- Tổng quan
- Nội dung
- VB gốc
- Tiếng Anh
- Hiệu lực
- VB liên quan
- Lược đồ
-
Nội dung hợp nhất
Tính năng này chỉ có tại LuatVietnam.vn. Nội dung hợp nhất tổng hợp lại tất cả các quy định còn hiệu lực của văn bản gốc và các văn bản sửa đổi, bổ sung, đính chính... trên một trang. Việc hợp nhất văn bản gốc và những văn bản, Thông tư, Nghị định hướng dẫn khác không làm thay đổi thứ tự điều khoản, nội dung.
Khách hàng chỉ cần xem Nội dung hợp nhất là có thể nắm bắt toàn bộ quy định hiện hành đang áp dụng, cho dù văn bản gốc đã qua nhiều lần chỉnh sửa, bổ sung.
- Tải về
Thông tư 23/2023/TT-BNNPTNT quy định đo đạc, giảm nhẹ phát thải khí nhà kính lĩnh vực lâm nghiệp
| Cơ quan ban hành: | Bộ Nông nghiệp và Phát triển nông thôn |
Số công báo:
Số công báo là mã số ấn phẩm được đăng chính thức trên ấn phẩm thông tin của Nhà nước. Mã số này do Chính phủ thống nhất quản lý.
|
Đang cập nhật |
| Số hiệu: | 23/2023/TT-BNNPTNT | Ngày đăng công báo: | Đang cập nhật |
| Loại văn bản: | Thông tư | Người ký: | Nguyễn Quốc Trị |
|
Ngày ban hành:
Ngày ban hành là ngày, tháng, năm văn bản được thông qua hoặc ký ban hành.
|
15/12/2023 |
Ngày hết hiệu lực:
Ngày hết hiệu lực là ngày, tháng, năm văn bản chính thức không còn hiệu lực (áp dụng).
|
Đang cập nhật |
|
Áp dụng:
Ngày áp dụng là ngày, tháng, năm văn bản chính thức có hiệu lực (áp dụng).
|
Đã biết
|
Tình trạng hiệu lực:
Cho biết trạng thái hiệu lực của văn bản đang tra cứu: Chưa áp dụng, Còn hiệu lực, Hết hiệu lực, Hết hiệu lực 1 phần; Đã sửa đổi, Đính chính hay Không còn phù hợp,...
|
Đã biết
|
| Lĩnh vực: | Tài nguyên-Môi trường Nông nghiệp-Lâm nghiệp |
TÓM TẮT THÔNG TƯ 23/2023/TT-BNNPTNT
Ngày 15/12/2023, Bộ Nông nghiệp và Phát triển nông thôn ban hành Thông tư 23/2023/TT-BNNPTNT quy định đo đạc, báo cáo, thẩm định kết quả giảm nhẹ phát thải khí nhà kính và kiểm kê khí nhà kính lĩnh vực lâm nghiệp. Cụ thể như sau:
1. 06 quy trình thực hiện đo đạc, báo cáo, thẩm định kết quả giảm nhẹ phát thải khí nhà kính bao gồm:
- Xác định khu vực thực hiện các biện pháp giảm nhẹ phát thải khí nhà kính;
- Xác định mức phát thải cơ sở của từng biện pháp giảm nhẹ phát thải khí nhà kính;
- Tính toán kết quả giảm nhẹ phát thải khí nhà kính;
- Xây dựng phương án giám sát các biện pháp giảm nhẹ phát thải khí nhà kính;
- Xây dựng báo cáo kết quả giảm nhẹ phát thải khí nhà kính;
- Thẩm định kết quả giảm nhẹ phát thải khí nhà kính.
2. 07 biện pháp giảm nhẹ phát thải khí nhà kính gồm:
- Bảo vệ rừng tự nhiên;
- Bảo vệ rừng ven biển;
- Trồng mới rừng phòng hộ, rừng đặc dụng và rừng sản xuất trên đất không có rừng;
- Khoanh nuôi xúc tiến tái sinh tự nhiên, khoanh nuôi xúc tiến tái sinh tự nhiên có trồng bổ sung, làm giàu, nuôi dưỡng rừng tự nhiên;
- Phát triển rừng trồng gỗ lớn;
- Phát triển các mô hình nôn lâm kết hợp;
- Quản lý rừng bền vững.
Thông tư có hiệu lực từ ngày 01/02/2024.
Văn bản này được sửa đổi, bổ sung bởi 26/2025/TT-BNNMT
Xem chi tiết Thông tư 23/2023/TT-BNNPTNT có hiệu lực kể từ ngày 01/02/2024
Tải Thông tư 23/2023/TT-BNNPTNT
|
BỘ NÔNG NGHIỆP VÀ PHÁT TRIỂN NÔNG THÔN |
CỘNG HÒA XÃ HỘI CHỦ NGHĨA VIỆT NAM |
|
Số: 23/2023/TT-BNNPTNT |
Hà Nội, ngày 15 tháng 12 năm 2023 |
THÔNG TƯ
Quy định đo đạc, báo cáo, thẩm định kết quả giảm nhẹ phát thải khí nhà kính và kiểm kê khí nhà kính lĩnh vực lâm nghiệp
_____________
Căn cứ Nghị định số 105/2022/NĐ-CP ngày 22 tháng 12 năm 2022 của Chính phủ quy định chức năng, nhiệm vụ, quyền hạn và cơ cấu tổ chức của Bộ Nông nghiệp và Phát triển nông thôn;
Căn cứ Luật Lâm nghiệp ngày 15 tháng 11 năm 2017;
Căn cứ Luật Bảo vệ môi trường ngày 17 tháng 11 năm 2020;
Căn cứ Nghị định số 06/2022/NĐ-CP ngày 07 tháng 01 năm 2022 của Chính phủ quy định giảm nhẹ phát thải khí nhà kính và bảo vệ tầng ô-dôn;
Theo đề nghị của Cục trưởng Cục Lâm nghiệp;
Bộ trưởng Bộ Nông nghiệp và Phát triển nông thôn ban hành Thông tư quy định đo đạc, báo cáo, thẩm định kết quả giảm nhẹ phát thải khí nhà kính và kiểm kê khí nhà kính lĩnh vực lâm nghiệp.
Chương I
QUY ĐỊNH CHUNG
Điều 1. Phạm vi điều chỉnh
Thông tư này quy định về quy trình, nội dung thực hiện đo đạc, báo cáo, thẩm định kết quả giảm nhẹ phát thải khí nhà kính và kiểm kê khí nhà kính lĩnh vực lâm nghiệp.
Điều 2. Đối tượng áp dụng
Thông tư này áp dụng đối với tổ chức, cá nhân có liên quan đến hoạt động đo đạc, báo cáo, thẩm định kết quả giảm nhẹ phát thải khí nhà kính và kiểm kê khí nhà kính lĩnh vực lâm nghiệp.
Điều 3. Giải thích từ ngữ
Trong Thông tư này, các từ ngữ dưới đây được hiểu như sau:
1. Đo đạc, báo cáo, thẩm định kết quả giảm nhẹ phát thải khí nhà kính là hoạt động thu thập, xử lý, quản lý, lưu trữ, cung cấp, kiểm tra thông tin và thẩm định kết quả thực hiện các biện pháp giảm nhẹ phát thải khí nhà kính lĩnh vực lâm nghiệp.
2. Biện pháp giảm nhẹ phát thải khí nhà kính lĩnh vực lâm nghiệp là các hoạt động can thiệp nhằm giảm phát thải khí nhà kính và tăng hấp thụ các-bon rừng.
3. Mức phát thải cơ sở là mức phát thải và hấp thụ khí nhà kính trong một giai đoạn cụ thể sau năm cơ sở của khu vực thực hiện biện pháp giảm nhẹ khi không thực hiện biện pháp giảm nhẹ đó.
4. Năm cơ sở là mốc thời gian tham chiếu để bắt đầu xây dựng mức phát thải cơ sở và đo đạc kết quả giảm nhẹ của các biện pháp giảm nhẹ phát thải khí nhà kính.
