- Tổng quan
- Nội dung
- Tiêu chuẩn liên quan
- Lược đồ
- Tải về
Tiêu chuẩn TCVN 14288:2024 Bản đồ ngập lụt - Yêu cầu kỹ thuật
| Số hiệu: | TCVN 14288:2024 | Loại văn bản: | Tiêu chuẩn Việt Nam |
| Cơ quan ban hành: | Bộ Khoa học và Công nghệ | Lĩnh vực: | Tài nguyên-Môi trường , Nông nghiệp-Lâm nghiệp |
| Trích yếu: | Bản đồ ngập lụt - Yêu cầu kỹ thuật | ||
|
Ngày ban hành:
Ngày ban hành là ngày, tháng, năm văn bản được thông qua hoặc ký ban hành.
|
31/12/2024 |
Hiệu lực:
|
Đã biết
|
| Người ký: | Đang cập nhật |
Tình trạng hiệu lực:
Cho biết trạng thái hiệu lực của văn bản đang tra cứu: Chưa áp dụng, Còn hiệu lực, Hết hiệu lực, Hết hiệu lực 1 phần; Đã sửa đổi, Đính chính hay Không còn phù hợp,...
|
Đã biết
|
TÓM TẮT TIÊU CHUẨN VIỆT NAM TCVN 14288:2024
Tiêu chuẩn quốc gia TCVN 14288:2024 về Bản đồ ngập lụt - Yêu cầu kỹ thuật
Ngày 31/12/2024, Tổng cục Tiêu chuẩn Đo lường Chất lượng đã công bố Tiêu chuẩn quốc gia TCVN 14288:2024 về Bản đồ ngập lụt - Yêu cầu kỹ thuật, do Trường Đại học Thủy lợi biên soạn và Bộ Nông nghiệp và Phát triển Nông thôn đề nghị. Văn bản này có hiệu lực từ ngày 01/01/2025.
Tiêu chuẩn này áp dụng cho việc xây dựng bản đồ ngập lụt vùng hạ du các công trình đập, hồ chứa nước, từ công trình cấp đặc biệt đến cấp II. Ngoài ra, nó cũng được dùng tham khảo để lập bản đồ ngập lụt cho các công trình cấp III, IV và các đối tượng khác như lưu vực sông và tình trạng ngập lụt do mưa, lũ, thủy triều.
Phạm vi xây dựng bản đồ ngập lụt
Tiêu chuẩn quy định về các yêu cầu kỹ thuật trong việc lập bản đồ ngập lụt, bao gồm việc xác định lưu lượng xả lũ, các kịch bản xả lũ và vỡ đập, cũng như dữ liệu và thông tin kỹ thuật cần thiết để xây dựng bản đồ.
Yêu cầu về dữ liệu và phương pháp lập bản đồ
Bản đồ ngập lụt phải sử dụng bản đồ nền có độ tin cậy cao và cập nhật thông tin chính xác về địa lý, hiện trạng dân cư, hạ tầng, và công trình cơ sở. Đặc biệt, phải thu thập các tài liệu thủy văn, khí tượng để tính toán các kịch bản lũ, hóa giải sự cố vỡ đập và tính toán lưu lượng nước từ các hồ chứa.
Có hai phương pháp để xây dựng bản đồ ngập lụt: phương pháp truyền thống, dựa vào khảo sát thực địa và điều tra lũ lịch sử, và phương pháp hiện đại, sử dụng mô hình thủy lực để mô phỏng các kịch bản lũ.
Các kịch bản xả lũ và vỡ đập
Tiêu chuẩn yêu cầu các kịch bản xả lũ và vỡ đập cần được phân tích với nhiều tình huống, từ xả lũ bình thường tới các tình huống khẩn cấp, bao gồm cả vỡ đập do sự cố không liên quan đến mưa lũ. Mỗi kịch bản cần tính toán cụ thể về quy mô vết vỡ và các thông số liên quan.
Yêu cầu về bản đồ ngập lụt
Bản đồ ngập lụt cần thể hiện rõ ràng phạm vi và mức độ ngập do các kịch bản xả lũ, có độ tin cậy cao và thể hiện chính xác các thông tin cần thiết bao gồm ranh giới hành chính và các công trình quan trọng. Cần rà soát và cập nhật lại bản đồ sau mỗi 5 đến 10 năm để đảm bảo tính chính xác.
Tiêu chuẩn này sẽ góp phần quan trọng trong quản lý rủi ro ngập lụt, bảo vệ an toàn cho người dân và cơ sở hạ tầng trong vùng chịu ảnh hưởng từ các công trình thủy lợi.
Tải tiêu chuẩn Việt Nam TCVN 14288:2024
TIÊU CHUẨN QUỐC GIA
TCVN 14288:2024
BẢN ĐỒ NGẬP LỤT - YÊU CẦU KỸ THUẬT
Inundation Map - Technical Requirements
Lời nói đầu
TCVN 14288: 2024 do Trường Đại học Thủy lợi biên soạn, Bộ Nông nghiệp và Phát triển Nông thôn đề nghị, Tổng cục Tiêu chuẩn Đo lường Chất lượng thẩm định, Bộ Khoa học và Công nghệ công bố.
BẢN ĐỒ NGẬP LỤT - YÊU CẦU KỸ THUẬT
Inundation Map - Technical Requirements
1 Phạm vi áp dụng
1.1 Tiêu chuẩn này quy định các yêu cầu xây dựng bản đồ ngập lụt vùng hạ du các các công trình đập, hồ chứa nước đối với công trình hồ chứa nước cấp đặc biệt, cấp I và cấp II.
1.2 Tiêu chuẩn này được tham khảo, vận dụng để xây dựng bản đồ ngập lụt từ kết quả điều tra thực địa về thủy văn và điều tra lũ lịch sử cho các công trình đập, hồ chứa nước cấp III và cấp IV và cho các đối tượng khác như: lưu vực sông; hệ thống tưới, tiêu; ngập lụt do mưa, lũ, thủy triều và các trường hợp vận hành công trình.
2 Tài liệu viện dẫn
Các tài liệu viện dẫn sau đây rất cần thiết cho việc áp dụng tiêu chuẩn này. Đối với các tài liệu viện dẫn ghi năm công bố thì áp dụng phiên bản được nêu. Đối với tài liệu viện dẫn không ghi năm công bố thì áp dụng phiên bản mới nhất, bao gồm cả các sửa đổi, bổ sung (nếu có):
- TCVN 4118, Công trình thủy lợi: Hệ thống dẫn, chuyển nước - Yêu cầu thiết kế;
- TCVN 8478, Công trình thủy lợi - Yêu cầu về thành phần, khối lượng khảo sát địa hình trong các giai đoạn lập dự án và thiết kế;
- TCVN 13615, Tính toán các đặc trưng thủy văn thiết kế.
3 Thuật ngữ và định nghĩa
Trong tiêu chuẩn này sử dụng các thuật ngữ và định nghĩa sau:
3.1
Đập (Dam):
Công trình dâng nước hoặc cùng các công trình có liên quan tạo hồ chứa nước.
3.2
Hồ chứa nước (Reservoir)
Công trình được hình thành bởi đập dâng nước và các công trình có liên quan để tích trữ nước, có nhiệm vụ chính là điều tiết dòng chảy, cắt, giảm lũ, cung cấp nước cho sản xuất nông nghiệp, công nghiệp, sinh hoạt, phát điện và cải thiện môi trường; bao gồm hồ chứa thủy lợi và hồ chứa thủy điện.
3.3
Xả lũ (Flood release)
Tình huống tháo nước từ hồ chứa nhằm đảm bảo an toàn công trình xảy ra trong các trường hợp: xả lũ trong tình huống bình thường (theo quy trình vận hành) nhưng gây ra ngập lụt vùng hạ du hồ chứa, xả lũ.trong tình huống khẩn cấp, lũ do vỡ đập.
3.4
Tình huống khẩn cấp (Emergency)
Trường hợp mưa, lũ vượt tần suất thiết kế; động đất vượt tiêu chuẩn thiết kế trên lưu vực hồ chứa nước hoặc tác động khác gây mất an toàn cho công trình.
3.5
Vỡ đập (Dam failure)
Tình huống do một vết vỡ hình thành và phát triển gây ra sự cố vỡ đập.
3.6
Vùng hạ du (Downstream)
Vùng bị ngập lụt khi hồ xả nước theo quy trình; xả lũ trong tình huống khẩn cấp hoặc vỡ đập.
3.7
Bản đồ chuyên đề (Thematic map)
Bản đồ thể hiện các dữ liệu thực đo hoặc dữ liệu được trích xuất từ các mô hình tính toán.
3.8
Bản đồ nền (Base map)
Bản đồ địa hình bao gồm các nhóm lớp dữ liệu: biên giới quốc gia, địa giới hành chính, dân cư, địa hình, giao thông, phủ thực vật, thủy văn.
3.9
Bản đồ ngập lụt (Inundation map)
Bản đồ thể hiện phạm vi và mức độ ngập của vùng hạ du công trình thủy lợi do xả lũ.
4 Các kịch bản xả lũ và vỡ đập
4.1 Khi phân tích, lựa chọn các kịch bản xả lũ và vỡ đập để tính toán thủy lực dòng chảy và xây dựng bản đồ ngập lụt vùng hạ du công trình đập, hồ chứa nước cần căn cứ vào đặc điểm của công trình, mạng lưới sông, đặc điểm địa hình, mức độ quan trọng của công trình đầu mối và của vùng hạ du.
