- Tổng quan
- Nội dung
- Tiêu chuẩn liên quan
- Lược đồ
- Tải về
Tiêu chuẩn Quốc gia TCVN 8217:2009 Đất xây dựng công trình thủy lợi - Phân loại
| Số hiệu: | TCVN 8217:2009 | Loại văn bản: | Tiêu chuẩn Việt Nam |
| Cơ quan ban hành: | Bộ Khoa học và Công nghệ | Lĩnh vực: | Tài nguyên-Môi trường |
|
Ngày ban hành:
Ngày ban hành là ngày, tháng, năm văn bản được thông qua hoặc ký ban hành.
|
2009 |
Hiệu lực:
|
Đã biết
|
| Người ký: | Đang cập nhật |
Tình trạng hiệu lực:
Cho biết trạng thái hiệu lực của văn bản đang tra cứu: Chưa áp dụng, Còn hiệu lực, Hết hiệu lực, Hết hiệu lực 1 phần; Đã sửa đổi, Đính chính hay Không còn phù hợp,...
|
Đã biết
|
TÓM TẮT TIÊU CHUẨN VIỆT NAM TCVN 8217:2009
Nội dung tóm tắt đang được cập nhật, Quý khách vui lòng quay lại sau!
Tải tiêu chuẩn Việt Nam TCVN 8217:2009
TIÊU CHUẨN VIỆT NAM
TCVN 8217:2009
ĐẤT XÂY DỰNG CÔNG TRÌNH THỦY LỢI – PHÂN LOẠI
Soil classification for hydraulic engineering
1. Phạm vi áp dụng
Tiêu chuẩn này quy định việc phân loại đất gặp phổ biến trong tự nhiên được sử dụng trong xây dựng công trình thủy lợi. Tiêu chuẩn này áp dụng trong khảo sát, thiết kế, thi công, nghiên cứu địa chất công trình phục vụ cho quy hoạch, thiết kế mới, cải tạo sửa chữa hoặc nâng cấp các công trình thủy lợi.
2. Thuật ngữ và định nghĩa
Tiêu chuẩn này sử dụng các thuật ngữ, định nghĩa sau đây:
2.1 Đất (soil)
Là vật thể địa chất nằm ở lớp vỏ trái đất và ở thể mềm, rời đặc trưng, không có khả năng hoặc có không đáng kể các liên kết kết tinh.
2.2 Kết cấu của đất (soil texture)
Là đặc trưng phản ánh về ba đặc điểm của đất:
- Độ lớn, hình dạng và đặc điểm mặt ngoài của các hạt rắn, đặc biệt là các hạt thô;
- Sự sắp xếp và quan hệ lẫn nhau giữa các hạt rắn, nghĩa là: mức độ phá hủy cấu tạo của đất, mức độ nén chặt và độ ẩm tự nhiên của đất;
- Mức độ liên kết và tính chất của sự liên kết giữa các hạt rắn.
2.3 Cấu tạo của đất (soil structure)
Là đặc trưng phản ánh sự sắp xếp trong không gian giữa các hạt rắn của đất, đặc điểm và chiều dầy lớp đất phân bố ở trong không gian.
2.4 Đất rời (dispersive soil)
Là đất mà trong trạng thái ẩm ướt không xuất hiện sự dính bám giữa các hạt đơn lẻ và bị rời rạc khi khô; Còn gọi là đất không dính;
2.5 Đất dính (binder)
Là đất mà trong trạng thái ẩm ướt xuất hiện sự dính bám giữa các hạt đơn lẻ, có thể nhồi nặn thành các hình dạng tùy ý, khi khô vẫn giữ nguyên được hình thể đã có và có độ cứng chắc nhất định. Theo nghĩa rộng, đất dính là tất cả các loại đất bụi, đất sét và các loại đất hạt thô có chứa hàm lượng hạt bụi và hạt sét ≥10%.
2.6 Đất bùn (silt)
Gồm các loại đất sét, đất bụi, đất cát pha sét có hoặc không chứa hữu cơ thuộc các trầm tích trẻ trong môi trường ngập nước, sự cố kết tự nhiên rất khó khăn. Đặc trưng của đất bùn là có hệ số rỗng , chỉ số chảy lớn, mềm nhão, sức chịu tải không đáng kể.
