- Tổng quan
- Nội dung
- VB gốc
- Tiếng Anh
- Hiệu lực
- VB liên quan
- Lược đồ
-
Nội dung hợp nhất
Tính năng này chỉ có tại LuatVietnam.vn. Nội dung hợp nhất tổng hợp lại tất cả các quy định còn hiệu lực của văn bản gốc và các văn bản sửa đổi, bổ sung, đính chính... trên một trang. Việc hợp nhất văn bản gốc và những văn bản, Thông tư, Nghị định hướng dẫn khác không làm thay đổi thứ tự điều khoản, nội dung.
Khách hàng chỉ cần xem Nội dung hợp nhất là có thể nắm bắt toàn bộ quy định hiện hành đang áp dụng, cho dù văn bản gốc đã qua nhiều lần chỉnh sửa, bổ sung.
- Tải về
Văn bản hợp nhất 18/VBHN-BTNMT 2024 hợp nhất Thông tư về kỹ thuật điều tra, đánh giá địa chất môi trường khu vực có khoáng sản độc hại
| Số hiệu: | 18/VBHN-BTNMT | Ngày ký xác thực: | 31/12/2024 |
| Loại văn bản: | Văn bản hợp nhất | Cơ quan hợp nhất: | Bộ Tài nguyên và Môi trường |
|
Ngày đăng công báo:
|
Đang cập nhật |
Người ký:
|
Trần Quý Kiên |
| Trích yếu: | Thông tư quy định kỹ thuật công tác điều tra, đánh giá địa chất môi trường khu vực có khoáng sản độc hại | ||
|
Số công báo:
Số công báo là mã số ấn phẩm được đăng chính thức trên ấn phẩm thông tin của Nhà nước. Mã số này do Chính phủ thống nhất quản lý.
|
Đang cập nhật |
Ngày hết hiệu lực:
Ngày hết hiệu lực là ngày, tháng, năm văn bản chính thức không còn hiệu lực (áp dụng).
|
Đang cập nhật |
TÓM TẮT VĂN BẢN HỢP NHẤT 18/VBHN-BTNMT
Nội dung tóm tắt đang được cập nhật, Quý khách vui lòng quay lại sau!
Tải văn bản hợp nhất 18/VBHN-BTNMT
|
| CỘNG HÒA XÃ HỘI CHỦ NGHĨA VIỆT NAM |
THÔNG TƯ
Quy định kỹ thuật công tác điều tra, đánh giá địa chất môi trường
khu vực có khoáng sản độc hại
Thông tư số 06/2016/TT-BTNMT ngày 25 tháng 02 năm 2015 của Bộ trưởng Bộ Tài nguyên và Môi trường quy định kỹ thuật công tác điều tra, đánh giá địa chất môi trường khu vực có khoáng sản độc hại, có hiệu lực thi hành kể từ ngày 15 tháng 4 năm 2015 được sửa đổi, bổ sung bởi:
Thông tư số 30/2024/TT-BTNMT ngày 12 tháng 12 năm 2024 của Bộ trưởng Bộ Tài nguyên và Môi trường sửa đổi, bổ sung Thông tư số 06/2015/TT-BTNMT ngày 25/02/2015 của Bộ trưởng Bộ Tài nguyên và Môi trường quy định kỹ thuật công tác điều tra, đánh giá địa chất môi trường khu vực có khoáng sản độc hại, hiệu lực thi hành kể từ ngày 27 tháng 01 năm 2025.
Căn cứ Luật khoáng sản số 60/2010/QH12 ngày 17 tháng 11 năm 2010;
Căn cứ Luật Bảo vệ môi trường số 55/2014/QH13 ngày 23 tháng 06 năm 2014;
Căn cứ Nghị định số 15/2012/NĐ-CP ngày 09 tháng 3 năm 2012 của Chính phủ quy định chi tiết một số điều của Luật khoáng sản:
Căn cứ Nghị định số 21/2013/NĐ-CP ngày 04 tháng 3 năm 2013 của Chính phủ quy định chức năng, nhiệm vụ, quyền hạn và cơ cấu tổ chức của Bộ Tài nguyên và Môi trường;
Theo đề nghị của Tổng Cục trưởng Tổng cục Địa chất và Khoáng sản Việt Nam, Vụ trưởng Vụ Khoa học và Công nghệ và Vụ trưởng Vụ Pháp chế;
Bộ trưởng Bộ Tài nguyên và Môi trường ban hành Thông tư quy định kỹ thuật công tác điều tra, đánh giá địa chất môi trường khu vực có khoáng sản độc hại1.
Chương I
QUY ĐỊNH CHUNG
Điều 1. Phạm vi điều chỉnh
Thông tư này quy định kỹ thuật công tác điều tra, đánh giá địa chất môi trường khu vực có khoáng sản độc hại.
Điều 2. Đối tượng áp dụng
Thông tư này áp dụng đối với cơ quan quản lý nhà nước về khoáng sản, bảo vệ môi trường; tổ chức điều tra, đánh giá địa chất môi trường; tổ chức, cá nhân khác có liên quan đến hoạt động điều tra, đánh giá địa chất môi trường, bảo vệ môi trường để giao nộp báo cáo, số liệu cho cơ quan quản lý nhà nước về môi trường ở trung ương và địa phương.
Điều 3. Giải thích từ ngữ
Trong Thông tư này, các từ ngữ dưới đây được hiểu như sau:
1. Điều tra, đánh giá địa chất môi trường khu vực có khoáng sản độc hại là điều tra, đánh giá các thành phần của môi trường địa chất ở khu vực có khoáng sản độc hại để xác định nguyên nhân, quy mô, mức độ ảnh hưởng của khoáng sản độc hại đến sức khỏe con người và đời sống sinh vật.
2. Môi trường địa chất của khoáng sản độc hại bao gồm môi trường đất, đá, nước, thực vật, không khí2 do khoáng sản độc hại gây ra mà thông số môi trường liên quan vượt quá giới hạn cho phép theo quy chuẩn kỹ thuật quốc gia hoặc tiêu chuẩn nước ngoài được phép áp dụng tại Việt Nam.
Điều 4. Phân nhóm khoáng sản độc hại
1. Khoáng sản độc hại nhóm I, bao gồm: khoáng sản phóng xạ và khoáng sản chứa các nguyên tố phóng xạ (urani, thori, khoáng sản khác có chứa các nguyên tố phóng xạ).
2. Khoáng sản độc hại nhóm II, bao gồm: thủy ngân, arsen, asbest và khoáng sản khác có thành phần đi kèm là thủy ngân, arsen, asbest.
Điều 5. Điều tra, đánh giá địa chất môi trường
1. Căn cứ kết quả điều tra cơ bản địa chất về khoáng sản, Bộ Tài nguyên và Môi trường3 xác định diện tích khu vực có khoáng sản độc hại để điều tra ở tỷ lệ bản đồ 1:25.000 nhằm làm rõ quy mô phân bố, mức độ ảnh hưởng của khoáng sản độc hại hoặc đánh giá chi tiết ở tỷ lệ bản đồ 1:5.000 nhằm đề xuất các giải pháp quản lý, bảo vệ môi trường.
2. Trên cơ sở kết quả điều tra ở tỷ lệ bản đồ 1:25.000, Tổng cục Địa chất và Khoáng sản Việt Nam xác định diện tích đánh giá chi tiết ở tỷ lệ bản đồ 1:5.000 nhằm đề xuất các giải pháp quản lý, bảo vệ môi trường.
