- Tổng quan
- Nội dung
- VB gốc
- Tiếng Anh
- Hiệu lực
- VB liên quan
- Lược đồ
-
Nội dung hợp nhất
Tính năng này chỉ có tại LuatVietnam.vn. Nội dung hợp nhất tổng hợp lại tất cả các quy định còn hiệu lực của văn bản gốc và các văn bản sửa đổi, bổ sung, đính chính... trên một trang. Việc hợp nhất văn bản gốc và những văn bản, Thông tư, Nghị định hướng dẫn khác không làm thay đổi thứ tự điều khoản, nội dung.
Khách hàng chỉ cần xem Nội dung hợp nhất là có thể nắm bắt toàn bộ quy định hiện hành đang áp dụng, cho dù văn bản gốc đã qua nhiều lần chỉnh sửa, bổ sung.
- Tải về
Thông tư 33/2018/TT-BTNMT quy trình khắc phục hậu quả sự cố tràn dầu trên biển
| Cơ quan ban hành: | Bộ Tài nguyên và Môi trường |
Số công báo:
Số công báo là mã số ấn phẩm được đăng chính thức trên ấn phẩm thông tin của Nhà nước. Mã số này do Chính phủ thống nhất quản lý.
|
Đã biết
|
| Số hiệu: | 33/2018/TT-BTNMT | Ngày đăng công báo: |
Đã biết
|
| Loại văn bản: | Thông tư | Người ký: | Trần Quý Kiên |
|
Ngày ban hành:
Ngày ban hành là ngày, tháng, năm văn bản được thông qua hoặc ký ban hành.
|
26/12/2018 |
Ngày hết hiệu lực:
Ngày hết hiệu lực là ngày, tháng, năm văn bản chính thức không còn hiệu lực (áp dụng).
|
Đang cập nhật |
|
Áp dụng:
Ngày áp dụng là ngày, tháng, năm văn bản chính thức có hiệu lực (áp dụng).
|
Đã biết
|
Tình trạng hiệu lực:
Cho biết trạng thái hiệu lực của văn bản đang tra cứu: Chưa áp dụng, Còn hiệu lực, Hết hiệu lực, Hết hiệu lực 1 phần; Đã sửa đổi, Đính chính hay Không còn phù hợp,...
|
Đã biết
|
| Lĩnh vực: | Tài nguyên-Môi trường |
TÓM TẮT THÔNG TƯ 33/2018/TT-BTNMT
Thông tư 33/2018/TT-BTNMT quy định quy trình khắc phục hậu quả sự cố tràn dầu trên biển được Bộ Tài nguyên và Môi trường thông qua ngày 26/12/2018.
Theo đó, tần suất đo đạc, quan trắc, lấy mẫu và phân tích các thông số môi trường vượt tiêu chuẩn, quy chuẩn quốc gia về môi trường cho phép như sau:
- Đối với môi trường nước biển: 01 tuần/lần;
- Đối với môi trường trầm tích bề mặt đáy biển: 2 tuần/lần;
Định kỳ 15 ngày tiến hành đánh giá diễn biến ô nhiễm môi trường do sự cố tràn dầu trên biển theo mẫu. Cơ quan, tổ chức, cá nhân khắc phục sự số tràn dầu trên biển có trách nhiệm thực hiện báo cáo diễn biến ô nhiễm môi trường do sự cố tràn dầu trên biển.
Theo dõi diễn biến ô nhiễm môi trường do sự cố tràn dầu trên biển được tiến hành trong vòng 30 ngày kể từ ngày báo cáo kết quả đánh giá chi tiết mức độ ô nhiễm môi trường biển do sự cố tràn dầu trên biển.
Thông tư này có hiệu lực từ ngày 12/03/2019.
Xem chi tiết Thông tư 33/2018/TT-BTNMT có hiệu lực kể từ ngày 12/03/2019
Tải Thông tư 33/2018/TT-BTNMT
|
BỘ TÀI NGUYÊN VÀ Số: 33/2018/TT-BTNMT |
CỘNG HÒA XÃ HỘI CHỦ NGHĨA VIỆT NAM Hà Nội, ngày 26 tháng 12 năm 2018 |
Căn cứ Luật Tài nguyên, môi trường biển và hải đảo, ngày 25 tháng 6 năm 2015;
Căn cứ Luật Bảo vệ môi trường, ngày 23 tháng 6 năm 2014;
Căn cứ Nghị định số 40/2016/NĐ-CP ngày 15 tháng 5 năm 2016 của Chính phủ hướng dẫn thi hành một số điều của Luật Tài nguyên, môi trường biển và hải đảo;
Căn cứ Nghị định số 30/2017/NĐ-CP ngày 21 tháng 3 năm 2017 của Chính phủ quy định tổ chức, hoạt động ứng phó sự cố, thiên tai và tìm kiếm cứu nạn;
Căn cứ Nghị định số 36/2017/NĐ-CP ngày 04 tháng 4 năm 2017 của Chính phủ quy định chức năng, nhiệm vụ, quyền hạn và cơ cấu tổ chức của Bộ Tài nguyên và Môi trường;
Căn cứ Quyết định số 02/2013/QĐ-TTg ngày 14 tháng 01 năm 2013 của Thủ tướng Chính phủ ban hành Quy chế hoạt động ứng phó sự cố tràn dầu và Quyết định số 63/2014/QĐ-TTg ngày 11 tháng 11 năm 2014 của Thủ tướng Chính phủ sửa đổi, bổ sung một số điều của Quy chế hoạt động ứng phó sự cố tràn dầu ban hành kèm theo Quyết định số 02/2013/QĐ-TTg ngày 14 tháng 01 năm 2013 của Thủ tướng Chính phủ;
Theo đề nghị của Tổng cục trưởng Tổng cục Biển và Hải đảo Việt Nam, Vụ trưởng Vụ Khoa học và Công nghệ, Vụ trưởng Vụ Pháp chế;
Bộ trưởng Bộ Tài nguyên và Môi trường ban hành Thông tư quy định quy trình khắc phục hậu quả sự cố tràn dầu trên biển.
Chương I
QUY ĐỊNH CHUNG
Điều 1. Phạm vi điều chỉnh
Thông tư này quy định quy trình khắc phục hậu quả sự cố tràn dầu trên biển bao gồm: điều tra, đánh giá mức độ ô nhiễm môi trường do sự cố tràn dầu trên biển; lập, thực hiện và giám sát; đánh giá việc thực hiện kế hoạch khắc phục hậu quả sự cố tràn dầu trên vùng biển Việt Nam.
Điều 2. Đối tượng áp dụng
Thông tư này áp dụng đối với cơ quan quản lý nhà nước, tổ chức, cá nhân Việt Nam và nước ngoài có hoạt động liên quan đến khắc phục hậu quả sự cố tràn dầu trên vùng biển Việt Nam.
Điều 3. Giải thích từ ngữ
Khắc phục hậu quả sự cố tràn dầu trên biển là các hoạt động nhằm làm sạch đất ven biển, nước, bề mặt trầm tích đáy biển, hệ sinh thái khu vực bị nhiễm dầu và các biện pháp hạn chế thiệt hại, phục hồi môi sinh, môi trường biển sau sự cố tràn dầu trên biển.
Điều 4. Nguyên tắc chung của việc khắc phục hậu quả sự cố tràn dầu trên biển
1. Các cơ quan, tổ chức và cá nhân liên quan có trách nhiệm phối hợp chặt chẽ và huy động các nguồn lực nhằm thực hiện việc khắc phục hậu quả sự cố tràn dầu trên biển.
2. Việc khắc phục hậu quả sự cố tràn dầu phải sử dụng thông tin, dữ liệu, kết quả ứng phó sự cố tràn dầu và điều tra, khảo sát bổ sung, cập nhật.
3. Lựa chọn các công nghệ tiên tiến, công nghệ thân thiện môi trường.
4. Chất lượng môi trường biển sau khi khắc phục hậu quả sự cố tràn dầu trên biển được cải thiện và có khả năng phục hồi đáp ứng các tiêu chuẩn, quy chuẩn kỹ thuật quốc gia về môi trường.
Điều 5. Quy trình khắc phục hậu quả sự cố tràn dầu trên biển
1. Điều tra, đánh giá mức độ ô nhiễm môi trường do sự cố tràn dầu trên biển.
2. Lập kế hoạch khắc phục hậu quả sự cố tràn dầu trên biển.
3. Thực hiện kế hoạch khắc phục hậu quả sự cố tràn dầu trên biển và giám sát việc thực hiện kế hoạch.
4. Đánh giá kết quả thực hiện kế hoạch khắc phục hậu quả sự cố tràn dầu trên biển.