4.2 Các kịch bản xả lũ, vỡ đập cần được xây dựng, bao gồm:
4.2.1 Xả lũ thiết kế.
4.2.2 Xả lũ trong tình huống khẩn cấp: các cấp lũ vượt tần suất thiết kế và các cấp lũ gây mất an toàn công trình.
4.2.3 Xả lũ do vỡ đập. Vỡ đập xảy ra khi không có mưa lũ nhưng có sự cố công trình (vỡ đập không liên quan đến thủy văn) hoặc vỡ đập khi có mưa lũ (vỡ đập liên quan đến thủy văn).
4.2.4 Vỡ đập không liên quan đến thủy văn: Khi đưa ra các kịch bản tính toán cần dựa vào mực nước hồ ban đầu trong hồ là mực nước dâng bình thường và dòng chảy đến hồ chứa nước là dòng chảy trung bình nhiều năm.
4.2.5 Vỡ đập liên quan đến thủy văn: tần suất dòng chảy lũ đến hồ chứa nước quy định trong Bảng 1.
4.2.6 Thông số hình dạng vết vỡ
4.2.6.1 Cần phân tích các dạng vỡ đập tiềm năng và mô tả các dạng vỡ tiềm năng. Các thông số của vết vỡ cần được phân tích xác định phù hợp với kết cấu đập.
4.2.6.2 Các thông số hình dạng vỡ đập gồm chiều rộng vết vỡ, chiều sâu vết vỡ, quá trình phát triển mặt cắt của vết vỡ, mặt cắt tới hạn (hoàn chỉnh) của quá trình vỡ đập (quy định tại Phụ lục A).
Bảng 1 - Tần suất dòng chảy lũ đến hồ chứa khi tính toán vỡ đập do sự cố thủy văn
| Cấp công trình theo quy định hiện hành | Tần suất dòng chảy lũ đến hồ chứa | Kiểu vỡ |
| Cấp đặc biệt Cấp I Cấp II | Lũ cực hạn (PMF). Đối với hồ chưa xác định được lũ PMF thì tần suất dòng chảy lũ để tính toán vỡ đập do sự cố thủy văn sẽ được chọn tương ứng với công trình cao hơn 1 cấp. (Ví dụ: nếu là công trình cấp II thì tần suất dòng chảy lũ đến hồ chứa chọn tương ứng theo công trình cấp I). | Xói ngầm; nước tràn đỉnh |
4.2.6.3 Vỡ đập bê tông có hai dạng vỡ sau:
- Vỡ phần đập không tràn: vỡ một khoang (hoặc một số khoang đập dọc theo khe nhiệt).
- Gối đỡ cửa van, cửa van bị vỡ.
Cần xem xét các kịch bản về số khoang bị vỡ, hạn chế xem xét trường hợp vỡ do xói ngầm.
4.2.6.4 Đối với đập đất: cần xem xét quá trình phát triển mặt cắt của vết vỡ bởi nước tràn đỉnh, hoặc do xói ngầm trong thân đập gây ra, theo tỷ lệ mặt cắt đập.
4.2.7 Mỗi kịch bản xả lũ chỉ được tổ hợp tối đa với một biến cố như kẹt cửa van, bồi lấp kênh dẫn vào tràn, tràn sự cố không làm việc.
4.2.8 Hệ thống hồ chứa bậc thang: cần tính toán điều tiết hệ thống với cùng điều kiện thủy văn (cùng tần suất). Khi vỡ hồ chứa nước tại bậc thang trên cần đánh giá khả năng điều tiết của hồ chứa nước tại bậc thang dưới với cùng kịch bản về mưa và lũ, xem xét khả năng gây ra vỡ đập liên hoàn do nước tràn đỉnh để quyết định tính toán vỡ hay không vỡ đập liên hoàn.
4.2.9 Đối với hệ thống đập, hồ chứa nước dạng nhánh trên một lưu vực (Hình 1), cần tính toán vỡ đập riêng cho từng đập, hoặc tổ hợp nhiều đập bị vỡ khi điều kiện mưa lũ lớn hơn lũ kiểm tra nhỏ nhất của hồ trong hệ thống.

Hình 1 - Sơ đồ lưu vực có nhiều hồ chứa
5 Yêu cầu về dữ liệu phục vụ lập bản đồ
5.1 Trường hợp lập bản đồ bằng các phương pháp và công cụ khác nhau thì mức độ yêu cầu về dữ liệu phục vụ lập bản đồ cũng khác nhau (xem Bảng 2).
5.2 Bản đồ địa hình nền là bản đồ địa hình số, ở các định dạng khác nhau được sử dụng tính toán xây dựng bản đồ ngập lụt có tỷ lệ từ 1:10.000 đến 1:2.000. Bản đồ nền phải có nguồn gốc rõ ràng, đảm bảo độ tin cậy và được điều chỉnh về cùng hệ tọa độ và cao độ Quốc gia. Khi không có bản đồ tỷ lệ 1:10.000 thì dùng bản đồ tỷ lệ nhỏ hơn đến 1:25.000, hoặc sử dụng DEM có nguồn gốc. Bản đồ nền sử dụng để tính toán ngập lụt theo quy định TCVN 8478.
5.3 Tài liệu mặt cắt dọc, cắt ngang lòng dẫn hệ thống sông
5.3.1 Kế thừa các tài liệu đã có để tạo thành hệ thống tài liệu hoàn chỉnh và nhất quán.
Bảng 2 - Yêu cầu về dữ liệu
| STT | Phương pháp lập bàn đổ ngập lụt | Các loại dữ liệu | ||||
| Bản đồ địa hình nền | Khí tượng thủy văn | Mặt cắt sông | Vết lũ | Các tài liệu liên quan đến công trình | ||
| 1 | Phương pháp truyền thống | x |
|
| x |
|
| 2 | Phương pháp hiện đại: Mô hình thủy lực (1D có bãi tràn, 1D kết hợp 2D) | x | x | x | x | x |
5.3.2 Khi chưa có tài liệu mặt cắt ngang hệ thống sông thì cần thực hiện khảo sát địa hình. Mật độ phụ thuộc vào độ dốc bình quân của đoạn sông và đặc điểm địa hình lòng dẫn. Khảo sát địa hình đến sông nhánh cấp I và sông nhánh cấp II có diện tích tiểu lưu vực lớn hơn diện tích trung bình của các tiểu lưu vực sông nhánh cấp I, đồng thời cần tuân thủ quy định tại TCVN 8478. Việc bố trí mặt cắt đo cần đảm bảo thể hiện được các biến đổi địa hình lòng dẫn nhằm mô phỏng đúng khả năng truyền tải nước của hệ thống sông. Các tài liệu khảo sát cần được chuẩn hóa và thuận lợi khi chuyển đổi về định dạng XYZ. Khoảng cách tối đa với sông miền núi là 500 m/mặt cắt, sông đồng bằng là 1000 m/mặt cắt.
5.3.3 Khi sử dụng mô hình 2 chiều để xây dựng bản đồ ngập lụt cần thu thập hoặc khảo sát bình đồ bãi sông có tỷ lệ từ 1:1000 đến 1:5000.
5.3.4 Các tài liệu địa hình sử dụng để tính toán mô hình thủy lực, đặc biệt là mặt cắt sông không được sử dụng tài liệu đã được đo đạc quá 10 năm hoặc lớn hơn thời gian rà soát và xây dựng lại bản đồ ngập lụt quy định tại 10.5.
5.4 Các tài liệu khí tượng thủy văn:
5.4.1 Tài liệu khí tượng và tài liệu thủy văn được thu thập theo quy định như khi thiết kế công trình ở giai đoạn nghiên cứu khả thi.
5.4.2 Tài liệu lũ (thiết kế, kiểm tra) đã được tính toán thủy văn, điều tiết lũ hồ chứa trong quá trình thiết kế, sửa chữa nâng cấp hoặc kiểm định tại thời điểm gần nhất. Trong trường hợp số liệu đã quá 10 năm, hoặc tài liệu đã có chưa bao gồm trận lũ lớn gần thời điểm tính toán thì cần tính toán lại các đặc trưng này.
5.4.3 Đối với hệ thống sông có vùng hạ du chịu ảnh hưởng bởi thủy triều thì cần thu thập tài liệu thủy văn vùng triều, bao gồm cả mực nước triều và mực nước dâng do bão.
5.5 Thu thập thông tin các trận lũ lịch sử thông qua điều tra vết lũ bao gồm tọa độ, mực nước, độ sâu ngập, và thời gian ngập của trận lũ (nếu có), không ảnh, ảnh vệ tinh chụp thời điểm có lũ. Với trận lũ lớn đã xảy ra gần nhất nếu chưa có số liệu vết lũ cần tiến hành đo đạc, khảo sát vết lũ.
5.6 Các tài liệu liên quan đến hồ chứa gồm tài liệu thiết kế, tài liệu kiểm định an toàn hồ đập và quy trình vận hành hồ chứa nước và các công trình tháo lũ.
