- Tổng quan
- Nội dung
- VB gốc
- Tiếng Anh
- Hiệu lực
- VB liên quan
- Lược đồ
-
Nội dung hợp nhất
Tính năng này chỉ có tại LuatVietnam.vn. Nội dung hợp nhất tổng hợp lại tất cả các quy định còn hiệu lực của văn bản gốc và các văn bản sửa đổi, bổ sung, đính chính... trên một trang. Việc hợp nhất văn bản gốc và những văn bản, Thông tư, Nghị định hướng dẫn khác không làm thay đổi thứ tự điều khoản, nội dung.
Khách hàng chỉ cần xem Nội dung hợp nhất là có thể nắm bắt toàn bộ quy định hiện hành đang áp dụng, cho dù văn bản gốc đã qua nhiều lần chỉnh sửa, bổ sung.
- Tải về
Nghị định 63/2023/NĐ-CP quy định Luật Tần số vô tuyến điện được sửa đổi theo Luật số 09/2022/QH15
| Cơ quan ban hành: | Chính phủ |
Số công báo:
Số công báo là mã số ấn phẩm được đăng chính thức trên ấn phẩm thông tin của Nhà nước. Mã số này do Chính phủ thống nhất quản lý.
|
Đã biết
|
| Số hiệu: | 63/2023/NĐ-CP | Ngày đăng công báo: |
Đã biết
|
| Loại văn bản: | Nghị định | Người ký: | Trần Lưu Quang |
|
Ngày ban hành:
Ngày ban hành là ngày, tháng, năm văn bản được thông qua hoặc ký ban hành.
|
18/08/2023 |
Ngày hết hiệu lực:
Ngày hết hiệu lực là ngày, tháng, năm văn bản chính thức không còn hiệu lực (áp dụng).
|
Đang cập nhật |
|
Áp dụng:
Ngày áp dụng là ngày, tháng, năm văn bản chính thức có hiệu lực (áp dụng).
|
Đã biết
|
Tình trạng hiệu lực:
Cho biết trạng thái hiệu lực của văn bản đang tra cứu: Chưa áp dụng, Còn hiệu lực, Hết hiệu lực, Hết hiệu lực 1 phần; Đã sửa đổi, Đính chính hay Không còn phù hợp,...
|
Đã biết
|
| Lĩnh vực: | Thông tin-Truyền thông |
TÓM TẮT NGHỊ ĐỊNH 63/2023/NĐ-CP
Ngày 18/8/2023, Chính phủ đã ban hành Nghị định 63/2023/NĐ-CP quy định chi tiết một số điều của Luật Tần số vô tuyến điện 42/2009/QH12, được sửa đổi, bổ sung một số điều theo Luật 09/2022/QH15. Dưới đây là một số nội dung đáng chú ý:
1. Hồ sơ đề nghị cấp trực tiếp giấy phép sử dụng băng tần gồm:
- Bản khai theo Mẫu 2 quy định tại Phụ lục II.
- Bản sao hợp pháp hoặc bản sao điện tử hợp pháp Quyết định của Thủ tướng Chính phủ phê duyệt Đề án sử dụng băng tần để phát triển kinh tế kết hợp với nhiệm vụ quốc phòng, an ninh đối với trường hợp cấp giấy phép theo quy định tại điểm d khoản 4 Điều 18 Luật Tần số vô tuyến điện.
2. Tổ chức, cá nhân phải nộp bổ sung các tài liệu liên quan đến hồ sơ đề nghị cấp, cấp lại, cấp đổi, gia hạn, sửa đổi, bổ sung nội dung giấy phép sử dụng tần số vô tuyến điện trong trường hợp:
- Cơ quan cấp giấy phép sử dụng tần số vô tuyến điện cần xác minh lại thông tin trong bản khai quy định tại Phụ lục II để ấn định tần số vô tuyến điện và cấp, sửa đổi, bổ sung nội dung giấy phép.
- Cơ quan cấp giấy phép sử dụng tần số vô tuyến điện cần xác định tổ chức, cá nhân thuộc đối tượng được miễn, giảm lệ phí cấp giấy phép sử dụng tần số vô tuyến điện, phí sử dụng tần số vô tuyến điện.
3. Ngoài các trường hợp phải sử dụng chung tần số vô tuyến điện theo quy định của Liên minh Viễn thông quốc tế, tổ chức, cá nhân sử dụng tần số và thiết bị vô tuyến điện thuộc 03 trường hợp sau phải sử dụng chung tần số vô tuyến điện với tổ chức, cá nhân khác theo các điều kiện ghi trong giấy phép sử dụng tần số và thiết bị vô tuyến điện:
- Mạng viễn thông dùng riêng sử dụng tần số vô tuyến điện thuộc nghiệp vụ di động mặt đất, sử dụng thiết bị vô tuyến điện có ăng-ten tích hợp và công suất phát sóng vô tuyến điện từ 10W trở xuống (không áp dụng với mạng thông tin vô tuyến điện mà việc sử dụng tần số và thiết bị vô tuyến điện có liên quan đến an toàn, tính mạng con người; mạng thông tin vô tuyến điện nội bộ).
- Đài vô tuyến điện liên lạc với phương tiện nghề cá.
- Đài bờ (không cung cấp dịch vụ viễn thông).
Nghị định này có hiệu lực từ ngày ký.
Văn bản này được sửa đổi, bổ sung bởi 229/2025/NĐ-CP
Xem chi tiết Nghị định 63/2023/NĐ-CP có hiệu lực kể từ ngày 18/08/2023
Tải Nghị định 63/2023/NĐ-CP
|
CHÍNH PHỦ |
CỘNG HÒA XÃ HỘI CHỦ NGHĨA VIỆT NAM |
NGHỊ ĐỊNH
Quy định chi tiết một số điều của Luật Tần số vô tuyến điện
số 42/2009/QH12, được sửa đổi, bổ sung một số điều
theo Luật số 09/2022/QH15
Căn cứ Luật Tổ chức Chính phủ ngày 19 tháng 6 năm 2015; Luật sửa đổi, bổ sung một số điều của Luật Tổ chức Chính phủ và Luật Tổ chức chính quyền địa phương ngày 22 tháng 11 năm 2019;
Căn cứ Luật Tần số vô tuyến điện ngày 23 tháng 11 năm 2009; Luật sửa đổi, bổ sung một số điều của Luật Tần số vô tuyến điện ngày 09 tháng 11 năm 2022;
Theo đề nghị của Bộ trưởng Bộ Thông tin và Truyền thông;
Chính phủ ban hành Nghị định quy định chi tiết một số điều của Luật Tần số vô tuyến điện số 42/2009/QH12, được sửa đổi, bổ sung một số điều theo Luật số 09/2022/QH15.
Chương I
QUY ĐỊNH CHUNG
Điều 1. Phạm vi điều chỉnh
1. Nghị định này quy định chi tiết khoản 4 Điều 16, khoản 5 Điều 18, khoản 5 Điều 18a, điểm b khoản 1 Điều 19, khoản 5 Điều 24, khoản 3 Điều 25, khoản 3 Điều 26, khoản 4 Điều 31 và khoản 2 Điều 32 Luật Tần số vô tuyến điện số 42/2009/QH12, được sửa đổi, bổ sung một số điều theo Luật số 09/2022/QH15 về:
a) Cấp, cấp lại, cấp đổi, sửa đổi, bổ sung, gia hạn, thu hồi giấy phép sử dụng tần số vô tuyến điện; đình chỉ có thời hạn một phần quyền sử dụng tần số vô tuyến điện;
b) Cho thuê, cho mượn thiết bị vô tuyến điện;
c) Sử dụng chung tần số vô tuyến điện;
d) Chuyển nhượng quyền sử dụng tần số vô tuyến điện;
đ) Tiền cấp quyền sử dụng tần số vô tuyến điện;
e) Điều kiện, thủ tục công nhận tổ chức đủ điều kiện đào tạo, cấp chứng chỉ vô tuyến điện viên thuộc nghiệp vụ di động hàng hải, vô tuyến điện nghiệp dư; quy định chứng chỉ vô tuyến điện viên, đối tượng, điều kiện, thủ tục cấp, thu hồi chứng chỉ vô tuyến điện viên; công nhận chứng chỉ vô tuyến điện viên nước ngoài.
2. Nghị định này không áp dụng đối với việc sử dụng tần số vô tuyến điện chỉ phục vụ mục đích quốc phòng, an ninh.
Điều 2. Đối tượng áp dụng
Nghị định này áp dụng đối với tổ chức, cá nhân tham gia quản lý, sử dụng tần số vô tuyến điện tại Việt Nam.
Điều 3. Giải thích từ ngữ
Trong Nghị định này, các từ ngữ dưới đây được hiểu như sau:
1. Đài trái đất là đài được đặt trên bề mặt trái đất hoặc trong phần chính của khí quyển trái đất dùng để thông tin với một hoặc nhiều đài vũ trụ hoặc với một hoặc nhiều đài cùng loại thông qua một hay nhiều vệ tinh phản xạ hay các vật thể khác trong không gian.
2. Đài vô tuyến điện nghiệp dư là đài thuộc nghiệp vụ vô tuyến điện nghiệp dư và nghiệp vụ vô tuyến điện nghiệp dư qua vệ tinh.
3. Đài tàu là đài di động đặt trên tàu thuyền, các phương tiện nổi hoặc đặt trên các mô hình mô phỏng (để phục vụ cho công tác dạy học, nghiên cứu khác) không phải đài tàu cứu nạn, sử dụng tần số vô tuyến điện thuộc nghiệp vụ di động hàng hải, nghiệp vụ di động hàng hải qua vệ tinh và nghiệp vụ vô tuyến xác định thuộc hệ thống cấp cứu và an toàn hàng hải toàn cầu (GMDSS).
4. Đài bờ là đài mặt đất dùng trong nghiệp vụ di động hàng hải.
5. Hệ thống cấp cứu và an toàn hàng hải toàn cầu (GMDSS) là hệ thống thông tin hàng hải được Hội nghị các nước thành viên của Tổ chức Hàng hải quốc tế thông qua năm 1988 trên cơ sở sửa đổi, bổ sung chương IV Công ước quốc tế về An toàn sinh mạng trên biển năm 1974 và các sửa đổi (SOLAS 74 và các sửa đổi).
6. Đài vô tuyến điện đặt trên phương tiện nghề cá là đài di động đặt trên phương tiện nghề cá, sử dụng tần số vô tuyến điện dành cho phương tiện nghề cá, tần số vô tuyến điện cho mục đích giám sát hành trình tàu cá và tần số vô tuyến điện cho mục đích an toàn trên biển.
7. Đài vô tuyến điện liên lạc với phương tiện nghề cá là đài vô tuyến điện đặt trên đất liền để liên lạc với phương tiện nghề cá, sử dụng tần số vô tuyến điện dành cho phương tiện nghề cá và các tần số vô tuyến điện cho mục đích an toàn trên biển, không cung cấp dịch vụ viễn thông.
8. Đài truyền thanh không dây là đài phát vô tuyến điện truyền tín hiệu âm thanh một chiều đến các cụm loa không dây.
9. Mạng viễn thông dùng riêng sử dụng tần số thuộc nghiệp vụ di động mặt đất là mạng viễn thông gồm các đài vô tuyến điện di động hoặc các đài vô tuyến điện cố định và di động sử dụng tần số vô tuyến điện thuộc nghiệp vụ di động mặt đất do tổ chức, cá nhân thiết lập để phục vụ liên lạc, không nhằm mục đích sinh lợi trực tiếp từ hoạt động của mạng.
10. Mạng thông tin vô tuyến điện nội bộ là mạng viễn thông nội bộ gồm các đài vô tuyến điện di động sử dụng tần số vô tuyến điện thuộc nghiệp vụ di động mặt đất, sử dụng ăng-ten tích hợp, có công suất phát sóng vô tuyến điện không quá 5W (Oát) do tổ chức, cá nhân thiết lập tại địa điểm có địa chỉ và phạm vi xác định mà tại khu vực này chủ mạng đó được quyền sử dụng để phục vụ liên lạc nội bộ, không nhằm mục đích sinh lợi trực tiếp từ hoạt động của mạng.
11. Cơ quan đại diện nước ngoài là cơ quan đại diện ngoại giao, cơ quan đại diện lãnh sự, cơ quan được ủy quyền thực hiện chức năng lãnh sự tại Việt Nam, cơ quan đại diện của tổ chức quốc tế thuộc hệ thống Liên hợp quốc và tổ chức quốc tế liên chính phủ ngoài hệ thống Liên hợp quốc tại Việt Nam.
12. Đoàn khách nước ngoài là đoàn khách nước ngoài đến thăm Việt Nam theo lời mời của lãnh đạo Đảng, Nhà nước, Quốc hội, Chính phủ và các cơ quan nhà nước khác của Việt Nam.
13. Bản sao là bản chụp từ bản chính hoặc bản đánh máy có nội dung đầy đủ, chính xác như nội dung ghi trong sổ gốc.
14. Bản sao hợp pháp là bản sao được cấp từ sổ gốc, bản sao được chứng thực từ bản chính hoặc bản sao kèm theo bản chính để đối chiếu (trong trường hợp nộp hồ sơ trực tiếp và được người tiếp nhận hồ sơ ký xác nhận).
15. Bản sao điện tử hợp pháp là bản sao điện tử được cấp từ sổ gốc hoặc bản sao điện tử được chứng thực từ bản chính.
16. Thời điểm xác định mức thu cơ sở là ngày Quyết định của Bộ trưởng Bộ Thông tin và Truyền thông về tổ chức xác định mức thu cơ sở có hiệu lực.
17. Băng tần cùng loại: các băng tần là cùng loại khi cùng nằm trong một băng tần được Dự án đối tác thế hệ thứ ba (the 3rd Generation Partnership Project) định nghĩa và có cùng phương thức truyền dẫn song công.
18. Băng tần tương đồng: hai băng tần thuộc các băng tần được Dự án đối tác thế hệ thứ ba (the 3rd Generation Partnership Project) định nghĩa là tương đồng khi có cùng phương thức truyền dẫn song công và có ít nhất một tần số vô tuyến điện trong đoạn băng tần được sử dụng làm đường xuống (downlink) của băng tần này bằng 0,9 đến 1,1 lần tần số vô tuyến điện tại vị trí chính giữa của đoạn băng tần được sử dụng làm đường xuống (downlink) của băng tần còn lại.
19. Khai thác viên vô tuyến điện nghiệp dư là người có chứng chỉ vô tuyến điện nghiệp dư hoặc chứng chỉ vô tuyến điện nghiệp dư nước ngoài.
Chương II
CẤP, CẤP LẠI, CẤP ĐỔI, GIA HẠN, SỬA ĐỔI, BỔ SUNG,
THU HỒI GIẤY PHÉP SỬ DỤNG TẦN SỐ VÔ TUYẾN ĐIỆN;
ĐÌNH CHỈ MỘT PHẦN QUYỀN SỬ DỤNG TẦN SỐ VÔ TUYẾN ĐIỆN
Mục 1
QUY ĐỊNH CHUNG
Điều 4. Quy định về cấp phép và hồ sơ đề nghị cấp, cấp lại, cấp đổi, gia hạn, sửa đổi, bổ sung nội dung giấy phép sử dụng tần số vô tuyến điện
1. Tổ chức, cá nhân đề nghị cấp, cấp lại, cấp đổi, gia hạn, sửa đổi, bổ sung nội dung giấy phép chịu trách nhiệm trước pháp luật về tính chính xác, tính hợp pháp của các tài liệu và nội dung kê khai trong hồ sơ.
Đối với hồ sơ nộp trực tiếp hoặc nộp qua đường bưu chính: các tài liệu trong hồ sơ mà Nghị định này không yêu cầu công chứng hoặc chứng thực, tổ chức đề nghị cấp, cấp lại, cấp đổi, gia hạn, sửa đổi, bổ sung nội dung giấy phép phải đóng dấu; cá nhân, hộ kinh doanh phải ký xác nhận vào từng tài liệu; trường hợp tài liệu có nhiều tờ phải được đóng dấu giáp lai đối với tổ chức hoặc ký xác nhận vào từng trang đối với cá nhân, hộ kinh doanh.
Đối với hồ sơ nộp qua hệ thống dịch vụ công trực tuyến : các tài liệu trong hồ sơ mà Nghị định này yêu cầu ký, đóng dấu của tổ chức, cá nhân đề nghị cấp, cấp lại, cấp đổi, gia hạn, sửa đổi, bổ sung nội dung giấy phép thì tổ chức không phải ký, đóng dấu; cá nhân, hộ kinh doanh không phải ký các tài liệu đó.
Người nước ngoài đề nghị cấp giấy phép đối với đài vô tuyến điện nghiệp dư được phép nộp bản sao Hộ chiếu còn thời hạn quy định tại khoản 2 Điều 6 Nghị định này và phải xuất trình bản chính khi nhận giấy phép.
2. Tổ chức, cá nhân đã được cơ quan có thẩm quyền cấp tài khoản định danh điện tử khi nộp hồ sơ đề nghị cấp, cấp lại, cấp đổi, gia hạn, sửa đổi, bổ sung nội dung giấy phép qua hệ thống dịch vụ công trực tuyến thì không yêu cầu nộp bản sao điện tử hợp pháp các giấy tờ Căn cước công dân hoặc Hộ chiếu còn thời hạn hoặc Giấy chứng nhận đăng ký hộ kinh doanh.
Đối với hồ sơ nộp trực tiếp hoặc qua đường bưu chính: tổ chức, cá nhân không phải nộp tài liệu trong hồ sơ quy định tại khoản 2, điểm b khoản 3 Điều 6 Nghị định này về Căn cước công dân hoặc Giấy chứng minh nhân dân hoặc Giấy chứng nhận đăng ký hộ kinh doanh hoặc Giấy chứng nhận đăng ký doanh nghiệp khi cơ quan cấp giấy phép sử dụng tần số vô tuyến điện tra cứu được các thông tin này tại Cơ sở dữ liệu quốc gia về dân cư, Cơ sở dữ liệu quốc gia về đăng ký doanh nghiệp. Thời điểm áp dụng cụ thể quy định này được công bố công khai trên trang thông tin điện tử của cơ quan cấp giấy phép sử dụng tần số vô tuyến điện.
3. Tổ chức, cá nhân không phải nộp lại các tài liệu quy định trong hồ sơ đã nộp trong lần đề nghị cấp, cấp lại, cấp đổi, gia hạn, sửa đổi, bổ sung nội dung giấy phép trước đó nếu tài liệu còn hiệu lực và không có sự thay đổi về nội dung, trừ thành phần hồ sơ là bản khai quy định tại Phụ lục II ban hành kèm theo Nghị định này.
4. Tổ chức, cá nhân phải nộp bổ sung các tài liệu liên quan đến hồ sơ đề nghị cấp, cấp lại, cấp đổi, gia hạn, sửa đổi, bổ sung nội dung giấy phép trong trường hợp:
a) Cơ quan cấp giấy phép sử dụng tần số vô tuyến điện cần phải xác minh lại thông tin trong bản khai quy định tại Phụ lục II ban hành kèm theo Nghị định này để ấn định tần số vô tuyến điện và cấp, sửa đổi, bổ sung nội dung giấy phép;
b) Cơ quan cấp giấy phép sử dụng tần số vô tuyến điện cần có thông tin để xác định tổ chức, cá nhân thuộc đối tượng được miễn, giảm lệ phí cấp giấy phép sử dụng tần số vô tuyến điện, phí sử dụng tần số vô tuyến điện (sau đây gọi là lệ phí, phí sử dụng tần số vô tuyến điện) theo quy định.
5. Khi giấy phép còn hiệu lực, tổ chức, cá nhân có nhu cầu sửa đổi, bổ sung một số nội dung trong giấy phép (trừ thời hạn sử dụng) phải làm hồ sơ đề nghị theo đúng quy định.
6. Khi tổ chức, cá nhân đề nghị đồng thời gia hạn và sửa đổi, bổ sung nội dung của cùng một giấy phép, cơ quan cấp giấy phép sử dụng tần số vô tuyến điện cấp một giấy phép để gia hạn và sửa đổi, bổ sung nội dung giấy phép.
7. Tổ chức, cá nhân được phép nộp một bản khai thông tin chung cho hồ sơ gồm nhiều bản khai thông số kỹ thuật khai thác, bản khai đề nghị cấp đổi, gia hạn giấy phép sử dụng tần số vô tuyến điện.
8. Đối với đài vô tuyến điện, nghiệp vụ vô tuyến điện phải đăng ký, phối hợp tần số quốc tế theo quy định tại Điều 41 Luật Tần số vô tuyến điện, tổ chức, cá nhân được xem xét cấp, cấp lại, cấp đổi, gia hạn, sửa đổi, bổ sung nội dung giấy phép trong thời gian đăng ký, phối hợp tần số quốc tế nhưng phải thực hiện thủ tục sửa đổi, bổ sung nội dung giấy phép theo quy định của Nghị định này khi cần thay đổi tần số vô tuyến điện hoặc các thông số kỹ thuật khác theo kết quả đăng ký, phối hợp tần số quốc tế với Liên minh Viễn thông quốc tế.
9. Tổ chức, cá nhân chỉ được nhận giấy phép khi đã nộp đủ lệ phí, phí sử dụng tần số vô tuyến điện theo quy định.
10. Sau 30 ngày kể từ ngày cơ quan cấp giấy phép sử dụng tần số vô tuyến điện gửi thông báo bổ sung, hoàn thiện hồ sơ đề nghị cấp giấy phép, nếu tổ chức, cá nhân không thực hiện thì cơ quan cấp giấy phép sử dụng tần số vô tuyến điện hủy hồ sơ đề nghị cấp giấy phép.
11. Sau 30 ngày kể từ ngày cơ quan cấp giấy phép sử dụng tần số vô tuyến điện gửi thông báo nộp lệ phí, phí sử dụng tần số vô tuyến điện, nếu tổ chức, cá nhân không thực hiện đầy đủ nghĩa vụ nộp lệ phí, phí sử dụng tần số vô tuyến điện theo quy định thì cơ quan cấp giấy phép sử dụng tần số vô tuyến điện hủy kết quả giải quyết hồ sơ.
12. Các giới hạn phát xạ vô tuyến điện trong giấy phép sử dụng băng tần được quy định theo quy chuẩn kỹ thuật quốc gia. Trường hợp chưa có quy chuẩn kỹ thuật quốc gia thì áp dụng tiêu chuẩn quốc tế và khả năng thực tế của công nghệ để bảo đảm giảm thiểu khả năng gây nhiễu có hại.
13. Tổ chức được cấp giấy phép sử dụng băng tần có trách nhiệm báo cáo Bộ Thông tin và Truyền thông (Cục Tần số vô tuyến điện) định kỳ hàng quý trong thời hạn quy định của Bộ Thông tin và Truyền thông về Danh mục thiết bị phát sóng vô tuyến điện sử dụng trong mạng thông tin vô tuyến điện theo mẫu quy định tại Phụ lục I ban hành kèm theo Nghị định này và báo cáo đột xuất trong thời hạn 05 ngày làm việc kể từ ngày Bộ Thông tin và Truyền thông (Cục Tần số vô tuyến điện) gửi văn bản.
14. Tổ chức, cá nhân gửi hồ sơ đề nghị cấp, cấp lại, cấp đổi, gia hạn, sửa đổi, bổ sung nội dung giấy phép qua một trong các phương thức sau: nộp hồ sơ qua hệ thống dịch vụ công trực tuyến hoặc nộp hồ sơ qua đường bưu chính hoặc nộp hồ sơ trực tiếp.
15. Kết quả giải quyết hồ sơ đề nghị cấp, cấp lại, cấp đổi, gia hạn, sửa đổi, bổ sung nội dung giấy phép được gửi tới tổ chức, cá nhân qua một trong các phương thức sau: trả kết quả qua hệ thống dịch vụ công trực tuyến hoặc qua phương thức điện tử hoặc qua đường bưu chính hoặc trả trực tiếp.
16. Tổ chức, cá nhân nước ngoài được cấp giấy phép sử dụng tần số và thiết bị vô tuyến điện đối với đài vô tuyến điện nghiệp dư chỉ được sử dụng tần số và thiết bị vô tuyến điện trong thời gian lưu trú hợp pháp tại Việt Nam.
17. Trong thời hạn 75 ngày kể từ ngày Liên minh Viễn thông quốc tế ban hành Thông tư thông tin tần số quốc tế (BRIFIC - BR International Frequency Information Circular), tổ chức được cấp giấy phép sử dụng tần số vô tuyến điện và quỹ đạo vệ tinh có trách nhiệm báo cáo Bộ Thông tin và Truyền thông (Cục Tần số vô tuyến điện) kết quả kiểm tra các đăng ký tần số vô tuyến điện và quỹ đạo vệ tinh của nước ngoài được Liên minh Viễn thông quốc tế công bố có khả năng ảnh hưởng đến vệ tinh đã được cấp giấy phép.
Điều 5. Cơ quan cấp giấy phép sử dụng tần số vô tuyến điện
1. Bộ Thông tin và Truyền thông (Cục Tần số vô tuyến điện) cấp, cấp lại, cấp đổi, gia hạn, sửa đổi, bổ sung, thu hồi giấy phép sử dụng tần số vô tuyến điện, đình chỉ một phần quyền sử dụng tần số vô tuyến điện, xử lý đề nghị ngừng sử dụng tần số vô tuyến điện đối với các loại giấy phép theo quy định của Luật Tần số vô tuyến điện trừ các trường hợp quy định tại khoản 2 Điều này.
2. Cục Tần số vô tuyến điện (Trung tâm Tần số vô tuyến điện khu vực) cấp, cấp đổi, gia hạn, sửa đổi, bổ sung, thu hồi giấy phép sử dụng tần số và thiết bị vô tuyến điện, xử lý đề nghị ngừng sử dụng tần số vô tuyến điện đối với đài vô tuyến điện nghiệp dư, đài tàu, đài vô tuyến điện đặt trên phương tiện nghề cá, đài vô tuyến điện liên lạc với phương tiện nghề cá, đài truyền thanh không dây, mạng thông tin vô tuyến điện nội bộ.
Từ ngày 01/7/2025 đến hết ngày 28/02/2027, cấp, cấp đổi, gia hạn, sửa đổi bổ sung, thu hồi giấy phép sử dụng tần số và thiết bị vô tuyến điện, xử lý đề nghị ngừng sử dụng tần số vô tuyến điện đối với đài vô tuyến điện nghiệp dư; đài tàu (trừ đài tàu hoạt động tuyến quốc tế); mạng thông tin vô tuyến điện nội bộ tại khoản 2 Điều 5 Nghị định số 63/2023/NĐ-CP do Ủy ban nhân dân cấp tỉnh thực hiện, theo quy định tại Điều 29, Điều 30, Điều 31 Nghị định 133/2025/NĐ-CP.
Mục 2
CẤP, CẤP ĐỔI, GIA HẠN, SỬA ĐỔI, BỔ SUNG NỘI DUNG
GIẤY PHÉP SỬ DỤNG TẦN SỐ VÀ THIẾT BỊ VÔ TUYẾN ĐIỆN
KHÔNG BAO GỒM CÁC TRƯỜNG HỢP QUY ĐỊNH TẠI MỤC 3
VÀ MỤC 4 CỦA CHƯƠNG NÀY
Điều 6. Hồ sơ đề nghị cấp giấy phép
Hồ sơ đề nghị cấp giấy phép gồm:
1. Bản khai thông tin chung và bản khai thông số kỹ thuật, khai thác theo mẫu quy định tại Phụ lục II ban hành kèm theo Nghị định này.
2. Bản sao hợp pháp hoặc bản sao điện tử hợp pháp Căn cước công dân hoặc Giấy chứng minh nhân dân hoặc Hộ chiếu còn thời hạn (đối với cá nhân đề nghị cấp giấy phép); bản sao hợp pháp hoặc bản sao điện tử hợp pháp Giấy chứng nhận đăng ký hộ kinh doanh (đối với hộ kinh doanh đề nghị cấp giấy phép).
3. Các tài liệu, giấy tờ khác kèm theo:
a) Bản sao Chứng chỉ vô tuyến điện nghiệp dư hoặc thông tin liên quan đến Chứng chỉ vô tuyến điện nghiệp dư theo quy định của nước sở tại của tổ chức, cá nhân đề nghị cấp giấy phép (áp dụng đối với đài vô tuyến điện nghiệp dư);
b) Bản sao Hợp đồng sử dụng dịch vụ thông tin vệ tinh với doanh nghiệp viễn thông hoặc đại lý được doanh nghiệp viễn thông ủy quyền đã được Bộ Thông tin và Truyền thông cấp giấy phép cung cấp dịch vụ (áp dụng đối với đài trái đất hoạt động độc lập của tổ chức, cá nhân, hộ kinh doanh và đài vô tuyến điện đặt trên phương tiện nghề cá có thiết bị giám sát hành trình tàu cá qua vệ tinh), trừ trường hợp đã được cấp giấy phép viễn thông để thiết lập mạng cố định vệ tinh, di động vệ tinh; hoặc
Bản sao hợp pháp hoặc bản sao điện tử hợp pháp Quyết định thành lập hoặc bản sao Giấy chứng nhận đăng ký doanh nghiệp hoặc bản sao Giấy chứng nhận đầu tư (áp dụng đối với đài trái đất của tổ chức, doanh nghiệp kinh doanh ngoài biển, công ty đa quốc gia, cơ quan Chính phủ, khu phát triển phần mềm và khu công nghệ cao khi sử dụng vệ tinh khu vực hoặc quốc tế), trừ trường hợp đã được cấp giấy phép viễn thông để thiết lập mạng cố định vệ tinh, di động vệ tinh; hoặc
Bản sao hợp pháp hoặc bản sao điện tử hợp pháp văn bản do cơ quan có thẩm quyền cấp (áp dụng đối với đài trái đất của tổ chức, doanh nghiệp được phép tham gia hoạt động bảo đảm an toàn hàng không, an toàn hàng hải theo quy định của Tổ chức Hàng không quốc tế, Tổ chức Hàng hải quốc tế khi sử dụng vệ tinh khu vực hoặc quốc tế), trừ trường hợp đã được cấp giấy phép viễn thông để thiết lập mạng cố định vệ tinh, di động vệ tinh;
c) Văn bản đề nghị của cơ quan chuyên môn thuộc Bộ Ngoại giao (áp dụng đối với đài vô tuyến điện của đoàn khách nước ngoài thăm, làm việc tại Việt Nam theo lời mời của lãnh đạo Nhà nước, Chính phủ); hoặc Văn bản đề nghị của cơ quan chuyên môn thuộc Ban Đối ngoại Trung ương (áp dụng đối với đài vô tuyến điện của đoàn khách nước ngoài thăm, làm việc tại Việt Nam theo lời mời của lãnh đạo Đảng); hoặc Văn bản đề nghị của cơ quan chuyên môn thuộc Văn phòng Quốc hội (áp dụng đối với đài vô tuyến điện của đoàn khách nước ngoài thăm, làm việc tại Việt Nam theo lời mời của lãnh đạo Quốc hội); hoặc Văn bản đề nghị của cơ quan chủ quản đón đoàn (áp dụng đối với đài vô tuyến điện của đoàn khách nước ngoài khác);
d) Văn bản đề nghị của cơ quan chuyên môn thuộc Bộ Ngoại giao hoặc Sở Ngoại vụ Thành phố Hồ Chí Minh hoặc Sở Ngoại vụ được phân công quản lý (áp dụng đối với đài vô tuyến điện của cơ quan đại diện nước ngoài);
đ) Văn bản đề nghị của cơ quan chuyên môn thuộc Bộ Ngoại giao (áp dụng đối với đài vô tuyến điện của phóng viên nước ngoài đi theo phục vụ đoàn khách nước ngoài);
e) Văn bản của cơ quan chuyên môn thuộc Bộ Quốc phòng về việc mở sân bay chuyên dùng (áp dụng đối với đài vô tuyến điện thuộc nghiệp vụ di động hàng không, nghiệp vụ vô tuyến dẫn đường hàng không tại sân bay chuyên dùng);
g) Tài liệu chứng minh thuộc trường hợp sử dụng tần số vô tuyến điện ngoài quy hoạch quy định tại Điều 11a Luật Tần số vô tuyến điện được bổ sung tại khoản 3 Điều 1 Luật sửa đổi, bổ sung một điều của Luật Tần số vô tuyến điện, kèm theo phương án sử dụng thiết bị vô tuyến điện (áp dụng đối với trường hợp đề nghị sử dụng tần số vô tuyến điện ngoài quy hoạch).
Điều 7. Hồ sơ đề nghị cấp đổi, gia hạn, sửa đổi, bổ sung nội dung giấy phép
1. Hồ sơ đề nghị cấp đổi, gia hạn giấy phép gồm:
Bản khai thông tin chung và bản khai đề nghị cấp đổi, gia hạn giấy phép sử dụng tần số và thiết bị vô tuyến điện theo mẫu quy định tại Phụ lục II ban hành kèm theo Nghị định này.
2. Hồ sơ đề nghị sửa đổi, bổ sung nội dung giấy phép gồm:
Bản khai thông tin chung và bản khai thông số kỹ thuật, khai thác theo mẫu quy định tại Phụ lục II ban hành kèm theo Nghị định này.
Điều 8. Trình tự, thủ tục giải quyết hồ sơ đề nghị cấp, cấp đổi, gia hạn, sửa đổi, bổ sung nội dung giấy phép
1. Tổ chức, cá nhân nộp 01 bộ hồ sơ đề nghị cấp, cấp đổi, gia hạn, sửa đổi, bổ sung nội dung giấy phép đến cơ quan cấp giấy phép sử dụng tần số vô tuyến điện.
2. Cơ quan cấp giấy phép sử dụng tần số vô tuyến điện tiếp nhận, kiểm tra tính hợp lệ của hồ sơ. Trường hợp hồ sơ chưa đầy đủ, chưa đúng quy định về thành phần hồ sơ thì trong thời hạn 05 ngày làm việc kể từ ngày nhận được hồ sơ, cơ quan cấp giấy phép sử dụng tần số vô tuyến điện thông báo, hướng dẫn tổ chức, cá nhân bổ sung, hoàn thiện hồ sơ.
3. Trong thời hạn 14 ngày đối với đài vô tuyến điện nghiệp dư, đài vô tuyến điện đặt trên phương tiện nghề cá và đài tàu, 28 ngày đối với các trường hợp còn lại kể từ ngày nhận đủ hồ sơ hợp lệ, cơ quan cấp giấy phép sử dụng tần số vô tuyến điện cấp, gia hạn, sửa đổi, bổ sung nội dung giấy phép theo mẫu quy định tại Phụ lục III ban hành kèm theo Nghị định này hoặc từ chối cấp, gia hạn, sửa đổi, bổ sung nội dung giấy phép và nêu rõ lý do, trừ trường hợp quy định tại khoản 4 Điều này.
4. Trường hợp số lượng tần số vô tuyến điện cần phải ấn định vượt quá 100 tần số trong một hồ sơ hoặc vượt quá 100 tần số trong các hồ sơ được gửi trong vòng 28 ngày của một tổ chức, cá nhân, cơ quan cấp giấy phép sử dụng tần số vô tuyến điện giải quyết hồ sơ đề nghị cấp, gia hạn, sửa đổi, bổ sung nội dung giấy phép trong thời hạn 03 tháng.
5. Trong thời hạn 14 ngày kể từ ngày nhận đủ hồ sơ hợp lệ, cơ quan cấp giấy phép sử dụng tần số vô tuyến điện cấp đổi giấy phép theo mẫu quy định Phụ lục III ban hành kèm theo Nghị định này hoặc từ chối cấp đổi giấy phép và nêu rõ lý do.
Mục 3
CẤP, CẤP ĐỔI, GIA HẠN, SỬA ĐỔI, BỔ SUNG NỘI DUNG GIẤY PHÉP SỬ DỤNG TẦN SỐ VÀ THIẾT BỊ VÔ TUYẾN ĐIỆN ĐỐI VỚI ĐÀI VÔ TUYẾN ĐIỆN PHẢI ĐĂNG KÝ VỚI TỔ CHỨC HÀNG KHÔNG DÂN DỤNG QUỐC TẾ THUỘC NGHIỆP VỤ DI ĐỘNG HÀNG KHÔNG SỬ DỤNG TẦN SỐ VÔ TUYẾN ĐIỆN NGOÀI BĂNG TẦN TỪ 2850 KHz ĐẾN 22000 KHz VÀ NGHIỆP VỤ VÔ TUYẾN DẪN ĐƯỜNG HÀNG KHÔNG, BAO GỒM ĐÀI VÔ TUYẾN ĐIỆN ĐẶT TẠI CÁC SÂN BAY CHUYÊN DÙNG
Điều 9. Hồ sơ đề nghị cấp, cấp đổi, gia hạn, sửa đổi, bổ sung nội dung giấy phép
1. Hồ sơ đề nghị cấp giấy phép gồm:
a) Bản khai thông tin chung và bản khai thông số kỹ thuật, khai thác theo Mẫu 1a quy định tại Phụ lục II ban hành kèm theo Nghị định này;
b) Văn bản của cơ quan chuyên môn thuộc Bộ Quốc phòng về việc mở sân bay chuyên dùng (áp dụng đối với đài vô tuyến điện thuộc nghiệp vụ di động hàng không, nghiệp vụ vô tuyến dẫn đường hàng không đặt tại sân bay chuyên dùng).
2. Hồ sơ đề nghị cấp đổi, gia hạn giấy phép gồm:
Bản khai thông tin chung và bản khai đề nghị cấp đổi, gia hạn giấy phép sử dụng tần số và thiết bị vô tuyến điện theo mẫu quy định tại Phụ lục II ban hành kèm theo Nghị định này.
3. Hồ sơ đề nghị sửa đổi, bổ sung nội dung giấy phép gồm:
a) Bản khai thông tin chung và bản khai thông số kỹ thuật, khai thác theo Mẫu 1a quy định tại Phụ lục II ban hành kèm theo Nghị định này;
b) Văn bản của cơ quan chuyên môn thuộc Bộ Quốc phòng về việc mở sân bay chuyên dùng (áp dụng đối với đài vô tuyến điện thuộc nghiệp vụ di động hàng không, nghiệp vụ vô tuyến dẫn đường hàng không tại sân bay chuyên dùng).
Điều 10. Trình tự, thủ tục giải quyết hồ sơ đề nghị cấp, cấp đổi, gia hạn, sửa đổi, bổ sung nội dung giấy phép
1. Tổ chức, cá nhân nộp 01 bộ hồ sơ đề nghị cấp, cấp đổi, gia hạn, sửa đổi, bổ sung nội dung giấy phép đến cơ quan cấp giấy phép sử dụng tần số vô tuyến điện.
2. Cơ quan cấp giấy phép sử dụng tần số vô tuyến điện tiếp nhận, kiểm tra tính hợp lệ của hồ sơ. Trường hợp hồ sơ chưa đầy đủ, chưa đúng quy định về thành phần hồ sơ thì trong thời hạn 05 ngày làm việc kể từ ngày nhận được hồ sơ, cơ quan cấp giấy phép sử dụng tần số vô tuyến điện thông báo, hướng dẫn tổ chức, cá nhân bổ sung, hoàn thiện hồ sơ. Trường hợp hồ sơ hợp lệ, cơ quan cấp giấy phép sử dụng tần số vô tuyến điện thực hiện trình tự phối hợp quốc tế về tần số vô tuyến điện theo quy định tại Điều 11 Nghị định này đối với các trường hợp cấp, sửa đổi, bổ sung nội dung giấy phép phải tính toán lại tần số vô tuyến điện.
3. Thời hạn giải quyết hồ sơ:
a) Trường hợp phải thực hiện phối hợp trong nước và quốc tế về tần số vô tuyến điện, thời hạn giải quyết hồ sơ quy định như sau:
a1) Trong thời hạn 07 ngày kể từ ngày nhận được văn bản thông báo của Bộ Giao thông vận tải về kết quả phối hợp tần số quốc tế, cơ quan cấp giấy phép sử dụng tần số vô tuyến điện cấp, sửa đổi, bổ sung nội dung giấy phép theo Mẫu 1a quy định tại Phụ lục III ban hành kèm theo Nghị định này hoặc từ chối cấp, sửa đổi, bổ sung nội dung giấy phép và nêu rõ lý do;
a2) Trong thời hạn 28 ngày kể từ ngày nhận đủ hồ sơ hợp lệ, trường hợp việc ấn định và phối hợp tần số trong nước không khả thi, cơ quan cấp giấy phép sử dụng tần số vô tuyến điện từ chối cấp, sửa đổi, bổ sung nội dung giấy phép và nêu rõ lý do;
b) Trường hợp không phải thực hiện phối hợp trong nước và quốc tế về tần số vô tuyến điện, trong thời hạn 28 ngày kể từ ngày nhận đủ hồ sơ hợp lệ, cơ quan cấp giấy phép sử dụng tần số vô tuyến điện gia hạn, sửa đổi, bổ sung nội dung giấy phép theo Mẫu 1a quy định tại Phụ lục III ban hành kèm theo Nghị định này hoặc từ chối gia hạn, sửa đổi, bổ sung nội dung giấy phép và nêu rõ lý do;
c) Trong thời hạn 14 ngày kể từ ngày nhận đủ hồ sơ hợp lệ, cơ quan cấp giấy phép sử dụng tần số vô tuyến điện cấp đổi giấy phép theo mẫu quy định Phụ lục III ban hành kèm theo Nghị định này hoặc từ chối cấp đổi giấy phép và nêu rõ lý do.
Điều 11. Trình tự phối hợp trong nước và quốc tế về tần số vô tuyến điện
1. Trong thời hạn 21 ngày kể từ ngày nhận đủ hồ sơ hợp lệ, cơ quan cấp giấy phép sử dụng tần số vô tuyến điện thực hiện việc ấn định, phối hợp tần số vô tuyến điện trong nước, trường hợp tần số khả thi thì gửi văn bản kèm theo bản sao hồ sơ quy định tại Điều 9 Nghị định này đề nghị cơ quan chuyên môn thuộc Bộ Giao thông vận tải phối hợp quốc tế về tần số vô tuyến điện.
2. Trong thời hạn 38 ngày kể từ ngày nhận được văn bản đề nghị của cơ quan cấp giấy phép sử dụng tần số vô tuyến điện, cơ quan chuyên môn thuộc Bộ Giao thông vận tải thực hiện các công việc sau:
a) Phối hợp quốc tế về tần số vô tuyến điện với các nhà chức trách hàng không quốc tế, Tổ chức Hàng không dân dụng quốc tế;
b) Phối hợp với tổ chức, cá nhân phát, thu thử tần số vô tuyến điện khi cần thiết trên cơ sở ý kiến đồng ý của cơ quan cấp giấy phép sử dụng tần số vô tuyến điện. Cơ quan cấp giấy phép sử dụng tần số vô tuyến điện có ý kiến về việc phát, thu thử trong thời hạn 03 ngày làm việc kể từ ngày nhận được yêu cầu phát, thu thử của cơ quan chuyên môn thuộc Bộ Giao thông vận tải;
c) Gửi văn bản thông báo cho cơ quan cấp giấy phép sử dụng tần số vô tuyến điện về kết quả phối hợp quốc tế về tần số vô tuyến điện bao gồm cả trường hợp phối hợp thành công và không thành công. Trường hợp phối hợp thành công, nội dung thông báo bao gồm thông tin về các tần số phối hợp thành công kèm theo nhận dạng của đài vô tuyến điện.
3. Trường hợp việc phối hợp quốc tế về tần số vô tuyến điện cần có sự phối hợp chuyên sâu về kỹ thuật, cơ quan chuyên môn thuộc Bộ Giao thông vận tải phối hợp với cơ quan cấp giấy phép sử dụng tần số vô tuyến điện thực hiện việc phối hợp này.
Điều 12. Đăng ký tần số vô tuyến điện với Liên minh Viễn thông quốc tế
Cơ quan cấp giấy phép sử dụng tần số vô tuyến điện đăng ký tần số vô tuyến điện với Liên minh Viễn thông quốc tế trong thời hạn 15 ngày kể từ ngày cấp giấy phép sử dụng tần số vô tuyến điện.
Mục 4
CẤP, CẤP ĐỔI, GIA HẠN, SỬA ĐỔI, BỔ SUNG NỘI DUNG GIẤY PHÉP SỬ DỤNG TẦN SỐ VÀ THIẾT BỊ VÔ TUYẾN ĐIỆN ĐỐI VỚI ĐÀI TRÁI ĐẤT CỦA CƠ QUAN ĐẠI DIỆN NƯỚC NGOÀI, ĐOÀN KHÁCH NƯỚC NGOÀI, PHÓNG VIÊN NƯỚC NGOÀI ĐI THEO PHỤC VỤ ĐOÀN SỬ DỤNG DỊCH VỤ THÔNG TIN VỆ TINH CỦA NƯỚC NGOÀI HOẶC CÁC TỔ CHỨC QUỐC TẾ VỀ THÔNG TIN VỆ TINH
Điều 13. Hồ sơ đề nghị cấp, cấp đổi, gia hạn, sửa đổi, bổ sung nội dung giấy phép
1. Hồ sơ đề nghị cấp giấy phép áp dụng đối với đài trái đất của cơ quan đại diện nước ngoài gồm:
a) Bản khai thông tin chung và bản khai thông số kỹ thuật, khai thác theo Mẫu 1m quy định tại Phụ lục II ban hành kèm theo Nghị định này;
b) Văn bản đề nghị của cơ quan chuyên môn thuộc Bộ Ngoại giao hoặc Sở Ngoại vụ Thành phố Hồ Chí Minh hoặc Sở Ngoại vụ được phân công quản lý.
2. Hồ sơ đề nghị cấp giấy phép áp dụng đối với đài trái đất của đoàn khách nước ngoài thăm Việt Nam gồm:
a) Bản khai thông tin chung và bản khai thông số kỹ thuật, khai thác theo Mẫu 1m quy định tại Phụ lục II ban hành kèm theo Nghị định này;
b) Văn bản đề nghị của cơ quan chuyên môn thuộc Bộ Ngoại giao (áp dụng đối với đài trái đất của đoàn khách nước ngoài theo lời mời của lãnh đạo Nhà nước, Chính phủ); hoặc
Văn bản đề nghị của cơ quan chuyên môn thuộc Ban Đối ngoại Trung ương (áp dụng đối với đài trái đất của đoàn khách nước ngoài theo lời mời của lãnh đạo Đảng); hoặc
Văn bản đề nghị của cơ quan chuyên môn thuộc Văn phòng Quốc hội (áp dụng đối với đài trái đất của đoàn khách nước ngoài theo lời mời của lãnh đạo Quốc hội); hoặc
Văn bản đề nghị của cơ quan chủ quản đón đoàn (áp dụng đối với đài trái đất của đoàn khách nước ngoài khác).
3. Hồ sơ đề nghị cấp giấy phép áp dụng đối với đài trái đất của phóng viên nước ngoài đi theo phục vụ đoàn khách nước ngoài gồm:
a) Bản khai thông tin chung và bản khai thông số kỹ thuật, khai thác theo Mẫu 1m quy định tại Phụ lục II ban hành kèm theo Nghị định này;
b) Văn bản đề nghị của cơ quan chuyên môn thuộc Bộ Ngoại giao.
4. Hồ sơ đề nghị cấp đổi, gia hạn giấy phép gồm:
Bản khai thông tin chung và bản khai đề nghị cấp đổi, gia hạn giấy phép sử dụng tần số và thiết bị vô tuyến điện theo quy định tại Phụ lục II ban hành kèm theo Nghị định này.
5. Hồ sơ đề nghị sửa đổi, bổ sung nội dung giấy phép gồm:
Bản khai thông tin chung và bản khai thông số kỹ thuật, khai thác theo Mẫu 1m quy định tại Phụ lục II ban hành kèm theo Nghị định này.
Điều 14. Trình tự, thủ tục giải quyết hồ sơ đề nghị cấp, cấp đổi, gia hạn, sửa đổi, bổ sung nội dung giấy phép
1. Trình tự phối hợp và thời hạn giải quyết cấp, gia hạn, sửa đổi, bổ sung nội dung giấy phép đối với cơ quan đại diện nước ngoài
a) Cơ quan đại diện nước ngoài nộp 01 bộ hồ sơ đề nghị cấp, gia hạn, sửa đổi, bổ sung nội dung giấy phép theo quy định tại Điều 13 Nghị định này đến cơ quan cấp giấy phép sử dụng tần số vô tuyến điện;
b) Cơ quan cấp giấy phép sử dụng tần số vô tuyến điện kiểm tra tính hợp lệ của hồ sơ. Trường hợp hồ sơ chưa đầy đủ, chưa đúng quy định về thành phần hồ sơ hoặc có nội dung cần bổ sung, làm rõ, trong thời hạn 03 ngày làm việc kể từ ngày nhận được hồ sơ, cơ quan cấp giấy phép sử dụng tần số vô tuyến điện thông báo, hướng dẫn cơ quan đại diện nước ngoài bổ sung, hoàn thiện hồ sơ, đồng thời thông báo cho cơ quan chuyên môn thuộc Bộ Ngoại giao hoặc Sở Ngoại vụ Thành phố Hồ Chí Minh hoặc Sở Ngoại vụ được phân công quản lý để phối hợp; trong thời hạn 03 ngày làm việc kể từ ngày cơ quan cấp giấy phép sử dụng tần số vô tuyến điện gửi thông báo, cơ quan đại diện nước ngoài phải hoàn thiện và nộp đủ hồ sơ theo quy định;
c) Trong thời hạn 01 ngày làm việc kể từ ngày nhận đủ hồ sơ hợp lệ, cơ quan cấp giấy phép sử dụng tần số vô tuyến điện gửi văn bản kèm theo bản sao hồ sơ đề nghị cấp giấy phép để lấy ý kiến của cơ quan chuyên môn thuộc Bộ Công an;
d) Trong thời hạn 06 ngày làm việc kể từ ngày cơ quan cấp giấy phép sử dụng tần số vô tuyến điện gửi văn bản, cơ quan chuyên môn thuộc Bộ Công an có ý kiến bằng văn bản.
Trong trường hợp cần phải có thêm thời gian xem xét, cơ quan chuyên môn thuộc Bộ Công an có văn bản thông báo gửi cơ quan cấp giấy phép sử dụng tần số vô tuyến điện, nhưng tổng thời hạn giải quyết không quá 14 ngày;
đ) Trong thời hạn 06 ngày làm việc kể từ ngày nhận được văn bản của cơ quan chuyên môn thuộc Bộ Công an, cơ quan cấp giấy phép sử dụng tần số vô tuyến điện cấp giấy phép sử dụng tần số và thiết bị vô tuyến điện theo Mẫu 1m quy định tại Phụ lục III ban hành kèm theo Nghị định này hoặc từ chối cấp giấy phép và nêu rõ lý do, đồng thời thông báo kết quả cho cơ quan chuyên môn thuộc Bộ Ngoại giao hoặc Sở Ngoại vụ Thành phố Hồ Chí Minh hoặc Sở Ngoại vụ được phân công quản lý và cơ quan chuyên môn thuộc Bộ Công an.
2. Trình tự phối hợp và thời hạn giải quyết cấp, gia hạn, sửa đổi, bổ sung nội dung giấy phép đối với đoàn khách nước ngoài
a) Đoàn khách nước ngoài nộp 01 bộ hồ sơ đề nghị cấp, gia hạn, sửa đổi, bổ sung nội dung giấy phép theo quy định tại Điều 13 Nghị định này đến cơ quan cấp giấy phép sử dụng tần số vô tuyến điện;
b) Cơ quan cấp giấy phép sử dụng tần số vô tuyến điện kiểm tra tính hợp lệ của hồ sơ. Trường hợp hồ sơ chưa đầy đủ, chưa đúng quy định về thành phần hồ sơ hoặc có nội dung cần bổ sung, làm rõ, trong thời hạn 01 ngày làm việc kể từ ngày nhận được hồ sơ, cơ quan cấp giấy phép sử dụng tần số vô tuyến điện thông báo, hướng dẫn đoàn khách nước ngoài bổ sung, hoàn thiện hồ sơ, đồng thời thông báo cho cơ quan chủ trì đón, tiếp để phối hợp; trong thời hạn 01 ngày làm việc kể từ ngày cơ quan cấp giấy phép sử dụng tần số vô tuyến điện gửi thông báo, đoàn khách nước ngoài phải hoàn thiện và nộp đủ hồ sơ theo quy định;
c) Trong thời hạn 01 ngày làm việc kể từ ngày nhận đủ hồ sơ hợp lệ, cơ quan cấp giấy phép sử dụng tần số vô tuyến điện gửi văn bản kèm theo bản sao hồ sơ đề nghị cấp giấy phép của đoàn khách nước ngoài đến cơ quan chuyên môn thuộc Bộ Công an;
d) Trong thời hạn 03 ngày làm việc kể từ ngày cơ quan cấp giấy phép sử dụng tần số vô tuyến điện gửi văn bản, cơ quan chuyên môn thuộc Bộ Công an có ý kiến bằng văn bản gửi cơ quan cấp giấy phép sử dụng tần số vô tuyến điện;
đ) Trong thời hạn 03 ngày làm việc kể từ ngày nhận được văn bản của cơ quan chuyên môn thuộc Bộ Công an, cơ quan cấp giấy phép sử dụng tần số vô tuyến điện cấp giấy phép sử dụng tần số và thiết bị vô tuyến điện theo Mẫu 1m quy định tại Phụ lục III ban hành kèm theo Nghị định này hoặc từ chối cấp giấy phép và nêu rõ lý do, đồng thời thông báo kết quả cho cơ quan chuyên môn thuộc Bộ Công an và cơ quan chủ trì tiếp, đón.
3. Trình tự phối hợp và thời hạn giải quyết cấp, gia hạn, sửa đổi, bổ sung nội dung giấy phép đối với phóng viên nước ngoài đi theo phục vụ đoàn khách nước ngoài
a) Phóng viên nước ngoài đi theo phục vụ đoàn khách nước ngoài nộp 01 bộ hồ sơ đề nghị cấp, gia hạn, sửa đổi, bổ sung nội dung giấy phép theo quy định tại Điều 13 Nghị định này đến cơ quan cấp giấy phép sử dụng tần số vô tuyến điện;
b) Cơ quan cấp giấy phép sử dụng tần số vô tuyến điện kiểm tra tính hợp lệ của hồ sơ. Trường hợp hồ sơ chưa đầy đủ, chưa đúng quy định về thành phần hồ sơ hoặc có nội dung cần bổ sung, làm rõ, trong thời hạn 03 ngày làm việc kể từ ngày nhận được hồ sơ, cơ quan cấp giấy phép sử dụng tần số vô tuyến điện thông báo, hướng dẫn phóng viên nước ngoài đi theo phục vụ đoàn khách nước ngoài bổ sung, hoàn thiện hồ sơ, đồng thời thông báo cho cơ quan chuyên môn thuộc Bộ Ngoại giao để phối hợp; trong thời hạn 03 ngày làm việc kể từ ngày cơ quan cấp giấy phép sử dụng tần số vô tuyến điện gửi thông báo, phóng viên nước ngoài đi theo phục vụ đoàn khách nước ngoài phải hoàn thiện và nộp đủ hồ sơ theo quy định;
c) Trong thời hạn 01 ngày làm việc kể từ ngày nhận đủ hồ sơ hợp lệ, cơ quan cấp giấy phép sử dụng tần số vô tuyến điện gửi văn bản kèm theo bản sao hồ sơ đề nghị cấp, gia hạn, sửa đổi, bổ sung nội dung giấy phép của phóng viên nước ngoài đi theo phục vụ đoàn khách nước ngoài đến cơ quan chuyên môn thuộc Bộ Công an;
d) Trong thời hạn 05 ngày làm việc kể từ ngày cơ quan cấp giấy phép sử dụng tần số vô tuyến điện gửi văn bản, cơ quan chuyên môn thuộc Bộ Công an có ý kiến bằng văn bản gửi cơ quan cấp giấy phép sử dụng tần số vô tuyến điện;
Trong trường hợp cần phải có thêm thời gian xem xét, cơ quan chuyên môn thuộc Bộ Công an có văn bản thông báo gửi cơ quan cấp giấy phép sử dụng tần số vô tuyến điện, nhưng tổng thời hạn xử lý không quá 14 ngày;
đ) Trong thời hạn 05 ngày làm việc kể từ ngày nhận được văn bản của cơ quan chuyên môn thuộc Bộ Công an, cơ quan cấp giấy phép sử dụng tần số vô tuyến điện cấp giấy phép sử dụng tần số và thiết bị vô tuyến điện theo Mẫu 1m quy định tại Phụ lục III ban hành kèm theo Nghị định này hoặc từ chối cấp giấy phép và nêu rõ lý do, đồng thời thông báo kết quả cho cơ quan chuyên môn thuộc Bộ Công an và Bộ Ngoại giao.
4. Trình tự, thủ tục và thời hạn giải quyết hồ sơ đề nghị cấp đổi giấy phép đối với cơ quan đại diện nước ngoài, đoàn khách nước ngoài, phóng viên nước ngoài đi theo phục vụ đoàn khách nước ngoài;
a) Cơ quan đại diện nước ngoài, đoàn khách nước ngoài, phóng viên nước ngoài đi theo phục vụ đoàn khách nước ngoài nộp 01 bộ hồ sơ theo quy định tại khoản 4 Điều 13 Nghị định này đến cơ quan cấp giấy phép sử dụng tần số vô tuyến điện;
b) Cơ quan cấp giấy phép sử dụng tần số vô tuyến điện kiểm tra tính hợp lệ của hồ sơ. Trường hợp hồ sơ chưa đầy đủ, chưa đúng quy định về thành phần hồ sơ hoặc có nội dung cần bổ sung, làm rõ, trong thời hạn 03 ngày làm việc kể từ ngày nhận được hồ sơ, cơ quan cấp giấy phép sử dụng tần số vô tuyến điện thông báo, hướng dẫn cơ quan đại diện nước ngoài, đoàn khách nước ngoài, phóng viên nước ngoài đi theo phục vụ đoàn khách nước ngoài bổ sung, hoàn thiện hồ sơ; trong thời hạn 03 ngày làm việc kể từ ngày cơ quan cấp giấy phép sử dụng tần số vô tuyến điện gửi thông báo, cơ quan đại diện nước ngoài, đoàn khách nước ngoài, phóng viên nước ngoài đi theo phục vụ đoàn khách nước ngoài phải hoàn thiện và nộp đủ hồ sơ theo quy định;
c) Trong thời hạn 05 ngày làm việc kể từ ngày nhận đủ hồ sơ hợp lệ, cơ quan cấp giấy phép sử dụng tần số vô tuyến điện cấp đổi giấy phép theo mẫu quy định tại Phụ lục III ban hành kèm theo Nghị định này hoặc từ chối cấp đổi giấy phép và nêu rõ lý do.
Mục 5
CẤP, CẤP ĐỔI, GIA HẠN, SỬA ĐỔI, BỔ SUNG NỘI DUNG
GIẤY PHÉP SỬ DỤNG TẦN SỐ VÀ QUỸ ĐẠO VỆ TINH
Điều 15. Hồ sơ đề nghị cấp, cấp đổi, gia hạn, sửa đổi, bổ sung nội dung giấy phép sử dụng tần số và quỹ đạo vệ tinh
1. Bản khai đề nghị cấp, cấp đổi, gia hạn, sửa đổi, bổ sung nội dung giấy phép sử dụng tần số và quỹ đạo vệ tinh theo Mẫu 3 quy định tại Phụ lục II ban hành kèm theo Nghị định này.
2. Cam kết đáp ứng các điều kiện quy định tại khoản 2 Điều 21 Luật Tần số vô tuyến điện, phù hợp với đề án hoặc dự án được cấp có thẩm quyền phê duyệt (áp dụng đối với trường hợp đề nghị cấp, sửa đổi, bổ sung nội dung giấy phép).
Điều 16. Trình tự giải quyết hồ sơ đề nghị cấp, cấp đổi, gia hạn, sửa đổi, bổ sung nội dung giấy phép sử dụng tần số và quỹ đạo vệ tinh
1. Tổ chức nộp 01 bộ hồ sơ đề nghị cấp, cấp đổi, gia hạn, sửa đổi, bổ sung nội dung giấy phép đến cơ quan cấp giấy phép sử dụng tần số vô tuyến điện.
2. Cơ quan cấp giấy phép sử dụng tần số vô tuyến điện tiếp nhận, kiểm tra tính hợp lệ của hồ sơ. Trường hợp hồ sơ chưa đầy đủ, chưa đúng quy định về thành phần hồ sơ thì trong thời hạn 05 ngày làm việc kể từ ngày nhận được hồ sơ, cơ quan cấp giấy phép sử dụng tần số vô tuyến điện thông báo, hướng dẫn tổ chức bổ sung, hoàn thiện hồ sơ.
3. Đối với trường hợp cấp, gia hạn, sửa đổi, bổ sung nội dung giấy phép:
Trong thời hạn 05 ngày làm việc kể từ ngày nhận đủ hồ sơ hợp lệ, cơ quan cấp giấy phép sử dụng tần số vô tuyến điện gửi văn bản kèm theo bản sao hồ sơ đề nghị cấp giấy phép để lấy ý kiến của cơ quan chuyên môn thuộc Bộ Công an.
Trong thời hạn 10 ngày kể từ ngày cơ quan cấp giấy phép sử dụng tần số vô tuyến điện gửi văn bản, cơ quan chuyên môn thuộc Bộ Công an có ý kiến bằng văn bản.
Trong thời hạn 40 ngày kể từ ngày nhận được ý kiến bằng văn bản của cơ quan chuyên môn thuộc Bộ Công an, cơ quan cấp giấy phép sử dụng tần số vô tuyến điện cấp, gia hạn, sửa đổi, bổ sung nội dung giấy phép theo mẫu quy định tại Phụ lục III ban hành kèm theo Nghị định này hoặc từ chối cấp, gia hạn, sửa đổi, bổ sung nội dung giấy phép và nêu rõ lý do.
4. Đối với trường hợp cấp đổi giấy phép:
Trong thời hạn 14 ngày kể từ ngày nhận đủ hồ sơ hợp lệ, cơ quan cấp giấy phép sử dụng tần số vô tuyến điện cấp đổi giấy phép theo mẫu quy định tại Phụ lục III ban hành kèm theo Nghị định này hoặc từ chối cấp đổi giấy phép và nêu rõ lý do.
Mục 6
CẤP GIẤY PHÉP SỬ DỤNG BĂNG TẦN THÔNG QUA ĐẤU GIÁ
QUYỀN SỬ DỤNG TẦN SỐ VÔ TUYẾN ĐIỆN
Điều 17. Phương án tổ chức đấu giá
1. Bộ trưởng Bộ Thông tin và Truyền thông phê duyệt phương án tổ chức đấu giá và tổ chức thực hiện việc đấu giá.
2. Phương án tổ chức đấu giá gồm các nội dung chính sau đây:
a) Yêu cầu cam kết triển khai mạng viễn thông để đảm bảo phát triển viễn thông phù hợp với quy hoạch phát triển viễn thông quốc gia, hài hòa lợi ích của nhà nước, người dân và doanh nghiệp;
b) Thông tin và điều kiện sử dụng băng tần, thời hạn của giấy phép sử dụng băng tần;
c) Giá khởi điểm, bước giá và tiền đặt trước;
d) Hình thức, phương thức đấu giá;
đ) Xử lý tình huống đấu giá (nếu có).
3. Phương án tổ chức đấu giá phải được thông báo công khai trên cổng thông tin điện tử của Bộ Thông tin và Truyền thông không muộn hơn 05 ngày làm việc kể từ ngày phê duyệt và chỉ được sử dụng cho một lần tổ chức đấu giá.
4. Xử lý tình huống đấu giá trong trường hợp chỉ có một tổ chức đăng ký tham gia đấu giá, một tổ chức tham gia đấu giá, một tổ chức trả giá:
a) Trường hợp đấu giá lại các khối băng tần sau cuộc đấu giá không thành, tại cuộc đấu giá lại, khi đã hết thời hạn đăng ký tham gia đấu giá mà chỉ có một tổ chức đăng ký tham gia đấu giá hoặc có nhiều tổ chức đăng ký tham gia đấu giá nhưng chỉ có một tổ chức tham gia cuộc đấu giá hoặc có nhiều tổ chức tham gia cuộc đấu giá nhưng chỉ có một tổ chức trả giá hoặc có nhiều tổ chức trả giá nhưng chỉ có một tổ chức trả giá cao nhất và trả giá ít nhất bằng giá khởi điểm thì khối băng tần được bán cho tổ chức đó. Việc bán khối băng tần cho tổ chức quy định tại khoản này phải được quy định tại phương án tổ chức đấu giá do Bộ trưởng Bộ Thông tin và Truyền thông phê duyệt;
b) Việc đấu giá tài sản trong trường hợp quy định tại điểm a khoản này chỉ được tiến hành sau khi đã thực hiện đầy đủ trình tự, thủ tục đấu giá tài sản theo quy định của Luật Đấu giá tài sản, các văn bản quy định chi tiết Luật Đấu giá tài sản, quy định của Nghị định này và không có khiếu nại liên quan đến trình tự, thủ tục cho đến ngày tổ chức cuộc đấu giá;
c) Trong thời hạn 03 ngày làm việc kể từ ngày kết thúc cuộc đấu giá quy định tại điểm a khoản này, tổ chức đấu giá tài sản hoặc Hội đồng đấu giá tài sản gửi Bộ Thông tin và Truyền thông báo cáo về quá trình đấu giá và biên bản đấu giá. Biên bản đấu giá trong trường hợp này ngoài các nội dung theo quy định của pháp luật về đấu giá phải thể hiện quá trình đấu giá chỉ có một tổ chức đăng ký tham gia đấu giá hoặc có nhiều tổ chức đăng ký tham gia đấu giá nhưng chỉ có một tổ chức tham gia cuộc đấu giá hoặc có nhiều tổ chức tham gia cuộc đấu giá nhưng chỉ có một tổ chức trả giá hoặc có nhiều tổ chức trả giá nhưng chỉ có một tổ chức trả giá cao nhất và trả giá ít nhất bằng giá khởi điểm;
d) Việc phê duyệt và công bố kết quả đấu giá được thực hiện theo quy định tại Điều 22 Nghị định này.
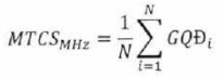
Giá khởi điểm của khối băng tần được xác định như sau:
GKĐ là giá khởi điểm, đơn vị tính là Đồng Việt Nam;
MTCSmhz là mức thu cơ sở được quyết định theo quy định của Nghị định này, đơn vị tính là Đồng Việt Nam/MHz/năm;
BW là độ rộng của khối băng tần cần xác định giá khởi điểm, đơn vị tính là MHz (Mê-ga-héc);
T là toàn bộ thời gian được phép sử dụng băng tần, đơn vị tính là năm.