Chương II
ĐIỀU TRA, ĐÁNH GIÁ MỨC ĐỘ Ô NHIỄM MÔI TRƯỜNG DO SỰ CỐ TRÀN DẦU TRÊN BIỂN
Điều 6. Xác định phạm vi khu vực điều tra, đánh giá sơ bộ mức độ ô nhiễm môi trường biển
Phạm vi khu vực điều tra, đánh giá sơ bộ mức độ ô nhiễm môi trường biển được xác định trên cơ sở ảnh viễn thám, quay phim, chụp ảnh tại hiện trường và các kết quả của hoạt động ứng phó từ thông tin, dữ liệu của các báo cáo quy định tại Khoản 1 Điều 13 Quy chế hoạt động ứng phó sự cố tràn dầu ban hành kèm theo Quyết định số 02/2013/QĐ-TTg ngày 14 tháng 01 năm 2013 của Thủ tướng Chính phủ ban hành Quy chế hoạt động ứng phó sự cố tràn dầu (sau đây gọi là Quyết định số 02/2013/QĐ-TTg).
Điều 7. Điều tra, đánh giá sơ bộ mức độ ô nhiễm môi trường biển
1. Việc điều tra, đánh giá sơ bộ mức độ ô nhiễm môi trường biển được tiến hành đối với các khu vực đã được xác định theo quy định tại Điều 6 Thông tư này.
2. Trình tự điều tra, đánh giá sơ bộ mức độ ô nhiễm môi trường biển:
a) Thu thập, tổng hợp thông tin, tài liệu, dữ liệu về hiện trạng môi trường, hệ sinh thái biển theo quy định tại Điều 8 Thông tư này;
b) Đo đạc, quan trắc, lấy và phân tích mẫu nhằm xác định nồng độ dầu trong môi trường biển theo quy định tại Điều 10 Thông tư này;
c) Đánh giá sơ bộ mức độ ô nhiễm môi trường biển bao gồm: xác định nồng độ tổng dầu mỡ khoáng đối với môi trường nước biển và tổng hydrocacbon trong môi trường trầm tích bề mặt đáy biển theo quy định tại Điều 10 Thông tư này; so sánh với các tiêu chuẩn, quy chuẩn kỹ thuật quốc gia về môi trường hiện hành;
d) Đánh giá sơ bộ ảnh hưởng sự cố tràn dầu trên biển đối với tài nguyên sinh vật, hệ sinh thái;
đ) Lập báo cáo điều tra, khảo sát, đánh giá sơ bộ mức độ ô nhiễm môi trường biển do sự cố tràn dầu trên biển theo mẫu quy định tại Phụ lục 01 ban hành kèm theo Thông tư này.
3. Cơ quan, tổ chức, cá nhân có trách nhiệm khắc phục hậu quả sự cố tràn dầu trên biển (sau đây gọi chung là cơ quan, tổ chức, cá nhân khắc phục hậu quả sự cố tràn dầu) là các chủ thể được xác định theo quy định tại Điều 112 Luật Bảo vệ môi trường có trách nhiệm thực hiện hoạt động, điều tra, đánh giá sơ bộ mức độ ô nhiễm môi trường do sự cố tràn dầu trên biển.
Việc điều tra đánh giá sơ bộ ô nhiễm môi trường biển do sự cố dầu tràn trên biển phải hoàn thành không quá 10 ngày kể từ khi có báo cáo kết thúc sự cố tràn dầu quy định tại Điểm c Khoản 1 Điều 13 Quy chế hoạt động ứng phó sự cố tràn dầu ban hành kèm theo Quyết định số 02/2013/QĐ-TTg.
4. Căn cứ báo cáo tổng hợp kết quả điều tra, đánh giá sơ bộ mức độ ô nhiễm môi trường biển, thực hiện các hoạt động sau:
a) Trường hợp nồng độ dầu trong môi trường nước, môi trường trầm tích bề mặt đáy biển thấp hơn giá trị tiêu chuẩn, quy chuẩn kỹ thuật quốc gia về môi trường cho phép, không có dầu tập kết tại khu vực bờ biển và ảnh hưởng sự cố tràn dầu đối với tài nguyên sinh vật là không đáng kể thì tiến hành công bố thông tin khu vực không bị ô nhiễm môi trường, kết thúc hoạt động khắc phục hậu quả sự cố tràn dầu trên biển.
Việc công bố thông tin thực hiện theo các quy định hiện hành của pháp luật bảo vệ môi trường về công bố thông tin hiện trạng môi trường;
b) Trường hợp không thuộc quy định tại Điểm a khoản này thì việc điều tra, đánh giá chi tiết mức độ ô nhiễm môi trường biển được thực hiện theo quy định tại Điều 12 Thông tư này.
Khu vực điều tra, đánh giá chi tiết mức độ ô nhiễm môi trường biển là khu vực điều tra, đánh giá sơ bộ đã được xác định tại Điều 6 Thông tư này.
Điều 8. Thu thập, tổng hợp thông tin, tài liệu, dữ liệu về hiện trạng môi trường biển phục vụ điều tra, đánh giá sơ bộ mức độ ô nhiễm môi trường biển
1. Thông tin, dữ liệu phải được thu thập từ các nguồn thống kê chính thức, được thừa nhận về pháp lý, bảo đảm độ tin cậy, chính xác, được cập nhật mới nhất.
2. Nguồn thông tin, dữ liệu phục vụ đánh giá sơ bộ mức độ ô nhiễm môi trường do sự cố tràn dầu bao gồm:
a) Thông tin, dữ liệu từ các Niên giám thống kê của Tổng cục Thống kê và của cơ quan thống kê các cấp ở địa phương;
b) Thông tin, dữ liệu từ các kết quả quan trắc tài nguyên, môi trường của hệ thống quan trắc tài nguyên, môi trường của thế giới, khu vực, quốc gia và hệ thống quan trắc tài nguyên, môi trường của các địa phương; kết quả của các chương trình nghiên cứu khoa học, đề tài nghiên cứu khoa học cấp tỉnh, cấp bộ, cấp nhà nước đã được nghiệm thu;
c) Thông tin, dữ liệu do các bộ, sở, ban, ngành liên quan cung cấp;
d) Các báo cáo quy định tại Khoản 1 Điều 13 Quyết định số 02/2013/QĐ-TTg;
đ) Các thông tin, dữ liệu được điều tra, khảo sát bổ sung tại thực địa;
e) Thông tin, dữ liệu về khu vực điều tra, đánh giá sơ bộ từ ảnh viễn thám hoặc ảnh hàng không;
g) Các thông tin, dữ liệu từ các nguồn tin cậy khác.
3. Thông tin, dữ liệu liên quan đến khu vực điều tra, đánh giá sơ bộ cần thu thập, tổng hợp bao gồm:
a) Thông tin, dữ liệu về điều kiện tự nhiên, tài nguyên thiên nhiên, các hệ sinh thái, bao gồm: điều kiện địa chất, địa mạo đường bờ, khí tượng, thủy văn, hải văn; tiềm năng, phân bố các dạng tài nguyên; các khu bảo tồn, hệ sinh thái rạn san hô, thảm cỏ biển, rừng ngập mặn và các hệ sinh thái biển khác;
b) Thông tin, dữ liệu về hiện trạng các thành phần môi trường nước, môi trường trầm tích, tình trạng ô nhiễm, sự cố môi trường, các nguồn thải ở khu vực vùng bờ;
c) Thông tin dữ liệu về thiệt hại tài sản, con người, các tác động đến kinh tế, xã hội, môi trường do sự cố tràn dầu trên biển;
d) Các thông tin, dữ liệu khác có liên quan.
4. Tổng hợp, phân tích các thông tin, dữ liệu đã thu thập.
5. Trường hợp các thông tin, dữ liệu thu thập tổng hợp được xác định theo quy định tại Khoản 2 Điều này không đáp ứng yêu cầu đánh giá sơ bộ ô nhiễm môi trường do sự cố tràn dầu trên biển thì phải tiến hành điều tra, khảo sát tại thực địa để bổ sung các thông tin, dữ liệu cần thiết theo sơ đồ mạng lưới các vị trí và kế hoạch đo đạc, quan trắc, lấy mẫu bổ sung quy định tại Điều 9 Thông tư này.
Điều 9. Xây dựng sơ đồ mạng lưới các vị trí và lập kế hoạch đo đạc, quan trắc, lấy mẫu bổ sung phục vụ điều tra, đánh giá sơ bộ mức độ ô nhiễm môi trường biển
1. Xây dựng sơ đồ mạng lưới các vị trí đo đạc, quan trắc, lấy mẫu bổ sung
Việc xây dựng sơ đồ mạng lưới các vị trí đo đạc, quan trắc, lấy mẫu bổ sung được thực hiện theo các quy định có liên quan về đo đạc, quan trắc, lấy mẫu bổ sung.
2. Lập kế hoạch đo đạc, quan trắc, lấy mẫu bổ sung
a) Nội dung, phương pháp, cách thức đo đạc, quan trắc, lấy mẫu bổ sung;
b) Khối lượng công việc đo đạc, quan trắc, lấy mẫu bổ sung;
c) Thời gian đo đạc, quan trắc, lấy mẫu bổ sung;
d) Nhân lực, trang thiết bị thực hiện đo đạc, quan trắc, lấy mẫu bổ sung.
