- Tổng quan
- Nội dung
- VB gốc
- Tiếng Anh
- Hiệu lực
- VB liên quan
- Lược đồ
-
Nội dung hợp nhất
Tính năng này chỉ có tại LuatVietnam.vn. Nội dung hợp nhất tổng hợp lại tất cả các quy định còn hiệu lực của văn bản gốc và các văn bản sửa đổi, bổ sung, đính chính... trên một trang. Việc hợp nhất văn bản gốc và những văn bản, Thông tư, Nghị định hướng dẫn khác không làm thay đổi thứ tự điều khoản, nội dung.
Khách hàng chỉ cần xem Nội dung hợp nhất là có thể nắm bắt toàn bộ quy định hiện hành đang áp dụng, cho dù văn bản gốc đã qua nhiều lần chỉnh sửa, bổ sung.
- Tải về
Thông tư 145/2016/TT-BTC Tiêu chuẩn thẩm định giá Việt Nam số 11
| Cơ quan ban hành: | Bộ Tài chính |
Số công báo:
Số công báo là mã số ấn phẩm được đăng chính thức trên ấn phẩm thông tin của Nhà nước. Mã số này do Chính phủ thống nhất quản lý.
|
Đã biết
|
| Số hiệu: | 145/2016/TT-BTC | Ngày đăng công báo: |
Đã biết
|
| Loại văn bản: | Thông tư | Người ký: | Trần Văn Hiếu |
|
Ngày ban hành:
Ngày ban hành là ngày, tháng, năm văn bản được thông qua hoặc ký ban hành.
|
06/10/2016 |
Ngày hết hiệu lực:
Ngày hết hiệu lực là ngày, tháng, năm văn bản chính thức không còn hiệu lực (áp dụng).
|
Đã biết
|
|
Áp dụng:
Ngày áp dụng là ngày, tháng, năm văn bản chính thức có hiệu lực (áp dụng).
|
Đã biết
|
Tình trạng hiệu lực:
Cho biết trạng thái hiệu lực của văn bản đang tra cứu: Chưa áp dụng, Còn hiệu lực, Hết hiệu lực, Hết hiệu lực 1 phần; Đã sửa đổi, Đính chính hay Không còn phù hợp,...
|
Đã biết
|
| Lĩnh vực: | Tài chính-Ngân hàng |
TÓM TẮT THÔNG TƯ 145/2016/TT-BTC
Tiêu chuẩn thẩm định giá Việt Nam số 11
Tiêu chuẩn này đã được Bộ Tài chính ban hành ngày 06/10/2016 tại Thông tư số 145/2016/TT-BTC. Thông tư này có hiệu lực từ ngày 01/01/2017.
Khi tiến hành thẩm định giá bất động sản, thẩm định viên có thể áp dụng các cách tiếp cận và phương pháp thẩm định giá tại Tiêu chuẩn thẩm định giá Việt Nam về cách tiếp cận từ thị trường, cách tiếp cận từ chi phí, cách tiếp cận từ thu nhập theo từng trường hợp áp dụng cụ thể. Ngoài ra, thẩm định viên có thể áp dụng phương pháp chiết trừ và phương pháp thặng dư để xác định giá trị quyền sử dụng đất.
Trong trường hợp thẩm định giá nhà ở (là bất động sản được sử dụng để ở, phục vụ nhu cầu sinh hoạt của hộ gia đình, cá nhân hơn là đầu tư kiếm lợi nhuận, bao gồm: chung cư, nhà ở riêng lẻ (biệt thự đơn lập, biệt thự song lập, biệt thự cao cấp, nhà ở liền kề mặt phố, nhà liền kề có sân vườn, nhà ở nông thôn truyền thống)), phương pháp áp dụng chủ yếu là phương pháp so sánh, phương pháp chi phí thay thế, phương pháp chi phí tái tạo.
Trong đó, phương pháp so sánh thường được áp dụng đối với nhà ở thuộc khu dân cư đông đúc và thẩm định viên thu thập được các thông tin về bất động sản tương tự trên thị trường. Phương pháp chi phí thay thế hoặc phương pháp chi phí tái tạo thường được áp dụng kết hợp với phương pháp so sánh, cụ thể: Đối với đất trống, thẩm định viên sử dụng phương pháp so sánh để xác định giá trị quyền sử dụng đất; đối với công trình xây dựng trên đất là nhà ở, thẩm định viên sử dụng phương pháp chi phí thay thế hoặc phương pháp chi phí tái tạo để xác định giá trị.
Xem chi tiết Thông tư 145/2016/TT-BTC có hiệu lực kể từ ngày 01/01/2017
Tải Thông tư 145/2016/TT-BTC
|
BỘ TÀI CHÍNH Số: 145/2016/TT-BTC |
CỘNG HÒA XÃ HỘI CHỦ NGHĨA VIỆT NAM Hà Nội, ngày 6 tháng 10 năm 2016 |
THÔNG TƯ
BAN HÀNH TIÊU CHUẨN THẨM ĐỊNH GIÁ VIỆT NAM SỐ 11
Căn cứ Luật Giá số 11/2012/QH13 ngày 20 tháng 6 năm 2012;
Căn cứ Nghị định số 89/2013/NĐ-CP ngày 06 tháng 8 năm 2013 của Chính phủ quy định chi tiết thi hành một số điều của Luật Giá về thẩm định giá;
Căn cứ Nghị định số 215/2013/NĐ-CP ngày 23 tháng 12 năm 2013 của Chính phủ quy định chức năng, nhiệm vụ, quyền hạn và cơ cấu tổ chức của Bộ Tài chính;
Theo đề nghị của Cục trưởng Cục Quản lý giá,
Bộ trưởng Bộ Tài chính ban hành Thông tư ban hành Tiêu chuẩn thẩm định giá Việt Nam số 11.
Điều 1. Ban hành kèm theo Thông tư này Tiêu chuẩn thẩm định giá Việt Nam số 11 - Thẩm định giá bất động sản.
Điều 2. Hiệu lực thi hành
1. Thông tư này có hiệu lực thi hành từ ngày 01 tháng 01 năm 2017.
2. Các Tiêu chuẩn thẩm định giá Việt Nam bao gồm: Tiêu chuẩn số 10 – Phương pháp thặng dư và Tiêu chuẩn số 11 – Phương pháp lợi nhuận ban hành kèm theo Quyết định số 129/2008/QĐ-BTC ngày 31/12/2008 của Bộ trưởng Bộ Tài chính về việc ban hành 06 Tiêu chuẩn thẩm định giá Việt Nam (đợt 3) hết hiệu lực kể từ ngày Thông tư này có hiệu lực thi hành.
Điều 3. Tổ chức thực hiện
1. Cục Quản lý giá chủ trì, phối hợp với các cơ quan có liên quan chỉ đạo, hướng dẫn, kiểm tra việc thực hiện các quy định tại Tiêu chuẩn thẩm định giá ban hành kèm theo Thông tư này và các văn bản pháp luật có liên quan.
2. Trong quá trình thực hiện nếu có vướng mắc đề nghị các đơn vị phản ánh về Bộ Tài chính để hướng dẫn giải quyết và sửa đổi, bổ sung cho phù hợp./.
|
Nơi nhận: |
KT. BỘ TRƯỞNG |
HỆ THỐNG TIÊU CHUẨN THẨM ĐỊNH GIÁ VIỆT NAM
Tiêu chuẩn thẩm định giá Việt Nam số 11
Thẩm định giá bất động sản
(Ký hiệu: TĐGVN 11)
(Ban hành kèm theo Thông tư số 145/2016/TT-BTC ngày 06 tháng 10 năm 2016 của Bộ trưởng Bộ Tài chính)
I. QUY ĐỊNH CHUNG
1. Phạm vi điều chỉnh: Tiêu chuẩn này quy định và hướng dẫn thực hiện thẩm định giá bất động sản.
2. Đối tượng áp dụng: Thẩm định viên về giá hành nghề (sau đây gọi chung là thẩm định viên), doanh nghiệp thẩm định giá, các tổ chức và cá nhân khác thực hiện hoạt động thẩm định giá theo quy định của Luật Giá và các quy định khác của pháp luật có liên quan.
3. Khách hàng thẩm định giá và bên thứ ba sử dụng kết quả thẩm định giá (nếu có) theo hợp đồng thẩm định giá đã ký kết phải có những hiểu biết cần thiết về các quy định trong tiêu chuẩn này để hợp tác với doanh nghiệp thẩm định giá trong quá trình thẩm định giá.