3. Phương pháp, tỷ lệ, mạng lưới định hướng cho hoạt động điều tra, đánh giá địa chất môi trường ở khu vực có khoáng sản độc hại được quy định như sau:
| Giai đoạn | Phương pháp khảo sát | Mạng lưới định hướng khảo sát |
| I. Đối với khoáng sản độc hại nhóm I | ||
| Điều tra 1:25.000 | 1. Lộ trình địa chất môi trường 2. Đo địa vật lý môi trường | 250x250(m) |
| - Đo gamma môi trường | 250x20(m) | |
| - Đo khí phóng xạ môi trường | 250x50(m) | |
| - Đo phổ gamma môi trường | 250x50(m) | |
| 3. Lấy, gia công phân tích các loại mẫu |
| |
| - Mẫu đất | 1 mẫu/1km 2 | |
| - Mẫu nước | 1 mẫu/2km 2 | |
| - Mẫu thực vật | 1 mẫu/3km 2 | |
| Đánh giá chi tiết 1:5.000 | 1. Lộ trình địa chất môi trường | 50÷50(m) |
| 2. Đo địa vật lý môi trường |
| |
| - Đo gamma môi trường | 50x10(m) | |
| - Đo khí phóng xạ môi trường | 50x50(m) | |
| - Đo phổ gamma môi trường | 50x25(m) | |
| 3. Lấy, gia công phân tích các loại mẫu |
| |
| - Mẫu đất | 5 mẫu/1km 2 | |
| - Mẫu nước | 5 mẫu/1km 2 | |
| - Mẫu thực vật | 2 mẫu/1km 2 | |
| II. Đối với khoáng sản độc hại nhóm II | ||
| Điều tra 1:25000 | 1. Lộ trình địa chất môi trường | 250x250(m) |
| 2. Đo hơi thủy ngân (với khu vực có khoáng sản thủy ngân) | 250x20(m) | |
| 3. Lấy, gia công phân tích các loại mẫu |
| |
|
| - Mẫu đất | 1 mẫu/1km 2 |
|
| - Mẫu nước | 1 mẫu/2km 2 |
| Đánh giá chi tiết 1:5000 | 1. Lộ trình địa chất môi trường | 50x50(m) |
| 2. Đo hơi thủy ngân (với khu vực có khoáng sản thủy ngân) | 50x10(m) | |
| 3. Lấy, gia công phân tích các loại mẫu |
| |
| - Mẫu đất | 5 mẫu/1km 2 | |
| - Mẫu nước | 5 mẫu/1km 2 | |
| - Mẫu thực vật (để phân tích As) | 2 mẫu/1km 2 | |
Chương II
QUY ĐỊNH KỸ THUẬT CÔNG TÁC ĐIỀU TRA, ĐÁNH GIÁ ĐỊA CHẤT MÔI TRƯỜNG KHU VỰC CÓ KHOÁNG SẢN ĐỘC HẠI
Mục I
LẬP ĐỀ ÁN ĐIỀU TRA, ĐÁNH GIÁ ĐỊA CHẤT MÔI TRƯỜNG
Điều 6. Căn cứ, yêu cầu lập đề án
1. Cơ sở pháp lý, tính cấp thiết.
2. Sản phẩm của đề án phải phù hợp với mục tiêu, nhiệm vụ đặt ra.
3. Dự toán kinh phí được lập theo định mức kinh tế - kỹ thuật.
4. Nhu cầu thông tin phục vụ quản lý nhà nước và phát triển kinh tế, xã hội gắn với công tác bảo vệ môi trường ở khu vực có khoáng sản độc hại.
5. Quy hoạch, kế hoạch được cấp có thẩm quyền phê duyệt.
Điều 7. Tài liệu, thông tin lập đề án
1. Tài liệu, thông tin được sử dụng để lập đề án điều tra, đánh giá địa chất môi trường bao gồm:
a) Tài liệu địa chất, khoáng sản (địa chất, khoáng sản, địa mạo, kiến tạo, địa hóa);
b) Tài liệu địa vật lý (số liệu do địa vật lý liên quan);
c) Tài liệu khí tượng, địa chất thủy văn, địa chất công trình (mạng lưới sông suối, các điểm xuất lộ nước ngầm, mực nước ngầm, tính chất cơ lý của đất, đá trong khu vực, thành phần khoáng sản độc hại trong nước);
d) Tài liệu trắc địa (bản đồ địa hình và các điểm khống chế gần nhất);
d) Tài liệu kinh tế - xã hội (các công trình văn hóa, dân sinh, các quy hoạch, định hướng phát triển kinh tế - xã hội);
e) Các tài liệu khác (các báo cáo địa chất môi trường trong và lân cận khu vực lập đề án).
2. Tài liệu thu thập phải bảo đảm các thông tin liên quan về sự có mặt của khoáng sản độc hại trong khu vực điều tra, đánh giá; các yếu tố tự nhiên, xã hội chịu ảnh hưởng bởi khoáng sản độc hại và quy mô phân bố.
Điều 8. Nội dung đề án
1. Nội dung đề án bao gồm:
a) Hiện trạng thông tin, dữ liệu liên quan và nêu rõ các vấn đề thực tiễn cần được giải quyết;
b) Xác định dạng tồn tại trong tự nhiên của khoáng sản độc hại; loại hình mỏ, điểm khoáng, tích tụ tự nhiên và quy mô của chúng; phương thức lan truyền, phát tán theo từng thành phần môi trường; khả năng gây độc, gây hại đối với con người, sinh vật; tác động tự nhiên và nhân tạo làm gia tăng khả năng lan truyền, phát tán của khoáng sản độc hại;
c) Xác định phạm vi điều tra, đánh giá; phương pháp, khối lượng và chất lượng các hạng mục công việc thực hiện;
d) Kế hoạch, kinh phí, tổ chức thực hiện; đơn vị chủ trì, đơn vị phối hợp;
d) Kết quả xử lý các tài liệu điều tra cơ bản địa chất về khoáng sản, tài liệu về môi trường, tài liệu về điều kiện tự nhiên, kinh tế xã hội;
e) Dự kiến sản phẩm, kết quả, hiệu quả sử dụng, hiệu quả kinh tế - xã hội.
2. Nội dung chính của đề án thực hiện theo quy định tại Phụ lục 2 ban hành kèm theo Thông tư này.
3. Trình tự, thủ tục lập, thẩm định, trình phê duyệt đề án thực hiện theo quy định về lập, thẩm định đề án, dự án do Bộ Tài nguyên và Môi trường ban hành.
Mục 2
THI CÔNG ĐỀ ÁN ĐIỀU TRA, ĐÁNH GIÁ ĐỊA CHẤT MÔI TRƯỜNG
Điều 9. Phương pháp kỹ thuật
Tùy thuộc vào loại khoáng sản độc hại, phương pháp kỹ thuật được sử dụng là tổ hợp các phương pháp sau:
1. Lộ trình địa chất môi trường.
2. Đo gamma môi trường.
3. Đo khí phóng xạ môi trường.
4. Đo phổ gamma môi trường.
5. Đo hơi thủy ngân.
6. Lấy mẫu môi trường (mẫu đất, mẫu đá, mẫu nước, mẫu thực vật).
7. Phân tích mẫu môi trường (mẫu đất, mẫu đá, mẫu nước, mẫu thực vật).
8. Công tác trắc địa.
9. Đo nhanh thông số hiện trường (áp dụng đối với hoạt động điều tra, đánh giá địa chất môi trường nước): nhiệt độ, Eh, pH4.
10. Điều tra xã hội học5.
Điều 10. Lộ trình địa chất môi trường
Công tác lộ trình địa chất môi trường gồm các nhiệm vụ sau:
1. Khảo sát thực địa để so sánh với kết quả điều tra địa chất, khoáng sản về thành phần thạch học, ranh giới địa chất, khoáng sản, cấu trúc, kiến tạo đã thu thập trước đó.
2. Chọn vị trí lấy mẫu.
3. Thu thập thông tin cần thiết về địa chất môi trường.
4. Mô tả chi tiết các đối tượng phát hiện mới, những sai khác so với tài liệu thiết kế.
5. Quá trình khảo sát địa chất phải sử dụng thiết bị định vị vệ tinh (máy GPS), máy ảnh để định vị, chụp ảnh các đối tượng địa chất môi trường.