Điều 10. Điều tra, đo đạc, quan trắc xác định nồng độ dầu trong môi trường biển, hiện trạng tài nguyên sinh vật, các hệ sinh thái phục vụ điều tra, đánh giá sơ bộ mức độ ô nhiễm môi trường biển
1. Việc đo đạc, quan trắc và lấy mẫu được tiến hành tại các vị trí và theo kế hoạch đã được xác định tại Điều 9 Thông tư này. Việc lấy và xử lý, bảo quản mẫu nước biển và mẫu trầm tích bề mặt đáy biển được thực hiện đúng theo các quy định hiện hành.
2. Quan trắc các yếu tố khí tượng, thủy văn, bao gồm: tầm nhìn xa, nhiệt độ không khí, áp suất khí quyển, độ ẩm không khí, gió, mưa, nhiệt độ nước biển, trạng thái mặt biển; ghi lại các hiện tượng thời tiết khác (nếu có).
3. Tiến hành đo đạc, quan trắc các yếu tố môi trường nước biển, mẫu trầm tích bề mặt đáy biển do sự cố tràn dầu.
4. Quan sát, quay phim, chụp ảnh, phỏng vấn, ghi chép về hiện trạng tài nguyên sinh vật, các hệ sinh thái.
5. Rà soát, kiểm tra, chỉnh lý tài liệu, số liệu đo đạc, quan trắc thực địa.
6. Vận chuyển mẫu về phòng thí nghiệm để phân tích.
7. Xử lý và phân tích mẫu tại phòng thí nghiệm.
Điều 11. Điều tra, đo đạc, khảo sát chi tiết mức độ ô nhiễm môi trường biển
1. Trình tự điều tra, khảo sát chi tiết mức độ ô nhiễm môi trường biển
a) Phân chia khu vực điều tra, đánh giá chi tiết thành các tiểu vùng căn cứ vào các tiêu chí được quy định tại Khoản 2 Điều này;
b) Xây dựng tuyến, điểm, lập sơ đồ mạng lưới các vị trí đo đạc, quan trắc, lấy và phân tích mẫu môi trường biển trên cơ sở bổ sung, tăng dầy các vị trí đã được xác định theo quy định tại Điều 9 Thông tư này, bảo đảm mỗi tiểu vùng có ít nhất một tuyến đo đạc, quan trắc, lấy mẫu và mật độ vị trí đo đạc, quan trắc phù hợp với tiêu chuẩn, quy chuẩn đánh giá chất lượng môi trường biển theo quy định hiện hành; quan sát, quay phim, chụp ảnh, phỏng vấn, ghi chép về hiện trạng, phân tích đánh giá ảnh hưởng của dầu tràn tới tài nguyên sinh vật, các hệ sinh thái;
c) Lập kế hoạch đo đạc, quan trắc, lấy và phân tích mẫu môi trường biển;
d) Thực hiện kế hoạch đo đạc, quan trắc, lấy và phân tích mẫu môi trường biển theo các quy định hiện hành. Các thông số môi trường biển cần phân tích được quy định tại Khoản 3 Điều này.
2. Việc phân chia khu vực điều tra, đánh giá chi tiết thành các tiểu vùng căn cứ vào các tiêu chí sau đây:
a) Điều kiện tự nhiên, đặc điểm hình thái, địa mạo;
b) Đặc điểm tài nguyên sinh vật, các hệ sinh thái;
c) Các hoạt động khai thác, sử dụng tài nguyên biển.
3. Các thông số môi trường nước biển; các thông số môi trường trầm tích bề mặt đáy biển do sự cố tràn dầu gây ra cần phân tích theo tiêu chuẩn, quy chuẩn kỹ thuật quốc gia về môi trường.
Điều 12. Đánh giá chi tiết mức độ ô nhiễm môi trường biển
1. Nội dung đánh giá chi tiết gồm:
a) Đánh giá mức độ ô nhiễm môi trường nước biển, trầm tích bề mặt đáy biển trên cơ sở so sánh với các thông số quy định tại quy chuẩn kỹ thuật quốc gia về môi trường hiện hành quy định tại Khoản 3 Điều 11 Thông tư này;
b) Đánh giá mức độ tổn thương về môi trường biển do sự cố tràn dầu gây ra đối với các tiểu vùng theo quy định tại Khoản 2 Điều này.
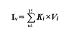
2. Việc đánh giá mức độ tổn thương về môi trường biển do sự cố tràn dầu gây ra đối với các tiểu vùng được tiến hành như sau:
Iv =
Ki ×Vi
b) Phân cấp mức độ tổn thương do ô nhiễm môi trường của tiểu vùng theo giá trị chỉ số mức độ tổn thương Iv thành 04 cấp: mức độ tổn thương thấp, mức độ tổn thương trung bình, mức độ tổn thương cao, mức độ tổn thương rất cao.
3. Lập báo cáo kết quả đánh giá chi tiết mức độ ô nhiễm môi trường biển do sự cố tràn dầu trên biển theo mẫu quy định tại Phụ lục 03 ban hành kèm theo Thông tư này.
Cơ quan, tổ chức, cá nhân khắc phục sự cố tràn dầu trên biển có trách nhiệm thực hiện hoạt động điều tra, đánh giá chi tiết mức độ ô nhiễm môi trường do sự cố.
Việc điều tra, đánh giá chi tiết mức độ ô nhiễm môi trường do sự cố tràn dầu trên biển phải hoàn thành không quá 20 ngày làm việc kể từ khi có báo cáo điều tra, đánh giá sơ bộ.
Điều 13. Điều kiện lập kế hoạch khắc phục hậu quả sự cố tràn dầu trên biển
1. Việc lập kế hoạch khắc phục sự cố tràn dầu trên biển được tiến hành khi thuộc một trong các trường hợp sau:
a) Số lượng các vị trí có nồng độ các thông số môi trường đánh giá lớn hơn giá trị các thông số cho phép theo tiêu chuẩn, quy chuẩn quốc gia về môi trường chiếm tỷ lệ lớn hơn 25% tổng số vị trí đo đạc, quan trắc, lấy mẫu;
b) Tổng diện tích các tiểu vùng có mức độ tổn thương thấp chiếm tỷ lệ lớn hơn 15% tổng diện tích khu vực điều tra, đánh giá chi tiết.
2. Những trường hợp không thuộc quy định tại Khoản 1 Điều này thì tiến hành theo dõi diễn biến mức độ ô nhiễm môi trường biển theo quy định tại Điều 14 Thông tư này.
Điều 14. Theo dõi diễn biến ô nhiễm môi trường do sự cố tràn dầu biển
1. Tiến hành đo đạc, quan trắc, lấy mẫu và phân tích các thông số môi trường vượt tiêu chuẩn, quy chuẩn kỹ thuật quốc gia về môi trường cho phép và định kỳ đánh giá mức độ tổn thương của từng tiểu vùng.
2. Tần suất đo đạc, quan trắc, lấy mẫu và phân tích các thông số môi trường vượt tiêu chuẩn, quy chuẩn quốc gia về môi trường cho phép:
a) Đối với môi trường nước biển: 01 tuần một lần;
b) Đối với môi trường trầm tích bề mặt đáy biển: 02 tuần một lần.
3. Định kỳ 15 ngày tiến hành đánh giá diễn biến ô nhiễm môi trường do sự cố tràn dầu trên biển theo mẫu được quy định tại Phụ lục 04 ban hành kèm theo Thông tư này.
Cơ quan, tổ chức, cá nhân khắc phục sự cố tràn dầu trên biển có trách nhiệm thực hiện báo cáo diễn biến ô nhiễm môi trường do sự cố tràn dầu trên biển.
4. Theo dõi diễn biến ô nhiễm môi trường do sự cố tràn dầu trên biển được tiến hành trong vòng 30 ngày kể từ ngày báo cáo kết quả đánh giá chi tiết mức độ ô nhiễm môi trường biển do sự cố tràn dầu trên biển. Trường hợp các thông số môi trường vẫn vượt tiêu chuẩn, quy chuẩn quốc gia về môi trường cho phép thì tiến hành lập kế hoạch khắc phục hậu quả sự cố tràn dầu trên biển.
Chương III
LẬP VÀ THỰC HIỆN KẾ HOẠCH KHẮC PHỤC HẬU QUẢ SỰ CỐ TRÀN DẦU TRÊN BIỂN
Điều 15. Lập kế hoạch khắc phục hậu quả sự cố tràn dầu trên biển
1. Trong thời hạn 10 ngày kể từ ngày có báo cáo đánh giá chi tiết mức độ ô nhiễm môi trường do sự cố tràn dầu trên biển hoặc kể từ ngày kết thúc việc theo dõi diễn biến môi trường biển, cơ quan, tổ chức, cá nhân khắc phục hậu quả sự cố tràn dầu trên biển có trách nhiệm hoàn thành việc lập kế hoạch khắc phục hậu quả sự cố tràn dầu trên biển.
2. Nội dung chính của kế hoạch khắc phục hậu quả sự cố tràn dầu trên biển bao gồm:
a) Căn cứ lập kế hoạch khắc phục hậu quả sự cố tràn dầu trên biển;
b) Mục tiêu, phạm vi của hoạt động khắc phục hậu quả sự cố tràn dầu trên biển;
c) Phương án khắc phục hậu quả sự cố tràn dầu trên biển;
d) Nội dung giám sát việc thực hiện kế hoạch khắc phục hậu quả sự cố tràn dầu trên biển theo phương án đã được lựa chọn quy định tại Khoản 2 Điều 18 Thông tư này;
đ) Kết quả thực hiện kế hoạch khắc phục hậu quả sự cố tràn dầu trên biển.