II. NỘI DUNG TIÊU CHUẨN
1. Khi tiến hành thẩm định giá bất động sản, thẩm định viên có thể áp dụng các cách tiếp cận và phương pháp thẩm định giá tại Tiêu chuẩn thẩm định giá Việt Nam về cách tiếp cận từ thị trường, cách tiếp cận từ chi phí, cách tiếp cận từ thu nhập theo từng trường hợp áp dụng cụ thể. Ngoài ra, thẩm định viên có thể áp dụng phương pháp chiết trừ và phương pháp thặng dư quy định tại điểm 3 và điểm 4 Mục này để xác định giá trị quyền sử dụng đất. Phương pháp chiết trừ và phương pháp thặng dư được xây dựng trên cơ sở kết hợp cách tiếp cận từ thị trường, cách tiếp cận từ chi phí và cách tiếp cận từ thu nhập.
2. Đối với từng phương pháp thẩm định giá, thẩm định viên lựa chọn các thông tin thu thập nhằm đảm bảo tính chính xác của kết quả thẩm định giá. Mẫu phiếu thu thập thông tin bất động sản tham khảo tại Phụ lục số 3 kèm theo Tiêu chuẩn này.
3. Phương pháp chiết trừ
a) Phương pháp chiết trừ là phương pháp thẩm định giá xác định giá trị quyền sử dụng đất của thửa đất có tài sản gắn liền với đất bằng cách loại trừ phần giá trị tài sản gắn liền với đất ra khỏi tổng giá trị bất động sản (bao gồm giá trị quyền sử dụng đất và giá trị tài sản gắn liền với đất).
b) Các bước tiến hành thẩm định giá:
Bước 1: Khảo sát và lựa chọn ít nhất 03 bất động sản mà thửa đất của các bất động sản đó có những đặc điểm tương tự với thửa đất của bất động sản thẩm định giá, cụ thể là đặc điểm về vị trí, diện tích, hình dạng, mục đích sử dụng đất, đặc điểm pháp lý, các yếu tố về hạ tầng kỹ thuật và hạ tầng xã hội và các yếu tố khác ảnh hưởng đến giá đất. Đồng thời, thu thập thông tin về tài sản gắn liền với đất của bất động sản so sánh.
Các bất động sản được lựa chọn đã giao dịch thành công hoặc được chào mua hoặc được chào bán trên thị trường với địa điểm giao dịch, chào mua, chào bán tương tự với tài sản thẩm định giá tại thời điểm thẩm định giá hoặc gần với thời điểm thẩm định giá nhưng không quá 2 năm kể từ thời điểm giá được quy định tại Tiêu chuẩn thẩm định giá Việt Nam về cách tiếp cận từ thị trường.
Bước 2: Xác định giá trị các tài sản gắn liền với đất của các bất động sản so sánh (các bất động sản đã được lựa chọn tại Bước 1) tại thời điểm thẩm định giá
|
Giá trị của tài sản gắn liền với đất của bất động sản so sánh |
|
Giá trị xây dựng mới của tài sản gắn liền với đất của bất động sản so sánh tại thời điểm thẩm định giá |
|
Giá trị hao mòn tại thời điểm thẩm định giá |
|
= |
- |
|||
|
|
|
Trong đó:
- Giá trị xây dựng mới của tài sản gắn liền với đất của bất động sản so sánh tại thời điểm thẩm định giá được tính bằng chi phí tái tạo hoặc chi phí thay thế tạo ra tài sản gắn liền với đất. Cách xác định chi phí tái tạo, chi phí thay thế được hướng dẫn tại Tiêu chuẩn thẩm định giá Việt Nam về cách tiếp cận từ chi phí.
- Giá trị hao mòn của tài sản gắn liền với đất của bất động sản so sánh tại thời điểm thẩm định giá được xác định theo hướng dẫn tại Tiêu chuẩn thẩm định giá Việt Nam về cách tiếp cận từ chi phí.
Bước 3: Xác định giá trị quyền sử dụng đất của bất động sản so sánh tại thời điểm thẩm định giá.
|
Giá trị quyền sử dụng đất của bất động sản so sánh |
|
Giá giao dịch của bất động sản so sánh |
|
Giá trị của tài sản gắn liền với đất của bất động sản so sánh |
|
= |
- |
|||
|
|
|
Trong đó:
- Giá giao dịch của bất động sản so sánh là giá giao dịch thành công hoặc giá giao dịch chưa thành công đã được điều chỉnh về mức giá có khả năng giao dịch thành công.
- Giá trị của tài sản gắn liền với đất của bất động sản so sánh đã được xác định tại Bước 2.
Bước 4: Xác định giá trị quyền sử dụng đất của bất động sản thẩm định giá.
Giá trị quyền sử dụng đất của bất động sản thẩm định giá được xác định trên cơ sở giá trị quyền sử dụng đất của các bất động sản so sánh sau khi điều chỉnh các yếu tố khác biệt chính như điều kiện thanh toán, đặc điểm pháp lý, vị trí, diện tích, hình dạng, các yếu tố về hạ tầng kỹ thuật, hạ tầng xã hội và các yếu tố khác ảnh hưởng đến giá trị quyền sử dụng đất, theo hướng dẫn tại Tiêu chuẩn thẩm định giá Việt Nam về cách tiếp cận từ thị trường. Thẩm định viên về giá cần có lập luận về cách lựa chọn tỷ lệ điều chỉnh của các yếu tố ảnh hưởng tới giá đất.
Ví dụ về phương pháp chiết trừ tại Phụ lục số 01 kèm theo Tiêu chuẩn này.
4. Phương pháp thặng dư
a) Phương pháp thặng dư là phương pháp thẩm định giá xác định giá trị của bất động sản có tiềm năng phát triển dựa trên cơ sở lấy giá trị ước tính của phát triển giả định của tài sản (tổng doanh thu phát triển) trừ đi tất cả các chi phí dự kiến phát sinh (bao gồm lợi nhuận nhà đầu tư) để tạo ra sự phát triển đó.
b) Công thức tổng quát:
V = DT – CP
V: Giá trị tài sản thẩm định giá;
DT: Tổng doanh thu phát triển;
CP: Tổng chi phí phát triển.
c) Các trường hợp giả định về thời điểm phát sinh doanh thu phát triển và chi phí phát triển bất động sản:
- Trường hợp 1: Giả định doanh thu phát triển bất động sản, chi phí phát triển bất động sản chỉ phát sinh trong cùng 01 năm. Khi đó doanh thu và chi phí phát triển bất động sản được tính toán theo mặt bằng giá tại thời điểm thẩm định giá.
V = DT – CP (tại thời điểm thẩm định giá)
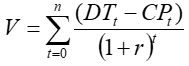
- Trường hợp 2: Giả định quá trình phát triển bất động sản kéo dài nhiều năm, sau khi xây dựng chủ sở hữu cho thuê để kinh doanh hoặc cho thuê một phần để kinh doanh hoặc bán từng phần bất động sản qua nhiều năm.

Trong đó:
V: Giá trị tài sản thẩm định giá;
DTt: Doanh thu phát triển giả định của bất động sản tại thời điểm t;
CPt: Chi phí phát triển dự kiến tại thời điểm t;
r: Tỷ suất chiết khấu;
n: Giai đoạn dự báo dòng tiền trong tương lai;
t: Năm dự báo.
d) Các bước tiến hành thẩm định giá:
Bước 1: Xác định việc sử dụng tốt nhất và có hiệu quả nhất của thửa đất.
Bước 2: Xác định giai đoạn dự báo dòng tiền trong tương lai.
Bước 3: Ước tính tổng doanh thu phát triển của bất động sản. Đối với trường hợp 2 cần thực hiện quy đổi tổng doanh thu phát triển của bất động sản về thời điểm thẩm định giá.
Bước 4: Ước tính tổng chi phí phát triển để tạo ra giá trị phát triển của bất động sản. Đối với trường hợp 2 cần thực hiện quy đổi tổng chi phí phát triển của bất động sản về thời điểm thẩm định giá.
Bước 5: Xác định giá trị quyền sử dụng đất trên cơ sở lấy kết quả tính toán của Bước 3 trừ (-) kết quả của Bước 4.
đ) Việc sử dụng tốt nhất và có hiệu quả nhất của thửa đất được xác định trên cơ sở:
- Đặc điểm của thửa đất;
- Các thông tin về quy hoạch sử dụng đất, quy hoạch xây dựng, quy định về chuyển mục đích sử dụng đất và các quy định về xây dựng đã được cấp có thẩm quyền phê duyệt;
- Hướng dẫn phân tích việc sử dụng tài sản tốt nhất và có hiệu quả nhất tại Tiêu chuẩn thẩm định giá Việt Nam về quy trình thẩm định giá.
e) Xác định giai đoạn dự báo dòng tiền trong tương lai (n):
Việc xác định giai đoạn dự báo dòng tiền trong tương lai được thực hiện theo hướng dẫn tại Tiêu chuẩn thẩm định giá Việt Nam về cách tiếp cận từ thu nhập đối với Phương pháp dòng tiền chiết khấu.
g) Xác định tổng doanh thu phát triển:
Tổng doanh thu phát triển của bất động sản là tổng doanh thu dự kiến có được của bất động sản thẩm định giá phù hợp với mục đích sử dụng tốt nhất và có hiệu quả nhất của thửa đất.
