- Tổng quan
- Nội dung
- VB gốc
- Tiếng Anh
- Hiệu lực
- VB liên quan
- Lược đồ
-
Nội dung hợp nhất
Tính năng này chỉ có tại LuatVietnam.vn. Nội dung hợp nhất tổng hợp lại tất cả các quy định còn hiệu lực của văn bản gốc và các văn bản sửa đổi, bổ sung, đính chính... trên một trang. Việc hợp nhất văn bản gốc và những văn bản, Thông tư, Nghị định hướng dẫn khác không làm thay đổi thứ tự điều khoản, nội dung.
Khách hàng chỉ cần xem Nội dung hợp nhất là có thể nắm bắt toàn bộ quy định hiện hành đang áp dụng, cho dù văn bản gốc đã qua nhiều lần chỉnh sửa, bổ sung.
- Tải về
Thông tư 36/2017/TT-BTNMT về quy định kỹ thuật khảo sát tài nguyên nước
| Cơ quan ban hành: | Bộ Tài nguyên và Môi trường |
Số công báo:
Số công báo là mã số ấn phẩm được đăng chính thức trên ấn phẩm thông tin của Nhà nước. Mã số này do Chính phủ thống nhất quản lý.
|
Đã biết
|
| Số hiệu: | 36/2017/TT-BTNMT | Ngày đăng công báo: |
Đã biết
|
| Loại văn bản: | Thông tư | Người ký: | Nguyễn Linh Ngọc |
|
Ngày ban hành:
Ngày ban hành là ngày, tháng, năm văn bản được thông qua hoặc ký ban hành.
|
06/10/2017 |
Ngày hết hiệu lực:
Ngày hết hiệu lực là ngày, tháng, năm văn bản chính thức không còn hiệu lực (áp dụng).
|
Đang cập nhật |
|
Áp dụng:
Ngày áp dụng là ngày, tháng, năm văn bản chính thức có hiệu lực (áp dụng).
|
Đã biết
|
Tình trạng hiệu lực:
Cho biết trạng thái hiệu lực của văn bản đang tra cứu: Chưa áp dụng, Còn hiệu lực, Hết hiệu lực, Hết hiệu lực 1 phần; Đã sửa đổi, Đính chính hay Không còn phù hợp,...
|
Đã biết
|
| Lĩnh vực: | Tài nguyên-Môi trường |
TÓM TẮT THÔNG TƯ 36/2017/TT-BTNMT
Ngày 06/10/2017, Bộ Tài nguyên và Môi trường đã ban hành Quy định kỹ thuật và Định mức kinh tế - kỹ thuật khảo sát, đo đạc tài nguyên nước và đánh giá, dự báo tài nguyên nước bằng mô hình dòng chảy tại Thông tư số 36/2017/TT-BTNMT, thay thế Thông tư số 10/2010/TT-BTNMT ngày 01/07/2010.
Thông tư này quy định cụ thể về kỹ thuật và định mức kinh tế - kỹ thuật trong khảo sát, đo đạc tài nguyên nước và đánh giá dự báo tài nguyên nước bằng mô hình dòng chảy áp dụng cho các công việc gồm: Khảo sát, đo đạc tài nguyên nước mặt; Khảo sát, đo đạc tài nguyên nước dưới đất; Đánh giá, dự báo tài nguyên nước bằng mô hình dòng chảy.
Như đối với thiết bị, dụng cụ, vật liệu khi đo chiều sâu mực nước yêu cầu cần có: Điều hòa 2 chiều 1200 BTU - 2,2 KW, máy tính xách tay, máy Photocopy, thước đo mực nước chuyên dụng, máy đo GPS cầm tay, địa bàn địa chất, đèn xạc điện, giày bảo hộ lao động, phao cứu sinh, đĩa CD… Nội dung công việc khi đo chiều sâu mực nước gồm các công việc như: Xây dựng hệ thống cọc đo chiều sâu mực nước; Đo vẽ trắc dọc tuyến đo chiều sâu mực nước; Đo chiều sâu mực nước theo yêu cầu của việc sử dụng số liệu tài nguyên nước mặt, sửa chữa hệ thống cọc trong quá trình đo; Kiểm tra, bảo dưỡng dụng cụ, thiết bị thực địa; Tính giá trị chiều sâu mực nước, Lập báo cáo thuyết minh…
Hồ sơ sản phẩm giao nộp khảo sát, đo đạc tài nguyên nước và đánh giá, dự báo tài nguyên nước bằng mô hình dòng chảy gồm có: Báo cáo thuyết minh và đĩa CD sản phẩm.
Thông tư này có hiệu lực từ ngày 21/11/2017.
Xem chi tiết Thông tư 36/2017/TT-BTNMT có hiệu lực kể từ ngày 21/11/2017
Tải Thông tư 36/2017/TT-BTNMT
|
BỘ TÀI NGUYÊN VÀ Số: 36/2017/TT-BTNMT |
CỘNG HÒA XÃ HỘI CHỦ NGHĨA VIỆT NAM Hà Nội, ngày 06 tháng 10 năm 2017 |
THÔNG TƯ
BAN HÀNH QUY ĐỊNH KỸ THUẬT VÀ ĐỊNH MỨC KINH TẾ - KỸ THUẬT KHẢO SÁT, ĐO ĐẠC TÀI NGUYÊN NƯỚC VÀ ĐÁNH GIÁ, DỰ BÁO TÀI NGUYÊN NƯỚC BẰNG MÔ HÌNH DÒNG CHẢY
Căn cứ Luật tài nguyên nước số 17/2012/QH13 ngày 21 tháng 6 năm 2012;
Căn cứ Nghị định số 36/2017/NĐ-CP ngày 04 tháng 4 năm 2017 của Chính phủ quy định chức năng, nhiệm vụ, quyền hạn và cơ cấu tổ chức của Bộ Tài nguyên và Môi trường;
Theo đề nghị của Cục trưởng Cục Quản lý tài nguyên nước, Vụ trưởng Vụ Kế hoạch - Tài chính, Vụ trưởng Vụ Khoa học và Công nghệ và Vụ trưởng Vụ Pháp chế;
Bộ trưởng Bộ Tài nguyên và Môi trường ban hành Thông tư ban hành quy định kỹ thuật và định mức kinh tế - kỹ thuật khảo sát, đo đạc tài nguyên nước và đánh giá, dự báo tài nguyên nước bằng mô hình dòng chảy.
Điều 1. Ban hành kèm theo Thông tư này quy định kỹ thuật và định mức kinh tế - kỹ thuật khảo sát, đo đạc tài nguyên nước và đánh giá, dự báo tài nguyên nước bằng mô hình dòng chảy.
Điều 2. Thông tư này có hiệu lực thi hành kể từ ngày 21 tháng 11 năm 2017 và thay thế cho Thông tư số 10/2010/TT-BTNMT ngày 01 tháng 7 năm 2010 của Bộ trưởng Bộ Tài nguyên và Môi trường quy định định mức kinh tế - kỹ thuật khảo sát, đo đạc tài nguyên nước.
Điều 3. Các Bộ, cơ quan ngang Bộ, cơ quan thuộc Chính phủ, Uỷ ban nhân dân các tỉnh, thành phố trực thuộc Trung ương, Thủ trưởng các đơn vị trực thuộc Bộ Tài nguyên và Môi trường và tổ chức, cá nhân có liên quan chịu trách nhiệm thi hành Thông tư này.
Trong quá trình tổ chức thực hiện, nếu có khó khăn, vướng mắc thì các cơ quan, tổ chức, cá nhân phản ánh kịp thời về Bộ Tài nguyên và Môi trường để xem xét, giải quyết./.
|
Nơi nhận: |
KT. BỘ TRƯỞNG |
QUY ĐỊNH KỸ THUẬT VÀ ĐỊNH MỨC KINH TẾ - KỸ THUẬT
KHẢO SÁT, ĐO ĐẠC TÀI NGUYÊN NƯỚC VÀ ĐÁNH GIÁ, DỰ BÁO TÀI NGUYÊN NƯỚC BẰNG MÔ HÌNH DÒNG CHẢY
(Ban hành kèm theo Thông tư số 36/2017/TT-BTNMT ngày 06 tháng 10 năm 2017 của Bộ trưởng Bộ Tài nguyên và Môi trường)
1. Phạm vi điều chỉnh
1.1. Quy định kỹ thuật khảo sát, đo đạc tài nguyên nước và đánh giá dự báo tài nguyên nước bằng mô hình dòng chảy áp dụng cho các công việc sau:
a) Khảo sát, đo đạc tài nguyên nước mặt
- Đo chiều sâu mực nước;
- Đo lưu lượng nước (sông, kênh cứng, kênh tự nhiên, trong đường ống kín) bằng máy đo siêu âm;
- Đo lưu lượng nước bằng phao trên kênh tự nhiên, suối;
- Đo lưu lượng nước (sông, kênh tự nhiên, kênh cứng) bằng máy đo lưu tốc kế;
- Đo chất lượng nước hiện trường bằng máy TOA hoặc máy HACH.
b) Khảo sát, đo đạc tài nguyên nước dưới đất
- Khảo sát, đo lưu lượng mạch lộ bằng thùng định lượng, ván đo;
- Khảo sát, đo đạc lưu lượng một giếng khoan có sẵn thiết bị khai thác;
- Khảo sát, đo đạc lưu lượng một công trình có sẵn thiết bị khai thác;
- Khảo sát, đo mực nước trong giếng khoan hở (chưa lắp đặt thiết bị);
- Đo chất lượng nước tại hiện trường bằng máy TOA hoặc máy HACH;
- Quay camera giếng khoan;
- Đo chiều sâu giếng khoan;
- Đo tọa độ bằng GPS cầm tay.
c) Đánh giá, dự báo tài nguyên nước bằng mô hình dòng chảy.
- Đánh giá, dự báo tài nguyên nước mặt;
- Đánh giá, dự báo tài nguyên nước dưới đất.
Quy định kỹ thuật của công tác bơm nước thí nghiệm trong điều tra, đánh giá tài nguyên nước dưới đất được quy định tại Thông tư số 08/2015/TT-BTNMT ngày 26/02/2015 của Bộ trưởng Bộ Tài nguyên và Môi trường quy định kỹ thuật bơm nước thí nghiệm trong điều tra, đánh giá tài nguyên nước dưới đất;
Quy định kỹ thuật của công tác khoan điều tra, đánh giá và thăm dò nước dưới đất được quy định tại Thông tư số 59/2015/TT-BTNMT ngày 14/12/2015 của Bộ trưởng Bộ Tài nguyên và Môi trường quy định kỹ thuật khoan điều tra, đánh giá và thăm dò nước dưới đất;
Quy định kỹ thuật về lấy mẫu được quy định tại Bộ Tiêu chuẩn Quốc gia TCVN 6663; ISO 6667 Chất lượng nước – Lấy mẫu gồm các tiêu chuẩn sau:
- Phần 1: Hướng dẫn thiết kế chương trình lấy mẫu và kỹ thuật lấy mẫu: TCVN 6663-1:2011; ISO 5667-1:2006;
- Phần 3: Hướng dẫn bảo quản và lưu giữ mẫu nước: TCVN 6663-3 (ISO 5667-3);
- Phần 4: Hướng dẫn lấy mẫu nước hồ tự nhiên và hồ nhân tạo: TCVN 5994 (ISO 5667-4);
- Phần 6: Hướng dẫn lấy mẫu nước sông và suối: TCVN 6663-6 (ISO 5667-6);
- Phần 9: Hướng dẫn lấy mẫu nước biển: TCVN 5998 (ISO 5667-9);
- Phần 10: Hướng dẫn lấy mẫu nước thải: TCVN 5999 (ISO 5667-10);
- Phần 11: Hướng dẫn lấy mẫu nước ngầm: TCVN 6000 (ISO 5667-11).
Khi các tiêu chuẩn, quy chuẩn, quy định kỹ thuật viện dẫn quy định tại quy định này có sự thay đổi, bổ sung hoặc được thay thế thì thực hiện theo các văn bản mới ban hành.
1.2. Định mức kinh tế - kỹ thuật khảo sát, đo đạc tài nguyên nước và đánh giá, dự báo tài nguyên nước bằng mô hình dòng chảy áp dụng cho các công việc sau:
a) Khảo sát, đo đạc tài nguyên nước mặt;
b) Khảo sát, đo đạc tài nguyên nước dưới đất;
c) Đánh giá, dự báo tài nguyên nước bằng mô hình dòng chảy.
- Đánh giá, dự báo tài nguyên nước mặt;
- Đánh giá, dự báo tài nguyên nước dưới đất.
2. Đối tượng áp dụng
Quy định kỹ thuật và định mức kinh tế - kỹ thuật này áp dụng đối với các cơ quan quản lý nhà nước, các công ty, đơn vị sự nghiệp, các tổ chức, cá nhân có liên quan đến công tác khảo sát, đo đạc tài nguyên nước và đánh giá, dự báo tài nguyên nước bằng mô hình dòng chảy.
3. Cơ sở xây dựng quy định kỹ thuật và định mức kinh tế - kỹ thuật, gồm:
- Luật tài nguyên nước số 17/2012/QH13 ngày 21/6/2012;
- Nghị quyết số 1210/2016/UBTVQH13 ngày 25/5/2016 của Uỷ ban thường vụ Quốc hội về phân loại đô thị;
- Nghị định số 201/2013/NĐ-CP ngày 27/11/2013 của Chính phủ Quy định chi tiết thi hành một số điều của Luật tài nguyên nước;
- Nghị định số 204/2004/NĐ-CP ngày 14/12/2004 của Chính phủ về Chế độ tiền lương đối với cán bộ, công chức, viên chức và lực lượng vũ trang;
- Thông tư số 04/2017/TT-BTNMT ngày 03/4/2017 của Bộ trưởng Bộ Tài nguyên và Môi trường quy định xây dựng định mức kinh tế - kỹ thuật ngành tài nguyên và môi trường;
- Thông tư số 59/2015/TT-BTNMT ngày 14/12/2015 của Bộ trưởng Bộ Tài nguyên và Môi trường quy định kỹ thuật khoan điều tra, đánh giá và thăm dò nước dưới đất;
- Thông tư liên tịch số 53/2015/TTLT- BTNMT–BNV ngày 08/12/2015 của liên Bộ Tài nguyên và Môi trường và Bộ Nội vụ về việc quy định mã số và tiêu chuẩn chức danh nghề nghiệp viên chức chuyên ngành tài nguyên và môi trường;
- Thông tư số 26/2015/TT-BLĐTBXH ngày 14/7/2015 của Bộ trưởng Bộ Lao động - Thương binh và Xã hội hướng dẫn xác định chi phí tiền lương trong giá sản phẩm, dịch vụ công ích sử dụng vốn ngân sách nhà nước, áp dụng hệ số lương lao động chuyên môn nghiệp vụ;
- Thông tư số 08/2015/TT-BTNMT ngày 26/02/2015 của Bộ trưởng Bộ Tài nguyên và Môi trường quy định kỹ thuật bơm nước thí nghiệm trong điều tra, đánh giá tài nguyên nước dưới đất;
- Thông tư số 12/2014/TT-BTNMT ngày 17/02/2014 của Bộ trưởng Bộ Tài nguyên và Môi trường quy định kỹ thuật điều tra, đánh giá tài nguyên nước mặt;
- Thông tư số 13/2014/TT-BTNMT ngày 17/02/2014 của Bộ trưởng Bộ Tài nguyên và Môi trường quy định kỹ thuật điều tra, đánh giá tài nguyên nước dưới đất;
- Thông tư số 162/2014/TT-BTC ngày 06/11/2014 của Bộ trưởng Bộ Tài chính Quy định chế độ quản lý, tính hao mòn tài sản cố định trong các cơ quan nhà nước, đơn vị sự nghiệp công lập và các tổ chức có sử dụng ngân sách nhà nước;
- Quyết định số 3182/QĐ-BTNMT ngày 9/12/2015 của Bộ trưởng Bộ Tài nguyên và Môi trường về việc ban hành chế độ tính hao mòn tài sản cố định đặc thù và tài sản cố định vô hình trong các cơ quan nhà nước, đơn vị sự nghiệp công lập có sử dụng ngân sách nhà nước tại Bộ Tài nguyên và Môi trường;
- Quy định hiện hành của Nhà nước về quản lý, sử dụng công cụ, dụng cụ, máy móc, thiết bị, bảo hộ lao động cho người sản xuất;
- Quy chế, quy định, quy trình kỹ thuật - công nghệ và hướng dẫn kỹ thuật thi công và an toàn lao động hiện hành;
- Trang bị kỹ thuật hiện đang sử dụng phổ biến trong ngành Tài nguyên và Môi trường.
- Quy chuẩn quốc gia về tài nguyên nước.
4. Quy định viết tắt
|
TT |
Nội dung viết tắt |
Viết tắt |
|---|---|---|
|
1 |
Báo cáo kết quả |
BCKQ |
|
2 |
Bảo hộ lao động |
BHLĐ |
|
3 |
Chất lượng nước |
CLN |
|
4 |
Công nhân cơ khí bậc 4 |
CN4(N3) |
|
5 |
Công nhân kỹ thuật bậc 5 |
CN5(N2) |
|
6 |
Địa chất - Địa chất thuỷ văn |
ĐC-ĐCTV |
|
7 |
Địa chất thuỷ văn |
ĐCTV |
|
8 |
Định mức |
ĐM |
|
9 |
Đơn vị tính |
ĐVT |
|
10 |
Điều tra viên TNMT hạng III bậc 2 |
ĐTV2 |
|
11 |
Điều tra viên TNMT hạng III bậc 3 |
ĐTV3 |
|
12 |
Điều tra viên TNMT hạng III bậc 4 |
ĐTV4 |
|
13 |
Điều tra viên TNMT hạng III bậc 5 |
ĐTV5 |
|
14 |
Điều tra viên TNMT hạng III bậc 6 |
ĐTV6 |
|
15 |
Điều tra viên TNMT hạng II bậc 1 |
ĐTVC1 |
|
16 |
Điều tra viên TNMT hạng IV |
KTV |
|
17 |
Kinh tế - xã hội |
KT-XH |
|
18 |
Kinh tế - kỹ thuật |
KT-KT |
|
19 |
Khảo sát, đo đạc |
KSĐĐ |
|
20 |
Lái xe bậc 6 |
LX 6 |
|
21 |
Lái xe bậc 10 |
LX10 |
|
22 |
Nước dưới đất |
NDĐ |
|
23 |
Nước mặt |
NM |
|
24 |
Số thứ tự |
TT |
|
25 |
Tài nguyên nước |
TNN |
|
26 |
Tài nguyên nước dưới đất |
TNNDĐ |
|
27 |
Tài nguyên nước mặt |
TNNM |
|
28 |
Tài nguyên và Môi trường |
TNMT |
|
29 |
Thời hạn sử dụng dụng cụ, máy móc, thiết bị |
Thời hạn (tháng) |
5. Hệ số điều chỉnh
5.1. Điều kiện áp dụng: là tổ hợp các yếu tố chính gây ảnh hưởng đến việc thực hiện của bước công việc làm căn cứ để xây dựng tổ hợp điều kiện chuẩn
a) Khảo sát, đo đạc tài nguyên nước mặt
- Đối với sông:
+ Điều kiện đi lại: Loại II [1];
+ Điều kiện thuỷ văn: Loại I [2];
+ Điều kiện tần suất đo: tính cho 1 lần/ngày.
- Đối với kênh tự nhiên
+ Điều kiện đi lại: Loại II[3];
+ Điều kiện thủy văn của kênh: độ rộng < 20m;
+ Điều kiện chế độ đo: tính cho 1 lần/ ngày.
- Đối với kênh cứng
+ Điều kiện đi lại: Loại II[4];
+ Điều kiện thủy văn của kênh: độ rộng < 0,5m;
+ Điều kiện chế độ đo: tính cho 1 lần/ ngày.
- Đối với lấy mẫu và đo đạc chất lượng nước hiện trường
+ Điều kiện đi lại: Loại II[5];
+ Áp dụng cho sông, có độ rộng < 300m.
b) Đánh giá, dự báo tài nguyên nước bằng mô hình dòng chảy
- Đối với tài nguyên nước mặt
Điều kiện áp dụng tính dự báo tài nguyên nước mặt bằng mô hình dòng chảy cho lưu vực sông có các điều kiện chuẩn sau:
+ Lưu vực sông tính dự báo số lượng nước mặt có diện tích lưu vực trên 500 km2 đến 1000km2 và có dòng chảy liên tục;
+ Lưu vực có đủ số liệu, thông tin về tài nguyên nước trên lưu vực sông và các tài liệu, số liệu, thông tin liên quan, vùng không ảnh hưởng triều và không có mối quan hệ quốc tế;
+ Dự báo số lượng nước cho 1 vị trí cửa ra của 1 lưu vực (vị trí dự báo là trạm quan trắc tài nguyên nước hay trạm quan trắc khí tượng thuỷ văn hay trạm quan trắc tài nguyên - môi trường); số lượng bài toán dự báo <3.
- Đối với tài nguyên nước dưới đất
Điều kiện áp dụng tính dự báo tài nguyên nước dưới đất bằng mô hình dòng chảy có các điều kiện chuẩn sau:
+ Diện tích mô hình <500km2; bước lưới <250m;
+ Cấu trúc địa chất - địa chất thủy văn có tới 3 tầng chứa nước khác nhau, có nhiều dạng tồn tại của nước dưới đất, bề dày và thành phần đất đá của tầng chứa nước không ổn định;
+ Điều kiện biên có từ 3 đến 5 loại biên, mức độ mô phỏng trung bình;
+ Thời gian và số lượng điểm kiểm chứng thời gian chỉnh lý từ 1 - 5 năm, số lượng điểm kiểm chứng từ 10 - 30 điểm, số lượng bài toán đánh giá, dự báo từ 3 - 5.
5.2. Các hệ số điều chỉnh
Hệ số điều chỉnh là hệ số được xây dựng tương ứng với mỗi loại điều kiện chuẩn trong điều kiện áp dụng. Trong trường hợp khảo sát, đo đạc tài nguyên nước với điều kiện áp dụng khác với điều kiện chuẩn thì định mức được điều chỉnh theo các hệ số điều chỉnh tương ứng.
a) Khảo sát, đo đạc tài nguyên nước mặt
Bảng 1. Hệ số điều chỉnh theo điều kiện đi lại (Kđl)
|
TT |
Điều kiện đi lại [6] |
Kđl |
|---|---|---|
|
1 |
Tốt (I) |
0,85 |
|
2 |
Trung bình (II) |
1,00 |
|
3 |
Kém (III) |
1,10 |
|
4 |
Rất kém (IV) |
1,26 |
Bảng 2. Hệ số điều chỉnh theo điều kiện thuỷ văn (Ktv)
|
TT |
Điều kiện thủy văn [7] |
Ktv |
|---|---|---|
|
1 |
Đơn giản (I) |
1,0 |
|
2 |
Trung bình (II) |
1,2 |
|
3 |
Phức tạp (III) |
1,5 |
|
4 |
Rất phức tạp (IV) |
1,8 |
Bảng 3. Hệ số điều chỉnh theo tần suất (Kts)
|
TT |
Tần suất đo trong ngày |
Kts |
|---|---|---|
|
1 |
1 lần |
1,0 |
|
2 |
2 lần |
1,2 |
Bảng 4. Hệ số điều chỉnh theo độ rộng của kênh cứng (Kđrc)
|
TT |
Độ rộng của kênh cứng (m) |
Kđrc |
|
1 |
< 0,5 |
0,85 |
|
2 |
0,5 - 5,0 |
1,00 |
|
3 |
> 5,0 |
1,35 |
Bảng 5. Hệ số điều chỉnh theo độ rộng của kênh tự nhiên (Kđrtn)
|
TT |
Độ rộng của kênh tự nhiên (m) |
Kđrtn |
|
1 |
< 20 |
1,0 |
|
2 |
20 - ≤ 30 |
1,2 |
|
3 |
30 - ≥ 50 |
1,5 |
Bảng 6. Hệ số điều chỉnh đo mực nước theo vùng triều (Khtr)
|
TT |
Đo mực nước |
Khtr |
|
1 |
Vùng không ảnh hưởng triều |
1,0 |
|
2 |
Vùng ảnh hưởng triều |
1,3 |
Bảng 7. Hệ số điều chỉnh đo lưu lượng theo vùng triều (Kqtr)
|
TT |
Đo lưu lượng |
Kqtr |
|
1 |
Vùng không ảnh hưởng triều |
1,0 |
|
2 |
Vùng ảnh hưởng triều |
1,2 |
Bảng 8. Hệ số điều chỉnh theo khoảng cách đi lại (Kkcđl)
|
TT |
Khoảng cách đi lại |
Kkcdl |
|
1 |
< 1 |
0,85 |
|
2 |
1 - ≤ 3 |
1,00 |
|
3 |
3< - ≤ 5 |
1,38 |
b) Đánh giá, dự báo tài nguyên nước bằng mô hình dòng chảy
- Đánh giá, dự báo tài nguyên nước mặt bằng mô hình dòng chảy
Bảng 9. Hệ số điều chỉnh theo hệ số phức tạp (Kpt)
|
TT |
Các loại phức tạp |
Kpt |
|---|---|---|
|
1 |
Lưu vực có đủ số liệu, thông tin về tài nguyên nước trên lưu vực sông và các tài liệu, số liệu, thông tin liên quan, vùng không ảnh hưởng triều và không có mối quan hệ quốc tế |
1,0 |
|
2 |
Lưu vực thiếu thông tin từ mạng quan trắc tài nguyên nước; lưu vực thiếu thông tin sử dụng nước và xả nước thải; không có dự báo nền của dự báo KTTV làm dự báo TNN; ngoài dự báo số lượng TNN còn thực hiện thêm dự báo chất lượng nước |
1,5 |
|
3 |
Lưu vực có mối quan hệ quốc tế |
2 |
|
4 |
Lưu vực có ảnh hưởng triều |
3 |
Bảng 10. Hệ số điều chỉnh theo diện tích lưu vực sông (Kdt)
|
TT |
Diện tích lưu vực (km2) |
Kdt |
|---|---|---|
|
1 |
Dưới 500 |
0,8 |
|
2 |
Từ 500 đến 1.000 |
1,0 |
|
3 |
Từ 1.000 đến 5.000 |
1,2 |
|
4 |
Từ 5.000 đến 10.000 |
1,4 |
|
5 |
Từ 10.000 đến 20.000 |
1,7 |
|
6 |
Trên 20.000 |
2,5 |
Bảng 11. Hệ số điều chỉnh theo vị trí và số lượng bài toán đánh giá, dự báo (Kdb)
|
TT |
Số lượng vị trí trên một lưu vực sông |
Kdb |
|---|---|---|
|
1 |
Dự báo cho 1 vị trí trên lưu vực sông, số lượng bài toán đánh giá, dự báo <3 |
1,0 |
|
2 |
Dự báo từ 2 đến 4 vị trí cho 1 lưu vực sông, số lượng bài toán đánh giá, dự báo từ 3-5 |
1,8 |
|
3 |
Dự báo từ 5 đến 8 vị trí cho 1 lưu vực sông, số lượng bài toán đánh giá, dự báo >5 |
2,6 |
|
4 |
Dự báo từ 8 vị trí trở lên cho 1 lưu vực sông, số lượng bài toán đánh giá, dự báo >5 |
3,0 |
- Đánh giá, dự báo tài nguyên nước dưới đất bằng mô hình dòng chảy
Bảng 12. Hệ số điều chỉnh theo quy mô của mô hình (Kmh)
|
TT |
Quy mô của mô hình |
Kmh |
|---|---|---|
|
1 |
Diện tích < 500km2; bước lưới <250m |
1,0 |
|
2 |
Diện tích 500 - 2500km2; bước lưới 250 - 500m |
1,8 |
|
3 |
Diện tích: 2500km2 - 7000m2; bước lưới >500m |
2,6 |
|
4 |
Diện tích: 7000km2 - 15000m2; bước lưới >500m |
3,0 |
|
5 |
Diện tích: 15000km2 - 30000m2; bước lưới >500m |
3,3 |
|
6 |
Diện tích: 30000km2 - >50000m2; bước lưới >500m |
3,6 |
Bảng 13. Hệ số điều chỉnh theo cấu trúc địa chất thủy văn (Ktv)
|
TT |
Cấu trúc địa chất thủy văn |
Ktv |
|---|---|---|
|
1 |
Có một hoặc hai tầng chứa nước, diện tích phân bố, bề dày và thành phần thạch học của tầng chứa nước ổn định, các thông số địa chất thủy văn ít biến đổi |
0,7 |
|
2 |
Có tới 3 tầng chứa nước khác nhau, có nhiều dạng tồn tại của nước dưới đất, bề dày và thành phần đất đá của tầng chứa nước không ổn định |
1,0 |
|
3 |
Có từ 4 - 6 tầng chứa nước trở lên, độ sâu, diện phân bố, thành phần đất đá của tầng chứa nước biến đổi mạnh có xen các lớp hoặc thấu kính thấm nước yếu |
1,5 |
|
4 |
Có từ 6 - 8 tầng chứa nước trở lên, độ sâu, diện phân bố, thành phần đất đá của tầng chứa nước biến đổi mạnh có xen các lớp hoặc thấu kính thấm nước yếu |
1,8 |
Bảng 14. Hệ số điều chỉnh theo điều kiện biên (Kđb)
|
TT |
Điều kiện biên |
Kđb |
|---|---|---|
|
1 |
Có ít hơn ba loại biên, mức độ mô phỏng đơn giản |
0,7 |
|
2 |
Có từ 3 đến 5 loại biên, mức độ mô phỏng trung bình |
1,0 |
|
3 |
Có nhiều hơn 5 loại biên, mức độ mô phỏng phức tạp |
1,5 |
Bảng 15. Hệ số điều chỉnh theo thời gian chỉnh lý và số điểm kiểm chứng (Kdb)
|
TT |
Thời gian chỉnh lý và số điểm kiểm chứng |
Kdb |
|---|---|---|
|
1 |
Thời gian chỉnh lý < 1 năm; số lượng điểm kiểm chứng < 10 điểm, số lượng bài toán đánh giá, dự báo <3 |
0,7 |
|
2 |
Thời gian chỉnh lý 1 - 5 năm; số lượng điểm kiểm chứng từ 10 - 30 điểm, số lượng bài toán đánh giá, dự báo từ 3-5 |
1,0 |
|
3 |
Thời gian chỉnh lý > 5 năm; số lượng điểm kiểm chứng > 30 điểm, số lượng bài toán đánh giá, dự báo >5 |
1,5 |
6. Các quy định khác
6.1. Định mức kinh tế - kỹ thuật bao gồm các thành phần sau
a) Nội dung công việc: bao gồm các thao tác chính, thao tác phụ để thực hiện bước công việc.
b) Phân loại khó khăn: bao gồm các công việc không tính trong định mức, Điều kiện áp dụng và hệ số điều chỉnh.
Các công việc không tính trong định mức: là các công việc không được tính hao phí lao động, vật liệu, dụng cụ, thiết bị, máy móc trong định mức này.
c) Định biên lao động: bao gồm số lượng, cơ cấu thành phần, trình độ chuyên môn của một nhóm lao động được tổ chức để thực hiện từng bước công việc cụ thể căn cứ vào tính chất, mức độ phức tạp, yêu cầu về chuyên môn của từng nhóm công việc chính.
d) Định mức lao động công nghệ là thời gian lao động trực tiếp để sản xuất ra một sản phẩm (hoặc để thực hiện một bước công việc hoặc thực hiện một công việc cụ thể) và thời gian lao động trực tiếp phục vụ trong quá trình kiểm tra nghiệm thu sản phẩm theo quy chế kiểm tra nghiệm thu, đơn vị tính là công nhóm/đơn vị sản phẩm. Đối với những công việc bình thường, một công làm việc tính là 8 giờ.
đ) Định mức vật liệu, dụng cụ và thiết bị
- Định mức vật liệu: là số lượng vật liệu cần thiết để sản xuất ra một đơn vị sản phẩm (thực hiện một công việc); đơn vị tính theo đơn vị của từng loại vật liệu/đơn vị sản phẩm; định mức vật liệu phụ được tính bằng tỷ lệ 8 (%) định mức vật liệu chính trong bảng định mức vật liệu;
- Định mức dụng cụ và thiết bị: là thời gian sử dụng dụng cụ và máy móc, thiết bị cần thiết để sản xuất ra một đơn vị sản phẩm (thực hiện một công việc); đơn vị tính là ca/đơn vị sản phẩm; thời hạn sử dụng dụng cụ và máy móc, thiết bị tính là tháng; định mức dụng cụ phụ được tính bằng tỷ lệ 5 (%) định mức dụng cụ chính trong bảng định mức dụng cụ;
- Điện năng tiêu thụ của các dụng cụ, thiết bị dùng điện được tính trên cơ sở công suất và định mức dụng cụ, thiết bị và được tính theo công thức:
Định mức điện = (công suất thiết bị/giờ × 8 giờ làm việc × số ca sử dụng máy móc, thiết bị) + 5% hao hụt.
6.2. Cách tính mức
Khi khảo sát, đo đạc tài nguyên nước và đánh giá, dự báo tài nguyên nước bằng mô hình dòng chảy ở các điều kiện khác điều kiện áp dụng nêu trên thì định mức lao động, định mức vật liệu, dụng cụ và thiết bị được điều chỉnh theo các hệ số điều chỉnh tương ứng. Mức sẽ được tính theo công thức sau:

Trong đó:
- MV là định mức (lao động, vật liệu, dụng cụ và thiết bị) của công việc có các hệ số điều chỉnh;
- Mtb là định mức (lao động, vật liệu, dụng cụ và thiết bị) của dạng công việc được lập trong điều kiện chuẩn;
- Ki là hệ số điều chỉnh thứ i theo mức độ phức tạp của từng yếu tố ảnh hưởng đến mức chuẩn;
- n là số các hệ số điều chỉnh.
7. Trong quá trình áp dụng quy định kỹ thuật và định mức kinh tế - kỹ thuật này, nếu có vướng mắc hoặc phát hiện bất hợp lý, đề nghị phản ánh về Bộ Tài nguyên và Môi trường để tổng hợp, điều chỉnh kịp thời.
[1] Phân loại điều kiện đi lại theo Phụ lục số 01, Phần IV của Thông tư này
[2] Phân loại điều kiện thuỷ văn theo Phụ lục số 02, Phần IV của Thông tư này
[3] Phân loại điều kiện đi lại theo Phụ lục số 01, Phần IV của Thông tư này
[4] Phân loại điều kiện đi lại theo Phụ lục số 01, Phần IV của Thông tư này
[5] Phân loại điều kiện đi lại theo Phụ lục số 01, Phần IV của Thông tư này
[6] Phân loại điều kiện đi lại theo Phụ lục số 01, Phần IV của Thông tư này
QUY ĐỊNH KỸ THUẬT KHẢO SÁT, ĐO ĐẠC TÀI NGUYÊN NƯỚC VÀ ĐÁNH GIÁ, DỰ BÁO TÀI NGUYÊN NƯỚC BẰNG MÔ HÌNH DÒNG CHẢY
Chương 1
QUY ĐỊNH KỸ THUẬT KHẢO SÁT, ĐO ĐẠC TÀI NGUYÊN NƯỚC MẶT
I. Đo chiều sâu mực nước
I.1. Các nội dung công việc và quy định kỹ thuật
I.1.1. Ngoại nghiệp
1. Nhận nhiệm vụ, lập đề cương chuẩn bị máy móc, thiết bị, dụng cụ, tài liệu và bảng biểu đi hiện trường, chọn vị trí đo chiều sâu mực nước;
2. Di chuyển đến vị trí khảo sát, đo đạc;
3. Xây dựng hệ thống cọc đo chiều sâu mực nước
Số lượng cọc đo chiều sâu mực nước được xác định bằng số thủy trực đo sâu trên mỗi mặt cắt ngang được quy định tại Thông tư số 12/2014/TT-BTNMT ngày 17/02/2014 của Bộ trưởng Bộ Tài nguyên và Môi trường quy định kỹ thuật điều tra, đánh giá tài nguyên nước mặt.
4. Đo vẽ trắc dọc tuyến đo chiều sâu mực nước
Công tác đo vẽ trắc dọc tuyến đo chiều sâu mực nước thực hiện theo quy định hiện hành và đảm bảo các mục tiêu của dự án.
5. Đo chiều sâu mực nước theo yêu cầu của việc sử dụng số liệu tài nguyên nước mặt
5.1. Đặt thước đo
Đặt thước đo nước cầm tay lên đầu cọc gần nhất bị ngập nước từ 5cm trở lên (kể cả khi có sóng), quay thước sao cho bề mỏng của thước xuôi chiều theo hướng nước chảy, mặt vạch số hướng về người đo.
5.2. Đọc số trên thước
a) Khi không có sóng, mặt nước nằm tại vạch khắc nào thì lấy trị số của vạch khắc đó làm số đọc. Nếu mặt nước nằm trong khoảng hai vạch, thì quy tròn theo độ chính xác của thước, cách quy tròn như sau:
- Số lẻ nhỏ hơn 5, bỏ phần lẻ, giữ nguyên trị số hàng đơn vị;
- Số lẻ từ 5 trở lên, bỏ phần lẻ, nhưng tăng thêm 1 đơn vị vào trị số hàng đơn vị.
b) Khi mặt nước có sóng, thì đọc mực nước tại hai đợt sóng, mỗi đợt đọc vạch cao nhất của đỉnh sóng và vạch thấp nhất của chân sóng (số đọc chân sóng từ 5cm trở lên), sau đó lấy trung bình của cả hai đợt đọc làm số đọc, cần đo trước một khoảng thời gian, để sao cho thời gian trung bình của lần đo, đúng vào thời gian quy định đo.
5.3. Đọc mực nước kiểm tra giữa hai cọc kề nhau áp dụng đối với các cọc tạm, cọc làm lại chưa ổn định
a) Khi chuyển đo từ cọc này sang cọc khác, phải cùng lúc đọc được số đọc ở cọc (thủy chí) đang đo đạc và cọc sắp đo.
b) Hai trị số mực nước đọc cùng lúc được ghi theo dạng phân số, tử số ghi số liệu ở cọc đã và đang quan trắc, mẫu số ghi số liệu ở cọc sắp đo.
c) Ghi đầy đủ các mục “Số hiệu cọc”, “Độ cao đầu cọc”, “Số đọc”. Nếu mực nước đo ở hai cọc không khớp nhau, phải tìm nguyên nhân, đọc lại hoặc dẫn lại độ cao đầu cọc, hiệu chỉnh các số đã ghi.
d) Trị số mực nước của lần đo là trị số mực nước của cọc đã và đang đo.
6. Tháo dỡ, thu dọn dụng cụ thiết bị đo và quay về chỗ ở;
7. Kiểm tra, bảo dưỡng dụng cụ, thiết bị thực địa.
I.1.2. Nội nghiệp
1. Chỉnh biên, chỉnh lý tài liệu;
2. Tính giá trị chiều sâu mực nước;
3. Lập các biểu đồ về quan hệ chiều sâu mực nước và lưu lượng;
4. Lập báo cáo thuyết minh;
5. In ấn sản phẩm, nhân bộ và bàn giao tài liệu.
I.2. Hồ sơ sản phẩm giao nộp
I.2.1. Báo cáo thuyết minh đo chiều sâu mực nước;
I.2.2. Đĩa CD sản phẩm.
II. Đo lưu lượng nước trên sông bằng máy đo siêu âm
II.1. Các nội dung công việc và quy định kỹ thuật
II.1.1. Ngoại nghiệp
1. Nhận nhiệm vụ, chuẩn bị phương tiện, vật liệu, dụng cụ và máy móc, thiết bị phục vụ khảo sát, đo đạc; kiểm tra, hiệu chỉnh, kiểm định máy móc theo quy định; yêu cầu về độ chính xác của thiết bị là ≤ ± 5% giá trị đo.
2. Di chuyển đến vị trí khảo sát, đo đạc;
3. Xác định tuyến đo mặt cắt ngang sông;
4. Lắp đặt máy thiết bị trước khi đo;
5. Đo lưu lượng nước mặt bằng máy đo siêu âm và theo yêu cầu đáp ứng tài liệu về số lượng nước của việc kiểm kê, đánh giá tài nguyên nước mặt;
Đọc kết quả hiện trên máy: đọc 3 lần số liệu và lấy số liệu trung bình.
6. Tháo dỡ, thu dọn dụng cụ, thiết bị và quay về chỗ ở;
7. Kiểm tra, bảo dưỡng dụng cụ, phương tiện thiết bị đo sau mỗi lần đo.
II.1.2. Nội nghiệp
1. Chỉnh biên, chỉnh lý tài liệu;
2. Biên tập lưu lượng mỗi lần đo;
3. Vẽ đường quan hệ vận tốc – mực nước V~H, lưu lượng và mực nước Q~H;
4. Viết báo cáo thuyết minh;
5. In ấn sản phẩm, nhân bộ và bàn giao tài liệu.
II.2. Hồ sơ sản phẩm giao nộp
II.2.1. Báo cáo thuyết minh đo lưu lượng nước bằng máy siêu âm;
II.2.2. Đĩa CD sản phẩm.
III. Đo lưu lượng nước trên kênh cứng bằng máy đo siêu âm
III.1. Các nội dung công việc và quy định kỹ thuật
III.1.1. Ngoại nghiệp
1. Nhận nhiệm vụ, lập đề cương chuẩn bị phương tiện, vật liệu, dụng cụ và máy móc, thiết bị phục vụ khảo sát, đo đạc; kiểm tra, hiệu chỉnh, kiểm định máy móc theo quy định; yêu cầu về độ chính xác của thiết bị là ≤ ± 5% giá trị đo;
2. Di chuyển đến vị trí khảo sát, đo đạc;
3. Lắp đặt máy thiết bị trước khi đo;
4. Đo lưu lượng nước bằng máy đo siêu âm và theo yêu cầu đáp ứng tài liệu của việc kiểm kê, đánh giá hiện trạng khai thác, sử dụng tài nguyên nước mặt;
Đọc kết quả hiện trên máy: đọc 3 lần số liệu và lấy số liệu trung bình.
5. Tháo dỡ, thu dọn dụng cụ thiết bị và quay về chỗ ở;
6. Kiểm tra, bảo dưỡng dụng cụ, máy móc, thiết bị đo sau mỗi lần đo.
III.1.2. Nội nghiệp
1. Chỉnh biên, chỉnh lý tài liệu;
2. Tính toán lưu lượng nước mỗi lần đo;
3. Viết báo cáo kết quả điều tra, khảo sát;
4. In ấn sản phẩm, nhân bộ và bàn giao tài liệu.
III.2. Hồ sơ sản phẩm giao nộp
III.2.1. Báo cáo thuyết minh đo lưu lượng nước bằng máy siêu âm;
III.2.2. Đĩa CD sản phẩm.
IV. Đo lưu lượng nước trên kênh tự nhiên bằng máy đo siêu âm
IV.1. Các nội dung công việc và quy định kỹ thuật
IV.1.1. Ngoại nghiệp
1. Nhận nhiệm vụ, chuẩn bị phương tiện, vật liệu, dụng cụ và máy móc, thiết bị phục vụ khảo sát, đo đạc; kiểm tra, hiệu chỉnh, kiểm định máy móc theo quy định; yêu cầu về độ chính xác của thiết bị là ≤ ± 5% giá trị đo;
2. Di chuyển đến vị trí khảo sát;
3. Lắp đặt máy thiết bị trước khi đo;
3. Xác định tuyến đo mặt cắt ngang tuyến đo lưu lượng nước;
4. Đo lưu lượng nước mặt bằng máy đo siêu âm và theo yêu cầu đáp ứng tài liệu về số lượng nước của việc kiểm kê, đánh giá hiện trạng khai thác, sử dụng tài nguyên nước mặt;
Đọc kết quả hiện trên máy: đọc 3 lần số liệu và lấy số liệu trung bình.
5. Tháo dỡ, thu dọn dụng cụ thiết bị và quay về chỗ ở;
6. Kiểm tra, bảo dưỡng dụng cụ, máy móc, thiết bị đo sau mỗi lần đo.
IV.1.2. Nội nghiệp
1. Chỉnh biên, chỉnh lý tài liệu;
2. Tính toán lưu lượng nước mỗi lần đo;
3. Viết báo cáo kết quả điều tra, khảo sát;
4. In ấn sản phẩm, nhân bộ và bàn giao tài liệu.
IV.2. Hồ sơ sản phẩm giao nộp
IV.2.1. Báo cáo thuyết minh đo lưu lượng nước bằng máy siêu âm;
IV.2.2. Đĩa CD sản phẩm.
V. Đo lưu lượng nước trong đường ống kín
V.1. Các nội dung công việc và quy định kỹ thuật
V.1.1. Ngoại nghiệp
1. Nhận nhiệm vụ, chuẩn bị phương tiện, vật liệu, dụng cụ và máy móc, thiết bị phục vụ khảo sát, đo đạc; kiểm tra, hiệu chỉnh, kiểm định máy móc theo quy định; yêu cầu về độ chính xác của thiết bị là ≤ ± 5% giá trị đo;
2. Di chuyển đến vị trí khảo sát, đo đạc;
3. Xác định vị trí đo;
4. Lắp đặt máy móc, thiết bị trước khi đo;
5. Đo lưu lượng nước bằng máy đo siêu âm và theo yêu cầu đáp ứng tài liệu của việc kiểm kê, đánh giá hiện trạng nước thải; đánh giá hiện trạng khai thác, sử dụng tài nguyên nước;
Đọc kết quả hiện trên máy: đọc 3 lần số liệu và lấy số liệu trung bình.
6. Tháo dỡ, thu dọn dụng cụ thiết bị và quay về chỗ ở;
7. Kiểm tra, bảo dưỡng dụng cụ, máy móc, thiết bị đo sau mỗi lần đo.
V.1.2. Nội nghiệp
1. Chỉnh biên, chỉnh lý tài liệu;
2. Tính toán lưu lượng nước mỗi lần đo;
3. Viết báo cáo kết quả điều tra, khảo sát;
4. In ấn sản phẩm, nhân bộ và bàn giao tài liệu.
V.2. Hồ sơ sản phẩm giao nộp
V.2.1. Báo cáo thuyết minh đo lưu lượng nước bằng máy siêu âm;
V.2.2. Đĩa CD sản phẩm.
VI. Đo lưu lượng nước bằng phao trên kênh tự nhiên, suối
VI.1. Các nội dung công việc và quy định kỹ thuật
VI.1.1. Ngoại nghiệp
1. Nhận nhiệm vụ, chuẩn bị phương tiện, vật liệu, dụng cụ và máy móc, thiết bị phục vụ khảo sát, đo đạc;
2. Di chuyển đến vị trí khảo sát, đo đạc;
3. Bố trí thủy trực xác định vị trí thả phao, đo mặt cắt ngang của tuyến đo;
Việc bố trí các thủy trực trên mỗi mặt cắt ngang được quy định tại Thông tư số 12/2014/TT-BTNMT ngày 17/02/2014 của Bộ trưởng Bộ Tài nguyên và Môi trường quy định kỹ thuật điều tra, đánh giá tài nguyên nước mặt.
4. Đo mặt cắt dọc tuyến đo, xác định chiều dài tuyến phao trôi
4.1. Quy định kỹ thuật đo mặt cắt dọc tuyến đo theo quy định hiện hành;
4.2. Quy định về xác định chiều dài tuyến phao trôi
a) Yêu cầu đoạn sông thẳng, đủ chiều dài phao trôi ổn định (bao gồm tuyến thả phao và tuyến phao trôi ổn định);
b) Chọn 2 tuyến đo trên, dưới tuyến đo thủy văn sao cho thời gian phao trôi khoảng 20 giây và tối thiểu đảm bảo 10 giây. Khoảng cách giữa hai tuyến trên và dưới đo chính xác gọi là tuyến cơ sở. Phao thả trên tuyến trên cỡ 5 – 10m;
4.3. Phao phải có cờ hoặc đèn hiệu để có thể nhận biết rõ ràng;
5. Đo tốc độ bằng phao theo yêu cầu của việc đánh giá tài nguyên nước mặt
5.1. Thả phao trên sông từ 10 đến 25 phao (sông hẹp thì thả từ bờ, nếu sông lớn thì phải dùng thuyền), cách đều trên sông theo nhóm;
5.2. Xác định thời gian phao trôi qua các tuyến quan sát;
5.3. Trên tuyến đo chính lúc phao đi qua cần xác định khoảng cách phao trôi từ điểm mốc (bằng dây hoặc là máy đo);
5.4. Giá trị vận tốc của phao chỉ được tính đối với các phao trôi theo tuyến ổn định và mỗi một vị trí phải đọc 3 lần.
6. Tháo dỡ, thu dọn dụng cụ, thiết bị và quay về chỗ ở;
7. Kiểm tra, bảo dưỡng dụng cụ, máy móc, thiết bị đo sau mỗi lần đo.
VI.1.2. Nội nghiệp
1. Chỉnh biên, chỉnh lý tài liệu;
2. Biên tập lưu lượng mỗi lần đo;
3. Viết báo cáo kết quả điều tra, khảo sát;
4. In ấn sản phẩm, nhân sao và bàn giao tài liệu.
VI.2. Hồ sơ sản phẩm giao nộp
VI.2.1. Báo cáo thuyết minh đo lưu lượng nước bằng phao;
VI.2.2. Đĩa CD sản phẩm.
VII. Đo lưu lượng nước sông bằng máy đo lưu tốc kế
VII.1. Các nội dung công việc và quy định kỹ thuật
VII.1.1. Ngoại nghiệp
1. Nhận nhiệm vụ, chuẩn bị phương tiện, vật liệu, dụng cụ và máy móc, thiết bị phục vụ khảo sát, đo đạc; kiểm tra, hiệu chỉnh, kiểm định máy móc theo quy định; yêu cầu về độ chính xác của thiết bị là ≤ ± 5% giá trị đo;
2. Di chuyển đến vị trí khảo sát, đo đạc;
3. Đo vẽ mặt cắt ngang chi tiết, bố trí đường đo lưu tốc;
Quy định kỹ thuật đo vẽ mặt cắt ngang chi tiết theo quy định hiện hành.
4. Tính toán, xác định vị trí và trồng tiêu ngắm, xác định vị trí đường thủy trực;
Việc bố trí các thủy trực trên mỗi mặt cắt ngang được quy định tại Thông tư số 12/2014/TT-BTNMT ngày 17/02/2014 của Bộ trưởng Bộ Tài nguyên và Môi trường quy định kỹ thuật điều tra, đánh giá tài nguyên nước mặt.
5. Lắp đặt máy và dụng cụ đo lên phương tiện nổi;
6. Đo tốc độ dòng nước bằng máy đo lưu tốc kế
6.1. Yêu cầu đoạn sông thẳng;
6.2. Yêu cầu về độ sâu đo tại mỗi thủy trực
a) Đối với vùng sông không ảnh hưởng triều:
- Có chế độ đo 5 điểm đối với độ sâu (h): h > 3m, thì tiến hành đo 05 điểm: điểm mặt, và các độ sâu 0,2h, 0,6h, 0,8h cách mặt nước và điểm đáy;
- Đo 3 điểm hoặc 2 điểm khi h < 3m, có quy luật phân bố vận tốc rõ ràng h=f(v) với sai số lưu tốc đo 5 điểm và 2 điểm phải nhỏ hơn 3%, thì với đo 2 điểm là các điểm 0,2h, 0,8h còn đo 3 điểm là 0,2h; 0,6h; 0,8h;
- Đo 1 điểm khi h< 1m có vị trí điểm đo là 0,6h.
b) Đối với vùng sông ảnh hưởng triều:
- Đo 6 điểm (hai lượt lên và xuống) gồm các điểm mặt, 0,8h, 0,6 h, 0,4 h; 0,6 h; 0,8h, 0,6h; 0,8h, đáy, 0,8h, 0,6h, 0,4h, mặt;
- Đo xuống, lên 3 điểm: 0,6h, 0,8h, 0,6h, 0,2h;
- Đo xuống, lên 2 điểm: 0,2h, 0,8h, 0,2h;
- Đo một lần tiến hành lúc triều xuống.
6.3. Thời gian đo liên tục tại một điểm
- Đối với vùng sông không ảnh hưởng triều, thời gian đo phải lớn hơn hoặc bằng 120 giây. Nếu lưu tốc quá nhỏ, thời gian đo đã đủ 120 giây mà chưa thu được một tín hiệu nào thì có thể kéo dài thời gian đo cho đến khi thu đủ tín hiệu. Khi thời gian đo đã tới 5 phút không thu được tín hiệu nào thì coi như lưu tốc tại điểm đo bằng 0.
- Tại vùng sông ảnh hưởng triều, thời gian đo tại các điểm khác nhau trên thủy trực là khác nhau (tại điểm gần đáy dài hơn), nhưng để tiện cho đo đạc có thể cố định thời gian đo tại một điểm lớn hơn hoặc bằng 60 giây. Nếu thời gian đo vượt quá 120 giây mà chưa thu được tín hiệu thì coi như lưu tốc tại điểm đó bằng 0.
7. Đo vẽ mặt cắt ngang tuyến đo giữa kỳ và trước khi kết thúc kỳ đo;
8. Tháo dỡ máy móc, thiết bị sau khi đo và quay về chỗ ở;
9. Kiểm tra, bảo dưỡng dụng cụ, máy móc, thiết bị đo sau mỗi lần đo.
VII.1.2. Nội nghiệp
1. Chỉnh biên, chỉnh lý tài liệu;
2. Biên tập lưu lượng mỗi lần đo;
3. Lập hồ sơ, viết thuyết minh;
4. In ấn sản phẩm, nhân bộ và bàn giao tài liệu.
VII.2. Hồ sơ sản phẩm giao nộp
VII.2.1. Báo cáo thuyết minh đo lưu lượng nước bằng lưu tốc kế;
VII.2.2. Đĩa CD sản phẩm.
VIII. Đo lưu lượng nước trên kênh cứng bằng máy đo lưu tốc kế
VIII.1. Các nội dung công việc và quy định kỹ thuật
VIII.1.1. Ngoại nghiệp
1. Nhận nhiệm vụ, chuẩn bị phương tiện, vật liệu, dụng cụ và máy móc, thiết bị phục vụ khảo sát, đo đạc, kiểm tra, hiệu chỉnh, kiểm định máy móc theo quy định;
2. Di chuyển đến vị trí khảo sát, đo đạc;
3. Lắp đặt máy móc thiết bị trước khi đo;
4. Vẽ diện tích mặt cắt ướt
Quy định kỹ thuật đo vẽ diện tích mặt cắt ướt theo quy định hiện hành.
5. Xác định vị trí thuỷ trực cần đo
Việc bố trí các thủy trực trên mỗi mặt cắt ngang được quy định tại Thông tư số 12/2014/TT-BTNMT ngày 17/02/2014 của Bộ trưởng Bộ Tài nguyên và Môi trường quy định kỹ thuật điều tra, đánh giá tài nguyên nước mặt.
6. Đo lưu lượng nước bằng lưu tốc kế và theo yêu cầu đáp ứng tài liệu của việc kiểm kê, đánh giá hiện trạng khai thác, sử dụng tài nguyên nước mặt
6.1. Yêu cầu đoạn kênh thẳng;
6.2. Yêu cầu về độ sâu đo tại mỗi thủy trực
a) Có chế độ đo 5 điểm đối với độ sâu: h > 3m, thì tiến hành đo 05 điểm: điểm mặt và các độ sâu 0,2h, 0,6h, 0,8h cách mặt nước và điểm đáy;
b) Đo 3 điểm hoặc 2 điểm khi h < 3m, có quy luật phân bố vận tốc rõ ràng h=f(v) với sai số lưu tốc đo 5 điểm và 2 điểm phải nhỏ hơn 3%, thì với đo 2 điểm là các điểm 0,2h, 0,8h còn đo 3 điểm là 0,2h; 0,6h; 0,8h;
c) Đo 1 điểm khi h< 1m có vị trí điểm đo là 0,6h.
6.3. Thời gian đo liên tục tại một điểm
Thời gian đo phải lớn hơn hoặc bằng 120 giây. Nếu lưu tốc quá nhỏ, thời gian đo đã đủ 120 giây mà chưa thu được một tín hiệu nào thì có thể kéo dài thời gian đo cho đến khi thu đủ tín hiệu. Khi thời gian đo đã tới 5 phút không thu được tín hiệu nào thì coi như lưu tốc tại điểm đo bằng 0.
7. Tháo dỡ máy móc, thiết bị sau khi đo và quay về chỗ ở;
8. Kiểm tra, bảo dưỡng dụng cụ, máy móc, thiết bị đo sau mỗi lần đo.
VIII.1.2. Nội nghiệp
1. Chỉnh biên, chỉnh lý tài liệu;
2. Biên tập lưu lượng mỗi lần đo;
3. Lập hồ sơ, viết thuyết minh;
4. In ấn sản phẩm, nhân bộ và bàn giao tài liệu.
VIII.2. Hồ sơ sản phẩm giao nộp
VIII.2.1. Báo cáo thuyết minh đo lưu lượng nước bằng lưu tốc kế;
VIII.2.2. Đĩa CD sản phẩm.
IX. Đo lưu lượng nước kênh tự nhiên bằng máy đo lưu tốc kế
IX.1. Các nội dung công việc
IX.1.1. Ngoại nghiệp
1. Nhận nhiệm vụ, chuẩn bị phương tiện, vật liệu, dụng cụ và máy móc, thiết bị phục vụ khảo sát, đo đạc, kiểm tra, hiệu chỉnh, kiểm định máy móc theo quy định;
2. Di chuyển đến vị trí khảo sát, đo đạc;
3. Lắp đặt máy móc thiết bị trước khi đo;
4. Xác định độ rộng và độ sâu của kênh tự nhiên;
5. Vẽ diện tích mặt cắt ướt
Quy định kỹ thuật đo vẽ diện tích mặt cắt ướt theo quy định hiện hành.
6. Xác định vị trí thuỷ trực cần đo
Việc bố trí các thủy trực trên mỗi mặt cắt ngang được quy định tại Thông tư số 12/2014/TT-BTNMT ngày 17/02/2014 của Bộ trưởng Bộ Tài nguyên và Môi trường quy định kỹ thuật điều tra, đánh giá tài nguyên nước mặt.
7. Đo lưu lượng nước bằng lưu tốc kế và theo yêu cầu đáp ứng tài liệu của việc kiểm kê đánh giá hiện trạng khai thác, sử dụng tài nguyên nước
7.1. Yêu cầu đoạn kênh tự nhiên thẳng;
7.2. Yêu cầu về độ sâu đo tại mỗi thủy trực
a) Đối với vùng không ảnh hưởng triều:
- Có chế độ đo 5 điểm đối với độ sâu: h > 3m, thì tiến hành đo 05 điểm: điểm mặt, và các độ sâu 0,2h, 0,6h, 0,8h cách mặt nước và điểm đáy;
- Đo 3 điểm hoặc 2 điểm khi h < 3m, có quy luật phân bố vận tốc rõ ràng h=f(v) với sai số lưu tốc đo 5 điểm và 2 điểm phải nhỏ hơn 3%, thì với đo 2 điểm là các điểm 0,2h, 0,8h còn đo 3 điểm là 0,2h; 0,6h; 0,8h;
- Đo 1 điểm khi h< 1m có vị trí điểm đo là 0,6h.
b) Đối với vùng ảnh hưởng triều:
- Đo 6 điểm (hai lượt lên và xuống) gồm các điểm mặt, 0,8h, 0,6h, 0,4h; 0,6h; 0,8h, 0,6h; 0,8h, đáy, 0,8h, 0,6h, 0,4h, mặt;
- Đo xuống, lên 3 điểm: 0,6h, 0,8h, 0,6h, 0,2h;
- Đo xuống, lên 2 điểm: 0,2h, 0,8h, 0,2h;
- Đo một lần tiến hành lúc triều xuống.
7.3. Thời gian đo liên tục tại một điểm
a) Đối với vùng không ảnh hưởng triều, thời gian đo phải lớn hơn hoặc bằng 120 giây. Nếu lưu tốc quá nhỏ, thời gian đo đã đủ 120 giây mà chưa thu được một tín hiệu nào thì có thể kéo dài thời gian đo cho đến khi thu đủ tín hiệu. Khi thời gian đo đã tới 5 phút không thu được tín hiệu nào thì coi như lưu tốc tại điểm đo bằng 0;
b) Tại vùng ảnh hưởng triều, thời gian đo tại các điểm khác nhau trên thủy trực là khác nhau (tại điểm gần đáy dài hơn), nhưng để tiện cho đo đạc có thể cố định thời gian đo tại một điểm lớn hơn hoặc bằng 60 giây. Nếu thời gian đo vượt quá 120 giây mà chưa thu được tín hiệu thì coi như lưu tốc tại điểm đó bằng 0.
8. Tháo dỡ, thu dọn dụng cụ thiết bị sau mỗi lần đo và quay về chỗ ở;
9. Kiểm tra, bảo dưỡng dụng cụ, máy móc, thiết bị đo sau mỗi lần đo.
IX.1.2. Nội nghiệp
1. Chỉnh biên, chỉnh lý tài liệu;
2. Biên tập lưu lượng mỗi lần đo;
3. Lập hồ sơ, viết thuyết minh;
4. In ấn sản phẩm, nhân bộ và bàn giao tài liệu.
IX.2. Hồ sơ sản phẩm giao nộp
IX.2.1. Báo cáo thuyết minh đo lưu lượng nước bằng lưu tốc kế;
IX.2.2. Đĩa CD sản phẩm.
X. Đo đạc chất lượng nước hiện trường bằng máy TOA hoặc máy HACH
X.1. Các nội dung công việc và quy định kỹ thuật
X.1.1. Ngoại nghiệp
1. Nhận nhiệm vụ, chuẩn bị phương tiện, vật liệu, dụng cụ và máy móc, thiết bị phục vụ khảo sát, đo đạc; chuẩn độ thiết bị đo, chuẩn bị thiết bị phân tích mẫu, các hoá chất kèm theo, súc rửa bình lấy mẫu; yêu cầu về độ chính xác của thiết bị là ≤ ± 5% giá trị đo;
2. Di chuyển đến vị trí đo;
3. Xác định vị trí đo;
4. Lắp đặt máy móc thiết bị trước khi đo;
5. Đo các yếu tố cần đo tại các tầng;
Đọc kết quả hiện trên máy: đọc 3 lần số liệu và lấy số liệu trung bình.