5.7 Các tài liệu địa hình và quy mô các công trình cản lũ như: các công trình trên dòng chính ở hạ du, các tuyến càn lũ như đường giao thông (đường cao tốc, quốc lộ, tỉnh lộ, đường huyện, đường sắt), công trình đê điều, bờ kênh, các công trình thoát nước dọc tuyến, v.v... cần được thu thập hoặc đo đạc khảo sát cao độ đỉnh và quy mô cống thoát nước dưới tuyến...
5.8 Theo mức độ quan trọng của vùng hạ du, cần thu thập thêm các tài liệu về dân sinh, kinh tế, xã hội khu vực.
6 Các yếu tố cần xác định trong tính toán xả lũ và vỡ đập
6.1 Cần xác định các kịch bản qui mô vết vỡ đối với đập vật liệu địa phương và đập bê tông gồm các thông số giới hạn mặt cắt vỡ tối đa.
6.2 Đối với từng kịch bản xả lũ, cần xây dựng đường quá trình lưu lượng xả lũ, xác định lưu lượng xả lũ lớn nhất, thông qua tính toán điều tiết lũ hồ chứa.
6.3 Tính toán vỡ đập được thực hiện dựa trên các thông số của vết vỡ để xác định lưu lượng lớn nhất và đường quá trình lưu lượng theo thời gian. Quá trình lưu lượng vỡ đập được tính toán trực tiếp từ mô hình thủy lực. Khi tính toán bằng giải tích, cằn tham khảo phương pháp tính toán lưu lượng vỡ đập tại Phụ lục A.
6.4 Lưu lượng lũ (do xả lũ, vỡ đập) được sử dụng làm điều kiện biên trên cho các mô hình thủy lực tại các Điều 7, 8, 9.
7 Quy định chung về thiết lập và áp dụng mô hình thủy văn- thủy lực
7.1 Mô hình thủy văn:
7.1.1 Mô hình thủy văn được thiết lập đề tính toán các biên lưu lượng dòng chảy tử mưa, bao gồm biên trên, biên nhập lưu khu giữa. Mô hình thủy văn là mô hình toán thủy văn hoặc mô hình tính theo phương pháp cường độ giới hạn.
7.1.2 Với một lưu vực sông, cần xác định các sông chính, sông nhánh, vị trí các trạm đo (hoặc điểm khống chế) về lưu lượng, mực nước, vị trí công trình trên hệ thống sông, vùng ảnh hưởng.
7.1.3 Dựa vào bản đồ địa hình, vị trí lưới trạm khí tượng thủy văn để phân chia các tiểu lưu vực, xác định các trọng số mưa cho từng tiểu lưu vực. Thiết lập mô hình mưa - dòng chảy cho từng tiểu lưu vực.
7.1.4 Đánh giá sai số của mô hình được quy định tại Phụ lục C.
7.1.5 Tính toán, mô phỏng dòng chảy, xác định biên trên và biên gia nhập khu giữa cho mô hình thủy văn theo các kịch bản về tần suất mưa và các trận mưa thực tế đã xảy ra.
7.1.6 Đối với các hồ chứa áp dụng tính toán dòng chảy lũ theo quy định tại TCVN 13615.
7.2 Mô hình thủy lực
7.2.1 Sử dụng mô hình thủy lực 1 chiều (1D) để mô phỏng dòng chảy dọc theo hệ thống sông kênh, áp dụng cho đoạn sông vùng miền núi, địa hình lòng sông tương đối dốc, hai bên bờ là vách núi. Mô hình thủy lực 1 chiều (1D) có bãi tràn được áp dụng để mô phỏng dòng chảy tràn trên bãi.
7.2.2 Sử dụng mô hình thủy lực 2 chiều (2D) kết nối với mô hình thủy lực 1 chiều (1D) áp dụng cho vùng đồng bằng có dòng chảy trên vùng tràn lũ.
7.2.3 Miền tính toán (domain) phải bao trùm toàn bộ vùng hạ du (vùng chịu ảnh hưởng do xả lũ và vỡ đập), với lưu vực sông nhỏ ở ven biển cần tính toán đến biên cửa biển.
7.2.4 Giới hạn trên của mô hình: Phạm vi tính toán phía trên của miền tính toán là hạ du đập, hoặc khi mô phỏng cả hồ chứa thì hết phạm vi mực nước lũ lớn nhất của hồ.
7.2.5 Giới hạn dưới của mô hình: Phạm vi phía dưới của mô hình thủy lực tại nơi có trạm đo mực nước, hoặc tại nơi dòng chảy đổ vào hồ chứa, sông, biển. Khi không có trạm đo thì biên hạ du cần được chọn đủ xa về phía hạ du để đảm bảo các điều kiện thủy lực không ảnh hưởng đến kết quả mô hình.
7.2.6 Giới hạn ngang của mô hình là vùng mà bị ngập lụt với kịch bản lớn nhất có thể xảy ra. sử dụng công thức dòng đều (Sezi-Manin) để tính toán độ sâu dòng chảy và ước lượng cao trình ảnh hưởng để xác định phạm vi chiều ngang của mô hình; hoặc dựa vào cao độ bờ sông để xác định vùng tính toán, với sông miền núi và trung du lấy đến vùng có cao độ lớn hơn 10 m; sông vùng đồng bằng 2 m đến 4 m với sông có đê lấp hết vùng cao độ cao hơn đỉnh đê 2 m.
7.2.7 Hiệu chỉnh hệ số ma sát đáy (hệ số nhám) của lòng dẫn và vùng ngập lụt. Giá trị sơ bộ ban đầu của hệ số nhám được chọn theo TCVN 4118.
7.2.8 Hiệu chỉnh và kiểm định mô hình
7.2.8.1 Mô hình thủy lực cần phải được hiệu chỉnh và kiểm định với quá trình mực nước, lưu lượng, vết lũ để xác định bộ thông số chuẩn cho mô hình trước khi tính toán các phương án, kịch bản. Mỗi triển sông cần có tối thiểu 1 điểm hiệu chỉnh hoặc kiểm định, tổng số lượng điểm kiểm định, hiệu chỉnh không nhỏ hơn 5 điểm đến 10 điềm tùy diện tích vùng tính toán.
7.2.8.2 Đối với lưu vực nhỏ không có tài liệu thực đo thì sử dụng tài liệu vết lũ, ảnh viễn thám để kiểm định mô hình.
7.2.8.3 Đánh giá sai số của mô hình được quy định tại Phụ lục C.
7.2.8.4 Đánh giá độ tin cậy và độ chính xác của kết quả tính toán.
7.2.9 Dữ liệu trích xuất từ các phương pháp sử dụng khi lập bản đồ được quy định tại Bảng 3.
8 Quy định về xây dựng mô hình thủy lực một chiều có bãi tràn
8.1 Sử dụng bản đồ hệ thống sông, ảnh vệ tinh với phạm vi bao trùm toàn bộ vùng hạ du (vùng chịu ảnh hưởng do xả lũ và vỡ đập) làm bản đồ nền để số hóa các sông nhánh tính toán.
Bảng 3 - Thông số trích xuất ứng với từng phương pháp áp dụng
| Thông số trích xuất | Phương pháp truyền thống | Phương pháp hiện đại | |
| Mô hình 1D có bãi tràn | Mô hình 2D, Mô hình 1D kết hợp 2D | ||
| Diện tích ngập lớn nhất và theo thời gian | x | x | x |
| Độ sâu và mực nước dòng chảy lũ lớn nhất và theo thời gian | x | x | x |
| Vận tốc dòng chảy lớn nhất và theo thời gian |
|
| x |
| Cường độ lũ (độ sâu × vận tốc) tối đa và theo thời gian |
|
| x |
| Thời gian bắt đầu khi lũ đến (đối với sự cố do vỡ đập) |
| x | x |
| Thời gian đỉnh lũ (đối với sự cố do vỡ đập) |
| x | x |
8.2 Cần số hóa các điểm nút, các đoạn sông chính, đoạn sông nhánh, kết nối các sông nhánh tạo thành hệ thống mạng sông. Khi số hóa cần theo quy định, thông thường theo chiều dòng chảy, khoảng cách tối đa giữa các điểm tính toán, cần đưa vào mô hình sông chính, sông nhánh cấp I và các sông cấp II có ảnh hưởng theo quy định tại 5.3.2.
8.3 Thiết lập tài liệu địa hình và cập nhật số liệu mặt cắt ngang vào hệ thống mạng sông: Chuyển đổi số liệu khoảng cách - cao độ từ dạng số liệu địa hình cơ bản sang định dạng của mô hình; xác định tọa độ theo chiều dòng chảy của mặt cắt sông; xác định giới hạn mặt cắt đối với sông đồng bằng hoặc đê là hai bờ sông, bờ đê; phân định phần lòng sông (dòng chủ) và vùng thềm bãi hai bên lòng sông; định hệ số nhám của phần lòng sông và bãi sông phù hợp với đặc điểm địa hình, thảm phủ. Khi thiết lập mặt cắt ngang cần gán chỉ số (ID) theo thứ tự mặt cắt từ thường lưu xuống hạ du của đoạn sông và gán theo tên đoạn sông trên mô hình, và ghi chú tên mặt cắt sông.