2.7 Vật chất hữu cơ (organic composition of soil)
Có trong đất bao gồm các di tích động – thực vật đã bị phân hủy hoàn toàn hoặc chưa hoàn toàn. Vật chất hữu cơ đã bị phân hủy hoàn toàn tạo thành mùn và các hợp chất có cấu trúc vi – ẩn tinh, còn khi chưa bị phân hủy hoàn toàn có dạng sợi, dạng xơ xốp. Vật chất hữu cơ có trong đất thổ nhưỡng và đất có nguồn gốc trầm tích hồ, hồ - đầm lầy, đầm lầy.
2.8 Các muối (hòa tan dễ và vừa) hay gặp trong đất (common salt in soil)
Các muối canxi sulfat và các clorua, sulfat, natri cacbonat, kali, canxi, magiê… (CaSO4. 2H2O, anhydrit – CaSO4, halit – NaCL, KCL, CaCL2,MgCL2, MgSO4, Na2SO4, Na2CO3 v.v…). Tổng hàm lượng các muối (hòa tan dễ và vừa) Pm, tính bằng phần trăm khối lượng ở nhiệt độ (105 ± 5)oC.
2.9 Tỷ lệ các hạt trong đất (grain content)
Là phần trăm khối lượng khô của cỡ hạt nào đó so với tổng khối lượng khô của mẫu đất.
2.10 Kích thước hạt (grain content)
Là đường kính quy đổi của hạt (theo nghĩa tương đối), tính bằng milimét.
2.11 Hệ số không đồng nhất, Cu (coefficient of uniformity)
Là đại lượng chỉ mức độ không đồng đều của thành phần hạt;

trong đó
D10 là đường kính hạt mà hàm lượng chứa các hạt nhỏ hơn nó chiếm 10% khối lượng khô của đất, còn gọi là đường kính có hiệu hoặc đường kính tác dụng;
D60 là đường kính hạt mà hàm lượng chứa các hạt nhỏ hơn nó chiếm 60% khối lượng khô của đất, còn gọi là đường kính kiểm tra.
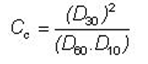
2.12 Hệ số đường cong phân bố thành phần hạt, Cc (grain size distribution curve factor)
Là đại lượng đặc trưng cho dạng đường cong phân bố thành phần hạt của đất, ký hiệu là Cc;

trong đó
D30 là đường kính hạt mà hàm lượng chứa các hạt nhỏ hơn nó chiếm 30 % khối lượng khô của đất;
D60 và D10 như ở điều 2.11.
2.13 Cấp phối hạt (summation grain)
Là đại lượng phản ánh khả năng có thể sắp xếp tốt hay xấu (chặt hay xốp) giữa các hạt của đất hạt thô, quyết định đồng thời bởi hệ số không đồng nhất Cu và hệ số đường cong phân bố thành phần hạt Cc.
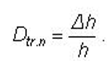
2.14 Tính trương nở của đất (swell of soil)
Là tỷ số giữa thể tích tăng thêm do trương nở một hướng của mẫu đất được thí nghiệm trong điều kiện không có nở hông và không có tải trọng tác dụng, với thể tích ban đầu của mẫu đất. Tính trương nở của đất loại sét, Dtr.n được đánh giá bằng độ trương nở tương đối.

trong đó
∆h là chiều cao tăng thêm do nở của mẫu đất;
h là chiều cao ban đầu của mẫu đất.
2.15 Tính lún ướt ( wet sinkage)
Là tỷ số giữa lượng lún tăng thêm của mẫu đất thí nghiệm đã ổn định lún dưới tải trọng do đất bị nước làm ướt cũng dưới tải trọng đang xét đó và chiều cao ban đầu của mẫu đất, tính lún ướt của đất dính, am được dánh giá theo hệ số lún ướt tương đối.

2.16 Độ ẩm của đất (soil moisture)
Là tỷ số giữa khối lượng của nước chứa trong đất và khói lượng khô của đất, ký hiệu là W, được tính bằng phần trăm khối lượng.
2.17 Độ ẩm bão hòa (độ ẩm toàn phần) (weter of saturation)
Là độ ẩm của đất khi nước lấp đầy tất cả các lỗ rỗng của đất, ký hiệu là Wbh, được tính theo công thức:

2.19 Giới hạn dẻo của đất, WP (plastic limit)
Là độ ẩm giới hạn dưới của trạng thái dẻo của đất dính.
2.20 Giới hạn chảy của đất, WL (liquid limit)
Là độ ẩm giới hạn trên của trạng thái dẻo của đất dính.