Điều 19. Thẩm định điều kiện tham gia đấu giá
1. Thẩm định điều kiện tham gia đấu giá là việc xem xét, đánh giá hồ sơ để xác nhận các tổ chức tham gia đấu giá đáp ứng điều kiện theo quy định tại khoản 2 Điều này.
2. Điều kiện tham gia đấu giá bao gồm:
a) Các điều kiện quy định tại điểm a và c khoản 1 Điều 18a Luật Tần số vô tuyến điện được bổ sung tại khoản 6 Điều 1 Luật sửa đổi, bổ sung một số điều của Luật Tần số vô tuyến điện;
b) Điều kiện để được cấp giấy phép thiết lập mạng viễn thông sử dụng băng tần được cấp phép thông qua đấu giá như sau:
b1) Đáp ứng điều kiện cấp hoặc cấp mới hoặc sửa đổi, bổ sung giấy phép thiết lập mạng viễn thông theo quy định của pháp luật về viễn thông;
b2) Kế hoạch kinh doanh, kế hoạch kỹ thuật sử dụng băng tần được cấp phép thông qua đấu giá xây dựng chung cho các hoạt động kinh doanh dịch vụ viễn thông tại giấy phép kinh doanh dịch vụ viễn thông và phù hợp với yêu cầu cam kết triển khai mạng viễn thông của băng tần được cấp phép thông qua đấu giá;
b3) Cam kết đáp ứng điều kiện triển khai mạng viễn thông đối với băng tần được cấp phép thông qua đấu giá.
3. Trong thời hạn 30 ngày kể từ ngày Bộ Thông tin và Truyền thông thông báo công khai phương án tổ chức đấu giá, tổ chức phải nộp 01 bộ hồ sơ đề nghị xác nhận đáp ứng điều kiện tham gia đấu giá tới Bộ Thông tin và Truyền thông (Cục Viễn thông) thông qua một trong các phương thức sau: qua hệ thống dịch vụ công trực tuyến hoặc qua đường bưu chính hoặc nộp trực tiếp. Các hồ sơ nộp không đúng thời hạn trên sẽ không được tiếp nhận và giải quyết.
4. Hồ sơ đề nghị cấp giấy xác nhận đáp ứng điều kiện tham gia đấu giá đối với tổ chức đã được cấp phép kinh doanh dịch vụ viễn thông gồm:
a) Đơn đề nghị cấp giấy xác nhận đáp ứng điều kiện tham gia đấu giá theo Mẫu 01 tại Phụ lục V ban hành kèm theo Nghị định này;
b) Hồ sơ đề nghị cấp mới giấy phép kinh doanh dịch vụ viễn thông sử dụng băng tần được cấp phép thông qua đấu giá theo quy định của pháp luật về viễn thông; hoặc hồ sơ sửa đổi, bổ sung giấy phép thiết lập mạng viễn thông công cộng, giấy phép cung cấp dịch vụ viễn thông sử dụng băng tần do thay đổi nhu cầu sử dụng tài nguyên viễn thông đã được cấp phép gồm:
b1) Đơn đề nghị sửa đổi, bổ sung giấy phép kinh doanh dịch vụ viễn thông theo quy định của pháp luật về viễn thông;
b2) Báo cáo tình hình thực hiện giấy phép kể từ ngày được cấp giấy phép đến ngày nộp hồ sơ đề nghị sửa đổi, bổ sung giấy phép theo quy định của pháp luật về viễn thông;
b3) Kế hoạch kinh doanh và kế hoạch kỹ thuật phù hợp với tài nguyên viễn thông thay đổi theo quy định của pháp luật về viễn thông;
c) Bản cam kết triển khai mạng viễn thông sau khi trúng đấu giá theo mẫu tại Phụ lục IV ban hành kèm theo Nghị định này;
d) Bản cam kết mức trả giá trong trường hợp tổ chức trúng đấu giá đảm bảo phương án kỹ thuật và phương án kinh doanh đáp ứng điều kiện cấp hoặc cấp mới hoặc sửa đổi, bổ sung giấy phép kinh doanh dịch vụ viễn thông sử dụng băng tần được cấp phép thông qua đấu giá theo quy định của pháp luật về viễn thông theo Mẫu 02 tại Phụ lục V ban hành kèm theo Nghị định này;
đ) Cam kết đáp ứng điều kiện quy định tại điểm a khoản 1 Điều 18a Luật Tần số vô tuyến điện được bổ sung tại khoản 6 Điều 1 Luật sửa đổi, bổ sung một số điều của Luật Tần số vô tuyến điện.
Theo quy định tại Điểm 1 Khoản XXIII Mục B Phụ lục I Nghị quyết 20/2026/NQ-CP: Đơn giản hóa hồ sơ đề nghị cấp Giấy xác nhận đáp ứng điều kiện tham gia đấu giá quyền sử dụng tần số vô tuyến điện, hồ sơ thi tuyển tại khoản 4 và khoản 5 Điều 19 Nghị định số 63/2023/NĐ-CP
5. Hồ sơ đề nghị cấp giấy xác nhận đáp ứng điều kiện tham gia đấu giá đối với tổ chức chưa có giấy phép kinh doanh dịch vụ viễn thông gồm:
a) Đơn đề nghị cấp giấy xác nhận đáp ứng điều kiện tham gia đấu giá theo Mẫu 01 tại Phụ lục V ban hành kèm theo Nghị định này;
b) Hồ sơ đề nghị cấp giấy phép thiết lập mạng viễn thông công cộng, giấy phép cung cấp dịch vụ viễn thông sử dụng băng tần theo quy định của pháp luật về viễn thông;
c) Bản cam kết triển khai mạng viễn thông sau khi trúng đấu giá theo mẫu tại Phụ lục IV ban hành kèm theo Nghị định này;
d) Bản cam kết mức trả giá trong trường hợp tổ chức trúng đấu giá đảm bảo phương án kỹ thuật và phương án kinh doanh đáp ứng điều kiện cấp hoặc cấp mới hoặc sửa đổi, bổ sung giấy phép kinh doanh dịch vụ viễn thông sử dụng băng tần được cấp phép thông qua đấu giá theo quy định của pháp luật về viễn thông theo Mẫu 02 tại Phụ lục V ban hành kèm theo Nghị định này;
đ) Cam kết đáp ứng điều kiện quy định tại điểm a khoản 1 Điều 18a Luật Tần số vô tuyến điện được bổ sung tại khoản 6 Điều 1 Luật sửa đổi, bổ sung một số điều của Luật Tần số vô tuyến điện.
6. Việc xét cấp giấy xác nhận đáp ứng điều kiện tham gia đấu giá tiến hành đồng thời với việc xét cấp hoặc cấp mới hoặc sửa đổi, bổ sung giấy phép kinh doanh dịch vụ viễn thông, được thực hiện theo quy định tại Điều 18a Luật Tần số vô tuyến điện được bổ sung tại khoản 6 Điều 1 Luật sửa đổi, bổ sung một số điều của Luật Tần số vô tuyến điện và các điều kiện quy định tại điểm b khoản 2 Điều này.
7. Thời hạn và quy trình giải quyết hồ sơ:
a) Trong thời hạn 01 ngày kể từ ngày nhận được hồ sơ, Bộ Thông tin và Truyền thông (Cục Viễn thông) có văn bản thông báo cho tổ chức biết về hồ sơ không hợp lệ. Trong thời hạn 04 ngày kể từ ngày nhận được văn bản thông báo hồ sơ không hợp lệ, tổ chức phải hoàn thiện và nộp lại hồ sơ theo quy định; trường hợp hồ sơ tiếp tục không hợp lệ, Bộ Thông tin và Truyền thông (Cục Viễn thông) có văn bản thông báo từ chối xem xét cấp giấy xác nhận;
b) Trong thời hạn 15 ngày kể từ ngày nhận được hồ sơ hợp lệ, Bộ Thông tin và Truyền thông xem xét cấp giấy xác nhận tổ chức đáp ứng điều kiện tham gia đấu giá theo Mẫu 03 tại Phụ lục V ban hành kèm theo Nghị định này;
c) Trường hợp hồ sơ không đáp ứng điều kiện theo quy định tại Điều 18a Luật Tần số vô tuyến điện được bổ sung tại khoản 6 Điều 1 Luật sửa đổi, bổ sung một điều của Luật Tần số vô tuyến điện, Bộ Thông tin và Truyền thông có văn bản thông báo từ chối cấp giấy xác nhận, nêu rõ lý do.
Theo quy định tại Điểm 2 Khoản XXIII Mục B Phụ lục I Nghị quyết 20/2026/NQ-CP: Cắt giảm thời hạn giải quyết thủ tục cấp Giấy xác nhận đáp ứng điều kiện tham gia đấu giá quyền sử dụng tần số vô tuyến điện tại khoản 7 Điều 19 Nghị định số 63/2023/NĐ-CP
Điều 20. Hồ sơ tham gia đấu giá
Hồ sơ tham gia đấu giá bao gồm những nội dung chính sau đây:
1. Đơn đăng ký tham gia đấu giá.
2. Khối băng tần đăng ký mua.
3. Bản chính hoặc bản sao hợp pháp giấy xác nhận đáp ứng điều kiện tham gia đấu giá do Bộ trưởng Bộ Thông tin và Truyền thông cấp.
Điều 21. Xử lý tiền đặt cọc
1. Sau khi trúng đấu giá, khoản tiền đặt trước và tiền lãi (nếu có) của tổ chức trúng đấu giá được chuyển thành tiền đặt cọc để bảo đảm thực hiện nghĩa vụ nộp tiền trúng đấu giá.
Tổ chức không hoàn thành nghĩa vụ nộp tiền cấp quyền sử dụng tần số vô tuyến điện sau khi trúng đấu giá theo quy định tại khoản 1 Điều 53 Nghị định này thì không được hoàn trả tiền đặt cọc, số tiền này được nộp vào ngân sách nhà nước.
2. Trong thời hạn 03 ngày làm việc kể từ ngày kết thúc cuộc đấu giá, tổ chức đấu giá tài sản có trách nhiệm nộp khoản tiền đặt cọc và tiền lãi (nếu có) của tổ chức trúng đấu giá vào tài khoản mở tại kho bạc nhà nước của Bộ Thông tin và Truyền thông hoặc tổ chức được Bộ Thông tin và Truyền thông giao nhiệm vụ thu tiền cấp quyền sử dụng tần số vô tuyến điện theo quy định của pháp luật về ngân sách nhà nước.
Điều 22. Phê duyệt kết quả trúng đấu giá
1. Trong thời hạn 15 ngày kể từ ngày nhận được danh sách tổ chức trúng đấu giá từ tổ chức đấu giá tài sản hoặc Hội đồng đấu giá tài sản, Bộ trưởng Bộ Thông tin và Truyền thông ra Quyết định phê duyệt kết quả trúng đấu giá gửi tổ chức trúng đấu giá.
Quyết định phê duyệt kết quả trúng đấu giá gồm các thông tin: tổ chức trúng đấu giá, khối băng tần trúng đấu giá, thời hạn được phép sử dụng, số tiền trúng đấu giá, phương thức nộp tiền cấp quyền sử dụng tần số vô tuyến điện và trách nhiệm của tổ chức trúng đấu giá trong việc nộp đầy đủ, đúng hạn tiền cấp quyền sử dụng tần số vô tuyến điện để được cấp giấy phép kinh doanh dịch vụ viễn thông, giấy phép sử dụng băng tần.
2. Kết thúc cuộc đấu giá, Bộ Thông tin và Truyền thông thông báo công khai thông tin về cuộc đấu giá trên cổng thông tin điện tử của Bộ Thông tin và Truyền thông.
Điều 23. Cấp giấy phép sử dụng băng tần, giấy phép kinh doanh dịch vụ viễn thông
- Theo quy định tại Mục XXIV Phần B Phụ lục II Nghị quyết 20/2026/NQ-CP: Đơn giản hóa thủ tục cấp giấy phép cung cấp dịch vụ viễn thông có hạ tầng mạng, loại mạng viễn thông công cộng có sử dụng băng tần số vô tuyến điện tại tại Điều 23 Nghị định số 63/2023/NĐ-CP;
- Theo quy định tại Mục XXVI Phần B Phụ lục II Nghị quyết 20/2026/NQ-CP: Đơn giản hóa thủ tục cấp lại giấy phép cung cấp dịch vụ viễn thông có hạ tầng mạng, loại mạng viễn thông sử dụng băng tần số vô tuyến điện quy định tại khoản 1, khoản 2 Điều 23 Nghị định 63/2023/NĐ-CP
1. Trong thời hạn 03 ngày làm việc kể từ ngày Bộ Thông tin và Truyền thông phê duyệt kết quả trúng đấu giá, Bộ Thông tin và Truyền thông (cơ quan cấp giấy phép sử dụng tần số vô tuyến điện, Cục Viễn thông) thông báo cho tổ chức trúng đấu giá mức thu tiền cấp quyền sử dụng tần số vô tuyến điện, lệ phí, phí sử dụng tần số vô tuyến điện, lệ phí, phí cấp phép hoạt động viễn thông, phí quyền hoạt động viễn thông phải nộp để được cấp giấy phép kinh doanh dịch vụ viễn thông và giấy phép sử dụng băng tần.
2. Trong thời hạn 15 ngày kể từ ngày tổ chức đã nộp đủ các khoản tài chính quy định tại khoản 1 Điều này đúng theo quy định, tổ chức được cấp giấy phép kinh doanh dịch vụ viễn thông và giấy phép sử dụng băng tần.
3. Tổ chức không nộp đủ, đúng hạn các khoản tài chính quy định tại khoản 1 Điều này thì không được cấp giấy phép kinh doanh dịch vụ viễn thông và giấy phép sử dụng băng tần. Bộ Thông tin và Truyền thông hủy bỏ Quyết định phê duyệt kết quả trúng đấu giá đối với tổ chức này.
Mục 7
CẤP GIẤY PHÉP SỬ DỤNG BĂNG TẦN THÔNG QUA
THI TUYỂN QUYỀN SỬ DỤNG TẦN SỐ VÔ TUYẾN ĐIỆN
Điều 24. Phương án tổ chức thi tuyển
1. Trên cơ sở Quyết định của Thủ tướng Chính phủ về băng tần được thi tuyển quyền sử dụng tần số vô tuyến điện, Bộ trưởng Bộ Thông tin và Truyền thông phê duyệt phương án tổ chức thi tuyển và tổ chức thực hiện việc thi tuyển. Phương án tổ chức thi tuyển gồm các nội dung chính như sau:
a) Thông tin, điều kiện sử dụng băng tần, thời hạn của giấy phép;
b) Yêu cầu tối thiểu về cam kết triển khai mạng viễn thông để đảm bảo phát triển viễn thông phù hợp với quy hoạch phát triển viễn thông quốc gia, hài hòa lợi ích của nhà nước, người dân và doanh nghiệp;
c) Mức thu tiền cấp quyền sử dụng tần số vô tuyến điện;
d) Điều kiện tham gia thi tuyển;
đ) Tiêu chí thi tuyển, nguyên tắc chấm điểm, thang điểm;
e) Cách xác định tổ chức trúng tuyển và xử lý tình huống các hồ sơ thi tuyển có điểm số bằng nhau;
g) Mẫu Bản cam kết triển khai mạng viễn thông;
h) Địa điểm, phương thức nộp hồ sơ thi tuyển;
i) Thời gian, địa điểm mở hồ sơ thi tuyển.
2. Phương án tổ chức thi tuyển phải được thông báo công khai trên cổng thông tin điện tử của Bộ Thông tin và Truyền thông không muộn hơn 05 ngày làm việc kể từ ngày phê duyệt và chỉ được sử dụng cho một lần tổ chức thi tuyển.
Điều 25. Hội đồng đánh giá hồ sơ thi tuyển
1. Bộ trưởng Bộ Thông tin và Truyền thông thành lập Hội đồng đánh giá hồ sơ thi tuyển để giúp việc chấm điểm hồ sơ thi tuyển.
2. Hội đồng đánh giá hồ sơ thi tuyển có tối thiểu 05 người, gồm 01 chủ tịch và các thành viên bắt buộc của các đơn vị thuộc Bộ Thông tin và Truyền thông được giao thực hiện chức năng quản lý về viễn thông, tần số vô tuyến điện, tài chính và thành viên khác (nếu cần).
Điều 26. Hồ sơ thi tuyển
1. Trong thời hạn 60 ngày kể từ ngày Bộ Thông tin và Truyền thông thông báo công khai phương án tổ chức thi tuyển, tổ chức phải nộp hồ sơ thi tuyển tới Bộ Thông tin và Truyền thông (Cục Viễn thông) qua đường bưu chính hoặc nộp trực tiếp. Các hồ sơ nộp không đúng thời hạn trên sẽ không được tiếp nhận và giải quyết.
2. Đối với tổ chức đã được cấp phép kinh doanh dịch vụ viễn thông sử dụng băng tần, hồ sơ gồm:
a) Đơn đăng ký tham gia thi tuyển theo Mẫu 04 quy định tại Phụ lục V ban hành kèm theo Nghị định này;
b) Hồ sơ đề nghị cấp mới giấy phép kinh doanh dịch vụ viễn thông sử dụng băng tần được cấp phép thông qua thi tuyển theo quy định của pháp luật về viễn thông; hoặc hồ sơ sửa đổi, bổ sung giấy phép thiết lập mạng viễn thông công cộng, giấy phép cung cấp dịch vụ viễn thông sử dụng băng tần do thay đổi nhu cầu sử dụng tài nguyên viễn thông đã được cấp phép gồm:
b1) Đơn đề nghị sửa đổi, bổ sung giấy phép kinh doanh dịch vụ viễn thông theo quy định của pháp luật về viễn thông;
b2) Báo cáo tình hình thực hiện giấy phép kể từ ngày được cấp giấy phép đến ngày nộp hồ sơ đề nghị sửa đổi, bổ sung giấy phép theo quy định của pháp luật về viễn thông;
b3) Kế hoạch kinh doanh và kế hoạch kỹ thuật sửa đổi, bổ sung phù hợp với tài nguyên viễn thông thay đổi theo quy định của pháp luật về viễn thông;
c) Bản cam kết triển khai mạng viễn thông sau khi trúng tuyển theo mẫu tại Phụ lục IV ban hành kèm theo Nghị định này;
d) Cam kết đáp ứng điều kiện quy định tại điểm a khoản 1 Điều 18a Luật Tần số vô tuyến điện được bổ sung tại khoản 6 Điều 1 Luật sửa đổi, bổ sung một số điều của Luật Tần số vô tuyến điện;
đ) Tài liệu khác theo yêu cầu của phương án tổ chức thi tuyển.
Theo quy định tại Điểm 1 Khoản XXIII Mục B Phụ lục I Nghị quyết 20/2026/NQ-CP: Đơn giản hóa hồ sơ đề nghị cấp Giấy xác nhận đáp ứng điều kiện tham gia đấu giá quyền sử dụng tần số vô tuyến điện, hồ sơ thi tuyển tại khoản 2 và khoản 3 Điều 26 Nghị định số 63/2023/NĐ-CP
3. Đối với tổ chức không thuộc trường hợp quy định tại khoản 2 Điều này, hồ sơ gồm:
a) Đơn đăng ký tham gia thi tuyển theo Mẫu 04 quy định tại Phụ lục V ban hành kèm theo Nghị định này;
b) Hồ sơ đề nghị cấp hoặc cấp mới giấy phép thiết lập mạng viễn thông công cộng, giấy phép cung cấp dịch vụ viễn thông sử dụng băng tần theo quy định của pháp luật về viễn thông;
c) Bản cam kết triển khai mạng viễn thông sau khi trúng tuyển theo mẫu tại Phụ lục IV ban hành kèm theo Nghị định này;
d) Cam kết đáp ứng điều kiện quy định tại điểm a khoản 1 Điều 18a Luật Tần số vô tuyến điện được bổ sung tại khoản 6 Điều 1 Luật sửa đổi, bổ sung một số điều của Luật Tần số vô tuyến điện;
đ) Tài liệu khác theo yêu cầu của phương án tổ chức thi tuyển.
4. Hồ sơ thi tuyển được lập thành 02 bộ gốc kèm theo bản lưu bằng phương tiện điện tử, được đóng gói, niêm phong theo quy định tại phương án thi tuyển.
5. Sau khi hết thời hạn nộp hồ sơ thi tuyển, tổ chức không được thay đổi hồ sơ thi tuyển đã nộp.
Điều 27. Mở hồ sơ thi tuyển
1. Bộ Thông tin và Truyền thông tổ chức mở hồ sơ thi tuyển theo thời gian và địa điểm tại phương án tổ chức thi tuyển.
2. Các tổ chức tham gia thi tuyển cử đại diện đến tham dự mở hồ sơ thi tuyển. Việc mở hồ sơ thi tuyển được thực hiện đúng theo thời gian quy định, không phụ thuộc vào việc có mặt hay vắng mặt của các đại diện tổ chức tham gia thi tuyển.
3. Trình tự mở hồ sơ thi tuyển được thực hiện như sau:
a) Thông báo thành phần tham dự;
b) Thông báo số lượng hồ sơ thi tuyển và tên các tổ chức tham gia thi tuyển;
c) Kiểm tra niêm phong của hồ sơ thi tuyển;
d) Mở lần lượt các bộ hồ sơ và ghi vào biên bản mở hồ sơ thi tuyển các thông tin về: tên doanh nghiệp, số lượng bộ hồ sơ gốc và bản lưu bằng phương tiện điện tử;
đ) Thông qua biên bản mở hồ sơ thi tuyển;
e) Đại diện của từng tổ chức và đại diện Bộ Thông tin và Truyền thông ký xác nhận vào biên bản mở hồ sơ thi tuyển. Bản sao của biên bản mở hồ sơ thi tuyển được gửi cho tất cả các tổ chức tham gia thi tuyển;
g) Sau khi mở hồ sơ thi tuyển, đại diện Bộ Thông tin và Truyền thông ký xác nhận vào bản gốc của tất cả các hồ sơ thi tuyển và niêm phong 01 bộ hồ sơ bản gốc. Trên giấy niêm phong có chữ ký của đại diện Bộ Thông tin và Truyền thông và đại diện của tổ chức tham gia thi tuyển có mặt.
4. Việc xác định tổ chức đủ điều kiện tham gia thi tuyển quyền sử dụng tần số vô tuyến điện, chấm điểm hồ sơ thi tuyển được thực hiện trên bản sao. Bản gốc của hồ sơ thi tuyển được bảo quản và lưu trữ tại Bộ Thông tin và Truyền thông sau khi kết quả thi tuyển được công bố.
Điều 28. Xác định tổ chức đáp ứng điều kiện tham gia thi tuyển quyền sử dụng tần số vô tuyến điện
1. Trong thời hạn 15 ngày kể từ ngày mở hồ sơ thi tuyển, Bộ Thông tin và Truyền thông phê duyệt danh sách tổ chức đáp ứng điều kiện tham gia thi tuyển quyền sử dụng tần số vô tuyến điện. Trường hợp tổ chức không đáp ứng điều kiện tham gia thi tuyển quyền sử dụng tần số vô tuyến điện, Bộ Thông tin và Truyền thông có văn bản thông báo cho tổ chức và nêu rõ lý do. Hồ sơ thi tuyển của tổ chức không đáp ứng điều kiện tham gia thi tuyển quyền sử dụng tần số vô tuyến điện không được chấm điểm.
2. Tổ chức được xác định đáp ứng điều kiện tham gia thi tuyển quyền sử dụng tần số vô tuyến điện nếu đáp ứng các điều kiện sau:
a) Các điều kiện,quy định tại điểm a và c khoản 1 Điều 18a Luật Tần số vô tuyến điện được bổ sung tại khoản 6 Điều 1 Luật sửa đổi, bổ sung một số điều của Luật Tần số vô tuyến điện;
b) Điều kiện để được cấp giấy phép thiết lập mạng viễn thông sử dụng băng tần được cấp phép sử dụng thông qua thi tuyển như sau:
b1) Đáp ứng điều kiện cấp hoặc cấp mới hoặc sửa đổi, bổ sung giấy phép kinh doanh dịch vụ viễn thông theo quy định pháp luật về viễn thông;
b2) Kế hoạch kinh doanh, kế hoạch kỹ thuật sử dụng băng tần được cấp phép thông qua thi tuyển xây dựng chung cho các hoạt động kinh doanh dịch vụ viễn thông tại giấy phép kinh doanh dịch vụ viễn thông và phù hợp với yêu cầu cam kết triển khai mạng viễn thông của băng tần được cấp phép thông qua thi tuyển;
b3) Cam kết đáp ứng điều kiện triển khai mạng viễn thông đối với băng tần được cấp phép thông qua thi tuyển.
3. Việc xác định tổ chức đáp ứng điều kiện tham gia thi tuyển quyền sử dụng tần số vô tuyến điện thực hiện đồng thời với việc xét cấp hoặc cấp mới hoặc sửa đổi, bổ sung giấy phép kinh doanh dịch vụ viễn thông, được thực hiện theo quy định tại Điều 18a Luật Tần số vô tuyến điện được bổ sung tại khoản 6 Điều 1 Luật sửa đổi, bổ sung một điều của Luật Tần số vô tuyến điện và tại khoản 2 Điều này.
Điều 29. Chấm điểm hồ sơ thi tuyển và xác định tổ chức trúng tuyển
1. Trong thời hạn 30 ngày kể từ ngày Bộ trưởng Bộ Thông và Truyền thông phê duyệt danh sách tổ chức đáp ứng điều kiện tham gia thi tuyển quyền sử dụng tần số vô tuyến điện, Hội đồng đánh giá hồ sơ thi tuyển có trách nhiệm tổ chức thực hiện chấm điểm hồ sơ thi tuyển và báo cáo kết quả cho Bộ Thông tin và Truyền thông.
2. Tiêu chí chấm điểm, thang điểm và nguyên tắc chấm điểm quy định tại phương án tổ chức thi tuyển.
3. Bộ Thông tin và Truyền thông xác định tổ chức trúng tuyển theo quy định tại phương án tổ chức thi tuyển.
Điều 30. Phê duyệt kết quả trúng tuyển, cấp giấy phép sử dụng băng tần, giấy phép kinh doanh dịch vụ viễn thông
Theo quy định tại Mục XXIV Phần B Phụ lục II Nghị quyết 20/2026/NQ-CP: Đơn giản hóa thủ tục cấp giấy phép cung cấp dịch vụ viễn thông có hạ tầng mạng, loại mạng viễn thông công cộng có sử dụng băng tần số vô tuyến điện tại tại Điều 30 Nghị định số 63/2023/NĐ-CP
1. Trong thời hạn 15 ngày kể từ ngày nhận được báo cáo kết quả chấm điểm của Hội đồng đánh giá hồ sơ thi tuyển, Bộ trưởng Bộ Thông tin và Truyền thông ra Quyết định phê duyệt kết quả trúng tuyển.
Quyết định phê duyệt kết quả trúng tuyển bao gồm các thông tin về tổ chức trúng tuyển, khối băng tần trúng tuyển, thời hạn được phép sử dụng, số tiền cấp quyền sử dụng tần số vô tuyến điện, phương thức nộp tiền cấp quyền sử dụng tần số vô tuyến điện và thông tin yêu cầu tổ chức nộp đầy đủ, đúng hạn tiền cấp quyền sử dụng tần số vô tuyến điện để được cấp giấy phép kinh doanh dịch vụ viễn thông, giấy phép sử dụng băng tần.
2. Kết thúc cuộc thi tuyển, Bộ Thông tin và Truyền thông thông báo công khai thông tin về cuộc thi tuyển trên cổng thông tin điện tử của Bộ Thông tin và Truyền thông.
3. Trong thời hạn 03 ngày làm việc kể từ ngày phê duyệt kết quả trúng tuyển, Bộ Thông tin và Truyền thông (cơ quan cấp giấy phép sử dụng tần số vô tuyến điện, Cục Viễn thông) thông báo cho tổ chức trúng tuyển mức thu tiền cấp quyền sử dụng tần số vô tuyến điện, lệ phí, phí sử dụng tần số vô tuyến điện, lệ phí, phí cấp phép hoạt động viễn thông, phí quyền hoạt động viễn thông để được cấp giấy phép kinh doanh dịch vụ viễn thông và giấy phép sử dụng băng tần.
Theo quy định tại Mục XXVI Phần B Phụ lục II Nghị quyết 20/2026/NQ-CP: Đơn giản hóa thủ tục cấp lại giấy phép cung cấp dịch vụ viễn thông có hạ tầng mạng, loại mạng viễn thông sử dụng băng tần số vô tuyến điện quy định tại khoản 3, khoản 4 Điều 30 Nghị định 63/2023/NĐ-CP
4. Trong thời hạn 20 ngày kể từ ngày kết thúc thời hạn nộp tiền cấp quyền sử dụng tần số vô tuyến điện theo quy định tại điểm a khoản 3 Điều 54 Nghị định này, tổ chức đã nộp đủ các khoản tiền quy định tại khoản 3 Điều này được cấp giấy phép kinh doanh dịch vụ viễn thông và giấy phép sử dụng băng tần.
Điều 31. Hủy kết quả thi tuyển
Bộ trưởng Bộ Thông tin và Truyền thông hủy Quyết định phê duyệt kết quả trúng tuyển của tổ chức trong các trường hợp sau:
1. Có bằng chứng về việc đưa, nhận, môi giới hối lộ, thông đồng, gian lận, lợi dụng chức vụ, quyền hạn để can thiệp trái pháp luật vào hoạt động thi tuyển.
2. Tổ chức trúng tuyển không nộp đầy đủ, đúng hạn các khoản tài chính quy định tại khoản 3 Điều 30 Nghị định này.
Mục 8
CẤP TRỰC TIẾP GIẤY PHÉP SỬ DỤNG BĂNG TẦN
Điều 32. Hồ sơ, trình tự, thủ tục giải quyết đề nghị cấp trực tiếp giấy phép sử dụng băng tần
1. Hồ sơ đề nghị cấp trực tiếp giấy phép sử dụng băng tần gồm:
a) Bản khai theo Mẫu 2 quy định tại Phụ lục II ban hành kèm theo Nghị định này;
b) Bản sao hợp pháp hoặc bản sao điện tử hợp pháp Quyết định của Thủ tướng Chính phủ phê duyệt Đề án sử dụng băng tần để phát triển kinh tế kết hợp với nhiệm vụ quốc phòng, an ninh đối với trường hợp cấp giấy phép theo quy định tại điểm d khoản 4 Điều 18 Luật Tần số vô tuyến điện được sửa đổi, bổ sung tại khoản 6 Điều 1 Luật sửa đổi, bổ sung một số điều của Luật Tần số vô tuyến điện.
2. Trình tự, thủ tục giải quyết hồ sơ đề nghị cấp trực tiếp giấy phép sử dụng băng tần
a) Tổ chức nộp 01 bộ hồ sơ đề nghị cấp trực tiếp giấy phép sử dụng băng tần đến cơ quan cấp giấy phép sử dụng tần số vô tuyến điện;
b) Cơ quan cấp giấy phép sử dụng tần số vô tuyến điện tiếp nhận, kiểm tra hồ sơ. Trường hợp hồ sơ chưa đầy đủ, chưa đúng quy định về thành phần hồ sơ thì trong thời hạn 05 ngày làm việc kể từ ngày nhận được hồ sơ, cơ quan cấp giấy phép sử dụng tần số vô tuyến điện thông báo, hướng dẫn tổ chức bổ sung, hoàn thiện hồ sơ; trong thời hạn 05 ngày làm việc kể từ ngày nhận được văn bản thông báo, tổ chức phải hoàn thiện và nộp đủ hồ sơ theo quy định;
c) Trong thời hạn 55 ngày , kể từ ngày nhận đủ hồ sơ hợp lệ, cơ quan cấp giấy phép sử dụng tần số vô tuyến điện cấp giấy phép theo mẫu quy định tại Phụ lục III ban hành kèm theo Nghị định này hoặc từ chối cấp giấy phép và nêu rõ lý do.
Điều 33. Hồ sơ, trình tự, thủ tục giải quyết đề nghị cấp trực tiếp giấy phép sử dụng băng tần trong trường hợp cấp lại
1. Điều kiện để được cấp giấy phép kinh doanh dịch vụ viễn thông sử dụng băng tần được cấp lại giấy phép sử dụng băng tần như sau:
a) Đáp ứng điều kiện cấp, sửa đổi, bổ sung giấy phép kinh doanh dịch vụ viễn thông theo quy định của pháp luật về viễn thông;
b) Kế hoạch kinh doanh, kế hoạch kỹ thuật sử dụng băng tần được cấp lại xây dựng chung cho các hoạt động kinh doanh dịch vụ viễn thông tại giấy phép kinh doanh dịch vụ viễn thông và phù hợp với yêu cầu cam kết triển khai mạng viễn thông của băng tần được cấp lại;
c) Cam kết đáp ứng điều kiện triển khai mạng viễn thông đối với băng tần được cấp lại giấy phép sử dụng băng tần.
2. Muộn nhất 12 tháng trước ngày giấy phép sử dụng băng tần hết hiệu lực, Bộ Thông tin và Truyền thông thông báo về thời hạn giấy phép sử dụng băng tần được cấp lại, yêu cầu cam kết triển khai mạng viễn thông đối với băng tần được cấp lại.
Nội dung yêu cầu cam kết triển khai mạng viễn thông phải phù hợp với yêu cầu phát triển viễn thông từng thời kỳ theo quy hoạch phát triển viễn thông quốc gia, hài hòa lợi ích của nhà nước, người dân và doanh nghiệp. Trường hợp cam kết triển khai mạng viễn thông đối với băng tần được cấp lại yêu cầu ngừng công nghệ đang triển khai thì thời hạn tổ chức được phép duy trì công nghệ đang triển khai tối thiểu là 03 năm kể từ ngày giấy phép sử dụng băng tần cấp cho băng tần được cấp lại có hiệu lực.
3. Trong thời hạn 30 ngày trước ngày giấy phép sử dụng băng tần còn hiệu lực 06 tháng, tổ chức có nhu cầu được cấp lại giấy phép sử dụng băng tần phải nộp 02 bộ hồ sơ đến cơ quan có thẩm quyền theo quy định như sau:
a) Nộp 01 bộ hồ sơ đến cơ quan cấp giấy phép sử dụng tần số vô tuyến điện gồm: Bản khai theo Mẫu 2 quy định tại Phụ lục II ban hành kèm theo Nghị định này;
b) Nộp 01 bộ hồ sơ đến Bộ Thông tin và Truyền thông (Cục Viễn thông) gồm: Hồ sơ đề nghị cấp giấy phép kinh doanh dịch vụ viễn thông đối với băng tần đề nghị cấp lại giấy phép sử dụng băng tần theo quy định tại khoản 4 Điều này.
Theo quy định tại Mục XXVI Phần B Phụ lục II Nghị quyết 20/2026/NQ-CP: Đơn giản hóa thủ tục cấp lại giấy phép cung cấp dịch vụ viễn thông có hạ tầng mạng, loại mạng viễn thông sử dụng băng tần số vô tuyến điện quy định tại điểm b khoản 3 Điều 33 Nghị định 63/2023/NĐ-CP
4. Hồ sơ đề nghị cấp giấy phép kinh doanh dịch vụ viễn thông
a) Đối với tổ chức đã được cấp phép kinh doanh dịch vụ viễn thông, hồ sơ bao gồm:
a1) Hồ sơ đề nghị sửa đổi, bổ sung giấy phép thiết lập mạng viễn thông công cộng, giấy phép cung cấp dịch vụ viễn thông sử dụng băng tần do thay đổi nhu cầu sử dụng tài nguyên viễn thông đã được cấp phép bao gồm:
Đơn đề nghị sửa đổi, bổ sung giấy phép kinh doanh dịch vụ viễn thông theo quy định của pháp luật về viễn thông;
Báo cáo tình hình thực hiện giấy phép kể từ ngày được cấp giấy phép đến ngày nộp hồ sơ đề nghị sửa đổi, bổ sung giấy phép theo quy định của pháp luật về viễn thông;
Kế hoạch kinh doanh và kế hoạch kỹ thuật sửa đổi, bổ sung phù hợp với tài nguyên viễn thông thay đổi theo quy định của pháp luật về viễn thông;
a2) Bản cam kết triển khai mạng viễn thông theo mẫu tại Phụ lục IV ban hành kèm theo Nghị định này;
b) Đối với doanh nghiệp không thuộc trường hợp quy định tại điểm a khoản này, hồ sơ bao gồm:
b1) Hồ sơ đề nghị cấp mới giấy phép thiết lập mạng viễn thông công cộng, giấy phép cung cấp dịch vụ viễn thông sử dụng băng tần theo quy định của pháp luật về viễn thông;
b2) Bản cam kết triển khai mạng viễn thông theo mẫu tại Phụ lục IV ban hành kèm theo Nghị định này.
5. Thời hạn giải quyết hồ sơ:
a) Trong thời hạn 05 ngày làm việc kể từ ngày nhận được hồ sơ, Bộ Thông tin và Truyền thông (cơ quan cấp giấy phép sử dụng tần số vô tuyến điện, Cục Viễn thông) có văn bản thông báo cho tổ chức biết về hồ sơ không hợp lệ. Trong thời hạn 05 ngày làm việc kể từ ngày nhận được văn bản thông báo, tổ chức phải hoàn thiện và nộp đủ hồ sơ hợp lệ theo quy định;
b) Chậm nhất 90 ngày trước ngày giấy phép sử dụng băng tần hết hạn, Bộ Thông tin và Truyền thông thông báo cho tổ chức về việc đủ điều kiện xét cấp lại giấy phép sử dụng băng tần, trường hợp không đủ điều kiện cấp lại thì phải nêu rõ lý do; Bộ Thông tin và Truyền thông (cơ quan cấp giấy phép sử dụng tần số vô tuyến điện, Cục Viễn thông) thông báo cho tổ chức đủ điều kiện xét cấp lại giấy phép sử dụng băng tần về mức thu tiền cấp quyền sử dụng tần số vô tuyến điện, lệ phí, phí sử dụng tần số vô tuyến điện, lệ phí, phí cấp phép hoạt động viễn thông, phí quyền hoạt động viễn thông phải nộp để được cấp giấy phép kinh doanh dịch vụ viễn thông và giấy phép sử dụng băng tần;
c) Chậm nhất 30 ngày trước ngày giấy phép sử dụng băng tần đã cấp hết hiệu lực, tổ chức đã nộp đủ các khoản tiền quy định tại điểm b khoản này được cấp giấy phép kinh doanh dịch vụ viễn thông, giấy phép sử dụng băng tần.
Mục 9
CẤP ĐỔI, GIA HẠN, SỬA ĐỔI, BỔ SUNG NỘI DUNG
GIẤY PHÉP SỬ DỤNG BĂNG TẦN
Điều 34. Hồ sơ, trình tự, thủ tục đề nghị cấp đổi, sửa đổi, bổ sung nội dung giấy phép sử dụng băng tần
1. Hồ sơ đề nghị cấp đổi giấy phép gồm:
Bản khai theo Mẫu 2 quy định tại Phụ lục II ban hành kèm theo Nghị định này.
2. Hồ sơ đề nghị sửa đổi, bổ sung nội dung giấy phép gồm:
Bản khai theo Mẫu 2 quy định tại Phụ lục II ban hành kèm theo Nghị định này.
Bản sao hợp pháp hoặc bản sao điện tử hợp pháp Quyết định của Thủ tướng Chính phủ về việc điều chỉnh Đề án sử dụng băng tần để phát triển kinh tế kết hợp với nhiệm vụ quốc phòng, an ninh đối với trường hợp đề nghị sửa đổi, bổ sung nội dung giấy phép được cấp theo quy định tại điểm d khoản 4 Điều 18 Luật Tần số vô tuyến điện được sửa đổi, bổ sung tại khoản 6 Điều 1 Luật sửa đổi, bổ sung một số điều của Luật Tần số vô tuyến điện (đối với trường hợp có điều chỉnh Đề án).
3. Trình tự, thủ tục giải quyết hồ sơ đề nghị cấp đổi, sửa đổi, bổ sung nội dung giấy phép sử dụng băng tần
a) Tổ chức nộp 01 bộ hồ sơ đề nghị cấp đổi, sửa đổi, bổ sung nội dung giấy phép sử dụng băng tần đến cơ quan cấp giấy phép sử dụng tần số vô tuyến điện;
b) Cơ quan cấp giấy phép sử dụng tần số vô tuyến điện tiếp nhận, kiểm tra hồ sơ. Trường hợp hồ sơ chưa đầy đủ, chưa đúng quy định về thành phần hồ sơ thì trong thời hạn 05 ngày làm việc kể từ ngày nhận được hồ sơ, cơ quan cấp giấy phép sử dụng tần số vô tuyến điện thông báo, hướng dẫn tổ chức, cá nhân bổ sung, hoàn thiện hồ sơ; trong thời hạn 05 ngày làm việc kể từ ngày nhận được thông báo, tổ chức phải hoàn thiện và nộp đủ hồ sơ theo quy định;
c) Trong thời hạn 14 ngày đối với cấp đổi giấy phép, 55 ngày đối với sửa đổi, bổ sung nội dung giấy phép, kể từ ngày nhận đủ hồ sơ hợp lệ, cơ quan cấp giấy phép sử dụng tần số vô tuyến điện cấp giấy phép theo mẫu quy định tại Phụ lục III ban hành kèm theo Nghị định này hoặc từ chối cấp giấy phép và nêu rõ lý do.
Điều 35. Hồ sơ, trình tự, thủ tục giải quyết đề nghị gia hạn giấy phép sử dụng băng tần
1. Hồ sơ đề nghị gia hạn giấy phép gồm:
a) Bản khai theo Mẫu 2 quy định tại Phụ lục II ban hành kèm theo Nghị định này;
b) Bản sao hợp pháp hoặc bản sao điện tử hợp pháp Quyết định của Thủ tướng Chính phủ phê duyệt về việc tiếp tục thực hiện Đề án đối với trường hợp đề nghị gia hạn giấy phép được cấp theo quy định tại điểm d khoản 4 Điều 18 Luật Tần số vô tuyến điện được sửa đổi, bổ sung tại khoản 6 Điều 1 Luật sửa đổi, bổ sung một số điều của Luật Tần số vô tuyến điện.
2. Trình tự, thủ tục giải quyết đề nghị gia hạn giấy phép
a) Trong thời hạn 05 ngày làm việc kể từ ngày nhận được hồ sơ, cơ quan cấp giấy phép sử dụng tần số vô tuyến điện có văn bản thông báo cho tổ chức biết về hồ sơ không hợp lệ. Trong thời hạn 05 ngày làm việc kể từ ngày nhận được văn bản thông báo, tổ chức phải hoàn thiện và nộp đủ hồ sơ theo quy định;
b) Chậm nhất 45 ngày trước ngày giấy phép sử dụng băng tần hết hạn, cơ quan cấp giấy phép sử dụng tần số vô tuyến điện thông báo cho tổ chức đủ điều kiện xét gia hạn mức thu tiền cấp quyền sử dụng tần số vô tuyến điện, lệ phí, phí sử dụng tần số vô tuyến điện phải nộp, trường hợp không đủ điều kiện xét gia hạn thì phải nêu rõ lý do;
c) Trước khi giấy phép hết hạn, tổ chức đã nộp đủ các khoản tiền quy định tại điểm b khoản này được gia hạn giấy phép theo mẫu quy định tại Phụ lục III ban hành kèm theo Nghị định này.
Mục 10
XÂY DỰNG, PHÊ DUYỆT ĐỀ ÁN SỬ DỤNG BĂNG TẦN
ĐỂ PHÁT TRIỂN KINH TẾ KẾT HỢP VỚI NHIỆM VỤ
QUỐC PHÒNG, AN NINH
Điều 36. Đề án sử dụng băng tần để phát triển kinh tế kết hợp với nhiệm vụ quốc phòng, an ninh
1. Nội dung Đề án sử dụng băng tần để phát triển kinh tế kết hợp với nhiệm vụ quốc phòng, an ninh gồm các nội dung chính sau:
a) Sự cần thiết, mục đích, yêu cầu của Đề án;
b) Xác định cụ thể nhiệm vụ quốc phòng, an ninh giao cho doanh nghiệp nhà nước trực tiếp phục vụ quốc phòng, an ninh theo quy định của pháp luật về doanh nghiệp thực hiện; sự cần thiết phải sử dụng mạng viễn thông công cộng mặt đất để phục vụ nhiệm vụ quốc phòng, an ninh;
c) Thiết kế kỹ thuật mạng viễn thông công cộng mặt đất, phương án khai thác mạng, phương án khai thác băng tần phải đảm bảo lượng tần số vô tuyến điện phục vụ nhiệm vụ quốc phòng, an ninh chiếm tỷ lệ tối thiểu 51% trên tổng lượng tần số vô tuyến điện đề nghị cấp phép;
d) Phương án kinh doanh, vận hành, tài chính, tổ chức bộ máy và nhân sự;
đ) Phương án thực hiện nhiệm vụ quốc phòng, an ninh;
e) Phương án bảo đảm an ninh mạng, an toàn thông tin, bảo vệ bí mật nhà nước;
g) Phương án phòng cháy và chữa cháy, dự phòng thảm họa và bảo đảm vận hành ổn định, thông suốt dịch vụ.
2. Bộ Thông tin và Truyền thông, Bộ Quốc phòng (trong trường hợp Bộ Công an là đơn vị chủ trì Đề án), Bộ Công an (trong trường hợp Bộ Quốc phòng là đơn vị chủ trì Đề án) trong phạm vi chức năng, nhiệm vụ được giao có trách nhiệm cho ý kiến về nội dung Đề án trước khi Thủ tướng Chính phủ phê duyệt.
3. Bộ chủ trì xây dựng Đề án có trách nhiệm tổng hợp, giải trình, tiếp thu, hoàn thiện Đề án và trình Thủ tướng Chính phủ xem xét ra quyết định phê duyệt Đề án.
4. Trong quá trình thực hiện Đề án, nếu cần điều chỉnh tỷ lệ tần số vô tuyến điện phục vụ nhiệm vụ quốc phòng, an ninh khác với tỷ lệ đã được Thủ tướng Chính phủ phê duyệt, Bộ chủ trì xây dựng Đề án báo cáo Thủ tướng Chính phủ để xem xét ra quyết định nhưng phải đảm bảo lượng tần số vô tuyến điện phục vụ nhiệm vụ quốc phòng, an ninh chiếm tỷ lệ tối thiểu theo quy định tại điểm c khoản 1 Điều này.
Điều 37. Đánh giá việc thực hiện Đề án sử dụng băng tần để phát triển kinh tế kết hợp với nhiệm vụ quốc phòng, an ninh
1. Trước khi giấy phép hết thời hạn 03 tháng, Bộ Quốc phòng, Bộ Công an tổ chức đánh giá hiệu quả việc sử dụng băng tần đã cấp, báo cáo Thủ tướng Chính phủ xem xét, quyết định dừng hoặc tiếp tục thực hiện Đề án. Nội dung đánh giá gồm:
a) Kết quả triển khai các công tác bảo đảm an ninh quốc gia, trật tự, an toàn xã hội trên băng tần được cấp phép theo Đề án;
b) Kết quả triển khai phương án kỹ thuật, phương án kinh doanh khả thi phù hợp với Đề án;
c) Biện pháp bảo đảm an toàn cơ sở hạ tầng viễn thông và an ninh mạng;
d) Kết quả thực hiện phương án tài chính, tổ chức bộ máy và nhân sự phù hợp với Đề án;
đ) Phương hướng, công tác trọng tâm triển khai Đề án và kiến nghị, đề xuất Thủ tướng Chính phủ.
2. Trường hợp Thủ tướng Chính phủ ra quyết định tiếp tục thực hiện Đề án, doanh nghiệp có trách nhiệm nộp hồ sơ đề nghị gia hạn giấy phép sử dụng băng tần theo quy định tại khoản 1 Điều 35 Nghị định này.
Mục 11
THU HỒI GIẤY PHÉP SỬ DỤNG TẦN SỐ VÔ TUYẾN ĐIỆN
Điều 38. Thu hồi giấy phép sử dụng tần số vô tuyến điện
1. Căn cứ thu hồi giấy phép sử dụng tần số vô tuyến điện theo quy định tại khoản 1 Điều 23 Luật Tần số vô tuyến điện được sửa đổi, bổ sung tại điểm a khoản 10 Điều 1 Luật sửa đổi, bổ sung một số điều của Luật Tần số vô tuyến điện:
a) Quyết định của tòa án hoặc cơ quan nhà nước có thẩm quyền đối với các trường hợp quy định tại các điểm a và b khoản 1 Điều 23 Luật Tần số vô tuyến điện;
b) Kết luận thanh tra, kiểm tra tần số vô tuyến điện hoặc quyết định của tòa án đối với các trường hợp quy định tại các điểm c và d khoản 1 Điều 23 Luật Tần số vô tuyến điện, các điểm e và h khoản 1 Điều 23 Luật Tần số vô tuyến điện được sửa đổi, bổ sung tại điểm a khoản 10 Điều 1 Luật sửa đổi, bổ sung một số điều của Luật Tần số vô tuyến điện;
c) Xác nhận của cơ quan thu phí sử dụng tần số vô tuyến điện, tiền cấp quyền sử dụng tần số vô tuyến điện đối với trường hợp quy định tại điểm đ khoản 1 Điều 23 Luật Tần số vô tuyến điện được sửa đổi, bổ sung tại điểm a khoản 10 Điều 1 Luật sửa đổi, bổ sung một số điều của Luật Tần số vô tuyến điện;
d) Quyết định thu hồi giấy phép viễn thông, giấy phép hoạt động báo chí hoặc quyền phát sóng phát thanh, truyền hình tương ứng đối với trường hợp quy định tại điểm g khoản 1 Điều 23 Luật Tần số vô tuyến điện được sửa đổi, bổ sung tại điểm a khoản 10 Điều 1 Luật sửa đổi, bổ sung một số điều của Luật Tần số vô tuyến điện.
2. Thẩm quyền thu hồi giấy phép: cơ quan đã cấp giấy phép có trách nhiệm thu hồi giấy phép khi có đủ các căn cứ quy định tại khoản 1 Điều này.
3. Thủ tục thu hồi giấy phép được thực hiện như sau:
a) Trong thời hạn 30 ngày, kể từ ngày có đủ căn cứ theo quy định tại khoản 1 Điều này, cơ quan có thẩm quyền ban hành quyết định thu hồi giấy phép sử dụng tần số vô tuyến điện;
b) Cơ quan có thẩm quyền thu hồi giấy phép sử dụng tần số vô tuyến điện có trách nhiệm gửi Quyết định thu hồi giấy phép sử dụng tần số vô tuyến điện cho tổ chức, cá nhân bị thu hồi và công bố công khai trên cổng thông tin điện tử của cơ quan cấp giấy phép sử dụng tần số vô tuyến điện.
4. Tổ chức, cá nhân có trách nhiệm nộp lại bản chính giấy phép sử dụng tần số vô tuyến điện (nếu có) trong thời hạn 15 ngày kể từ ngày nhận được Quyết định thu hồi giấy phép sử dụng tần số vô tuyến điện của cơ quan cấp giấy phép sử dụng tần số vô tuyến điện.
5. Việc xác định thời điểm giấy phép sử dụng tần số vô tuyến điện hết hiệu lực tại Quyết định thu hồi giấy phép sử dụng tần số vô tuyến điện phải phù hợp với các quy định của pháp luật về viễn thông khi việc thu hồi giấy phép sử dụng tần số vô tuyến điện dẫn đến việc phải thu hồi giấy phép cung cấp dịch vụ viễn thông tương ứng.
Mục 12
ĐÌNH CHỈ MỘT PHẦN QUYỀN SỬ DỤNG TẦN SỐ VÔ TUYẾN ĐIỆN
Điều 39. Đánh giá việc thực hiện cam kết triển khai mạng viễn thông
1. Kết thúc từng giai đoạn thực hiện cam kết triển khai mạng viễn thông, Bộ Thông tin và Truyền thông ban hành kế hoạch và tổ chức đánh giá việc thực hiện cam kết triển khai mạng viễn thông.
Kế hoạch đánh giá việc thực hiện cam kết triển khai mạng viễn thông phải được ban hành và gửi cho đối tượng bị đánh giá ít nhất 03 tháng trước khi thực hiện.
2. Bộ trưởng Bộ Thông tin và Truyền thông quyết định thành lập Đoàn kiểm tra đánh giá việc thực hiện cam kết triển khai mạng viễn thông. Kế hoạch đánh giá việc thực hiện cam kết triển khai mạng viễn thông của tổ chức gồm những nội dung sau:
a) Đối tượng được đánh giá;
b) Thời gian, giai đoạn thực hiện đánh giá;
c) Phương pháp lựa chọn mẫu để đánh giá;
d) Phương pháp đánh giá, xác định mẫu vi phạm;
đ) Phương pháp đánh giá việc khắc phục vi phạm;
e) Tiến độ triển khai thực hiện kế hoạch;
g) Các nội dung khác có liên quan.
Điều 40. Đình chỉ một phần quyền sử dụng tần số vô tuyến điện
1. Tổ chức bị đình chỉ một phần quyền sử dụng tần số vô tuyến điện đối với băng tần trong trường hợp vi phạm một trong các nội dung cam kết triển khai mạng viễn thông đối với băng tần đó như sau:
a) Tổng số vốn đầu tư vào mạng lưới;
b) Số lượng trạm phát sóng vô tuyến điện phải triển khai;
c) Vùng phủ sóng tính theo dân số hoặc khu vực địa lý.
2. Căn cứ thông báo kết quả kiểm tra xác nhận vi phạm cam kết triển khai mạng viễn thông, Cục trưởng Cục Tần số vô tuyến điện ra quyết định đình chỉ việc sử dụng 50% độ rộng băng tần được cấp giấy phép sử dụng trong thời hạn 12 tháng. Lượng tần số vô tuyến điện bị đình chỉ được tính theo đơn vị MHz (Mê-ga-héc), không lấy chữ số sau chữ số đơn vị.
Hết thời hạn 12 tháng đình chỉ, cơ quan nhà nước có thẩm quyền xem xét đánh giá mức độ khắc phục vi phạm để làm sở cứ cho việc chấm dứt quyết định đình chỉ hoặc ra quyết định thu hồi giấy phép theo quy định tại Điều 38 Nghị định này.
3. Trường hợp tổ chức được cấp phép đã khắc phục vi phạm cam kết triển khai mạng viễn thông trước thời hạn 12 tháng thì thông báo bằng văn bản để được xem xét chấm dứt quyết định đình chỉ một phần quyền sử dụng tần số vô tuyến điện trước thời hạn.
4. Trong thời hạn 15 ngày kể từ ngày tổ chức thông báo đã khắc phục vi phạm theo quy định tại khoản 3 Điều này, Bộ Thông tin và Truyền thông tổ chức đánh giá việc khắc phục vi phạm theo kế hoạch đã được ban hành quy định tại khoản 2 Điều 39 Nghị định này.
Chương III
CHO THUÊ, CHO MƯỢN THIẾT BỊ VÔ TUYẾN ĐIỆN
Điều 41. Quy định về cho thuê, cho mượn đài vô tuyến điện nghiệp dư, thiết bị vô tuyến điện đặt trên phương tiện giao thông
1. Tổ chức, cá nhân là chủ sở hữu tàu biển, phương tiện thủy nội địa, phương tiện nghề cá, chủ sở hữu các phương tiện giao thông khác có trang bị thiết bị vô tuyến điện (trừ đài trái đất) được phép cho tổ chức, cá nhân khác thuê, mượn phương tiện giao thông có trang bị thiết bị vô tuyến điện đã được cấp giấy phép của mình để khai thác.
Tổ chức, cá nhân là chủ sở hữu đài vô tuyến điện nghiệp dư được phép cho tổ chức, cá nhân khác thuê, mượn đài vô tuyến điện nghiệp dư đã được cấp giấy phép của mình để khai thác.
2. Bên cho thuê, cho mượn và bên thuê, bên mượn phải tuân thủ quy định trong giấy phép sử dụng tần số và thiết bị vô tuyến điện, quy định của pháp luật về tần số vô tuyến điện và các quy định khác của pháp luật có liên quan.
3. Bên cho thuê, cho mượn có trách nhiệm kiểm tra, lưu giữ các tài liệu liên quan đến việc cho thuê, cho mượn đài vô tuyến điện nghiệp dư, thiết bị vô tuyến điện đặt trên phương tiện giao thông.
4. Bên cho thuê, cho mượn có trách nhiệm thông báo theo mẫu quy định tại Phụ lục VI ban hành kèm theo Nghị định này cho Cục Tần số vô tuyến điện (Trung tâm Tần số vô tuyến điện khu vực sở tại) về việc cho thuê, cho mượn ít nhất 05 ngày làm việc trước khi bàn giao đài vô tuyến điện nghiệp dư, thiết bị vô tuyến điện đặt trên phương tiện giao thông.
Điều 42. Quy định sử dụng đài vô tuyến điện nghiệp dư được cho thuê, cho mượn
1. Khi sử dụng đài vô tuyến điện nghiệp dư được cho thuê, cho mượn, khai thác viên thuê, mượn đài chỉ được thực hiện liên lạc phù hợp với cấp bậc chứng chỉ vô tuyến điện nghiệp dư của mình và khai thác hạn chế theo quy định tại giấy phép cấp cho đài vô tuyến điện nghiệp dư cho thuê, cho mượn.
2. Khi thuê, mượn đài vô tuyến điện nghiệp dư, khai thác viên vô tuyến điện nghiệp dư phải dùng hô hiệu của đài cho thuê, cho mượn kèm theo sau là hô hiệu hoặc tên của khai thác viên vô tuyến điện nghiệp dư thuê, mượn đài.
3. Bên cho thuê, cho mượn đài vô tuyến điện nghiệp dư phải ghi nhật biên đầy đủ và đảm bảo bên thuê, mượn đài không khai thác vượt quá các giới hạn quy định trong giấy phép cấp cho đài.
Chương IV
SỬ DỤNG CHUNG TẦN SỐ VÔ TUYẾN ĐIỆN
Điều 43. Trường hợp phải sử dụng chung tần số vô tuyến điện
Ngoài các trường hợp phải sử dụng chung tần số vô tuyến điện theo quy định của Liên minh Viễn thông quốc tế, tổ chức, cá nhân sử dụng tần số và thiết bị vô tuyến điện thuộc các trường hợp sau đây phải sử dụng chung tần số vô tuyến điện với tổ chức, cá nhân khác theo các điều kiện ghi trong giấy phép sử dụng tần số và thiết bị vô tuyến điện:
1. Mạng viễn thông dùng riêng sử dụng tần số vô tuyến điện thuộc nghiệp vụ di động mặt đất, sử dụng thiết bị vô tuyến điện có ăng-ten tích hợp và công suất phát sóng vô tuyến điện từ 10w (Oát) trở xuống (không áp dụng với mạng thông tin vô tuyến điện mà việc sử dụng tần số và thiết bị vô tuyến điện có liên quan đến an toàn, tính mạng con người; mạng thông tin vô tuyến điện nội bộ).
2. Đài vô tuyến điện liên lạc với phương tiện nghề cá.
3. Đài bờ (không cung cấp dịch vụ viễn thông).
Điều 44. Quy định sử dụng tần số vô tuyến điện sử dụng chung
1. Tuân thủ nguyên tắc đàm thoại chỉ phục vụ công việc, đúng đối tượng, đúng mục đích sử dụng trong giấy phép.
2. Trước khi phát, phải lắng nghe trên tần số vô tuyến điện dự định phát để đảm bảo tần số này đang rỗi, trừ trường hợp liên quan đến cấp cứu, an toàn tính mạng con người.
3. Phát hô hiệu được quy định trong giấy phép sử dụng tần số và thiết bị vô tuyến điện tại đầu và cuối mỗi cuộc gọi.
4. Thời gian liên lạc ngắn gọn, không vượt quá 05 phút đối với mỗi cuộc đàm thoại.
5. Khuyến khích sử dụng mã hóa hoặc các biện pháp kỹ thuật khác để bảo đảm giữ bí mật thông tin.
Chương V
CHUYỂN NHƯỢNG QUYỀN SỬ DỤNG TẦN SỐ VÔ TUYẾN ĐIỆN
Điều 45. Thủ tục chuyển nhượng
Theo quy định tại Mục XXVIII Phần B Phụ lục II Nghị quyết 20/2026/NQ-CP: Đơn giản hóa thủ tục cho phép chuyển nhượng quyền sử dụng tần số vô tuyến điện tại Điều 45 Nghị định số 63/2023/NĐ-CP
1. Tổ chức đề nghị nhận chuyển nhượng quyền sử dụng tần số vô tuyến điện phải gửi 01 bộ hồ sơ chuyển nhượng đến Bộ Thông tin và Truyền thông (Cục Viễn thông) thông qua một trong các phương thức sau: qua hệ thống dịch vụ công trực tuyến hoặc qua đường bưu chính hoặc nộp trực tiếp.
2. Đối với tổ chức đã có giấy phép kinh doanh dịch vụ viễn thông sử dụng băng tần đề nghị nhận chuyển nhượng, hồ sơ chuyển nhượng gồm các tài liệu sau:
a) Văn bản đề nghị chuyển nhượng có dấu và chữ ký của người đại diện theo pháp luật của tổ chức đề nghị chuyển nhượng;
b) Văn bản thỏa thuận giữa tổ chức đề nghị chuyển nhượng và tổ chức đề nghị nhận chuyển nhượng về bảo đảm quyền và lợi ích hợp pháp của tổ chức, cá nhân chịu ảnh hưởng của việc chuyển nhượng;
c) Cam kết của tổ chức đề nghị nhận chuyển nhượng về việc kế thừa đầy đủ nghĩa vụ của tổ chức chuyển nhượng;
d) Báo cáo tình hình thực hiện giấy phép kinh doanh dịch vụ viễn thông đã được cấp, tình hình thực hiện cam kết triển khai mạng viễn thông sau khi trúng đấu giá của tổ chức đề nghị chuyển nhượng;
đ) Hồ sơ đề nghị sửa đổi, bổ sung giấy phép kinh doanh dịch vụ viễn thông sử dụng băng tần của tổ chức đề nghị nhận chuyển nhượng;
e) Hồ sơ đề nghị sửa đổi, bổ sung giấy phép kinh doanh dịch vụ viễn thông hoặc văn bản đề nghị thu hồi giấy phép kinh doanh dịch vụ viễn thông của tổ chức đề nghị chuyển nhượng.
3. Đối với tổ chức đề nghị nhận chuyển nhượng không thuộc trường hợp quy định tại khoản 2 Điều này, hồ sơ chuyển nhượng bao gồm các tài liệu sau:
a) Văn bản đề nghị chuyển nhượng có dấu và chữ ký của người đại diện theo pháp luật của tổ chức đề nghị chuyển nhượng;
b) Văn bản thỏa thuận giữa tổ chức đề nghị chuyển nhượng và tổ chức đề nghị nhận chuyển nhượng về bảo đảm quyền và lợi ích hợp pháp của tổ chức, cá nhân chịu ảnh hưởng của việc chuyển nhượng;
c) Cam kết của tổ chức đề nghị nhận chuyển nhượng về việc kế thừa đầy đủ nghĩa vụ của tổ chức chuyển nhượng;
d) Hồ sơ đề nghị cấp giấy phép kinh doanh dịch vụ viễn thông có sử dụng băng tần của tổ chức đề nghị nhận chuyển nhượng theo quy định của pháp luật về viễn thông;
đ) Báo cáo tình hình thực hiện giấy phép kinh doanh dịch vụ viễn thông đã được cấp, tình hình thực hiện cam kết triển khai mạng viễn thông sau khi trúng đấu giá của tổ chức đề nghị chuyển nhượng;
e) Hồ sơ đề nghị sửa đổi, bổ sung giấy phép kinh doanh dịch vụ viễn thông hoặc văn bản đề nghị thu hồi giấy phép kinh doanh dịch vụ viễn thông của tổ chức đề nghị chuyển nhượng theo quy định của pháp luật về viễn thông.
4. Thời hạn và quy trình giải quyết hồ sơ:
a) Trong thời hạn 05 ngày làm việc kể từ ngày nhận được hồ sơ, Bộ Thông tin và Truyền thông (Cục Viễn thông) thông báo cho tổ chức về hồ sơ không hợp lệ;
b) Trong thời hạn 45 ngày kể từ ngày nhận được hồ sơ hợp lệ, Bộ Thông tin và Truyền thông xem xét quyết định việc cho phép chuyển nhượng quyền sử dụng tần số vô tuyến điện hoặc từ chối và nêu rõ lý do.
5. Cấp giấy phép viễn thông sau khi chuyển nhượng:
Tổ chức được phép chuyển nhượng quyền sử dụng tần số vô tuyến điện được cấp giấy phép kinh doanh dịch vụ viễn thông sửa đổi, bổ sung hoặc thu hồi giấy phép kinh doanh dịch vụ viễn thông; tổ chức được nhận chuyển nhượng quyền sử dụng tần số vô tuyến điện được cấp giấy phép kinh doanh dịch vụ viễn thông hoặc sửa đổi, bổ sung giấy phép kinh doanh dịch vụ viễn thông theo quy định của pháp luật về viễn thông.
6. Cấp giấy phép sử dụng băng tần sau khi chuyển nhượng:
a) Hồ sơ đề nghị cấp giấy phép sử dụng băng tần gồm: Bản khai theo Mẫu 2 quy định tại Phụ lục II ban hành kèm theo Nghị định này;
b) Tổ chức nộp 01 bộ hồ sơ đề nghị cấp giấy phép sử dụng băng tần đến cơ quan cấp giấy phép sử dụng tần số vô tuyến điện.
Cơ quan cấp giấy phép sử dụng tần số vô tuyến điện tiếp nhận, kiểm tra hồ sơ. Trường hợp hồ sơ chưa đầy đủ, chưa đúng quy định về thành phần hồ sơ thì trong thời hạn 05 ngày làm việc kể từ ngày nhận được hồ sơ, cơ quan cấp giấy phép sử dụng tần số vô tuyến điện thông báo, hướng dẫn tổ chức bổ sung, hoàn thiện hồ sơ.
Trong thời hạn 05 ngày làm việc kể từ ngày nhận đủ hồ sơ hợp lệ, cơ quan cấp giấy phép sử dụng tần số vô tuyến điện cấp giấy phép sử dụng băng tần cho tổ chức đề nghị nhận chuyển nhượng theo mẫu quy định tại Phụ lục III ban hành kèm theo Nghị định này hoặc từ chối cấp giấy phép và nêu rõ lý do.