6. Thông tin thu thập được phải thể hiện rõ trên các bản vẽ, nhật ký lộ trình.
7. Kết thúc mỗi hành trình phải có tổng kết, nêu sơ bộ diễn biến chính trong hành trình khảo sát vào sổ nhật ký theo mẫu quy định tại Phụ lục 1 ban hành kèm theo Thông tư này.
Điều 11. Kỹ thuật đo, thành lập bản đồ địa vật lý môi trường và đo nhanh thông số hiện trường6
1. Đo và thành lập bản đồ gamma môi trường (gồm đo gamma ngoài nhà và trong nhà)
a) Nội dung, kỹ thuật đo và thành lập bản đồ suất liều gamma ngoài nhà: thực hiện theo TCVN 13125:2020 Điều tra, đánh giá địa chất môi trường - Phương pháp lập bản đồ suất liều gamma ngoài nhà;
b) Nội dung, kỹ thuật đo suất liều gamma trong nhà: đo gamma trong nhà tại 5 vị trí gồm: 4 vị trí ở 4 góc nhà (cách tường nhà tối thiểu 0,5 m) và 01 vị trí ở giữa nhà; mỗi vị trí đo 02 điểm ở 0,0 m và 1,0 m. Giá trị đo gamma trong nhà là giá trị trung bình tại 5 (năm) vị trí ở độ cao 1,0 m.
Kỹ thuật đo và lập bản đồ suất liều gamma trong nhà thực hiện theo điểm a khoản 1 Điều này.
2. Đo và thành lập bản đồ khí phóng xạ môi trường (gồm đo radon ngoài nhà và trong nhà)
a) Nội dung, kỹ thuật đo và thành lập bản đồ nồng độ radon ngoài nhà thực hiện theo TCVN 13124:2020 Điều tra, đánh giá địa chất môi trường - Phương pháp lập bản đồ nồng độ radon ngoài nhà;
b) Nội dung, kỹ thuật đo và thành lập bản đồ nồng độ radon trong nhà thực hiện theo TCVN 13123:2920 Điều tra, đánh giá địa chất môi trường - Phương pháp lập bản đồ nồng độ radon trong nhà.
3. Đo và thành lập bản đồ phổ gamma môi trường
a) Nội dung, kỹ thuật đo thực hiện theo TCVN 13366:2021 Điều tra, đánh giá địa chất môi trường - Xác định hoạt độ của U, Th, K trong tầng đất phủ: Phương pháp đo phổ gamma;
b) Thành lập bản đồ hoạt độ phóng xạ trong tầng đất phủ thực hiện theo TCVN 13367:2021 Điều tra, đánh giá địa chất môi trường - Phương pháp lập bản đồ hoạt độ phóng xạ trong tầng đất phủ.
4. Đo và lập bản đồ nồng độ hơi thủy ngân môi trường
Nội dung, kỹ thuật đo và lập bản đồ nồng độ hơi thủy ngân môi trường thực hiện theo TCVN 13364:2021 Điều tra, đánh giá địa chất môi trường - Phương pháp lập bản đồ nồng độ hơi thủy ngân.
5. Đo nhanh thông số hiện trường thực hiện theo Tiêu chuẩn quốc gia TCVN 6492:2011 Chất lượng nước - Xác định pH và TCVN 13089:2020 Chất lượng nước - Xác định theo Oxy hóa khử.
6. Kết quả đo gamma môi trường, khí phóng xạ môi trường, phổ gamma môi trường, đo hơi thủy ngân môi trường, đo nhanh thông số hiện trường phải được ghi vào sổ thực địa của từng phương pháp. Mẫu sổ thực địa quy định tại Phụ lục 1 ban hành kèm theo Thông tư này.”
Điều 11a. Điều tra xã hội học7
1. Điều tra xã hội học thực hiện như sau:
Điều này được bổ sung theo quy định tại khoản 5 Điều I Thông tư số 30/2024/TT-BTNMT sửa đổi, bổ sung một số điều của Thông tư số 06/2015/TT-BTNMT ngày 25 tháng 02 năm 2015 của Bộ trưởng Bộ Tài nguyên và Môi trường quy định kỹ thuật công tác điều tra, đánh giá địa chất môi trường khu vực có khoáng sản độc hại, có hiệu lực kể từ ngày 27 tháng 01 năm 2025.
a) Điều tra tỷ lệ 1:25.000: Thực hiện trong diện tích điều tra được phê duyệt, số lượng phiếu điều tra tính theo tỉ lệ 2 km 2 /01 phiếu điều tra;
b) Điều tra tỷ lệ 1:5.000: Thực hiện trong và lân cận diện tích điều tra được phê duyệt, số lượng phiếu điều tra tính theo tỉ lệ 0,1 km2/01 phiếu điều tra;
2. Mẫu phiếu điều tra xã hội học quy định tại Phụ lục 1 ban hành kèm theo Thông tư này.
Điều 12. Công tác lấy mẫu và phân tích mẫu đất8
1. Đối với khoáng sản độc hại nhóm I:
a) Lấy và bảo quản mẫu đất: nội dung, kỹ thuật thực hiện theo TCVN: 12295:2018 Điều tra, đánh giá địa chất môi trường - Phương pháp lấy mẫu để đo hoạt độ phóng xạ trên máy phổ gamma phân giải cao (hay còn gọi là máy phổ gamma phông thấp).
b) Phân tích mẫu đất: thực hiện theo TCVN 12296:2018 Điều tra, đánh giá địa chất môi trường - Phương pháp xác định hoạt độ ( 226 Ra, 232 Th, 40 K) trên máy phổ gamma phân giải cao.
2. Đối với khoáng sản độc hại nhóm II:
a) Lấy và bảo quản mẫu đất: mẫu được lấy ở lớp đất đá trên bề mặt đại diện khu vực, vị trí có khoáng sản độc hại. Phương pháp kỹ thuật lấy mẫu thực hiện theo các tiêu chuẩn TCVN 7538 - 2 : 2005 Chất lượng đất - Lấy mẫu - Phần 2: Hướng dẫn kỹ thuật lấy mẫu; TCVN 7538-6:2010 Chất lượng đất - lấy mẫu thu thập xử lý và bảo quản mẫu đất;
b) Phân tích mẫu đất: phân tích xác định hàm lượng Hg, As thực hiện theo Quy chuẩn quốc gia QCVN 03:2023/BTNMT Quy chuẩn quốc gia về chất lượng đất.
Điều 13. Công tác lấy mẫu và phân tích mẫu nước9
1. Đối với khoáng sản độc hại nhóm I:
a) Yêu cầu vị trí lấy, số lượng mẫu nước
- Mẫu nước trong khu vực điều tra, đánh giá được lấy theo quy định tại Điều 5 của Thông tư 06/2015/TT-BTNMT
- Mẫu nước đầu vào và đầu ra của khu vực điều tra, đánh giá được lấy ở vị trí phía thượng nguồn và phía hạ nguồn khu vực điều tra, đánh giá. Mỗi vị trí lấy 01 mẫu.
b) Lấy và bảo quản mẫu nước: nội dung, kỹ thuật thực hiện theo TCVN: 12295:2018 Điều tra, đánh giá địa chất môi trường - Phương pháp lấy mẫu để đo hoạt độ phóng xạ trên máy phổ gamma phân giải cao;
c) Phân tích mẫu nước: thực hiện theo TCVN 12296:2018 Điều tra, đánh giá địa chất môi trường - Phương pháp xác định hoạt độ ( 226 Ra, 232 Th, 40 K) trên máy phổ gamma phân giải cao.
