2: Băng thông truyền không được nhỏ hơn 30 kHz. |
||
H.2.2.2 Giới hạn băng thông bức xạ và mật độ trường H theo các phép đo trong mục H.2.1 b)
Giới hạn này áp dụng cho thiết bị không thể tắt điều chế máy phát.

Hình H.1 - Băng thông bức xạ và mật độ trường H ở khoảng cách 10 m
Phụ lục I
(Tham khảo)
Cách xác định và sử dụng băng thông đo
CISPR 16-1-4 quy định băng thông tham chiếu để đo các phát xạ không mong muốn bằng máy thu đo và máy phân tích phổ.
Băng thông tham chiếu (BWREFERENCE) không phải lúc nào cũng được sử dụng làm băng thông đo (BWMEASUREMENT). Điều này đặc biệt xảy ra nếu phép đo được thực hiện, ví dụ trên độ dốc của mặt nạ phổ hoặc đường cong độ chọn lọc của máy thu. Trong những trường hợp như vậy, phép đo phải được thực hiện với băng thông đủ thấp để không làm sai lệch kết quả đọc.
Giá trị đo thực tế, A, phải được quy về băng thông tham chiếu bằng một trong hai cách:
a) Hiệu chỉnh giá trị đo được, A, cho bất kỳ tín hiệu nào có phổ mức phẳng theo công thức sau:

Trong đó:
- B là mức đo đã được chuyển sang băng thông tham chiếu.
Hoặc:
b) Sử dụng trực tiếp giá trị đo A nếu phổ đo được là phổ vạch rời rạc. Một vạch phổ rời rạc được định nghĩa là một đỉnh hẹp với mức cao hơn mức trung bình bên trong băng thông đo ít nhất là 6 dB.
Phụ lục J
(Quy định)
Mã HS thiết bị vô tuyến cự ly ngắn dải tần từ 9 kHz đến 25 MHz và thiết bị
vòng từ hoạt động trong dải tần từ 9 kHz đến 30 MHz
|
TT |
Tên sản phẩm, hàng hóa theo QCVN |
Mã số HS |
Mô tả sản phẩm, hàng hóa |
|
1. |
Thiết bị phát, thu-phát vô tuyến cự ly ngắn dùng cho mục đích chung |
8517.62.59 8517.62.69 |
Thiết bị có đầu nối ăng ten ngoài và/hoặc với ăng ten tích hợp, dùng để truyền hoặc nhận tiếng, hình ảnh hoặc dạng dữ liệu khác; kể cả thiết bị sử dụng công nghệ giao tiếp trường gần NFC (Near Field Communication) chủ động. |
|
2. |
Thiết bị cảnh báo và phát hiện vô tuyến điện |
8526.92.00 |
Thiết bị bao gồm bộ phận cảm biến và hệ thống điều khiển được kết nối với nhau qua giao diện vô tuyến dùng cho mục đích cảnh báo và phát hiện vô tuyến điện |
|
3. |
Thiết bị điều khiển từ xa vô tuyến điện |
8526.92.00 |
Thiết bị dùng sóng vô tuyến để điều khiển các mô hình, điều khiển trong công nghiệp và dân dụng. |
|
4. |
Thiết bị nhận dạng vô tuyến điện (RFID) |
8517.62.59 |
Thiết bị sử dụng sóng vô tuyến để tự động nhận dạng, theo dõi, quản lý hàng hóa, con người, động vật và các ứng dụng khác. Thiết bị có hai khối riêng biệt được kết nối thông qua giao diện vô tuyến: - Thiết bị thu-phát vô tuyến, lưu trữ thông tin dưới dạng thẻ mang chip điện tử (RF tag), được gắn trên đối tượng cần nhận dạng; chỉ áp dụng đối với loại thẻ có nguồn điện. - Thiết bị thu-phát vô tuyến (RF Reader) để kích hoạt thẻ vô tuyến và nhận thông tin của thẻ, chuyển tới hệ thống xử lý số liệu. |
|
5 |
Thiết bị vòng từ |
8504.40.19 8504.40.90 |
Thiết bị vô tuyến cự ly ngắn hoạt động dựa trên nguyên lý trường điện từ, gồm: - Thiết bị nhận dạng vô tuyến điện - Thiết bị sử dụng công nghệ giao tiếp trường gần - Thiết bị sử dụng trong hệ thống cổng từ an ninh (EAS) hoạt động ở dải tần LF và HF. |
Thư mục tài liệu tham khảo
[1] ETSI EN 300 330 V2.1.1 (2017-02): Short Range Devices (SRD); Radio equipment in the frequency range 9 kHz to 25 MHz and inductive loop systems in the frequency range 9 kHz to 30 MHz; Harmonised Standard covering the essential requirements of article 3.2 of Directive 2014/53/EU.
_________________________________
Bạn chưa Đăng nhập thành viên.
Đây là tiện ích dành cho tài khoản thành viên. Vui lòng Đăng nhập để xem chi tiết. Nếu chưa có tài khoản, vui lòng Đăng ký tại đây!
Bạn chưa Đăng nhập thành viên.
Đây là tiện ích dành cho tài khoản thành viên. Vui lòng Đăng nhập để xem chi tiết. Nếu chưa có tài khoản, vui lòng Đăng ký tại đây!