7. Giấy phép kinh doanh dịch vụ viễn thông, giấy phép sử dụng băng tần chuyển nhượng cấp cho tổ chức đề nghị nhận chuyển nhượng có giá trị hiệu lực tới ngày hết giá trị hiệu lực của giấy phép kinh doanh dịch vụ viễn thông, giấy phép sử dụng băng tần đã cấp cho tổ chức đề nghị chuyển nhượng.
Điều 46. Trách nhiệm của tổ chức đề nghị chuyển nhượng
Tổ chức đề nghị chuyển nhượng quyền sử dụng tần số vô tuyến điện có trách nhiệm sau:
1. Bảo đảm quyền và lợi ích hợp pháp của tổ chức, cá nhân chịu ảnh hưởng của việc chuyển nhượng.
2. Thực hiện các nghĩa vụ tài chính liên quan đến chuyển nhượng quyền sử dụng tần số vô tuyến điện theo quy định của pháp luật.
3. Hoàn thành các nghĩa vụ tài chính về tiền cấp quyền sử dụng tần số vô tuyến điện, lệ phí, phí sử dụng tần số vô tuyến điện.
Điều 47. Trách nhiệm của tổ chức đề nghị nhận chuyển nhượng
Tổ chức đề nghị nhận chuyển nhượng quyền sử dụng tần số vô tuyến điện có trách nhiệm sau:
1. Thực hiện các quyền, trách nhiệm được chuyển nhượng và không được phép tiếp tục chuyển nhượng quyền sử dụng tần số vô tuyến điện được chuyển nhượng cho tổ chức khác.
2. Thực hiện cam kết triển khai mạng viễn thông do bên chuyển nhượng đã cam kết để được cấp giấy phép sử dụng băng tần; thực hiện các điều kiện cấp giấy phép kinh doanh dịch vụ viễn thông, quyền và nghĩa vụ tại giấy phép kinh doanh dịch vụ viễn thông của bên chuyển nhượng.
3. Thực hiện các nghĩa vụ về tài chính liên quan đến chuyển nhượng quyền sử dụng tần số vô tuyến điện theo quy định của pháp luật.
4. Tuân thủ các quy định của pháp luật về viễn thông, tần số vô tuyến điện.
5. Nộp đầy đủ, đúng hạn lệ phí, phí sử dụng tần số vô tuyến điện, lệ phí, phí về viễn thông theo quy định của pháp luật về tần số vô tuyến điện, viễn thông.
Chương VI
TIỀN CẤP QUYỀN SỬ DỤNG TẦN SỐ VÔ TUYẾN ĐIỆN
Điều 48. Phương pháp xác định mức thu cơ sở sử dụng mức thu tiền cấp quyền sử dụng tần số vô tuyến điện đối với băng tần cùng loại của Việt Nam
1. Trường hợp trong khoảng thời gian 12 tháng trở về trước kể từ thời điểm xác định mức thu cơ sở, Việt Nam đã cấp giấy phép sử dụng băng tần cùng loại với băng tần cần xác định mức thu cơ sở thông qua cấp lại giấy phép sử dụng băng tần hoặc gia hạn giấy phép sử dụng băng tần hoặc đấu giá quyền sử dụng tần số vô tuyến điện thì mức thu cơ sở được xác định theo quy định tại khoản 2 Điều này.
2. Mức thu cơ sở được xác định là mức thu tiền cấp quyền sử dụng tần số vô tuyến điện cao nhất (tính cho 01 MHz (Mê-ga-héc) cho 01 năm được phép sử dụng) của băng tần cùng loại được cấp giấy phép sử dụng băng tần thông qua cấp lại, gia hạn hoặc đấu giá trong thời gian 12 tháng trở về trước kể từ thời điểm xác định mức thu cơ sở, đơn vị tính là Đồng Việt Nam/MHz/năm.
Điều 49. Phương pháp xác định mức thu cơ sở sử dụng thông tin về tiền trúng đấu giá băng tần tại các quốc gia và vùng lãnh thổ
Trường hợp không xác định được mức thu cơ sở theo phương pháp quy định tại Điều 48 Nghị định này thì áp dụng phương pháp quy định tại Điều này để xác định mức thu cơ sở.

MTCSmhz là mức thu cơ sở cho 01 MHz (Mê-ga-héc) cho 01 năm được phép sử dụng, đơn vị tính là Đồng Việt Nam/MHz/năm;
N là số lượng mẫu hợp lệ xác định theo quy định tại các khoản 4, 5 và 6 Điều này;
GQĐi là tiền quy đổi từ tiền trúng đấu giá của cuộc đấu giá tại quốc gia hoặc vùng lãnh thổ về Việt Nam tương ứng với mẫu thứ i, đơn vị là Đồng Việt Nam/MHz/năm, được xác định theo quy định tại khoản 2 Điều này.

TGvn là tỷ giá giữa Đồng Việt Nam với Đô la Mỹ mua vào theo hình thức chuyển khoản của Hội sở chính Ngân hàng thương mại cổ phần Ngoại thương Việt Nam tại thời điểm công bố gần nhất trước thời điểm xác định mức thu cơ sở;
M là tổng số tiền trúng đấu giá cho toàn bộ thời gian sử dụng băng tần, được xác định theo khoản 3 Điều này;
BT là tổng độ rộng băng tần tương ứng với tổng số tiền trúng đấu giá M, đơn vị tính là MHz (Mê-ga-héc);
DS là dân số của quốc gia hoặc vùng lãnh thổ tại thời điểm công bố gần nhất trước thời điểm kết quả đấu giá được công bố, đơn vị tính là người;
GP là toàn bộ thời gian được phép sử dụng băng tần, đơn vị tính là năm;
CPIT là chỉ số giá tiêu dùng (CPI) của quốc gia hoặc vùng lãnh thổ tại thời điểm công bố gần nhất trước thời điểm xác định mức thu cơ sở;
CPID là chỉ số giá tiêu dùng (CPI) của quốc gia hoặc vùng lãnh thổ tại thời điểm công bố gần nhất trước thời điểm kết quả đấu giá được công bố;
GDPvn là chỉ số thu nhập bình quân đầu người danh định (GDP/capita) của Việt Nam tại thời điểm công bố gần nhất trước thời điểm xác định mức thu cơ sở, đơn vị tính là Đô la Mỹ;
GDP là chỉ số thu nhập bình quân đầu người danh định (GDP/capita) của quốc gia hoặc vùng lãnh thổ tại thời điểm công bố gần nhất trước thời điểm kết quả đấu giá được công bố, đơn vị tính là Đô la Mỹ;
TG là tỷ giá quy đổi từ đồng tiền sử dụng trong đấu giá của quốc gia hoặc vùng lãnh thổ ra Đô la Mỹ tại thời điểm công bố gần nhất trước thời điểm xác định mức thu cơ sở (TG =1 trong trường hợp đồng tiền sử dụng trong đấu giá là Đô la Mỹ).
3. Tổng số tiền trúng đấu giá M tại khoản 2 Điều này được xác định như sau:
a) Trường hợp cuộc đấu giá tại quốc gia hoặc vùng lãnh thổ công bố tổng số tiền trúng đấu giá cho toàn bộ thời gian sử dụng băng tần và quy định thu tiền trúng đấu giá theo một trong hai phương thức hoặc cả hai phương thức là thu một lần hoặc thu nhiều lần (có quy định lãi suất hoặc tăng số tiền phải nộp cho khoản tiền nộp sau) thì M là tổng số tiền trúng đấu giá cho toàn bộ thời gian sử dụng băng tần đã công bố;

M là tổng số tiền trúng đấu giá được quy đổi về giá trị tại thời điểm công bố kết quả đấu giá, đơn vị tính là đồng tiền sử dụng trong đấu giá của quốc gia hoặc vùng lãnh thổ;
n là số lần nộp tiền trúng đấu giá;
Mi là số tiền nộp trong lần thứ i, đơn vị tính là đồng tiền sử dụng trong đấu giá của quốc gia hoặc vùng lãnh thổ;
r là tỷ số lãi suất trái phiếu Chính phủ cố định của quốc gia hoặc vùng lãnh thổ có kỳ hạn gần nhất với thời hạn cuối cùng nộp tiền trúng đấu giá được lấy tại thời điểm gần nhất trước thời điểm công bố kết quả đấu giá, đơn vị tính là phần trăm/năm;
yi được tính bằng chênh lệch thời gian làm tròn xuống theo năm giữa thời điểm cuối cùng phải nộp tiền lần thứ i với thời điểm kết quả đấu giá được công bố.
4. Nguyên tắc lấy mẫu
a) Chỉ thu thập thông tin các cuộc đấu giá tại quốc gia hoặc vùng lãnh thổ đã kết thúc trước thời điểm xác định mức thu cơ sở;
b) Mỗi cuộc đấu giá được tính là một mẫu;
c) Mẫu hợp lệ là mẫu không bị loại theo phương pháp loại bỏ mẫu dị biệt quy định tại Phụ lục VII ban hành kèm theo Nghị định này;
d) Điều kiện về số lượng mẫu: tổng số mẫu thu thập được phải từ 04 mẫu trở lên và sau khi loại bỏ mẫu dị biệt phải từ 03 mẫu hợp lệ trở lên;
đ) Thu thập các mẫu của băng tần cùng loại với băng tần cần xác định mức thu cơ sở trong khoảng thời gian 07 năm trở về trước kể từ thời điểm xác định mức thu cơ sở, nếu không đáp ứng điều kiện về số lượng mẫu thì thay đổi thời gian thu thập mẫu từ 07 năm thành 10 năm; nếu vẫn không đáp ứng điều kiện về số lượng mẫu thì thu thập thêm mẫu của băng tần tương đồng với băng tần cần xác định mức thu cơ sở trong khoảng thời gian 07 năm trở về trước kể từ thời điểm xác định mức thu cơ sở, nếu vẫn không đáp ứng điều kiện về số lượng mẫu thì thay đổi thời gian thu thập mẫu của băng tần tương đồng từ 07 năm thành 10 năm.
Trường hợp đã thu thập số mẫu của băng tần cùng loại và băng tần tương đồng trong thời gian 10 năm trở về trước kể từ thời điểm xác định mức thu cơ sở mà vẫn không đáp ứng điều kiện về số lượng mẫu thì không áp dụng phương pháp quy định tại Điều này để xác định mức thu cơ sở.
Khi thu thập mẫu của băng tần cùng loại, băng tần tương đồng với băng tần cần xác định mức thu cơ sở thì các cuộc đấu giá băng tần cùng loại, băng tần tương đồng này tại Việt Nam trong khoảng thời gian lấy mẫu cũng được lấy làm mẫu.
5. Việc lựa chọn kết quả cuộc đấu giá để làm mẫu xác định mức thu cơ sở phải đáp ứng các tiêu chí sau:
a) Thời hạn được phép sử dụng băng tần phải từ 10 năm trở lên;
b) Đấu giá băng tần trên phạm vi toàn quốc; không sử dụng thông tin các cuộc đấu giá theo khu vực địa lý.
6. Yêu cầu về việc thu thập số liệu từ quốc gia hoặc vùng lãnh thổ để xác định mức thu cơ sở như sau:
a) Số liệu về số tiền trúng đấu giá, độ rộng băng tần, thời hạn được phép sử dụng băng tần được cấp thông qua đấu giá của quốc gia hoặc vùng lãnh thổ lấy từ kết quả tham vấn cơ quan quản lý nhà nước của quốc gia hoặc vùng lãnh thổ đó hoặc nguồn do cơ quan quản lý nhà nước của quốc gia hoặc vùng lãnh thổ đó công bố; nếu số liệu từ các nguồn khác nhau thì sử dụng kết quả tham vấn cơ quan quản lý nhà nước;
b) Yêu cầu về tham vấn:
Trường hợp có danh sách các quốc gia hoặc vùng lãnh thổ đã tổ chức đấu giá băng tần cần thu thập thông tin do Hiệp hội thông tin di động toàn cầu (GSMA - Global System for Mobile Communications Association) cung cấp thì gửi tham vấn các quốc gia hoặc vùng lãnh thổ mà cơ quan quản lý nhà nước của quốc gia hoặc vùng lãnh thổ đó chưa công bố đủ thông tin về thời điểm công bố kết quả trúng đấu giá, số tiền trúng đấu giá, độ rộng băng tần, thời gian được phép sử dụng băng tần; trường hợp không có danh sách này thì tham vấn tất cả quốc gia hoặc vùng lãnh thổ mà cơ quan quản lý nhà nước của quốc gia hoặc vùng lãnh thổ đó chưa công bố đủ thông tin về thời điểm công bố kết quả trúng đấu giá, số tiền trúng đấu giá, độ rộng băng tần, thời gian được phép sử dụng băng tần.
Trong thời hạn 15 ngày kể từ ngày gửi, nếu không nhận được thông tin trả lời thì được hiểu là không có thông tin tham vấn; việc tham vấn thực hiện qua một trong những phương thức sau: thư điện tử, fax, đường bưu chính hoặc các hình thức khác;
c) Số liệu về dân số, thu nhập bình quân đầu người danh định (GDP/capita) tại các quốc gia hoặc vùng lãnh thổ và Việt Nam được lấy trên trang thông tin điện tử của Ngân hàng Thế giới (World Bank). Trường hợp quốc gia hoặc vùng lãnh thổ nào không có số liệu từ Ngân hàng Thế giới thì lấy số liệu từ cơ quan quản lý nhà nước của quốc gia hoặc vùng lãnh thổ đó;
d) Số liệu về tỷ giá giữa đồng tiền sử dụng trong đấu giá của các quốc gia hoặc vùng lãnh thổ lấy trên trang thông tin điện tử thị trường tài chính Bloomberg; trường hợp không có số liệu từ Bloomberg thì lấy từ trang thông tin điện tử thị trường tài chính X-rates; nếu không có số liệu từ X-rates thì lấy từ trang thông tin điện tử thị trường tài chính khác chuyên cung cấp tỷ giá;
đ) Số liệu về chỉ số giá tiêu dùng (CPI) tại các quốc gia hoặc vùng lãnh thổ lấy từ trang thông tin điện tử của Quỹ tiền tệ Quốc tế (IMF) và lấy giá trị CPI truyền thông (CPI communication); trường hợp không có số liệu về CPI truyền thông thì lấy giá trị CPI chung (CPI all items). Trường hợp quốc gia hoặc vùng lãnh thổ nào không có số liệu từ IMF thì lấy từ cơ quan quản lý nhà nước của quốc gia hoặc vùng lãnh thổ đó;
e) Số liệu về lãi suất trái phiếu Chính phủ được lấy trên trang thông tin điện tử Trading Economics; trường hợp không có số liệu trên trang thông tin điện tử Trading Economics thì lấy từ trang thông tin điện tử Investing; trường hợp không có số liệu trên trang thông tin điện tử Investing thì lấy từ trang thông tin điện tử World Government Bonds; trường hợp không có số liệu trên trang thông tin điện tử World Government Bonds thì lấy từ trang thông tin điện tử Refinitiv (LSEG). Trường hợp không tìm được thông tin trên các trang thông tin điện tử này thì lãi suất tính bằng 0% (không phần trăm).
Điều 50. Xác định mức thu cơ sở trong trường hợp không áp dụng được Điều 48 và Điều 49 Nghị định này
Trường hợp không xác định được mức thu cơ sở theo phương pháp quy định tại các Điều 48 và Điều 49 Nghị định này Bộ Thông tin và Truyền thông được quyền thuê tổ chức tư vấn độc lập trong nước và quốc tế để xác định mức thu cơ sở.
Điều 51. Tổ chức xác định và thẩm quyền quyết định mức thu cơ sở
1. Bộ trưởng Bộ Thông tin và Truyền thông ra quyết định tổ chức xác định mức thu cơ sở; tổ chức xác định mức thu cơ sở và quyết định mức thu cơ sở theo các phương pháp quy định tại Điều 48, Điều 49 hoặc Điều 50 Nghị định này.
2. Trường hợp xác định mức thu cơ sở theo phương pháp quy định tại Điều 49 Nghị định này, Bộ trưởng Bộ Thông tin và Truyền thông quyết định mức thu cơ sở sau khi có kết quả do tổ chức đủ điều kiện hoạt động thẩm định giá xác định. Trường hợp xác định mức thu cơ sở theo phương pháp quy định tại Điều 50 Nghị định này, Bộ trưởng Bộ Thông tin và Truyền thông quyết định mức thu cơ sở sau khi có kết quả do tổ chức tư vấn độc lập xác định.
3. Thời hạn áp dụng mức thu cơ sở tối đa không quá 06 tháng tính từ ngày Quyết định phê duyệt mức thu cơ sở của Bộ trưởng Bộ Thông tin và Truyền thông có hiệu lực đến ngày thông báo mức thu tiền cấp quyền trong trường hợp cấp trực tiếp, cấp lại, gia hạn hoặc đến ngày mở cuộc đấu giá hoặc đến ngày mở hồ sơ thi tuyển.
Điều 52. Mức thu tiền cấp quyền sử dụng tần số vô tuyến điện
1. Mức thu tiền cấp quyền sử dụng tần số vô tuyến điện đối với trường hợp giấy phép sử dụng băng tần được cấp thông qua đấu giá quyền sử dụng tần số vô tuyến điện là số tiền trúng đấu giá.

MT là mức thu tiền cấp quyền sử dụng tần số vô tuyến điện đối với toàn bộ thời gian được phép sử dụng băng tần được cấp thông qua thi tuyển, cấp trực tiếp, cấp lại hoặc gia hạn, đơn vị tính là Đồng Việt Nam;
α = 1 áp dụng đối với trường hợp cấp trực tiếp, cấp lại và gia hạn giấy phép; α = 0,3 áp dụng đối với trường hợp thi tuyển;
MTCSMHZ là mức thu cơ sở của băng tần được cấp phép thông qua thi tuyển, cấp trực tiếp, cấp lại hoặc gia hạn, được quyết định theo quy định tại Điều 51 Nghị định này, đơn vị tính là Đồng Việt Nam/MHz/năm;
Bw là độ rộng băng tần được cấp phép thông qua thi tuyển, cấp trực tiếp, cấp lại hoặc gia hạn, đơn vị tính là MHz (Mê-ga-héc);
T là toàn bộ thời gian được phép sử dụng băng tần được cấp phép thông qua thi tuyển, cấp trực tiếp, cấp lại hoặc gia hạn, đơn vị tính là tháng.

Mn là số tiền cấp quyền sử dụng tần số vô tuyến điện cho năm sử dụng thứ n, đơn vị tính là Đồng Việt Nam;
MTCSMHZ là mức thu cơ sở của băng tần được cấp phép, đơn vị tính là Đồng Việt Nam/MHz/năm. MTCSmhz được quyết định theo quy định tại Điều 51 Nghị định này và được áp dụng để tính tiền cấp quyền sử dụng tần số vô tuyến điện hàng năm cho đến khi hết thời hạn giấy phép cấp lần đầu hoặc gia hạn;
Bw là tổng độ rộng băng tần được cấp phép, đơn vị tính là MHz (Mê-ga-héc);
Canqp là tỷ lệ hàng năm của lượng tần số vô tuyến điện phục vụ nhiệm vụ quốc phòng, an ninh trên tổng lượng tần số vô tuyến điện đề nghị cấp phép, được xác định theo quy định tại Đề án sử dụng băng tần để phát triển kinh tế kết hợp với nhiệm vụ quốc phòng, an ninh được Thủ tướng Chính phủ phê duyệt, đơn vị tính là phần trăm (%);
r là lãi suất danh nghĩa của trái phiếu Chính phủ có kỳ hạn gần nhất với thời hạn của giấy phép sử dụng băng tần, được phát hành gần nhất trước thời điểm cơ quan cấp giấy phép sử dụng tần số vô tuyến điện cấp trực tiếp hoặc gia hạn giấy phép sử dụng băng tần, đơn vị tính là phần trăm/năm; kết quả phát hành trái phiếu Chính phủ được lấy trên trang thông tin điện tử của Kho bạc nhà nước, Bộ Tài chính.
Điều 53. Thu tiền cấp quyền sử dụng tần số vô tuyến điện đối với trường hợp cấp giấy phép sử dụng băng tần thông qua đấu giá
Tổ chức trúng đấu giá quyền sử dụng tần số vô tuyến điện phải nộp tiền cấp quyền sử dụng tần số vô tuyến điện theo quy định sau:
1. Trong thời hạn 03 tháng kể từ ngày Bộ Thông tin và Truyền thông phê duyệt kết quả trúng đấu giá, tổ chức trúng đấu giá phải nộp một lần tối thiểu 50% số tiền cấp quyền sử dụng tần số vô tuyến điện (nếu giấy phép có thời hạn từ 30 tháng trở lên) hoặc nộp một lần toàn bộ số tiền cấp quyền sử dụng tần số vô tuyến điện (nếu giấy phép có thời hạn ít hơn 30 tháng).
2. Trong thời hạn 30 tháng kể từ ngày Bộ Thông tin và Truyền thông phê duyệt kết quả trúng đấu giá, tổ chức trúng đấu giá phải nộp tiếp một lần tối thiểu 50% số tiền cấp quyền sử dụng tần số vô tuyến điện còn lại (nếu giấy phép có thời hạn từ 60 tháng trở lên) hoặc nộp một lần toàn bộ số tiền cấp quyền sử dụng tần số vô tuyến điện còn lại (nếu giấy phép có thời hạn ít hơn 60 tháng), cộng với số tiền lãi tính theo quy định tại khoản 4 Điều này.
3. Trong thời hạn 60 tháng kể từ ngày Bộ Thông tin và Truyền thông phê duyệt kết quả trúng đấu giá, tổ chức trúng đấu giá phải nộp tiếp một lần toàn bộ số tiền cấp quyền sử dụng tần số vô tuyến điện còn lại, cộng với số tiền lãi tính theo quy định tại khoản 4 Điều này.

MTN là số tiền cấp quyền sử dụng tần số vô tuyến điện mà tổ chức trúng đấu giá nộp theo quy định tại khoản 2, khoản 3 Điều này chưa bao gồm tiền lãi, đơn vị tính là Đồng Việt Nam;
t là số ngày tính từ ngày kết thúc thời hạn nộp tiền quy định tại khoản 1 Điều này đến ngày tổ chức trúng đấu giá nộp tiền cấp quyền sử dụng tần số vô tuyến điện theo quy định khoản 2, khoản 3 Điều này;
r là lãi suất danh nghĩa của trái phiếu Chính phủ có kỳ hạn 05 năm (nếu không có kỳ hạn 05 năm thì lấy kỳ hạn gần nhất với kỳ hạn 05 năm) được phát hành gần nhất trước thời điểm Bộ Thông tin và Truyền thông phê duyệt kết quả trúng đấu giá, đơn vị tính là phần trăm/năm; kết quả phát hành trái phiếu Chính phủ được lấy trên trang thông tin điện tử của Kho bạc nhà nước, Bộ Tài chính.
Điều 54. Thu tiền cấp quyền sử dụng tần số vô tuyến điện đối với trường hợp cấp giấy phép sử dụng băng tần thông qua thi tuyển, cấp lại và gia hạn giấy phép sử dụng băng tần
1. Tổ chức trúng tuyển hoặc được cấp lại, gia hạn giấy phép sử dụng băng tần thực hiện nộp tiền cấp quyền sử dụng tần số vô tuyến điện theo phương thức nộp hàng năm trong thời hạn của giấy phép.
Số tiền cấp quyền sử dụng tần số vô tuyến điện tổ chức phải nộp của năm thứ n trong thời hạn giấy phép được xác định như sau:

Mn là số tiền cấp quyền sử dụng tần số vô tuyến điện phải nộp cho năm thứ n, đơn vị tính là Đồng Việt Nam;
MT là mức thu tiền cấp quyền sử dụng tần số vô tuyến điện cho toàn bộ thời gian được phép sử dụng băng tần được xác định theo quy định tại khoản 2 Điều 52 Nghị định này, đơn vị tính là Đồng Việt Nam;
T là toàn bộ thời gian được phép sử dụng băng tần, đơn vị tính là tháng;
t = 12 tháng, trừ trường hợp năm cuối cùng của thời hạn giấy phép không còn đủ thời hạn 12 tháng thì t được xác định bằng cách lấy tổng số ngày có hiệu lực còn lại của giấy phép chia cho 30;
r là lãi suất danh nghĩa của trái phiếu Chính phủ có kỳ hạn gần nhất với thời hạn của giấy phép sử dụng băng tần, được phát hành gần nhất trước thời điểm Bộ Thông tin và Truyền thông phê duyệt kết quả trúng tuyển hoặc thời điểm cơ quan cấp giấy phép sử dụng tần số vô tuyến điện thông báo về mức thu tiền cấp quyền trong trường hợp cấp lại, gia hạn giấy phép sử dụng băng tần, đơn vị tính là phần trăm/năm; kết quả phát hành trái phiếu Chính phủ được lấy trên trang thông tin điện tử của Kho bạc nhà nước, Bộ Tài chính.
3. Phương thức nộp tiền
a) Trong thời hạn 30 ngày kể từ ngày cơ quan cấp giấy phép sử dụng tần số vô tuyến điện thông báo cho tổ chức trúng tuyển hoặc tổ chức đủ điều kiện được xét cấp lại, gia hạn giấy phép sử dụng băng tần về số tiền cấp quyền sử dụng tần số vô tuyến điện phải nộp, tổ chức trúng tuyển hoặc tổ chức đủ điều kiện được xét cấp lại, gia hạn giấy phép phải nộp một lần toàn bộ số tiền cấp quyền sử dụng tần số vô tuyến điện cho năm thứ nhất;
b) Kể từ năm thứ hai của giấy phép trở đi, muộn nhất 45 ngày trước ngày bắt đầu năm tiếp theo của giấy phép, cơ quan cấp giấy phép sử dụng tần số vô tuyến điện thông báo cho tổ chức được cấp giấy phép sử dụng băng tần về số tiền cấp quyền sử dụng tần số vô tuyến điện phải nộp cho năm tiếp theo;
Trong thời hạn 30 ngày kể từ ngày cơ quan cấp giấy phép sử dụng tần số vô tuyến điện ra thông báo số tiền cấp quyền sử dụng tần số vô tuyến điện phải nộp, tổ chức được cấp giấy phép sử dụng băng tần phải nộp một lần toàn bộ số tiền cấp quyền sử dụng tần số vô tuyến điện được thông báo.
Điều 55. Thu tiền cấp quyền sử dụng tần số vô tuyến điện đối với trường hợp cấp trực tiếp, gia hạn giấy phép sử dụng băng tần cho doanh nghiệp nhà nước trực tiếp phục vụ quốc phòng, an ninh; cấp trực tiếp trong tình trạng khẩn cấp
1. Đối với trường hợp cấp trực tiếp giấy phép sử dụng băng tần trong tình trạng khẩn cấp theo quy định tại điểm c khoản 4 Điều 18 Luật Tần số vô tuyến điện được sửa đổi, bổ sung tại khoản 6 Điều 1 Luật sửa đổi, bổ sung một số điều của Luật Tần số vô tuyến điện, tổ chức được xem xét cấp giấy phép sử dụng băng tần trước khi nộp tiền cấp quyền sử dụng tần số vô tuyến điện đối với tần số vô tuyến điện được cấp giấy phép sử dụng trong tình trạng khẩn cấp.
Trong thời gian 09 tháng kể từ ngày cấp giấy phép, cơ quan cấp giấy phép sử dụng tần số vô tuyến điện thông báo cho tổ chức được cấp giấy phép sử dụng băng tần về số tiền cấp quyền sử dụng tần số vô tuyến điện mà tổ chức được cấp giấy phép phải nộp cho toàn bộ thời hạn của giấy phép.
Trong thời hạn 03 tháng kể từ ngày cơ quan cấp giấy phép sử dụng tần số vô tuyến điện ra thông báo, tổ chức được cấp giấy phép sử dụng băng tần phải nộp một lần toàn bộ số tiền cấp quyền sử dụng tần số vô tuyến điện được thông báo.
2. Đối với trường hợp cấp trực tiếp, gia hạn giấy phép sử dụng băng tần cho doanh nghiệp nhà nước trực tiếp phục vụ quốc phòng, an ninh sử dụng băng tần để phát triển kinh tế kết hợp với nhiệm vụ quốc phòng, an ninh theo quy định tại điểm d khoản 4 Điều 18 Luật Tần số vô tuyến điện được sửa đổi, bổ sung tại khoản 6 Điều 1 Luật sửa đổi, bổ sung một số điều của Luật Tần số vô tuyến điện, hàng năm Bộ chủ quản của doanh nghiệp được cấp giấy phép tổ chức xác định và thu tiền cấp quyền sử dụng đối với lượng tần số vô tuyến điện được sử dụng cho phát triển kinh tế.
Trường hợp băng tần được sử dụng để phát triển kinh tế kết hợp với nhiệm vụ quốc phòng, an ninh chưa có mức thu cơ sở hoặc mức thu cơ sở đã hết hiệu lực, Bộ chủ quản của doanh nghiệp được cấp giấy phép đề nghị Bộ Thông tin và Truyền thông xác định mức thu cơ sở theo quy định tại Nghị định này. Việc sử dụng mức thu cơ sở phải bảo đảm thời gian hiệu lực của mức thu cơ sở kể từ ngày Bộ trưởng Bộ Thông tin và Truyền thông phê duyệt đến ngày Bộ chủ quản thông báo cho doanh nghiệp về số tiền phải nộp là không quá 06 tháng.
Điều 56. Thu, nộp, quản lý, sử dụng tiền cấp quyền sử dụng tần số vô tuyến điện
1. Bộ Thông tin và Truyền thông tổ chức thu tiền cấp quyền sử dụng tần số vô tuyến điện đối với các trường hợp quy định tại Điều 53, Điều 54 và khoản 1 Điều 55 Nghị định này vào tài khoản mở tại Kho bạc nhà nước của Bộ Thông tin và Truyền thông hoặc của tổ chức được Bộ Thông tin và Truyền thông giao nhiệm vụ thu tiền cấp quyền sử dụng tần số vô tuyến điện. Bộ Quốc phòng, Bộ Công an tổ chức thu tiền cấp quyền sử dụng tần số vô tuyến điện và nộp vào ngân sách nhà nước đối với các trường hợp quy định tại khoản 2 Điều 55 Nghị định này. Thông báo nộp tiền cấp quyền sử dụng tần số vô tuyến điện quy định tại Phụ lục VIII ban hành kèm theo Nghị định này.
2. Chi phục vụ hoạt động thu cấp quyền sử dụng tần số vô tuyến điện do ngân sách nhà nước bảo đảm theo phân cấp quản lý ngân sách nhà nước hiện hành (trừ trường hợp được quy định tại văn bản của cấp có thẩm quyền).
3. Bộ Thông tin và Truyền thông hoặc tổ chức được Bộ Thông tin và Truyền thông giao nhiệm vụ thu tiền cấp quyền sử dụng tần số vô tuyến điện có trách nhiệm nộp toàn bộ tiền cấp quyền sử dụng tần số vô tuyến điện thu được vào ngân sách nhà nước.
4. Tiền cấp quyền sử dụng tần số vô tuyến điện được tính vào chi phí sản xuất kinh doanh của tổ chức, được trừ khi xác định thu nhập chịu thuế thu nhập doanh nghiệp theo quy định của Luật Thuế thu nhập doanh nghiệp và các văn bản hướng dẫn thi hành.
Chương VII
CHỨNG CHỈ VÔ TUYẾN ĐIỆN VIÊN
Mục 1
CHỨNG CHỈ VÔ TUYẾN ĐIỆN NGHIỆP DƯ
Điều 57. Hệ thống chứng chỉ vô tuyến điện nghiệp dư
1. Hệ thống chứng chỉ vô tuyến điện nghiệp dư gồm:
a) Chứng chỉ vô tuyến điện nghiệp dư cấp một: người có chứng chỉ này được phép khai thác đài vô tuyến điện nghiệp dư trên tất cả các phương thức phát với công suất phát ra ăng-ten không vượt quá 1000W (Oát);
b) Chứng chỉ vô tuyến điện nghiệp dư cấp hai: người có chứng chỉ này được phép khai thác đài vô tuyến điện nghiệp dư trên tất cả các phương thức phát với công suất phát ra ăng-ten không vượt quá 200W (Oát);
c) Chứng chỉ vô tuyến điện nghiệp dư cấp ba: người có chứng chỉ này được phép khai thác đài vô tuyến điện nghiệp dư trên tất cả các phương thức phát với công suất phát ra ăng-ten không vượt quá 50W (Oát);
d) Chứng chỉ vô tuyến điện nghiệp dư cấp bốn: người có chứng chỉ này được phép khai thác đài vô tuyến điện nghiệp dư trên tất cả các phương thức phát (trừ phương thức phát điện báo CW) với công suất phát ra ăng-ten không vượt quá 20W (Oát).
2. Chứng chỉ vô tuyến điện nghiệp dư có giá trị sử dụng cho đến khi bị thu hồi theo quy định tại Nghị định này.
Điều 58. Điều kiện công nhận tổ chức đủ điều kiện cấp chứng chỉ vô tuyến điện nghiệp dư
Tổ chức được công nhận là tổ chức đủ điều kiện cấp chứng chỉ vô tuyến điện nghiệp dư khi đáp ứng các điều kiện sau:
1. Có đài vô tuyến điện nghiệp dư được cấp giấy phép sử dụng tần số vô tuyến điện đảm bảo đáp ứng yêu cầu thi thực hành của người dự thi với loại chứng chỉ vô tuyến điện nghiệp dư tương ứng.
2. Có bộ câu hỏi thi lý thuyết vô tuyến điện nghiệp dư phù hợp với cơ cấu bài thi lý thuyết theo quy định tại Điều 62 Nghị định này.
3. Yêu cầu đối với người tham gia hoạt động tổ chức thi vô tuyến điện nghiệp dư:
a) Tốt nghiệp đại học trở lên một trong các chuyên ngành vô tuyến điện, điện tử, viễn thông hoặc tương đương;
b) Có chứng chỉ vô tuyến điện nghiệp dư cao hơn người dự thi; hoặc
Có chứng chỉ cùng bậc với người dự thi nhưng phải trải qua ít nhất 01 năm khai thác đài vô tuyến điện nghiệp dư kể từ ngày chấm thi trở về trước; hoặc
Đã trải qua ít nhất 01 năm làm nghề điện báo (có khả năng nhận bằng tai và gửi bằng tay các bản tin dưới dạng mã Móc-xơ quốc tế thông qua máy thu phát vô tuyến điện).
Điều 59. Trình tự, thủ tục cấp giấy công nhận tổ chức đủ điều kiện cấp chứng chỉ vô tuyến điện nghiệp dư
1. Hồ sơ đề nghị cấp giấy công nhận tổ chức đủ điều kiện cấp chứng chỉ vô tuyến điện nghiệp dư gồm:
a) Văn bản đề nghị cấp giấy công nhận theo Mẫu 01 quy định tại Phụ lục IX ban hành kèm theo Nghị định này;
b) Bản sao hợp pháp giấy phép hoặc quyết định thành lập tổ chức;
c) Báo cáo thuyết minh đáp ứng yêu cầu quy định tại Điều 58 theo Mẫu 02 quy định tại Phụ lục IX ban hành kèm theo Nghị định này;
d) Bộ câu hỏi thi lý thuyết vô tuyến điện nghiệp dư.
2. Tổ chức nộp 01 bộ hồ sơ đề nghị cấp giấy công nhận tổ chức đủ điều kiện cấp chứng chỉ vô tuyến điện nghiệp dư đến Bộ Thông tin và Truyền thông qua đường bưu chính hoặc nộp hồ sơ trực tiếp tại Bộ Thông tin và Truyền thông.
3. Bộ Thông tin và Truyền thông tiếp nhận, kiểm tra tính hợp lệ của hồ sơ. Trường hợp hồ sơ chưa đầy đủ, chưa đúng quy định về thành phần hồ sơ thì trong thời hạn 05 ngày làm việc kể từ ngày nhận được hồ sơ, Bộ Thông tin và Truyền thông thông báo, hướng dẫn tổ chức bổ sung, hoàn thiện hồ sơ.
4. Trong thời hạn 30 ngày kể từ ngày nhận đủ hồ sơ hợp lệ, Bộ Thông tin và Truyền thông tổ chức đánh giá, xác minh thực tế các điều kiện quy định tại Điều 58 Nghị định này và cấp giấy công nhận tổ chức đủ điều kiện cấp chứng chỉ vô tuyến điện nghiệp dư theo Mẫu 03 quy định tại Phụ lục IX ban hành kèm theo Nghị định này hoặc từ chối cấp giấy công nhận tổ chức đủ điều kiện cấp chứng chỉ vô tuyến điện nghiệp dư và nêu rõ lý do.
Từ ngày 01/7/2025 đến hết ngày 28/02/2027, việc cấp, cấp đổi, thu hồi giấy công nhận tổ chức đủ điều kiện cấp chứng chỉ vô tuyến điện nghiệp dư quy định tại khoản 4 Điều 59 Nghị định số 63/2023/NĐ-CP do Ủy ban nhân dân cấp tỉnh thực hiện, theo quy định tại khoản 1 Điều 32 Nghị định 133/2025/NĐ-CP.
5. Kết quả giải quyết hồ sơ đề nghị cấp giấy công nhận tổ chức đủ điều kiện cấp chứng chỉ vô tuyến điện nghiệp dư được gửi tới tổ chức qua một trong các phương thức sau: trả kết quả qua đường bưu chính hoặc trả trực tiếp tại Bộ Thông tin và Truyền thông.
6. Danh sách các tổ chức được công nhận đủ điều kiện cấp chứng chỉ vô tuyến điện nghiệp dư được công bố trên cổng thông tin điện tử của Bộ Thông tin và Truyền thông.
Điều 60. Trình tự, thủ tục cấp đổi giấy công nhận tổ chức đủ điều kiện cấp chứng chỉ vô tuyến điện nghiệp dư
1. Giấy công nhận tổ chức đủ điều kiện cấp chứng chỉ vô tuyến điện nghiệp dư được cấp đổi trong trường hợp bị mất, bị hư hỏng hoặc có sự thay đổi thông tin về tổ chức.
2. Hồ sơ đề nghị cấp đổi giấy công nhận tổ chức đủ điều kiện cấp chứng chỉ vô tuyến điện nghiệp dư gồm:
a) Văn bản đề nghị cấp đổi giấy công nhận tổ chức đủ điều kiện cấp chứng chỉ vô tuyến điện nghiệp dư theo Mẫu 05 quy định tại Phụ lục IX ban hành kèm theo Nghị định này;
b) Báo cáo về thay đổi thông tin của tổ chức trong trường hợp có sự thay đổi thông tin (có chữ ký của người có thẩm quyền và đóng dấu của tổ chức đề nghị cấp giấy công nhận).
3. Tổ chức nộp 01 bộ hồ sơ đề nghị cấp đổi giấy công nhận tổ chức đủ điều kiện cấp chứng chỉ vô tuyến điện nghiệp dư đến Bộ Thông tin và Truyền thông qua đường bưu chính hoặc nộp hồ sơ trực tiếp tại Bộ Thông tin và Truyền thông.
4. Bộ Thông tin và Truyền thông tiếp nhận, kiểm tra tính hợp lệ của hồ sơ. Trường hợp hồ sơ chưa đầy đủ, chưa đúng quy định về thành phần hồ sơ thì trong thời hạn 05 ngày làm việc kể từ ngày nhận được hồ sơ, Bộ Thông tin và Truyền thông thông báo, hướng dẫn tổ chức bổ sung, hoàn thiện hồ sơ.
5. Trong thời hạn 20 ngày kể từ ngày nhận đủ hồ sơ hợp lệ, Bộ Thông tin và Truyền thông cấp đổi giấy công nhận tổ chức đủ điều kiện cấp chứng chỉ vô tuyến điện nghiệp dư theo Mẫu 04 quy định tại Phụ lục IX ban hành kèm theo Nghị định này hoặc từ chối cấp đổi giấy công nhận tổ chức đủ điều kiện cấp chứng chỉ vô tuyến điện nghiệp dư và nêu rõ lý do.
Từ ngày 01/7/2025 đến hết ngày 28/02/2027, việc cấp, cấp đổi, thu hồi giấy công nhận tổ chức đủ điều kiện cấp chứng chỉ vô tuyến điện nghiệp dư quy định tại khoản 5 Điều 60 Nghị định số 63/2023/NĐ-CP do Ủy ban nhân dân cấp tỉnh thực hiện, theo quy định tại khoản 1 Điều 32 Nghị định 133/2025/NĐ-CP.
6. Kết quả giải quyết hồ sơ đề nghị cấp đổi giấy công nhận tổ chức đủ điều kiện cấp chứng chỉ vô tuyến điện nghiệp dư được gửi tới tổ chức qua một trong các phương thức sau: trả kết quả qua đường bưu chính hoặc trả trực tiếp tại Bộ Thông tin và Truyền thông.
Điều 61. Thu hồi giấy công nhận tổ chức đủ điều kiện cấp chứng chỉ vô tuyến điện nghiệp dư
1. Tổ chức bị thu hồi giấy công nhận tổ chức đủ điều kiện cấp chứng chỉ vô tuyến điện nghiệp dư trong các trường hợp sau:
a) Chấm dứt hoạt động theo quy định của pháp luật hoặc theo đề nghị của tổ chức;
b) Cố ý làm sai lệch thông tin khi thực hiện thủ tục cấp giấy công nhận;
c) Bị thu hồi giấy phép sử dụng tần số vô tuyến điện.
2. Bộ Thông tin và Truyền thông ra quyết định thu hồi giấy công nhận tổ chức đủ điều kiện cấp chứng chỉ vô tuyến điện nghiệp dư và công bố trên cổng thông tin điện tử của Bộ Thông tin và Truyền thông.
Từ ngày 01/7/2025 đến hết ngày 28/02/2027, việc cấp, cấp đổi, thu hồi giấy công nhận tổ chức đủ điều kiện cấp chứng chỉ vô tuyến điện nghiệp dư quy định tại khoản 2 Điều 61 Nghị định số 63/2023/NĐ-CP do Ủy ban nhân dân cấp tỉnh thực hiện, theo quy định tại khoản 1 Điều 32 Nghị định 133/2025/NĐ-CP.
Điều 62. Thi vô tuyến điện nghiệp dư
Cá nhân đề nghị cấp chứng chỉ vô tuyến điện nghiệp dư phải dự thi lý thuyết và thi thực hành vô tuyến điện nghiệp dư tại các tổ chức được công nhận đủ điều kiện cấp chứng chỉ vô tuyến điện nghiệp dư.
1. Thi lý thuyết
Thi lý thuyết để kiểm tra kiến thức của thí sinh. Mỗi bài thi lý thuyết bao gồm một bộ câu hỏi sau:
a) Chứng chỉ vô tuyến điện nghiệp dư cấp một: bài thi gồm 50 câu hỏi, trong đó có 10 câu hỏi về quy định của pháp luật Việt Nam đối với hoạt động vô tuyến điện nghiệp dư, 10 câu hỏi về nghiệp vụ vô tuyến điện nghiệp dư trong Thể lệ vô tuyến điện của Liên minh Viễn thông quốc tế, 15 câu hỏi về kỹ thuật điện, 15 câu hỏi về kỹ thuật vô tuyến điện. Yêu cầu thí sinh phải trả lời đúng ít nhất 40 câu hỏi.
Chỉ những người có chứng chỉ vô tuyến điện nghiệp dư cấp hai và đã thiết lập đài vô tuyến điện nghiệp dư từ 01 năm trở lên mới được thi để được cấp chứng chỉ vô tuyến điện nghiệp dư cấp một;
b) Chứng chỉ vô tuyến điện nghiệp dư cấp hai: bài thi gồm 40 câu hỏi, trong đó có 10 câu hỏi về quy định của pháp luật Việt Nam đối với hoạt động vô tuyến điện nghiệp dư, 10 câu hỏi về nghiệp vụ vô tuyến điện nghiệp dư trong Thể lệ vô tuyến điện của Liên minh Viễn thông quốc tế, 10 câu hỏi về kỹ thuật điện, 10 câu hỏi về kỹ thuật vô tuyến điện. Yêu cầu thí sinh phải trả lời đúng ít nhất 30 câu hỏi;
c) Chứng chỉ vô tuyến điện nghiệp dư cấp ba, cấp bốn: bài thi gồm 35 câu hỏi, trong đó có 10 câu hỏi về quy định của pháp luật Việt Nam đối với hoạt động vô tuyến điện nghiệp dư, 05 câu hỏi về nghiệp vụ vô tuyến điện nghiệp dư trong Thể lệ vô tuyến điện của Liên minh Viễn thông quốc tế, 10 câu hỏi về kỹ thuật điện, 10 câu hỏi về kỹ thuật vô tuyến điện. Yêu cầu thí sinh phải trả lời đúng ít nhất 25 câu hỏi.
2. Thi thực hành
a) Thi thực hành điện báo để kiểm tra khả năng nhận chính xác bằng tai hoặc bằng máy vi tính và gửi chính xác bằng tay hoặc bằng máy vi tính các bản tin dưới dạng mã Móc-xơ quốc tế. Đối với chứng chỉ vô tuyến điện nghiệp dư cấp một yêu cầu tốc độ không thấp hơn 36 từ trong 03 phút; đối với chứng chỉ vô tuyến điện nghiệp dư cấp hai yêu cầu tốc độ không thấp hơn 27 từ trong 03 phút; đối với chứng chỉ vô tuyến điện nghiệp dư cấp ba yêu cầu tốc độ không thấp hơn 15 từ trong 03 phút. Mỗi từ tương đương với 05 ký tự (là các chữ cái trong bảng chữ cái tiếng Anh, các số từ 00 đến 09, các ký hiệu, dấu phẩy, dấu hỏi, gạch ngang và các ký hiệu khác theo quy định tại Thể lệ vô tuyến điện của Liên minh Viễn thông quốc tế);
b) Người có chứng chỉ khai thác viên vô tuyến điện báo đang liên lạc bằng vô tuyến điện báo hoặc đã thôi hành nghề không quá 03 năm được miễn thi thực hành điện báo;
c) Người thi thực hành để cấp chứng chỉ vô tuyến điện nghiệp dư cấp một, cấp hai, cấp ba phải thực hành bốn cuộc liên lạc gồm một cuộc thực hành phát thoại, một cuộc thực hành phát điện báo, một cuộc thực hành dò tìm đài bạn bằng phương thức thoại và một cuộc thực hành dò tìm đài bạn bằng điện báo.
Người thi thực hành để cấp chứng chỉ vô tuyến điện nghiệp dư cấp bốn phải thực hành hai cuộc liên lạc bằng phương thức thoại, không phải thi thực hành điện báo.
3. Thời gian tối đa để hoàn thành cả kỳ thi lý thuyết và kỳ thi thực hành là 12 tháng.
Điều 63. Điều kiện, trình tự, thủ tục thi, cấp chứng chỉ vô tuyến điện nghiệp dư
1. Cá nhân thi đạt lý thuyết và thực hành theo quy định tại Điều 62 Nghị định này đủ điều kiện được cấp chứng chỉ vô tuyến điện nghiệp dư.
2. Hồ sơ đăng ký thi để được cấp chứng chỉ vô tuyến điện nghiệp dư gồm:
a) Đơn đăng ký dự thi vô tuyến điện nghiệp dư và cấp chứng chỉ vô tuyến điện nghiệp dư theo Mẫu 01 quy định tại Phụ lục X ban hành kèm theo Nghị định này;
b) Bản sao hợp pháp Căn cước công dân hoặc Giấy chứng minh nhân dân hoặc Hộ chiếu còn thời hạn;
c) 02 ảnh màu kích thước 03 cm X 04 cm, chụp trong vòng 06 tháng trước ngày nộp hồ sơ, rõ mặt, rõ hai tai, không đội mũ, không trang điểm.
3. Trình tự, thủ tục cấp chứng chỉ vô tuyến điện nghiệp dư
a) Người đăng ký dự thi nộp 01 bộ hồ sơ đăng ký thi để được cấp chứng chỉ vô tuyến điện nghiệp dư đến tổ chức được công nhận đủ điều kiện cấp chứng chỉ vô tuyến điện nghiệp dư qua đường bưu chính hoặc nộp hồ sơ trực tiếp tại tổ chức được công nhận đủ điều kiện cấp chứng chỉ vô tuyến điện nghiệp dư;
b) Tổ chức được công nhận đủ điều kiện cấp chứng chỉ vô tuyến điện nghiệp dư tiếp nhận, kiểm tra tính hợp lệ của hồ sơ. Trường hợp hồ sơ chưa đầy đủ, chưa đúng quy định về thành phần hồ sơ thì trong thời hạn 05 ngày làm việc kể từ ngày nhận được hồ sơ, tổ chức được công nhận đủ điều kiện cấp chứng chỉ vô tuyến điện nghiệp dư thông báo, hướng dẫn người đăng ký dự thi bổ sung, hoàn thiện hồ sơ;
c) Trong thời hạn 14 ngày kể từ ngày kết thúc thi lý thuyết, thi thực hành, tổ chức được công nhận đủ điều kiện cấp chứng chỉ vô tuyến điện nghiệp dư cấp chứng chỉ cho thí sinh thi đạt cả thi lý thuyết và thi thực hành theo mẫu quy định tại Phụ lục X ban hành kèm theo Nghị định này hoặc từ chối cấp chứng chỉ vô tuyến điện nghiệp dư và nêu rõ lý do.
Điều 64. Trình tự, thủ tục cấp đổi chứng chỉ vô tuyến điện nghiệp dư
1. Chứng chỉ vô tuyến điện nghiệp dư được cấp đổi trong các trường hợp bị mất, bị hư hỏng hoặc do thay đổi thông tin cá nhân hợp pháp trên chứng chỉ hoặc thông tin cá nhân trên chứng chỉ không đúng với thông tin trong hồ sơ đề nghị cấp chứng chỉ.
2. Hồ sơ đề nghị cấp đổi chứng chỉ vô tuyến điện nghiệp dư gồm:
a) Đơn đề nghị cấp đổi chứng chỉ vô tuyến điện nghiệp dư theo Mẫu 02 quy định tại Phụ lục X ban hành kèm theo Nghị định này;
b) 02 ảnh màu kích thước 03 cm X 04 cm, chụp trong vòng 06 tháng trước ngày nộp hồ sơ, rõ mặt, rõ hai tai, không đội mũ, không trang điểm;
c) Bản gốc chứng chỉ vô tuyến điện nghiệp dư (áp dụng đối với trường hợp chứng chỉ bị hư hỏng hoặc thay đổi thông tin cá nhân hợp pháp trên chứng chỉ hoặc thông tin cá nhân trên chứng chỉ không đúng với thông tin trong hồ sơ đề nghị cấp chứng chỉ);
d) Giấy tờ chứng minh việc thay đổi thông tin đối với trường hợp thay đổi thông tin cá nhân hợp pháp.
3. Trình tự, thủ tục cấp đổi chứng chỉ vô tuyến điện nghiệp dư
a) Người đề nghị cấp đổi chứng chỉ vô tuyến điện nghiệp dư nộp 01 bộ hồ sơ đề nghị cấp đổi chứng chỉ vô tuyến điện nghiệp dư đến tổ chức được công nhận đủ điều kiện cấp chứng chỉ vô tuyến điện nghiệp dư qua đường bưu chính hoặc nộp hồ sơ trực tiếp tại tổ chức được công nhận đủ điều kiện cấp chứng chỉ vô tuyến điện nghiệp dư;
b) Tổ chức được công nhận đủ điều kiện cấp chứng chỉ vô tuyến điện nghiệp dư tiếp nhận, kiểm tra tính hợp lệ của hồ sơ và đối chiếu với dữ liệu về chứng chỉ vô tuyến điện nghiệp dư đã cấp. Trường hợp hồ sơ chưa đầy đủ, chưa đúng quy định về thành phần hồ sơ thì trong thời hạn 05 ngày làm việc kể từ ngày nhận được hồ sơ, tổ chức được công nhận đủ điều kiện cấp chứng chỉ vô tuyến điện nghiệp dư thông báo, hướng dẫn người đề nghị cấp đổi chứng chỉ vô tuyến điện nghiệp dư bổ sung, hoàn thiện hồ sơ;
c) Trong thời hạn 07 ngày làm việc kể từ ngày nhận đủ hồ sơ hợp lệ, tổ chức được công nhận đủ điều kiện cấp chứng chỉ vô tuyến điện nghiệp dư cấp đổi chứng chỉ theo mẫu quy định tại Phụ lục X ban hành kèm theo Nghị định này hoặc từ chối cấp đổi và nêu rõ lý do.
Điều 65. Thu hồi chứng chỉ vô tuyến điện nghiệp dư
Tổ chức được công nhận đủ điều kiện cấp chứng chỉ vô tuyến điện nghiệp dư thu hồi chứng chỉ vô tuyến điện nghiệp dư trong các trường hợp sau:
1. Giả mạo một trong các thành phần hồ sơ quy định tại khoản 2 Điều 63 và khoản 2 Điều 64 Nghị định này.
2. Tẩy, xoá nội dung chứng chỉ.
3. Cho thuê, cho mượn chứng chỉ hoặc sử dụng sai mục đích.
Điều 66. Công nhận chứng chỉ vô tuyến điện nghiệp dư nước ngoài
Bộ Thông tin và Truyền thông công nhận chứng chỉ vô tuyến điện nghiệp dư nước ngoài trong những trường hợp sau đây:
1. Công nhận chứng chỉ vô tuyến điện nghiệp dư nước ngoài đối với khai thác viên vô tuyến điện nghiệp dư đến từ những nước đã ký thoả thuận công nhận lẫn nhau về hoạt động vô tuyến điện nghiệp dư cấp bộ, cơ quan ngang bộ, cơ quan thuộc Chính phủ với Việt Nam.
2. Công nhận chứng chỉ vô tuyến điện nghiệp dư nước ngoài đối với khai thác viên vô tuyến điện nghiệp dư đến từ những nước chưa ký thoả thuận công nhận lẫn nhau về hoạt động vô tuyến điện nghiệp dư với Việt Nam nếu có xác nhận của tổ chức được công nhận đủ điều kiện cấp chứng chỉ vô tuyến điện nghiệp dư tại bản khai theo Mẫu 1b tại Phụ lục II ban hành kèm theo Nghị định này.
3. Các trường hợp khác do Bộ trưởng Bộ Thông tin và Truyền thông xem xét quyết định.
Mục 2
CHỨNG CHỈ VÔ TUYẾN ĐIỆN VIÊN HÀNG HẢI
Điều 67. Các khóa đào tạo vô tuyến điện viên hàng hải hệ GMDSS và các loại chứng chỉ vô tuyến điện viên hàng hải hệ GMDSS
1. Các khóa đào tạo vô tuyến điện viên hàng hải hệ GMDSS bao gồm: vô tuyến điện viên hàng hải hạng hạn chế, vô tuyến điện viên hàng hải hạng tổng quát, vô tuyến điện viên hàng hải hạng hai, vô tuyến điện viên hàng hải hạng nhất.
2. Các loại chứng chỉ vô tuyến điện viên hàng hải hệ GMDSS:
a) Các loại chứng chỉ vô tuyến điện viên hàng hải hệ GMDSS bao gồm: chứng chỉ vô tuyến điện viên hàng hải hạng hạn chế, chứng chỉ vô tuyến điện viên hàng hải hạng tổng quát, chứng chỉ vô tuyến điện viên hàng hải hạng hai, chứng chỉ vô tuyến điện viên hàng hải hạng nhất;
b) Chứng chỉ vô tuyến điện viên hàng hải có thời hạn 05 năm kể từ ngày cấp.
Điều 68. Điều kiện công nhận tổ chức đủ điều kiện đào tạo, cấp chứng chỉ vô tuyến điện viên hàng hải
1. Yêu cầu về cơ sở vật chất và trang thiết bị giảng dạy gồm:
a) Phòng học tiêu chuẩn có trang thiết bị cần thiết cho việc giảng dạy;
b) Thiết bị thực hành tối thiểu 01 máy cho 04 học viên đối với hệ thống thiết bị đầu cuối mô phỏng, 01 máy cho 02 học viên đối với hệ thống mô phỏng trên máy vi tính;
c) Thiết bị thực hành phải có khả năng mô phỏng các thiết bị sau: máy thu phát MF/HF có trực canh DSC, điện thoại và NBDP; phao EPIRB 406MHz; thiết bị phát đáp tín hiệu ra-đa tìm kiếm cứu nạn SART hoặc thiết bị nhận dạng tự động phát báo tìm kiếm cứu nạn AIS-SART; thiết bị có khả năng thu EGC; núm báo động cấp cứu đối với các thiết bị huấn luyện hoặc thiết bị mô phỏng VHF-DSC, HF/MF-DSC, Inmarsat-C hoặc hệ thống liên lạc vệ tinh quỹ đạo thấp Iridium; máy thu NAVTEX; máy thu phát VHF có chức năng thoại và DSC, kết hợp với máy thu trực canh DSC kênh 70; máy VHF cầm tay hai chiều; Inmarsat-C hoặc hệ thống liên lạc vệ tinh quỹ đạo thấp Iridium; các thiết bị cần thiết khác theo yêu cầu của Công ước quốc tế về An toàn sinh mạng trên biển năm 1974 và các sửa đổi (SOLAS 74 và các sửa đổi).
2. Yêu cầu về tài liệu giảng dạy gồm:
a) Giáo trình vô tuyến điện viên hàng hải đối với mỗi loại hình đào tạo;
b) Giáo trình hướng dẫn khai thác thiết bị GMDSS đối với mỗi loại hình đào tạo;
c) Danh bạ các đài duyên hải (ITU list of Coast Stations, Amiralty list of Radio Signal - vol.1, vol.5 ...);
d) Danh bạ đài tàu (ITU list of Ship Stations);
đ) Danh bạ các đài vô tuyến xác định và các trạm làm nghiệp vụ đặc biệt;
e) Thể lệ vô tuyến điện của Liên minh Viễn thông quốc tế;
g) Sổ tay tìm kiếm cứu nạn hàng không, hàng hải quốc tế (IAMSAR);
h) Tài liệu hướng dẫn ghi nhật ký GMDSS;
i) Tài liệu tham khảo của Tổ chức Hàng hải quốc tế và các tài liệu tham khảo cần thiết khác.
3. Yêu cầu về chương trình đào tạo:
Chương trình và nội dung của các khóa đào tạo phải phù hợp với chương trình mẫu hiện hành của Tổ chức Hàng hải quốc tế.
4. Yêu cầu đối với giảng viên tham gia giảng dạy:
Giảng viên tham gia giảng dạy phải đáp ứng các điều kiện sau:
a) Tốt nghiệp đại học trở lên một trong các chuyên ngành vô tuyến điện, điện tử, viễn thông, điều khiển tàu biển hoặc hàng hải;
b) Có trình độ ngoại ngữ phù hợp với chương trình đào tạo;
c) Có chứng chỉ vô tuyến điện viên hàng hải phù hợp với chương trình đào tạo (chứng chỉ vô tuyến điện viên hàng hải của giáo viên phải có hạng cao hơn hoặc bằng hạng mà giáo viên tham gia giảng dạy) hoặc đã tham gia đào tạo vô tuyến điện viên hàng hải hạng tương đương từ 03 năm trở lên.
5. Yêu cầu về số lượng giảng viên:
Có đủ về số lượng đội ngũ giảng viên đáp ứng yêu cầu của từng chương trình đào tạo, trong đó phải có tối thiểu 50% giảng viên cơ hữu cho từng chương trình đào tạo vô tuyến điện viên hàng hải.
6. Yêu cầu về tỉ lệ học viên/giảng viên: tối đa 25 học viên/giảng viên.
Điều 69. Trình tự, thủ tục cấp giấy công nhận tổ chức đủ điều kiện đào tạo, cấp chứng chỉ vô tuyến điện viên hàng hải
1. Hồ sơ đề nghị cấp giấy công nhận tổ chức đủ điều kiện đào tạo, cấp chứng chỉ vô tuyến điện viên hàng hải bao gồm:
a) Văn bản đề nghị cấp giấy công nhận tổ chức đủ điều kiện đào tạo, cấp chứng chỉ vô tuyến điện viên hàng hải theo Mẫu 07 quy định tại Phụ lục IX ban hành kèm theo Nghị định này;
b) Bản sao hợp pháp giấy phép hoặc quyết định thành lập tổ chức;
c) Báo cáo thuyết minh đáp ứng yêu cầu quy định tại Điều 68 Nghị định này theo Mẫu 08 quy định tại Phụ lục IX ban hành kèm theo Nghị định này;
d) Chương trình đào tạo vô tuyến điện viên hàng hải đã được tổ chức phê duyệt.
2. Tổ chức nộp 01 bộ hồ sơ đề nghị cấp giấy công nhận tổ chức đủ điều kiện đào tạo, cấp chứng chỉ vô tuyến điện viên hàng hải đến Bộ Thông tin và Truyền thông qua đường bưu chính hoặc nộp hồ sơ trực tiếp tại Bộ Thông tin và Truyền thông.
3. Bộ Thông tin và Truyền thông tiếp nhận, kiểm tra tính hợp lệ của hồ sơ. Trường hợp hồ sơ chưa đầy đủ, chưa đúng quy định về thành phần hồ sơ thì trong thời hạn 05 ngày làm việc kể từ ngày nhận được hồ sơ, Bộ Thông tin và Truyền thông thông báo, hướng dẫn tổ chức bổ sung, hoàn thiện hồ sơ.
4. Trong thời hạn 30 ngày kể từ ngày nhận đủ hồ sơ hợp lệ, Bộ Thông tin và Truyền thông tổ chức đánh giá, xác minh thực tế các điều kiện quy định tại Điều 68 Nghị định này và cấp giấy công nhận tổ chức đủ điều kiện đào tạo, cấp chứng chỉ vô tuyến điện viên hàng hải theo Mẫu 09 quy định tại Phụ lục IX ban hành kèm theo Nghị định này hoặc từ chối cấp giấy công nhận tổ chức đủ điều kiện đào tạo, cấp chứng chỉ vô tuyến điện viên hàng hải và nêu rõ lý do.
Từ ngày 01/7/2025 đến hết ngày 28/02/2027, việc cấp, cấp đổi, thu hồi giấy công nhận tổ chức đủ điều kiện đào tạo, cấp chứng chỉ vô tuyến điện viên hàng hải quy định tại khoản 4 Điều 69 Nghị định số 63/2023/NĐ-CP do Ủy ban nhân dân cấp tỉnh thực hiện, theo quy định tại khoản 1 Điều 33 Nghị định 133/2025/NĐ-CP.
5. Kết quả giải quyết hồ sơ đề nghị cấp giấy công nhận tổ chức đủ điều kiện đào tạo, cấp chứng chỉ vô tuyến điện viên hàng hải được gửi tới tổ chức qua một trong các phương thức sau: trả kết quả qua đường bưu chính hoặc trả trực tiếp tại Bộ Thông tin và Truyền thông.
6. Danh sách tổ chức được công nhận đủ điều kiện đào tạo, cấp chứng chỉ vô tuyến điện viên hàng hải được công bố trên cổng thông tin điện tử của Bộ Thông tin và Truyền thông.
Điều 70. Trình tự, thủ tục cấp đổi giấy công nhận tổ chức đủ điều kiện đào tạo, cấp chứng chỉ vô tuyến điện viên hàng hải
1. Giấy công nhận tổ chức đủ điều kiện đào tạo, cấp chứng chỉ vô tuyến điện viên hàng hải được cấp đổi trong trường hợp bị mất, bị hư hỏng hoặc có sự thay đổi thông tin về tổ chức.
2. Hồ sơ đề nghị cấp đổi giấy công nhận tổ chức đủ điều kiện đào tạo, cấp chứng chỉ vô tuyến điện viên hàng hải gồm:
a) Văn bản đề nghị cấp đổi giấy công nhận tổ chức đủ điều kiện đào tạo, cấp chứng chỉ vô tuyến điện hàng hải theo Mẫu 11 quy định tại Phụ lục IX ban hành kèm theo Nghị định này;
b) Báo cáo về thay đổi thông tin của tổ chức đối với trường hợp có sự thay đổi thông tin (có chữ ký của người có thẩm quyền và đóng dấu của tổ chức đề nghị cấp giấy công nhận).
3. Tổ chức nộp 01 bộ hồ sơ đề nghị cấp đổi giấy công nhận tổ chức đủ điều kiện đào tạo, cấp chứng chỉ vô tuyến điện viên hàng hải đến Bộ Thông tin và Truyền thông qua đường bưu chính hoặc nộp hồ sơ trực tiếp tại Bộ Thông tin và Truyền thông.
4. Bộ Thông tin và Truyền thông tiếp nhận, kiểm tra tính hợp lệ của hồ sơ. Trường hợp hồ sơ chưa đầy đủ, chưa đúng quy định về thành phần hồ sơ thì trong thời hạn 05 ngày làm việc kể từ ngày nhận được hồ sơ, Bộ Thông tin và Truyền thông thông báo, hướng dẫn tổ chức bổ sung, hoàn thiện hồ sơ.
5. Trong thời hạn 20 ngày kể từ ngày nhận đủ hồ sơ hợp lệ, Bộ Thông tin và Truyền thông cấp đổi giấy công nhận tổ chức đủ điều kiện đào tạo, cấp chứng chỉ vô tuyến điện viên hàng hải theo Mẫu 10 quy định tại Phụ lục IX ban hành kèm theo Nghị định này hoặc từ chối cấp đổi giấy công nhận tổ chức đủ điều kiện đào tạo, cấp chứng chỉ vô tuyến điện viên hàng hải và nêu rõ lý do.
Từ ngày 01/7/2025 đến hết ngày 28/02/2027, việc cấp, cấp đổi, thu hồi giấy công nhận tổ chức đủ điều kiện đào tạo, cấp chứng chỉ vô tuyến điện viên hàng hải quy định tại khoản 5 Điều 70 Nghị định số 63/2023/NĐ-CP do Ủy ban nhân dân cấp tỉnh thực hiện, theo quy định tại khoản 1 Điều 33 Nghị định 133/2025/NĐ-CP.
6. Kết quả giải quyết hồ sơ đề nghị cấp đổi giấy công nhận tổ chức đủ điều kiện đào tạo, cấp chứng chỉ vô tuyến điện hàng hải được gửi tới tổ chức qua một trong các phương thức sau: trả kết quả qua đường bưu chính hoặc trả trực tiếp tại Bộ Thông tin và Truyền thông.