5. Vùng sinh thái lâm nghiệp sử dụng trong đo đạc, báo cáo, thẩm định kết quả giảm nhẹ phát thải khí nhà kính và kiểm kê khí nhà kính, bao gồm các vùng: Tây Bắc Bộ, Đông Bắc Bộ, Đồng bằng Bắc Bộ, Bắc Trung Bộ, Nam Trung Bộ, Tây Nguyên, Đông Nam Bộ và Tây Nam Bộ.
6. Nguồn phát thải khí nhà kính là nơi gây ra phát thải khí nhà kính vào khí quyển do bất kỳ quá trình hoặc hoạt động tác động vào rừng gây suy giảm sinh khối; chuyển đổi đất có rừng thành đất không có rừng.
7. Bể hấp thụ khí nhà kính là nơi hấp thụ và lưu giữ khí nhà kính từ khí quyển do quá trình tăng trưởng, tái sinh rừng tự nhiên; các hoạt động bảo vệ rừng, làm giàu rừng, nuôi dưỡng rừng tự nhiên, trồng và chăm sóc rừng trồng.
8. Kiểm kê khí nhà kính là hoạt động thu thập thông tin, số liệu, tính toán lượng phát thải và lượng hấp thụ khí nhà kính tại một năm cụ thể.
9. Các loại khí nhà kính kiểm kê, bao gồm: Carbon dioxide (CO2), Methane (CH4) và Nitrous oxide (N2O). Các loại khí CH4 và N2O sau khi tính toán được quy đổi thành khí CO2 tương đương (CO2tđ) theo Hướng dẫn của Ban Liên chính phủ về biến đổi khí hậu (IPCC).
10. Số liệu hoạt động sử dụng cho kiểm kê khí nhà kính gồm các số liệu về diện tích các trạng thái rừng; số liệu khai thác gỗ, củi; số liệu diện tích các trạng thái rừng bị thiệt hại do cháy rừng, thiên tai, sinh vật gây hại rừng tại năm kiểm kê; số liệu biến động diện tích giữa các trạng thái rừng, chuyển đổi đất có rừng sang các loại đất khác và ngược lại trong một khoảng thời gian nhất định.
11. Hệ số phát thải khí nhà kính là hệ số được sử dụng để tính toán lượng phát thải, hấp thụ khí nhà kính cho một nguồn phát thải, bể hấp thụ khí nhà kính.
12. Kiểm soát chất lượng là quy trình nội bộ để kiểm soát và bảo đảm tính đầy đủ, sự nhất quán, minh bạch và độ tin cậy của số liệu hoạt động, hệ số phát thải và các thông số khác sử dụng trong đo đạc, báo cáo, thẩm định kết quả giảm nhẹ phát thải khí nhà kính và kiểm kê khí nhà kính.
13. Đảm bảo chất lượng là quy trình do bên thứ ba độc lập thực hiện để kiểm soát và bảo đảm tính đầy đủ, sự nhất quán, minh bạch và độ tin cậy của số liệu hoạt động, hệ số phát thải và các thông số khác sử dụng trong đo đạc, báo cáo, thẩm định kết quả giảm nhẹ phát thải khí nhà kính và kiểm kê khí nhà kính.
Chương II
ĐO ĐẠC, BÁO CÁO, THẨM ĐỊNH KẾT QUẢ GIẢM NHẸ PHÁT THẢI KHÍ NHÀ KÍNH LĨNH VỰC LÂM NGHIỆP
Điều 4. Nội dung thực hiện đo đạc kết quả giảm nhẹ phát thải khí nhà kính
1. Tài liệu sử dụng để đo đạc kết quả giảm nhẹ phát thải khí nhà kính:
a) Kết quả công bố hiện trạng rừng toàn quốc hằng năm, báo cáo kết quả điều tra, kiểm kê và theo dõi diễn biến rừng toàn quốc, các số liệu thống kê ngành lâm nghiệp của Bộ Nông nghiệp và Phát triển nông thôn ;
b) Số liệu thống kê, kiểm kê đất đai theo quy định của Bộ Tài nguyên và Môi trường;
c) Số liệu thống kê về lâm nghiệp và sử dụng đất của Tổng cục Thống kê;
d) Các báo cáo và số liệu thống kê về lâm nghiệp và đất đai do cơ quan có thẩm quyền của địa phương ban hành.
2. Số liệu sử dụng để đo đạc kết quả giảm nhẹ phát thải khí nhà kính:
a) Diện tích các trạng thái rừng; sản lượng khai thác gỗ, củi; diện tích rừng bị thiệt hại do cháy, thiên tai, sinh vật gây hại rừng; diện tích biến động giữa các trạng thái rừng; diện tích chuyển đổi đất có rừng sang các loại đất khác và ngược lại;
b) Sinh khối trung bình của các trạng thái rừng; tăng trưởng sinh khối, trữ lượng gỗ trung bình hằng năm của các trạng thái rừng;
c) Trữ lượng trung bình gỗ chết; sinh khối thảm khô-thảm mục của các trạng thái rừng; trữ lượng các-bon trong đất; khối lượng vật liệu cháy.
3. Chỉ tiêu đo đạc kết quả giảm nhẹ phát thải khí nhà kính
Kết quả giảm nhẹ phát thải khí nhà kính được xác định tại năm cơ sở và năm thực hiện đo đạc đối với từng biện pháp giảm nhẹ, cụ thể như sau:
a) Lượng phát thải và lượng hấp thụ khí nhà kính do thay đổi trữ lượng các-bon sinh khối;
b) Lượng phát thải và lượng hấp thụ khí nhà kính do thay đổi trữ lượng các-bon trong gỗ chết, thảm khô-thảm mục;
c) Lượng phát thải và lượng hấp thụ khí nhà kính do thay đổi trữ lượng các-bon trong đất;
d) Lượng phát thải khí nhà kính do đốt sinh khối.
Điều 5. Quy trình thực hiện đo đạc, báo cáo, thẩm định kết quả giảm nhẹ phát thải khí nhà kính
1. Xác định khu vực thực hiện các biện pháp giảm nhẹ phát thải khí nhà kính.
2. Xây dựng mức phát thải cơ sở của từng biện pháp giảm nhẹ phát thải khí nhà kính.
3. Tính toán kết quả giảm nhẹ phát thải khí nhà kính.
4. Xây dựng phương án giám sát các biện pháp giảm nhẹ phát thải khí nhà kính.
5. Xây dựng báo cáo kết quả giảm nhẹ phát thải khí nhà kính.
6. Thẩm định kết quả giảm nhẹ phát thải khí nhà kính.
Điều 6. Xác định khu vực thực hiện các biện pháp giảm nhẹ phát thải khí nhà kính
1. Các biện pháp giảm nhẹ phát thải khí nhà kính gồm:
a) Bảo vệ rừng tự nhiên;
b) Bảo vệ rừng ven biển;
c) Trồng mới rừng phòng hộ, rừng đặc dụng và rừng sản xuất trên đất không có rừng;
d) Khoanh nuôi xúc tiến tái sinh tự nhiên, khoanh nuôi xúc tiến tái sinh tự nhiên có trồng bổ sung, làm giàu rừng, nuôi dưỡng rừng tự nhiên;
đ) Phát triển rừng trồng gỗ lớn;
e) Phát triển các mô hình nông lâm kết hợp;
g) Quản lý rừng bền vững.