Nội dung chi tiết của kế hoạch khắc phục hậu quả sự cố tràn dầu trên biển theo mẫu quy định tại Phụ lục 05 ban hành kèm theo Thông tư này.
3. Cơ quan, tổ chức, cá nhân khắc phục hậu quả sự cố tràn dầu trên biển sau khi lập kế hoạch khắc phục hậu quả sự cố tràn dầu trên biển phải gửi về Ủy ban nhân dân các cấp nơi xảy ra sự cố tràn dầu và bộ, ngành trực tiếp quản lý.
4. Ủy ban nhân dân các tỉnh, thành phố trực thuộc trung ương và các bộ, ngành gửi kế hoạch khắc phục hậu quả sự cố tràn dầu trên biển về Bộ Tài nguyên và Môi trường .
Điều 16. Thực hiện kế hoạch khắc phục hậu quả sự cố tràn dầu trên biển
1. Việc thực hiện kế hoạch khắc phục hậu quả sự cố tràn dầu trên biển phải tuân thủ nội dung của kế hoạch.
2. Sau khi kết thúc việc thực hiện kế hoạch khắc phục hậu quả sự cố tràn dầu trên biển thì việc gửi báo cáo kết quả thực hiện kế hoạch đến các cơ quan theo quy định tại Khoản 3, Khoản 4 Điều 15 Thông tư này.
Điều 17. Điều chỉnh kế hoạch khắc phục hậu quả sự cố tràn dầu trên biển
1. Cơ quan, tổ chức, cá nhân khắc phục hậu quả sự cố tràn dầu trên biển điều chỉnh Kế hoạch khắc phục hậu quả sự cố tràn dầu trên biển khi thuộc một trong các trường hợp sau:
a) Phương án khắc phục hậu quả sự cố tràn dầu trên biển theo kế hoạch không hiệu quả;
b) Do yêu cầu đột xuất về quốc phòng, an ninh;
c) Do thiên tai hoặc các trường hợp bất khả kháng.
2. Trường hợp quy định tại Điểm a Khoản 1 Điều này phải căn cứ vào báo cáo kết quả đánh giá việc thực hiện kế hoạch khắc phục hậu quả sự cố tràn dầu trên biển. Việc điều chỉnh kế hoạch khắc phục hậu quả sự cố tràn dầu trên biển phải hoàn thành trong thời hạn 10 ngày kể từ ngày quyết định điều chỉnh.
Nội dung chính của kế hoạch điều chỉnh thực hiện theo quy định tại Khoản 2 Điều 15 Thông tư này và gửi kế hoạch điều chỉnh đến các cơ quan có liên quan thực hiện theo quy định tại Khoản 3, Khoản 4 Điều 15 Thông tư này.
Điều 18. Giám sát kết quả việc thực hiện khắc phục hậu quả sự cố tràn dầu trên biển
1. Cơ quan nhận kế hoạch và báo cáo kết quả thực hiện trong phạm vi nhiệm vụ, quyền hạn của mình có trách nhiệm giám sát kết quả việc khắc phục hậu quả sự cố tràn dầu trên biển.
2. Nội dung giám sát:
a) Các thông số môi trường đạt tiêu chuẩn, quy chuẩn kỹ thuật quốc gia về môi trường hiện hành;
b) Tài nguyên sinh vật, các hệ sinh thái được phục hồi.
Điều 19. Đánh giá kết quả thực hiện kế hoạch khắc phục hậu quả sự cố tràn dầu trên biển
1. Cơ quan, tổ chức, cá nhân khắc phục hậu quả sự cố tràn dầu trên biển có trách nhiệm đánh giá kết quả thực hiện kế hoạch và kế hoạch được điều chỉnh.
2. Đánh giá kết quả thực hiện kế hoạch khắc phục hậu quả sự cố tràn dầu trên biển được lập thành báo cáo theo mẫu quy định tại Phụ lục 06 ban hành kèm theo của Thông tư này.
Chương IV
ĐIỀU KHOẢN THI HÀNH
Điều 20. Hiệu lực thi hành
Thông tư này có hiệu lực thi hành kể từ ngày 12 tháng 3 năm 2019.
Điều 21. Tổ chức thực hiện
1. Tổng cục Biển và Hải đảo Việt Nam chịu trách nhiệm hướng dẫn, kiểm tra, giám sát việc thực hiện Thông tư này.
2. Các Bộ, cơ quan ngang bộ, cơ quan thuộc Chính phủ, Ủy ban nhân dân các tỉnh, thành phố trực thuộc Trung ương và tổ chức, cá nhân có liên quan chịu trách nhiệm thực hiện Thông tư này.
3. Trong quá trình thực hiện nếu có khó khăn, vướng mắc, các bộ, ngành, địa phương, tổ chức, cá nhân kịp thời phản ánh về Bộ Tài nguyên và Môi trường để nghiên cứu sửa đổi, bổ sung cho phù hợp./.
|
Nơi nhận: |
KT. BỘ TRƯỞNG |
PHỤ LỤC 01
MẪU BÁO CÁO ĐIỀU TRA, ĐÁNH GIÁ SƠ BỘ MỨC ĐỘ Ô NHIỄM MÔI TRƯỜNG BIỂN DO SỰ CỐ TRÀN DẦU TRÊN BIỂN
(Ban hành kèm theo Thông tư số 33 /2018/TT-BTNMT ngày 26 tháng 12 năm 2018
của Bộ trưởng Bộ Tài nguyên và Môi trường)
CHƯƠNG I. THÔNG TIN CHUNG
1. Mục tiêu
2. Vị trí địa lý
3. Đặc điểm điều kiện tự nhiên, khí tượng thủy, hải văn
CHƯƠNG II. NỘI DUNG ĐIỀU TRA, KHẢO SÁT SƠ BỘ MỨC ĐỘ Ô NHIỄM MÔI TRƯỜNG BIỂN DO
- Công tác chuẩn bị:
+ Xác định tuyến điều tra, khảo sát thể hiện trên bản đồ;
+ Nhân lực, máy móc, thiết bị, vật tư điều tra, khảo sát thực địa;
+ Phương tiện vận chuyển;
- Nội dung điều tra sơ bộ mức độ ô nhiễm môi trường biển bao gồm các nội dung sau:
+ Thu thập điều tra, khảo sát tại thực địa;
+ Hiện trạng chất lượng môi trường nước;
+ Hiện trạng chất lượng môi trường trầm tích bề mặt đáy biển;
+ Hiện trạng tài nguyên sinh vật và các hệ sinh thái;
- Các thông tin điều tra, khảo sát bao gồm:
+ Các yếu tố khí tượng, thủy văn, bao gồm: tầm nhìn xa, nhiệt độ không khí, áp suất khí quyển, độ ẩm không khí, gió, mưa, nhiệt độ nước biển, trạng thái mặt biển; ghi lại các hiện tượng thời tiết.
+ Các yếu tố môi trường nước biển, bao gồm: pH; Ôxy hoà tan (DO); Tổng chất rắn lơ lửng (TSS), Tổng dầu mỡ khoáng.
+ Yếu tố môi trường trầm tích đáy bề mặt: tổng hydrocarbon.
Các điểm đo đạc, lấy mẫu phải có mã số, tọa độ, có chỉ dẫn về thời gian, địa điểm, đồng thời, phải được thể hiện bằng các biểu, bảng rõ ràng và được minh họa bằng sơ đồ bố trí các điểm trên nền bản đồ khu vực xảy ra sự cố tràn dầu. Việc đo đạc, lấy mẫu, phân tích phải tuân thủ quy trình, quy phạm về quan trắc, phân tích môi trường.
+ Hiện trạng tài nguyên sinh vật, hệ sinh thái của khu vực chịu ảnh hưởng của sự cố tràn dầu, bao gồm: số liệu, thông tin về đa dạng sinh học biển và các hệ sinh thái có thể bị tác động do sự cố tràn dầu (nếu có) được ghi nhận thông qua quan sát, quay phim, chụp ảnh, phỏng vấn, ghi chép.
CHƯƠNG IV. ĐÁNH GIÁ MỨC ĐỘ Ô NHIỄM MÔI TRƯỜNG DO SỰ CỐ TRÀN DẦU TRÊN BIỂN
1. Đánh giá mức độ ô nhiễm môi trường nước biển
a) Xác định nồng độ tổng dầu mỡ khoáng đối với môi trường nước biển và so sánh với các tiêu chuẩn, quy chuẩn kỹ thuật quốc gia về môi trường hiện hành.
b) Phân tích, đánh giá mức độ ô nhiễm môi trường nước biển do sự cố tràn dầu.