Điều 71. Thu hồi giấy công nhận tổ chức đủ điều kiện đào tạo, cấp chứng chỉ vô tuyến điện viên hàng hải
1. Tổ chức được công nhận đủ điều kiện đào tạo, cấp chứng chỉ vô tuyến điện viên hàng hải bị thu hồi giấy công nhận trong các trường hợp sau:
a) Chấm dứt hoạt động theo quy định của pháp luật hoặc theo đề nghị của tổ chức;
b) Cố ý làm sai lệch thông tin khi thực hiện thủ tục cấp giấy công nhận;
c) Không duy trì các điều kiện quy định tại khoản 1 và khoản 4 Điều 68 Nghị định này.
2. Bộ Thông tin và Truyền thông ra quyết định thu hồi giấy công nhận tổ chức đủ điều kiện đào tạo, cấp chứng chỉ vô tuyến điện viên hàng hải và thông báo trên cổng thông tin điện tử của Bộ Thông tin và Truyền thông, đồng thời gửi đến các cơ quan liên quan để phối hợp quản lý.
Từ ngày 01/7/2025 đến hết ngày 28/02/2027, việc cấp, cấp đổi, thu hồi giấy công nhận tổ chức đủ điều kiện đào tạo, cấp chứng chỉ vô tuyến điện viên hàng hải quy định tại khoản 2 Điều 71 Nghị định số 63/2023/NĐ-CP do Ủy ban nhân dân cấp tỉnh thực hiện, theo quy định tại khoản 1 Điều 33 Nghị định 133/2025/NĐ-CP.
Điều 72. Hội đồng thi tốt nghiệp
1. Hội đồng thi tốt nghiệp (sau đây gọi là Hội đồng thi) do người đứng đầu tổ chức được công nhận đủ điều kiện đào tạo, cấp chứng chỉ vô tuyến điện viên hàng hải ra quyết định thành lập.
Hội đồng thi gồm có 05 hoặc 07 thành viên gồm: Chủ tịch Hội đồng là người đứng đầu hoặc cấp phó của người đứng đầu của tổ chức được công nhận đủ điều kiện đào tạo, cấp chứng chỉ vô tuyến điện viên hàng hải; ủy viên là các cán bộ của tổ chức được công nhận đủ điều kiện đào tạo, cấp chứng chỉ vô tuyến điện viên hàng hải.
2. Hội đồng thi có nhiệm vụ sau đây:
a) Lập danh sách các học viên tham gia kỳ thi tốt nghiệp;
b) Tổ chức, điều hành, kiểm tra, giám sát kỳ thi theo quy định hiện hành;
c) Xử lý các tình huống xảy ra trong kỳ thi (nếu có);
d) Tổng hợp kết quả kỳ thi, báo cáo người đứng đầu tổ chức được công nhận đủ điều kiện đào tạo, cấp chứng chỉ vô tuyến điện viên hàng hải để cấp chứng chỉ vô tuyến điện viên hàng hải cho học viên tốt nghiệp.
Điều 73. Thi tốt nghiệp và đánh giá kết quả thi tốt nghiệp
1. Học viên tham dự ít nhất 90% thời lượng của khóa học mới được tham gia thi tốt nghiệp. Trường hợp học viên không đảm bảo thời lượng tham dự khóa học nhưng có lý do chính đáng học viên được bảo lưu thời lượng đã học và học tiếp tại khóa học của cùng một tổ chức được công nhận đủ điều kiện đào tạo, cấp chứng chỉ vô tuyến điện viên hàng hải.
2. Thi tốt nghiệp khóa đào tạo được chia thành hai phần: phần thi lý thuyết và phần thi thực hành theo quy định hiện hành của Tổ chức Hàng hải quốc tế. Điểm thi của mỗi phần được chấm theo thang điểm 10.
3. Các bài thi theo hình thức tự luận có điểm đạt từ điểm 5 trở lên. Các bài thi theo hình thức trắc nghiệm có điểm đạt từ điểm 7 trở lên.
4. Đối với các phần thi chưa đạt, học viên được tham gia thi lại 01 lần của cùng một tổ chức được công nhận đủ điều kiện đào tạo, cấp chứng chỉ vô tuyến điện viên hàng hải.
5. Học viên có điểm đạt ở cả hai phần thi mới đạt yêu cầu khoá học và được xét tốt nghiệp khóa đào tạo chứng chỉ vô tuyến điện viên hàng hải.
Điều 74. Điều kiện chung để được cấp chứng chỉ vô tuyến điện viên hàng hải
1. Là công dân Việt Nam, người nước ngoài cư trú hợp pháp tại Việt Nam, thuyền viên nước ngoài làm việc trên tàu Việt Nam.
2. Có đủ độ tuổi lao động và tiêu chuẩn sức khỏe theo quy định của pháp luật.
3. Đáp ứng các điều kiện cụ thể về chuyên môn cho từng loại chứng chỉ tương ứng theo quy định tại các Điều 75, 76, 77 và 78 Nghị định này.
4. Tốt nghiệp khoá đào tạo vô tuyến điện viên hàng hải tương ứng.
Điều 75. Điều kiện chuyên môn để được cấp chứng chỉ vô tuyến điện viên hàng hải hạng hạn chế
1. Tốt nghiệp trung học phổ thông trở lên hoặc là sỹ quan boong, đại phó, thuyền trưởng tàu thuyền hoạt động trong vùng biển Việt Nam (vùng A1).
2. Tối thiểu đạt trình độ tiếng Anh bậc A2 theo chuẩn 06 bậc của Bộ Giáo dục và Đào tạo hoặc tiếng Anh hàng hải trình độ 1 theo quy định của Bộ Giao thông vận tải hoặc có chứng chỉ tiếng Anh tương đương khác.
Điều 76. Điều kiện chuyên môn để được cấp chứng chỉ vô tuyến điện viên hàng hải hạng tổng quát
1. Tốt nghiệp từ bậc trung học chuyên nghiệp, trung cấp nghề trở lên một trong các chuyên ngành hàng hải, điều khiển tàu biển, điện tử, viễn thông hoặc tương đương; hoặc là sỹ quan boong, đại phó, thuyền trưởng tàu thuyền từ 500 GT trở lên hoạt động trong và ngoài vùng biển Việt Nam.
2. Tối thiểu đạt trình độ tiếng Anh bậc B2 theo chuẩn 06 bậc của Bộ Giáo dục và Đào tạo hoặc tiếng Anh hàng hải trình độ 2 theo quy định của Bộ Giao thông vận tải hoặc có chứng chỉ tiếng Anh tương đương khác.
Điều 77. Điều kiện chuyên môn để được cấp chứng chỉ vô tuyến điện viên hàng hải hạng hai
1. Tốt nghiệp đại học một trong các chuyên ngành điện tử, viễn thông, hàng hải, chuyên ngành điều khiển tàu biển hoặc tương đương.
2. Tối thiểu đạt trình độ tiếng Anh bậc C1 theo chuẩn 06 bậc của Bộ Giáo dục và Đào tạo hoặc tiếng Anh hàng hải trình độ 3 theo quy định của Bộ Giao thông vận tải hoặc chứng chỉ tiếng Anh tương đương khác.
Điều 78. Điều kiện chuyên môn để được cấp chứng chỉ vô tuyến điện viên hàng hải hạng nhất
1. Đã được cấp chứng chỉ vô tuyến điện viên hàng hải hạng hai.
2. Đã đảm nhận công việc theo chức danh phù hợp với chứng chỉ vô tuyến điện viên hàng hải hạng hai ít nhất là 03 năm.
3. Tối thiểu đạt trình độ tiếng Anh bậc C1 theo chuẩn 06 bậc của Bộ Giáo dục và Đào tạo hoặc tiếng Anh hàng hải trình độ 3 theo quy định của Bộ Giao thông vận tải hoặc chứng chỉ tiếng Anh tương đương khác.
Điều 79. Trình tự, thủ tục cấp chứng chỉ vô tuyến điện viên hàng hải
1. Hồ sơ đăng ký tham gia khóa đào tạo vô tuyến điện viên hàng hải để được cấp chứng chỉ vô tuyến điện viên hàng hải bao gồm:
a) Bản sao hợp pháp Căn cước công dân hoặc Giấy chứng minh nhân dân hoặc Hộ chiếu còn thời hạn;
b) Bản chính hoặc bản sao hợp pháp giấy chứng nhận sức khỏe của thuyền viên theo quy định của pháp luật;
c) Bản sao hợp pháp các tài liệu, văn bằng chuyên môn chứng minh đáp ứng các điều kiện chuyên môn tương ứng với cấp bậc chứng chỉ vô tuyến điện viên hàng hải đăng ký đào tạo theo quy định tại các Điều 75, 76, 77 và 78 Nghị định này;
d) 02 ảnh màu kích thước 03 cm X 04 cm, chụp trong vòng 06 tháng trước ngày nộp hồ sơ, rõ mặt, rõ hai tai, không đội mũ, không trang điểm.
2. Trình tự, thủ tục cấp chứng chỉ vô tuyến điện viên hàng hải
a) Người đăng ký tham gia khóa đào tạo vô tuyến điện viên hàng hải nộp 01 bộ hồ sơ đến tổ chức được công nhận đủ điều kiện đào tạo, cấp chứng chỉ vô tuyến điện viên hàng hải qua đường bưu chính hoặc nộp hồ sơ trực tiếp tại tổ chức được công nhận đủ điều kiện đào tạo, cấp chứng chỉ vô tuyến viên hàng hải;
b) Tổ chức được công nhận đủ điều kiện đào tạo, cấp chứng chỉ vô tuyến điện viên hàng hải tiếp nhận, kiểm tra tính hợp lệ của hồ sơ. Trường hợp hồ sơ chưa đầy đủ, chưa đúng quy định về thành phần hồ sơ thì trong thời hạn 05 ngày làm việc kể từ ngày nhận được hồ sơ, tổ chức được công nhận đủ điều kiện đào tạo, cấp chứng chỉ vô tuyến điện viên hàng hải thông báo, hướng dẫn người đăng ký tham gia khóa đào tạo bổ sung, hoàn thiện hồ sơ;
c) Trong thời hạn 14 ngày kể từ ngày học viên hoàn thành thi tốt nghiệp khóa học, tổ chức được công nhận đủ điều kiện đào tạo, cấp chứng chỉ vô tuyến điện viên hàng hải cấp chứng chỉ cho thí sinh tốt nghiệp khoá đào tạo vô tuyến điện viên hàng hải theo mẫu quy định tại Phụ lục X ban hành kèm theo Nghị định này hoặc từ chối cấp chứng chỉ vô tuyến điện viên hàng hải và nêu rõ lý do.
Điều 80. Điều kiện gia hạn chứng chỉ vô tuyến điện viên hàng hải
1. Có đủ độ tuổi lao động và tiêu chuẩn sức khỏe theo quy định của pháp luật.
2. Đã đảm nhiệm công việc theo chức danh phù hợp với chứng chỉ vô tuyến điện viên hàng hải đề nghị gia hạn trong thời gian ít nhất 01 năm trong vòng 05 năm kể từ ngày được cấp chứng chỉ hoặc ít nhất là 03 tháng trong vòng 06 tháng ngay trước khi chứng chỉ hết hạn.
3. Trường hợp không đáp ứng điều kiện quy định tại khoản 2 Điều này thì người đề nghị gia hạn phải tham gia và đạt yêu cầu trong kỳ thi tốt nghiệp khóa đào tạo vô tuyến hàng hải hạng tương ứng với chứng chỉ đề nghị gia hạn.
Điều 81. Trình tự, thủ tục gia hạn chứng chỉ vô tuyến điện viên hàng hải
1. Hồ sơ đề nghị gia hạn chứng chỉ vô tuyến điện viên hàng hải bao gồm:
a) Đơn đề nghị theo Mẫu 03 quy định tại Phụ lục X ban hành kèm theo Nghị định này;
b) Bản sao hợp pháp Căn cước công dân hoặc Giấy chứng minh nhân dân hoặc Hộ chiếu còn thời hạn;
c) Bản chính hoặc bản sao hợp pháp giấy chứng nhận sức khỏe của thuyền viên theo quy định của pháp luật;
d) 02 ảnh màu kích thước 03 cm X 04 cm, chụp trong vòng 06 tháng trước ngày nộp hồ sơ, rõ mặt, rõ hai tai, không đội mũ, không trang điểm;
đ) Bản chính chứng chỉ vô tuyến điện viên hàng hải đề nghị gia hạn;
e) Bản sao hợp pháp sổ thuyền viên hoặc văn bản tương đương hoặc Giấy tờ chứng minh đạt yêu cầu kỳ thi tốt nghiệp khoá đào tạo vô tuyến điện viên hàng hải hạng tương ứng với chứng chỉ đề nghị gia hạn (đối với trường hợp quy định tại khoản 3 Điều 80 Nghị định này).
2. Người đề nghị gia hạn chứng chỉ vô tuyến điện viên hàng hải nộp 01 bộ hồ sơ đến tổ chức được công nhận đủ điều kiện đào tạo, cấp chứng chỉ vô tuyến điện viên hàng hải qua đường bưu chính hoặc nộp hồ sơ trực tiếp tại tổ chức được công nhận đủ điều kiện đào tạo, cấp chứng chỉ vô tuyến viên hàng hải.
3. Tổ chức được công nhận đủ điều kiện đào tạo, cấp chứng chỉ vô tuyến điện viên hàng hải tiếp nhận, kiểm tra tính hợp lệ của hồ sơ và đối chiếu với dữ liệu về chứng chỉ vô tuyến điện viên hàng hải đã cấp. Trường hợp hồ sơ chưa đầy đủ, chưa đúng quy định về thành phần hồ sơ thì trong thời hạn 05 ngày làm việc kể từ ngày nhận được hồ sơ, tổ chức được công nhận đủ điều kiện đào tạo, cấp chứng chỉ vô tuyến điện viên hàng hải thông báo, hướng dẫn người đề nghị gia hạn chứng chỉ vô tuyến điện viên hàng hải bổ sung, hoàn thiện hồ sơ.
4. Trong thời hạn 10 ngày kể từ ngày nhận đủ hồ sơ hợp lệ, tổ chức được công nhận đủ điều kiện đào tạo, cấp chứng chỉ vô tuyến điện viên hàng hải gia hạn chứng chỉ theo mẫu quy định tại Phụ lục X ban hành kèm theo Nghị định này hoặc từ chối gia hạn chứng chỉ vô tuyến điện viên hàng hải và nêu rõ lý do.
5. Chứng chỉ vô tuyến điện viên hàng hải được gia hạn với thời hạn là 05 năm.
Điều 82. Trình tự, thủ tục cấp đổi chứng chỉ vô tuyến viên điện hàng hải
1. Chứng chỉ vô tuyến điện viên hàng hải còn hạn sử dụng được cấp đổi trong các trường hợp bị mất, bị hư hỏng hoặc do thay đổi thông tin cá nhân hợp pháp trên chứng chỉ hoặc thông tin cá nhân trên chứng chỉ không đúng với thông tin trong hồ sơ đề nghị cấp chứng chỉ.
2. Hồ sơ đề nghị cấp đổi chứng chỉ vô tuyến điện viên hàng hải bao gồm:
a) Đơn đề nghị theo Mẫu 03 quy định tại Phụ lục X ban hành kèm theo Nghị định này;
b) 02 ảnh màu kích thước 03 cm X 04 cm, chụp trong vòng 06 tháng trước ngày nộp hồ sơ, rõ mặt, rõ hai tai, không đội mũ, không trang điểm;
c) Bản gốc chứng chỉ vô tuyến điện viên hàng hải (áp dụng đối với trường hợp chứng chỉ bị hư hỏng hoặc thay đổi thông tin cá nhân hợp pháp trên chứng chỉ hoặc thông tin cá nhân trên chứng chỉ không đúng với thông tin trong hồ sơ đề nghị cấp chứng chỉ);
d) Giấy tờ chứng minh việc thay đổi thông tin đối với trường hợp thay đổi thông tin cá nhân hợp pháp.
3. Trình tự, thủ tục cấp đổi chứng chỉ vô tuyến điện viên hàng hải
a) Người đề nghị cấp đổi chứng chỉ vô tuyến điện viên hàng hải nộp 01 bộ hồ sơ đề nghị cấp đổi đến tổ chức được công nhận đủ điều kiện đào tạo, cấp chứng chỉ vô tuyến điện viên hàng hải qua đường bưu chính hoặc nộp hồ sơ trực tiếp tại tổ chức được công nhận đủ điều kiện đào tạo, cấp chứng chỉ vô tuyến điện viên hàng hải;
b) Tổ chức được công nhận đủ điều kiện đào tạo, cấp chứng chỉ vô tuyến điện viên hàng hải tiếp nhận, kiểm tra tính hợp lệ của hồ sơ và đối chiếu với dữ liệu về chứng chỉ vô tuyến điện viên hàng hải đã cấp. Trường hợp hồ sơ chưa đầy đủ, chưa đúng quy định về thành phần hồ sơ thì trong thời hạn 05 ngày làm việc kể từ ngày nhận được hồ sơ, tổ chức được công nhận đủ điều kiện đào tạo, cấp chứng chỉ vô tuyến điện viên hàng hải thông báo, hướng dẫn người đề nghị cấp đổi chứng chỉ vô tuyến điện viên hàng hải bổ sung, hoàn thiện hồ sơ;
c) Trong thời hạn 07 ngày làm việc kể từ ngày nhận đủ hồ sơ hợp lệ, tổ chức được công nhận đủ điều kiện đào tạo, cấp chứng chỉ vô tuyến điện viên hàng hải cấp đổi chứng chỉ theo mẫu quy định tại Phụ lục X ban hành kèm theo Nghị định này hoặc từ chối cấp đổi và nêu rõ lý do.
Điều 83. Thu hồi chứng chỉ vô tuyến điện viên hàng hải
Tổ chức được công nhận đủ điều kiện đào tạo, cấp chứng chỉ vô tuyến điện viên hàng hải thu hồi chứng chỉ vô tuyến điện viên hàng hải trong các trường hợp sau:
1. Giả mạo một trong các thành phần hồ sơ quy định tại khoản 1 Điều 79, khoản 1 Điều 81 và khoản 2 Điều 82 Nghị định này để được cấp, gia hạn hoặc cấp đổi chứng chỉ.
2. Tẩy, xoá nội dung chứng chỉ.
3. Cho thuê, cho mượn chứng chỉ hoặc sử dụng sai mục đích.
Mục 3
TRÁCH NHIỆM CỦA CÁC CƠ QUAN, TỔ CHỨC TRONG VIỆC
ĐÀO TẠO, CẤP CHỨNG CHỈ VÔ TUYẾN ĐIỆN VIÊN
Điều 84. Trách nhiệm của các cơ quan, tổ chức trong việc cấp chứng chỉ vô tuyến điện nghiệp dư
1. Bộ Thông tin và Truyền thông có trách nhiệm:
a) Công nhận tổ chức đủ điều kiện cấp chứng chỉ vô tuyến điện nghiệp dư;
b) Tổ chức thanh tra, kiểm tra việc tuân thủ các quy định của Nghị định này về tổ chức thi, cấp chứng chỉ vô tuyến điện nghiệp dư; định kỳ 05 năm một lần kiểm tra tổ chức được công nhận đủ điều kiện cấp chứng chỉ vô tuyến điện nghiệp dư để đánh giá về việc đáp ứng điều kiện quy định tại Điều 58 Nghị định này;
c) Cập nhật, công bố danh sách các tổ chức được công nhận đủ điều kiện cấp chứng chỉ vô tuyến điện nghiệp dư trên cổng thông tin điện tử của Bộ Thông tin và Truyền thông.
2. Tổ chức được công nhận đủ điều kiện cấp chứng chỉ vô tuyến điện nghiệp dư có trách nhiệm:
a) Tổ chức thi, chấm thi và cấp, cấp đổi, thu hồi chứng chỉ vô tuyến điện nghiệp dư;
b) Xây dựng và cập nhật bộ câu hỏi thi lý thuyết vô tuyến điện nghiệp dư;
c) Lưu giữ các số liệu về kết quả thi, chứng chỉ vô tuyến điện nghiệp dư đã cấp;
d) Trước ngày 06 của tháng cuối quý, gửi báo cáo về tình hình tổ chức thi, cấp chứng chỉ vô tuyến điện nghiệp dư hàng quý theo Mẫu 06 quy định tại Phụ lục IX ban hành kèm theo Nghị định này theo hình thức trực tuyến hoặc qua đường bưu chính hoặc trực tiếp về Bộ Thông tin và Truyền thông (Cục Tần số vô tuyến điện);
đ) Xây dựng cơ sở dữ liệu điện tử về tổ chức thi vô tuyến điện nghiệp dư (kế hoạch thi, danh sách người thi, kết quả thi); cơ sở dữ liệu điện tử về cấp chứng chỉ vô tuyến điện nghiệp dư (họ và tên người được cấp chứng chỉ, ngày sinh, nơi sinh, số Căn cước công dân hoặc số Chứng minh nhân dân hoặc số Hộ chiếu, số chứng chỉ, cấp bậc chứng chỉ, tổ chức cấp chứng chỉ) để tra cứu;
e) Tuân thủ quy định pháp luật về sử dụng tần số và thiết bị vô tuyến điện.
Điều 85. Trách nhiệm của các cơ quan, tổ chức trong việc đào tạo, cấp chứng chỉ vô tuyến điện viên hàng hải
1. Bộ Thông tin và Truyền thông có trách nhiệm:
a) Công nhận tổ chức đủ điều kiện đào tạo, cấp chứng chỉ vô tuyến điện viên hàng hải;
b) Tổ chức thanh tra, kiểm tra việc tuân thủ các quy định của Nghị định này về đào tạo, cấp chứng chỉ vô tuyến điện viên hàng hải; định kỳ 05 năm một lần kiểm tra tổ chức được công nhận đủ điều kiện đào tạo, cấp chứng chỉ vô tuyến điện viên hàng hải để đánh giá về việc đáp ứng điều kiện quy định tại Điều 68 Nghị định này;
c) Cập nhật, công bố danh sách các tổ chức được công nhận đủ điều kiện đào tạo, cấp chứng chỉ vô tuyến điện viên hàng hải trên cổng thông tin điện tử của Bộ Thông tin và Truyền thông.
2. Tổ chức được công nhận đủ điều kiện đào tạo, cấp chứng chỉ vô tuyến điện viên hàng hải có trách nhiệm:
a) Đào tạo, cấp, gia hạn, cấp đổi, thu hồi chứng chỉ vô tuyến điện viên hàng hải;
b) Xây dựng, cập nhật chương trình, tài liệu đào tạo vô tuyến điện viên hàng hải phù hợp với chương trình mẫu hiện hành của Tổ chức Hàng hải quốc tế;
c) Tổ chức đào tạo vô tuyến điện viên hàng hải đảm bảo đủ thời lượng, nội dung theo chương trình của từng khóa đào tạo; quản lý thời gian tham dự khóa học của các học viên;
d) Đảm bảo cơ sở vật chất, trang thiết bị, tài liệu giảng dạy và giảng viên tham gia giảng dạy phục vụ đào tạo vô tuyến điện viên hàng hải;
đ) Trước ngày 06 của tháng cuối quý, gửi báo cáo về tình hình đào tạo, cấp chứng chỉ vô tuyến điện viên hàng hải hàng quý theo Mẫu 12 quy định tại Phụ lục IX ban hành kèm theo Nghị định này theo hình thức trực tuyến hoặc qua đường bưu chính hoặc trực tiếp về Bộ Thông tin và Truyền thông;
e) Xây dựng cơ sở dữ liệu điện tử về đào tạo vô tuyến điện viên hàng hải (quyết định mở khóa đào tạo, danh sách học viên, kế hoạch thi, kết quả thi); cơ sở dữ liệu điện tử về cấp chứng chỉ vô tuyến điện viên hàng hải (họ và tên người được cấp chứng chỉ, quốc tịch, ngày sinh, nơi sinh, số chứng chỉ, hạng chứng chỉ, ngày cấp, ngày hết hạn, tổ chức cấp chứng chỉ) để tra cứu;
g) Lưu trữ hồ sơ liên quan đến công tác đào tạo, cấp chứng chỉ vô tuyến điện viên hàng hải theo đúng quy định của pháp luật;
h) Tuân thủ các quy định của pháp luật về sử dụng tần số và thiết bị vô tuyến điện.
Chương VIII
ĐIỀU KHOẢN THI HÀNH
Điều 86. Hiệu lực thi hành
1. Nghị định này có hiệu lực thi hành kể từ ngày ký ban hành.
2. Nghị định số 88/2021/NĐ-CP ngày 01 tháng 10 năm 2021 của Chính phủ quy định về thu tiền cấp quyền sử dụng tần số vô tuyến điện, đấu giá, cấp phép, chuyển nhượng quyền sử dụng tần số vô tuyến điện đối với băng tần hết hiệu lực kể từ ngày Nghị định này có hiệu lực thi hành.
3. Trường hợp sau ngày Nghị định này có hiệu lực, các quy định về cấp giấy phép, cam kết triển khai mạng viễn thông của Luật Viễn thông có thay đổi thì áp dụng theo quy định của Luật Viễn thông.
Điều 87. Điều khoản chuyển tiếp
1. Các hồ sơ đề nghị cấp, cấp đổi, sửa đổi, bổ sung, gia hạn giấy phép sử dụng tần số vô tuyến điện đã nộp trước thời điểm Nghị định này có hiệu lực thi hành và đang trong thời gian xử lý thì được tiếp tục thực hiện theo các quy định đang áp dụng.
2. Chứng chỉ vô tuyến điện viên hàng hải được cấp trước ngày 01 tháng 7 năm 2024 được gia hạn, cấp đổi tại các tổ chức được công nhận đủ điều kiện đào tạo, cấp chứng chỉ vô tuyến điện viên hàng hải.
3. Tổ chức đã được cấp giấy phép sử dụng băng tần để thiết lập mạng viễn thông công cộng di động mặt đất mà hết hạn sử dụng trước ngày 06 tháng 9 năm 2023 phải nộp tiền cấp quyền sử dụng tần số vô tuyến điện cho thời hạn còn lại của giấy phép tính từ ngày 01 tháng 7 năm 2023.
Việc xác định mức thu và tổ chức thu tiền cấp quyền sử dụng tần số vô tuyến điện trong trường hợp này được thực hiện cùng thời gian với việc xác định mức thu và tổ chức thu tiền cấp quyền sử dụng tần số vô tuyến điện khi cấp lại giấy phép sử dụng băng tần cho tổ chức đó hoặc cấp lại giấy phép sử dụng băng tần cho tổ chức khác trong cùng băng tần.
Điều 88. Trách nhiệm thi hành
Các Bộ trưởng, Thủ trưởng cơ quan ngang bộ, Thủ trưởng cơ quan thuộc Chính phủ, Chủ tịch Ủy ban nhân dân các tỉnh, thành phố trực thuộc trung ương chịu trách nhiệm thi hành Nghị định này.
|
Nơi nhận: |
TM. CHÍNH PHỦ
Trần Lưu Quang |
Phụ lục I
MẪU BÁO CÁO DANH MỤC THIẾT BỊ PHÁT SÓNG VÔ TUYẾN ĐIỆN
SỬ DỤNG TRONG MẠNG THÔNG TIN VÔ TUYẾN ĐIỆN
(Kèm theo Nghị định số 63/2023/NĐ-CP
ngày 18 tháng 8 năm 2023 của Chính phủ)
__________
CỘNG HÒA XÃ HỘI CHỦ NGHĨA VIỆT NAM
Độc lập - Tự do - Hạnh phúc
______________________
Kính gửi: Cục Tần số vô tuyến điện.
1. Tên tổ chức:
2. Mã mạng (Mã MNC):
3. Địa chỉ liên lạc:
Số điện thoại:
Số fax:
4. Danh mục các thiết bị trạm gốc vô tuyến điện đăng ký khai thác trong mạng thông tin vô tuyến điện
|
STT |
Thông tin về vị trí đặt |
Thông tin về ăng-ten |
Thông tin về máy phát vô tuyến điện |
Thông tin về thông số phát sóng |
|||||||||||||||||||||||
|
|
1 |
2 |
3 |
4 |
5 |
6 |
7 |
8 |
9 |
10 |
11 |
12 |
13 |
14 |
15 |
16 |
17 |
18 |
19 |
20 |
21 |
22 |
23 |
24 |
25 |
26 |
27 |
|
|
|
|
|
|
|
|
|
|
|
|
|
|
|
|
|
|
|
|
|
|
|
|
|
|
|
|
|
|
|
|
|
|
|
|
|
|
|
|
|
|
|
|
|
|
|
|
|
|
|
|
|
|
|
|
|
|
|
|
|
|
|
|
|
|
|
|
|
|
|
|
|
|
|
|
|
|
|
|
|
|
|
|
|
|
|
|
... |
|
|
|
|
|
|
|
|
|
|
|
|
|
|
|
|
|
|
|
|
|
|
|
|
|
|
|
Ghi chú thông tin các cột trong bảng:
|
STT |
Thông số |
Giải thích |
|
1 |
Tên trạm gốc |
Tên của trạm gốc |
|
2 |
Tỉnh (thành phố) đặt trạm |
Tỉnh (thành phố) đặt trạm |
|
3 |
Mã tỉnh/ thành phố (đặt trạm) |
Ghi theo Bảng danh mục và các mã số các đơn vị hành chính Việt Nam |
|
4 |
Huyện (quận) đặt trạm |
Huyện (quận) đặt trạm |
|
5 |
Mã huyện (quận) đặt trạm |
Ghi theo Bảng danh mục và các mã số các đơn vị hành chính Việt Nam |
|
6 |
Xã (phường) đặt trạm |
Xã (phường) đặt trạm |
|
7 |
Mã phường (xã) đặt trạm |
Ghi theo Bảng danh mục và các mã số các đơn vị hành chính Việt Nam |
|
8 |
Địa chỉ |
Ghi số nhà, đường hoặc xóm, thôn |
|
9 |
Kinh độ |
Ghi kinh độ trạm gốc theo hệ tọa độ WSG84 ở dạng số thập phân, bao gồm ít nhất 5 chữ số thập phân |
|
10 |
Vĩ độ |
Vĩ độ trạm gốc theo hệ tọa độ WSG84 ở dạng số thập phân, bao gồm ít nhất 5 chữ số thập phân |
|
11 |
Độ cao ăng-ten (m) |
Độ cao ăng-ten so với địa hình tự nhiên. |
|
12 |
Hãng sản xuất ăng-ten |
Hãng sản xuất ăng-ten |
|
13 |
Chủng loại ăng-ten |
Mã loại (model) của ăng-ten |
|
14 |
Kiểu ăng-ten |
Kiểu ăng-ten, ví dụ: sector, omni... |
|
15 |
Phân cực ăng-ten |
Loại phân cực của ăng-ten, ví dụ: đứng, ngang, chéo... |
|
16 |
Tăng ích của ăng-ten (dBi) |
Tăng ích của ăng-ten theo búp sóng chính |
|
17 |
Góc phương vị của ăng-ten (deg) |
Azimuth của ăng-ten |
|
18 |
Góc cụp của ăng-ten (deg) |
Tilt của ăng-ten |
|
19 |
Độ rộng búp sóng chính của ăng-ten (deg) |
Độ rộng búp sóng nửa công suất (3dB) của ăng-ten |
|
20 |
Hãng sản xuất máy phát vô tuyến điện |
Hãng sản xuất máy phát vô tuyến điện |
|
21 |
Chủng loại thiết bị máy phát vô tuyến điện |
Ghi model của máy phát vô tuyến điện |
|
22 |
Công suất phát (dBm) |
Công suất phát, đơn vị là dBm, ví dụ 47 |
|
23 |
Tần số phát (MHz) |
Tần số phát sóng vô tuyến điện, đơn vị là MHz |
|
24 |
Băng thông (MHz) |
Băng thông, đơn vị là MHz |
|
25 |
Công nghệ vô tuyến |
Các công nghệ như: GSM, WCDMA, LTE, NR,... |
|
26 |
Mã SITE/LAC |
Mã LAC với cell GSM, RNC 1D với cell WCDMA, NE1D với cell LTE, gNodeB 1D với cell NR (5G) |
|
27 |
Mã cell |
Mã Cell 1D |
Làm tại...., ngày....tháng....năm....
QUYỀN HẠN, CHỨC VỤ CỦA NGƯỜI KÝ
(Chữ ký của người có thẩm quyền và đóng dấu của tổ chức)
Họ và tên
Phụ lục II
MẪU BẢN KHAI CẤP GIẤY PHÉP
(Kèm theo Nghị định số 63/2023/NĐ-CP
ngày 18 tháng 8 năm 2023 của Chính phủ)
__________
MẪU BẢN KHAI ĐỀ NGHỊ CẤP, CẤP ĐỔI, GIA HẠN, SỬA ĐỔI, BỔ SUNG
NỘI DUNG GIẤY PHÉP SỬ DỤNG TẦN SỐ VÀ THIẾT BỊ VÔ TUYẾN ĐIỆN
1. Mẫu Bản khai đề nghị cấp, cấp đổi, gia hạn, sửa đổi, bổ sung nội dung giấy phép sử dụng tần số và thiết bị vô tuyến điện
a) Mẫu Bản khai thông tin chung
b) Các mẫu Bản khai thông số kỹ thuật, khai thác
|
STT |
Bản khai thông số kỹ thuật, khai thác |
Mẫu |
|
1. |
Đối với các thiết bị vô tuyến điện không thuộc các mẫu 1b, 1c, 1d, 1đ, 1e, 1g1, 1g2, 1h, 1i, 1m. |
|
|
2. |
Đối với đài vô tuyến điện nghiệp dư |
1b |
|
3. |
Đối với đài vô tuyến điện đặt trên phương tiện nghề cá |
1c |
|
4. |
Đối với thiết bị phát thanh, truyền hình |
1d |
|
5. |
Đối với đài truyền thanh không dây |
1đ |
|
6. |
Đối với tuyến truyền dẫn vi ba |
1e |
|
7. |
Đối với mạng viễn thông dùng riêng sử dụng tần số thuộc nghiệp vụ di động mặt đất |
1g1 |
|
8. |
Đối với mạng thông tin vô tuyến điện nội bộ |
1g2 |
|
9. |
Đối với đài tàu |
1h |
|
10. |
Đối với đài vô tuyến điện liên lạc với phương tiện nghề cá |
1i |
|
11. |
Đối với đài trái đất (trừ đài trái đất thuộc hệ thống GMDSS đặt trên tàu biển) |
1m |
c) Mẫu Bản khai đề nghị cấp đổi, gia hạn
2. Mẫu Bản khai đề nghị cấp, cấp lại, cấp đổi, gia hạn, sửa đổi, bổ sung nội dung giấy phép sử dụng băng tần - Mẫu 2
3. Mẫu Bản khai đề nghị cấp, cấp đổi, gia hạn, sửa đổi, bổ sung nội dung giấy phép sử dụng tần số và quỹ đạo vệ tinh - Mẫu 3
1. Mẫu Bản khai đề nghị cấp, cấp đổi, gia hạn, sửa đổi, bổ sung nội dung giấy phép sử dụng tần số và thiết bị vô tuyến điện
a) Bản khai thông tin chung
|
|
CỘNG HÒA XÃ HỘI CHỦ NGHĨA VIỆT NAM
|
BẢN KHAI THÔNG TIN CHUNG
CHÚ Ý: 1. Đọc kỹ phần hướng dẫn trước khi điền vào bản khai.
2. Tổ chức, cá nhân chỉ được cấp phép sau khi đã nộp lệ phí cấp phép và phí sử dụng tần số theo quy định của pháp luật.
Kính gửi: Cục Tần số vô tuyến điện/ Trung tâm Tần số vô tuyến điện khu vực...
|
1. TÊN TỔ CHỨC, CÁ NHÂN ĐỀ NGHỊ |
|
|
1.1. Số Căn cước công dân hoặc Chứng minh nhân dân hoặc Hộ chiếu (đối với cá nhân): Ngày cấp:............. Có giá trị đến: ................................. Địa chỉ thường trú: |
|
|
1.2. Mã số thuế (đối với tổ chức): Địa chỉ trụ sở chính: Cơ quan quản lý thuế: |
|
|
1.3. Địa chỉ liên lạc: |
|
|
1.4. Số điện thoại liên hệ |
|
|
2. ĐĂNG KÍ TÀI KHOẢN TRỰC TUYẾN (nếu có nhu cầu và chỉ kê khai thông tin này đến khi phải sử dụng tài khoản định danh điện tử để thực hiện thủ tục hành chính trên hệ thống dịch vụ công trực tuyến theo quy định) |
|
|
Số điện thoại di động: Email: |
|
|
3. HÌNH THỨC NHẬN KẾT QUẢ |
□ Trực tiếp □ Dịch vụ bưu chính □ Trực tuyến qua cổng dịch vụ công trực tuyến □ Trực tuyến qua hình thức trực tuyến khác: |
|
4. NỘP PHÍ SỬ DỤNG TẦN SỐ VÔ TUYẾN ĐIỆN (đối với thời hạn đề nghị cấp phép trên 12 tháng) |
|
|
□ 01 (một) lần cho toàn bộ thời gian cấp phép |
|
|
5. TỔ CHỨC, CÁ NHÂN ĐỀ NGHỊ (tại mục 1) CAM KẾT CÁC ĐIỀU SAU ĐÂY: 5.1. Thiết bị vô tuyến điện phù hợp quy chuẩn kỹ thuật về phát xạ vô tuyến điện, an toàn bức xạ vô tuyến điện và tương thích điện từ. 5.2. Người trực tiếp khai thác thiết bị vô tuyến điện thuộc nghiệp vụ vô tuyến điện nghiệp dư, người trực tiếp khai thác thiết bị vô tuyến điện trên đài tàu phải có chứng chỉ vô tuyến điện viên theo quy định. 5.3. Thực hiện quy định của pháp luật về bảo đảm an toàn, an ninh thông tin; kiểm tra giải quyết nhiễu có hại và an toàn bức xạ vô tuyến điện. 5.4. Thiết kế, lắp đặt đài vô tuyến điện, cột ăng - ten phù hợp với quy định về tương thích điện từ, an toàn bức xạ vô tuyến điện, an toàn xây dựng, an toàn hàng không và quy định pháp luật có liên quan. 5.5. Kê khai đúng và chịu hoàn toàn trách nhiệm với bản khai; nộp phí, lệ phí theo quy định. |
|
…, ngày…tháng…năm…..
QUYỀN HẠN, CHỨC VỤ CỦA NGƯỜI KÝ
(Chữ ký của cá nhân đề nghị cấp phép hoặc người có thẩm quyền
đại diện cho tổ chức đề nghị cấp phép và đóng dấu đối với tổ chức)
Họ và tên
HƯỚNG DẪN
KÊ KHAI BẢN KHAI THÔNG TIN CHUNG
I. PHẦN HƯỚNG DẪN CHUNG:
- Tất cả các bản khai không đúng quy cách, mẫu, loại nghiệp vụ, kê khai không rõ ràng, đầy đủ sẽ phải yêu cầu làm lại hoặc bổ sung cho đầy đủ.
- Phải kê khai đầy đủ các trường thông tin trong bản khai (trừ các trường thông tin có quy định nếu có hoặc các trường kê khai theo đối tượng cụ thể).
- Không tẩy xoá các số liệu kê khai.
- Đóng dấu giáp lai đối với hồ sơ, tài liệu có nhiều trang văn bản.
- Khi cần liên hệ trực tiếp với Cục Tần số vô tuyến điện theo địa chỉ:
Cục Tần số vô tuyến điện - Bộ Thông tin và Truyền thông, 115 Trần Duy Hưng - Trung Hòa - Cầu Giấy - Hà Nội
Điện thoại: 024.35564919; Fax: 024.35564930
Hoặc các Trung tâm tần số vô tuyến điện khu vực thuộc Cục:
|
Khu vực 1: 115 Trần Duy Hưng, phường Trung Hòa, quận Cầu Giấy, Tp. Hà Nội. Điện thoại: 024.35564919; Fax: 024.35564913 Khu vực 2: số 45 đường Trần Lựu, khu phố 5, phường An Phú, Tp. Thủ Đức, Tp. Hồ Chí Minh. Điện thoại: 028.37404179; Fax: 028.37404966 Khu vực 3: số 539, đường Trần Hưng Đạo, phường An Hải Tây, quận Sơn Trà, Tp. Đà Nẵng. Điện thoại: 0236.3933545; Fax: 0236.3933707 Khu vực 4: Số 170, đường Nguyễn Văn Cừ, phường An Bình, quận Ninh Kiều, Tp. Cần Thơ. Điện thoại: 0292.3832760; Fax: 0292.3887087 |
Khu vực 5: Số 783, Đại lộ Tôn Đức Thắng, phường Sở Dầu, quận Hồng Bàng, Tp. Hải Phòng. Điện thoại: 0225.3827857 / Fax: 0225.3827420 Khu vực 6: số 364, đường Lê Nin, phường Hưng Phúc, Tp. Vinh, tỉnh Nghệ An. Điện thoại: 0238.3833511; Fax: 0238.3849518 Tp. Nha Trang, tỉnh Khánh Hòa. Điện thoại: 0258.3892567; Fax: 0258.3824410. Khu vực 8: Phường Dữu Lâu, Tp. Việt Trì, tình Phú Thọ. Điện thoại: 0210.3840503/ 0210.3840507/ 0210.3840504 Fax: 0210.3840504. |
II. PHẦN HƯỚNG DẪN CHI TIẾT:
|
Bản khai thông tin chung |
Được dùng để kê khai thông tin hành chính khi đề nghị cấp, cấp đổi, gia hạn giấy phép sử dụng tần số và thiết bị vô tuyến điện; sửa đổi, bổ sung nội dung trong giấy phép. |
|
Số: |
Kê khai số ký hiệu công văn của tổ chức, cá nhân đề nghị cấp, cấp đổi, gia hạn, sửa đổi, bổ sung nội dung giấy phép. |
|
Mục 1. |
Viết họ và tên cá nhân đề nghị cấp, cấp đổi, gia hạn, sửa đổi, bổ sung nội dung giấy phép (chính xác theo thông tin ghi trên Căn cước công dân/Chứng minh thư nhân dân/Hộ chiếu) hoặc tên của tổ chức đề nghị cấp, cấp đổi, gia hạn, sửa đổi, bổ sung nội dung giấy phép (chính xác theo thông tin trên Giấy chứng nhận đăng ký thuế của tổ chức). Khuyến nghị ghi bằng chữ in hoa. Nếu là cá nhân đề nghị cấp phép chuyển sang kê khai mục 1.1. Nếu là tổ chức đề nghị cấp phép chuyển sang kê khai mục 1.2. |
|
Mục 1.1. |
Kê khai các thông tin chính xác theo Căn cước công dân/ chứng minh nhân dân/ hộ chiếu đối với cá nhân |
|
Mục 1.2. |
Kê khai các thông tin chính xác theo Giấy chứng nhận đăng ký thuế của tổ chức. |
|
Mục 1.3. |
Ghi địa chỉ liên lạc của cá nhân/ tổ chức khi địa chỉ này khác với địa chỉ đặt trụ sở của tổ chức, địa chỉ thường trú của cá nhân. Địa chỉ này được sử dụng để Cơ quan quản lý gửi kết quả xử lý hồ sơ. Trường hợp không kê khai, mặc định là trùng với địa chỉ trụ sở của tổ chức, địa chỉ thường trú của cá nhân. |
|
Mục 1.4. |
Kê khai số điện thoại liên hệ của tổ chức/cá nhân đề nghị cấp, cấp đổi, gia hạn, sửa đổi, bổ sung nội dung giấy phép để Cơ quan quản lý gửi các thông tin hỗ trợ. |
|
Mục 2. |
Kê khai email và số điện thoại di động của tổ chức, cá nhân đề nghị cấp giấy phép nếu có nhu cầu để Cơ quan quản lý cấp tài khoản điện tử, đồng thời để gửi các thông tin hỗ trợ. Chỉ kê khai thông tin tại mục này cho đến thời điểm bắt buộc sử dụng mã định danh điện tử để thực hiện thủ tục hành chính trên Hệ thống dịch vụ công trực tuyến theo quy định của pháp luật. |
|
Mục 3. |
Tổ chức, cá nhân lựa chọn một trong bốn hình thức nhận kết quả xử lý hồ sơ: - Đánh dấu "X" vào ô "Trực tiếp" thì kết quả giải quyết hồ sơ được trả tại các địa điểm trả kết quả theo quy định. - Đánh dấu "X" vào ô "Dịch vụ bưu chính" thì kết quả giải quyết hồ sơ sẽ được gửi trả cho tổ chức, cá nhân qua đường bưu chính theo địa chỉ liên lạc tổ chức, cá nhân kê khai tại mục 1.3. - Đánh dấu "X" vào ô “Trực tuyến qua Hệ thống dịch vụ công trực tuyến” thì kết quả giải quyết hồ sơ nhận trực tuyến qua cổng dịch vụ công trực tuyến hoặc các hình thức trực tuyến khác đối với tổ chức, cá nhân có tài khoản trên cổng dịch vụ công trực tuyến. - Đánh dấu "X" vào ô “Trực tuyến qua phương thức điện tử khác” và điền thông tin phương thức điện tử khác nhận kết quả ví dụ email, zalo,.... Kết quả giải quyết hồ sơ nhận trực tuyến qua phương thức điện tử do tổ chức, cá nhân cung cấp. Trường hợp không đánh dấu vào nội dung nào kết quả giải quyết hồ sơ sẽ được gửi qua Dịch vụ bưu chính. |
|
Mục 4 |
Đối với thời gian đề nghị cấp phép từ 12 tháng trở xuống mặc định tổ chức, cá nhân phải nộp 01 (một) lần phí sử dụng tần số vô tuyến điện cho toàn bộ thời hạn của giấy phép được cấp. Đối với thời gian đề nghị cấp phép trên 12 tháng: - Đánh dấu “X” vào ô 01 (một) lần nếu tổ chức, cá nhân đồng ý nộp 01 (một) lần phí sử dụng tần số vô tuyến điện cho toàn bộ thời hạn của giấy phép được cấp. |
|
Ký tên, đóng dấu |
- Trường hợp nộp hồ sơ nộp trực tiếp hoặc qua bưu chính + Ký tên của cá nhân đề nghị cấp phép đối với cá nhân, hộ kinh doanh + Ghi chức danh quyền hạn, ký và ghi rõ họ tên của người ký, đóng dấu của tổ chức đề nghị cấp phép - Trường hợp nộp hồ sơ qua Hệ thống dịch vụ công trực tuyến không phải ký số đối với cá nhân, hộ kinh doanh đề nghị cấp phép; không phải ký số của người có thẩm quyền và chữ ký số của tổ chức đối với tổ chức đề nghị cấp phép ở mục này. |
b) Bản khai thông số kỹ thuật khai thác (Tổ chức, cá nhân lựa chọn bản khai thông số kỹ thuật, khai thác theo mẫu tương ứng dưới đây và có thể lựa chọn gộp nhiều bản khai thông số kỹ thuật, khai thác cùng mẫu hoặc khác mẫu trong cùng một hồ sơ đề nghị cấp phép)
|
STT |
Bản khai thông số kỹ thuật, khai thác |
Mẫu |
|
1. |
Đối với các thiết bị vô tuyến điện không thuộc các mẫu 1b, 1c, 1d, 1đ, 1e, 1g1, 1g2, 1h, 1i, 1m. |
1a |
|
2. |
Đối với đài vô tuyến điện nghiệp dư |
1b |
|
3. |
Đối với đài vô tuyến điện đặt trên phương tiện nghề cá |
1c |
|
4. |
Đối với thiết bị phát thanh, truyền hình |
1d |
|
5. |
Đối với đài truyền thanh không dây |
1đ |
|
6. |
Đối với tuyến truyền dẫn vi ba |
1e |
|
7. |
Đối với mạng viễn thông dùng riêng sử dụng tần số thuộc nghiệp vụ di động mặt đất |
1g1 |
|
8. |
Đối với mạng thông tin vô tuyến điện nội bộ |
1g2 |
|
9. |
Đối với đài tàu |
1h |
|
10. |
Đối với đài vô tuyến điện liên lạc với phương tiện nghề cá |
1i |
|
11. |
Đối với đài trái đất (trừ đài trái đất thuộc hệ thống GMDSS đặt trên tàu biển) |
1m |
Mẫu bản khai thông tin chung tại Phụ lục II được thay thế bởi Mẫu số 01 tại Phụ lục III ban hành kèm theo Nghị định số 15/2026/NĐ-CP theo quy định tại khoản 1 Điều 26.
b) Bản khai thông số kỹ thuật khai thác (Tổ chức, cá nhân lựa chọn bản khai thông số kỹ thuật, khai thác theo mẫu tương ứng dưới đây và có thể lựa chọn gộp nhiều bản khai thông số kỹ thuật, khai thác cùng mẫu hoặc khác mẫu trong cùng một hồ sơ đề nghị cấp phép)
| STT | Bản khai thông số kỹ thuật, khai thác | Mẫu |
| 1. | Đối với các thiết bị vô tuyến điện không thuộc các mẫu 1b, 1c, 1d, 1đ, 1e, 1g1, 1g2, 1h, 1i, 1m. | 1a |
| 2. | Đối với đài vô tuyến điện nghiệp dư | 1b |
| 3. | Đối với đài vô tuyến điện đặt trên phương tiện nghề cá | 1c |
| 4. | Đối với thiết bị phát thanh, truyền hình | 1d |
| 5. | Đối với đài truyền thanh không dây | 1đ |
| 6. | Đối với tuyến truyền dẫn vi ba | 1e |
| 7. | Đối với mạng viễn thông dùng riêng sử dụng tần số thuộc nghiệp vụ di động mặt đất | 1g1 |
| 8. | Đối với mạng thông tin vô tuyến điện nội bộ | 1g2 |
| 9. | Đối với đài tàu | 1h |
| 10. | Đối với đài vô tuyến điện liên lạc với phương tiện nghề cá | 1i |
| 11. | Đối với đài trái đất (trừ đài trái đất thuộc hệ thống GMDSS đặt trên tàu biển) | 1m |
BẢN KHAI THÔNG SỐ KỸ THUẬT, KHAI THÁC 1a
Áp dụng đối với các thiết bị vô tuyến điện không thuộc các mẫu 1b, 1c, 1d, 1đ, 1e, 1g1, 1g2, 1h, 1i, 1m.
□ Cấp □ Sửa đổi, bổ sung nội dung cho giấy phép số....
Tờ số:.../tổng số tờ của Bản khai thông số kỹ thuật, khai thác:….
| 1. GIẤY PHÉP VIỄN THÔNG THEO QUY ĐỊNH | Số |
| Ngày cấp | ||
| Thời hạn | từ ngày đến ngày | ||||
| 2. MỤC ĐÍCH SỬ DỤNG |
| ||||
| 3. THỜI GIAN ĐỀ NGHỊ CẤP PHÉP (đối với cấp) | |||||
| □ 1 năm □ 2 năm □ 3 năm □ 10 năm □ Khác ...... | |||||
| 4. THIẾT BỊ VÔ TUYẾN ĐIỆN | |||||
| 4.1. Tên thiết bị/Hãng sản xuất |
| ||||
| 4.2. Các mức công suất phát (W) |
| ||||
| 4.3. Ký hiệu phát xạ |
| ||||
| 4.4. Độ rộng kênh (nếu có) |
| ||||
| 4.5. Dải tần thiết bị | Phát |
| |||
| Thu |
| ||||
| 4.6. Tần số phát/thu đề nghị (nếu có) |
| ||||
| 4.7. Độ nhạy máy thu (dBm) (nếu có) |
| ||||
| 4.8. Tên/mã trạm đề nghị (nếu có) |
| ||||
| 4.9. Đối tượng liên lạc (nếu có) |
| ||||
| 4.10. Địa điểm đặt | □ Di động □ Cố định: Kinh độ: E/ Vĩ độ : N | ||||
| Số nhà, đường phố (thôn xóm), phường/xã: | |||||
| Quận/ huyện : | Tỉnh/thành phố: | ||||
| 4.11. Thiết bị trong mạng (đối với Đài bờ) | Số lượng thiết bị chính |
| |||
| Số lượng thiết bị dự phòng |
| ||||
| 4.12. Thông tin sửa đổi, bổ sung | □ Bổ sung □ Hủy bỏ □ Thay thế cho thiết bị | ||||
| 5. ĂNG-TEN | |||||
| 5.1. Kiểu (Nhãn hiệu) |
| 5 2. Dải tần làm việc |
| ||
| 5.3. Hệ số khuếch đại (dBi) |
| 5.4. Phân cực |
| ||
| 5.5. Hướng tính | □ ND □ D Góc phương vị của hướng bức xạ chính (°): | 5.6. Độ cao so với mặt đất (m) |
| ||
| 6. TỔN HAO (dB) (nếu có) |
| ||||
| 7. CÁC THÔNG TIN KHÁC (nếu có) |
| ||||
Hướng dẫn kê khai Bản khai thông số kỹ thuật, khai thác 1a
Được dùng để kê khai khi đề nghị cấp giấy phép hoặc sửa đổi, bổ sung nội dung giấy phép đã được cấp đối với các thiết bị vô tuyến điện không thuộc các mẫu 1b, 1c, 1d, 1đ, 1e, 1g1, 1g2, 1h, 1i, 1m.
- Đánh dấu “X” vào ô “Cấp” nếu tổ chức, cá nhân đề nghị cấp phép lần đầu hoặc không đủ điều kiện gia hạn, sửa đổi, bổ sung giấy phép. Đánh dấu “X” vào ô “Sửa đổi, bổ sung” và điền số giấy phép đề nghị sửa đổi, bổ sung nếu tổ chức, cá nhân đề nghị sửa đổi, bổ sung nội dung giấy phép.
- Kê khai đầy đủ các thông tin vào Bản khai thông số kỹ thuật, khai thác 1a khi đề nghị cấp. Mỗi tờ khai của Bản khai thông số kỹ thuật, khai thác 1a được dùng để kê khai cho 01 (một) loại thiết bị (kê khai tên thiết bị). Có thể dùng nhiều tờ bản khai nếu cần kê khai nhiều loại thiết bị khác nhau. Các thiết bị cùng loại, có thông số giống nhau kê khai 01 (một) lần và ghi rõ số lượng thiết bị bên cạnh. Lưu ý ghi rõ số thứ tự của tờ và tổng số tờ của từng Bản khai thông số kỹ thuật, khai thác.
- Chỉ kê khai các thông số có thay đổi hoặc bổ sung của giấy phép vào Bản khai thông số kỹ thuật, khai thác 1a khi bổ sung, sửa đổi theo từng giấy phép. Các thông số khác không thay đổi, giữ nguyên không cần kê khai.
1. GIẤY PHÉP VIỄN THÔNG
Kê khai số giấy phép thiết lập mạng viễn thông, ngày cấp và thời hạn sử dụng của giấy phép nếu thuộc đối tượng phải có giấy phép viễn thông theo quy định về viễn thông.
2. MỤC ĐÍCH SỬ DỤNG
Kê khai rõ sử dụng tần số và thiết bị vô tuyến điện cho mục đích: Phục vụ sản xuất, kinh doanh, học tập, nghiên cứu, dự phòng,...
3. THỜI GIAN ĐỀ NGHỊ CẤP PHÉP
Đánh dấu “X” vào ô thời gian tương ứng hoặc ghi thời gian sử dụng cụ thể theo đề nghị của tổ chức, cá nhân. Ví dụ: “3 năm 2 tháng” hoặc “từ ngày 27/02/2023 đến ngày 25/4/2026" (ghi theo ngày/tháng/năm). Chỉ kê khai đối với trường hợp cấp. Đối với trường hợp sửa đổi, bổ sung nội dung giấy phép đồng thời muốn gia hạn thì hồ sơ phải có thêm Bản khai cấp đổi, gia hạn giấy phép sử dụng tần số và thiết bị vô tuyến điện theo mẫu quy định.
4. THIẾT BỊ VÔ TUYẾN ĐIỆN
4.1. Kê khai tên thiết bị phát hoặc ký hiệu (model) của thiết bị, hãng sản xuất thiết bị.
4.2. Kê khai các mức công suất có thể điều chỉnh được theo thiết kế chế tạo của thiết bị như: công suất lớn nhất, công suất nhỏ nhất, các mức công suất khác,...
4.3. Kê khai các ký hiệu phát xạ đề nghị sử dụng theo thiết kế chế tạo của thiết bị. Ví dụ: 100HA1A; 2K10A2A; 6K00A3E; 3K00B3E; 16KF3E; 3M70F3E; 304HF1B; 6K00G8E; 2K70J3E;...
4.4. Kê khai độ rộng kênh tần số mà thiết bị có thể hoạt động (không bắt buộc).
4.5. Kê khai dải tần số phát, thu mà thiết bị có thể làm việc theo thiết kế chế tạo.
4.6. Kê khai tần số phát/ thu theo mong muốn được sử dụng (không bắt buộc).
4.7. Kê khai độ nhạy máy thu đối với thiết bị thu hoặc thiết bị thu phát theo thiết kế chế tạo của thiết bị. Không bắt buộc.
4.8. Kê khai tên/mã trạm do tổ chức, cá nhân tự đề nghị để thuận tiện trong công việc, hoặc đề nghị theo dãy hô hiệu được Quốc tế phân chia cho Việt Nam sử dụng. Trường hợp không đề nghị tên/mã trạm sẽ do cơ quan cấp giấy phép quy định.
4.9. Kê khai tên/mã trạm của các đài vô tuyến điện có truyền thông tin vô tuyến điện với thiết bị vô tuyến điện/ đài vô tuyến điện đang đề nghị cấp phép.
4.10. Địa điểm đặt thiết bị:
- Đánh dấu “X” vào ô “Cố định” đối với thiết bị đặt cố định. Khai đầy đủ địa chỉ số nhà, đường phố, phường (xã) , quận (huyện) , thành phố (tỉnh) và kê khai kinh độ, vĩ độ theo định dạng độ, phút, giây hoặc độ thập phân của địa điểm đặt.
- Đánh dấu “X” vào ô “Di động” đối với thiết bị di động khi hoạt động. Kê khai phạm vi di động của thiết bị theo địa chỉ hành chính ví dụ di động trên địa bàn tỉnh A hoặc huyện B tỉnh A, xã C huyện B tỉnh A,...
4.11. Chỉ kê khai đối với đài bờ
- Số lượng thiết bị chính: kê khai số lượng thiết bị chính trong mạng
- Số lượng thiết bị dự phòng: kê khai số lượng thiết bị dự phòng trong mạng
4.12. Chỉ kê khai đối với trường hợp sửa đổi, bổ sung giấy phép liên quan đến các trường thông tin thuộc Mục 4
- Đánh dấu “X” vào ô “Bổ sung” đối với trường hợp thêm thiết bị mới vào mạng và khai đầy đủ các thông số thuộc Mục 4.
- Đánh dấu “X” vào ô “Hủy bỏ” đối với trường hợp bỏ bớt thiết bị trong giấy phép đã được cấp, ghi rõ tên thiết bị, đặt tại đâu theo quy định của giấy phép đã được cấp.
- Đánh dấu “X” vào ô “Thay thế cho thiết bị” và điền tên thiết bị cũ đã được cấp phép và khai đầy đủ các thông số thuộc Mục 4.
5. ĂNG-TEN
Kê khai tất cả các Mục từ 5.1 đến 5.6 đối với thiết bị vô tuyến điện có ăng-ten rời, không tích hợp trên thiết bị. Đối với ăng-ten tích hợp cùng thiết bị chỉ yêu cầu kê khai Mục 5.2 và 5.6 các mục khác không bắt buộc.
5.1. Kê khai tên, ký hiệu theo tài liệu kĩ thuật (VD: DB404, AD-22/C, ...). Trong trường hợp trên ăng - ten không hiển thị rõ tên ăng-ten thì phải ghi rõ loại ăng - ten (ví dụ: Loga-chu kỳ, Yagi, Dipole, ăng-ten khe nửa sóng, dàn chấn tử đồng pha, v.v...)
5.2. Kê khai dải tần số mà trong giới hạn đó, ăng-ten làm việc được theo thiết kế.
5.3. Kê khai hệ số khuếch đại theo thiết kế tính theo đơn vị dBi.
5.4. Kê khai phân cực của ăng-ten theo thiết kế. Ví dụ: thẳng, đứng, ngang, tròn,...
5.5. Đánh dấu “X” vào các ô tương ứng: ND là ăng-ten với vô hướng, D là ăng-ten có hướng và kê khai là góc được tạo bởi đường tâm của búp sóng chính với phương bắc của trái đất theo chiều kim đồng hồ
5.6. Độ cao so với mặt đất: là độ cao tính từ đỉnh ăng-ten đến mặt đất nơi đặt ăng-ten (chính là kích thước của ăng-ten và độ cao của cấu trúc đặt ăng-ten) tính theo đơn vị mét (m).
6. TỔN HAO
Kê khai tổn hao của hệ thống tính theo đơn vị dB bao gồm tổn hao phi đơ (fider) của hệ thống ăng-ten, tổn hao của kết nối (connector). Mặc định là 0 dB nếu không kê khai.
7. CÁC THÔNG TIN KHÁC
Kê khai các thông tin ngoài các trường thông tin trên nếu có.
BẢN KHAI THÔNG SỐ KỸ THUẬT, KHAI THÁC 1b
Áp dụng đối với đài vô tuyến điện nghiệp dư
□ Cấp □ Sửa đổi, bổ sung nội dung cho giấy phép số…
Tờ số:../tổng số tờ của Bản khai thông số kỹ thuật, khai thác:…..
| 1. MỤC ĐÍCH SỬ DỤNG | □ Vô tuyến điện nghiệp dư □ Vô tuyến điện nghiệp dư qua vệ tinh | |||
| 2. THỜI GIAN ĐỀ NGHỊ CẤP PHÉP (đối với cấp) | ||||
| □ 1 năm □ 2 năm □ 3 năm □ 10 năm □ Khác: | ||||
| 3. THIẾT BỊ VÔ TUYẾN ĐIỆN | ||||
| 3.1. Tên thiết bị/Hãng sản xuất |
| |||
| 3.2. Thông số kỹ thuật | Băng tần hoặc tần số (kHz/MHz) | Phương thức phát/ Kiểu điều chế | Công suất phát (W) | |
| Các dải tần số của thiết bị |
|
|
| |
| Các dải tần số/ tần số đề nghị |
|
|
| |
| 3.3. Địa điểm đặt thiết bị | Số nhà, đường phố (thôn xóm), phường/xã: | |||
| Quận/ huyện : | Tỉnh/thành phố: | |||
| 3.4. Vệ tinh liên lạc (đối với vô tuyến điện nghiệp dư qua vệ tinh) | Tên vệ tinh: | Quỹ đạo: | ||
| 4. HÔ HIỆU ĐỀ NGHỊ (nếu có) |
| |||
| 5. ĐÀI LIÊN LẠC |
| |||
| 6. CHỨNG CHỈ | ||||
| 6.1. Loại |
| |||
| 6.2. Ngày cấp |
| 6.3. Ngày hết hiệu lực |
| |
| 7. CÁC THÔNG TIN KHÁC (nếu có) |
| |||
| 8. ĐỐI VỚI KHAI THÁC VIÊN VÔ TUYẾN ĐIỆN NGHIỆP DƯ LÀ NGƯỜI NƯỚC NGOÀI | ||||
| Xác nhận của tổ chức được công nhận đủ điều kiện cấp chứng chỉ vô tuyến điện nghiệp dư đối với chứng chỉ vô tuyến điện nghiệp dư nước ngoài của khai thác viên vô tuyến điện nghiệp dư đến từ những nước chưa ký thoả thuận công nhận lẫn nhau về hoạt động vô tuyến điện nghiệp dư với Việt Nam. …................................................... …................................................... | ||||
| QUYỀN HẠN, CHỨC VỤ CỦA NGƯỜI KÝ (Chữ ký của người có thẩm quyền và đóng dấu của tổ chức)
Họ và tên | ||||
Hướng dẫn kê khai Bản khai thông số kỹ thuật khai thác 1b
Được dùng để kê khai khi đề nghị cấp giấy phép sử dụng tần số và thiết bị vô tuyến điện hoặc sửa đổi, bổ sung nội dung giấy phép đã được cấp đối với đài vô tuyến điện nghiệp dư.
- Đánh dấu “X” vào ô “Cấp” nếu tổ chức, cá nhân đề nghị cấp giấy phép hoặc đánh dấu “X” vào ô “Sửa đổi, bổ sung” và điền số giấy phép đề nghị sửa đổi, bổ sung nếu tổ chức, cá nhân đề nghị sửa đổi, bổ sung nội dung giấy phép.
- Mỗi tờ khai của Bản khai thông số kỹ thuật, khai thác 1b được dùng để kê khai cho 1 đài vô tuyến điện. Có thể dùng nhiều tờ khai nếu cần kê khai nhiều đài. Lưu ý ghi rõ số thứ tự tờ và tổng số tờ của Bản khai thông số kỹ thuật, khai thác 1b.
- Kê khai tất cả các thông số trong Bản khai thông số kỹ thuật, khai thác 1b khi đề nghị cấp.
- Chỉ kê khai thông số sửa đổi, bổ sung trong Bản khai thông số kỹ thuật, khai thác 1b khi đề nghị sửa đổi, bổ sung. Các thông số giữ nguyên không cần kê khai.
1. MỤC ĐÍCH SỬ DỤNG
Đánh dấu “X” vào ô vô tuyến điện nghiệp dư nếu giấy phép được dùng để khai thác nghiệp vụ nghiệp dư. Đánh dấu “X” vào ô vô tuyến điện nghiệp dư qua vệ tinh nếu giấy phép được dùng để khai thác nghiệp vụ nghiệp dư qua vệ tinh.
2. THỜI GIAN ĐỀ NGHỊ CẤP PHÉP
Đánh dấu “X” vào ô thời gian tương ứng hoặc ghi thời gian sử dụng cụ thể theo đề nghị của tổ chức, cá nhân. Ví dụ: “3 năm 2 tháng” hoặc “từ ngày 27/02/2023 đến ngày 25/4/2026” (ghi theo ngày/tháng/năm). Chỉ kê khai đối với trường hợp cấp. Đối với trường hợp sửa đổi, bổ sung giấy phép đồng thời muốn gia hạn thì hồ sơ phải có thêm Bản khai cấp đổi, gia hạn giấy phép sử dụng tần số và thiết bị vô tuyến điện theo mẫu quy định.