6. Tháo dỡ, thu dọn dụng cụ và thiết bị đo sau mỗi lần đo và quay về chỗ ở;
7. Làm sạch đầu đo của máy sau mỗi lần đo.
X.1.2. Nội nghiệp
1. Tổng hợp số liệu đo, xử lý số liệu đo;
2. Viết báo cáo kết quả đo đạc ngoài hiện trường;
3. In ấn sản phẩm, nhân bộ và bàn giao tài liệu.
X.2. Hồ sơ sản phẩm giao nộp
X.2.1. Báo cáo thuyết minh đo đạc chất lượng nước ngoài hiện trường;
X.2.2. Đĩa CD sản phẩm.
Chương 2
QUY ĐỊNH KỸ THUẬT KHẢO SÁT, ĐO ĐẠC TÀI NGUYÊN NƯỚC DƯỚI ĐẤT
I. Khảo sát, đo lưu lượng mạch lộ bằng thùng định lượng, ván đo
I.1. Các nội dung công việc và yêu cầu kỹ thuật
I.1.1. Ngoại nghiệp
1. Chuẩn bị tài liệu, bản đồ, sổ sách, dụng cụ đo đạc;
2. Lộ trình, khảo sát theo các tuyến đã định;
3. Dọn sạch mạch lộ;
4. Mô tả mạch lộ theo quy định, ghi chép vào nhật ký, gồm: số hiệu điểm lộ, vị trí địa lý, tọa độ (đo bằng GPS cầm tay), đặc điểm địa hình địa mạo nơi xuất lộ nước, xác định đặc điểm xuất lộ (chảy lên hay chảy xuống; nước chảy thành dòng lớn, nhỏ hoặc thấm rỉ), thành phần đất đá nơi nước xuất lộ, xác định tính chất vật lý của nước (màu, mùi, vị, độ trong, đo độ pH bằng giấy quỳ), đo nhiệt độ nước và không khí
Việc đo tọa độ bằng GPS cầm tay được quy định tại mục VIII, Chương 2, phần II của Thông tư này.
5. Lấy mẫu nước theo yêu cầu kỹ thuật tại TCVN 6000 (ISO 5667-11);
6. Đo lưu lượng mạch lộ bằng thùng định lượng hoặc ván đo, gồm:
6.1. Đắp chặn dòng chảy để dòng chảy tập trung vào một nơi;
6.2. Đo lưu lượng mạch lộ bằng thùng định lượng ở những nguồn lộ có lưu lượng nhỏ
a) Lựa chọn dung tích sao cho thời gian đầy thùng đủ để loại bỏ sai số đo;
b) Dùng máng hoặc ống dẫn nước vào thùng định lượng;
c) Bấm thời gian đầy thùng;
d) Ghi chép vào nhật ký.
6.3. Đo lưu lượng mạch lộ bằng ván đo
a) Lựa chọn loại ván phù hợp với lưu lượng mạch lộ (ván tam giác, ván hình chữ nhật, ván hình thang);
b) Đặt ván vuông góc với hướng dòng chảy, ngưỡng ván phải bằng hoặc cao hơn mực nước;
c) Tiến hành đo chiều cao cột nước chảy qua ván bằng thước mét cứng có khắc vạch tới milimét. Vị trí đo được đánh dấu sẵn bằng một nẹp ở đáy ván sao cho khi đo có thể chọn được vị trí cách mép ván ít nhất 3 lần so với chiều cao cột nước tối đa chảy qua ván. Số đo đọc chính xác đến milimét;
d) Đo chiều cao cột nước 3 lần rồi lấy giá trị trung bình;
đ) Ghi chép vào nhật ký
7. San lấp, trả lại mặt bằng như cũ, làm vệ sinh môi trường;
8. Thu dọn dụng cụ và quay về chỗ ở.
I.1.2. Nội nghiệp
1. Hoàn thiện các tài liệu thực địa, vào sổ trong phòng, đưa mạch lộ lên bản đồ;
2. Kiểm tra, tính toán lưu lượng
Kết quả đo lưu lượng bằng ván được tính theo công thức sau:
Dạng ván đo Công thức tính
Ván tam giác Q = 0,014h2 (l/s);
Ván hình chữ nhật Q = 0,018bh (l/s);
Ván hình thang Q = 0,0186bh (l/s).
Trong đó: h: cột nước chảy qua ván (cm);
b: chiều rộng cạnh dưới của ván đo (cm);
Q: lưu lượng (l/s).
3. Lập phiếu mạch lộ và viết báo cáo đo đạc;
4. In ấn sản phẩm, nhân bộ và bàn giao tài liệu.
I.2. Hồ sơ sản phẩm giao nộp
I.2.1. Báo cáo thuyết minh đo lưu lượng mạch lộ bằng thùng định lượng hoặc ván đo;
I.2.2. Đĩa CD sản phẩm.
II. Khảo sát, đo đạc lưu lượng một giếng khoan có sẵn thiết bị khai thác
II.1. Các nội dung công việc và yêu cầu kỹ thuật
II.1.1. Ngoại nghiệp
1. Chuẩn bị tài liệu, phương tiện, vật tư, trang thiết bị để khảo sát, đo đạc; kiểm tra, hiệu chỉnh, bảo dưỡng máy móc theo quy định; yêu cầu về độ chính xác của thiết bị là ≤ ± 5% giá trị đo;
2. Liên hệ, làm thủ tục hành chính với chính quyền địa phương và chủ công trình khai thác;
3. Khảo sát xác định vị trí có công trình đo đạc;
4. Thu thập, ghi chép hồ sơ, tài liệu công trình khai thác;
5. Tiến hành khảo sát, đo đạc giếng khoan khai thác gồm: xác định tọa độ giếng khai thác bằng máy GPS cầm tay; khảo sát quy mô, sơ đồ công nghệ khai dẫn và xử lý nước; đo đạc lưu lượng khai thác (bằng đồng hồ đo lưu lượng, thùng định lượng hoặc máy đo siêu âm,…)
5.1. Việc đo tọa độ bằng máy GPS cầm tay được quy định tại mục VIII, Chương 2, phần II của Thông tư này;
5.2. Đo đạc lưu lượng khai thác bằng đồng hồ đo lưu lượng;
Đọc kết quả hiện trên đồng hồ: đọc 3 lần số liệu và lấy số liệu trung bình.
5.3. Đo đạc lưu lượng khai thác bằng thùng định lượng: đo ở những vị trí có lưu lượng nhỏ;
5.4. Đo đạc lưu lượng khai thác bằng máy đo siêu âm;
Đọc kết quả hiện trên máy: đọc 3 lần số liệu và lấy số liệu trung bình.
6. Lập phiếu điều tra giếng khoan khai thác theo quy định hoặc yêu cầu kỹ thuật của đề án;
7. Di chuyển trong vùng công tác;
8. Nhập số liệu vào máy tính xách tay;
9. Hoàn thiện các tài liệu thực địa;
10. Kiểm tra, bảo dưỡng các dụng cụ, thiết bị đo đạc giếng khoan theo quy định hoặc bị hư hỏng nhẹ.
II.1.2. Nội nghiệp
1. Hoàn thiện sổ nhật ký, phiếu điều tra thực địa theo quy định;
2. Lập bản đồ hiện trạng các công trình đo đạc vùng điều tra khảo sát;
3. Tính toán kết quả đo lưu lượng khai thác và quan trắc thu thập được ở các điểm khảo sát;
4. Hoàn thiện tài liệu thu thập, sổ ghi chép, bản vẽ, biểu bảng tổng hợp giếng khai thác theo quy định;
5. Viết báo cáo kết quả công tác khảo sát, đo đạc;
6. In ấn sản phẩm, nhân bộ và bàn giao tài liệu.
II.2. Hồ sơ sản phẩm giao nộp
II.2.1. Báo cáo thuyết minh đo lưu lượng một giếng khoan có sẵn thiết bị khai thác;
II.2.2. Đĩa CD sản phẩm.
III. Khảo sát, đo đạc lưu lượng một công trình có sẵn thiết bị khai thác
III.1. Các nội dung công việc
III.1.1. Ngoại nghiệp
1. Chuẩn bị tài liệu, phương tiện, vật tư, trang thiết bị để khảo sát, đo đạc; kiểm tra, hiệu chỉnh, bảo dưỡng máy móc theo quy định; yêu cầu về độ chính xác của thiết bị là ≤ ± 5% giá trị đo.
2. Liên hệ, làm thủ tục hành chính với chính quyền địa phương và chủ công trình khai thác;
3. Khảo sát xác định vị trí có công trình đo đạc;
4. Thu thập, ghi chép hồ sơ, tài liệu công trình khai thác;
5. Tiến hành khảo sát, đo đạc giếng khoan khai thác gồm: xác định tọa độ giếng khai thác bằng máy GPS cầm tay; khảo sát quy mô, sơ đồ công nghệ khai dẫn và xử lý nước; đo đạc lưu lượng khai thác (bằng đồng hồ đo lưu lượng, thùng định lượng hoặc máy đo siêu âm,…)
5.1. Việc đo tọa độ bằng máy GPS cầm tay được quy định tại mục VIII, Chương 2, phần II của Thông tư này;
5.2. Đo đạc lưu lượng khai thác bằng đồng hồ đo lưu lượng;
Đọc kết quả hiện trên đồng hồ: đọc 3 lần số liệu và lấy số liệu trung bình.
5.3. Đo đạc lưu lượng khai thác bằng thùng định lượng: đo ở những vị trí có lưu lượng nhỏ;
5.4. Đo đạc lưu lượng khai thác bằng máy đo siêu âm;
Đọc kết quả hiện trên máy: đọc 3 lần số liệu và lấy số liệu trung bình.
6. Lập phiếu điều tra giếng khoan khai thác theo quy định hoặc yêu cầu kỹ thuật của đề án;
7. Di chuyển trong vùng công tác;
8. Nhập số liệu vào máy tính xách tay;
9. Hoàn thiện các tài liệu thực địa;
10. Kiểm tra, bảo dưỡng các dụng cụ, thiết bị đo đạc giếng khoan theo quy định hoặc bị hư hỏng nhẹ.
III.1.2. Nội nghiệp
1. Hoàn thiện sổ nhật ký, phiếu điều tra thực địa theo quy định;
2. Lập bản đồ hiện trạng các công trình đo đạc vùng điều tra khảo sát;
3. Tính toán kết quả đo lưu lượng khai thác và quan trắc thu thập được ở các điểm khảo sát;
4. Hoàn thiện tài liệu thu thập, sổ ghi chép, bản vẽ, biểu bảng tổng hợp giếng khai thác theo quy định;
5. Viết báo cáo kết quả công tác khảo sát, đo đạc;
6. In ấn sản phẩm, nhân bộ và bàn giao tài liệu.
III.2. Hồ sơ sản phẩm giao nộp
III.2.1. Báo cáo thuyết minh đo lưu lượng một công trình có sẵn thiết bị khai thác;
III.2.2. Đĩa CD sản phẩm.
IV. Khảo sát, đo mực nước trong giếng khoan hở (chưa lắp đặt thiết bị)
IV.1. Các nội dung công việc và yêu cầu kỹ thuật
IV.1.1. Ngoại nghiệp
1. Nhận vị trí, chuẩn bị tài liệu, vật tư, trang thiết bị để khảo sát, đo đạc;
2. Liên hệ, làm thủ tục hành chính với chính quyền địa phương và chủ công trình khai thác;
3. Khảo sát, xác định vị trí, định điểm giếng khoan bằng GPS
Việc đo tọa độ bằng máy GPS cầm tay được quy định tại mục VIII, Chương 2, phần II của Thông tư này.
4. Mở và đóng nắp bảo vệ giếng khoan;
5. Đo đạc đường kính và chiều sâu giếng khoan;
6. Thả và kéo dụng cụ đo mực nước xuống giếng khoan, đo đạc mực nước, ghi chép số liệu
Đo mực mước thủ công trong các giếng khoan hở bằng các thiết bị dụng cụ như quả dọi đo mực nước hay thiết bị đo mực nước bằng điện. Kết quả đo đối với nước dưới đất là chiều sâu mực nước tính từ mặt đất còn đối với nước mặt là độ cao tuyệt đối mực nước. Các bước đo mực nước được thể hiện như sau:
6.1. Kiểm tra thiết bị trước khi đo
Kiểm tra mạch điện và hệ thống tín hiệu, chuông điện réo hoặc đèn sáng.
6.2. Số đọc trên dây đo mực nước thống nhất lấy chính xác đến 0,5 cm.
6.3. Việc đo mực nước như trên được thực hiện 2 lần. Nếu sai số giữa 2 lần đo không quá 1cm thì được và lấy giá trị trung bình của hai lần đo để ghi vào sổ thực địa. Nếu sai số giữa hai lần đo vượt quá 1cm thì phải đo lại từ đầu.
6.4. Ở mỗi giếng, độ cao tuyệt đối của giếng đã được xác định chính xác bằng công tác trắc địa và cố định bằng mốc sứ chôn ở bệ bê tông. Chiều cao của ống chống bảo vệ phải xác định chính xác. Để thuận tiện, mỗi lần đo mực nước có thể đo từ miệng giếng (miệng ống bảo vệ). Chiều sâu mực nước tính từ mặt đất là kết quả đo trừ đi chiều cao ống bảo vệ.
7. Di chuyển trong vùng công tác có khoảng cách 1-3km.
IV.1.2. Nội nghiệp
1. Hoàn thiện các tài liệu thực địa, vào sổ trong phòng, đưa vị trí giếng khoan lên bản đồ;
2. Chỉnh lý tài liệu,
3. Lập báo cáo kết quả;
4. In ấn sản phẩm, nhân bộ và bàn giao tài liệu.
IV.2. Hồ sơ sản phẩm giao nộp
IV.2.1. Báo cáo thuyết minh đo mực nước trong giếng khoan hở (chưa lắp thiết bị khai thác)
IV.2.2. Đĩa CD sản phẩm.
V. Đo chất lượng nước tại hiện trường bằng máy TOA hoặc máy HACH
V.1. Các nội dung công việc
V.1.1. Ngoại nghiệp
1. Nhận nhiệm vụ, chuẩn bị phương tiện, vật liệu, dụng cụ và máy móc, thiết bị phục vụ khảo sát, đo đạc; chuẩn độ thiết bị đo, chuẩn bị thiết bị phân tích mẫu, các hoá chất kèm theo, súc rửa bình lấy mẫu; yêu cầu về độ chính xác của thiết bị là ≤ ± 5% giá trị đo;
2. Xác định vị trí đo, di chuyển đến vị trí đo;
3. Liên hệ, làm thủ tục hành chính với chính quyền địa phương và chủ công trình khai thác;
4. Lắp đặt máy móc thiết bị trước khi đo
5. Đo GPS xác định tọa độ (đối với công trình lấy lần đầu);
Việc đo tọa độ bằng máy GPS cầm tay được quy định tại mục VIII, Chương 2, phần II của Thông tư này.
6. Đo mực nước, nhiệt độ, chiều sâu giếng khoan (hay công trình phân tích chất lượng nước)
Việc đo mực nước quy định tại mục IV, Chương 2, phần II của Thông tư này.
Việc đo chiều sâu giếng khoan được quy định tại mục VII, Chương 2, phần II của Thông tư này.
7. Đo chất lượng nước ngầm sau khi được đưa từ giếng lên vào dụng cụ chứa và đo ngay sau khi đưa lên và lập phiếu phân tích tại hiện trường;
Đọc kết quả hiện trên máy: đọc 3 lần số liệu và lấy số liệu trung bình.
8. Rửa lại dụng cụ đựng mẫu 3 lần bằng chính mẫu nước;
9. Làm sạch đầu đo của máy TOA/HACH sau mỗi lần đo tại các mẫu đo;
10. Tháo dỡ, thu dọn dụng cụ và thiết bị đo sau mỗi lần đo và quay về chỗ ở;
11. Bảo dưỡng máy, thiết bị sau đợt khảo sát.
V.1.2. Nội nghiệp
1. Tổng hợp số liệu đo, xử lý số liệu đo;
2. Viết báo cáo thuyết minh đo chất lượng nước ngoài hiện trường;
3. In ấn sản phẩm, nhân bộ và bàn giao tài liệu.
V.2. Hồ sơ sản phẩm giao nộp
V.2.1. Báo cáo thuyết minh đo chất lượng nước ngoài hiện trường;
V.2.2. Đĩa CD sản phẩm.
VI. Khoan điều tra, khảo sát, thăm dò nước dưới đất
Quy định kỹ thuật của công tác khoan điều tra, đánh giá và thăm dò nước dưới đất được quy định tại Thông tư số 59/2015/TT-BTNMT ngày 14/12/2015 của Bộ trưởng Bộ Tài nguyên và Môi trường quy định kỹ thuật khoan điều tra, đánh giá và thăm dò nước dưới đất.
VII. Bơm hút nước thí nghiệm
Quy định kỹ thuật của công tác bơm nước thí nghiệm trong điều tra, đánh giá tài nguyên nước dưới đất được quy định tại Thông tư số 08/2015/TT-BTNMT ngày 26/02/2015 của Bộ trưởng Bộ Tài nguyên và Môi trường quy định kỹ thuật bơm nước thí nghiệm trong điều tra, đánh giá tài nguyên nước dưới đất.
VIII. Quay camera giếng khoan
VIII.1. Các nội dung công việc và yêu cầu kỹ thuật
VIII.1.1. Vận chuyển trạm camera
1. Kiểm tra an toàn xe và thiết bị trước khi khởi hành;
2. Nạp dầu, mỡ cho xe;
3. Chạy xe cùng thiết bị và tổ quay camera.
VIII.1.2. Quay camera
1. Nhận nhiệm vụ; lập tài liệu kỹ thuật; tra nạp nhiên liệu, kiểm tra ô tô, máy móc, thiết bị và dây cáp, vật tư; bốc xếp vật tư, thiết bị lên xe;
2. Thông báo cho phía phụ trách giếng khoan xử lý cho nước trong giếng khoan càng trong càng tốt để chất lượng hình ảnh quay được đạt tốt nhất;
3. Di chuyển đến nơi cần quay; tháo dỡ và sắp xếp máy móc thiết bị. Thùng đựng máy quay camera, máy phát điện, thiết bị ngoại vi và những dụng cụ cần thiết tại nơi khô ráo gần sát giếng khoan. Nơi chọn đặt máy phải có điều kiện quan sát tốt miệng giếng khoan/giếng khoan để điều khiển máy trong quá trình tác nghiệp;
4. Đo tọa độ lỗ khoan/giếng khoan và ghi vào nhật ký/biên bản quay camera;
5. Lắp ráp máy quay camera
5.1. Trước tiên lắp 2 chân sau của máy camera;
5.2. Kế tiếp lắp chân phía trước;
5.3. Đặt máy quay vào gần giếng khoan ở vị trí thích hợp nhất;
5.4. Gắn chặt ròng rọc (counter wheel) vào miệng giếng khoan;
5.5. Kéo đầu cáp ra khỏi tời 3 đến 4 mét;
5.6. Lắp ống camera vào đầu cáp, nối ống và đầu cáp với nhau, vặn chặt;
5.7. Cắm nối 3 đầu dây điện cấp nguồn giữa đầu cáp và ống camera;
5.8. Bôi mỡ silicon (Dow 4) vào những chỗ nối, chỗ vặn vít, khe hở… giữa đầu cáp và ống quay camera để tránh tuyệt đối nước vào;
5.9. Lắp màn hình LCD hiển thị vào tời, nối dây nguồn cấp từ trung tâm điều khiển (power supply) tới LCD monitor;
5.10. Nối dây truyền tín hiệu độ sâu từ ròng rọc (counter wheel) vào bộ nguồn cung cấp (power supply);
5.11. Nối dây truyền tín hiệu âm thanh và hình ảnh từ power supply tới máy vi tính xách tay.
6. Tiến hành quay camera giếng khoan theo yêu cầu kỹ thuật; nâng thả đầu quay, điều chỉnh vị trí đầu quay cho sát thành giếng khoan tại các vị trí cần quay hoặc tại các vị trí phát hiện khuyết tật, sự cố kỹ thuật của ống vách. Ghi chép, mô tả sơ bộ và đánh dấu vị trí các điểm cần báo cáo;
6.1. Mở nguồn máy camera, máy tính xách tay;
6.2. Mở phần mềm quay: Cyberlink Combo R17;
6.3. Xác định điểm 0 mét tại miệng giếng khoan, tương ứng 0 mét trên màn hình hiển thị và hình ảnh trên máy vi tính;
6.4. Bắt đầu thả camera từ miệng giếng khoan xuống thật chậm khoảng 1mét/ phút (tuỳ thuộc những đoạn giếng khoan cần xem xét kỹ hay không). Càng xuống sâu, tốc độ quay chậm dần và tăng cường quan sát để tránh kẹt máy quay trong ống vách do mắc vào các mối nối ống, các chỗ ống bị thủng, rách (nếu có);
6.5. Trong khi quay camera từ miệng giếng khoan xuống hoặc từ đáy giếng khoan lên, trên máy vi tính bật nút ghi để lưu lại hình ảnh cũng như độ sâu giếng khoan trên máy vi tính;
7. Tuỳ theo mục đích yêu cầu của giếng khoan cần quay camera để xử lý: ví dụ những trường hợp sau đây:
7.1. Giếng khoan cần xác định chất lượng trong quá trình chống ống: Trường hợp này phải quay thật chậm, đặc biệt chú ý là những chỗ nối ống nhất là ống lọc. Thậm chí những chỗ đáng nghi ngờ có sự cố đôi khi phải dừng hẳn camera để quan sát cũng như để ghi lại hình ảnh thật rõ ràng tỉ mỉ;
7.2. Giếng khoan cần xác định rò rỉ thủng ống, giếng khoan bị nhiễm bẩn, nhiễm mặn: Trường hợp này cũng cần phải kỹ lưỡng tỉ mỉ hơn vì khi camera đi qua những đoạn rò rỉ ống, nứt ống,…nước trong giếng khoan ở những đoạn này vận động mạnh hơn bình thường nên nước sẽ bị vẩn đục hơn bình thường do đó khó quan sát và hình ảnh sẽ mờ hơn. Vì vậy phải thả kéo thật chậm, thậm chí dừng lại hẳn để quan sát;
7.3. Trường hợp những giếng khoan cũ, thời gian khai thác lâu, thông thường những giếng khoan này bị sự cố nhiễm mặn, nhiễm bẩn do mục ống hoặc đầu nối giữa 2 ống hay những chỗ chống gối: trường hợp này cột ống dọc giếng khoan thường không phẳng mà bị lỗ chỗ do rêu cặn bám lâu ngày vào thành ống nên trong quá trình quay cũng phải hết sức chú ý quan sát và kéo thả thật chậm để khỏi bỏ sót dị thường.
8. Quá trình quay thời gian nhanh hay chậm tuỳ thuộc vào chiều sâu giếng khoan và những điểm sự cố cần nghiên cứu;
9. Sau khi quay xong, tắt nguồn ống, đưa camera lên khỏi miệng giếng khoan, tháo các bộ phận cần thiết, lau chùi sạch sẽ bảo dưỡng, để khô ráo rồi cất vào thùng đựng;
10. Tháo dỡ, thu dọn các khối máy, khối ròng rọc;
11. Dọn dẹp hiện trường và di chuyển quay về chỗ ở;
12. Đưa máy quay và đồ đạc lên xe ra về;
13. Kiểm tra hình ảnh trên máy vi tính và chỉnh lý sơ bộ tài liệu quay, kiểm tra các dị thường, xác định chiều sâu, mức độ khuyết tật, sự cố kỹ thuật của ống vách giếng khoan, phân tích sơ bộ các sự cố, in ảnh minh hoạ sự cố và bổ sung phụ đề (nếu cần thiết);
14. Sao lưu, ghi hình vào đĩa DVD;
Hình ảnh ghi nhận được lưu lại trong máy vi tính và sau đó được ghi ra đĩa DVD phải sắc nét, rõ ràng.
15. Báo cáo nhanh kết quả quay camera tại thực địa theo yêu cầu kỹ thuật;
16. Hoàn chỉnh tài liệu quay camera;
17. In ấn sản phẩm, nhân bộ và bàn giao tài liệu.
VIII.2. Hồ sơ sản phẩm giao nộp
VIII.2.1. File và hình ảnh quay camera giếng khoan;
VIII.2.2. Đĩa CD sản phẩm.
IX. Đo chiều sâu giếng khoan
IX.1. Các nội dung công việc và yêu cầu kỹ thuật
IX.1.1. Ngoại nghiệp
1. Chuẩn bị tài liệu, phương tiện, vật tư, trang thiết bị để khảo sát, đo đạc;
2. Liên hệ, làm thủ tục hành chính với chính quyền địa phương và chủ công trình khai thác;
3. Khảo sát xác định vị trí có công trình đo đạc;
4. Thu thập, ghi chép hồ sơ, tài liệu công trình đo đạc;
5. Tiến hành khảo sát, đo đạc chiều sâu giếng khoan gồm: xác định tọa độ công trình khai thác bằng máy GPS cầm tay; đo chiều sâu giếng khoan
5.1. Đo tọa độ bằng GPS cầm tay được quy định tại mục VIII, Chương 2, phần II của Thông tư này;
5.2. Yêu cầu kỹ thuật đo chiều sâu giếng khoan
Đo bằng cách thả từ từ dụng cụ đo (cá chì) xuống công trình cho tới khi chạm đáy. Phải thao tác vài lần để có số đo chính xác.
Yêu cầu về độ chính xác:
- Đối với các lỗ khoan sâu <100m: Kết quả đo chiều sâu có độ chính xác sai số đo tối đa 1%;
- Đối với các lỗ khoan sâu 100 - ≥500m: Kết quả đo chiều sâu có độ chính xác sai số đo tối đa 0,5 %.
6. Lập phiếu điều tra giếng theo quy định hoặc yêu cầu kỹ thuật của đề án;
7. Di chuyển trong vùng công tác;
8. Nhập số liệu vào máy tính xách tay;
9. Hoàn thiện các tài liệu thực địa.
IX.1.2. Nội nghiệp
1. Hoàn thiện sổ nhật ký, phiếu điều tra thực địa theo quy định;
2. Lập bản đồ hiện trạng các công trình đo đạc vùng điều tra khảo sát;
3. Hoàn thiện sổ ghi chép, bản vẽ, biểu bảng tổng hợp theo quy định;
4. Viết báo cáo kết quả công tác khảo sát, đo đạc;
5. In ấn sản phẩm, nhân bộ và bàn giao tài liệu.
IX.2. Hồ sơ sản phẩm giao nộp
IX.2.1. Báo cáo thuyết minh đo chiều sâu giếng khoan;
IX.2.2. Đĩa CD sản phẩm.
X. Đo tọa độ bằng GPS cầm tay
X.1. Các nội dung công việc và yêu cầu kỹ thuật
X.1.1. Ngoại nghiệp
1. Công tác chuẩn bị:
1.1. Chuẩn bị bản đồ, mốc toạ độ;
1.2. Thử máy, kiểm tra độ chính xác của máy;
1.3. Liên hệ, làm thủ tục hành chính với chính quyền địa phương để tìm mốc ngoài thực địa và địa bàn vùng công tác.
2. Khảo sát xác định vị trí có công trình đo đạc;
3. Đo GPS toạ độ phẳng (X,Y) cần một máy thu tín hiệu đặt tại điểm đo cần xác định toạ độ, đo một khoảng thời gian nhất định khi màn hình xuất hiện 3 vệ tinh trở lên, lúc đó mới ghi lại kết quả;
4. Ghi chép hồ sơ, tài liệu công trình;
5. Ghi chép sổ nhật ký đo đạc theo quy định hoặc yêu cầu kỹ thuật của đề án;
6. Di chuyển trong vùng công tác;
7. Nhập số liệu vào máy tính xách tay;
8. Hoàn thiện các tài liệu thực địa;
9. Kiểm tra, bảo dưỡng các dụng cụ, thiết bị đo đạc.
X.1.2. Nội nghiệp
1. Thống kê toạ độ biết trước áp dụng cho việc đưa toạ độ từ bản vẽ thiết kế ra thực địa;
2. Hoàn thiện sổ nhật ký thực địa theo quy định;
3. Tính toán kết quả đo các điểm đo GPS; thực hiện trên máy vi tính;
4. Thống kê toạ độ đưa lên bản đồ số và in ra giấy;
5. Hoàn thiện tài liệu sổ ghi chép, bản vẽ, theo quy định;
6. Viết báo cáo kết quả công tác đo đạc, chỉnh lý biên tập thành quả đo
Kết quả sau khi chỉnh lý phải được thể hiện theo hệ tọa độ VN2000.
7. In ấn sản phẩm, nhân sao và giao nộp sản phẩm.
X.2. Hồ sơ sản phẩm giao nộp
X.2.1. Báo cáo kết quả công tác đo GPS cầm tay;
X.2.2. Đĩa CD sản phẩm.
Chương 3
QUY ĐỊNH KỸ THUẬT ĐÁNH GIÁ, DỰ BÁO TÀI NGUYÊN NƯỚC BẰNG MÔ HÌNH DÒNG CHẢY
I. Đánh giá, dự báo tài nguyên nước mặt
I.1. Nội dung công việc và yêu cầu kỹ thuật
I.1.1. Công tác thu thập tài liệu
1. Thu thập số liệu mưa ngày trên lưu vực;
2. Thu thập dữ liệu thông tin về số lượng và chất lượng nước từ các trạm tài nguyên nước mặt trên toàn lưu vực sông phục vụ công tác đánh giá, dự báo;
3. Thu thập các dữ liệu liên quan đến tình hình khai thác, sử dụng tài nguyên nước trên toàn lưu vực sông cần đánh giá, dự báo;
4. Thu thập các dữ liệu về tình hình xả nước thải vào nguồn nước của hệ thống sông trên toàn lưu vực sông cần đánh giá, dự báo;
5. Thu thập thông tin về các hiện tượng khí tượng thủy văn hay thiên tai dị thường ảnh hưởng trực tiếp đến số lượng và chất lượng nước trên hệ thống sông cần đánh giá, dự báo;
6. Thu thập thông tin về địa hình, mặt cắt sông trên hệ thống sông cần đánh giá, dự báo;
7. Yêu cầu về thông tin, dữ liệu thu thập
7.1. Tính đồng nhất: đảm bảo theo mục tiêu của dự án;
7.2. Các tài liệu thu thập phải được cơ quan có thẩm quyền xác thực từ cơ quan cung cấp;
7.3. Dữ liệu thông tin về số lượng và chất lượng nước từ các trạm tài nguyên nước mặt trên toàn lưu vực sông phục vụ công tác đánh giá, dự báo tối thiểu phải 11 năm;
7.4. Dữ liệu về địa hình, khí tượng thủy văn, mặt cắt sông phải đảm bảo theo mục tiêu của dự án.
I.1.2. Tổng hợp, phân tích, xử lý tài liệu
1. Tổng hợp, phân loại, phân tích đánh giá tài liệu, thông tin liên quan phục vụ đánh giá, dự báo;
2. Chỉ ra danh mục thông tin, dữ liệu còn thiếu; đề xuất đo đạc mặt cắt sông và mua các dữ liệu về khí tượng, thủy văn phục vụ xây dựng mô hình đánh giá, dự báo;
3. Chuyển đổi, tính toán, nội suy số liệu, dữ liệu thông số đầu vào mô hình đánh giá, dự báo;
4. Chuẩn hoá các dữ liệu;
5. Yêu cầu của việc đồng hoá, kiểm tra tính tương thích dữ liệu đầu vào mô hình
5.1. Đồng hóa, đồng nhất dữ liệu theo thời gian;
5.2. Đồng hóa, đồng nhất dữ liệu theo không gian trên cùng một tỷ lệ;
5.3. Chuẩn hóa dữ liệu theo yêu cầu chuẩn dữ liệu đầu vào của mô hình.
I.1.3. Đo đạc mặt cắt sông và mua các dữ liệu khí tượng, thủy văn
1. Quy định kỹ thuật đo đạc mặt cắt sông tuân thủ theo các quy định hiện hành;
2. Mua các dữ liệu khí tượng, thủy văn tại các cơ quan quản lý dữ liệu khí tượng thủy văn được phép cung cấp theo đúng chức năng, nhiệm vụ
I.1.4. Nhập dữ liệu vào mô hình
1. Kiểm tra, chuẩn bị, khởi động thiết bị, máy tính, khởi động mô hình;
2. Nhập số liệu đầu vào mô hình;
3. Đồng hoá, kiểm tra tính tương thích dữ liệu đầu vào mô hình.
I.1.5. Chỉnh lý mô hình
1. Chạy thử mô hình;
2. Chỉnh lý, hiệu chỉnh thông số của mô hình. Mô hình hiệu chỉnh phải mô phỏng được điều kiện thực tế;
3. Đánh giá sai số kết quả dự báo.
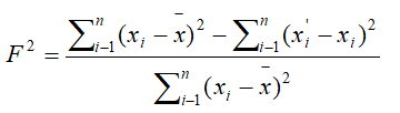
Để đánh giá độ chính xác giữa kết quả tính toán và kết quả thực đo ở đây sử dụng chỉ số Nash – Sutcliffe (1970) để đánh giá:

Trong đó:
F2: là hệ số Nash
xi: là giá trị thực đo thứ i
: là giá trị tính toán thứ i
: là giá trị thực đo trung bìnhKết quả so sánh giữa thực đo và tính toán có chỉ số NASH: F2 ≥ 0,8.
4. Quyết định trị số dự báo.
I.1.6. Đánh giá, dự báo
1. Xác định mục tiêu, xây dựng các kịch bản và phương án dự báo;
2. Nhập số liệu, thông số dự báo theo các kịch bản và phương án dự báo;
3. Kiểm thử kết quả dự báo
So sánh giữa kết quả thực đo và kết quả tính toán của mô hình
- Đạt yêu cầu khi chỉ số NASH: F2 ≥ 0,8;
- Không đạt khi chỉ số NASH: F2 <0,8.
4. Trình bày kết quả dự báo;
5. Các kết quả tính toán, dự báo phải đảm bảo sai số cho phép khi so sánh với các kết quả thực đo.
I.1.7. Lập báo cáo kết quả đánh giá, dự báo
1. Tổng hợp số liệu, kết quả, lập các bảng biểu, hình vẽ;
2. Phân tích, đánh giá hiệu quả theo mục tiêu đề cương phê duyệt;
3. Viết báo cáo kết quả đánh giá, dự báo.
I.1.8. In ấn sản phẩm, nhân bộ và bàn giao tài liệu
1. Ghi đĩa CD, nhãn đĩa sản phẩm, nhân bộ;
2. In ấn sản phẩm báo cáo, bản đồ, nhân bộ;
3. Giao nộp sản phẩm.
I.2. Hồ sơ giao nộp sản phẩm
I.2.1. Báo cáo lập mô hình đánh giá, dự báo;
I.2.2. Báo cáo kiểm định mô hình;
I.2.3. Mô hình.
II. Đánh giá, dự báo tài nguyên nước dưới đất
II.1. Các nội dung công việc và yêu cầu kỹ thuật
II.1.1. Công tác thu thập tài liệu
1. Thu thập bản đồ địa hình, bản đồ địa chất, bản đồ địa chất thủy văn của vùng đánh giá dự báo;
2. Thu thập tài liệu cột địa tầng giếng khoan vùng đánh giá dự báo;
3. Thu thập thông tin các số liệu tại các trạm thủy văn vùng đánh giá dự báo;
4. Thu thập số liệu mặt cắt sông của vùng đánh giá dự báo;
5. Thu thập số liệu quan trắc nước dưới đất (số lượng và chất lượng) vùng đánh giá dự báo;
6. Thu thập các thông số địa chất thủy văn vùng đánh giá dự báo;
7. Yêu cầu về thông tin, dữ liệu thu thập
7.1. Tính đồng nhất: đảm bảo theo mục tiêu của dự án;
7.2. Các tài liệu thu thập phải được cơ quan có thẩm quyền xác thực từ cơ quan cung cấp;
7.3. Số liệu quan trắc nước dưới đất (số lượng và chất lượng) vùng đánh giá dự báo trên toàn lưu vực sông phục vụ công tác đánh giá;
7.4. Dữ liệu về địa hình, khí tượng thủy văn, mặt cắt sông, địa tầng, địa chất thủy văn, chất lượng nước phải đảm bảo theo mục tiêu của dự án.
II.1.2. Tổng hợp, phân tích, xử lý tài liệu
1. Phân loại, đánh giá tài liệu; phân tích, chiết xuất thông tin;
2. Chỉ ra danh mục thông tin, dữ liệu còn thiếu; đề xuất khoan thăm dò, đo địa vật lý bổ sung địa tầng, đo đạc chất lượng nước phục vụ mô phỏng tầng chứa nước, chất lượng nước;
3. Chuyển đổi, tính toán số liệu;
4. Chuẩn hoá các dữ liệu;
5. Yêu cầu của việc đồng hoá, kiểm tra tính tương thích dữ liệu đầu vào mô hình
5.1. Đồng hóa, đồng nhất dữ liệu theo thời gian;
5.2. Đồng hóa, đồng nhất dữ liệu theo không gian trên cùng một tỷ lệ;
5.3. Chuẩn hóa dữ liệu theo yêu cầu chuẩn dữ liệu đầu vào của mô hình.
II.1.3. Khoan thăm dò, đo địa vật lý và đo đạc chất lượng nước bổ sung và mua dữ liệu về khí tượng, thủy văn, chất lượng nước dưới đất (nếu có);
1. Công tác khoan thăm dò tuân thủ theo quy định tại Thông tư số 13/2014/TT-BTNMT ngày 17/2/2014 của Bộ trưởng Bộ Tài nguyên và Môi trường quy định kỹ thuật điều tra, đánh giá tài nguyên nước dưới đất và Thông tư số 59/2015/TT-BTNMT ngày 14/12/2015 của Bộ trưởng Bộ Tài nguyên và Môi trường quy định kỹ thuật khoan điều tra, đánh giá và thăm dò nước dưới đất;
2. Công tác địa vật lý tuân thủ theo các tiêu chuẩn, quy chuẩn, quy định kỹ thuật chuyên ngành;
3. Quy định kỹ thuật đo đạc chất lượng nước dưới đất tuân thủ theo các tiêu chuẩn, quy chuẩn, quy định kỹ thuật chuyên ngành;
4. Mua các dữ liệu khí tượng, thủy văn, chất lượng nước dưới đất tại các cơ quan quản lý dữ liệu khí tượng, thủy văn, chất lượng nước dưới đất được phép cung cấp theo đúng chức năng, nhiệm vụ.
II.1.4. Nhập dữ liệu vào mô hình
1. Kiểm tra, chuẩn bị thiết bị, máy tính;
2. Tính toán, nội suy dữ liệu, thông số đầu vào;
3. Nhập liệu; đồng bộ hoá, kiểm tra tính tương thích của dữ liệu đầu vào;
4. Kiểm tra thử dữ liệu đầu vào trong mô hình.
II.1.5. Chỉnh lý mô hình
1. Chạy thử mô hình;
2. Chỉnh lý mô hình trong điều kiện dòng chảy ổn định;
3. Đánh giá sai số chỉnh lý;
4. Hiệu chỉnh;
5. Chỉnh lý mô hình trong điều kiện dòng chảy không ổn định;
6. Đánh giá sai số chỉnh lý
Độ tin cậy của mô hình được đánh giá bởi sai số trung bình (ME), sai số trung bình tuyệt đối (MAE), sai số trung bình quân phương (RMS) và sai số trung bình quân phương tiêu chuẩn (NRMS).
7. Hiệu chỉnh
Mô hình hiệu chỉnh phải mô phỏng được điều kiện thực tế.
II.1.6. Đánh giá, dự báo
1. Xác định mục tiêu, xây dựng các kịch bản và phương án dự báo;
2. Nhập số liệu, thông số dự báo theo các kịch bản và phương án dự báo;
3. Kiểm tra thử kết quả dự báo;
4. Trình bày kết quả dự báo;
5. Các kết quả tính toán, dự báo phải đảm bảo sai số cho phép khi so sánh với các kết quả thực đo.
II.1.7. Lập báo cáo kết quả đánh giá, dự báo
1. Tổng hợp số liệu, kết quả, lập các bảng biểu, hình vẽ;
2. Phân tích, đánh giá hiệu quả theo mục tiêu đề cương phê duyệt;
3. Viết báo cáo kết quả đánh giá, dự báo.
II.1.8. In ấn sản phẩm, nhân bộ và bàn giao tài liệu
1. Ghi đĩa CD, nhãn đĩa sản phẩm, nhân bộ;
2. In ấn sản phẩm báo cáo, bản đồ, nhân bộ;
3. Giao nộp sản phẩm.
II.2. Hồ sơ giao nộp sản phẩm
II.2.1. Báo cáo lập mô hình đánh giá, dự báo;
II.2.2. Báo cáo kiểm định mô hình;
II.2.3. Mô hình.
Phần III.
ĐỊNH MỨC KINH TẾ - KỸ THUẬT KHẢO SÁT, ĐO ĐẠC TÀI NGUYÊN NƯỚC VÀ
ĐÁNH GIÁ, DỰ BÁO TÀI NGUYÊN NƯỚC BẰNG MÔ HÌNH DÒNG CHẢY
Chương 1
KHẢO SÁT, ĐO ĐẠC TÀI NGUYÊN NƯỚC MẶT
I. ĐO CHIỀU SÂU MỰC NƯỚC
I.1. Định mức lao động
I.1.1. Nội dung công việc
1. Ngoại nghiệp
1.1. Nhận nhiệm vụ, lập đề cương chuẩn bị máy móc, thiết bị, dụng cụ, tài liệu và bảng biểu đi hiện trường, chọn vị trí đo chiều sâu mực nước;
1.2. Di chuyển đến vị trí khảo sát, đo đạc;
1.3. Xây dựng hệ thống cọc đo chiều sâu mực nước;
1.4. Đo vẽ trắc dọc tuyến đo chiều sâu mực nước;
1.5. Đo chiều sâu mực nước theo yêu cầu của việc sử dụng số liệu tài nguyên nước mặt, sửa chữa hệ thống cọc trong quá trình đo;
1.6. Tháo dỡ, thu dọn dụng cụ thiết bị đo và quay về chỗ ở;
1.7. Kiểm tra, bảo dưỡng dụng cụ, thiết bị thực địa;
1.8. Phục vụ trong quá trình kiểm tra nghiệm thu sản phẩm.
2. Nội nghiệp
2.1. Chỉnh biên, chỉnh lý tài liệu;
2.2. Tính giá trị chiều sâu mực nước;
2.3. Lập các biểu đồ về quan hệ chiều sâu mực nước và lưu lượng;
2.4. Lập báo cáo thuyết minh;
2.5. Phục vụ trong quá trình kiểm tra nghiệm thu sản phẩm.
I.1.2. Phân loại khó khăn
1. Những công việc chưa tính trong định mức
1.1. Dẫn cao độ từ mốc nhà nước về vị trí đo đạc;
1.2. Vận chuyển nhân công, vật liệu, dụng cụ và máy móc, thiết bị từ đơn vị đến vùng khảo sát, đo đạc và ngược lại;
1.3. Di chuyển với khoảng cách > 5km;
1.4. Điều tra thủy văn hình thái đoạn sông;
1.5. Thuê lao động phổ thông;
1.6. In ấn sản phẩm, nhân bộ và bàn giao tài liệu.
2. Điều kiện áp dụng và các hệ số điều chỉnh
2.1. Điều kiện áp dụng
Định mức đo mực nước được tính cho điều kiện áp dụng được quy định tại Mục 5.1, Phần I của Thông tư này.
2.2. Các hệ số điều chỉnh
Đối với công tác ngoại nghiệp khi khảo sát, đo đạc khác với các quy định về điều kiện áp dụng nêu trên, thì áp dụng các hệ số điều chỉnh cho định mức lao động, định mức vật liệu, dụng cụ và thiết bị được quy định và hướng dẫn áp dụng tại Mục 5.2, Phần I của Thông tư này, gồm: Kđl, Ktv, Kkcđl và Khtr.
I.1.3. Định biên lao động
Bảng 16. Định biên lao động đo chiều sâu mực nước
|
TT |
Nội dung công việc |
Định biên lao động |
|||
|
ĐTV3 |
ĐTV2 |
KTV5 |
Nhóm |
||
|
1 |
Ngoại nghiệp |
- |
1 |
1 |
2 |
|
2 |
Nội nghiệp |
1 |
- |
1 |
2 |
I.1.4. Định mức lao động
Bảng 17. Định mức lao động đo chiều sâu mực nước
ĐVT: Công nhóm
|
TT |
Nội dung công việc |
ĐVT |
Định mức |
|
1 |
Ngoại nghiệp |
1 lần đo |
0,35 |
|
2 |
Nội nghiệp |
100 số liệu |
2,25 |
I.2. Định mức thiết bị
Bảng 18. Định mức thiết bị đo chiều sâu mực nước
|
TT |
Danh mục thiết bị |
ĐVT |
Thời hạn (tháng) |
Định mức |
||
|
Ngoại nghiệp (ca/lần đo) |
Nội nghiệp (100 số liệu) |
|||||
|
1 |
Điều hòa 2 chiều 12000 BTU - 2,2 KW |
Bộ |
96 |
|
1,35 |
|
|
2 |
Máy tính xách tay - 0,04KW |
Cái |
60 |
0,24 |
|
|
|
3 |
Máy Photocopy - 1Kw |
Cái |
96 |
|
1,35 |
|
|
4 |
Thước đo mực nước chuyên dụng |
Cái |
120 |
0,24 |
|
|
|
5 |
Máy đo GPS cầm tay |
Cái |
120 |
0,32 |
- |
|
|
6 |
Điện năng |
KW |
|
0,08 |
36,29 |
|
I.3. Định mức dụng cụ
Bảng 19. Định mức dụng cụ đo chiều sâu mực nước
|
TT |
Danh mục dụng cụ |
ĐVT |
Thời hạn (tháng) |
Định mức |
|
|---|---|---|---|---|---|
|
Ngoại nghiệp (ca/lần đo) |
Nội nghiệp (ca/100 số liệu) |
||||
|
1 |
Áo mưa bạt |
Cái |
36 |
0,64 |
- |
|
2 |
Áo rét BHLĐ |
Cái |
12 |
0,64 |
- |
|
3 |
Ba lô |
Cái |
24 |
0,64 |
- |
|
4 |
Bộ lưu điện UPS |
Cái |
60 |
- |
0,90 |
|
5 |
Đèn neon 40W |
Bộ |
36 |
0,32 |
3,60 |
|
6 |
Đèn xạc điện |
Cái |
24 |
0,64 |
- |
|
7 |
Địa bàn địa chất |
Cái |
120 |
0,61 |
- |
|
8 |
Giầy BHLĐ |
Đôi |
6 |
0,64 |
- |
|
9 |
Máy in A3 - 0,5KW |
Cái |
60 |
- |
0,90 |
|
10 |
Máy in A4 - 0,5KW |
Cái |
60 |
- |
0,90 |
|
11 |
Máy tính 0,6KW |
Cái |
60 |
- |
0,90 |
|
12 |
Máy tính bỏ túi |
Cái |
60 |
0,32 |
3,60 |
|
13 |
Mũ BHLĐ |
Cái |
12 |
0,64 |
- |
|
14 |
Nhiệt kế |
Cái |
12 |
0,32 |
- |
|
15 |
Phao cứu sinh |
Chiếc |
24 |
0,64 |
- |
|
16 |
Quần áo BHLĐ |
Bộ |
12 |
0,64 |
- |
|
17 |
Tất chống vắt |
Đôi |
6 |
0,64 |
- |
|
18 |
Thủy chí tráng men |
Bộ |
120 |
0,32 |
- |
|
19 |
Tủ đựng tài liệu |
Cái |
96 |
- |
3,60 |
|
20 |
Ủng BHLĐ |
Đôi |
12 |
0,64 |
- |
|
21 |
Điện năng |
KW |
|
2,80 |
13,31 |
|
22 |
Các dụng cụ khác |
% |
|
5,00 |
5,00 |
I.4. Định mức vật liệu
Bảng 20. Định mức vật liệu đo chiều sâu mực nước
|
TT |
Danh mục vật liệu |
ĐVT |
Định mức |
|
|---|---|---|---|---|
|
Ngoại nghiệp (lần đo) |
Nội nghiệp (100 số liệu) |
|||
|
1 |
Bản đồ địa hình |
Mảnh |
0,10 |
0,10 |
|
2 |
Băng dính trắng khổ 5cm |
Cuộn |
0,10 |
0,50 |
|
3 |
Bìa đóng sách |
Gram |
- |
0,10 |
|
4 |
Bút chì đen |
Cái |
0,01 |
1,00 |
|
5 |
Cặp đựng tài liệu |
Cái |
0,01 |
- |
|
6 |
Đĩa CD |
Hộp |
- |
0,10 |
|
7 |
Giấy A4 |
Gram |
0,01 |
0,10 |
|
8 |
Hộp đựng tài liệu |
Cái |
- |
0,20 |
|
9 |
Mực in laser |
Hộp |
- |
0,00 |
|
10 |
Mực photocopy |
Hộp |
- |
0,00 |
|
11 |
Pin 1,5V |
Đôi |
0,20 |
- |
|
12 |
Sổ 15 x 20 cm |
Quyển |
0,01 |
1,00 |
|
13 |
Sổ 30 x 50 cm |
Quyển |
0,01 |
1,00 |
|
14 |
Vật liệu khác |
% |
5,00 |
5,00 |
II. ĐO LƯU LƯỢNG
II.1. Đo lưu lượng nước bằng máy siêu âm
II.1.1. Đo lưu lượng nước trên sông
1. Định mức lao động
1.1. Nội dung công việc
a) Ngoại nghiệp
- Nhận nhiệm vụ, chuẩn bị phương tiện, vật liệu, dụng cụ và máy móc, thiết bị phục vụ khảo sát, đo đạc, kiểm tra, hiệu chỉnh, kiểm định máy móc theo quy định;
- Di chuyển đến vị trí khảo sát, đo đạc;
- Xác định tuyến đo mặt cắt ngang sông;
- Lắp đặt máy thiết bị trước khi đo;
- Đo lưu lượng nước mặt bằng máy đo siêu âm và theo yêu cầu đáp ứng tài liệu về số lượng nước của việc kiểm kê, đánh giá tài nguyên nước mặt;
- Tháo dỡ, thu dọn dụng cụ thiết bị và quay về chỗ ở;
- Kiểm tra, bảo dưỡng dụng cụ, phương tiện thiết bị đo sau mỗi lần đo;
- Phục vụ trong quá trình kiểm tra nghiệm thu sản phẩm.
b) Nội nghiệp
- Chỉnh biên, chỉnh lý tài liệu;
- Biên tập lưu lượng mỗi lần đo;
- Vẽ đường quan hệ vận tốc - mực nước V~H, lưu lượng và mực nước Q~H;
- Viết báo cáo thuyết minh;
- Phục vụ trong quá trình kiểm tra nghiệm thu sản phẩm.
1.2. Phân loại khó khăn
a) Những công việc chưa tính trong định mức
- Dẫn cao độ từ mốc nhà nước về vị trí điều tra;
- Bảo hiểm người, thiết bị khảo sát;
- Di chuyển với khoảng cách > 5km;
- Vận chuyển nhân công, vật liệu, dụng cụ và máy móc, thiết bị từ đơn vị đến vùng khảo sát, đo đạc và ngược lại;
- Thuê phương tiện để đo lưu lượng nước trên sông và cảnh giới an toàn khi khảo sát đo đạc;
- Thuê lao động phổ thông;
- In ấn sản phẩm, nhân bộ và bàn giao tài liệu.
b) Điều kiện áp dụng và các hệ số điều chỉnh
- Điều kiện áp dụng
Định mức khảo sát, đo đạc lưu lượng nước sông bằng máy siêu âm được tính cho điều kiện áp dụng chuẩn được quy định tại Mục 5.1, Phần I của Thông tư này.
- Các hệ số điều chỉnh:
Đối với công tác ngoại nghiệp khi khảo sát, đo đạc khác với các quy định về điều kiện áp dụng nêu trên, thì áp dụng các hệ số điều chỉnh cho định mức lao động, định mức vật liệu, dụng cụ và thiết bị được quy định và hướng dẫn áp dụng tại Mục 5.2, Phần I của Thông tư này, gồm: Kđl, Ktv, Kts, Kkcđl và Kqtr.
1.3. Định biên lao động
Bảng 21. Định biên lao động đo lưu lượng nước sông bằng máy siêu âm
|
TT |
Nội dung công việc |
Định biên lao động |
||||
|
ĐTV5 |
ĐTV3 |
ĐTV1 |
KTV5 |
Nhóm |
||
|
1 |
Ngoại nghiệp |
- |
1 |
1 |
1 |
3 |
|
2 |
Nội nghiệp |
1 |
- |
- |
1 |
2 |
1.1.4. Định mức lao động
Bảng 22. Định mức lao động đo lưu lượng nước sông bằng máy siêu âm
ĐVT: Công nhóm
|
TT |
Nội dung công việc |
ĐVT |
Định mức |
|
1 |
Ngoại nghiệp |
1 lần đo |
0,63 |
|
2 |
Nội nghiệp |
100 số liệu |
22,5 |
1.2. Định mức thiết bị
Bảng 23. Định mức thiết bị đo lưu lượng nước sông bằng máy siêu âm
|
TT |
Danh mục thiết bị |
ĐVT |
Thời hạn (tháng) |
Định mức |
|
|
|---|---|---|---|---|---|---|
|
Ngoại nghiệp (ca/lần đo) |
Nội nghiệp (100 số liệu) |
|||||
|
1 |
Điều hòa 2 chiều 12000 BTU - 2,2 KW |
Bộ |
96 |
|
6,75 |
|
|
2 |
Máy tính xách tay - 0,04KW |
Cái |
60 |
0,46 |
|
|
|
3 |
Máy Photocopy - 1Kw |
Cái |
96 |
|
6,75 |
|
|
4 |
Máy đo siêu âm |
Cái |
96 |
0,46 |
|
|
|
5 |
Máy đo GPS cầm tay |
Cái |
120 |
0,61 |
- |
|
|
6 |
Điện năng |
KW |
|
0,15 |
181,44 |
|
1.3. Định mức dụng cụ
Bảng 24. Định mức dụng cụ đo lưu lượng nước sông bằng máy siêu âm
|
TT |
Danh mục dụng cụ |
ĐVT |
Thời hạn (tháng) |
Định mức |
|
|---|---|---|---|---|---|
|
Ngoại nghiệp (ca/lần đo) |
Nội nghiệp (ca/100 số liệu) |
||||
|
1 |
Áo mưa bạt |
Cái |
36 |
2,44 |
- |
|
2 |
Áo rét BHLĐ |
Cái |
12 |
2,44 |
- |
|
3 |
Ba lô |
Cái |
24 |
2,44 |
- |
|
4 |
Bộ lưu điện UPS |
Cái |
60 |
- |
9,00 |
|
5 |
Đèn neon 40W |
Bộ |
36 |
2,44 |
36,00 |
|
6 |
Đèn xạc điện |
Cái |
24 |
2,44 |
- |
|
7 |
Địa bàn địa chất |
Cái |
120 |
0,61 |
- |
|
8 |
Giầy BHLĐ |
Đôi |
6 |
2,44 |
- |
|
9 |
Máy in A3 - 0,5KW |
Cái |
60 |
- |
4,50 |
|
10 |
Máy in A4 - 0,5KW |
Cái |
60 |
- |
4,50 |
|
11 |
Máy tính 0,6KW |
Cái |
60 |
- |
36,00 |
|
12 |
Máy tính bỏ túi |
Cái |
60 |
0,61 |
36,00 |
|
13 |
Mũ BHLĐ |
Cái |
12 |
2,44 |
- |
|
14 |
Nhiệt kế |
Cái |
12 |
0,61 |
- |
|
15 |
Phao cứu sinh |
Chiếc |
24 |
2,44 |
- |
|
16 |
Quần áo BHLĐ |
Bộ |
12 |
2,44 |
- |
|
17 |
Tất chống vắt |
Đôi |
6 |
2,44 |
- |
|
18 |
Thủy chí tráng men |
Bộ |
120 |
0,61 |
- |
|
19 |
Tủ đựng tài liệu |
Cái |
96 |
- |
18,00 |
|
20 |
Ủng BHLĐ |
Đôi |
12 |
2,44 |
- |
|
21 |
Điện năng |
KW |
|
13,63 |
212,44 |
|
22 |
Các dụng cụ khác |
% |
|
5,00 |
5,00 |
1.4. Định mức vật liệu
Bảng 25. Định mức vật liệu đo lưu lượng nước sông bằng máy siêu âm
|
TT |
Danh mục vật liệu |
ĐVT |
Định mức |
|
|---|---|---|---|---|
|
Ngoại nghiệp (lần đo) |
Nội nghiệp (100 số liệu) |
|||
|
1 |
Bản đồ địa hình |
Mảnh |
0,1 |
1 |
|
2 |
Băng dính trắng khổ 5cm |
Cuộn |
0,1 |
5 |
|
3 |
Bìa đóng sách |
Gram |
- |
0,1 |
|
4 |
Bút chì đen |
Cái |
0,1 |
10 |
|
5 |
Cặp đựng tài liệu |
Cái |
0,1 |
- |
|
6 |
Đĩa CD |
Hộp |
- |
1 |
|
7 |
Giấy A4 |
Gram |
0,01 |
1 |
|
8 |
Hộp đựng tài liệu |
Cái |
- |
1 |
|
9 |
Mực in laser |
Hộp |
- |
0,01 |
|
10 |
Mực photocopy |
Hộp |
- |
0,01 |
|
11 |
Pin 1,5V |
Đôi |
0,5 |
- |
|
12 |
Sổ 15 x 20 cm |
Quyển |
0,01 |
1 |
|
13 |
Sổ 30 x 50 cm |
Quyển |
0,01 |
1 |
|
14 |
Vật liệu khác |
% |
5 |
5 |
II.1.2. Đo lưu lượng nước trên kênh cứng
1. Định mức lao động
1.1. Nội dung công việc
a) Ngoại nghiệp
- Nhận nhiệm vụ, lập đề cương chuẩn bị phương tiện, vật liệu, dụng cụ và máy móc, thiết bị phục vụ khảo sát, đo đạc, kiểm tra, hiệu chỉnh, kiểm định máy móc theo quy định;
- Di chuyển đến vị trí khảo sát, đo đạc;
- Lắp đặt máy thiết bị trước khi đo;
- Đo lưu lượng nước bằng máy đo siêu âm và theo yêu cầu đáp ứng tài liệu của việc kiểm kê, đánh giá hiện trạng khai thác, sử dụng tài nguyên nước mặt;
- Tháo dỡ, thu dọn dụng cụ thiết bị và quay về chỗ ở;
- Kiểm tra, bảo dưỡng dụng cụ, máy móc, thiết bị đo sau mỗi lần đo;
- Phục vụ trong quá trình kiểm tra nghiệm thu sản phẩm.
b) Nội nghiệp
- Chỉnh biên, chỉnh lý tài liệu;
- Tính toán lưu lượng nước mỗi lần đo;
- Viết báo cáo kết quả điều tra, khảo sát;
- Phục vụ kiểm tra, nghiệm thu sản phẩm.
1.2. Phân loại khó khăn
a) Những công việc chưa tính trong định mức
- Bảo hiểm người, thiết bị khảo sát;
- Vận chuyển nhân công, vật liệu, dụng cụ và máy móc, thiết bị từ đơn vị đến vùng khảo sát, đo đạc và ngược lại;
- Thuê phương tiện để đo lưu lượng nước trên kênh cứng và cảnh giới an toàn khi khảo sát đo đạc;
- Thuê lao động phổ thông;
- In ấn sản phẩm, nhân bộ và bàn giao tài liệu.
b) Điều kiện áp dụng và các hệ số điều chỉnh
- Điều kiện áp dụng
Định mức khảo sát, đo đạc lưu lượng được tính cho điều kiện áp dụng chuẩn được quy định tại Mục 5.1, Phần I của Thông tư này.
- Các hệ số điều chỉnh
Khi khảo sát, đo đạc khác với các quy định về điều kiện áp dụng nêu trên, thì áp dụng các hệ số điều chỉnh cho định mức lao động, định mức vật liệu, dụng cụ và thiết bị được quy định và hướng dẫn áp dụng tại Mục 5.2, Phần I của Thông tư này, gồm: Kđl, Kđrc, Kkcđl và Kts.