Tổng doanh thu phát triển giả định của bất động sản được ước tính trên cơ sở điều tra khảo sát, thu thập các thông tin về giá chuyển nhượng, giá cho thuê và các yếu tố khác hình thành doanh thu của các bất động sản có đặc điểm tương tự với dự án dự kiến đầu tư xây dựng tại khu vực có thửa đất thẩm định giá hoặc khu vực có khả năng sinh lợi, điều kiện kết cấu hạ tầng kỹ thuật và hạ tầng xã hội tương đương thẩm định viên cần tính đến xu hướng và mức độ biến động của giá chuyển nhượng, giá cho thuê và các yếu tố khác hình thành doanh thu của dự án dự kiến đầu tư xây dựng trong tương lai.
Tổng doanh thu phát triển được xác định thông qua cách tiếp cận từ thị trường hoặc cách tiếp cận từ thu nhập.
Đối với trường hợp 1 tại tiết c điểm này, doanh thu phát triển được tính toán theo mặt bằng giá tại thời điểm thẩm định giá đối với bất động sản sau khi đầu tư xây dựng bán lại toàn bộ sản phẩm tại thời điểm thẩm định giá hoặc trường hợp thẩm định viên không dự kiến được giá bán, giá cho thuê bất động sản tại các năm dự báo của từng giai đoạn phát triển dự án bất động sản.
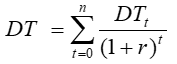
Đối với trường hợp 2 tại tiết c điểm này, việc chuyển đổi tổng doanh thu phát triển của bất động sản về thời điểm thẩm định giá được thực hiện theo công thức tổng quát sau:

h) Xác định tổng chi phí phát triển:
Tổng chi phí phát triển là toàn bộ các chi phí phát triển cần thiết dự kiến đầu tư vào một bất động sản có tiềm năng phát triển, phù hợp với quy định của pháp luật (về các định mức kinh tế-kỹ thuật, tiêu hao nguyên nhiên vật liệu và hạch toán chi phí sản xuất, đầu tư) và đáp ứng được mục đích sử dụng tốt nhất và có hiệu quả nhất của thửa đất thẩm định giá. Tổng chi phí phát triển gồm các khoản:
* Chi phí đầu tư phát triển:
- Chi phí hạ tầng kỹ thuật và các chi phí có liên quan khác;
- Chi phí xây dựng gồm chi phí phá dỡ các công trình xây dựng, chi phí san lấp mặt bằng xây dựng, chi phí xây dựng các công trình, hạng mục công trình, xây dựng công trình tạm, công trình phụ trợ phục vụ thi công;
- Chi phí thiết bị gồm chi phí mua sắm thiết bị công trình và thiết bị công nghệ; chi phí đào tạo và chuyển giao công nghệ (nếu có); chi phí lắp đặt, thí nghiệm, hiệu chỉnh; chi phí vận chuyển, bảo hiểm; thuế và các loại phí, chi phí liên quan khác;
- Chi phí quản lý dự án gồm các chi phí để tổ chức thực hiện các công việc quản lý dự án từ giai đoạn chuẩn bị dự án, thực hiện dự án và kết thúc xây dựng đưa công trình của dự án vào khai thác sử dụng;
- Chi phí tư vấn đầu tư xây dựng gồm chi phí tư vấn khảo sát, lập Báo cáo nghiên cứu tiền khả thi (nếu có), lập Báo cáo nghiên cứu khả thi, lập Báo cáo kinh tế - kỹ thuật, chi phí thiết kế, chi phí tư vấn giám sát xây dựng công trình và các chi phí tư vấn khác liên quan;
- Chi phí dự phòng gồm chi phí dự phòng cho khối lượng công việc phát sinh (nếu có) và chi phí dự phòng cho yếu tố trượt giá. Chi phí dự phòng cho yếu tố trượt giá được áp dụng trong thời gian thực hiện dự án trường hợp dự án kéo dài trong nhiều năm;
- Chi phí khác (như chi phí thẩm tra tổng mức đầu tư, chi phí bảo hiểm công trình,…);
- Chi phí kinh doanh;
- Chi phí lãi vay, thuế…
Chi phí bồi thường, giải phóng mặt bằng bao gồm tiền bồi thường, hỗ trợ tái định cư, kinh phí tổ chức thực hiện bồi thường giải phóng mặt bằng không tính đến trong tổng chi phí phát triển.
Khi tính toán các khoản mục chi phí này, Thẩm định viên về giá phải tuân thủ quy định hiện hành của cơ quan có thẩm quyền về các phương pháp xác định tổng chi phí đầu tư dự án, các định mức kinh tế, kỹ thuật (nguyên, nhiên vật liệu, máy thiết bị, nhân công…), đơn giá theo từng năm dự báo phù hợp với tiến độ xây dựng dự án bất động sản. Đồng thời, thẩm định viên phải có biện luận về việc sử dụng các khoản mục chi phí trên cơ sở so sánh với các khoản mục chi phí của các dự án tương tự, mặt bằng giá trên thị trường (nguyên, nhiên vật liệu,đơn giá sử dụng máy thiết bị, đơn giá tiền công…) tại thời điểm thẩm định giá và những nội dung liên quan quy định tại Tiêu chuẩn thẩm định giá Việt Nam về cách tiếp cận từ chi phí.
Tổng chi phí phát triển được xác định thông qua cách tiếp cận từ thị trường hoặc cách tiếp cận từ thu nhập.
Đối với trường hợp 1 tại tiết c điểm này, chi phí phát triển được tính toán theo mặt bằng giá tại thời điểm thẩm định giá đối với bất động sản sau khi đầu tư xây dựng bán lại toàn bộ sản phẩm tại thời điểm thẩm định giá hoặc trường hợp thẩm định viên không dự kiến được đơn giá, giá nguyên, nhiên vật liệu, máy thiết bị, nhân công tại các năm dự báo của từng giai đoạn phát triển dự án bất động sản.
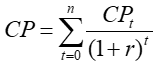
Đối với trường hợp 2 tại tiết c điểm này, việc chuyển đổi tổng chi phí phát triển của bất động sản về thời điểm thẩm định giá được thực hiện theo công thức tổng quát sau:

* Lợi nhuận nhà đầu tư
Lợi nhuận nhà đầu tư được xác định theo thứ tự ưu tiên sau:
- Lợi nhuận nhà đầu tư được xác định theo quy định của cơ quan có thẩm quyền (nếu có).
- Lợi nhuận của nhà đầu tư được xác định trên cơ sở tỷ lệ lợi nhuận trung bình trên thị trường tính trên tổng chi phí (bao gồm chi phí trực tiếp, chi phí gián tiếp và không bao gồm chi phí tài chính) của ít nhất 03 dự án đầu tư kinh doanh bất động sản tương tự tại địa phương.
- Lợi nhuận nhà đầu tư được xác định là trung bình tỷ lệ phần trăm lợi nhuận trước thuế thu nhập doanh nghiệp (đã được kiểm toán hoặc quyết toán) trên tổng chi phí của ít nhất 03 doanh nghiệp bất động sản trên thị trường.
i) Tỷ suất chiết khấu:
Tỷ suất chiết khấu hàng năm của dự án căn cứ trên cơ sở lãi suất cho vay kinh doanh bất động sản trung hạn bình quân của 04 ngân hàng thương mại nhà nước (bao gồm: Ngân hàng Nông nghiệp và Phát triển nông thôn Việt Nam, Ngân hàng Thương mại Cổ phần Đầu tư và Phát triển Việt Nam, Ngân hàng Thương mại Cổ phần Ngoại thương Việt Nam, Ngân hàng Thương mại Cổ phần Công Thương Việt Nam) có trụ sở hoặc chi nhánh trên địa bàn cấp tỉnh tại thời điểm thẩm định giá.
Ví dụ về phương pháp thặng dư tại Phụ lục số 02 kèm theo Tiêu chuẩn này.
5. Thẩm định giá bất động sản là đất
a) Các phương pháp áp dụng:
- Phương pháp so sánh;
- Phương pháp chiết trừ;
- Phương pháp vốn hóa trực tiếp;
- Phương pháp dòng tiền chiết khấu;
- Phương pháp thặng dư.