3. THIẾT BỊ VÔ TUYẾN ĐIỆN
3.1. Kê khai tên thiết bị phát hoặc ký hiệu (model) của thiết bị, hãng sản xuất thiết bị.
3.2. Ghi thông số kỹ thuật vào các cột tương ứng.
- Băng tần hoặc tần số: kê khai băng tần số hoặc tần số mà thiết bị được chế tạo làm việc; băng tần hoặc tần số mà tổ chức, cá nhân đề nghị.
- Phương thức phát/Kiểu điều chế: kê khai tất cả các phương thức phát đề nghị sử dụng theo thiết kế chế tạo của thiết bị. Ví dụ: A1A; F2B; F3C; F8E; J3E;.... hoặc ghi Kiểu điều chế đề nghị sử dụng theo thiết kế chế tạo của thiết bị trong trường hợp không có thông tin về phương thức phát của thiết bị như SSB, AM,....
- Công suất phát: khai các mức công suất được thiết kế, chế tạo của thiết bị.
3.3. Địa điểm đặt thiết bị: kê khai đầy đủ địa chỉ số nhà, đường phố, phường (xã) , quận (huyện) , thành phố (tỉnh).
3.4. Vệ tinh liên lạc:
- Tên vệ tinh: tên đăng ký của vệ tinh với ITU là tên của vệ tinh (satellite network) đã được đăng ký với ITU. Tên thương mại là tên của vệ tinh mà nhà cung cấp dung lượng vệ tinh hay sử dụng khi làm việc với đối tác. (Ví dụ: Vệ tinh ở vị trí 174°E của Intelsat có tên thương mại là IS802@174°E khác với tên đã đăng ký với ITU là INTELSAT8 174E), ví dụ cách ghi: INTELSAT8 174E / IS802@174°E.
- Quỹ đạo: ghi rõ vị trí quỹ đạo của vệ tinh theo độ, phút, giây.
4. HÔ HIỆU ĐỀ NGHỊ
Kê khai hô hiệu theo dãy hô hiệu Vô tuyến điện nghiệp dư được Quốc tế phân chia cho Việt Nam sử dụng. Trường hợp không kê khai thông tin này, hô hiệu sẽ do Cơ quan quản lý quy định.
5. ĐÀI LIÊN LẠC
Kê khai hô hiệu hoặc tên của các đài vô tuyến điện nghiệp dư có thiết lập liên lạc vô tuyến điện với đài đề nghị cấp giấy phép.
6. CHỨNG CHỈ
Văn bản do các tổ chức được Bộ Thông tin và Truyền thông công nhận đủ điều kiện cấp chứng chỉ vô tuyến điện nghiệp dư hoặc văn bản do Cơ quan quản lý có thẩm quyền của nước ngoài cấp.
6.1. Ghi rõ trình độ của Chứng chỉ khai thác viên vô tuyến điện nghiệp dư (cấp 1 /cấp 2/cấp 3/cấp 4) đối với chứng chỉ do Việt Nam cấp.
Hệ thống Chứng chỉ vô tuyến điện nghiệp dư gồm:
a) Chứng chỉ vô tuyến điện nghiệp dư cấp 1: Người có chứng chỉ này được quyền khai thác các loại thiết bị vô tuyến điện của một đài vô tuyến điện nghiệp dư trên tất cả các phương thức phát với công suất phát ra ăng-ten không vượt quá 1 kw, làm việc trên tất cả các băng tần quy định cho nghiệp vụ vô tuyến điện nghiệp dư;
b) Chứng chỉ vô tuyến điện nghiệp dư cấp 2: Người có chứng chỉ này được quyền khai thác các loại thiết bị vô tuyến điện của một đài vô tuyến điện nghiệp dư trên tất cả các phương thức phát với công suất phát ra ăng-ten không vượt quá 200 w, làm việc trên tất cả các băng tần quy định cho nghiệp vụ vô tuyến điện nghiệp dư;
c) Chứng chỉ vô tuyến điện nghiệp dư cấp 3: Người có chứng chỉ này được quyền khai thác các loại thiết bị vô tuyến điện của một đài vô tuyến điện nghiệp dư trên tất cả các phương thức phát với công suất phát ra ăng ten không vượt quá 50 W, làm việc trên tất cả các băng tần quy định cho nghiệp vụ vô tuyến điện nghiệp dư;
d) Chứng chỉ vô tuyến điện nghiệp dư cấp 4: Người có chứng chỉ này được quyền khai thác các loại thiết bị vô tuyến điện của một đài vô tuyến điện nghiệp dư trên tất cả các phương thức phát (trừ phương thức phát điện báo CW) với công suất phát ra ăng-ten không vượt quá 20 w, làm việc trên tất cả các băng tần quy định cho nghiệp vụ vô tuyến điện nghiệp dư.
6.2. Ghi rõ ngày cấp.
6.3. Ghi rõ ngày hết hiệu lực của chứng chỉ.
7. CÁC THÔNG TIN KHÁC
Kê khai các thông tin ngoài các trường thông tin trên nếu có.
8. Đối với các trường hợp Chứng chỉ khai thác viên vô tuyến điện nghiệp dư nước ngoài đến từ những nước chưa ký thoả thuận công nhận lẫn nhau về hoạt động vô tuyến điện nghiệp dư với Việt Nam thì phải có xác nhận của tổ chức được công nhận đủ điều kiện cấp chứng chỉ vô tuyến điện nghiệp dư.
BẢN KHAI THÔNG SỐ KỸ THUẬT, KHAI THÁC 1c
Áp dụng đối với đài vô tuyến điện đặt trên phương tiện nghề cá
□ Cấp …. □ Sửa đổi, bổ sung nội dung cho giấy phép số ….
Tờ số:..../tổng số tờ của Bản khai thông số kỹ thuật, khai thác:…
|
1. TÊN CHỦ TÀU CÁ |
|
|||
|
2. SỐ ĐĂNG KÝ TÀU CÁ |
|
|||
|
3. THỜI GIAN ĐỀ NGHỊ CẤP PHÉP (đối với cấp) |
||||
|
□ 1 năm □ 2 năm □ 3 năm □ 10 năm □ Khác: |
||||
|
4. THIẾT BỊ VÔ TUYẾN ĐIỆN HOẠT ĐỘNG TRÊN CÁC BĂNG TẦN QUY HOẠCH CHO PHƯƠNG TIỆN NGHỀ CÁ |
||||
|
LOẠI THIẾT BỊ (MF, HF, VHF) |
TÊN THIẾT BỊ |
CÔNG SUẤT PHÁT (W) |
DẢI TẦN HOẠT ĐỘNG từ....đến ... (MHz) |
THÔNG TIN |
|
|
|
|
|
□ Bổ sung □ Hủy bỏ □ Thay thế cho thiết bị ………….. |
|
|
|
|
|
□ Bổ sung □ Hủy bỏ □ Thay thế cho thiết bị ………….. |
|
|
|
|
|
□ Bổ sung □ Hủy bỏ □ Thay thế cho thiết bị ………….. |
|
|
|
|
|
□ Bổ sung □ Hủy bỏ □ Thay thế cho thiết bị ………….. |
|
5. THIẾT BỊ VÔ TUYẾN ĐIỆN GIÁM SÁT HÀNH TRÌNH TÀU CÁ QUA VỆ TINH |
||||
|
5.1. Tên thiết bị/Hãng sản xuất |
/ |
|||
|
5.2. Dải tần số phát đề nghị (MHz) |
từ đến (MHz) |
|||
|
5.3. Dải tần số thu đề nghị (MHz) |
từ đến (MHz) |
|||
|
5.4. Tên vệ tinh liên lạc |
|
|||
|
5.5. Vị trí quỹ đạo của vệ tinh (°) |
|
|||
|
5.6. Thông tin sửa đổi, bổ sung |
□ Bổ sung □ Hủy bỏ □ Thay thế cho thiết bị |
|||
|
6. CÁC THÔNG TIN KHÁC (nếu có) |
|
|||
Hướng dẫn kê khai Bản khai thông số kỹ thuật, khai thác 1c
Được dùng để kê khai khi đề nghị cấp giấy phép sử dụng tần số và thiết bị vô tuyến điện hoặc sửa đổi, bổ sung nội dung giấy phép đã được cấp đối với đài vô tuyến điện đặt trên phương tiện nghề cá
- Đánh dấu “X” vào ô “Cấp” nếu tổ chức, cá nhân đề nghị cấp giấy phép hoặc đánh dấu “X” vào ô “Sửa đổi, bổ sung” và điền số giấy phép đề nghị sửa đổi, bổ sung nếu tổ chức, cá nhân đề nghị sửa đổi, bổ sung nội dung giấy phép.
- Mỗi tàu cá kê khai trong một tờ khai của Bản khai thông số kỹ thuật, khai thác. Có thể dùng nhiều tờ khai nếu cần kê khai cho nhiều tàu cá. Lưu ý ghi rõ số thứ tự của từng tờ kèm theo tổng số tờ của Bản khai thông số kỹ thuật, khai thác 1c.
- Kê khai đầy đủ các thông tin vào Bản khai thông số kỹ thuật, khai thác 1c khi đề nghị cấp.
- Chỉ kê khai các thông số có thay đổi hoặc bổ sung vào Bản khai thông số kỹ thuật, khai thác 1c khi bổ sung, sửa đổi. Các thông số khác không thay đổi, giữ nguyên không cần kê khai.
1. TÊN CHỦ TÀU CÁ
Ghi tên chủ của tàu cá.
2. SỐ ĐĂNG KÝ TÀU CÁ
Ghi số đăng ký tàu cá.
3. THỜI GIAN ĐỀ NGHỊ CẤP PHÉP
Đánh dấu “X” vào ô thời gian tương ứng hoặc ghi thời gian sử dụng cụ thể theo đề nghị của tổ chức, cá nhân. Ví dụ: “3 năm 2 tháng” hoặc “từ ngày 27/02/2023 đến ngày 25/4/2026” (ghi theo ngày/tháng/năm). Chỉ kê khai đối với trường hợp cấp. Đối với trường hợp sửa đổi, bổ sung nội dung giấy phép đồng thời muốn gia hạn thì hồ sơ phải có thêm Bản khai cấp đổi, gia hạn giấy phép sử dụng tần số và thiết bị vô tuyến điện theo mẫu quy định.
4. THIẾT BỊ VÔ TUYẾN ĐIỆN HOẠT ĐỘNG TRÊN CÁC BĂNG TẦN QUY HOẠCH CHO ĐÀI VÔ TUYẾN ĐIỆN ĐẶT TRÊN PHƯƠNG TIỆN NGHỀ CÁ
- Kê khai loại thiết bị, ví dụ: MF/HF, VHF,...
- Kê khai tên của thiết bị, ví dụ: Yeasu FT-450, Vertex VX-1700,...
- Kê khai công suất phát theo thiết kế chế tạo của thiết bị của thiết bị theo đơn vị Watt (W)
- Kê khai dải tần số phát, thu mà thiết bị có thể làm việc theo thiết kế chế tạo.
- Chỉ kê khai đối với trường hợp sửa đổi, bổ sung giấy phép liên quan đến các trường thông tin thuộc Mục 4
+ Đánh dấu “X” vào ô “Bổ sung” đối với trường hợp thêm thiết bị mới vào mạng và khai đầy đủ các thông số thuộc mục 4.
+ Đánh dấu “X” vào ô “Hủy bỏ” đối với trường hợp bỏ bớt thiết bị trong giấy phép đã được cấp, ghi rõ tên thiết bị.
+ Đánh dấu “X” vào ô “Thay thế cho thiết bị” và điền tên thiết bị cũ đã được cấp phép và khai đầy đủ các thông số thuộc Mục 4
5. THIẾT BỊ VÔ TUYẾN ĐIỆN GIÁM SÁT HÀNH TRÌNH TÀU CÁ QUA VỆ TINH
5.1. Kê khai tên thiết bị phát hoặc ký hiệu (model) của thiết bị, hãng sản xuất thiết bị. Ví dụ: MARINESTAR MNB-01, ST6100, BK88VN, BA-SAT-01,...
5.2. Kê khai dải tần số phát đề nghị theo đơn vị MHz, ví dụ: 1616-1626,5MHz; 1626,5-1660,5MHz.
5.3. Kê khai dải tần số thu đề nghị theo đơn vị MHz, ví dụ: 1616-1626,5MHz; 1525-1559MHz.
5.4. Kê khai tên vệ tinh liên lạc. Ví dụ: Inmarsat-I4, Thuraya,...
5.5. Kê khai vị trí quỹ đạo của vệ tinh theo độ, phút, giây. Ví dụ: 143,5°E
5.6. Chỉ kê khai đối với trường hợp sửa đổi, bổ sung nội dung giấy phép liên quan đến các trường thông tin thuộc Mục 5
- Đánh dấu “X” vào ô “Bổ sung” đối với trường hợp thêm thiết bị mới vào mạng và khai đầy đủ các thông số thuộc Mục 5.
- Đánh dấu “X” vào ô “Hủy bỏ” đối với trường hợp bỏ bớt thiết bị trong giấy phép đã được cấp, ghi rõ tên thiết bị, đặt tại đâu theo quy định của giấy phép đã được cấp.
- Đánh dấu “X” vào ô “Thay thế cho thiết bị” và điền tên thiết bị cũ đã được cấp phép và khai đầy đủ các thông số thuộc Mục 5.
6. CÁC THÔNG TIN KHÁC
Kê khai các thông tin ngoài các trường thông tin trên nếu có.
BẢN KHAI THÔNG SỐ KỸ THUẬT, KHAI THÁC 1d
Áp dụng đối với thiết bị phát thanh, truyền hình
□ Cấp □ Sửa đổi, bổ sung nội dung cho giấy phép số ….
Tờ số:..../tổng số tờ của Bản khai thông số kỹ thuật, khai thác:…
| 1. LOẠI ĐÀI: | □ Phát thanh tương tự □ Phát thanh số □ Truyền hình số □ Khác: | |||||||
| 1.1. Giấy phép hoạt động báo chí theo quy định đối với Cơ quan báo chí. | Số |
| Ngày cấp |
| ||||
| Thời hạn | từ ngày đến ngày | |||||||
| 1.2. Giấy phép viễn thông theo quy định | Số |
| Ngày cấp |
| ||||
| Thời hạn | từ ngày đến ngày | |||||||
| 1.3. Giấy chứng nhận đăng ký danh mục kênh chương trình (nếu có) | Số |
| Ngày cấp |
| ||||
| Thời hạn | từ ngày đến ngày | |||||||
| 2. LOẠI MẠNG | □ Đơn tần □ Đa tần □ Khác: | |||||||
| 3. MỤC ĐÍCH SỬ DỤNG |
| |||||||
| 4. THỜI GIAN ĐỀ NGHỊ CẤP PHÉP (đối với cấp) | ||||||||
| □ 1 năm □ 2 năm □ 3 năm □ 10 năm □ Khác: | ||||||||
| 5. DANH MỤC KÊNH CHƯƠNG TRÌNH PHÁT SÓNG TRÊN KÊNH TẦN SỐ ĐỀ NGHỊ CẤP PHÉP | ||||||||
| Tên kênh chương trình | Tốc độ bit tối đa/tối thiểu (Mbit/s) | |||||||
|
|
| |||||||
|
|
| |||||||
|
|
| |||||||
|
|
| |||||||
|
|
| |||||||
|
|
| |||||||
|
|
| |||||||
| 6. THIẾT BỊ VÔ TUYẾN ĐIỆN | ||||||||
| 6.1. Tên thiết bị/Hãng sản xuất |
| |||||||
| 6.2. Công suất danh định (W) |
| 6.3. Công suất phát sóng đề nghị (W) |
| |||||
| 6.4. Băng tần thiết bị phát |
| 6.5. Hệ - tiêu chuẩn |
| |||||
| 6.6. Kênh/tần số phát đề nghị (nếu có) |
| 6.7. Ký hiệu phát xạ |
| |||||
| 6.8. Tên/ Mã trạm |
|
|
| |||||
| 6.9. Địa điểm đặt | Số nhà, đường phố (thôn xóm), phường/xã: | |||||||
| Quận/ huyện : Tỉnh/thành phố: | ||||||||
| 7. ĂNG-TEN | ||||||||
| 7.1. Kiểu (Nhãn hiệu) |
| 7.2. Phân cực |
| |||||
| 7.3. Hướng tính | □ ND □ D Góc phương vị của hướng bức xạ chính (°): | |||||||
| 7.4. Hệ số khuếch đại (dBi) | 7.5. Độ cao so với mặt đất (m) | |||||||
| 7.6. Vị trí (tọa độ) | Kinh độ: E / Vĩ độ: N | |||||||
| 7.7. Cấu trúc bố trí |
| |||||||
| 8. TỔN HAO (dB) (nếu có) |
| |||||||
| 9. GIỜ HOẠT ĐỘNG |
| |||||||
| 10. ĐỐI VỚI THIẾT BỊ PHÁT THANH SỐ MẶT ĐẤT VÀ TRUYỀN HÌNH SỐ MẶT ĐẤT | ||||||||
| 10.1. Khoảng bảo vệ (Guard interval) |
| |||||||
| 10.2. Số lượng sóng mang (Number of carrier) |
| |||||||
| 10.3. Chế độ thu (Reception mode) |
| |||||||
| 10.4. Kiểu điều chế |
| |||||||
| 10.5. Tỉ lệ mã |
| |||||||
| 10.6. Pilot pattern |
| |||||||
| 11. PHẦN KHAI BỔ SUNG ĐỐI VỚI THIẾT BỊ PHÁT THANH AM BĂNG TẦN MF CẦN ĐĂNG KÝ QUỐC TẾ (BỔ SUNG CÁC THÔNG TIN KHÁC THEO QUY ĐỊNH CỦA LIÊN MINH VIỄN THÔNG QUỐC TẾ- ITU KHI CÓ YÊU CẦU CỦA CƠ QUAN QUẢN LÝ). | ||||||||
| 11.1. Độ dẫn điện đất (Ground conductivity- mS/m) |
| |||||||
| 11.2. Hệ số bảo vệ kênh lân cận (Adjacent channel protection radio - dB) |
| |||||||
| 11.3. Tăng ích ăng-ten theo các hướng: 0, 10, 20, ..., 350° (cung cấp đối với ăng-ten có hướng) |
| |||||||
| 12. CÁC THÔNG TIN KHÁC (nếu có) | ||||||||
| 13. ĐỐI VỚI ĐÀI PHÁT THANH KHÔNG PHẢI LÀ CƠ QUAN BÁO CHÍ |
| Xác nhận của Ủy ban nhân dân cấp huyện sở tại cho phép phát sóng các kênh chương trình được kê khai tại Mục 3, Mục 5 của bản khai trên hệ thống phát thanh: …………......... …........................ |
|
QUYỀN HẠN, CHỨC VỤ CỦA NGƯỜI KÝ(6) (Chữ ký của người có thẩm quyền và đóng dấu của cơ quan, tổ chức)
Họ và tên |
Hướng dẫn kê khai Bản khai thông số kỹ thuật, khai thác 1d
Được dùng để kê khai khi đề nghị cấp giấy phép sử dụng tần số và thiết bị vô tuyến điện hoặc sửa đổi, bổ sung nội dung giấy phép đã được cấp đối với thiết bị phát thanh truyền hình.
- Đánh dấu “X” vào ô “Cấp” nếu tổ chức đề nghị cấp giấy phép hoặc đánh dấu “X” vào ô “Sửa đổi, bổ sung” và điền số giấy phép đề nghị sửa đổi, bổ sung nếu tổ chức đề nghị sửa đổi, bổ sung nội dung giấy phép.
- Kê khai đầy đủ các thông tin vào Bản khai thông số kỹ thuật, khai thác 1d nếu đề nghị cấp. Mỗi thiết bị khai vào một tờ khai. Ghi rõ số thứ tự của tờ khai và tổng số tờ khai của Bản khai thông số kỹ thuật, khai thác ld.
- Chỉ kê khai các thông số có thay đổi hoặc bổ sung vào Bản khai thông số kỹ thuật, khai thác 1d khi bổ sung, sửa đổi. Các thông số khác không thay đổi, giữ nguyên không cần kê khai. Mỗi giấy phép đề nghị sửa đổi, bổ sung khai vào một tờ khai. Ghi rõ số thứ tự của tờ khai và tổng số tờ khai của Bản khai thông số kỹ thuật, khai thác.
1. LOẠI ĐÀI
- Đánh dấu "X" vào ô "Phát thanh tương tự" nếu bản khai này được dùng để đề nghị cấp giấy phép cho đài phát thanh FM.
- Đánh dấu "X" vào ô "Phát thanh số" nếu bản khai này được dùng để đề nghị cấp giấy phép cho đài phát thanh số.
- Đánh dấu "X" vào ô "Truyền hình số" nếu bản khai này được dùng để đề nghị cấp giấy phép cho đài truyền hình số.
- Đánh dấu "X" vào ô "Khác" nếu chưa thuộc các loại trên và kê khai rõ loại đài phát sóng.
1.1. Áp dụng đối với tổ chức là cơ quan báo chí, đài truyền thanh cấp huyện
Đối với tổ chức là cơ quan báo chí: Ghi số, cơ quan cấp, ngày cấp, thời hạn sử dụng theo Giấy phép hoạt động báo chí đối với nội dung kênh chương trình phát sóng (không áp dụng đối với việc phát lại các chương trình phát thanh, truyền hình của Trung ương);
1.2. Áp dụng đối với tổ chức là cơ quan báo chí, doanh nghiệp cung cấp dịch vụ truyền dẫn, phát sóng phát thanh, truyền hình:
Doanh nghiệp cung cấp dịch vụ truyền dẫn, phát sóng phát thanh, truyền hình: Ghi số, cơ quan cấp, ngày cấp, thời hạn sử dụng theo Giấy phép thiết lập mạng viễn thông theo quy định.
1.3. Kê khai giấy chứng nhận đăng ký danh mục kênh chương trình được phép phát sóng (nếu có).
2. LOẠI MẠNG
- Đánh dấu "X" vào ô "Đơn tần" nếu bản khai này được dùng để đề nghị cấp giấy phép cho mạng đơn tần.
- Đánh dấu "X" vào ô "Đa tần" nếu bản khai này được dùng để đề nghị cấp giấy phép cho mạng đa tần.
- Khác: ghi rõ nếu không phải đơn tần, không phải đa tần.
3. MỤC ĐÍCH SỬ DỤNG
- Đối với phát thanh tương tự: ghi rõ phát sóng, phát lại kênh chương trình nào (ví dụ: phát lại kênh chương trình VOV1 của Đài Tiếng nói Việt Nam).
- Đối với phát thanh số: ghi rõ phát sóng, phát lại kênh chương trình nào (ví dụ: phát lại kênh chương trình VOV1 của Đài Tiếng nói Việt Nam).
- Đối với truyền hình số:
+ Trường hợp tổ chức, doanh nghiệp truyền dẫn phát sóng truyền hình quảng bá: Ghi phát sóng các kênh chương trình quảng bá (đảm bảo các kênh chương trình được phép phát sóng quảng bá theo quy định).
+ Trường hợp tổ chức, doanh nghiệp cung cấp dịch vụ truyền hình trả tiền: Ghi phát sóng theo Giấy chứng nhận đăng ký danh mục kênh trên dịch vụ phát thanh, truyền hình trả tiền số ....
4. THỜI GIAN ĐỀ NGHỊ CẤP PHÉP
Đánh dấu “X” vào ô thời gian tương ứng hoặc ghi thời gian sử dụng cụ thể theo đề nghị của tổ chức, cá nhân. Ví dụ: “3 năm 2 tháng” hoặc “từ ngày 27/02/2023 đến ngày 25/4/2026” (ghi theo ngày/tháng/năm). Chỉ kê khai đối với trường hợp cấp. Đối với trường hợp sửa đổi, bổ sung nội dung giấy phép đồng thời muốn gia hạn thì hồ sơ phải có thêm Bản khai cấp đổi, gia hạn giấy phép sử dụng tần số và thiết bị vô tuyến điện theo mẫu quy định.
5. DANH MỤC KÊNH CHƯƠNG TRÌNH PHÁT SÓNG TRÊN KÊNH TẦN SỐ ĐỀ NGHỊ CẤP PHÉP
Kê khai danh sách các kênh chương trình phát sóng trên kênh tần số đề nghị cấp phép. Đối với phát thanh số/ truyền hình số kê khai thêm tốc độ bit tối đa/tối thiểu (tính theo Mbit/s)
6. THIẾT BỊ VÔ TUYẾN ĐIỆN
6.1. Kê khai đầy đủ tên thiết bị phát hoặc ký hiệu (model) của thiết bị/ Hãng sản xuất thiết bị.
6.2. Kê khai công suất phát thiết kế của thiết bị.
6.3. Kê khai mức công suất phát sóng đề nghị cấp phép (mức công suất trước khi đưa vào ăng-ten, nhỏ hơn hoặc bằng công suất danh định)
6.4. Kê khai dải tần số hoặc các kênh tần số mà thiết bị có thể làm việc theo thiết kế chế tạo.
6.5. Kê khai hệ tiêu chuẩn của đài do thiết kế chế tạo, ví dụ: DVB-T/T2; DAB+, DRM...
6.6. Kê khai kênh phát đề nghị được sử dụng hoặc tần số phát đề nghị được sử dụng (nếu có)
6.7. Ký hiệu phát xạ:
- Đối với phát thanh tương tự: Ví dụ: 180KF3EGN (mono); 300KF3EHN (stereo).
- Đối với phát thanh số: kê khai theo quy định. Ví dụ: 1M54X7EXF.
- Đối với truyền hình số: kê khai chung cho cả hình và tiếng. Ví dụ: 8M00X7FXF.
6.8. Kê khai Tên/mã trạm đề nghị sử dụng cho đài phát thanh, truyền hình trong khi hoạt động. Trường hợp không kê khai hoặc kê khai thiếu, hô hiệu sẽ do Cơ quan quản lý quy định.
6.9. Địa điểm đặt: kê khai đầy đủ địa chỉ đặt thiết bị, tên trụ sở đặt thiết bị, địa chỉ thường trú tại nơi đặt thiết bị (số nhà, đường phố, phường (xã) , quận (huyện) , thành phố (tỉnh).
7. ĂNG-TEN
7.1. Kiểu (Nhãn hiệu): kê khai tên, ký hiệu và hãng sản xuất của ăng-ten theo Tài liệu kỹ thuật (Ví dụ: Dipole, 759101 195, Kathrein). Trong trường hợp trên ăng-ten không hiển thị rõ tên ăng-ten thì phải ghi rõ loại ăng-ten (ví dụ: Dipole, Panel, lồng, chữ V, tháp, v.v...)
7.2. Phân cực: kê khai loại phân cực của ăng-ten (ví dụ: thẳng đứng, nằm ngang, phân cực tròn,...)
7.3. Hướng tính: kê khai ăng-ten có hướng (D) hay vô hướng (ND) bằng cách đánh dấu "X" vào ô tương ứng. Đối với ăng-ten có hướng (D) kê khai góc phương vị của hướng bức xạ chính (là góc được tạo bởi đường tâm của búp sóng chính với phương bắc của trái đất theo chiều kim đồng hồ).
7.4. Hệ số khuếch đại (dBi): kê khai rõ hệ số khuếch đại của ăng-ten theo đơn vị dBi.
7.5. Độ cao so với mặt đất (m): là độ cao tính từ đỉnh ăng-ten đến mặt đất (chính là kích thước của ăng-ten và độ cao của cấu trúc đặt ăng-ten) tính theo mét (m).
7.6. Vị trí (tọa độ): kê khai độ chính xác của kinh độ, vĩ độ theo định dạng độ, phút, giây hoặc độ thập phân.
7.7. Cấu trúc bố trí: kê khai việc bố trí ăng-ten theo thực tế triển khai.
8. TỔN HAO
Kê khai tổn hao của hệ thống tính theo đơn vị dB bao gồm tổn hao phi đơ (fider) của hệ thống ăng - ten, tổn hao của kết nối (connector). Mặc định là 0 dB nếu không kê khai.
9. GIỜ HOẠT ĐỘNG
Kê khai giờ hoạt động đề nghị. Đối với các Cơ quan báo chí giờ hoạt động kê khai theo Giấy phép hoạt động báo chí. Trường hợp hoạt động vào giờ bất kỳ trong ngày thì ghi “Hx”.
10. THIẾT BỊ PHÁT THANH SỐ MẶT ĐẤT VÀ TRUYỀN HÌNH SỐ MẶT ĐẤT
10.1. Khoảng bảo vệ (Guard interval): 1/4; 1/8; 1/16 ...
10.2. Số lượng sóng mang (Number of carrier): 2k; 8k...
10.3. Chế độ thu (Reception mode): kê khai chế độ thu theo quy định: F - thu cố định, M - thu lưu động; A - thu trong nhà; B - thu ngoài trời.
10.4. Kiểu điều chế: kê khai kiểu điều chế của thiết bị (ví dụ: 256-QAM, 64-QAM...).
10.5. Tỉ lệ mã: kê khai tỉ lệ mã của thiết bị.
10.6. Pilot pattern: kê khai mẫu hình tín hiệu Pilot.
11. THIẾT BỊ PHÁT THANH AM BĂNG TẦN MF (Chỉ áp dụng cho các thiết bị cần đăng ký quốc tế).
11.1. Độ dẫn điện đất: kê khai độ dẫn điện đất theo đơn vị mS/m.
11.2. Hệ số bảo vệ kênh lân cận: kê khai rõ hệ số bảo vệ kênh lân cận theo đơn vị dB.
11.3. Tăng ích ăng-ten theo các hướng:kê khai tăng ích ăng-ten theo các hướng 0, 10, 20, ...350°: áp dụng đối với ăng-ten có hướng
12. CÁC THÔNG TIN KHÁC
Kê khai các thông tin ngoài các trường thông tin trên nếu có.
13. ĐỐI VỚI ĐÀI PHÁT THANH KHÔNG PHẢI LÀ CƠ QUAN BÁO CHÍ:
- Xác nhận đồng ý của Ủy ban nhân dân cấp huyện sở tại cho phép phát sóng các kênh chương trình phát sóng nào (ghi rõ tên các kênh chương trình) được kê khai tại Mục 3 của bản khai trên hệ thống phát thanh đối với các tổ chức không phải là cơ quan báo chí (ví dụ đài truyền thanh cấp huyện, doanh nghiệp,...)
- Ghi rõ quyền hạn, chức vụ của người ký, ký tên và đóng dấu đối của UBND cấp huyện sở tại đối với văn bản giấy hoặc chữ ký số của UBND cấp huyện sở tại đối với văn bản điện tử.
BẢN KHAI THÔNG SỐ KỸ THUẬT, KHAI THÁC 1đ
Áp dụng đối với đài truyền thanh không dây
□ Cấp □ Sửa đổi, bổ sung nội dung cho giấy phép số ….
Tờ số:..../tổng số tờ của Bản khai thông số kỹ thuật, khai thác:…
|
1. MỤC ĐÍCH SỬ DỤNG |
|
||
|
2. THỜI GIAN ĐỀ NGHỊ CẤP PHÉP (đối với cấp) |
|||
|
□ 1 năm □ 2 năm □ 3 năm □ Khác: |
|||
|
3. THIẾT BỊ VÔ TUYẾN ĐIỆN |
|||
|
3.1. Tên thiết bị/Hãng sản xuất |
|
||
|
3.2. Công suất máy phát (W) |
|
||
|
3.3. Băng tần phát (MHz) |
Từ MHz đến MHz |
||
|
3.4. Ký hiệu phát xạ |
□ 100KF3E □ Khác: |
||
|
3.5. Tần số phát đề nghị (MHz) (nếu có) |
|
||
|
3.6. Địa điểm đặt |
Số nhà, đường phố (thôn xóm), phường/xã: |
||
|
Quận/ huyện : Tỉnh/thành phố: |
|||
|
4. ĂNG-TEN |
|||
|
4.1. Kiểu |
|
4.2. Phân cực |
|
|
4.3. Hệ số khuếch đại (dBi) |
|
4.4. Độ cao so với mặt đất (m) |
|
|
4.5. Hướng tính |
□ ND □ D Góc phương vị của hướng bức xạ chính (°): |
||
|
4.6. Vị trí (toạ độ) |
Kinh độ: E/ Vĩ độ : N |
||
|
5. TỔN HAO (dB) (nếu có) |
|
||
|
6. CÁC THÔNG TIN KHÁC (nếu có) |
|
||
|
7. Xác nhận của Ủy ban nhân dân cấp huyện sở tại cho phép phát sóng các kênh chương trình phát thanh được kê khai tại Mục 1 của bản khai: …........................ …........................ |
|
QUYỀN HẠN, CHỨC VỤ CỦA NGƯỜI KÝ (Chữ ký của người có thẩm quyền và đóng dấu của cơ quan, tổ chức)
Họ và tên |
Hướng dẫn kê khai Bản khai thông số kỹ thuật, khai thác 1đ
Được dùng để kê khai khi đề nghị cấp giấy phép hoặc sửa đổi, bổ sung nội dung giấy phép đã được cấp đối với đài truyền thanh không dây.
- Đánh dấu “X” vào ô “Cấp” nếu tổ chức, cá nhân đề nghị cấp giấy phép hoặc đánh dấu “X” vào ô “Sửa đổi, bổ sung” và điền số giấy phép đề nghị sửa đổi, bổ sung nếu tổ chức đề nghị sửa đổi, bổ sung nội dung giấy phép.
- Kê khai đầy đủ các thông tin vào Bản khai thông số kỹ thuật, khai thác 1đ khi đề nghị cấp. Mỗi tờ khai của Bản khai thông số kỹ thuật, khai thác 1đ được dùng để kê khai cho 1 loại thiết bị (kê khai tên thiết bị). Có thể dùng nhiều tờ khai nếu cần kê khai nhiều loại thiết bị. Lưu ý ghi rõ số thứ tự của tờ và tổng số tờ của từng Bản khai thông số kỹ thuật khai thác.
- Chỉ kê khai các thông số có thay đổi hoặc bổ sung của giấy phép vào Bản khai thông số kỹ thuật, khai thác 1đ khi sửa đổi, bổ sung theo từng giấy phép. Các thông số khác không thay đổi, giữ nguyên không cần kê khai.
1. MỤC ĐÍCH SỬ DỤNG
Kê khai rõ sử dụng tần số và thiết bị vô tuyến điện cho mục đích: ghi rõ phát sóng/ phát lại chương trình phát thanh
2. THỜI HẠN ĐỀ NGHỊ CẤP PHÉP (đối với cấp)
Đánh dấu “X” vào ô thời gian tương ứng hoặc ghi thời gian sử dụng cụ thể theo đề nghị của tổ chức, cá nhân. Ví dụ: “3 năm 2 tháng” hoặc “từ ngày 27/02/2023 đến ngày 25/4/2026” (ghi theo ngày/tháng/năm). Chỉ kê khai đối với trường hợp cấp. Đối với trường hợp sửa đổi, bổ sung nội dung giấy phép đồng thời muốn gia hạn thì hồ sơ phải có thêm Bản khai cấp đổi, gia hạn giấy phép sử dụng tần số và thiết bị vô tuyến điện theo mẫu quy định.
3. THIẾT BỊ VÔ TUYẾN ĐIỆN
3.1. Kê khai tên thiết bị phát hoặc ký hiệu (model) của thiết bị, hãng sản xuất thiết bị.
3.2. Kê khai công suất phát thiết kế của thiết bị.
3.3. Kê khai dải tần số hoặc các kênh tần số mà thiết bị có thể làm việc theo thiết kế chế tạo.
3.4. Ký hiệu phát xạ: 100KF3E.
3.5. Tần số phát đề nghị: Kê khai tần số phát đề nghị cấp phép (nếu có).
3.6. Địa điểm đặt: Kê khai tên trụ sở đặt thiết bị; địa chỉ thường trú tại nơi đặt thiết bị (số nhà, đường phố (thôn xóm), phường/ xã , quận (huyện) , thành phố (tỉnh).
4. ĂNG-TEN:
4.1. Kiểu: kê khai tên, ký hiệu của ăng-ten theo tài liệu kỹ thuật của nhà sản xuất (Ví dụ: Dipole, 759101195, Kathrein). Trong trường hợp trên ăng-ten không hiển thị rõ tên ăng-ten thì phải ghi rõ loại ăng-ten (ví dụ: Dipole, Panel, lồng, chữ V, tháp, v.v...)
4.2. Phân cực: Kê khai loại phân cực của ăng-ten (ví dụ: đứng, ngang, tròn,...).
4.3. Hệ số khuếch đại (dBi): kê khai rõ hệ số khuếch đại của ăng-ten theo đơn vị dBi.
4.4. Độ cao so với mặt đất (m): là độ cao tính từ đỉnh ăng-ten đến mặt đất (chính là kích thước của ăng-ten và độ cao của cấu trúc đặt ăng-ten) tính theo mét (m).
4.5. Hướng tính: kê khai ăng-ten có hướng (D) hay vô hướng (ND) bằng cách đánh dấu "X" vào ô cho trước. Đối với ăng-ten có hướng (D) kê khai góc phương vị của hướng bức xạ chính (là góc được tạo bởi đường tâm của búp sóng chính với phương bắc của trái đất theo chiều kim đồng hồ).
4.6. Vị trí (tọa độ): kê khai độ chính xác của kinh độ, vĩ độ theo định dạng độ, phút, giây hoặc độ thập phân.
5. TỔN HAO (DB) (nếu có):
Kê khai tổn hao của hệ thống tính theo đơn vị dB bao gồm tổn hao phi đơ (fider) của hệ thống ăng-ten, tổn hao của kết nối (connector). Mặc định là 0 dB nếu không kê khai.
6. CÁC THÔNG TIN KHÁC (nếu có): kê khai các thông tin cần bổ sung chưa có trong bản khai (nếu có).
7. XÁC NHẬN CỦA ỦY BAN NHÂN DÂN CẤP HUYỆN SỞ TẠI
- Phải có xác nhận đồng ý của Ủy ban nhân dân cấp huyện sở tại cho phép phát sóng các kênh chương trình phát thanh nào trên đài truyền thanh không dây (ghi rõ tên các kênh chương trình) được kê khai tại Mục 1 của bản khai.
- Ghi rõ quyền hạn, chức vụ của người ký, ký tên và đóng dấu đối của UBND cấp huyện sở tại đối với văn bản giấy hoặc chữ ký số của UBND cấp huyện sở tại đối với văn bản điện tử.
BẢN KHAI THÔNG SỐ KỸ THUẬT, KHAI THÁC 1e
Áp dụng đối với tuyến truyền dẫn vi ba
□ Cấp □ Sửa đổi, bổ sung cho giấy phép số….
Tờ số:.../tổng số tờ của Bản khai thông số kỹ thuật, khai thác:…
| 1. GIẤY PHÉP VIỄN THÔNG THEO QUY ĐỊNH | Số | Ngày cấp | |
| Thời hạn sử dụng | từ ngày đến ngày | ||
| 2. MỤC ĐÍCH SỬ DỤNG |
| ||
| 3. THỜI GIAN ĐỀ NGHỊ CẤP PHÉP (đối với cấp) | |||
| □ 1 năm □ 2 năm □3năm □10năm □ Khác: | |||
| 4. THÔNG SỐ CỦA TRẠM | TRẠM “THỨ NHẤT” | TRẠM “THỨ HAI” | |
| 4.1. Tên/mã trạm đề nghị |
|
| |
| 4.2. Kinh độ | E | E | |
| 4.3. Vĩ độ | N | N | |
| 4.4. Cự ly tuyến (km) |
|
| |
| 4.5. Địa điểm đặt | |||
| Số nhà, đường phố (thôn xóm), Phường/xã |
|
| |
| Quận/huyện |
|
| |
| Tỉnh/thành phố |
|
| |
| 5. THIẾT BỊ VÔ TUYẾN ĐIỆN | |||
| 5.1.Tên thiết bị |
|
| |
| 5.2. Hãng sản xuất |
|
| |
| 5.3. Dải tần số thu (MHz) |
|
| |
| 5.4. Dải tần số phát (MHz) |
|
| |
| 5.5. Tần số phát đề nghị (MHz) |
|
| |
| 5.6. Băng thông (MHz) |
|
| |
| 5.7. Công suất phát (dBm) |
|
| |
| 5.8. Kiểu điều chế |
|
| |
| 5.9. Hệ số tạp âm (dB) (nếu có) |
|
| |
| 5.10. Độ nhạy máy thu (dBm) (nếu có) |
|
| |
| 5.11. Suy hao Tx (dB) (nếu có) |
|
| |
| 5.12. Fade margin (dB) (nếu có) |
|
| |
| 6. ĂNG-TEN | |||
| 6.1. Tên |
|
| |
| 6.2. Hãng sản xuất |
|
| |
| 6.3. Hướng tính |
|
| |
| 6.4. Kích thước |
|
| |
| 6.5. Độ cao so với mặt đất (m) |
|
| |
| 6.6. Phân cực |
|
| |
| 6.7. Hệ số khuếch đại (dBi) |
|
| |
| 6.8. Giản đồ bức xạ ăng-ten (nếu có) |
|
| |
| 7. CÁC THÔNG TIN KHÁC (nếu có) |
| ||
Hướng dẫn kê khai Bản khai thông số kỹ thuật, khai thác 1e
Được dùng để kê khai khi đề nghị cấp giấy phép hoặc sửa đổi, bổ sung một số nội dung giấy phép đã được cấp đối với tuyến truyền dẫn vi ba.
- Đánh dấu “X” vào ô “cấp” nếu tổ chức, cá nhân đề nghị cấp giấy phép hoặc đánh dấu “X” vào ô “sửa đổi, bổ sung” và điền số giấy phép đề nghị sửa đổi, bổ sung nếu tổ chức, cá nhân đề nghị sửa đổi, bổ sung nội dung giấy phép.
- Kê khai đầy đủ các thông tin vào Bản khai thông số kỹ thuật, khai thác 1e khi đề nghị cấp. Mỗi tờ khai của Bản khai thông số kỹ thuật, khai thác 1e được dùng để kê khai cho một tuyến truyền dẫn vi ba. Có thể dùng nhiều tờ khai nếu cần kê khai nhiều tuyến vi ba hoặc một tuyến viba dùng nhiều tần số hoặc phân cực khác nhau. Lưu ý ghi rõ số thứ tự của tờ và tổng số tờ của từng Bản khai thông số kỹ thuật, khai thác.
- Chỉ kê khai các thông số có thay đổi hoặc bổ sung của giấy phép vào Bản khai thông số kỹ thuật, khai thác 1e khi bổ sung, sửa đổi theo từng giấy phép. Các thông số khác không thay đổi, giữ nguyên không cần kê khai.
1. GIẤY PHÉP VIỄN THÔNG
Kê khai số giấy phép thiết lập mạng viễn thông, ngày cấp và thời hạn sử dụng của giấy phép nếu thuộc đối tượng phải có giấy phép viễn thông theo quy định về viễn thông.
2. MỤC ĐÍCH SỬ DỤNG
Kê khai rõ sử dụng tần số và thiết bị vô tuyến điện cho mục đích gì. Ví dụ: truyền dẫn nội tỉnh, truyền dẫn trong mạng thông tin di động,....
3. THỜI GIAN ĐỀ NGHỊ CẤP PHÉP
Đánh dấu “X” vào ô thời gian tương ứng hoặc ghi thời gian sử dụng cụ thể theo đề nghị của tổ chức, cá nhân. Ví dụ: “3 năm 2 tháng” hoặc “từ ngày 27/02/2023 đến ngày 25/4/2026” (ghi theo ngày/tháng/năm). Chỉ kê khai đối với trường hợp cấp. Đối với trường hợp sửa đổi, bổ sung nội dung giấy phép đồng thời muốn gia hạn thì hồ sơ phải có thêm Bản khai cấp đổi, gia hạn giấy phép sử dụng tần số và thiết bị vô tuyến điện theo mẫu quy định.
4. THÔNG SỐ CỦA TRẠM
4.1. Tên/mã trạm đề nghị được sử dụng cho tuyến vi ba.
4.2. Kê khai Kinh độ theo định dạng độ, phút, giây hoặc độ thập phân.
4.3. Kê khai Vĩ độ của theo định dạng độ, phút, giây hoặc độ thập phân.
4.4. Là khoảng cách (tính theo đường thẳng) giữa hai trạm.
4.5. Ghi tên trụ sở đặt thiết bị; địa chỉ nơi đặt thiết bị, khai đầy đủ số nhà, đường phố (thôn, xóm), phường (xã) , quận (huyện) , thành phố (tỉnh).
5. THIẾT BỊ VÔ TUYẾN ĐIỆN
5.1. Kê khai đầy đủ tên thiết bị, gồm cả nhãn hiệu và model của thiết bị.
5.2. Kê khai tên hãng sản xuất của thiết bị.
5.3. Kê khai dải tần số thu mà thiết bị cho phép lựa chọn (tính từ tần số thấp nhất đến tần số cao nhất).
5.4. Kê khai dải tần số phát mà thiết bị cho phép lựa chọn (tính từ tần số thấp nhất đến tần số cao nhất).
5.5. Kê khai tần số phát đề nghị (MHz).
5.6. Kê khai băng thông của thiết bị (MHz), là độ chiếm dụng băng tần của thiết bị khi khai thác ở tốc độ truyền.
5.7. Kê khai công suất phát (dBm).
5.8. Kê khai các kiểu điều chế mà thiết bị cho phép chọn lựa. Ví dụ: QPSK, BPSK...
5.9. Kê khai hệ số tạp âm (dB) của máy thu.
5.10. Kê khai độ nhạy của máy thu (dBm).
5.11. Kê khai suy hao trên đường truyền ra ăng-ten của máy phát. Mặc định bằng 0 nếu không kê khai.
5.12. Kê khai dự trữ pha-định theo đơn vị dB. Mặc định bằng 0 nếu không kê khai.
6. THÔNG SỐ KỸ THUẬT CỦA ĂNG-TEN
6.1. Khai tên, ký hiệu và hãng sản xuất của ăng-ten theo tài liệu kỹ thuật (VD: Loga-chu kỳ,
6.2. AD-22/C, Trival). Trong trường hợp không có tên ăng-ten thì phải ghi rõ loại ăng-ten (ví dụ: Parabol, Yagi, Dipole, ăng-ten khe nửa sóng, v.v...)
6.3. Hướng tính của ăng-ten: có hướng (D) hay vô hướng (ND).
6.4. Kích thước của ăng-ten là độ dài của ăng-ten hoặc đường kính của ăng-ten theo thiết kế chế tạo, tính bằng mét (m).
6.5. Độ cao so với mặt đất (m): là độ cao tính từ đỉnh ăng-ten đến mặt đất (chính là kích thước của ăng-ten và độ cao của cấu trúc đặt ăng-ten) tính theo đơn vị mét (m).
6.6. Kê khai phân cực của ăng-ten theo thiết kế. Ví dụ: thẳng, đứng, ngang, tròn,...
6.7. Kê khai hệ số khuếch đại theo thiết kế tính theo đơn vị dBi
6.8. Giản đồ bức xạ: đối với ăng-ten theo chuẩn của ITU khai ký hiệu của giản đồ; đối với ăng-ten không theo khuyến nghị của ITU, cung cấp giản đồ bức xạ của ăng-ten và tài liệu kỹ thuật mô tả các đặc tính kỹ thuật của ăng-ten.
7. CÁC THÔNG TIN KHÁC: Kê khai các thông tin ngoài các trường thông tin trên (nếu có).
BẢN KHAI THÔNG SỐ KỸ THUẬT, KHAI THÁC 1g1
Áp dụng đối với mạng viễn thông dùng riêng sử dụng tần số thuộc nghiệp vụ di động mặt đất
□ Cấp □ Sửa đổi, bổ sung nội dung cho giấy phép số ….
Tờ số: ..../tổng số tờ của Bản khai thông số kỹ thuật, khai thác: …
| 1. GIẤY PHÉP VIỄN THÔNG THEO QUY ĐỊNH | Số | Ngày cấp |
| ||
| Thời hạn sử dụng | từ ngày đến ngày | ||||
| 2. MỤC ĐÍCH SỬ DỤNG |
| ||||
| 3. THỜI GIAN ĐỀ NGHỊ CẤP GIẤY PHÉP (đối với cấp) | |||||
| □ 1 năm □ 2 năm □ 3 năm □ 10 năm □ Khác: | |||||
| 4. TỔNG SỐ THIẾT BỊ TRONG MẠNG |
| ||||
| 5. PHẠM VI HOẠT ĐỘNG |
| ||||
| 6. CẤU HÌNH MẠNG | □ Đơn công | ||||
| □ Song công/ Bán song công Khoảng cách thu/phát (MHz): | |||||
| 7. THIẾT BỊ VÔ TUYẾN ĐIỆN DI ĐỘNG | |||||
| 7.1. Tên thiết bị/Hãng sản xuất |
|
|
| ||
| 7.2. Các mức công suất phát (W) |
|
|
| ||
| 7.3. Ký hiệu phát xạ |
|
|
| ||
| 7.4. Dải tần thiết bị (MHz) |
|
|
| ||
| 7.5. Ăng - ten | Hệ số khuếch đại (dBi) |
|
|
| |
| Độ cao sử dụng tối đa so với mặt đất) (m) |
|
|
| ||
| 7.6. Thông tin sửa đổi, bổ sung (nếu có) | □ Bổ sung □ Hủy bỏ □ Thay thế cho thiết bị …..... | □ Bổ sung □ Hủy bỏ □ Thay thế cho thiết bị …..... | □ Bổ sung □ Hủy bỏ □ Thay thế cho thiết bị …..... | ||
| 8. THIẾT BỊ VÔ TUYẾN ĐIỆN CỐ ĐỊNH (nếu có) | |||||
| 8.1. Tên Thiết bị /Hãng sản xuất |
| ||||
| 8.2. Các mức công suất phát (W) |
| ||||
| 8.3. Ký hiệu phát xạ |
| ||||
| 8.4. Dải tần thiết bị (MHz) |
| ||||
| 8.5. Địa điểm đặt | Số nhà, đường phố (thôn xóm), phường/xã: | ||||
| Quận/ huyện : Tỉnh/thành phố: | |||||
| 8.6. Tên/mã trạm (nếu có) |
| ||||
| 8.7. Ăng -ten | a. Tên (nhãn hiệu) |
| |||
| b. Dải tần làm việc |
| ||||
| c. Hệ số khuếch đại (dBi) |
| ||||
| d. Độ cao so với mặt đất (m) |
| ||||
| đ. Vị trí (tọa độ) | Kinh độ: E/Vĩ độ: N | ||||
| 8.8. Thông tin sửa đổi, bổ sung (nếu có) | □ Bổ sung □ Hủy bỏ □ Thay thế cho thiết bị | ||||
| 9. TẦN SỐ PHÁT/THU ĐỀ NGHỊ (nếu có) | Tần số phát (MHz): Tần số thu (MHz): | ||||
| 10. CÁC THÔNG TIN KHÁC (nếu có) |
| ||||
Hướng dẫn kê khai Bản khai thông số kỹ thuật, khai thác 1g1
Được dùng để kê khai khi đề nghị cấp giấy phép hoặc sửa đổi, bổ sung nội dung giấy phép đã được cấp đối với mạng viễn thông dùng riêng sử dụng tần số thuộc nghiệp vụ di động mặt đất.
- Đánh dấu “X” vào ô “Cấp” nếu tổ chức, cá nhân đề nghị cấp giấy phép hoặc đánh dấu “X” vào ô “Sửa đổi, bổ sung” và điền số giấy phép đề nghị sửa đổi, bổ sung nếu tổ chức, cá nhân đề nghị sửa đổi, bổ sung nội dung giấy phép.
- Mỗi tờ khai của Bản khai thông số kỹ thuật, khai thác 1g1 dùng để kê khai cho một mạng viễn thông dùng riêng sử dụng tần số thuộc nghiệp vụ di động mặt đất. Có thể dùng nhiều tờ khai nếu cần kê khai nhiều mạng. Lưu ý ghi rõ số thứ tự tờ khai, tổng số tờ của Bản khai thông số kỹ thuật, khai thác.
- Kê khai tất cả các thông số trong Bản khai thông số kỹ thuật, khai thác 1g1 khi đề nghị cấp.
- Chỉ kê khai các thông số có thay đổi hoặc bổ sung vào Bản khai thông số kỹ thuật, khai thác 1g1 khi bổ sung, sửa đổi. Các thông số khác không thay đổi, giữ nguyên không cần kê khai.
1. GIẤY PHÉP VIỄN THÔNG
Kê khai số giấy phép thiết lập mạng viễn thông, ngày cấp và thời hạn sử dụng của giấy phép nếu thuộc đối tượng phải có giấy phép viễn thông theo quy định về viễn thông.
2. MỤC ĐÍCH SỬ DỤNG
Kê khai rõ sử dụng tần số và thiết bị vô tuyến điện cho mục đích: Phục vụ sản xuất, kinh doanh, học tập, nghiên cứu, dự phòng,...
3. THỜI GIAN ĐỀ NGHỊ CẤP PHÉP
Đánh dấu “X” vào ô thời gian tương ứng hoặc ghi thời gian sử dụng cụ thể theo đề nghị của tổ chức, cá nhân. Ví dụ: “3 năm 2 tháng” hoặc “từ ngày 27/02/2023 đến ngày 25/4/2026” (ghi theo ngày/tháng/năm). Chỉ kê khai đối với trường hợp cấp. Đối với trường hợp sửa đổi, bổ sung nội dung giấy phép đồng thời muốn gia hạn thì hồ sơ phải có thêm Bản khai cấp đổi, gia hạn giấy phép sử dụng tần số và thiết bị vô tuyến điện theo mẫu quy định.
4. TỔNG SỐ THIẾT BỊ TRONG MẠNG
Kê khai tổng số thiết bị trong mạng
5. PHẠM VI HOẠT ĐỘNG
Kê khai phạm vi hoạt động của mạng theo địa chỉ hành chính. Trường hợp phạm vi trong cả tỉnh/thành phố thì kê khai tên tỉnh/thành phố, hoặc hoạt động trong phạm vi quận/huyện thì phải ghi địa chỉ quận/huyện A, tỉnh/thành phố B. Trường hợp, hoạt động từ hai tỉnh trở lên thì phải liệt kê cụ thể từng tỉnh/thành phố.
6. CẤU HÌNH MẠNG
Đánh dấu “X” vào ô “Đơn công” nếu mạng hoạt động ở chế độ liên lạc thu/phát trên cùng một tần số hoặc “Song công/Bán song công” nếu mạng hoạt động ở chế độ liên lạc thu/phát trên hai tần số khác nhau và ghi khoảng cách thu phát tối thiểu, khoảng cách thu phát tối đa theo đơn vị MHz.
7. THIẾT BỊ VÔ TUYẾN ĐIỆN DI DỘNG
7.1. Kê khai tên thiết bị phát hoặc ký hiệu (model) của thiết bị, hãng sản xuất thiết bị.
7.2. Kê khai các mức công suất có thể điều chỉnh được theo thiết kế chế tạo của thiết bị như: công suất nhỏ nhất, công suất nhỏ nhất, các mức công suất khác,...
7.3. Kê khai các ký hiệu phát xạ đề nghị sử dụng theo thiết kế chế tạo của thiết bị. Ví dụ: 4K00F1E; 7K60FXE; 11K0F3E; ...
7.4. Kê khai dải tần số mà thiết bị có thể làm việc theo thiết kế chế tạo.
7.5. Kê khai hệ số khuếch đại theo thiết kế tính theo đơn vị dBi và độ cao tính từ đỉnh ăng-ten đến mặt đất nơi đặt ăng-ten (chính là kích thước của ăng-ten và độ cao của cấu trúc đặt ăng-ten) tính theo đơn vị mét (m)
- Đánh dấu “X” vào ô “Bổ sung” đối với trường hợp thêm thiết bị mới vào mạng và khai đầy đủ các thông số thuộc mục 7.
- Đánh dấu “X” vào ô “Hủy bỏ” đối với trường hợp bỏ bớt thiết bị trong giấy phép đã được cấp, ghi rõ tên thiết bị.
- Đánh dấu “X” vào ô “Thay thế cho thiết bị” và điền tên thiết bị cũ đã được cấp phép và khai đầy đủ các thông số thuộc mục 7.
8. THIẾT BỊ VÔ TUYẾN ĐIỆN CỐ ĐỊNH (chỉ kê khai đối với mạng có thiết bị cố định)
8.1. Kê khai tên thiết bị phát hoặc ký hiệu (model) của thiết bị/ Hãng sản xuất thiết bị.
8.2. Kê khai các mức công suất có thể điều chỉnh được theo thiết kế chế tạo của thiết bị như: công suất lớn nhất, công suất nhỏ nhất, các mức công suất khác,...
8.3. Kê khai các ký hiệu phát xạ đề nghị sử dụng theo thiết kế chế tạo của thiết bị. Ví dụ: 4K00F1E; 7K60FXE; 11K0F3E;...
8.4. Kê khai dải tần số mà thiết bị có thể làm việc theo thiết kế chế tạo.
8.5. Khai đầy đủ địa chỉ số nhà, đường phố, phường (xã) , quận (huyện) , thành phố (tỉnh).
8.6. Kê khai tên/mã trạm đề nghị sử dụng để thuận tiện cho công việc (lưu ý: khi mạng hoạt động sẽ phải sử dụng các hô hiệu đã được ghi trong giấy phép, trường hợp không kê khai thì hô hiệu sẽ do cơ quan cấp phép quy định).
8.7. Kê khai các thông tin của ăng-ten:
a. Kê khai tên, ký hiệu theo tài liệu kỹ thuật (VD: DB404, AD-22/C, ...). Trong trường hợp trên ăng-ten không hiển thị rõ tên ăng-ten thì phải ghi rõ loại ăng-ten (ví dụ: Loga-chu kỳ, Yagi, Dipole, ăng- ten khe nửa sóng, dàn chấn tử đồng pha, v.v...)
b. Dải tần làm việc là dải tần số mà trong giới hạn đó, ăng-ten làm việc được với các chỉ tiêu kỹ thuật đã cho.
c. Kê khai hệ số khuếch đại của ăng-ten theo thiết kế tính theo đơn vị dBi.
d. Độ cao (so với mặt đất) (m): là độ cao tính từ đỉnh ăng-ten đến mặt đất (chính là kích thước của ăng-ten và độ cao của cấu trúc đặt ăng-ten), tính theo mét (m).
đ. Kê khai kinh độ, vĩ độ theo định dạng độ, phút, giây hoặc độ thập phân của địa điểm đặt ăng- ten.
8.8. Chỉ kê khai đối với trường hợp sửa đổi, bổ sung giấy phép liên quan đến các trường thông tin thuộc mục 8.
- Đánh dấu “X” vào ô “Bổ sung” đối với trường hợp thêm thiết bị mới vào mạng và khai đầy đủ các thông số thuộc mục 8.
- Đánh dấu “X” vào ô “Hủy bỏ” đối với trường hợp bỏ bớt thiết bị trong giấy phép đã được cấp, ghi rõ tên thiết bị, đặt tại đâu theo quy định của giấy phép đã được cấp.
- Đánh dấu “X” vào ô “Thay thế cho thiết bị” và điền tên thiết bị cũ đã được cấp phép và khai đầy đủ các thông số thuộc mục 8.
9. TẦN SỐ PHÁT/ THU ĐỀ NGHỊ
Kê khai tần số phát/ thu theo mong muốn được sử dụng tương ứng với cấu hình mạng tại mục 6 (không bắt buộc).
10. CÁC THÔNG TIN KHÁC
Kê khai các thông tin cần bổ sung chưa có trong bản khai nếu có.
BẢN KHAI THÔNG SỐ KỸ THUẬT, KHAI THÁC 1g2
Áp dụng đối với mạng thông tin vô tuyến điện nội bộ
□ Cấp □ Sửa đổi, bổ sung nội dung cho giấy phép số …
Tờ số:.../ tổng số tờ của Bản khai thông số kỹ thuật, khai thác: ….
| 1. MỤC ĐÍCH SỬ DỤNG | □ Liên lạc nội bộ □ Điều hành sản xuất □ Bảo vệ □ Liên lạc trong nhà hàng, khách sạn □ Khác: | |||||
| 2. THỜI GIAN ĐỀ NGHỊ CẤP PHÉP (đối với cấp) | ||||||
| □ 1 năm □ 2 năm □ 3 năm □ 10 năm □ Khác: | ||||||
| 3. TỔNG SỐ THIẾT BỊ |
| |||||
| 4. PHẠM VI HOẠT ĐỘNG | Địa chỉ | Số nhà, đường phố (thôn xóm), phường/xã: | ||||
| Quận/ huyện : | Tỉnh/thành phố: | |||||
| Vị trí (tọa độ) | Kinh độ: E | Vĩ độ: N | ||||
| 5. THIẾT BỊ VÔ TUYẾN ĐIỆN | ||||||
| 5.1. Tên thiết bị/Hãng sản xuất |
|
|
| |||
| 5.2. Các mức công suất phát (W) |
|
|
| |||
| 5.3. Ký hiệu phát xạ |
|
|
| |||
| 5.4. Dải tần thiết bị (MHz) |
|
|
| |||
| 5.5. Độ cao sử dụng tối đa so với mặt đất (m) |
|
|
| |||
| 5.6. Thông tin sửa đổi, bổ sung | □ Bổ sung □ Hủy bỏ □ Thay thế cho thiết bị …... | □ Bổ sung □ Hủy bỏ □ Thay thế cho thiết bị …... | □ Bổ sung □ Hủy bỏ □ Thay thế cho thiết bị …... | |||
| 6. TẦN SỐ ĐỀ NGHỊ (nếu có) |
| |||||
| 7. CÁC THÔNG TIN KHÁC (nếu có) |
| |||||
Hướng dẫn kê khai Bản khai thông số kỹ thuật, khai thác 1g2
Được dùng để kê khai khi đề nghị cấp giấy phép hoặc sửa đổi, bổ sung nội dung giấy phép đã được cấp đối với mạng thông tin vô tuyến điện nội bộ.
- Đánh dấu “X” vào ô “Cấp” nếu tổ chức, cá nhân đề nghị cấp hoặc đánh dấu “X” vào ô “Sửa đổi, bổ sung” và điền số giấy phép đề nghị sửa đổi, bổ sung nếu tổ chức, cá nhân đề nghị sửa đổi, bổ sung nội dung giấy phép.
- Mỗi tờ khai của Bản khai thông số kỹ thuật, khai thác 1g2 dùng để kê khai cho một mạng thông tin vô tuyến điện nội bộ. Có thể dùng nhiều tờ khai nếu cần kê khai nhiều mạng. Lưu ý ghi rõ số thứ tự tờ khai, tổng số tờ của Bản khai thông số kỹ thuật, khai thác.
- Kê khai tất cả các thông số trong Bản khai thông số kỹ thuật, khai thác 1g2 khi đề nghị cấp.
- Chỉ kê khai các thông số có thay đổi hoặc bổ sung vào Bản khai thông số kỹ thuật, khai thác 1g2 khi bổ sung, sửa đổi. Các thông số khác không thay đổi, giữ nguyên không cần kê khai.
1. MỤC ĐÍCH SỬ DỤNG
Đánh dấu “X” mục đích sử dụng tần số và thiết bị vô tuyến điện tương ứng hoặc ghi rõ mục đích sử dụng mạng thông tin vô tuyến điện nội bộ nếu khác với các lựa chọn đã có.
2. THỜI GIAN ĐỀ NGHỊ CẤP PHÉP
Đánh dấu “X” vào ô thời gian tương ứng hoặc ghi thời gian sử dụng cụ thể theo đề nghị của tổ chức, cá nhân. Ví dụ: “3 năm 2 tháng” hoặc “từ ngày 27/02/2023 đến ngày 25/4/2026” (ghi theo ngày/tháng/năm). Chỉ kê khai đối với trường hợp cấp. Đối với trường hợp sửa đổi, bổ sung nội dung giấy phép đồng thời muốn gia hạn thì hồ sơ phải có thêm Bản khai cấp đổi, gia hạn giấy phép sử dụng tần số và thiết bị vô tuyến điện theo mẫu quy định.
3. TỔNG SỐ THIẾT BỊ
Kê khai tổng số thiết bị trong mạng.
4. PHẠM VI HOẠT ĐỘNG
Khai đầy đủ địa chỉ số nhà, đường phố, phường (xã) , quận (huyện) , thành phố (tỉnh) và kê khai kinh độ, vĩ độ theo định dạng độ, phút, giây hoặc độ thập phân của địa điểm đặt.
5. THIẾT BỊ VÔ TUYẾN ĐIỆN
5.1. Kê khai tên thiết bị hoặc ký hiệu (model) của thiết bị, hãng sản xuất thiết bị.
5.2. Kê khai các mức công suất có thể điều chỉnh được theo thiết kế chế tạo của thiết bị như: công suất lớn nhất, công suất nhỏ nhất, các mức công suất khác,...
5.3. Kê khai các ký hiệu phát xạ đề nghị sử dụng theo thiết kế chế tạo của thiết bị. Ví dụ: 4K00F1E; 7K60FXE; 11K0F3E;...
5.4. Kê khai dải tần số mà thiết bị có thể làm việc theo thiết kế chế tạo.
5.5. Kê khai độ cao lớn nhất so với mặt đất khi sử dụng thiết bị, tính theo mét (m).
5.6. Chỉ kê khai đối với trường hợp sửa đổi, bổ sung giấy phép liên quan đến các trường thông tin thuộc Mục 5
- Đánh dấu “X” vào ô “Bổ sung” đối với trường hợp thêm thiết bị mới vào mạng và khai đầy đủ các thông số thuộc Mục 5.
- Đánh dấu “X” vào ô “Hủy bỏ” đối với trường hợp bỏ bớt thiết bị trong giấy phép đã được cấp, ghi rõ tên thiết bị.
- Đánh dấu “X” vào ô “Thay thế cho thiết bị” và điền tên thiết bị cũ đã được cấp phép và khai đầy đủ các thông số thuộc Mục 5.
6. TẦN SỐ ĐỀ NGHỊ
Kê khai tần số theo mong muốn được sử dụng (không bắt buộc).
7. CÁC THÔNG TIN KHÁC
Kê khai các thông tin khác chưa có trong bản khai (nếu có).
BẢN KHAI THÔNG SỐ KỸ THUẬT, KHAI THÁC 1h
Áp dụng đối với đài tàu
□ Cấp □ Sửa đổi, bổ sung nội dung cho giấy phép số…….