2. Xác định khu vực thực hiện các biện pháp giảm nhẹ
a) Thông tin, dữ liệu xác định các biện pháp giảm nhẹ, gồm: Bản đồ hiện trạng rừng thời điểm xác định khu vực thực hiện; bản đồ ranh giới 3 loại rừng; bản đồ chi trả dịch vụ môi trường rừng; bản đồ địa hình gồm các lớp ranh giới hành chính, đường bình độ, điểm độ cao, khu dân cư, đường giao thông;
b) Xây dựng các lớp thông tin chuyên đề xác định ranh giới của từng biện pháp giảm nhẹ, gồm: Lớp ranh giới trạng thái rừng từ bản đồ hiện trạng rừng; lớp phân khu chức năng của các khu rừng đặc dụng từ bản đồ ranh giới 3 loại rừng; lớp ranh giới khu vực được chi trả dịch vụ môi trường rừng từ bản đồ chi trả dịch vụ môi trường rừng; lớp mô hình số độ cao từ bản đồ địa hình; lớp độ dốc từ mô hình số độ cao; lớp khoảng cách đến các khu dân cư từ lớp khu dân cư của bản đồ địa hình; lớp khoảng cách đến đường giao thông chính từ lớp đường giao thông của bản đồ địa hình;
c) Xác định ranh giới của từng biện pháp giảm nhẹ: Thực hiện chồng xếp không gian các lớp thông tin chuyên đề bằng các phần mềm hệ thống thông tin địa lý thành lớp thông tin tổng hợp; phân tích, lựa chọn xác định ranh giới cho từng biện pháp giảm nhẹ.
Điều 7. Xây dựng mức phát thải cơ sở của từng biện pháp giảm nhẹ phát thải khí nhà kính
1. Mức phát thải cơ sở của từng biện pháp giảm nhẹ được xây dựng cho từng năm của giai đoạn thực hiện biện pháp giảm nhẹ.
2. Mức phát thải cơ sở được xây dựng dựa trên các thông tin sau:
a) Diễn biến hiện trạng bảo vệ, quản lý và phát triển lâm nghiệp trong 5-10 năm trước năm cơ sở;
b) Tình hình phát triển kinh tế - xã hội tác động đến phát triển lâm nghiệp trước khi thực hiện biện pháp giảm nhẹ;
c) Kế hoạch phát triển kinh tế - xã hội và phát triển lâm nghiệp trong giai đoạn thực hiện biện pháp giảm nhẹ.
3. Trình tự xây dựng mức phát thải cơ sở của một biện pháp giảm nhẹ phát thải khí nhà kính quy định tại Mục I Phụ lục I ban hành kèm theo Thông tư này.
4. Mức phát thải cơ sở được cập nhật trong trường hợp thay đổi phương pháp tính toán, hệ số phát thải, số liệu hoạt động dẫn đến thay đổi đáng kể lượng phát thải, hấp thụ của mức phát thải cơ sở và được thể hiện trong báo cáo kết quả giảm nhẹ phát thải khí nhà kính.
Điều 8. Tính toán kết quả giảm nhẹ phát thải khí nhà kính
1. Tính toán lượng phát thải và lượng hấp thụ khí nhà kính cho từng biện pháp giảm nhẹ theo phương pháp quy định tại Mục I, II, III, IV Phụ lục II ban hành kèm theo Thông tư này.
2. Tính toán kết quả giảm nhẹ phát thải khí nhà kính quy định tại Mục II Phụ lục I ban hành kèm theo Thông tư này.
Điều 9. Xây dựng phương án giám sát các biện pháp giảm nhẹ phát thải khí nhà kính
1. Phương án giám sát bao gồm các nội dung chính sau đây:
a) Thông tin về hệ thống theo dõi, giám sát, vai trò và trách nhiệm của các tổ chức trong hệ thống theo dõi, giám sát; nguồn lực và công cụ cần thiết để thực hiện giám sát;
b) Thông tin về các phương pháp tính toán kết quả giảm nhẹ phát thải khí nhà kính cho các biện pháp giảm nhẹ;
c) Thông tin về các thông số cần đo đạc, tần suất và cách thức thực hiện đo đạc;
d) Quản lý, lưu giữ thông tin, số liệu sử dụng trong đo đạc, báo cáo kết quả giảm nhẹ.
2. Phương án giám sát được thể hiện trong báo cáo kết quả giảm nhẹ phát thải khí nhà kính và được cập nhật khi có thay đổi trong quá trình tổ chức thực hiện.
Điều 10. Xây dựng báo cáo kết quả giảm nhẹ phát thải khí nhà kính
Báo cáo kết quả giảm nhẹ phát thải khí nhà kính quy định tại Mục III Phụ lục I ban hành kèm theo Thông tư này.
Điều 11. Thẩm định kết quả giảm nhẹ phát thải khí nhà kính
1. Tổ chức thẩm định: Cục Lâm nghiệp trình Bộ Nông nghiệp và Phát triển nông thôn thành lập Hội đồng thẩm định và tổ chức họp Hội đồng thẩm định kết quả giảm nhẹ phát thải khí nhà kính lĩnh vực lâm nghiệp.
a) Thành phần Hội đồng thẩm định có từ 07 đến 09 thành viên gồm đại diện Cục Lâm nghiệp , Cục Kiểm lâm , Vụ Khoa học, Công nghệ và Môi trường, Cục Biến đổi khí hậu (Bộ Tài nguyên và Môi trường), các đơn vị liên quan và các chuyên gia có chuyên môn phù hợp. Hội đồng thẩm định gồm chủ tịch, phó chủ tịch, 02 ủy viên phản biện, ủy viên thư ký và các ủy viên khác. Thành viên tham gia xây dựng báo cáo hoặc Tổ chức chủ trì xây dựng báo cáo không được tham gia Hội đồng thẩm định;
b) Phương thức hoạt động: Trước phiên họp ít nhất 05 ngày làm việc, Cục Lâm nghiệp gửi hồ sơ thẩm định cho các thành viên Hội đồng; phiên họp Hội đồng được tổ chức bằng hình thức trực tiếp hoặc trực tuyến và phải có tối thiểu 2/3 số thành viên Hội đồng tham dự, trong đó phải có chủ tịch hoặc phó chủ tịch được chủ tịch ủy quyền, ủy viên thư ký và 02 ủy viên phản biện. Trường hợp 01 ủy viên phản biện vắng mặt phải có ý kiến nhận xét bằng văn bản gửi Hội đồng trước khi họp Hội đồng. Hội đồng thông qua bằng hình thức bỏ phiếu và chỉ thông qua khi có ít nhất 2/3 số thành viên Hội đồng đồng ý thông qua.
2. Nội dung, thời gian, báo cáo thẩm định và quản lý, lưu giữ hồ sơ thẩm định kết quả giảm nhẹ phát thải khí nhà kính theo Điều 11 của Thông tư số 01/2022/TT-BTNMT ngày 07 tháng 01 năm 2022 của Bộ trưởng Bộ Tài nguyên và Môi trường quy định chi tiết thi hành Luật Bảo vệ môi trường về ứng phó với biến đổi khí hậu.
3. Tổ chức chủ trì xây dựng báo cáo tiếp thu, chỉnh sửa và hoàn thiện báo cáo kết quả giảm nhẹ phát thải khí nhà kính theo kết luận của Hội đồng thẩm định, gửi Cục Lâm nghiệp kèm theo bản tiếp thu, giải trình các ý kiến kết luận của Hội đồng.
4. Cục Lâm nghiệp rà soát, hoàn thiện báo cáo kết quả giảm nhẹ phát thải khí nhà kính, gửi Bộ Nông nghiệp và Phát triển nông thôn (Vụ Khoa học, Công nghệ và Môi trường) tổng hợp gửi Bộ Tài nguyên và Môi trường.
Chương III
KIỂM KÊ KHÍ NHÀ KÍNH LĨNH VỰC LÂM NGHIỆP
Điều 12. Nội dung thực hiện kiểm kê khí nhà kính
1. Tài liệu sử dụng để kiểm kê khí nhà kính theo quy định tại khoản 1 Điều 4 Thông tư này.
2. Số liệu sử dụng để kiểm kê khí nhà kính:
a) Các số liệu không gian: Diện tích các trạng thái rừng; diện tích biến động giữa các trạng thái rừng; diện tích chuyển đổi đất có rừng sang các loại đất khác và ngược lại;
b) Các số liệu thống kê: Sản lượng khai thác gỗ, củi; diện tích các trạng thái rừng bị thiệt hại do cháy rừng, thiên tai, sinh vật gây hại rừng.