Nội dung cụ thể về phương pháp so sánh, phương pháp vốn hóa trực tiếp, phương pháp dòng tiền chiết khấu thực hiện theo quy định của Bộ Tài chính về Tiêu chuẩn thẩm định giá Việt Nam. Phương pháp chiết trừ, phương pháp thặng dư thực hiện theo quy định tại điểm 3, điểm 4 Mục này.
b) Trường hợp áp dụng:
Phương pháp so sánh thường được áp dụng để xác định giá trị quyền sử dụng đất của thửa đất trong trường hợp có thông tin giao dịch trên thị trường của các thửa đất tương tự với thửa đất thẩm định giá.
Phương pháp chiết trừ thường được áp dụng để xác định giá trị quyền sử dụng đất của thửa đất trống trong trường hợp không có đủ thông tin giao dịch trên thị trường của các thửa đất trống tương tự mà chỉ có thông tin giao dịch của thửa đất có tài sản gắn liền với đất tương tự với thửa đất thẩm định giá.
Phương pháp vốn hóa trực tiếp, phương pháp dòng tiền chiết khấu thường được áp dụng để xác định giá trị quyền sử dụng đất của thửa đất tạo ra thu nhập cho người sử dụng.
Phương pháp thặng dư thường được áp dụng với bất động sản có tiềm năng phát triển, cụ thể là đất trống để xây dựng hoặc đất có công trình trên đất có thể cải tạo hoặc phá dỡ xây dựng công trình mới trên đất để sử dụng tốt nhất và có hiệu quả nhất.
6. Thẩm định giá nhà ở
a) Nhà ở quy định tại Tiêu chuẩn này được hiểu là bất động sản được sử dụng để ở, phục vụ nhu cầu sinh hoạt của hộ gia đình, cá nhân hơn là đầu tư kiếm lợi nhuận, bao gồm: chung cư, nhà ở riêng lẻ (biệt thự đơn lập, biệt thự song lập, biệt thự cao cấp, nhà ở liền kề mặt phố, nhà liền kề có sân vườn, nhà ở nông thôn truyền thống).
- Phương pháp áp dụng chủ yếu: Phương pháp so sánh, phương pháp chi phí thay thế, phương pháp chi phí tái tạo.
- Trường hợp áp dụng:
Phương pháp so sánh thường được áp dụng đối với nhà ở thuộc khu dân cư đông đúc và thẩm định viên thu thập được các thông tin về bất động sản tương tự trên thị trường.
Phương pháp chi phí thay thế hoặc phương pháp chi phí tái tạo thường được áp dụng kết hợp với phương pháp so sánh, cụ thể: Đối với đất trống, thẩm định viên sử dụng phương pháp so sánh để xác định giá trị quyền sử dụng đất; đối với công trình xây dựng trên đất là nhà ở, thẩm định viên sử dụng phương pháp chi phí thay thế hoặc phương pháp chi phí tái tạo để xác định giá trị.
b) Nhà ở thương mại quy định tại Tiêu chuẩn này được hiểu là nhà ở được đầu tư xây dựng để kết hợp ở và kinh doanh, cho thuê, cho thuê mua, bao gồm: nhà ở quy định tại tiết a điểm này và biệt thự du lịch.
- Phương pháp áp dụng chủ yếu: Phương pháp vốn hóa trực tiếp, phương pháp dòng tiền chiết khấu, phương pháp so sánh; phương pháp chi phí thay thế hoặc phương pháp chi phí tái tạo (thường sử dụng để kiểm tra, đối chiếu).
- Trường hợp áp dụng:
Phương pháp vốn hóa trực tiếp, phương pháp dòng tiền chiết khấu thường được sử dụng để xác định giá trị bất động sản là nhà ở thương mại.
Phương pháp so sánh thường được áp dụng đối với nhà ở thương mại thuộc khu dân cư đông đúc, kinh doanh sầm uất và thẩm định viên thu thập được thông tin về bất động sản tương tự trên thị trường.
Phương pháp chi phí thay thế hoặc phương pháp chi phí tái tạo thường được áp dụng kết hợp với phương pháp so sánh, cụ thể: Đối với đất trống, thẩm định viên sử dụng phương pháp so sánh để xác định giá trị quyền sử dụng đất; đối với công trình xây dựng trên đất là nhà ở, thẩm định viên sử dụng phương pháp chi phí thay thế hoặc phương pháp chi phí tái tạo để xác định giá trị.
7. Thẩm định giá bất động sản thương mại
Bất động sản thương mại quy định tại Tiêu chuẩn này bao gồm: Trung tâm thương mại, cao ốc văn phòng, khách sạn.
a) Trung tâm thương mại quy định tại Tiêu chuẩn này được hiểu là bất động sản bao gồm tổ hợp các loại hình cửa hàng, cơ sở hoạt động dịch vụ; hội trường, phòng họp, văn phòng cho thuê…được bố trí tập trung, liên hoàn trong một hoặc một số công trình kiến trúc liền kề; đáp ứng các tiêu chuẩn về diện tích kinh doanh, trang bị kỹ thuật và trình độ quản lý, tổ chức kinh doanh; có các phương thức phục vụ hiện đại, thuận tiện đáp ứng nhu cầu phát triển hoạt động kinh doanh thương nhân và thoả mãn nhu cầu về hàng hoá, dịch vụ của khách hàng.
- Văn phòng cho thuê quy định tại Tiêu chuẩn này được hiểu là bất động sản mà các cơ quan, đơn vị thuê để làm việc. Văn phòng cho thuê có thể là một phần tòa nhà hỗn hợp, nhiều công năng hoặc có thể là nhà dân cho thuê để sử dụng làm văn phòng.
- Khách sạn quy định tại Tiêu chuẩn này được hiểu là bất động sản mà đáp ứng nhu cầu của khách du lịch, khách vãng lai với các dịch vụ như nghỉ ngơi, đỗ xe, giải trí, điện thoại, thức ăn, đồ uống…
b) Phương pháp áp dụng chủ yếu: Phương pháp vốn hóa trực tiếp, phương pháp dòng tiền chiết khấu, phương pháp so sánh, phương pháp chi phí thay thế hoặc phương pháp chi phí tái tạo (thường sử dụng để kiểm tra, đối chiếu).
c) Trường hợp áp dụng: Tương tự với trường hợp áp dụng của nhà ở thương mại quy định tại tiết b điểm 6 Mục này.
8. Thẩm định giá bất động sản công nghiệp
a) Bất động sản công nghiệp quy định tại Tiêu chuẩn này gồm đất và công trình xây dựng phù hợp với mục đích sử dụng đất theo quy định của pháp luật, ví dụ: nhà máy sản xuất xi măng, nhà máy luyện kim mầu, nhà máy chế biến thủy sản, nhà máy chế biến thực phẩm…
- Công trình xây dựng bất động sản công nghiệp thường được thiết kế, sử dụng vào mục đích riêng, đặc thù, có tỷ lệ hao mòn lớn hơn bình thường.
- Yếu tố vị trí ảnh hưởng lớn đến giá trị bất động sản công nghiệp (nguồn điện, nước, đường xá, độ dốc, xử lý chất đất bên dưới, xử lý ô nhiễm…).
b) Phương pháp áp dụng chủ yếu: Phương pháp chi phí thay thế hoặc phương pháp chi phí tái tạo, phương pháp vốn hóa trực tiếp, phương pháp dòng tiền chiết khấu.
9. Thẩm định giá bất động sản khác
Đối với từng loại bất động sản, tùy vào từng mục đích thẩm định giá, cơ sở giá trị bất động sản, đặc điểm pháp lý, đặc điểm kinh tế - kỹ thuật, mức độ sẵn có của thông tin thu thập được, Thẩm định viên lựa chọn phương pháp thẩm định giá hoặc kết hợp nhiều phương pháp thẩm định giá theo quy định về các phương pháp tại Hệ thống Tiêu chuẩn thẩm định giá Việt Nam và phù hợp với quy định của các pháp luật có liên quan (nếu có)./.
Phụ lục số 01
VÍ DỤ VỀ ÁP DỤNG PHƯƠNG PHÁP CHIẾT TRỪ
(Ban hành kèm theo Tiêu chuẩn thẩm định giá Việt Nam số 11)
Các ví dụ đã được giản lược và chỉ mang tính chất minh họa
1. Ví dụ 1:
Cần thẩm định giá bất động sản là thửa đất có diện tích 80m2, mặt tiền thửa đất rộng 4m, nằm trong con hẻm rộng 4m, đã có Giấy chứng nhận quyền sử dụng đất và quyền sở hữu nhà ở.