Tờ số:.../ tổng số tờ của Bản khai thông số kỹ thuật, khai thác:….
| 1. TÊN CHỦ TÀU |
| |||||
| 2. TÊN TÀU |
| |||||
| 3. SỐ GỌI CHỌN (nếu có) |
| |||||
| 4. THỜI GIAN ĐỀ NGHỊ CẤP PHÉP (đối với cấp) | ||||||
| □ 1 năm □ 2 năm □ 3 năm □ 10 năm □ Khác: | ||||||
| 5. THIẾT BỊ VÔ TUYẾN ĐIỆN ĐẶT TRÊN TÀU | ||||||
| LOẠI THIẾT BỊ (MF, HF, VHF,.. ) | TÊN THIẾT BỊ | CÔNG SUẤT PHÁT (W) | DẢI TẦN HOẠT ĐỘNG từ....đến.... (kHz/MHz) | PHƯƠNG THỨC PHÁT | THÔNG TIN SỬA ĐỔI, BỔ SUNG | |
|
|
|
|
|
| □ Bổ sung □ Hủy bỏ □ Thay thế cho thiết bị…. | |
|
|
|
|
|
| □ Bổ sung □ Hủy bỏ □ Thay thế cho thiết bị…. | |
|
|
|
|
|
| □ Bổ sung □ Hủy bỏ □ Thay thế cho thiết bị…. | |
|
|
|
|
|
| □ Bổ sung □ Hủy bỏ □ Thay thế cho thiết bị…. | |
|
|
|
|
|
| □ Bổ sung □ Hủy bỏ □ Thay thế cho thiết bị…. | |
|
|
|
|
|
| □ Bổ sung □ Hủy bỏ □ Thay thế cho thiết bị…. | |
| 6. CÁC THÔNG TIN KHÁC (nếu có) | ||||||
Hướng dẫn kê khai Bản khai thông số kỹ thuật khai thác 1h
Được dùng để kê khai khi đề nghị cấp giấy phép hoặc sửa đổi, bổ sung nội dung giấy phép đã được cấp đối với đài tàu.
- Đánh dấu “X” vào ô “Cấp” nếu tổ chức, cá nhân đề nghị cấp giấy phép tần số vô tuyến điện hoặc đánh dấu “X” vào ô “Sửa đổi, bổ sung” và điền số giấy phép đề nghị sửa đổi, bổ sung nếu tổ chức, cá nhân đề nghị sửa đổi, bổ sung nội dung giấy phép.
- Mỗi tờ khai của Bản khai thông số kỹ thuật, khai thác 1h dùng để kê khai cho một đài tàu. Có thể dùng nhiều tờ khai nếu cần kê khai nhiều đài tàu. Lưu ý ghi rõ số thứ tự của tờ khai và tổng số tờ ở từng Bản khai thông số kỹ thuật, khai thác.
- Kê khai đầy đủ các thông tin vào Bản khai thông số kỹ thuật, khai thác 1h nếu đề nghị cấp. Các thiết bị cùng loại có thông số giống nhau có thể kê khai một lần và ghi rõ số lượng thiết bị.
- Chỉ kê khai các thông số có thay đổi hoặc bổ sung vào Bản khai thông số kỹ thuật, khai thác 1h sửa đổi, bổ sung.
1. TÊN CHỦ TÀU
Kê khai tên của chủ sở hữu (khuyến khích viết chữ in hoa, ví dụ: NGUYỄN VĂN A).
2. TÊN TÀU
Kê khai tên của đài tàu (khuyến khích viết chữa in hoa, ví dụ: VINALINES). Lưu ý: ghi tên tàu đã được cơ quan có thẩm quyền của Việt Nam cấp.
3. SỐ GỌI CHỌN
Kê khai dãy số gồm 9 chữ số do cơ quan có thẩm quyền của Việt Nam cấp cho tàu.
4. THỜI GIAN ĐỀ NGHỊ CẤP PHÉP
Đánh dấu “X” vào ô thời gian tương ứng hoặc ghi thời gian sử dụng cụ thể theo đề nghị của tổ chức, cá nhân. Ví dụ: “3 năm 2 tháng” hoặc “từ ngày 27/02/2023 đến ngày 25/4/2026” (ghi theo ngày/tháng/năm). Chỉ kê khai đối với trường hợp cấp. Đối với trường hợp sửa đổi, bổ sung nội dung giấy phép đồng thời muốn gia hạn thì hồ sơ phải có thêm Bản khai cấp đổi, gia hạn giấy phép sử dụng tần số và thiết bị vô tuyến điện theo mẫu quy định.
5. THIẾT BỊ VÔ TUYẾN ĐIỆN ĐẶT TRÊN TÀU
Kê khai theo từng loại thiết bị, mỗi loại thiết bị kê khai vào một dòng
- Loại thiết bị: (ví dụ: HF, MF, VHF...)
- Tên thiết bị: kê khai đầy đủ tên thiết bị, gồm cả nhãn hiệu và model của thiết bị.
- Công suất phát (W): kê khai mức công suất phát của thiết bị
- Dải tần hoạt động: kê khai dải tần hoạt động của thiết bị (ví dụ: từ 5 MHz đến 10 MHz).
- Phương thức phát: Kê khai tất cả các phương thức phát đề nghị sử dụng theo thiết kế chế tạo. Ví dụ: 100HA1A; 2K10A2A; 6K00A3E; 3K00B3E; 16KF3E; 3M70F3E; 304HF1B; 6K00G8E; 2K70J3E;....
- Thông tin sửa đổi, bổ sung: chỉ kê khai đối với trường hợp sửa đổi, bổ sung giấy phép liên quan đến các trường thông tin thuộc Mục 5
+ Đánh dấu X vào ô “Bổ sung” đối với trường hợp thêm thiết bị mới vào giấy phép và khai đầy đủ các thông số thuộc Mục 5.
+ Đánh dấu X vào ô “Hủy bỏ” đối với trường hợp bỏ bớt thiết bị trong giấy phép đã được cấp, ghi rõ tên thiết bị, đặt tại đâu theo quy định của giấy phép đã được cấp.
+ Đánh dấu X vào ô “Thay thế” và điền tên thiết bị cũ đã được cấp phép và khai đầy đủ các thông số thuộc Mục 5.
6. CÁC THÔNG TIN KHÁC
Kê khai các thông tin ngoài các trường thông tin trên (nếu có).
BẢN KHAI THÔNG SỐ KỸ THUẬT, KHAI THÁC 1i
Áp dụng đối với đài vô tuyến điện liên lạc với phương tiện nghề cá
□ Cấp □ Sửa đổi, bổ sung nội dung cho giấy phép số ….
Tờ số:.../tổng số tờ của Bản khai thông số kỹ thuật, khai thác:….
| 1. MỤC ĐÍCH SỬ DỤNG |
|
| 2. THỜI GIAN ĐỀ NGHỊ CẤP PHÉP (đối với cấp) | |
| □ 1 năm □ 2 năm □ 3 năm □ 10 năm □ Khác: | |
| 3. THIẾT BỊ VÔ TUYẾN ĐIỆN | |
| 3.1. Tên thiết bị phát/ Hãng sản xuất |
|
| 3.2. Công suất phát tối đa |
|
| 3.3. Dải tần thiết bị (kHz) |
|
| 3.4. Ký hiệu phát xạ |
|
| 3.5. Tên/mã trạm (nếu có) |
|
| 3.6. Đối tượng liên lạc |
|
| 3.7. Địa điểm đặt | Số nhà, đường phố (thôn xóm), phường/xã: |
| Quận/ huyện : Tỉnh/thành phố: | |
| 4. ĂNG-TEN | |
| 4.1. Kiểu (nhãn hiệu) |
|
| 4.2. Độ cao so với mặt đất (m) |
|
| 4.3. Vị trí (tọa độ) | Kinh độ: E/Vĩ độ: N |
| 5. CÁC THÔNG TIN KHÁC (nếu có) |
|
Hướng dẫn kê khai Bản khai thông số kỹ thuật khai thác 1i
Được dùng để kê khai khi đề nghị cấp giấy phép hoặc sửa đổi, bổ sung nội dung giấy phép đã được cấp cho đài vô tuyến điện liên lạc với phương tiện nghề cá.
- Đánh dấu “X” vào ô “Cấp” nếu tổ chức, cá nhân đề nghị cấp giấy phép hoặc đánh dấu “X” vào ô “Sửa đổi, bổ sung” và điền số giấy phép đề nghị sửa đổi, bổ sung nếu tổ chức, cá nhân đề nghị sửa đổi, bổ sung nội dung giấy phép.
- Mỗi tờ khai của Bản khai thông số kỹ thuật, khai thác 1i dùng để kê khai một đài vô tuyến điện. Có thể dùng nhiều Bản khai thông số kỹ thuật, khai thác 1i nếu cần kê khai nhiều đài. Lưu ý ghi rõ số thứ tự của tờ khai, tổng số tờ của Bản khai thông số kỹ thuật, khai thác.
- Kê khai đầy đủ các thông tin vào Bản khai thông số kỹ thuật, khai thác 1i khi đề nghị cấp.
- Chỉ kê khai các thông số có thay đổi hoặc bổ sung vào Bản khai thông số kỹ thuật, khai thác 1i khi bổ sung, sửa đổi. Các thông số khác không thay đổi, giữ nguyên không cần kê khai.
1. MỤC ĐÍCH SỬ DỤNG
Kê khai mục đích sử dụng của đài, ví dụ liên lạc với phương tiện nghề cá của cá nhân, tổ chức đề nghị cấp giấy phép hay với phương tiện nghề cá của các cá nhân, tổ chức khác.
2. THỜI GIAN ĐỀ NGHỊ CẤP PHÉP:
Đánh dấu “X” vào ô thời gian tương ứng hoặc ghi thời gian sử dụng cụ thể theo đề nghị của tổ chức, cá nhân. Ví dụ: “3 năm 2 tháng” hoặc “từ ngày 27/02/2023 đến ngày 25/4/2026” (ghi theo ngày/tháng/năm). Chỉ kê khai đối với trường hợp cấp. Đối với trường hợp sửa đổi, bổ sung nội dung giấy phép đồng thời muốn gia hạn thì hồ sơ phải có thêm Bản khai cấp đổi, gia hạn giấy phép sử dụng tần số và thiết bị vô tuyến điện theo mẫu quy định.
3. THIẾT BỊ VÔ TUYẾN ĐIỆN
3.1. Kê khai tên thiết bị phát hoặc ký hiệu (model) của thiết bị, hãng sản xuất thiết bị.
3.2. Kê khai công suất phát tối đa của thiết bị.
3.3. Kê khai dải tần hoạt động của thiết bị (ví dụ: từ 1600 kHz đến 30000 kHz).
3.4. Kê khai các ký hiệu phát xạ đề nghị sử dụng theo thiết kế chế tạo của thiết bị. Ví dụ: 100HA1A; 2K10A2A; 6K00A3E; 3K00B3E; 16KF3E; 3M70F3E; 304HF1B; 6K00G8E; 2K70J3E,...
3.5. Kê khai tên/mã trạm do tổ chức, cá nhân tự đề nghị để thuận tiện trong công việc. Trường hợp không đề nghị tên/mã trạm sẽ do Cơ quan cấp phép quy định.
3.6. Kê khai tên/mã trạm của các đài vô tuyến điện có truyền thông tin vô tuyến điện với thiết bị vô tuyến điện/ đài vô tuyến điện đang đề nghị cấp phép.
3.7. Địa điểm đặt thiết bị: kê khai đầy đủ địa chỉ số nhà, đường phố, phường (xã) , quận (huyện) , thành phố (tỉnh) và kê khai kinh độ, vĩ độ theo định dạng độ, phút, giây hoặc độ thập phân của địa điểm đặt.
4. ĂNG-TEN:
4.1. Kê khai tên, ký hiệu theo tài liệu kỹ thuật (VD: DB404, AD-22/C, ...). Trong trường hợp trên ăng-ten không hiển thị rõ tên ăng-ten thì phải ghi rõ loại ăng-ten (ví dụ: Loga-chu kỳ, Yagi, Dipole, ăng-ten khe nửa sóng, dàn chấn tử đồng pha, v.v...)
4.2. Độ cao so với mặt đất: là độ cao tính từ đỉnh ăng-ten đến mặt đất nơi đặt ăng-ten (chính là kích thước của ăng-ten và độ cao của cấu trúc đặt ăng-ten) tính theo đơn vị mét (m).
4.3. Kê khai kinh độ, vĩ độ theo định dạng độ, phút, giây hoặc độ thập phân của vị trí đặt ăng-ten.
5. CÁC THÔNG TIN KHÁC
Kê khai các thông tin ngoài các trường thông tin trên (nếu có).
BẢN KHAI THÔNG SỐ KỸ THUẬT, KHAI THÁC 1m
Áp dụng đối với đài trái đất (trừ đài trái đất thuộc hệ thống GMDSS đặt trên tàu biển)
□ Cấp □ Sửa đổi, bổ sung nội dung cho giấy phép số ….
Tờ số:.../tổng số tờ của Bản khai thông số kỹ thuật, khai thác:….
| 1. GIẤY PHÉP VIỄN THÔNG THEO QUY ĐỊNH | Số |
| Ngày cấp | |||
| Thời hạn sử dụng | từ ngày: đến ngày: | |||||
| 2. MỤC ĐÍCH SỬ DỤNG | □ Thiết lập mạng viễn thông công cộng □ Thiết lập mạng viễn thông dùng riêng □ Thiết lập mạng truyền dẫn phát sóng PTTH □ Khác: | |||||
| 3. THỜI GIAN ĐỀ NGHỊ CẤP PHÉP (đối với cấp) | ||||||
| □ 1 năm □ 2 năm □ 3 năm □ 10 năm □ Khác: | ||||||
| 4. THIẾT BỊ VÔ TUYẾN ĐIỆN | ||||||
| 4.1. Hô hiệu (tên/mã đài) |
| |||||
| 4.2. Loại đài: | □ Đài trái đất đặt trên tàu bay □ Đài trái đất di động □ Đài trái đất đặt trên tàu biển □ Đài trái đất cố định □ Khác: | |||||
| 4.3. Loại thiết bị | □ Cả phát và thu □ Chỉ phát □ Chỉ thu | |||||
| 4.4. Tên thiết bị/Hãng sản xuất | / | |||||
| 4.5. Tần số phát đề nghị/dải tần phát (MHz) | /từ đến (MHz) | |||||
| 4.6. Tần số thu đề nghị/dải tần thu (MHz) | /từ đến (MHz) | |||||
| 4.7. Công suất phát (W) |
| |||||
| 4.8. Ký hiệu phát xạ | Phát: / Thu: | |||||
| 4.9. Địa điểm đặt thiết bị | Cố định | Số nhà, đường phố (thôn xóm), phường/xã: | ||||
| Quận/ huyện : Tỉnh/thành phố: | ||||||
| Di động | Tỉnh/thành phố/khu vực: | |||||
| 5. ĂNG-TEN | ||||||
| 5.1. Tên (nhãn hiệu)/ Hãng sản xuất |
| 5.2. Đường kính (m) |
| |||
| 5.3. Vị trí (tọa độ) | Kinh độ: E/ Vĩ độ: N | |||||
| 5.4. Độ rộng búp sóng (°) | Phát: / Thu: | |||||
| 5.5. Hệ số khuếch đại (dBi) | Phát: / Thu: | |||||
| 5.6. Góc phương vị lớn nhất / nhỏ nhất (°) | / | 5.7. Góc ngẩng (°) |
| |||
| 5.8. Độ cao so với mặt đất (m) |
| |||||
| 5.9. Phân cực phát | Tuyến tính: □ Đứng và/hoặc □ Ngang Tròn : □ Trái và/hoặc □ Phải | |||||
| 5.10. Phân cực thu | Tuyến tính: □ Đứng và/hoặc □ Ngang Tròn: □ Trái và/hoặc □ Phải | |||||
| 5.11. Giản đồ bức xạ phát | □ REC-580 (ITU) □ REC-465 (ITU) □ AP28 hoặc AP29 □ Khác: | |||||
| 5.12. Giản đồ bức xạ thu | □ REC-580 (ITU) □ REC-465 (ITU) □ AP28 hoặc AP29 □ Khác: | |||||
| 6. VỊ TRÍ (TỌA ĐỘ) CỦA ĐÀI TRÁI ĐẤT LIÊN LẠC (nếu có) | Kinh độ: E/ Vĩ độ: N | |||||
| 7. THÔNG TIN VỀ QUẢ VỆ TINH VÀ PHỐI HỢP TẦN SỐ QUỐC TẾ (bổ sung các thông tin khác theo quy định của Liên minh Viễn thông quốc tế - ITU khi có yêu cầu của cơ quan quản lý) | ||||||
| 7.1. Tên đăng ký của vệ tinh với ITU (hoặc tên thương mại của vệ tinh) |
| |||||
| 7.2. Vị trí quỹ đạo của vệ tinh (°) |
| |||||
| 7.3. Độ rộng băng thông của bộ phát đáp |
| |||||
| 7.4. Thông tin chi tiết về thiết bị phát của đài trái đất | Công suất đỉnh cực đại (dBW) Công suất đỉnh cực tiểu (dBW) | |||||
| 7.5. Thông tin chi tiết về thiết bị thu của đài trái đất | Tỷ số C/N: Nhiệt độ tạp âm máy thu (°K): | |||||
| 7.6. Ký hiệu búp sóng vệ tinh | Phát: /Thu | |||||
| 8. CÁC THÔNG TIN KHÁC (nếu có) |
| |||||
Hướng dẫn kê khai Bản khai thông số kỹ thuật, khai thác 1m
Được dùng để kê khai khi đề nghị cấp giấy phép hoặc sửa đổi, bổ sung nội dung trong giấy phép đã được cấp đối với đài trái đất (trừ đài trái đất thuộc hệ thống GMDSS đặt trên đài tàu).
- Đánh dấu “X” vào ô “Cấp” nếu tổ chức, cá nhân đề nghị cấp giấy phép hoặc đánh dấu “X” vào ô “Sửa đổi, bổ sung” và điền số giấy phép đề nghị sửa đổi, bổ sung nếu tổ chức, cá nhân đề nghị sửa đổi, bổ sung nội dung giấy phép.
- Kê khai đầy đủ các thông tin vào Bản khai thông số kỹ thuật, khai thác 1m khi đề nghị cấp. Mỗi tờ khai của Bản khai thông số kỹ thuật, khai thác 1m được dùng để kê khai cho một loại thiết bị (kê khai tên thiết bị). Có thể dùng nhiều tờ khai nếu cần kê khai nhiều loại thiết bị. Lưu ý ghi rõ số thứ tự của tờ và tổng số tờ của từng Bản khai thông số kỹ thuật khai thác.
- Chỉ kê khai các thông số có thay đổi hoặc bổ sung của giấy phép vào Bản khai thông số kỹ thuật, khai thác 1m khi bổ sung, sửa đổi theo từng giấy phép. Các thông số khác không thay đổi, giữ nguyên không cần kê khai.
1. GIẤY PHÉP VIỄN THÔNG
Kê khai số giấy phép thiết lập mạng viễn thông, ngày cấp và thời hạn sử dụng của giấy phép nếu thuộc đối tượng phải có giấy phép viễn thông theo quy định về viễn thông.
2. MỤC ĐÍCH SỬ DỤNG
Đánh dấu “X” vào các mục đích tương ứng.
3. THỜI GIAN ĐỀ NGHỊ CẤP PHÉP
Đánh dấu “X” vào ô thời gian tương ứng hoặc ghi thời gian sử dụng cụ thể theo đề nghị của tổ chức, cá nhân. Ví dụ: “3 năm 2 tháng” hoặc “từ ngày 27/02/2023 đến ngày 25/4/2026” (ghi theo ngày/tháng/năm). Chỉ kê khai đối với trường hợp cấp. Đối với trường hợp sửa đổi, bổ sung nội dung giấy phép đồng thời muốn gia hạn thì hồ sơ phải có thêm Bản khai cấp đổi, gia hạn giấy phép sử dụng tần số và thiết bị vô tuyến điện theo mẫu quy định.
4. THIẾT BỊ VÔ TUYẾN ĐIỆN
4.1. Kê khai tên/mã trạm mặt đất.
4.2. Đánh dấu “X” vào ô tương ứng (đài trái đất đặt trên tàu bay/ đài trái đất di động/đài trái đất đặt trên mặt đất/đài trái đất đặt trên tàu biển/khác: ghi cụ thể)
4.3. Đánh dấu “X” vào ô tương ứng (cả thu và phát, chỉ phát, chỉ thu)
4.4. Kê khai tên thiết bị hoặc ký hiệu (model) của thiết bị/ Hãng sản xuất thiết bị.
4.5. Kê khai tần số phát đề nghị và ghi dải tần phát của đài (là dải tần số mà thiết bị có thể làm việc theo thiết kế chế tạo) theo đơn vị MHz.
4.6 Kê khai tần số thu đề nghị và ghi dải tần thu của đài (là dải tần số mà thiết bị có thể làm việc theo thiết kế chế tạo) theo đơn vị MHz.
4.7. Kê khai các mức công suất có thể điều chỉnh được theo thiết kế chế tạo của thiết bị như: công suất lớn nhất, công suất nhỏ nhất, các mức công suất khác,...
4.8. Kê khai các ký hiệu phát xạ đề nghị sử dụng theo thiết kế chế tạo của thiết bị. Ví dụ: 100HA1A; 2K10A2A; 6K00A3E; 3K00B3E; 16KF3E; 3M70F3E; 304HF1B; 6K00G8E; 2K70J3E;...
4.9. Địa điểm đặt thiết bị:
Đối với thiết bị đặt cố định: kê khai đầy đủ địa chỉ số nhà, đường phố, phường (xã) , quận (huyện) , thành phố (tỉnh).
Đối với thiết bị di động khi hoạt động: kê khai phạm vi di động của thiết bị theo địa chỉ hành chính, ví dụ: di động trên địa bàn tỉnh A hoặc huyện B tỉnh A, xã C huyện B tỉnh A, lưu động trên biển,...
5. ĂNG-TEN
5.1. Kê khai tên, ký hiệu ăng-ten theo tài liệu kỹ thuật. Trong trường hợp trên ăng-ten không hiển thị rõ tên ăng-ten thì phải ghi rõ loại ăng-ten (ví dụ: Parabol trụ, Parabol tròn xoay,...), khai tên hãng sản xuất ăng-ten.
5.2. Kê khai đường kính của ăng-ten theo thiết kế chế tạo, tính bằng mét (m).
5.3. Kê khai kinh độ, vĩ độ theo định dạng độ, phút, giây hoặc độ thập phân của địa điểm đặt đối với trạm đặt cố định.
5.4. Kê khai độ rộng của búp sóng phát và độ rộng của búp sóng thu theo đơn vị độ (°), ví dụ: độ rộng của búp sóng phát là 10 độ và độ rộng của búp sóng thu là 11 độ, ghi là: 10/11.
5.5. Kê khai hệ số khuếch đại phát và ghi hệ số khuếch đại thu của ăng-ten theo đơn vị dBi, ví dụ: 10/9.
5.6. Góc phương vị là góc được tạo bởi đường tâm của búp sóng chính với phương bắc của trái đất theo chiều kim đồng hồ. Kê khai góc phương vị lớn nhất và góc phương vị nhỏ nhất trong trường hợp ăng-ten quay, ví dụ: 15 / 10.
5.7. Kê khai góc giữa hướng của ăng-ten với phương thẳng đứng (phương vuông góc với trái đất).
5.8. Độ cao so với mặt đất: là độ cao tính từ đỉnh ăng-ten đen mặt đất nơi đặt ăng-ten (chính là kích thước của ăng-ten và độ cao của cấu trúc đặt ăng-ten) tính theo đơn vị mét (m).
5.9. Đánh dấu “X” vào ô tương ứng với phân cực của ăng-ten. Với phân cực tuyến tính, đánh dấu “X” vào ô tương ứng “đứng” hoặc “ngang”; với phân cực tròn, đánh dấu “X” vào ô “trái” hoặc “phải”.
5.10. Đánh dấu “X” vào ô tương ứng với phân cực của ăng-ten. Với phân cực tuyến tính, đánh dấu “X” vào ô tương ứng “đứng” hoặc “ngang”; với phân cực tròn, đánh dấu “X” vào ô “trái” hoặc “phải”.
5.11. Đánh dấu “X” vào ô tương ứng với giản đồ bức xạ phát của ăng-ten (ví dụ: AP28, REC –580…); đối với ăng-ten không theo khuyến nghị của ITU, đề nghị cung cấp giản đồ bức xạ của ăng-ten và Tài liệu kỹ thuật mô tả các đặc tính kỹ thuật của ăng-ten.
5.12. Đánh dấu “X” vào ô tương ứng với giản đồ bức xạ thu của ăng-ten (ví dụ: AP28, REC -580...); đối với ăng-ten không theo khuyến nghị của ITU, đề nghị cung cấp giản đồ bức xạ của ăng-ten và Tài liệu kỹ thuật mô tả các đặc tính kỹ thuật của ăng-ten.
6. VỊ TRÍ CỦA ĐÀI TRÁI ĐẤT LIÊN LẠC
Kê khai vị trí tọa độ của trạm vệ tinh liên lạc (đối với trạm vệ tinh VSAT liên lạc 2 chiều - nếu có): kê khai kinh độ, vĩ độ theo định dạng độ, phút, giây hoặc độ thập phân của địa điểm đặt.
7. THÔNG TIN VỀ QUẢ VỆ TINH VÀ PHỐI HỢP TẦN SỐ QUỐC TẾ
7.1. Tên đăng ký của vệ tinh với ITU (hoặc tên thương mại): kê khai tên đăng ký của vệ tinh với ITU là tên của vệ tinh (satellite network) đã được đăng ký với ITU hoặc kê khai tên thương mại là tên của vệ tinh mà nhà cung cấp dung lượng vệ tinh hay sử dụng khi làm việc với đối tác. Ví dụ: vệ tinh ở vị trí 174°E của Intelsat có tên đã đăng ký với ITU là INTELSAT8 174E và tên thương mại là 1S8O2@174°E thì cách ghi một trong hai tên: INTELSAT8 174E hoặc IS802@174°E.
7.2. Vị trí quỹ đạo: ghi rõ vị trí quỹ đạo của vệ tinh theo độ, phút, giây
7.3. Độ rộng băng thông của bộ phát đáp: kê khai độ rộng băng thông (ví dụ: 8 MHz)
7.4. Thông tin chi tiết về thiết bị phát: kê khai công suất đỉnh lớn nhất theo đơn vị dBW và công suất đỉnh nhỏ nhất theo đơn vị dBW.
7.5. Thông tin chi tiết về thiết bị thu: kê khai tỷ số C/N (là tỷ số giữa công suất sóng mang và tạp âm) và kê khai nhiệt độ tạp âm máy thu (độ K), ghi nhiệt độ tạp âm (noise temperature) hoặc hệ số tạp âm (noise figure) của máy thu.
7.6. Ký hiệu búp sóng vệ tinh: trước khi kê khai cần trao đổi với phía đối tác cung cấp dung lượng vệ tinh để ghi chính xác ký hiệu búp sóng phát và búp sóng thu vệ tinh (associated satellite receiving designation/associated satellite receiving designation). Ký hiệu này dài không quá 4 ký tự, được ghi trong hồ sơ đăng ký của vệ tinh với ITU. Lưu ý: búp sóng phát của vệ tinh là búp sóng phát của đài trái đất và ngược lại.
8. CÁC THÔNG TIN KHÁC
Kê khai các thông tin ngoài các trường thông tin trên (nếu có).
c) Mẫu bản khai đề nghị cấp đổi, gia hạn
BẢN KHAI ĐỀ NGHỊ CẤP ĐỔI, GIA HẠN
GIẤY PHÉP SỬ DỤNG TẦN SỐ VÀ THIẾT BỊ VÔ TUYẾN ĐIỆN
1. GIA HẠN
|
Số giấy phép(1) |
Mẫu giấy phép(2) |
Thời gian đề nghị gia hạn(3) |
Số giấy phép viễn thông/ Số giấy phép hoạt động báo chí(4) |
|
|
|
|
|
|
|
|
|
|
|
|
|
|
|
|
|
|
|
|
|
|
|
|
|
|
... |
... |
... |
|
2. CẤP ĐỔI
|
Số giấy phép(1) |
Mẫu giấy phép(2) |
Lý do cấp đổi(5) |
|
|
|
|
|
|
|
|
|
|
|
|
|
|
|
|
|
|
|
|
|
... |
|
|
Bản khai đề nghị gia hạn, cấp đổi giấy phép
(1). Số giấy phép: kê khai số giấy phép cụ thể đề nghị gia hạn, cấp đổi.
(2). Mẫu giấy phép: là mẫu theo quy định trên giấy phép đã được cấp (ví dụ: Mẫu 1a; Mẫu 1b, Mẫu 1c,...).
(3). Thời gian đề nghị gia hạn: kê khai thời gian gia hạn giấy phép theo năm (01 năm,...) hoặc theo ngày tháng cụ thể (ngày/tháng/năm).
(4). Số giấy phép viễn thông/số giấy phép hoạt động báo chí: kê khai số giấy phép viễn thông/số giấy phép hoạt động báo chí nếu giấy phép viễn thông/giấy phép hoạt động được cấp trước đây có thay đổi.
(5). Ghi lý do/nguyên nhân cấp đổi giấy phép (ví dụ: do giấy phép cũ bị mất, thất lạc, cháy, rách,....).
2. Mẫu Bản khai đề nghị cấp, cấp lại, cấp đổi, gia hạn, sửa đổi, bổ sung nội dung giấy phép sử dụng băng tần - Mẫu 2
Mẫu 2
|
| CỘNG HÒA XÃ HỘI CHỦ NGHĨA VIỆT NAM
|
BẢN KHAI ĐỀ NGHỊ CẤP, CẤP LẠI, CẤP ĐỔI, GIA HẠN, SỬA ĐỔI, BỔ SUNG NỘI DUNG GIẤY PHÉP SỬ DỤNG BĂNG TẦN
CHÚ Ý: 1. Đọc kỹ phần hướng dẫn trước khi điền vào bản khai.
2. Tổ chức chỉ được cấp phép sau khi đã nộp lệ phí cấp phép và phí sử dụng tần số theo quy định của pháp luật.
Kính gửi: Cục Tần số vô tuyến điện.
| 1. TÊN TỔ CHỨC ĐỀ NGHỊ |
| |||
| 1.1. Mã số thuế | Số |
| ||
| Địa chỉ trụ sở chính |
| |||
| Cơ quan quản lý thuế |
| |||
| 1.2. Giấy phép viễn thông theo quy định | Số |
| Ngày cấp | |
| Thời hạn | Từ ngày: Đến ngày: | |||
| 1.3. Tài khoản | Số |
| ||
| Ngân hàng |
| |||
| Thanh toán phí, lệ phí qua Ngân hàng bằng Ủy nhiệm thu | □ Đồng ý □ Không đồng ý | |||
| 1.4. Địa chỉ liên lạc | Số nhà, đường phố (thôn xóm), phường/xã: | |||
| Quận/ huyện: | Tỉnh/thành phố: | |||
| 1.5. Số điện thoại |
| |||
| 2. MỤC ĐÍCH SỬ DỤNG |
| |||
| 3. THỜI GIAN ĐỀ NGHỊ CẤP PHÉP (đối với cấp, cấp lại, gia hạn) | □ 15 năm □ Khác: | |||
| 4. HÌNH THỨC NHẬN KẾT QUẢ | □ Trực tiếp □ Dịch vụ bưu chính □ Trực tuyến qua cổng dịch vụ công trực tuyến □ Trực tuyến qua hình thức trực tuyến khác: | |||
| 5. NỘP PHÍ SỬ DỤNG TẦN SỐ VÔ TUYẾN ĐIỆN (đối với thời hạn đề nghị cấp phép trên 12 tháng) | ||||
| □ 01 (một) lần cho toàn bộ thời gian cấp phép | ||||
| 6. MỤC ĐÍCH BẢN KHAI | □ Cấp □ Sửa đổi, bổ sung cho giấy phép số □ Gia hạn cho giấy phép số □ Cấp đổi cho giấy phép số □ Cấp lại | |||
| 7. PHẠM VI PHỦ SÓNG |
| |||
| 8. THÔNG SỐ KỸ THUẬT CHUNG | 8.1. Đoạn băng tần sử dụng |
| ||
| 8.2. Công nghệ sử dụng |
| |||
| 8.2.1. Tiêu chuẩn công nghệ |
| |||
| 8.2.2. Các mức giới hạn phát xạ |
| |||
| 8.3. Các tham số khác (nếu có) |
| |||
| 9. CẤU HÌNH MẠNG LƯỚI (nếu có) |
| |||
| 10. ĐĂNG KÝ TÀI KHOẢN TRỰC TUYẾN (nếu có nhu cầu và chỉ kê khai thông tin này đến khi phải sử dụng tài khoản định danh điện tử để thực hiện thủ tục hành chính trên hệ thống dịch vụ công trực tuyến theo quy định). | ||||
| Số điện thoại di động: Email: | ||||
| 11. CÁC THÔNG TIN KHÁC (nếu có) |
| |||
| 12. TỔ CHỨC ĐỀ NGHỊ (tại mục 1) CAM KẾT CÁC ĐIỀU SAU ĐÂY: 12.1. Thiết bị vô tuyến điện phù hợp quy chuẩn kỹ thuật về phát xạ vô tuyến điện, an toàn bức xạ vô tuyến điện và tương thích điện từ. 12.2. Thực hiện quy định của pháp luật về bảo đảm an toàn, an ninh thông tin; kiểm tra giải quyết nhiễu có hại và an toàn bức xạ vô tuyến điện. 12.3. Thiết kế, lắp đặt đài vô tuyến điện, cột ăng - ten phù hợp với quy định về tương thích điện từ, an toàn bức xạ vô tuyến điện, an toàn xây dựng, an toàn hàng không và quy định pháp luật có liên quan. 12.4. Kê khai đúng và chịu hoàn toàn trách nhiệm với bản khai; nộp phí, lệ phí theo quy định. | ||||
..., ngày...tháng ...năm ...
QUYỀN HẠN, CHỨC VỤ CỦA NGƯỜI KÝ
(Chữ ký của người có thẩm quyền và đóng dấu của tổ chức)
Họ và tên
HƯỚNG DẪN KÊ KHAI BẢN KHAI CẤP, CẤP LẠI, CẤP ĐỔI, GIA HẠN, SỬA ĐỔI, BỔ SUNG NỘI DUNG GIẤY PHÉP SỬ DỤNG BĂNG TẦN (MẪU 2)
I. PHẦN HƯỚNG DẪN CHUNG:
- Tất cả các bản khai không đúng quy cách, mẫu, loại nghiệp vụ, kê khai không rõ ràng, đầy đủ sẽ phải yêu cầu làm lại hoặc bổ sung cho đầy đủ.
- Đối với cấp, cấp lại: phải kê khai đầy đủ các trường thông tin trong bản khai (trừ các trường thông tin có quy định nếu có hoặc các trường kê khai theo đối tượng cụ thể).
- Đối với cấp đổi: kê khai đầy đủ các trường thông tin tại các Mục 1, 4, 6 trong bản khai. Tại Mục 6 ghi cụ thể số giấy phép đề nghị cấp đổi.
- Đối với gia hạn: kê khai đầy đủ các trường thông tin tại các Mục 1, 3, 4, 5, 6 trong bản khai. Tại Mục 6 ghi cụ thể số giấy phép đề nghị gia hạn.
- Đối với sửa đổi, bổ sung: kê khai đầy đủ các trường thông tin tại Mục 1 và chỉ kê khai các thông số có thay đổi hoặc bổ sung của giấy phép tại các mục khác của bản khai trừ Mục 3. Các thông số khác không thay đổi, giữ nguyên không cần kê khai.
- Không tẩy xoá các số liệu kê khai.
- Đóng dấu giáp lai đối với hồ sơ, tài liệu có nhiều trang văn bản.
- Khi cần liên hệ trực tiếp với Cục Tần số vô tuyến điện theo địa chỉ:
Cục Tần số vô tuyến điện - Bộ Thông tin và Truyền thông, 115 Trần Duy Hưng - Trung Hòa - Cầu Giấy - Hà Nội
Điện thoại: 024.35564919; Fax: 024.35564930
Hoặc các Trung tâm tần số vô tuyến điện khu vực thuộc Cục:
| Khu vực 1: 115 Trần Duy Hưng, phường Trung Hòa, quận Cầu Giấy, Tp. Hà Nội. Điện thoại: 024.35564919; Fax: 024.35564913 Khu vực 2: số 45 đường Trần Lựu, khu phố 5, phường An Phú, Tp. Thủ Đức, Tp. Hồ Chí Minh. Điện thoại: 028.37404179; Fax: 028.37404966 Khu vực 3: số 539, đường Trần Hưng Đạo, phường An Hải Tây, quận Sơn Trà, Tp. Đà Nẵng. Điện thoại: 0236.3933545; Fax: 0236.3933707 Khu vực 4: Số 170, đường Nguyễn Văn Cừ, phường An Bình, quận Ninh Kiều, Tp. Cần Thơ. Điện thoại: 0292.3832760; Fax: 0292.3887087
| Khu vực 5: số 783, Đại lộ Tôn Đức Thắng, phường Sở Dầu, quận Hồng Bàng, Tp. Hải Phòng. Điện thoại: 0225.3827857 / Fax: 0225.3827420 Khu vục 6: số 364, đường Lê Nin, phường Hưng Phúc, Tp. Vinh, tỉnh Nghệ An. Điện thoại: 0238.3833511; Fax: 0238.3849518 Khu vực 7: Tổ 6 thôn Phú Trạch, xã Vĩnh Thạnh, Tp. Nha Trang, tỉnh Khánh Hòa. Điện thoại: 0258.3892567; Fax: 0258.3824410. Khu vực 8: Phường Dữu Lâu, Tp. Việt Trì, tỉnh Phú Thọ. Điện thoại: 0210.3840503/ 0210.3840507/ 0210.3840504 Fax: 0210. 3840504.
|
II. PHẦN HƯỚNG DẪN CHI TIẾT:
| Mẫu 2: | Được dùng để kê khai khi đề nghị cấp, gia hạn, cấp đổi, cấp lại, sửa đổi, bổ sung nội dung giấy phép sử dụng băng tần. |
| Số: | Kê khai số ký hiệu công văn của tổ chức đề nghị cấp, gia hạn, cấp đổi, cấp lại, sửa đổi, bổ sung nội dung giấy phép sử dụng băng tần. |
| Mục 1. | Viết bằng chữ in hoa tên hợp pháp của tổ chức cấp, gia hạn, cấp đổi, cấp lại, sửa đổi, bổ sung nội dung giấy phép sử dụng băng tần (chính xác theo thông tin trên Giấy chứng nhận đăng ký thuế của tổ chức). |
| Mục 1.1. | Kê khai các thông tin chính xác theo Giấy chứng nhận đăng ký thuế của tổ chức. |
| Mục 1.2. | Kê khai theo Giấy phép viễn thông tương ứng theo quy định của pháp luật về viễn thông. Trường hợp đang thực hiện thủ tục gia hạn, sửa đổi, cấp lại giấy phép viễn thông tương ứng, tổ chức, doanh nghiệp cung cấp văn bản chứng minh việc đã nộp hồ sơ gia hạn, sửa đổi, cấp lại giấy phép viễn thông và bổ sung thông tin về Giấy phép viễn thông tương ứng được cấp để hoàn thiện bản khai. |
| Mục 1.3. | Ghi số tài khoản của tổ chức và ghi tên ngân hàng mà tổ chức mở tài khoản. Đánh dấu “X” vào ô “Đồng ý” hoặc “Không đồng ý” nếu chấp thuận hoặc không chấp thuận việc chọn hình thức thanh toán phí sử dụng tần số vô tuyến điện và lệ phí cấp giấy phép bằng Ủy nhiệm thu. |
| Mục 1.4. | Kê khai địa chỉ liên lạc của tổ chức khi địa chỉ này khác với địa chỉ đặt trụ sở của tổ chức. Địa chỉ này được sử dụng để Cơ quan quản lý gửi kết quả xử lý hồ sơ. Trường hợp không kê khai, mặc định là trùng với địa chỉ trụ sở của tổ chức. |
| Mục 1.5. | Kê khai số điện thoại liên hệ tổ chức đề nghị cấp phép hoặc số điện thoại của cá nhân trực tiếp phụ trách về các vấn đề liên quan đến cấp giấy phép. |
| Mục 2. | Ghi rõ sử dụng băng tần cho mục đích gì, ví dụ: cung cấp dịch vụ thông tin di động toàn quốc, thử nghiệm công nghệ mới, ... |
| Mục 3. | Thời hạn đề nghị cấp giấy phép: đánh dấu “X” vào ô thời gian tương ứng hoặc ghi thời hạn sử dụng cụ thể theo đề nghị của tổ chức, cá nhân. Ví dụ: “3 năm 2 tháng” hoặc “từ ngày 27/02/2023 đến ngày 25/4/2033” (ghi theo ngày/tháng/năm). |
| Mục 4. | Tổ chức lựa chọn một trong bốn hình thức nhận kết quả xử lý hồ sơ: - Đánh dấu "X" vào ô "Trực tiếp" thì kết quả giải quyết hồ sơ được trả tại các mục trả kết quả theo quy định. - Đánh dấu "X" vào ô "Dịch vụ bưu chính" thì kết quả giải quyết hồ sơ sẽ được gửi trả cho tổ chức qua đường bưu chính theo địa chỉ liên lạc tổ chức kê khai tại mục 1.4. - Đánh dấu "X" vào ô “Trực tuyến qua cổng dịch vụ công trực tuyến” thì kết quả giải quyết hồ sơ nhận trực tuyến qua cổng dịch vụ công trực tuyến hoặc các hình thức trực tuyến khác đối với tổ chức có tài khoản trên Cổng dịch vụ công trực tuyến. - Đánh dấu "X" vào ô “Trực tuyến qua hình thức trực tuyến khác” và điền thông tin hình thức trực tuyến khác nhận kết quả ví dụ email hoặc các hình thức điện tử khác thì kết quả giải quyết hồ sơ nhận trực tuyến theo thông tin với tổ chức cung cấp. Trường hợp không đánh dấu vào nội dung nào kết quả giải quyết hồ sơ sẽ được gửi qua Dịch vụ bưu chính. |
| Mục 5. | Đối với thời gian đề nghị cấp phép từ 12 tháng trở xuống mặc định tổ chức phải nộp một (01) lần phí sử dụng tần số vô tuyến điện cho toàn bộ thời hạn của giấy phép được cấp. Đối với thời gian đề nghị cấp phép trên 12 tháng: Đánh dấu “X” vào ô 01 (một) lần: nếu tổ chức đồng ý nộp 01 (một) lần phí sử dụng tần số vô tuyến điện cho toàn bộ thời hạn của giấy phép được cấp. |
| Mục 6. | Đánh dấu “X” vào ô tương ứng đối với trường hợp cấp, cấp lại, gia hạn, sửa đổi, bổ sung, cấp đổi. Trường hợp gia hạn, sửa đổi, bổ sung, cấp đổi ghi kèm số giấy phép cần gia hạn, sửa đổi, bổ sung, cấp đổi. |
| Mục 7. | Kê khai phạm vi phủ sóng đề nghị cấp phép: tên các địa phương (ví dụ: tỉnh/thành phố, quận/huyện...) nằm trong vùng phủ sóng hoặc toàn quốc. |
| Mục 8. | Các thông số kỹ thuật chung: 8.1. Kê khai đoạn băng tần đề nghị cấp phép sử dụng. 8.2. Kê khai các công nghệ sử dụng ứng với đoạn băng tần. Ví dụ: WCDMA, GSM.... (trường hợp sử dụng đồng thời nhiều loại công nghệ trên cùng một băng tần thì kê khai hết các công nghệ mà doanh nghiệp đang sử dụng). 8.2.1. Kê khai tiêu chuẩn công nghệ sử dụng. 8.2.2. Kê khai các mức giới hạn phát xạ (phát xạ giả, phát xạ trong băng, phát xạ ngoài băng...). |
| Mục 9. | Kê khai cấu hình mạng lưới. |
| Mục 10. | Kê khai email và số điện thoại di động của tổ chức đề nghị cấp phép để Cơ quan quản lý cấp tài khoản điện tử đồng thời để gửi các thông tin hỗ trợ. Chỉ kê khai thông tin tại mục này cho đến thời điểm bắt buộc sử dụng mã định danh điện tử để thực hiện thủ tục hành chính trên Hệ thống dịch vụ công trực tuyến theo quy định của pháp luật. |
| Mục 11. | Kê khai các thông tin ngoài các trường thông tin trên nếu có. |
| Ký tên, đóng dấu | - Trường hợp nộp hồ sơ nộp trực tiếp hoặc qua bưu chính: ghi chức danh quyền hạn, ký và ghi rõ họ tên của người ký, đóng dấu của tổ chức đề nghị cấp phép - Trường hợp nộp hồ sơ qua Hệ thống dịch vụ công trực tuyến không phải ký số của người có thẩm quyền và chữ ký số của tổ chức đối với tổ chức đề nghị cấp phép ở mục này. |
Mẫu bản khai đề nghị cấp, cấp lại, cấp đổi, gia hạn, sửa đổi, bổ sung nội dung giấy phép sử dụng băng tần tại Phụ lục II được thay thế bởi Mẫu số 02 tại Phụ lục III ban hành kèm theo Nghị định số 15/2026/NĐ-CP theo quy định tại khoản 2 Điều 26.
3. Mẫu Bản khai đề nghị cấp, cấp đổi, gia hạn, sửa đổi, bổ sung nội dung giấy phép sử dụng tần số và quỹ đạo vệ tinh
Mẫu 3
| Số: | CỘNG HÒA XÃ HỘI CHỦ NGHĨA VIỆT NAM
|
BẢN KHAI ĐỀ NGHỊ CẤP, CẤP ĐỔI, GIA HẠN, SỬA ĐỔI, BỔ SUNG
NỘI DUNG GIẤY PHÉP SỬ DỤNG TẦN SỐ VÀ QUỸ ĐẠO VỆ TINH
CHÚ Ý: 1. Đọc kỹ phần hướng dẫn trước khi điền vào bản khai.
2. Tổ chức chỉ được cấp phép sau khi đã nộp lệ phí cấp phép và phí sử dụng tần số theo quy định của pháp luật.
Kính gửi: Cục Tần số vô tuyến điện.
| 1. TÊN TỔ CHỨC ĐỀ NGHỊ |
| |||
| 1.1. Mã số thuế | Số |
| ||
| Địa chỉ trụ sở chính |
| |||
| Cơ quan quản lý thuế |
| |||
| 1.2. Giấy phép viễn thông theo quy định | Số |
| Ngày cấp | |
| Thời hạn sử dụng | từ ngày đến ngày | |||
| 1.3. Tài khoản | Số |
| ||
| Ngân hàng |
| |||
| Thanh toán phí, lệ phí qua Ngân hàng bằng Ủy nhiệm thu | □ Đồng ý □ Không đồng ý | |||
| 1.4. Địa chỉ liên lạc | Số nhà, đường phố (thôn xóm), phường/xã: | |||
| Quận/ huyện: Tỉnh/thành phố: | ||||
| 1.5. Số điện thoại |
| |||
| 2. HÌNH THỨC NHẬN KẾT QUẢ | □ Trực tiếp □ Dịch vụ bưu chính □ Trực tuyến qua Cổng dịch vụ công trực tuyến □ Trực tuyến qua hình thức trực tuyến khác: | |||
| 3. MỤC ĐÍCH BẢN KHAI | □ Cấp □ Gia hạn cho giấy phép số □ Sửa đổi, bổ sung nội dung cho giấy phép số □ Cấp đổi cho giấy phép số | |||
| 4. THỜI GIAN ĐỀ NGHỊ CẤP PHÉP (đối với cấp, gia hạn) | □ 15 năm □ Khác: | |||
| 5. NỘP PHÍ SỬ DỤNG TẦN SỐ VỐ TUYẾN ĐIỆN (đối với thời hạn đề nghị cấp phép trên 12 tháng) □ 01 (một) lần cho toàn bộ thời gian cấp phép | ||||
| 6. ĐĂNG KÍ TÀI KHOẢN TRỰC TUYẾN (nếu có nhu cầu và chỉ kê khai thông tin này đến khi phải sử dụng tài khoản định danh điện tử để thực hiện thủ tục hành chính trên hệ thống dịch vụ công trực tuyến theo quy định) | ||||
| Số điện thoại di động: Email: | ||||
| 7. CÁC THÔNG TIN KHÁC (nếu có) |
| |||
| 8. TỔ CHỨC ĐỀ NGHỊ (tại mục 1) CAM KẾT CÁC ĐIỀU SAU ĐÂY: 8.1. Thiết bị vô tuyến điện phù hợp quy chuẩn kỹ thuật về phát xạ vô tuyến điện, an toàn bức xạ vô tuyến điện và tương thích điện từ. 8.2. Thực hiện quy định của pháp luật về bảo đảm an toàn, an ninh thông tin. 8.3. Chấp hành quy định pháp luật về sử dụng tần số/quỹ đạo vệ tinh và thiết bị vô tuyến điện, không gây nhiễu có hại và phải chịu sự kiểm tra, kiểm soát của cơ quan quản lý nhà nước về viễn thông và tần số vô tuyến điện. 8.4. Chấp hành quy định của Liên minh Viễn thông quốc tế liên quan tới sử dụng tần số/quỹ đạo vệ tinh. 8.5. Nộp phí, lệ phí theo quy định của Liên minh Viễn thông quốc tế liên quan tới sử dụng tần số/quỹ đạo vệ tinh cho tần số/quỹ đạo vệ tinh sử dụng (nếu có). 8.6. Kê khai đúng và chịu hoàn toàn trách nhiệm với bản khai; nộp phí, lệ phí theo quy định. | ||||
…, ngày…tháng….năm….
QUYỀN HẠN, CHỨC VỤ CỦA NGƯỜI KÝ
(Chữ ký của người có thẩm quyền và đóng dấu của tổ chức)
Họ và tên
PHỤ LỤC THÔNG SỐ KỸ THUẬT, KHAI THÁC QUỸ ĐẠO VỆ TINH
| 1. SỐ LIỆU VỆ TINH | ||||||||||
| 1.1. Tên vệ tinh (tên thương mại) |
| |||||||||
| 1.2. Vị trí quỹ đạo (đối với vệ tinh địa tĩnh) |
| |||||||||
| 1.3. Số mặt phẳng quỹ đạo (đối với vệ tinh phi địa tĩnh) |
| |||||||||
| 1.4. Nhà sản xuất vệ tinh |
| |||||||||
| 1.5. Khung vệ tinh |
| |||||||||
| 1.6. Ngày phóng vệ tinh |
| |||||||||
| 1.7. Tên tổ chức, doanh nghiệp sở hữu quả vệ tinh |
| |||||||||
| 2. BĂNG TẦN | ||||||||||
| Băng tần | Dải tần số ấn định theo từng bộ phát đáp (MHz) | Phân cực | Độ rộng băng thông bộ phát đáp (MHz) | Số lượng bộ phát đáp | Vùng phủ/ vùng dịch vụ | |||||
| S | Tx1: |
| ||||||||
| Rx1: |
| |||||||||
| C | Tx1: |
| ||||||||
| Rx1: |
| |||||||||
| X | Tx1: |
| ||||||||
| Rx1: |
| |||||||||
| Ku | Tx1: |
| ||||||||
| Rx1: |
| |||||||||
| Ka | Tx1: |
| ||||||||
| Rx1: |
| |||||||||
| Khác | Tx1: |
| ||||||||
| Rx1: |
| |||||||||
| Tổng số bộ phát đáp sử dụng |
| |||||||||
| 3. THAM SỐ HOẠT ĐỘNG CỦA VỆ TINH | ||||||||||
| Tham số hoạt động của vệ tinh (vùng phủ, phát xạ, giản đồ ăng-ten,...) tuân theo giới hạn được đăng ký với Liên minh Viễn thông quốc tế (ITU) tại hồ sơ vệ tinh của mục 4 của bản khai. | ||||||||||
| 4. HỒ SƠ VỆ TINH (Vệ tinh có thể được đăng ký với ITU với nhiều bộ hồ sơ) | ||||||||||
|
| Hồ sơ 1 | Hồ sơ 2 | Hồ sơ 3 | |||||||
| 4.1. Hồ sơ vệ tinh với ITU (Tên mạng vệ tinh đăng ký với ITU) |
|
|
| |||||||
| 4.2. Số nhận dạng mạng vệ tinh |
|
|
| |||||||
| 4.3. Ngày đưa vệ tinh vào sử dụng |
|
|
| |||||||
| 4.4. Ngày xác định quyền ưu tiên |
|
|
| |||||||
| 4.5. Mã hồ sơ |
|
|
| |||||||
| ▪ API/A/ |
|
|
| |||||||
| ▪ CR/C |
|
|
| |||||||
| ▪ RES49/ |
|
|
| |||||||
| ▪ Part I-S |
|
|
| |||||||
| ▪ Part II-S |
|
|
| |||||||
| ▪ Part III-S |
|
|
| |||||||
| 4.6. Vệ tinh địa tĩnh | ||||||||||
| ▪ Vị trí quỹ đạo |
|
|
| |||||||
| ▪ Độ lệch trái |
|
|
| |||||||
| ▪ Độ lệch phải |
|
|
| |||||||
| ▪ Độ lệch nghiêng |
|
|
| |||||||
| 4.7. Vệ tinh phi địa tĩnh | ||||||||||
| 4.7.1. Số mặt phẳng quỹ đạo |
|
|
| |||||||
| 4.7.2. Vật thể tham chiếu |
|
|
| |||||||
| 4.7.3. Thông tin của mỗi mặt phẳng trong đó trái đất là vật thể tham chiếu | ||||||||||
| Số thứ tự mặt phẳng quỹ đạo | Số vệ tinh trong mặt phẳng quỹ đạo này | Chu kỳ | Điểm cực viễn (km) | Điểm cực cận (km) | ||||||
|
|
|
|
|
| ||||||
|
|
|
|
|
| ||||||
|
|
|
|
|
| ||||||
|
|
|
|
|
| ||||||
| 5. CÁC THÔNG TIN KHÁC (nếu có) | ||||||||||
|
| ||||||||||
HƯỚNG DẪN
KÊ KHAI BẢN KHAI ĐỀ NGHỊ CẤP, CẤP ĐỔI, GIA HẠN, SỬA ĐỔI, BỔ SUNG
NỘI DUNG GIẤY PHÉP SỬ DỤNG TẦN SỐ VÀ QUỸ ĐẠO VỆ TINH (MẪU 3)
I. PHẦN HƯỚNG DẪN CHUNG:
- Tất cả các bản khai không đúng quy cách, mẫu, loại nghiệp vụ, kê khai không rõ ràng, đầy đủ sẽ phải yêu cầu làm lại hoặc bổ sung cho đầy đủ.
- Đối với cấp: phải kê khai đầy đủ các trường thông tin trong bản khai, các thông số kỹ thuật khai thác tại phụ lục (trừ các trường thông tin có quy định nếu có hoặc các trường kê khai theo đối tượng cụ thể).
- Đối với cấp đổi: kê khai đầy đủ các trường thông tin tại Mục 1, 2, 3 trong bản khai. Tại Mục 3 ghi cụ thể số giấy phép đề nghị cấp đổi.
- Đối với gia hạn: kê khai đầy đủ các trường thông tin tại Mục 1, 2, 3, 4, 5 trong bản khai. Tại Mục 3 ghi cụ thể số giấy phép đề nghị gia hạn.
- Đối với sửa đổi, bổ sung nội dung giấy phép: kê khai đầy đủ các trường thông tin tại Mục 1. Tại Mục 3 ghi cụ thể số giấy phép đề nghị sửa đổi, bổ sung. Các trường thông tin khác trong bản khai thông số kỹ thuật, khai thác tại phụ lục chỉ kê khai các thông số có thay đổi hoặc bổ sung của giấy phép, các thông số khác không thay đổi, giữ nguyên không cần kê khai.
- Không tẩy xoá các số liệu kê khai.
- Đóng dấu giáp lai đối với hồ sơ, tài liệu có nhiều trang văn bản.
- Khi cần liên hệ trực tiếp với Cục Tần số vô tuyến điện theo địa chỉ:
Cục Tần số vô tuyến điện - Bộ Thông tin và truyền thông,
115 Trần Duy Hưng - Trung Hòa - Cầu Giấy - Hà Nội
Điện thoại: 024.35564919; Fax: 024.35564930
Hoặc các Trung tâm tần số vô tuyến điện khu vực thuộc Cục:
| Khu vực 1: 115 Trần Duy Hưng, phường Trung Hòa, quận Cầu Giấy, Tp. Hà Nội. Điện thoại: 024.35564919; Fax: 024.35564913 Khu vực 2: số 45 đường Trần Lựu, khu phố 5, phường An Phú, Tp. Thủ Đức, Tp. Hồ Chí Minh. Điện thoại: 028.37404179; Fax: 028.37404966 Điện thoại: 0236.3933545; Fax: 0236.3933707 Điện thoại: 0292.3832760; Fax: 0292.3887087 | Khu vực 5: số 783, Đại lộ Tôn Đức Thắng, phường Sở Dầu, quận Hồng Bàng, Tp. Hải Phòng. Điện thoại: 0225.3827857/ Fax: 0225.3827420 Khu vực 6: số 364, đường Lê Nin, phường Hưng Phúc, Tp. Vinh, tỉnh Nghệ An. Điện thoại: 0238.3833511; Fax: 0238.3849518 Điện thoại: 0258.3892567; Fax: 0258.3824410. Khu vực 8: Phường Dữu Lâu, Tp. Việt Trì, tỉnh Phú Thọ. Điện thoại: 0210.3840503/ 0210.3840507/ 0210.3840504 Fax: 0210. 3840504. |
II. PHẦN HƯỚNG DẪN CHI TIẾT:
| Mẫu 3 | Được dùng để kê khai khi đề nghị cấp, cấp đổi, gia hạn, sửa đổi, bổ sung nội dung giấy phép sử dụng tần số và quỹ đạo vệ tinh. |
| Số: | Kê khai số ký hiệu công văn của tổ chức, doanh nghiệp đề nghị cấp, cấp đổi, gia hạn, sửa đổi, bổ sung nội dung giấy phép. |
| Mục 1. | Viết bằng chữ in hoa tên hợp pháp của tổ chức đề nghị cấp phép (chính xác theo thông tin trên Giấy chứng nhận đăng ký thuế của tổ chức). |
| Mục 1.1. | Kê khai các thông tin chính xác theo Giấy chứng nhận đăng ký thuế của tổ chức. |
| Mục 1.2. | Kê khai theo Giấy phép viễn thông tương ứng theo quy định của pháp luật về viễn thông. Trường hợp đang thực hiện thủ tục gia hạn, sửa đổi, cấp lại giấy phép viễn thông tương ứng, tổ chức, doanh nghiệp cung cấp văn bản chứng minh việc đã nộp hồ sơ gia hạn, sửa đổi, cấp lại giấy phép viễn thông và bổ sung thông tin về giấy phép viễn thông tương ứng được cấp để hoàn thiện bản khai. |
| Mục 1.3. | Ghi số tài khoản của tổ chức và ghi tên ngân hàng mà tổ chức mở tài khoản. Đánh dấu “X” vào ô “Đồng ý” hoặc “Không đồng ý” nếu chấp thuận hoặc không chấp thuận việc chọn hình thức thanh toán phí sử dụng tần số vô tuyến điện và lệ phí cấp giấy phép bằng Ủy nhiệm thu. |
| Mục 1.4. | Kê khai địa chỉ liên lạc của tổ chức khi địa chỉ này khác với địa chỉ đặt trụ sở của tổ chức, địa chỉ thường trú của cá nhân. Địa chỉ này được sử dụng để Cơ quan quản lý gửi kết quả xử lý hồ sơ. Trường hợp không kê khai, mặc định là trùng với địa chỉ trụ sở của tổ chức. |
| Mục 1.5. | Kê khai số điện thoại liên hệ tổ chức đề nghị cấp phép hoặc số điện thoại của cá nhân trực tiếp phụ trách về các vấn đề liên quan đến cấp giấy phép. |
| Mục 2 | Tổ chức lựa chọn một trong bốn hình thức nhận kết quả xử lý hồ sơ: - Đánh dấu "X" vào ô "Trực tiếp" thì kết quả giải quyết hồ sơ được trả tại các mục trả kết quả theo quy định. - Đánh dấu "X" vào ô "Dịch vụ bưu chính" thì kết quả giải quyết hồ sơ sẽ được gửi trả cho tổ chức qua đường bưu chính theo địa chỉ liên lạc tổ chức kê khai tại mục 1.4. - Đánh dấu "X" vào ô “Trực tuyến qua cổng dịch vụ công trực tuyến" thì kết quả giải quyết hồ sơ nhận trực tuyến qua cổng dịch vụ công trực tuyến hoặc các hình thức trực tuyến khác đối với tổ chức có tài khoản trên Cổng dịch vụ công trực tuyến. - Đánh dấu "X" vào ô “Trực tuyến qua hình thức trực tuyến khác” và điền thông tin hình thức trực tuyến khác nhận kết quả ví dụ email hoặc các hình thức điện tử khác thì kết quả giải quyết hồ sơ nhận trực tuyến theo thông tin với tổ chức cung cấp. Trường hợp không đánh dấu vào nội dung nào kết quả giải quyết hồ sơ sẽ được gửi qua dịch vụ bưu chính. |
| Mục 3 | Đánh dấu (X) vào ô tương ứng đối với trường hợp cấp, gia hạn, sửa đổi, bổ sung, cấp đổi. Trường hợp gia hạn, sửa đổi, bổ sung, cấp đổi ghi kèm số giấy phép cần gia hạn, sửa đổi, bổ sung, cấp đổi. |
| Mục 4 | Thời hạn đề nghị cấp giấy phép: đánh dấu “X” vào ô thời gian tương ứng hoặc ghi thời hạn sử dụng cụ thể theo đề nghị của tổ chức, cá nhân. Ví dụ: “3 năm 2 tháng” hoặc “từ ngày 27/02/2023 đến ngày 25/4/2033” (ghi theo ngày/tháng/năm). |
| Mục 5 | Đối với thời gian đề nghị cấp phép từ 12 tháng trở xuống mặc định tổ chức phải nộp một (01) lần phí sử dụng tần số vô tuyến điện cho toàn bộ thời hạn của giấy phép được cấp. Đối với thời gian đề nghị cấp phép trên 12 tháng: Đánh dấu “X” vào ô 01 (một) lần: nếu tổ chức đồng ý nộp 01 (một) lần phí sử dụng tần số vô tuyến điện cho toàn bộ thời hạn của giấy phép được cấp. |
| Mục 6 | Kê khai email và số điện thoại di động của tổ chức đề nghị cấp giấy phép để Cơ quan quản lý cấp tài khoản điện tử đồng thời để gửi các thông tin hỗ trợ. Chỉ kê khai thông tin tại mục này cho đến thời điểm bắt buộc sử dụng mã định danh điện tử để thực hiện thủ tục hành chính trên Hệ thống dịch vụ công trực tuyến theo quy định của pháp luật. |
| Mục 7 | Ghi các thông tin khác ngoài các thông tin nêu trên nếu có. |
| Ký tên, đóng dấu | - Trường hợp nộp hồ sơ nộp trực tiếp hoặc qua bưu chính: Ghi chức danh quyền hạn, ký và ghi rõ họ tên của người ký, đóng dấu của tổ chức đề nghị cấp phép. - Trường hợp nộp hồ sơ qua Hệ thống dịch vụ công trực tuyến không phải ký số của người có thẩm quyền và chữ ký số của tổ chức đối với tổ chức đề nghị cấp phép ở mục này. |
Phụ lục Thông số kỹ thuật, khai thác quỹ đạo vệ tinh
1. SỐ LIỆU VỆ TINH
1.1. Tên vệ tinh (tên thương mại): là tên thương mại của vệ tinh mà nhà cung cấp dung lượng vệ tinh hay sử dụng khi làm việc với đối tác, ví dụ: VINASAT-1.
1.2. Kê khai đối với vệ tinh địa tĩnh: ghi rõ vị trí quỹ đạo của vệ tinh theo độ và theo hướng Đông/Tây.
1.3. Kê khai đối với vệ tinh phi địa tĩnh: ghi rõ số lượng mặt phẳng quỹ đạo.
1.4. Nhà sản xuất vệ tinh: tên nhà sản xuất vệ tinh, ví dụ: Lockheed Martin.
1.5. Khung vệ tinh: là tên khung vệ tinh mà quả vệ tinh được sản xuất, ví dụ: khung A2100 của LOCKHEED MARTIN.
1.6. Ngày phóng vệ tinh: ngày đưa vệ tinh vào quỹ đạo, ghi ngày/tháng/năm.
1.7. Tên tổ chức, doanh nghiệp sở hữu quả vệ tinh: là tên tổ chức, doanh nghiệp sở hữu quả vệ tinh.
2. BĂNG TẦN
- Băng tần: băng tần sử dụng của vệ tinh, ví dụ: băng tần S, C, X, Ku, Ka hoặc băng tần khác thì ghi vào mục khác.
- Dải tần số ấn định (MHz): kê khai tần số đề nghị sử dụng từ tần số cao đến tần số thấp (đơn vị MHz), ví dụ: 3400-3700 (MHz), 6425-6725 (MHz).
- Phân cực: loại phân cực được vệ tinh sử dụng.
| Tuyến tính | □ Đứng | và/hoặc | □ Ngang |
| Tròn | □ Trái | và/hoặc | □ Phải |
- Số lượng bộ phát đáp: ghi rõ số lượng bộ phát đáp cho từng loại băng tần, ví dụ: dòng Ku, cột số lượng bộ phát đáp ghi 12, có nghĩa có 12 bộ băng tần Ku.
- Độ rộng băng thông của bộ phát đáp: độ rộng thực tế của các bộ phát đáp, ví dụ: 12 bộ phát đáp băng Ku có độ rộng 36MHz, 01 bộ phát đáp băng Ku có độ rộng băng tần 54MHz thì ghi tương ứng 36MHz với 12 bộ phát đáp và ghi 54MHz với 01 bộ phát đáp.
| Băng tần | Dải tần số ấn định theo từng bộ phát đáp (MHz) | Phân cực | Độ rộng băng thông bộ phát đáp (MHz) | Số lượng bộ phát đáp | Vùng phủ |
| C | Tx1: 3406-3442 | Đứng | 36 | 12 |
|
| Rx1:6431-6467 | Đứng | 36 | |||
| Tx2: 3446-3482 |
| 36 | |||
| Rx2:6471-6507 |
| 36 | |||
| … |
| … |
| ||
| Tx12: ... |
| 36 | |||
| Rx12:.. |
| 3 |
- Vùng phủ/ vùng dịch vụ: bao gồm tên nước, khu vực tương ứng với vùng phủ của mỗi loại băng tần.