8.4 Thiết lập các công trình trên hệ thống sông gồm các đập dâng, đập tràn, cầu có trụ pin, v.v...: bao gồm vị trí (tọa độ); loại công trình; các thông số kỹ thuật của công trình, thiết lập các hệ số (hệ số co hẹp, hệ số mở rộng, hệ số lưu lượng, v.v...) cho từng công trình trên dòng chính.
8.5 Khi tính toán dòng chảy trên vùng ngập lũ hoặc thiết lập bản đồ ngập lụt phải xây dựng mô hình cao độ số (DEM) với độ phân giải phù hợp, thường từ 20 m đến 100 m.
8.6 Khi tính toán dòng chảy trên vùng ngập lũ bằng mô hình 2 chiều: cần phân chia vùng ngập lũ thành các ô chứa lũ được phân cách theo địa hình tự nhiên, các tuyến đường, tuyến kênh. Tính toán diện tích cao trình ô chứa tử mô hình cao độ số; thiết lập ô chứa; kết nối ô chứa với sông chính. Thiết lập liên kết các ô chứa với sông chính bởi các sông nhánh giả thể hiện đặc điểm trao đổi nước giữa sông chính và ô chứa bởi các hình thức đập tràn (tràn bờ với ô chứa hở), hoặc qua cống (với ô chứa kín), hoặc cả hai liên kết này.
8.7 Thiết lập bộ thông số hệ số nhám của lòng dẫn như được quy định tại 7.2.7. Các giá trị này cần được chính xác hóa sau khi mô hình được hiệu chỉnh và kiểm định.
8.8 Thiết lập các điều kiện biên
8.8.1 Điều kiện biên cần được thiết lập theo chuỗi số liệu thời gian của các yếu tố như mực nước, lưu lượng.
8.8.2 Tại các biên thượng lưu (biên trên) ưu tiên dùng biên lưu lượng, biên quan hệ Q-H, hoặc sử dụng biên mực nước hoặc biên đóng (CLOSE - khi kết với mô hình mưa dòng chảy).
8.8.3 Tại các biên hạ du ưu tiên dùng quá trình mực nước, quan hệ Q-H. Khi không có mực nước sử dụng chiều sâu dòng đều hoặc các loại biên khác tùy theo phần mềm sử dụng.
8.8.4 Biên gia nhập khu giữa:
8.8.4.1 Biên gia nhập khu giữa được tính toán xác định là quá trình lưu lượng từ mưa, được tính toán theo diện tích hứng mưa của khu giữa từ mô hình mưa dòng chảy, được gán vào nút nhận nước của sông chính. Với vùng có đê thì gắn vào cống dưới đê.
8.8.4.2 Đối với khu giữa thuộc các vùng đồng bằng, cần hoặc dựa vào bản đồ phân vùng tiêu thoát lũ, bản đồ hệ thống sông để xác định diện tích hứng mưa của mỗi biên khu giữa và vị trí gia nhập của dòng chảy khu giữa . Với sông có bờ cần phân rõ biên nhập lưu bờ trái và biên nhập lưu bờ phải.
8.9 Trước khi bắt đầu tính toán cần thiết lập điều kiện ban đầu gồm các giá trị ban đầu của mực nước, lưu lượng, vận tốc... trên toàn miền tính toán. Từ lần tính toán sau nên sử dụng kỹ thuật Host-Start của các phần mềm tính toán để lấy điều kiện đầu cho mô hình.
8.10 Cần tiến hành hiệu chỉnh và kiểm định mô hình, đánh giá sai số của mô hình được quy định tại Phụ lục C.
8.11 Khi tính toán mô phỏng các kịch bản xả lũ cần giữ nguyên bộ thông số đã được hiệu chỉnh và kiểm định.
8.12 Các kết quả chính của công tác tính toán thủy lực một chiều mạng sông cần trích xuất bao gồm:
8.12.1 Đường quá trình của các dữ liệu cần trích xuất tại các mặt cắt điển hình như tại các trạm thủy văn, các điểm khống chế, các cầu, cống điển hình trên hệ thống.
8.12.2 Đường mặt nước lớn nhất.
8.12.3 Các bảng biểu thể hiện mực nước, lưu lượng lớn nhất tại các mặt cắt điển hình.
8.12.4 Báo cáo chuyên đề thủy lực 1D gồm các nội dung xây dựng và thiết lập mô hlnh; hiệu chỉnh và kiểm định mô hình; kết quả và phân tích.
9 Quy định về xây dựng mô hình thủy lực hai chiều (2D) và mô hình một chiều (1D) kết hợp 2D
9.1 Xây dựng lưới địa hình hai chiều (bathymetry):
9.1.1 Cần sử dụng bản đồ nền bao trùm toàn bộ vùng hạ du (vùng chịu ảnh hưởng do xả lũ và vỡ đập), và nhập (import) bản đồ này vào phần mềm tính toán đang sử dụng.
9.1.2 Tạo lưới địa hình hai chiều (mesh) cho toàn miền tính. Lưới mesh là các lưới ô chữ nhật (grid) hoặc các lưới phi cấu trúc. Kích thước ô lưới được chọn sao cho hệ số Courant (Cr) nằm trong phạm vi cho phép để đảm bảo sự ổn định của mô hình sử dụng, kích thước lưới cần tính toán có chiều dài 1 cạnh phù hợp với quy định về mật độ điểm chi tiết của bản đồ cần đạt được.
9.1.3 Khi kết hợp mô hình 1 chiều và 2 chiều, lưới 2 chiều cần được loại bỏ phần lòng dẫn, hoặc gán không có dòng chảy trong vùng lòng dẫn sông đã được mô phỏng một chiều.
9.1.4 Khi chỉ tính toán trên mô hình 2 chiều phần lòng dẫn chính cần có lưới đủ mịn để thể hiện chính xác đáy địa hình lòng sông, trên chiều rộng lòng dẫn cần tối thiểu 5 điểm tính toán.
9.2 Thiết lập bộ thông số hệ số nhám của miền hai chiều, cần được chia thành các vùng có độ nhám khác nhau như: lòng dẫn, bãi sông, Khu dân cư, công nghiệp; rừng ngập nước, khu đồng ruộng. Các giá trị này cần được chính xác hóa sau khi mô hình được hiệu chỉnh và kiểm định.
9.3 Thiết lập và mô phỏng các công trình: khi trong miền tính toán có các công trình hạ tầng hoặc các công trình khác cản lũ như quốc lộ, tỉnh lộ, đê sông, kênh chính, cầu có trụ pin, cống có khẩu độ lớn hơn 1 m x 1 m hoặc tương đương thì cần xác định và nhập dữ liệu vào mô hình bao gồm tọa độ vị trí công trình, loại công trình, tuyến công trình, các thông số kỹ thuật chính của từng công trình. Các cống dưới đường được thiết lập trực tiếp trong mô hình hai chiều hoặc đặt trên 1 sông nhánh giả của mô hình 1 chiều khi chạy kết hợp với mô hình 1 chiều.
9.4 Thiết lập và gán các điều kiện biên
9.4.1 Khi mô hình 2 chiều chạy độc lập, việc gán biên tương tự mô hình 1 chiều.
9.4.2 Khi mô hình 2 chiều chạy kết hợp cùng mô hình 1 chiều thì điều kiện biên của mô hình 2 chiều là các liên kết trao đổi nước giữa mô hình 1 chiều và 2 chiều.
9.5 Kết nối mô hình thủy lực một chiều (1D) và mô hình thủy lực hai chiều (2D), có các loại kết nối chính sau:
9.5.1 Kết nối chuẩn: kết nối một đầu sông với miền 2 chiều.
9.5.2 Kết nối bên: kết nối bờ sông với miền hai chiều.
9.5.3 Kết nối công trình (ẩn): các dạng liên kết qua công trình.
9.5.4 Kết nối không dòng chảy.
9.6 Hiệu chỉnh và kiểm định mô hình hai chiều và mô hình 1 chiều và 2 chiều kết hợp, đánh giá sai số như mô hình 1 chiều. Trong điều kiện có vận tốc dòng chảy thì cần kiểm định cả vận tốc trên miền 2 chiều.
9.7 Áp dụng tính toán mô phỏng cho các phương án kịch bản tính toán.
9.8 Kết quả tính toán mô phỏng: Mỗi kịch bản cần tóm tắt được các kết quả tính toán sau:
9.8.1 Bảng tổng hợp kết quả tính toán của các dữ liệu cần trích xuất tại các mặt cắt điển hình, tại các trạm thủy văn....
9.8.2 Đường biểu thị quan hệ độ sâu ngập, lưu lượng và lưu tốc với thời gian tại một số mặt cắt điển hình trên mạng lưới sông vùng hạ du từ hạ du đập đến biên cuối cùng.
9.8.3 Thống kê giá trị mực nước lớn nhất (max) tại một số mặt cắt ngang sông điển hình.
9.8.4 Thống kê diện tích ngập lụt theo các độ sâu ngập.
9.8.5 Thống kê diện tích ngập (ha), độ sâu ngập (m) và thời gian ngập nước (giờ); tổng diện tích ngập (ha) theo từng cấp đơn vị hành chính và các loại sử dụng đất (nông nghiệp, đất ở, đất khác) (ha).
10 Yêu cầu về bản đồ ngập lụt
10.1 Bản đồ cần phản ánh được tính đồng thời gian của các đối tượng, hiện tượng. Các thông tin đưa lên bản đồ cần được cập nhật, bảo đảm thống nhất về thời gian, không gian.