2. Đối với khoáng sản độc hại nhóm II:
a) Yêu cầu vị trí lấy, số lượng mẫu nước
- Mẫu nước đầu vào được lấy ở vị trí phía trên (phía thượng nguồn) của khu vực điều tra, đánh giá. Số lượng: 01 mẫu;
- Mẫu nước đầu ra được lấy ở vị trí phía dưới (phía hạ nguồn) của khu vực điều tra, đánh giá. Số lượng: 01 mẫu;
- Mẫu nước trong khu vực điều tra, đánh giá được lấy theo quy định tại Điều 5 Thông tư 06/2015/TT-BTNMT;
b) Lấy mẫu và bảo quản mẫu nước: nội dung, kỹ thuật thực hiện theo các tiêu chuẩn TCVN 6663-1:2011 (ISO 5667-1:2006); Chất lượng nước - Lấy mẫu - Phần 1: Hướng dẫn lập chương trình lấy mẫu và kỹ thuật lấy mẫu; TCVN 6663-3:2016 ISO 5667-3:2011 Chất lượng nước - Lấy mẫu - Phần 3: Bảo quản và xử lý mẫu nước; TCVN 6663-6:2018 ISO 5667-3:2011 Chất lượng nước - Lấy mẫu phần 6: Hướng dẫn lấy mẫu nước sông và suối;
c) Phân tích mẫu nước: thực hiện theo QCVN 08:2023/BTNMT Quy chuẩn kỹ thuật quốc gia về chất lượng nước mặt.
Điều 14. Công tác lấy và phân tích mẫu thực vật10
Mẫu thực vật chỉ lấy trong các khu vực đánh giá môi trường ở tỷ lệ 1:5000 (nếu có). Công tác lấy và phân tích mẫu thực hiện như sau:
1. Đối với khoáng sản độc hại nhóm I:
a) Lấy và bảo quản mẫu thực vật: nội dung, kỹ thuật thực hiện theo TCVN: 12295:2018 Điều tra, đánh giá địa chất môi trường - Phương pháp lấy mẫu để đo hoạt độ phóng xạ trên máy phổ gamma phân giải cao;
b) Phân tích mẫu thực vật: thực hiện theo TCVN 12296:2018 Điều tra, đánh giá địa chất môi trường - Phương pháp xác định hoạt độ ( 226 Ra, 232 Th, 40 K) trên máy phổ gamma phân giải cao.
2. Đối với khoáng sản độc hại nhóm II:
a) Lấy và bảo quản mẫu: mẫu thực vật là các loại cây lương thực hoặc nông sản; trọng lượng mẫu tươi lấy từ 3,0kg đến 5,0kg. Mẫu được rửa sạch phơi khô, đóng gói, ghi nhãn trước khi đưa về phòng thí nghiệm để phân tích. Bảo quản nơi khô ráo, thoáng mát;
b) Sấy khô mẫu: mẫu được sấy khô bằng tủ sấy, tăng dần nhiệt độ từ 70°C đến 105°C trong 48 giờ. Để nguội, cất nhỏ, trộn đều, lấy khối lượng từ 100 gam đến 300 gam, đựng trong túi chống ẩm hoặc bình khô có nắp kín, ghi nhãn các thông tin cần thiết;
c) Đốt mẫu: lấy khoảng 100 gam mẫu, nghiền nhỏ đến 1,0 mm, tro hóa ở nhiệt độ (500 ± 50)°C để phân hủy hoàn toàn chất hữu cơ;
d) Phân tích mẫu: cân chính xác 0,5 gam mẫu đã được tro hóa hoàn toàn, sử dụng các phương pháp quang phổ phát xạ nguyên tử (ICP-OES), quang phổ hấp thụ nguyên tử (AAS) hoặc phương pháp khối phổ plasma cảm ứng (ICP - MS).”
9. Sửa đổi điểm e và điểm g khoản 2 Điều 19 như sau:
“e) Bộ bản đồ sản phẩm của từng nhóm khoáng sản độc hại kèm theo báo cáo tổng kết bao gồm bộ bản đồ sản phẩm của khoáng sản độc hại nhóm I và bộ bản đồ sản phẩm của khoáng sản độc hại nhóm II, cụ thể như sau:
- Bộ bản đồ chuyên đề thuộc bộ bản đồ sản phẩm của khoáng sản độc hại nhóm I gồm bản đồ địa chất môi trường phóng xạ; bản đồ suất liều gamma ngoài nhà; bản đồ nồng độ radon ngoài nhà;
- Bản đồ suất liều gamma trong nhà (trường hợp đo trong khu dân cư); bản đồ nồng độ radon trong nhà (trường hợp đo trong khu dân cư); bản đồ hoạt độ phóng xạ trong tầng đất phủ (tỷ lệ 1:5000); bản đồ hàm lượng phóng xạ trong mẫu đất, mẫu nước và mẫu thực vật;
- Bộ bản đồ tổng hợp bộ bản đồ sản phẩm của khoáng sản độc hại nhóm I gồm bản đồ tổng liều tương đương hoặc liều hiệu dụng; bản đồ phân vùng môi trường phóng xạ tự nhiên;
- Bộ bản đồ chuyên đề thuộc bộ bản đồ sản phẩm của khoáng sản độc hại nhóm II gồm bản đồ địa chất môi trường khoáng sản độc hại; bản đồ nồng độ hơi thủy ngân (vùng có đo hơi thủy ngân); bản đồ hàm lượng kim loại nặng trong mẫu đất, mẫu nước và mẫu thực vật;
- Bộ bản đồ tổng hợp thuộc bộ bản đồ sản phẩm của khoáng sản độc hại nhóm II gồm bản đồ tổng hợp môi trường khoáng sản độc hại (địa chất, hàm lượng kim loại, vành phân tán...); bản đồ phân vùng môi trường khoáng sản độc hại.
g) Ngoài báo cáo được lập trên giấy, báo cáo và các tài liệu kèm theo phải được số hóa 01 bộ (tài liệu nguyên thủy phải được quét dưới dạng ảnh hoặc số hóa); cập nhật số liệu, dữ liệu và kết quả điều tra, đánh giá vào cơ sở dữ liệu chuyên ngành.
Điều 15. Chỉ tiêu phân tích mẫu
1. Chỉ tiêu phân tích mẫu khoáng sản độc hại nhóm I:
a) Chỉ tiêu phân tích mẫu đất, đá gồm: các đồng vị phóng xạ: U 238 ; Th 232 , K 40 , Ra 226 , Cs137 trên hệ thiết bị phổ gamma phân giải cao;
b) Chỉ tiêu phân tích mẫu nước gồm: tổng hoạt độ phóng xạ alpha, beta. Trường hợp tổng hoạt độ phóng xạ alpha, beta trong nước vượt giới hạn cho phép, thì phân tích các đồng vị phóng xạ U 238, Th 232 , K 40 , Ra 226 , Pb210 ;
c) Chỉ tiêu phân tích mẫu thực vật gồm: các đồng vị phóng xạ: U 238 ; Th 232 , K 40 , Ra 226 .
2. Chỉ tiêu phân tích mẫu khoáng sản độc hại nhóm II:
a) Chỉ tiêu phân tích mẫu đất gồm: Hg, As;
b) Chỉ tiêu phân tích mẫu nước gồm: Hg, As;
c) Chỉ tiêu phân tích mẫu thực vật: As.
Điều 16. Công tác trắc địa
1. Công tác khảo sát thực địa, sử dụng bản đồ địa chất, khoáng sản được biên tập trên nền bản đồ địa hình có tỷ lệ lớn nhất.
2. Chuyển đổi các dữ liệu liên quan về một hệ tọa độ thống nhất là hệ tọa độ VN-2000.
3. Xác định tọa độ điểm khảo sát trên các tuyến trục, tuyến thường, các công trình xây dựng và các công trình khác bằng máy định vị vệ tinh (GPS).
4. Định tuyến đo địa vật lý, địa chất môi trường.
Điều 17. Kiểm soát chất lượng các phương pháp địa vật lý môi trường
1. Các thiết bị đo địa vật lý môi trường phải được kiểm tra, xác định độ nhạy, độ ổn định để đáp ứng các tiêu chuẩn kỹ thuật của nhà sản xuất và được kiểm chuẩn theo quy định trước khi thi công.
2. Tại mỗi điểm khảo sát phải xây dựng 01 điểm kiểm tra máy. Hàng ngày, trước và sau mỗi buổi hành trình phải đo kiểm tra các máy đo địa vật lý, nếu số liệu đo kiểm tra nằm trong giới hạn cho phép mới được thi công.