3. Kiểm kê khí nhà kính
Các đối tượng kiểm kê lượng phát thải và lượng hấp thụ, gồm:
a) Đất có rừng;
b) Đất không có rừng chuyển đổi sang đất có rừng;
c) Đất có rừng chuyển đổi sang đất không có rừng.
Điều 13. Quy trình thực hiện kiểm kê khí nhà kính
Kiểm kê khí nhà kính thực hiện theo chu kỳ 2 năm 1 lần và theo quy trình như sau:
1. Lựa chọn phương pháp kiểm kê khí nhà kính;
2. Lựa chọn hệ số phát thải;
3. Thu thập và xử lý số liệu hoạt động;
4. Tính toán phát thải và hấp thụ khí nhà kính;
5. Kiểm soát chất lượng, đảm bảo chất lượng kiểm kê khí nhà kính;
6. Đánh giá mức độ tin cậy của kết quả kiểm kê khí nhà kính;
7. Tính toán lại kết quả kiểm kê khí nhà kính của kỳ kiểm kê trước;
8. Xây dựng báo cáo kết quả kiểm kê khí nhà kính;
9. Thẩm định kết quả kiểm kê khí nhà kính.
Điều 14. Lựa chọn phương pháp kiểm kê khí nhà kính
1. Các tiêu chí lựa chọn phương pháp kiểm kê khí nhà kính gồm:
a) Mức độ sẵn có và chất lượng thông tin, số liệu theo yêu cầu của từng phương pháp kiểm kê khí nhà kính;
b) Phương pháp đã sử dụng trong kỳ kiểm kê liền kề trước đó. Việc thay đổi phương pháp phải cải thiện được chất lượng kiểm kê khí nhà kính.
2. Hướng dẫn các phương pháp kiểm kê khí nhà kính quy định tại Mục I Phụ lục II ban hành kèm theo Thông tư này.
Điều 15. Lựa chọn hệ số phát thải
1. Các loại hệ số phát thải gồm: Sinh khối trên mặt đất bình quân của các trạng thái rừng; tăng trưởng sinh khối trên mặt đất bình quân hằng năm của các trạng thái rừng; lượng tăng trữ lượng gỗ; tỷ lệ cây chết trên đất có rừng; trữ lượng bình quân gỗ chết, thảm khô-thảm mục của các trạng thái rừng; trữ lượng các-bon trong đất; khối lượng vật liệu cháy bình quân của các trạng thái rừng.
2. Hệ số phát thải được lựa chọn từ các nguồn sau:
a) Danh mục hệ số phát thải đặc trưng quốc gia được xác định từ các báo cáo khoa học của các chương trình, dự án, nhiệm vụ khoa học công nghệ đã được nghiệm thu; các bài báo khoa học đăng trên các Tạp chí quốc tế và trong nước; các tài liệu khác đã được thẩm định;
b) Danh mục hệ số phát thải do Bộ Tài nguyên và Môi trường công bố;
c) Danh mục hệ số phát thải mặc định của IPCC.
3. Lựa chọn hệ số phát thải để kiểm kê khí nhà kính theo danh mục hệ số phát thải quy định tại Mục II Phụ lục II ban hành kèm theo Thông tư này.
Điều 16. Thu thập, xử lý số liệu hoạt động
1. Thu thập các số liệu hoạt động để kiểm kê khí nhà kính từ các tài liệu quy định tại khoản 1 Điều 12 Thông tư này.
2. Xử lý số liệu hoạt động để kiểm kê khí nhà kính quy định tại Mục III Phụ lục II ban hành kèm theo Thông tư này.
Điều 17. Tính toán phát thải và hấp thụ khí nhà kính
1. Tính toán phát thải và hấp thụ khí nhà kính quy định tại Mục IV Phụ lục II ban hành kèm theo Thông tư này.
2. Kết quả kiểm kê khí nhà kính theo nguồn phát thải, bể hấp thụ khí nhà kính được tính cho từng vùng sinh thái lâm nghiệp và tổng hợp cho toàn quốc.
Điều 18. Kiểm soát chất lượng, đảm bảo chất lượng kiểm kê khí nhà kính
1. Kiểm soát, đảm bảo chất lượng kiểm kê khí nhà kính thực hiện theo hướng dẫn của IPCC, gồm:
a) Kiểm tra tính đầy đủ, sự nhất quán, minh bạch và độ tin cậy của số liệu hoạt động, hệ số phát thải;
b) Kiểm tra và hiệu chỉnh kết quả tính toán phát thải, hấp thụ khí nhà kính; độ tin cậy của kết quả kiểm kê khí nhà kính;
c) Kiểm tra việc tài liệu hóa và lưu giữ các tài liệu sử dụng trong kiểm kê khí nhà kính.
2. Quy trình kiểm soát, đảm bảo chất lượng kiểm kê khí nhà kính thực hiện theo hướng dẫn của IPCC và được quy định tại Mục V Phụ lục II ban hành kèm theo Thông tư này.
Điều 19. Đánh giá mức độ tin cậy của kết quả kiểm kê khí nhà kính
1. Đánh giá mức độ tin cậy của các thông tin, số liệu sử dụng trong kiểm kê khí nhà kính, bao gồm hệ số phát thải, số liệu hoạt động.
2. Đánh giá mức độ tin cậy của kết quả kiểm kê khí nhà kính.
3. Phương pháp đánh giá mức độ tin cậy của kết quả kiểm kê khí nhà kính quy định tại Mục VI Phụ lục II ban hành kèm theo Thông tư này.
Điều 20. Tính toán lại kết quả kiểm kê khí nhà kính của kỳ kiểm kê trước
Việc tính toán lại kết quả kiểm kê khí nhà kính của kỳ kiểm kê trước được thực hiện trong các trường hợp sau:
1. Phát hiện sai sót về phương pháp, hệ số phát thải, số liệu hoạt động sử dụng để kiểm kê khí nhà kính;
2. Thay đổi phương pháp, hệ số phát thải, số liệu hoạt động sử dụng để kiểm kê khí nhà kính.
Điều 21. Xây dựng báo cáo kết quả kiểm kê khí nhà kính
Báo cáo kết quả kiểm kê khí nhà kính thực hiện theo quy định tại Mục VII Phụ lục II ban hành kèm theo Thông tư này.
Điều 22. Thẩm định kết quả kiểm kê khí nhà kính
1. Tổ chức thẩm định kết quả kiểm kê khí nhà kính theo quy định tại khoản 1 Điều 11 Thông tư này.
2. Nội dung, thời gian thẩm định kết quả kiểm kê khí nhà kính theo Điều 10 của Thông tư số 01/2022/TT-BTNMT.
3. Tổ chức chủ trì xây dựng báo cáo kết quả kiểm kê khí nhà kính tiếp thu, chỉnh sửa và hoàn thiện báo cáo kết quả kiểm kê khí nhà kính theo kết luận của Hội đồng thẩm định, gửi Cục Lâm nghiệp kèm bản tiếp thu, giải trình các ý kiến kết luận của Hội đồng.
4. Cục Lâm nghiệp rà soát, hoàn thiện báo cáo kết quả kiểm kê khí nhà kính, gửi Bộ Nông nghiệp và Phát triển nông thôn (qua Vụ Khoa học, Công nghệ và Môi trường) tổng hợp gửi Bộ Tài nguyên và Môi trường.
Chương IV
TỔ CHỨC THỰC HIỆN
Điều 23. Hiệu lực thi hành
1. Thông tư này có hiệu lực thi hành kể từ ngày 01 tháng 02 năm 2024.
2. Quy định chuyển tiếp: Hoạt động kiểm kê khí nhà kính lĩnh vực lâm nghiệp được phê duyệt trước thời điểm Thông tư này có hiệu lực thì thực hiện theo nội dung đã được phê duyệt.