10.2 Bản đồ phải có độ tin cậy cao và được bố cục chặt chẽ, khoa học. Các đối tượng trên bản đồ phải bảo đảm tính chính xác địa lý.
10.3 Bản đồ ngập lụt cần bao trùm phạm vi tính toán thủy lực một chiều và hai chiều ứng với một số kịch bản xả lưu lượng lũ từ hồ chứa nước và vùng bị ảnh hưởng.
10.4 Bản đồ cần thể hiện được ranh giới hành chính, các làng mạc, đô thị, các cơ sở kinh tế và công trình quan trọng, các tuyến đường quốc lộ, đường liên tỉnh, liên huyện, liên xã, liên thôn.
10.5 Bản đồ ngập lụt cần được rà soát và xây dựng lại sau 5 năm, tối đa là 10 năm.
10.6 Đối với bản đồ in: kích thước bản đồ được lựa chọn sao cho thông tin trên bản đồ được in rõ ràng dễ đọc trên khổ giấy từ A3 đến A0 (khổ giấy thường hoặc kéo dài) hoặc được in theo các mảnh ghép theo Điều 16. Khi bản đồ được xây dựng dựa trên bản đồ nền với tỷ lệ 1/10.000, thì bản đồ cần được in theo đúng tỷ lệ để thể hiện rõ ràng về nội dung bản đồ.
10.7 Bản đồ phải được lập trên hệ quy chiếu VN2000 [3] và hệ cao độ Quốc gia.
10.8 Bản đồ ngập lụt là bộ các bản đồ chuyên đề, bao gồm một hoặc một số thông tin được liệt kê trong Bảng 3 tại 7.2.9.
11 Phương pháp xây dựng bản đồ ngập lụt
11.1 Phương pháp truyền thống: xây dựng bản đồ ngập lụt dựa trên khảo sát thủy văn và điều tra các trận lũ lịch sử. Phương pháp này yêu cầu tương đối đầy đủ số liệu đo đạc, khảo sát thực tế nhưng hạn chế khi dự báo cho các trận lũ có quy mô khác với lũ đã xảy ra. Nội dung và các bước cơ bản xây dựng bản đồ theo phương pháp này được quy định tại Điều 12.
11.2 Phương pháp hiện đại: bản đồ ngập lụt được xây dựng từ kết quả mô phỏng thủy lực như sau:
11.2.1 Nội dung và các bước cơ bản xây dựng mô hình thủy lực một chiều có bãi tràn, được quy định tại Điều 8.
11.2.2 Nội dung và các bước cơ bản xây dựng mô hình thủy lực hai chiều (2D) và mô hình một chiều (1D) kết hợp 2D được quy định tại Điều 9.
11.2.3 Nội dung và các bước cơ bản xây dựng bản đồ ngập lụt từ kết quả của mô hình thủy lực một chiều có bãi tràn được quy định tại Điều 13.
11.2.4 Nội dung và các bước cơ bản xây dựng bản đồ ngập lụt từ trên kết quả của mô hình thủy lực hai chiều (2D), 1D kết hợp 2D được quy định tại Điều 14.
12 Các bước lập bản đồ ngập lụt từ kết quả điều tra thực địa về thủy văn và điều tra lũ lịch sử
12.1 Từ dữ liệu điều tra thực địa về thủy văn và điều tra lũ lịch sử bao gồm độ sâu ngập, mực nước, tiến hành chuyển đổi dữ liệu này sang định dạng dữ liệu GIS.
12.2 Vết lũ được quy chuẩn về cao độ Quốc gia.
12.3 Xây dựng mô hình độ cao kỹ thuật số của vùng ngập lụt sử dụng kết quả của 12.2.
12.4 Xác định diện tích ngập, theo đó vùng ngập lụt có giá trị dương và vùng không ngập lụt có giá trị âm.
12.5 Độ sâu ngập lụt được nội suy và phân thành các cấp sau: 0 m-0,5 m; 0,5 m-1 m; 1 m-2 m, 2 m-3 m và > 3 m theo Phổ màu quy định tại Điều 15.
12.6 Bản đồ độ sâu ngập lụt được tạo ra bằng cách chồng ghép lớp bản đồ ngập lụt với lớp bản đồ nền.
13 Các bước lập bản đồ ngập lụt từ kết quả của mô hình thủy lực một chiều có bãi tràn
13.1 Cần trích xuất trường kết quả của mô hình thủy lực bao gồm mực nước, độ sâu ngập (tính toán từ mực nước và DEM), vận tốc dòng chảy để thiết lập các lớp thông tin cho từng kịch bàn tính toán.
13.2 Các giá trị trích xuất mực nước lớn nhất trong ngày dùng để thiết lập các lớp mực nước lớn nhất cho từng ngày tính toán, nhằm xác định được vị trí các điểm ngập và độ sâu ngập hay bản đồ ngập theo độ sâu theo từng ngày.
13.3 Các giá trị trích xuất mực nước tại một thời đoạn nhất định dùng để thiết lập bản đồ ngập lụt theo thời đoạn ứng với một độ sâu nhất định và bản đồ ngập sâu lớn nhất theo thời đoạn đó.
13.4 Các giá trị trích xuất vận tốc lớn nhất ứng với đỉnh lũ dùng để thiết lập bản đồ phân bố vận tốc dòng chảy.
13.5 Sử dụng công cụ GIS để nhập các trường dữ liệu mực nước lũ và vận tốc dòng chảy đỉnh lũ, cường độ lũ. Quản lý các dữ liệu này trên các lớp chuyên đề tương ứng.
13.6 Tính toán giá trị độ sâu ngập lụt bằng hiệu số giữa giá trị mực nước lũ và giá trị cao độ nền địa hình tại điểm đang xét. Tính toán giá trị cường độ lũ được tính bằng cách nhân giá trị độ sâu với giá trị vận tốc tại cùng thời điểm tại điểm tương ứng.
13.7 Tạo lập bản đồ ngập lụt bằng cách sử dụng công cụ GIS để chồng ghép lớp bản đồ chuyên đề với một hoặc các lớp bản đồ cơ sở trên bản đồ nền.
13.8 Xác định diện tích ngập: theo đó vùng ngập lụt có giá trị dương và vùng không ngập lụt có giá trị âm.
13.9 Độ sâu ngập được phân thành các cấp sau: 0 m-0,5 m; 0,5 m-1 m; 1 m-2 m, 2 m-3-m và > 3 m theo Phổ màu quy định tại Điều 15.
13.10 Bản đồ ngập lụt cuối cùng được tạo bằng công cụ trích xuất theo thuộc tính từ kết quả của 13.6.
13.11 Bản đồ ngập lụt phải bảo đảm các yêu cầu kỹ thuật và các quy định theo Điều 10 và Điều 15.
14 Các bước lập bản đồ ngập lụt từ kết quả của mô hình thủy lực hai chiều (2D), 1D kết hợp 2D
14.1 Từ kết quả của mô hình thủy lực hai chiều, cần trích xuất các trường dữ liệu về mực nước, độ ngập sâu, vận tốc lớn nhất, tính toán thống kê mực nước, độ ngập và vận tốc lớn nhất, cường độ lũ tại từng thời điểm cần lập bản đồ cho toàn miền tính toán.
14.2 Sử dụng công cụ GIS để nhập các trường dữ liệu mực nước lũ và vận tốc dòng chảy kể trên. Quản lý các dữ liệu này trên các lớp chuyên đề tương ứng.
14.3 Sử dụng công cụ GIS để tạo lập các lớp bản đồ chuyên đề cho mỗi loại trường dữ liệu kể trên.
14.4 Tạo lập bản đồ ngập lụt bằng cách sử dụng công cụ GIS để chồng ghép lớp bản đồ chuyên đề với một hoặc các lớp bản đồ cơ sở trên bản đồ nền.
14.5 Xác định diện tích ngập. Vùng ngập lụt có giá trị dương và vùng không ngập lụt có giá trị âm.
14.6 Độ sâu ngập được phân thành các cấp sau: 0 m-0,5 m; 0,5 m-1 m; 1 m-2 m, 2 m-3 m và > 3 m theo Phổ màu quy định tại Điều 15; Thực hiện tương tự đối với vận tốc lũ, cường độ lũ và các bản đồ khác tại Điều 17.
14.7 Bản đồ ngập lụt phải bảo đảm các yêu cầu kỹ thuật và các quy định tại Điều 10 và Điều 15.
15 Quy định về bố cục của bản đồ và phổ màu trên bản đồ ngập lụt
15.1 Quy định về bố cục bản đồ ngập lụt: Bản đồ ngập lụt cần có nội dung, bố cục và chú giải và các thông tin tuân thủ các yêu cầu về: tên bản đồ; bản chú giải; bảng thông số ngập lụt; bản đồ phụ; tên cơ quan chủ quản; tên đơn vị thành lập bản đồ.