3. Chất lượng tài liệu thực địa được đánh giá thông qua việc đo kiểm tra lặp đối với mỗi phương pháp, khối lượng kiểm tra từ 7%-10% khối lượng được duyệt. Việc đo kiểm tra được bố trí theo hành trình độc lập trên cơ sở các hành trình đã đo trước đó.
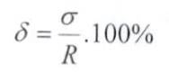
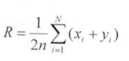
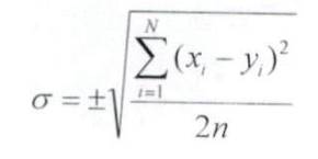
4. Chất lượng đo đạc của mỗi phương pháp được đánh giá thông qua việc tính sai số đo. Sai số của từng phương pháp được tính như sau:
a) Sai số tuyệt đối tính theo công thức:
(1)
Trong đó xi, yi - là giá trị (theo đơn vị đo riêng của từng phương pháp) của phép đo lần đầu và đo lặp lại tại điểm thứ i.
n - là tổng số điểm đo lặp.
b) Sai số tương đối được tính theo công thức sau:

Trong đó:
(2)
c) Sai số đo của từng phương pháp như sau: phương pháp gamma môi trường: δ ≤ 10%; phương pháp khí phóng xạ môi trường: δ ≤ 30%; phương pháp phổ gamma môi trường: U, Th, K ≤15%; phương pháp đo hơi thủy ngân: δ ≤ 30%.
Điều 18. Công tác văn phòng thực địa
1. Kiểm tra, hoàn thiện, thống kê các tài liệu nguyên thủy đã thực hiện, rà soát, đối chiếu các tuyến, các vị trí khảo sát với các sơ đồ, bản đồ bố trí thi công.
2. Chỉnh lý, hoàn thiện hệ thống sổ sách, tài liệu thu thập từ thực địa, đánh giá chất lượng, số lượng các công trình khảo sát.
3. Xây dựng các bản đồ, mặt cắt tài liệu thực tế đối với từng phương pháp.
4. Tổng hợp, phân tích, đánh giá kết quả khảo sát và xây dựng các bản đồ kết quả.
5. Lập báo cáo kết quả.
Mục 3
BÁO CÁO KẾT QUẢ THỰC HIỆN ĐỀ ÁN ĐIỀU TRA, ĐÁNH GIÁ ĐỊA CHẤT MÔI TRƯỜNG KHU VỰC CÓ KHOÁNG SẢN ĐỘC HẠI
Điều 19. Yêu cầu, nội dung báo cáo
1. Báo cáo phải phản ánh tổng quát các tài liệu thu thập ngoài thực địa, các phương pháp, khối lượng đã thực hiện, chất lượng tài liệu.
2. Nội dung báo cáo bao gồm:
a) Tổng quan về điều kiện địa lý, tự nhiên, kinh tế, xã hội và đặc điểm địa chất, khoáng sản tác động đến môi trường địa chất khu vực điều tra;
b) Các phương pháp, khối lượng, chất lượng và các dạng tài liệu thành lập;
c) Kết quả điều tra, đánh giá thành phần môi trường ở khu vực có khoáng sản độc hại;
d) Đề xuất các biện pháp quản lý, bảo vệ nhằm giảm thiểu tác động, ảnh hưởng của khoáng sản độc hại đến sức khỏe con người, đời sống sinh vật và các hoạt động liên quan đến phát triển kinh tế - xã hội;
d) Tổ chức thực hiện và hiệu quả kinh tế, xã hội của đề án;
e) Các phụ lục, bản vẽ kèm theo báo cáo tổng kết gồm:
- Phụ lục kèm theo thuyết minh báo cáo gồm: tính sai số các phương pháp khảo sát địa vật lý; kết quả phân tích mẫu và tính sai số phân tích; ảnh chụp, bản vẽ công trình, vết lộ quặng, tài liệu chứng minh mức độ ảnh hưởng của khoáng sản độc hại đến môi trường sức khỏe con người và đời sống sinh vật;
- Các bản vẽ gồm: sơ đồ tài liệu thực tế địa chất môi trường của vùng khảo sát; sơ đồ, tài liệu thực tế của các phương pháp đo địa vật lý môi trường; mặt cắt thay đổi các thành phần môi trường theo không gian; bản đồ hiện trạng thành phần môi trường; bản đồ tổng hợp, phân vùng môi trường các loại; các bản vẽ khác.
Quy cách bản vẽ được thực hiện theo quy định tại Thông tư số 12/2013/TT-BTNMT ngày 05 tháng 06 năm 2013 của Bộ trưởng Bộ Tài nguyên và Môi trường quy định về việc giao nộp, thu nhận, lưu trữ, bảo quản và cung cấp dữ liệu về địa chất và khoáng sản.
g) Ngoài báo cáo được lập trên giấy, báo cáo và các tài liệu kèm theo phải được số hóa 01 bộ (tài liệu nguyên thủy phải được quét dưới dạng ảnh hoặc số hóa).
Điều 20. Nộp lưu trữ và bàn giao kết quả điều tra
1. Sau khi được cấp có thẩm quyền nghiệm thu, phê duyệt, báo cáo kết quả điều tra, đánh giá địa chất môi trường khu vực có khoáng sản độc hại và các tài liệu nguyên thủy kèm theo phải nộp vào lưu trữ theo quy định của pháp luật.
2. Các tài liệu khác của đề án phải được đơn vị chủ trì thực hiện đề án quản lý và lưu trữ theo quy định hiện hành.
3. Kết quả điều tra, đánh giá phải được bàn giao cho Ủy ban nhân dân tỉnh, thành phố trực thuộc Trung ương nơi có khoáng sản độc hại để quản lý theo quy định của pháp luật.
Chương III
ĐIỀU KHOẢN THI HÀNH11
Điều 21. Hiệu lực thi hành
Thông tư này có hiệu lực thi hành kể từ ngày 15 tháng 4 năm 2015.
Điều 22. Tổ chức thực hiện
1. Cục trưởng Cục Địa chất Việt Nam12, Thủ trưởng các đơn vị trực thuộc Bộ Tài nguyên và Môi trường, Giám đốc Sở Tài nguyên và Môi trường các tỉnh, thành phố trực thuộc Trung ương và tổ chức, cá nhân có liên quan chịu trách nhiệm thi hành Thông tư này.
2. Trong quá trình thực hiện, nếu phát sinh vướng mắc, đề nghị các tổ chức, cá nhân kịp thời phản ánh về Bộ Tài nguyên và Môi trường để nghiên cứu sửa đổi, bổ sung./.