1.3. Định biên lao động
Bảng 26. Định biên lao động đo lưu lượng nước kênh cứng bằng máy đo siêu âm
|
TT |
Nội dung công việc |
Định biên lao động |
|||
|
ĐTV3 |
ĐTV1 |
KTV5 |
Nhóm |
||
|
1 |
Ngoại nghiệp |
- |
1 |
1 |
2 |
|
2 |
Nội nghiệp |
1 |
- |
1 |
2 |
1.4. Định mức lao động
Bảng 27. Định mức lao động đo lưu lượng nước kênh cứng bằng máy đo siêu âm
ĐVT: Công nhóm
|
TT |
Nội dung công việc |
ĐVT |
Định mức |
|
1 |
Ngoại nghiệp |
1 lần đo |
0,47 |
|
2 |
Nội nghiệp |
100 số liệu |
22,5 |
2. Định mức thiết bị
Bảng 28. Định mức thiết bị đo lưu lượng nước kênh cứng bằng máy đo siêu âm
|
TT |
Danh mục thiết bị |
ĐVT |
Thời hạn (tháng) |
Định mức |
|
|
|
Ngoại nghiệp |
Nội nghiệp (100 số liệu) |
|||||
|
1 |
Điều hòa 2 chiều 12000 BTU - 2,2 KW |
Cái |
96 |
|
6,8 |
|
|
2 |
Máy đo siêu âm |
Cái |
96 |
0,46 |
|
|
|
3 |
Máy Photocopy - 1Kw |
Cái |
96 |
|
6,8 |
|
|
4 |
Máy tính xách tay - 0,04KW |
Cái |
60 |
0,46 |
|
|
|
5 |
Máy đo GPS cầm tay |
Cái |
120 |
1,22 |
- |
|
|
6 |
Điện năng |
KW |
|
0,15 |
182,78 |
|
3. Định mức dụng cụ
Bảng 29. Định mức dụng cụ đo lưu lượng nước kênh cứng bằng máy đo siêu âm
|
TT |
Danh mục dụng cụ |
ĐVT |
Thời hạn (tháng) |
Định mức |
|
|---|---|---|---|---|---|
|
Ngoại nghiệp (ca/lần đo) |
Nội nghiệp (ca/100 số liệu) |
||||
|
1 |
Áo mưa bạt |
Cái |
36 |
1,22 |
- |
|
2 |
Áo rét BHLĐ |
Cái |
12 |
1,22 |
- |
|
3 |
Ba lô |
Cái |
24 |
1,22 |
- |
|
4 |
Bộ lưu điện UPS |
Cái |
60 |
- |
9,00 |
|
5 |
Đèn neon 40W |
Bộ |
36 |
1,22 |
36,00 |
|
6 |
Đèn xạc điện |
Cái |
24 |
1,22 |
- |
|
7 |
Địa bàn địa chất |
Cái |
120 |
1,22 |
- |
|
8 |
Giầy BHLĐ |
Đôi |
6 |
1,22 |
- |
|
9 |
Máy in A3 - 0,5KW |
Cái |
60 |
- |
9,00 |
|
10 |
Máy in A4 - 0,5KW |
Cái |
60 |
- |
9,00 |
|
11 |
Máy tính 0,6KW |
Cái |
60 |
- |
9,00 |
|
12 |
Máy tính bỏ túi |
Cái |
60 |
1,22 |
36,00 |
|
13 |
Mũ BHLĐ |
Cái |
12 |
1,22 |
- |
|
14 |
Nhiệt kế |
Cái |
12 |
1,22 |
- |
|
15 |
Phao cứu sinh |
Chiếc |
24 |
1,22 |
- |
|
16 |
Quần áo BHLĐ |
Bộ |
12 |
1,22 |
- |
|
17 |
Tất chống vắt |
Đôi |
6 |
1,22 |
- |
|
18 |
Thủy chí tráng men |
Bộ |
120 |
1,22 |
- |
|
19 |
Tủ đựng tài liệu |
Cái |
96 |
- |
36,00 |
|
20 |
Ủng BHLĐ |
Đôi |
12 |
1,22 |
- |
|
21 |
Điện năng |
KW |
|
5,53 |
133,06 |
|
22 |
Các dụng cụ khác |
% |
|
5,00 |
5,00 |
4. Định mức vật liệu
Bảng 30. Định mức vật liệu đo lưu lượng nước kênh cứng bằng máy đo siêu âm
|
TT |
Danh mục vật liệu |
ĐVT |
Định mức |
|
|---|---|---|---|---|
|
Ngoại nghiệp (lần đo) |
Nội nghiệp |
|||
|
1 |
Bản đồ địa hình |
Mảnh |
0,10 |
1,00 |
|
2 |
Băng dính trắng khổ 5cm |
Cuộn |
0,10 |
5,00 |
|
3 |
Bìa đóng sách |
Gram |
- |
0,10 |
|
4 |
Bút chì đen |
Cái |
0,10 |
10,00 |
|
5 |
Cặp đựng tài liệu |
Cái |
0,10 |
- |
|
6 |
Đĩa CD |
Hộp |
- |
1,00 |
|
7 |
Giấy A4 |
Gram |
0,01 |
1,00 |
|
8 |
Hộp đựng tài liệu |
Cái |
- |
1,00 |
|
9 |
Mực in laser |
Hộp |
- |
0,01 |
|
10 |
Mực photocopy |
Hộp |
- |
0,01 |
|
11 |
Pin 1,5V |
Đôi |
0,50 |
- |
|
12 |
Sổ 15 x 20 cm |
Quyển |
0,01 |
1,00 |
|
13 |
Sổ 30 x 50 cm |
Quyển |
0,01 |
1,00 |
|
14 |
Vật liệu khác |
% |
5,00 |
5,00 |
II.1.3. Đo lưu lượng nước trên kênh tự nhiên
1. Định mức lao động
1.1. Nội dung công việc
a) Ngoại nghiệp
- Nhận nhiệm vụ, chuẩn bị phương tiện, vật liệu, dụng cụ và máy móc, thiết bị phục vụ khảo sát, đo đạc, kiểm tra, hiệu chỉnh, kiểm định máy móc theo quy định;
- Di chuyển đến vị trí khảo sát;
- Lắp đặt máy thiết bị trước khi đo;
- Xác định tuyến đo mặt cắt ngang tuyến đo lưu lượng nước;
- Đo lưu lượng nước bằng máy đo siêu âm và theo yêu cầu đáp ứng tài liệu của việc kiểm kê, đánh giá hiện trạng khai thác, sử dụng tài nguyên nước mặt;
- Tháo dỡ, thu dọn dụng cụ thiết bị và quay về chỗ ở;
- Kiểm tra, bảo dưỡng dụng cụ, máy móc, thiết bị đo sau mỗi lần đo;
- Phục vụ trong quá trình kiểm tra nghiệm thu sản phẩm.
b) Nội nghiệp
- Chỉnh biên, chỉnh lý tài liệu;
- Tính toán lưu lượng nước mỗi lần đo;
- Viết báo cáo kết quả điều tra, khảo sát;
- Phục vụ quá trình kiểm tra, nghiệm thu sản phẩm.
1.2. Phân loại khó khăn
a) Những công việc chưa tính trong định mức
- Bảo hiểm người, thiết bị khảo sát;
- Vận chuyển nhân công, vật liệu, dụng cụ và máy móc, thiết bị từ đơn vị đến vùng khảo sát, đo đạc và ngược lại;
- Thuê phương tiện để đo lưu lượng nước trên kênh tự nhiên và cảnh giới an toàn khi khảo sát đo đạc;
- Thuê lao động phổ thông;
- In ấn sản phẩm, nhân bộ và bàn giao tài liệu.
b) Điều kiện áp dụng và các hệ số điều chỉnh
- Điều kiện áp dụng
Định mức khảo sát, đo đạc lưu lượng được tính cho điều kiện áp dụng chuẩn được quy định tại Mục 5.1, Phần I của Thông tư này.
- Các hệ số điều chỉnh
Khi khảo sát, đo đạc khác với các quy định về điều kiện áp dụng nêu trên, thì áp dụng các hệ số điều chỉnh cho định mức lao động, định mức vật liệu, dụng cụ và thiết bị được quy định và hướng dẫn áp dụng tại Mục 5.2, Phần I của Thông tư này, gồm: Kđl, Kđrtn, Kkcđl và Kts.
1.3. Định biên lao động
Bảng 31. Định biên lao động đo lưu lượng nước kênh tự nhiên bằng máy đo siêu âm
|
TT |
Nội dung công việc |
Định biên lao động |
|||
|
ĐTV3 |
ĐTV1 |
KTV5 |
Nhóm |
||
|
1 |
Ngoại nghiệp |
- |
1 |
1 |
2 |
|
2 |
Nội nghiệp |
1 |
- |
1 |
2 |
1.4. Định mức lao động
Bảng 32. Định mức lao động đo lưu lượng nước kênh tự nhiên bằng máy đo siêu âm
ĐVT: Công nhóm
|
TT |
Nội dung công việc |
ĐVT |
Định mức |
|
1 |
Ngoại nghiệp |
1 lần đo |
0,52 |
|
2 |
Nội nghiệp |
100 số liệu |
22,5 |
2. Định mức thiết bị
Bảng 33. Định mức thiết bị đo lưu lượng nước kênh tự nhiên bằng máy đo siêu âm
|
TT |
Danh mục thiết bị |
ĐVT |
Thời hạn (tháng) |
Định mức |
|
|
|
Ngoại nghiệp |
Nội nghiệp (100 số liệu) |
|||||
|
1 |
Điều hòa 2 chiều 12000 BTU - 2,2 KW |
Cái |
96 |
|
6,8 |
|
|
2 |
Máy đo siêu âm |
Cái |
96 |
0,46 |
|
|
|
3 |
Máy Photocopy - 1KW |
Cái |
96 |
|
6,8 |
|
|
4 |
Máy tính xách tay - 0,04KW |
Cái |
60 |
0,46 |
|
|
|
5 |
Máy đo GPS cầm tay |
Cái |
120 |
1,22 |
- |
|
|
6 |
Điện năng |
KW |
|
0,15 |
182,78 |
|
3. Định mức dụng cụ
Bảng 34. Định mức dụng cụ đo lưu lượng nước kênh tự nhiên bằng máy đo siêu âm
|
TT |
Danh mục dụng cụ |
ĐVT |
Thời hạn (tháng) |
Định mức |
|
|---|---|---|---|---|---|
|
Ngoại nghiệp (ca/lần đo) |
Nội nghiệp (ca/100 số liệu) |
||||
|
1 |
Áo mưa bạt |
Cái |
36 |
1,22 |
- |
|
2 |
Áo rét BHLĐ |
Cái |
12 |
1,22 |
- |
|
3 |
Ba lô |
Cái |
24 |
1,22 |
- |
|
4 |
Bộ lưu điện UPS |
Cái |
60 |
- |
9,00 |
|
5 |
Đèn neon 40W |
Bộ |
36 |
1,22 |
36,00 |
|
6 |
Đèn xạc điện |
Cái |
24 |
1,22 |
- |
|
7 |
Địa bàn địa chất |
Cái |
120 |
0,30 |
- |
|
8 |
Giầy BHLĐ |
Đôi |
6 |
1,22 |
- |
|
9 |
Máy in A3 - 0,5KW |
Cái |
60 |
- |
9,00 |
|
10 |
Máy in A4 - 0,5KW |
Cái |
60 |
- |
9,00 |
|
11 |
Máy tính 0,6KW |
Cái |
60 |
- |
9,00 |
|
12 |
Máy tính bỏ túi |
Cái |
60 |
0,30 |
36,00 |
|
13 |
Mũ BHLĐ |
Cái |
12 |
1,22 |
- |
|
14 |
Nhiệt kế |
Cái |
12 |
1,22 |
- |
|
15 |
Phao cứu sinh |
Chiếc |
24 |
1,22 |
- |
|
16 |
Quần áo BHLĐ |
Bộ |
12 |
1,22 |
- |
|
17 |
Tất chống vắt |
Đôi |
6 |
1,22 |
- |
|
18 |
Thủy chí tráng men |
Bộ |
120 |
0,30 |
- |
|
19 |
Tủ đựng tài liệu |
Cái |
96 |
- |
36,00 |
|
20 |
Ủng BHLĐ |
Đôi |
12 |
1,22 |
- |
|
21 |
Điện năng |
KW |
|
5,53 |
133,06 |
|
22 |
Các dụng cụ khác |
% |
|
5,00 |
5,00 |
4. Định mức vật liệu
Bảng 35. Định mức vật liệu đo lưu lượng nước kênh tự nhiên bằng máy đo siêu âm
|
TT |
Danh mục vật liệu |
ĐVT |
Định mức |
|
|---|---|---|---|---|
|
Ngoại nghiệp (lần đo) |
Nội nghiệp (100 số liệu) |
|||
|
1 |
Bản đồ địa hình |
Mảnh |
0,10 |
1,00 |
|
2 |
Băng dính trắng khổ 5cm |
Cuộn |
0,10 |
2,00 |
|
3 |
Bìa đóng sách |
Gram |
- |
1,00 |
|
4 |
Bút chì đen |
Cái |
0,10 |
5,00 |
|
5 |
Cặp đựng tài liệu |
Cái |
0,10 |
- |
|
6 |
Đĩa CD |
Hộp |
- |
0,10 |
|
7 |
Giấy A4 |
Gram |
0,01 |
0,10 |
|
8 |
Hộp đựng tài liệu |
Cái |
- |
0,20 |
|
9 |
Mực in laser |
Hộp |
- |
0,01 |
|
10 |
Mực photocopy |
Hộp |
- |
0,10 |
|
11 |
Pin 1,5V |
Đôi |
0,50 |
- |
|
12 |
Sổ 15 x 20 cm |
Quyển |
0,01 |
1,00 |
|
13 |
Sổ 30 x 50 cm |
Quyển |
0,01 |
1,00 |
|
14 |
Vật liệu khác |
% |
5,00 |
5,00 |
II.1.4. Đo lưu lượng nước trong đường ống kín
1. Định mức lao động
1.1. Nội dung công việc
a) Ngoại nghiệp
- Nhận nhiệm vụ, chuẩn bị phương tiện, vật liệu, dụng cụ và máy móc, thiết bị phục vụ khảo sát, đo đạc, kiểm tra, hiệu chỉnh, kiểm định máy móc theo quy định;
- Di chuyển đến vị trí khảo sát, đo đạc;
- Xác định vị trí đo;
- Lắp đặt máy móc, thiết bị trước khi đo;
- Đo lưu lượng nước bằng máy đo siêu âm và theo yêu cầu đáp ứng tài liệu của việc kiểm kê, đánh giá hiện trạng nước thải; đánh giá hiện trạng khai thác, sử dụng tài nguyên nước;
- Tháo dỡ, thu dọn dụng cụ thiết bị và quay về chỗ ở;
- Kiểm tra, bảo dưỡng dụng cụ, máy móc, thiết bị đo sau mỗi lần đo;
- Phục vụ trong quá trình kiểm tra nghiệm thu sản phẩm.
b) Nội nghiệp
- Chỉnh biên, chỉnh lý tài liệu;
- Tính toán lưu lượng nước mỗi lần đo;
- Viết báo cáo kết quả điều tra, khảo sát;
- Phục vụ quá trình kiểm tra nghiệm thu sản phẩm.
1.2. Phân loại khó khăn
a) Những công việc chưa có trong định mức
- Di chuyển khoảng cách > 5km;
- Vận chuyển nhân công, vật liệu, dụng cụ và máy móc, thiết bị từ đơn vị đến vùng khảo sát, đo đạc và ngược lại;
- In ấn sản phẩm, nhân bộ và bàn giao tài liệu.
b) Điều kiện áp dụng và các hệ số điều chỉnh
- Điều kiện áp dụng
Định mức khảo sát, đo đạc lưu lượng được tính cho điều kiện áp dụng chuẩn được quy định tại Mục 5.1, Phần I của Thông tư này.
- Các hệ số điều chỉnh
Khi khảo sát, đo đạc khác với các quy định về điều kiện áp dụng nêu trên, thì áp dụng hệ số điều chỉnh cho định mức lao động, định mức vật liệu, dụng cụ và thiết bị được quy định và hướng dẫn áp dụng tại Mục 5.2, Phần I của Thông tư này theo hệ số: Kđl, Kkcđl và Kts.
1.3. Định biên lao động
Bảng 36. Định biên đo lưu lượng nước đường ống kín bằng máy đo siêu âm
|
TT |
Nội dung công việc |
Định biên lao động |
|||
|
ĐTV3 |
ĐTV1 |
KTV5 |
Nhóm |
||
|
1 |
Ngoại nghiệp |
- |
1 |
1 |
2 |
|
2 |
Nội nghiệp |
1 |
- |
1 |
2 |
1.4. Định mức lao động
Bảng 37. Định mức lao động đo lưu lượng nước đường ống kín bằng máy đo siêu âm
ĐVT: Công nhóm
|
TT |
Nội dung công việc |
ĐVT |
Định mức |
|
1 |
Ngoại nghiệp |
1 lần đo |
0,42 |
|
2 |
Nội nghiệp |
100 số liệu |
22,50 |
2. Định mức thiết bị
Bảng 38. Định mức thiết bị đo lưu lượng nước đường ống kín bằng máy đo siêu âm
|
TT |
Danh mục thiết bị |
ĐVT |
Thời hạn (tháng) |
Định mức |
|
|
|
Ngoại nghiệp |
Nội nghiệp (100 số liệu) |
|||||
|
1 |
Điều hòa 2 chiều 12000 BTU - 2,2KW |
Cái |
96 |
|
6,8 |
|
|
2 |
Máy đo siêu âm |
Cái |
96 |
0,46 |
|
|
|
3 |
Máy Photocopy - 1KW |
Cái |
96 |
|
6,8 |
|
|
4 |
Máy tính xách tay - 0,04KW |
Cái |
60 |
0,46 |
|
|
|
5 |
Máy đo GPS cầm tay |
Cái |
120 |
1,22 |
- |
|
|
6 |
Điện năng |
KW |
|
0,15 |
182,78 |
|
3. Định mức dụng cụ
Bảng 39. Định mức dụng cụ đo lưu lượng nước đường ống kín bằng máy đo siêu âm
|
TT |
Danh mục dụng cụ |
ĐVT |
Thời hạn (tháng) |
Định mức |
|
|---|---|---|---|---|---|
|
Ngoại nghiệp (ca/lần đo) |
Nội nghiệp (ca/100 số liệu) |
||||
|
1 |
Áo mưa bạt |
Cái |
36 |
1,22 |
- |
|
2 |
Áo rét BHLĐ |
Cái |
12 |
1,22 |
- |
|
3 |
Ba lô |
Cái |
24 |
1,22 |
- |
|
4 |
Bộ lưu điện UPS |
Cái |
60 |
- |
9,00 |
|
5 |
Đèn neon 40W |
Bộ |
36 |
1,22 |
36,00 |
|
6 |
Đèn xạc điện |
Cái |
24 |
1,22 |
- |
|
7 |
Địa bàn địa chất |
Cái |
120 |
1,22 |
- |
|
8 |
Giầy BHLĐ |
Đôi |
6 |
1,22 |
- |
|
9 |
Máy in A3 - 0,5KW |
Cái |
60 |
- |
9,00 |
|
10 |
Máy in A4 - 0,5KW |
Cái |
60 |
- |
9,00 |
|
11 |
Máy tính 0,6KW |
Cái |
60 |
- |
9,00 |
|
12 |
Máy tính bỏ túi |
Cái |
60 |
1,22 |
36,00 |
|
13 |
Mũ BHLĐ |
Cái |
12 |
1,22 |
- |
|
14 |
Nhiệt kế |
Cái |
12 |
1,22 |
- |
|
15 |
Phao cứu sinh |
Chiếc |
24 |
1,22 |
- |
|
16 |
Quần áo BHLĐ |
Bộ |
12 |
1,22 |
- |
|
17 |
Tất chống vắt |
Đôi |
6 |
1,22 |
- |
|
18 |
Thủy chí tráng men |
Bộ |
120 |
1,22 |
- |
|
19 |
Tủ đựng tài liệu |
Cái |
96 |
- |
36 |
|
20 |
Ủng BHLĐ |
Đôi |
12 |
1,22 |
- |
|
21 |
Điện năng |
KW |
|
5,53 |
133,06 |
|
22 |
Các dụng cụ khác |
% |
|
5 |
5 |
4. Định mức vật liệu
Bảng 40. Định mức vật liệu đo lưu lượng nước đường ống kín bằng máy đo siêu âm
|
TT |
Danh mục vật liệu |
ĐVT |
Định mức |
|
|---|---|---|---|---|
|
Ngoại nghiệp (lần đo) |
Nội nghiệp (100 số liệu) |
|||
|
1 |
Bản đồ địa hình |
Mảnh |
0,10 |
1,00 |
|
2 |
Băng dính trắng khổ 5cm |
Cuộn |
0,12 |
1,20 |
|
3 |
Bìa đóng sách |
Gram |
- |
0,10 |
|
4 |
Bút chì đen |
Cái |
0,10 |
10,00 |
|
5 |
Cặp đựng tài liệu |
Cái |
0,10 |
- |
|
6 |
Đĩa CD |
Hộp |
- |
1,00 |
|
7 |
Giấy A4 |
Gram |
0,01 |
1,00 |
|
8 |
Hộp đựng tài liệu |
Cái |
- |
1,00 |
|
9 |
Mực in laser |
Hộp |
- |
0,01 |
|
10 |
Mực photocopy |
Hộp |
- |
0,01 |
|
11 |
Pin 1,5V |
Đôi |
0,50 |
1,00 |
|
12 |
Sổ 15 x 20 cm |
Quyển |
0,10 |
1,00 |
|
13 |
Sổ 30 x 50 cm |
Quyển |
0,10 |
1,00 |
|
14 |
Vật liệu khác |
% |
5,00 |
5,00 |
II.2. Đo lưu lượng nước bằng phao trên kênh tự nhiên, suối
II.2.1. Định mức lao động
1. Nội dung công việc
1.1. Ngoại nghiệp
a) Nhận nhiệm vụ, chuẩn bị phương tiện, vật liệu, dụng cụ và máy móc, thiết bị phục vụ khảo sát, đo đạc;
b) Di chuyển đến vị trí khảo sát, đo đạc;
c) Bố trí thủy trực, xác định vị trí thả phao, đo mặt cắt ngang của tuyến đo;
d) Đo mặt cắt dọc tuyến đo, xác định chiều dài tuyến phao trôi;
đ) Đo tốc độ bằng phao theo yêu cầu của việc đánh giá tài nguyên nước mặt;
e) Tháo dỡ, thu dọn dụng cụ thiết bị và quay về chỗ ở;
g) Kiểm tra, bảo dưỡng dụng cụ, máy móc, thiết bị đo sau mỗi lần đo;
h) Phục vụ trong quá trình kiểm tra nghiệm thu sản phẩm.
1.2. Nội nghiệp
a) Chỉnh biên, chỉnh lý tài liệu;
b) Biên tập lưu lượng nước mỗi lần đo;
c) Viết báo cáo kết quả điều tra, khảo sát;
d) Phục vụ trong quá trình kiểm tra nghiệm thu sản phẩm.
2. Phân loại khó khăn
2.1. Những công việc chưa tính trong định mức
a) Vận chuyển nhân công, vật liệu, dụng cụ và máy móc, thiết bị từ đơn vị đến vùng khảo sát, đo đạc và ngược lại;
b) Thuê phương tiện để đo lưu lượng nước trên kênh tự nhiên và cảnh giới an toàn khi khảo sát đo đạc;
c) Bảo hiểm người, thiết bị khảo sát;
d) Di chuyển khoảng cách > 5km;
đ) Thuê lao động phổ thông;
e) In ấn sản phẩm, nhân bộ và bàn giao tài liệu.
2.2. Điều kiện áp dụng và các hệ số điều chỉnh
a) Điều kiện áp dụng
Định mức khảo sát, đo đạc lưu lượng được tính cho điều kiện áp dụng chuẩn được quy định tại Mục 5.1, Phần I của Thông tư này.
b) Các hệ số điều chỉnh
Khi khảo sát, đo đạc khác với các quy định về điều kiện áp dụng nêu trên, thì áp dụng các hệ số điều chỉnh cho định mức lao động, định mức vật liệu, dụng cụ và thiết bị được quy định và hướng dẫn áp dụng tại Mục 5.2, Phần I của Thông tư này, gồm: Kđl, Kđrtn, Kkcđl và Kts.
3. Định biên lao động
Bảng 41. Định biên lao động đo lưu lượng nước kênh tự nhiên, suối bằng phao
|
TT |
Nội dung công việc |
Định biên lao động |
|||
|
ĐTV3 |
ĐTV1 |
KTV5 |
Nhóm |
||
|
1 |
Ngoại nghiệp |
1 |
1 |
- |
2 |
|
2 |
Nội nghiệp |
1 |
- |
1 |
2 |
4. Định mức lao động
Bảng 42. Định mức lao động đo lưu lượng nước kênh tự nhiên, suối bằng phao
ĐVT: Công nhóm
|
TT |
Nội dung công việc |
ĐVT |
Định mức |
|
1 |
Ngoại nghiệp |
1 lần đo |
0,55 |
|
2 |
Nội nghiệp |
100 số liệu |
22,5 |
II.2.2. Định mức thiết bị
Bảng 43. Định mức thiết bị đo lưu lượng nước kênh tự nhiên, suối bằng phao
|
TT |
Danh mục thiết bị |
ĐVT |
Thời hạn (tháng) |
Định mức |
|
|
|
Ngoại nghiệp |
Nội nghiệp (100 số liệu) |
|||||
|
1 |
Điều hòa 2 chiều 12000 BTU - 2,2Kw |
Cái |
96 |
|
6,80 |
|
|
2 |
Máy tính xách tay - 0,04Kw |
Cái |
60 |
0,46 |
|
|
|
3 |
Máy Photocopy - 1Kw |
Cái |
96 |
|
6,80 |
|
|
4 |
Máy kinh vĩ |
Cái |
120 |
0,46 |
|
|
|
5 |
Máy đo GPS cầm tay |
Cái |
120 |
0,61 |
- |
|
|
6 |
Điện năng |
KW |
|
0,15 |
182,78 |
|
II.2.3. Định mức dụng cụ
Bảng 44. Định mức dụng cụ đo lưu lượng nước kênh tự nhiên, suối bằng phao
|
TT |
Danh mục dụng cụ |
ĐVT |
Thời hạn (tháng) |
Định mức |
|
|---|---|---|---|---|---|
|
Ngoại nghiệp (ca/lần đo) |
Nội nghiệp (ca/100 số liệu) |
||||
|
1 |
Áo mưa bạt |
Cái |
36 |
1,22 |
- |
|
2 |
Áo rét BHLĐ |
Cái |
12 |
1,22 |
- |
|
3 |
Ba lô |
Cái |
24 |
1,22 |
- |
|
4 |
Bộ lưu điện UPS |
Cái |
60 |
- |
9,00 |
|
5 |
Đèn neon 40W |
Bộ |
36 |
1,22 |
36,00 |
|
6 |
Đèn xạc điện |
Cái |
24 |
1,22 |
- |
|
7 |
Địa bàn địa chất |
Cái |
120 |
0,61 |
- |
|
8 |
Đồng hồ bấm giây |
Cái |
36 |
0,61 |
- |
|
9 |
Giầy BHLĐ |
Đôi |
6 |
1,22 |
- |
|
10 |
Máy in A3 - 0,5Kw |
Cái |
60 |
- |
9,00 |
|
11 |
Máy in A4 - 0,5Kw |
Cái |
60 |
- |
9,00 |
|
12 |
Máy tính 0,6Kw |
Cái |
60 |
|
9,00 |
|
13 |
Máy tính bỏ túi |
Cái |
60 |
0,61 |
36,00 |
|
14 |
Mũ BHLĐ |
Cái |
12 |
1,22 |
- |
|
15 |
Nhiệt kế |
Cái |
12 |
0,61 |
- |
|
16 |
Phao cứu sinh |
Chiếc |
24 |
1,22 |
- |
|
17 |
Quần áo BHLĐ |
Bộ |
12 |
1,22 |
- |
|
18 |
Tất chống vắt |
Đôi |
6 |
1,22 |
- |
|
19 |
Thủy chí tráng men |
Bộ |
120 |
0,61 |
|
|
20 |
Tủ đựng tài liệu |
Cái |
96 |
|
180,00 |
|
21 |
Ủng BHLĐ |
Đôi |
12 |
1,22 |
|
|
22 |
Điện năng |
KW |
|
0,41 |
120,96 |
|
23 |
Các dụng cụ khác |
% |
|
5,00 |
5,00 |
II.2.4. Định mức vật liệu
Bảng 45. Định mức vật liệu đo lưu lượng nước kênh tự nhiên, suối bằng phao
|
TT |
Danh mục vật liệu |
ĐVT |
Định mức |
|
|---|---|---|---|---|
|
Ngoại nghiệp (lần đo) |
Nội nghiệp (100 số liệu) |
|||
|
1 |
Bản đồ địa hình |
Mảnh |
0,10 |
1,00 |
|
2 |
Băng dính trắng khổ 5cm |
Cuộn |
0,12 |
1,20 |
|
3 |
Bìa đóng sách |
Gram |
- |
1,00 |
|
4 |
Bút chì đen |
Cái |
0,01 |
10,00 |
|
5 |
Cặp đựng tài liệu |
Cái |
0,10 |
- |
|
6 |
Đĩa CD |
Hộp |
- |
1,00 |
|
7 |
Giấy A4 |
Gram |
|
1,00 |
|
8 |
Hộp đựng tài liệu |
Cái |
- |
1,00 |
|
9 |
Mực in laser |
Hộp |
- |
0,01 |
|
10 |
Mực photocopy |
Hộp |
- |
0,01 |
|
11 |
Phao đo lưu lượng |
Cái |
0,10 |
- |
|
12 |
Pin 1,5V |
Đôi |
0,50 |
|
|
13 |
Sổ 15 x 20 cm |
Quyển |
0,01 |
1,00 |
|
14 |
Sổ 30 x 50 cm |
Quyển |
0,01 |
1,00 |
|
15 |
Vật liệu khác |
% |
5,00 |
5,00 |
II.3. Đo lưu lượng bằng lưu tốc kế
II.3.1. Đo lưu lượng nước trên sông
1. Định mức lao động
1.1. Nội dung công việc
a) Ngoại nghiệp
- Nhận nhiệm vụ, chuẩn bị phương tiện, vật liệu, dụng cụ và máy móc, thiết bị phục vụ khảo sát, đo đạc; kiểm tra, hiệu chỉnh, kiểm định máy móc theo quy định;
- Di chuyển đến vị trí khảo sát, đo đạc;
- Đo vẽ mặt cắt ngang chi tiết, bố trí đường đo lưu tốc;
- Tính toán, xác định vị trí và trồng tiêu ngắm, xác định vị trí đường thủy trực;
- Lắp đặt máy và dụng cụ đo lên phương tiện nổi;
- Đo tốc độ dòng nước bằng máy đo lưu tốc kế;
- Đo vẽ mặt cắt ngang tuyến đo giữa kỳ và trước khi kết thúc kỳ đo;
- Tháo dỡ máy móc, thiết bị sau khi đo và quay về chỗ ở;
- Kiểm tra, bảo dưỡng dụng cụ, máy móc, thiết bị đo sau mỗi lần đo;
- Phục vụ trong quá trình kiểm tra, nghiệm thu sản phẩm.
b) Nội nghiệp
- Chỉnh biên, chỉnh lý tài liệu;
- Biên tập lưu lượng mỗi lần đo;
- Lập hồ sơ, viết thuyết minh;
- Phục vụ trong quá trình kiểm tra, nghiệm thu sản phẩm.
1.2. Phân loại khó khăn
a) Những công việc chưa tính trong định mức
- Đo mực nước trong quá trình đo lưu tốc;
- Dẫn cao độ từ mốc nhà nước về vị trí điều tra;
- Vận chuyển nhân công, vật liệu, dụng cụ và máy móc, thiết bị từ đơn vị đến vùng khảo sát, đo đạc và ngược lại;
- Thuê phương tiện để đo lưu lượng nước trên sông và phương tiện cảnh giới an toàn phục vụ khảo sát đo đạc;
- Bảo hiểm người, thiết bị khảo sát;
- Di chuyển khoảng cách > 5km;
- Điều tra thủy văn hình thái đoạn sông;
- Thuê lao động phổ thông;
- In ấn sản phẩm, nhân bộ và bàn giao tài liệu.
b) Điều kiện áp dụng và các hệ số điều chỉnh
- Điều kiện áp dụng
Định mức khảo sát, đo đạc lưu lượng được tính cho điều kiện áp dụng chuẩn được quy định tại Mục 5.1, Phần I của Thông tư này.
- Các hệ số điều chỉnh
Khi khảo sát, đo đạc khác với các quy định về điều kiện áp dụng nêu trên, thì áp dụng các hệ số điều chỉnh cho định mức lao động, định mức vật liệu, dụng cụ và thiết bị được quy định và hướng dẫn áp dụng tại Mục 5.2, Phần I của Thông tư này, gồm: Kđl, Ktv, Kkcđl và Kts.
1.3. Định biên lao động
Bảng 46. Định biên lao động đo lưu lượng nước sông bằng lưu tốc kế
|
TT |
Nội dung công việc |
Định biên lao động |
||
|
ĐTV3 |
KTV5 |
Nhóm |
||
|
1 |
Ngoại nghiệp |
2 |
1 |
3 |
|
2 |
Nội nghiệp |
1 |
1 |
2 |
1.4. Định mức lao động
Bảng 47. Định mức lao động đo lưu lượng nước sông bằng lưu tốc kế
ĐVT: Công nhóm
|
TT |
Nội dung công việc |
ĐVT |
Định mức |
|
1 |
Ngoại nghiệp |
1 lần đo |
0,85 |
|
2 |
Nội nghiệp |
100 số liệu |
22,5 |
2. Định mức thiết bị
Bảng 48. Định mức thiết bị đo lưu lượng nước sông bằng lưu tốc kế
|
TT |
Danh mục thiết bị |
ĐVT |
Thời hạn (tháng) |
Định mức |
||
|---|---|---|---|---|---|---|
|
Ngoại nghiệp (ca/1 lần đo) |
Nội nghiệp (100 số liệu) |
|||||
|
1 |
Điều hòa 2 chiều 12000 BTU - 2,2Kw |
Cái |
96 |
|
6,8 |
|
|
2 |
Máy tính xách tay - 0,04Kw |
Cái |
60 |
0,46 |
|
|
|
3 |
Máy Photocopy - 1Kw |
Cái |
96 |
|
6,8 |
|
|
4 |
Máy kinh vĩ |
Cái |
120 |
0,46 |
|
|
|
5 |
Máy đo sâu F80-40 |
Cái |
96 |
0,46 |
|
|
|
6 |
Máy đo GPS cầm tay |
Cái |
120 |
0,1 |
- |
|
|
7 |
Điện năng |
KW |
|
0,15 |
182,78 |
|
3. Định mức dụng cụ
Bảng 49. Định mức dụng cụ đo lưu lượng nước sông bằng lưu tốc kế
|
TT |
Danh mục dụng cụ |
ĐVT |
Thời hạn (tháng) |
Định mức |
|
|---|---|---|---|---|---|
|
Ngoại nghiệp (ca/lần đo) |
Nội nghiệp (ca/100 số liệu) |
||||
|
1 |
Áo mưa bạt |
Cái |
36 |
3,65 |
- |
|
2 |
Áo rét BHLĐ |
Cái |
12 |
3,65 |
- |
|
3 |
Ba lô |
Cái |
24 |
3,65 |
- |
|
4 |
Bộ lưu điện UPS |
Cái |
60 |
- |
9,00 |
|
5 |
Đèn neon 40W |
Bộ |
36 |
3,65 |
36,00 |
|
6 |
Đèn xạc điện |
Cái |
24 |
3,65 |
- |
|
7 |
Địa bàn địa chất |
Cái |
120 |
0,10 |
- |
|
8 |
Giầy BHLĐ |
Đôi |
6 |
3,65 |
- |
|
9 |
Máy in A3 - 0,5Kw |
Cái |
60 |
- |
9,00 |
|
10 |
Máy in A4 - 0,5Kw |
Cái |
60 |
- |
9,00 |
|
11 |
Máy tính 0,6Kw |
Cái |
60 |
- |
9,00 |
|
12 |
Máy tính bỏ túi |
Cái |
60 |
0,10 |
36,00 |
|
13 |
Mũ BHLĐ |
Cái |
12 |
3,65 |
- |
|
14 |
Nhiệt kế |
Cái |
12 |
0,10 |
- |
|
15 |
Phao cứu sinh |
Chiếc |
24 |
3,65 |
- |
|
16 |
Quần áo BHLĐ |
Bộ |
12 |
3,65 |
- |
|
17 |
Tất chống vắt |
Đôi |
6 |
3,65 |
- |
|
18 |
Thủy chí tráng men |
Bộ |
120 |
0,10 |
- |
|
19 |
Tủ đựng tài liệu |
Cái |
96 |
|
36,00 |
|
20 |
Ủng BHLĐ |
Đôi |
12 |
3,65 |
- |
|
21 |
Điện năng |
KW |
|
1,23 |
133,06 |
|
22 |
Các dụng cụ khác |
% |
|
5,00 |
5,00 |
4. Định mức vật liệu
Bảng 50. Định mức vật liệu đo lưu lượng nước sông bằng lưu tốc kế
|
TT |
Danh mục vật liệu |
ĐVT |
Định mức |
|
|---|---|---|---|---|
|
Ngoại nghiệp |
Nội nghiệp (100 số liệu) |
|||
|
1 |
Bản đồ địa hình |
Mảnh |
0,10 |
1,00 |
|
2 |
Băng dính trắng khổ 5cm |
Cuộn |
0,12 |
1,20 |
|
3 |
Bìa đóng sách |
Gram |
- |
1,00 |
|
4 |
Bút chì đen |
Cái |
0,10 |
5,00 |
|
5 |
Cặp đựng tài liệu |
Cái |
0,10 |
- |
|
6 |
Đĩa CD |
Hộp |
- |
1,00 |
|
7 |
Giấy A4 |
Gram |
0,01 |
1,00 |
|
8 |
Hộp đựng tài liệu |
Cái |
- |
1,00 |
|
9 |
Mực in laser |
Hộp |
- |
0,01 |
|
10 |
Mực photocopy |
Hộp |
- |
0,01 |
|
11 |
Pin 1,5V |
Đôi |
0,50 |
- |
|
12 |
Sổ 15 x 20 cm |
Quyển |
0,01 |
1,00 |
|
13 |
Sổ 30 x 50 cm |
Quyển |
0,01 |
1,00 |
|
14 |
Vật liệu khác |
% |
5,00 |
5,00 |
II.3.2. Đo lưu lượng nước trên kênh cứng
1. Định mức lao động
1.1. Nội dung công việc
a) Ngoại nghiệp
- Nhận nhiệm vụ, chuẩn bị phương tiện, vật liệu, dụng cụ và máy móc, thiết bị phục vụ khảo sát, đo đạc, kiểm tra, hiệu chỉnh, kiểm định máy móc theo quy định;
- Di chuyển đến vị trí khảo sát, đo đạc;
- Lắp đặt máy móc thiết bị trước khi đo;
- Vẽ diện tích mặt cắt ướt;
- Xác định vị trí thủy trực cần đo;
- Đo lưu lượng nước bằng lưu tốc kế và theo yêu cầu đáp ứng tài liệu của việc kiểm kê, đánh giá hiện trạng khai thác, sử dụng tài nguyên nước mặt;
- Tháo dỡ máy móc, thiết bị sau khi đo và quay về chỗ ở;
- Kiểm tra, bảo dưỡng dụng cụ, máy móc, thiết bị đo sau mỗi lần đo;
- Phục vụ trong quá trình kiểm tra, nghiệm thu sản phẩm.
b) Nội nghiệp
- Chỉnh biên, chỉnh lý tài liệu;
- Biên tập lưu lượng mỗi lần đo;
- Lập hồ sơ, viết thuyết minh;
- Phục vụ trong quá trình kiểm tra nghiệm thu sản phẩm.
1.2. Phân loại khó khăn
a) Những công việc chưa tính trong định mức
- Vận chuyển nhân công, vật liệu, dụng cụ và máy móc, thiết bị từ đơn vị đến vùng khảo sát, đo đạc và ngược lại;
- Thuê phương tiện để đo lưu lượng nước trên kênh cứng và cảnh giới an toàn khi khảo sát đo đạc;
- Bảo hiểm người, thiết bị khảo sát;
- Di chuyển khoảng cách > 5km;
- Thuê lao động phổ thông;
- In ấn sản phẩm, nhân bộ và bàn giao tài liệu.
b) Điều kiện áp dụng và các hệ số điều chỉnh
- Điều kiện áp dụng
Định mức khảo sát, đo đạc lưu lượng được tính cho điều kiện áp dụng chuẩn được quy định tại Mục 5.1, Phần I của Thông tư này.
- Các hệ số điều chỉnh
Khi khảo sát, đo đạc khác với các quy định về điều kiện áp dụng nêu trên, thì áp dụng các hệ số điều chỉnh cho định mức lao động, định mức vật liệu, dụng cụ và thiết bị được quy định và hướng dẫn áp dụng tại Mục 5.2, Phần I của Thông tư này, gồm: Kđl, Kđrc, Kkcđl và Kts.
1.3. Định biên lao động
Bảng 51. Định biên lao động đo lưu lượng nước kênh cứng bằng lưu tốc kế
|
TT |
Nội dung công việc |
Định biên lao động |
||
|
ĐTV3 |
KTV5 |
Nhóm |
||
|
1 |
Ngoại nghiệp |
1 |
1 |
2 |
|
2 |
Nội nghiệp |
1 |
1 |
2 |
1.4. Định mức lao động
Bảng 52. Định mức lao động đo lưu lượng nước kênh cứng bằng lưu tốc kế
ĐVT: Công nhóm
|
TT |
Nội dung công việc |
ĐVT |
Định mức |
|
1 |
Ngoại nghiệp |
1 lần đo |
0,50 |
|
2 |
Nội nghiệp |
100 số liệu |
22,5 |
2. Định mức thiết bị
Bảng 53. Định mức thiết bị đo lưu lượng nước kênh cứng bằng lưu tốc kế
|
TT |
Danh mục thiết bị |
ĐVT |
Thời hạn (tháng) |
Định mức |
|
|
|---|---|---|---|---|---|---|
|
Ngoại nghiệp (ca/1 lần đo) |
Nội nghiệp (100 số liệu) |
|||||
|
1 |
Điều hòa 2 chiều 12000 BTU - 2,2Kw |
Cái |
96 |
|
6,8 |
|
|
2 |
Máy tính xách tay - 0,04Kw |
Cái |
60 |
0,46 |
|
|
|
3 |
Máy Photocopy - 1Kw |
Cái |
96 |
|
6,8 |
|
|
4 |
Máy kinh vĩ |
Cái |
120 |
0,46 |
|
|
|
5 |
Máy đo sâu F80-40 |
Cái |
96 |
0,46 |
|
|
|
6 |
Máy đo GPS cầm tay |
Cái |
120 |
0,61 |
- |
|
|
7 |
Điện năng |
KW |
|
0,15 |
182,78 |
|
3. Định mức dụng cụ
Bảng 54. Định mức dụng cụ đo lưu lượng nước kênh cứng bằng lưu tốc kế
|
TT |
Danh mục dụng cụ |
ĐVT |
Thời hạn (tháng) |
Định mức |
|
|---|---|---|---|---|---|
|
Ngoại nghiệp (ca/lần đo) |
Nội nghiệp (ca/100 số liệu) |
||||
|
1 |
Áo mưa bạt |
Cái |
36 |
1,82 |
- |
|
2 |
Áo rét BHLĐ |
Cái |
12 |
1,82 |
- |
|
3 |
Ba lô |
Cái |
24 |
1,82 |
- |
|
4 |
Bộ lưu điện UPS |
Cái |
60 |
- |
18,00 |
|
5 |
Đèn neon 40W |
Bộ |
36 |
1,82 |
36,00 |
|
6 |
Đèn xạc điện |
Cái |
24 |
1,82 |
- |
|
7 |
Địa bàn địa chất |
Cái |
120 |
0,61 |
- |
|
8 |
Giầy BHLĐ |
Đôi |
6 |
1,82 |
- |
|
9 |
Máy in A3 - 0,5Kw |
Cái |
60 |
- |
18,00 |
|
10 |
Máy in A4 - 0,5Kw |
Cái |
60 |
- |
18,00 |
|
11 |
Máy tính 0,6Kw |
Cái |
60 |
- |
18,00 |
|
12 |
Máy tính bỏ túi |
Cái |
60 |
0,61 |
36,00 |
|
13 |
Mũ BHLĐ |
Cái |
12 |
1,82 |
- |
|
14 |
Nhiệt kế |
Cái |
12 |
1,82 |
- |
|
15 |
Phao cứu sinh |
Chiếc |
24 |
1,82 |
- |
|
16 |
Quần áo BHLĐ |
Bộ |
12 |
1,82 |
- |
|
17 |
Tất chống vắt |
Đôi |
6 |
1,82 |
- |
|
18 |
Thủy chí tráng men |
Bộ |
120 |
0,61 |
- |
|
19 |
Tủ đựng tài liệu |
Cái |
96 |
|
36,00 |
|
20 |
Ủng BHLĐ |
Đôi |
12 |
1,82 |
- |
|
21 |
Điện năng |
KW |
|
0,61 |
254,02 |
|
22 |
Các dụng cụ khác |
% |
|
5,00 |
5,00 |
4. Định mức vật liệu
Bảng 55. Định mức vật liệu đo lưu lượng nước kênh cứng bằng lưu tốc kế
|
TT |
Danh mục vật liệu |
ĐVT |
Định mức |
|
|---|---|---|---|---|
|
Ngoại nghiệp (lần đo) |
Nội nghiệp (100 số liệu) |
|||
|
1 |
Bản đồ địa hình |
Mảnh |
0,10 |
1,00 |
|
2 |
Băng dính trắng khổ 5cm |
Cuộn |
0,12 |
1,20 |
|
3 |
Bìa đóng sách |
Gram |
- |
1,00 |
|
4 |
Bút chì đen |
Cái |
0,01 |
10,00 |
|
5 |
Cặp đựng tài liệu |
Cái |
0,10 |
- |
|
6 |
Đĩa CD |
Hộp |
- |
0,10 |
|
7 |
Giấy A4 |
Gram |
0,01 |
1,00 |
|
8 |
Hộp đựng tài liệu |
Cái |
- |
1,00 |
|
9 |
Mực in laser |
Hộp |
- |
0,01 |
|
10 |
Mực photocopy |
Hộp |
- |
0,01 |
|
11 |
Pin 1,5V |
Đôi |
0,50 |
- |
|
12 |
Sổ 15 x 20 cm |
Quyển |
0,10 |
1,00 |
|
13 |
Sổ 30 x 50 cm |
Quyển |
0,10 |
1,00 |
|
14 |
Vật liệu khác |
% |
5 |
5 |
II.3.3. Đo lưu lượng nước trên kênh tự nhiên
1. Định mức lao động
1.1. Nội dung công việc
a) Ngoại nghiệp
- Nhận nhiệm vụ, chuẩn bị phương tiện, vật liệu, dụng cụ và máy móc, thiết bị phục vụ khảo sát, đo đạc, kiểm tra, hiệu chỉnh, kiểm định máy móc theo quy định;
- Di chuyển đến vị trí khảo sát, đo đạc;
- Lắp đặt máy móc thiết bị trước khi đo;
- Xác định độ rộng và độ sâu của kênh tự nhiên;
- Vẽ diện tích mặt cắt ướt;
- Xác định vị trí thủy trực cần đo;
- Đo lưu lượng nước bằng lưu tốc kế và theo yêu cầu đáp ứng tài liệu của việc kiểm kê đánh giá hiện trạng khai thác, sử dụng tài nguyên nước;
- Tháo dỡ, thu dọn dụng cụ thiết bị sau mỗi lần đo và quay về chỗ ở;
- Kiểm tra, bảo dưỡng dụng cụ, máy móc, thiết bị đo sau mỗi lần đo;
- Phục vụ trong quá trình kiểm tra, nghiệm thu sản phẩm.
b) Nội nghiệp
- Chỉnh biên, chỉnh lý tài liệu;
- Biên tập lưu lượng mỗi lần đo;
- Lập hồ sơ, viết thuyết minh;
- In ấn sản phẩm, nhân bộ và bàn giao tài liệu.
1.2. Phân loại khó khăn
a) Những công việc chưa tính trong định mức
- Vận chuyển nhân công, vật liệu, dụng cụ và máy móc, thiết bị từ đơn vị đến vị trí khảo sát, đo đạc và ngược lại;
- Thuê thuyền và phương tiện để cảnh giới an toàn khi khảo sát đo đạc;
- Bảo hiểm người, thiết bị khảo sát;
- Di chuyển khoảng cách > 5km;
- Thuê lao động phổ thông;
- In ấn sản phẩm, nhân bộ và bàn giao tài liệu.
b) Điều kiện áp dụng và các hệ số điều chỉnh
- Điều kiện áp dụng
Định mức khảo sát, đo đạc lưu lượng được tính cho điều kiện áp dụng chuẩn được quy định tại Mục 5.1, Phần I của Thông tư này.
- Các hệ số điều chỉnh
Khi khảo sát, đo đạc khác với các quy định về điều kiện áp dụng nêu trên, thì áp dụng các hệ số điều chỉnh cho định mức lao động, định mức vật liệu, dụng cụ và thiết bị được quy định và hướng dẫn áp dụng tại Mục 5.2, Phần I của Thông tư này, gồm: Kđl, Kđrtn, Kkcđl và Kts.
1.3. Định biên lao động
Bảng 56. Định biên lao động đo lưu lượng nước kênh tự nhiên bằng lưu tốc kế
|
TT |
Nội dung công việc |
Định biên lao động |
||
|---|---|---|---|---|
|
ĐTV3 |
KTV5 |
Nhóm |
||
|
1 |
Ngoại nghiệp |
1 |
1 |
2 |
|
2 |
Nội nghiệp |
1 |
1 |
2 |
1.4. Định mức lao động
Bảng 57. Định mức lao động đo lưu lượng nước tự nhiên bằng lưu tốc kế
ĐVT: Công nhóm
|
TT |
Nội dung công việc |
ĐVT |
Định mức |
|
1 |
Ngoại nghiệp |
1 lần đo |
0,65 |
|
2 |
Nội nghiệp |
100 số liệu |
22,50 |
2. Định mức thiết bị
Bảng 58. Định mức thiết bị đo lưu lượng nước kênh tự nhiên bằng lưu tốc kế
|
TT |
Danh mục thiết bị |
ĐVT |
Thời hạn (tháng) |
Định mức |
|
|
|---|---|---|---|---|---|---|
|
Ngoại nghiệp (ca/1 lần đo) |
Nội nghiệp (100 số liệu) |
|||||
|
1 |
Điều hòa 2 chiều 12000 BTU - 2,2Kw |
Cái |
96 |
|
6,8 |
|
|
2 |
Máy tính xách tay - 0,04Kw |
Cái |
60 |
0,46 |
|
|
|
3 |
Máy Photocopy - 1Kw |
Cái |
96 |
|
6,8 |
|
|
4 |
Máy kinh vĩ |
Cái |
120 |
0,46 |
|
|
|
5 |
Máy đo sâu F80-40 |
Cái |
96 |
0,46 |
|
|
|
6 |
Máy đo GPS cầm tay |
Cái |
120 |
0,61 |
- |
|
|
7 |
Điện năng |
KW |
|
0,15 |
182,78 |
|
3. Định mức dụng cụ
Bảng 59. Định mức dụng cụ đo lưu lượng nước kênh tự nhiên bằng lưu tốc kế
|
TT |
Danh mục dụng cụ |
ĐVT |
Thời hạn (tháng) |
Định mức |
|
|---|---|---|---|---|---|
|
Ngoại nghiệp (ca/lần đo) |
Nội nghiệp (ca/100 số liệu) |
||||
|
1 |
Áo mưa bạt |
Cái |
36 |
2,43 |
- |
|
2 |
Áo rét BHLĐ |
Cái |
12 |
2,43 |
- |
|
3 |
Ba lô |
Cái |
24 |
2,43 |
- |
|
4 |
Bộ lưu điện UPS |
Cái |
60 |
- |
9,00 |
|
5 |
Đèn neon 40W |
Bộ |
36 |
2,43 |
36,00 |
|
6 |
Đèn xạc điện |
Cái |
24 |
2,43 |
- |
|
7 |
Địa bàn địa chất |
Cái |
120 |
0,61 |
- |
|
8 |
Giầy BHLĐ |
Đôi |
6 |
2,43 |
- |
|
9 |
Máy in A3 - 0,5Kw |
Cái |
60 |
- |
9,00 |
|
10 |
Máy in A4 - 0,5Kw |
Cái |
60 |
- |
9,00 |
|
11 |
Máy tính 0,6Kw |
Cái |
60 |
- |
9,00 |
|
12 |
Máy tính bỏ túi |
Cái |
60 |
0,61 |
36,00 |
|
13 |
Mũ BHLĐ |
Cái |
12 |
2,43 |
- |
|
14 |
Nhiệt kế |
Cái |
12 |
2,43 |
- |
|
15 |
Phao cứu sinh |
Chiếc |
24 |
2,43 |
- |
|
16 |
Quần áo BHLĐ |
Bộ |
12 |
2,43 |
- |
|
17 |
Tất chống vắt |
Đôi |
6 |
2,43 |
- |
|
18 |
Thủy chí tráng men |
Bộ |
120 |
0,61 |
- |
|
19 |
Tủ đựng tài liệu |
Cái |
96 |
|
36,00 |
|
20 |
Ủng BHLĐ |
Đôi |
12 |
2,43 |
- |
|
21 |
Điện năng |
KW |
|
0,82 |
133,06 |
|
22 |
Các dụng cụ khác |
% |
|
5,00 |
5,00 |
4. Định mức vật liệu
Bảng 60. Định mức vật liệu đo lưu lượng nước kênh tự nhiên bằng lưu tốc kế
|
TT |
Danh mục vật liệu |
ĐVT |
Định mức |
|
|---|---|---|---|---|
|
Ngoại nghiệp (lần đo) |
Nội nghiệp (100 số liệu) |
|||
|
1 |
Bản đồ địa hình |
Mảnh |
0,10 |
1,00 |
|
2 |
Băng dính trắng khổ 5cm |
Cuộn |
0,12 |
1,20 |
|
3 |
Bìa đóng sách |
Gram |
- |
1,00 |
|
4 |
Bút chì đen |
Cái |
0,10 |
10,00 |
|
5 |
Cặp đựng tài liệu |
Cái |
0,10 |
- |
|
6 |
Đĩa CD |
Hộp |
- |
10,00 |
|
7 |
Giấy A4 |
Gram |
0,01 |
10,00 |
|
8 |
Hộp đựng tài liệu |
Cái |
- |
2,00 |
|
9 |
Mực in laser |
Hộp |
- |
0,10 |
|
10 |
Mực photocopy |
Hộp |
- |
0,10 |
|
11 |
Phao |
Cái |
1,00 |
- |
|
12 |
Pin 1,5V |
Đôi |
0,50 |
|
|
13 |
Sổ 15 x 20 cm |
Quyển |
0,10 |
1,00 |
|
14 |
Sổ 30 x 50 cm |
Quyển |
0,10 |
1,00 |
|
15 |
Vật liệu khác |
% |
5,00 |
5,00 |
III. KHẢO SÁT, ĐO ĐẠC CHẤT LƯỢNG NƯỚC MẶT
III.1. Lấy mẫu nước thủ công
III.1.1. Lấy mẫu nước trên sông
1. Định mức lao động
1.1. Nội dung công việc
a) Ngoại nghiệp
- Nhận nhiệm vụ, chuẩn bị phương tiện, vật liệu, dụng cụ và máy móc, thiết bị phục vụ khảo sát, đo đạc tại vị lấy mẫu;
- Làm sạch dụng cụ lấy mẫu và chứa mẫu;
- Chuẩn bị hóa chất bảo quản phù hợp với thông số đo;
- Các đèn cảnh báo;
- Xác định vị trí, chiều sâu để tiến hành lấy mẫu theo các tầng;
- Tháo dỡ, thu dọn dụng cụ và thiết bị đo sau mỗi lần khảo sát;
- Bảo quản mẫu;
- Di chuyển đến vị trí lấy mẫu và quay về chỗ ở;
- Kiểm tra, bảo dưỡng dụng cụ, thiết bị thực địa;
- Phục vụ trong quá trình kiểm tra nghiệm thu sản phẩm.
b) Nội nghiệp
- Tổng hợp số liệu khảo sát;
- Viết báo cáo kết quả lấy mẫu;
- Phục vụ trong quá trình kiểm tra nghiệm thu sản phẩm.
1.2. Phân loại khó khăn
a) Những công việc chưa tính trong định mức
- Vận chuyển mẫu từ vùng khảo sát đo đạc đến phòng thí nghiệm;
- Vận chuyển nhân công, vật liệu, dụng cụ và máy móc, thiết bị đến vùng khảo sát, đo đạc và ngược lại;
- Thuê phương tiện để lấy mẫu nước và để cảnh giới an toàn khi lấy mẫu trên sông;
- Bảo hiểm người, thiết bị lấy mẫu;
- Di chuyển với khoảng cách > 5km;
- Thuê lao động phổ thông;
- In ấn sản phẩm, nhân bộ và bàn giao tài liệu.
b) Điều kiện áp dụng và các hệ số điều chỉnh
- Điều kiện áp dụng:
Định mức lấy mẫu nước mặt được tính cho điều kiện áp dụng chuẩn được quy định tại Mục 5.1, Phần I của Thông tư này.
- Các hệ số điều chỉnh:
Khi điều kiện lấy mẫu nước khác với các quy định về điều kiện áp dụng nêu trên, thì áp dụng các hệ số điều chỉnh cho định mức lao động, định mức vật liệu, dụng cụ và thiết bị được quy định và hướng dẫn áp dụng tại Mục 5.2, Phần I của Thông tư này, gồm: Kđl, Kkcđl và Ktv.
1.3. Định biên lao động
Bảng 61. Định biên lao động lấy mẫu nước trên sông
|
TT |
Nội dung công việc |
Định biên lao động |
||
|---|---|---|---|---|
|
ĐTV3 |
KTV5 |
Nhóm |
||
|
1 |
Ngoại nghiệp |
1 |
1 |
2 |
|
2 |
Nội nghiệp |
1 |
- |
1 |
1.4. Định mức lao động
Bảng 62. Định mức lao động lấy mẫu nước trên sông
ĐVT: Công nhóm
|
TT |
Nội dung công việc |
ĐVT |
Định mức |
|
1 |
Ngoại nghiệp |
1 lần |
0,76 |
|
2 |
Nội nghiệp |
Mẫu |
0,12 |
2. Định mức thiết bị
Bảng 63. Định mức thiết bị công tác công tác lấy mẫu nước trên sông
|
TT |
Danh mục thiết bị |
ĐVT |
Thời hạn (tháng) |
Định mức |
|
|
|---|---|---|---|---|---|---|
|
Ngoại nghiệp (ca/1 lần) |
Nội nghiệp (ca/1 mẫu) |
|||||
|
1 |
Điều hòa 2 chiều 12000 BTU - 2,2 KW |
Cái |
120 |
|
0,02 |
|
|
2 |
Máy tính xách tay - 0,04KW |
Cái |
60 |
0,28 |
- |
|
|
3 |
Máy Photocopy - 1KW |
Cái |
120 |
- |
0,10 |
|
|
4 |
Máy đo GPS cầm tay |
Cái |
120 |
0,34 |
- |
|
|
5 |
Điện năng |
KW |
|
0,09 |
1,21 |
|
3. Định mức dụng cụ
Bảng 64. Định mức dụng cụ lấy mẫu nước trên sông
ĐVT: ca/mẫu
|
TT |
Danh mục dụng cụ |
ĐVT |
Thời hạn (tháng) |
Định mức |
|
|---|---|---|---|---|---|
|
Ngoại nghiệp |
Nội nghiệp |
||||
|
1 |
Áo rét BHLĐ |
Cái |
12 |
1,82 |
- |
|
2 |
Ba lô |
Cái |
24 |
1,82 |
- |
|
3 |
Bộ lưu điện UPS |
Cái |
60 |
|
0,02 |
|
4 |
Đèn xạc điện |
Cái |
24 |
1,82 |
0,02 |
|
5 |
Động cơ điện - 7KW |
Cái |
96 |
0,61 |
|
|
6 |
Giầy BHLĐ |
Đôi |
6 |
1,82 |
- |
|
7 |
Máy in A4 - 0,5KW |
Cái |
60 |
|
0,02 |
|
8 |
Máy tính 0,6KW |
Cái |
60 |
|
0,10 |
|
9 |
Ổn áp 10A |
Cái |
60 |
|
0,10 |
|
10 |
Phao cứu sinh |
Chiếc |
24 |
1,82 |
|
|
11 |
Quần áo BHLĐ |
Bộ |
12 |
1,82 |
|
|
12 |
Quần áo mưa |
Bộ |
12 |
1,82 |
|
|
13 |
Tời lấy mẫu nước |
Cái |
24 |
0,61 |
|
|
14 |
Tủ đựng tài liệu |
Cái |
96 |
|
0,10 |
|
15 |
Ủng BHLĐ |
Đôi |
12 |
1,82 |
- |
|
16 |
Điện năng |
KW |
|
5,44 |
0,60 |
|
17 |
Các dụng cụ khác |
% |
|
5,00 |
5,00 |
4. Định mức vật liệu
Bảng 65. Định mức vật liệu lấy mẫu nước trên sông
ĐVT: 1 mẫu
|
TT |
Danh mục vật liệu |
ĐVT |
Định mức |
|
|---|---|---|---|---|
|
Ngoại nghiệp |
Nội nghiệp |
|||
|
1 |
Bút chì 24 màu |
Hộp |
0,01 |
0,01 |
|
2 |
Bút chì đen |
Cái |
0,01 |
0,01 |
|
3 |
Bút viết trên kính |
Cái |
0,10 |
|
|
4 |
Can nhựa 1 lít |
Cái |
1,00 |
|
|
5 |
Can nhựa 2 lít |
Cái |
1,00 |
- |
|
6 |
Can nhựa 3 lít |
Cái |
1,00 |
|
|
7 |
Cặp 3 dây |
Cái |
- |
0,01 |
|
8 |
Etiket |
Tờ |
3,00 |
|
|
9 |
Giấy kẻ ngang |
Thếp |
0,10 |
0,10 |
|
10 |
Nhật ký |
Quyển |
0,01 |
|
|
11 |
Pin 1,5V |
Cục |
0,10 |
|
|
12 |
Sổ 15 x 20 cm |
Quyển |
0,01 |
0,01 |
|
13 |
Sổ 30 x 50 cm |
Quyển |
0,01 |
0,01 |
|
14 |
Tẩy |
Cái |
0,01 |
0,01 |
|
15 |
Vật liệu khác |
% |
5,00 |
5,00 |
III.1.2. Lấy mẫu nước trên kênh tự nhiên
1. Định mức lao động
1.1. Nội dung công việc
a) Ngoại nghiệp
- Nhận nhiệm vụ, chuẩn bị phương tiện, vật liệu, dụng cụ và máy móc, thiết bị phục vụ lấy mẫu;
- Làm sạch dụng cụ lấy mẫu và chứa mẫu;
- Xác định số lượng dụng cụ lấy mẫu và chứa mẫu phù hợp với số lượng mẫu;
- Chuẩn bị hóa chất bảo quản phù hợp với thông số đo;
- Xác định vị trí, chiều sâu để tiến hành lấy mẫu theo các tầng;
- Tháo dỡ, thu dọn dụng cụ và thiết bị đo sau mỗi lần khảo sát;
- Bảo quản mẫu;
- Di chuyển đến vị trí lấy mẫu và quay về chỗ ở;
- Kiểm tra, bảo dưỡng dụng cụ, thiết bị thực địa;
- Phục vụ trong quá trình kiểm tra nghiệm thu sản phẩm.
b) Nội nghiệp
- Tổng hợp số liệu khảo sát;
- Viết báo cáo kết quả lấy mẫu;
- Phục vụ trong quá trình kiểm tra nghiệm thu sản phẩm.