Qua thu thập thông tin từ thị trường lân cận, tại thời điểm thẩm định giá có 03 bất động sản đang được rao bán mà thửa đất của 03 bất động sản đó tương tự với thửa đất của bất động sản thẩm định giá với các thông tin như sau:
- Bất động sản 1: Diện tích đất 110 m2, mặt tiền rộng 4,5m, nằm trong con hẻm rộng 3m, đang chờ cấp Giấy chứng nhận quyền sử dụng đất và quyền sở hữu nhà ở, diện tích xây dựng 110 m2, nhà 3 tầng kết cấu bê tông cốt thép, tường gạch, mái tôn, nền lát gạch ceramic, chất lượng còn lại 80%, giá rao bán: 15,89 tỷ đồng. Đơn giá xây dựng mới nhà có kết cấu tương tự trên thị trường: 7.500.000 đồng/m2.
- Bất động sản 2: Diện tích đất 70 m2, mặt tiền rộng 3m, nằm trong con hẻm rộng 3,5m, đã có Giấy chứng nhận quyền sử dụng đất và quyền sở hữu nhà ở, diện tích xây dựng 70 m2, nhà 2 tầng kết cấu bê tông cốt thép, tường gạch, mái tôn, nền lát gạch ceramic, chất lượng còn lại 75%, giá rao bán: 8,555 tỷ đồng. Đơn giá xây dựng mới nhà có kết cấu tương tự trên thị trường: 7.000.000 đồng/m2.
- Bất động sản 3: Diện tích đất 90 m2, mặt tiền rộng 4,5m, nằm trong con hẻm rộng 3,5m, đã có Giấy chứng nhận quyền sử dụng đất và quyền sở hữu nhà ở, diện tích xây dựng 90 m2, nhà 4 tầng kết cấu bê tông cốt thép, tường gạch, mái tôn, nền lát gạch ceramic, chất lượng còn lại 70%, giá rao bán: 13,5 tỷ đồng. Đơn giá xây dựng mới nhà có kết cấu tương tự trên thị trường: 8.000.000 đồng/m2.
Ngoài ra còn thu thập được các thông tin sau:
- Giá đất của thửa đất có mặt tiền 4m bằng 90% giá đất của thửa đất tương tự có mặt tiền 4,5m; bằng 110% giá đất của thửa đất tương tự có mặt tiền 3m.
- Giá đất của thửa đất có diện tích 80 m2 bằng 110% giá đất của thửa đất tương tự có diện tích 110m2, bằng 95% giá đất của thửa đất tương tự có diện tích 70m2, bằng 105% giá đất của thửa đất có diện tích 90m2.
- Giá đất của thửa đất có mặt hẻm 4m bằng 115% giá đất của thửa đất tương tự có mặt hẻm 3m, bằng 110% giá đất của thửa đất tương tự có mặt hẻm 3,5m.
- Theo quy định của pháp luật, bất động sản 1 có đủ điều kiện để được cấp giấy chứng nhận quyền sử dụng đất mà không phải nộp tiền sử dụng đất nhưng chưa được cấp Giấy chứng nhận do chưa hoàn thành nghĩa vụ tài chính đối với Nhà nước. Thẩm định viên xác định các khoản tiền phải nộp khi làm thủ tục cấp giấy chứng nhận quyền sử dụng đất đối với bất động sản 1 khoảng 148.000 đồng/ m2 (Gồm: Lệ phí trước bạ = 0,5% × Đơn giá đất tại bảng giá đất của UBND thành phố khoảng 24 triệu đồng/m2 × Diện tích; Phí thẩm định cấp quyền sử dụng đất: 3 triệu đồng; Lệ phí địa chính: 100.000 đồng).
- Theo phân tích thông tin trên thị trường mà thẩm định viên thực tế đã khảo sát và thu thập được, giá giao dịch thành công của các bất động sản so sánh thường thấp hơn so với giá rao bán khoảng 10%.
Lời giải:
1. Xác định giá trị tại thời điểm thẩm định giá của tài sản gắn liền với đất của các bất động sản so sánh
Giá trị tài sản gắn liền với đất của bất động sản 1:
110 m2 sàn × 3 tầng × 7.500.000 đồng/ m2 × 80% = 1.980.000.000 đồng
Giá trị tài sản gắn liền với đất của bất động sản 2:
70 m2 sàn × 2 tầng × 7.000.000 đồng/ m2 × 75% = 735.000.000 đồng
Giá trị tài sản gắn liền với đất của bất động sản 3:
90 m2 sàn × 4 tầng × 8.000.000 đồng/ m2 × 70% = 2.016.000.000 đồng
2. Xác định giá trị quyền sử dụng đất của bất động sản so sánh tại thời điểm thẩm định giá.
- Bất động sản 1:
Giá giao dịch thành công dự kiến của bất động sản 1 là: 15.890.000.000 × 90% = 14.301.000.000 đồng, làm tròn thành 14.300.000.000 đồng.
Giá trị quyền sử dụng đất của bất động sản 1 = 14.300.000.000 - 1.980.000.000 = 12.320.000.000 đồng.
- Bất động sản 2:
Giá giao dịch thành công dự kiến của bất động sản 2 là: 8.555.000.000 × 90% = 7.699.500.000 đồng
Giá trị quyền sử dụng đất của bất động sản 2 = 7.699.500.000 - 735.000.000 = 6.964.500.000 đồng, làm tròn thành 6.965.000.000 đồng
- Bất động sản 3:
Giá giao dịch thành công dự kiến của bất động sản 3 là: 13.500.000.000 × 90% = 12.150.000.000 đồng
Giá trị quyền sử dụng đất của bất động sản 3 = 12.150.000.000 - 2.016.000.000 = 10.134.000.000 đồng
3. Xác định giá trị quyền sử dụng đất của bất động sản thẩm định giá
Vận dụng phương pháp so sánh theo cách tiếp cận thị trường, sau khi xác định tỷ lệ điều chỉnh các yếu tố so sánh, thẩm định viên có bảng điều chỉnh các mức giá chỉ dẫn theo các yếu tố so sánh sau:
|
TT |
Yếu tố so sánh |
Đơn vị tính |
Tài sản thẩm định giá |
Tài sản so sánh 1 |
Tài sản so sánh 2 |
Tài sản so sánh 3 |
|
A |
Giá thị trường (Giá trước điều chỉnh) |
đồng |
|
12.320.000.000 |
6.965.000.000 |
10.134.000.000 |
|
B |
Giá quy đổi về đơn vị so sánh chuẩn |
đồng/m2 |
|
112.000.000 |
99.500.000 |
112.600.000 |
|
C |
Điều chỉnh các yếu tố so sánh |
|
|
|
|
|
|
C1 |
Tình trạng pháp lý |
|
Có sổ đỏ |
Đang chờ cấp sổ |
Có sổ đỏ |
Có sổ đỏ |
|
Mức điều chỉnh |
% |
|
148.000 |
0 |
0 |
|
|
Giá sau điều chỉnh 1 |
Đồng/m2 |
|
112.148.000 |
99.500.000 |
112.600.000 |
|
|
C2 |
Mặt tiền |
m |
4 |
4,5 |
3,0 |
4,5 |
|
Tỷ lệ điều chỉnh |
% |
|
-10% |
10% |
-10% |
|
|
Mức điều chỉnh |
Đồng/m2 |
|
-11.214.800 |
9.950.000 |
-11.260.000 |
|
|
Giá sau điều chỉnh 2 |
Đồng/m2 |
|
100.933.200 |
109.450.000 |
101.340.000 |
|
|
C3 |
Diện tích |
|
80 |
110 |
70 |
90 |
|
Tỷ lệ điều chỉnh |
% |
|
10% |
-5% |
5% |
|
|
Mức điều chỉnh |
Đồng/m2 |
|
11.214.800 |
-4.975.000 |
5.630.000 |
|
|
Giá sau điều chỉnh 3 |
Đồng/m2 |
|
123.362.800 |
94.525.000 |
118.230.000 |
|
|
C4 |
Mặt hẻm |
|
4 |
3 |
3,5 |
3,5 |
|
Tỷ lệ điều chỉnh |
% |
|
15% |
10% |
10% |
|
|
Mức điều chỉnh |
Đồng/m2 |
|
16.822.200 |
9.950.000 |
11.260.000 |
|
|
Giá sau điều chỉnh 4 |
Đồng/m2 |
|
128.970.200 |
109.450.000 |
123.860.000 |
|
|
D |
Mức giá chỉ dẫn |
Đồng/m2 |
|
128.970.200 |
114.425.000 |
118.230.000 |
|
D1 |
Giá trị trung bình của mức giá chỉ dẫn |
Đồng |
|
120.541.733 |
||
|
D2 |
Mức độ chênh lệch với giá trị trung bình của các mức giá chỉ dẫn |
% |
|
6,99% |
-5,07% |
-1,92% |
|
E |
Tổng hợp các số liệu điều chỉnh tại mục C |
|||||
|
E1 |
Tổng giá trị điều chỉnh gộp |
Đồng |
|
39.399.800 |
24.875.000 |
28.150.000 |
|
E2 |
Tổng số lần điều chỉnh |
Lần |
|
4 |
3 |
3 |
|
E3 |
Biên độ điều chỉnh |
% |
|
10%-15% |
5%-10% |
5%-10% |
|
E4 |
Tổng giá trị điều chỉnh thuần |
Đồng |
|
16.970.200 |
14.925.000 |
5.630.000 |
Trong bảng điều chỉnh trên, thẩm định viên thực hiện điều chỉnh yếu tố liên quan đến giao dịch của tài sản (tình trạng pháp lý) trước, điều chỉnh các yếu tố so sánh về đặc điểm của tài sản (mặt tiền, diện tích, mặt hẻm) sau theo đúng quy định về thứ tự điều chỉnh tại Tiêu chuẩn thẩm định giá Việt Nam về Cách tiếp cận từ thị trường.