3. THAM SỐ HOẠT ĐỘNG CỦA VỆ TINH
Ghi mã hồ sơ của vệ tinh được ITU ấn định (ví dụ: mã hồ sơ của vệ tinh Intelsat8 174E là: AR11/A/864; AR11/C/2311).
4. HỒ SƠ VỆ TINH
4.1. Hồ sơ vệ tinh với ITU: là tên của vệ tinh (satellite network) đã được đăng ký với ITU. Lưu ý là tên này thường khác với tên thương mại mà nhà cung cấp dung lượng vệ tinh hay sử dụng khi làm việc với đối tác. Ví dụ: vệ tinh ở vị trí 174°E của Intelsat có tên thương mại là IS802@174°E khác với tên đã đăng ký với ITU là INTELSAT8 174E.
4.2. Số nhận dạng mạng vệ tinh: ghi số hiệu của mạng vệ tinh đã được ITU công nhận, ví dụ: VINASAT-4A2 giai đoạn CR/C có số nhận dạng 101520356.
4.3. Ngày đưa vệ tinh vào sử dụng: ghi theo ngày/tháng/năm.
4.4. Ngày xác định quyền ưu tiên (ghi theo ngày/tháng/năm): ghi ngày đăng ký bộ hồ sơ yêu cầu phối hợp gửi ITU và được ITU chấp thuận.
4.5. Mã hồ sơ đăng ký của vệ tinh: ghi mã hồ sơ của vệ tinh được ITU ấn định (ví dụ: mã hồ sơ của vệ tinh Intelsat8 174E là: AR11/A/864; AR11/C/2311)
4.6. Kê khai đối với vệ tinh địa tĩnh:
- Vị trí quỹ đạo vệ tinh: ghi rõ vị trí quỹ đạo của vệ tinh theo độ và theo hướng Đông/Tây.
- Độ lệch trái (theo độ): độ lệch về bên trái so với vị trí quỹ đạo.
- Độ lệch phải (theo độ): độ lệch về bên phải so với vị trí quỹ đạo.
- Độ lệch nghiêng (theo độ).
4.7. Kê khai đối với vệ tinh phi địa tĩnh.
4.7.1. Số mặt phẳng quỹ đạo: ghi rõ số lượng mặt phẳng quỹ đạo.
4.7.2. Vật thể tham chiếu: là trái đất, mặt trăng, mặt trời,....
4.7.3. Thông tin của mỗi mặt phẳng trong đó trái đất là vật thể tham chiếu bao gồm các thông tin: số thứ tự mặt phẳng quỹ đạo, góc nghiêng, số lượng vệ tinh trong mặt phẳng quỹ đạo, chu kỳ, độ cao điểm cực viễn tính theo km, độ cao điểm cực cận tính theo km cho mỗi hồ sơ.
5. CÁC THÔNG TIN KHÁC
Ghi các thông tin khác không có trong bản khai nếu có.
Mẫu bản khai đề nghị cấp, cấp lại, cấp đổi, gia hạn, sửa đổi, bổ sung nội dung giấy phép sử dụng tần số và quỹ đạo vệ tinh tại Phụ lục II được thay thế bởi Mẫu số 03 Phụ lục III ban hành kèm theo Nghị định số 15/2026/NĐ-CP theo quy định tại khoản 3 Điều 26.
Phụ lục III
MẪU GIẤY PHÉP SỬ DỤNG TẦN SỐ VÔ TUYẾN ĐIỆN
________________
|
Mẫu |
Giấy phép |
|
|
Giấy phép sử dụng tần số và thiết bị vô tuyến điện đối với các thiết bị vô tuyến điện không thuộc các mẫu 1b, 1c, 1d, 1đ, 1e, 1g1, 1g2, 1h, 1i, 1m, 1l. |
|
1b |
Giấy phép sử dụng tần số và thiết bị vô tuyến điện đối với đài vô tuyến điện nghiệp dư. |
|
1c |
Giấy phép sử dụng tần số và thiết bị vô tuyến điện đối với đài vô tuyến điện đặt trên phương tiện nghề cá. |
|
1d |
Giấy phép sử dụng tần số và thiết bị vô tuyến điện đối với thiết bị phát thanh, truyền hình. |
|
1đ |
Giấy phép sử dụng tần số và thiết bị vô tuyến điện đối với đài truyền thanh không dây. |
|
1e |
Giấy phép sử dụng tần số và thiết bị vô tuyến điện đối với tuyến truyền dẫn vi ba. |
|
1g1 |
Giấy phép sử dụng tần số và thiết bị vô tuyến điện đối với mạng viễn thông dùng riêng sử dụng tần số thuộc nghiệp vụ di động mặt đất. |
|
1g2 |
Giấy phép sử dụng tần số và thiết bị vô tuyến điện đối với mạng thông tin vô tuyến điện nội bộ. |
|
1h |
Giấy phép sử dụng tần số và thiết bị vô tuyến điện đối với đài tàu |
|
1i |
Giấy phép sử dụng tần số và thiết bị vô tuyến điện đối với đài vô tuyến điện liên lạc với phương tiện nghề cá. |
|
1l |
Giấy phép sử dụng tần số và thiết bị vô tuyến điện đối với đài bờ. |
|
1m |
Giấy phép sử dụng tần số và thiết bị vô tuyến điện đối với đài trái đất (trừ đài trái đất thuộc hệ thống GMDSS đặt trên tàu biển) |
|
2 |
Giấy phép sử dụng băng tần. |
|
3a |
Giấy phép sử dụng tần số và quỹ đạo vệ tinh đối với vệ tinh địa tĩnh. |
|
3b |
Giấy phép sử dụng tần số và quỹ đạo vệ tinh đối với vệ tinh phi địa tĩnh. |
Mẫu 1a
|
(1) |
CỘNG HÒA XÃ HỘI CHỦ NGHĨA VIỆT NAM |
GIẤY PHÉP
SỬ DỤNG TẦN SỐ VÀ THIẾT BỊ VÔ TUYẾN ĐIỆN
Cấp lần đầu ngày...
Có giá trị đến hết ngày .....
THẨM QUYỀN BAN HÀNH(5)
Căn cứ Luật Tần số vô tuyến điện ngày 23 tháng 11 năm 2009 và Luật sửa đổi, bổ sung một số điều của Luật Tần số vô tuyến điện ngày 09 tháng 11 năm 2022;
Căn cứ Nghị định số .../2023/NĐ-CP ngày... tháng ... năm 2023 của Chính phủ quy định chi tiết một số điều của Luật Tần số vô tuyến điện số 42/2009/QH12, được sửa đổi, bổ sung một số điều theo Luật số 09/2022/QH15;
Căn cứ Quyết định số ..../QĐ-BTTTT ngày ... tháng ... năm .... của Bộ trưởng Bộ Thông tin và Truyền thông về chức năng, nhiệm vụ, quyền hạn và cơ cấu tổ chức của Cục Tần số vô tuyến điện;
Xét hồ sơ đề nghị cấp phép của ... (tên tổ chức, cá nhân) ...
NAY CHO PHÉP
Điều 1. Tổ chức, cá nhân:
Địa chỉ:
Được sử dụng tần số và thiết bị vô tuyến điện theo các quy định sau đây:
1. Mục đích sử dụng:
2. Loại nghiệp vụ:
3. Thiết bị vô tuyến điện:
Tên thiết bị: Công suất phát:
4. Địa điểm đặt thiết bị:
5. Ăng-ten:
Kiểu: Độ cao so với mặt đất (m): Phân cực:
Hệ số khuếch đại (dBi): Hướng tính: Góc phương vị của hướng bức xạ chính (°):
Vị trí: Kinh độ: E ' " Vĩ độ: N ' “
6. Tần số ấn định:
Tần số phát: Tần số thu: Ký hiệu phát xạ:
7. Tên/mã trạm:
8. Đối tượng liên lạc:
9. Các quy định khác:
Điều 2. Trong quá trình hoạt động, tổ chức, cá nhân có trách nhiệm:
- Chấp hành quy định pháp luật về tần số vô tuyến điện;
- Nộp lệ phí cấp giấy phép, phí sử dụng tần số vô tuyến điện theo quy định.
QUYỀN HẠN, CHỨC VỤ CỦA NGƯỜI KÝ(6)
(Chữ ký của người có thẩm quyền và đóng dấucủa cơ quan, tổ chức)
Họ và tên
__________
Chú ý: Trước khi giấy phép sử dụng tần số và thiết bị vô tuyến điện hết hạn ít nhất là 30 ngày, tổ chức, cá nhân có nhu cầu tiếp tục sử dụng tần số phải gửi hồ sơ đề nghị gia hạn theo quy định.
Ghi chú:
1Tên cơ quan, tổ chức chủ quản trực tiếp.
2Tên cơ quan, tổ chức có thẩm quyền ban hành Giấy phép.
3Địa danh.
4Ký hiệu viết tắt của giấy phép.
5Ghi chức vụ của người đứng đầu cơ quan, tổ chức.
6Quyền hạn chức vụ người ký.
Mẫu 1b
|
(1) |
CỘNG HÒA XÃ HỘI CHỦ NGHĨA VIỆT NAM |
GIẤY PHÉP
SỬ DỤNG TẦN SỐ VÀ THIẾT BỊ VÔ TUYẾN ĐIỆN
Cấp lần đầu ngày….
Có giá trị đến hết ngày…..
THẨM QUYỀN BAN HÀNH(5)
Căn cứ Luật Tần sốvô tuyến điện ngày 23 tháng 11 năm 2009 và Luật sửa đổi, bổ sung một số điều của Luật Tần số vô tuyến điện ngày 09 tháng 11 năm 2022;
Căn cứ Nghị định số .../2023/NĐ-CP ngày... tháng... năm 2023 của Chính phủ quy định chi tiết một số điều của Luật Tần số vô tuyến điện số 42/2009/QH12, được sửa đổi, bổ sung một số điều theo Luật số 09/2022/QH15;
Căn cứ Quyết định số ..../QĐ-BTTTT ngày ... tháng ... năm ....của Bộ trưởng Bộ Thông tin và Truyền thông về chức năng, nhiệm vụ, quyền hạn và cơ cấu tổ chức của Cục Tần số vô tuyến điện;
Xét hồ sơ đề nghị cấp phép của ... (tên tổ chức, cá nhân)...
NAY CHO PHÉP
Điều 1. Tổ chức, cá nhân:
Địa chỉ:
Được sử dụng tần số và thiết bị vô tuyến điện theo các quy định sau đây:
1. Mục đích sử dụng:
2. Loại nghiệp vụ:
3. Thiết bị vô tuyến điện:
Tên thiết bị: Công suất phát (W):
Băng tần (hoặc tần số) ấn định:
Phương thức phát:
4. Địa điểm đặt thiết bị:
5. Hô hiệu:
6. Đối tượng liên lạc:
7. Vệ tinh liên lạc:
8. Các quy định khác:
Điều 2. Trong quá trình hoạt động, tổ chức, cá nhân có trách nhiệm:
- Chấp hành quy định pháp luật về tần số vô tuyến điện;
- Người trực tiếp khai thác thiết bị vô tuyến điện phải có chứng chỉ vô tuyến điện nghiệp dư theo quy định;
- Nộp lệ phí cấp giấy phép, phí sử dụng tần số vô tuyến điện theo quy định.
QUYỀN HẠN, CHỨC VỤ CỦA NGƯỜI KÝ(6)
(Chữ ký của người có thẩm quyền và đóng dấucủa cơ quan, tổ chức)
Họ và tên
____________
Chú ý: Trước khi giấy phép sử dụng tần số và thiết bị vô tuyến điện hết hạn ít nhất là 30 ngày, tổ chức, cá nhân có nhu cầu tiếp tục sử dụng tần số phải gửi hồ sơ đề nghị gia hạn theo quy định.
Ghi chú:
1Tên cơ quan, tổ chức chủ quản trực tiếp.
2Tên cơ quan, tổ chức có thẩm quyền ban hành Giấy phép.
3Địa danh.
4Ký hiệu viết tắt của giấy phép.
5Ghi chức vụ của người đứng đầu cơ quan, tổ chức.
6Quyền hạn chức vụ người ký.
HƯỚNG DẪN KHAI THÁC ĐÀI VÔ TUYẾN ĐIỆN NGHIỆP DƯ
1. Tại thời điểm đầu và cuối các phiên liên lạc, đài vô tuyến điện nghiệp dư phải phát hô hiệu hoặc các nhận dạng đã được ghi trong giấy phép. Nếu phiên liên lạc kéo dài thì ít nhất cứ 10 phút một lần, đài vô tuyến điện nghiệp dư phải nhắc lại hô hiệu của mình.
2. Hô hiệu phải được chuyển phát theo cách sau đây:
a) Với phương thức mã Morse quốc tế (CW): tốc độ không được quá 20 từ trong một phút;
b) Với phương thức thoại: phải sử dụng bảng phiên âm quốc tế;
c) Với phương thức truyền chữ trực tiếp (RTTY): phải dùng mã số quy định;
d) Với phương thức đơn biên: phải phát hô hiệu ở dải tần hẹp.
3. Mọi liên lạc phải được ghi rõ ràng trong nhật biên và phải trình sổ nhật biên này cho nhân viên kiểm tra có thẩm quyền khi được yêu cầu.
4. Mẫu nhật biên:
NHẬT BIÊN (Logbook)
Tên đài vô tuyến điện nghiệp dư (ghi hô hiệu của đài):.........................................................
Địa chỉ...............................................................................................................................
|
Ngày tháng năm |
Giờ liên lạc (Giờ bắt đầu - Giờ kết thúc) |
Hô hiệu của đài được liên lạc |
Tần số liên lạc |
Công suất phát |
Phương thức liên lạc |
Tên khai thác viên vô tuyến điện nghiệp dư |
Địa điểm thực hiện liên lạc |
Bưu thiếp liên lạc |
|
|
Đi |
Đến |
||||||||
|
|
|
|
|
|
|
|
|
|
|
|
|
|
|
|
|
|
|
|
|
|
|
|
|
|
|
|
|
|
|
|
|
|
|
|
|
|
|
|
|
|
|
|
Mẫu 1c
|
(1) |
CỘNG HÒA XÃ HỘI CHỦ NGHĨA VIỆT NAM |
GIẤY PHÉP
SỬ DỤNG TẦN SỐ VÀ THIẾT BỊ VÔ TUYẾN ĐIỆN
Cấp lần đầu ngày….
Có giá trị đến hết ngày ....
THẨM QUYỀN BAN HÀNH(5)
Căn cứ Luật Tần số vô tuyến điện ngày 23 tháng 11 năm 2009 và Luật sửa đổi, bổ sung một số điều của Luật Tần số vô tuyến điện ngày 09 tháng 11 năm 2022;
Căn cứ Nghị định số .../2023/NĐ-CP ngày... tháng... năm 2023 của Chính phủ quy định chi tiết một số điều của Luật Tần số vô tuyến điện số 42/2009/QH12, được sửa đổi, bổ sung một số điều theo Luật số 09/2022/QH15;
Căn cứ Quyết định số ..../QĐ-BTTTT ngày ... tháng ... năm .... của Bộ trưởng Bộ Thông tin và Truyền thông về chức năng, nhiệm vụ, quyền hạn và cơ cấu tổ chức của Cục Tần số vô tuyến điện;
Xét hồ sơ đề nghị cấp phép của ... (tên tổ chức, cá nhân) ...
NAY CHO PHÉP
Điều 1. Tổ chức, cá nhân:
Địa chỉ:
Được phép sử dụng tần số và thiết bị vô tuyến điện đặt trên phương tiện nghề cá…. Theo các quy định sau đây:
1. Thiết bị vô tuyến điện hoạt động trên các băng tần quy hoạch cho phương tiện nghề cá
|
STT |
Tên thiết bị |
Công suất phát |
Băng tần hoặc tần số ấn định (MHz) |
|
1 |
|
|
|
|
2 |
.. |
|
|
Các quy định khác:
2. Thiết bị giám sát hành trình tàu cá qua vệ tinh
|
Tên thiết bị |
Băng tần phát (MHz) |
Băng tần thu (MHz) |
Vệ tinh liên lạc |
Quỹ đạo |
|
|
|
|
|
|
Các quy định khác: thiết bị giám sát hành trình tàu cá qua vệ tinh chỉ được sử dụng dịch vụ thông tin vệ tinh của các doanh nghiệp viễn thông đã được Bộ Thông tin và Truyền thông cấp giấy phép .
Điều 2. Trong quá trình hoạt động, tổ chức, cá nhân có trách nhiệm:
- Chấp hành quy định pháp luật về tần số vô tuyến điện;
- Nộp lệ phí cấp giấy phép, phí sử dụng tần số vô tuyến điện theo quy định.
QUYỀN HẠN, CHỨC VỤ CỦA NGƯỜI KÝ(6)
(Chữ ký của người có thẩm quyền và đóng dấu của cơ quan, tổ chức)
Họ và tên
_________________
Chú ý: Trước khi giấy phép sử dụng tần số và thiết bị vô tuyến điện hết hạn ít nhất là 30 ngày, tổ chức, cá nhân có nhu cầu tiếp tục sử dụng tần số phải gửi hồ sơ đề nghị gia hạn theo quy định.
Ghi chú:
1Tên cơ quan, tổ chức chủ quản trực tiếp.
2Tên cơ quan, tổ chức có thẩm quyền ban hành Giấy phép.
3Địa danh.
4Ký hiệu viết tắt của giấy phép.
5Ghi chức vụ của người đứng đầu cơ quan, tổ chức.
6Quyền hạn chức vụ người ký.
HƯỚNG DẪN KHAI THÁC
1. Tần số làm việc:
2. Tần số gọi bắt liên lạc và phát tin cấp cứu:
3. Tần số thu dự báo thiên tai:
4. Tần số liên lạcvới Đồn biên phòng:
5. Các tần số cấp cứu hàng hải quốc tế:
Mẫu 1d
|
(1) |
CỘNG HÒA XÃ HỘI CHỦ NGHĨA VIỆT NAM |
GIẤY PHÉP
SỬ DỤNG TẦN SỐ VÀ THIẾT BỊ VÔ TUYẾN ĐIỆN
Cấp lần đầu ngày….
Có giá trị đến hết ngày…..
THẨM QUYỀN BAN HÀNH(5)
Căn cứ Luật Tần số vô tuyến điện ngày 23 tháng 11 năm 2009 và Luật sửa đổi, bổ sung một số điều của Luật Tần số vô tuyến điện ngày 09 tháng 11 năm 2022;
Căn cứ Nghị định số .../2023/NĐ-CP ngày... tháng... năm 2023 của Chính phủ quy định chi tiết một số điều của Luật Tần số vô tuyến điện số 42/2009/QH12, được sửa đổi, bổ sung một số điều theo Luật số 09/2022/QH15;
Căn cứ Quyết định số ..../QĐ-BTTTT ngày ... tháng ... năm ....của Bộ trưởng Bộ Thông tin và Truyền thông về chức năng, nhiệm vụ, quyền hạn và cơ cấu tổ chức của Cục Tần số vô tuyến điện;
Xét hồ sơ đề nghị cấp phép của ... (tên tổ chức) ...
NAY CHO PHÉP
Điều 1. Tổ chức:
Địa chỉ:
Được sử dụng tần số và thiết bị vô tuyến điện theo các quy định sau:
1. Mục đích sử dụng:
2. Loại nghiệp vụ:
3. Loại mạng:
4. Thiết bị vô tuyến điện:
Tên thiết bị: Ký hiệu phát xạ:
Công suất phát: Hệ tiêu chuẩn:
5. Địa điểm đặt thiết bị:
6. Ăng-ten:
Kiểu: Hệ số khuếch đại (dBi): Độ cao so với mặt đất (m):
Phân cực: Hướng tính: Góc phương vị của hướng bức xạ chính (°):
Vị trí Kinh độ: E ’ ” Vĩ độ: N
7. Tần số ấn định:
Tần số: Kênh:
8. Công suất phát xạ hiệu dụng ERP:
9. Tên/mã trạm:
10. Giờ hoạt động:
11. Các thông số kỹ thuật đối với thiết bị truyền hình số, phát thanh số mặt đất để tính toán vùng phủ, nhiễu có hại:
Kiểu điều chế: Khoảng bảo vệ: số lượng sóng mang:
Tỉ lệ mã: Chế độ thu: Pilot pattern:
12. Các quy định khác:
Điều 2. Trong quá trình hoạt động, tổ chức có trách nhiệm:
- Chấp hành quy định pháp luật về tần số vô tuyến điện;
- Nộp lệ phí cấp giấy phép, phí sử dụng tần số vô tuyến điện theo quy định.
QUYỀN HẠN, CHỨC VỤ CỦA NGƯỜI KÝ(6)
(Chữ ký, họ và tên của người có thẩm quyền và đóng dấucủa cơ quan, tổ chức)
Họ và tên
_____________________
Chú ý: Trước khi giấy phép sử dụng tần số và thiết bị vô tuyến điện hết hạn ít nhất là 30 ngày, tổ chức có nhu cầu tiếp tục sử dụng tần số phải gửi hồ sơ đề nghị gia hạn theo quy định.
Ghi chú:
1Tên cơ quan, tổ chức chủ quản trực tiếp.
2Tên cơ quan, tổ chức có thẩm quyền ban hành Giấy phép.
3Địa danh.
4Ký hiệu viết tắt của giấy phép.
5Ghi chức vụ của người đứng đầu cơ quan, tổ chức.
6Quyền hạn chức vụ người ký.
Mẫu 1đ
|
(1) |
CỘNG HÒA XÃ HỘI CHỦ NGHĨA VIỆT NAM (3)...., ngày... tháng... năm... |
GIẤYPHÉP
SỬ DỤNG TẦN SỐ VÀ THIẾT BỊ VÔ TUYẾN ĐIỆN
Cấp lần đầu ngày….
Có giá trị đến hết ngày……
THẨM QUYỀN BAN HÀNH(5)
Căn cứ Luật Tần số vô tuyến điện ngày 23 tháng 11 năm 2009 và Luật sửa đổi, bổ sung một số điều của Luật Tần sốvô tuyến điện ngày 09 tháng 11 năm 2022;
Căn cứ Nghị định số .../2023/NĐ-CP ngày... tháng... năm 2023 của Chính phủ quy định chi tiết một số điều của Luật Tần số vô tuyến điện số 42/2009/QH12, được sửa đổi, bổ sung một số điều theo Luật số 09/2022/QH15;
Căn cứ Quyết định số ..../QĐ-BTTTT ngày ... tháng ... năm ....của Bộ trưởng Bộ Thông tin và Truyền thông về chức năng, nhiệm vụ, quyền hạn và cơ cấu tổ chức của Cục Tần số vô tuyến điện;
Xét hồ sơ đề nghị cấp phép của ... (tên tổ chức)...
NAY CHO PHÉP
Điều 1. Tổ chức:
Địa chỉ:
Được sử dụng tần số và thiết bị vô tuyến điện theo các quy định sau đây:
1. Mục đích sử dụng:
2. Loại nghiệp vụ:
3. Thiết bị vô tuyến điện:
Tên thiết bị: Ký hiệu phát xạ:
Công suất phát (W):
4. Địa điểm đặt thiết bị:
5. Ăng-ten:
Kiểu: Hệ số khuếch đại (dBi): Độ cao so với mặt đất (m):
Phân cực: Hướng tính: Góc phương vị của hướng bức xạ chính (°):
Vị trí Kinh độ: E ‘ “ Vĩ độ: N ‘ “
6. Tần số ấn định (MHz):
7. Công suất phát xạ hiệu dụng ERP (dBW):
8. Các quy định khác:
Điều 2. Trong quá trình hoạt động, tổ chức có trách nhiệm:
- Chấp hành quy định pháp luật về tần số vô tuyến điện;
- Nộp lệ phí cấp giấy phép, phí sử dụng tần số vô tuyến điện theo quy định.
QUYỀN HẠN, CHỨC VỤ CỦA NGƯỜI KÝ(6)
(Chữ ký của người có thẩm quyền và đóng dấucủa cơ quan, tổ chức)
Họ và tên
______________________
Chú ý: Trước khi giấy phép sử dụng tần số và thiết bị vô tuyến điện hết hạn ít nhất là 30 ngày, tổ chức có nhu cầu tiếp tục sử dụng tần số phải gửi hồ sơ đề nghị gia hạn theo quy định.
Ghi chú:
1Tên cơ quan, tổ chức chủ quản trực tiếp.
2Tên cơ quan, tổ chức có thẩm quyền ban hành Giấy phép.
3Địa danh.
4Ký hiệu viết tắt của giấy phép.
5Ghi chức vụ của người đứng đầu cơ quan, tổ chức.
6Quyền hạn chức vụ người ký.
Mẫu 1e
|
(1) |
CỘNG HÒA XÃ HỘI CHỦ NGHĨA VIỆT NAM |
GIẤY PHÉP
SỬ DỤNG TẦN SỐ VÀ THIẾT BỊ VÔ TUYẾN ĐIỆN
Cấp lần đầu ngày…..
Có giá trị đến hết ngày..........
THẨM QUYỀN BAN HÀNH(5)
Căn cứ Luật Tần số vô tuyến điện ngày 23 tháng 11 năm 2009 và Luật sửa đổi, bổ sung một số điều của Luật Tần số vô tuyến điện ngày 09 tháng 11 năm 2022;
Căn cứ Nghị định số .../2023/NĐ-CP ngày... tháng... năm 2023 của Chính phủ quy định chi tiết một số điều của Luật Tần số vô tuyến điện số 42/2009/QH12, được sửa đổi, bổ sung một số điều theo Luật số 09/2022/QH15;
Căn cứ Quyết định số ..../QĐ-BTTTT ngày ... tháng ... năm .... của Bộ trưởng, Bộ Thông tin và Truyền thông về chức năng, nhiệm vụ, quyền hạn và cơ cấu tổ chức của Cục Tần số vô tuyến điện;
Xét hồ sơ đề nghị cấp phép của ... (tên tổ chức, cá nhân)...
NAY CHO PHÉP
Điều 1. Tổ chức, cá nhân:
Địa chỉ:
Được sử dụng tần số và thiết bị vô tuyến điện theo các quy định sau:
1. Mục đích sử dụng:
2. Loại nghiệp vụ:
3. Đặc điểm và thông số kỹ thuật của từng thiết bị vô tuyến điện
|
3.1. Thiết bị vô tuyến điện: |
Thiết bị thứ nhất |
Thiết bị thứ hai |
|
Tên thiết bị |
|
|
|
Công suất phát (dBm) |
|
|
|
Ký hiệu phát xạ |
|
|
|
3.2. Địa điểm đặt thiết bị |
|
|
|
3.3. Ăng-ten |
|
|
|
Kiểu ăng-ten |
|
|
|
Kích thước (m) |
|
|
|
Độ cao so với mặt đất (m) |
|
|
|
Phân cực |
|
|
|
Hệ số khuếch đại (dBi) |
|
|
|
Vị trí (Kinh độ/Vĩ độ) |
E ' " / N ' " |
E ' " / N ' " |
|
3.4. Tần số ấn định |
(Chi tiết theo DM.1e(7)kèm theo) |
(Chi tiết theo DM.1e(7)kèm theo) |
|
3.5. Băng thông (MHz) |
|
|
|
3.6. Tên/mã trạm |
|
|
4. Các quy định khác:
Điều 2. Trong quá trình hoạt động, tổ chức, cá nhân có trách nhiệm:
- Chấp hành quy định pháp luật về tần số vô tuyến điện;
- Nộp lệ phí cấp giấy phép, phí sử dụng tần số vô tuyến điện theo quy định.
QUYỀN HẠN, CHỨC VỤ CỦA NGƯỜI KÝ(6)
(Chữ ký của người có thẩm quyềnvà đóng dấu của cơ quan, tổ chức)
Họ và tên
_______________
Chú ý: Trước khi giấy phép sử dụng tần số và thiết bị vô tuyến điện hết hạn ít nhất là 30 ngày, tổ chức, cá nhân có nhu cầu tiếp tục sử dụng tần số phải gửi hồ sơ đề nghị gia hạn theo quy định.
Ghi chú:
1Tên cơ quan, tổ chức chủ quản trực tiếp.
2Tên cơ quan, tổ chức có thẩm quyền ban hành Giấy phép.
3Địa danh.
4Ký hiệu viết tắt của giấy phép.
5Ghi chức vụ của người đứng đầu cơ quan, tổ chức.
6Quyền hạn chức vụ người ký.
7Danh mục các tần số ấn định áp dụng trong trường hợp cấp phép từ 2 kênh tần số trở lên cho cùng một tuyến vi ba.
DM.1e
DANH MỤC CÁC TẦN SỐ ẤN ĐỊNH
|
STT |
Tần số phát của Thiết bị thứ nhất (MHz) |
Tần số phát của Thiết bị thứ hai (MHz) |
Ký hiệu phát xạ |
Băng thông (MHz) |
Phân cực ăng-ten |
|
|
|
|
|
|
|
|
|
|
|
|
|
|
|
|
|
|
|
|
|
Mẫu 1g1
|
TÊN CƠ QUAN, TỔ CHỨC CHỦ QUẢN(1) |
CỘNG HÒA XÃ HỘI CHỦ NGHĨA VIỆT NAM (3)...., ngày... tháng... năm... |
GIẤY PHÉP
SỬ DỤNG TẦN SỐ VÀ THIẾT BỊ VÔ TUYẾN ĐIỆN
Cấp lần đầu ngày……
Có giá trị đến hết ngày….
THẨM QUYỀN BAN HÀNH(5)
Căn cứ Luật Tần số vô tuyến điện ngày 23 tháng 11 năm 2009 và Luật sửa đổi, bổ sung một số điều của Luật Tần số vô tuyến điện ngày 09 tháng 11 năm 2022;
Căn cứ Nghị định số .../2023/NĐ-CP ngày... tháng... năm 2023 của Chính phủ quy định chi tiết một số điều của Luật Tần số vô tuyến điện số 42/2009/QH12, được sửa đổi, bổ sung một số điều theo Luật số 09/2022/QH15;
Căn cứ Quyết định số ..../QĐ-BTTTT ngày ... tháng ... năm ....của Bộ trưởng Bộ Thông tin và Truyền thông về chức năng, nhiệm vụ, quyền hạn và cơ cấu tổ chức của Cục Tần số vô tuyến điện;
Xét hồ sơ đề nghị cấp phép của ... (tên tổ chức, cá nhân)...
NAY CHO PHÉP
Điều 1. Tổ chức, cá nhân:
Địa chỉ:
Được sử dụng tần số và thiết bị vô tuyến điện theo các quy định sau đây:
1. Mục đích sử dụng:
2. Loại nghiệp vụ:
3. Danh mục thiết bị vô tuyến điện: (Chi tiết theo DM.1g1 kèm theo)
4. Tổng số thiết bị trong mạng:
5. Phạm vi hoạt động:
6. Tần số ấn định:
7. Ký hiệu phát xạ:
8. Các quy định khác:
Điều 2. Trong quá trình hoạt động, tổ chức, cá nhân có trách nhiệm:
- Chấp hành quy định pháp luật về tần số vô tuyến điện;
- Nộp lệ phí giấy phép, phí sử dụng tần số vô tuyến điện theo quy định.
QUYỀN HẠN, CHỨC VỤ CỦA NGƯỜI KÝ(6)
(Chữ ký của người có thẩm quyềnvà đóng dấu của cơ quan, tổ chức)
Họ và tên
___________________
Chú ý: Trước khi giấy phép sử dụng tần số và thiết bị vô tuyến điện hết hạn ít nhất là 30 ngày, tổ chức, cá nhân có nhu cầu tiếp tục sử dụng tần số phải gửi hồ sơ đề nghị gia hạn theo quy định.
Ghi chú:
1Tên cơ quan, tổ chức chủ quản trực tiếp.
2Tên cơ quan, tổ chức có thẩm quyền ban hành Giấy phép.
3Địa danh.
4Ký hiệu viết tắt của giấy phép.
5Ghi chức vụ của người đứng đầu cơ quan, tổ chức.
6Quyền hạn chức vụ người ký.
DM.1g1
DANH MỤC THIẾT BỊ VÔ TUYẾN ĐIỆN
Thiết bị cố định:
|
STT |
Tên thiết bị |
Địa điểm đặt |
Công suất phát (W) |
Ăng-ten |
Tần số (MHz) |
Tên/ mã trạm |
|||||
|
Kiểu |
Độ cao so với mặt đất (m) |
Hệ số khuếch đại |
Kinh |
Vĩ độ |
Phát |
Thu |
|||||
|
|
|
|
|
|
|
|
|
|
|
|
|
Thiết bị di động:
|
STT |
Tên thiết bị |
Công suất phát lớn nhất (W) |
Hệ số khuếch đại ăng-ten lớn nhất (dBi) |
Độ cao sử dụng tối đa so với mặt đất |
Tần số(MHz) |
|
|
Phát |
Thu |
|||||
|
|
|
|
|
|
|
|
|
|
|
|
|
|
|
|
Mẫu 1g2
|
(1) |
CỘNG HÒA XÃ HỘI CHỦ NGHĨA VIỆT NAM |
GIẤY PHÉP
SỬ DỤNG TẦN SỐ VÀ THIẾT BỊ VÔ TUYẾN ĐIỆN
Cấp lần đầu ngày…..
Có giá trị đến hết ngày….
THẨM QUYỀN BAN HÀNH(5)
Căn cứ Luật Tần số vô tuyến điện ngày 23 tháng 11 năm 2009 và Luật sửa đổi, bổ sung một số điều của Luật Tần số vô tuyến điện ngày 09 tháng 11 năm 2022;
Căn cứ Nghị định số .../2023/NĐ-CP ngày... tháng... năm 2023 của Chính phủ quy định chi tiết một số điều của Luật Tần số vô tuyến điện số 42/2009/QH12, được sửa đổi, bổ sung một số điều theo Luật số 09/2022/QH15;
Căn cứ Quyết định số ..../QĐ-BTTTT ngày ... tháng ... năm ....của Bộ trưởng Bộ Thông tin và Truyền thông về chức năng, nhiệm vụ, quyền hạn và cơ cấu tổ chức của Cục Tần số vô tuyến điện;
Xét hồ sơ đề nghị cấp phép của ... (tên tổ chức, cá nhân)...
NAY CHO PHÉP
Điều 1. Tổ chức, cá nhân:
Địa chỉ:
Được sử dụng tần số và thiết bị vô tuyến điện theo các quy định sau đây:
1. Mục đích sử dụng:
2. Loại nghiệp vụ:
3. Thiết bị vô tuyến điện:
Loại: thiết bị bộ đàm
Công suất phát lớn nhất (W):
Độ cao sử dụng tối đa so với mặt đất (m):
Tổng số thiết bị trong mạng:
4. Phạm vi hoạt động:
Địa chỉ:
Kinh độ: E ‘ “ Vĩ độ: N ‘ ‘’
5. Tần số ấn định:
6. Ký hiệu phát xạ:
7. Các quy định khác:
Điều 2. Trong quá trình hoạt động, tổ chức, cá nhân có trách nhiệm:
- Chấp hành quy định pháp luật về tần số vô tuyến điện;
- Nộp lệ phí cấp giấy phép, phí sử dụng tần số vô tuyến điện theo quy định.
QUYỀN HẠN, CHỨC VỤ CỦA NGƯỜI KÝ(6)
(Chữ ký của người có thẩm quyềnvà đóng dấu của cơ quan, tổ chức)
Họ và tên
__________________
Chú ý: Trước khi giấy phép sử dụng tần số và thiết bị vô tuyến điện hết hạn ít nhất là 30 ngày, tổ chức, cá nhân có nhu cầu tiếp tục sử dụng tần số phải gửi hồ sơ đề nghị gia hạn theo quy định.
Ghi chú:
1Tên cơ quan, tổ chức chủ quản trực tiếp.
2Tên cơ quan, tổ chức có thẩm quyền ban hành Giấy phép.
3Địa danh.
4Ký hiệu viết tắt của giấy phép (cấp hoặc gia hạn).
5Ghi chức vụ của người đứng đầu cơ quan, tổ chức.
6Quyền hạn chức vụ người ký.
Mẫu 1h
CỘNG HÒA XÃ HỘI CHỦ NGHĨA VIỆT NAM
Socialist Republic of Vietnam
GIẤY PHÉP
SỬ DỤNG TẦN SỐ VÀ THIẾT BỊ VÔ TUYẾN ĐIỆN
SHIP STATION LICENCE
Số/No:
Cấp lần đầu ngày (Date of first issue):.....
Có giá trị đến hết ngày (Expiry date):...
THẨM QUYỀN BAN HÀNH(5)
AUTHORIZED OFFICIAL
Căn cứ Luật Tần số vô tuyến điện ngày 23 tháng 11 năm 2009 và Luật sửa đổi, bổ sung một số điều của Luật Tần số vô tuyến điện ngày 09 tháng 11 năm 2022;
Pursuant to the Law on radio frequencies dated November 23rd, 2009 and Amendments and supplements to some Articles of the Law on radio frequencies dated November 09th, 2022;
Căn cứ Nghị định số .../2023/NĐ-CP ngày ... tháng... năm 2023 của Chính phủ quy định chi tiết một số điều của Luật Tần số vô tuyến điện số 42/2009/QH12, được sửa đổi, bổ sung một số điều theo Luật số 09/2022/QH15;
Pursuant to Decree No. .../2023/NĐ-CP dated...,..., 2023 of the Government on detailing and guiding procedures for some Articles of the Law on radio frequencies No. 42/2009/QH12 dated November 23rd, 2009 and Amendments and supplements to some Articles of the Law on radio frequencies No. 09/2022/QH15 dated November 09th, 2022;
Căn cứ Quyết định số ..../QĐ-BTTTT ngày ... tháng ... năm ....của Bộ trưởng Bộ Thông tin và Truyền thông về chức năng, nhiệm vụ, quyền hạn và cơ cấu tổ chức của Cục Tần số vô tuyến điện;
Pursuant to the Minister of Information and Communication's Decision No. ..../QD-BTTTT dated …,…,…., defining the functions, tasks, powers and organizational structure of the Authority of Radio Frequency Management;
Xét hồ sơ đề nghị Cấp phép của:.........................................................................................
At the application of:...........................................................................................................
NAY CHO PHÉP
ALLOWES
Điều 1. Tổ chức, cá nhân:
Địa chỉ:
Được sử dụng tần số và thiết bị vô tuyến điện theo các quy định sau đây:
Article 1. Licensee:
To use radio frequencies and equipments of ship station in accordance with the following provisions
|
TÊN TÀU |
NHẬN DẠNG ĐÀI TÀU |
CHỦ TÀU |
||
|
Hô hiệu |
MMSI |
Nhận dạng khác |
||
|
|
|
|
|
|
|
LOẠI THIẾT BỊ Equipment |
TÊN THIẾT BỊ Equipment Model |
CÔNG SUẤT (W) |
PHƯƠNG THỨC PHÁT |
BĂNG TẦN HOẶC TẦN SỐ ẤN ĐỊNH |
|
|
|
|
|
|
Điều 2. Trong quá trình hoạt động, tổ chức, cá nhân có trách nhiệm chấp hành quy định của pháp luật Việt Nam và Thể lệ vô tuyến điện. Người trực tiếp khai thác thiết bị vô tuyến điện trên tàu phải có chứng chỉ vô tuyến điện viên theo quy định.
Article 2. During the operation, Licensee is responsible for the observance of the provisions of Vietnamese law and Radio Regulations. The operator of ship station must have a certificate as prescribed.
Điều 3. Các quy định khác:
Article 3. Other conditions:
…, ngày... tháng ... năm ...
…, day ... month ... year...
QUYỀN HẠN, CHỨC VỤ CỦA NGƯỜI KÝ(6)
AUTHORITY, POSITION OF SIGNATORY
(Chữ ký, họ và tên của người có thẩm quyềnvà đóng dấu của cơ quan, tổ chức)
(Signature, full name of authorized official and stamp of the authority)
__________
Chú ý: Trước khi giấy phép sử dụng tần số và thiết bị vô tuyến điện hết hạn ít nhất là 30 ngày, tổ chức, cá nhân có nhu cầu tiếp tục sử dụng tần số phải gửi hồ sơ đề nghị gia hạn theo quy định.
Ghi chú:
1Tên cơ quan, tổ chức chủ quản trực tiếp.
2Tên cơ quan, tổ chức có thẩm quyền ban hành Giấy phép.
3Địa danh.
4Ký hiệu viết tắt của giấy phép
5Ghi chức vụ của người đứng đầu cơ quan, tổ chức.
6Quyền hạn chức vụ người ký.
Mẫu 1i
|
(1) |
CỘNG HÒA XÃ HỘI CHỦ NGHĨA VIỆT NAM |
GIẤY PHÉP
SỬ DỤNG TẦN SỐ VÀ THIẾT BỊ VÔ TUYẾN ĐIỆN
Cấp lần đầu ngày….
Có giá trị đến hết ngày….
THẨM QUYỀN BAN HÀNH(5)
Căn cứ Luật Tần số vô tuyến điện ngày 23 tháng 11 năm 2009 và Luật sửa đổi, bổ sung một số điều của Luật Tần số vô tuyến điện ngày 09 tháng 11 năm 2022;
Căn cứ Nghị định số .../2023/NĐ-CP ngày ... tháng... năm 2023 của Chính phủ quy định chi tiết một số điều của Luật Tần số vô tuyến điện số 42/2009/QH12, được sửa đổi, bổ sung một số điều theo Luật số 09/2022/QH15;
Căn cứ Quyết định số ..../QĐ-BTTTT ngày ... tháng ... năm ... của Bộ trưởng Bộ Thông tin và Truyền thông về chức năng, nhiệm vụ, quyền hạn và cơ cấu tổ chức của Cục Tần số vô tuyến điện;
Xét hồ sơ đề nghị cấp phép của ... (tên tổ chức, cá nhân)...
NAY CHO PHÉP
Điều 1. Tổ chức, cá nhân:
Địa chỉ:
Được sử dụng tần số và thiết bị vô tuyến điện theo các quy định sau đây:
1. Mục đích sử dụng:
2. Loại nghiệp vụ:
3. Thiết bị vô tuyến điện:
Tên thiết bị: Công suất phát (W):
Ký hiệu phát xạ:
4. Địa điểm đặt thiết bị:
5. Ăng-ten:
Kiểu: Độ cao so với mặt đất (m):
Vị trí: Kinh độ: E ‘ “ Vĩ độ: N’ “
6. Tần số ấn định:
Tần số gọi (kHz):
Tần số liên lạc/Tần số truyền dữ liệu (kHz):
7. Tên/mã trạm:
8. Đối tượng liên lạc:
9. Các quy định khác:
Điều 2. Trong quá trình hoạt động, tổ chức, cá nhân có trách nhiệm:
- Chấp hành quy định pháp luật về tần số vô tuyến điện;
- Nộp lệ phí cấp giấy phép, phí sử dụng tần số vô tuyến điện theo quy định.
QUYỀN HẠN, CHỨC VỤ CỦA NGƯỜI KÝ(6)
(Chữ ký, họ và tên của người có thẩm quyền
vàđóng dấu của cơ quan tổ chức)
Họ và tên
_________________
Chú ý: Trước khi giấy phép sử dụng tần số và thiết bị vô tuyến điện hết hạn ít nhất là 30 ngày, tổ chức, cá nhân có nhu cầu tiếp tục sử dụng tần số phải gửi hồ sơ đề nghị gia hạn theo quy định.
Ghi chú:
1Tên cơ quan, tổ chức chủ quản trực tiếp.
2Tên cơ quan, tổ chức có thẩm quyền ban hành Giấy phép.
3Địa danh.
4Ký hiệu viết tắt của giấy phép.
5Ghi chức vụ của người đứng đầu cơ quan, tổ chức.
6Quyền hạn chức vụ người ký.
Mẫu 1i
QUY ĐỊNH SỬ DỤNG TẦN SỐ
1. Tần số gọi:
2. Tần số liên lạc/Tần số truyền dữ liệu:
3. Tần số thu tin cấp cứu, an toàn cứu nạn:
4. Lưu ý:
Mẫu 1l
|
(1) |
CỘNG HÒA XÃ HỘI CHỦ NGHĨA VIỆT NAM |
GIẤY PHÉP
SỬ DỤNG TẦN SỐ VÀ THIẾT BỊ VÔ TUYẾN ĐIỆN
Cấp lần đầu ngày…..
Có giá trị đến hết ngày…
THẨM QUYỀN BAN HÀNH(5)
Căn cứ Luật Tần số vô tuyến điện ngày 23 tháng 11 năm 2009 và Luật sửa đổi, bổ sung một số điều của Luật Tần số vô tuyến điện ngày 09 tháng 11 năm 2022;
Căn cứ Nghị định số .../2023/NĐ-CP ngày... tháng ... năm 2023 của Chính phủ quy định chi tiết một số điều của Luật Tần số vô tuyến điện số 42/2009/QH12, được sửa đổi, bổ sung một số điều theo Luật số 09/2022/QH15;
Căn cứ Quyết định số ..../QĐ-BTTTT ngày ... tháng ... năm ... của Bộ trưởng Bộ Thông tin và Truyền thông về chức năng, nhiệm vụ, quyền hạn và cơ cấu tổ chức của Cục Tần số vô tuyến điện;
Xét hồ sơ đề nghị cấp phép của ...(tên tổ chức, cá nhân)...
NAY CHO PHÉP
Điều 1. Tổ chức, cá nhân:
Địa chỉ:
Được sử dụng tần số và thiết bị vô tuyến điện theo các quy định sau đây:
1. Mục đích sử dụng:
2. Loại nghiệp vụ:
3. Số lượng thiết bị chính: số lượng thiết bị dự phòng:
4. Thiết bị vô tuyến điện: (Chi tiết theo DM.1l kèm theo)
5. Tần số ấn định: (Chi tiết theo DM.1l kèm theo)
6. Ký hiệu phát xạ:
7. Đối tượng liên lạc:
8. Các quy định khác:
Điều 2. Trong quá trình hoạt động, tổ chức, cá nhân có trách nhiệm:
- Chấp hành quy định pháp luật về tần số vô tuyến điện;
- Nộp lệ phí cấp giấy phép, phí sử dụng tần số vô tuyến điện theo quy định.
QUYỀN HẠN, CHỨC VỤ CỦA NGƯỜI KÝ(6)
(Chữ ký của người có thẩm quyền và
đóng dấu của cơ quan tổ chức)
Họ và tên
_____________
Chú ý: Trước khi giấy phép sử dụng tần số và thiết bị vô tuyến điện hết hạn ít nhất là 30 ngày, tổ chức, cá nhân có nhu cầu tiếp tục sử dụng tần số phải gửi hồ sơ đề nghị gia hạn theo quy định.
Ghi chú:
1Tên cơ quan, tổ chức chủ quản trực tiếp.
2Tên cơ quan, tổ chức có thẩm quyền ban hành Giấy phép.
3Địa danh.
4Ký hiệu viết tắt của giấy phép.
5Ghi chức vụ của người đứng đầu cơ quan, tổ chức.
6Quyền hạn chức vụ người ký.
DM.1l
DANH MỤC TẦN SỐ VÀ THIẾT BỊ VÔ TUYẾN ĐIỆN
Thiết bị cố định:
|
STT |
Tên thiết bị |
Địa điểm đặt |
Công suất phát (W) |
Ăng-ten |
Tần số (MHz) |
Tên/ mã trạm |
|||||
|
Kiểu |
Độ cao so với mặt đất |
Hệ số khuếch đại (dBi) |
Kinh |
Vĩ độ |
Phát |
Thu |
|||||
|
|
|
|
|
|
|
|
|
|
|
|
|
Thiết bị di động:
|
STT |
Tên thiết bị |
Công suất phát lớn nhất(W) |
Hệ số khuếch đại ăng- ten lớn nhất (dBi) |
Độ cao sử dụng tối đa so với mặt đất(m) |
Tần số (MHz) |
|
|
Phát |
Thu |
|||||
|
|
|
|
|
|
|
|
|
|
|
|
|
|
|
|
Mẫu 1m
| TÊN CƠ QUAN, TỔ CHỨC CHỦ QUẢN(1) | CỘNG HÒA XÃ HỘI CHỦ NGHĨA VIỆT NAM |
GIẤY PHÉP
SỬ DỤNG TẦN SỐ VÀ THIẾT BỊ VÔ TUYẾN ĐIỆN
Cấp lần đầu ngày….
Có giá trị đến hết ngày….
THẨM QUYỀN BAN HÀNH(5)
Căn cứ Luật Tần số vô tuyến điện ngày 23 tháng 11 năm 2009 và Luật sửa đổi, bổ sung một số điều của Luật Tần số vô tuyến điện ngày 09 tháng 11 năm 2022;
Căn cứ Nghị định số .../2023/NĐ-CP ngày... tháng... năm 2023 của Chính phủ quy định chi tiết một số điều của Luật Tần số vô tuyến điện số 42/2009/QH12, được sửa đổi, bổ sung một số điều theo Luật số 09/2022/QH15;
Căn cứ Quyết định số ..../QĐ-BTTTT ngày ... tháng ... năm ... của Bộ trưởng Bộ Thông tin và Truyền thông về chức năng, nhiệm vụ, quyền hạn và cơ cấu tổ chức của Cục Tần số vô tuyến điện;
Xét hồ sơ đề nghị cấp phép của ... (tên tổ chức, cá nhân)...
NAY CHO PHÉP
Điều 1. Tổ chức, cá nhân:
Địa chỉ:
Được sử dụng tần số và thiết bị vô tuyến điện theo các quy định sau đây:
1. Mục đích sử dụng:
2. Loại nghiệp vụ:
3. Thiết bị vô tuyến điện:
Tên thiết bị: Công suất phát:
Địa điểm đặt thiết bị:
4. Ăng-ten phát/thu:
Kiểu: Kích thước (m): Độ cao so với mặt đất (m):
Hệ số khuếch đại (dBi) phát/thu: Phân cực phát/thu:
Góc phương vị của hướng bức xạ chính (°): Góc ngẩng (°):
Vị trí lắp đặt: Kinh độ: E ' " Vĩ độ: N ‘ “
5. Tần số ấn định: (Chi tiết theo DM.1m(7)kèm theo)
Tần số (băng tần) phát: Tần số (băng tần) thu:
Ký hiệu phát xạ phát/thu:
6. Tên/mã trạm:
7. Vệ tinh liên lạc: Vị trí quỹ đạo:
8. Các quy định khác:
Điều 2. Trong quá trình hoạt động, tổ chức, cá nhân có trách nhiệm:
- Chấp hành quy định pháp luật về tần số vô tuyến điện;
- Nộp lệ phí cấp giấy phép, phí sử dụng tần số vô tuyến điện theo quy định.
QUYỀN HẠN, CHỨC VỤ CỦA NGƯỜI KÝ(6)
(Chữ ký của người có thẩm quyền và
đóng dấu của cơ quan tổ chức)
Họ và tên
__________________
Chú ý: Trước khi giấy phép sử dụng tần số và thiết bị vô tuyến điện hết hạn ít nhất là 30 ngày, tổ chức, cá nhân có nhu cầu tiếp tục sử dụng tần số phải gửi hồ sơ đề nghị gia hạn theo quy định.
Ghi chú:
1Tên cơ quan, tổ chức chủ quản trực tiếp.
2Tên cơ quan, tổ chức có thẩm quyền ban hành Giấy phép.
3Địa danh.
4Ký hiệu viết tắt của giấy phép.
5Ghi chức vụ của người đứng đầu cơ quan, tổ chức.
6Quyền hạn chức vụ người ký.
7Danh mục các tần số ấn định trong trường hợp cấp phép nhiều tần số (băng tần) cho một đài trái đất.
DM.1m
DANH MỤC CÁC TẦN SỐ (BĂNG TẦN) ẤN ĐỊNH
| STT | Tần số (băng tần) phát | Phân cực ăng-ten phát | Ký hiệu phát xạ phát | Tần số (băng tần) thu | Ký hiệu phát xạ thu | Phân cực ăng-ten thu |
|
|
|
|
|
|
|
|
|
|
|
|
|
|
|
|
|
|
|
|
|
|
|
|
Mẫu 2
|
|
CỘNG HÒA XÃ HỘI CHỦ NGHĨA VIỆT NAM |
GIẤY PHÉP SỬ DỤNG BĂNG TẦN
Cấp lần đầu ngày….
Có hiệu lực từ ngày….đếnhết ngày............
CỤC TRƯỞNG CỤC TẦN SỐ VÔ TUYẾN ĐIỆN
Căn cứ Luật Tần số vô tuyến điện ngày 23 tháng 11 năm 2009 và Luật sửa đổi, bổ sung một số điều của Luật Tần số vô tuyến điện ngày 09 tháng 11 năm 2022;
Căn cứ Nghị định số .../2023/NĐ-CP ngày... tháng... năm 2023 của Chính phủ quy định chi tiết một số điều của Luật Tần số vô tuyến điện số 42/2009/QH12, được sửa đổi, bổ sung một số điều theo Luật số 09/2022/QH15;
Căn cứ Quyết định số ..../QĐ-BTTTT ngày ... tháng ... năm ... của Bộ trưởng Bộ Thông tin và Truyền thông về chức năng, nhiệm vụ, quyền hạn và cơ cấu tổ chức của Cục Tần sốvô tuyến điện;
Căn cứ Giấy phép viễn thông số................................. ngày …. của (tên tổ chức);
Xét hồ sơ đề nghị cấp phép của ... (tên tổ chức)...
NAY CHO PHÉP
Điều 1. Tổ chức:
Địa chỉ:
Được sử dụng đoạn băng tần theo các quy định sau đây:
1. Mục đích sử dụng:
2. Loại nghiệp vụ:
3. Băng tần hoạt động:
4. Phạm vi phủ sóng:
5. Các mức giới hạn phát xạ:
6. Điều kiện khai thác:
Điều 2. Các quy định khác:
Điều 3. Tổ chức tại Điều 1 có trách nhiệm báo cáo định kỳ hàng quý trong thời hạn quy định của Bộ Thông tin và Truyền thông về Danh mục thiết bị phát sóng vô tuyến điện sử dụng trong mạng thông tin vô tuyến điện theo mẫu quy định tại Phụ lục I ban hành kèm theo Nghị định số .../2023/NĐ-CP ngày ... tháng ... năm 2023 của Chính phủ quy định chi tiết một số điều của Luật Tần số vô tuyến điện số 42/2009/QH12, được sửa đổi, bổ sung một số điều theo Luật số 09/2022/QH15 và báo cáo đột xuất trong thời hạn 05 ngày làm việc kể từ ngày Cục Tần số vô tuyến điện gửi văn bản.
Điều 4. Trong quá trình hoạt động, tổ chức có trách nhiệm:
- Chấp hành quy định pháp luật về tần số vô tuyến điện;
- Nộp lệ phí cấp giấy phép, phí sử dụng và tiền cấp quyền sử dụng tần số vô tuyến điện theo quy định.
CỤC TRƯỞNG
(Chữ ký của người có thẩm quyền
và đóng dấu của cơ quan, tổ chức)
Họ và tên
________________
Chú ý: Trước khi giấy phép sử dụng băng tần hết hạn ít nhất là 60 ngày, tổ chức có nhu cầu tiếp tục sử dụng phải gửi hồ sơ đề nghị gia hạn theo quy định.
Mẫu 3a
|
|
CỘNG HÒA XÃ HỘI CHỦ NGHĨA VIỆT NAM |
GIẤY PHÉP
SỬ DỤNG TẦN SỐ VÀ QUỸ ĐẠO VỆ TINH
Cấp lần đầu ngày….
Có hiệu lực từ ngày….đến hết ngày….
CỤC TRƯỞNG CỤC TẦN SỐ VÔ TUYẾN ĐIỆN
Căn cứ Luật Tần số vô tuyến điện ngày 23 tháng 11 năm 2009 và Luật sửa đổi, bổ sung một số điều của Luật Tần số vô tuyến điện ngày 09 tháng 11 năm 2022;
Căn cứ Nghị định số .../2023/NĐ-CP ngày ... tháng ... năm 2023 của Chính phủ quy định chi tiết một số điều của Luật Tần số vô tuyến điện số 42/2009/QH12, được sửa đổi, bổ sung một số điều theo Luật số 09/2022/QH15;
Căn cứ Quyết định số ..../QĐ-BTTTT ngày ... tháng ... năm ... của Bộ trưởng Bộ Thông tin và Truyền thông về chức năng, nhiệm vụ, quyền hạn và cơ cấu tổ chức của Cục Tần số vô tuyến điện;
Căn cứ Giấy phép viễn thông số.............................. ngày..................... của (tên tổ chức);
Xét hồ sơ đề nghị cấp phép của ... (tên tổ chức)...
NAY CHO PHÉP
Điều 1. Tổ chức:
Địa chỉ:
Được sử dụng tần số và quỹ đạo vệ tinh địa tĩnh theo các quy định sau đây:
1. Tên vệ tinh (tên thương mại):
2. Vị trí quỹ đạo:
3. Vùng phủ sóng/vùng dịch vụ:
4. Băng tần vệ tinh:
5. Số bộ phát đáp:
6. Danh sách bộ phát đáp:
7. Hồ sơ vệ tinh đăng ký với ITU:
8. Ngày phóng vệ tinh:
9. Tên tổ chức sở hữu quả vệ tinh:
Điều 2. Trong quá trình hoạt động, tổ chức có trách nhiệm:
- Chấp hành quy định pháp luật về tần số vô tuyến điện;
- Chấp hành quy định của Liên minh Viễn thông quốc tế (International Telecommunication Union - ITU) liên quan tới sử dụng tần số vô tuyến điện, quỹ đạo vệ tinh;
- Nộp lệ phí cấp giấy phép, phí sử dụng tần số vô tuyến điện, quỹ đạo vệ tinh theo quy định.
CỤC TRƯỞNG
(Chữ ký của người có thẩm quyềnvà
đóng dấu của cơ quan, tổ chức)
Họ và tên
_________________________
Chú ý: Trước khi giấy phép sử dụng tần số và quỹ đạo vệ tinh đối với vệ tinh hết hạn ít nhất là 90 ngày, tổ chức có nhu cầu tiếp tục sử dụng phải gửi hồ sơ đề nghị gia hạn theo quy định.
Mẫu 3b
|
|
CỘNG HÒA XÃ HỘI CHỦ NGHĨA VIỆT NAM |
GIẤY PHÉP
SỬ DỤNG TẦN SỐ VÀ QUỸ ĐẠO VỆ TINH
Cấp lần đầu ngày….
Có hiệu lực từ ngày….đến hết ngày............
CỤC TRƯỞNG CỤC TẦN SỐ VÔ TUYẾN ĐIỆN
Căn cứ Luật Tần số vô tuyến điện ngày 23 tháng 11 năm 2009 và Luật sửa đổi, bổ sung một số điều của Luật Tần số vô tuyến điện ngày 09 tháng 11 năm 2022;
Căn cứ Nghị định số .../2023/NĐ-CP ngày... tháng... năm 2023 của Chính phủ quy định chi tiết một số điều của Luật Tần sốvô tuyến điện số 42/2009/QH12, được sửa đổi, bổ sung một số điều theo Luật số 09/2022/QH15;
Căn cứ Quyết định số ..../QĐ-BTTTT ngày ... tháng ... năm ... của Bộ trưởng Bộ Thông tin và Truyền thông về chức năng, nhiệm vụ, quyền hạn và cơ cấu tổ chức của Cục Tần số vô tuyến điện;
Căn cứ Giấy phép viễn thông số.............................. ngày.................... của (tên tổ chức);
Xét hồ sơ đề nghị cấp phép của ... (tên tổ chức)...
NAY CHO PHÉP
Điều 1. Tổ chức:
Địa chỉ:
Được sử dụng tần số và quỹ đạo vệ tinh phi địa tĩnh theo các quy định sau đây:
1. Tên vệ tinh (tên thương mại):
2. Số mặt phẳng quỹ đạo:
|
Số thứ tự mặt phẳng quỹ đạo |
Góc nghiêng |
Số vệ tinh trong mặt phẳng quỹ đạo này |
Chu kỳ |
Điểm cực viễn (km) |
Điểm cực cận (km) |
|
|
|
|
|
|
|
3. Vùng phủ sóng/vùng dịch vụ:
4. Băng tần vệ tinh:
5. Số bộ phát đáp:
6. Danh sách bộ phát đáp:
7. Hồ sơ vệ tinh đăng ký với ITU:
8. Ngày phóng vệ tinh:
9. Tên tổ chức sở hữu quả vệ tinh:
Điều 2. Trong quá trình hoạt động, tổ chức có trách nhiệm:
- Chấp hành quy định pháp luật về tần số vô tuyến điện;
- Chấp hành quy định của Liên minh Viễn thông quốc tế (International Telecommunication Union - ITU) liên quan tới sử dụng tần số vô tuyến điện, quỹ đạo vệ tinh;
- Nộp lệ phí cấp giấy phép, phí sử dụng tần số vô tuyến điện, quỹ đạo vệ tinh theo quy định.
CỤC TRƯỞNG
(Chữ ký của người có thẩm quyềnvà
đóng dấu của cơ quan, tổ chức)
Họ và tên
_______________
Chú ý: Trước khi giấy phép sử dụng tần số và quỹ đạo vệ tinh hết hạn ít nhất là 90 ngày, tổ chức có nhu cầu tiếp tục sử dụng phải gửi hồ sơ đề nghị gia hạn theo quy định.
Phụ lục IV
MẪU BẢN CAM KẾT TRIỂN KHAI MẠNG VIỄN THÔNG
(Kèm theo Nghị định số 63/2023/NĐ-CP
ngày 18 tháng 8 năm 2023 của Chính phủ)
_____________
|
TÊN DOANH NGHIỆP
|
CỘNG HÒA XÃ HỘI CHỦ NGHĨA VIỆT NAM ...., ngày...tháng...năm... |
BẢN CAM KẾT TRIỂN KHAI MẠNG VIỄN THÔNG
SAU KHI TRÚNG ĐẤU GIÁ/THI TUYỂN/CẤP LẠI
QUYỀN SỬ DỤNG TẦN SỐ VÔ TUYẾN ĐIỆN ĐỐI VỚI BĂNG TẦN
Kính gửi: Bộ Thông tin và Truyền thông.
Tên doanh nghiệp viết bằng tiếng Việt: (Tên ghi trên Giấy chứng nhận đăng ký doanh nghiệp/Giấy chứng nhận đăng ký kinh doanh/Giấy chứng nhận đầu tư, ghi bằng chữ in hoa)
Địa chỉ trụ sở chính: (Địa chỉ ghi trên Giấy chứng nhận đăng ký doanh nghiệp/Giấy chứng nhận đăng ký kinh doanh/Giấy chứng nhận đăng ký đầu tư):
Giấy chứng nhận đăng ký doanh nghiệp/Giấy chứng nhận đăng ký kinh doanh/Giấy chứng nhận đăng ký đầu tư số: do.... cấp lần đầu ngày... tháng... năm..., thay đổi lần thứ ... ngày ... tháng ... năm ....
Điện thoại:.......................................... Fax: ..................................... Website...............................
Căn cứ Luật Tần số vô tuyến điện được sửa đổi, bổ sung một số điều theo Luật số 09/2022/QH15, Nghị định số .../2023/NĐ-CP ngày .../.../2023 của Chính phủ quy định chi tiết một số điều của Luật Tần số vô tuyến điện số 42/2009/QH12, được sửa đổi, bổ sung một số điều theo Luật số 09/2022/QH15; Luật Viễn thông và các văn bản hướng dẫn thi hành Luật Viễn thông; Quyết định của Bộ trưởng Bộ Thông tin và Truyền thông phê duyệt Phương án tổ chức (đấu giá/thi tuyển) quyền sử dụng tần số vô tuyến điện đối với (băng tần) /hoặc thông báo của Bộ Thông tin và Truyền thông về yêu cầu cam kết triển khai mạng viễn thông đối với băng tần được cấp lại giấy phép, (Doanh nghiệp) cam kết triển khai mạng viễn thông sau khi (trúng đấu giá/ thi tuyển/ được cấp lại) quyền sử dụng tần số vô tuyến điện đối với băng tần (khối băng tần) như sau:
|
TT |
Tiêu chí |
Nội dung triển khai |
|
1 |
Tổng số vốn đầu tư vào mạng lưới hoặc số lượng trạm phát sóng vô tuyến điện phải triển khai |
|
|
2 |
Vùng phủ sóng tính theo dân số hoặc theo khu vực địa lý |
|
|
3 |
Thời điểm chính thức cung cấp dịch vụ viễn thông tính từ thời điểm cấp phép |
|
|
4 |
Chất lượng dịch vụ viễn thông |
|
|
5 |
Chuyển vùng dịch vụ viễn thông |
|
Doanh nghiệp cam kết như sau: chịu trách nhiệm về nội dung đã cam kết trên đây và sẽ chịu xử lý theo quy định của pháp luật nếu vi phạm trong việc thực hiện nội dung cam kết nêu trên.
|
Nơi nhận: |
NGƯỜI ĐẠI DIỆN THEO PHÁP LUẬT |
_____________
Ghi chú: Các nội dung in nghiêng phụ thuộc vào quy định và phương án tổ chức đấu giá/thi tuyển hoặc yêu cầu khi cấp lại của băng tần cụ thể.