1.2. Phân loại khó khăn
a) Những công việc chưa tính trong định mức
- Vận chuyển mẫu từ vùng khảo sát đo đạc đến phòng thí nghiệm;
- Vận chuyển nhân công, vật liệu, dụng cụ và máy móc, thiết bị đến vùng khảo sát, đo đạc và ngược lại;
- Thuê phương tiện để lấy mẫu nước và để cảnh giới an toàn khi lấy mẫu trên sông;
- Bảo hiểm người, thiết bị lấy mẫu;
- Di chuyển với khoảng cách > 5km;
- Thuê lao động phổ thông;
- In ấn sản phẩm, nhân bộ và bàn giao tài liệu.
b) Điều kiện áp dụng và các hệ số điều chỉnh
- Điều kiện áp dụng
Định mức lấy mẫu nước mặt được tính cho điều kiện áp dụng được quy định tại Mục 5.1, Phần I của Thông tư này.
- Các hệ số điều chỉnh
Khi điều kiện lấy mẫu nước khác với các quy định về điều kiện áp dụng nêu trên, thì áp dụng các hệ số điều chỉnh cho định mức lao động, định mức vật liệu, dụng cụ và thiết bị được quy định và hướng dẫn áp dụng tại Mục 5.2, Phần I của Thông tư này, gồm: Kđl, Kkcđl và Kđrtn.
1.3. Định biên lao động
Bảng 66. Định biên lao động lấy mẫu nước trên kênh tự nhiên
|
TT |
Nội dung công việc |
Định biên lao động |
||
|
ĐTV3 |
KTV4 |
Nhóm |
||
|
1 |
Ngoại nghiệp |
1 |
1 |
2 |
|
2 |
Nội nghiệp |
1 |
- |
1 |
1.4. Định mức lao động
Bảng 67. Định mức lao động lấy mẫu nước trên kênh tự nhiên
ĐVT: Công nhóm
|
TT |
Nội dung công việc |
ĐVT |
Định mức |
|---|---|---|---|
|
1 |
Ngoại nghiệp |
1 lần |
0,46 |
|
2 |
Nội nghiệp |
Mẫu |
0,12 |
2. Định mức thiết bị
Bảng 68. Định mức thiết bị công tác lấy mẫu nước trên kênh tự nhiên
ĐVT: ca/mẫu
|
TT |
Danh mục thiết bị |
ĐVT |
Thời hạn (tháng) |
Định mức |
|
|
|---|---|---|---|---|---|---|
|
Ngoại nghiệp (ca/1 lần) |
Nội nghiệp (ca/1 mẫu) |
|||||
|
1 |
Điều hòa 2 chiều 12000 BTU - 2,2 KW |
Cái |
96 |
- |
0,02 |
|
|
2 |
Máy tính xách tay - 0,04KW |
Cái |
60 |
0,22 |
- |
|
|
3 |
Máy Photocopy - 1KW |
Cái |
96 |
- |
0,10 |
|
|
4 |
Máy đo GPS cầm tay |
Cái |
120 |
0,27 |
- |
|
|
5 |
Điện năng |
KW |
|
0,08 |
1,21 |
|
3. Định mức dụng cụ
Bảng 69. Định mức dụng cụ lấy mẫu nước trên kênh tự nhiên
ĐVT: ca/mẫu
|
TT |
Danh mục dụng cụ |
ĐVT |
Thời hạn (tháng) |
Định mức |
|
|---|---|---|---|---|---|
|
Ngoại nghiệp |
Nội nghiệp |
||||
|
1 |
Đèn xạc điện |
Cái |
24 |
1,10 |
- |
|
2 |
Động cơ điện - 7KW |
Cái |
96 |
0,20 |
- |
|
3 |
Ủng BHLĐ |
Đôi |
12 |
1,10 |
- |
|
4 |
Ba lô |
Cái |
24 |
1,10 |
|
|
5 |
Quần áo BHLĐ |
Bộ |
12 |
1,10 |
|
|
6 |
Giầy BHLĐ |
Đôi |
6 |
1,10 |
- |
|
7 |
Quần áo mưa |
Bộ |
12 |
1,10 |
- |
|
8 |
Áo rét BHLĐ |
Cái |
12 |
1,10 |
- |
|
9 |
Bộ lưu điện UPS |
Cái |
60 |
|
0,24 |
|
10 |
Máy tính 0,6KW |
Cái |
60 |
- |
0,49 |
|
11 |
Tủ đựng tài liệu |
Cái |
96 |
- |
0,49 |
|
12 |
Ổn áp 10A |
Cái |
60 |
- |
0,49 |
|
13 |
Điện năng |
KW |
|
2,74 |
0,33 |
|
14 |
Các dụng cụ khác |
% |
|
5,00 |
5,00 |
4. Định mức vật liệu
Bảng 70. Định mức vật liệu lấy mẫu nước trên kênh tự nhiên
ĐVT: 1 mẫu
|
TT |
Danh mục vật liệu |
ĐVT |
Định mức |
|
|---|---|---|---|---|
|
Ngoại nghiệp |
Nội nghiệp |
|||
|
1 |
Bút chì 24 màu |
Hộp |
0,01 |
0,01 |
|
2 |
Bút chì đen |
Cái |
0,01 |
0,01 |
|
3 |
Bút viết trên kính |
Cái |
0,10 |
|
|
4 |
Can nhựa 1 lít |
Cái |
1,00 |
|
|
5 |
Can nhựa 2 lít |
Cái |
1,00 |
- |
|
6 |
Can nhựa 3 lít |
Cái |
1,00 |
|
|
7 |
Cặp 3 dây |
Cái |
- |
0,01 |
|
8 |
Etiket |
Tờ |
3,00 |
|
|
9 |
Giấy kẻ ngang |
Thếp |
0,10 |
0,10 |
|
10 |
Nhật ký |
Quyển |
0,01 |
|
|
11 |
Pin 1,5V |
Cục |
0,50 |
|
|
12 |
Sổ 15 x 20 cm |
Quyển |
0,01 |
0,01 |
|
13 |
Sổ 30 x 50 cm |
Quyển |
0,01 |
0,01 |
|
14 |
Tẩy |
Cái |
0,01 |
0,01 |
|
15 |
Vật liệu khác |
% |
5,00 |
5,00 |
III.1.3. Lấy mẫu nước trên kênh cứng
1. Định mức lao động
1.1. Nội dung công việc
a) Ngoại nghiệp
- Nhận nhiệm vụ, chuẩn bị phương tiện, vật liệu, dụng cụ và máy móc, thiết bị phục vụ đi lấy mẫu;
- Làm sạch dụng cụ lấy mẫu và chứa mẫu;
- Chuẩn bị hóa chất bảo quản phù hợp với thông số đo;
- Xác định vị trí, chiều sâu để tiến hành lấy mẫu theo các tầng;
- Tháo dỡ, thu dọn dụng cụ và thiết bị đo sau mỗi lần khảo sát;
- Bảo quản mẫu;
- Di chuyển đến vị trí lấy mẫu và quay về chỗ ở;
- Kiểm tra, bảo dưỡng dụng cụ, thiết bị thực địa;
- Phục vụ trong quá trình kiểm tra nghiệm thu sản phẩm.
b) Nội nghiệp
- Tổng hợp số liệu khảo sát;
- Viết báo cáo kết quả lấy mẫu;
- Phục vụ trong quá trình kiểm tra nghiệm thu sản phẩm.
1.2. Phân loại khó khăn
a) Những công việc chưa tính trong định mức
- Vận chuyển mẫu từ vùng khảo sát đo đạc đến phòng thí nghiệm;
- Vận chuyển nhân công, vật liệu, dụng cụ và máy móc, thiết bị đến vùng khảo sát, đo đạc và ngược lại;
- Thuê phương tiện để lấy mẫu nước và để cảnh giới an toàn khi lấy mẫu nước trên kênh cứng;
- Bảo hiểm người, thiết bị lấy mẫu;
- Di chuyển với khoảng cách > 5km;
- Thuê lao động phổ thông.
b) Điều kiện áp dụng và các hệ số điều chỉnh
- Điều kiện áp dụng
Định mức lấy mẫu nước mặt được tính cho điều kiện áp dụng chuẩn được quy định tại Mục 5.1, phần I của Thông tư này.
- Các hệ số điều chỉnh
Khi điều kiện lấy mẫu nước khác với các quy định về điều kiện áp dụng nêu trên, thì áp dụng các hệ số điều chỉnh cho định mức lao động, định mức vật liệu, dụng cụ và thiết bị được quy định và hướng dẫn áp dụng tại Mục 5.2, Phần I của Thông tư này, gồm: Kđl, Kkcđl và Kđrc.
1.3. Định biên lao động
Bảng 71. Định biên lao động lấy mẫu nước trên kênh cứng
|
TT |
Nội dung công việc |
Định biên lao động |
||
|
ĐTV3 |
KTV2 |
Nhóm |
||
|
1 |
Ngoại nghiệp |
1 |
1 |
2 |
|
2 |
Nội nghiệp |
1 |
- |
1 |
1.4. Định mức lao động
Bảng 72. Định mức lao động lấy mẫu nước trên kênh cứng
ĐVT: Công nhóm
|
TT |
Nội dung công việc |
ĐVT |
Định mức |
|
1 |
Ngoại nghiệp |
1 lần |
0,32 |
|
2 |
Nội nghiệp |
Mẫu |
0,12 |
2. Định mức thiết bị
Bảng 73. Định mức thiết bị lấy mẫu nước trên kênh cứng
|
TT |
Danh mục thiết bị |
ĐVT |
Thời hạn (tháng) |
Định mức |
|
|
|---|---|---|---|---|---|---|
|
Ngoại nghiệp (ca/1 lần) |
Nội nghiệp (ca/1 mẫu) |
|||||
|
1 |
Điều hòa 2 chiều 12000 BTU - 2,2 KW |
Cái |
96 |
- |
0,02 |
|
|
2 |
Máy tính xách tay - 0,04KW |
Cái |
60 |
0,17 |
- |
|
|
3 |
Máy Photocopy - 1KW |
Cái |
96 |
- |
0,10 |
|
|
4 |
Máy đo GPS cầm tay |
Cái |
120 |
0,20 |
- |
|
|
5 |
Điện năng |
KW |
|
0,06 |
1,21 |
|
3. Định mức dụng cụ
Bảng 74. Định mức dụng cụ lấy mẫu nước trên kênh cứng
|
TT |
Danh mục dụng cụ |
ĐVT |
Thời hạn (tháng) |
Định mức |
|
|---|---|---|---|---|---|
|
Ngoại nghiệp |
Nội nghiệp |
||||
|
1 |
Áo rét BHLĐ |
Cái |
12 |
0,67 |
- |
|
2 |
Ba lô |
Cái |
24 |
0,67 |
- |
|
3 |
Bộ lưu điện UPS |
Cái |
60 |
- |
0,10 |
|
4 |
Đèn xạc điện |
Cái |
24 |
0,67 |
- |
|
5 |
Động cơ điện - 7KW |
Cái |
96 |
0,22 |
- |
|
6 |
Giầy BHLĐ |
Đôi |
6 |
0,67 |
- |
|
7 |
Máy in A4 - 0,5KW |
Cái |
60 |
- |
0,02 |
|
8 |
Máy tính 0,6KW |
Cái |
60 |
- |
0,10 |
|
9 |
Ổn áp 10A |
Cái |
60 |
- |
0,02 |
|
10 |
Phao cứu sinh |
Chiếc |
24 |
0,67 |
- |
|
11 |
Quần áo BHLĐ |
Bộ |
12 |
0,67 |
- |
|
12 |
Quần áo mưa |
Bộ |
12 |
0,67 |
- |
|
13 |
Tời lấy mẫu nước |
Cái |
24 |
0,22 |
- |
|
14 |
Tủ đựng tài liệu |
Cái |
96 |
- |
0,10 |
|
15 |
Ủng BHLĐ |
Đôi |
12 |
0,67 |
- |
|
16 |
Điện năng |
KW |
|
12,94 |
0,59 |
|
17 |
Các dụng cụ khác |
% |
|
5,00 |
5,00 |
4. Định mức vật liệu
Bảng 75. Định mức vật liệu lấy mẫu nước trên kênh cứng
|
TT |
Danh mục vật liệu |
ĐVT |
Định mức |
|
|---|---|---|---|---|
|
Ngoại nghiệp |
Nội nghiệp |
|||
|
1 |
Bút chì 24 màu |
Hộp |
0,01 |
0,01 |
|
2 |
Bút chì đen |
Cái |
0,01 |
0,01 |
|
3 |
Bút viết trên kính |
Cái |
0,10 |
|
|
4 |
Can nhựa 1 lít |
Cái |
1,00 |
|
|
5 |
Can nhựa 2 lít |
Cái |
1,00 |
- |
|
6 |
Can nhựa 3 lít |
Cái |
1,00 |
|
|
7 |
Cặp 3 dây |
Cái |
- |
0,01 |
|
8 |
Etiket |
Tờ |
3,00 |
|
|
9 |
Giấy kẻ ngang |
Thếp |
0,10 |
0,10 |
|
10 |
Nhật ký |
Quyển |
0,01 |
|
|
11 |
Pin 1,5V |
Cục |
0,50 |
|
|
12 |
Sổ 15 x 20 cm |
Quyển |
0,01 |
0,01 |
|
13 |
Sổ 30 x 50 cm |
Quyển |
0,01 |
0,01 |
|
14 |
Tẩy |
Cái |
0,01 |
0,01 |
|
15 |
Vật liệu khác |
% |
5,00 |
5,00 |
III.2. Đo đạc chất lượng nước bằng máy TOA
III.2.1. Đo đạc chất lượng nước trên sông
1. Định mức lao động
1.1. Nội dung công việc
a) Ngoại nghiệp
- Nhận nhiệm vụ, chuẩn bị phương tiện, vật liệu, dụng cụ và máy móc, thiết bị phục vụ khảo sát, đo đạc; chuẩn độ thiết bị đo, chuẩn bị thiết bị phân tích mẫu, các hóa chất kèm theo, súc rửa bình lấy mẫu;
- Di chuyển đến vị trí đo;
- Xác định vị trí đo;
- Lắp đặt máy móc thiết bị trước khi đo;
- Đo các yếu tố cần đo tại các tầng;
- Tháo dỡ, thu dọn dụng cụ và thiết bị đo sau mỗi lần đo và quay về chỗ ở;
- Làm sạch đầu đo của máy TOA sau mỗi lần đo;
- Phục vụ trong quá trình kiểm tra nghiệm thu sản phẩm.
b) Nội nghiệp
- Tổng hợp số liệu đo, xử lý số liệu đo;
- Viết báo cáo kết quả đo đạc ngoài hiện trường;
- Phục vụ trong quá trình kiểm tra nghiệm thu sản phẩm.
1.2. Phân loại khó khăn
a) Những công việc chưa tính trong định mức
- Bảo hiểm người, thiết bị khảo sát đo đạc;
- Vận chuyển nhân công, vật liệu, dụng cụ và thiết bị đến vùng khảo sát, đo đạc và ngược lại;
- Thuê phương tiện để đo chất lượng nước và cảnh giới an toàn khi đo đạc;
- Di chuyển với khoảng cách > 5km;
- Thuê lao động phổ thông;
- In ấn sản phẩm, nhân bộ và bàn giao tài liệu.
b) Điều kiện áp dụng và hệ số điều chỉnh
- Điều kiện áp dụng
Định mức khảo sát, đo đạc chất lượng nước tại hiện trường được tính cho điều kiện áp dụng chuẩn được quy định tại Mục 5.1, Phần I của Thông tư này.
- Các hệ số điều chỉnh
Khi điều kiện khảo sát, đo đạc chất lượng nước tại hiện trường khác với các quy định về điều kiện áp dụng nêu trên, thì áp dụng các hệ số điều chỉnh cho định mức lao động, định mức vật liệu, dụng cụ và thiết bị được quy định và hướng dẫn áp dụng tại Mục 5.2, Phần I của Thông tư này, gồm: Kđl, Ktv và Kkcđl.
1.3. Định biên lao động
Bảng 76. Định biên lao động đo đạc chất lượng nước trên sông bằng máy TOA
|
TT |
Nội dung công việc |
Định biên lao động |
||
|
ĐTV2 |
KTV4 |
Nhóm |
||
|
1 |
Ngoại nghiệp |
1 |
1 |
2 |
|
2 |
Nội nghiệp |
1 |
- |
1 |
1.4. Định mức lao động
Bảng 77. Định mức lao động đo đạc chất lượng nước trên sông bằng máy TOA
ĐVT: Công nhóm
|
TT |
Nội dung công việc |
ĐVT |
Định mức |
|
1 |
Ngoại nghiệp |
1 lần |
0,48 |
|
2 |
Nội nghiệp |
Mẫu |
0,35 |
2. Định mức thiết bị
Bảng 78. Định mức thiết bị đo đạc chất lượng nước trên sông bằng máy TOA
ĐVT: ca/mẫu
|
TT |
Danh mục thiết bị |
ĐVT |
Thời hạn (tháng) |
Định mức |
|
|
|---|---|---|---|---|---|---|
|
Ngoại nghiệp (ca/mẫu) |
Nội nghiệp (1 mẫu) |
|||||
|
1 |
Điều hòa 2 chiều 12000 BTU - 2,2 KW |
Cái |
96 |
|
0,21 |
|
|
2 |
Máy tính xách tay - 0,04KW |
Cái |
60 |
0,29 |
- |
|
|
3 |
Máy toa |
Cái |
96 |
0,29 |
- |
|
|
4 |
Máy đo GPS cầm tay |
Cái |
120 |
0,15 |
- |
|
|
5 |
Điện năng |
KW |
|
0,10 |
3,88 |
|
3. Định mức dụng cụ
Bảng 79. Định mức dụng cụ đo đạc chất lượng nước trên sông bằng máy TOA
ĐVT: ca/mẫu
|
TT |
Danh mục dụng cụ |
ĐVT |
Thời hạn (tháng) |
Định mức |
|
|---|---|---|---|---|---|
|
Ngoại nghiệp (ca/mẫu) |
Nội nghiệp (1 mẫu) |
||||
|
1 |
Áo mưa bạt |
Cái |
36 |
0,86 |
- |
|
2 |
Áo rét BHLĐ |
Cái |
12 |
0,86 |
- |
|
3 |
Ba lô |
Cái |
24 |
0,86 |
- |
|
4 |
Bàn máy vi tính |
Cái |
96 |
- |
0,49 |
|
5 |
Đèn neon 40W |
Bộ |
36 |
- |
0,49 |
|
6 |
Đèn xạc điện |
Cái |
24 |
0,86 |
0,49 |
|
7 |
Địa bàn địa chất |
Cái |
120 |
0,15 |
- |
|
8 |
Giầy BHLĐ |
Đôi |
6 |
0,86 |
- |
|
9 |
Máy in A4 - 0,5KW |
Cái |
60 |
- |
0,49 |
|
10 |
Máy tính bỏ túi |
Cái |
60 |
0,15 |
0,49 |
|
11 |
Mũ BHLĐ |
Cái |
12 |
0,86 |
- |
|
12 |
Phao cứu sinh |
Cái |
24 |
0,86 |
- |
|
13 |
Quần áo BHLĐ |
Chiếc |
12 |
0,86 |
- |
|
14 |
Tất chống vắt |
Bộ |
6 |
0,86 |
- |
|
15 |
Tủ đựng tài liệu |
Cái |
96 |
- |
0,49 |
|
16 |
Ủng BHLĐ |
Cái |
12 |
0,86 |
- |
|
17 |
Điện năng |
KW |
|
3,61 |
4,12 |
|
18 |
Các dụng cụ khác |
% |
|
5,00 |
5,00 |
4. Định mức vật liệu
Bảng 80. Định mức vật liệu đo đạc chất lượng nước trên sông bằng máy TOA
ĐVT: mẫu
|
TT |
Danh mục vật liệu |
ĐVT |
Đinh mức |
|
|---|---|---|---|---|
|
Ngoại nghiệp (ca/mẫu) |
Nội nghiệp (1 mẫu) |
|||
|
1 |
Bản đồ địa hình |
Mảnh |
0,10 |
0,10 |
|
2 |
Cồn rửa |
Lít |
0,20 |
- |
|
3 |
Giấy lọc |
Hộp |
0,00 |
- |
|
4 |
Mực photocopy |
Hộp |
- |
0,001 |
|
5 |
Nước cất |
Lít |
0,10 |
- |
|
6 |
Pin 1,5V |
Cục |
0,10 |
- |
|
7 |
Sổ 15 x 20 cm |
Quyển |
0,01 |
0,01 |
|
8 |
Sổ 30 x 50 cm |
Quyển |
0,01 |
0,01 |
|
9 |
Vật liệu khác |
% |
5,00 |
5,00 |
III.2.2. Đo đạc chất lượng nước trên kênh tự nhiên và kênh cứng
Định mức lao động, định mức vật liệu, dụng cụ và thiết bị cho công tác nội nghiệp và ngoại nghiệp đo đạc chất lượng nước bằng máy TOA trên kênh cứng và kênh tự nhiên được xác định theo hệ số điều chỉnh của mức đo đạc chất lượng nước trên sông bằng máy TOA nêu trên.
Bảng 81. Hệ số điều chỉnh theo vị trí đo (Kđc)
|
TT |
Đặc điểm vị trí đo |
Kđc |
|
|---|---|---|---|
|
Ngoại nghiệp |
Nội nghiệp |
||
|
1 |
Đo đạc chất lượng nước trên sông bằng máy TOA |
1,00 |
1,00 |
|
2 |
Đo đạc chất lượng nước trên kênh tự nhiên bằng máy TOA |
0,80 |
1,00 |
|
3 |
Đo đạc chất lượng nước trên kênh cứng bằng máy TOA |
0,60 |
1,00 |
III.3. Đo đạc chất lượng nước bằng máy HACH
III.3.1. Đo đạc chất lượng nước trên sông
1. Định mức lao động
1.1. Nội dung công việc
a) Ngoại nghiệp
- Nhận nhiệm vụ, chuẩn bị phương tiện, vật liệu, dụng cụ và máy móc, thiết bị phục vụ khảo sát, đo đạc; chuẩn độ thiết bị đo, chuẩn bị thiết bị phân tích mẫu, các hóa chất kèm theo, súc rửa bình lấy mẫu;
- Di chuyển đến vị trí đo;
- Xác định vị trí đo đạc;
- Lắp đặt máy móc thiết bị trước khi đo;
- Đo các yếu tố cần đo tại các tầng;
- Tháo dỡ, thu dọn dụng cụ và thiết bị đo sau mỗi lần đo và quay về chỗ ở;
- Làm sạch đầu đo của máy HACH sau mỗi lần đo;
- Phục vụ trong quá trình kiểm tra nghiệm thu sản phẩm.
b) Nội nghiệp
- Tổng hợp số liệu đo, xử lý số liệu đo;
- Viết báo cáo kết quả đo đạc ngoài hiện trường;
- Phục vụ quá trình kiểm tra, nghiệm thu sản phẩm.
1.2. Nội dung công việc
a) Những công việc chưa tính trong định mức
- Bảo hiểm người, thiết bị khảo sát;
- Vận chuyển nhân công, vật liệu dụng cụ và máy móc, thiết bị đến vùng khảo sát, đo đạc và ngược lại;
- Thuê phương tiện để đo chất lượng nước và cảnh giới an toàn khi khảo sát đo đạc;
- Di chuyển với khoảng cách > 5km;
- In ấn sản phẩm, nhân bộ và bàn giao tài liệu;
- Thuê lao động phổ thông.
b) Điều kiện áp dụng và hệ số điều chỉnh
- Điều kiện áp dụng
Định mức khảo sát, đo đạc chất lượng nước tại hiện trường được tính cho điều kiện áp dụng chuẩn được quy định tại Mục 5.1, Phần I của Thông tư này.
- Các hệ số điều chỉnh
Khi điều kiện khảo sát, đo đạc chất lượng nước tại hiện trường khác với các quy định về điều kiện áp dụng nêu trên, thì áp dụng các hệ số điều chỉnh cho định mức lao động, định mức vật liệu, dụng cụ và thiết bị được quy định và hướng dẫn áp dụng tại Mục 5.2, Phần I của Thông tư này, gồm: Kđl, Ktv và Kkcđl.
1.3. Định biên lao động
Bảng 82. Định biên lao động công tác đo đạc chất lượng nước trên sông bằng máy HACH
|
TT |
Nội dung công việc |
Định biên lao động |
||
|
ĐTV3 |
KTV4 |
Nhóm |
||
|
1 |
Ngoại nghiệp |
1 |
1 |
2 |
|
2 |
Nội nghiệp |
1 |
- |
1 |
1.4. Định mức lao động
Bảng 83. Định mức lao động đo đạc chất lượng nước trên sông bằng máy HACH
ĐVT: Công nhóm
|
TT |
Nội dung công việc |
ĐVT |
Định mức |
|
1 |
Ngoại nghiệp |
1 lần |
0,50 |
|
2 |
Nội nghiệp |
Mẫu |
0,35 |
2. Định mức thiết bị
Bảng 84. Định mức thiết bị đo đạc chất lượng nước trên sông bằng máy HACH
ĐVT: ca/mẫu
|
TT |
Danh mục thiết bị |
ĐVT |
Thời hạn (tháng) |
Ngoại nghiệp (ca/lần) |
Nội nghiệp (1 mẫu) |
|---|---|---|---|---|---|
|
1 |
Điều hòa 2 chiều 12000 BTU - 2,2 KW |
Cái |
96 |
- |
0,05 |
|
2 |
Máy tính xách tay - 0,04KW |
Cái |
60 |
0,23 |
- |
|
3 |
Máy HACH |
Cái |
96 |
0,23 |
- |
|
4 |
Máy đo GPS cầm tay |
Cái |
120 |
0,15 |
- |
|
5 |
Điện năng |
KW |
|
0,08 |
0,92 |
3. Định mức dụng cụ
Bảng 85. Định mức dụng cụ đo đạc chất lượng nước trên sông bằng máy HACH
ĐVT: ca/mẫu
|
TT |
Danh mục dụng cụ |
ĐVT |
Thời hạn (tháng) |
Định mức |
|
|---|---|---|---|---|---|
|
Ngoại nghiệp |
Nội nghiệp |
||||
|
1 |
Áo mưa bạt |
Cái |
36 |
0,94 |
- |
|
2 |
Áo rét BHLĐ |
Cái |
12 |
0,94 |
- |
|
3 |
Ba lô |
Cái |
24 |
0,94 |
- |
|
4 |
Bàn máy vi tính |
Cái |
96 |
- |
0,49 |
|
5 |
Đèn neon 40W |
Bộ |
24 |
- |
0,49 |
|
6 |
Đèn xạc điện |
Cái |
24 |
0,94 |
0,49 |
|
7 |
Địa bàn địa chất |
Cái |
120 |
0,15 |
- |
|
8 |
Giầy BHLĐ |
Đôi |
6 |
0,94 |
- |
|
9 |
Máy in A4 - 0,5KW |
Cái |
60 |
- |
0,49 |
|
10 |
Máy tính bỏ túi |
Cái |
60 |
0,15 |
0,49 |
|
11 |
Mũ BHLĐ |
Cái |
12 |
0,94 |
- |
|
12 |
Phao cứu sinh |
Cái |
24 |
0,94 |
- |
|
13 |
Quần áo BHLĐ |
Chiếc |
12 |
0,94 |
- |
|
14 |
Tất chống vắt |
Bộ |
6 |
0,94 |
- |
|
15 |
Tủ đựng tài liệu |
Cái |
96 |
- |
0,49 |
|
16 |
Ủng BHLĐ |
Cái |
12 |
0,94 |
- |
|
17 |
Điện năng |
KW |
|
3,95 |
4,12 |
|
18 |
Các dụng cụ khác |
% |
|
5,00 |
5,00 |
4. Định mức vật liệu
Bảng 86. Định mức vật liệu đo đạc chất lượng nước trên sông bằng máy HACH
ĐVT: ca/mẫu
|
TT |
Danh mục vật liệu |
ĐVT |
Định mức |
|
|---|---|---|---|---|
|
Ngoại nghiệp |
Nội nghiệp |
|||
|
1 |
Bản đồ địa hình |
Mảnh |
0,10 |
0,10 |
|
2 |
Cồn rửa |
Lít |
0,10 |
- |
|
3 |
Giấy lọc |
Hộp |
0,00 |
- |
|
4 |
Mực photocopy |
Hộp |
- |
0,001 |
|
5 |
Nước cất |
Lít |
0,10 |
- |
|
6 |
Pin 1,5V |
Cục |
0,10 |
- |
|
7 |
Sổ 15 x 20 cm |
Quyển |
0,01 |
0,01 |
|
8 |
Sổ 30 x 50 cm |
Quyển |
0,01 |
0,01 |
|
9 |
Thùng đựng mẫu |
Chiếc |
0,10 |
|
|
10 |
Vật liệu khác |
% |
5,00 |
5,00 |
III.3.2. Đo đạc chất lượng nước trên kênh tự nhiên và kênh cứng
Định mức lao động, định mức vật liệu, dụng cụ và máy móc, thiết bị cho công tác nội nghiệp và ngoại nghiệp đo đạc chất lượng nước bằng máy HACH trên kênh cứng và kênh tự nhiên được xác định theo hệ số điều chỉnh của mức đo đạc chất lượng nước trên sông bằng máy HACH nêu trên.
Bảng 87. Hệ số điều chỉnh theo vị trí đo (Kđc)
|
TT |
Đặc điểm vị trí đo |
Kđc |
|
|
Ngoại nghiệp |
Nội nghiệp |
||
|
1 |
Đo đạc chất lượng nước trên sông bằng máy HACH |
1,00 |
1,00 |
|
2 |
Đo đạc chất lượng nước trên kênh tự nhiên bằng máy HACH |
0,80 |
1,00 |
|
3 |
Đo đạc chất lượng nước trên kênh cứng bằng máy HACH |
0,60 |
1,00 |
Chương 2
KHẢO SÁT, ĐO ĐẠC TÀI NGUYÊN NƯỚC DƯỚI ĐẤT
I. KHẢO SÁT, ĐO ĐẠC LƯU LƯỢNG, MỰC NƯỚC DƯỚI ĐẤT
I.1. Khảo sát, đo lưu lượng mạch lộ bằng thùng định lượng, ván đo
I.1.1. Định mức lao động
1. Nội dung công việc
1.1. Ngoại nghiệp
a) Chuẩn bị tài liệu, bản đồ, sổ sách, dụng cụ đo đạc;
b) Lộ trình, khảo sát theo các tuyến đã định;
c) Dọn sạch mạch lộ;
d) Mô tả mạch lộ theo quy định, ghi chép vào nhật ký, gồm: số hiệu điểm lộ, vị trí địa lý, tọa độ (đo bằng GPS cầm tay), đặc điểm địa hình địa mạo nơi xuất lộ nước, xác định đặc điểm xuất lộ (chảy lên hay chảy xuống; nước chảy thành dòng lớn, nhỏ hoặc thấm rỉ), thành phần đất đá nơi nước xuất lộ, xác định tính chất vật lý của nước (màu, mùi, vị, độ trong, đo độ pH bằng giấy quỳ), đo nhiệt độ nước và không khí;
đ) Đo lưu lượng mạch lộ bằng thùng định lượng hoặc ván đo;
e) San lấp, trả lại mặt bằng như cũ, làm vệ sinh môi trường;
g) Thu dọn dụng cụ và quay về chỗ ở;
h) Phục vụ trong quá trình kiểm tra nghiệm thu sản phẩm.
1.2. Nội nghiệp
a) Hoàn thiện các tài liệu thực địa, vào sổ trong phòng, đưa mạch lộ lên bản đồ;
b) Kiểm tra, tính toán lưu lượng;
c) Lập phiếu mạch lộ và viết báo cáo đo đạc;
d) Phục vụ trong quá trình kiểm tra nghiệm thu sản phẩm.
2. Phân loại khó khăn
2.1. Những công việc chưa có trong định mức
a) Vận chuyển nhân công, vật liệu, dụng cụ và máy móc, thiết bị từ đơn vị đến vùng khảo sát, đo đạc và ngược lại;
b) Khoảng cách di chuyển > 5 km;
c) In ấn sản phẩm, nhân bộ và bàn giao tài liệu.
2.2. Điều kiện áp dụng và hệ số điều chỉnh
a) Điều kiện áp dụng
- Điều kiện đi lại loại II;
- Khoảng cách đi lại giữa các điểm khảo sát từ 1 - 3 km.
Khi điều kiện khảo sát, đo đạc khác với các quy định về điều kiện áp dụng nêu trên, thì định mức lao động, định mức vật liệu, dụng cụ và thiết bị được điều chỉnh theo các hệ số điều chỉnh dưới đây. Cách tính mức được quy định và hướng dẫn áp dụng tại Mục 5.1, Phần I của Thông tư này.
b) Các hệ số điều chỉnh
Bảng 88. Hệ số điều chỉnh theo điều kiện đi lại (Kđl)
|
TT |
Điều kiện đi lại[1] |
Kđl |
|---|---|---|
|
1 |
Tốt (I) |
0,86 |
|
2 |
Trung bình (II) |
1,00 |
|
3 |
Kém (III) |
1,24 |
|
4 |
Rất kém (IV) |
1,54 |
Bảng 89. Hệ số điều chỉnh theo khoảng cách (Kkc)
|
TT |
Khoảng cách đi lại |
Kkc |
|---|---|---|
|
1 |
< 1 km |
0,81 |
|
2 |
1 - ≤ 3 km |
1,00 |
|
3 |
3< - ≤ 5 km |
1,48 |
3. Định biên lao động
Bảng 90. Định biên lao động khảo sát, đo lưu lượng mạch lộ bằng thùng định lượng, ván đo
|
TT |
Nội dung công việc |
Định biên lao động |
||
|
ĐTV3 |
KTV5 |
Nhóm |
||
|
1 |
Ngoại nghiệp |
1 |
1 |
2 |
|
2 |
Nội nghiệp |
1 |
1 |
2 |
4. Định mức lao động
Bảng 91. Định mức lao động đo lưu lượng mạch lộ bằng thùng định lượng, ván đo
ĐVT: Công nhóm
|
TT |
Nội dung công việc |
ĐVT |
Định mức |
|---|---|---|---|
|
1 |
Ngoại nghiệp |
1 Điểm |
0,46 |
|
2 |
Nội nghiệp |
1 Điểm |
0,25 |
I.1.2. Định mức thiết bị
Bảng 92. Định mức thiết bị đo lưu lượng mạch lộ bằng thùng định lượng, ván đo.
ĐVT: ca/1 điểm
|
TT |
Danh mục thiết bị |
ĐVT |
Thời hạn (tháng) |
Định mức |
|
|
|
Ngoại nghiệp |
Nội nghiệp |
|||||
|
1 |
Điều hòa 2 chiều 12000 BTU - 2,2 KW |
Bộ |
96 |
- |
0,11 |
|
|
2 |
Máy tính xách tay - 0,04KW |
Cái |
60 |
0,28 |
0,11 |
|
|
3 |
Máy Photocopy - 1KW |
Cái |
96 |
- |
0,11 |
|
|
4 |
Máy đo GPS cầm tay |
Cái |
120 |
0,37 |
- |
|
|
5 |
Điện năng |
KW |
|
0,09 |
2,99 |
|
I.1.3. Định mức dụng cụ
Bảng 93. Định mức dụng cụ đo lưu lượng mạch lộ bằng thùng định lượng, ván đo
ĐVT: ca/1 điểm
|
TT |
Danh mục dụng cụ |
ĐVT |
Thời hạn (tháng) |
Định mức |
|
|---|---|---|---|---|---|
|
Ngoại nghiệp |
Nội nghiệp |
||||
|
1 |
Áo mưa bạt choàng |
Cái |
36 |
1,10 |
|
|
2 |
Ba lô |
Cái |
24 |
1,10 |
|
|
3 |
Bàn làm việc |
Cái |
96 |
|
0,56 |
|
4 |
Bình cứu hỏa |
Bình |
24 |
|
0,28 |
|
5 |
Đèn xạc điện |
Cái |
24 |
0,37 |
|
|
6 |
Địa bàn địa chất |
Cái |
120 |
0,37 |
|
|
7 |
Đồng hồ bấm giây |
Cái |
36 |
0,37 |
|
|
8 |
Giầy BHLĐ |
Đôi |
6 |
1,10 |
|
|
9 |
Máy ảnh kỹ thuật số |
Cái |
60 |
0,37 |
|
|
10 |
Máy in A4 - 0,5KW |
Cái |
60 |
|
0,28 |
|
11 |
Máy tính 0,6KW |
Cái |
60 |
|
0,56 |
|
12 |
Mũ BHLĐ |
Cái |
12 |
1,10 |
|
|
13 |
Ống nhòm |
Cái |
120 |
0,37 |
|
|
14 |
Phao cứu sinh |
Chiếc |
24 |
1,10 |
|
|
15 |
Quần áo BHLĐ |
Bộ |
12 |
1,10 |
|
|
16 |
Tất chống vắt |
Đôi |
6 |
1,10 |
|
|
17 |
Thùng định lượng 20 lít |
Cái |
36 |
0,37 |
|
|
18 |
Tủ đựng tài liệu |
Cái |
96 |
|
0,56 |
|
19 |
Túi vải bạt 0,6 x 0,4 m |
Cái |
12 |
1,10 |
|
|
20 |
Điện năng |
KW |
|
1,55 |
4,00 |
|
21 |
Dụng cụ khác |
% |
|
5,00 |
5,00 |
I.1.4. Định mức vật liệu
Bảng 94. Định mức vật liệu đo lưu lượng mạch lộ bằng thùng định lượng, ván đo
ĐVT: 1 điểm
|
TT |
Danh mục vật liệu |
ĐVT |
Định mức |
|
|---|---|---|---|---|
|
Ngoại nghiệp |
Nội nghiệp |
|||
|
1 |
Bản đồ địa hình |
Mảnh |
0,02 |
0,01 |
|
2 |
Bìa đóng sách |
Tờ |
- |
0,02 |
|
3 |
Bút chì kim |
Cái |
0,04 |
0,02 |
|
4 |
Bút đánh dấu |
Cái |
- |
0,05 |
|
5 |
Bút xóa |
Cái |
- |
0,05 |
|
6 |
Cặp 3 dây |
Cái |
0,03 |
- |
|
7 |
Đĩa CD |
Chiếc |
- |
0,07 |
|
8 |
Giấy A4 |
Gram |
- |
0,01 |
|
9 |
Hộp đựng tài liệu |
Cái |
|
0,01 |
|
10 |
Hộp ghim kẹp |
Hộp |
0,01 |
- |
|
11 |
Mực in laser |
Hộp |
- |
0,001 |
|
12 |
Mực photocopy |
Hộp |
- |
0,001 |
|
13 |
Nhật ký |
Quyển |
0,06 |
- |
|
14 |
Ruột chì kim |
Hộp |
0,01 |
- |
|
15 |
Sổ 15 x 20 cm |
Quyển |
0,03 |
- |
|
16 |
Vật liệu khác |
% |
8,00 |
8,00 |
I.2. Khảo sát, đo đạc lưu lượng một giếng khoan có sẵn thiết bị khai thác
I.2.1. Định mức lao động
1. Nội dung công việc
1.1. Ngoại nghiệp
a) Chuẩn bị tài liệu, phương tiện, vật tư, trang thiết bị để khảo sát, đo đạc;
b) Liên hệ, làm thủ tục hành chính với chính quyền địa phương và chủ công trình khai thác;
c) Khảo sát xác định vị trí có công trình đo đạc;
d) Thu thập, ghi chép hồ sơ, tài liệu công trình khai thác;
đ) Tiến hành khảo sát, đo đạc giếng khoan khai thác: xác định tọa độ giếng khai thác bằng máy GPS cầm tay; khảo sát quy mô, sơ đồ công nghệ khai dẫn và xử lý nước; đo đạc lưu lượng khai thác;
e) Lập phiếu điều tra giếng khoan khai thác theo quy định hoặc yêu cầu kỹ thuật của đề án;
g) Di chuyển trong vùng công tác;
h) Nhập số liệu vào máy tính xách tay;
i) Hoàn thiện các tài liệu thực địa;
k) Kiểm tra, bảo dưỡng các dụng cụ, thiết bị đo đạc giếng khoan theo quy định hoặc bị hư hỏng nhẹ;
l) Phục vụ trong quá trình kiểm tra nghiệm thu sản phẩm.
1.2. Nội nghiệp
a) Hoàn thiện sổ nhật ký, phiếu điều tra thực địa theo quy định;
b) Lập bản đồ hiện trạng các công trình đo đạc vùng điều tra khảo sát;
c) Tính toán kết quả đo lưu lượng khai thác và quan trắc thu thập được ở các điểm khảo sát;
d) Hoàn thiện tài liệu thu thập, sổ ghi chép, bản vẽ, biểu bảng tổng hợp giếng khai thác theo quy định;
đ) Viết báo cáo kết quả công tác khảo sát, đo đạc;
e) Phục vụ quá trình kiểm tra, nghiệm thu sản phẩm.
2. Phân loại khó khăn
2.1. Những công việc chưa có trong định mức
- Chi phí vận hành máy bơm để xác định lưu lượng;
- Vận chuyển nhân lực, vật liệu dụng cụ và máy móc thiết bị từ đơn vị thi công đến vùng khảo sát, đo đạc và ngược lại;
- In ấn sản phẩm, nhân bộ và bàn giao tài liệu;
- Khoảng cách di chuyển > 5 km.
2.2. Điều kiện áp dụng và hệ số điều chỉnh
a) Điều kiện áp dụng
- Điều kiện đi lại loại II;
- Khoảng cách đi lại giữa các điểm khảo sát từ 1 - 3 km;
- Lưu lượng của giếng 3 - 10 l/s.
Khi điều kiện khảo sát, đo đạc khác với các quy định về điều kiện áp dụng nêu trên, thì định mức lao động, định mức vật liệu, dụng cụ và thiết bị được điều chỉnh theo các hệ số điều chỉnh dưới đây. Cách tính mức được quy định và hướng dẫn áp dụng tại Mục 5.1, Phần I của Thông tư này.
b) Các hệ số điều chỉnh
Bảng 95. Hệ số điều chỉnh theo điều kiện đi lại (Kđl)
|
TT |
Khó khăn đi lại[2] |
Kđl |
|---|---|---|
|
1 |
I |
0,81 |
|
2 |
II |
1,00 |
|
3 |
III |
1,33 |
|
4 |
IV |
1,75 |
Bảng 96. Hệ số điều chỉnh theo khoảng cách (Kkc)
|
TT |
Khoảng cách đi lại |
Kkc |
|---|---|---|
|
1 |
< 1 km |
0,93 |
|
2 |
1 - 3 km |
1,00 |
|
3 |
3 < - ≤ 5 km |
1,09 |
3. Định biên lao động
Bảng 97. Định biên lao động khảo sát, đo đạc lưu lượng một giếng khoan có sẵn thiết bị khai thác
|
TT |
Nội dung công việc |
Định biên lao động |
|||
|---|---|---|---|---|---|
|
ĐTV3 |
KTV5 |
KTV3 |
Nhóm |
||
|
1 |
Ngoại nghiệp |
1 |
- |
1 |
2 |
|
2 |
Nội nghiệp |
1 |
1 |
- |
2 |
4. Định mức lao động
Bảng 98. Định mức lao động khảo sát, đo đạc lưu lượng một giếng khoan có sẵn thiết bị khai thác
ĐVT: Công nhóm
|
TT |
Nội dung công việc |
ĐVT |
Định mức |
|
1 |
Ngoại nghiệp |
1 lần đo |
0,85 |
|
2 |
Nội nghiệp |
1 lần đo |
0,35 |
I.2.2. Định mức thiết bị
Bảng 99. Định mức thiết bị khảo sát, đo đạc lưu lượng một giếng khoan có sẵn thiết bị khai thác
ĐVT: ca/1 lần đo
|
TT |
Danh mục thiết bị |
ĐVT |
Thời hạn (tháng) |
Định mức |
|
|
|---|---|---|---|---|---|---|
|
Ngoại nghiệp |
Nội nghiệp |
|||||
|
1 |
Điều hòa 2 chiều 12000 BTU - 2,2 KW |
Bộ |
96 |
- |
0,11 |
|
|
2 |
Máy Photocopy - 1KW |
Cái |
96 |
- |
0,11 |
|
|
3 |
Máy đo GPS cầm tay |
Cái |
120 |
0,61 |
- |
|
|
4 |
Máy tính xách tay - 0,04KW |
Cái |
60 |
0,46 |
0,11 |
|
|
5 |
Điện năng |
KW |
|
0,15 |
2,07 |
|
I.2.3. Định mức dụng cụ
Bảng 100. Định mức dụng cụ khảo sát, đo đạc lưu lượng một giếng khoan có sẵn thiết bị khai thác
ĐVT: ca/1 lần đo
|
TT |
Danh mục dụng cụ |
ĐVT |
Thời hạn (tháng) |
Định mức |
|
|---|---|---|---|---|---|
|
Ngoại nghiệp |
Nội nghiệp |
||||
|
1 |
Bàn đóng gáy xoắn khổ A4 |
Cái |
60 |
- |
0,03 |
|
2 |
Bàn làm việc |
Cái |
96 |
- |
0,24 |
|
3 |
Bàn máy vi tính |
Cái |
96 |
- |
0,24 |
|
4 |
Clê các loại |
Bộ |
36 |
0,61 |
- |
|
5 |
Đèn xạc điện |
Cái |
24 |
0,61 |
- |
|
6 |
Địa bàn địa chất |
Cái |
120 |
0,61 |
- |
|
7 |
Đồng hồ bấm giây |
Cái |
36 |
0,61 |
- |
|
8 |
Dũa |
Bộ |
24 |
0,61 |
- |
|
9 |
Dụng cụ đo mực nước bằng điện |
Cái |
24 |
0,61 |
- |
|
10 |
Giầy BHLĐ |
Đôi |
6 |
1,82 |
- |
|
11 |
Khóa xích D219mm |
Cái |
24 |
0,61 |
- |
|
12 |
Kính BHLĐ |
Cái |
12 |
1,82 |
- |
|
13 |
Máy ảnh kỹ thuật số |
Cái |
60 |
0,61 |
- |
|
14 |
Máy in A4 - 0,5KW |
Cái |
60 |
- |
0,03 |
|
15 |
Máy tính 0,6KW |
Cái |
60 |
- |
0,24 |
|
16 |
Máy tính bỏ túi |
Cái |
60 |
0,61 |
- |
|
17 |
Mũ BHLĐ |
Cái |
12 |
1,82 |
- |
|
18 |
Nhiệt kế |
Cái |
12 |
0,45 |
- |
|
19 |
Ổn áp 10A |
Cái |
60 |
- |
0,03 |
|
20 |
Quần áo BHLĐ |
Bộ |
12 |
1,82 |
- |
|
21 |
Quần áo mưa |
Bộ |
12 |
1,82 |
- |
|
22 |
Tất chống vắt |
Đôi |
6 |
1,82 |
- |
|
23 |
Tháp và tời quay tay |
Bộ |
96 |
0,61 |
- |
|
24 |
Thùng định lượng 200 lít |
Cái |
36 |
0,61 |
- |
|
25 |
Ủng BHLĐ |
Đôi |
12 |
1,82 |
- |
|
26 |
Xà beng |
Cái |
24 |
0,61 |
- |
|
27 |
Điện năng |
KW |
|
7,69 |
1,34 |
|
28 |
Dụng cụ khác |
% |
|
5,00 |
5,00 |
I.2.4. Định mức vật liệu
Bảng 101. Định mức vật liệu khảo sát, đo đạc lưu lượng một giếng khoan có sẵn thiết bị khai thác
ĐVT: 1 lần đo
|
TT |
Danh mục vật liệu |
ĐVT |
Định mức |
|
|---|---|---|---|---|
|
Ngoại nghiệp |
Nội nghiệp |
|||
|
1 |
Bản đồ địa hình |
Mảnh |
0,10 |
0,10 |
|
2 |
Bút chì đen |
Cái |
- |
0,10 |
|
3 |
Bút chì hóa học |
Cái |
0,01 |
- |
|
4 |
Bút đánh dấu |
Cái |
- |
0,10 |
|
5 |
Bút xóa |
Cái |
- |
0,10 |
|
6 |
Can nhựa 1 lít |
Cái |
1,00 |
- |
|
7 |
Can nhựa 2 lít |
Cái |
1,00 |
- |
|
8 |
Can nhựa 3 lít |
Cái |
1,00 |
- |
|
9 |
Cặp 3 dây |
Cái |
0,10 |
0,10 |
|
10 |
Đĩa CD |
Chiếc |
0,01 |
0,01 |
|
11 |
Giấy A0 |
Tờ |
- |
0,10 |
|
12 |
Giấy A4 |
Gram |
0,01 |
0,01 |
|
13 |
Giấy kẻ ly khổ 60 x 80 cm |
Tờ |
0,10 |
0,10 |
|
14 |
Hộp đựng tài liệu |
Cái |
- |
0,01 |
|
15 |
Mực in laser |
Hộp |
- |
0,001 |
|
16 |
Mực photocopy |
Hộp |
- |
0,001 |
|
17 |
Nhật ký |
Quyển |
0,20 |
- |
|
18 |
Pin 1,5V |
Đôi |
0,15 |
- |
|
19 |
Pin dùng cho GPS |
Đôi |
0,03 |
- |
|
20 |
Vật liệu khác |
% |
8 |
8 |
I.3. Khảo sát, đo đạc lưu lượng một công trình có sẵn thiết bị khai thác
I.3.1. Định mức lao động
1. Nội dung công việc
1.1. Ngoại nghiệp
a) Chuẩn bị tài liệu, phương tiện, vật tư, trang thiết bị để khảo sát, đo đạc;
b) Liên hệ, làm thủ tục hành chính với chính quyền địa phương và chủ công trình khai thác;
c) Khảo sát xác định vị trí có công trình đo đạc;
d) Thu thập, ghi chép hồ sơ, tài liệu công trình khai thác;
đ) Tiến hành khảo sát, đo đạc các thông số liên quan đến công trình khai thác gồm: xác định tọa độ giếng khai thác bằng máy GPS cầm tay; khảo sát quy mô, sơ đồ công nghệ khai dẫn và xử lý nước; đo đạc lưu lượng giếng (bằng đồng hồ đo lưu lượng, thùng định lượng…);
e) Lập phiếu điều tra giếng khoan khai thác theo quy định hoặc yêu cầu kỹ thuật của đề án;
g) Di chuyển trong vùng công tác;
h) Nhập số liệu vào máy tính;
i) Hoàn thiện các tài liệu thực địa;
k) Kiểm tra, bảo dưỡng các dụng cụ, thiết bị đo đạc giếng khoan theo quy định hoặc bị hư hỏng nhẹ;
l) Phục vụ trong quá trình kiểm tra nghiệm thu sản phẩm.
1.2. Nội nghiệp
a) Hoàn thiện sổ nhật ký, phiếu điều tra thực địa theo quy định;
b) Lập bản đồ hiện trạng các công trình đo đạc vùng điều tra khảo sát;
c) Tính toán kết quả đo lưu lượng khai thác và quan trắc thu thập được ở các điểm khảo sát;
d) Hoàn thiện tài liệu thu thập, sổ ghi chép, bản vẽ, biểu bảng tổng hợp giếng khai thác theo quy định;
đ) Viết báo cáo kết quả công tác khảo sát, đo đạc;
e) Phục vụ trong quá trình kiểm tra nghiệm thu sản phẩm.
2. Phân loại khó khăn
2.1. Những công việc chưa có trong định mức
a) Chi phí vận hành máy bơm để xác định lưu lượng;
b) Vận chuyển nhân công, vật liệu, dụng cụ và máy móc, thiết bị từ đơn vị thi công đến vùng khảo sát, đo đạc và ngược lại;
c) In ấn sản phẩm, nhân bộ và bàn giao tài liệu;
d) Khoảng cách di chuyển giữa các điểm khảo sát > 5 km.
2.2. Điều kiện áp dụng và hệ số điều chỉnh
a) Điều kiện áp dụng
- Ngoại nghiệp
+ Điều kiện đi lại loại II;
+ Khoảng cách đi lại giữa các điểm khảo sát từ 1 - 3 km;
+ Lưu lượng của mỗi giếng khoan từ 3 - 10 l/s;
+ Công trình khảo sát có quy mô từ 2 giếng khoan.
- Nội nghiệp
Công trình khảo sát có quy mô từ 2 giếng khai thác.
Khi điều kiện khảo sát, đo đạc khác với các quy định về điều kiện áp dụng nêu trên, thì định mức lao động, định mức vật liệu, dụng cụ và thiết bị được điều chỉnh theo các hệ số điều chỉnh dưới đây. Cách tính mức được quy định và hướng dẫn áp dụng tại Mục 5.1, Phần I của Thông tư này.
b) Các hệ số điều chỉnh
- Ngoại nghiệp
Bảng 102. Hệ số điều chỉnh theo điều kiện đi lại (Kđl)
|
TT |
Điều kiện đi lại[3] |
Kđl |
|---|---|---|
|
1 |
Tốt (I) |
0,94 |
|
2 |
Trung bình (II) |
1,00 |
|
3 |
Kém (III) |
1,10 |
|
4 |
Rất kém (IV) |
1,22 |
Bảng 103. Hệ số điều chỉnh theo khoảng cách (Kkc)
|
TT |
Khoảng cách đi lại (km) |
Kkc |
|---|---|---|
|
1 |
< 1 km |
0,94 |
|
2 |
1 - ≤ 3 km |
1,00 |
|
3 |
3 < - ≤ 5 km |
1,07 |
Bảng 104. Hệ số điều chỉnh theo số lượng giếng khoan của công trình
|
TT |
Số giếng khoan trong công trình |
Knn |
|---|---|---|
|
1 |
2 giếng |
1,00 |
|
2 |
3 giếng |
1,25 |
Bảng 105. Hệ số điều chỉnh theo lưu lượng của giếng
|
TT |
Lưu lượng của giếng (l/s) |
Kll |
|---|---|---|
|
1 |
< 3 l/s |
0,86 |
|
2 |
3 - 10 l/s |
1,00 |
|
3 |
> 10 l/s |
1,23 |
- Nội nghiệp
Bảng 106. Hệ số điều chỉnh nội nghiệp theo quy mô công trình (Knn)
|
TT |
Số giếng khoan trong công trình |
Knn |
|---|---|---|
|
1 |
2 giếng |
1,00 |
|
2 |
3 giếng |
1,40 |
3. Định biên lao động
Bảng 107. Định biên lao động khảo sát, đo đạc lưu lượng một công trình có sẵn thiết bị khai thác
|
TT |
Nội dung công việc |
Định biên lao động |
|||
|---|---|---|---|---|---|
|
ĐTV4 |
KTV5 |
CN5 (N2) |
Nhóm |
||
|
1 |
Ngoại nghiệp |
1 |
- |
2 |
3 |
|
2 |
Nội nghiệp |
1 |
1 |
- |
2 |
4. Định mức lao động
Bảng 108. Định mức lao động khảo sát, đo đạc lưu lượng một công trình có sẵn thiết bị khai thác
ĐVT: Công nhóm
|
TT |
Nội dung công việc |
ĐVT |
Định mức |
|---|---|---|---|
|
1 |
Ngoại nghiệp |
1 Công trình |
1,5 |
|
2 |
Nội nghiệp |
1 Công trình |
0,50 |
I.3.2. Định mức thiết bị
Bảng 109. Định mức thiết bị khảo sát, đo đạc lưu lượng một công trình có sẵn thiết bị khai thác
ĐVT: ca/1 công trình
|
TT |
Danh mục thiết bị |
ĐVT |
Thời hạn (tháng) |
Định mức |
|
|
|---|---|---|---|---|---|---|
|
Ngoại nghiệp |
Nội nghiệp |
|||||
|
1 |
Điều hòa 2 chiều 12000 BTU - 2,2 KW |
Bộ |
96 |
- |
0,15 |
|
|
2 |
Máy Photocopy - 1KW |
Cái |
96 |
- |
0,15 |
|
|
3 |
Máy đo GPS cầm tay |
Cái |
120 |
- |
0,40 |
|
|
4 |
Máy tính xách tay - 0,04KW |
Cái |
60 |
0,66 |
0,15 |
|
|
5 |
Điện năng |
KW |
|
0,22 |
2,82 |
|
I.3.3. Định mức dụng cụ
Bảng 110. Định mức dụng cụ khảo sát, đo đạc lưu lượng một công trình có sẵn thiết bị khai thác
ĐVT: ca/1 công trình
|
TT |
Danh mục dụng cụ |
ĐVT |
Thời hạn (tháng) |
Định mức |
|
|---|---|---|---|---|---|
|
Ngoại nghiệp |
Nội nghiệp |
||||
|
1 |
Bàn đóng gáy xoắn khổ A4 |
Cái |
60 |
- |
0,40 |
|
2 |
Bàn làm việc |
Cái |
96 |
- |
0,80 |
|
3 |
Bàn máy vi tính |
Cái |
96 |
- |
0,80 |
|
4 |
Clê các loại |
Bộ |
36 |
0,88 |
- |
|
5 |
Đèn xạc điện |
Cái |
24 |
|
0,40 |
|
6 |
Địa bàn địa chất |
Cái |
120 |
|
0,40 |
|
7 |
Đồng hồ bấm giây |
Cái |
36 |
0,88 |
- |
|
8 |
Dụng cụ đo mực nước bằng điện |
Bộ |
24 |
0,88 |
- |
|
9 |
Giầy BHLĐ |
Đôi |
6 |
4,40 |
- |
|
10 |
Khóa mở ống |
Cái |
24 |
0,88 |
- |
|
11 |
Kính BHLĐ |
Cái |
12 |
4,40 |
- |
|
12 |
Máy ảnh kỹ thuật số |
Cái |
60 |
0,88 |
0,40 |
|
13 |
Máy in A4 - 0,5KW |
Cái |
60 |
- |
0,40 |
|
14 |
Máy tính 0,6KW |
Cái |
60 |
- |
0,80 |
|
15 |
Máy tính bỏ túi |
Cái |
60 |
0,88 |
- |
|
16 |
Mũ BHLĐ |
Cái |
12 |
4,40 |
- |
|
17 |
Nhiệt kế |
Cái |
12 |
0,88 |
- |
|
18 |
Ổn áp 10A |
Cái |
60 |
- |
0,40 |
|
19 |
Quần áo BHLĐ |
Bộ |
12 |
4,40 |
- |
|
20 |
Quần áo mưa |
Bộ |
12 |
4,40 |
- |
|
21 |
Tất chống vắt |
Đôi |
6 |
4,40 |
- |
|
22 |
Tháp và tời quay tay |
Bộ |
96 |
0,88 |
- |
|
23 |
Thùng định lượng 200 lít |
Cái |
36 |
0,88 |
- |
|
24 |
Ủng BHLĐ |
Đôi |
12 |
4,40 |
- |
|
25 |
Xà beng |
Cái |
24 |
0,88 |
- |
|
26 |
Điện năng |
KW |
|
7,39 |
7,39 |
|
27 |
Dụng cụ khác |
% |
|
5,00 |
5,00 |
I.3.4. Định mức vật liệu
Bảng 111. Định mức vật liệu khảo sát, đo đạc lưu lượng một công trình có sẵn thiết bị khai thác
ĐVT: 1 công trình.
|
TT |
Danh mục vật liệu |
ĐVT |
Định mức |
|
|---|---|---|---|---|
|
Ngoại nghiệp |
Nội nghiệp |
|||
|
1 |
Bản đồ địa hình |
Mảnh |
0,10 |
0,10 |
|
2 |
Bút chì đen |
Cái |
0,20 |
0,10 |
|
3 |
Bút chì hóa học |
Cái |
0,01 |
- |
|
4 |
Bút đánh dấu |
Cái |
- |
0,20 |
|
5 |
Bút xóa |
Cái |
- |
0,20 |
|
6 |
Cặp 3 dây |
Cái |
0,10 |
|
|
7 |
Đĩa CD |
Chiếc |
0,01 |
0,01 |
|
8 |
Giấy A0 |
Tờ |
1,00 |
1,00 |
|
9 |
Giấy A4 |
Gram |
0,01 |
0,01 |
|
10 |
Giấy kẻ ly khổ 60 x 80 cm |
Tờ |
1,00 |
- |
|
11 |
Hộp đựng tài liệu |
Cái |
- |
0,10 |
|
12 |
Mực in laser |
Hộp |
- |
0,001 |
|
13 |
Mực photocopy |
Hộp |
- |
0,001 |
|
14 |
Nhật ký |
Quyển |
0,10 |
- |
|
15 |
Pin 1,5V |
Đôi |
1,00 |
- |
|
16 |
Pin dùng cho GPS |
Đôi |
0,50 |
- |
|
17 |
Vật liệu khác |
% |
8,00 |
8,00 |
I.4. Khảo sát, đo mực nước trong giếng khoan hở (chưa lắp đặt thiết bị khai thác)
I.4.1. Định mức lao động
1. Nội dung công việc
1.1. Ngoại nghiệp
a) Nhận vị trí, chuẩn bị tài liệu, vật tư, trang thiết bị để khảo sát, đo đạc;
b) Liên hệ, làm thủ tục hành chính với chính quyền địa phương và chủ công trình khai thác;
c) Khảo sát, xác định vị trí, định điểm giếng khoan bằng GPS;
d) Mở và đóng nắp bảo vệ giếng khoan;
đ) Thả và kéo dụng cụ đo mực nước xuống giếng khoan, đo đạc mực nước, ghi chép số liệu;
e) Di chuyển trong vùng công tác có khoảng cách 1 - 3km;
g) Phục vụ trong quá trình kiểm tra nghiệm thu sản phẩm.
1.2. Nội nghiệp
a) Hoàn thiện các tài liệu thực địa, vào sổ trong phòng, đưa vị trí giếng khoan lên bản đồ;
b) Chỉnh lý tài liệu;
c) Lập báo cáo kết quả;
d) Phục vụ trong quá trình kiểm tra nghiệm thu sản phẩm.
2. Phân loại khó khăn
2.1. Những công việc chưa có trong định mức
a) Vận chuyển nhân lực, vật liệu, dụng cụ và máy móc thiết bị từ đơn vị thi công đến vùng khảo sát và ngược lại;
b) Đo chiều sâu giếng khoan;
c) Khoảng cách di chuyển giữa các điểm khảo sát > 5 km;
d) In ấn sản phẩm, nhân bộ và bàn giao tài liệu.
2.2. Điều kiện áp dụng và hệ số điều chỉnh
a) Điều kiện áp dụng
- Điều kiện đi lại loại II[4]
- Khoảng cách đi lại giữa các điểm khảo sát từ 1 - 3 km.