* Về nguyên tắc khống chế:
Theo D2 thì chênh lệch giữa mức giá trung bình của các mức giá chỉ dẫn chỉ nằm trong khoảng từ 5,07% - 6,99%, vì vậy đảm bảo không quá 15%.
* Về thống nhất mức giá chỉ dẫn:
Thẩm định viên đánh giá chất lượng thông tin về các tài sản so sánh là tương đương nhau; mức giá chỉ dẫn, tổng giá trị điều chỉnh gộp, tổng số lần điều chỉnh, biên độ điều chỉnh của các bất động sản chênh lệch không đáng kể. Do đó, thẩm định viên sử dụng mức giá chỉ dẫn trung bình của 03 bất động sản so sánh làm mức giá của bất động sản thẩm định giá:
Giá trị của mảnh đất là: 120.541.733 x 80 m2 = 9.643.338.640 đồng
Làm tròn là: 9.640.000.000 đồng./.
Phụ lục số 2
VÍ DỤ VỀ ÁP DỤNG PHƯƠNG PHÁP THẶNG DƯ
(Ban hành kèm theo Tiêu chuẩn thẩm định giá Việt Nam số 11)
Các ví dụ đã được giản lược và chỉ mang tính chất minh họa.
1. Ví dụ 1:
Cần thẩm định giá một khu đất để tư vấn cho nhà đầu tư kinh doanh bất động sản xây dựng phương án đầu tư. Khu đất có diện tích 15.000m2 tại một thành phố là đô thị loại II. Khu đất đang được dùng vào mục đích sản xuất công nghiệp, nay được phép chuyển mục đích sử dụng sang xây dựng nhà ở để bán. Hiện tại trên khu đất có nhà xưởng sản xuất diện tích 7.000m2 (nhà trệt, tường gạch, vì kèo thép, mái tôn, nền láng xi măng), các chuyên gia đánh giá chất lượng còn lại 30%.
Theo quy định áp dụng đối với dự án này, tỷ lệ tối đa diện tích đất sử dụng để xây dựng nhà ở là 60%, tương đương tổng diện tích xây dựng là 9.000 m2; trong đó 60% diện tích đất (5.400 m2) để xây dựng chung cư cao 16 tầng; 40% diện tích đất còn lại (3.600 m2) để xây dựng nhà liền kề (chia thành 36 lô, mỗi lô có diện tích 100 m2).
Giả định dự án sẽ hoàn thành trong thời hạn một năm và nhà đầu tư chỉ phải bồi thường phần giá trị nhà xưởng cho doanh nghiệp bị thu hồi đất.
Căn cứ vào quy hoạch, thiết kế chi tiết của dự án và các dữ liệu do nhà đầu tư cung cấp; qua việc khảo sát phân tích thị trường bất động sản, thị trường xây dựng, thẩm định viên thu thập được các thông tin tại thời điểm thẩm định giá như sau:
- Chi phí phá dỡ nhà xưởng cũ 300 triệu đồng, phế liệu thu hồi được bằng 25% giá trị còn lại của nhà xưởng.
- Đơn giá xây dựng mới nhà xưởng có kết cấu tương tự 1.000.000đ/m2.
- Chi phí đầu tư xây dựng hạ tầng trung bình 1.000.000 đ/m2
- Chi phí thiết kế, quy hoạch dự án 1.000 triệu đồng.
- Chi phí xây dựng nhà chung cư trung bình 6.000.000đ/m2 .
- Nhà đầu tư phải vay ngân hàng 70% chi phí phát sinh tại thời điểm bắt đầu dự án với lãi suất 13%/năm.
- Chi phí quảng cáo và bán nhà bằng 1,5% doanh thu.
- Chi phí quản lý dự án bằng 10% tổng chi phí xây dựng của dự án (bao gồm chi phí đầu tư hạ tầng và chi phí xây dựng chung cư).
- Lợi nhuận của nhà đầu tư dự kiến bằng 14% tổng chi phí phát triển quy về thời điểm hiện tại (bao gồm chi phí trực tiếp, chi phí gián tiếp và không bao gồm chi phí tài chính)
- Toàn bộ căn hộ chung cư và đất phân lô được bán hết vào cuối năm. Giá bán căn hộ chung cư trung bình 15 triệu đ/m2, tổng diện tích các căn hộ chiếm 80% tổng diện tích sàn xây dựng nhà chung cư; Đất phân lô dự kiến bán được 23 triệu đ/m2. Giá trên chưa bao gồm thuế giá trị gia tăng.
- Tỷ suất chiết khấu là 10%
Lời giải :
Áp dụng phương pháp thặng dư để định giá khu đất này như sau:
Bước 1: Trên cơ sở phân tích đặc điểm của tài sản thẩm định giá, thị trường của tài sản thẩm định giá và các yếu tố có liên quan, thẩm định viên xác mục đích sử dụng tốt nhất và có hiệu quả nhất của khu đất là xây dựng nhà chung cư; trong đó cơ cấu hợp lý nhất là dành khoảng 60% diện tích đất có khả năng xây dựng để xây dựng chung cư cao tầng và khoảng 40% diện tích đất còn lại để phân lô bán nền.
Bước 2: Ước tính tổng doanh thu
Giả thiết khoản thu bán căn hộ chung cư và nền đất phát sinh vào thời điểm cuối năm.
- Doanh thu từ việc bán các căn hộ chung cư tại thời điểm cuối năm:
5.400m2 ´ 16 tầng ´ 80% ´ 15 triệu đồng/m2 = 1.036.800 triệu đồng
- Doanh thu từ diện tích đất phân lô bán nền tại thời điểm cuối năm:
3.600 m2 ´ 23 triệu đồng/m2 = 82.800 triệu đồng
Như vậy, tổng doanh thu quy về thời điểm hiện tại:
(1.036.800 + 82.800) ÷ (1 + 10%) = 1.017.818 triệu đồng
Bước 3: Ước tính tổng chi phí
Giả thiết các khoản phát sinh đầu năm bao gồm: Chi phí phá dỡ nhà xưởng cũ; chi phí bồi thường nhà xưởng; khoản thu từ phế liệu; chi phí thiết kế, quy hoạch dự án.
Giả thiết các chi phí phát sinh cuối năm bao gồm: Chi phí đầu tư hạ tầng; chi phí xây dựng chung cư; chi phí xây dựng bể nước, trạm bơm, máy phát điện dự phòng phục vụ cho nhà chung cư, trả lãi tiền vay ngân hàng, chi phí bán hàng, chi phí quản lý.
Giả thiết nhà đầu tư vay ngân hàng 70% chi phí phát sinh tại thời điểm bắt đầu dự án. Thời gian vay là 1 năm, lãi trả cuối kỳ.
* Chi phí phát sinh tại thời điểm bắt đầu thực hiện dự án:
- Chi phá dỡ nhà xưởng cũ: 300 triệu đồng
- Chi phí bồi thường nhà xưởng:
(7.000 m2 ´ 1 triệu đồng/m2) ´ 30% = 2.100 triệu đồng
- Giá trị phế liệu thu hồi:
2.100 triệu đồng ´ 25% = 525 triệu đồng
- Chi phí thiết kế, quy hoạch dự án: 1.000 triệu đồng/m2
ð Tổng chi phí phát sinh tại thời điểm bắt đầu thực hiện dự án là:
300 + 2.100 – 525 + 1.000 = 2.875 triệu đồng
* Chi phí phát sinh tại thời điểm cuối dự án:
- Chi phí đầu tư hạ tầng:
15.000m2 ´ 1 triệu đồng/m2 = 15.000 triệu đồng
- Chi phí xây dựng chung cư:
(5.400m2/tầng ´ 16 tầng) ´ 6 triệu đồng/m2 = 518.400 triệu đồng
- Chi phí quản lý dự án:
10% × (15.000 + 518.400) = 53.340 triệu đồng
- Chi phí quảng cáo bán hàng:
1,5% ´ (1.036.800 + 82.800) triệu đồng = 16.794 triệu đồng
- Trả lãi tiền vay ngân hàng:
(70% × 2.875) ´ 13% = 245,245 triệu đồng
* Tổng chi phí phát triển (chưa bao gồm lợi nhuận của nhà đầu tư) quy về thời điểm hiện tại là:
2.875 + ((15.000 + 518.400 + 53.340 + 16.794 + 245,245) ÷ (1 + 10%))
= 551.765 triệu đồng
* Ước tính lợi nhuận của nhà đầu tư:
(551.765 - 245,245) ´ 14% = 77.212 triệu đồng
* Tổng chi phí phát triển quy về thời điểm hiện tại là:
551.765 + 77.212 = 628.977 triệu đồng
Bước 5: Xác định giá đất
Giá trị ước tính của khu đất
1.017.818 - 628.977 = 388.841 triệu đồng
Kết luận giá trị của khu đất nêu trên là 388.841 triệu đồng
2. Ví dụ 2: Xác định giá trị quyền sử dụng lô đất diện tích 10.000 m2 . Hiện tại lô đất này đã được phép chuyển mục đích sử dụng thành đất ở.