15.2 Quy định về phổ màu sắc thể hiện mực nước trên bản đồ
15.2.1 Mực nước lớn nhất (Zmax) được thể hiện bằng màu xanh đậm (Dard Blue), [Red=50, Green=50, Blue=180]
15.2.2 Mực nước nhỏ nhất (Zmin) được thể hiện bằng màu xanh nhạt (Light Blue), [Red=176, Green=226, Blue=255]
15.2.3 Số phổ màu: chia từ nhỏ nhất đến lớn nhất làm 10 bước, theo yêu cầu về độ mịn của dải màu cần thể hiện. Tham khảo phổ màu tại 15.2.1 và 15.2.2 và in thử bản đồ tỷ lệ 1:10.000 để xem xét điều chỉnh cho phù hợp.
15.2.4 Giá trị tham khảo của phổ màu trong trường hợp chia dải màu từ Zmax đến Zmin thành 10 bước theo Bảng 4.
Bảng 4 - Phổ màu 10 bước từ mực nước lớn nhất đến mực nước nhỏ nhất (hoặc từ độ ngập sâu lớn nhất đến độ ngập sâu nhỏ nhất)

15.3 Quy định về phổ màu sắc thể hiện mức độ ngập sâu trên bản đồ ngập lụt
15.3.1 Độ ngập sâu lớn nhất (Hmax) được thể hiện bằng màu xanh đậm (Dard Blue), [Red=50, Green=50, Blue=180]
15.3.2 Độ ngập sâu nhỏ nhất (Hmin) được thể hiện bằng màu xanh nhạt (Light Blue), [Red=176, Green=226, Blue=255]
15.3.3 Số phổ màu: quy định tại 15.2.3.
15.3.4 Giá trị tham khảo của phổ màu trong trường hợp chia dải màu từ Hmax đến Hmin thành 10 bước tại Bảng 4.
15.4 Quy định về phổ màu sắc thể hiện vận tốc của dòng chảy trên bản đồ:
15.4.1 Vận tốc lớn nhất (Vmax) được thể hiện bằng màu đỏ (Red), [Red=255, Green=0, Blue=0]
15.4.2 Vận tốc nhỏ nhất (Vmin) được thể hiện bằng màu xanh (Blue), [Red=0, Green=0, Blue=255]
15.4.3 Số phổ màu: theo quy định tại 15.2.3.
15.4.4 Giá trị tham khảo của phổ màu trong trường hợp chia dải màu từ Vmax đến Vmin, thành 10 bước tại Bảng 5.
15.5 Quy định về phổ màu sắc thể hiện cường độ lũ trên bản đồ:
15.5.1 Cường độ lũ lớn nhất (DVmax = 4) được thể hiện bằng màu đò (Red), [Red=255, Green=0, Blue=0]
15.5.2 Cường độ lũ nhỏ nhất (DVmin = 1) được thể hiện bằng màu xanh (Blue), [Red=0, Green=0, Blue=255]
15.5.3 Số phổ màu: quy định tại 15.2.3.
15.5.4 Giá trị tham khảo của phổ màu trong trường hợp chia dải màu từ DVmax đến DVmin thành 10 bước tại Bảng 5.
Bảng 5 - Phổ màu 10 bước từ Vận tốc lớn nhất đến Vận tốc nhỏ nhất (hoặc từ Cường độ lũ lớn nhất đến Cường độ lũ nhỏ nhất)

16 Quy định về tỷ lệ và phân chia mảnh bản đồ ngập lụt
16.1 Tỷ lệ bản đồ ngập lụt: bản đồ ngập lụt cần được xây dựng với tỷ lệ giống như tỷ lệ bản đồ nền, từ 1:2.000 đến 1:10.000. Trong điều kiện cho phép cần lập các bản đồ với tỷ lệ lớn hơn, Khi chỉ có bản đồ tỷ lệ 1:10.000, nếu cần đánh giá chi tiết thì cần có bản đồ chi tiết hơn ở khu vực muốn thể hiện. Khi phạm vi nghiên cứu nhỏ hơn thì cần sử dụng các bản đồ tỷ lệ lớn hơn.
16.2 Bản đồ được chia mảnh và đánh số mảnh trong trường hợp có từ 2 mảnh trở lên; sử dụng số tự nhiên để đánh số và theo nguyên tắc từ Bắc xuống Nam, từ Tây sang Đông.
16.3 Chia mảnh và đặt phiên hiệu mảnh bản đồ theo các tỷ lệ cần theo các quy định về áp dụng hệ quy chiếu và hệ tọa độ quốc gia VN-2000 xem trong thư mục tài liệu tham khảo [1-5].
17 Các loại bản đồ
Tùy theo phương pháp xây dựng bản đồ ngập lụt (quy định tại Điều 11), ứng với mỗi kịch bản tính toán cần xây dựng các loại bản đồ theo Bảng 6:
17.1 Bản đồ vận tốc lớn nhất.
17.2 Bản đồ độ ngập sâu tương ứng với các mức báo động cấp I, II, III trên các triển sông.
17.3 Bản đồ mực nước lớn nhất.
17.4 Bản đồ ngập sâu lớn nhất.
17.5 Bản đồ ngập theo thời gian: tập hợp các bản đồ độ ngập sâu tại từng thời điểm theo quá trình ngập được thể hiện theo độ sâu ngập sâu (0,5 m; 1 m; 1,5 m; 2 m; 2,5 m; 3 m...). Bước thời gian xây dựng bản đồ là 6 giờ hoặc 12 giờ. Tại các vùng có thời gian lũ lên nhanh, xuống nhanh, càn xây dựng bản đồ có bước thời gian 1 giờ, 3 giờ, 6 giờ, 12 giờ.
17.6 Bản đồ cường độ lũ lớn nhất (độ ngập sâu x vận tốc).
17.7 Ưu tiên xây dựng bản đồ độ ngập sâu thay vì xây dựng bản đồ mực nước. Với các phương pháp xây dựng bản đồ ngập lụt thì luôn phải xây dựng bản đồ độ ngập sâu lớn nhất với mỗi kịch bản tính toán. Khi sử dụng mô hình 2 chiều cần xây dựng tối thiểu các bản đồ: Độ ngập sâu lớn nhất, mực nước cao nhất, vận tốc lớn nhất hoặc thay thế vận tốc lớn nhất bằng cường độ lũ lớn nhất (độ ngập sâu x vận tốc).
Bảng 6 - Các loại bản đồ ứng với từng phương pháp áp dụng
| STT | Bản đồ | Phương pháp truyền thống | Phương pháp hiện đại | |
| Mô hình 1D có bãi tràn | Mô hình 2D Mô hình 1D kết hợp 2D | |||
| 1 | Bản đồ vận tốc lớn nhất |
|
| x |
| 2 | Bản đồ mực nước lớn nhất | x | x | x |
| 3 | Bản đồ ngập sâu lớn nhất | x | x | x |
| 4 | Bản đồ ngập tại các thời điểm và theo các mực báo động I, II, III |
| x | x |
| 5 | Bản đồ ngập theo thời gian |
| x | x |
| 6 | Bản đồ cường độ lũ lớn nhất (độ ngập sâu X vận tốc) |
|
| x |
Phụ lục A
(Quy định)
Tính toán vỡ đập hồ chứa nước
A.1 Các ký hiệu và định nghĩa
Hv: chiều cao vết vỡ, là khoảng cách thẳng đứng từ đỉnh đập đến đáy vết vỡ, m;
H: độ sâu lớn nhất của nước phía thượng lưu vết vỡ (m), là độ sâu từ mực nước hồ trước khi vỡ đến đáy thấp nhất của vết vỡ lớn nhất, m;
V: dung tích hồ (m3), tương ứng với H;
Vx: thể tích đập bị xói (m3) trong quá trình vỡ:
Vx = BđTB.BvTB.H đối với vỡ đập hoàn toàn;
Vx = D2L đối với vỡ đập dạng xói ngầm;
BvTB: chiều rộng trung bình của vết vỡ;
mv: hệ số mái của vết vỡ;
mt: hệ số mái đập phía hạ du;
mh: hệ số mái đập phía thượng lưu;
Bv: chiều rộng đáy vết vỡ (m);
BđTB: chiều rộng trung bình của đập theo phương dòng chảy tính tại mặt cắt có chiều cao Hv:
![]()
Trong đó:
Bđđ: chiều rộng đỉnh đập, m.
T: thời gian phát triển vết vỡ, giờ;
g: gia tốc trọng trường (g = 9,81 m/s2);
Vx: tốc độ xói.
m/giờ
L: chiều dài vết vỡ, m;
D: chiều cao và chiều rộng vết vỡ (giả thiết là hình vuông), m;
Hl: chiều cao từ tâm vết vỡ (lỗ xói) tới đỉnh đập (m);
![]()
A: diện tích mặt thoáng hồ chứa nước tại mực nước tương ứng với độ sâu H, ha;
Q: lưu lượng, m3/s;
Qmax: lưu lượng lớn nhất qua vết vỡ đập, m3/s;
Qv: lưu lượng tại mặt cắt tính toán phía hạ du, m3/s;
X: khoảng cách từ tim đập tới mặt cắt tính toán phía hạ du, m;
D50: đường kính lọt qua sàng 50% trên đường cong cấp phối hạt, mm;
Ax: diện tích của vết vỡ, m2;
Ko: hệ số kiểu vỡ của Froehlich;
γ: hệ số triết giảm lưu lượng tức thời,
![]()
μ: hệ số lưu lượng qua lỗ (μ = 0,65 ÷ 0,75).