Điều 24. Trách nhiệm thi hành
1. Cục Lâm nghiệp có trách nhiệm hướng dẫn, kiểm tra, giám sát và chủ trì tổ chức thực hiện Thông tư này.
2. Vụ Khoa học, Công nghệ và Môi trường có trách nhiệm phối hợp với Cục Lâm nghiệp thẩm định; tiếp nhận kết quả giảm nhẹ phát thải khí nhà kính và kiểm kê khí nhà kính lĩnh vực lâm nghiệp; tổng hợp báo cáo Bộ Nông nghiệp và Phát triển nông thôn .
3. Sở Nông nghiệp và Phát triển nông thôn các tỉnh, thành phố trực thuộc Trung ương có trách nhiệm cung cấp cho Cục Lâm nghiệp , Bộ Nông nghiệp và Phát triển nông thôn số liệu về diện tích các trạng thái rừng; sản lượng khai thác gỗ, củi; diện tích các trạng thái rừng bị thiệt hại do cháy rừng; diện tích biến động giữa các trạng thái rừng, chuyển đổi đất có rừng sang các loại đất khác và ngược lại trên địa bàn quản lý để thực hiện đo đạc kết quả giảm nhẹ phát thải và kiểm kê khí nhà kính.
4. Đơn vị, tổ chức trực thuộc Bộ Nông nghiệp và Phát triển nông thôn là tổ chức được giao chủ trì thực hiện xây dựng báo cáo kết quả giảm nhẹ phát thải khí nhà kính và báo cáo kết quả kiểm kê khí nhà kính lĩnh vực lâm nghiệp thông qua các chương trình, dự án, các nhiệm vụ khoa học, công nghệ và môi trường hoặc các nguồn vốn hợp pháp khác.
5. Trường hợp các văn bản viện dẫn tại Thông tư này được sửa đổi, bổ sung hoặc thay thế bởi văn bản khác thì áp dụng văn bản sửa đổi, bổ sung hoặc thay thế đó.
6. Trong quá trình thực hiện Thông tư, nếu có khó khăn, vướng mắc, cơ quan, tổ chức, cá nhân phản ánh kịp thời về Bộ Nông nghiệp và Phát triển nông thôn để hướng dẫn, nghiên cứu, sửa đổi, bổ sung./.
|
Nơi nhận: |
KT. BỘ TRƯỞNG |
Phụ lục I
HƯỚNG DẪN ĐO ĐẠC, BÁO CÁO KẾT QUẢ GIẢM NHẸ PHÁT THẢI KHÍ
NHÀ KÍNH LĨNH VỰC LÂM NGHIỆP
(Kèm theo Thông tư số 23/2023/TT-BNNPTNT ngày 15 tháng 12 năm 2023
của Bộ trưởng Bộ Nông nghiệp và Phát triển nông thôn)
I. TRÌNH TỰ XÂY DỰNG MỨC PHÁT THẢI CƠ SỞ
1. Lựa chọn phương pháp tính toán lượng phát thải, hấp thụ khí nhà kính của mức phát thải cơ sở theo hướng dẫn tại Mục I Phụ lục II ban hành kèm theo Thông tư này.
2. Thu thập, tổng hợp, phân tích xu hướng thay đổi về số liệu hoạt động và hệ số phát thải liên quan đến biện pháp giảm nhẹ trong điều kiện không thực hiện biện pháp giảm nhẹ theo hướng dẫn tại Mục II, III Phụ lục II ban hành kèm theo Thông tư này.
3. Tính toán lượng phát thải, hấp thụ khí nhà kính mức phát thải cơ sở theo phương pháp hướng dẫn tại Mục IV Phụ lục II ban hành kèm theo Thông tư này.
II. PHƯƠNG PHÁP TÍNH TOÁN KẾT QUẢ GIẢM NHẸ
1. Kết quả giảm nhẹ phát thải khí nhà kính của một biện pháp giảm nhẹ được tính theo công thức sau:
| ERd = BEd - PEd | (1.1) |
Trong đó:
ERd là kết quả giảm phát thải khí nhà kính đạt được của một biện pháp giảm nhẹ d (tCO2tđ);
BEd là lượng phát thải ròng khí nhà kính theo mức phát thải cơ sở của một biện pháp giảm nhẹ d (tCO2tđ);
PEd là lượng phát thải ròng khí nhà kính thực tế của một biện pháp giảm nhẹ d (tCO2tđ);
d là biện pháp giảm nhẹ trong danh mục các biện pháp giảm nhẹ.
2. Kết quả giảm nhẹ phát thải khí nhà kính của các biện pháp giảm nhẹ được tính theo công thức sau:
|
| (1.2) |
Trong đó:
ERLN là kết quả giảm nhẹ phát thải khí nhà kính đạt được (tCO2tđ) của các biện pháp giảm nhẹ;
ERd là kết quả giảm nhẹ phát thải khí nhà kính đạt được của một biện pháp giảm nhẹ d (tCO2tđ);
n là số biện pháp giảm nhẹ phát thải khí nhà kính.
III. MẪU BÁO CÁO
| BỘ NÔNG NGHIỆP VÀ PHÁT TRIỂN NÔNG THÔN ------- | CỘNG HÒA XÃ HỘI CHỦ NGHĨA VIỆT NAM |
BÁO CÁO
Kết quả giảm nhẹ phát thải khí nhà kính lĩnh vực lâm nghiệp
I. Thông tin chung
1. Mục tiêu chung của lĩnh vực
2. Mức phát thải cơ sở của lĩnh vực
3. Các biện pháp giảm nhẹ phát thải khí nhà kính
| STT | Tên biện pháp giảm nhẹ | Mục tiêu giảm nhẹ phát thải khí nhà kính | Giai đoạn thực hiện |
| 1 |
|
|
|
| 2 |
|
|
|
| .... |
|
|
|
II. Kết quả thực hiện các biện pháp giảm nhẹ phát thải khí nhà kính.
1. Biện pháp số 1
a) Thông tin chung
- Khu vực thực hiện
- Thời gian thực hiện
- Các hoạt động cụ thể
- Mức phát thải cơ sở
- Mục tiêu giảm nhẹ phát thải khí nhà kính
b) Phương pháp đo đạc
- Mô tả phương pháp đo đạc
- Các chỉ số đo đạc
c) Tổ chức đo đạc, báo cáo thẩm định
- Tổ chức thực hiện đo đạc
- Tổ chức thực hiện xây dựng báo cáo kết quả đo đạc
- Tổ chức thực hiện thẩm định báo cáo kết quả đo đạc
- Mô tả quy trình đo đạc, báo cáo, thẩm định
d) Kết quả giảm nhẹ phát thải khí nhà kính:
- Kết quả giảm nhẹ phát thải khí nhà kính
- So sánh với kết quả thực hiện của năm gần nhất
e) Kinh phí thực hiện
2. Biện pháp số 2
(Báo cáo các nội dung tương tự biện pháp số 1 nêu trên)
III. Kết quả giảm nhẹ phát thải khí nhà kính của lĩnh vực
IV. Hoạt động giám sát, đánh giá các biện pháp giảm nhẹ phát thải khí nhà kính
V. Khó khăn, vướng mắc, kiến nghị và đề xuất
|
| THỦ TRƯỞNG CƠ QUAN |
Phụ lục II
HƯỚNG DẪN KIỂM KÊ KHÍ NHÀ KÍNH LĨNH VỰC LÂM NGHIỆP
(Kèm theo Thông tư số 23/2023/TT-BNNPTNT ngày 15 tháng 12 năm 2023
của Bộ Nông nghiệp và Phát triển nông thôn)
I. PHƯƠNG PHÁP KIỂM KÊ KHÍ NHÀ KÍNH
Theo Hướng dẫn của IPCC, có 3 bậc theo mức độ phức tạp, yêu cầu dữ liệu và độ chính xác tăng dần và 2 phương pháp sử dụng kiểm kê khí nhà kính gồm tăng-giảm và chênh lệch trữ lượng. Hướng dẫn này áp dụng bậc 1 hoặc bậc 2, bậc 2 được áp dụng trường hợp có đủ dữ liệu.