Khi điều kiện khảo sát, đo đạc khác với các quy định về điều kiện áp dụng nêu trên, thì định mức lao động, định mức vật liệu, dụng cụ và thiết bị được điều chỉnh theo các hệ số điều chỉnh dưới đây. Cách tính mức được quy định và hướng dẫn áp dụng tại Mục 5.1, Phần I của Thông tư này.
b) Các hệ số điều chỉnh
Bảng 112. Hệ số điều chỉnh theo điều kiện đi lại (Kđl)
|
TT |
Điều kiện đi lại[5] |
Kđl |
|
1 |
Tốt (I) |
0,93 |
|
2 |
Trung bình (II) |
1,00 |
|
3 |
Kém (III) |
1,13 |
|
4 |
Rất kém (IV) |
1,28 |
Bảng 113. Hệ số điều chỉnh theo khoảng cách (Kkc)
|
TT |
Khoảng cách đi lại |
Kkc |
|---|---|---|
|
1 |
< 1 km |
0,90 |
|
2 |
1 - ≤ 3 km |
1,00 |
|
3 |
3 < - ≤ 5 km |
1,25 |
3. Định biên lao động
Bảng 114. Định biên lao động khảo sát, đo mực nước trong giếng khoan hở
|
TT |
Nội dung công việc |
Định biên lao động |
||
|---|---|---|---|---|
|
ĐTV3 |
KTV5 |
Nhóm |
||
|
1 |
Ngoại nghiệp |
1 |
1 |
2 |
|
2 |
Nội nghiệp |
1 |
1 |
2 |
4. Định mức lao động
Bảng 115. Định mức lao động khảo sát, đo mực nước trong giếng khoan hở
ĐVT: Công nhóm
|
TT |
Nội dung công việc |
ĐVT |
Định mức |
|---|---|---|---|
|
1 |
Ngoại nghiệp |
1 lần đo |
0,41 |
|
2 |
Nội nghiệp |
1 lần đo |
0,12 |
I.4.2. Định mức thiết bị
Bảng 116. Định mức thiết bị khảo sát, đo mực nước trong giếng khoan hở
ĐVT: ca/1 lần đo
|
TT |
Danh mục thiết bị |
ĐVT |
Thời hạn (tháng) |
Định mức |
|
|
|
Ngoại nghiệp |
Nội nghiệp |
|||||
|
1 |
Điều hòa 2 chiều 12000 BTU - 2,2 KW |
Bộ |
96 |
- |
0,11 |
|
|
2 |
Máy Photocopy - 1KW |
Cái |
96 |
- |
0,11 |
|
|
3 |
Thước đo mực nước chuyên dụng |
Cái |
120 |
0,25 |
- |
|
|
4 |
Máy đo GPS cầm tay |
Cái |
120 |
0,33 |
- |
|
|
5 |
Máy tính xách tay - 0,04KW |
Cái |
60 |
0,25 |
0,11 |
|
|
6 |
Điện năng |
KW |
|
0,08 |
2,99 |
|
I.4.3. Định mức dụng cụ
Bảng 117. Định mức dụng cụ khảo sát, đo mực nước trong giếng khoan hở
ĐVT: ca/1 lần đo
|
TT |
Danh mục dụng cụ |
ĐVT |
Thời hạn (tháng) |
Định mức |
|
|---|---|---|---|---|---|
|
Ngoại nghiệp |
Nội nghiệp |
||||
|
1 |
Bàn đóng gáy xoắn khổ A4 |
Cái |
60 |
- |
0,28 |
|
2 |
Bàn làm việc |
Cái |
96 |
- |
0,56 |
|
3 |
Bàn máy vi tính |
Cái |
96 |
- |
0,56 |
|
4 |
Clê các loại |
Bộ |
36 |
0,33 |
- |
|
5 |
Đèn xạc điện |
Cái |
24 |
|
0,28 |
|
6 |
Địa bàn địa chất |
Cái |
120 |
|
0,28 |
|
7 |
Đồng hồ bấm giây |
Cái |
36 |
0,33 |
- |
|
8 |
Dũa |
Bộ |
24 |
0,33 |
- |
|
9 |
Dụng cụ đo mực nước bằng điện |
Cái |
24 |
0,33 |
- |
|
10 |
Giầy BHLĐ |
Đôi |
6 |
0,98 |
- |
|
11 |
Khóa xích D219mm |
Cái |
24 |
0,33 |
- |
|
12 |
Kính BHLĐ |
Cái |
12 |
0,98 |
- |
|
13 |
Máy ảnh kỹ thuật số |
Cái |
60 |
|
0,28 |
|
14 |
Máy in A4 - 0,5KW |
Cái |
60 |
- |
0,28 |
|
15 |
Máy tính 0,6KW |
Cái |
60 |
- |
0,56 |
|
16 |
Máy tính bỏ túi |
Cái |
60 |
0,33 |
- |
|
17 |
Mũ BHLĐ |
Cái |
12 |
0,98 |
- |
|
18 |
Nhiệt kế |
Cái |
12 |
0,33 |
- |
|
19 |
Ổn áp 10A |
Cái |
60 |
- |
0,28 |
|
20 |
Quần áo BHLĐ |
Bộ |
12 |
0,98 |
- |
|
21 |
Quần áo mưa |
Bộ |
12 |
0,98 |
- |
|
22 |
Tất chống vắt |
Đôi |
6 |
0,98 |
- |
|
23 |
Ủng BHLĐ |
Đôi |
12 |
0,98 |
- |
|
24 |
Điện năng |
KW |
|
- |
5,17 |
|
25 |
Dụng cụ khác |
% |
|
5 |
5 |
I.4.4. Định mức vật liệu
Bảng 118. Định mức vật liệu khảo sát, đo mực nước trong giếng khoan hở
ĐVT: 1 lần đo
|
TT |
Danh mục vật liệu |
ĐVT |
Định mức |
|
|---|---|---|---|---|
|
Ngoại nghiệp |
Nội nghiệp |
|||
|
1 |
Bản đồ địa hình |
Mảnh |
0,10 |
0,10 |
|
2 |
Bút chì đen |
Cái |
0,10 |
0,10 |
|
3 |
Bút chì hóa học |
Cái |
0,01 |
- |
|
4 |
Bút đánh dấu |
Cái |
- |
0,10 |
|
5 |
Bút xóa |
Cái |
- |
0,02 |
|
6 |
Đĩa CD |
Chiếc |
0,01 |
0,01 |
|
7 |
Giấy A0 |
Tờ |
0,10 |
0,10 |
|
8 |
Giấy A4 |
Gram |
0,00 |
0,00 |
|
9 |
Giấy kẻ ly khổ 60 x 80 cm |
Tờ |
0,10 |
- |
|
10 |
Hộp đựng tài liệu |
Cái |
- |
0,01 |
|
11 |
Mực in laser |
Hộp |
- |
0,001 |
|
12 |
Mực photocopy |
Hộp |
- |
0,001 |
|
13 |
Nhật ký |
Quyển |
0,01 |
- |
|
14 |
Pin 1,5V |
Đôi |
0,20 |
- |
|
15 |
Pin dùng cho GPS |
Đôi |
0,01 |
- |
|
16 |
Vật liệu khác |
% |
8,00 |
8,00 |
II. KHẢO SÁT, ĐO ĐẠC CHẤT LƯỢNG NƯỚC DƯỚI ĐẤT
II.1. Lấy mẫu nước thủ công trong giếng đào, hang karst
II.1.1. Định mức lao động
1. Nội dung công việc
1.1. Ngoại nghiệp
a) Nhận nhiệm vụ, chuẩn bị phương tiện, vật liệu, dụng cụ và máy móc, thiết bị phục vụ khảo sát, đo đạc tại vị trí lấy mẫu;
b) Di chuyển đến vị trí lấy mẫu và quay về chỗ ở;
c) Liên hệ, làm thủ tục hành chính với chính quyền địa phương và người quản lý điểm khảo sát;
d) Xác định tọa độ vị trí công trình lấy mẫu bằng GPS cầm tay;
đ) Lọc nước bằng giấy lọc có độ hở 0,47mm;
e) Súc rửa dụng cụ lấy mẫu, ít nhất 3 lần bằng nước lấy mẫu;
g) Lấy mẫu, chuẩn độ mẫu bằng hóa chất (nếu có), gắn parafil, đóng gói, lập tài liệu, ghi và dán eteket;
h) Bảo quản mẫu theo quy định;
i) Lập phiếu gửi mẫu;
k) Kiểm tra, bảo dưỡng các dụng cụ thiết bị lấy mẫu ngoài hiện trường;
l) Phục vụ trong quá trình kiểm tra, nghiệm thu sản phẩm.
1.2. Nội nghiệp
a) Kiểm tra hoàn chỉnh các số liệu thực địa;
b) Đi lấy kết quả phân tích trong phòng;
c) Xử lý tài liệu kết quả phân tích mẫu nước theo yêu cầu của đề án;
d) Viết báo cáo kết quả thực hiện;
đ) Phục vụ trong quá trình kiểm tra, nghiệm thu sản phẩm.
2. Phân loại khó khăn
a) Những công việc chưa có trong định mức
- Kiểm tra công tác lấy mẫu;
- Vận chuyển nhân công, vật liệu, dụng cụ và máy móc, thiết bị từ đơn vị thi công đến vùng khảo sát, đo đạc và ngược lại;
- In ấn sản phẩm, nhân bộ và bàn giao tài liệu;
- Khoảng cách di chuyển giữa các điểm khảo sát > 5 km;
- Bảo quản và vận chuyển mẫu từ nơi tập kết về phòng thí nghiệm.
b) Điều kiện áp dụng và hệ số điều chỉnh
- Điều kiện áp dụng
+ Điều kiện đi lại loại II[6]
+ Khoảng cách đi lại giữa các điểm khảo sát từ 1 - 3 km;
+ Lấy mẫu tại giếng đào và trong hang karst nước chảy.
Khi điều kiện khảo sát, đo đạc khác với các quy định về điều kiện áp dụng nêu trên, thì định mức lao động, định mức vật liệu, dụng cụ và thiết bị được điều chỉnh theo các hệ số điều chỉnh dưới đây. Cách tính mức được quy định và hướng dẫn áp dụng tại Mục 5.1, Phần I của Thông tư này.
- Các hệ số điều chỉnh
Bảng 119. Hệ số điều chỉnh theo điều kiện đi lại (Kđl)
|
TT |
Điều kiện đi lại[7] |
Kđl |
|
1 |
Tốt (I) |
0,85 |
|
2 |
Trung bình (II) |
1,00 |
|
3 |
Kém (III) |
1,27 |
|
4 |
Rất kém (IV) |
1,60 |
Bảng 120. Hệ số điều chỉnh theo khoảng cách (Kkc)
|
TT |
Khoảng cách đi lại |
Kkc |
|
1 |
< 1 km |
0,81 |
|
2 |
1 - ≤ 3 km |
1,00 |
|
3 |
3 < - ≤ 5 km |
1,48 |
3. Định biên lao động
Bảng 121. Định biên lao động lấy mẫu nước thủ công trong giếng đào, hang karst
|
TT |
Nội dung công việc |
Định biên lao động |
||
|---|---|---|---|---|
|
ĐTV4 |
KTV4 |
Nhóm |
||
|
1 |
Ngoại nghiệp |
1 |
1 |
2 |
|
2 |
Nội nghiệp |
1 |
- |
1 |
4. Định mức lao động
Bảng 122. Định mức lao động lấy mẫu nước thủ công trong giếng đào, hang karst
ĐVT: công nhóm
|
TT |
Nội dung công việc |
ĐVT |
Định mức |
|---|---|---|---|
|
1 |
Ngoại nghiệp |
1 điểm |
0,68 |
|
2 |
Nội nghiệp |
1 điểm |
0,34 |
II.1.2. Định mức thiết bị
Bảng 123. Định mức thiết bị lấy mẫu nước thủ công trong giếng đào, hang karst
ĐVT: ca/1 mẫu
|
TT |
Danh mục thiết bị |
ĐVT |
Thời hạn (tháng) |
Định mức |
|
|
|---|---|---|---|---|---|---|
|
Ngoại nghiệp |
Nội nghiệp |
|||||
|
1 |
Điều hòa 2 chiều 12000 BTU - 2,2 KW |
Bộ |
96 |
- |
0,10 |
|
|
2 |
Máy Photocopy - 1KW |
Cái |
96 |
- |
0,10 |
|
|
3 |
Máy đo GPS cầm tay |
Cái |
120 |
0,34 |
- |
|
|
4 |
Máy tính xách tay - 0,04KW |
Cái |
60 |
0,38 |
- |
|
|
5 |
Điện năng |
KW |
|
0,13 |
2,69 |
|
II.1.3. Định mức dụng cụ
Bảng 124. Định mức dụng cụ lấy mẫu nước thủ công trong giếng đào, hang karst
ĐVT: ca/1 mẫu
|
TT |
Danh mục dụng cụ |
ĐVT |
Thời hạn (tháng) |
Định mức |
|
|---|---|---|---|---|---|
|
Ngoại nghiệp |
Nội nghiệp |
||||
|
1 |
Áo mưa bạt choàng |
Cái |
36 |
1,63 |
- |
|
2 |
Ba lô |
Cái |
24 |
1,63 |
- |
|
3 |
Bàn làm việc |
Cái |
96 |
- |
0,56 |
|
4 |
Bình cứu hỏa |
Cái |
24 |
- |
0,14 |
|
5 |
Bình lọc |
Cái |
60 |
0,34 |
- |
|
6 |
Bút đo Eh, pH, TDS, DO |
Cái |
96 |
0,34 |
- |
|
7 |
Đèn neon 40W |
Bộ |
36 |
- |
0,56 |
|
8 |
Đèn xạc điện |
Cái |
24 |
1,63 |
- |
|
9 |
Địa bàn địa chất |
Cái |
120 |
0,34 |
- |
|
10 |
Giầy BHLĐ |
Đôi |
6 |
1,63 |
- |
|
11 |
Máy ảnh kỹ thuật số |
Cái |
60 |
0,34 |
0,14 |
|
12 |
Máy bơm điện 1-1,5KW |
Cái |
96 |
0,34 |
- |
|
13 |
Máy in A4 - 0,5KW |
Cái |
60 |
- |
0,14 |
|
14 |
Máy phát điện 2KW |
Cái |
96 |
0,34 |
- |
|
15 |
Máy tính 0,6KW |
Cái |
60 |
- |
0,56 |
|
16 |
Mũ BHLĐ |
Cái |
12 |
1,63 |
- |
|
17 |
Phao cứu sinh |
Chiếc |
24 |
1,63 |
- |
|
18 |
Quần áo BHLĐ |
Bộ |
12 |
1,63 |
- |
|
19 |
Quần áo mưa |
Bộ |
12 |
1,63 |
- |
|
20 |
Quạt điện cây 0,06KW |
Cái |
60 |
- |
0,56 |
|
21 |
Tủ đựng tài liệu |
Cái |
96 |
- |
0,56 |
|
22 |
Xắc cốt đựng tài liệu |
Cái |
24 |
1,63 |
- |
|
23 |
Điện năng |
KW |
|
16,84 |
3,69 |
|
24 |
Dụng cụ khác |
% |
|
5,00 |
5,00 |
II.1.4. Định mức vật liệu
Bảng 125. Định mức vật liệu lấy mẫu nước thủ công trong giếng đào, hang karst
ĐVT: 1 mẫu
|
TT |
Danh mục vật liệu |
ĐVT |
Định mức |
|
|---|---|---|---|---|
|
Ngoại nghiệp |
Nội nghiệp |
|||
|
1 |
Bản đồ địa hình |
Mảnh |
- |
0,10 |
|
2 |
Bút chì kim |
Cái |
- |
0,10 |
|
3 |
Bút đánh dấu |
Cái |
- |
0,10 |
|
4 |
Bút xóa |
Cái |
- |
0,10 |
|
5 |
Can nhựa 1 lít |
Cái |
1,00 |
- |
|
6 |
Can nhựa 2 lít |
Cái |
1,00 |
- |
|
7 |
Can nhựa 3 lít |
Cái |
1,00 |
- |
|
8 |
Đĩa CD |
Chiếc |
- |
0,10 |
|
9 |
Giấy A4 |
Gram |
- |
0,01 |
|
10 |
Giấy lọc D45 có độ hở 0,47mm |
Tờ |
1,00 |
- |
|
11 |
Hộp đựng tài liệu |
Cái |
- |
0,10 |
|
12 |
Mực in laser |
Hộp |
- |
0,001 |
|
13 |
Mực photocopy |
Hộp |
- |
0,001 |
|
14 |
Ống cao su bơm nước |
Mét |
0,50 |
- |
|
15 |
Vật liệu khác |
|
8,00 |
8,00 |
II.2. Lấy mẫu nước giếng khoan có sẵn thiết bị khai thác
II.2.1. Định mức lao động
1. Nội dung công việc
1.1. Ngoại nghiệp
a) Nhận nhiệm vụ, chuẩn bị phương tiện, vật liệu, dụng cụ và máy móc, thiết bị phục vụ khảo sát, đo đạc tại vị trí lấy mẫu;
b) Thu thập, ghi chép hồ sơ, tài liệu công trình lấy mẫu;
c) Tiến hành khảo sát, lấy mẫu gồm: xác định tọa độ giếng khoan bằng GPS cầm tay; khảo sát quy mô, sơ đồ công nghệ khai dẫn và xử lý nước; đánh giá điều kiện vệ sinh và đới phòng hộ bảo vệ công trình khai thác;
d) Súc rửa dụng cụ lấy mẫu, ít nhất 3 lần bằng nước lấy mẫu;
đ) Lấy và bảo quản mẫu nước để phân tích trong phòng thí nghiệm;
e) Lập phiếu lấy và gửi mẫu phân tích theo yêu cầu của đề án;
g) Di chuyển trong vùng công tác;
h) Nhập số liệu vào máy tính xách tay;
i) Hoàn thiện tài liệu thực địa;
k) Kiểm tra, bảo dưỡng các dụng cụ, thiết bị lấy mẫu theo quy định;
l) Phục vụ trong quá trình kiểm tra nghiệm thu sản phẩm.
1.2. Nội nghiệp
a) Hoàn thiện các sổ nhật ký, biên bản lấy và gửi mẫu theo quy định;
b) Lập bản đồ hiện trạng các giếng khoan lấy mẫu vùng điều tra khảo sát;
c) Tính toán kết quả phân tích mẫu;
d) Hoàn thiện các tài liệu thu thập, sổ ghi chép, bản vẽ, biểu bảng tổng hợp theo quy định;
đ) Đi lấy kết quả phân tích mẫu ở các cơ sở phân tích thí nghiệm;
e) Viết báo cáo kết quả công tác lấy mẫu;
g) Phục vụ trong quá trình kiểm tra, nghiệm thu sản phẩm.
2. Phân loại khó khăn
2.1. Những công việc chưa có trong định mức
a) Chi phí tháo lắp và vận hành máy bơm để lấy mẫu;
b) Vận chuyển mẫu nước từ nơi lấy đến cơ sở phân tích;
c) Khoảng cách di chuyển giữa các điểm khảo sát > 5 km;
d) Vận chuyển nhân công, vật liệu, dụng cụ và máy móc, thiết bị từ đơn vị thi công đến vùng khảo sát, đo đạc và ngược lại;
đ) In ấn sản phẩm, nhân bộ và bàn giao tài liệu.
2.2. Điều kiện áp dụng và hệ số điều chỉnh
a) Điều kiện áp dụng
- Khoảng cách đi lại giữa các điểm khảo sát từ 1 - 3 km;
- Điều kiện đi lại loại II[8]
Khi điều kiện khảo sát, đo đạc khác với các quy định về điều kiện áp dụng nêu trên, thì định mức lao động, định mức vật liệu, dụng cụ và thiết bị được điều chỉnh theo các hệ số điều chỉnh dưới đây. Cách tính mức được quy định và hướng dẫn áp dụng tại Mục 5.1 Phần I của Thông tư này.
b) Các hệ số điều chỉnh
Bảng 126. Hệ số điều chỉnh theo điều kiện đi lại (Kđl)
|
TT |
Điều kiện đi lại[9] |
Kđl |
|---|---|---|
|
1 |
Tốt (I) |
0,85 |
|
2 |
Trung bình (II) |
1,00 |
|
3 |
Kém (III) |
1,28 |
|
4 |
Rất kém (IV) |
1,64 |
Bảng 127. Hệ số điều chỉnh theo khoảng cách (Kkc)
|
TT |
Khoảng cách đi lại |
Kkc |
|
1 |
< 1 km |
0,73 |
|
2 |
1 - ≤ 3 km |
1,00 |
|
3 |
3 < - ≤ 5 km |
1,43 |
3. Định biên lao động
Bảng 128. Định biên lao động lấy mẫu nước giếng khoan có sẵn thiết bị khai thác
|
TT |
Nội dung công việc |
Định biên lao động |
||
|
ĐTV3 |
KTV2 |
Nhóm |
||
|
1 |
Ngoại nghiệp |
1 |
1 |
2 |
|
2 |
Nội nghiệp |
1 |
- |
1 |
4. Định mức lao động
Bảng 129. Định mức lao động lấy mẫu nước giếng khoan có sẵn thiết bị khai thác
ĐVT: Công nhóm
|
TT |
Nội dung công việc |
ĐVT |
Định mức |
|---|---|---|---|
|
1 |
Ngoại nghiệp |
1 điểm |
0,45 |
|
2 |
Nội nghiệp |
1 điểm |
0,34 |
I.2.2. Định mức thiết bị
Bảng 130. Định mức thiết bị lấy mẫu nước giếng khoan có sẵn thiết bị khai thác
ĐVT: ca/1 điểm
|
TT |
Danh mục thiết bị |
ĐVT |
Thời hạn (tháng) |
Định mức |
|
|
|---|---|---|---|---|---|---|
|
Ngoại nghiệp |
Nội nghiệp |
|||||
|
1 |
Điều hòa 2 chiều 12000 BTU - 2,2 KW |
Bộ |
96 |
- |
0,11 |
|
|
2 |
Máy Photocopy - 1KW |
Cái |
96 |
- |
0,11 |
|
|
3 |
Máy đo GPS cầm tay |
Cái |
120 |
0,38 |
- |
|
|
4 |
Máy tính xách tay - 0,04KW |
Cái |
60 |
0,29 |
0,11 |
|
|
5 |
Điện năng |
KW |
|
0,10 |
2,07 |
|
I.2.3. Định mức dụng cụ
Bảng 131. Định mức dụng cụ lấy mẫu nước giếng khoan có sẵn thiết bị khai thác
ĐVT: ca/1 điểm
|
TT |
Danh mục dụng cụ |
ĐVT |
Thời hạn (tháng) |
Định mức |
|
|---|---|---|---|---|---|
|
Ngoại nghiệp |
Nội nghiệp |
||||
|
1 |
Bàn đóng gáy xoắn khổ A4 |
Cái |
60 |
- |
0,28 |
|
2 |
Bàn làm việc |
Cái |
96 |
- |
0,56 |
|
3 |
Bàn máy vi tính |
Cái |
96 |
- |
0,56 |
|
4 |
Clê các loại |
Bộ |
36 |
0,38 |
- |
|
5 |
Đèn xạc điện |
Cái |
24 |
0,38 |
- |
|
6 |
Địa bàn địa chất |
Cái |
120 |
0,38 |
- |
|
7 |
Đồng hồ bấm giây |
Cái |
36 |
0,38 |
- |
|
8 |
Bộ dụng cụ cơ khí |
Bộ |
36 |
0,38 |
- |
|
9 |
Dụng cụ đo mực nước bằng điện |
Cái |
24 |
0,38 |
- |
|
10 |
Giầy BHLĐ |
Đôi |
6 |
0,77 |
- |
|
11 |
Khóa xích D219mm |
Cái |
24 |
0,38 |
- |
|
12 |
Kính BHLĐ |
Cái |
12 |
0,77 |
- |
|
13 |
Máy ảnh kỹ thuật số |
Cái |
60 |
0,38 |
- |
|
14 |
Máy in A4 - 0,5KW |
Cái |
60 |
- |
0,25 |
|
15 |
Máy tính 0,6KW |
Cái |
60 |
- |
0,25 |
|
16 |
Máy tính bỏ túi |
Cái |
60 |
0,38 |
- |
|
17 |
Mũ BHLĐ |
Cái |
12 |
0,77 |
- |
|
18 |
Nhiệt kế |
Cái |
12 |
0,38 |
- |
|
19 |
Ổn áp 10A |
Cái |
60 |
- |
0,28 |
|
20 |
Quần áo BHLĐ |
Bộ |
12 |
0,77 |
- |
|
21 |
Quần áo mưa |
Bộ |
12 |
0,77 |
- |
|
22 |
Tất chống vắt |
Đôi |
6 |
0,77 |
- |
|
23 |
Tháp và tời quay tay |
Bộ |
96 |
0,38 |
- |
|
24 |
Thùng định lượng 200 lít |
Cái |
36 |
0,38 |
- |
|
25 |
Ủng BHLĐ |
Đôi |
12 |
0,77 |
- |
|
26 |
Xà beng |
Cái |
24 |
0,38 |
- |
|
27 |
Điện năng |
KW |
|
4,83 |
2,31 |
|
28 |
Dụng cụ khác |
% |
|
5,00 |
5,00 |
I.2.4. Định mức vật liệu
Bảng 132. Định mức vật liệu lấy mẫu nước giếng khoan có sẵn thiết bị khai thác
ĐVT: 1 điểm
|
TT |
Danh mục vật liệu |
ĐVT |
Định mức |
|
|---|---|---|---|---|
|
Ngoại nghiệp |
Nội nghiệp |
|||
|
1 |
Bản đồ địa hình |
Mảnh |
0,10 |
0,10 |
|
2 |
Bút chì đen |
Cái |
0,10 |
0,10 |
|
3 |
Bút đánh dấu |
Cái |
- |
0,10 |
|
4 |
Bút xóa |
Cái |
- |
0,10 |
|
5 |
Can nhựa 1 lít |
Cái |
1,00 |
- |
|
6 |
Can nhựa 2 lít |
Cái |
1,00 |
- |
|
7 |
Can nhựa 3 lít |
Cái |
1,00 |
- |
|
8 |
Cặp 3 dây |
Cái |
0,10 |
- |
|
9 |
Đĩa CD |
Chiếc |
0,01 |
0,10 |
|
10 |
Giấy A0 |
Tờ |
0,10 |
0,10 |
|
11 |
Giấy A4 |
Gram |
0,10 |
0,01 |
|
12 |
Giấy kẻ ly khổ 60 x 80 cm |
Tờ |
0,10 |
- |
|
13 |
Giấy lọc |
Hộp |
0,01 |
- |
|
14 |
Hộp đựng tài liệu |
Cái |
- |
0,10 |
|
15 |
Mực in laser |
Hộp |
- |
0,001 |
|
16 |
Mực photocopy |
Hộp |
- |
0,001 |
|
17 |
Nhật ký |
Quyển |
0,01 |
- |
|
18 |
Pin 1,5V |
Đôi |
0,10 |
- |
|
19 |
Pin dùng cho GPS |
Đôi |
0,10 |
- |
|
20 |
Vật liệu khác |
% |
8,00 |
8,00 |
II.3. Lấy mẫu nước giếng khoan không có sẵn thiết bị khai thác
II.3.1. Định mức lao động
1. Nội dung công việc
1.1. Ngoại nghiệp
a) Nhận nhiệm vụ, chuẩn bị phương tiện, vật liệu, dụng cụ và máy móc, thiết bị phục vụ khảo sát, đo đạc tại vị trí lấy mẫu;
b) Thu thập hồ sơ, tài liệu công trình lấy mẫu;
c) Tiến hành khảo sát, lấy mẫu gồm: xác định tọa độ giếng khai thác bằng máy GPS cầm tay; khảo sát quy mô, sơ đồ công nghệ khai dẫn và xử lý nước; đánh giá điều kiện vệ sinh và đới phòng hộ bảo vệ công trình khai thác;
d) Bơm hút ít nhất 3 lần cột nước trong giếng khoan bằng máy bơm điện chìm MP1 hoặc tương đương;
đ) Súc rửa dụng cụ lấy mẫu, ít nhất 3 lần bằng nước lấy mẫu;
e) Lấy và bảo quản mẫu nước để phân tích trong phòng thí nghiệm;
g) Lập phiếu lấy và gửi mẫu theo yêu cầu của đề án;
h) Di chuyển đến vị trí khảo sát, đo đạc và quay về chỗ ở;
i) Vận chuyển mẫu về địa điểm tập kết;
k) Nhập số liệu vào máy tính xách tay;
l) Hoàn thiện tài liệu thực địa;
m) Kiểm tra, bảo dưỡng các dụng cụ, thiết bị lấy mẫu theo quy định;
n) Phục vụ trong quá trình kiểm tra nghiệm thu sản phẩm.
1.2. Nội nghiệp
a) Hoàn thiện các sổ nhật ký, biên bản lấy và gửi mẫu theo quy định;
b) Lập bản đồ hiện trạng các giếng khoan lấy mẫu vùng điều tra khảo sát;
c) Hoàn thiện các tài liệu thu thập, sổ ghi chép, bản vẽ, biểu bảng tổng hợp theo quy định;
d) Đi lấy kết quả phân tích mẫu ở các cơ sở phân tích thí nghiệm;
đ) Bảo dưỡng, sửa chữa nhỏ máy móc thiết bị;
e) Viết báo cáo kết quả công tác lấy mẫu;
g) Phục vụ trong quá trình kiểm tra nghiệm thu sản phẩm.
2. Phân loại khó khăn
2.1. Những công việc chưa có trong định mức
a) Vận chuyển mẫu vi trùng, mẫu môi trường từ nơi lấy đến cơ sở phân tích;
b) Vận chuyển nhân công, vật liệu, dụng cụ và máy móc, thiết bị từ đơn vị thi công đến vùng khảo sát đo đạc và ngược lại;
c) Khoảng cách di chuyển > 5 km;
d) In ấn sản phẩm, nhân bộ và bàn giao tài liệu.
2.2. Điều kiện áp dụng và hệ số điều chỉnh
a) Điều kiện áp dụng
- Điều kiện đi lại loại II;
- Chiều sâu giếng khoan lấy mẫu từ 30 - 100 mét.
- Chiều sâu đặt máy bơm từ 0 - 25 mét.
Khi điều kiện khảo sát, đo đạc khác với các quy định về điều kiện áp dụng nêu trên, thì định mức lao động, định mức vật liệu, dụng cụ và thiết bị được điều chỉnh theo các hệ số điều chỉnh dưới đây. Cách tính mức được quy định và hướng dẫn áp dụng tại Mục 5.1, Phần I của Thông tư này.
b) Các hệ số điều chỉnh
Bảng 133. Hệ số điều chỉnh theo điều kiện đi lại (Kđl)
|
TT |
Điều kiện đi lại[10] |
Kđl |
|---|---|---|
|
1 |
Tốt (I) |
0,88 |
|
2 |
Trung bình (II) |
1,00 |
|
3 |
Kém (III) |
1,21 |
|
4 |
Rất kém (IV) |
1,48 |
Bảng 134. Hệ số điều chỉnh theo chiều sâu lắp đặt máy bơm (Kcsb)
|
TT |
Chiều sâu lắp đặt máy bơm |
Kcsb |
|---|---|---|
|
1 |
< 15m |
1,00 |
|
2 |
15 - 25 m |
1,05 |
|
3 |
> 25 m |
1,11 |
Bảng 135. Hệ số điều chỉnh theo chiều sâu giếng khoan (Kcs)
|
TT |
Chiều sâu giếng khoan |
Kcs |
|---|---|---|
|
1 |
< 30m |
0,76 |
|
2 |
30 - 100m |
1,00 |
|
3 |
> 100m |
1,39 |
Bảng 136. Hệ số điều chỉnh theo khoảng cách (Kkc)
|
TT |
Khoảng cách đi lại |
Kkc |
|
1 |
< 1 km |
0,73 |
|
2 |
1 - ≤ 3 km |
1,00 |
|
3 |
3 < - ≤ 5 km |
1,43 |
3. Định biên lao động
Bảng 137. Định biên lao động lấy mẫu nước giếng khoan không có sẵn thiết bị khai thác
|
TT |
Nội dung công việc |
Định biên lao động |
||
|---|---|---|---|---|
|
ĐTV4 |
KTV2 |
Nhóm |
||
|
1 |
Ngoại nghiệp |
1 |
1 |
2 |
|
2 |
Nội nghiệp |
1 |
- |
1 |
4. Định mức lao động
Bảng 138. Định mức lao động lấy mẫu nước giếng khoan không có sẵn thiết bị khai thác
ĐVT: Công nhóm/1mẫu
|
TT |
Nội dung công việc |
ĐVT |
Định mức |
|---|---|---|---|
|
1 |
Ngoại nghiệp |
1 điểm |
0,68 |
|
2 |
Nội nghiệp |
1 điểm |
0,34 |
II.3.2. Định mức thiết bị
Bảng 139. Định mức thiết bị lấy mẫu nước giếng khoan không có sẵn thiết bị khai thác
ĐVT: ca/1 mẫu
|
TT |
Danh mục thiết bị |
ĐVT |
Thời hạn (tháng) |
Định mức |
|
|
|---|---|---|---|---|---|---|
|
Ngoại nghiệp |
Nội nghiệp |
|||||
|
1 |
Điều hòa 2 chiều 12000 BTU - 2,2 KW |
Bộ |
96 |
- |
0,11 |
|
|
2 |
Máy Photocopy - 1Kw |
Cái |
96 |
- |
0,11 |
|
|
3 |
Máy tính xách tay - 0,04KW |
Cái |
60 |
0,72 |
0,11 |
|
|
4 |
Bơm bằng máy bơm chìm MP1 |
Cái |
96 |
0,72 |
- |
|
|
5 |
Máy đo GPS cầm tay |
Cái |
120 |
0,96 |
|
|
|
6 |
Điện năng |
KW |
|
0,24 |
2,07 |
|
II.3.3. Định mức dụng cụ
Bảng 140. Định mức dụng cụ lấy mẫu nước giếng khoan không có sẵn thiết bị khai thác
ĐVT: ca/1mẫu
|
TT |
Danh mục dụng cụ |
ĐVT |
Thời hạn (tháng) |
Định mức |
|
|---|---|---|---|---|---|
|
Ngoại nghiệp |
Nội nghiệp |
||||
|
1 |
Bàn đóng gáy xoắn khổ A4 |
Cái |
60 |
- |
0,28 |
|
2 |
Bàn làm việc |
Cái |
96 |
- |
0,56 |
|
3 |
Bàn máy vi tính |
Cái |
96 |
- |
0,56 |
|
4 |
Clê các loại |
Bộ |
36 |
0,96 |
- |
|
5 |
Đèn xạc điện |
Cái |
24 |
- |
0,28 |
|
6 |
Địa bàn địa chất |
Cái |
120 |
- |
0,28 |
|
7 |
Đồng hồ bấm giây |
Cái |
36 |
0,96 |
- |
|
8 |
Bộ dụng cụ cơ khí |
Bộ |
36 |
0,96 |
- |
|
9 |
Dụng cụ đo mực nước bằng điện |
Cái |
24 |
0,96 |
- |
|
10 |
Giầy BHLĐ |
Đôi |
6 |
2,18 |
- |
|
11 |
Khóa xích D219mm |
Cái |
24 |
0,96 |
- |
|
12 |
Kính BHLĐ |
Cái |
12 |
2,18 |
- |
|
13 |
Máy ảnh kỹ thuật số |
Cái |
60 |
0,96 |
- |
|
14 |
Máy in A4 - 0,5KW |
Cái |
60 |
- |
0,28 |
|
15 |
Máy tính 0,6KW |
Cái |
60 |
- |
0,56 |
|
16 |
Máy tính bỏ túi |
Cái |
24 |
0,96 |
- |
|
17 |
Mũ BHLĐ |
Cái |
12 |
2,18 |
- |
|
18 |
Nhiệt kế |
Cái |
12 |
0,96 |
- |
|
19 |
Ổn áp 10A |
Cái |
60 |
- |
0,28 |
|
20 |
Quần áo BHLĐ |
Bộ |
12 |
2,18 |
- |
|
21 |
Quần áo mưa |
Bộ |
12 |
2,18 |
- |
|
22 |
Tất chống vắt |
Đôi |
6 |
2,18 |
- |
|
23 |
Tháp và tời quay tay |
Bộ |
96 |
0,96 |
- |
|
24 |
Thùng định lượng 200 lít |
Cái |
36 |
0,96 |
- |
|
25 |
Ủng BHLĐ |
Đôi |
12 |
2,18 |
- |
|
26 |
Xà beng |
Cái |
24 |
0,96 |
- |
|
27 |
Điện năng |
KW |
|
4,03 |
5,17 |
|
28 |
Dụng cụ khác |
% |
|
5,00 |
5,00 |
II.3.4. Định mức vật liệu
Bảng 141. Định mức vật liệu lấy mẫu nước giếng khoan không có sẵn thiết bị khai thác
ĐVT: 1 mẫu
|
TT |
Danh mục vật liệu |
ĐVT |
Định mức |
|
|---|---|---|---|---|
|
Ngoại nghiệp |
Nội nghiệp |
|||
|
1 |
Bản đồ địa hình |
Mảnh |
0,10 |
0.10 |
|
2 |
Bu lông có ê cu và long đen |
Kg |
0,05 |
- |
|
3 |
Bút chì đen |
Cái |
0,10 |
0.10 |
|
4 |
Bút chì hóa học |
Cái |
0,10 |
- |
|
5 |
Bút đánh dấu |
Cái |
- |
0.05 |
|
6 |
Bút xóa |
Cái |
- |
0.05 |
|
7 |
Can nhựa 1 lít |
Cái |
1,00 |
- |
|
8 |
Can nhựa 2 lít |
Cái |
1,00 |
- |
|
9 |
Can nhựa 3 lít |
Cái |
1,00 |
- |
|
10 |
Cặp 3 dây |
Cái |
0,10 |
- |
|
11 |
Đệm cao su |
Kg |
0,02 |
- |
|
12 |
Đĩa CD |
Chiếc |
0,01 |
0.10 |
|
13 |
Đinh |
Kg |
0,10 |
- |
|
14 |
Đinh đỉa 15 - 20 cm |
Kg |
0,10 |
- |
|
15 |
Giấy A0 |
Tờ |
1,00 |
1.00 |
|
16 |
Giấy A4 |
Gram |
0,01 |
0.01 |
|
17 |
Giấy kẻ ly khổ 60 x 80 cm |
Tờ |
1,00 |
- |
|
18 |
Giấy lọc |
Hộp |
0,01 |
- |
|
19 |
Gỗ nhóm IV |
M3 |
0,01 |
- |
|
20 |
Gỗ xẻ 22 mm nhóm IV |
M3 |
0,01 |
- |
|
21 |
Hộp đựng tài liệu |
Cái |
- |
0.10 |
|
22 |
Lưỡi cưa |
Cái |
0,10 |
- |
|
23 |
Mực in laser |
Hộp |
- |
0.001 |
|
24 |
Mực photocopy |
Hộp |
- |
0.001 |
|
25 |
Nhật ký |
Quyển |
0,10 |
- |
|
26 |
Pin 1,5V |
Đôi |
0,20 |
- |
|
27 |
Pin dùng cho GPS |
Đôi |
0,10 |
- |
|
28 |
Xơ gai (xơ đay) |
Kg |
0,20 |
- |
|
29 |
Vật liệu khác |
% |
8,00 |
8.00 |
II.4. Đo chất lượng nước tại hiện trường bằng máy TOA
II.4.1. Định mức lao động
1. Nội dung công việc
1.1. Ngoại nghiệp
a) Nhận nhiệm vụ, chuẩn bị phương tiện, vật liệu, dụng cụ và máy móc, thiết bị phục vụ khảo sát, đo đạc; chuẩn độ thiết bị đo, chuẩn bị thiết bị phân tích mẫu, các hóa chất kèm theo, súc rửa bình lấy mẫu;
b) Xác định vị trí đo, di chuyển đến vị trí đo;
c) Liên hệ, làm thủ tục hành chính với chính quyền địa phương và chủ công trình khai thác;
d) Lắp đặt máy móc thiết bị trước khi đo;
đ) Đo GPS xác định tọa độ (đối với công trình lấy lần đầu);
e) Đo mực nước, nhiệt độ, chiều sâu giếng khoan (hay công trình phân tích chất lượng nước);
g) Đo chất lượng nước ngầm và lập phiếu phân tích tại hiện trường;
h) Rửa lại dụng cụ đựng mẫu 3 lần bằng chính mẫu nước;
i) Làm sạch đầu đo của máy TOA sau mỗi lần đo tại các mẫu đo;
k) Tháo dỡ, thu dọn dụng cụ và thiết bị đo sau mỗi lần đo;
l) Bảo dưỡng máy, thiết bị sau đợt khảo sát;
m) Phục vụ trong quá trình kiểm tra nghiệm thu sản phẩm.
1.2. Nội nghiệp
a) Tổng hợp số liệu đo, xử lý số liệu đo;
b) Viết báo cáo thuyết minh đo chất lượng nước ngoài hiện trường;
c) Phục vụ trong quá trình kiểm tra, nghiệm thu.
2. Phân loại khó khăn
2.1. Những việc chưa có trong mức
a) Vận chuyển nhân công, vật liệu, dụng cụ và máy móc, thiết bị từ đơn vị thi công đến vùng khảo sát, đo đạc và ngược lại;
b) Khoảng cách di chuyển > 5 km;
c) In ấn sản phẩm, nhân bộ và bàn giao tài liệu;
d) Bơm nước để lấy mẫu phân tích, đo tọa độ GPS.
2.2. Điều kiện áp dụng và hệ số điều chỉnh
a) Điều kiện áp dụng
- Điều kiện đi lại loại II[11]
- Khoảng cách đi lại giữa các điểm phân tích chất lượng nước 1 - 3 km.
Khi điều kiện khảo sát, đo đạc khác với các quy định về điều kiện áp dụng nêu trên, thì định mức lao động, định mức vật liệu, dụng cụ và thiết bị được điều chỉnh theo các hệ số điều chỉnh dưới đây. Cách tính mức được quy định và hướng dẫn áp dụng tại Mục 5.1 Phần I của Thông tư này.
b) Các hệ số điều chỉnh
Bảng 142. Hệ số điều chỉnh theo điều kiện đi lại (Kđl)
|
TT |
Điều kiện đi lại[12] |
Kđl |
|---|---|---|
|
1 |
Tốt (I) |
0,90 |
|
2 |
Trung bình (II) |
1,00 |
|
3 |
Kém (III) |
1,14 |
|
4 |
Rất kém (IV) |
1,19 |
Bảng 143. Hệ số điều chỉnh theo khoảng cách đi lại (Kkc)
|
TT |
Khoảng cách đi lại |
Kkc |
|---|---|---|
|
1 |
< 1 km |
0,72 |
|
2 |
1 - ≤ 3 km |
1,00 |
|
3 |
3< - ≤ 5 km |
1,69 |
3. Định biên lao động
Bảng 144. Định biên lao động đo chất lượng nước tại hiện trường bằng máy TOA
|
TT |
Nội dung công việc |
Định biên lao động |
||
|
ĐTV4 |
KTV5 |
Nhóm |
||
|
1 |
Ngoại nghiệp |
1 |
1 |
2 |
|
2 |
Nội nghiệp |
1 |
- |
1 |
4. Định mức lao động
Bảng 145. Định mức lao động đo chất lượng nước tại hiện trường bằng máy TOA
ĐVT: Công nhóm
|
TT |
Nội dung công việc |
ĐVT |
Định mức |
|
1 |
Ngoại nghiệp |
1 lần đo |
0,38 |
|
2 |
Nội nghiệp |
mẫu |
0,34 |
II.4.2. Định mức thiết bị
Bảng 146. Định mức thiết bị đo đạc chất lượng nước bằng máy Toa
ĐVT: ca/mẫu
|
TT |
Danh mục thiết bị |
ĐVT |
Thời hạn (tháng) |
Định mức |
|
|
|
Ngoại nghiệp |
Nội nghiệp |
|||||
|
1 |
Máy TOA |
Bộ |
96 |
0,23 |
- |
|
|
2 |
Máy tính xách tay - 0,04KW |
Cái |
60 |
0,23 |
- |
|
|
3 |
Máy đo GPS cầm tay |
Cái |
120 |
0,15 |
|
|
|
4 |
Điều hòa 2 chiều 12000 BTU - 2,2 KW |
Bộ |
96 |
- |
0,17 |
|
|
5 |
Điện năng |
KW |
|
0,08 |
3,14 |
|
II.4.3. Định mức dụng cụ
Bảng 147. Định mức dụng cụ đo chất lượng nước tại hiện trường bằng máy TOA
ĐVT: ca/1 mẫu
|
TT |
Danh mục dụng cụ |
ĐVT |
Thời hạn (tháng) |
Định mức |
|
|---|---|---|---|---|---|
|
Nội nghiệp |
Ngoại nghiệp |
||||
|
1 |
Áo mưa bạt |
Cái |
36 |
- |
0,70 |
|
2 |
Áo rét BHLĐ |
Cái |
12 |
- |
0,70 |
|
3 |
Ba lô |
Cái |
24 |
- |
0,70 |
|
4 |
Đèn xạc điện |
Cái |
24 |
- |
0,70 |
|
5 |
Địa bàn địa chất |
Cái |
120 |
- |
0,15 |
|
6 |
Giầy BHLĐ |
Đôi |
6 |
- |
0,70 |
|
7 |
Mia gấp 4 m |
Cái |
60 |
- |
0,15 |
|
8 |
Mũ BHLĐ |
Cái |
12 |
- |
0,70 |
|
9 |
Phao cứu sinh |
Chiếc |
24 |
- |
0,70 |
|
10 |
Quần áo bảo hộ lao động |
Bộ |
12 |
- |
0,70 |
|
11 |
Tất chống vắt |
Đôi |
6 |
- |
0,70 |
|
12 |
Ủng BHLĐ |
Đôi |
12 |
- |
0,70 |
|
13 |
Vải bạt 2 x 3 m |
Tấm |
36 |
- |
0,70 |
|
14 |
Bộ lưu điện UPS |
Cái |
60 |
0,24 |
- |
|
15 |
Tủ đựng tài liệu |
Cái |
96 |
0,49 |
- |
|
16 |
Máy in A4 - 0,5KW |
Cái |
60 |
0,12 |
- |
|
17 |
Bàn máy vi tính |
Cái |
96 |
0,49 |
- |
|
18 |
Đèn neon 40W |
Bộ |
36 |
0,49 |
- |
|
19 |
Điện năng |
KW |
|
0,50 |
2,94 |
|
20 |
Dụng cụ khác |
% |
|
5,00 |
5,00 |
II.4.4. Định mức vật liệu
Bảng 148. Định mức vật liệu đo chất lượng nước tại hiện trường bằng máy TOA
ĐVT: 1 mẫu
|
TT |
Danh mục vật liệu |
ĐVT |
Định mức |
|
|---|---|---|---|---|
|
Nội nghiệp |
Ngoại nghiệp |
|||
|
1 |
Bản đồ địa hình |
Mảnh |
0,01 |
0,01 |
|
2 |
Cồn rửa |
Lít |
- |
0,2 |
|
3 |
Giấy lọc |
Hộp |
- |
0,001 |
|
4 |
Mực photocopy |
Hộp |
0,001 |
- |
|
5 |
Nước cất |
Lít |
- |
0,20 |
|
6 |
Pin vuông |
Cục |
- |
0,1 |
|
7 |
Sổ 15 x 20 cm |
Quyển |
0,10 |
0,10 |
|
8 |
Sổ 30 x 50 cm |
Quyển |
0,10 |
0,10 |
|
9 |
Sổ công tác |
Quyển |
0,10 |
0,10 |
|
10 |
Thùng đựng mẫu |
Chiếc |
- |
0,10 |
|
11 |
Vật liệu khác |
% |
5,00 |
5,00 |
II.5. Đo chất lượng nước tại hiện trường bằng máy HACH
II.5.1. Định mức lao động
1. Nội dung công việc
1.1. Ngoại nghiệp
a) Nhận nhiệm vụ, chuẩn bị phương tiện, vật liệu, dụng cụ và máy móc, thiết bị phục vụ khảo sát, đo đạc; chuẩn độ thiết bị đo, chuẩn bị thiết bị phân tích mẫu, các hóa chất kèm theo, súc rửa bình lấy mẫu;
b) Xác định vị trí đo, di chuyển đến vị trí đo;
c) Liên hệ, làm thủ tục hành chính với chính quyền địa phương và chủ công trình khai thác;
d) Lắp đặt máy móc thiết bị trước khi đo;
đ) Đo GPS xác định tọa độ;
e) Đo mực nước, nhiệt độ, chiều sâu giếng khoan (hay công trình phân tích chất lượng nước);
g) Đo chất lượng nước ngầm sau khi được đưa từ giếng lên vào dụng cụ chứa và đo ngay sau khi đưa lên và lập phiếu phân tích tại hiện trường;
h) Rửa lại dụng cụ đựng mẫu 3 lần bằng chính mẫu nước;
i) Làm sạch đầu đo của máy Hach sau mỗi lần đo;
k) Tháo dỡ, thu dọn dụng cụ và thiết bị đo sau mỗi lần đo và quay về chỗ ở;
l) Bảo dưỡng máy, thiết bị sau đợt khảo sát;
m) Phục vụ trong quá trình kiểm tra, nghiệm thu sản phẩm.
1.2. Nội nghiệp
a) Tổng hợp số liệu đo, xử lý số liệu đo;
b) Viết báo cáo thuyết minh đo chất lượng nước ngoài hiện trường;
c) Phục vụ trong quá trình kiểm tra nghiệm thu sản phẩm.
2. Phân loại khó khăn
2.1. Những việc chưa có trong mức
a) Vận chuyển nhân công, vật liệu, dụng cụ và máy móc, thiết bị từ đơn vị thi công đến vùng khảo sát, đo đạc và ngược lại;
b) Khoảng cách di chuyển giữa các điểm khảo sát > 5 km;
c) Bơm nước để lấy mẫu phân tích, đo GPS;
d) In ấn sản phẩm, nhân bộ và bàn giao tài liệu.
2.2. Điều kiện áp dụng và hệ số điều chỉnh
a) Điều kiện áp dụng
- Điều kiện đi lại loại II[13]
- Khoảng cách đi lại giữa các điểm phân tích chất lượng nước 1 - 3 km.
Khi điều kiện khảo sát, đo đạc khác với các quy định về điều kiện áp dụng nêu trên, thì định mức lao động, định mức vật liệu, dụng cụ và thiết bị được điều chỉnh theo các hệ số điều chỉnh dưới đây. Cách tính mức được quy định và hướng dẫn áp dụng tại Mục 5.1, Phần I của Thông tư này.
b) Các hệ số điều chỉnh
Bảng 149. Hệ số điều chỉnh theo điều kiện đi lại (Kđl)
|
TT |
Điều kiện đi lại[14] |
Kđl |
|---|---|---|
|
1 |
Tốt (I) |
0,90 |
|
2 |
Trung bình (II) |
1,00 |
|
3 |
Kém (III) |
1,14 |
|
4 |
Rất kém (IV) |
1,19 |
Bảng 150. Hệ số điều chỉnh theo khoảng cách đi lại (Kkc)
|
TT |
Khoảng cách đi lại |
Kkc |
|---|---|---|
|
1 |
< 1 km |
0,74 |
|
2 |
1 - ≤ 3 km |
1,00 |
|
3 |
3< - ≥ 5 km |
1,65 |
3. Định biên lao động
Bảng 151. Định biên lao động đo chất lượng nước tại hiện trường bằng máy Hach
|
TT |
Nội dung công việc |
Định biên lao động |
||
|
ĐTV4 |
KTV5 |
Nhóm |
||
|
1 |
Ngoại nghiệp |
1 |
1 |
2 |
|
2 |
Nội nghiệp |
1 |
- |
1 |
4. Định mức lao động
Bảng 152. Định mức lao động đo chất lượng nước tại hiện trường bằng máy Hach
ĐVT: Công nhóm
|
TT |
Nội dung công việc |
ĐTV |
Định mức |
|---|---|---|---|
|
1 |
Ngoại nghiệp |
1 lần đo |
0,40 |
|
2 |
Nội nghiệp |
mẫu |
0,33 |
II.5.2. Định mức thiết bị
Bảng 153. Định mức thiết bị đo đạc chất lượng nước tại hiện trường bằng máy HACH
ĐVT: ca/1 mẫu
|
TT |
Danh mục thiết bị |
ĐVT |
Thời hạn (tháng) |
Định mức |
|
|
|---|---|---|---|---|---|---|
|
Ngoại nghiệp |
Nội nghiệp |
|||||
|
1 |
Máy HACH |
Bộ |
96 |
0,24 |
- |
|
|
2 |
Máy tính xách tay - 0,04KW |
Cái |
60 |
0,24 |
- |
|
|
3 |
Máy đo GPS cầm tay |
Cái |
120 |
0,25 |
|
|
|
4 |
Điều hòa 2 chiều 12000 BTU - 2,2 KW |
Bộ |
96 |
- |
0,17 |
|
|
5 |
Điện năng |
KW |
|
0,08 |
3,14 |
|
II.5.3. Định mức dụng cụ
Bảng 154. Định mức dụng cụ đo đạc chất lượng nước tại hiện trường bằng máy HACH
ĐVT: ca/1 mẫu
|
TT |
Danh mục dụng cụ |
ĐVT |
Thời hạn (tháng) |
Định mức |
|
|---|---|---|---|---|---|
|
Nội nghiệp |
Ngoại nghiệp |
||||
|
1 |
Áo mưa bạt |
Cái |
36 |
- |
0,74 |
|
2 |
Áo rét BHLĐ |
Cái |
12 |
- |
0,74 |
|
3 |
Ba lô |
Cái |
24 |
- |
0,74 |
|
4 |
Đèn xạc điện |
Cái |
24 |
- |
0,74 |
|
5 |
Địa bàn địa chất |
Cái |
120 |
- |
0,25 |
|
6 |
Giầy BHLĐ |
Đôi |
6 |
- |
0,74 |
|
7 |
Mia gấp 4 m |
Cái |
60 |
- |
0,25 |
|
8 |
Mũ BHLĐ |
Cái |
12 |
- |
0,74 |
|
9 |
Phao cứu sinh |
Chiếc |
24 |
- |
|
|
10 |
Quần áo bảo hộ lao động |
Bộ |
12 |
- |
0,74 |
|
11 |
Tất chống vắt |
Đôi |
6 |
- |
0,74 |
|
12 |
Ủng BHLĐ |
Đôi |
12 |
- |
0,74 |
|
13 |
Vải bạt 2 x 3 m |
tấm |
36 |
- |
0,74 |
|
14 |
Bàn máy vi tính |
Cái |
96 |
0,33 |
- |
|
15 |
Bộ lưu điện UPS |
Cái |
60 |
0,33 |
- |
|
16 |
Đèn Neon 40W |
Bộ |
36 |
0,33 |
- |
|
17 |
Máy in A4 - 0,5KW |
Cái |
60 |
0,12 |
- |
|
18 |
Tủ đựng tài liệu |
Cái |
96 |
0,33 |
- |
|
19 |
Điện năng |
KW |
|
1,89 |
3,11 |
|
20 |
Dụng cụ khác |
% |
|
5,00 |
5,00 |
II.5.4. Định mức vật liệu
Bảng 155. Định mức vật liệu đo chất lượng nước tại hiện trường bằng máy HACH
ĐVT: ca/1 mẫu
|
TT |
Danh mục vật liệu |
ĐVT |
Định mức |
|
|---|---|---|---|---|
|
Nội nghiệp |
Ngoại nghiệp |
|||
|
1 |
Bản đồ địa hình |
Mảnh |
0,10 |
0,10 |
|
2 |
Cồn rửa |
Lít |
- |
0,10 |
|
3 |
Giấy lọc |
Hộp |
- |
0,01 |
|
4 |
Mực photocopy |
Hộp |
0,001 |
- |
|
5 |
Nước cất |
Lít |
- |
0,10 |
|
6 |
Pin 1,5V |
Cục |
- |
0,01 |
|
7 |
Sổ 15 x 20 cm |
Quyển |
0,01 |
0,01 |
|
8 |
Sổ 30 x 50 cm |
Quyển |
0,01 |
0,01 |
|
9 |
Sổ công tác |
Quyển |
0,01 |
0,01 |
|
10 |
Thùng đựng mẫu |
Chiếc |
- |
0,02 |
|
11 |
Vật liệu khác |
% |
5 |
5 |
III. KHOAN ĐIỀU TRA, KHẢO SÁT, THĂM DÒ NƯỚC DƯỚI ĐẤT
III.1. Định mức lao động
III.1.1. Nội dung công việc
1. Ngoại nghiệp
1.1. Xây lắp, tháo dỡ máy khoan:
a) Nhận nhiệm vụ, chuẩn bị thiết bị, dụng cụ và vật liệu;
b) Lập phương án khảo sát thực địa, thiết kế kỹ thuật cấu trúc lỗ khoan và kỹ thuật thi công lỗ khoan theo thiết đồ dự kiến cột địa tầng lỗ khoan;
c) Bốc xếp để vận chuyển máy móc, thiết bị, dụng cụ khoan, ống chống, ống lọc; dụng cụ thí nghiệm ĐCTV lỗ khoan, vật tư nguyên liệu từ đơn vị đến điểm thi công và ngược lại; từ công trình này đến công trình khác;
d) San bằng nền khoan, đào khối lượng đất cần thiết để đặt hệ thống dung dịch và móng (khối lượng đào đắp ≤ 5m3);
đ) Chuẩn bị gỗ, ván xát xi và các vật liệu để xây lắp máy khoan, lán trại;
e) Lắp ráp và tháo dỡ tháp khoan, máy khoan, hệ thống chiếu sáng, cần dựng, hệ thống dung dịch và hệ thống an toàn;
g) Lắp đặt và tháo dỡ máy bơm, đường dẫn nước từ nguồn nước đến vị trí lỗ khoan (chiều dài đến 30m, chênh cao đến 8m) và đặt hố đánh dung dịch;
h) Phục vụ trong quá trình kiểm tra nghiệm thu sản phẩm.
1.2. Khoan; trám cách ly phân tầng
a) Khoan lấy mẫu, mô tả mẫu, ghi chép sổ sách, ghi etêkét, xếp mẫu vào thùng mẫu, bảo quản mẫu;
b) Sản xuất dung dịch sét, làm sạch mùn khoan trong hệ thống hố máng dung dịch và kiểm tra chất lượng các thông số dung dịch sét;
c) Chống ống, nhổ ống chống trong quá trình khoan không vượt quá 10 - 15%; bơm thổi rửa sạch hết mùn khoan trong lỗ khoan;
d) Thực hiện đo mực nước, bơm rửa sạch dung dịch, múc nước để xác định sơ bộ, nghiên cứu địa chất thủy văn lỗ khoan;
đ) Lựa chọn phương pháp trám cách ly; chuẩn bị vật liệu trám; gia công cơ khí các chi tiết phục vụ khoan, trám cách ly; thiết kế hố chứa dung dịch; sản xuất, pha chế vữa trám;
e) Thả nút dụng cụ trám vào vị trí cần thiết, tiến hành bơm trám cách ly; lau chùi, bảo dưỡng máy móc, dụng cụ sau khi trám cách ly;
g) Lấp hố máng dung dịch, xây mốc lỗ khoan;
h) Hoàn thiện tài liệu khoan, bàn giao công trình;
i) Phục vụ đời sống cán bộ, công nhân tổ khoan tại thực địa;
k) Lau chùi bảo dưỡng máy khi kết thúc khoan, nghiệm thu, hoàn thiện khoan, bàn giao công trình;
l) Phục vụ trong quá trình kiểm tra nghiệm thu sản phẩm.
1.3. Văn phòng lập tài liệu khoan (nội nghiệp khoan)
a) Nhận nhiệm vụ, chuẩn bị nhân lực, vật liệu, dụng cụ và máy móc thiết bị;
b) Chỉnh lý và hoàn thiện hồ sơ, sản phẩm công tác khoan
- Chỉnh lý tài liệu, số liệu thông tin thu thập được trong kíp khoan;
- Khi kết thúc lỗ khoan, các tài liệu đã thu thập được trong quá trình khoan phải được chỉnh lý lần cuối để hoàn thiện cột địa tầng thực tế lỗ khoan;
c) Thiết đồ dự kiến lỗ khoan;
d) Viết báo cáo thuyết minh đánh giá cột địa tầng giếng khoan;
đ) Phục vụ trong quá trình kiểm tra nghiệm thu sản phẩm.