2.21 Chỉ số dẻo, IP (plasticity index)
Là khoảng độ ẩm của đất dính thể hiện tính dẻo. IP = WL - WP ; Chỉ số dẻo dùng để xếp loại các đất cát pha sét và các đất hạt mịn khi chưa có tài liệu phân tích riêng thành phần của cỡ hạt nhỏ hơn 0,1 mm .
2.22 Chỉ số chảy (độ sệt) của đất, IL hoặc B (liquidity index)
Là đại lượng đặc trưng về trạng thái vật lý của đất dính hoặc của vật liệu có tính dính làm chất lấp nhét trong các lỗ hổng của đất cát, đất sỏi (sạn) hoặc đất cuội (dăm), tính theo công thức:

3. Nguyên tắc chung
Việc phân loại đất dựa vào thành phần vật liệu rắn của đất tạo đất, đặc trưng cấp phối hạt, tính dẻo của đất, đặc trưng phụ trợ của thành phần thứ yếu tạo đất, tính chất đặc biệt của đất v.v… trên cơ sở các kết quả thí nghiệm mẫu đất ở trong phòng thí nghiệm. Trong tiêu chuẩn này phân loại đất đi từ tổng quát đến chi tiết dần, theo sơ đồ hệ thống; Chủng loại, nhóm, các loại đất và biến thể của chúng.
4. Phân loại đất
4.1 Phân loại hạt đất
Quy định ở Bảng 1; các hạt rắn tạo đất được phân thành các nhóm hạt theo kích thước đường kính hạt quy đổi:
- Nhóm đá tảng (Boulder), ký hiệu bằng chữ B: kích thước lớn hơn 200 mm;
- Nhóm cuội (hoặc dăm) (Cobble), ký hiệu bằng chữ Cb: kích thước từ 60 mm đến 200 mm;
- Nhóm sỏi (hoặc sạn) (Gravel), ký hiệu bằng chữ G: kích thước từ 2 mm đến 60 mm;
- Nhóm hạt cát (Sand), ký hiệu bằng chữ S: kích thước từ 0,05 mm đến 2 mm;
- Nhóm hạt bụi (Silt), ký hiệu bằng chữ M: kích thước từ 0,005 mm đến 0,05 mm;
- Nhóm hạt sét (Clay), ký hiệu bằng chữ C: kích thước nhỏ hơn 0,005 mm, trong đó: Sét hạt thô: từ 0,005 mm đến 0,002 mm; sét hạt nhỏ: nhỏ hơn 0,002 mm.
CHÚ THÍCH:
1) Từ dăm, sạn để trong ngoặc đơn dùng để thay thế cho cỡ hạt có cùng kích thước nhưng có hình dạng góc cạnh;
2) Các cỡ hạt lớn hơn 0,1 mm được xếp vào tổ hạt thô (Coarse grains); các cỡ hạt nhỏ hơn 0,1 mm được xếp vào tổ hạt mịn (Fine grains), ký hiệu bằng chữ F; (Tách biệt hạt thô với hạt mịn của đất bằng cách làm phân tán đất rồi sàng đất qua sàng cỡ mắt sàng 0,1 mm hoặc sàng số No170 của Mỹ, lỗ sàng 0,09 mm).

CHÚ THÍCH: Đường kính hạt theo bảng 1 được quy ước theo đường kính lỗ sàng thí nghiệm
4.2 Phân loại đất tổng quát
Dựa vào hàm lượng chất hữu cơ có trong đất, đất có trong tự nhiên được chia thành hai chủng loại sau:
4.2.1 Đất vô cơ
Có hàm lượng hữu cơ ít hơn 3 % khối lượng khô đối với đất hạt thô, hoặc ít hơn 5 % đối với đất hạt mịn.
Dựa vào hàm lượng của hạt nhỏ hơn 0,1 mm, đất vô cơ được phân thành hai nhóm chính:
a) Nhóm đất hạt thô: gồm các loại đất có hàm lượng của cỡ hạt nhỏ hơn 0,1 mm ít hơn 50 % khối lượng khô;
b) Nhóm đất hạt mịn: gồm các loại đất có hàm lượng của cỡ hạt nhỏ hơn 0,1 mm bằng hoặc nhiều hơn 50 % khối lượng khô.
CHÚ THÍCH: Đất được cho là nhiễm hữu cơ khi có từ 3 % đến dưới 10 % đối với đất hạt thô, 5 % đến dưới 10 % đối với đất hạt mịn.
4.2.2 Đất chứa hữu cơ
Có hàm lượng hữu cơ bằng hoặc lớn hơn 10 % khối lượng khô.