A.2 Cơ chế vỡ đập
A.2.1 Dựa vào vật liệu xây dựng đập, đập được chia thành hai loại chính: đập bê tông (đập vòm, đập trụ chống, đập bê tông trọng lực, đập bê tông bản mặt, đập bê tông đầm lăn, đập tràn bê tông...) và đập vật liệu địa phương (đập đất, đập đá đổ, đập đất đá hỗn hợp...). Tùy theo loại đập và trường hợp cụ thể, cần xem xét các nguyên nhân khác nhau gây vỡ đập.
A.2.2 Đập vật liệu địa phương: vỡ đập xảy ra do chảy tràn đỉnh (Hình A.1), do dòng chảy đến hồ vượt quá khả năng xả của tràn hoặc do xói ngầm qua thân đập (Hình A.2) hình thành các dòng chảy ngầm qua thân đập và cuối cùng là vỡ đập.

Hình A.1 - Sơ đồ vỡ đập dạng tràn đỉnh

Hình A.2 - Sơ đồ vỡ đập dạng lỗ xói trong thân đập
A.2.3 Đối với đập bê tông: vỡ đập chủ yếu hình thành bởi sự mất ổn định cục bộ, một phần hoặc toàn bộ công trình và nền do vượt quá khả năng chịu lực, chất lượng bê tông không đảm bảo gây xói ngầm và xâm thực bê tông.
A.3 Các thông số vỡ đập
Các thông số vỡ đập cần xác định gồm:
- Thời gian hình thành vết vỡ (thời gian vỡ): là khoảng thời gian từ khi vết vỡ bắt đầu hình thành ở mặt thượng lưu đập (bắt đầu vỡ) đến khi vết vỡ phát triển đạt đến kích thước lớn nhất.
- Chiều cao vết vỡ: là chiều cao theo phương thẳng đứng tính từ đáy của vết vỡ.
- Chiều rộng vết vỡ: là chiều rộng trung bình của vết vỡ (khi đạt đến kích thước lớn nhất), được đo tại điểm giữa của chiều cao vết vỡ.
- Hệ số mái của vết vỡ.
Bảng A.1 - Các công thức kinh nghiệm tính toán các thông số vết vỡ đối với đập đất
| Thông số | MacDonald & Langrdige- Monopolis (1984) | Washington State (2007) | Froehlich (2008) |
| Thể tích bị xói (Vx) (m3) | Vx = 0,0261(V.H)0,769 (đập đất) | Vx = 0,03(V.H)0,769 (đất không dính) |
|
| Vx = 0,00348(VH)0,852 (đập đá đổ) | Vx = 0,02 (V.H )0,769 (đất dính) |
| |
| Chiều rộng vết vỡ trung bình BvTB (m) |
|
|
K0 = 1.0 đối với xói ngầm K0 = 1.3 đối với tràn đỉnh |
| Hệ số mái của vết vỡ mv (ngang: đứng) | 2:1 (mv=2) |
| 0.7:1 đối với xói ngầm (mv=0.7) 1:1 đối với tràn đỉnh (mv =1) |
| Thời gian phát triển vết vỡ T (giờ) |
|
(đất không dính) |
|
|
(đất dính) |
A.3.1 Đập vật liệu địa phương
Các thông số vỡ đập vật liệu địa phương được xác định theo công thức kinh nghiệm. Kiến nghị sử dụng công thức của MacDonald & Langrdige-Monopolis (1984) [8], Washington State (2007) [10] và Froehlich (2008) [7] như quy định trong Bảng A.1. Việc lựa chọn các công thức để tính các thông số vết vỡ phụ thuộc vào hình thức vỡ, kích thước đập, tỉ số Vw/Hw và loại vật liệu xây đập như quy định trong Bảng A.2.
Bảng A.2 - Công thức kiến nghị áp dụng cho từng trường hợp
| Loại đập | Tỉ số Vw/Hw (ha) | ||
| Nhỏ (V/H ≤ 2) | Trung bình (2<V/H<8) | Lớn (V/H≥8) | |
| Nhỏ | Vỡ dạng xói ngầm: kích thước vết vỡ theo (1) và thời gian vỡ theo (2). Vỡ tràn đỉnh: theo (3) | Vỡ dạng xói ngầm: kích thước vết vỡ theo (1) và thời gian vỡ theo (2). Vỡ tràn đỉnh: theo (3) | Vỡ dạng xói ngầm: kích thước vết vỡ theo (1) và thời gian vỡ theo (2). Vỡ tràn đỉnh: theo (3) |
| Vừa | Vỡ dạng xói ngầm: kích thước vết vỡ theo (1) và thời gian vỡ theo (2) hoặc (3) (tùy từng trường hợp); Vỡ tràn đỉnh: theo (3) | Theo (3) và với đập vật liệu dính kích thước vết vỡ theo (1) và thời gian vỡ theo (2) (tùy từng trường hợp) | Theo (3) |
| Lớn | Theo (3) Hệ số mái của vết vỡ cần hiệu chỉnh cho phù hợp với chiều rộng đáy vết vỡ. | Theo (3) và với đập vật liệu dính kích thước vết vỡ theo (1) và thời gian vỡ theo (2). Cần có sự hiệu chỉnh tùy theo từng trường hợp cụ thể | Theo (3) và với đập vật liệu dính kích thước vết vỡ theo (1) và thời gian vỡ theo (2). Cần có sự hiệu chỉnh tùy theo từng trường hợp cụ thể |
GHI CHÚ: Loại đập được phân loại theo quy định hiện hành. Công thức của (1): MacDonald & Langrdige-Monopolis (1984) ]8]; (2): Washington State (2007) [10]; (3): Froehlich (2008) [7], Công thức (1) phù hợp với đập được xây dựng bằng vật liệu dính; (2) phù hợp với đập được xây dựng bằng vật liệu rời.
A.3.2 Đập bê tông
- Đập bê tông được phân thành nhiều khối. Hình A.3 mô tả sơ đồ vết vỡ của đập bê tông. Kích thước vết vỡ được tính theo chiều rộng trung bình vết vỡ và được lấy bằng tổng chiều rộng của các khối bê tông và mái của vết vỡ là thẳng đứng. Thời gian vỡ từ 0,1 giờ đến 0,5 giờ.

| Hình A.3 - Sơ đồ vết vỡ đập bê tông | Hình A.4 - Sơ đồ vết vỡ đập vòm bê tông |
- Đập vòm: Vị trí xây dựng đập vòm thường ở những nơi thung lũng hẹp và có mái bên dốc. Vì vậy, mái của vết vỡ được xác định từ thẳng đứng (0:1) đến bằng với mái bên của thung lũng. Chiều rộng trung bình của vết vỡ được tính bằng từ 80 % đến 100 % (Hình A.4). Thời gian vỡ được tính từ 0 đến 0,1 giờ.
- Các thông số của vết vỡ đối với các dạng đập bê tông/khối cứng xem trong Bảng A.3.
Bảng A.3 - Các thông số của vết vỡ đối với đập bê tông/khối cứng
| Loại đập | Chiều rộng vết vỡ | Độ dốc mái của vết vỡ, ký hiệu là m | Thời gian vỡ (giờ) |
| Đập bê tông trọng lực | Chiều rộng của một hoặc nhiều khối đập bị vỡ | Thẳng đứng (0:1) (m=0) | Từ 0.1 đến 0.5 |
| Đập vòm | Vỡ toàn bộ đập | Thẳng đứng (0:1) (m=0) đến bằng độ dốc mái tự nhiên. | Từ 0 đến 0.1 |
| Đập trụ chống | Bội số của các tấm | Thẳng đứng (0:1) (m=0) | Từ 0.1 đến 0.3 |
| Đập gạch /đá xây | Bội số các khối đập bị vỡ | Thẳng đứng (0:1) (m=0) | Từ 0 đến 0.3 |
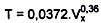
A.4 Xác định lưu lượng lớn nhất
Lưu lượng lớn nhất khi vỡ đập được tính theo công thức của MacDonald & Langridge-Monopolis (1984) 8Ị, Froehlich (2008) [7] và Wetmore & Fread (1984) [11], Công thức Froehlich có tương quan khá tốt với các số liệu thực đo nhưng vẫn có một số trường hợp có đỉnh lưu lượng thiên lớn hoặc thiên nhỏ. Công thức MacDonald & Langridge-Monopolis cho kết quả lưu lượng lớn nhất thiên lớn đáng kể đặc biệt với trường hợp vỡ tức thời đối với dạng vỡ do xói ngầm.
Công thức của MacDonald & Langridge-Monopolis (1984): Qmax = 1,154(V.H)0,411
Công thức của Froehlich (1995, 2008): Qmax = 0,607(Y)0,295 (H)1,24
Công thức của Wetmore & Fread (1984): ![]()
Trong trường hợp xói ngầm mà không dẫn đến vỡ đỉnh đập, thì công thức của Wetmore & Fread (1984) tính cho dòng chảy qua lỗ với giả thiết vết vỡ đạt kích thước lớn nhất tức thời:
![]()
GHI CHÚ: Trên đây là phương pháp tính toán được quy định, ngoài ra còn được phép sử dụng phương pháp mô phỏng bằng mô hình vỡ đập trong các phần mềm tính toán thủy lực hoặc công thức khác có độ tin cậy và phù hợp cao hơn.