2. Đánh giá mức độ ô nhiễm môi trường trầm tích bề mặt đáy biển
a) Xác định tổng hydrocacbon trong trầm tích bề mặt đáy biển và so sánh với các tiêu chuẩn, quy chuẩn kỹ thuật quốc gia về môi trường hiện hành.
b) Phân tích, đánh giá mức độ ô nhiễm môi trường trầm tích bề mặt đáy biển do sự cố tràn dầu.
3. Đánh giá ảnh hưởng của dầu tràn đến tài nguyên sinh vật, các hệ sinh thái
CHƯƠNG V. KẾT LUẬN, KIẾN NGHỊ
1. Kết luận
2. Kiến nghị
TÀI LIỆU THAM KHẢO
PHỤ LỤC 02
GIÁ TRỊ CỦA CÁC CHỈ SỐ THÀNH PHẦN
(Ban hành kèm theo Thông tư số 33/2018/TT-BTNMT ngày 26 tháng 12 năm 2018 của Bộ trưởng Bộ Tài nguyên và Môi trường)
| STT | Chỉ số thành phần | Giá trị các chỉ số thành phần | ||||
| 0 | 1 | 2 | 3 | 4 | ||
| 1 | Loài sinh vật | Không có loài sinh vật được bảo vệ. | Có loài sinh vật được bảo vệ hoặc được đánh giá ở mức hiếm. | Có loài sinh vật được đánh giá ở mức sắp bị đe dọa. | Có loài sinh vật được đánh giá ở mức bị đe dọa. | Có loài sinh vật được đánh giá ở mức sắp nguy cấp hoặc nguy cấp. |
| 2 | Khu bảo tồn | Không thuộc khu bảo tồn. | Khu bảo vệ cảnh quan cấp tỉnh. | Khu bảo tồn loài - sinh cảnh cấp tỉnh ; Khu dự trữ thiên nhiên cấp tỉnh. | Khu bảo vệ cảnh quan cấp quốc gia. | Khu dự trữ thiên nhiên, khu bảo tồn loài - sinh cảnh cấp quốc gia. |
| 3 | Tỷ lệ diện tích của khu nuôi trồng so với tổng diện tích của tiểu vùng (%) | 0 - 10 | > 10 - 20 | > 20 - 35 | > 35 - 50 | > 50 |
| 4 | Vận tải cảng biển (10000 tấn) | Không có cảng biển | 1 - 1000 | > 1000 - 3000 | > 3000 - 6000 | > 6000 |
| 5 | Khu du lịch, giải trí, tắm biển | Không có khu du lịch, giải trí, tắm biển. | Danh lam thắng cảnh, di tích lịch sử văn hóa gần bờ. | Công viên biển, bãi biển phục vụ giải trí. | Bãi tắm công cộng, bãi biển phục vụ các môn thể thao dưới nước quy mô cấp tỉnh. | Bãi tắm công cộng, bãi biển phục vụ các môn thể thao dưới nước quy mô liên tỉnh, quốc gia. |
| 6 | Điểm lấy nước | Không có điểm lấy nước. | Có điểm lấy nước phục vụ công nghiệp chung. | Có điểm lấy nước phục vụ cho nuôi trồng thủy sản. | Có điểm lấy nước phục vụ làm mát. | Có điểm lấy nước phục vụ cho mục đích, sinh hoạt. |
| 7 | Mức độ tiện lợi của hệ thống giao thông để tiếp cận tiểu vùng | Có đường quốc lộ. | Có đường cao tốc. | Có đường liên huyện. | Có đường liên xã. | Không có đường. |
| 8 | Mức độ sẵn sàng, kinh nghiệm ứng phó, khắc phục sự cố tràn dầu trên biển | Đã có kế hoạch ứng phó sự cố tràn dầu, bản đồ nhạy cảm môi trường do dầu tràn; đã từng ứng phó, khắc phục sự cố tràn dầu trên biển. | Đã có kế hoạch ứng phó sự cố tràn dầu, bản đồ nhạy cảm môi trường do dầu tràn nhưng chưa từng ứng phó, khắc phục sự cố tràn dầu trên biển. | Đã có kế hoạch ứng phó sự cố tràn dầu, chưa có bản đồ nhạy cảm môi trường do dầu tràn và chưa từng ứng phó, khắc phục sự cố tràn dầu trên biển. | Chưa có kế hoạch ứng phó sự cố tràn dầu, chưa có bản đồ nhạy cảm môi trường do dầu tràn; đã từng ứng phó, khắc phục sự cố tràn dầu trên biển. | Chưa có kế hoạch ứng phó sự cố tràn dầu và bản đồ nhạy cảm môi trường do dầu tràn trên biển; chưa từng ứng phó, khắc phục sự cố tràn dầu trên biển. |
| 9 | Loại hình bờ biển | Đá gốc, đê chắn sóng. | Đá, kè nhân tạo. | Cát, sỏi. | Bãi biển trầm tích. | Đất ngập nước, rừng ngập mặn. |
| 10 | Độ dốc trung bình đáy biển của tiểu vùng (độ) | > 5° | > 4° - 5° | > 2,5° - 4° | 1° - 2,5° | < 1° |
| 11 | Tốc độ trung bình dòng chảy ven bờ (m/s) | > 0,8 | > 0,6 - 0,8 | > 0,4 - 0,6 | > 0,2 - 0,4 | 0 - 0,2 |
| 12 | Hướng đường bờ so với hướng sóng tới (độ) | 0 - 5o | >5 - 10o | >10 - 20o | >20 - 30o | > 30o |
| 13 | Độ uốn của đường bờ | 1 - 1,10 | > 1,1 - 1,25 | > 1,25 - 1,50 | > 1,50 - 1,80 | > 1,80 |
| 14 | Tỷ lệ mẫu vượt tiêu chuẩn cho phép trong tiểu vùng (%) | 25 | > 25 - 30 | > 30 - 35 | > 35 - 40 | > 40 |
| 15 | Khả năng xâm nhập, thẩm thấu dầu vào môi trường trầm tích, môi trường đất | Trầm tích đáy vùng ngập nước là bùn, cát rất mịn. | Trầm tích đáy vùng ngập nước là cát; bãi biển cát mịn. | Trầm tích đáy vùng ngập nước là sỏi, cuội; bãi biển là cát thô và ẩm ướt. | Bãi biển là cát thô và khô ráo; hoặc bãi biển là cuội, sỏi và ẩm ướt. | Bãi biển là cuội, sỏi và khô ráo. |
PHỤ LỤC 03
MẪU BÁO CÁO KẾT QUẢ ĐÁNH GIÁ CHI TIẾT MỨC ĐỘ Ô NHIỄM MÔI TRƯỜNG DO SỰ CỐ TRÀN DẦU TRÊN BIỂN
(Ban hành kèm theo Thông tư số 33 /2018/TT-BTNMT ngày 26 tháng 12 năm 2018 của Bộ trưởng Bộ Tài nguyên và Môi trường)
CHƯƠNG I: THÔNG TIN CHUNG
1. Vị trí, đặc điểm, phạm vi tràn dầu trên biển
- Vị trí sự cố tràn dầu.
- Đặc điểm loại dầu (dầu thô, dầu thành phẩm…).
- Phạm vi, quy mô tràn dầu.
2. Đơn vị lập báo cáo điều tra, khảo sát chi tiết
Nêu đầy đủ, chính xác tên của đơn vị lập báo cáo điều tra, khảo sát chi tiết: tên gọi, địa chỉ, số điện thoại, fax, E-mail.
3. Mô tả tóm tắt tác động của sự cố tràn dầu trên biển
- Phạm vi không gian sự cố tràn dầu.
- Các tác động trước mắt và tiềm tàng của sự cố tràn dầu đến tài nguyên, môi trường, kinh tế xã hội khu vực xảy ra sự cố.
4. Mô tả tóm tắt giai đoạn ứng phó sự cố tràn dầu.
CHƯƠNG II. PHẠM VI ĐIỀU TRA, KHẢO SÁT VÀ ĐIỀU KIỆN MÔI TRƯỜNG TỰ NHIÊN VÀ KINH TẾ - XÃ HỘI
1. Phạm vi không gian và thời gian của đánh giá chi tiết
1.1. Phạm vi không gian
Nêu rõ phạm vi không gian thực hiện điều tra, khảo sát (phạm vi không gian thực hiện điều tra, khảo sát là những vùng lãnh hải có khả năng chịu tác động (tiêu cực, tích cực) bởi sự cố tràn dầu).
1.2. Phạm vi thời gian
Thể hiện rõ khoảng thời gian được xem xét, dự báo, đánh giá tác động của sự cố tràn dầu trong quá trình điều tra, khảo sát.
2. Điều kiện môi trường tự nhiên và kinh tế-xã hội (KT-XH)
2.1. Điều kiện địa lý, địa chất
- Mô tả tổng quát điều kiện địa lý, địa chất, của vùng có khả năng ảnh hưởng bởi các tác động (tiêu cực, tích cực) của sự cố tràn dầu.
- Mô tả tổng quát đặc điểm địa hình, cảnh quan khu vực, trong đó đặc biệt chi tiết đối với các danh lam thắng cảnh đã được xếp hạng cấp quốc tế (di sản thiên nhiên), cấp khu vực, cấp quốc gia phân bố trên khu vực có khả năng tác động bởi các tác động (tiêu cực, tích cực) của sự cố tràn dầu.