| BỘ TÀI NGUYÊN VÀ MÔI TRƯỜNG _____________ Số: 18/VBHN-BTNMT | XÁC THỰC VĂN BẢN HỢP NHẤT Hà Nội, ngày 31 tháng 12 năm 2024 |
| Nơi nhận: - Văn phòng Chính phủ (để đăng công báo); - Các Bộ, cơ quan ngang Bộ, cơ quan thuộc Chính phủ; - UBND các tỉnh, thành phố trực thuộc TW; - Các Sở TN&MT tỉnh, thành phố trực thuộc TW; - Cục Kiểm tra văn bản QPPL (Bộ Tư pháp); - Cổng TTĐT Chính phủ (để đăng tải); - Cổng TTĐT Bộ TN&MT (để đăng tải); - Các đơn vị trực thuộc Bộ TN&MT; - Lưu: VT, PC, ĐCK | KT. BỘ TRƯỞNG THỨ TRƯỞNG |
______________
1 Thông tư số 30/2024/TT-BTNMT sửa đổi, bổ sung một số điều của Thông tư số 06/2015/TT-BTNMT ngày 25 tháng 02 năm 2015 của Bộ trưởng Bộ Tài nguyên và Môi trường quy định kỹ thuật công tác điều tra, đánh giá địa chất môi trường khu vực có khoáng sản độc hại có căn cứ ban hành như sau:
"Căn cứ Luật khoáng sản ngày 17 tháng 11 năm 2010;
Căn cứ Nghị định số 158/2016/NĐ-CP ngày 29 tháng 11 năm 2016 của Chính phủ quy định chi tiết thi hành một số điều của Luật khoáng sản;
Căn cứ Nghị định số 68/2022/NĐ-CP ngày 22 tháng 9 năm 2022 của Chính phủ quy định chức năng, nhiệm vụ, quyền hạn và cơ cấu tổ chức của Bộ Tài nguyên và Môi trường;
Căn cứ Luật bảo vệ môi trường ngày 17 tháng 11 năm 2020;
Theo đề nghị của Cục trưởng Cục Địa chất Việt Nam:
Bộ trưởng Bộ Tài nguyên và Môi trường ban hành Thông tư sửa đổi, bổ sung Thông tư số 06/2015/TT-BTNMT ngày 25/02/2015 của Bộ trưởng Bộ Tài nguyên và Môi trường quy định kỹ thuật công tác điều tra, đánh giá địa chất môi trường khu vực có khoáng sản độc hại. ”
2 Cụm từ “không khí” được bổ sung theo quy định tại khoản 1 Điều 1 Thông tư số 30/2024/TT-BTNMT sửa đổi, bổ sung một số điều của Thông tư số 06/2015/TT-BTNMT ngày 25 tháng 02 năm 2015 của Bộ trưởng Bộ Tài nguyên và Môi trường quy định kỹ thuật công tác điều tra, đánh giá địa chất môi trường khu vực có khoáng sản độc hại, có hiệu lực kể từ ngày 27 tháng 01 năm 2025.
3 Cụm từ “Tổng cục Địa chất và Khoáng sản Việt Nam” được thay thế bởi cụm từ “Bộ Tài nguyên và Môi trường” tại khoản 2 Điều 1 Thông tư số 30/2024/TT-BTNMT sửa đổi, bổ sung một số điều của Thông tư số 06/2015/TT-BTNMT ngày 25 tháng 02 năm 2015 của Bộ trưởng Bộ Tài nguyên và Môi trường quy định kỹ thuật công tác điều tra, đánh giá địa chất môi trường khu vực có khoáng sản độc hại, có hiệu lực kể từ ngày 27 tháng 01 năm 2025.
4Khoản này được bổ sung theo quy định tại khoản 3 Điều 1 Thông tư số 30/2024/TT-BTNMT sửa đổi, bổ sung một số điều của Thông tư số 06/2015/TT-BTNMT ngày 25 tháng 02 năm 2015 của Bộ trưởng Bộ Tài nguyên và Môi trường quy định kỹ thuật công tác điều tra, đánh giá địa chất môi trường khu vực có khoáng sản độc hại, có hiệu lực kể từ ngày 27 tháng 01 năm 2025.
5Khoản này được bổ sung theo quy định tại khoản 3 Điều 1 Thông tư số 30/2024/TT-BTNMT sửa đổi, bổ sung một số điều của Thông tư số 06/2015/TT-BTNMT ngày 25 tháng 02 năm 2015 của Bộ trưởng Bộ Tài nguyên và Môi trường quy định kỹ thuật công tác điều tra, đánh giá địa chất môi trường khu vực có khoáng sản độc hại, có hiệu lực kể từ ngày 27 tháng 01 năm 2025.
6Điều này được thay thế theo quy định tại khoản 4 Điều 1 Thông tư số 30/2024/TT-BTNMT sửa đổi, bổ sung một số điều của Thông tư số 06/2015/TT-BTNMT ngày 25 tháng 02 năm 2015 của Bộ trưởng Bộ Tài nguyên và Môi trường quy định kỹ thuật công tác điều tra, đánh giá địa chất môi trường khu vực có khoáng sản độc hại, có hiệu lực kể từ ngày 27 tháng 01 năm 2025.
7Điều này được bổ sung theo quy định tại khoản 5 Điều 1 Thông tư số 30/2024/TT-BTNMT sửa đổi, bổ sung một số điều của Thông tư số 06/2015/TT-BTNMT ngày 25 tháng 02 năm 2015 của Bộ trưởng Bộ Tài nguyên và Môi trường quy định kỹ thuật công tác điều tra, đánh giá địa chất môi trường khu vực có khoáng sản độc hại, có hiệu lực kể từ ngày 27 tháng 01 năm 2025.
8Điều này được thay thế theo quy định tại khoản 6 Điều 1 Thông tư số 30/2024/TT-BTNMT sửa đổi, bổ sung một số điều của Thông tư số 06/2015/TT-BTNMT ngày 25 tháng 02 năm 2015 của Bộ trưởng Bộ Tài nguyên và Môi trường quy định kỹ thuật công tác điều tra, đánh giá địa chất môi trường khu vực có khoáng sản độc hại, có hiệu lực kể từ ngày 27 tháng 01 năm 2025.
9Điều này được thay thế theo quy định tại khoản 7 Điều 1 Thông tư số 30/2024/TT-BTNMT sửa đổi, bổ sung một số điều của Thông tư số 06/2015/TT-BTNMT ngày 25 tháng 02 năm 2015 của Bộ trưởng Bộ Tài nguyên và Môi trường quy định kỹ thuật công tác điều tra, đánh giá địa chất môi trường khu vực có khoáng sản độc hại, có hiệu lực kể từ ngày 27 tháng 01 năm 2025.
10Điều này được thay thế theo quy định tại khoản 8 Điều 1 Thông tư số 30/2024/TT-BTNMT sửa đổi, bổ sung một số điều của Thông tư số 06/2015/TT-BTNMT ngày 25 tháng 02 năm 2015 của Bộ trưởng Bộ Tài nguyên và Môi trường quy định kỹ thuật công tác điều tra, đánh giá địa chất môi trường khu vực có khoáng sản độc hại, có hiệu lực kể từ ngày 27 tháng 01 năm 2025.
11Điều 2 và Điều 3 của Thông tư số 30/2024/TT-BTNMT sửa đổi, bổ sung một số điều của Thông tư số 06/2015/TT-BTNMT ngày 25 tháng 02 năm 2015 của Bộ trưởng Bộ Tài nguyên và Môi trường quy định kỹ thuật công tác điều tra, đánh giá địa chất môi trường khu vực có khoáng sản độc hại, có hiệu lực kể từ ngày 27 tháng 01 năm 2025 quy định như sau:
“Điều 2. Điều khoản chuyển tiếp
Nhiệm vụ, dự án, đề án điều tra, đánh giá địa chất môi trường khu vực có khoáng sản độc hại đã được phê duyệt trước ngày Thông tư này có hiệu lực thi hành thì tiếp tục thực hiện theo quy định tại Thông tư số 06/2015/TT-BTNMT cho đến khi hoàn thành.
Điều 3. Điều khoản thi hành
1. Thông tư này có hiệu lực thi hành kể từ ngày 27 tháng 01 năm 2025.
2. Trường hợp các tiêu chuẩn, quy chuẩn được viện dẫn tại thông tư này được sửa đổi, bổ sung hoặc thay thế thì thực hiện theo quy định mới.
3. Bộ trưởng, Thủ trưởng cơ quan ngang Bộ, cơ quan thuộc Chính phủ, Chủ tịch Ủy ban nhân dân tỉnh, thành phố trực thuộc Trung ương và các tổ chức, cá nhân có liên quan chịu trách nhiệm thi hành Thông tư này./.”
12Cụm từ “Tổng cục Địa chất và Khoáng sản Việt Nam" được thay thế bởi cụm từ “Cục trưởng Cục Địa chất Việt Nam” tại khoản 10 Điều 1 Thông tư số 30/2024/TT-BTNMT sửa đổi, bổ sung một số điều của Thông tư số 06/2015/TT-BTNMT ngày 25 tháng 02 năm 2015 của Bộ trưởng Bộ Tài nguyên và Môi trường quy định kỹ thuật công tác điều tra, đánh giá địa chất môi trường khu vực có khoáng sản độc hại, có hiệu lực kể từ ngày 27 tháng 01 năm 2025.