Dựa vào hàm lượng hữu cơ, đất chứa hữu cơ được chia thành hai nhóm chính:
a) Nhóm đất hữu cơ: gồm các loại đất có chứa hàm lượng hữu cơ từ 10 % đến 50 % khối lượng khô;
b) Nhóm than bùn: gồm các loại đất có hàm lượng hữu cơ bằng hoặc nhiều hơn 50 % khối lượng khô.
4.3 Phân loại đất chi tiết
4.3.1 Phân loại đất vô cơ
4.3.1.1 Phân loại nhóm đất hạt thô
Theo Bảng 2
1. Dựa vào hàm lượng loại hạt thô trong thành phần tạo đất, đất hạt thô được phân thành 4 phụ nhóm:
a) Phụ nhóm đất đá tảng: đất hạt thô có hàm lượng vật liệu cỡ lớn hơn 200 mm (đá tảng) chiếm 50 % hoặc lớn hơn khối lượng khô.
Dựa vào cấp phối hạt, thành phần hạt mịn và giới hạn chẩy của vật liệu lấp nhét (VLLN), phụ nhóm đất đá tảng được phân nhỏ thành các loại sau đây:
- Đất đá tảng sạch, cấp phối tốt (hoặc xấu): đất đá tảng có ít hơn 5% vật liệu hạt mịn (hạt nhỏ hơn 0,1 mm) và có cấp phối tốt (hoặc xấu) theo điểm 1 ghi chú ở Bảng 2;
- Đất đá tảng lẫn một ít hạt mịn, cấp phối tốt (hoặc xấu), VLLN có giới hạn chảy thấp (hoặc trung bình, cao, rất cao). Đất đá tảng có 5 % đến 15 % vật liệu hạt mịn, có cấp phối tốt (hoặc xấu) và VLLN có giới hạn chảy thấp (hoặc trung bình, cao, rất cao) theo điểm 2 ghi chú ở Bảng 2;
- Đất đá tảng chứa nhiều bụi, lẫn sét, VLLN có giới hạn chảy thấp (hoặc trung bình, cao, rất cao). Đất đá tảng có nhiều hơn 15 % vật liệu hạt mịn mà trong đó hàm lượng của hạt bụi nhiều hơn của hạt sét, và VLLN có giới hạn chảy thấp (hoặc trung bình, cao, rất cao);
- Đất đá tảng có chứa nhiều sét, lẫn bụi, VLLN có giới hạn chảy thấp (hoặc trung bình, cao, rất cao). Đất đá tảng có nhiều hơn 15 % vật liệu hạt mịn mà trong đó hàm lượng của hạt sét nhiều hơn của hạt bụi, và VLLN có giới hạn chảy thấp (hoặc trung bình, cao, rất cao).
b) Phụ nhóm đất cuội (hoặc dăm): đất hạt thô có hàm lượng vật liệu cỡ từ 60 mm đến 200 mm (cuội, dăm) chiếm bằng hoặc nhiều hơn 50 % khối lượng khô.
Theo phương pháp phân loại đất như đối với phụ nhóm đất đá tản, phụ nhóm đất cuội (hoặc dăm) được phân nhỏ thành các loại đất cuội (dăm) tương ứng:
- Đất cuội (hoặc dăm) sạch, cấp phối tốt (hoặc xấu): đất cuội (dăm) có ít hơn 5 % vật liệu mịn (hạt nhỏ hơn 0,1 mm) và có cấp phối tốt (hoặc xấu) theo điểm 1 ghi chú ở Bảng 2;
- Đất cuội (hoặc dăm) lẫn một ít hạt mịn, cấp phối tốt (hoặc xấu), VLLN có giới hạn chảy thấp (hoặc trung bình, cao, rất cao): đất cuội (dăm) có 5% đến 15% vật liệu hạt mịn, có cấp phối tốt (hoặc xấu) và VLLN có giới hạn chảy thấp (hoặc trung bình, cao, rất cao) theo điểm 2 ghi chú ở Bảng 2;
- Đất cuội (hoặc dăm) chứa nhiều bụi lẫn sét, VLLN có giới hạn chảy thấp (hoặc trung bình, cao, rất cao): Đất cuội (dăm) có nhiều hơn 15 % vật liệu hạt mịn mà trong đó hàm lượng hạt bụi nhiều hơn hạt sét, và VLLN có giới hạn chảy thấp (hoặc trung bình, cao, rất cao);
- Đất cuội (hoặc dăm) chứa nhiều sét lẫn bụi, VLLN có giới hạn chảy thấp (hoặc trung bình, cao, rất cao): đất cuội (dăm) có nhiều hơn 15 % vật liệu hạt mịn mà trong đó hàm lượng hạt sét nhiều hơn hạt bụi, và VLLN có giới hạn chảy thấp (hoặc trung bình, cao, rất cao).