2.2. Điều kiện khí tượng, thủy văn, hải văn
- Mô tả tổng quát về điều kiện khí tượng gồm chế độ nhiệt, chế độ nắng, chế độ mưa, chế độ gió và các điều kiện khí tượng khác.
- Mô tả tổng quát về điều kiện hải văn đối với vùng xảy ra sự cố tràn dầu.
- Liệt kê các hiện tượng khí tượng cực đoan (lốc, bão, lũ lụt, v.v.) đã xảy ra trên khu vực bị ô nhiễm môi trường do sự cố tràn dầu.
2.3. Hiện trạng các thành phần môi trường tự nhiên
- Mô tả tổng quát hiện trạng các thành phần môi trường gồm môi trường trầm tích bề mặt đáy biển, môi trường nước biển và môi trường hệ sinh thái biển thuộc vùng có khả năng chịu tác động bởi sự cố tràn dầu.
- Mô tả tổng quát đặc điểm hệ sinh thái, tính đa dạng sinh học (phong phú về gen, loài) san hô, cỏ biển, bãi cá, bãi đẻ, bãi giống thuộc vùng sự cố tràn dầu có khả năng chịu tác động (tiêu cực, tích cực) bởi sự cố tràn dầu bao gồm: đặc điểm thảm thực vật (rừng ngập mặn), các khu bảo tồn thiên nhiên; các loài động, thực vật hoang dã, quý hiếm, đặc hữu, các loài nguy cấp và các loài ngoại lai.
- Các dịch vụ hệ sinh thái đang được khai thác, sử dụng và tiềm năng thuộc vùng sự cố tràn dầu.
2.4. Điều kiện về kinh tế
Mô tả tổng quát về hiện trạng hoạt động của các ngành kinh tế chính thuộc khu vực sự cố tràn dầu (nông nghiệp, khai khoáng, du lịch, thương mại và các ngành kinh tế khác) có khả năng chịu tác động bởi sự cố tràn dầu.
2.5. Điều kiện về xã hội, an ninh quốc phòng
- Các công trình văn hóa, lịch sử, tôn giáo, tín ngưỡng và các công trình quan trọng khác có khả năng chịu tác động (tiêu cực, tích cực) bởi sự cố tràn dầu.
- Mô tả về dân số, tỷ lệ hộ nghèo thuộc khu vực có khả năng chịu tác động (tiêu cực, tích cực) bởi sự cố tràn dầu.
2.6. Các vị trí, khu vực có vai trò đặc biệt về vị trí an ninh, quốc phòng, vai trò vị thế có tầm quan trọng đặc biệt.
3. Thực hiện điều tra, khảo sát
3.1. Phương pháp thực hiện điều tra, khảo sát.
Liệt kê đầy đủ các phương pháp điều tra, khảo sát và các phương pháp có liên quan khác đã được sử dụng để thực hiện điều tra, khảo sát.
+ Đối với từng phương pháp được sử dụng cần chỉ rõ cơ sở của việc lựa chọn các phương pháp.
+ Chỉ rõ phương pháp được sử dụng như thế nào và ở bước nào của quá trình thực hiện điều tra, khảo sát.
3.2. Kế hoạch điều tra, khảo sát
- Sơ đồ tuyến đo đạc, quan trắc, lấy mẫu;
- Thời gian đo đạc, quan trắc, lấy mẫu;
- Trang thiết bị thực hiện đo đạc, quan trắc, lấy mẫu;
- Số lượng mẫu đo đạc, quan trắc, lấy mẫu.
CHƯƠNG III. ĐÁNH GIÁ MỨC ĐỘ Ô NHIỄM MÔI TRƯỜNG DO SỰ CỐ TRÀN DẦU TRÊN BIỂN
1. Phân tích, đánh giá mức độ ô nhiễm môi trường biển
Đánh giá mức độ ô nhiễm môi trường biển do sự cố tràn dầu căn cứ vào các thông số môi trường biển cụ thể:
- Môi trường nước biển;
- Môi trường trầm tích bề mặt đáy biển;
- Mức độ đa dạng sinh học và tài nguyên sinh vật.
2. Đánh giá mức độ tổn thương do ô nhiễm môi trường biển gây ra bởi sự cố tràn dầu đối với các tiểu vùng được tiến hành như sau:
a) Đánh giá định lượng chỉ số mức độ tổn thương (Iv), được tính toán từ 15 chỉ số thành phần (Vi) và trọng số của các thành phần đó (Ki) theo công thức sau:

Giá trị định lượng trọng số Ki của các chỉ số thành phần Vi tương ứng phản ánh mức độ quan trọng của chỉ số thành phần đó đối với chỉ số mức độ tổn thương của tiểu vùng, được xác định thông qua các công cụ, phương pháp khai thác kiến thức của chuyên gia.
Giá trị của các chỉ số thành phần Vi được xác định bằng cách cho điểm theo các tiêu chí quy định tại Phụ lục 02 ban hành kèm theo Thông tư này.
b) Phân cấp mức độ tổn thương do ô nhiễm môi trường của tiểu vùng theo giá trị chỉ số mức độ tổn thương Iv thành 04 (bốn) cấp: mức độ tổn thương thấp, mức độ tổn thương trung bình, mức độ tổn thương cao, mức độ tổn thương rất cao.
CHƯƠNG IV. KẾT LUẬN VÀ KIẾN NGHỊ
1. Kết luận
2. Kiến nghị
TÀI LIỆU THAM KHẢO
PHỤ LỤC 04
MẪU BÁO CÁO ĐÁNH GIÁ DIỄN BIẾN MỨC ĐỘ Ô NHIỄM MÔI TRƯỜNG DO SỰ CỐ TRÀN DẦU TRÊN BIỂN
(Ban hành kèm theo Thông tư số 33 /2018/TT-BTNMT ngày 26 tháng 12 năm 2018 của Bộ trưởng Bộ Tài nguyên và Môi trường)
CHƯƠNG I. THÔNG TIN CHUNG
1. Vị trí, đặc điểm, phạm vi tràn dầu
- Vị trí sự cố tràn dầu;
- Đặc điểm loại dầu (dầu thô, dầu thành phẩm…);
- Phạm vi, quy mô tràn dầu.
2. Đơn vị lập báo cáo điều tra, khảo sát chi tiết
Nêu đầy đủ, chính xác tên của đơn vị lập báo cáo điều tra, khảo sát chi tiết: tên gọi, địa chỉ, số điện thoại, fax, email.
3. Mô tả tóm tắt tác động của sự cố tràn dầu
- Phạm vi không gian sự cố tràn dầu.
- Các tác động trước mắt và tiềm tàng của sự cố tràn dầu đến tài nguyên, môi trường, kinh tế xã hội khu vực xảy ra sự cố.
4. Mô tả tóm tắt giai đoạn ứng phó sự cố tràn dầu
CHƯƠNG II. KHÁI QUÁT DIỄN BIẾN CHẤT LƯỢNG MÔI TRƯỜNG NƯỚC, TRẦM TÍCH THEO CÁC THÔNG SỐ ĐẶC TRƯNG
1. Diễn biến môi trường nước biển ven bờ
- Khái quát diễn biến chất lượng nước biển theo các thông số đặc trưng được quy định tại Phụ lục 02 ban hành kèm theo Thông tư này.
- So sánh chất lượng nước biển, biểu diễn qua biểu đồ hoặc bản đồ:
+ Với các tiêu chuẩn, quy chuẩn kỹ thuật quốc gia về môi trường.
+ Giữa các tháng và giữa các giai đoạn lập báo cáo.
Bảng 1: Kết quả quan trắc môi trường nước
| TT | Thông số | Đơn vị | Tần suất quan trắc | QCVN | Ghi chú | |||
| Lần 1 | Lần 2 | Lần 3 | Lần 4 |
|
| |||
| 1 |
|
|
|
|
|
|
|
|
| 2 |
|
|
|
|
|
|
|
|
| 3 |
|
|
|
|
|
|
|
|
| .... |
|
|
|
|
|
|
|
|
2. Diễn biến môi trường trầm tích bề mặt đáy biển
- Khái quát diễn biến chất lượng trầm tích bề mặt đáy biển theo các thông số đặc trưng được quy định tại Phụ lục 02 ban hành kèm theo Thông tư này.
- So sánh chất lượng nước biển, biểu diễn qua biểu đồ hoặc bản đồ:
+ Với các tiêu chuẩn, quy chuẩn kỹ thuật quốc gia về môi trường hiện hành.
+ Giữa các tháng và giữa các giai đoạn lập báo cáo.
Bảng 2: Kết quả quan trắc môi trường trầm tích
| TT | Thông số | Đơn vị | Tần suất quan trắc | QCVN | Ghi chú | |
| Lần 1 | Lần 2 |
|
| |||
| 1 |
|
|
|
|
|
|
| 2 |
|
|
|
|
|
|
| 3 |
|
|
|
|
|
|
| ... |
|
|
|
|
|
|
3. Thông tin về tài nguyên sinh vật, các hệ sinh thái
- Số lượng;
- Thành phần loài;
- Mật độ;
- Sinh khối;
- Các loài đặc thù, đặc hữu;
- Các loài trong danh mục Sách đỏ IUCN và Sách đỏ Việt Nam.