1. Kiểm kê khí nhà kính cho đất có rừng
1.1. Thay đổi trữ lượng các-bon sinh khối
1.1.1. Bậc 1
Bậc 1 áp dụng phương pháp tăng-giảm theo các công thức sau:

Trong đó:
∆CB là lượng thay đổi trữ lượng các-bon sinh khối hằng năm trên đất có rừng (tấn C/năm);
∆CG là lượng tăng trữ lượng các-bon hằng năm do tăng trưởng sinh khối trên đất có rừng (tấn C/năm);
∆CL là lượng giảm trữ lượng các-bon hằng năm do mất sinh khối trên đất có rừng (tấn C/năm);
i là vùng sinh thái (i có giá trị từ 1 đến n);
j là trạng thái rừng (j có giá trị từ 1 đến m);
A là diện tích đất có rừng (ha);
GTOTAL là lượng tăng trưởng sinh khối trên và dưới mặt đất trung bình hằng năm (tấn khô/ha/năm);
CF là tỷ lệ các-bon của sinh khối khô (tấn C/tấn khô);
R là tỷ lệ giữa sinh khối dưới mặt đất so với sinh khối trên mặt đất của một trạng thái rừng;
Iv là lượng tăng trữ lượng cả vỏ ròng trung bình hằng năm của một trạng thái rừng (m3/ha/năm);
BCEFI là hệ số chuyển đổi và mở rộng sinh khối để chuyển lượng tăng trữ lượng cả vỏ ròng thành lượng tăng sinh khối trên mặt đất của trạng thái rừng (tấn khô/m3);
Lwood-removals là lượng giảm các-bon sinh khối hằng năm do khai thác gỗ (tấn C/năm);
Lfuelwood là lượng giảm các-bon sinh khối hằng năm do khai thác củi từ cây sống (tấn C/năm);
Ldisturbance là lượng giảm các-bon sinh khối hằng năm do cháy rừng, thiên tai, sinh vật gây hại rừng và các nguyên nhân khác (tấn C/năm);
H là sản lượng gỗ tròn cả vỏ khai thác tại năm kiểm kê (m3/năm);
BCEFR là hệ số chuyển đổi và mở rộng sinh khối để chuyển đổi sản lượng gỗ tròn cả vỏ khai thác thành tổng sinh khối khai thác (tấn khô/m3);
FGtrees là sản lượng củi khai thác từ toàn bộ cây sống tại năm kiểm kê (m3/năm);
FGpart là sản lượng củi khai thác từ các bộ phận của cây sống tại năm kiểm kê (m3/năm);
D là khối lượng riêng của gỗ (tấn khô/m3);
Adisturbance là diện tích rừng bị thiệt hại do cháy rừng, thiên tai, sinh vật gây hại rừng và các nguyên nhân khác tại năm khai thác (ha/năm);
BW là trữ lượng sinh khối trên mặt đất bình quân của diện tích rừng bị thiệt hại (tấn khô/ha);
fd là tỷ lệ mất sinh khối do bị thiệt hại.
____________________
1 Nguồn: Công thức 2.7, Chương 2, Tập 4, Hướng dẫn IPCC, 2006
2 Nguồn: Công thức 2.9, Chương 2, Tập 4, Hướng dẫn IPCC, 2006
3 Tham khảo Công thức 2.10, Chương 2, Tập 4, Hướng dẫn IPCC, 2006
4 Nguồn: Công thức 2.11, Chương 2, Tập 4, Hướng dẫn IPCC, 2006
5 Nguồn: Công thức 2.12, Chương 2, Tập 4, Hướng dẫn IPCC, 2006
6 Nguồn: Công thức 2.13, Chương 2, Tập 4, Hướng dẫn IPCC, 2006
7 Nguồn: Công thức 2.14, Chương 2, Tập 4, Hướng dẫn IPCC, 2006
1.1.2. Bậc 2
a) Phương pháp tăng-giảm
Phương pháp tăng-giảm áp dụng các công thức từ 2.1 đến 2.7.
b) Phương pháp chênh lệch trữ lượng
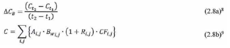
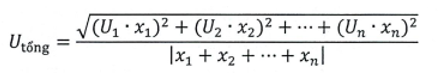
Phương pháp chênh lệch trữ lượng áp dụng các công thức sau:

Trong đó:
∆CB là lượng thay đổi trữ lượng các-bon sinh khối hằng năm (tấn c/năm);
Ct2 là tổng lượng các-bon sinh khối tại năm t2 (tấn C);
Ct1 là tổng lượng các-bon sinh khối tại năm t1 (tấn C);
C là tổng lượng các-bon sinh khối tại thời điểm t1 hoặc t2 (tấn C);
i là vùng sinh thái (i có giá trị từ 1 đến n);
j là trạng thái rừng (j có giá trị từ 1 đến m);
A là diện tích đất có rừng (ha);
R là tỷ lệ giữa sinh khối dưới mặt đất so với sinh khối trên mặt đất;
CF là tỷ lệ các-bon của sinh khối khô (tấn C/tấn khô);
Bw là trữ lượng sinh khối trên mặt đất bình quân (tấn khô/ha).
____________________
8 Nguồn: Công thức 2.8a, Chương 2, Tập 4, Hướng dẫn IPCC, 2006
9 Tham khảo Công thức 2.8b, Chương 2, Tập 4, Hướng dẫn IPCC, 2006
1.2. Thay đổi trữ lượng các-bon trong gỗ chết và thảm khô-thảm mục (DOM)
1.2.1. Bậc 1
Lượng thay đổi trữ lượng các-bon hằng năm trong gỗ chết và thảm khô-thảm mục (DOM) có giá trị bằng 0.
1.2.2. Bậc 2
a) Phương pháp tăng-giảm
Phương pháp tăng-giảm áp dụng các công thức sau:

Trong đó:
∆CDOM là lượng thay đổi trữ lượng các-bon hằng năm trong DOM (tấn C/năm);
∆CDW là lượng thay đổi trữ lượng các-bon hằng năm trong gỗ chết (tấn C/năm);
∆CLT là lượng thay đổi trữ lượng các-bon hằng năm trong thảm khô-thảm mục (tấn C/năm);
DWin là lượng các-bon sinh khối hằng năm chuyển vào gỗ chết do các quá trình thay đổi và thiệt hại (tấn C/năm);
LTin là lượng các-bon sinh khối hằng năm chuyển vào thảm khô-thảm mục do các quá trình thay đổi và thiệt hại (tấn C/năm)
DWout là lượng các-bon sinh khối hằng năm giảm từ gỗ chết do phân hủy và thiệt hại (tấn C/năm);
LTout là lượng các-bon sinh khối hằng năm giảm từ thảm khô-thảm mục do phân hủy và thiệt hại (tấn C/năm);
Lmortality là lượng các-bon sinh khối hằng năm được chuyển vào bể gỗ chết do cây chết (tấn C/năm);
Lslash là lượng các-bon sinh khối hằng năm được chuyển vào bể thảm khô-thảm mục từ cành, lá để lại sau khai thác (tấn C/năm);
Ldisturbances là lượng giảm các-bon sinh khối hằng năm do thiệt hại, được tính theo Công thức 2.7 (tấn C/năm);
f_DWBLol là tỷ lệ sinh khối còn lại từ suy giảm sinh khối do thiệt hại được thêm vào bể gỗ chết khi phân hủy;
f_LTBLol là tỷ lệ sinh khối còn lại từ suy giảm sinh khối do thiệt hại được thêm vào thảm khô-thảm mục khi phân hủy;
i là vùng sinh thái (i có giá trị từ 1 đến n);
j là trạng thái rừng (j có giá trị từ 1 đến m);
A là diện tích đất có rừng (ha);
Gw là lượng tăng trưởng sinh khối trên mặt đất hằng năm (tấn khô/ha/năm);
CF là tỷ lệ các-bon của sinh khối khô (tấn C/tấn khô);
m là tỷ lệ cây chết được biểu thị bằng tỷ lệ của tăng trưởng sinh khối trên mặt đất hằng năm;
H là sản lượng khai thác gỗ cả vỏ hằng năm (m3/năm);
BCEFR là hệ số chuyển đổi và mở rộng sinh khối để chuyển đổi trữ lượng gỗ khai thác cả vỏ thành tổng sinh khối khai thác (tấn khô/m3);
R là tỷ lệ giữa sinh khối dưới mặt đất so với sinh khối trên mặt đất;
D là khối lượng riêng của gỗ (tấn khô/m3).