Theo quy định về xây dựng, đối với dự án này, tỷ lệ diện tích đất sử dụng để xây dựng nhà ở tối đa là 60% tổng diện tích đất xây dựng (60% x 10.000 m2 = 6.000 m2). Dự án này được phép xây dựng một toà nhà chung cư cao 12 tầng, dự án này sẽ hoàn thành trong vòng 2 năm và nhà đầu tư chỉ phải bồi thường giá trị nhà xưởng cho doanh nghiệp bị thu hồi đất. Kế hoạch thực hiện dự án như sau:
1. Năm thứ nhất dự kiến hoàn thành 60% khối lượng xây lắp:
1.1. Tổng chi phí xây dựng:
Chi phí thiết kế, quy hoạch dự án 2.400 triệu đồng;
Chi phí xây dựng hạ tầng 700.000 đồng/m2;
Chi phí xây dựng nhà chung cư 5.000.000 đồng/m2;
Chi xây dựng bể nước, trạm bơm, máy phát điện dự phòng…1.500 triệu đồng.
Chi phí phá dỡ nhà xưởng cũ 100 triệu đồng, phế liệu thu hồi được thu ngay từ năm đầu trị giá 30 triệu đồng.
Chi phí quảng cáo bán nhà là 4.500 triệu đồng
Chi quản lý dự án bằng 5% tổng chi phí của dự án (bao gồm chi phí đầu tư hạ tầng và chi phí xây dựng chung cư)
Biết rằng: các khoản chi phá dỡ, bồi thường nhà xưởng; chi đầu tư cơ sở hạ tầng; chi thiết kế, quy hoạch dự án; chi tiếp thị, quảng cáo được thực hiện trong năm đầu. Các khoản chi xây dựng nhà chung cư; chi xây dựng bể nước, trạm bơm…hoàn thành 60% khối lượng.
1.2. Doanh thu từ việc bán căn hộ chung cư:
- Từ tầng 1 đến tầng 5 giá bán 13 triệu đồng/m2, từ tầng 6 đến tầng 10 giá 12 triệu đồng/m2, các tầng còn lại giá 11 triệu đồng/m2.
- Thu của khách hàng 40% giá trị căn hộ ngay sau khi ký hợp đồng. Hợp đồng được 2 bên ký vào cuối năm thứ nhất.
2. Năm thứ hai hoàn thành giá trị còn lại của dự án
- Khách hàng nộp số tiền còn lại sau khi chìa khoá trao tay.
- Tổng diện tích các căn hộ chung cư chiếm 80% diện tích đất xây dựng (6000 m2 x 80% = 4.800 m2)
- 50% chi phí cuối năm thứ nhất nhà đầu tư phải đi vay ngân hàng với lãi suất là 13,5%/năm (không bao gồm chi phí quảng cáo bán nhà, chi phí quản lý, chi phí lãi vay)
- Lợi nhuận của nhà đầu tư bằng 14% tổng chi phí phát triển quy về thời điểm hiện tại (bao gồm chi phí trực tiếp, chi phí gián tiếp và không bao gồm chi phí tài chính)
- Tỷ suất chiết khấu là 10%
- Giá bán căn hộ chung cư chưa bao gồm thuế GTGT.
Lời giải:
Áp dụng phương pháp thặng dư để xác định giá trị khu đất này như sau:
Bước 1: Xác định mục đích sử dụng tốt nhất và có hiệu quả nhất của khu đất dùng cho mục đích xây dựng khu chung cư để bán; trong đó cơ cấu hợp lý nhất là dành khoảng 60% tổng diện tích đất xây dựng để xây dựng chung cư 12 tầng.
Bước 2: Ước tính tổng doanh thu:
Giả thiết khoản thu bán căn hộ chung cư phát sinh vào thời điểm cuối năm, phế liệu thu hồi thu từ đầu năm thứ nhất.
Bước 3: Ước tính tổng chi phí:
Giả thiết như sau :
- Nhà đầu tư vay ngân hàng tại thời điểm bắt đầu dự án.
- Chi phí thiết kế, quy hoạch dự án; Chi phí phá dỡ, bồi thường nhà xưởng cũ phát sinh đầu năm.
- Chi phí xây dựng hạ tầng; chi phí xây dựng chung cư; chi phí xây dựng bể nước, trạm bơm, máy phát điện dự phòng phục vụ cho nhà chung cư, trả lãi tiền vay ngân hàng, chi phí quảng cáo bán hàng, chi phí quản lý dự án phát sinh cuối năm.
Bảng tính toán chi tiết cụ thể như sau:
|
STT |
CHỈ TIÊU |
Giá trị |
Đơn vị |
Ghi chú |
|
1 |
Ước tính giá trị phát triển |
606.496 |
tr đồng |
DT = DT1 + DT2 + DT3 |
|
|
Tầng 1 - 5: 13 tr đồng/m2 |
|
|
|
|
|
Tầng 6 -10: 12 tr đồng/m2 |
|
|
|
|
|
Tầng 11 - 12: 11 tr đồng/m2 |
|
|
|
|
1.1 |
Doanh thu năm 1 quy về thời điểm thẩm định giá |
256.582 |
tr đồng |
DT1=(4800×5×13+4800×5×12+4800×2×11)×40%/1,1 |
|
1.2 |
Doanh thu năm 2 quy về thời điểm thẩm định giá |
349.884 |
tr đồng |
DT2=(4800×5×13+4800×5×12+4800×2×11)×60%/1,12 |
|
2 |
Ước tính chi phí phát triển |
346.352 |
tr đồng |
CP = CP1 + CP2 |
|
|
Đầu năm 1 |
|
tr đồng |
|
|
2.1 |
Chi phí thiết kế, quy hoạch |
2.400 |
tr đồng |
C1 |
|
2.2 |
Chi phí phá dỡ nhà xưởng cũ (đã khấu trừ phần giá trị thu hồi) |
70 |
tr đồng |
C2 = 100 tr. đ – 30 tr. đ |
|
2.3 |
Chi phí phát sinh thời điểm bắt đầu dự án |
2.470 |
tr đồng |
C3 = C1 + C2 |
|
|
Cuối năm 1 |
|
|
|
|
2.4 |
Chi đầu tư hạ tầng |
7.000 |
tr đồng |
C4 = 10.000 m2 x 700.000 đ/m2 |
|
2.5 |
Chi xây dựng chung cư |
216.000 |
tr đồng |
C5 = 6000 m2 x 5 tr. đồng/m2 x 12 tầng x 60% |
|
2.6 |
Chi xây dựng bể nước, trạm bơm, máy phát điện dự phòng… |
900 |
tr đồng |
C6= 1.500 tr. đồng x 60 % |
|
2.7 |
Chi phí bán nhà, quảng cáo tiếp thị |
4.500 |
tr đồng |
C7 |
|
2.8 |
Chi phí quản lý |
11.150 |
tr đồng |
C8 = 5 % × (C4 + C5) |
|
2.9 |
Chi trả lãi vay |
15.113 |
tr đồng |
C9= 50%× [C4 + C5 + C6]×13,5% |
|
2.10 |
Chi phí phát sinh tại thời điểm cuối năm thứ nhất |
239.550 |
tr đồng |
C10 = C4+ C5+ C6 + C7 + C8 + C9 |
|
2.11 |
Tổng chi phí phát sinh năm thứ nhất quy về hiện tại |
220.242 |
tr đồng |
CP1 = C3 + C10/1,1 |
|
|
Năm 2 |
|
|
|
|
2.13 |
Chi xây dựng chung cư |
144.000 |
tr đồng |
C13=6000m2 x 5 tr đồng/m2 x 12 tầng x 40% |
|
2.14 |
Chi xây dựng bể nước, trạm bơm, máy phát điện dự phòng… |
600 |
tr đồng |
C14= 1500 x 40% |
|
2.15 |
Chi phí quản lý |
7.230 |
tr đồng |
C15= (C13+ C14) x 5 % |
|
2.16 |
Chi phí phát sinh tại thời điểm cuối năm thứ hai |
151.830 |
tr đồng |
C16 = C13 + C14 + C15 |
|
2.17 |
Tổng chi phí phát sinh năm thứ hai quy về hiện tại |
125.479 |
tr đồng |
CP2 = C16/ 1,12 |
|
2.18 |
Lợi nhuận nhà đầu tư |
46.566 |
tr đồng |
14% × [CP – C10/1,1] |
|
3 |
Giá trị QSD đất |
|
tr đồng |
|
|
3.1 |
Giá trị QSD đất |
213.578 |
tr đồng |
DT - CP - Lợi nhuận nhà đầu tư |
|
3.2 |
Diện tích đất |
10.000 |
m2 |
|
|
3.3 |
Đơn giá QSD đất |
21,36 |
tr đồng |
Giá trị QSD đất / Diện tích đất |
Phụ lục số 3
PHIẾU THU THẬP THÔNG TIN BẤT ĐỘNG SẢN THAM KHẢO