c) Phụ nhóm đất sỏi (hoặc sạn): đất hạt thô có hàm lượng vật liệu cỡ từ 2 mm đến 60 mm (sỏi, sạn) được phân nhỏ thành các loại đất sỏi (hoặc sạn) tương ứng:
- Đất sỏi (hoặc sạn) sạch, cấp phối tốt (hoặc xấu): đất sỏi (hoặc sạn) có ít hơn 5 % vật liệu hạt mịn (hạt nhỏ hơn 0,1 mm) và có cấp phối tốt (hoặc xấu) theo điểm 1 ghi chú ở Bảng 2;
- Đất sỏi (hoặc sạn) lẫn một ít hạt mịn, cấp phối tốt (hoặc xấu), VLLN có giới hạn chảy thấp (hoặc trung bình, cao, rất cao): đất sỏi (hoặc sạn) có 5 % đến 15 % vật liệu hạt mịn, có cấp phối tốt (hoặc xấu) và VLLN có giới hạn chảy thấp (hoặc trung bình, cao, rất cao) theo điểm 2 ghi chú ở Bảng 2;
- Đất sỏi (hoặc sạn) chứa nhiều bụi, lẫn sét, VLLN có giới hạn chảy thấp (hoặc trung bình, cao, rất cao): đất sỏi (hoặc sạn) có hơn 15 % vật liệu hạt mịn, mà trong đó hàm lượng của hạt bụi nhiều hơn hàm lượng của hạt sét, và VLLN có giới hạn chảy thấp (hoặc trung bình, cao, rất cao);
- Đất sỏi (hoặc sạn) chứa nhiều sét, lẫn bụi, VLLN có giới hạn chảy thấp (hoặc trung bình, cao, rất cao): đất sỏi (hoặc sạn) có hơn 15 % vật liệu hạt mịn, mà trong đó hàm lượng của hạt sét nhiều hơn hàm lượng của hạt bụi, và VLLN có giới hạn chảy thấp (hoặc trung bình, cao, rất cao).
CHÚ THÍCH: Các phụ nhóm có thể được phân loại rõ thêm dựa vào một số đặc trưng sau đây:
1) Theo thang độ lớn của sỏi (hoặc sạn) ở Bảng 1 và theo hàm lượng công dồn của sỏi (hoặc sạn) từ cỡ to đến các cỡ nhỏ hơn, đất sỏi (hoặc sạn) các loại được xếp loại rõ thêm về độ lớn của thành phần cấu tạo như sau:
- Đất sỏi (hoặc sạn) hạt to: đất sỏi (hoặc sạn) có hàm lượng hạt lớn hơn 20 mm chiếm hơn 50 % khối lượng khô;
- Đất sỏi (hoặc sạn) hạt trung: đất sỏi (hoặc sạn) có hàm lượng hạt lớn hơn 5 mm chiếm hơn 50 % khối lượng khô;
- Đất sỏi (hoặc sạn) hạt nhỏ: đất sỏi (hoặc sạn) có hàm lượng hạt lớn hơn 2 mm chiếm hơn 50 % khối lượng khô;
2) Đối với các vật liệu sỏi (hoặc sạn), cuội (hoặc dăm) và đá tảng, cần được chỉ ra hoặc mô tả về thành phần thạch học và các đặc điểm về hình dạng, bề mặt, cấu trúc và độ cứng chắc hoặc mức độ phong hóa của chúng;
3) Đất đá tảng, đất cuội (hoặc dăm) và đất sỏi (hoặc sạn) được xếp loại là nhiễm muối hòa tan, nếu có tổng hàm lượng các muối hòa tan vừa và dễ hòa tan (Pm % theo khối lượng, ở Phụ lục A) quy định như sau:
- Pm ≥ 2 % đối với đất có VLLN là cát chiếm hàm lượng ít hơn 40 % hoặc là bụi và sét chiếm hàm lượng ít hơn 30 %;
- Pm ≥ 0,5 % đối với đất có VLLN là cát chiếm hàm lượng 40 % hoặc hơn;
- Pm ≥ 5 % đối với đất có VLLN là bụi và sét chiếm hàm lượng 30 % hoặc hơn;
4) Các đất đá tảng, đất cuội (dăm) và đát sỏi (sạn), đất cát và đất bụi, đất sét các loại, được xếp về mức độ ẩm dựa vào hệ số bão hoà nước (Sr, theo phụ lục A) như sau:
- Đất ít ẩm : 0< Sr ≤ 0,50;
- Đất ẩm vừa : 0,50 < Sr ≤ 0,85;
-Đất bão hòa nước : 0,85 < Sr ≤ 1.
d) Phụ nhóm đất cát: đất hạt thô có hàm lượng vật liệu cỡ từ 0,05 mm đến 2 mm chiếm bằng hoặc hơn 50 % khối lượng khô.