Phụ lục 113
MẪU SỔ THỰC ĐỊA
| Mẫu số 1 | Mẫu sổ thực địa đo phổ gamma môi trường |
| Mẫu số 2 | Mẫu sổ thực địa đo gamma môi trường |
| Mẫu số 3 | Mẫu sổ thực địa đo khí phóng xạ môi trường |
| Mẫu số 4 | Mẫu sổ thực địa đo nồng độ hơi thủy ngân môi trường |
| Mẫu số 5 | Mẫu sổ thực địa đo nhanh các chỉ tiêu tại hiện trường |
| Mẫu số 6 | Mẫu phiếu điều tra xã hội học |
_____________
13Phụ lục này được thay thế theo quy định tại khoản 11 Điều 1 Thông tư số 30/2024/TT-BTNMT sửa đổi, bổ sung một số điều của Thông tư số 06/2015/TT-BTNMT ngày 25 tháng 02 năm 2015 của Bộ trưởng Bộ Tài nguyên và Môi trường quy định kỹ thuật công tác điều tra, đánh giá địa chất môi trường khu vực có khoáng sản độc hại, có hiệu lực kể từ ngày 27 tháng 01 năm 2025.
Mẫu số 1. Mẫu sổ thực địa đo phổ gamma môi trường
Khu vực khảo sát: ………………………
Ngày đo:……………………….
Người đo máy: ……………………Chủ nhiệm……………………….
Loại máy: ……………………số máy:……………………………….
Tên lộ trình: ……………………Thời tiết:……………………………
Vị trí xuất phát:…………………………………………………………
| STT | SH ĐQS | Tọa độ Hệ tọa độ VN- 2000 KT 105 múi 6° | Vị trí (m) | Thời gian đo (giây) | Lần đo | Hàm lượng | Cường độ (nGy/h) | Ghi chú | |||
| X | Y | K (%) | U (ppm) | Th (ppm) |
|
| |||||
|
|
|
|
|
| 120 | 1 |
|
|
|
|
|
| 2 |
|
|
|
|
| ||||||
| 3 |
|
|
|
|
| ||||||
| TB |
|
|
|
|
| ||||||
|
|
|
|
|
| 120 | 1 |
|
|
|
|
|
| 2 |
|
|
|
|
| ||||||
| 3 |
|
|
|
|
| ||||||
| TB |
|
|
|
|
| ||||||
|
|
|
|
|
| 120 | 1 |
|
|
|
|
|
| 2 |
|
|
|
|
| ||||||
| 3 |
|
|
|
|
| ||||||
| TB |
|
|
|
|
| ||||||
Mẫu số 2. Mẫu sổ thực địa đo gamma môi trường
Khu vực khảo sát: ……………………
Tên lộ trình: ………………………Ngày đo:…………………….
Người đo: …………………….Chủ nhiệm Dự án:………………………..
Loại máy: …………………số máy:……………………. Hệ số chuẩn máy: ………………….
Đặc điểm thời tiết: ………………………………..
Vị trí xuất phát: ……………………………..
| TT | SH ĐQS | Tọa độ Hệ tọa độ VN-2000 KT 105 múi 60 | Cọc mét (m) | Vị trí đo (m) | Số đọc | Giá trị suất liều (µSv/h) | Ghi chú | ||||
| X | Y |
| Lần 1 | Lần 2 | Lần 3 | TB |
|
| |||
|
|
|
|
|
| 0m |
|
|
|
|
|
|
| 1m |
|
|
|
|
|
| |||||
|
|
|
|
|
| 0m |
|
|
|
|
|
|
| 1m |
|
|
|
|
|
| |||||
|
|
|
|
|
| 0m |
|
|
|
|
|
|
| 1m |
|
|
|
|
|
| |||||
|
|
|
|
|
| 0m |
|
|
|
|
|
|
| 1m |
|
|
|
|
|
| |||||
|
|
|
|
|
| 0m |
|
|
|
|
|
|
|
|
|
|
|
| 1m |
|
|
|
|
|
|
|
|
|
|
|
| 0m |
|
|
|
|
|
|
|
|
|
|
|
| 1m |
|
|
|
|
|
|
|
|
|
|
|
| 0m |
|
|
|
|
|
|
|
|
|
|
|
| 1m |
|
|
|
|
|
|
|
|
|
|
|
| 0m |
|
|
|
|
|
|
|
|
|
|
|
| 1m |
|
|
|
|
|
|
|
|
|
|
|
| 0m |
|
|
|
|
|
|
|
|
|
|
|
| 1m |
|
|
|
|
|
|
|
|
|
|
|
| 0m |
|
|
|
|
|
|
Mẫu số 3. Mẫu sổ thực địa đo khí phóng xạ môi trường
Khu vực khảo sát: …………………….
Đặc điểm thời tiết: …………………Ngày đo:………………………….
Tên lộ trình: ………………………….
Người đo: ………………….Chủ nhiệm Dự án:…………………….
Máy đo: ……………………số máy:……………………………….
Vị trí xuất phát: …………………………..
| STT | SH ĐQS | Tọa độ Hệ tọa độ VN-2000 | Cọc mét (m) | Thời gian đo (phút) | Vị trí đo (m) | Nồng độ khí phóng xạ | Ghi chú | ||
| X | Y |
|
|
| Rn | Tn |
| ||
|
|
|
|
|
| 30 | 0 |
|
|
|
| 30 | 1 |
|
|
| |||||
|
|
|
|
|
| 30 | 0 |
|
|
|
|
|
|
|
|
| 30 | 1 |
|
|
|
|
|
|
|
|
| 30 | 0 |
|
|
|
|
|
|
|
|
| 20 | 0 |
|
|
|
| 20 | 1 |
|
|
| |||||
|
|
|
|
|
| 20 | 0 |
|
|
|
| 20 | 1 |
|
|
| |||||
|
|
|
|
|
| 20 | 0 |
|
|
|
| 20 | 1 |
|
|
| |||||
|
|
|
|
|
| 20 | 0 |
|
|
|
| 20 | 1 |
|
|
| |||||
|
|
|
|
|
| 20 | 0 |
|
|
|
|
|
|
|
|
| 20 | 1 |
|
|
|
|
|
|
|
|
| 20 | 0 |
|
|
|
|
|
|
|
|
| 20 | 1 |
|
|
|
|
|
|
|
|
| 20 | 0 |
|
|
|
|
|
|
|
|
| 20 | 1 |
|
|
|
Mẫu số 4. Mẫu sổ thực địa đo nồng độ hơi thủy ngân môi trường
Khu vực khảo sát: …………………………
Tên lộ trình: …………………..Ngày đo:………………………..
Người đo: ………………….Chủ nhiệm Dự án:………………………
Loại máy: …………………..số máy: ………………Hệ số chuẩn máy:…………………
Đặc điểm thời tiết: …………………………………………
Vị trí xuất phát: …………………………
| STT | SH ĐQS | Tọa độ Hệ tọa độ VN-2000 KT 105 múi 6° | Cọc mét (m) | Thời gian đo (phút/lần) | Vị trí đo (m) | Giá trị nồng độ TB (µg/m 3 ) | Ghi chú | |
| X | Y |
|
|
|
|
| ||
|
|
|
|
|
|
| 0m |
|
|
| 1m |
|
| ||||||
|
|
|
|
|
|
| 0m |
|
|
| 1m |
|
| ||||||
|
|
|
|
|
|
| 0m |
|
|
| 1m |
|
| ||||||
|
|
|
|
|
|
| 0m |
|
|
| 1m |
|
| ||||||
|
|
|
|
|
|
| 0m |
|
|
| 1m |
|
| ||||||
|
|
|
|
|
|
| 0m |
|
|
| 1m |
|
| ||||||
|
|
|
|
|
|
| 0m |
|
|
| 1m |
|
| ||||||
|
|
|
|
|
|
| 0m |
|
|
| 1m |
|
| ||||||
Mẫu số 5. Mẫu sổ thực địa đo nhanh các chỉ tiêu tại hiện trường
Khu vực lấy mẫu: ………………….Ngày lấy mẫu:…………………….