(Ban hành kèm theo Tiêu chuẩn thẩm định giá Việt Nam số 11)
Bất động sản khảo sát:................................................................................................... [1]
Địa điểm của bất động sản:
I. Văn bản pháp lý bất động sản:
|
1 |
Giấy chứng nhận quyền sử dụng đất, quyền sở hữu nhà ở và tài sản khác gắn liền với đất |
□ |
|
2 |
Giấy chứng nhận nguồn gốc bất động sản (trường hợp chưa được cấp Giấy chứng nhận quyền sử dụng đất, quyền sở hữu nhà ở và tài sản khác gắn liền với đất) |
□ |
|
a |
Quyết định giao, cấp đất, cho thuê đất, chuyển mục đích sử dụng đất ở do cơ quan nhà nước có thẩm quyền cấp. |
□ |
|
b |
Quyết định phân nhà, phân đất của thủ trưởng cơ quan đơn vị. |
□ |
|
c |
Hợp đồng mua nhà của các đơn vị có tư cách pháp nhân được cơ quan có thẩm quyền giao đất làm nhà bán. |
□ |
|
d |
Các giấy tờ về đất ở do cơ quan có thẩm quyền của chế độ cũ cấp. |
□ |
|
e |
Khác |
□ |
|
3 |
Trường hợp chủ bất động sản có các giấy tờ kể trên nhưng không đúng tên chủ đang sử dụng thì phải có các giấy tờ kèm theo chứng minh |
□ |
|
a |
Giấy tờ mua bán nhà |
□ |
|
b |
Giấy tờ thừa kế, chia, tặng bất động sản |
□ |
|
c |
Khác |
□ |
|
4 |
Trích lục Bản đồ quy hoạch chi tiết khu vực (nếu có) |
□ |
|
5 |
Giấy phép xây dựng nhà, bản vẽ thiết kế xây dựng, sơ đồ vị trí bất động sản và các bản vẽ khác (bản sao). |
□ |
|
6 |
Chi tiết về qui hoạch từ cơ quan có chức năng ở địa phương hoặc của văn phòng quy hoạch đô thị (bản sao) (nếu có). |
□ |
|
7 |
Văn bản khác về mua bán, chuyển nhượng, giao tài sản, thừa kế, tặng cho bất động sản |
□ |
II. Thông tin chung về Bất động sản
1. Thửa đất số: .................Tờ bản đồ số.............. .....................; Năm lập:
2. Mục đích sử dụng:
3. Thời hạn sử dụng:
4. Diện tích Bất động sản theo văn bản pháp lý / theo thực tế
- Diện tích sử dụng riêng:................................................................................................ [2]
- Diện tích sử dụng chung:.............................................................................................. [3]
5. Hình dạng thửa đất:
- Kích thước mặt tiền:
- Kích thước chiều sâu:
6. Thông tin về tranh chấp bất động sản
III. Thông tin chi tiết Bất động sản:
1. Thông tin thửa đất:
- Vị trí:
a. Mặt tiền: Số lượng mặt tiền:.....
|
Mặt tiền thứ nhất: |
||
|
1 |
Tên đường:..... |
□ |
|
2 |
Chiều rộng mặt đường ..... |
|
|
3 |
Loại đường:..... |
|
|
|
Quốc lộ |
□ |
|
|
Tỉnh lộ |
□ |
|
|
Huyện lộ |
□ |
|
|
Xã lộ |
□ |
|
|
Loại khác (ngõ, chuyên dùng...).............................. |
□ |
|
Mặt tiền thứ hai: |
||
|
1 |
Tên đường:..... |
□ |
|
2 |
Chiều rộng mặt đường ..... |
|
|
3 |
Loại đường:..... |
|
|
|
Quốc lộ |
□ |
|
|
Tỉnh lộ |
□ |
|
|
Huyện lộ |
□ |
|
|
Xã lộ |
□ |
|
|
Loại khác (ngõ, chuyên dùng...).............................. |
□ |
|
Tương tự các mặt tiền còn lại (nếu có) |
||
b. Tiếp giáp
- Hướng Đông giáp khu vực
- Hướng Tây giáp khu vực
- Hướng Nam giáp khu vực
- Hướng Bắc giáp khu vực
c. Cách trung tâm thương mại.....................; địa điểm giao thông công cộng:.................; cửa hàng ........, trường học........., bệnh viện..............
2. Công trình xây dựng trên đất
- Miêu tả: ..................................................................................................... .......
- Loại nhà....., cấp nhà....., hạng nhà
- Mục đích sử dụng:
- Năm xây dựng:..............., thời gian đưa vào sử dụng.........................
- Diện tích xây dựng........... ; diện tích sử dụng ....................................
- Kết cấu:........................................................................................................... .
- Móng (loại/tình trạng)................sàn (loại/tình trạng).......................... tường (loại/tình trạng).............mái (loại/tình trạng)...............................
- Cầu thang (loại:gỗ, đá, inox.../tình trạng):...........................................
- Số phòng (ngủ, bếp, vệ sinh.../tình trạng)..............................., diện tích sử dụng từng phòng
- Các trang thiết bị (Điều hòa nhiệt độ, bàn ghế, tủ.....)
- Hệ thống điện........, hệ thống cấp và thoát nước
- Hệ thống internet......, cáp truyền hình
- Tình trạng sửa chữa và bảo trì
- Chất lượng nhà (% còn lại, tuổi đời)
3. Cơ sở hạ tầng, kỹ thuật:
- Đặc điểm địa hình:
- Giao thông:
- Cấp điện:
- Cấp nước:
- Cấp gas:
- Thoát nước:
- Tình trạng ngập lụt:
- Thông tin liên lạc:
- Đặc điểm khác
4. Môi trường sống
+ Cảnh quan:
+ Tiếng ồn/ bụi/ kẹt xe/khác:
+ An ninh:
+ Dân trí:
IV. Thông tin thị trường bất động sản của khu vực bất động sản khảo sát
1. Nhu cầu về bất động sản thuộc khu vực, khả năng cung cấp bất động sản thuộc khu vực
2. Thông tin khác
|
TRỢ LÝ THẨM ĐỊNH VIÊN (nếu có)
<chữ ký> Họ tên
|
THẨM ĐỊNH VIÊN VỀ GIÁ HÀNH NGHỀ
<chữ ký> Họ tên Số thẻ thẩm định viên về giá: .......... |
(Nội dung phiếu có thể được tùy chỉnh theo đặc điểm của từng loại bất động sản được khảo sát)
[1] Nêu loại bất động sản tiến hành khảo sát: căn hộ chung cư, biệt thự đơn lập, nhà ở liền kề mặt phố, cửa hàng hoặc các loại bất động sản khác
[2] áp dụng cho Bất động sản là căn hộ chung cư, văn phòng cho thuê là các loại hình khác tương tự
[3] áp dụng cho Bất động sản là căn hộ chung cư, văn phòng cho thuê là các loại hình khác tương tự
Bạn chưa Đăng nhập thành viên.
Đây là tiện ích dành cho tài khoản thành viên. Vui lòng Đăng nhập để xem chi tiết. Nếu chưa có tài khoản, vui lòng Đăng ký tại đây!
Bạn chưa Đăng nhập thành viên.
Đây là tiện ích dành cho tài khoản thành viên. Vui lòng Đăng nhập để xem chi tiết. Nếu chưa có tài khoản, vui lòng Đăng ký tại đây!