b) Phương pháp chênh lệch trữ lượng
Phương pháp chênh lệch trữ lượng áp dụng công thức 2.9 và các công thức sau:

Trong đó:
∆CDW là lượng thay đổi trữ lượng các-bon hằng năm trong gỗ chết (tấn C/năm);
∆CLT là lượng thay đổi trữ lượng các-bon hằng năm trong thảm khô-thảm mục (tấn C/năm);
A là diện tích đất có rừng (ha);
là trữ lượng gỗ chết bình quân tại t1 hoặc t2 (tấn khô/ha);
là trữ lượng thảm khô-thảm mục bình quân tại t1 hoặc t2 (tấn khô/ha);
T = (t2 - t1) là khoảng thời gian giữa t1 và t2 (năm);
CFDW là tỷ lệ các-bon của sinh khối khô trong gỗ chết (tấn C/tấn khô);
CFLT là tỷ lệ các-bon của sinh khối khô trong thảm khô-thảm mục (tấn C/tấn khô).
1.3. Thay đổi trữ lượng các-bon trong đất
Theo hướng dẫn của IPCC, đất được phân chia thành đất khoáng và đất hữu cơ, trong đó đất khoáng có 6 loại gồm: đất sét hoạt tính cao; đất sét hoạt tính thấp; đất cát; đất spodic; đất núi lửa; đất ngập nước.
Thay đổi trữ lượng các-bon hằng năm trong đất được tính theo công thức sau:
| ∆CSoils = ∆CMineral - LOrganic + ∆CInorganic | (2-15)19 |
Trong đó:
∆CSoils là lượng thay đổi trữ lượng các-bon hằng năm trong đất (tấn C/năm);
∆CMineral là lượng thay đổi trữ lượng các-bon hằng năm trong đất khoáng (tấn C/năm);
LOrganic là lượng giảm các-bon hằng năm trong đất hữu cơ bị rút nước (tấn C/năm);
∆CInorganic là lượng thay đổi trữ lượng các-bon vô cơ hàng năm trong đất (tấn C/năm) (giá trị bằng 0 đối với bậc 1, bậc 2).
______________________
10 Nguồn: Công thức 2.17, Chương 2, Tập 4, Hướng dẫn IPCC, 2006
11 Tham khảo các Công thức 2.18 và 2.20, Chương 2, Tập 4, Hướng dẫn IPCC, 2006
12 Tham khảo các Công thức 2.18 và 2.20, Chương 2, Tập 4, Hướng dẫn IPCC, 2006
13 Tham khảo Công thức 2.20, Chương 2, Tập 4, Hướng dẫn IPCC, 2006
14 Tham khảo Công thức 2.20, Chương 2, Tập 4, Hướng dẫn IPCC, 2006
15 Tham khảo Công thức 2.21, Chương 2, Tập 4, Hướng dẫn IPCC, 2006
16 Nguồn: Công thức 2.22, Chương 2, Tập 4, Hướng dẫn IPCC, 2006
17 Tham khảo Công thức 2.19, Chương 2, Tập 4, Hướng dẫn IPCC, 2006
18 Tham khảo Công thức 2.19, Chương 2, Tập 4, Hướng dẫn IPCC, 2006
19 Nguồn: Công thức 2.24, Chương 2, Tập 4, Hướng dẫn IPCC, 2006
1.3.1. Đất khoáng
Bậc 1 áp dụng lượng thay đổi trữ lượng các-bon hằng năm bằng 0.
Bậc 2 áp dụng tính toán lượng thay đổi trữ lượng các-bon theo công thức sau:
|
| (2.16a)20 |
Trong đó:
∆CMineral là lượng thay đổi trữ lượng các-bon hằng năm trong đất khoáng (tấn C/năm);
SOC0 là trữ lượng các-bon trong đất khoáng tại năm kiểm kê (tấn C);
SOC(0-T) là trữ lượng các-bon trong đất khoáng tại năm thứ T trước năm kiểm kê (tấn C);
T là số năm của một giai đoạn kiểm kê (năm);
D là thời gian phụ thuộc của các hệ số thay đổi trữ lượng hay khoảng thời gian mặc định để SOC đạt đến giá trị cân bằng mới sau khi chuyển đổi sang loại hình sử dụng đất mới (năm).
SOC0 và SOC(0-T) được tính theo công thức sau:
|
| (2.16b)21 |
Trong đó:
c là vùng sinh thái;
s là loại đất khoáng;
i là phương thức quản lý;
SOCREF là trữ lượng các-bon trong đất tham chiếu (tấn C/ha);
FLU là hệ số thay đổi trữ lượng cho các phân loại sử dụng đất thuộc một loại hình sử dụng đất cụ thể;
FMG là hệ số thay đổi trữ lượng cho các phương thức quản lý;
FI là hệ số thay đổi trữ lượng cho các mức đầu vào của chất hữu cơ;
A là diện tích đất của vùng sinh thái, loại đất khoáng và phương thức quản lý đang được tính toán (ha).
1.3.2. Đất hữu cơ
Bậc 1 áp dụng hệ số phát thải mặc định của IPCC theo công thức sau:
| LOrganic = A · EF | (2.17)22 |
Trong đó:
LOrganic là lượng giảm trữ lượng các-bon hằng năm từ đất hữu cơ bị rút nước (tấn C/năm);
A là diện tích đất hữu cơ bị rút nước (ha);
EF là hệ số phát thải CO2 từ đất hữu cơ bị rút nước (tấn C/ha/năm).
Bậc 2 áp dụng công thức 2.17 với hệ số phát thải đặc trưng quốc gia.
__________________
20 Nguồn: Công thức 2.25, Chương 2, Tập 4, Hướng dẫn IPCC, 2006
21 Nguồn: Công thức 2.25, Chương 2, Tập 4, Hướng dẫn IPCC, 2006
22 Tham khảo Công thức 2.26, Chương 2, Tập 4, Hướng dẫn IPCC, 2006
1.4. Phát thải khí nhà kính ngoài CO2 do đốt sinh khối
Bậc 1 áp dụng các hệ số phát thải mặc định của IPCC theo công thức sau:
| Lfire = A . MB . Cf . Gef . 10-3 | (2.18)23 |
Trong đó:
Lfire là lượng phát thải khí nhà kính ngoài CO2 do đốt sinh khối (tấn khí nhà kính ngoài CO2);
A là diện tích bị đốt cháy (ha);
MB là khối lượng vật liệu cháy, bao gồm sinh khối trên mặt đất, gỗ chết và thảm khô-thảm mục (tấn khô/ha);
Cf là hệ số đốt cháy;
Gef là hệ số phát thải do đốt sinh khối ((g khí ngoài CO2)/(kg sinh khối khô bị cháy)).
Bậc 2 áp dụng công thức 2.18 với MB đặc trưng quốc gia và có thể sử dụng Cf và Gef đặc trưng quốc gia.