III.1.2. Phân loại khó khăn
1. Những công việc chưa có trong định mức
1.1. Thí nghiệm mẫu và thí nghiệm địa chất thủy văn tại lỗ khoan;
1.2. Làm đường để vận chuyển thiết bị, dụng cụ và vật liệu vào vị trí khoan;
1.3. San gạt nền khoan khi khối lượng công việc đào đắp > 5m3;
1.4. Khoan nổ mìn phá đất đá bằng máy ép hơi khi nền khoan gặp đất đá cứng;
1.5. Xác định vị trí lỗ khoan trước và sau khi khoan;
1.6. Các công việc gia cố bè mảng, phao, phà để thi công các lỗ khoan trên bãi lầy, sông, hồ và trên mặt biển;
1.7. Khoan không bơm rửa (khoan khô);
1.8. Khoan thông;
1.9. Chi phí ống chống, ống lọc, các phụ kiện và vật liệu khác (sỏi, cát, xi măng, đất sét) để kết cấu tầng lọc sẽ được tính toán trực tiếp riêng phù hợp với thực tế của từng lỗ khoan ngoài thực địa;
1.10. Vận chuyển nhân công, vật liệu, dụng cụ và máy móc, thiết bị từ đơn vị thi công đến vị trí công trình và ngược lại; từ vị trí công trình này sang vị trí công trình khác trong vùng điều tra;
1.11. Công tác cấp nước phục vụ khoan: vị trí lỗ khoan cách xa nguồn nước > 30m và độ sâu lấy nước > 8m;
1.12. Rửa lỗ khoan để phục vụ cho các nghiên cứu địa vật lý, địa chất thủy văn;
1.13. Chi phí nhân công, vật liệu để gia cố làm nền khoan, móng máy đối với các lỗ khoan đặt trên nền đất yếu;
1.14. Vận chuyển mẫu từ địa lỗ khoan, điểm thi công về đơn vị;
1.15. Vệ sinh môi trường;
1.16. Rà phá bom mìn;
1.17. Đền bù hoa màu;
1.18. In ấn sản phẩm, nhân bộ và bàn giao tài liệu.
2. Điều kiện áp dụng và hệ số điều chỉnh
2.1. Điều kiện áp dụng
a) Xây lắp, tháo dỡ máy khoan
Xây lắp - tháo dỡ máy khoan tự hành; lỗ khoan sâu từ 200 mét đến 300 mét:
- San bằng nền khoan, đào khối lượng đất cần thiết để đặt hệ thống dung dịch và móng;
- Lắp ráp tháp khoan, máy khoan, hệ thống chiếu sáng, hệ thống dung dịch và hệ thống an toàn;
- Tháo dỡ máy khoan, tháp khoan để vận chuyển đến vị trí thi công mới.
b) Khoan
- Sử dụng máy khoan tự hành để khoan, trám cách ly phân tầng các lỗ khoan có chiều sâu từ 200 mét đến 300 mét;
- Khoan, lấy mẫu, mô tả ghi nhật ký khoan, bảo quản mẫu;
- Rửa lỗ khoan bằng dung dịch sét có tỷ trọng đến 1,15 g/cm3;
- Đường kính lỗ khoan đến 112mm; đất cấp I - III; địa tầng ổn định (tỷ lệ lấy mẫu trong hiệp ≥ 75%);
- Chống ống hoặc nhổ ống (chống đơn) ≤ 10% chiều sâu lỗ khoan; đường kính lớn nhất ≤ 168mm;
- Khoan bằng lưỡi khoan hợp kim, lưỡi khoan bi, lưỡi khoan kim cương; khi khoan có sử dụng biện pháp chống mất dung dịch ở mức độ nhẹ;
- Khoan trường bằng phẳng thuộc vùng đồng bằng, có điều kiện kinh tế xã hội thuận lợi, đi lại dễ dàng;
- Máy khoan, máy bơm chạy bằng động cơ diesel;
- Chuẩn bị dung dịch, ép dung dịch vào khoảng giữa ống chống và vách lỗ khoan;
- Kéo, thả dụng cụ về vị trí trám;
- Sửa chữa, bảo dưỡng dụng cụ thiết bị.
c) Nội nghiệp khoan
Áp dụng cho lỗ khoan sâu từ 200 mét đến 300 mét.
Khi điều kiện thi công khác với các quy định về điều kiện áp dụng nêu trên, thì định mức lao động, định mức vật liệu, dụng cụ và thiết bị được điều chỉnh theo các hệ số điều chỉnh dưới đây. Cách tính mức được quy định và hướng dẫn áp dụng tại Mục 6, Phần I của Thông tư này.
2.2. Các hệ số điều chỉnh
Bảng 156. Hệ số điều chỉnh xây lắp, tháo dỡ máy khoan (Kxl)
|
TT |
Nội dung công việc |
Kxl |
|---|---|---|
|
1 |
Xây lắp, tháo dỡ, bốc xếp vật liệu, dụng cụ và máy khoan tự hành cho lỗ khoan sâu 0 đến dưới 100m |
0,5 |
|
2 |
Xây lắp, tháo dỡ, bốc xếp vật liệu, dụng cụ và máy khoan tự hành cho lỗ khoan sâu từ 100 đến dưới 200m |
0,8 |
|
3 |
Xây lắp, tháo dỡ, bốc xếp vật liệu, dụng cụ và máy khoan tự hành cho lỗ khoan sâu từ 200 đến dưới 300m |
1,0 |
|
4 |
Xây lắp, tháo dỡ, bốc xếp vật liệu, dụng cụ và máy khoan tự hành cho lỗ khoan sâu từ 300 đến dưới 400m |
1,3 |
|
5 |
Xây lắp, tháo dỡ, bốc xếp vật liệu, dụng cụ và máy khoan tự hành cho lỗ khoan sâu từ 400 đến 500m |
1,7 |
Bảng 157. Hệ số điều chỉnh xây lắp, tháo dỡ máy khoan trám cách ly phân tầng (Kxlpt)
|
TT |
Nội dung công việc |
Kxlpt |
|---|---|---|
|
1 |
Xây lắp, tháo dỡ, bốc xếp vật liệu, dụng cụ và máy khoan cho lỗ khoan sâu đến 300m trám cách ly phân tầng (1 tầng chứa nước) |
1,00 |
|
2 |
Xây lắp, tháo dỡ, bốc xếp vật liệu, dụng cụ và máy khoan cho lỗ khoan sâu đến 300m trám cách ly phân tầng (2 - 3 tầng chứa nước) |
1,05 |
|
3 |
Xây lắp, tháo dỡ, bốc xếp vật liệu, dụng cụ và máy khoan cho lỗ khoan sâu đến 300m trám cách ly phân tầng (trên 3 tầng chứa nước) |
1,10 |
Bảng 158. Hệ số điều chỉnh theo điều kiện nước rửa lỗ khoan (Kdd)
|
TT |
Rửa lỗ khoan |
Kdd |
|---|---|---|
|
1 |
Bằng nước lã |
0,95 |
|
2 |
Bằng dung dịch sét tỷ trọng đến 1,15 g/cm3 |
1 |
|
3 |
Bằng dung dịch sét tỷ trọng từ > 1,15 - 1,30 g/cm3 |
1,10 |
Bảng 159. Hệ số điều chỉnh theo đường kính khoan lấy mẫu (Kđk)
|
TT |
Đường kính lỗ khoan lấy mẫu |
Kđk |
|
1 |
Đường kính ≤ 112 mm |
1 |
|
2 |
Đến 132 mm |
1,40 |
|
3 |
Đến 151 mm |
1,80 |
Bảng 160. Hệ số điều chỉnh theo đường kính lỗ không lấy mẫu (phá mẫu)
|
TT |
Đường kính lỗ khoan không lấy mẫu (phá mẫu) |
Kpm |
|
1 |
Đường kính lỗ khoan lấy mẫu ≤ 112 mm |
1 |
|
2 |
Đường kính ≤ 112 mm |
0,85 |
|
3 |
Từ 113 đến 132 mm |
1,1 |
|
4 |
Từ 133 đến 160 mm |
1,25 |
|
5 |
Từ 161 đến 250 mm |
1,35 |
|
6 |
Từ 251 đến 350 mm |
1,5 |
Bảng 161. Hệ số điều chỉnh khi khoan doa mở rộng để chống ống
|
TT |
Đường kính lỗ khoan khi khoan doa mở rộng để chống ống |
Kdmr |
|
1 |
Đường kính lỗ khoan lấy mẫu ≤ 112 mm |
1 |
|
2 |
Từ 112 mm, doa rộng ra 132 mm |
1,5 |
|
3 |
Từ 112 mm, doa rộng ra 151 mm |
1,7 |
|
4 |
Từ 112 mm, doa rộng ra 250 mm |
1,8 |
|
5 |
Từ 112 mm, doa rộng ra 350 mm |
2,05 |
Bảng 162. Hệ số điều chỉnh khoan thông (khoan trong ống)
|
TT |
Khoan thông (khoan trong ống) |
Kkt |
|
1 |
Đường kính lỗ khoan lấy mẫu ≤ 112 mm |
1 |
|
2 |
Đường kính ≤ 112 mm |
0,57 |
|
3 |
Từ 113 đến 132 mm |
0,74 |
|
4 |
Từ 133 đến 151 mm |
0,78 |
|
5 |
Từ 161 đến 250 mm |
0,9 |
Bảng 163. Hệ số điều chỉnh theo tỷ lệ chiều dài cột ống chống (Kc)
|
TT |
Tỷ lệ chống ống |
Kc |
|
1 |
Chống ống đơn ≤ 10% chiều sâu lỗ khoan |
1 |
|
2 |
Chống ống từ 10% - 50% chiều sâu khoan |
1,05 |
|
3 |
Chống ống từ 51% - 80% chiều sâu khoan |
1,10 |
|
4 |
Chống ống từ 81% - 100% chiều sâu khoan |
1,15 |
* Ghi chú:
- Đường kính lớn nhất ≤ 168mm;
- Trường hợp chống lồng hoặc chống nhiều cột ống thì được điều chỉnh theo hệ số bằng tổng cột ống nhân với hệ số nêu trên.
Bảng 164. Hệ số điều chỉnh theo hiệp khoan hoặc địa tầng đặc biệt (Kđb)
|
TT |
Đặc điểm hiệp khoan, địa tầng và khoan trường |
Kđb |
|---|---|---|
|
1 |
Khoan ở vùng đồng bằng trên nền địa hình khô ráo; địa tầng khoan ổn định, ít sập lở. Hiệp khoan lấy mẫu hiệp dài đến 3 mét với tỷ lệ mẫu lấy được ≥ 65%. Tỷ lệ hao hụt dung dịch trong mỗi hiệp khoan ≤ 30%. |
1,00 |
|
2 |
Địa hình khoan lầy lội khó khăn cho việc thi công |
1,05 |
|
3 |
Khoan ở vùng núi cao, vùng sâu vùng xa, điều kiện khí hậu, thời tiết khắc nghiệt ảnh hưởng đến sản xuất, giao thông đi lại khó khăn |
1,15 |
|
4 |
Khoan hiệp ngắn (≤ 1,5m/hiệp) để nâng cao tỷ lệ lấy mẫu trong những lỗ khoan nghiên cứu ĐCTV. Khoan qua các địa tầng chứa nước dễ sập lở, địa tầng hang động kastơ hoặc đứt gãy mất nước, mất dung dịch trong mỗi hiệp khoan > 30% |
1,30 |
Bảng 165. Hệ số điều chỉnh theo chiều sâu (Kcs)
|
TT |
Chiều sâu lỗ khoan (m) |
Kcs |
|
1 |
Dưới 100 |
0,80 |
|
2 |
Từ 100 đến dưới 200 |
0,92 |
|
3 |
Từ 200 đến dưới 300 |
1,00 |
|
4 |
Từ 300 đến dưới 400 |
1,40 |
|
5 |
Từ 400 đến dưới 500 |
1,75 |
Bảng 166. Hệ số điều chỉnh theo cấp đất đá (Kđđ)
|
TT |
Cấp đất đá [15] |
Kđđ |
|---|---|---|
|
1 |
I - III |
1 |
|
2 |
IV |
1,15 |
|
3 |
V |
1,35 |
|
4 |
VI |
1,60 |
|
5 |
VII |
2,20 |
|
6 |
VIII |
2,55 |
|
7 |
IX |
3,15 |
|
8 |
X |
3,55 |
|
9 |
XI |
4,65 |
|
10 |
XII |
5,55 |
III.1.3. Định biên lao động
Bảng 167. Định biên lao động xây lắp, tháo dỡ và khoan điều tra, khảo sát thăm dò; khai thác nước dưới đất
|
TT |
Nội dung công việc |
Định biên lao động |
|||||
|
ĐTV4 |
CN5 (N3) |
CN3 (N3) |
CN2 (N3) |
LX10 |
Nhóm |
||
|
1 |
Xây lắp - tháo dỡ máy khoan tự hành lỗ khoan sâu từ 200 - 300m |
1 |
2 |
2 |
2 |
1 |
8 |
|
2 |
Khoan; trám cách ly phân tầng |
1 |
1 |
2 |
1 |
- |
5 |
|
3 |
Văn phòng lập tài liệu khoan |
1 |
1 |
- |
- |
- |
2 |
III.1.4. Định mức lao động
Bảng 168. Định mức lao động khoan điều tra, khảo sát thăm dò; khai thác nước dưới đất
ĐVT: Công nhóm
|
TT |
Nội dung công việc |
ĐVT |
Định mức |
|---|---|---|---|
|
1 |
Xây lắp - tháo dỡ máy khoan tự hành cho lỗ khoan sâu từ 200 - 300m |
1 lần xây - lắp tháo dỡ |
5,4 |
|
2 |
Khoan sâu từ 200 - 300m |
1m khoan |
0,33 |
|
3 |
Văn phòng lập tài liệu khoan |
1 lỗ khoan |
3,5 |
Ghi chú: Đối với công việc xây lắp tháo dỡ máy khoan cố định định biên bằng định biên máy khoan tự hành; định mức lao động bằng định mức của máy khoan tự hành nhân với hệ số 1,2
III.2. Định mức thiết bị
Bảng 169. Định mức thiết bị xây lắp - tháo dỡ, tiến hành khoan máy khoan tự hành chiều sâu khoan từ 200 - 300m
|
TT |
Danh mục thiết bị |
ĐVT |
Thời hạn (tháng) |
Định mức |
|
|---|---|---|---|---|---|
|
Xây lắp - tháo dỡ (ca/lần tháo lắp) |
Khoan (ca/1m khoan) |
||||
|
1 |
Máy khoan XY - 2B (hoặc tương đương) |
Bộ |
96 |
- |
0,35 |
|
2 |
Ô tô tải 5 tấn |
Cái |
180 |
5,73 |
- |
|
3 |
Máy phát 108 mã lực |
Cái |
96 |
- |
0,35 |
|
4 |
Dầu diesel |
Kg |
|
|
3,40 |
|
5 |
Xăng |
Lít |
|
20 |
0,01 |
Bảng 170. Định mức thiết bị nội nghiệp khoan
ĐVT: Ca/lỗ khoan
|
TT |
Danh mục thiết bị |
ĐVT |
Thời hạn (tháng) |
Định mức |
|---|---|---|---|---|
|
Nội nghiệp (1 lỗ khoan) |
||||
|
1 |
Điều hòa 2 chiều 12000 BTU - 2,2 Kw |
Cái |
96 |
1,92 |
|
2 |
Máy tính xách tay - 0,04KW |
Cái |
60 |
1,44 |
|
3 |
Máy in màu A0 - 0,8KW |
Cái |
60 |
0,72 |
|
4 |
Máy photocopy - 1KW |
Cái |
96 |
0,72 |
|
5 |
Điện năng |
kW |
|
46,85 |
III.3. Định mức dụng cụ
III.3.1. Xây lắp - tháo dỡ máy khoan tự hành cho lỗ khoan sâu từ 200 đến 300m
Bảng 171. Định mức dụng cụ xây lắp - tháo dỡ máy khoan tự hành cho lỗ khoan sâu từ 200 đến 300m
ĐVT: ca/1 lần xây lắp - tháo dỡ
|
TT |
Danh mục dụng cụ |
ĐVT |
Thời hạn (tháng) |
Định mức |
|---|---|---|---|---|
|
1 |
Bơm mỡ |
Cái |
12 |
4,88 |
|
2 |
Calê dẹt |
Bộ |
36 |
4,88 |
|
3 |
Calê tẩu |
Cái |
36 |
4,88 |
|
4 |
Can sắt 20 lít |
Cái |
24 |
4,88 |
|
5 |
Đèn xạc điện |
Cái |
24 |
4,88 |
|
6 |
Dũa |
Bộ |
24 |
4,88 |
|
7 |
Găng tay BHLĐ |
Đôi |
3 |
48,80 |
|
8 |
Giầy BHLĐ |
Đôi |
12 |
48,80 |
|
9 |
Khóa tháo lắp cần D42mm |
Cái |
24 |
4,88 |
|
10 |
Khóa tháo lắp ống D89mm |
Cái |
24 |
4,88 |
|
11 |
Kính BHLĐ |
Cái |
12 |
48,80 |
|
12 |
Mũ BHLĐ |
Cái |
12 |
48,80 |
|
13 |
Mũi khoan kim loại |
Bộ |
24 |
4,88 |
|
14 |
Quần áo BHLĐ |
Bộ |
12 |
48,80 |
|
15 |
Quần áo mưa |
Bộ |
12 |
45,28 |
|
16 |
Xitec kim loại |
Cái |
60 |
4,88 |
|
17 |
Điện năng |
KW |
|
20,50 |
|
18 |
Dụng cụ khác |
% |
|
5 |
III.3.2. Khoan
Bảng 172. Định mức dụng cụ khoan sâu từ 200 - 300m
ĐVT: ca/m khoan
|
TT |
Danh mục dụng cụ |
ĐVT |
Thời hạn (tháng) |
Định mức |
|---|---|---|---|---|
|
1 |
Amotichxe - 5 tấn |
Cái |
36 |
0,28 |
|
2 |
Can sắt 20 lít |
Cái |
24 |
0,28 |
|
3 |
Đèn xạc điện |
Cái |
24 |
0,28 |
|
4 |
Giầy BHLĐ |
Đôi |
6 |
1,40 |
|
5 |
Khóa tháo lắp ống D89mm |
Cái |
24 |
0,28 |
|
6 |
Khóa xích D219mm |
Cái |
24 |
0,28 |
|
7 |
Kich ren 40 tấn |
Cái |
24 |
0,28 |
|
8 |
Kính BHLĐ |
Cái |
12 |
1,40 |
|
9 |
Máy trộn dung dịch |
Cái |
120 |
0,28 |
|
10 |
Mũ BHLĐ |
Cái |
12 |
1,40 |
|
11 |
Perekhot các loại D89/108 mm |
Cái |
120 |
0,28 |
|
12 |
Quần áo BHLĐ |
Bộ |
12 |
1,40 |
|
13 |
Quần áo mưa |
Bộ |
12 |
1,40 |
|
14 |
Thùng phi 200 lít |
Cái |
36 |
0,28 |
|
15 |
Xitec kim loại 4m3 |
Cái |
60 |
0,28 |
|
16 |
Điện năng |
KW |
|
1,18 |
|
17 |
Dụng cụ khác |
% |
|
5 |
Bảng 173. Định mức dụng cụ nội nghiệp khoan
ĐVT: Ca/lỗ khoan
|
TT |
Danh mục dụng cụ |
ĐVT |
Thời hạn (tháng) |
Định mức |
|
1 |
Đèn neon 40W |
Bộ |
36 |
7,68 |
|
2 |
Êke |
Bộ |
36 |
3,84 |
|
3 |
Tủ đựng tài liệu |
Cái |
96 |
3,84 |
|
4 |
Quạt điện cây 0,06KW |
Cái |
60 |
3,84 |
|
5 |
Bàn làm việc |
Cái |
96 |
7,68 |
|
6 |
Ghế văn phòng |
Cái |
96 |
7,68 |
|
7 |
Điện năng |
KW |
|
1,94 |
|
8 |
Dụng cụ khác |
% |
|
5,00 |
III.4. Định mức vật liệu
III.4.1. Xây lắp - tháo dỡ máy khoan tự hành cho lỗ khoan sâu từ 200 - 300m
Bảng 174. Định mức vật liệu xây lắp - tháo dỡ máy khoan tự hành cho lỗ khoan sâu từ 200 - 300m
ĐVT: 1 lần xây lắp - tháo dỡ
|
TT |
Danh mục vật liệu |
Quy cách |
ĐVT |
Định mức |
|---|---|---|---|---|
|
1 |
Bạt che máy |
|
M2 |
2,50 |
|
2 |
Bulông êcu |
Các loại |
Kg |
1,00 |
|
3 |
Cáp khoan |
D15-17mm |
Mét |
1,50 |
|
4 |
Cót nứa |
1 x 2m |
Tấm |
6,40 |
|
5 |
Dây điện đôi |
|
m |
5,00 |
|
6 |
Đinh |
Các loại |
Kg |
2,00 |
|
7 |
Đinh đỉa |
15 x 20 |
Cái |
10,00 |
|
8 |
Gỗ xẻ 22 mm nhóm IV |
|
M3 |
0,05 |
|
9 |
Vật liệu khác |
|
% |
2 |
III.4.2. Khoan
Bảng 175. Định mức vật liệu khoan máy khoan tự hành cho lỗ khoan sâu từ 200 - 300m
ĐVT: 1m khoan
|
TT |
Danh mục vật liệu |
ĐVT |
Định mức |
|---|---|---|---|
|
1 |
Cần khoan D50mm |
Mét |
0,05 |
|
2 |
Gia mốc thường |
Bộ |
0,02 |
|
3 |
Gia mốc an toàn D50mm |
Bộ |
0,004 |
|
4 |
Đầu nối cần D50mm |
Bộ |
0,02 |
|
5 |
Ty bơm |
Bộ |
0,003 |
|
6 |
Xy lanh bơm |
Bộ |
0,003 |
|
7 |
Cúp ben bơm bùn |
Bộ |
0,21 |
|
8 |
Ty xa nhích |
Cái |
0,02 |
|
9 |
Dầu áp lực |
Kg |
0,13 |
|
10 |
Dầu bôi trơn |
Kg |
0,13 |
|
11 |
Thùng gỗ đựng mẫu |
Cái |
0,1 |
|
12 |
Lưỡi khoan HK D112mm |
Cái |
0,05 |
|
13 |
Mỡ bôi trơn |
Kg |
0,01 |
|
14 |
Múpta D50mm |
Cái |
0,02 |
|
15 |
Nhíp pen D127mm |
Cái |
0,004 |
|
16 |
Nhíp pen D146mm |
Cái |
0,01 |
|
17 |
Ống chống D146mm |
Mét |
0,02 |
|
18 |
Ống mẫu D108mm |
Bộ |
0,02 |
|
19 |
Ống Slam D108mm |
Ống |
0,006 |
|
20 |
Vật liệu khác |
Kg |
8 |
Bảng 176. Định mức vật liệu tính cho 1m3 vữa trám
ĐVT: 1m3 thể tích vữa trám
|
TT |
Danh mục vật liệu |
ĐVT |
Định mức |
|
1 |
Xi măng |
Kg |
1.200 |
|
2 |
Sét viên Mikolit (chế tạo sẵn) |
Kg |
360 |
|
3 |
Sét bột bentonite (pha chế thành vữa) |
Kg |
720 |
Bảng 177. Định mức vật liệu nội nghiệp khoan
ĐVT: lỗ khoan
|
TT |
Danh mục vật liệu |
Đơn vị tính |
Định mức |
|---|---|---|---|
|
1 |
Băng dính |
Cuộn |
0,25 |
|
2 |
Bút chì đen |
Cái |
0,25 |
|
3 |
Bút chì màu (24 màu) |
Hộp |
0,10 |
|
4 |
Cặp ba dây |
Cái |
0,20 |
|
5 |
Ghim kẹp |
Hộp |
0,25 |
|
6 |
Giấy A0 |
Tờ |
2,00 |
|
7 |
Giấy A4 |
Gam |
0,25 |
|
8 |
Giấy milimet |
Tờ (m) |
0,65 |
|
9 |
Mực in A4 |
Hộp |
0,06 |
|
10 |
Sổ công tác |
Quyển |
0,32 |
|
11 |
Sổ tay cỡ lớn |
Quyển |
0,16 |
|
12 |
Tẩy |
Cái |
0,15 |
|
13 |
Vật liệu khác |
% |
5,00 |
IV. BƠM HÚT NƯỚC THÍ NGHIỆM
IV.1. Bơm nước thí nghiệm giếng đào
IV.1.1. Định mức lao động
1. Nội dung công việc
1.1. Ngoại nghiệp
a) Lắp đặt - tháo dỡ thiết bị bơm
- Nhận thiết kế bơm nước thí nghiệm, lĩnh vật liệu, nhiên liệu;
- Bốc xếp vật liệu, nhiên liệu, dụng cụ và trang thiết bị thí nghiệm bơm nước để vận chuyển từ điểm tập kết đến nơi thí nghiệm và từ nơi thí nghiệm về nơi tập kết;
- Liên hệ, làm thủ tục hành chính với chính quyền địa phương và chủ công trình khai thác;
- Lắp đặt hệ thống chiếu sáng;
- Xác định tọa độ công trình bằng GPS cầm tay;
- Lắp đặt máy bơm, thả bộ dụng cụ bơm xuống giếng tới độ sâu thiết kế, lắp đặt đường ống dẫn nước, kiểm tra các thiết bị bơm và dụng cụ đo lường;
- Tháo dỡ, thu dọn thiết bị bơm, máy phát lực và dụng cụ bơm, đo;
- Các công việc chuẩn bị kết thúc khác phục vụ bơm nước thí nghiệm.
b) Tiến hành bơm nước thí nghiệm
- Bơm thí nghiệm một lần hạ thấp mực nước;
- Đo lưu lượng, mực nước, nhiệt độ nước và không khí trong quá trình bơm;
- Lấy mẫu nước và vận chuyển mẫu từ nơi lấy về điểm tập kết;
- Theo dõi thiết bị bơm nước khi đang hoạt động; kiểm tra hiệu chỉnh và sửa chữa máy móc khi bơm; bảo dưỡng, sửa chữa nhỏ các dụng cụ, thiết bị thí nghiệm sau khi bơm thí nghiệm xong;
- Lấy tài liệu thí nghiệm, chỉnh lý tài liệu theo yêu cầu thiết kế bơm nước thí nghiệm.
c) Đo hồi phụcmực nước sau khi bơm
Sau khi bơm xong tiến hành đo hồi phục mực nước.
d) Phục vụ trong quá trình kiểm tra nghiệm thu sản phẩm.
1.2. Công tác nội nghiệp
a) Hoàn chỉnh tài liệu thực địa, vào sổ văn phòng;
b) Tính toán các thông số thí nghiệm; vẽ đồ thị, biểu đồ thí nghiệm theo quy định;
c) Kiểm tra đồ thị, biểu đồ, kết quả tính toán; viết báo cáo, đánh máy, phô tô tài liệu;
d) Phục vụ trong quá trình kiểm tra nghiệm thu sản phẩm.
2. Phân loại khó khăn
2.1. Những công việc chưa có trong định mức
a) Hao phí đặt ống dẫn nước dài > 20m;
b) Vận chuyển mẫu nước từ nơi tập kết đến cơ sở phân tích;
c) Vận chuyển mẫu vi sinh, mẫu môi trường từ vị trí lấy mẫu đến cơ sở phân tích;
d) Vận chuyển nhân công, vật liệu, dụng cụ và máy móc thiết bị từ đơn vị đến vị trí công trình và ngược lại; từ vị trí công trình này đến vị trí công trình khác trong vùng điều tra;
đ) Vệ sinh môi trường;
e) In ấn sản phẩm, nhân bộ và bàn giao tài liệu.
2.2. Điều kiện áp dụng và hệ số điều chỉnh
a) Điều kiện áp dụng
- Ngoại nghiệp: chiều sâu đặt máy bơm < 15m;
- Nội nghiệp: thời gian bơm thí nghiệm của một điểm bơm < 10 ca.
Khi điều kiện khảo sát, đo đạc khác với các quy định về điều kiện áp dụng nêu trên, thì định mức lao động, định mức vật liệu, dụng cụ và thiết bị được điều chỉnh theo các hệ số điều chỉnh dưới đây. Cách tính mức được quy định và hướng dẫn áp dụng tại Mục 6, Phần I của Thông tư này.
b) Các hệ số điều chỉnh
- Ngoại nghiệp
Bảng 178. Hệ số điều chỉnh theo chiều sâu giếng (Kcs)
|
TT |
Chiều sâu đặt ống dâng |
Kcs |
|---|---|---|
|
1 |
< 15m |
1,00 |
|
2 |
≥ 15m |
1,26 |
Bảng 179. Hệ số điều chỉnh theo loại động cơ máy bơm (Kđc)
|
TT |
Động cơ máy bơm |
Kđc |
|
1 |
Động cơ điện |
1,00 |
|
2 |
Động cơ diesel |
1,10 |
- Nội nghiệp
Bảng 180. Hệ số điều chỉnh theo thời gian bơm thí nghiệm (Ktg)
|
TT |
Thời gian bơm thí nghiệm |
Ktg |
|
1 |
≤ 2 ca |
1,00 |
|
2 |
>2 ca |
1,35 |
3. Định biên lao động
Bảng 181. Định biên lao động công tác bơm nước thí nghiệm ở giếng đào
|
TT |
Nội dung công việc |
Định biên lao động |
|||
|---|---|---|---|---|---|
|
ĐTV3 |
KTV5 |
CN1 (N3) |
Nhóm |
||
|
I |
Ngoại nghiệp |
|
|
|
|
|
1 |
Lắp đặt - tháo dỡ thiết bị bơm ly tâm động cơ điện |
1 |
1 |
1 |
3 |
|
2 |
Tiến hành bơm nước thí nghiệm bằng máy bơm ly tâm |
1 |
1 |
1 |
3 |
|
3 |
Đo hồi phục sau khi bơm |
1 |
1 |
- |
2 |
|
II |
Nội nghiệp |
1 |
1 |
- |
2 |
4. Định mức lao động
Bảng 182. Định mức lao động công tác bơm nước thí nghiệm ở giếng đào
ĐVT: công nhóm
|
TT |
Nội dung công việc |
ĐVT |
Định mức |
|---|---|---|---|
|
I |
Ngoại nghiệp |
|
|
|
1 |
Lắp đặt - tháo dỡ thiết bị |
1 lần lắp đặt |
0,4 |
|
2 |
Tiến hành bơm nước thí nghiệm |
1 ca |
1,0 |
|
3 |
Đo hồi phục sau khi bơm |
1 ca |
0,65 |
|
II |
Nội nghiệp |
|
|
|
|
Thời gian bơm tại 1 điểm bơm thí nghiệm < 2 ca |
1 điểm |
1,1 |
IV.1.2. Định mức thiết bị
Bảng 183. Định mức thiết bị bơm nước thí nghiệm giếng đào
ĐVT: ca/ca thí nghiệm
|
TT |
Danh mục thiết bị |
ĐVT |
Thời hạn |
Ngoại nghiệp |
Nội nghiệp |
||
|---|---|---|---|---|---|---|---|
|
Máy bơm ly tâm |
Đo hồi phục |
||||||
|
Động cơ diesel |
Động cơ điện |
||||||
|
1 |
Máy bơm động cơ điezen D6 hoặc tương đương |
Cái |
96 |
1,00 |
|
|
|
|
2 |
Máy bơm động cơ điện 0,75W |
Cái |
96 |
|
1,00 |
|
|
|
3 |
Máy tính xách tay - 0,04KW |
Cái |
60 |
0,60 |
0,60 |
0,60 |
1,77 |
|
4 |
Điều hòa 2 chiều 12000 BTU - 2,2 KW |
Bộ |
96 |
- |
- |
- |
1,77 |
|
5 |
Máy đo GPS cầm tay |
Cái |
120 |
0,96 |
0,96 |
|
|
|
6 |
Máy Photocopy - 1KW |
Cái |
96 |
- |
- |
- |
1,77 |
|
7 |
Dầu diesel |
Kg |
|
10,4 |
|
|
|
|
8 |
Điện năng |
KW |
- |
0,20 |
6,50 |
0,20 |
48,17 |
IV.1.3. Định mức dụng cụ
1. Ngoại nghiệp
Bảng 184. Định mức dụng cụ công tác lắp đặt - tháo dỡ máy bơm nước thí nghiệm ở giếng đào
ĐVT: ca/1 lần lắp đặt - tháo dỡ
|
TT |
Danh mục dụng cụ |
ĐVT |
Thời hạn (tháng) |
Định mức |
|---|---|---|---|---|
|
1 |
Clê các loại |
Bộ |
36 |
0,93 |
|
2 |
Cưa gỗ |
Cái |
24 |
0,93 |
|
3 |
Đồng hồ bấm giây |
Cái |
36 |
0,93 |
|
4 |
Bộ dụng cụ cơ khí |
Bộ |
36 |
0,93 |
|
5 |
Địa bàn địa chất |
Cái |
120 |
0,96 |
|
6 |
Giầy BHLĐ |
Đôi |
6 |
1,80 |
|
7 |
Khoan điện |
Cái |
60 |
0,93 |
|
8 |
Kính BHLĐ |
Cái |
12 |
1,80 |
|
9 |
Mũ BHLĐ |
Cái |
12 |
1,80 |
|
10 |
Mũi khoan kim loại |
Bộ |
24 |
0,93 |
|
11 |
Quần áo BHLĐ |
Bộ |
12 |
1,80 |
|
12 |
Quần áo mưa |
Bộ |
12 |
1,80 |
|
13 |
Tất chống vắt |
Đôi |
6 |
1,80 |
|
14 |
Ủng BHLĐ |
Đôi |
12 |
1,80 |
|
15 |
Điện năng |
KW |
|
15,62 |
|
16 |
Xà beng |
Cái |
24 |
0,93 |
|
17 |
Dụng cụ khác |
% |
|
5,00 |
Bảng 185. Định mức dụng cụ tiến hành bơm nước thí nghiệm ở giếng đào
ĐVT: ca/ca thí nghiệm
|
TT |
Danh mục dụng cụ |
ĐVT |
Thời hạn (tháng) |
Định mức |
|
|---|---|---|---|---|---|
|
1 |
Clê các loại |
Bộ |
36 |
0,80 |
|
|
2 |
Cưa gỗ |
Cái |
24 |
0,80 |
|
|
3 |
Đồng hồ bấm giây |
Cái |
36 |
0,80 |
|
|
4 |
Bộ dụng cụ cơ khí |
Bộ |
36 |
0,80 |
|
|
5 |
Dụng cụ đo mực nước bằng điện |
Cái |
24 |
0,80 |
|
|
6 |
Giầy BHLĐ |
Đôi |
6 |
2,40 |
|
|
7 |
Khoan điện |
Cái |
60 |
0,80 |
|
|
8 |
Kính BHLĐ |
Cái |
12 |
2,40 |
|
|
9 |
Máy tính bỏ túi |
Cái |
60 |
0,80 |
|
|
10 |
Mũ BHLĐ |
Cái |
12 |
2,40 |
|
|
11 |
Mũi khoan kim loại |
Bộ |
24 |
0,80 |
|
|
12 |
Nhiệt kế |
Cái |
12 |
0,80 |
|
|
13 |
Quần áo BHLĐ |
Bộ |
12 |
2,40 |
|
|
14 |
Quần áo mưa |
Bộ |
12 |
2,40 |
|
|
15 |
Tất chống vắt |
Đôi |
6 |
2,40 |
|
|
16 |
Thùng định lượng 200 lít |
Cái |
36 |
0,80 |
|
|
17 |
Ủng BHLĐ |
Đôi |
12 |
2,40 |
|
|
18 |
Điện năng |
KW |
|
15,62 |
|
|
19 |
Xà beng |
Cái |
24 |
0,80 |
|
|
20 |
Dụng cụ khác |
% |
|
5,00 |
|
Bảng 186. Định mức dụng cụ đo hồi phục mực nước sau khi bơm
ĐVT: ca/ca thí nghiệm
|
TT |
Danh mục dụng cụ |
ĐVT |
Thời hạn (tháng) |
Định mức |
|---|---|---|---|---|
|
1 |
Clê các loại |
Bộ |
36 |
0,80 |
|
2 |
Đồng hồ bấm giây |
Cái |
36 |
0,80 |
|
3 |
Bộ dụng cụ cơ khí |
Bộ |
36 |
0,80 |
|
4 |
Dụng cụ đo mực nước bằng điện |
Cái |
24 |
0,80 |
|
5 |
Giầy BHLĐ |
Đôi |
6 |
2,40 |
|
6 |
Kính BHLĐ |
Cái |
12 |
2,40 |
|
7 |
Máy tính bỏ túi |
Cái |
60 |
0,80 |
|
8 |
Mũ BHLĐ |
Cái |
12 |
2,40 |
|
9 |
Nhiệt kế |
Cái |
12 |
0,80 |
|
10 |
Quần áo BHLĐ |
Bộ |
12 |
2,40 |
|
11 |
Quần áo mưa |
Bộ |
12 |
2,40 |
|
12 |
Tất chống vắt |
Đôi |
6 |
2,40 |
|
13 |
Tháp và tời quay tay |
Bộ |
96 |
0,80 |
|
14 |
Thùng định lượng 200 lít |
Cái |
36 |
0,80 |
|
15 |
Ủng BHLĐ |
Đôi |
12 |
2,40 |
|
16 |
Điện năng |
KW |
|
6,72 |
|
17 |
Xà beng |
Cái |
24 |
0,80 |
|
18 |
Dụng cụ khác |
% |
|
5,00 |
2. Nội nghiệp
Bảng 187. Định mức dụng cụ bơm nước thí nghiệm 1 giếng đào ≤ 2 ca bơm
ĐVT: ca/điểm thí nghiệm
|
TT |
Danh mục dụng cụ |
ĐVT |
Thời hạn (tháng) |
Định mức |
|---|---|---|---|---|
|
1 |
Bàn đóng gáy xoắn khổ A4 |
Cái |
60 |
0,96 |
|
2 |
Bàn làm việc |
Cái |
96 |
1,92 |
|
3 |
Bàn máy vi tính |
Cái |
96 |
1,92 |
|
4 |
Đèn xạc điện |
Cái |
24 |
0,96 |
|
5 |
Máy ảnh kỹ thuật số |
Cái |
60 |
0,96 |
|
6 |
Máy Fax |
Cái |
60 |
0,96 |
|
7 |
Máy hủy tài liệu |
Cái |
60 |
0,96 |
|
8 |
Máy in A4 - 0,5KW |
Cái |
60 |
0,96 |
|
9 |
Máy tính 0,6KW |
Cái |
60 |
1,92 |
|
10 |
Ổn áp 10A |
Cái |
60 |
0,96 |
|
11 |
Điện năng |
KW |
|
29,84 |
|
12 |
Dụng cụ khác |
% |
|
5,00 |
IV.1.4. Định mức vật liệu
Bảng 188. Định mức vật liệu bơm nước thí nghiệm giếng đào
|
TT |
Danh mục vật liệu |
ĐVT |
Định mức |
||
|---|---|---|---|---|---|
|
Ngoại nghiệp |
Nội nghiệp (1 điểm) |
||||
|
Lắp đặt - tháo dỡ máy bơm (1 lần) |
Ca thí nghiệm và đo hồi phục (1 ca) |
||||
|
1 |
Bu lông có ê cu và long đen |
Kg |
0,10 |
- |
- |
|
2 |
Đinh đỉa 15 - 20 cm |
Kg |
0,50 |
- |
- |
|
3 |
Cặp 3 dây |
Cái |
- |
0,10 |
1 |
|
4 |
Cáp kỹ thuật cách điện |
Mét |
- |
0,03 |
- |
|
5 |
Can nhựa 1 lít |
Cái |
- |
1,00 |
- |
|
6 |
Can nhựa 2 lít |
Cái |
- |
1,00 |
- |
|
7 |
Can nhựa 3 lít |
Cái |
- |
1,00 |
- |
|
8 |
Đất đèn |
Kg |
- |
0,03 |
- |
|
9 |
Dây điện 2mm |
Mét |
- |
0,18 |
- |
|
10 |
Dây gai |
Kg |
0,01 |
|
- |
|
11 |
Đệm cao su |
Kg |
0,01 |
|
- |
|
12 |
Đệm nắp bít |
Cái |
0,01 |
|
- |
|
13 |
Gỗ xẻ 22 mm nhóm IV |
M3 |
0,001 |
|
- |
|
14 |
Giấy A4 |
Gram |
- |
- |
0,01 |
|
15 |
Giấy kẻ ly 60 x 80 cm |
Tờ |
- |
- |
0,01 |
|
16 |
Giấy kẻ ngang |
Thếp |
- |
- |
0,05 |
|
17 |
Hộp ghim kẹp |
Hộp |
- |
- |
0,01 |
|
18 |
Lưỡi cưa |
Cái |
0,50 |
- |
- |
|
19 |
Mực in laser |
Hộp |
- |
- |
0,001 |
|
20 |
Ống dâng nước có nhíp ben Φ 89 - 146 mm |
Mét |
0,10 |
- |
- |
|
21 |
Pin đại |
Cục |
- |
0,02 |
- |
|
22 |
Sổ 15 x 20 cm |
Quyển |
- |
0,01 |
- |
|
23 |
Sổ 30 x 50 cm |
Quyển |
- |
- |
0,01 |
|
24 |
Tôn lợp nhà loại III |
M2 |
- |
0,02 |
- |
|
25 |
Vật liệu khác |
% |
8 |
8 |
8 |
IV.2. Bơm hút nước thí nghiệm hang karst
IV.2.1. Định mức lao động
1. Nội dung công việc
1.1. Ngoại nghiệp
a) Lắp đặt - tháo dỡ thiết bị bơm
- Nhận thiết kế bơm nước thí nghiệm, lĩnh vật liệu, nhiên liệu;
- Bốc xếp vật liệu, nhiên liệu, dụng cụ và trang thiết bị thí nghiệm bơm nước để vận chuyển từ điểm tập kết đến nơi thí nghiệm và từ nơi thí nghiệm về nơi tập kết;
- Xác định tọa độ công trình;
- Lắp đặt hệ thống chiếu sáng;
- Liên hệ, làm thủ tục hành chính với chính quyền địa phương;
- Lắp đặt máy bơm, thả bộ dụng cụ bơm xuống hang tới độ sâu thiết kế, lắp đặt đường ống dẫn nước, kiểm tra các thiết bị bơm và dụng cụ đo lường;
- Tháo dỡ, thu dọn thiết bị bơm, máy phát lực và dụng cụ bơm, đo;
- Các công việc chuẩn bị kết thúc khác phục vụ bơm nước thí nghiệm.
b) Tiến hành bơm nước thí nghiệm:
- Bơm thí nghiệm một lần hạ thấp mực nước;
- Đo lưu lượng, mực nước, nhiệt độ nước và không khí trong quá trình bơm;
- Lấy mẫu nước và vận chuyển mẫu từ nơi lấy về điểm tập kết;
- Theo dõi và chăm sóc thiết bị bơm nước đang hoạt động; kiểm tra hiệu chỉnh và sửa chữa máy móc khi bơm; bảo dưỡng, sửa chữa nhỏ các dụng cụ, thiết bị thí nghiệm;
- Lấy tài liệu thí nghiệm, chỉnh lý tài liệu tại thực địa, điều chỉnh thông số bơm theo yêu cầu thiết kế bơm nước thí nghiệm.
c) Đo hồi phục sau khi bơm:
Tiến hành đo mực nước hồi phục sau khi bơm xong.
d) Phục vụ trong quá trình kiểm tra, nghiệm thu sản phẩm.
1.2. Nội nghiệp
a) Hoàn chỉnh tài liệu thực địa, vào sổ văn phòng;
b) Tính toán các thông số thí nghiệm;
c) Vẽ đồ thị, biểu đồ thí nghiệm theo quy định;
d) Kiểm tra các đồ thị, biểu đồ, kết quả tính toán;
đ) Viết báo cáo, đánh máy, phô tô tài liệu;
e) Sửa chữa nhỏ dụng cụ, thiết bị văn phòng;
g) Phục vụ trong quá trình kiểm tra, nghiệm thu sản phẩm.
2. Phân loại khó khăn
2.1. Những công việc chưa có trong định mức
a) Hao phí đặt ống dẫn nước dài ≥ 20m;
b) Vận chuyển mẫu vi sinh, mẫu môi trường từ vị trí lấy mẫu đến cơ sở phân tích;
c) Vận chuyển nhân công, vật liệu, dụng cụ và máy móc thiết bị từ đơn vị đến vị trí vùng khảo sát đo đạc và ngược lại;
d) Vận chuyển mẫu nước từ nơi tập kết đến cơ sở phân tích;
đ) Vệ sinh môi trường;
e) In ấn sản phẩm, nhân bộ và bàn giao tài liệu.
2.2. Điều kiện áp dụng và hệ số điều chỉnh
a) Điều kiện áp dụng
- Ngoại nghiệp: Chiều sâu đến mực nước trong hang < 20 m.
- Nội nghiệp: Thời gian bơm thí nghiệm của 1 điểm bơm ≤ 10 ca.
Khi điều kiện thi công khác với các quy định về điều kiện áp dụng nêu trên, thì định mức lao động, định mức vật liệu, dụng cụ và thiết bị được điều chỉnh theo các hệ số điều chỉnh dưới đây. Cách tính mức được quy định và hướng dẫn áp dụng tại Mục 6, Phần I của Thông tư này.
b) Các hệ số điều chỉnh
- Ngoại nghiệp
Bảng 189. Hệ số điều chỉnh theo chiều sâu đến mực nước của hang karst (Kcs)
|
TT |
Chiều sâu đến mực nước của hang karst |
Kcs |
|---|---|---|
|
1 |
< 20 m |
1,00 |
|
2 |
≥ 20 m |
1,21 |
Bảng 190. Hệ số điều chỉnh theo loại động cơ (Kđc)
|
TT |
Loại động cơ |
Kđc |
|
1 |
Động cơ điện |
1,00 |
|
2 |
Động cơ diesel |
1,26 |
- Nội nghiệp
Bảng 191. Hệ số điều chỉnh mức thời gian nội nghiệp theo thời gian bơm thí nghiệm (Ktg)
|
TT |
Thời gian bơm thí nghiệm |
Ktg |
|---|---|---|
|
1 |
< 10 ca |
1,00 |
|
2 |
≥ 10 ca |
1,23 |
3. Định biên lao động
Bảng 192. Định biên công tác bơm nước thí nghiệm hang karst
|
TT |
Nội dung công việc |
Định biên lao động |
|||
|
ĐTV4 |
KTV5 |
CN2 (N3) |
Nhóm |
||
|
1 |
Lắp đặt - tháo dỡ |
1 |
1 |
1 |
3 |
|
2 |
Tiến hành bơm thí nghiệm |
1 |
1 |
1 |
3 |
|
3 |
Đo hồi phục sau khi bơm |
1 |
1 |
- |
2 |
|
II |
Nội nghiệp |
1 |
1 |
- |
2 |
4. Định mức lao động
Bảng 193. Định mức lao động bơm nước thí nghiệm hang karst
ĐVT: Công nhóm
|
TT |
Nội dung công việc |
ĐVT |
Định mức |
|---|---|---|---|
|
I |
Ngoại nghiệp |
|
|
|
1 |
Lắp đặt - tháo dỡ |
1 lần lắp đặt - tháo dỡ |
1,35 |
|
2 |
Tiến hành bơm thí nghiệm |
1 ca |
1,00 |
|
3 |
Đo hồi phục sau khi bơm |
1 ca |
1,00 |
|
II |
Nội nghiệp |
1 điểm |
5,2 |
Ghi chú: Nếu bơm thí nghiệm với lưu lượng lớn thì định mức tiêu hao nhiên liệu cho 1 ca bơm tính theo định mức tiêu hao của thiết bị bơm có công suất tương ứng.
IV.2.2. Định mức thiết bị
Bảng 194. Định mức thiết bị bơm nước thí nghiệm hang karst
|
TT |
Danh mục thiết bị |
ĐVT |
Thời hạn tháng |
Ngoại nghiệp (ca thí nghiệm) |
Nội nghiệp (điểm bơm TN) |
||
|---|---|---|---|---|---|---|---|
|
Máy bơm ly tâm |
Đo hồi phục |
||||||
|
Động cơ diesel |
Động cơ điện |
||||||
|
1 |
Máy bơm động cơ diesel D6 hoặc tương đương |
Cái |
96 |
1,00 |
|
|
|
|
2 |
Máy bơm động cơ điện 0,75W |
Cái |
96 |
|
1,00 |
|
|
|
3 |
Máy tính xách tay - 0,04KW |
Cái |
60 |
0,60 |
0,60 |
0,60 |
3,54 |
|
4 |
Điều hòa 2 chiều 12000 BTU - 2,2 KW |
Bộ |
96 |
- |
- |
- |
2,66 |
|
5 |
Máy đo GPS cầm tay |
Cái |
120 |
1,20 |
|
- |
|
|
6 |
Máy Photocopy - 1KW |
Cái |
96 |
- |
- |
- |
0,66 |
|
7 |
Dầu diesel |
Kg |
|
10,4 |
|
|
|
|
8 |
Điện năng |
KW |
|
0,20 |
8,6 |
0,20 |
55,89 |
IV.2.3. Định mức dụng cụ
1. Ngoại nghiệp
Bảng 195. Định mức dụng cụ trong công tác bơm nước thí nghiệm hang karst
|
TT |
Danh mục dụng cụ |
ĐVT |
Thời hạn (tháng) |
Định mức |
||
|---|---|---|---|---|---|---|
|
Lắp đặt - tháo dỡ máy bơm (1 lần) |
Tiến hành bơm (1 ca) |
Đo hồi phục (1 ca) |
||||
|
1 |
Clê các loại |
Bộ |
36 |
1,44 |
2,36 |
0,80 |
|
2 |
Đồng hồ bấm giây |
Cái |
36 |
1,44 |
2,36 |
0,80 |
|
3 |
Bộ dụng cụ cơ khí |
Bộ |
36 |
1,44 |
2,36 |
- |
|
4 |
Dụng cụ đo mực nước bằng điện |
Cái |
24 |
- |
2,36 |
0,80 |
|
5 |
Giầy BHLĐ |
Đôi |
6 |
5,76 |
9,44 |
2,40 |
|
6 |
Khoan điện |
Cái |
60 |
1,44 |
2,36 |
- |
|
7 |
Kính BHLĐ |
Cái |
12 |
5,76 |
9,44 |
2,40 |
|
8 |
Máy tính bỏ túi |
Cái |
60 |
- |
2,36 |
0,80 |
|
9 |
Mũ BHLĐ |
Cái |
12 |
5,76 |
9,44 |
2,40 |
|
10 |
Mũi khoan kim loại |
Bộ |
24 |
1,44 |
2,36 |
- |
|
11 |
Nhiệt kế |
Cái |
12 |
- |
2,36 |
0,80 |
|
12 |
Quần áo BHLĐ |
Bộ |
12 |
5,76 |
9,44 |
2,40 |
|
13 |
Quần áo mưa |
Bộ |
12 |
5,76 |
9,44 |
2,40 |
|
14 |
Tất chống vắt |
Đôi |
6 |
5,76 |
9,44 |
2,40 |
|
15 |
Tháp và tời quay tay |
Bộ |
96 |
- |
2,36 |
0,80 |
|
16 |
Thùng định lượng 200 lít |
Cái |
36 |
- |
2,36 |
- |
|
17 |
Ủng BHLĐ |
Đôi |
12 |
5,76 |
9,44 |
2,40 |
|
18 |
Điện năng |
kW |
|
24,19 |
59,47 |
6,72 |
|
19 |
Xà beng |
Cái |
24 |
1,44 |
2,36 |
- |
|
20 |
Dụng cụ khác |
% |
|
5,00 |
5,00 |
5,00 |
2. Nội nghiệp
Bảng 196. Định mức dụng cụ bơm nước thí nghiệm hang karst
ĐVT: ca/điểm thí nghiệm
|
TT |
Danh mục dụng cụ |
ĐVT |
Thời hạn (tháng) |
Định mức |
|---|---|---|---|---|
|
1 |
Bàn đóng gáy xoắn khổ A4 |
Cái |
60 |
2,00 |
|
2 |
Bàn làm việc |
Cái |
96 |
9,44 |
|
3 |
Bàn máy vi tính |
Cái |
96 |
9,44 |
|
4 |
Đèn xạc điện |
Cái |
24 |
2,36 |
|
5 |
Máy Fax |
Cái |
60 |
2,36 |
|
6 |
Máy hủy tài liệu |
Cái |
60 |
2,36 |
|
7 |
Máy in A4 - 0,5KW |
Cái |
60 |
2,36 |
|
8 |
Máy tính 0,6KW |
Cái |
60 |
9,44 |
|
9 |
Ổn áp 10A |
Cái |
60 |
2,36 |
|
10 |
Điện năng |
kW |
|
97,93 |
|
11 |
Dụng cụ khác |
% |
|
5,00 |
IV.2.4. Định mức vật liệu
Bảng 197. Định mức vật liệu bơm nước thí nghiệm hang karst
|
TT |
Danh mục vật liệu |
ĐVT |
Định mức |
|||
|---|---|---|---|---|---|---|
|
Ngoại nghiệp |
Nội nghiệp (1 điểm) |
|||||
|
Lắp đặt - tháo dỡ máy bơm (1 lần) |
Ca thí nghiệm (1 ca) |
Đo hồi phục (1 ca) |
||||
|
1 |
Bu lông có ê cu và long đen |
Kg |
0,40 |
- |
- |
- |
|
2 |
Cặp 3 dây |
Cái |
- |
0,10 |
- |
1 |
|
3 |
Cáp kỹ thuật cách điện |
Mét |
0,03 |
- |
- |
- |
|
4 |
Đất đèn |
Kg |
0,03 |
- |
- |
- |
|
5 |
Dây điện đôi |
Mét |
0,18 |
- |
- |
- |
|
6 |
Dây gai |
Kg |
0,01 |
- |
- |
- |
|
7 |
Đệm cao su |
Kg |
0,01 |
- |
- |
- |
|
8 |
Đệm nắp bít |
Cái |
0,01 |
- |
- |
- |
|
9 |
Đinh đỉa 15-20 cm |
Cái |
10,00 |
- |
- |
- |
|
10 |
Giấy A4 |
Gram |
- |
- |
- |
0,01 |
|
11 |
Giấy kẻ ly 60 x 80 cm |
Tờ |
- |
- |
- |
0,01 |
|
12 |
Giấy kẻ ngang |
Thếp |
- |
- |
- |
0,05 |
|
13 |
Gỗ xẻ 22 mm nhóm IV |
M3 |
0,01 |
- |
- |
- |
|
14 |
Ghim kẹp |
Hộp |
- |
- |
- |
0,01 |
|
15 |
Lưỡi cưa |
Cái |
0,10 |
0,1 |
- |
- |
|
16 |
Mực in laser |
Hộp |
- |
- |
- |
0,001 |
|
17 |
Pin đại |
Cục |
- |
0,02 |
0,02 |
- |
|
18 |
Sổ 15 x 20 cm |
Quyển |
- |
0,01 |
0,01 |
0,1 |
|
19 |
Sổ 30 x 50 cm |
Quyển |
- |
- |
- |
0,01 |
|
20 |
Tôn lợp nhà loại III |
M2 |
- |
0,01 |
0,01 |
- |
|
21 |
Vòng bít bằng da |
Cái |
- |
0,03 |
0,03 |
- |
|
22 |
Ống dâng có nhíp ben D33 - D50mm |
Mét |
- |
0,03 |
- |
- |
|
23 |
Vật liệu khác |
% |
5 |
8 |
8 |
8 |
IV.3. Bơm nước thí nghiệm giếng khoan đường kính nhỏ
IV.3.1. Định mức lao động
1. Nội dung công việc
1.1. Ngoại nghiệp
a) Lắp đặt - tháo dỡ thiết bị bơm
- Nhận thiết kế bơm nước thí nghiệm, vật liệu, nhiên liệu;
- Bốc xếp vật liệu, nhiên liệu, dụng cụ và trang thiết bị thí nghiệm để vận chuyển từ điểm tập kết đến nơi thí nghiệm và từ nơi thí nghiệm về nơi tập kết;
- Liên hệ, làm thủ tục hành chính với chính quyền địa phương và chủ công trình khai thác;
- Lắp đặt hệ thống chiếu sáng;
- Xác định tọa độ công trình;
- Lắp đặt máy bơm, thả bộ dụng cụ bơm xuống giếng tới độ sâu thiết kế, lắp đặt đường ống dẫn nước, kiểm tra các thiết bị bơm và dụng cụ đo lường;
- Đưa bộ dụng cụ bơm lên khỏi giếng, tháo dỡ, thu dọn thiết bị bơm, máy phát lực và dụng cụ bơm, đo;
- Các công việc chuẩn bị kết thúc khác phục vụ bơm nước thí nghiệm.
b) Tiến hành bơm nước thí nghiệm
- Bơm thí nghiệm một lần hạ thấp mực nước;
- Đo lưu lượng, mực nước, nhiệt độ nước và không khí trong quá trình bơm;
- Theo dõi và chăm sóc thiết bị bơm nước đang hoạt động; kiểm tra hiệu chỉnh và sửa chữa máy móc khi bơm; bảo dưỡng, sửa chữa nhỏ các dụng cụ, thiết bị thí nghiệm;
- Lấy mẫu nước; lấy tài liệu thí nghiệm, chỉnh lý tài liệu tại thực địa, điều chỉnh thông số bơm theo yêu cầu thiết kế bơm nước thí nghiệm;
- Vận chuyển mẫu từ nơi lấy mẫu về điểm tập kết.
c) Đo hồi phục mực nước sau khi bơm;
d) Phục vụ trong quá trình kiểm tra nghiệm thu sản phẩm.
1.2. Nội nghiệp
a) Hoàn chỉnh tài liệu thực địa, vào sổ văn phòng;
b) Tính toán các thông số thí nghiệm;
c) Vẽ đồ thị, biểu đồ thí nghiệm; kiểm tra các đồ thị, biểu đồ, kết quả tính toán;
d) Viết báo cáo bơm nước thí nghiệm;
đ) Phục vụ trong quá trình kiểm tra nghiệm thu sản phẩm.
2. Phân loại khó khăn
2.1. Những công việc chưa có trong định mức
a) Hao phí đặt ống dẫn nước dài ≥ 20m;
b) Vận chuyển mẫu nước từ nơi tập kết đến cơ sở phân tích;
c) Vận chuyển mẫu vi sinh, mẫu môi trường từ vị trí lấy mẫu đến cơ sở phân tích;
d) Vận chuyển nhân công, vật liệu, dụng cụ và máy móc thiết bị từ đơn vị đến vùng khảo sát đo đạc và ngược lại;
đ) Vệ sinh môi trường;
e) In ấn sản phẩm, nhân bộ và bàn giao tài liệu.
2.2. Điều kiện áp dụng và hệ số điều chỉnh
Giếng khoan đường kính nhỏ là giếng khoan có đường kính ≤ 76mm.
a) Điều kiện áp dụng
- Ngoại nghiệp
Chiều sâu đặt ống dẫn hoặc chiều cao hút đẩy của máy bơm ly tâm từ 0 - 25 mét.
- Nội nghiệp
Thời gian bơm thí nghiệm của 1 điểm bơm < 10 ca.