Phụ lục B
(Tham khảo)
Cấu trúc của Báo cáo tổng hợp và thành phần hồ sơ
B.1 Cấu trúc của Báo cáo tổng hợp
1. MỞ ĐẦU
- Cơ sở pháp lý
- Khái quát về khu vực nghiên cứu
2. ĐIỀU KIỆN TỰ NHIÊN, KINH TẾ XÃ HỘI VÀ MÔI TRƯỜNG
- Tài liệu địa hình, địa chất
- Điều kiện khí tượng thủy văn
- Điều kiện kinh tế, xã hội và môi trường
3. TÍNH TOÁN CƠ SỞ
- Cơ sở lý thuyết và phần mềm áp dụng
- Các tài liệu cơ bản
- Tính toán thủy văn
- Tính toán điều tiết lũ và tính toán vỡ đập
- Thiết lập các kịch bản xả lũ và vỡ đập
- Thiết lập và áp dụng mô hình thủy lực
- Kết quả tính toán thủy lực cho các kịch bản
4. XÂY DỰNG BẢN ĐỒ NGẬP LỤT HẠ DU
- Cơ sở xây dựng bản đồ ngập lụt
- Phương pháp, các bước xây dựng bản đồ ngập lụt
- Kết quả xây dựng bản đồ ngập lụt
5. KẾT LUẬN KIẾN NGHỊ PHỤ LỤC
Kết quả tính toán vỡ đập
Kết quả tính toán thủy lực
Các loại bản đồ
B.2 Thành phần hồ sơ
Thành phần hồ sơ cho nội dung xây dựng bản đồ ngập lụt, ngoài các file mềm, bao gồm:
B.2.1 Báo cáo tổng hợp. Nội dung chính của báo cáo theo B.1.
B.2.2 Các báo cáo chuyên đề:
B.2.2.1 Báo cáo hiện trạng (trong trường hợp có khảo sát điều tra, thu thập số liệu, dữ liệu hiện trạng).
B.2.2.2 Báo cáo khảo sát địa hình (trong trường hợp có khảo sát địa hình).
B.2.2.3 Báo cáo tính toán thủy văn, thủy lực.
B.2.2.4 Báo cáo xây dựng bản đồ ngập lụt.
B.2.3 Bộ bản đồ ngập lụt: gồm tất cả hoặc một số loại bản đồ (Điều 17) của tất cả các kịch bản tính toán.
B.2.4 Đĩa CD/DVD, USB lưu trữ các file tài liệu, dữ liệu liên quan, thành phần hồ sơ.
Phụ lục C
(Quy định)
Đánh giá sai số tính toán
Đối tượng cần đánh giá sai số tính toán gồm: mực nước, lưu lượng, vận tốc, mực nước lớn nhất, diện tích ngập.
Phương pháp đánh giá sai số: so sánh chuỗi số liệu tính toán với chuỗi số liệu thực đo.
Các chỉ tiêu sai số, bao gồm: hệ số Nash- Sufficient (NSE); các giá trị tham khảo gồm: sai số căn quân phương (RMSE), sai số tuyệt đối trung bình (MAE) và hệ số tương quan (r). Cụ thể như sau:
C.1 Quy định về Hệ số Nash- Sufficient (Nash)
|
| (C-1) |
Giá trị NSE ≥ 0,8 khi hiệu chỉnh, và NSE ≥ 0,75 khi kiểm định mô hình thì kết quả tính toán chấp nhận được.
C.2 Sai số căn quân phương (RMSE)
|
| (C-2) |
Giá trị RMSR ≤ 5 % thì kết quả tính toán kết quả tính toán chấp nhận được.
C.3 Sai số tuyệt đối trung bình MAE (Mean Absolute Error)
|
| (C-3) |
Giá trị MEA ≤ 5 % thì kết quả tính toán chấp nhận được.
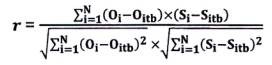
C.4 Hệ số tương quan (r)
|
| (C-4) |
Trong đó: giá trị r ≥ từ 0,85 ÷ 1,0 thì kết quả tính toán chấp nhận được.
Công thức từ C-1 đến C-4, trong đó:
N: Chiều dài của chuỗi số liệu;
Si: giá trị tính toán;
sitb : giá trị tính toán trung bình;
oi: giá trị thực đo;
oitb : giá trị thực đo trung bình.
C.5 Khi kiểm định với vết lũ thì sai số tuyệt đối cần đạt nhỏ hơn 0,1 m, sai số tương đối nhỏ hơn 5 % đối với sông đồng bằng và sai số tuyệt đối 0,3 m đối với sông miền núi.
Thư mục tài liệu tham khảo
[1] Thông tư số 47/2014/TT-BTNMT, ngày 22 tháng 8 năm 2014 của Bộ Tài nguyên và Môi trường về Quy định kỹ thuật thành lập bản đồ hành chính các cấp.
[2] Thông tư số 25/2014/TT-BTNMT, ngày 19 tháng 05 năm 2014 của Bộ Tài nguyên và Môi trường Quy định về Bản đồ địa chính.
[3] Thông tư số 973/2001/TT-TCĐC, ngày 20 tháng 6 năm 2001 của Tổng Cục Địa chính về Hướng dẫn áp dụng hệ quy chiếu và hệ tọa độ quốc gia VN-2000.
[4] Thông tư số 19/2019/TT-BTNMT, ngày 08 tháng 11 năm 2019 của Bộ Tài nguyên và Môi trường Quy định kỹ thuật về nội dung và ký hiệu bản đồ địa hình quốc gia tỷ lệ 1:2.000, 1:5.000.
[5] Thông tư số 12/2020/TT-BTNMT, ngày 30 tháng 9 năm 2020 của Bộ Tài nguyên và Môi trường Quy định kỹ thuật về nội dung và ký hiệu bản đồ địa hình quốc gia tỷ lệ 1:10.000, 1:25.000.
[6] Froehlich, D. C., (1995). Peak Outflow from Breached Embankment Dam, Journal of Water ResourcesPlanning and Management, Vol. 121, No. 1, January/February pgs 90-97.
[7] Froehlich, D. C., (2008). Embankment Dam Breach Parameters and Their Uncertainties, Journal of Hydraulic Engineering, Vol. 134, No. 12, May, pgs 1708-1720.
[8] MacDonald, T.C., and Langridge-Monopolis, J., (1984). Breaching Characteristics of Dam Failures, Journal of Hydraulic Engineering, Vol. 110, No. 5, May, pgs 567-586.
[9] Nash, J.E.; Sutcliffe, J.V., (1970). River flow forecasting through conceptual models, Part I - Adiscussion of principles. J. Hydrol. 1970, 10, 282-290.
[10] WashingtonState (MGS Engineering Consultants), (2007). Dam Safety Guidelines, Technical Note 1: Dam Break Inundation Analysis and Downstream Hazard Classification, Washington state Department of Ecology Publication No. 92-55E (revised), October, 34 pgs.
[11] Wetmore, J. N. and Fread, D. L. (1984). The NWS Simplified Dam Break Flood Forecasting Model for Desk-top and Hand-held Microcomputers.
Mục lục
1 Phạm vi áp dụng
2 Tài liệu viện dẫn
3 Thuật ngữ và định nghĩa
4 Các kịch bản xả lũ và vỡ đập
5 Yêu cầu về dữ liệu phục vụ lập bản đồ
6 Các yếu tố cần xác định trong tính toán xả lũ và vỡ đập
7 Quy định chung về thiết lập và áp dụng mô hình thủy văn - thủy lực
8 Quy định về xây dựng mô hình thủy lực một chiều có bãi tràn
9 Quy định về xây dựng mô hình thủy lực hai chiều (2D) và mô hình một chiều (1D) kết hợp 2D
10 Yêu cầu về bản đồ ngập lụt
11 Phương pháp xây dựng bản đồ ngập lụt
12 Các bước lập bản đồ ngập lụt từ kết quả điều tra thực địa về thủy văn và điều tra lũ lịch sử
13 Các bước lập bản đồ ngập lụt từ kết quả của mô hình thủy lực một chiều có bãi tràn
14 Các bước lập bản đồ ngập lụt từ kết quả của mô hình thủy lực hai chiều (2D), 1D kết hợp 2D
15 Quy định về bố cục của bản đồ và phổ màu trên bản đồ ngập lụt
16 Quy định về tỷ lệ và phân chia mảnh bản đồ ngập lụt
17 Các loại bản đồ
Phụ lục A
Tính toán vỡ đập hồ chứa nước
A.1 Các ký hiệu và định nghĩa
A.2 Cơ chế vỡ đập
A.3 Các thông số vỡ đập
A.3.1 Đập vật liệu địa phương
A.3.2 Đập bê tông
A.4 Xác định lưu lượng lớn nhất
Phụ lục B
Cấu trúc của Báo cáo tổng hợp và thành phần hồ sơ
B.1 Cấu trúc của Báo cáo tổng hợp
B.2 Thành phần hồ sơ
Phụ lục C
Đánh giá sai số tính toán
Thư mục tài liệu tham khảo
Bạn chưa Đăng nhập thành viên.
Đây là tiện ích dành cho tài khoản thành viên. Vui lòng Đăng nhập để xem chi tiết. Nếu chưa có tài khoản, vui lòng Đăng ký tại đây!