Theo phương pháp phân loại như đối với phụ nhóm đất đá tảng, phụ nhóm đất cát được phân nhỏ thành các loại đất cát tương ứng:
- Đất cát sạch, cấp phối tốt (hoặc xấu): đất cát có ít hơn 5 % vật liệu hạt mịn (hạt nhỏ hơn 0,1 mm) và có cấp phối tốt (hoặc xấu) theo điểm 1 ghi chú ở Bảng 2;
- Đất cát lẫn một ít hạt mịn, cấp phối tốt (hoặc xấu), vật liệu hạt nhỏ hơn 0,5 mm có giới hạn chảy thấp (hoặc trung bình, cao, rất cao): đất cát có 5 % đến 15 % vật liệu hạt mịn, có cấp phối tốt (hoặc xấu) và VLLN có giới hạn chảy thấp (hoặc trung bình, cao, rất cao) theo điểm 2 ghi chú ở Bảng 2;
- Đất cát chứa nhiều bụi lẫn sét vật liệu hạt nhỏ hơn 0,5 mm có giới hạn chảy thấp (hoặc trung bình, cao, rất cao): đất cát có hơn 15 % vật liệu hạt mịn mà trong đó hàm lượng của hạt bụi nhiều hoen của hạt sét, và VLLN có giới hạn chảy thấp (hoặc trung bình, cao, rất cao);
- Đất cát chứa nhiều sét lẫn bụi vật liệu hạt nhỏ hơn 0,5 mm có giới hạn chảy thấp (hoặc trung bình, cao, rất cao): đất cát có hơn 15 % vật liệu hạt mịn mà trong đó hàm lượng của hạt sét nhiều hơn của hạt bụi, và VLLN có giới hạn chảy thấp (hoặc trung bình, cao, rất cao).
CHÚ THÍCH: Phụ nhóm đất cát có thể được phân loại rõ thêm dựa vào một số đặc trưng sau đây:
1) Theo thang độ lớn của cát ở Bảng 1 và theo hàm lượng cộng dồn của cát từ cỡ lớn nhất đến các cỡ nhỏ hơn, đất cát các loại được xếp loại rõ thêm về độ lớn của thành phần cấu tạo như sau:
- Đất cát sỏi: Đất cát có hàm lượng hạt lớn hơn 2mm chiếm hơn 25% khối lượng khô;
- Đất cát hạt thô: Đất cát có hàm lượng hạt lớn hơn 0,5mm chiếm hơn 50% khối lượng khô;
- Đất cát hạt trung: Đất cát có hàm lượng hạt lớn hơn 0,25mm chiếm hơn 50% khối lượng khô;
- Đất cát hạt nhỏ: Đất cát có hàm lượng hạt lớn hơn 0,1mm chiếm hơn 75% khối lượng khô;
- Đất cát hạt mịn: Đất cát có hàm lượng hạt lớn hơn 0,1mm chiếm ít hơn 75% khối lượng khô.
2) Đất cát các loại được cho là nhiễm muối hòa tan (phụ lục A), nếu có tổng hàm lượng các muối hòa tan vừa và dễ tan chiếm bằng hoặc lớn hơn 0,5%.
3) Theo hệ số rỗng (e), đất cát được xếp loại về độ chặt như sau:
- Đối với đất cát sỏi, đất cát hạt thô và đất cát hạt trung:
+ Chặt: e ≤ 0,55
+ Chặt vừa: 0,55 < e ≤ 0,70
+ Kém chặt: e > 0,70
- Đối với đất cát hạt nhỏ:
+ Chặt: e ≤ 0,60
+ Chặt vừa: 0,60 < e ≤ 0,75
+ Kém chặt: e > 0,75
- Đối với đất cát hạt mịn:
+ Chặt: e ≤ 0,60
+ Chặt vừa: 0,60 < e ≤ 0,80
+ Kém chặt: e > 0,80
4) Đất được xếp loại là bùn đất cát, đối với đất cát chứa nhiều bụi lẫn sét và đất cát chứa nhiều sét lẫn bụi có chỉ số chảy IL > I và hệ số rỗng e > 0,9 (Phụ lục A).