Khi điều kiện thi công khác với các quy định về điều kiện áp dụng nêu trên, thì định mức lao động, định mức vật liệu, dụng cụ và thiết bị được điều chỉnh theo các hệ số điều chỉnh dưới đây. Cách tính mức được quy định và hướng dẫn áp dụng tại Mục 6, Phần I của Thông tư này.
b) Các hệ số điều chỉnh
- Ngoại nghiệp
Bảng 198. Hệ số điều chỉnh theo chiều đặt ống dẫn nước hoặc máy bơm (Kcs)
|
TT |
Chiều đặt ống dẫn nước hoặc máy bơm (m) |
Kcs |
|---|---|---|
|
1 |
0 - 25 |
1,00 |
|
2 |
> 25 |
1,25 |
Bảng 199. Hệ số điều chỉnh theo động cơ máy bơm (Kđc)
|
TT |
Động cơ máy bơm |
Kđc |
|---|---|---|
|
1 |
Động cơ điện |
1,00 |
|
2 |
Động cơ diesel |
1,12 |
- Nội nghiệp
Bảng 200. Hệ số điều chỉnh mức thời gian nội nghiệp theo thời gian bơm thí nghiệm (Ktg)
|
TT |
Thời gian bơm thí nghiệm |
Ktg |
|---|---|---|
|
1 |
< 10 ca |
1,00 |
|
2 |
≥ 10 ca |
1,23 |
3. Định biên lao động
Bảng 201. Định biên lao động công tác bơm nước thí nghiệm giếng khoan đường kính nhỏ
|
TT |
Nội dung công việc |
Định biên |
|||
|---|---|---|---|---|---|
|
ĐTV4 |
KTV5 |
CN2 (N3) |
Nhóm |
||
|
I |
Ngoại nghiệp |
|
|
|
|
|
1 |
Lắp đặt - tháo dỡ thiết bị bơm |
1 |
1 |
1 |
3 |
|
2 |
Tiến hành bơm nước thí nghiệm |
1 |
1 |
1 |
3 |
|
3 |
Đo hồi phục sau khi bơm |
1 |
1 |
1 |
3 |
|
II |
Nội nghiệp |
1 |
1 |
- |
2 |
4. Định mức lao động
Bảng 202. Định mức lao động bơm nước thí nghiệm giếng khoan đường kính nhỏ
ĐVT: Công nhóm
|
TT |
Nội dung công việc |
ĐVT |
Định mức |
|---|---|---|---|
|
I |
Ngoại nghiệp |
|
|
|
1 |
Lắp đặt - tháo dỡ thiết |
|
|
|
1.1 |
Động cơ điện |
1 lần lắp đặt - tháo dỡ |
1,10 |
|
1.2 |
Động cơ diesel |
1 lần lắp đặt - tháo dỡ |
1,25 |
|
2 |
Tiến hành bơm nước thí |
1 ca |
1,00 |
|
3 |
Đo hồi phục sau khi bơm |
1 ca |
0,9 |
|
II |
Nội nghiệp |
|
|
|
|
Thời gian bơm tại 1 điểm bơm thí nghiệm < 10 ca |
Điểm |
5 |
IV.3.2. Định mức thiết bị
Bảng 203. Định mức thiết bị bơm nước thí nghiệm giếng khoan đường kính nhỏ
ĐVT: ca/ca thí nghiệm
|
TT |
Danh mục thiết bị |
ĐVT |
Thời hạn |
Định mức |
||
|---|---|---|---|---|---|---|
|
Ngoại nghiệp |
Nội nghiệp |
|||||
|
Tiến hành bơm |
Đo hồi phục |
|||||
|
1 |
Bơm bằng máy bơm chìm MP1 hoặc tương đương |
Cái |
96 |
1,00 |
- |
- |
|
2 |
Máy tính xách tay - 0,04KW |
Cái |
60 |
0,60 |
0,60 |
- |
|
3 |
Điều hòa 2 chiều 12000 BTU - 2,2 KW |
Bộ |
96 |
- |
- |
0,89 |
|
4 |
Máy Photocopy - 1KW |
Cái |
96 |
- |
- |
0,89 |
|
5 |
Dầu diesel |
Kg |
|
3,00 |
- |
- |
|
6 |
Điện năng |
KW |
|
8,60 |
0,20 |
23,92 |
IV.3.3. Định mức dụng cụ
1. Ngoại nghiệp
Bảng 204. Định mức dụng cụ lắp đặt - tháo dỡ thiết bị bơmgiếng khoan đường kính nhỏ
ĐVT: ca/1 lần lắp đặt - tháo dỡ
|
TT |
Danh mục dụng cụ |
ĐVT |
Thời hạn (tháng) |
Định mức |
|---|---|---|---|---|
|
1 |
Clê các loại |
Bộ |
36 |
0,64 |
|
2 |
Cưa gỗ |
Cái |
24 |
0,64 |
|
3 |
Đồng hồ bấm giây |
Cái |
36 |
0,64 |
|
4 |
Bộ dụng cụ cơ khí |
Bộ |
36 |
0,64 |
|
5 |
Giầy BHLĐ |
Đôi |
6 |
2,56 |
|
6 |
Khoan điện |
Cái |
60 |
0,64 |
|
7 |
Kính BHLĐ |
Cái |
12 |
2,56 |
|
8 |
Mũ BHLĐ |
Cái |
12 |
2,56 |
|
9 |
Mũi khoan kim loại |
Bộ |
24 |
0,64 |
|
10 |
Quần áo BHLĐ |
Bộ |
12 |
2,56 |
|
11 |
Quần áo mưa |
Bộ |
12 |
2,56 |
|
12 |
Tất chống vắt |
Đôi |
6 |
2,56 |
|
13 |
Ủng BHLĐ |
Đôi |
12 |
2,56 |
|
14 |
Điện năng |
KW |
|
10,75 |
|
15 |
Xà beng |
Cái |
24 |
0,64 |
|
16 |
Dụng cụ khác |
% |
|
5,00 |
Bảng 205. Định mức dụng cụ tiến hành bơm nước thí nghiệm giếng khoan đường kính nhỏ
ĐVT: ca/ca thí nghiệm
|
TT |
Danh mục dụng cụ |
ĐVT |
Thời hạn (tháng) |
Động cơ diesel |
Động cơ điện |
|---|---|---|---|---|---|
|
1 |
Clê các loại |
Bộ |
36 |
0,80 |
0,80 |
|
2 |
Cưa gỗ |
Cái |
24 |
0,80 |
0,80 |
|
3 |
Đồng hồ bấm giây |
Cái |
36 |
0,80 |
0,80 |
|
4 |
Bộ dụng cụ cơ khí |
Bộ |
36 |
0,80 |
0,80 |
|
5 |
Dụng cụ đo mực nước bằng điện |
Cái |
24 |
0,80 |
0,80 |
|
6 |
Giầy BHLĐ |
Đôi |
6 |
3,20 |
3,20 |
|
7 |
Khoan điện |
Cái |
60 |
0,80 |
0,80 |
|
8 |
Kính BHLĐ |
Cái |
12 |
3,20 |
3,20 |
|
9 |
Máy tính bỏ túi |
Cái |
60 |
0,80 |
0,80 |
|
10 |
Mũ BHLĐ |
Cái |
12 |
3,20 |
3,20 |
|
11 |
Mũi khoan kim loại |
Bộ |
24 |
0,80 |
0,80 |
|
12 |
Nhiệt kế |
Cái |
12 |
0,80 |
0,80 |
|
13 |
Quần áo BHLĐ |
Bộ |
12 |
3,20 |
3,20 |
|
14 |
Quần áo mưa |
Bộ |
12 |
3,20 |
3,20 |
|
15 |
Tất chống vắt |
Đôi |
6 |
3,20 |
3,20 |
|
16 |
Thùng định lượng 200 lít |
Cái |
24 |
0,80 |
0,80 |
|
17 |
Ủng BHLĐ |
Đôi |
12 |
3,20 |
3,20 |
|
18 |
Điện năng |
KW |
|
- |
60,48 |
|
19 |
Dầu |
Kg |
|
1,61 |
- |
|
20 |
Xà beng |
Cái |
24 |
0,80 |
0,80 |
|
21 |
Dụng cụ khác |
|
|
5 |
5 |
Bảng 206. Định mức dụng cụ đo hồi phục mực nướcgiếng khoan đường kính nhỏ
ĐVT: ca/ca thí nghiệm
|
TT |
Danh mục dụng cụ |
ĐVT |
Thời hạn (tháng) |
Định mức |
|
|---|---|---|---|---|---|
|
1 |
Clê các loại |
Bộ |
36 |
0,80 |
|
|
2 |
Đồng hồ bấm giây |
Cái |
36 |
0,80 |
|
|
3 |
Bộ dụng cụ cơ khí |
Bộ |
36 |
0,80 |
|
|
4 |
Dụng cụ đo mực nước bằng điện |
Cái |
24 |
0,80 |
|
|
5 |
Giầy BHLĐ |
Đôi |
6 |
2,40 |
|
|
6 |
Kính BHLĐ |
Cái |
12 |
2,40 |
|
|
7 |
Máy tính bỏ túi |
Cái |
60 |
0,80 |
|
|
8 |
Mũ BHLĐ |
Cái |
12 |
2,40 |
|
|
9 |
Nhiệt kế |
Cái |
12 |
0,80 |
|
|
10 |
Quần áo BHLĐ |
Bộ |
12 |
2,40 |
|
|
11 |
Quần áo mưa |
Bộ |
12 |
2,40 |
|
|
12 |
Tất sợi |
Đôi |
6 |
2,40 |
|
|
13 |
Tháp và tời quay tay |
Bộ |
96 |
0,80 |
|
|
14 |
Điện năng |
KW |
|
6,72 |
|
|
15 |
Ủng BHLĐ |
Đôi |
12 |
2,40 |
|
|
16 |
Dụng cụ khác |
% |
|
5 |
|
2. Nội nghiệp
Bảng 207. Định mức dụng cụ bơm nước thí nghiệmgiếng khoan đường kính nhỏ
ĐVT: ca/điểm thí nghiệm
|
TT |
Danh mục dụng cụ |
ĐVT |
Thời hạn (tháng) |
Định mức |
|
1 |
Bàn đóng gáy xoắn khổ A4 |
Cái |
60 |
4,72 |
|
2 |
Bàn làm việc |
Cái |
96 |
9,44 |
|
3 |
Bàn máy vi tính |
Cái |
96 |
9,44 |
|
4 |
Máy ảnh kỹ thuật số |
Cái |
60 |
4,72 |
|
5 |
Máy Fax |
Cái |
60 |
4,72 |
|
6 |
Máy hủy tài liệu |
Cái |
60 |
4,72 |
|
7 |
Máy in A4 - 0,5KW |
Cái |
60 |
4,72 |
|
8 |
Máy tính 0,6KW |
Cái |
60 |
9,44 |
|
9 |
Ổn áp 10A |
Cái |
60 |
4,72 |
|
10 |
Điện năng |
KW |
|
146,7 |
|
11 |
Dụng cụ khác |
% |
|
5 |
IV.3.4. Định mức vật liệu
1. Ngoại nghiệp
1.1. Lắp đặt - tháo dỡ thiết bị bơm
Bảng 208. Định mức vật liệu lắp đặt - tháo dỡ thiết bị bơm giếng khoan đường kính nhỏ
ĐVT: 1 lần lắp đặt - tháo dỡ
|
TT |
Danh mục vật liệu |
ĐVT |
Định mức |
|---|---|---|---|
|
1 |
Bu lông có ê cu và long đen |
Kg |
0,1 |
|
2 |
Gỗ xẻ 22 mm nhóm IV |
M3 |
0,01 |
|
3 |
Nhựa |
Kg |
0,13 |
|
4 |
Vật liệu khác |
% |
8 |
1.2. Tiến hành bơm nước thí nghiệm
Bảng 209. Định mức vật liệu tiến hành bơm nước thí nghiệm giếng khoan đường kính nhỏ
ĐVT: 1 ca thí nghiệm
|
TT |
Danh mục vật liệu |
ĐVT |
Định mức |
|---|---|---|---|
|
1 |
Băng dính cách điện |
Cuộn |
0,3 |
|
2 |
Cáp kỹ thuật cách điện |
Mét |
0,15 |
|
3 |
Đai dẫn đồng hình thang |
Cái |
0,15 |
|
4 |
Dây điện 2mm |
Mét |
1,8 |
|
5 |
Dây gai |
Kg |
0,1 |
|
6 |
Đệm cao su |
Kg |
0,1 |
|
7 |
Đệm nắp bít |
Cái |
0,16 |
|
8 |
Lưỡi cưa |
Cái |
1 |
|
9 |
Ống khí có đầu nối 2’’ - 3’’ |
Mét |
0,10 |
|
10 |
Ống dâng nước có nhíp ben D89-146 mm |
Mét |
0,03 |
|
11 |
Pin đại |
Cục |
0,5 |
|
12 |
Sổ 15 x 20 cm |
Quyển |
0,01 |
|
13 |
Tôn lợp nhà loại III |
M2 |
0,14 |
|
14 |
Vật liệu khác |
% |
8 |
1.3. Đo hồi phục
Bảng 210. Định mức vật liệu 1 ca đo hồi phục bơm nước thí nghiệm giếng khoan đường kính nhỏ
|
TT |
Danh mục vật liệu |
ĐVT |
Định mức |
|
1 |
Bút chì |
Cái |
0,01 |
|
2 |
Dây điện 2mm |
Mét |
0,10 |
|
3 |
Pin đại |
Cục |
0,50 |
|
4 |
Sổ 15 x 20 cm |
Quyển |
0,01 |
|
5 |
Tôn lợp nhà loại III |
M2 |
0,02 |
|
6 |
Vật liệu khác |
% |
8 |
2. Nội nghiệp
Bảng 211. Định mức vật liệu cho công tác bơm nước thí nghiệmgiếng khoan đường kính nhỏ
ĐVT: 1 điểm thí nghiệm
|
TT |
Danh mục vật liệu |
ĐVT |
Định mức |
|---|---|---|---|
|
1 |
Cặp 3 dây |
Cái |
1,00 |
|
2 |
Giấy A4 |
Gam |
0,01 |
|
3 |
Giấy kẻ ly 60 x 80 cm |
Tờ |
1,00 |
|
4 |
Giấy kẻ ngang |
Thếp |
0,10 |
|
5 |
Hộp ghim kẹp |
Hộp |
0,10 |
|
6 |
Mực in laser |
Hộp |
0,003 |
|
7 |
Sổ 15 x 20 cm |
Quyển |
0,10 |
|
8 |
Sổ 30 x 50 cm |
Quyển |
0,10 |
|
9 |
Vật liệu khác |
% |
8 |
IV.4. Bơm nước thí nghiệm chùm
IV.4.1. Định mức lao động
1. Nội dung công việc
1.1. Ngoại nghiệp
a) Lắp đặt - tháo dỡ thiết bị thí nghiệm bơm chùm
- Nhận thiết kế bơm nước thí nghiệm, lĩnh vật liệu, nhiên liệu; bốc xếp vật liệu, nhiên liệu, dụng cụ và trang thiết bị thí nghiệm để vận chuyển từ đơn vị đến điểm thí nghiệm, từ điểm thí nghiệm này đến điểm thí nghiệm khác và về lại đơn vị;
- Liên hệ, làm thủ tục hành chính với chính quyền địa phương và chủ công trình khai thác;
- Dựng tháp, lắp đặt hệ thống chiếu sáng, lắp đặt máy bơm, thả bộ dụng cụ bơm xuống giếng khoan hoặc điểm bơm trung tâm tới độ sâu thiết kế, lắp đặt đường ống dẫn nước, kiểm tra các thiết bị bơm và dụng cụ đo lường. Đưa bộ dụng cụ bơm lên khỏi giếng khoan hay điểm bơm trung tâm, tháo dỡ, thu dọn tháp và các thiết bị bơm, máy phát lực và dụng cụ bơm, đo sau khi hoàn thành công việc;
- Xác định tọa độ công trình;
- Mở và đóng nắp bảo vệ sau khi đo hạ thấp và phục hồi mực nước công trình quan trắc thuộc các tia quan trắc chùm;
- Các công việc chuẩn bị kết thúc khác phục vụ bơm nước thí nghiệm chùm.
b) Tiến hành bơm nước thí nghiệm
- Bơm rửa và bơm thử giếng khoan trung tâm theo yêu cầu kỹ thuật;
- Bơm nước liên tục mỗi một lần hạ thấp mực nước;
- Đo lưu lượng, đo mực nước, nhiệt độ nước và không khí tại giếng khoan trung tâm và đo mực nước, nhiệt độ nước, nhiệt độ không khí tại các lỗ khoan quan trắc trong quá trình bơm;
- Đo hồi phục sau mỗi lần hạ thấp mực nước;
- Chỉnh lý tài liệu bơm;
- Lấy mẫu nước và vận chuyển mẫu về điểm tập kết;
- Kiểm tra hiệu chỉnh và sửa chữa máy móc khi bơm, bảo dưỡng, sửa chữa nhỏ các dụng cụ, thiết bị thí nghiệm.
c) Đo mực nước hồi phục tại giếng khoan trung tâm và các giếng khoan quan sát
Tiến hành đo hồi phục sau khi bơm xong.
d) Phục vụ trong quá trình kiểm tra nghiệm thu sản phẩm.
1.2. Nội nghiệp
a) Hoàn chỉnh tài liệu ngoài trời, vào sổ văn phòng;
b) Tính toán các thông số thí nghiệm;
c) Vẽ đồ thị, biểu đồ thí nghiệm theo quy định, kiểm tra đồ thị, biểu đồ, kết quả tính toán;
d) Viết báo cáo;
đ) Phục vụ trong quá trình kiểm tra nghiệm thu sản phẩm.
2. Phân loại khó khăn
2.1. Những công việc chưa có trong định mức
a) Hao phí đặt ống dẫn nước dài ≥ 20 m;
b) Hao phí xây dựng cầu, trạm các lỗ khoan nghiên cứu quan hệ thủy lực với các nguồn nước sông, hồ, đập;
c) Xây dựng các trạm đo mực nước mặt tại các tia quan sát (mia, cầu công tác, ống đo,...);
d) Chi phí cần cẩu hỗ trợ tháo lắp ống dẫn nước, máy bơm điện chìm khi tổng trọng lượng cột ống/máy bơm ≥ 2.000 kg;
đ) Chi phí vệ sinh môi trường;
e) Vận chuyển nhân công, vật liệu, dụng cụ và trang thiết bị thí nghiệm từ đơn vị đến điểm thí nghiệm, từ điểm thí nghiệm này đến điểm thí nghiệm khác và về lại đơn vị;
g) Vận chuyển mẫu nước, mẫu vi trùng, mẫu môi trường từ nơi lấy mẫu đến cơ sở phân tích;
h) Chi phí đền bù do tác hại của nước xả khi bơm thí nghiệm gây ra (nếu có);
i) In ấn sản phẩm, nhân bộ và bàn giao tài liệu.
2.2. Điều kiện áp dụng và hệ số điều chỉnh
a) Điều kiện áp dụng
- Ngoại nghiệp
Định mức lao động lắp đặt - tháo dỡ thiết bị bơm chùm tại giếng khoan, điểm thí nghiệm trung tâm được xây dựng cho mức đường kính ống dẫn D 130mm có chiều sâu lắp đặt ống dâng từ 26m đến 50m đối với 1 máy bơm nén khí và đường kính 219mm có chiều sâu lắp đặt ống dẫn từ 51 - 100m đối với 2 máy nén khí; máy bơm điện chìm có đường kính 6” (150mm) với chiều sâu lắp đặt từ 51m đến 100m.
- Nội nghiệp
Thời gian bơm thí nghiệm của 1 điểm bơm từ 10 - 20 ca.
Khi điều kiện thi công khác với các quy định về điều kiện áp dụng nêu trên, thì định mức lao động, định mức vật liệu, dụng cụ và thiết bị được điều chỉnh theo các hệ số điều chỉnh dưới đây. Cách tính mức được quy định và hướng dẫn áp dụng tại Mục 6, Phần I của Thông tư này.
b) Các hệ số điều chỉnh
- Ngoại nghiệp
Bảng 212. Hệ số điều chỉnh theo chiều sâu lắp đặt ống dẫn hoặc máy bơm (Kcs)
|
TT |
Chiều sâu lắp đặt (m) |
Kcs |
||
|
1 máy nén khí |
2 máy nén khí |
Điện chìm |
||
|
1 |
0 - 25 |
0,72 |
0,67 |
- |
|
2 |
26 - 50 |
1,00 |
0,87 |
0,65 |
|
3 |
51 - 100 |
1,19 |
1,00 |
0,87 |
|
4 |
101 - 150 |
1,62 |
1,31 |
1,00 |
|
5 |
151 - 300 |
2,33 |
1,90 |
- |
Bảng 213. Hệ số điều chỉnh theo đường kính ống dẫn hoặc máy bơm (Kđk)
|
TT |
Loại máy bơm và đường kính |
Kđk |
|---|---|---|
|
|
Lắp đặt - tháo dỡ thiết bị bơm bằng máy nén khí |
|
|
1 |
Đường kính ống dẫn 91 mm |
0,90 |
|
2 |
Đường kính ống dẫn 110 mm |
0,95 |
|
3 |
Đường kính ống dẫn 130 mm |
1,00 |
|
4 |
Đường kính ống dẫn 150mm |
1,05 |
|
5 |
Đường kính ống dẫn 168 mm |
1,42 |
- Nội nghiệp
Bảng 214. Hệ số điều chỉnh định mức nội nghiệp theo thời gian bơm thí nghiệm (Ktg)
|
TT |
Thời gian bơm thí nghiệm |
Ktg |
|---|---|---|
|
1 |
Thời gian bơm thí nghiệm < 10 ca |
0,81 |
|
2 |
Thời gian bơm thí nghiệm từ 10 - 20 ca |
1,00 |
|
3 |
Thời gian bơm thí nghiệm từ 21 - 40 ca |
1,20 |
|
4 |
Thời gian bơm thí nghiệm từ 41 - 50 ca |
1,58 |
|
5 |
Thời gian bơm thí nghiệm > 50 ca |
1,78 |
Bảng 215. Hệ số điều chỉnh định mức nội nghiệp theo số lượng công trình quan sát trong chùm thí nghiệm (Kqs)
|
Số công trình quan sát tại các tia quan sát trong chùm |
Kqs |
|
n |
1 + 0,25 * n |
3. Định biên lao động
Bảng 216. Định biên lao động ngoại nghiệp bơm nước thí nghiệm chùm
|
TT |
Nội dung công việc |
Định biên lao động |
||||
|---|---|---|---|---|---|---|
|
ĐTV4 |
KTV6 |
CN5 (N3) |
CN3 (N3) |
Nhóm |
||
|
1 |
Lắp đặt - tháo dỡ thiết bị tại giếng khoan, điểm bơm nước trung tâm |
|||||
|
1.1 |
Máy nén khí |
1 |
1 |
2 |
2 |
6 |
|
1.2 |
Máy bơm điện chìm thẳng đứng |
1 |
- |
3 |
2 |
6 |
|
2 |
Tiến hành bơm nước thí nghiệm |
|||||
|
2.1 |
Máy nén khí |
1 |
1 |
1 |
- |
4 |
|
2.2 |
Máy bơm điện chìm thẳng đứng |
1 |
1 |
1 |
- |
4 |
|
3 |
Đo hồi phục mực nước lỗ khoan trung tâm |
1 |
1 |
- |
- |
2 |
Bảng 217. Định biên lao động nội nghiệp bơm nước thí nghiệm chùm
|
Nội dung công việc |
ĐTV4 |
KTV6 |
Nhóm |
|
Bơm nước thí nghiệm chùm |
1 |
1 |
2 |
4. Định mức lao động
Bảng 218. Định mức lao động bơm nước thí nghiệm chùm
ĐVT: Công nhóm
|
TT |
Nội dung công việc |
ĐVT |
Định mức |
|
|---|---|---|---|---|
|
Độ sâu đặt ống dẫn nước hoặc đặt máy bơm (m) |
||||
|
26 - 50 |
51 - 100 |
|||
|
I |
Ngoại nghiệp |
|
|
|
|
1 |
Lắp đặt - tháo dỡ thiết bị bơm |
|||
|
1.1 |
1 máy nén khí tại giếng khoan, điểm thí nghiệm trung tâm đường kính ống dẫn 130 mm |
1 lần lắp đặt - tháo dỡ |
4,5 |
- |
|
1.2 |
Máy bơm điện chìm thẳng đứng đường kính 6" |
- |
3,85 |
|
|
2 |
Tiến hành bơm nước thí nghiệm |
1 ca |
1 |
|
|
3 |
Đo hồi phục mực nước lỗ khoan trung tâm |
|
0,85 |
|
|
II |
Nội nghiệp |
|
|
|
|
1 |
Thời gian bơm thí nghiệm 10 - 20 ca |
1 điểm |
7,26 |
|
Ghi chú: 1. Số ca đo hồi phục của chùm thí nghiệm bằng (=) số ca đo hồi phục của lỗ khoan trung tâm cộng (+) số ca đo hồi phục của các lỗ khoan quan sát có trong chùm thí nghiệm.
2. Trường hợp bơm nước thí nghiệm chùm khi các lỗ khoan quan sát bằng không thì được tính cho công việc thí nghiệm bơm đơn có điều kiện áp dụng tương tự như bơm nước thí nghiệm chùm.
IV.4.2. Định mức thiết bị
1. Ngoại nghiệp
Bảng 219. Định mức thiết bị cho tiến hành bơm thí nghiệm chùm
ĐVT: ca/ca thí nghiệm
|
TT |
Danh mục thiết bị |
ĐVT |
Thời hạn |
Định mức |
|---|---|---|---|---|
|
1.1 |
Máy bơm K- 9M hoặc tương đương |
Cái |
96 |
1,00 |
|
|
Dầu diesel |
kg |
|
75,00 |
|
1.2 |
Bơm điện chìm thẳng đứng |
|
|
|
|
1.2.1 |
Đường kính 4’’ (3KW) |
Cái |
96 |
0,70 |
|
1.2.2 |
Đường kính 6’’ (11KW) |
Cái |
96 |
0,70 |
|
1.2.3 |
Điện năng |
KW |
|
64,68 |
|
2 |
Đo hồi phục |
|
|
|
|
2.1 |
Máy tính xách tay - 0,04KW |
Cái |
60 |
0,60 |
|
2.2 |
Điện năng |
KW |
|
0,20 |
2. Nội nghiệp
Bảng 220. Định mức thiết bị cho công tác văn phòng bơm thí nghiệm chùm
ĐVT: ca/điểm thí nghiệm
|
TT |
Danh mục thiết bị |
ĐVT |
Thời hạn |
Định mức |
|
1 |
Điều hòa 2 chiều 12000 BTU - 2,2 KW |
Bộ |
96 |
4,36 |
|
2 |
Máy Photocopy - 1KW |
Cái |
96 |
4,36 |
|
3 |
Điện năng |
KW |
|
117,20 |
IV.4.3. Định mức dụng cụ
1. Ngoại nghiệp
a) Lắp đặt - tháo dỡ thiết bị bơm
Bảng 221. Định mức dụng cụ lắp đặt - tháo dỡ thiết bị bơm nước thí nghiệm chùm
ĐVT: ca/1 lần lắp đặt - tháo dỡ
|
TT |
Danh mục dụng cụ |
ĐVT |
Thời hạn (tháng) |
Định mức |
|
|---|---|---|---|---|---|
|
Máy nén khí |
Máy bơm điện chìm 6” |
||||
|
1 |
Cáp kỹ thuật cách điện |
Mét |
24 |
15,00 |
30,00 |
|
2 |
Clê các loại |
Bộ |
36 |
3,96 |
3,03 |
|
3 |
Đồng hồ bấm giây |
Cái |
36 |
3,96 |
3,03 |
|
4 |
Giầy BHLĐ |
Đôi |
6 |
31,68 |
24,26 |
|
5 |
Khoan điện |
Cái |
60 |
3,96 |
3,03 |
|
6 |
Kính BHLĐ |
Cái |
12 |
31,68 |
24,26 |
|
7 |
Mũ BHLĐ |
Cái |
12 |
31,68 |
24,26 |
|
8 |
Đồng hồ bấm giây |
Cái |
36 |
3,96 |
3,03 |
|
9 |
Quần áo BHLĐ |
Bộ |
12 |
31,68 |
24,26 |
|
10 |
Quần áo mưa |
Bộ |
12 |
31,68 |
24,26 |
|
11 |
Tất chống vắt |
Đôi |
6 |
31,68 |
24,26 |
|
12 |
Tháp và tời quay tay |
Bộ |
96 |
3,96 |
3,03 |
|
13 |
Điện năng |
KW |
|
66,53 |
50,90 |
|
14 |
Ủng BHLĐ |
Đôi |
12 |
31,68 |
24,26 |
|
15 |
Dụng cụ khác |
% |
|
5 |
5 |
b) Tiến hành bơm nước thí nghiệm
Bảng 222. Định mức dụng cụ tiến hành bơm nước thí nghiệm chùm
ĐVT: ca/ca thí nghiệm
|
TT |
Danh mục dụng cụ |
ĐVT |
Thời hạn (tháng) |
Định mức |
|
|---|---|---|---|---|---|
|
Máy nén khí |
Máy bơm điện chìm 6” |
||||
|
1 |
Cáp kỹ thuật cách điện |
Mét |
24 |
15,00 |
|
|
2 |
Clê các loại |
Bộ |
36 |
0,80 |
0,80 |
|
3 |
Cưa gỗ |
Cái |
24 |
0,80 |
0,80 |
|
4 |
Đồng hồ bấm giây |
Cái |
36 |
0,80 |
0,80 |
|
5 |
Bộ dụng cụ cơ khí |
Bộ |
36 |
0,80 |
0,80 |
|
6 |
Dụng cụ đo mực nước bằng điện |
Cái |
24 |
0,80 |
0,80 |
|
7 |
Giầy BHLĐ |
Đôi |
6 |
3,20 |
3,20 |
|
8 |
Khoan điện |
Cái |
60 |
0,80 |
0,80 |
|
9 |
Kính BHLĐ |
Cái |
12 |
3,20 |
3,20 |
|
10 |
Máy tính bỏ túi |
Cái |
60 |
0,80 |
0,80 |
|
11 |
Mũ BHLĐ |
Cái |
12 |
3,20 |
3,20 |
|
12 |
Mũi khoan kim loại |
Bộ |
24 |
0,80 |
0,80 |
|
13 |
Nhiệt kế |
Cái |
12 |
0,80 |
0,80 |
|
14 |
Quần áo BHLĐ |
Bộ |
12 |
3,20 |
3,20 |
|
15 |
Quần áo mưa |
Bộ |
12 |
3,20 |
3,20 |
|
16 |
Tất chống vắt |
Đôi |
6 |
3,20 |
3,20 |
|
17 |
Tháp và tời quay tay |
Bộ |
96 |
0,80 |
0,80 |
|
18 |
Thùng định lượng 200 lít |
Cái |
36 |
0,80 |
0,80 |
|
19 |
Ủng BHLĐ |
Đôi |
12 |
3,20 |
3,20 |
|
20 |
Điện năng |
KW |
|
20,16 |
6,72 |
|
21 |
Xà beng |
Cái |
24 |
0,80 |
0,80 |
|
22 |
Dụng cụ khác |
% |
|
5,00 |
5,00 |
c) Đo hồi phục mực nước
Bảng 223. Định mức dụng cụ đo hồi phục mực nước
ĐVT: ca/ca thí nghiệm
|
TT |
Danh mục dụng cụ |
ĐVT |
Thời hạn (tháng) |
Định mức |
|---|---|---|---|---|
|
1 |
Clê các loại |
Bộ |
36 |
0,80 |
|
2 |
Đồng hồ bấm giây |
Cái |
36 |
0,80 |
|
3 |
Dụng cụ đo mực nước bằng điện |
Cái |
24 |
0,80 |
|
4 |
Giầy BHLĐ |
Đôi |
6 |
3,20 |
|
5 |
Mũ BHLĐ |
Cái |
12 |
3,20 |
|
6 |
Quần áo BHLĐ |
Bộ |
12 |
3,20 |
|
7 |
Quần áo mưa |
Bộ |
12 |
3,20 |
|
8 |
Tất chống vắt |
Đôi |
6 |
3,20 |
|
9 |
Tháp và tời quay tay |
Bộ |
96 |
0,80 |
|
10 |
Điện năng |
kW |
|
6,72 |
|
11 |
Ủng BHLĐ |
Đôi |
12 |
3,20 |
|
12 |
Dụng cụ khác |
% |
|
5,00 |
2. Nội nghiệp
Bảng 224. Định mức dụng cụ nội nghiệp công tác bơm nước thí nghiệm chùm
ĐVT: ca/điểm thí nghiệm
|
TT |
Danh mục dụng cụ |
ĐVT |
Thời hạn (tháng) |
Định mức |
|---|---|---|---|---|
|
1 |
Bàn đóng gáy xoắn khổ A4 |
Cái |
60 |
2,90 |
|
2 |
Bàn làm việc |
Cái |
96 |
11,62 |
|
3 |
Bàn máy vi tính |
Cái |
96 |
11,62 |
|
4 |
Máy ảnh kỹ thuật số |
Cái |
60 |
2,90 |
|
5 |
Máy Fax |
Cái |
60 |
2,90 |
|
6 |
Máy hủy tài liệu |
Cái |
60 |
2,90 |
|
7 |
Máy in A4 - 0,5KW |
Cái |
60 |
2,90 |
|
8 |
Máy tính 0,6KW |
Cái |
60 |
11,62 |
|
9 |
Ổn áp 10A |
Cái |
60 |
2,90 |
|
10 |
Điện năng |
KW |
|
119,46 |
|
11 |
Dụng cụ khác |
% |
|
5,00 |
IV.4.4. Định mức vật liệu
1. Ngoại nghiệp
a) Lắp đặt - tháo dỡ thiết bị bơm
Bảng 225. Định mức vật liệu lắp đặt - tháo dỡ thiết bị bơm
ĐVT: 1 lần lắp đặt - tháo dỡ
|
TT |
Danh mục vật liệu |
ĐVT |
Định mức |
|
|---|---|---|---|---|
|
Máy nén khí |
Máy bơm điện chìm thẳng đứng |
|||
|
1 |
Bu lông có ê cu và long đen |
Kg |
0,02 |
0,05 |
|
2 |
Đệm cao su |
Kg |
- |
0,02 |
|
3 |
Đinh |
Kg |
0,06 |
0,03 |
|
4 |
Đinh đỉa 15-20 cm |
Kg |
- |
0,13 |
|
5 |
Gỗ xẻ 22 mm nhóm IV |
M3 |
0,20 |
0,01 |
|
6 |
Lưỡi cưa |
Cái |
0,10 |
0,20 |
|
7 |
Nhựa |
Kg |
0,16 |
- |
|
8 |
Sơn trắng |
Kg |
0,03 |
- |
|
9 |
Thép tấm dày 3 mm |
Kg |
0,10 |
- |
|
10 |
Xơ gai (xơ đay) |
Kg |
0,05 |
0,02 |
|
11 |
Vật liệu khác |
% |
8 |
8 |
b) Tiến hành bơm nước thí nghiệm
Bảng 226. Định mức vật liệu tiến hành bơm nước thí nghiệm chùm
ĐVT: 1 ca thí nghiệm
|
TT |
Danh mục vật liệu |
ĐVT |
Định mức |
|
|---|---|---|---|---|
|
Máy nén khí |
Máy bơm điện chìm thẳng đứng |
|||
|
1 |
Đai dẫn đồng hình thang |
Mét |
0,03 |
- |
|
2 |
Đất đèn |
Kg |
0,03 |
0,01 |
|
3 |
Dây điện 2mm |
Mét |
- |
0,15 |
|
4 |
Dây gai |
Kg |
0,01 |
0,01 |
|
5 |
Đệm nắp bít |
Cái |
0,00 |
0,01 |
|
6 |
Ống khí có đầu nối 2’’ - 3’’ |
Mét |
0,03 |
- |
|
7 |
Ống mềm bơm hút |
Mét |
0,10 |
0,08 |
|
8 |
Pin đại |
Cục |
0,02 |
0,02 |
|
9 |
Que hàn |
Kg |
0,01 |
- |
|
10 |
Sổ 15 x 20 cm |
Quyển |
0,01 |
0,01 |
|
11 |
Tôn lợp nhà loại III |
M2 |
0,02 |
0,02 |
|
12 |
Vòng bít bằng da |
Cái |
- |
0,01 |
|
13 |
Cần đo, cần hơi đường kính D21 - 27mm |
Mét |
0,03 |
- |
|
14 |
Ống dâng có nhíp ben D33 - D50mm |
Mét |
0,03 |
- |
|
15 |
Ống dâng có nhíp ben D89 - D146mm |
Mét |
0,04 |
- |
|
16 |
Vật liệu khác |
% |
8 |
8 |
c) Đo hồi phục
Bảng 227. Định mức vật liệu đo hồi phục bơm nước thí nghiệm chùm
ĐVT: ca đo hồi phục
|
TT |
Danh mục vật liệu |
ĐVT |
Định mức |
|---|---|---|---|
|
1 |
Bút chì |
Cái |
0,10 |
|
2 |
Dây điện 2mm |
Mét |
0,10 |
|
3 |
Pin đại |
Cục |
0,50 |
|
4 |
Sổ 15 x 20 cm |
Quyển |
0,10 |
|
5 |
Tôn lợp nhà loại III |
M2 |
0,02 |
|
6 |
Vật liệu khác |
% |
8 |
2. Nội nghiệp
Bảng 228. Định mức vật liệu cho công tác bơm nước thí nghiệm chùm
ĐVT: 1 điểm thí nghiệm
|
TT |
Danh mục vật liệu |
ĐVT |
Định mức |
|---|---|---|---|
|
1 |
Cặp 3 dây |
Cái |
1,00 |
|
2 |
Giấy A4 |
Gam |
0,01 |
|
3 |
Giấy kẻ ly 60 x 80 cm |
Tờ |
1,00 |
|
4 |
Hộp ghim kẹp |
Hộp |
0,01 |
|
5 |
Mực in laser |
Hộp |
0,001 |
|
6 |
Sổ 15 x 20 cm |
Quyển |
0,01 |
|
7 |
Sổ 30 x 50 cm |
Quyển |
0,01 |
|
8 |
Vật liệu khác |
% |
8 |
IV.5. Bơm nước thí nghiệm giật cấp
IV.5.1. Định mức lao động
1. Nội dung công việc
1.1. Ngoại nghiệp
a) Lắp đặt - tháo dỡ thiết bị bơm
- Nhận thiết kế bơm nước thí nghiệm, lĩnh vật liệu, nhiên liệu;
- Bốc xếp vật liệu, nhiên liệu, dụng cụ và trang thiết bị thí nghiệm để vận chuyển từ điểm tập kết đến nơi thí nghiệm và từ nơi thí nghiệm về nơi tập kết;
- Liên hệ, làm thủ tục hành chính với chính quyền địa phương và chủ công trình khai thác;
- Xác định tọa độ công trình;
- Lắp đặt máy bơm, thả bộ dụng cụ bơm xuống giếng tới độ sâu thiết kế, lắp đặt đường ống dẫn nước, kiểm tra các thiết bị bơm và dụng cụ đo lường;
- Đưa bộ dụng cụ bơm lên khỏi giếng, tháo dỡ, thu dọn thiết bị bơm, máy phát lực và dụng cụ bơm, đo và các công việc chuẩn bị kết thúc khác phục vụ bơm nước thí nghiệm giật cấp.
b) Tiến hành bơm nước thí nghiệm
- Bơm thí nghiệm trên 3 cấp lưu lượng;
- Điều chỉnh bộ dụng cụ bơm (nâng hạ, thiết kế lại) trước khi chuyển sang lần hạ thấp mực nước khác;
- Đo lưu lượng, mực nước, nhiệt độ nước và không khí trong quá trình bơm;
- Lấy mẫu nước;
- Lấy tài liệu thí nghiệm, chỉnh lý tài liệu tại thực địa, điều chỉnh thông số bơm theo yêu cầu thiết kế bơm nước thí nghiệm;
- Kiểm tra hiệu chỉnh và sửa chữa máy móc khi bơm; theo dõi và chăm sóc thiết bị bơm nước đang hoạt động; bảo dưỡng, sửa chữa nhỏ các dụng cụ, thiết bị thí nghiệm;
- Vận chuyển mẫu từ nơi lấy về điểm tập kết.
c) Đo hồi phục sau khi bơm;
d) Phục vụ trong quá trình kiểm tra nghiệm thu sản phẩm.
1.2. Nội nghiệp
a) Hoàn chỉnh tài liệu thực địa, vào sổ văn phòng;
b) Tính các thông số thí nghiệm; vẽ đồ thị, biểu đồ thí nghiệm theo quy định;
c) Kiểm tra các đồ thị, biểu đồ, kết quả tính toán;
d) Viết báo cáo;
đ) Phục vụ trong quá trình kiểm tra nghiệm thu sản phẩm.
2. Phân loại khó khăn
2.1. Những công việc chưa có trong định mức
a) Hao phí đặt ống dẫn nước dài ≥ 20m;
b) Vận chuyển mẫu vi sinh, mẫu môi trường từ nơi lấy đến cơ sở phân tích;
c) Vận chuyển mẫu nước từ nơi tập kết đến cơ sở phân tích;
d) Vận chuyển nhân công, vật liệu, dụng cụ và máy móc thiết bị từ đơn vị đến vị trí bơm thí nghiệm và ngược lại;
đ) Vệ sinh môi trường;
e) In ấn sản phẩm, nhân bộ và bàn giao tài liệu.
2.2. Điều kiện áp dụng và hệ số điều chỉnh
a) Điều kiện áp dụng
- Ngoại nghiệp
Định mức lao động lắp đặt - tháo dỡ thiết bị bơm nêu trên được xây dựng cho mức đường kính ống dâng D 130mm, chiều sâu lắp đặt ống dâng từ 26m đến 50m đối với máy bơm nén khí, hoặc máy bơm điện chìm có đường kính 6” (150mm) chiều sâu lắp đặt từ 51m đến 100m.
- Nội nghiệp
Trên 3 cấp lưu lượng.
Khi điều kiện thi công khác với các quy định về điều kiện áp dụng nêu trên, thì định mức lao động, định mức vật liệu, dụng cụ và thiết bị được điều chỉnh theo các hệ số điều chỉnh dưới đây. Cách tính mức được quy định và hướng dẫn áp dụng tại Mục 6, Phần I của Thông tư này.
b) Các hệ số điều chỉnh
- Ngoại nghiệp
Bảng 229. Hệ số điều chỉnh theo chiều sâu lắp đặt ống dẫn hoặc máy bơm (Kcs)
|
TT |
Chiều sâu lắp đặt (m) |
Kcs |
|
Bơm bằng máy nén khí |
||
|
1 |
0 - 25 |
0,72 |
|
2 |
26 - 50 |
1 |
|
3 |
51 - 100 |
1,2 |
|
4 |
101 - 150 |
1,76 |
|
5 |
151 - 300 |
2,38 |
Bảng 230. Hệ số điều chỉnh theo đường kính ống dẫn hoặc máy bơm (Kđk)
|
TT |
Loại máy bơm và đường kính |
Kđk |
|---|---|---|
|
|
Lắp đặt - tháo dỡ thiết bị bơm dâng bằng máy nén khí |
|
|
1 |
Đường kính ống dẫn 91 mm |
0,90 |
|
2 |
Đường kính ống dẫn 110 mm |
0,95 |
|
3 |
Đường kính ống dẫn 130 mm |
1,00 |
|
4 |
Đường kính ống dẫn 150mm |
1,05 |
|
5 |
Đường kính ống dẫn 168 mm |
1,42 |
- Nội nghiệp
Bảng 231. Hệ số điều chỉnh định mức nội nghiệp theo số cấp lưu lượng (Kcg)
|
TT |
Thời gian bơm thí nghiệm |
Ktg |
|
1 |
Số cấp giật ≤ 3 cấp lưu lượng |
0,81 |
|
2 |
Số cấp giật > 3 cấp lưu lượng |
1,00 |
3. Định biên lao động
Bảng 232. Định biên lao động bơm nước thí nghiệm giật cấp
|
TT |
Nội dung công việc |
Định biên lao động |
||||
|---|---|---|---|---|---|---|
|
ĐTV4 |
KTV5 |
CN6 (N3) |
CN5 (N3) |
Nhóm |
||
|
I |
Ngoại nghiệp |
|
|
|
|
|
|
1 |
Lắp đặt - tháo dỡ thiết bị |
1 |
- |
3 |
2 |
6 |
|
2 |
Tiến hành bơm nước thí nghiệm |
1 |
1 |
1 |
1 |
4 |
|
3 |
Đo hồi phục mực nước |
1 |
1 |
1 |
- |
3 |
|
II |
Nội nghiệp |
1 |
1 |
- |
- |
2 |
4. Định mức lao động
Bảng 233. Định mức lao động bơm nước thí nghiệm giật cấp
ĐVT: Công nhóm
|
TT |
Nội dung công việc |
ĐVT |
Độ sâu đặt ống dẫn nước hoặc đặt máy bơm (m) |
||
|---|---|---|---|---|---|
|
0 - 25 |
26 - 50 |
51 - 100 |
|||
|
I |
Ngoại nghiệp |
|
|
|
|
|
1 |
Lắp đặt - tháo dỡ thiết bị bơm đường kính ống dẫn 130 mm |
1 lần lắp đặt - tháo dỡ |
- |
4,10 |
- |
|
2 |
Tiến hành bơm nước thí nghiệm |
1 Ca |
1 |
1 |
1 |
|
3 |
Đo hồi phục |
1 Ca |
1 |
1 |
1 |
|
II |
Nội nghiệp |
Điểm |
7 |
7 |
7 |
IV.5.2. Định mức thiết bị
1. Ngoại nghiệp
Bảng 234. Định mức thiết bị bơm nước thí nghiệm giật cấp
ĐVT: ca/1 mẫu
|
TT |
Danh mục thiết bị |
ĐVT |
Thời hạn (tháng) |
Ngoại nghiệp |
|---|---|---|---|---|
|
1 |
Tiến hành bơm nước |
|
|
|
|
1.1 |
Máy bơm XATS 156 D hoặc tương đương |
Cái |
96 |
1 |
|
1.2 |
Dầu diesel |
Kg |
|
120 |
|
2 |
Đo hồi phục |
|
|
|
|
2.1 |
Máy tính xách tay - 0,04KW |
Cái |
60 |
1 |
|
2.2 |
Điện năng |
KW |
|
0,34 |
2. Nội nghiệp
|
TT |
Danh mục thiết bị |
ĐVT |
Thời hạn |
Nội nghiệp |
|
1 |
Điều hòa 2 chiều 12000 BTU - 2,2 KW |
Bộ |
96 |
1,77 |
|
2 |
Máy Photocopy - 1KW |
Cái |
96 |
1,77 |
|
3 |
Điện năng |
KW |
|
47,58 |
IV.5.3. Định mức dụng cụ
1. Ngoại nghiệp
Bảng 235. Định mức dụng cụ lắp đặt - tháo dỡ thiết bị bơm
ĐVT: ca/1 lần lắp đặt - tháo dỡ
|
TT |
Danh mục dụng cụ |
ĐVT |
Thời hạn (tháng) |
Định mức |
|---|---|---|---|---|
|
1 |
Clê các loại |
Bộ |
36 |
3,28 |
|
2 |
Đồng hồ bấm giây |
Cái |
36 |
3,28 |
|
3 |
Giầy BHLĐ |
Đôi |
6 |
22,96 |
|
4 |
Khoan điện |
Cái |
60 |
3,28 |
|
5 |
Kính BHLĐ |
Cái |
12 |
22,96 |
|
6 |
Mũ BHLĐ |
Cái |
12 |
22,96 |
|
7 |
Mũi khoan kim loại |
Bộ |
24 |
3,28 |
|
8 |
Quần áo BHLĐ |
Bộ |
12 |
22,96 |
|
9 |
Quần áo mưa |
Bộ |
12 |
22,96 |
|
10 |
Tất chống vắt |
Đôi |
6 |
22,96 |
|
11 |
Tháp và tời quay tay |
Bộ |
96 |
3,28 |
|
12 |
Thùng định lượng 200 lít |
Cái |
36 |
3,28 |
|
13 |
Điện năng |
KW |
|
27,55 |
|
14 |
Ủng BHLĐ |
Đôi |
12 |
22,96 |
|
15 |
Dụng cụ khác |
% |
|
5,00 |
Bảng 236. Định mức dụng cụ tiến hành bơm nước thí nghiệm
ĐVT: ca/ca thí nghiệm
|
TT |
Danh mục dụng cụ |
ĐVT |
Thời hạn (tháng) |
Định mức |
|---|---|---|---|---|
|
1 |
Clê các loại |
Bộ |
36 |
0,80 |
|
2 |
Cưa gỗ |
Cái |
36 |
0,80 |
|
3 |
Đồng hồ bấm giây |
Cái |
36 |
0,80 |
|
4 |
Bộ dụng cụ cơ khí |
Bộ |
36 |
0,80 |
|
5 |
Dụng cụ đo mực nước bằng điện |
Cái |
24 |
0,80 |
|
6 |
Giầy BHLĐ |
Đôi |
6 |
3,20 |
|
7 |
Khoan điện |
Cái |
60 |
0,80 |
|
8 |
Kính BHLĐ |
Cái |
12 |
3,20 |
|
9 |
Máy tính bỏ túi |
Cái |
60 |
0,80 |
|
10 |
Mũ BHLĐ |
Cái |
12 |
3,20 |
|
11 |
Mũi khoan kim loại |
Bộ |
24 |
0,80 |
|
12 |
Nhiệt kế |
Cái |
12 |
0,80 |
|
13 |
Quần áo BHLĐ |
Bộ |
12 |
3,20 |
|
14 |
Quần áo mưa |
Bộ |
12 |
3,20 |
|
15 |
Tất chống vắt |
Đôi |
6 |
3,20 |
|
16 |
Tháp và tời quay tay |
Bộ |
96 |
0,80 |
|
17 |
Thùng định lượng 200 lít |
Cái |
36 |
0,80 |
|
18 |
Ủng BHLĐ |
Đôi |
12 |
3,20 |
|
19 |
Điện năng |
KW |
|
6,72 |
|
20 |
Xà beng |
Cái |
24 |
0,80 |
|
21 |
Dụng cụ khác |
% |
|
5,00 |
Bảng 237. Định mức dụng cụ đo hồi phục mực nước
ĐVT: ca/ca thí nghiệm
|
TT |
Danh mục dụng cụ |
ĐVT |
Thời hạn (tháng) |
Định mức |
|---|---|---|---|---|
|
1 |
Clê các loại |
Bộ |
36 |
0,80 |
|
2 |
Đồng hồ bấm giây |
Cái |
36 |
0,80 |
|
3 |
Dụng cụ đo mực nước bằng điện |
Cái |
24 |
0,80 |
|
4 |
Giầy BHLĐ |
Đôi |
6 |
2,40 |
|
5 |
Mũ BHLĐ |
Cái |
12 |
2,40 |
|
6 |
Quần áo BHLĐ |
Bộ |
12 |
2,40 |
|
7 |
Quần áo mưa |
Bộ |
12 |
2,40 |
|
8 |
Tất chống vắt |
Đôi |
6 |
2,40 |
|
9 |
Tháp và tời quay tay |
Bộ |
96 |
0,80 |
|
10 |
Điện năng |
KW |
|
6,72 |
|
11 |
Ủng BHLĐ |
Đôi |
12 |
2,40 |
|
12 |
Dụng cụ khác |
% |
|
5,00 |
2. Nội nghiệp
Bảng 238. Định mức dụng cụ công tác nội nghiệp bơm giật cấp
ĐVT: ca/điểm thí nghiệm
|
TT |
Danh mục dụng cụ |
ĐVT |
Thời hạn (tháng) |
Định mức |
|---|---|---|---|---|
|
1 |
Bàn đóng gáy xoắn khổ A4 |
Cái |
60 |
4,72 |
|
2 |
Bàn làm việc |
Cái |
96 |
14,16 |
|
3 |
Bàn máy vi tính |
Cái |
96 |
14,16 |
|
4 |
Máy Fax |
Cái |
60 |
4,72 |
|
5 |
Máy hủy tài liệu |
Cái |
60 |
4,72 |
|
6 |
Máy in A4 - 0,5KW |
Cái |
60 |
4,72 |
|
7 |
Máy tính 0,6KW |
Cái |
60 |
14,16 |
|
8 |
Ổn áp 10A |
Cái |
60 |
4,72 |
|
9 |
Điện năng |
KW |
|
170,49 |
|
10 |
Dụng cụ khác |
% |
|
5,00 |
IV.5.4. Định mức vật liệu
1. Ngoại nghiệp
a) Lắp đặt - tháo dỡ thiết bị bơm
Bảng 239. Định mức vật liệu lắp đặt - tháo dỡ thiết bị bơm
ĐVT: 1 lần lắp đặt - tháo dỡ
|
TT |
Danh mục vật liệu |
ĐVT |
Định mức |
|---|---|---|---|
|
1 |
Bu lông có ê cu và long đen |
Kg |
0,02 |
|
2 |
Đinh |
Kg |
0,05 |
|
3 |
Đinh đỉa 15 - 20 cm |
Cái |
10,00 |
|
4 |
Gỗ xẻ 22 mm nhóm IV |
M3 |
0,01 |
|
5 |
Gỗ xẻ 22 mm nhóm IV |
M3 |
0,02 |
|
6 |
Lưỡi cưa |
Cái |
0,10 |
|
7 |
Nhựa |
Kg |
0,16 |
|
8 |
Sơn trắng |
Kg |
0,03 |
|
9 |
Thép tấm dày 3 mm |
Kg |
0,10 |
|
10 |
Dây gai |
Kg |
0,10 |
|
11 |
Vật liệu khác |
% |
5 |
b) Tiến hành bơm nước thí nghiệm
Bảng 240. Định mức vật liệu tiến hành bơm nước thí nghiệm giật cấp
ĐVT: 1 ca thí nghiệm
|
TT |
Danh mục vật liệu |
ĐVT |
Định mức |
|---|---|---|---|
|
1 |
Đai dẫn đồng hình thang |
Mét |
0,004 |
|
2 |
Đất đèn |
Kg |
0,030 |
|
3 |
Dây gai |
Kg |
0,007 |
|
4 |
Đệm nắp bít |
Cái |
0,004 |
|
5 |
Lưỡi cưa |
Cái |
0,020 |
|
6 |
Ống khí có đầu nối 2’’ - 3’’ |
Mét |
0,002 |
|
7 |
Pin đại |
Cục |
0,020 |
|
8 |
Que hàn |
Kg |
0,006 |
|
9 |
Sổ 15 x 20 cm |
Quyển |
0,003 |
|
10 |
Tôn lợp nhà loại III |
M2 |
0,015 |
|
11 |
Đường kính cần hơi, cần đo D21 - 50mm |
Mét |
0,03 |
|
12 |
Ống dâng có nhíp ben đường kính D33 - 50mm |
Mét |
0,03 |
|
13 |
Ống dâng có nhíp ben đường kính D89 - 146mm |
Mét |
0,04 |
|
14 |
Vật liệu khác |
% |
8 |
c) Đo hồi phục
Bảng 241. Định mức vật liệu đo hồi phục mực nước
ĐVT: Ca đo hồi phục
|
TT |
Danh mục vật liệu |
ĐVT |
Định mức |
|
1 |
Bút chì |
Cái |
0,10 |
|
2 |
Dây điện 2mm |
Mét |
1,00 |
|
3 |
Pin đại |
Cục |
0,50 |
|
4 |
Sổ 15 x 20 cm |
Quyển |
0,10 |
|
5 |
Tôn lợp nhà loại III |
M2 |
0,14 |
|
6 |
Vật liệu khác |
% |
8 |
2. Nội nghiệp
Bảng 242. Định mức vật liệu nội nghiệp công tác bơm nước thí nghiệm
ĐVT: 1 điểm thí nghiệm
|
TT |
Danh mục vật liệu |
ĐVT |
Định mức |
|---|---|---|---|
|
1 |
Cặp 3 dây |
Cái |
0,50 |
|
2 |
Giấy A4 |
Gam |
0,01 |
|
3 |
Giấy kẻ ly 60 x 80 cm |
Tờ |
1,00 |
|
4 |
Hộp ghim kẹp |
Hộp |
0,01 |
|
5 |
Mực in laser |
Hộp |
0,001 |
|
6 |
Sổ 15 x 20 cm |
Quyển |
0,01 |
|
7 |
Sổ 30 x 50 cm |
Quyển |
0,01 |
|
8 |
Vật liệu khác |
% |
8 |
V. MỘT SỐ CÔNG VIỆC KHẢO SÁT KHÁC
V.1. Quay camera giếng khoan
V.1.1. Định mức lao động
1. Nội dung công việc
1.1. Vận chuyển trạm camera
a) Kiểm tra an toàn xe và thiết bị trước khi khởi hành;
b) Nạp dầu, mỡ cho xe;
c) Chạy xe cùng thiết bị và tổ quay camera.
1.2. Quay camera
a) Nhận nhiệm vụ; lập tài liệu kỹ thuật; tra nạp nhiên liệu, kiểm tra ô tô, máy móc, thiết bị và dây cáp, vật tư; bốc xếp vật tư, thiết bị lên xe;
b) Thông báo cho phía phụ trách giếng khoan xử lý cho nước trong giếng khoan càng trong càng tốt để chất lượng hình ảnh quay được đạt tốt nhất;
c) Di chuyển đến nơi cần quay; tháo dỡ và sắp xếp máy móc thiết bị. Thùng đựng máy quay camera, máy phát điện, thiết bị ngoại vi và những dụng cụ cần thiết tại nơi khô ráo gần sát giếng khoan. Nơi chọn đặt máy phải có điều kiện quan sát tốt miệng giếng khoan/giếng khoan để điều khiển máy trong quá trình tác nghiệp;
d) Đo tọa độ lỗ khoan/giếng khoan và ghi vào nhật ký/biên bản quay camera;
đ) Lắp ráp máy quay camera;
e) Tiến hành quay camera giếng khoan; nâng thả đầu quay, điều chỉnh vị trí đầu quay cho sát thành giếng khoan tại các vị trí cần quay hoặc tại các vị trí phát hiện khuyết tật, sự cố kỹ thuật của ống vách. Ghi chép, mô tả sơ bộ và đánh dấu vị trí các điểm cần báo cáo;
g) Sau khi quay xong, tắt nguồn ống, đưa camera lên khỏi miệng giếng khoan, tháo các bộ phận cần thiết, lau chùi sạch sẽ bảo dưỡng, để khô ráo rồi cất vào thùng đựng;
h) Tháo dỡ, thu dọn các khối máy; khối ròng rọc;
i) Dọn dẹp hiện trường và di chuyển quay về chỗ ở;
k) Đưa máy quay và đồ đạc lên xe ra về;
l) Kiểm tra hình ảnh trên máy vi tính và chỉnh lý sơ bộ tài liệu quay, kiểm tra các dị thường, xác định chiều sâu, mức độ khuyết tật, sự cố kỹ thuật của ống vách giếng khoan, phân tích sơ bộ các sự cố, in ảnh minh họa sự cố và bổ sung phụ đề (nếu cần thiết);
m) Sao lưu, ghi hình vào đĩa DVD;
n) Báo cáo nhanh kết quả quay camera tại thực địa theo yêu cầu kỹ thuật;
o) Hoàn chỉnh tài liệu quay camera;
p) In ấn sản phẩm, nhân bộ và bàn giao tài liệu.
2. Phân loại khó khăn
2.1. Những công việc chưa có trong định mức
a) Công tác lập báo cáo tổng kết;
b) Vận chuyển nhân công, vật liệu, dụng cụ và máy móc thiết bị từ đơn vị đến vị trí khảo sát đo đạc và ngược lại;
c) Thời gian chờ đợi do phải bơm thông giếng khoan;
d) In ấn sản phẩm, nhân bộ và bàn giao tài liệu.
2.2. Điều kiện áp dụng và hệ số điều chỉnh
a) Điều kiện áp dụng
- Đường kính ống vách của giếng khoan, giếng khoan D ≤ 300 mm;
- Giếng khoan đã được tháo dỡ hết thiết bị bơm, thiết bị quan trắc và các dụng cụ, thiết bị nghiên cứu khác, được làm sạch đến hết độ sâu cần quay camera;
- Nước trong giếng khoan, giếng khoan trong, không nhiễm dầu mỡ, chất thải;
- Khối lượng quay camera được tính từ mặt đất đến hết chiều sâu cần quay hoặc chiều sâu mà máy quay không xuống được;
- Chiều sâu quay camera từ 151m - 300 m; vận chuyển trạm bằng ô tô tính cho đường loại II.
Khi điều kiện thi công khác với các quy định về điều kiện áp dụng nêu trên, thì định mức lao động, định mức vật liệu, dụng cụ và thiết bị được điều chỉnh theo các hệ số điều chỉnh dưới đây. Cách tính mức được quy định và hướng dẫn áp dụng tại Mục 6, Phần I của Thông tư này.
b) Các hệ số điều chỉnh
Bảng 243. Hệ số điều chỉnh theo độ sạch của giếng khoan (ĐTV)
|
TT |
Độ sạch của giếng khoan |
ĐTV |
|---|---|---|
|
1 |
Nước giếng khoan sạch, nước trong, không nhiễm váng dầu mỡ, chất thải |
1,00 |
|
2 |
Nước giếng khoan đục, nhiễm váng dầu mỡ, chất thải |
1,20 |
Bảng 244. Hệ số điều chỉnh theo đường kính ống vách giếng khoan (Kđk)
|
TT |
Đường kính ống vách giếng khoan |
Kđk |
|---|---|---|
|
1 |
Đường kính ống vách của giếng khoan ≤ 300mm |
1,00 |
|
2 |
Đường kính ống vách của giếng khoan > 300mm |
1,20 |
Bảng 245. Hệ số điều chỉnh theo chiều sâu giếng khoan quay camera (Kcs)
|
TT |
Chiều sâu giếng khoan quay camera |
Kcs |
|---|---|---|
|
1 |
0 - 150m |
0,89 |
|
2 |
151 - 300m |
1,00 |
|
3 |
301 - 400m |
1,14 |
|
4 |
401 - 500m |
1,34 |
Bảng 246. Hệ số điều chỉnh theo phân loại đường mức thời gian vận chuyển trạm theo loại đường (Kvc)
|
TT |
Phân loại đường [16] |
Kvc |
|---|---|---|
|
1 |
Đường loại I |
0,86 |
|
2 |
Đường loại II |
1,00 |
|
3 |
Đường loại III |
1,19 |
|
4 |
Đường loại IV |
1,98 |
|
5 |
Đường loại V |
2,98 |
3. Định biên lao động
Bảng 247. Định biên lao động quay camera; vận chuyển trạm
|
Nội dung công việc |
Định biên lao động |
|||||
|---|---|---|---|---|---|---|
|
ĐTVC1 |
ĐTV4 |
ĐTV3 |
CN6 (N2) |
LX10 |
Nhóm |
|
|
Quay Camera giếng khoan và vận chuyển trạm |
1 |
1 |
1 |
1 |
1 |
5 |
4. Định mức lao động
Bảng 248. Định mức lao động quay camera giếng khoan; vận chuyển trạm
ĐVT: Công nhóm
|
TT |
Nội dung công việc |
ĐVT |
Định mức |
|---|---|---|---|
|
1 |
Quay camera giếng khoan có chiều sâu 151 - 300m |
1 Giếng khoan |
2,57 |
|
2 |
Vận chuyển trạm bằng ô tô |
100km |
0,55 |
V.1.2. Định mức thiết bị
Bảng 249. Định mức thiết bị quay camera
|
TT |
Danh mục thiết bị |
ĐVT |
Thời hạn (tháng) |
Định mức |
|
I |
Quay camera |
|
|
|
|
1 |
Máy phát điện |
Cái |
96 |
1,39 |
|
2 |
Máy tính xách tay - 0,04KW |
Cái |
60 |
1,39 |
|
3 |
Trạm Camera |
Trạm |
96 |
1,39 |
|
4 |
Máy đo GPS cầm tay |
Cái |
120 |
1,63 |
|
5 |
Điện năng |
KW |
|
0,47 |
|
II |
Vận chuyển trạm |
Ca/100km |
|
|
|
1 |
Ô tô |
Cái |
180 |
0,55 |
|
2 |
Xăng |
Lít |
|
5,00 |
V.1.3. Định mức dụng cụ
Bảng 250. Định mức dụng cụ quay camera giếng khoan 151 - 300m
ĐVT: ca/100m
|
TT |
Danh mục dụng cụ |
ĐVT |
Thời hạn (tháng) |
Định mức |
|---|---|---|---|---|
|
1 |
Áo mưa bạt choàng |
Cái |
12 |
12,99 |
|
2 |
Đèn chiếu OU - 10 - 0,04KW |
Cặp |
12 |
1,63 |
|
3 |
Đèn xạc điện |
Cái |
24 |
1,63 |
|
4 |
Giá 3 chân + ròng rọc |
Cái |
96 |
1,63 |
|
5 |
Giầy BHLĐ |
Đôi |
6 |
12,99 |
|
6 |
Màn hình màu 5,6 inch LCD |
Cái |
60 |
1,63 |
|
7 |
Máy ảnh kỹ thuật số |
Cái |
60 |
1,63 |
|
8 |
Mũ BHLĐ |
Cái |
12 |
12,99 |
|
9 |
Điện năng |
KW |
|
0,55 |
|
10 |
Dụng cụ khác |
Bộ |
|
5,00 |
Bảng 251. Định mức dụng cụ vận chuyển trạm bằng ô tô
ĐVT: ca/100m
|
TT |
Danh mục dụng cụ |
ĐVT |
Thời hạn (tháng) |
Định mức |
|---|---|---|---|---|
|
1 |
Áo mưa bạt choàng |
Cái |
12 |
3,08 |
|
2 |
Giầy BHLĐ |
Đôi |
6 |
3,08 |
|
3 |
Mũ BHLĐ |
Cái |
12 |
3,08 |
|
4 |
Quần áo BHLĐ |
Bộ |
12 |
3,08 |
|
5 |
Ủng BHLĐ |
Đôi |
12 |
3,08 |
|
6 |
Dụng cụ khác |
% |
|
25 |
V.1.4. Định mức vật liệu
Bảng 252. Định mức vật liệu quay camera
ĐVT: 100m
|
TT |
Danh mục vật liệu |
ĐVT |
Định mức |
|---|---|---|---|
|
1 |
Băng dính khổ 5 cm |
Cuộn |
0,12 |
|
2 |
Bông |
Kg |
0,10 |
|
3 |
Bút kim |
Cái |
0,16 |
|
4 |
Cồn rửa |
Lít |
0,05 |
|
5 |
Đai nhựa định tâm lỗ khoan |
Cái |
3,00 |
|
6 |
Dầu bôi trơn |
Lít |
0,10 |
|
7 |
Dây kẽm |
Kg |
0,30 |
|
8 |
Đĩa DVD |
Cái |
1,50 |
|
9 |
Gioăng cao su cao áp cách nước |
Cái |
0,30 |
|
10 |
Mỡ silicon |
Tuýp |
0,08 |
|
11 |
Ống nhựa nối dài định hướng camera |
Ống |
0,30 |
|
12 |
Sổ 15 x 20 cm |
Quyển |
0,04 |
|
13 |
Xà phòng |
Kg |
0,02 |
|
14 |
Vật liệu khác |
% |
5,00 |
Bảng 253. Định mức vật liệu vận chuyển trạm bằng ô tô
ĐVT: 100 km đường loại II
|
TT |
Danh mục vật liệu |
ĐVT |
Định mức |
|---|---|---|---|
|
1 |
Acquy ô tô 12v - 70A |
Cái |
0,01 |
|
2 |
Bạt |
Cái |
0,01 |
|
3 |
Bi moyer |
Bộ |
0,13 |
|
4 |
Dầu máy (5% xăng) |
Lít |
1,00 |
|
5 |
Dầu phanh, dầu cầu, dầu hộp số |
Lít |
0,03 |
|
6 |
Gioăng, phớt cho côn, phanh |
Bộ |
0,08 |
|
7 |
Má phanh |
Bộ |
0,02 |
|
8 |
Mỡ bôi trơn |
Kg |
0,06 |
|
9 |
Xăm, lốp ô tô |
Bộ |
0,02 |
V.2. Đo chiều sâu giếng khoan hở (chưa lắp thiết bị khai thác)
V.2.1. Định mức lao động
1. Nội dung công việc
1.1. Ngoại nghiệp
a) Chuẩn bị tài liệu, phương tiện, vật tư, trang thiết bị để khảo sát, đo đạc;
b) Liên hệ, làm thủ tục hành chính với chính quyền địa phương và chủ công trình khai thác;
c) Khảo sát xác định vị trí có công trình đo đạc;
d) Thu thập, ghi chép hồ sơ, tài liệu công trình đo đạc;
đ) Tiến hành khảo sát, đo đạc giếng khoan gồm: xác định tọa độ công trình khai thác bằng máy GPS cầm tay và đo chiều sâu giếng khoan;
e) Lập phiếu điều tra giếng theo quy định hoặc yêu cầu kỹ thuật của đề án;
g) Di chuyển trong vùng công tác có khoảng cách từ 1 - 3km;
h) Nhập số liệu vào máy tính xách tay;
i) Hoàn thiện các tài liệu thực địa;
k) Phục vụ trong quá trình kiểm tra nghiệm thu sản phẩm.