Người lấy mẫu:………………….
Thời tiết:…………………. Người đo mẫu:……………………
Độ sâu lấy mẫu: ……………………….Chủ nhiệm Dự án:…………………
Thiết bị đo nồng độ khí phóng xạ trong nước: ……………….số hiệu:………………….
Thiết bị đo khác: …………………….số hiệu:………………………….
| TT | Số hiệu mẫu | Thể tích mẫu (Lít) | Tọa độ điểm lấy mẫu Hệ tọa độ VN-2000 KT 105 múi 6° | Chỉ tiêu đo tại hiện trường | Ghi chú | |||||
| X | Y | Rn (Bq/m3) | Tn (Bq/m3) | Nhiệt độ (°C) | Nồng độ pH | Thế oxy hóa - khử Eh (mV) |
| |||
|
|
|
|
|
|
|
|
|
|
|
|
|
|
|
|
|
|
|
|
|
|
|
|
|
|
|
|
|
|
|
|
|
|
|
|
|
|
|
|
|
|
|
|
|
|
|
|
|
|
|
|
|
|
|
|
|
|
|
|
Mẫu số 6. Mẫu phiếu điều tra xã hội học
| CỤC ĐỊA CHẤT VIỆT NAM ĐƠN VỊ ….. __________ | CỘNG HÒA XÃ HỘI CHỦ NGHĨA VIỆT NAM Độc lập - Tự do - Hạnh phúc ________________________ |
PHIẾU ĐIỀU TRA XÃ HỘI HỌC VÀ SỨC KHỎE
(Đơn vị điều tra: hộ gia đình)
DỰ ÁN: …………………………………………
Vùng điều tra: ………………………………….
Mã vùng: ……………………………………….
Mã hộ gia đình: ………………………………..
Tọa độ: X:………….. Y:…………..H:……………………
Địa chỉ nhà (thôn, bản): ………………………………….
Vị trí (tương đối so với vùng điều tra): ………………………………………
Thời gian cư trú liên tục tại địa chỉ hiện nay: từ năm ……………………………………
Dân tộc: ………………….Quốc tịch……………… số người trong gia đình:………………….
Trình độ văn hóa (mọi người trong gia đình):
Đại học, cao đẳng □ Phổ thông trung học □
Phổ thông cơ sở □ Không biết chữ □
Nghề nghiệp hiện nay:
Nông dân □ Nội trợ □
Cán bộ, giáo viên □ Tự do, làm thuê □
Công nhân □ HS, SV □
Kinh doanh, dịch vụ □
Nghề nghiệp làm lâu nhất
Nông dân, nội trợ
Nông dân □ Nội trợ □
Cán bộ, giáo viên □ Tự do, làm thuê □
Công nhân □ HS, SV □
Kinh doanh, dịch vụ □
Sử dụng nguồn nước:
+ Nước sinh hoạt:
Nước máy □ Giếng khoan □ Ao, hồ □
Giếng khơi □ Sông, suối □
+ Nước uống:
Nước máy □ Giếng khơi □ Ao, hồ □
Giếng khơi □ Sông, suối □
Điều kiện nhà ở:
Nhà xây kiên cố □ Nhà sàn □ Nhà tạm □
Nhà cấp 4 □ Nhà vách đất □
THÔNG TIN CÁC YẾU TỐ LIÊN QUAN ĐẾN SỨC KHỎE
| Nội dung | Số người biểu hiện bệnh lý | Số người bệnh lý | Ghi chú | ||||
| Tuổi | 0÷15 | 16÷60 | >60 | 0÷15 | 16÷60 | >60 |
|
| Tình trạng lúc sinh | |||||||
| Dị tật bẩm sinh |
| ||||||
| Tình trạng hôn nhân | |||||||
| Đã kết hôn |
| ||||||
| Thói quen sinh hoạt | |||||||
| Hút thuốc lá |
| ||||||
| Hút thuốc lào |
| ||||||
| Uống rượu bia |
| ||||||
| Sử dụng ma túy |
| ||||||
| Hoạt động thể lực |
| ||||||
| Tiền sử gia đình (Ghi rõ ông, bà, bố, mẹ... đã sinh sống tại khu vực) | |||||||
| Thần kinh |
| ||||||
| Ung thư |
| ||||||
| Da |
| ||||||
| Mắt |
| ||||||
| Xương |
| ||||||
| Dị tật |
| ||||||
| Dị dạng |
| ||||||
|
| |||||||
CÁC BỆNH THƯỜNG MẮC PHẢI
| Tên bệnh | Số ca (bệnh nhân) | Ghi chú | |||||
| Số người biểu hiện bệnh lý | Số người bệnh lý |
| |||||
| Tuổi | 0÷15 | 16÷60 | >60 | 0÷15 | 16÷60 | >60 |
|
| Máu |
|
|
|
|
|
|
|
| Tim mạch |
|
|
|
|
|
|
|
| Tiêu hóa |
|
|
|
|
|
|
|
| Hô hấp |
|
|
|
|
|
|
|
| Thần kinh |
|
|
|
|
|
|
|
| Ung thư |
|
|
|
|
|
|
|
| Da |
|
|
|
|
|
|
|
| Mắt |
|
|
|
|
|
|
|
| Xương |
|
|
|
|
|
|
|
| Dị tật |
|
|
|
|
|
|
|
| Dị dạng |
|
|
|
|
|
|
|
| Quái thai |
|
|
|
|
|
|
|
| Sức khỏe sinh sản và kế hoạch hóa gia đình (nữ) |
|
|
|
|
|
|
|
| Số lần có thai |
|
|
|
|
|
|
|
| Số lần sẩy thai |
|
|
|
|
|
|
|
| Số lần phá thai |
|
|
|
|
|
|
|
| Số lần sinh đẻ |
|
|
|
|
|
|
|
| Đẻ thường |
|
|
|
|
|
|
|
| Đẻ mổ |
|
|
|
|
|
|
|
| Đẻ khó |
|
|
|
|
|
|
|
| Số lần đẻ đủ tháng |
|
|
|
|
|
|
|
| Đẻ khó |
|
|
|
|
|
|
|
| Số lần đẻ đủ tháng |
|
|
|
|
|
|
|
| Số lần đẻ non |
|
|
|
|
|
|
|
| Số con hiện sống |
|
|
|
|
|
|
|
| CHỦ HỘ | ĐẠI DIỆN NHÓM THU THẬP | …ngày …tháng.....năm 20.. XÁC NHẬN CỦA CHÍNH QUYỀN ĐỊA PHƯƠNG |
Phụ lục 214 (được bãi bỏ)
BỘ CỤC ĐỀ ÁN ĐIỀU TRA ĐỊA CHẤT MÔI TRƯỜNG
KHOÁNG SẢN ĐỘC HẠI
________________
14 Phụ lục này được bãi bỏ theo quy định tại khoản 12 Điều 1 Thông tư số 30/2024/TT-BTNMT sửa đổi, bổ sung một số điều của Thông tư số 06/2015/TT-BTNMT ngày 25 tháng 02 năm 2015 của Bộ trưởng Bộ Tài nguyên và Môi trường quy định kỹ thuật công tác điều tra, đánh giá địa chất môi trường khu vực có khoáng sản độc hại, có hiệu lực kể từ ngày 27 tháng 01 năm 2025.
Bạn chưa Đăng nhập thành viên.
Đây là tiện ích dành cho tài khoản thành viên. Vui lòng Đăng nhập để xem chi tiết. Nếu chưa có tài khoản, vui lòng Đăng ký tại đây!
Bạn chưa Đăng nhập thành viên.
Đây là tiện ích dành cho tài khoản thành viên. Vui lòng Đăng nhập để xem chi tiết. Nếu chưa có tài khoản, vui lòng Đăng ký tại đây!