4. Nhận xét và đánh giá kết quả
- Đánh giá về các số liệu và kết quả quan trắc của đợt theo từng khu vực và từng thành phần môi trường quy định tại Phụ lục 02 ban hành kèm theo Thông tư này so sánh với các tiêu chuẩn, quy chuẩn kỹ thuật quốc gia về môi trường hiện hành.
- Vẽ biểu đồ và nhận xét sơ bộ về chất lượng môi trường theo không gian của từng thành phần môi trường (các biểu đồ có dạng cơ bản như dạng cột, dạng đường…). Thống kê các điểm quan trắc có thông số vượt quy chuẩn và các vấn đề bất thường.
- So sánh chất lượng môi trường giữa các đợt quan trắc khác trong quá trình ứng phó và khắc phục sự cố.
- Đánh giá sự biến động tài nguyên sinh vật, các hệ sinh thái.
CHƯƠNG III. KẾT LUẬN VÀ KIẾN NGHỊ
1. Kết luận
2. Kiến nghị
TÀI LIỆU THAM KHẢO
PHỤ LỤC 05
MẪU KẾ HOẠCH KHẮC PHỤC HẬU QUẢ SỰ CỐ TRÀN DẦU TRÊN BIỂN
(Ban hành kèm theo Thông tư số 33 /2018/TT-BTNMT ngày 26 tháng 12 năm 2018 của Bộ trưởng Bộ Tài nguyên và Môi trường)
CHƯƠNG I. THÔNG TIN CHUNG
1. Căn cứ lập kế hoạch
Liệt kê các văn bản pháp luật, các quy chuẩn kỹ thuật môi trường làm căn cứ để thực hiện dự án.
2. Mục tiêu, phạm vi hoạt động khắc phục hậu quả sự cố tràn dầu trên biển
2.1. Mục tiêu
2.2. Phạm vi
3. Mô tả tóm tắt công việc giai đoạn ứng phó và hoạt động ứng phó sự cố
CHƯƠNG II. HIỆN TRẠNG KHU VỰC BỊ Ô NHIỄM MÔI TRƯỜNG DO SỰ CỐ TRÀN DẦU TRÊN BIỂN
Chương này trình bày những kết quả điều tra, đánh giá sơ bộ và chi tiết về khu vực bị ảnh hưởng do sự cố tràn dầu. Những thông tin chính cần được nêu tại chương này bao gồm:
1. Thông tin chung
Liệt kê những thông tin cơ bản về điều kiện tự nhiên, kinh tế xã hội của khu vực bị nhiễm dầu bao gồm:
1.1. Điều kiện tự nhiên
Nêu tóm tắt các nội dung sau: các tài liệu về đường bờ, điều kiện tự nhiên, đặc điểm khí hậu, thủy hải văn, địa hình, địa chất, địa chất môi trường, tai biến địa chất, tài nguyên khoáng sản, tài nguyên sinh vật, hiện trạng môi trường, hệ sinh thái biển.
Bản đồ nền địa hình; bản đồ hiện trạng và quy hoạch bản đồ nền khu vực biển phục vụ mục đích khai thác, sử dụng an ninh quốc gia.
1.2. Điều kiện kinh tế - xã hội
Nêu tóm tắt các nội dung sau: số liệu, tài liệu về xã hội liên quan khu vực bị nhiễm dầu.
Các tài liệu, số liệu về kinh tế: số liệu về các ngành công nghiệp, nông nghiệp, khai thác và chế biến thủy sản, du lịch...
2. Thông tin về khu vực bị ô nhiễm
2.1. Vị trí khu vực: vị trí địa lý, tọa độ địa lý, ranh giới của khu vực bị ô nhiễm, tổ chức, cá nhân được giao khu vực biển để khai thác, sử dụng tài nguyên biển và thông tin liên hệ.
2.2. Tình hình khai thác, sử dụng tài nguyên, môi trường biển của khu vực.
2.3. Bản đồ, ảnh thể hiện các điều kiện tự nhiên, tình hình khai thác sử dụng tài nguyên, hiện trạng môi trường, tình hình ô nhiễm của khu vực và các thông tin dữ liệu khác có liên quan.
3. Phạm vi và mức độ ô nhiễm
3.1. Các đợt điều tra, khảo sát đã thực hiện
Liệt kê, mô tả tóm tắt các đợt điều tra, khảo sát và báo cáo kết quả điều tra, đánh giá tương ứng;
3.2. Kết quả khoanh vùng phạm vi ô nhiễm: cần nêu được các nguồn ô nhiễm có trong khu vực; phạm vi của khu vực bị ô nhiễm và phạm vi của các nguồn ô nhiễm có trong khu vực.
3.3. Kết quả quan trắc và phân tích môi trường
Nêu rõ phương pháp lấy mẫu gồm: sơ đồ và vị trí lấy mẫu, phương pháp lấy mẫu, thời gian lấy mẫu, số lần lấy mẫu, loại mẫu, độ sâu lấy mẫu, chỉ tiêu phân tích phương pháp phân tích. Trong phần này, phải kèm theo các hình vẽ, sơ đồ về vị trí lấy mẫu.
Diễn giải, phân tích, đánh giá các kết quả phân tích (nước biển, trầm tích bề mặt đáy biển, tài nguyên sinh vật, hệ sinh thái). Có thể diễn giải theo bảng biểu, so sánh với các tiêu chuẩn, quy chuẩn kỹ thuật môi trường hiện hành.
3.4. Kết quả đánh giá mức độ ô nhiễm của khu vực: mô tả được việc áp dụng phương pháp phân loại mức độ của khu vực bị ô nhiễm theo các tiêu chí.
CHƯƠNG III. LỰA CHỌN PHƯƠNG ÁN KHẮC PHỤC
1. Các biện pháp kỹ thuật
Đối với từng đối tượng tồn tại trong khu vực bị ô nhiễm, đưa ra các biện pháp kỹ thuật khắc phục ô nhiễm môi trường khác nhau. Các biện pháp kỹ thuật có thể được chia ra thành các giai đoạn như sau:
1.1. Các biện pháp bảo vệ đối tượng bị tác động trước khi khắc phục
- Thông báo cho các đối tượng bị tác động, các nhóm đối tượng bị ảnh hưởng về tình trạng của khu vực;
- Di dời các đối tượng bị tác động ra khỏi khu vực ô nhiễm.
1.2. Các biện pháp khắc phục hậu quả sự cố tràn dầu trên biển
- Ngăn chặn và thu gom dầu còn tồn dư sau khi ứng phó: việc lựa chọn phương pháp ngăn chặn và thu hồi dầu tràn hiệu quả cần căn cứ trên thực tế (thời điểm xảy ra, lượng dầu tràn, loại dầu tràn, địa điểm xảy ra sự cố, điều kiện môi trường - thời tiết, hướng và thời gian dầu trôi dạt, ...) và phương tiện, trang thiết bị và lực lượng khắc phục có thể huy động đến hiện trường;
- Thu hồi dầu tràn còn tồn dư sau khi ứng phó: sau khi dầu đã được cô lập, công việc tiếp theo là sử dụng các biện pháp thu hồi dầu như sau:
+ Bằng biện pháp thủ công: sử dụng tay, xô, chậu, ...
+ Bằng phương tiện cơ giới: phương pháp này chỉ áp dụng được trong trường hợp tàu thu hồi dầu và thiết bị thu hồi dầu tiếp xúc trực tiếp với dầu tràn. Các trang thiết bị chuyên dụng như tàu thu hồi dầu có trang bị thiết bị thu hồi dầu - là các máy bơm cơ động, bồn chứa dầu…
+ Bơm hút dầu tràn chuyên dụng: chia làm 3 loại phổ biến theo cơ chế hoạt động của từng loại máy.
+ Vật liệu thấm hút dầu
- Ứng dụng quá trình sinh học trong khắc phục sự cố tràn dầu trên biển: khi việc thu gom dầu tràn bằng các biện pháp cơ học (phao quây, bơm hút...) không thể thực hiện như đường bờ biển, các dải đá... bị nhiễm dầu thì đây là giải pháp xử lý hiệu quả kinh tế và triệt để.
+ Chỉ được sử dụng các chế phẩm sinh học đã đăng ký và được phép của Bộ Tài nguyên và Môi trường .
+ Sử dụng chế phẩm sinh học không được vượt quá mức cho phép và tuân thủ quy trình, hướng dẫn sử dụng của Bộ Tài nguyên và Môi trường .