1.2. Nội nghiệp
a) Hoàn thiện sổ nhật ký, phiếu điều tra thực địa theo quy định;
b) Lập bản đồ hiện trạng các công trình đo đạc vùng điều tra khảo sát;
c) Hoàn thiện sổ ghi chép, bản vẽ, biểu bảng tổng hợp theo quy định;
d) Viết báo cáo kết quả công tác khảo sát, đo đạc;
đ) Phục vụ trong quá trình kiểm tra, nghiệm thu sản phẩm.
2. Phân loại khó khăn
2.1. Những công việc chưa có trong định mức
a) Chi phí tháo lắp thiết bị bơm giếng (đối với giếng không đủ điều kiện thả dụng cụ đo);
b) Vận chuyển nhân công, vật liệu, dụng cụ và máy móc thiết bị từ đơn vị đến vị trí khảo sát đo đạc và ngược lại;
c) Vận chuyển người và thiết bị phục vụ khảo sát khi khoảng cách giữa các điểm khảo sát > 5 km;
d) In ấn sản phẩm, nhân bộ và bàn giao tài liệu.
2.2. Điều kiện áp dụng và hệ số điều chỉnh
a) Điều kiện áp dụng
- Điều kiện đi lại loại II;
- Giếng khoan sâu từ 100 - 200 mét;
Khi điều kiện thi công khác với các quy định về điều kiện áp dụng nêu trên, thì định mức lao động, định mức vật liệu, dụng cụ và thiết bị được điều chỉnh theo các hệ số điều chỉnh dưới đây. Cách tính mức được quy định và hướng dẫn áp dụng tại Mục 6, Phần I của Thông tư này.
b) Các hệ số điều chỉnh
Bảng 254. Hệ số điều chỉnh theo điều kiện đi lại (Kđl)
|
TT |
Điều kiện đi lại[17] |
Kđl |
|---|---|---|
|
1 |
Tốt (I) |
0,90 |
|
2 |
Trung bình (II) |
1,00 |
|
3 |
Kém (III) |
1,18 |
|
4 |
Rất kém (IV) |
1,39 |
Bảng 255. Hệ số điều chỉnh theo chiều sâu giếng (Kcsg)
|
TT |
Chiều sâu giếng |
Kcsg |
|---|---|---|
|
1 |
< 100m |
0,8 |
|
2 |
100 - ≤ 200m |
1 |
|
3 |
> 200m |
1,33 |
3. Định biên lao động
Bảng 256. Định biên lao động đo chiều sâu giếng khoan
|
TT |
Nội dung công việc |
Định biên lao động |
||
|
ĐTV4 |
KTV1 |
Nhóm |
||
|
1 |
Ngoại nghiệp |
1 |
1 |
2 |
|
2 |
Nội nghiệp |
1 |
- |
1 |
4. Định mức lao động
Bảng 257. Định mức lao động đo chiều sâu giếng khoan
ĐVT: công nhóm/1 giếng khoan
|
TT |
Nội dung công việc |
Định mức |
|---|---|---|
|
1 |
Ngoại nghiệp |
0,42 |
|
2 |
Nội nghiệp |
0,05 |
V.2.2. Định mức thiết bị
Bảng 258. Định mức thiết bị đo chiều sâu giếng khoan
ĐVT: ca/lần đo
|
TT |
Danh mục thiết bị |
ĐVT |
Thời hạn (tháng) |
Ngoại nghiệp |
Nội nghiệp |
|---|---|---|---|---|---|
|
1 |
Điều hòa 2 chiều 12000 BTU - 2,2 KW |
Bộ |
96 |
- |
0,02 |
|
2 |
Máy Photocopy - 1KW |
Cái |
96 |
- |
0,02 |
|
3 |
Máy tính xách tay - 0,04KW |
Cái |
60 |
0,34 |
0,04 |
|
4 |
Máy đo GPS cầm tay |
Cái |
120 |
0,28 |
- |
|
5 |
Điện năng |
KW |
|
0,09 |
0,54 |
V.2.3. Định mức dụng cụ
Bảng 259. Định mức dụng cụ đo chiều sâu giếng khoan
ĐVT: ca/lần đo
|
TT |
Danh mục dụng cụ |
ĐVT |
Thời hạn (tháng) |
Định mức |
|
|---|---|---|---|---|---|
|
Ngoại nghiệp |
Nội nghiệp |
||||
|
1 |
Bàn đóng gáy xoắn khổ A4 |
Cái |
60 |
- |
0,28 |
|
2 |
Bàn làm việc |
Cái |
96 |
- |
0,84 |
|
3 |
Bàn máy vi tính |
Cái |
96 |
- |
0,84 |
|
4 |
Clê các loại |
Bộ |
36 |
0,61 |
- |
|
5 |
Đèn xạc điện |
Cái |
24 |
- |
0,28 |
|
6 |
Địa bàn địa chất |
Cái |
120 |
- |
0,28 |
|
7 |
Đồng hồ bấm giây |
Cái |
36 |
0,61 |
- |
|
8 |
Bộ dụng cụ cơ khí |
Bộ |
36 |
0,61 |
- |
|
9 |
Dụng cụ đo mực nước bằng điện |
Cái |
24 |
0,61 |
- |
|
10 |
Giầy BHLĐ |
Đôi |
6 |
1,82 |
- |
|
11 |
Khóa xích D219mm |
Cái |
24 |
0,61 |
- |
|
12 |
Khóa xích D219mm |
Cái |
24 |
0,61 |
- |
|
13 |
Kính BHLĐ |
Cái |
12 |
1,82 |
- |
|
14 |
Máy in A4 - 0,5KW |
Cái |
60 |
|
0,28 |
|
15 |
Máy tính 0,6KW |
Cái |
60 |
- |
0,84 |
|
16 |
Máy tính bỏ túi |
Cái |
24 |
0,61 |
- |
|
17 |
Calê dẹt |
Cái |
36 |
0,61 |
- |
|
18 |
Mũ BHLĐ |
Cái |
12 |
1,82 |
- |
|
19 |
Nhiệt kế |
Cái |
12 |
0,61 |
- |
|
20 |
Ổn áp 10A |
Cái |
60 |
- |
0,28 |
|
21 |
Quần áo BHLĐ |
Bộ |
12 |
1,82 |
- |
|
22 |
Quần áo mưa |
Bộ |
12 |
1,82 |
- |
|
23 |
Tất chống vắt |
Đôi |
6 |
1,82 |
- |
|
24 |
Tháp và tời quay tay |
Bộ |
96 |
0,61 |
- |
|
25 |
Thùng định lượng 200 lít |
Cái |
36 |
0,61 |
- |
|
26 |
Ủng BHLĐ |
Đôi |
12 |
1,82 |
- |
|
27 |
Điện năng |
KW |
|
0,32 |
0,68 |
|
28 |
Xà beng |
Cái |
24 |
0,61 |
- |
|
29 |
Dụng cụ khác |
% |
|
5,00 |
5,00 |
V.2.4. Định mức vật liệu
Bảng 260. Định mức vật liệu đo chiều sâu giếng khoan
ĐVT: 1 lần đo
|
TT |
Danh mục vật liệu |
ĐVT |
Định mức |
|
|---|---|---|---|---|
|
Ngoại nghiệp |
Nội nghiệp |
|||
|
1 |
Bản đồ địa hình |
Mảnh |
0,03 |
0,01 |
|
2 |
Bìa đóng sách |
Tờ |
- |
0,02 |
|
3 |
Bút chì đen |
Cái |
0,04 |
0,02 |
|
4 |
Bút chì hóa học |
Cái |
0,02 |
- |
|
5 |
Bút đánh dấu |
Cái |
- |
0,05 |
|
6 |
Bút xóa |
Cái |
- |
0,05 |
|
7 |
Cặp 3 dây |
Cái |
0,11 |
- |
|
8 |
Đệm cao su |
Kg |
0,02 |
- |
|
9 |
Đĩa CD |
Chiếc |
0,01 |
0,07 |
|
10 |
Đinh |
Kg |
0,03 |
- |
|
11 |
Đinh đỉa 15 - 20 cm |
Kg |
0,13 |
- |
|
12 |
Giấy A0 |
Tờ |
0,10 |
0,20 |
|
13 |
Giấy A4 |
Gam |
0,01 |
0,01 |
|
14 |
Giấy kẻ ly khổ 60 x 80 cm |
Tờ |
0,10 |
0,01 |
|
15 |
Hộp đựng tài liệu |
Cái |
- |
0,07 |
|
16 |
Lưỡi cưa |
Cái |
0,03 |
- |
|
17 |
Mực in laser |
Hộp |
- |
0,001 |
|
18 |
Mực photocopy |
Hộp |
- |
0,001 |
|
19 |
Nhật ký |
Quyển |
0,20 |
- |
|
20 |
Pin dùng cho GPS |
Đôi |
0,03 |
- |
|
21 |
Sơ gai (xơ đay) |
Kg |
0,02 |
- |
|
22 |
Vật liệu khác |
% |
8 |
8 |
V.3. Đo tọa độ bằng GPS cầm tay
V.3.1. Định mức lao động
1. Nội dung công việc
1.1. Ngoại nghiệp
a) Công tác chuẩn bị;
b) Khảo sát xác định vị trí có công trình đo đạc;
c) Tiến hành đo đạc tọa độ;
d) Ghi chép hồ sơ, tài liệu công trình;
đ) Ghi chép sổ nhật ký đo đạc theo quy định hoặc yêu cầu kỹ thuật của đề án;
g) Di chuyển trong vùng công tác;
h) Nhập số liệu vào máy tính xách tay;
i) Hoàn thiện các tài liệu thực địa;
k Kiểm tra, bảo dưỡng các dụng cụ, thiết bị đo đạc;
l) Phục vụ trong quá trình kiểm tra nghiệm thu sản phẩm.
1.2. Nội nghiệp
a) Thống kê tọa độ biết trước áp dụng cho việc đưa tọa độ từ bản vẽ thiết kế ra thực địa;
b) Hoàn thiện sổ nhật ký thực địa theo quy định;
c) Tính toán kết quả đo các điểm đo GPS; thực hiện trên máy vi tính;
d) Thống kê tọa độ đưa lên bản đồ số và in ra giấy;
đ) Hoàn thiện tài liệu sổ ghi chép, bản vẽ theo quy định;
e) Viết báo cáo kết quả công tác đo đạc, chỉnh lý biên tập thành quả đo;
g) Phục vụ trong quá trình kiểm tra nghiệm thu sản phẩm.
2. Phân loại khó khăn
2.1. Những công việc chưa có trong định mức
a) Vận chuyển nhân công, vật liệu, dụng cụ và máy móc thiết bị từ đơn vị đến vị trí khảo sát đo đạc và ngược lại;
b) Mua mốc tọa độ, độ cao phục vụ đo GPS tọa độ vuông góc không gian (X, Y, Z);
c) In ấn sản phẩm, nhân bộ và bàn giao tài liệu.
2.2. Điều kiện áp dụng và hệ số điều chỉnh
a) Điều kiện áp dụng
- Điều kiện đi lại loại II;
- Khoảng cách đi lại giữa các điểm khảo sát từ 1 - 3 km;
Khi điều kiện thi công thực tế khác với các quy định về điều kiện áp dụng nêu trên, thì áp dụng các hệ số điều chỉnh cho định mức lao động, định mức vật liệu, dụng cụ và thiết bị được quy định và hướng dẫn áp dụng theo các hệ số điều chỉnh dưới đây.
b) Các hệ số điều chỉnh
Bảng 261. Hệ số điều chỉnh theo điều kiện đi lại (Kđl)
|
TT |
Điều kiện đi lại[18] |
Kđl |
|
1 |
Tốt (I) |
0,87 |
|
2 |
Trung bình (II) |
1 |
|
3 |
Kém (III) |
1,20 |
|
4 |
Rất kém (IV) |
1,42 |
Bảng 262. Hệ số điều chỉnh theo khoảng cách (Kkc)
|
TT |
Khoảng cách giữa các điểm đo |
Kkc |
|
1 |
< 1 km |
0,81 |
|
2 |
1 - 3 km |
1,00 |
|
3 |
> 3 km |
1,28 |
3. Định biên lao động
Bảng 263. Định biên lao động đo GPS
|
TT |
Nội dung công việc |
ĐTV3 |
Nhóm |
|
1 |
Ngoại nghiệp |
1 |
1 |
|
2 |
Nội nghiệp |
1 |
1 |
4. Định mức lao động
Bảng 264. Định mức lao động đo GPS
ĐVT: công nhóm/điểm đo
|
TT |
Nội dung công việc |
Định mức |
|---|---|---|
|
1 |
Ngoại nghiệp |
0,21 |
|
2 |
Nội nghiệp |
0,01 |
V.3.2. Định mức thiết bị
Bảng 265. Định mức thiết bị đo GPS
ĐVT: ca/1 điểm đo
|
TT |
Danh mục thiết bị |
ĐVT |
Thời hạn (tháng) |
Ngoại nghiệp |
Nội nghiệp |
|---|---|---|---|---|---|
|
1 |
Điều hòa 2 chiều 12000 BTU - 2,2 KW |
Bộ |
96 |
- |
0,01 |
|
2 |
Máy Photocopy - 1KW |
Cái |
96 |
- |
0,01 |
|
3 |
Máy đo GPS cầm tay |
Cái |
120 |
0,17 |
- |
|
4 |
Máy tính xách tay - 0,04KW |
Cái |
60 |
0,28 |
0,02 |
|
5 |
Điện năng |
KW |
|
0,09 |
0,28 |
V.3.3. Định mức dụng cụ
Bảng 265. Định mức dụng cụ ngoại nghiệp đo GPS
ĐVT: ca/1 điểm đo
|
TT |
Danh mục dụng cụ |
ĐVT |
Thời hạn (tháng) |
Định mức |
|---|---|---|---|---|
|
1 |
Ủng BHLĐ |
Đôi |
12 |
0,34 |
|
2 |
Quần áo BHLĐ |
Bộ |
12 |
0,37 |
|
3 |
Quần áo mưa |
Bộ |
12 |
0,34 |
|
4 |
Mũ BHLĐ |
Cái |
12 |
0,34 |
|
5 |
Tất chống vắt |
Đôi |
6 |
0,34 |
|
6 |
Xắc cốt đựng tài liệu |
Cái |
24 |
0,34 |
|
7 |
Dụng cụ khác |
% |
|
3,00 |
Bảng 266. Định mức dụng cụ nội nghiệp đo GPS
ĐVT: ca/1 điểm đo
|
TT |
Danh mục dụng cụ |
ĐVT |
Thời hạn (tháng) |
Định mức |
|---|---|---|---|---|
|
1 |
Ủng BHLĐ |
Đôi |
12 |
0,03 |
|
2 |
Quần áo BHLĐ |
Bộ |
12 |
0,03 |
|
3 |
Quần áo mưa |
Bộ |
12 |
0,03 |
|
4 |
Mũ BHLĐ |
Cái |
12 |
0,03 |
|
5 |
Tất chống vắt |
Đôi |
6 |
0,03 |
|
6 |
Xắc cốt đựng tài liệu |
Cái |
24 |
0,03 |
|
7 |
Dụng cụ khác |
% |
|
3 |
V.3.4. Định mức vật liệu
Bảng 268. Định mức vật liệu đo GPS
ĐVT: 1 điểm đo
|
TT |
Danh mục vật liệu |
ĐVT |
Định mức |
|
|---|---|---|---|---|
|
Ngoại nghiệp |
Nội nghiệp |
|||
|
1 |
Bản đồ địa hình |
Mảnh |
0,1 |
0,1 |
|
2 |
Cặp 3 dây |
Cái |
0,1 |
- |
|
3 |
Giấy A4 |
Gam |
0,005 |
0,03 |
|
4 |
Hộp đựng tài liệu |
Cái |
- |
0,01 |
|
5 |
Mực in laser |
Hộp |
- |
0,001 |
|
6 |
Mực in phun màu |
Hộp |
- |
0,001 |
|
7 |
Pin 1,5V |
Đôi |
0,1 |
- |
|
8 |
Sổ nhật ký |
Quyển |
0,01 |
- |
|
9 |
Vật liệu khác |
% |
8 |
8 |
[1] Phân loại điều kiện đi lại theo Phụ lục số 01, Phần IV của Thông tư này
[2] Phân loại khó khăn đi lại theo Phụ lục số 01, Phần IV của Thông tư này
[3] Phân loại điều kiện đi lại theo Phụ lục số 01, Phần IV của Thông tư này
[4] Phân loại khó khăn đi lại theo Phụ lục số 01, Phần IV của Thông tư này
[5] Phân loại điều kiện đi lại theo Phụ lục số 01, Phần IV của Thông tư này
[6] Phân loại khó khăn đi lại theo Phụ lục số 01, Phần IV của Thông tư này
[7] Phân loại điều kiện đi lại theo Phụ lục số 01, Phần IV của Thông tư này
[8] Phân loại điều kiện đi lại theo Phụ lục số 01, Phần IV của Thông tư này
[9] Phân loại điều kiện đi lại theo Phụ lục số 01, Phần IV của Thông tư này
[10] Phân loại điều kiện đi lại theo Phụ lục số 01, Phần IV của Thông tư này
[11] Phân loại điều kiện đi lại theo Phụ lục số 01, Phần IV của Thông tư này
[12] Phân loại điều kiện đi lại theo Phụ lục số 01, Phần IV của Thông tư này
[13] Phân loại khó khăn đi lại theo Phụ lục số 01, Phần IV của Thông tư này
[14] Phân loại khó khăn đi lại theo Phụ lục số 01, Phần IV của Thông tư này
[15] Phân loại mức độ khó khăn theo cấp đất đá cho khoan theo Phụ lục số 03, Phần IV của Thông tư này
[16] Phân loại đường vận chuyển trạm quay camera bằng ô tô theo Phụ lục số 04, Phần IV của Thông tư này
[17] Phân loại khó khăn đi lại theo Phụ lục số 01, Phần IV của Thông tư này
[18] Phân loại khó khăn đi lại theo Phụ lục số 01, Phần IV của Thông tư này
Chương 3
ĐÁNH GIÁ, DỰ BÁO TÀI NGUYÊN NƯỚC BẰNG MÔ HÌNH DÒNG CHẢY
I. ĐÁNH GIÁ, DỰ BÁO TÀI NGUYÊN NƯỚC MẶT
I.1. Định mức lao động
I.1.1. Nội dung công việc
1. Công tác thu thập tài liệu
1.1. Thu thập số liệu mưa ngày trên lưu vực;
1.2. Thu thập dữ liệu thông tin về số lượng và chất lượng nước từ các trạm tài nguyên nước mặt trên toàn lưu vực sông phục vụ công tác dự báo;
1.3. Thu thập các dữ liệu liên quan đến tình hình khai thác, sử dụng tài nguyên nước trên toàn lưu vực sông cần dự báo;
1.4. Thu thập các dữ liệu về tình hình xả nước thải vào nguồn nước của hệ thống sông trên toàn lưu vực sông cần dự báo;
1.5. Thu thập thông tin về các hiện tượng khí tượng thủy văn hay thiên tai dị thường ảnh hưởng trực tiếp đến số lượng và chất lượng nước trên hệ thống sông cần đánh giá, dự báo;
1.6. Thu thập thông tin về địa hình, mặt cắt sông trên hệ thống sông cần đánh giá, dự báo;
1.7. Phục vụ trong quá trình kiểm tra nghiệm thu sản phẩm.
2. Tổng hợp, phân tích, xử lý tài liệu
2.1. Tổng hợp, phân loại, phân tích đánh giá tài liệu, thông tin liên quan phục vụ dự báo;
2.2. Chỉ ra danh mục thông tin, dữ liệu còn thiếu; đề xuất đo đạc mặt cắt sông và mua các dữ liệu về khí tượng, thủy văn phục vụ xây dựng mô hình đánh giá, dự báo;
2.3. Chuyển đổi, tính toán, nội suy số liệu, dữ liệu thông số đầu vào mô hình đánh giá, dự báo;
2.4. Chuẩn hóa các dữ liệu;
2.5. Phục vụ trong quá trình kiểm tra nghiệm thu sản phẩm.
3. Nhập dữ liệu vào mô hình
3.1. Kiểm tra, chuẩn bị, khởi động thiết bị, máy tính, khởi động mô hình;
3.2. Nhập số liệu đầu vào mô hình;
3.3. Đồng hóa, kiểm tra tính tương thích dữ liệu đầu vào mô hình;
3.4. Phục vụ trong quá trình kiểm tra nghiệm thu sản phẩm.
4. Chỉnh lý mô hình
4.1. Chạy thử mô hình;
4.2. Chỉnh lý, hiệu chỉnh thông số của mô hình;
4.3. Đánh giá sai số kết quả dự báo;
4.4. Quyết định trị số dự báo;
4.5. Phục vụ trong quá trình kiểm tra nghiệm thu sản phẩm.
5. Dự báo
5.1. Xác định mục tiêu, xây dựng các kịch bản và phương án dự báo;
5.2. Nhập số liệu, thông số dự báo theo các kịch bản và phương án dự báo;
5.3. Kiểm thử kết quả dự báo;
5.4. Trình bày kết quả dự báo;
5.5. Phục vụ trong quá trình kiểm tra nghiệm thu sản phẩm.
6. Lập báo cáo kết quả
6.1. Tổng hợp số liệu, kết quả, lập các bảng biểu, hình vẽ;
6.2. Phân tích, đánh giá hiệu quả theo mục tiêu đề cương phê duyệt;
6.3. Viết báo cáo;
6.4. Phục vụ trong quá trình kiểm tra nghiệm thu sản phẩm.
I.1.2.Phân loại khó khăn
1. Các công việc chưa có trong định mức
1.1. Số hóa các bản đồ đầu vào, số hóa các bản đồ chuyên môn và các tài liệu về địa hình;
1.2. Thiết bị, phần mềm, mô hình chuyên dụng;
1.3. Chi phí khảo sát, Đo đạc mặt cắt sông và mua các dữ liệu khí tượng, thủy văn;
1.4. In ấn sản phẩm, nhân bộ và bàn giao tài liệu.
2. Điều kiện áp dụng và các hệ số điều chỉnh
2.1. Điều kiện áp dụng
Định mức được tính cho điều kiện áp dụng chuẩn được quy định tại Mục 5.1, Phần I của Thông tư này.
2.2. Các hệ số điều chỉnh
Khi điều kiện thực tế khác với các quy định về điều kiện áp dụng nêu trên, thì áp dụng các hệ số điều chỉnh cho định mức lao động, định mức vật liệu, dụng cụ và thiết bị được quy định và hướng dẫn áp dụng tại Mục 5.2, Phần I của Thông tư này, gồm: Kpt, Kdt, Kdb.
I.1.3. Định biên lao động
Bảng 269. Định biên lao động đánh giá, dự báo TNNM bằng mô hình dòng chảy
|
TT |
Nội dung công việc |
Định biên lao động |
||||
|---|---|---|---|---|---|---|
|
ĐTV3 |
ĐTV4 |
ĐTV5 |
ĐTVC1 |
Nhóm |
||
|
1 |
Công tác thu thập tài liệu |
- |
1 |
1 |
- |
2 |
|
2 |
Tổng hợp, phân tích, xử lý tài liệu |
- |
- |
1 |
1 |
2 |
|
3 |
Nhập dữ liệu vào mô hình |
3 |
1 |
- |
- |
4 |
|
4 |
Chỉnh lý mô hình |
1 |
1 |
1 |
1 |
4 |
|
5 |
Dự báo |
1 |
1 |
1 |
1 |
4 |
|
6 |
Lập báo cáo kết quả dự báo |
- |
- |
1 |
1 |
2 |
I.1.4. Định mức lao động
Bảng 270. Định mức lao động đánh giá, dự báo TNNM bằng mô hình dòng chảy
ĐVT: Công nhóm/1 vị trí dự báo
|
TT |
Nội dung công việc |
Định mức |
|
1 |
Công tác thu thập tài liệu |
26,67 |
|
2 |
Tổng hợp, phân tích, xử lý tài liệu |
23,33 |
|
3 |
Nhập dữ liệu vào mô hình |
11,67 |
|
4 |
Chỉnh lý mô hình |
38,33 |
|
5 |
Dự báo |
20,00 |
|
6 |
Lập báo cáo kết quả |
18,33 |
Ghi chú:
- Sản phẩm dự báo số lượng nước cho một sông hoặc hệ thống sông là giá trị mực nước, lưu lượng hay tổng lượng dòng chảy tại những vị trí xác định trên sông hoặc hệ thống sông đó;
- Sản phẩm dự báo chất lượng nước cho một sông hoặc hệ thống sông là mức độ chất lượng nước của những đoạn sông cụ thể được đánh giá theo tiêu chuẩn loại A, B, C theo TCVN về nước mặt hoặc giá trị một số thông số, chỉ số cơ bản và ngưỡng giới hạn tương ứng của nó thuộc Tiêu chuẩn chất lượng nước theo mục tiêu sử dụng nước xác định của đoạn sông.
I.2. Định mức thiết bị
Bảng 271. Định mức thiết bị đánh giá, dự báo TNNM bằng mô hình dòng chảy
ĐVT: ca/1 mô hình
|
TT |
Danh mục thiết bị |
ĐVT |
Thời hạn |
Định mức |
|---|---|---|---|---|
|
1 |
Điều hòa 2 chiều 12000 BTU - 2,2 KW |
Cái |
96 |
48,92 |
|
2 |
Máy in màu A0 - 0,8KW |
Cái |
60 |
99,63 |
|
3 |
Máy Photocopy - 1KW |
Cái |
96 |
99,63 |
|
4 |
Máy Scan A3 - 0,5KW |
Cái |
96 |
99,63 |
|
5 |
Phần mềm dòng chảy |
Bản |
96 |
99,63 |
|
6 |
Điện năng |
KW |
|
2.845,53 |
I.3. Định mức dụng cụ
Bảng 272. Định mức dụng cụ đánh giá, dự báo TNNM bằng mô hình dòng chảy
ĐVT: ca/1 mô hình
|
TT |
Danh mục dụng cụ |
ĐVT |
Thời hạn (tháng) |
Định mức |
|---|---|---|---|---|
|
1 |
Bộ lưu điện UPS |
Cái |
60 |
492 |
|
2 |
Ổn áp 10A |
Cái |
60 |
123 |
|
3 |
Máy in A4 - 0,5KW |
Cái |
60 |
123 |
|
4 |
Máy in A3 - 0,5KW |
Cái |
60 |
18,92 |
|
5 |
Máy Fax |
Cái |
60 |
18,92 |
|
6 |
Bàn máy vi tính |
Cái |
96 |
492 |
|
7 |
Máy scan A4 0,02KW |
Cái |
96 |
123 |
|
8 |
Máy hủy tài liệu |
Cái |
60 |
18,92 |
|
9 |
Máy hút bụi 1,5KW |
Cái |
60 |
123 |
|
10 |
Tủ đựng tài liệu |
Cái |
96 |
492 |
|
11 |
Máy in màu A4 0,5KW |
Cái |
60 |
123 |
|
12 |
Quạt điện cây 0,06KW |
Cái |
60 |
246 |
|
13 |
Điện năng |
KW |
|
3.166,3 |
|
14 |
Dụng cụ khác |
% |
|
5,00 |
I.4. Định mức vật liệu
Bảng 273. Định mức vật liệu đánh giá, dự báo TNNM bằng mô hình dòng chảy
ĐVT: Hao phí/1 mô hình
|
TT |
Danh mục vật liệu |
ĐVT |
Định mức |
|---|---|---|---|
|
1 |
Bản đồ địa hình |
Mảnh |
4,00 |
|
2 |
Băng dính khổ 5 cm |
Cuộn |
3,50 |
|
3 |
Bìa đóng sách |
Gam |
0,10 |
|
4 |
Đĩa CD |
Cái |
3,00 |
|
5 |
Giấy A0 |
Tờ |
25,00 |
|
6 |
Giấy A4 |
Gam |
5,00 |
|
7 |
Hộp ghim kẹp |
Hộp |
2,00 |
|
8 |
Mực in A0 |
Hộp |
0,10 |
|
9 |
Mực in A4 |
Hộp |
0,60 |
|
10 |
Mực in màu A0 |
Hộp |
0,10 |
|
11 |
Mực in màu laser |
Hộp |
0,07 |
|
12 |
Mực photocopy |
Hộp |
0,10 |
|
13 |
Sổ 15 x 20 cm |
Quyển |
4,50 |
|
14 |
Vật liệu khác |
% |
8 |
Ghi chú: Mức tiêu hao vật liệu, sử dụng dụng cụ và sử dụng máy móc thiết bị cho từng bước của mô hình được xác định theo bảng điều chỉnh sau:
Bảng 274. Bảng hệ số điều chỉnh định mức tiêu hao vật liệu, sử dụng dụng cụ và thiết bị
|
TT |
Nội dung công việc |
Hệ số |
|
|
Đánh giá, dự báo tài nguyên nước mặt |
1 |
|
1 |
Công tác thu thập tài liệu |
0,19 |
|
2 |
Tổng hợp, phân tích, xử lý tài liệu |
0,17 |
|
3 |
Nhập dữ liệu vào mô hình |
0,08 |
|
4 |
Chỉnh lý mô hình |
0,28 |
|
5 |
Dự báo |
0,15 |
|
6 |
Lập báo cáo kết quả |
0,13 |
II. ĐÁNH GIÁ, DỰ BÁO TÀI NGUYÊN NƯỚC DƯỚI ĐẤT
II.1. Định mức lao động
II.1.1. Nội dung công việc
1. Thu thập các tài liệu
1.1. Thu thập bản đồ địa hình, bản đồ địa chất, bản đồ địa chất thủy văn của vùng đánh giá dự báo;
1.2. Thu thập tài liệu cột địa tầng giếng khoan vùng đánh giá dự báo;
1.3. Thu thập thông tin các số liệu tại các trạm thủy văn vùng đánh giá dự báo;
1.4. Thu thập số liệu mặt cắt sông của vùng đánh giá dự báo;
1.5. Thu thập số liệu quan trắc nước dưới đất (số lượng và chất lượng) vùng đánh giá dự báo;
1.6. Thu thập các thông số địa chất thủy văn vùng đánh giá dự báo;
1.7. Phục vụ trong quá trình kiểm tra nghiệm thu sản phẩm.
2. Tổng hợp, phân tích, xử lý tài liệu
2.1. Phân loại, đánh giá tài liệu; phân tích, chiết xuất thông tin;
2.2. Chỉ ra danh mục thông tin, dữ liệu còn thiếu; đề xuất khoan thăm dò, đo địa vật lý bổ sung địa tầng, đo đạc chất lượng nước phục vụ mô phỏng tầng chứa nước, chất lượng nước;
2.3. Chuyển đổi, tính toán số liệu;
2.4. Chuẩn hóa các dữ liệu;
2.5. Phục vụ trong quá trình kiểm tra nghiệm thu sản phẩm.
3. Nhập dữ liệu vào mô hình
3.1. Kiểm tra, chuẩn bị thiết bị, máy tính;
3.2. Tính toán, nội suy dữ liệu, thông số đầu vào;
3.3. Nhập liệu; đồng bộ hóa, kiểm tra tính tương thích của dữ liệu đầu vào;
3.4. Kiểm tra thử dữ liệu đầu vào trong mô hình;
3.5. Phục vụ trong quá trình kiểm tra nghiệm thu sản phẩm.
4. Chỉnh lý mô hình
4.1. Chạy thử mô hình;
4.2. Chỉnh lý mô hình trong điều kiện dòng chảy ổn định;
4.3. Đánh giá sai số chỉnh lý;
4.4. Hiệu chỉnh;
4.5. Chỉnh lý mô hình trong điều kiện dòng chảy không ổn định;
4.6. Đánh giá sai số chỉnh lý;
4.7. Hiệu chỉnh;
4.8. Phục vụ trong quá trình kiểm tra nghiệm thu sản phẩm.
5. Đánh giá, dự báo
5.1. Xác định mục tiêu, xây dựng các kịch bản và phương án dự báo;
5.2. Nhập số liệu, thông số dự báo theo các kịch bản và phương án dự báo;
5.3. Kiểm tra thử kết quả dự báo;
5.4. Trình bày kết quả dự báo;
5.5. Phục vụ trong quá trình kiểm tra nghiệm thu sản phẩm.
6. Lập báo cáo kết quả đánh giá, dự báo
6.1. Tổng hợp số liệu, kết quả, lập các bảng biểu, hình vẽ;
6.2. Phân tích, đánh giá hiệu quả theo mục tiêu đề cương phê duyệt;
6.3. Viết báo cáo;
6.4. Phục vụ trong quá trình kiểm tra nghiệm thu sản phẩm.
II.1.2. Phân loại khó khăn
1. Các công việc chưa có trong định mức
1.1. Số hóa các bản đồ đầu vào và số hóa các bản đồ chuyên môn;
1.2. Mua thiết bị, phần mềm, mô hình chuyên dụng;
1.3. Khoan thăm dò, đo địa vật lý và đo đạc chất lượng nước bổ sung và mua dữ liệu về khí tượng, thủy văn, chất lượng nước dưới đất;
1.4. In ấn sản phẩm, nhân bộ và bàn giao tài liệu.
2. Điều kiện áp dụng và các hệ số điều chỉnh
2.1. Điều kiện áp dụng
Định mức được tính cho điều kiện áp dụng chuẩn được quy định tại Mục 5.1, Phần I của Thông tư này.
2.2. Các hệ số điều chỉnh
Khi điều kiện thực tế khác với các quy định về điều kiện áp dụng nêu trên, thì áp dụng các hệ số điều chỉnh cho định mức lao động, định mức vật liệu, dụng cụ và thiết bị được quy định và hướng dẫn áp dụng tại Mục 5.2, Phần I của Thông tư này, gồm: Kmh, Ktv, Kđb và Kdb.
II.1.3. Định biên lao động
Bảng 275. Định biên lao động đánh giá, dự báo TNNDĐ bằng mô hình dòng chảy
|
TT |
Nội dung công việc |
Định biên lao động |
||||
|
ĐTVC1 |
ĐTV4 |
ĐTV3 |
ĐTV2 |
Nhóm |
||
|
1 |
Thu thập tài liệu |
- |
1 |
1 |
- |
2 |
|
2 |
Tổng hợp phân tích tài liệu |
1 |
1 |
- |
- |
2 |
|
3 |
Nhập dữ liệu |
- |
1 |
1 |
2 |
4 |
|
4 |
Chỉnh lý mô hình |
1 |
1 |
1 |
1 |
4 |
|
5 |
Đánh giá dự báo |
1 |
1 |
1 |
1 |
4 |
|
6 |
Lập báo cáo |
1 |
1 |
- |
- |
2 |
II.1.4. Định mức lao động
Bảng 276. Định mức lao động đánh giá, dự báo TNNDĐ bằng mô hình dòng chảy
ĐVT: công nhóm/mô hình
|
TT |
Nội dung công việc |
Định mức |
|---|---|---|
|
1 |
Thu thập tài liệu |
30,56 |
|
2 |
Tổng hợp phân tích tài liệu |
19,44 |
|
3 |
Nhập dữ liệu |
13,89 |
|
4 |
Chỉnh lý mô hình |
25,00 |
|
5 |
Đánh giá dự báo |
22,22 |
|
6 |
Lập báo cáo |
25,00 |
II.2. Định mức thiết bị
Bảng 277. Định mức thiết bị dự báo TNNDĐ bằng mô hình dòng chảy
ĐVT: ca/1 mô hình
|
TT |
Danh mục thiết bị |
ĐVT |
Thời hạn |
Định mức |
|---|---|---|---|---|
|
1 |
Điều hòa 2 chiều 12000 BTU - 2,2 KW |
Cái |
96 |
29,58 |
|
2 |
Máy in màu A0 - 0,8KW |
Cái |
60 |
59,17 |
|
3 |
Máy Photocopy - 1KW |
Cái |
96 |
59,17 |
|
4 |
Máy Scan A3 - 0,5KW |
Bản |
96 |
59,17 |
|
5 |
Phần mềm dòng chảy |
Bản |
96 |
59,17 |
|
6 |
Điện năng |
KW |
|
1.689,80 |
II.3. Định mức dụng cụ
Bảng 278. Định mức dụng cụ đánh giá, dự báo TNNDĐ bằng mô hình dòng chảy
ĐVT: ca/1 mô hình
|
TT |
Danh mục dụng cụ |
ĐVT |
Thời hạn (tháng) |
Định mức |
|---|---|---|---|---|
|
1 |
Bộ lưu điện UPS |
Cái |
60 |
571,20 |
|
2 |
Ổn áp 10A |
Cái |
60 |
142,80 |
|
3 |
Máy in A4 - 0,5KW |
Cái |
60 |
142,80 |
|
4 |
Máy in A3 - 0,5KW |
Cái |
60 |
71,40 |
|
5 |
Máy Fax |
Cái |
60 |
71,40 |
|
6 |
Bàn máy vi tính |
Cái |
96 |
571,20 |
|
7 |
Máy scan A4 0,02KW |
Cái |
96 |
142,80 |
|
8 |
Máy hủy tài liệu |
Cái |
60 |
71,40 |
|
9 |
Máy hút bụi 1,5KW |
Cái |
60 |
142,80 |
|
10 |
Tủ đựng tài liệu |
Cái |
96 |
571,20 |
|
11 |
Máy in màu A4 0,5KW |
Cái |
60 |
142,80 |
|
12 |
Quạt điện cây 0,06KW |
Cái |
60 |
250,56 |
|
13 |
Điện năng |
kW |
|
4.696,45 |
|
14 |
Dụng cụ khác |
% |
|
5,00 |
II.4. Định mức vật liệu
Bảng 279. Định mức vật liệu đánh giá, dự báo TNNDĐ bằng mô hình dòng chảy
ĐVT: hao phí/1 mô hình
|
TT |
Danh mục vật liệu |
ĐVT |
Định mức |
|---|---|---|---|
|
1 |
Bản đồ địa hình |
Mảnh |
4,00 |
|
2 |
Băng dính khổ 5 cm |
Cuộn |
4,50 |
|
3 |
Bìa đóng sách |
Gam |
0,15 |
|
4 |
Đĩa CD |
Cái |
3,00 |
|
5 |
Giấy A0 |
Mét |
25,00 |
|
6 |
Giấy A4 |
Gam |
5,00 |
|
7 |
Hộp đựng tài liệu |
Cái |
2,00 |
|
8 |
Ghim kẹp |
Hộp |
3,00 |
|
9 |
Mực in A0 |
Hộp |
0,39 |
|
10 |
Mực in A4 |
Hộp |
0,80 |
|
11 |
Mực in màu A0 |
Hộp |
0,12 |
|
12 |
Mực in màu laser |
Hộp |
0,15 |
|
13 |
Mực photocopy |
Hộp |
0,12 |
|
14 |
Sổ 15 x 20 cm |
Quyển |
4,50 |
|
15 |
Vật liệu khác |
% |
8 |
Ghi chú: Mức tiêu hao vật liệu, sử dụng dụng cụ và sử dụng máy móc thiết bị cho từng bước của mô hình được xác định theo bảng điều chỉnh sau
Bảng 280. Bảng hệ số điều chỉnh định mức vật liệu, dụng cụ và thiết bị
|
TT |
Nội dung công việc |
Hệ số |
|
|
Đánh giá, dự báo tài nguyên nước dưới đất |
1 |
|
1 |
Thu thập tài liệu |
0,21 |
|
2 |
Tổng hợp phân tích tài liệu |
0,14 |
|
3 |
Nhập dữ liệu |
0,1 |
|
4 |
Chỉnh lý mô hình |
0,19 |
|
5 |
Đánh giá dự báo |
0,16 |
|
6 |
Lập báo cáo |
0,19 |
PHẦN IV
PHỤ LỤC
PHỤ LỤC SỐ 01
Phân loại điều kiện đi lại
|
Mức độ (Loại) |
Điều kiện đi lại |
|
Tốt (I) |
Vùng đồng bằng, địa hình ít bị phân cắt, đồi núi thoải, sườn dốc dưới 100, độ cao chênh lệch trong vùng không lớn, thung lũng rộng thoải, phần lớn là đồng bằng, làng bản, dân cư đông đúc, mạng lưới giao thông (kể cả đường ô tô và các loại khác) phát triển. Việc đi lại dễ dàng thuận tiện. |
|
Trung bình (II) |
Vùng trung du, địa hình bị phân cắt vừa phải, phần lớn núi có độ cao dưới 300 mét, độ cao chênh lệch trong vùng không quá 100 mét, sườn dốc dưới 20o, rừng thưa, ít đầm lầy, thung lũng dài, đồng bằng hẹp, làng bản dân cư tương đối phổ biến, phần lớn có đường ô tô, đường đất có thể dùng phương tiện vận tải có động cơ, việc đi lại tương đối dễ dàng. |
|
Kém (III) |
Vùng núi, địa hình bị phân cắt mạnh, phần lớn núi có độ cao trên 500 mét, độ cao chênh lệch trong vùng dưới 300m, đỉnh núi lô nhô, sườn dốc dưới 30o, thung lũng hẹp, đầm lầy phát triển, rừng cây rậm rạp, làng bản thưa thớt, đường ô tô hiếm, chủ yếu là đường mòn, việc đi lại khó khăn, trở ngại. |
|
Rất kém (IV) |
Vùng núi cao hiểm trở, địa hình bị phân cắt rất mạnh, phần lớn có độ cao trên 1000 mét, độ cao chênh lệch trong vùng từ 300 mét trở lên, sống núi lởm chởm dạng tai mèo, sườn dốc trên 30o, không có đường hoặc chỉ có một số đường nhỏ hẹp, vùng đầm lầy, bãi cát ven biển không liền nhau, không có làng bản, hoặc chỉ có rất thưa thớt, việc đi lại rất khó khăn. |
PHỤ LỤC SỐ 02
Phân loại điều kiện thủy văn
|
Mức độ (Loại) |
Điều kiện thủy văn |
|---|---|
|
Đơn giản (I) |
Sông rộng < 300m, sông có nhiều đoạn thẳng, nước chảy chậm, tốc độ chảy £ 0,5m/s; hai bờ sông thấp, thoải đều, đi lại thuận tiện, gần dân. |
|
Trung bình (II) |
Sông rộng 300 ¸ < 500m, gió vừa, có sóng nhỏ; sông có nhiều đoạn thẳng, cồn bãi, tốc độ chảy £ 1m/s; hai bờ sông có đồi thấp, cây cối vướng tầm ngắm phải chặt phát, xa dân. |
|
Phức tạp (III) |
Sông rộng 500 ¸< 1000m, gió, sóng trung bình; sông có thác ghềnh, suối sâu, tốc độ chảy £ 1,5m/s; hai bờ sông là đồi núi, cây cối vướng tầm ngắm, phải chặt phát nhiều, dân ở thưa, xa dân. |
|
Rất phức tạp (IV) |
Sông rộng ³ 1.000m, có sóng cao, gió to; sông vùng núi cao, bờ dốc, lòng sông quanh co, sóng cao, tốc độ chảy xiết V £ 2m/s. hai bờ có địa hình hiểm trở, đi lại khó khăn, vùng đầm lầy, mọc nhiều sú vẹt, vướng tầm ngắm, phải chặt phá nhiều, xa dân. |
PHỤ LỤC SỐ 03
Phân loại khó khăn theo cấp đất đá cho khoan
|
Cấp đất đá |
Đất đá và quặng đặc trưng |
|---|---|
|
I |
Trầm tích bở rời hạt nhỏ Đệ tứ: cát bùn, than bùn, cát pha sét, sét pha cát..., đá gốc xâm nhập, phun trào, trầm tích vụn hạt nhỏ, đá biến đổi nhiệt dịch sericits hóa, propylit hóa, carbonat hóa bị phong hóa hoàn toàn. |
|
II |
Trầm tích hạt nhỏ nén ép yếu, trầm tích vụn hạt lớn bở rời đệ tứ: sét pha ít cát, cát sạn, đất pha cát lẫn ít sạn, dăm hạt nhỏ. Đá biến chất, biến đổi nhiệt dịch silic hóa, thạch anh hóa, trầm tích hạt vụn thô phong hóa hoàn toàn lẫn ít dăm sạn thạch anh và các đá khó phong hóa. |
|
III |
Trầm tích vụn đệ tứ hạt lớn bở rời hoặc gắn kết yếu: Lớp phủ lẫn trên 30% sạn dăm kích thước nhỏ hơn 3 - 5cm; sét nén chắc; cát, sét gắn kết yếu (trầm tích tuổi Pleistocen hoặc Pliocen). Bauxit phong hóa, laterit (đá ong) gắn kết yếu; than nâu. Quặng sắt limonit phong hóa, quặng mangan phong hóa. Đá gốc trầm tịch vụn hạt nhỏ (cát kết, bột kết, đá phiến sét), xâm nhập, phun trào, biến đổi nhiệt dịch propylit, greisen, benresit bị phong hóa mạnh có thể đào bằng cuốc chim dễ dàng. |
|
IV |
Trầm tích vụn thô: Sạn, dăm, cuội sỏi có kích thước cuội nhỏ hơn 3 - 5cm trên 50%. Trầm tích gắn kết trung bình không bị biến chất: cát kết, sét kết, travenrtin; than đá. Đá gốc biến chất, xâm nhập, phun trào; đá biến đổi nhiệt dịch silic hóa, thạch anh hóa bị phong hóa mạnh. |
|
V |
Đá gốc trầm tích hạt vụn, hạt nhỏ gắn kết chắc chưa bị biến chất (sét kết, bột kết, cát kết hạt nhỏ tuổi Trias - Paleogen); đá trepel, diatomit; quặng sắt limonit. Đá gốc biến chất, xâm nhập, phun trào; đá biến đổi nhiệt dịch silic hóa, thạch anh hóa bị bán phong hóa, bị dập vỡ yếu nhưng còn cứng. |
|
VI |
Đá carbonat (đá vôi, đolomit, đá hoa, canxiphia); quặng sắt gơtit; đá xâm nhập mafic, kiềm, siêu mafic; đá biến đổi nhiệt dịch thạch anh carbonat bị bán phong hóa; đá gốc xâm nhập mafic, kiềm, siêu mafic; đá biến đổi nhiệt dịch thạch anh - carbonat tươi hoặc bán phong hóa bị dập vỡ mạnh, rất mạnh. |
|
VII |
Tufit, tuf, cát kết, cát kết tuf; đá phiến sét, đá phiến sét sericit; đá vôi bị silic hóa. Đá xâm nhập mafic, kiềm, siêu mafic bán phong hóa; các loại đá gốc xâm nhập, phun trào, biến chất bị phong hóa hoặc phong hóa yếu, bị dập vỡ. |
|
VIII |
Cát kết, cuội kết tuf, cát kết tuf. Aglomerat; đá vôi silic; bột kết, cát kết hạt nhỏ bị thạch anh hóa yếu (thạch anh nhỏ hơn 10%). Đá xâm nhập, phun trào, biến chất thuộc cấp X, XI, XII bị dập vỡ mạnh (đá dập vỡ cấp V, cấp VI) bị bán phong hóa (phong hóa cấp II). |
|
IX |
Đá xâm nhập, biến chất, biến đổi nhiệt dịch có thành phần felspat chiếm trên 80% không có hoặc có rất ít thạch anh; đá phiến thạch anh serici; cuội kết. Đá biến đổi nhiệt dịch silic hóa, thạch anh hóa có hàm lượng silic và thạch anh 30 - 50%. Đá cấp X, XI, XII bị phong hóa yếu, bị dập vỡ. |
|
X |
Đá xâm nhập axit, trung tính, kiềm, mafic và đá mạch: Granit, leucogranit, plagiogranit, ganodiorit, aplit; diorit, diorit thạch anh, diaba, spexatit; syenit, syenit thạch anh, granosyenit, monzonit, gabro gabroid, gabrodiorit; dunit, periditit, pyroxenit... Đá phun trào: Ryolit, ryodacit, dacit; trachiryolit, trachidacit; andesit, andesitobaxan, trachyt; bazan, trachytobazan, phonolit; picrit... |
|
|
Đá biến chất tướng granulit; đá skarn; quặng sắt magnetit; quặng titan gốc; đá biến đổi nhiệt dịch silic hóa, thạch anh hóa có hàm lượng silic và thạch anh 50 - 70%. Nhóm đá cấp XI bị phong hóa, dập vỡ yếu. |
|
XI |
Đá phiến kết tinh, micmatit, cát kết dạng quazit, bột kết dạng quazit, gneis, dăm kết kiến tạo, cataclasit. Đá thuộc cấp XII bị phong hóa yếu, bị nứt nẻ. |
|
XII |
Quazit, đá silic, đá mạch thạch anh, đá sừng các loại; đá biến đổi nhiệt dịch silic hóa, thạch anh hóa có hàm lượng silic và thạch anh trên 70%; cuội tảng có thành phần cuội là đá si lic, quarzit, thạch anh; đá có thành phần khoáng vật corindon, thạch anh chiếm chủ yếu; gnei dạng mắt. |
PHỤ LỤC SỐ 04
Phân loại đường vận chuyển trạm quay camera bằng ôtô
|
Loại đường |
Đặc điểm |
|---|---|
|
Đường loại I |
Nền đường vững chắc, mặt đường bằng phẳng, tốc độ xe chạy đạt 50 - 60 km/giờ, đường tương đối thẳng, không ngoặt, tầm nhìn xa, xe chạy ít xóc. |
|
Đường loại II |
Nền đường vững chắc, thỉnh thoảng có ổ gà nhỏ, nông, có dốc nhưng thấp, ngắn, tầm nhìn xa không bị hạn chế, xe chạy hơi xóc nhỏ, tốc độ xe chạy đạt 40 - 45 km/giờ. |
|
Đường loại III |
Nền đường vững chắc, có đoạn hơi hẹp, nhiều đoạn dốc, tầm nhìn xa bị hạn chế, đường quanh co nhưng rộng, tốc độ xe chạy 30 - 35 km/giờ. |
|
Đường loại IV |
Nền đường yếu, rạn, mặt đường lồi lõm khó đi, đường cong hơi ngoặt, độ dốc cao hơi dài, đường hẹp, tầm nhìn xa bị hạn chế, nhiều ổ gà lớn, tốc độ xe chạy đạt 20 - 25 km/giờ. |
|
Đường loại V |
Nền đường chưa ổn định, bị lún, đường lầy, ổ gà nhiều, qua suối, dốc cao, dài, đường cong gấp, mặt đường có đá lăn chắn, gồ ghề, xe chạy xóc, mặt đường lởm chởm, tầm nhìn xa bị hạn chế, tốc độ xe chạy 10 - 15 km/giờ, đường đất có dốc cao phải dùng xe kéo, liên tục đèo dốc, gập ghềnh, đường cong gấp, taluy dốc, đường hẹp, quay xe khó. |
MỤC LỤC
PHẦN I. QUY ĐỊNH CHUNG
PHẦN II. QUY ĐỊNH KỸ THUẬT KHẢO SÁT, ĐO ĐẠC TÀI NGUYÊN NƯỚC VÀ ĐÁNH GIÁ, DỰ BÁO TÀI NGUYÊN NƯỚC BẰNG MÔ HÌNH DÒNG CHẢY
CHƯƠNG 1. QUY ĐỊNH KỸ THUẬT KHẢO SÁT, ĐO ĐẠC TÀI NGUYÊN NƯỚC MẶT
I. Đo chiều sâu mực nước
I.1. Các nội dung công việc và quy định kỹ thuật
I.2. Hồ sơ sản phẩm giao nộp
II. Đo lưu lượng nước trên sông bằng máy đo siêu âm
II.1. Các nội dung công việc và quy định kỹ thuật
II.2. Hồ sơ sản phẩm giao nộp
III. Đo lưu lượng nước trên kênh cứng bằng máy đo siêu âm
III.1. Các nội dung công việc và quy định kỹ thuật
III.2. Hồ sơ sản phẩm giao nộp
IV. Đo lưu lượng nước trên kênh tự nhiên bằng máy đo siêu âm
IV.1. Các nội dung công việc và quy định kỹ thuật
IV.2. Hồ sơ sản phẩm giao nộp
V. Đo lưu lượng nước trong đường ống kín
V.1. Các nội dung công việc và quy định kỹ thuật
V.2. Hồ sơ sản phẩm giao nộp
VI. Đo lưu lượng nước bằng phao trên kênh tự nhiên, suối
VI.1. Các nội dung công việc và quy định kỹ thuật
VI.2. Hồ sơ sản phẩm giao nộp
VII. Đo lưu lượng nước sông bằng máy đo lưu tốc kế
VII.1. Các nội dung công việc và quy định kỹ thuật
VII.2. Hồ sơ sản phẩm giao nộp
VIII. Đo lưu lượng nước trên kênh cứng bằng máy đo lưu tốc kế
VIII.1. Các nội dung công việc và quy định kỹ thuật
VIII.2. Hồ sơ sản phẩm giao nộp
IX. Đo lưu lượng nước kênh tự nhiên bằng máy đo lưu tốc kế
IX.1. Các nội dung công việc
IX.2. Hồ sơ sản phẩm giao nộp
X. Đo đạc chất lượng nước hiện trường bằng máy TOA hoặc máy HACH
X.1. Các nội dung công việc và quy định kỹ thuật
X.2. Hồ sơ sản phẩm giao nộp
CHƯƠNG 2. QUY ĐỊNH KỸ THUẬT KHẢO SÁT, ĐO ĐẠC TÀI NGUYÊN NƯỚC DƯỚI ĐẤT
I. Khảo sát, đo lưu lượng mạch lộ bằng thùng định lượng, ván đo
I.1. Các nội dung công việc và yêu cầu kỹ thuật
I.2. Hồ sơ sản phẩm giao nộp
II. Khảo sát, đo đạc lưu lượng một giếng khoan có sẵn thiết bị khai thác
II.1. Các nội dung công việc và yêu cầu kỹ thuật
II.2. Hồ sơ sản phẩm giao nộp
III. Khảo sát, đo đạc lưu lượng một công trình có sẵn thiết bị khai thác
III.1. Các nội dung công việc
III.2. Hồ sơ sản phẩm giao nộp
IV. Khảo sát, đo mực nước trong giếng khoan hở (chưa lắp đặt thiết bị)
IV.1. Các nội dung công việc và yêu cầu kỹ thuật
IV.2. Hồ sơ sản phẩm giao nộp
V. Đo chất lượng nước tại hiện trường bằng máy TOA hoặc máy HACH
V.1. Các nội dung công việc
V.2. Hồ sơ sản phẩm giao nộp
VI. Khoan điều tra, khảo sát, thăm dò nước dưới đất
VII. Bơm hút nước thí nghiệm
VIII. Quay camera giếng khoan
VIII.1. Các nội dung công việc và yêu cầu kỹ thuật
VIII.2. Hồ sơ sản phẩm giao nộp
IX. Đo chiều sâu giếng khoan
IX.1. Các nội dung công việc và yêu cầu kỹ thuật
IX.2. Hồ sơ sản phẩm giao nộp
X. Đo tọa độ bằng GPS cầm tay
X.1. Các nội dung công việc và yêu cầu kỹ thuật
X.2. Hồ sơ sản phẩm giao nộp
CHƯƠNG 3. QUY ĐỊNH KỸ THUẬT ĐÁNH GIÁ, DỰ BÁO TÀI NGUYÊN NƯỚC BẰNG MÔ HÌNH DÒNG CHẢY
I. Đánh giá, dự báo tài nguyên nước mặt
I.1. Nội dung công việc và yêu cầu kỹ thuật
I.2. Hồ sơ giao nộp sản phẩm
II. Đánh giá, dự báo tài nguyên nước dưới đất
II.1. Các nội dung công việc và yêu cầu kỹ thuật
II.2. Hồ sơ giao nộp sản phẩm
PHẦN III. ĐỊNH MỨC KINH TẾ - KỸ THUẬT KHẢO SÁT, ĐO ĐẠC TÀI NGUYÊN NƯỚC VÀ ĐÁNH GIÁ, DỰ BÁO TÀI NGUYÊN NƯỚC BẰNG MÔ HÌNH DÒNG CHẢY
CHƯƠNG 1. KHẢO SÁT, ĐO ĐẠC TÀI NGUYÊN NƯỚC MẶT
I. ĐO CHIỀU SÂU MỰC NƯỚC
I.1. Định mức lao động
I.2. Định mức thiết bị
I.3. Định mức dụng cụ
I.4. Định mức vật liệu
II. ĐO LƯU LƯỢNG
II.1. Đo lưu lượng nước bằng máy siêu âm
II.2. Đo lưu lượng nước bằng phao trên kênh tự nhiên, suối
II.3. Đo lưu lượng bằng lưu tốc kế
III. KHẢO SÁT, ĐO ĐẠC CHẤT LƯỢNG NƯỚC MẶT
III.1. Lấy mẫu nước thủ công
III.2. Đo đạc chất lượng nước bằng máy TOA
III.3. Đo đạc chất lượng nước bằng máy HACH
CHƯƠNG 2. KHẢO SÁT, ĐO ĐẠC TÀI NGUYÊN NƯỚC DƯỚI ĐẤT
I. KHẢO SÁT, ĐO ĐẠC LƯU LƯỢNG, MỰC NƯỚC DƯỚI ĐẤT
I.1. Khảo sát, đo lưu lượng mạch lộ bằng thùng định lượng, ván đo
I.2. Khảo sát, đo đạc lưu lượng một giếng khoan có sẵn thiết bị khai thác
I.3. Khảo sát, đo đạc lưu lượng một công trình có sẵn thiết bị khai thác
I.4. Khảo sát, đo mực nước trong giếng khoan hở (chưa lắp đặt thiết bị khai thác)
II. KHẢO SÁT, ĐO ĐẠC CHẤT LƯỢNG NƯỚC DƯỚI ĐẤT
II.1. Lấy mẫu nước thủ công trong giếng đào, hang karst
II.2. Lấy mẫu nước giếng khoan có sẵn thiết bị khai thác
II.3. Lấy mẫu nước giếng khoan không có sẵn thiết bị khai thác
II.4. Đo chất lượng nước tại hiện trường bằng máy TOA
II.5. Đo chất lượng nước tại hiện trường bằng máy HACH
III. KHOAN ĐIỀU TRA, KHẢO SÁT, THĂM DÒ NƯỚC DƯỚI ĐẤT
III.1. Định mức lao động
III.2. Định mức thiết bị
III.3. Định mức dụng cụ
III.4. Định mức vật liệu
IV. BƠM HÚT NƯỚC THÍ NGHIỆM
IV.1. Bơm nước thí nghiệm giếng đào
IV.2. Bơm hút nước thí nghiệm hang karst
IV.3. Bơm nước thí nghiệm giếng khoan đường kính nhỏ
IV.4. Bơm nước thí nghiệm chùm
IV.5. Bơm nước thí nghiệm giật cấp
V. MỘT SỐ CÔNG VIỆC KHẢO SÁT KHÁC
V.1. Quay camera giếng khoan
V.2. Đo chiều sâu giếng khoan hở (chưa lắp thiết bị khai thác)
V.3. Đo tọa độ bằng GPS cầm tay
CHƯƠNG 3. ĐÁNH GIÁ, DỰ BÁO TÀI NGUYÊN NƯỚC BẰNG MÔ HÌNH DÒNG CHẢY
I. ĐÁNH GIÁ, DỰ BÁO TÀI NGUYÊN NƯỚC MẶT
I.1. Định mức lao động
I.2. Định mức thiết bị
I.3. Định mức dụng cụ
I.4. Định mức vật liệu
II. ĐÁNH GIÁ, DỰ BÁO TÀI NGUYÊN NƯỚC DƯỚI ĐẤT
II.1. Định mức lao động
II.2. Định mức thiết bị
II.3. Định mức dụng cụ
II.4. Định mức vật liệu
PHẦN IV. PHỤ LỤC
PHỤ LỤC SỐ 01. Phân loại điều kiện đi lại
PHỤ LỤC SỐ 02. Phân loại điều kiện thủy văn
PHỤ LỤC SỐ 03. Phân loại khó khăn theo cấp đất đá cho khoan
PHỤ LỤC SỐ 04. Phân loại đường vận chuyển trạm quay camera bằng ôtô
Bạn chưa Đăng nhập thành viên.
Đây là tiện ích dành cho tài khoản thành viên. Vui lòng Đăng nhập để xem chi tiết. Nếu chưa có tài khoản, vui lòng Đăng ký tại đây!
Bạn chưa Đăng nhập thành viên.
Đây là tiện ích dành cho tài khoản thành viên. Vui lòng Đăng nhập để xem chi tiết. Nếu chưa có tài khoản, vui lòng Đăng ký tại đây!