2. Để ký hiệu tên đất, sử dụng cụm các chữ cái viết hoa tiếng Anh viết tắt (Bảng 3) theo thứ tự sau:
- Chữ cái đầu tiên, ký hiệu tên đất;
- Chữ cái thứ hai viết kề liền sau chữ cái thứ nhất, ký hiệu cấp phối hạt hoặc cấp của giới hạn chảy;
- Chữ cái thứ ba viết liền kề sau chữ cái thứ hai, ký hiệu thành phần phụ có nhiều (pha):
- Chữ cái thứ tư viết sau dấu gạch ngang (-) sau chữ cái thứ ba, ký hiệu thành phần thứ yếu có ít nhưng đáng kể (lẫn).
Ví dụ: G2W – F : đất sỏi hạt trung cấp phối tốt, lẫn ít hạt mịn.
S1HC – M: đất cát hạt mịn chứa nghiều sét (pha sét), lẫn bụi, giới hạn chảy cao;
S4LM – C: đất cát hạt thô, pha bụi, lẫn sét giới hạn chảy thấp v.v…
4.3.1.2 Phân loại nhóm đất hạt mịn
Theo Bảng 4
1. Dựa vào hàm lượng hạt sét có trong đất, nhóm đất hạt mịn được phân thành hai phụ nhóm sau:
a) Phụ nhóm đất bụi: gồm các loại đất hạt mịn có hàm lượng sét ít hơn 30 %, được phân thành đất bụi bình thường và đất bụi nặng dựa vào hàm lượng của hạt sét và hàm lượng của hạt thô:
- Đất bụi bình thường: đất bụi có hàm lượng hạt sét ít hơn 15 % và hàm lượng hạt thô (hạt lớn hơn 0,1 mm) bằng hoặc lớn hơn 30 %;
- Đất bụi nặng: đất bụi có hàm lượng hạt sét từ 15 % đến dưới 30 % và hàm lượng hạt thô ít hơn 30 %;
b) Phụ nhóm đất sét: gồm các loại đất hạt mịn có hàm lượng hạt sét bằng hoặc lớn hơn 30 %, được phân thành đất sét bình thường và đất sét nặng dựa vào hàm lượng của hạt sét và hàm lượng của hạt thô:
- Đất sét bình thường: đất sét có hàm lượng hạt sét từ 30 % đến 60 %, hàm lượng hạt thô bằng hoặc lớn hơn 30 %;
- Đất sét nặng: Đất sét có hàm lượng hạt sét bằng hoặc lớn hơn 60 % và hàm lượng hạt thô ít hơn 30 %.


2. Các loại đất bụi bình thường, đất bụi nặng, đất sét bình thường, đất sét nặng, được phân nhỏ thêm dựa vào tương quan giữa hàm lượng của sỏi (hoặc sạn) và của cát ở trong đất theo quy định sau:
a) Đất bụi bình thường và đất sét bình thường được xếp loại là pha sỏi , lẫn cát: Nếu trong số hơn 30 % hạt thô thì hàm lượng của sỏi (hoặc sạn) nhiều hơn cát; và ngược lại, là pha cát, lẫn sỏi (hoặc sạn) ;
b) Đất bụi nặng và đất sét nặng được xếp loại là lẫn sỏi (hoặc sạn): Nếu trong số 15 % đến dưới 30 % hạt thô thì hàm lượng của sỏi (hoặc sạn) nhiều hơn của cát; và ngược lại, là lẫn cát; Và là đất bụi nặng hoặc đất sét thuần túy, nếu đất đó có hàm lượng hạt thô ít hơn 15 %.
3. Có thể sử dụng giá trị của chỉ số dẻo IP để nhận biết các loại đất hạt mịn và đất cát pha sét khi chưa có tài liệu phân tích riêng thành phần hạt mịn (hạt nhỏ hơn 0,1 mm) như sau:
- Đất cát pha sét : 6 ≤ IP < 10 ;
- Đất bụi bình thường : 10 ≤ IP ≤ 15 ;
- Đất bụi nặng : 15 < IP ≤ 20 ;
- Đất sét bình thường : 20 < IP ≤ 25 ;
- Đất sét nặng : IP > 25.