- Hoạt động làm sạch đường bờ: kỹ thuật xử lý và làm sạch bờ cụ thể đối với từng kiểu, dạng bờ, cụ thể:
| Phương pháp làm sạch | Bờ nhân tạo (bờ đá) | Bờ đá cuội sỏi | Bờ cát | Đầm lầy, rừng ngập mặn |
| Làm sạch tự nhiên và thu gom thủ công |
|
| x | x |
| Quây phao và bơm gạn dầu để thu hồi dầu tràn | x | x |
|
|
| Dùng nước áp lực thấp để xịt rửa dầu khỏi bề mặt đường bờ | x | x | x | x |
| Dùng nước áp lực thấp, cao để làm sạch bề mặt bờ | x | x |
|
|
| Trong quá trình này dung phao quay khu vực làm sạch | x | x |
|
|
| Làm sạch với chất hấp phụ | Nếu cần thiết | x | x | x |
1.3. Các biện pháp kiểm soát khu vực bị ô nhiễm sau khi khắc phục
- Thông báo công khai, cảnh báo và duy trì cảnh báo khu vực bị ô nhiễm;
- Khoanh vùng, cô lập, cách ly nhằm ngăn ngừa các tác động của khu vực bị ô nhiễm và chất gây ô nhiễm lan truyền ra môi trường xung quanh;
- Theo dõi, quan trắc định kỳ chất lượng môi trường xung quanh và công bố thông tin.
2. Bảng so sánh các biện pháp kỹ thuật
Lập bảng so sánh các biện pháp kỹ thuật để xây dựng, lựa chọn phương án tối ưu cho việc khắc phục hậu quả sự cố tràn dầu trên biển. Việc xác định các biện pháp kỹ thuật có thể dựa vào các tiêu chí sau:
- Mức độ giảm thiểu rủi ro mà biện pháp kỹ thuật có thể đạt được;
- Mức độ tin cậy của công nghệ và biện pháp đề xuất (những tác động gây ra cho nước biển, trầm tích bề mặt đáy trong và sau khi thực hiện phương án; hiệu suất khắc phục v.v...);
- Chi phí thực hiện biện pháp kỹ thuật;
- Thời gian thực hiện;
- Tính khả thi về mặt kỹ thuật, và tính khả thi của công nghệ khắc phục được đề xuất khi triển khai;
- Các tác động khác của biện pháp nếu được thực hiện.
Trên cơ sở các phân tích các tiêu chí nêu trên, lựa chọn các biện pháp kỹ thuật tối ưu của từng mức độ ưu tiên khắc phục hậu quả sự cố tràn dầu trên biển để tổng hợp, lựa chọn phương án khắc phục ô nhiễm tối ưu nhất (có thể lựa chọn một hay kết hợp nhiều biện pháp tùy thuộc đối tượng bị tác động và mức độ ô nhiễm).
CHƯƠNG IV. NỘI DUNG PHƯƠNG ÁN KHẮC PHỤC HẬU QUẢ SỰ CỐ TRÀN DẦU TRÊN BIỂN ĐƯỢC LỰA CHỌN
1. Nội dung và phương án khắc phục hậu quả sự cố tràn dầu trên biển
- Nội dung
Phần này sẽ tập trung nêu chi tiết các hạng mục công việc sẽ thực hiện, với các khối lượng công việc được định lượng một cách cụ thể và chi tiết, về cơ bản, phần nội dung sẽ phụ thuộc vào từng dự án cụ thể, tuy nhiên có thể tóm tắt tổng quát như sau:
+ Ngăn ngừa, khắc phục hoặc loại bỏ các nguồn ô nhiễm;
+ Ngăn chặn các đường lan truyền ô nhiễm;
+ Bảo vệ các đối tượng bị tác động.
- Phương án khắc phục sự hậu quả cố tràn dầu trên biển: đối với các biện pháp để khắc phục hậu quả, lập kế hoạch khắc phục bao gồm các nội dung sau:
+ Xác định các nội dung công việc, khối lượng công việc, dự toán chi phí cho hạng mục công việc đối với từng biện pháp;
+ Thời gian, tiến độ thực hiện các hạng mục công việc;
+ Phân công đơn vị, nhân sự để quản lý, giám sát triển khai thực hiện.
2. Các biện pháp bảo vệ môi trường trong quá trình khắc phục hậu quả sự cố tràn dầu trên biển
Xác định những tác động tiêu cực đến môi trường gây ra trong suốt quá trình thực hiện kế hoạch từ giai đoạn điều tra sơ bộ đến giai đoạn giám sát, quản lý sau khắc phục.
Các biện pháp bảo vệ môi trường trong suốt quá trình thực hiện Kế hoạch.
CHƯƠNG V. GIÁM SÁT SAU KHẮC PHỤC HẬU QUẢ SỰ CỐ TRÀN DẦU TRÊN BIỂN
1 Giám sát các thông số môi trường.
2. Giám sát tài nguyên sinh vật, các hệ sinh thái.
CHƯƠNG VI. KẾT LUẬN VÀ KIẾN NGHỊ
1. Kết luận
2. Kiến nghị
TÀI LIỆU THAM KHẢO
PHỤ LỤC 06
MẪU BÁO CÁO ĐÁNH GIÁ KẾT QUẢ THỰC HIỆN KẾ HOẠCH KHẮC PHỤC HẬU QUẢ SỰ CỐ TRÀN DẦU TRÊN BIỂN
(Ban hành kèm theo Thông tư số 33 /2018/TT-BTNMT ngày 26 tháng 12 năm 2018 của Bộ trưởng Bộ Tài nguyên và Môi trường)
CHƯƠNG I. THÔNG TIN CHUNG
1. Giới thiệu về kế hoạch khắc phục hậu quả sự cố tràn dầu trên biển
- Mục đích của việc khắc phục sự cố tràn dầu;
- Vị trí của khu vực bị ô nhiễm môi trường;
- Mức độ ô nhiễm môi trường (trong nước biển, trầm tích bề mặt đáy biển)
- Hiện trạng đa dạng sinh học, tài nguyên sinh vật.
2. Giới thiệu về các bên liên quan chính
Các bên liên quan chính bao gồm: chủ đầu tư, cơ quan chủ quản, đơn vị thực hiện, đơn vị phối hợp, cơ quan tư vấn, đơn vị hưởng lợi v.v...
Đối với mỗi bên liên quan, cần trình bày những thông tin sau:
- Tên:
- Người đại diện/liên hệ chính:
- Địa chỉ:
- Số điện thoại: Email:
3. Thông tin chung liên quan đến khu vực
- Địa chỉ:
- Kích thước:
- Tọa độ GPS:
- Bản đồ khu vực:
- Hiện trạng sử dụng của khu vực và kế hoạch sử dụng trong tương lai.
CHƯƠNG II. NỘI DUNG KẾ HOẠCH ĐÃ PHÊ DUYỆT
- Trình bày tổng thể nội dung kế hoạch khắc phục hậu quả sự cố tràn dầu trên biển đã được phê duyệt;
- Trình bày phương án khắc phục hậu quả sự cố tràn dầu trên biển đã phê duyệt;
- Trình bày mục tiêu tổng quát và chất lượng đạt được của phương án khắc phục hậu quả đã được phê duyệt.
CHƯƠNG III. PHƯƠNG ÁN KHẮC PHỤC HẬU QUẢ SỰ CỐ TRÀN DẦU TRÊN BIỂN ĐÃ HOÀN THÀNH
- Mô tả chi tiết các nội dung khắc phục hậu quả sự cố tràn dầu trên biển đã hoàn thành theo phương án đã được phê duyệt;
- Khối lượng công việc thực hiện các nội dung khắc phục hậu quả sự cố tràn dầu trên biển đã hoàn thành;
- Công tác quản lý và giám sát môi trường để thực hiện công tác khắc phục hậu quả sự cố tràn dầu trên biển đã đề ra;
- Lập bảng khối lượng công việc đã hoàn thành:
| STT | Các công việc theo kế hoạch khắc phục đã phê duyệt | Các công việc đã hoàn thành | Khối lượng công việc | Kinh phí | Thời gian hoàn thành | Ghi chú |
| 1 |
|
|
|
|
|
|
| 2 |
|
|
|
|
|
|
CHƯƠNG IV. KẾT QUẢ GIÁM SÁT CHẤT LƯỢNG MÔI TRƯỜNG
- Trình bày chuỗi số liệu về hiện trạng môi trường tại khu vực theo báo cáo giám sát môi trường hàng năm mà tổ chức, cá nhân đã cam kết trong kế hoạch khắc phục;
- Đánh giá kết quả chất lượng môi trường biển từ lúc bắt đầu triển khai đến khi kết thúc công tác khắc phục ô nhiễm;
- Đánh giá về các số liệu và kết quả quan trắc trong kỳ giám sát với các số liệu trước khi xảy ra sự cố (nếu có).
CHƯƠNG V. ĐÁNH GIÁ, ĐỀ XUẤT VÀ KIẾN NGHỊ
- Đánh giá kết quả đạt được;
- Đề xuất và kiến nghị.
Bạn chưa Đăng nhập thành viên.
Đây là tiện ích dành cho tài khoản thành viên. Vui lòng Đăng nhập để xem chi tiết. Nếu chưa có tài khoản, vui lòng Đăng ký tại đây!
Bạn chưa Đăng nhập thành viên.
Đây là tiện ích dành cho tài khoản thành viên. Vui lòng Đăng nhập để xem chi tiết. Nếu chưa có tài khoản, vui lòng Đăng ký tại đây!