Phụ lục V
CÁC MẪU VĂN BẢN LIÊN QUAN ĐẾN CẤP GIẤY PHÉP
SỬ DỤNG BĂNG TẦN THÔNG QUA ĐẤU GIÁ
VÀ THI TUYỂN QUYỀN SỬ DỤNG TẦN SỐ VÔ TUYẾN ĐIỆN
(Kèm theo Nghị định số 63/2021/NĐ-CP
ngày 18 tháng 8 năm 2023 của Chính phủ)
_______
|
Mẫu |
Tên mẫu |
|
Mẫu 01 |
Đơn đề nghị cấp giấy xác nhận đáp ứng điều kiện tham gia đấu giá quyền sử dụng tần số vô tuyến điện đối với băng tần |
|
Mẫu 02 |
Bản cam kết mức trả giá trong trường hợp doanh nghiệp trúng đấu giá |
|
Mẫu 03 |
Giấy xác nhận tổ chức đáp ứng điều kiện tham gia đấu giá quyền sử dụng tần số vô tuyến điện đối với băng tần |
|
Mẫu 04 |
Đơn đăng ký tham gia thi tuyển |
Mẫu 01
|
TÊN DOANH NGHIỆP |
CỘNG HÒA XÃ HỘI CHỦ NGHĨA VIỆT NAM |
ĐƠN ĐỀ NGHỊ CẤP GIẤY XÁC NHẬN ĐÁP ỨNG ĐIỀU KIỆN
THAM GIA ĐẤU GIÁ QUYỀN SỬ DỤNG TẦN SỐ VÔ TUYẾN ĐIỆN
ĐỐI VỚI BĂNG TẦN
Kính gửi: Cục Viễn thông
Căn cứ Luật Tần số vô tuyến điện ngày 23 tháng 11 năm 2009 và Luật sửa đổi, bổ sung một số điều của Luật Tần số vô tuyến điện ngày 09 tháng 11 năm 2022;
Căn cứ Luật Viễn thông ...;
Căn cứ Nghị định số 25/2011/NĐ-CP ngày 06 tháng 4 năm 2011 của Chính phủ quy định chi tiết và hướng dẫn thi hành một số điều Luật Viễn thông đã được sửa đổi, bổ sung theo các Nghị định số 81/2016/NĐ-CP ngày 01 tháng 7 năm 2016 và Nghị định số 49/2017/NĐ-CP ngày 24 tháng 4 năm 2017 của Chính phủ;
Căn cứ Nghị định số 48/2022/NĐ-CP ngày 26 tháng 7 tháng 2022 của Chính phủ quy định chức năng, nhiệm vụ, quyền hạn và cơ cấu tổ chức của Bộ Thông tin và Truyền thông;
Căn cứ Nghị định số .../2023/NĐ-CP ngày... tháng... năm 2023 của Chính phủ quy định chi tiết một số điều của Luật Tần số vô tuyến điện số 42/2009/QH12, được sửa đổi, bổ sung một số điều theo Luật số 09/2022/QH15;
(Tên doanh nghiệp) đề nghị được cấp giấy phép kinh doanh dịch vụ viễn thông như sau:
Phần 1. Thông tin chung
1. Tên doanh nghiệp viết bằng tiếng Việt: (tên ghi trên Giấy chứng nhận đăng ký doanh nghiệp/Giấy chứng nhận đăng ký kinh doanh/Giấy chứng nhận đầu tư, ghi bằng chữ in hoa)
2. Địa chỉ trụ sở chính: (địa chỉ ghi trên giấy chứng nhận đăng ký doanh nghiệp/Giấy chứng nhận đăng ký kinh doanh/Giấy chứng nhận đầu tư)
3. Giấy chứng nhận đăng ký doanh nghiệp/Giấy chứng nhận đăng ký kinh doanh/Giấy chứng nhận đầu tư số: .... do .... cấp ngày ... tháng ... năm ... tại ...
4. Điện thoại:................................................... Fax: Website............................
Phần 2. Đề nghị cấp giấy xác nhận
(Tên doanh nghiệp) đề nghị được cấp giấy xác nhận đáp ứng điều kiện tham gia đấu giá quyền sử dụng tần số vô tuyến điện đối với băng tần (khối băng tần)..............................................................................................
Phần 3. Tài liệu kèm theo
........................................
Phần 4. Cam kết
(Tên doanh nghiệp) xin cam kết chịu trách nhiệm trước pháp luật về tính chính xác và tính hợp pháp của nội dung trong đơn đề nghị cấp giấy xác nhận đủ điều kiện tham gia đấu giá và các tài liệu kèm theo.
|
Nơi nhận: |
NGƯỜI ĐẠI DIỆN THEO PHÁP LUẬT |
Đầu mối liên hệ về hồ sơ (họ tên, chức vụ, điện thoại, địa chỉ thư điện tử)
Mẫu 02
|
TÊN DOANH NGHIỆP
|
CỘNG HÒA XÃ HỘI CHỦ NGHĨA VIỆT NAM |
BẢN CAM KẾT VỀ MỨC TRẢ GIÁ TRONG TRƯỜNG HỢP
DOANH NGHIỆP TRÚNG ĐẤU GIÁ
Kính gửi: Bộ Thông tin và Truyền thông.
Tên doanh nghiệp viết bằng tiếng Việt: (Tên ghi trên Giấy chứng nhận đăng ký doanh nghiệp/Giấy chứng nhận đăng ký kinh doanh/Giấy chứng nhận đầu tư, ghi bằng chữ in hoa)
Địa chỉ trụ sở chính: (Địa chỉ ghi trên Giấy chứng nhận đăng ký doanh nghiệp/Giấy chứng nhận đăng ký kinh doanh/Giấy chứng nhận đăng ký đầu tư):
Giấy chứng nhận đăng ký doanh nghiệp/Giấy chứng nhận đăng ký kinh doanh/Giấy chứng nhận đăng ký đầu tư số:....do .... cấp lần đầu ngày ... tháng....... năm ..., thay đổi lần thứ ... ngày ... tháng ... năm ....
Điện thoại:............................................. Fax:........................................ Website...........................
Căn cứ Luật Tần số vô tuyến điện được sửa đổi, bổ sung một số điều theo Luật số 09/2022/QH15, Nghị định số .../2023/NĐ-CP ngày .../.../2023 của Chính phủ quy định chi tiết một số điều của Luật Tần số vô tuyến điện số 42/2009/QH12, được sửa đổi, bổ sung một số điều theo Luật số 09/2022/QH15; Luật Viễn thông và các văn bản hướng dẫn thi hành Luật Viễn thông; Quyết định của Bộ trưởng Bộ Thông tin và Truyền thông phê duyệt Phương án tổ chức đấu giá quyền sử dụng tần số vô tuyến điện đối với (băng tần), (Doanh nghiệp) cam kết như sau:
1. Mức trả giá khối băng tần trong trường hợp doanh nghiệp trúng đấu giá đảm bảo phương án kỹ thuật và phương án kinh doanh đáp ứng điều kiện cấp hoặc cấp hoặc sửa đổi, bổ sung giấy phép kinh doanh dịch vụ viễn thông sử dụng băng tần được cấp phép thông qua đấu giá theo quy định theo pháp luật về viễn thông.
2. Chịu trách nhiệm về hiệu quả đầu tư kinh doanh dịch vụ viễn thông sử dụng băng tần được cấp phép thông qua đấu giá theo quy định pháp luật.
Doanh nghiệp cam kết chịu trách nhiệm về nội dung đã cam kết trên đây và sẽ chịu xử lý theo quy định của pháp luật nếu vi phạm trong việc thực hiện nội dung cam kết nêu trên.
|
Nơi nhận: |
NGƯỜI ĐẠI DIỆN THEO PHÁP LUẬT |
Mẫu 03
|
BỘ THÔNG TIN VÀ TRUYỀN THÔNG
Số: .../GXN-BTTTT |
CỘNG HÒA XÃ HỘI CHỦ NGHĨA VIỆT NAM Hà Nội, ngày ... tháng ... năm .. |
GIẤY XÁC NHẬN
ĐÁP ỨNG ĐIỀU KIỆN THAM GIA ĐẤU GIÁ
QUYỀN SỬ DỤNG TẦN SỐ VÔ TUYẾN ĐIỆN ĐỐI VỚI BĂNG TẦN
_________
BỘ TRƯỞNG BỘ THÔNG TIN VÀ TRUYỀN THÔNG
Căn cứ Luật Tần số vô tuyến điện ngày 23 tháng 11 năm 2009 và Luật sửa đổi, bổ sung một số điều của Luật Tần số vô tuyến điện ngày 09 tháng 11 năm 2022;
Căn cứ Luật Viễn thông ...;
Căn cứ Nghị định quy định chi tiết và hướng dẫn thi hành Luật Viễn thông;
Căn cứ Nghị định số 48/2022/NĐ-CP ngày 26 tháng 7 năm 2022 của Chính phủ quy định chức năng, nhiệm vụ, quyền hạn và cơ cấu tổ chức của Bộ Thông tin và Truyền thông;
Căn cứ Nghị định số .../2023/NĐ-CP ngày... tháng... năm 2023 của Chính phủ quy định chi tiết một số điều của Luật Tần số vô tuyến điện số 42/2009/QH12, được sửa đổi, bổ sung một số điều theo Luật số09/2022/QH15;
Căn cứ Quyết định của Bộ trưởng Bộ Thông tin và Truyền thông phê duyệt Phương án tổ chức đấu giá quyền sử dụng tần số vô tuyến điện đối với (băng tần);
Xét hồ sơ theo Đơn số... ngày ... tháng ... năm .... và hồ sơ bổ sung theo công văn số... ngày... tháng... năm .... của (tên doanh nghiệp);
Theo đề nghị của Cục trưởng Cục Viễn thông.
XÁC NHẬN
Điều 1. Doanh nghiệp (viết bằng chữ in hoa): .....................................................................
Tên giao dịch:....................................................................................................................
Tên giao dịch quốc tế:........................................................................................................
Tên viết tắt:........................................................................................................................
Địa chỉ trụ sở chính:............................................................................................................
Giấy đăng ký doanh nghiệp/Giấy đăng ký kinh doanh/Giấy chứng nhận đầu tư số...do .... cấp ngày ... tháng ... năm (sau đây gọi là Doanh nghiệp) đáp ứng điều kiện tham gia cuộc đấu giá quyền sử dụng tần số vô tuyến điện đối với băng tần ..., mở ngày ...., được tổ chức tại ..., do ...tổ chức theo quy định tại Nghị định số .../2023/NĐ-CP ngày ... tháng ... năm 2023 của Chính phủ quy định chi tiết một số điều của Luật Tần số vô tuyến điện số 42/2009/QH12, được sửa đổi, bổ sung một số điều theo Luật số 09/2022/QH15.
Điều 2. Doanh nghiệp chịu trách nhiệm bảo đảm phương án kỹ thuật và phương án kinh doanh đáp ứng điều kiện cấp hoặc cấp hoặc sửa đổi, bổ sung giấy phép kinh doanh dịch vụ viễn thông sử dụng băng tần trong trường hợp trúng đấu giá theo quy định theo pháp luật về viễn thông và chịu trách nhiệm về hiệu quả đầu tư kinh doanh dịch vụ viễn thông sử dụng băng tần được cấp phép thông qua đấu giá.
Điều 3. Giấy xác nhận này có hiệu lực kể từ ngày ký.
BỘ TRƯỞNG
Mẫu 04
|
DOANH NGHIỆP |
CỘNG HÒA XÃ HỘI CHỦ NGHĨA VIỆT NAM |
ĐƠN ĐĂNG KÝ THAM GIA THI TUYỂN
Kính gửi: Bộ Thông tin và Truyền thông
Sau khi nghiên cứu các nội dung quy định tại Phương án tổ chức thi tuyển do Bộ Thông tin và Truyền thông phê duyệt (tại Quyết định số .... ngày....),
(Tên doanh nghiệp):...............................................................................................................
Mã số thuế:...........................................................................................................................
Địa chỉ:.................................................................................................................................
Điện thoại:.............................................................................................................................
Đăng ký tham gia thi tuyển quyền sử dụng tần số vô tuyến điện đối với khối băng tần/kênh tần số
Nếu trúng tuyển quyền sử dụng tần số vô tuyến điện khối băng tần/kênh tần số..., (tên doanh nghiệp) cam kết triển khai mạng viễn thông theo Bản cam kết tại Hồ sơ thi tuyển và chấp hành quy định pháp luật về viễn thông và tần số vô tuyến điện.
Kèm theo Đơn đăng ký này là các tài liệu được chuẩn bị theo yêu cầu của Phương án tổ chức thi tuyển do Bộ Thông tin và Truyền thông phê duyệt.
(Tên doanh nghiệp) xin cam kết chịu trách nhiệm trước pháp luật về tính chính xác và tính hợp pháp của nội dung trong Đơn đăng ký này và các hồ sơ, tài liệu kèm theo.
|
Nơi nhận: |
NGƯỜI ĐẠI DIỆN THEO PHÁP LUẬT (Ký, ghi rõ họ tên, chức danh và đóng dấu) |
Phụ lục VI
MẪU VĂN BẢN THÔNG BÁO VỀ CHO THUÊ, CHO MƯỢN
THIẾT BỊ VÔ TUYẾN ĐIỆN
(Kèm theo Nghị định số 63/2023/NĐ-CP
ngày 18 tháng 8 năm 2023 của Chính phủ)
__________________
CỘNG HÒA XÃ HỘI CHỦ NGHĨA VIỆT NAM
Độc lập - Tự do - Hạnh phúc
THÔNG BÁO
Về việc cho thuê, cho mượn thiết bị vô tuyến điện
Kính gửi: Trung tâm Tần số vô tuyến điện khu vực ....
Tên tổ chức, cá nhân cho thuê (cho mượn):.........................................................................
Mã số thuế (đối với tổ chức)/số CCCD/CMND/Hộ chiếu (đối với cá nhân):............................
Địa chỉ liên lạc:...................................................................................................................
Số điện thoại:......................................... Fax:............................ Email:..............................
Số giấy phép sử dụng tần số vô tuyến điện:.......................................................................
Tên tổ chức, cá nhân thuê (mượn):......................................................................................
Mã số thuế (đối với tổ chức)/số CCCD/CMND/Hộ chiếu (đối với cá nhân):............................
Địa chỉ liên lạc:...................................................................................................................
Số điện thoại:......................................................... Fax:............................. Email:.............
Thời gian cho thuê (cho mượn): từ ngày ..../..../....đến ngày ..../..../......................................
Bên cho thuê (cho mượn) và bên thuê (mượn) cam kết:
- Thực hiện các quy định của giấy phép sử dụng tần số vô tuyến điện;
- Chấp hành quy định của pháp luật về tần số vô tuyến điện, không gây nhiễu có hại và phải chịu sự kiểm tra, kiểm soát của cơ quan quản lý nhà nước về viễn thông và tần số vô tuyến điện;
- Đảm bảo an toàn mạng lưới, an toàn thông tin mạng.
|
Xác nhận của tổ chức, cá nhân thuê (mượn)
|
Làm tại , ngày.... tháng...năm Xác nhận của tổ chức, cá nhân cho thuê (Chữ ký của người có thẩm quyền và đóng dấu của tổ chức) Họ và tên |
Phụ lục VII
PHƯƠNG PHÁP LOẠI BỎ MẪU DỊ BIỆT
(Kèm theo Nghị định số 63/2023/NĐ-CP
ngày 18 tháng 8 năm 2023 của Chính phủ)
____________
Giả thiết rằng thu thập được thông tin của M cuộc đấu giá từ quốc gia hoặc vùng lãnh thổ, mỗi cuộc đấu giá là một mẫu; tiền quy đổi (GQĐ) từ tiền trúng đấu giá của cuộc đấu giá tại quốc gia hoặc vùng lãnh thổ về Việt Nam tương ứng với các mẫu được sắp xếp theo giá trị từ thấp đến cao là:
GQĐ = [GQĐ1, GQĐ2,..., GQĐm]
Các mẫu được xác định là mẫu dị biệt và bị loại nếu các giá trị tiền quy đổi (GQĐ) tương ứng nằm ngoài khoảng [GQĐcd; GQĐct]. Việc xác định và loại bỏ mẫu dị biệt chỉ thực hiện một lần duy nhất với tập có M mẫu ban đầu.
Khoảng giá trị [GQĐcd; GQĐct] được xác định như sau:
Giá trị cận dưới GQĐcd: GQĐcd = Q1 - 1,5 IQR;
Giá trị cận trên GQĐct: GQĐct = Q3 + 1,5 IQR;
Trong đó, khoảng tứ phân vị IQR được tính như sau: IQR = Q3- Q1;
Các giá trị Q1 và Q3 lần lượt là tứ phân vị thứ nhất và thứ ba của tập tiền quy đổi (GQĐ), được xác định như sau:
Phương pháp 1: xác định Q1 và Q3 sử dụng công thức
Xác định Q1:
Q1 = GQĐ(Pt) xTt + GQĐ(PS) X Ts
Trong đó:
Pt là giá trị làm tròn xuống của giá trị
Ps là giá trị làm tròn lên của giá trị
Tt = Ps - PG
Ts = P1 - Pt
Nếu M = 4a + 1, với a là số nguyên dương thì Tt= 1 và Ts = 0
Xác định Q3:
Q3 = GQĐ(pt) X Tt + GQĐ(PS) X Ts
Pt là giá trị làm tròn xuống của giá trị
Ps là giá trị làm tròn lên của giá trị
Tt = Ps- P3;
Ts = P3- Pt
Nếu M = 4a+ 1, với a là số nguyên dương thì Tt = 1 và Ts = 0
Phương pháp 2: xác định Q1 và Q3 sử dụng phần mềm Microsoft Excel
Mở phần mềm Microsoft Excel;
Lập một vùng dữ liệu trong Microsoft Excel là các ô chứa M giá trị tiền quy đổi GQĐ = [GQĐ1, GQĐ2, ....GQĐm]
Di chuyển con trỏ đến một ô khác ngoài vùng dữ liệu và thực hiện lệnh Quartile.INC để tìm giá trị phân vị thứ nhất Q1, giá trị phân vị thứ ba Q3, cụ thể:
Quartile.INC (Vùng dữ liệu, tham số)
Vùng dữ liệu: là vùng chứa M giá trị tiền quy đổi.
Để xác định giá trị phân vị thứ nhất Q1 và giá trị phân vị thứ ba Q3 tham số tương ứng là 1 và 3. Khi đó:
Q1 = Quartile. INC (Vùng dữ liệu, 1)
Q3 = Quartile.INC (Vùng dữ liệu, 3)
Phụ lục VIII
MẪU THÔNG BÁO NỘP TIỀN
CẤP QUYỀN SỬ DỤNG TẦN SỐ VÔ TUYẾN ĐIỆN
(Kèm theo Nghị định số 63/2023/NĐ-CP
ngày 18 tháng 8 năm 2023 của Chính phủ)
______________
|
TÊN CƠ QUAN |
CỘNG HÒA XÃ HỘI CHỦ NGHĨA VIỆT NAM |
THÔNG BÁO
Nộp tiền cấp quyền sử dụng tần số vô tuyến điện
___________
Căn cứ Luật Tần số vô tuyến điện ngày 23 tháng 11 năm 2009; Luật sửa đổi, bổ sung một số điều của Luật Tần số vô tuyến điện ngày 09 tháng 11 năm 2022;
Căn cứ Nghị định số..../2023/NĐ-CP ngày...tháng....năm 2023 của Chính phủ quy định chi tiết một số điều của Luật Tần số vô tuyến điện số 42/2009/QH12, được sửa đổi, bổ sung một số điều theo Luật số 09/2022/QH15;
<Tên cơ quan thông báo> thông báo về việc nộp tiền cấp quyền sử dụng tần số vô tuyến điện như sau:
I. Thông tin về tổ chức nộp tiền cấp quyền sử dụng tần số vô tuyến điện
1. Tên tổ chức nộp tiền cấp quyền sử dụng tần số vô tuyến điện:
2. Mã khách hàng:.................................................. E-mail:
3. Mã số thuế:
4. Địa chỉ liên hệ:
5. Địa chỉ trụ sở chính/thường trú:
6. Điện thoại......................... Điện... thoại di động........................... Fax..............................
II. Thông tin về quyền sử dụng tần số vô tuyến điện
1. Băng tần được cấp quyền sử dụng tần số vô tuyến điện:.................................................
2. Số giấy phép được cấp, ngày cấp (đối với lần thu tiền sau khi giấy phép được cấp):
III. Thông tin về thông báo nộp tiền cấp quyền sử dụng tần số vô tuyến điện
1. Số tiền cấp quyền sử dụng tần số vô tuyến điện phải nộp................................................
2. Thời hạn nộp tiền:...........................................................................................................
3. Phương thức nộp:...........................................................................................................
IV. Thông tin thu tiền cấp quyền sử dụng tần số vô tuyến điện
1. Tên tổ chức thu:
2. Địa chỉ:
3. Số tài khoản:
4. Tài khoản ngân hàng/kho bạc nhà nước:
5. Điện thoại:............................................................ Fax.....................................................
< Tên cơ quan thông báo> thông báo để tổ chức, cá nhân được biết và thực hiện.
|
Nơi nhận: |
THỦ TRƯỞNG CƠ QUAN
|
Phụ lục IX
MẪU VĂN BẢN, BÁO CÁO VỀ CÔNG NHẬN
TỔ CHỨC ĐỦ ĐIỀU KIỆN ĐÀO TẠO, CẤP CHỨNG CHỈ
VÔ TUYẾN ĐIỆN VIÊN
(Kèm theo Nghị định số 63/2023/NĐ-CP
ngày 18 tháng 8 năm 2023 của Chính phủ)
_________
|
Mẫu |
Tên mẫu |
|
Mẫu 01 |
Mẫu văn bản đề nghị cấp giấy công nhận tổ chức đủ điều kiện cấp chứng chỉ vô tuyến điện nghiệp dư |
|
Mẫu 02 |
Mẫu báo cáo thuyết minh các điều kiện đảm bảo cho hoạt động cấp chứng chỉ vô tuyến điện nghiệp dư |
|
Mẫu 03 |
Mẫu giấy công nhận tổ chức đủ điều kiện cấp chứng chỉ vô tuyến điện nghiệp dư (áp dụng với trường hợp cấp lần đầu) |
|
Mẫu 04 |
Mẫu giấy công nhận tổ chức đủ điều kiện cấp chứng chỉ vô tuyến điện nghiệp dư (áp dụng với trường hợp cấp đổi) |
|
Mẫu 05 |
Mẫu văn bản đề nghị cấp đổi giấy công nhận tổ chức đủ điều kiện cấp chứng chỉ vô tuyến điện nghiệp dư |
|
Mẫu 06 |
Mẫu báo cáo tình hình tổ chức thi, cấp chứng chỉ vô tuyến điện nghiệp dư |
|
Mẫu 07 |
Mẫu văn bản đề nghị cấp giấy công nhận tổ chức đủ điều kiện đào tạo, cấp chứng chỉ vô tuyến điện viên hàng hải |
|
Mẫu 08 |
Mẫu báo cáo thuyết minh các điều kiện đảm bảo cho hoạt động đào tạo, cấp chứng chỉ vô tuyến điện viên hàng hải |
|
Mẫu 09 |
Mẫu giấy công nhận tổ chức đủ điều kiện đào tạo, cấp chứng chỉ vô tuyến điện viên hàng hải (áp dụng với trường hợp cấp lần đầu) |
|
Mẫu 10 |
Mẫu giấy công nhận tổ chức đủ điều kiện đào tạo, cấp chứng chỉ vô tuyến điện viên hàng hải (áp dụng với trường hợp cấp đổi) |
|
Mẫu 11 |
Mẫu văn bản đề nghị cấp đổi giấy công nhận tổ chức đủ điều kiện đào tạo, cấp chứng chỉ vô tuyến điện viên hàng hải |
|
Mẫu 12 |
Mẫu báo cáo tình hình đào tạo, cấp chứng chỉ vô tuyến điện viên hàng hải |
Mẫu 01
|
TÊN TỔ CHỨC
Số:.… V/v đề nghị cấp giấy công nhận |
CỘNG HÒA XÃ HỘI CHỦ NGHĨA VIỆT NAM ..., ngày .... tháng ... năm ... |
Kính gửi: Bộ Thông tin và Truyền thông
Tên tổ chức:.....................................................................................................................
Địa chỉ trụ sở chính:..........................................................................................................
Điện thoại:.................................. Fax:................................. Website:..................................
Giấy phép/Quyết định thành lập số....................................... Ngày... cấp:...........................
Cơ quan cấp:......................................................................................................................
Họ và tên người đứng đầu tổ chức:...................................................................................
Địa chỉ:...............................................................................................................................
Số CMND/CCCD:..............................................................................................................
......... (1).............. đề nghị Bộ Thông tin và Truyền thông cấp giấy công nhận tổ chức đủ điều kiện cấp chứng chỉ vô tuyến điện nghiệp dư cấp ..(2)....
Chúng tôi cam kết chịu trách nhiệm hoàn toàn về sự trung thực và chính xác của nội dung văn bản đề nghị, hồ sơ kèm theo.
Hồ sơ kèm theo gồm:
- Bản sao hợp pháp giấy phép hoặc quyết định thành lập tổ chức;
- Báo cáo thuyết minh các điều kiện đảm bảo cho hoạt động cấp chứng chỉ vô tuyến điện viên nghiệp dư;
- Bộ câu hỏi thi lý thuyết vô tuyến điện nghiệp dư.
|
Nơi nhận: |
QUYỀN HẠN, CHỨC VỤ CỦA NGƯỜI KÝ
|
Hướng dẫn:
(1): Ghi tên của tổ chức đề nghị cấp giấy công nhận tổ chức đủ điều kiện cấp chứng chỉ vô tuyến điện nghiệp dư.
(2): Ghi cấp độ chứng chỉ vô tuyến điện nghiệp dư đề nghị cấp.
Mẫu 02
|
TÊN TỔ CHỨC
Số:.… |
CỘNG HÒA XÃ HỘI CHỦ NGHĨA VIỆT NAM ..., ngày ...tháng ... năm .. |
BÁO CÁO
Thuyết minh các điều kiện đảm bảo cho hoạt động cấp chứng chỉ
vô tuyến điện nghiệp dư cấp ...(1)....
___________
....(2)... xin báo cáo thực trạng các điều kiện đảm bảo cho hoạt động cấp chứng chỉ vô tuyến điện nghiệp dư cấp ...(3).... như sau:
I. Cơ sở vật chất, trang thiết bị
Báo cáo về cơ sở vật chất, trang thiết bị: đài vô tuyến điện nghiệp dư kèm theo số giấy phép sử dụng tần số vô tuyến điện.
II. Bộ câu hỏi thi lý thuyết vô tuyến điện nghiệp dư
Hồ sơ bao gồm:
- Quyết định ban hành Bộ câu hỏi thi lý thuyết vô tuyến điện nghiệp dư của người đứng đầu tổ chức;
- Bộ câu hỏi thi lý thuyết vô tuyến điện nghiệp dư.
III. Người tham gia hoạt động tổ chức thi vô tuyến điện nghiệp dư(4)
|
TT |
Họ và tên |
Trình độ chuyên môn, nghiệp vụ |
Chứng chỉ vô tuyến điện nghiệp dư |
Kinh nghiệm làm nghề điện báo/Kinh nghiệm khai thác đài vô tuyến điện nghiệp dư |
|
1 |
|
|
|
|
|
|
|
|
|
|
|
Nơi nhận: |
QUYỀN HẠN, CHỨC VỤ CỦA NGƯỜI KÝ (Chữ ký, họ và tên của người có thẩm quyền |
Hướng dẫn:
(1) và (3): Ghi cấp độ chứng chỉ vô tuyến điện nghiệp dư đề nghị cấp.
(2): Ghi tên của tổ chức đề nghị cấp giấy công nhận tổ chức đủ điều kiện cấp chứng chỉ vô tuyến điện nghiệp dư.
(4): Đối với từng người tham gia hoạt động tổ chức thi vô tuyến điện nghiệp dư phải nộp kèm theo hồ sơ gồm bản sao hợp pháp các tài liệu sau:
- Bằng tốt nghiệp đại học trở lên một trong các chuyên ngành vô tuyến điện, điện tử, viễn thông hoặc các ngành tương đương;
- Chứng chỉ vô tuyến điện nghiệp dư hoặc giấy tờ thể hiện là người đã trải qua ít nhất 1 năm làm nghề điện báo (có khả năng nhận bằng tai và gửi bằng tay các bản tin dưới dạng mã Móc-xơ quốc tế thông qua máy thu phát vô tuyến điện).
Mẫu 03
|
BỘ THÔNG TIN VÀ TRUYỀN THÔNG |
CỘNG HÒA XÃ HỘI CHỦ NGHĨA VIỆT NAM |
GIẤY CÔNG NHẬN
TỔ CHỨC ĐỦ ĐIỀU KIỆN CẤP CHỨNG CHỈ VÔ TUYẾN ĐIỆN NGHIỆP DƯ
Căn cứ Luật Tần số vô tuyến điện số 42/2009/QH12 ngày 23 tháng 11 năm 2009 và Luật sửa đổi, bổ sung một số điều của Luật Tần số vô tuyến điện số 09/2022/QH15 ngày 09 tháng 11 năm 2022;
Căn cứ Nghị định số .../2023/NĐ-CP ngày ... tháng.... năm 2023 của, Chính phủ quy định chi tiết một số điều của Luật Tần số vô tuyến điện số 42/2009/QH12, được sửa đổi, bổ sung một số điều theo Luật số 09/2022/QH15;
Xét hồ sơ đề nghị cấp giấy công nhận tổ chức đủ điều kiện cấp chứng chỉ vô tuyến điện nghiệp dư của (tên tổ chức).
BỘ TRƯỞNG BỘ THÔNG TIN VÀ TRUYỀN THÔNG
Công nhận:
Tên tổ chức:......................................................................................................................
Địa chỉ trụ sở chính:............................................................................................................
Đủ điều kiện cấp chứng chỉ vô tuyến điện nghiệp dư cấp............................................. (1)...
BỘ TRƯỞNG
(Ký, đóng dấu, ghi rõ họ và tên)
Ghi chú:
(1): Ghi cấp độ chứng chỉ vô tuyến điện nghiệp dư được cấp (vô tuyến điện nghiệp dư cấp một, vô tuyến điện nghiệp dư cấp hai, vô tuyến điện nghiệp dư cấp ba, vô tuyến điện nghiệp dư cấp bốn).
Mẫu 04
|
BỘ THÔNG TIN VÀ TRUYỀN THÔNG |
CỘNG HÒA XÃ HỘI CHỦ NGHĨA VIỆT NAM |
GIẤY CÔNG NHẬN
TỔ CHỨC ĐỦ ĐIỀU KIỆN CẤP CHỨNG CHỈ VÔ TUYẾN ĐIỆN NGHIỆP DƯ
_________
Căn cứ Luật Tần số vô tuyến điện số 42/2009/QH12 ngày 23 tháng 11 năm 2009 và Luật sửa đổi, bổ sung một số điều của Luật Tần sốvô tuyến điện số 09/2022/QH15 ngày 09 tháng 11 năm 2022;
Căn cứ Nghị định số .../2023/NĐ-CP ngày .... tháng .... năm 2023 của Chính phủ quy định chi tiết một số điều của Luật Tần số vô tuyến điện số 42/2009/QH12, được sửa đổi, bổ sung một số điều theo Luật số 09/2022/QH15;
Xét hồ sơ đề nghị cấp đổi giấy công nhận tổ chức đủ điều kiện cấp chứng chỉ vô tuyến điện nghiệp dư của (tên tổ chức).
BỘ TRƯỞNG BỘ THÔNG TIN VÀ TRUYỀN THÔNG
Công nhận:
Tên tổ chức:......................................................................................................................
Địa chỉ trụ sở chính:............................................................................................................
Đủ điều kiện cấp chứng chỉ vô tuyến điện nghiệp dư cấp:.....(1)...........................................
Giấy công nhận này thay thế giấy công nhận số.....đã được Bộ trưởng Bộ Thông tin và Truyền thông cấp ngày.....................................................................................................................................................
BỘ TRƯỞNG
(Ký, đóng dấu, ghi rõ họ và tên)
Ghi chú:
(1): Ghi cấp độ chứng chỉ vô tuyến điện nghiệp dư được cấp (vô tuyến điện nghiệp dư cấp một, vô tuyến điện nghiệp dư cấp hai, vô tuyến điện nghiệp dư cấp ba, vô tuyến điện nghiệp dư cấp bốn).
Mẫu 05
|
TÊN TỔ CHỨC
Số:..... V/v đề nghị cấp đổi giấy |
CỘNG HÒA XÃ HỘI CHỦ NGHĨA VIỆT NAM ..., ngày .... tháng ... năm ... |
Kính gửi: Bộ Thông tin và Truyền thông
Tên tổ chức:..................................................................................................................
Địa chỉ trụ sở chính:.......................................................................................................
Điện thoại:................................. ; Fax:.......................... ; Website:...................................
Giấy phép/Quyết định thành lập số................................... Ngày cấp:...................................
Cơ quan cấp:.....................................................................................................................
Họ và tên người đứng đầu tổ chức:....................................................................................
Địa chỉ:..............................................................................................................................
Số CMND/CCCD:...............................................................................................................
..... (1).............. đề nghị Bộ Thông tin và Truyền thông cấp đổi giấy công nhận tổ chức đủ điều kiện cấp chứng chỉ vô tuyến điện nghiệp dư số....(2)....ngày cấp................................................................
Chúng tôi cam kết chịu trách nhiệm hoàn toàn về sự trung thực và chính xác của nội dung văn bản đề nghị, hồ sơ kèm theo.
Hồ sơ kèm theo gồm:
Báo cáo về thay đổi thông tin của tổ chức đối với trường hợp có sự thay đổi thông tin.
|
Nơi nhận: |
QUYỀN HẠN, CHỨC VỤ CỦA NGƯỜI KÝ |
Hướng dẫn:
(1): Ghi tên của tổ chức đề nghị cấp đổi giấy công nhận tổ chức đủ điều kiện cấp chứng chỉ vô tuyến điện nghiệp dư.
(2): Ghi số giấy công nhận tổ chức đủ điều kiện cấp chứng chỉ vô tuyến điện nghiệp dư đề nghị cấp đổi.
Mẫu 06
|
TÊN TỔ CHỨC
Số:.... |
CỘNG HÒA XÃ HỘI CHỦ NGHĨA VIỆT NAM ..., ngày .... tháng ... năm ... |
BÁO CÁO
Tình hình tổ chức thi, cấp chứng chỉ vô tuyến điện nghiệp dư
____________
Kính gửi: Cục Tần số vô tuyến điện
................... (1)...................... báo cáo tình hình tổ chức thi vô tuyến điện nghiệp dư và tình hình cấp chứng chỉ vô tuyến điện nghiệp dư quý .... năm ... như sau:
1. Tình hình tổ chức thi vô tuyến điện nghiệp dư
....(2)....báo cáo về tình hình tổ chức thi vô tuyến điện nghiệp dư cấp... (cấp một, cấp hai, cấp ba, cấp bốn):
- Báo cáo về việc tổ chức thi:
+ Báo cáo về tổ chức thi lý thuyết và thi thực hành;
+ Báo cáo về người tham gia hoạt động tổ chức thi vô tuyến điện nghiệp dư.
- Báo cáo về kết quả thi vô tuyến điện nghiệp dư.
2. Tình hình cấp chứng chỉ vô tuyến điện nghiệp dư
|
Loại chứng chỉ |
Cấp |
Cấp đổi |
Thu hồi |
Ghi chú |
|
Chứng chỉ vô tuyến điện nghiệp dư cấp một |
|
|
|
|
|
Chứng chỉ vô tuyến điện nghiệp dư cấp hai |
|
|
|
|
|
Chứng chỉ vô tuyến điện nghiệp dư cấp ba |
|
|
|
|
|
Chứng chỉ vô tuyến điện nghiệp dư cấp bốn |
|
|
|
|
3. Kiến nghị, đề xuất (nếu có)
Trân trọng./.
|
Nơi nhận: |
QUYỀN HẠN, CHỨC VỤ CỦA NGƯỜI KÝ (Chữ ký, họ và tên của người có thẩm quyền |
Hướng dẫn:
(1) và (2): Ghi tên của tổ chức đã được Bộ Thông tin và Truyền thông cấp giấy công nhận tổ chức đủ điều kiện cấp chứng chỉ vô tuyến điện nghiệp dư.
Mẫu 07
|
TÊN TỔ CHỨC
Số:.... V/v đề nghị cấp giấy công nhận |
CỘNG HÒA XÃ HỘI CHỦ NGHĨA VIỆT NAM ..., ngày... tháng ... năm ... |
Kính gửi: Bộ Thông tin và Truyền thông
Tên tổ chức:.....................................................................................................................
Địa chỉ trụ sở chính:..........................................................................................................
Điện thoại:..................................... ; Fax:........................... ; Website:................................
Địa chỉ phân hiệu/địa điểm đào tạo khác (nếu có):.................................................................
Giấy phép/Quyết định thành lập số:...................................... Ngày cấp:............................
Cơ quan cấp:.......................................................................................................................
Họ và tên người đứng đầu tổ chức:..................................................................................
Địa chỉ:............................................................................................................................
Số CMND/CCCD:.................................................................................................................
...(1)...đề nghị Bộ Thông tin và Truyền thông cấp giấy công nhận tổ chức đủ điều kiện đào tạo, cấp chứng chỉ vô tuyến điện viên hàng hải hạng....... ...(2)......
Chúng tôi cam kết chịu trách nhiệm hoàn toàn về sự trung thực và chính xác của nội dung văn bản đề nghị, hồ sơ kèm theo.
Hồ sơ kèm theo gồm:
- Bản sao hợp pháp giấy phép hoặc quyết định thành lập tổ chức;
- Báo cáo thuyết minh các điều kiện đảm bảo cho hoạt động đào tạo, cấp chứng chỉ vô tuyến điện viên hàng hải;
- Chương trình đào tạo vô tuyến điện viên hàng hải của tổ chức.
|
Nơi nhận: |
QUYỀN HẠN, CHỨC VỤ CỦA NGƯỜI KÝ (Chữ ký, họ và tên của người có thẩm quyền |
Hướng dẫn:
(1): Ghi tên của tổ chức đề nghị cấp giấy công nhận tổ chức đủ điều kiện đào tạo, cấp chứng chỉ vô tuyến điện viên hàng hải.
(2): Ghi hạng chứng chỉ vô tuyến điện viên hàng hải đề nghị cấp.
Mẫu 08
|
TÊN TỔ CHỨC
Số:... |
CỘNG HÒA XÃ HỘI CHỦ NGHĨA VIỆT NAM ..., ngày.... tháng ... năm .. |
BÁO CÁO
Thuyết minh các điều kiện đảm bảo cho hoạt động đào tạo,
cấp chứng chỉ vô tuyến điện viên hàng hải(1)
___________
I. Cơ sở vật chất, trang thiết bị, tài liệu giảng dạy
1. Địa điểm đào tạo:.................................................
2. Cơ sở vật chất và trang thiết bị giảng dạy
a) Cơ sở vật chất
- Số phòng học lý thuyết
- Số phòng học thực hành
b) Trang thiết bị giảng dạy
|
STT |
Tên thiết bị |
Đơn vị tính |
Số lượng |
Ghi chú |
|
1 |
|
|
|
|
|
|
|
|
|
|
3. Tài liệu giảng dạy: liệt kê chi tiết các tài liệu dùng để giảng dạy
II. Chương trình đào tạo
Một chương trình bao gồm:
- Quyết định ban hành chương trình của người đứng đầu tổ chức;
- Chương trình đào tạo vô tuyến điện viên hàng hải chi tiết gửi kèm theo hồ sơ.
III. Giảng viên tham gia giảng dạy (2)
|
STT |
Họ và tên |
Trình độ chuyên môn, nghiệp vụ |
Trình độ ngoại ngữ |
Chứng chỉ vô tuyến điện viên hàng hải |
Kinh nghiệm tham gia đào tạo vô tuyến điện viên hàng hải |
|
1 |
|
|
|
|
|
|
|
|
|
|
|
|
|
Nơi nhận: |
QUYỀN HẠN, CHỨC VỤ CỦA NGƯỜI KÝ (Chữ ký, họ và tên của người có thẩm quyền |
Hướng dẫn:
(1)Nếu tổ chức có nhiều chi nhánh thì phải lập báo cáo riêng cho từng chi nhánh.
(2) Đối với mỗi giảng viên phải nộp kèm theo hồ sơ gồm bản sao hợp pháp các tài liệu sau:
- Quyết định tuyển dụng hoặc hợp đồng lao động;
- Văn bằng đào tạo chuyên môn;
- Chứng chỉ ngoại ngữ;
- Chứng chỉ vô tuyến điện viên hàng hải phù hợp với chương trình tham gia đào tạo hoặc các giấy tờ chứng minh đã tham gia đào tạo vô tuyến điện viên hàng hải hạng tương đương từ 03 năm trở lên.
Mẫu 09
|
BỘ THÔNG TIN VÀ TRUYỀN THÔNG
Số:... |
CỘNG HÒA XÃ HỘI CHỦ NGHĨA VIỆT NAM Hà Nội, ngày.... tháng ... năm ... |
GIẤY CÔNG NHẬN
TỔ CHỨC ĐỦ ĐIỀU KIỆN ĐÀO TẠO, CẤP CHỨNG CHỈ VÔ TUYẾN ĐIỆN VIÊN HÀNG HẢI
__________
Căn cứ Luật Tần số vô tuyến điện số 42/2009/QH12 ngày 23 tháng 11 năm 2009 và Luật sửa đổi, bổ sung một số điều của Luật Tần số vô tuyến điện số 09/2022/QH15 ngày 09 tháng 11 năm 2022;
Căn cứ Nghị định số .../2023/NĐ-CP ngày ... tháng ... năm 2023 của Chính phủ quy định chi tiết một số điều của Luật Tần số vô tuyến điện số 42/2009/QH12, được sửa đổi, bổ sung một số điều theo Luật số09/2022/QH15;
Xét hồ sơ đề nghị cấp giấy công nhận tổ chức đủ điều kiện đào tạo, cấp chứng chỉ vô tuyến điện viên hàng hải của (tên tổ chức).
BỘ TRƯỞNG BỘ THÔNG TIN VÀ TRUYỀN THÔNG
Công nhận:
Tên tổ chức:........................................................................................................................
Địa chỉ trụ sở chính:.............................................................................................................
Địa chỉ phân hiệu/địa điểm đào tạo khác (nếu có):.................................................................
Đủ điều kiện đào tạo, cấp chứng chỉ vô tuyến điện viên hàng hải hạng......(1).................. ...
BỘ TRƯỞNG
(Ký, đóng dấu, ghi rõ họ và tên)
Ghi chú:
(1): Ghi các hạng vô tuyến điện viên hàng hải được đào tạo tại trụ sở chính và từng phân hiệu (vô tuyến điện viên hàng hải hạng hạn chế, vô tuyến điện viên hàng hải hạng tổng quát, vô tuyến điện viên hàng hải hạng nhất, vô tuyến điện viên hàng hải hạng hai).
Mẫu 10
|
BỘ THÔNG TIN VÀ TRUYỀN THÔNG
Số:.... |
CỘNG HÒA XÃ HỘI CHỦ NGHĨA VIỆT NAM Hà Nội, ngày.... tháng ... năm ... |
GIẤY CÔNG NHẬN
TỔ CHỨC ĐỦ ĐIỀU KIỆN ĐÀO TẠO, CẤP CHỨNG CHỈ VÔ TUYẾN ĐIỆN VIÊN HÀNG HẢI
__________
Căn cứ Luật Tần số vô tuyến điện số 42/2009/QH12 ngày 23 tháng 11 năm 2009 và Luật sửa đổi, bổ sung một số điều của Luật Tần số vô tuyến điện số 09/2022/QH15 ngày 09 tháng 11 năm 2022;
Căn cứ Nghị định số .../2023/NĐ-CP ngày ... tháng... năm 2023 của Chính phủ quy định chi tiết một số điều của Luật Tần số vô tuyến điện số 42/2009/QH12, được sửa đổi, bổ sung một số điều theo Luật số 09/2022/QH15;
Xét hồ sơ đề nghị cấp đổi giấy công nhận tổ chức đủ điều kiện đào tạo, cấp chứng chỉ vô tuyến điện viên hàng hải của (tên tổ chức).
BỘ TRƯỞNG BỘ THÔNG TIN VÀ TRUYỀN THÔNG
Công nhận:
Tên tổ chức:........................................................................................................................
Địa chỉ trụ sở chính:..............................................................................................................
Địa chỉ phân hiệu/địa điểm đào tạo khác (nếu có):..................................................................
Đủ điều kiện đào tạo, cấp chứng chỉ vô tuyến điện viên hàng hải hạng ....(1)...
Giấy công nhận này thay thế giấy công nhận số....đã được Bộ trưởng Bộ Thông tin và Truyền thông cấp ngày....
BỘ TRƯỞNG
(Ký, đóng dấu, ghi rõ họ và tên)
Ghi chú:
(1): Ghi các hạng vô tuyến điện viên hàng hải được đào tạo tại trụ sở chính và từng phân hiệu (vô tuyến điện viên hàng hải hạng hạn chế, vô tuyến điện viên hàng hải hạng tổng quát, vô tuyến điện viên hàng hải hạng nhất, vô tuyến điện viên hàng hải hạng hai).
Mẫu 11
|
TÊN TỔ CHỨC
Số:.... V/v đề nghị cấp đổi giấy công |
CỘNG HÒA XÃ HỘI CHỦ NGHĨA VIỆT NAM ..., ngày.... tháng ... năm ... |
Kính gửi: Bộ Thông tin và Truyền thông
Tên tổ chức:....................................................................................................................
Địa chỉ trụ sở chính:.........................................................................................................
Điện thoại:............................... ;... Fax:............................... ; Website:.................................
Địa chỉ phân hiệu/địa điểm đào tạo khác (nếu có):.................................................................
Giấy phép/Quyết định thành lập số:.................................. Ngày cấp.................................
Cơ quan cấp:.......................................................................................................................
Họ và tên người đứng đầu tổ chức:.................................................................................
Địa chỉ:................................................................................................................................
Số CMND/CCCD:.................................................................................................................
.....(1)............................ đề nghị Bộ Thông tin và Truyền thông cấp đổi giấy công nhận tổ chức đủ điều kiện đào tạo, cấp chứng chỉ vô tuyến điện viên hàng hải số ....(2)... cấp ngày.....
Chúng tôi cam kết chịu trách nhiệm hoàn toàn về sự trung thực và chính xác của nội dung văn bản đề nghị, hồ sơ kèm theo.
Hồ sơ kèm theo gồm:
Báo cáo về thay đổi thông tin của tổ chức đối với trường hợp có sự thay đổi thông tin.
|
Nơi nhận: |
QUYỀN HẠN, CHỨC VỤ CỦA NGƯỜI KÝ |
Hướng dẫn:
(1): Ghi tên của tổ chức đề nghị cấp đổi giấy công nhận tổ chức đủ điều kiện đào tạo, cấp chứng chỉ vô tuyến điện viên hàng hải.
(2): Ghi số giấy công nhận tổ chức đủ điều kiện đào tạo, cấp chứng chỉ vô tuyến điện viên hàng hải đề nghị cấp đổi.
Mẫu 12
|
TÊN TỔ CHỨC
|
CỘNG HÒA XÃ HỘI CHỦ NGHĨA VIỆT NAM ..., ngày.... tháng ... năm ... |
BÁO CÁO
Tình hình đào tạo, cấp chứng chỉ vô tuyến điện viên hàng hải(1)
__________
Kính gửi: Bộ Thông tin và Truyền thông
....(2)... báo cáo tình hình đào tạo, cấp chứng chỉ vô tuyến điện viên hàng hải quý năm .... như sau:
I. Báo cáo các điều kiện đảm bảo cho hoạt động đào tạo, cấp chứng chỉ vô tuyến điện viên hàng hải
1. Cơ sở vật chất và trang thiết bị giảng dạy.
a) Cơ sở vật chất:
- Số phòng học lý thuyết
- Số phòng học thực hành
b) Trang thiết bị giảng dạy
|
STT |
Tên thiết bị |
Đơn vị tính |
Số lượng |
Ghi chú |
|
1 |
|
|
|
|
|
2 |
|
|
|
|
|
|
|
|
|
|
2. Tài liệu giảng dạy: liệt kê chi tiết các tài liệu dùng để giảng dạy
3. Chương trình đào tạo.
4. Giảng viên tham gia giảng dạy.
|
STT |
Họ và tên |
Trình độ chuyên môn, nghiệp vụ |
Trình độ ngoại ngữ |
Chứng chỉ vô tuyến điện viên hàng hải |
Kinh nghiệm tham gia đào tạo vô tuyến điện viên hàng hải |
|
1 |
|
|
|
|
|
|
... |
|
|
|
|
|
II. Báo cáo kết quả đào tạo vô tuyến điện viên hàng hải
|
STT |
Nội dung đào tạo |
Số khóa |
Số học viên |
Số học viên thi đỗ |
|
1 |
Vô tuyến điện viên hàng hải hạng tổng quát |
|
|
|
|
2 |
Vô tuyến điện viên hàng hải hạng hạn chế |
|
|
|
|
3 |
Vô tuyến điện viên hàng hải hạng nhất |
|
|
|
|
4 |
Vô tuyến điện viên hàng hải hạng hai |
|
|
|
III. Báo cáo về tình hình cấp chứng chỉ vô tuyến điện viên hàng hải
|
STT |
Loại chứng chỉ |
cấp |
Gia hạn |
Cấp đổi |
Thu hồi |
|
1 |
Chứng chỉ vô tuyến điện viên hàng hải hạng tổng quát |
|
|
|
|
|
2 |
Chứng chỉ vô tuyến điện viên hàng hải hạng hạn chế |
|
|
|
|
|
3 |
Chứng chỉ vô tuyến điện viên hàng hải hạng nhất |
|
|
|
|
|
4 |
Chứng chỉ vô tuyến điện viên hàng hải hạng hai |
|
|
|
|
|
Nơi nhận: |
QUYỀN HẠN, CHỨC VỤ CỦA NGƯỜI KÝ |
Hướng dẫn:
(1): Nếu tổ chức có nhiều chi nhánh thì phải lập báo cáo riêng cho từng chi nhánh.
(2): Ghi tên tổ chức/phân hiệu được Bộ Thông tin và Truyền thông cấp giấy công nhận tổ chức đủ điều kiện đào tạo, cấp chứng chỉ vô tuyến điện viên hàng hải.
Phụ lục X
MẪU BIỂU VỀ CẤP CHỨNG CHỈ VÔ TUYẾN ĐIỆN VIÊN
(Kèm theo Nghị định số 63/2023/NĐ-CP ngày 18 tháng 8 năm 2023 của Chính phủ)
__________
|
Mẫu |
Tên mẫu |
|
Mẫu 01 |
Mẫu đơn đăng ký dự thi vô tuyến điện nghiệp dư và cấp chứng chỉ vô tuyến điện nghiệp dư |
|
Mẫu 02 |
Mẫu đơn đề nghị cấp đổi chứng chỉ vô tuyến điện nghiệp dư |
|
Mẫu 03 |
Mẫu đơn đề nghị gia hạn/cấp đổi chứng chỉ vô tuyến điện viên hàng hải |
|
Mẫu 04 |
Mẫu chứng chỉ vô tuyến điện nghiệp dư |
|
Mẫu 05 |
Mẫu chứng chỉ vô tuyến điện viên hàng hải hạng hạn chế |
|
Mẫu 06 |
Mẫu chứng chỉ vô tuyến điện viên hàng hải hạng tổng quát |
|
Mẫu 07 |
Mẫu chứng chỉ vô tuyến điện viên hàng hải hạng hai |
|
Mẫu 08 |
Mẫu chứng chỉ vô tuyến điện viên hàng hải hạng nhất |
Mẫu 01
CỘNG HÒA XÃ HỘI CHỦ NGHĨA VIỆT NAM
Độc lập - Tự do - Hạnh phúc
_________________________
..., ngày ...tháng.... năm....
ĐƠN ĐĂNG KÝ DỰ THI VÔ TUYẾN ĐIỆN NGHIỆP DƯ
VÀ CẤP CHỨNG CHỈ VÔ TUYẾN ĐIỆN NGHIỆP DƯ
Kính gửi:...(1)...
Họ và tên (chữ in hoa)................................................ Nam/Nữ:........................................
Sinh ngày:.......................................................... Nơi sinh:.............................................
Quốc tịch:........................................................................................................................
Số CMND/CCCD/Hộ chiếu:.............................................. Ngày cấp:..............................
Nơi cấp:..............................................................................................................................
Đề nghị được dự thi vô tuyến điện nghiệp dư và cấp chứng chỉ vô tuyến điện nghiệp dư cấp ...(2)....
Tôi xin cam đoan những nội dung kê khai nêu trên là trung thực và chịu trách nhiệm trước pháp luật về các nội dung đã kê khai trong đơn.
Người làm đơn
(Ký và ghi rõ họ tên)
Hướng dẫn:
(1): Ghi tên của tổ chức đã được Bộ Thông tin và Truyền thông cấp giấy công nhận tổ chức đủ điều kiện cấp chứng chỉ vô tuyến điện nghiệp dư.
(2): Ghi cấp độ chứng chỉ vô tuyến điện nghiệp dư đề nghị cấp.
Mẫu 02
CỘNG HÒA XÃ HỘI CHỦ NGHĨA VIỆT NAM
Độc lập - Tự do - Hạnh phúc
________________________
...., ngày....tháng. ...năm....
ĐƠN ĐỀ NGHỊ CẤP ĐỔI CHỨNG CHỈ VÔ TUYẾN ĐIỆN NGHIỆP DƯ
Kính gửi:...(1)...
Họ và tên (chữ in hoa)........................................................ Nam/Nữ:................................
Sinh ngày:................................................. Nơi sinh:........................................................
Quốc tịch:.......................................................................................................................
Số CMND/CCCD/Hộ chiếu:.......................................... Ngày cấp:....................................
Nơi cấp:..............................................................................................................................
Căn cứ Nghị định số..../2023/NĐ-CP ngày...tháng....năm 2023 của Chính phủ quy định chi tiết một số điều của Luật Tần số vô tuyến điện số 42/2009/QH12, được sửa đổi, bổ sung một số điều theo Luật số 09/2022/QH15, đề nghị........................................................... (2)... cấp đổi cho tôi chứng chỉ vô tuyến điện nghiệp dư số....(3)....ngày cấp...........................................................
Tôi xin cam đoan những nội dung kê khai nêu trên là trung thực và chịu trách nhiệm trước pháp luật về các nội dung đã kê khai trong đơn.
Người làm đơn
(Ký và ghi rõ họ tên)
Hướng dẫn:
(1) và (2): Ghi tên tổ chức được Bộ Thông tin và Truyền thông cấp giấy công nhận tổ chức đủ điều kiện cấp chứng chỉ vô tuyến điện nghiệp dư.
(3): Ghi số chứng chỉ vô tuyến điện nghiệp dư đề nghị cấp đổi.
Mẫu 03
CỘNG HÒA XÃ HỘI CHỦ NGHĨA VIỆT NAM
Độc lập - Tự do - Hạnh phúc
______________________
ĐƠN ĐỀ NGHỊ GIA HẠN/CẤP ĐỔI CHỨNG CHỈ
VÔ TUYẾN ĐIỆN VIÊN HÀNG HẢI
Kính gửi:....(1)....
Họ và tên (chữ in hoa)..........................................................................................................
Ngày sinh:......................................................... Nơi sinh...................................................
Số chứng chỉ vô tuyến điện viên hàng hải..................... ngày cấp.......... ngày hết hạn...........
Số thuyền viên số:...................... ngày cấp............................. nơi cấp.................................
Căn cứ Nghị định số ..../2023/NĐ-CP ngày...tháng...năm 2023 của Chính phủ quy định chi tiết một số điều của Luật Tần số vô tuyến điện số 42/2009/QH12, được sửa đổi, bổ sung một số điều theo Luật số 09/2022/QH15, đề nghị......................................................... (2).... gia hạn/cấp đổi cho tôi chứng chỉ vô tuyến điện viên hàng hải số....(3)....ngày cấp............................
Tôi xin cam đoan những nội dung kê khai nêu trên là trung thực và chịu trách nhiệm trước pháp luật về các nội dung đã kê khai trong đơn.
..., ngày...tháng....năm.....
Người đề nghị
(Ký và ghi rõ họ tên)
Hướng dẫn:
(1) và (2): Ghi tên tổ chức được Bộ Thông tin và Truyền thông cấp giấy công nhận tổ chức đủ điều kiện đào tạo, cấp chứng chỉ vô tuyến điện viên hàng hải.
(3): Ghi số chứng chỉ vô tuyến điện viên hàng hải đề nghị gia hạn/cấp đổi.
Mẫu 04
MẪU CHỨNG CHỈ VÔ TUYẾN ĐIỆN NGHIỆP DƯ
Mặt ngoài:
(Kích thước 8,5 cm X 14 cm)
|
TÊN TỔ CHỨC ĐỦ ĐIỀU KIỆN CẤP CHỨNG CHỈ VÔ TUYẾN ĐIỆN NGHIỆP DƯ
Cấp theo quy định tại Nghị định số .../2023/NĐ-CP ngày ....tháng .... năm 2023 của Chính phủ quy định chi tiết một số điều của Luật Tần số vô tuyến điện số 42/2009/QH12, được sửa đổi, bổ sung một số điều theo Luật số 09/2022/QH15 |
|
CỘNG HOÀ XÃ HỘI CHỦ NGHĨA VIỆT NAM
CHỨNG CHỈ VÔ TUYẾN ĐIỆN NGHIỆP DƯ
Đã hoàn thành kỳ thi lý thuyết và thi thực hành vô tuyến điện nghiệp dư cấp...tại (tên tổ chức đã được Bộ Thông tin và Truyền thông cấp Giấy công nhận tổ chức đủ điều kiện cấp chứng chỉ vô tuyến điện nghiệp dư) Đạt chứng chỉ vô tuyến điện nghiệp dư cấp Theo Quyết định số: ngày ....tháng ...năm ....ngày...tháng...năm ..... NGƯỜI ĐỨNG ĐẦU TỔ CHỨC (Ký, đóng dấu, ghi rõ họ và tên) |
Mẫu 05
MẪU CHỨNG CHỈ VÔ TUYẾN ĐIỆN VIÊN
HÀNG HẢI HỆ GMDSS HẠNG HẠN CHẾ
Mặt ngoài:
(Kích thước 14 cm X 20 cm)
|
|
CHỨNG CHỈ VÔ TUYÊN ĐIỆN VIÊN HÀNG HẢI
RESTRICTED OPERATOR'S CERTIFICATE
Issued under the provisions of the International Convention on Standards of Training, Certification and Watchkeeping for Seafarers, 1978, as amended in 2010
Chữ ký của người được cấp giấy chứng chỉ Holder's Signature:
|
CỘNG HOÀ XÃ HỘI CHỦ NGHĨA VIỆT NAM
...(1).... CHỨNG NHẬN CERTIFIES THAT
Họ và tên: Quốc tịch: Full Name Nationality Sinh ngày: Tại Date of birth Place of birth Đã tốt nghiệp khóa đào tạo Vô tuyến điện viên hàng hải hạng hạn chế về hệ thống an toàn và cấp cứu hàng hải toàn cầu, có đủ khả năng chuyên môn thực hiện chức danh Vô tuyến điện viên hàng hải hạng hạn chế trên các đài tàu biển được trang bị thiết bị của hệ GMDSS. Had passed the examination of the Restricted Operator's Cerificate Training course for Global Maritime Distress and Safety System (GMDSS) and has all required qualifications as a Restricted operator on the ship Radio Station fitted for the GMDSS. Giấy chứng chỉ số: cấp ngày: Certificate No. issued on: Có giá trị đến ngày: Valid until
HIỆU TRƯỞNG/GIÁM ĐỐC |
Hướng dẫn:
(1): Ghi chữ in hoa tên tổ chức được cấp giấy công nhận tổ chức đủ điều kiện đào tạo, cấp chứng chỉ vô tuyến điện viên hàng hải bằng tiếng Việt.
(2): Ghi chữ in hoa tên tổ chức được cấp giấy công nhận tổ chức đủ điều kiện đào tạo, cấp chứng chỉ vô tuyến điện viên hàng hải bằng tiếng Anh.
Mẫu 06
MẪU CHỨNG CHỈ VÔ TUYẾN ĐIỆN VIÊN HÀNG HẢI HỆ GMDSS
HẠNG TỔNG QUÁT
Mặt ngoài:
(Kích thước 14 cm X 20 cm)
|
|
CHỨNG CHỈ VÔ TUYẾN ĐIỆN VIÊN HÀNG HẢI Cấp theo quy định của Công ước Quốc tế về
GENERAL OPERATOR'S CERTIFICATE Issued under the provisions of the International Convention on Standards of Training, Certification and Watchkeeping for Seafarers, 1978, as amended in 2010
Chữ ký của người được cấp giấy chứng chỉ Holder's Signature:
|
CỘNG HOÀ XÃ HỘI CHỦ NGHĨA VIỆT NAM
....(1)........ CHỨNG NHẬN .....(2)........... CERTIFIES THAT
Họ và tên: ... Quốc tịch: Full Name ..... Nationality Sinh ngày:..... tại Date of birthPlace of birth Đã tốt nghiệp khóa đào tạo Vô tuyến điện viên hàng hải hạng tổng quát về hệ thống an toàn và cấp cứu hàng hải toàn cầu, có đủ khả năng chuyên môn thực hiện chức danh Vô tuyến điện viên hàng hải hạng tổng quát trên các đài tàu biển được trang bị thiết bị của hệ GMDSS. Had passed the examination of the General Operator's Cerificate Training course for Global Maritime Distress and Safety System (GMDSS) and has all required qualifications as a General operator on the ship Radio Station fitted for the GMDSS. Giấy chứng chỉ số:...... cấp ngày Certificate No. issued on: Có giá trị đến ngày: Valid until HIỆU TRƯỞNG/GIÁM ĐỐC |
Hướng dẫn:
(1): Ghi chữ in hoa tên tổ chức được cấp giấy công nhận tổ chức đủ điều kiện đào tạo, cấp chứng chỉ vô tuyến điện viên hàng hải bằng tiếng Việt.
(2): Ghi chữ in hoa tên tổ chức được cấp giấy công nhận tổ chức đủ điều kiện đào tạo, cấp chứng chỉ vô tuyến điện viên hàng hải bằng tiếng Anh.
Mẫu 07
MẪU CHỨNG CHỈ VÔ TUYẾN ĐIỆN VIÊN HÀNG HẢI HỆ GMDSS HẠNG HAI
Mặt ngoài:
(Kích thước 14 cm X 20 cm)
|
|
CHỨNG CHỈ VÔ TUYẾN ĐIỆN VIÊN HÀNG HẢI HỆ GMDSS HẠNG HAI Cấp theo quy định của Công ước Quốc tế về Tiêu chuẩn huấn luyện, cấp giấy chứng nhận và Trực ca đối với Thuyền viên, 1978, sửa đổi 2010
SECOND-CLASS RADIO ELECTRONIC CERTIFICATE
Issued under the provisions of the International Convention on Standards of Training, Certification and Watchkeeping for Seafarers, 1978, as amended in 2010
Chữ ký của người được cấp giấy chứng chỉ Holder’s Signature:
|
CỘNG HOÀ XÃ HỘI CHỦ NGHĨA VIỆT NAM
.....(1)..... CHỨNG NHẬN ...(2)...... CERTIFIES THAT
Họ và tên: ... Quốc tịch: Full Name ..... Nationality Sinh ngày:..... tại Date of birthPlace of birth Đã tốt nghiệp khóa đào tạo Vô tuyến điện viên hàng hải hạng hai về hệ thống an toàn và cấp cứu hàng hải toàn cầu, có đủ khả năng chuyên môn thực hiện chức danh Vô tuyến điện viên hàng hải hạng hai trên các đài tàu biển được trang bị thiết bị của hệ GMDSS. Had passed the examination of the Second - class Radio electronic Cerificate Training course for Global Maritime Distress and Safety System (GMDSS) and has all required qualifications as a Second - class Radio electronic on the ship Radio Station fitted for the GMDSS. Giấy chứng chỉsố: cấp ngày: Certificate No. issued on: Có giá trị đến ngày: Valid until HIỆU TRƯỞNG/GIÁM ĐỐC |
Hướng dẫn:
(1): Ghi chữ in hoa tên tổ chức được cấp giấy công nhận tổ chức đủ điều kiện đào tạo, cấp chứng chỉ vô tuyến điện viên hàng hải bằng tiếng Việt.
(2): Ghi chữ in hoa tên tổ chức được cấp giấy công nhận tổ chức đủ điều kiện đào tạo, cấp chứng chỉ vô tuyến điện viên hàng hải bằng tiếng Anh.
Mẫu 08
MẪU CHỨNG CHỈ VÔ TUYẾN ĐIỆN VIÊN HÀNG HẢI HỆ GMDSS HẠNG NHẤT
Mặt ngoài:
(Kích thước 14 cm X 20 cm)
|
|
CHỨNG CHỈ VÔ TUYẾN ĐIỆN VIÊN HÀNG HẢI HỆ GMDSS HẠNG NHẤT
Cấp theo quy định của Công ước Quốc tế về Tiêu chuẩn huấn luyện, cấp giấy chứng nhận và Trực ca đối với Thuyền viên, 1978, sửa đổi 2010
FIRST-CLASS RADIO ELECTRONIC Issued under the provisions of the International Convention on Standards of Training, Certification and Watchkeeping for Seafarers, 1978, as amended in 2010
Chữ ký của người được cấp giấy chứng chỉ
|
CỘNG HOÀ XÃ HỘI CHỦ NGHĨA VIỆT NAM
...(1)..... CHỨNG NHẬN .....(2)... CERTIFIES THAT
Họ và tên: Quốc tịch: Full Name Nationality Sinh ngày: tại Date of birth Place of birth Đã tốt nghiệp khóa đào tạo Vô tuyến điện viên hàng hải hạng nhất về hệ thống an toàn và cấp cứu hàng hải toàn cầu, có đủ khả năng chuyên môn thực hiện chức danh Vô tuyến điện viên hàng hải hạng nhất trên các đài tàu biển được trang bị thiết bị của hệ GMDSS. Had passed the examination of the First - class Radio electronic Cerificate Training course for Global Maritime Distress and Safety System (GMDSS) and has all required qualifications as a First - class Radio electronic on the ship Radio Station fitted for the GMDSS. Giấy chứng chỉsố: cấp ngày: Certificate No. issued on: Có giá trị đến ngày: Valid until HIỆU TRƯỞNG/GIÁM ĐỐC |
Hướng dẫn:
(1): Ghi chữ in hoa tên tổ chức được cấp giấy công nhận tổ chức đủ điều kiện đào tạo, cấp chứng chỉ vô tuyến điện viên hàng hải bằng tiếng Việt.
(2): Ghi chữ in hoa tên tổ chức được cấp giấy công nhận tổ chức đủ điều kiện đào tạo, cấp chứng chỉ vô tuyến điện viên hàng hải bằng tiếng Anh.
Bạn chưa Đăng nhập thành viên.
Đây là tiện ích dành cho tài khoản thành viên. Vui lòng Đăng nhập để xem chi tiết. Nếu chưa có tài khoản, vui lòng Đăng ký tại đây!
Bạn chưa Đăng nhập thành viên.
Đây là tiện ích dành cho tài khoản thành viên. Vui lòng Đăng nhập để xem chi tiết. Nếu chưa có tài khoản, vui lòng Đăng ký tại đây!