4. Đất bụi các loại được xếp loại là bùn đất bụi: Nếu có độ sệt IL > 1 và hệ số rỗng e > 1;
Đất sét các loại được xếp loại là bùn đất sét : Nếu có độ sệt IL > 1 và hệ số rỗng e > 1,5;
CHÚ THÍCH:
1) Xếp loại về trạng thái của đất bụi và đất sét, dựa vào độ sệt (IL) của đất như sau:
- Đất trạng thái cứng : IL <0;
- Đất trạng thái nửa cứng : 0 ≤ IL ≤ 0,25;
- Đất trạng thái dẻo cứng : 0,25 < IL ≤ 0,50;
- Đất trạng thái dẻo mềm : 0,50 < IL ≤ 0,75;
- Đất trạng thái dẻo chảy : 0,75 < IL ≤ 1;
- Đất trạng thái chảy : IL > 1.
2) Đất bụi và đất sét các loại, được xếp loại là nhiễm muối: Nếu có tổng hàm lượng các muối hòa tan vừa và dễ tan Pm bằng hoặc lớn hơn 5 %.
3) Đất bụi nặng và đất sét nặng các loại, được xếp loại về tính trương nở dựa vào độ trương nở tương đối Dtr.n như sau:
- Đất không có tính trương nở : Dtr.n ≤ 0,04;
- Đất có tính trương nở yếu : 0,04 < Dtr.n ≤ 0,08;
- Đất có tính trương nở trung bình : 0,08 < Dtr.n ≤ 0,12;
- Đất có tính trương ở mạnh : Dtr.n > 0,12.
4) Đất bụi và đất sét các loại, được xếp loại về tính lún ướt dựa vào hệ số lún ướt tương đối am, như sau:
- Đất không có tính lún ướt : am < 0,01;
- Đất có tính lún ướt : am ≥ 0,01.

| WL,% | 35 50 70 | |||
| Tính dẻo của đất | Dẻo thấp (L) | Dẻo trung bình (I) | Dẻo cao (H) | Rất dẻo (V) |
3) Ký hiệu quy ước:
M1 - đất bụi bình thường; M2 - đất bụi nặng;
C1 - đất sét bình thường; C2 - đất sét nặng.
4.3.2 Phân loại đất chứa hữu cơ
Theo hàm lượng hữu cơ trong đất, đất chứa hữu cơ được chia thành hai nhóm chính sau:
4.3.2.1 Nhóm đất hữu cơ (còn được gọi là đất bị than bùn hóa, hoặc đất than bùn)
Gồm những đất hạt mịn và đất cát pha sét có chứa từ 10 % đến dưới 50 % chất hữu cơ.
Dựa vào hàm lượng chất hữu cơ, nhóm đất hữu cơ được chia thành 3 phụ nhóm:
- Đất có hàm lượng hữu cơ thấp: hàm lượng hữu cơ từ 10 % đến 25 %;
- Đất có hàm lượng hữu cơ trung bình: hàm lượng hữu cơ từ lớn hơn 25 % đến 40 %;
- Đất có hàm lượng hữu cơ cao: hàm lượng hữu cơ từ 40 % đến dưới 50 %.
4.3.2.2 Nhóm than bùn
Dựa vào độ phân hủy của vật chất hữu cơ Dhc, than bùn được phân thành 3 phụ nhóm sau:
- Than bùn có chất hữu cơ phân hủy thấp : Dhc ≤ 20%;
- Than bùn có chất hữu cơ phân hủy trung bình: 20 < Dhc ≤ 45%;
- Than bùn có chất hữu cơ phân hủy cao : Dhc > 45%.
CHÚ THÍCH: Đất chứa hữu cơ, thường là những trầm tích hồ, hồ-đầm lầy, đầm lầy, chủ yếu là các đất hạt mịn hoặc đất cát pha sét có chứa di tích động-thực vật đã phân hủy ở di tích động-thư mức độ khác nhau. Các di tích thực vật và các vi sinh vật hiếm khí đã bị phân hủy hoàn toàn làm cho đất có đặc trưng rất dễ nhận biết, đó là: đất khi ẩm có mùi hôi và có mầu xám nâu đen, xám xanh đen, xám đen; các di tích thực vật chưa bị phân hủy hoàn toàn thì có cấu trúc dạng sợi hoặc xơ xốp.
Bạn chưa Đăng nhập thành viên.
Đây là tiện ích dành cho tài khoản thành viên. Vui lòng Đăng nhập để xem chi tiết. Nếu chưa có tài khoản, vui lòng Đăng ký tại đây!