_____________________
23 Nguồn: Công thức 2.27, Chương 2, Tập 4, Hướng dẫn IPCC, 2006
2. Kiểm kê khí nhà kính cho đất không có rừng chuyển đổi thành đất có rừng
2.1. Thay đổi trữ lượng các-bon sinh khối
Bậc 1 áp dụng các công thức từ 2.1 đến 2.7, trong đó A trong công thức 2.2 được thay thế bằng diện tích đất không có rừng chuyển đổi thành đất có rừng.
Bậc 2 áp dụng các công thức sau:
| ∆CB = ∆CG + ∆CCONVERSION - ∆CL | (2.19)24 |
|
| (2.20)25 |
Trong đó:
∆CB là lượng thay đổi trữ lượng các-bon sinh khối hằng năm trên đất chuyển đổi sang một loại hình sử dụng đất mới (tấn C/năm);
∆CG là lượng tăng trữ lượng các-bon sinh khối hằng năm do tăng trưởng trên đất chuyển đổi sang một loại hình sử dụng đất mới (tấn C/năm);
∆CCONVERSION là lượng thay đổi ban đầu về trữ lượng các-bon sinh khối trên đất chuyển đổi sang một loại hình sử dụng đất mới, (tấn C/năm);
∆CL là lượng giảm trữ lượng các-bon sinh khối hằng năm do giảm sinh khối từ khai thác gỗ, thu lượm củi và bị thiệt hại trên đất chuyển đổi sang một loại hình sử dụng đất mới (tấn C/năm);
BAFTERi là trữ lượng sinh khối bình quân trên loại đất i ngay sau khi chuyển đổi (tấn khô/ha);
BBEFOREi là trữ lượng sinh khối bình quân trên loại đất i trước khi chuyển đổi (tấn khô/ha);
∆ATO_OTHERSi là diện tích loại đất i đã chuyển đổi sang một loại hình sử dụng đất mới trong năm kiểm kê (ha/năm);
CFi là tỷ lệ các-bon của sinh khối khô trên loại đất i đã chuyển đổi sang một loại hình sử dụng đất mới trong năm kiểm kê (tấn C/tấn khô);
i là loại đất đã chuyển đổi sang loại hình sử dụng đất mới.
___________________
24 Nguồn: Công thức 2.15, Chương 2, Tập 4, Hướng dẫn IPCC, 2006
25 Nguồn: Công thức 2.16, Chương 2, Tập 4, Hướng dẫn IPCC, 2006
2.2. Thay đổi trữ lượng các-bon trong gỗ chết và thảm khô-thảm mục
Bậc 1 áp dụng công thức 2.9 kết hợp với hệ số phát thải mặc định của IPCC theo các công thức sau:
|
| (2.21a)26 |
|
| (2.21b)27 |
Trong đó:
∆CDW là lượng thay đổi trữ lượng các-bon hằng năm trong gỗ chết (tấn C/năm);
∆CLT là lượng thay đổi trữ lượng các-bon hằng năm trong thảm khô-thảm mục (tấn C/năm);
là trữ lượng các-bon bình quân trong gỗ chết trên loại hình sử dụng đất cũ (tấn C/ha);
là trữ lượng các-bon bình quân trong thảm khô-thảm mục trên loại hình sử dụng đất cũ (tấn c/ha);
là trữ lượng các-bon bình quân trong gỗ chết trên loại hình sử dụng đất mới (tấn C/hanăm);
là trữ lượng các-bon bình quân trong thảm khô-thảm mục trên loại hình sử dụng đất mới (tấn c/hanăm);
Aon là diện tích chuyển đổi từ loại hình sử dụng đất cũ sang đất mới (ha);
Ton là khoảng thời gian chuyển tiếp từ loại hình sử dụng đất cũ sang đất mới (năm).
Bậc 2 áp dụng công thức 2.9 kết hợp với phương pháp tăng-giảm (công thức 2.10a và 2.10b) hoặc phương pháp chênh lệch trữ lượng (công thức 2.14a và 2.14b).
_______________
26 Tham khảo Công thức 2.23, Chương 2, Tập 4, Hướng dẫn IPCC, 2006
27 Tham khảo Công thức 2.23, Chương 2, Tập 4, Hướng dẫn IPCC, 2006
2.3. Thay đổi trữ lượng các-bon trong đất
Thay đổi trữ lượng các-bon hàng năm trong đất được tính theo công thức 2.15.
2.3.1. Đất khoáng
Bậc 1 áp dụng công thức 2.16a và 2.16b với trữ lượng các-bon trong đất tham chiếu và các hệ số thay đổi trữ lượng mặc định của IPCC.
Bậc 2 áp dụng công thức 2.16a và 2.16b với trữ lượng các-bon trong đất tham chiếu và các hệ số thay đổi trữ lượng mặc định của IPCC hoặc đặc trưng quốc gia.
2.3.2. Đất hữu cơ
Bậc 1 áp dụng công thức 2.17 với hệ số phát thải mặc định của IPCC.
Bậc 2 áp dụng công thức 2.17 với hệ số phát thải đặc trưng quốc gia.
2.4. Phát thải khí nhà kính ngoài CO2 do đốt sinh khối
Áp dụng công thức 2.18 theo tiểu mục 1.4
3. Kiểm kê khí nhà kính cho đất có rừng chuyển thành đất không có rừng
3.1. Đất có rừng chuyển đổi thành đất sản xuất nông nghiệp
3.1.1. Thay đổi trữ lượng các-bon sinh khối
Bậc 1 áp dụng các công thức 2.19 và 2.20 với các hệ số phát thải mặc định của IPCC.
Bậc 2 áp dụng các công thức 2.19 và 2.20 với các thay đổi sau: i) sử dụng trữ lượng sinh khối bình quân đặc trưng quốc gia của các trạng thái rừng trước chuyển đổi; ii) sử dụng trữ lượng sinh khối bình quân đặc trưng quốc gia của các loại đất sản xuất nông nghiệp ngay sau khi chuyển đổi; iii) tính toán lượng suy giảm trữ lượng các-bon sinh khối cho các quá trình đốt cháy và phân hủy một cách riêng rẽ.
3.1.2. Thay đổi trữ lượng các-bon trong gỗ chết và thảm khô-thảm mục
Bậc 1 áp dụng các công thức 2.9, 2.21a và 2.21b với trữ lượng các-bon bình quân trong gỗ chết và thảm khô-thảm mục trên loại hình sử dụng đất mới bằng 0. Trữ lượng các-bon bình quân trong gỗ chết và thảm khô-thảm mục trên loại hình sử dụng đất cũ theo mặc định của IPCC.
Bậc 2 áp dụng công thức 2.9 kết hợp với cách tiếp cận hai giai đoạn để tính thay đổi trữ lượng các-bon trong gỗ chết và thảm khô-thảm mục:
Giai đoạn 1 (thay đổi đột ngột và tức thời): Áp dụng các công thức 2.21a và 2.21b với trữ lượng các-bon bình quân trong gỗ chết và thảm khô-thảm mục trên loại hình sử dụng đất cũ theo hệ số đặc trưng quốc gia.
Giai đoạn 2 (thay đổi từ từ và dài hạn): Áp dụng phương pháp tăng-giảm (công thức 2.10a và 2.10b) hoặc phương pháp chênh lệch trữ lượng (công thức 2.14a và 2.14b).
3.1.3. Thay đổi trữ lượng các-bon trong đất
Thay đổi trữ lượng các-bon hằng năm trong đất được tính theo công thức 2.15.
a) Đất khoáng
Bậc 1 áp dụng công thức 2.16 với trữ lượng các-bon trong đất tham chiếu và các hệ số thay đổi trữ lượng mặc định của IPCC.
Bậc 2 áp dụng công thức 2.16 với trữ lượng các-bon trong đất tham chiếu và các hệ số thay đổi trữ lượng mặc định của IPCC hoặc hệ số đặc trưng quốc gia.
b) Đất hữu cơ
Bậc 1 áp dụng công thức 2.17 với hệ số phát thải mặc định của IPCC.
Bậc 2 áp dụng công thức 2.17 với hệ số phát thải đặc trưng quốc gia.
3.1.4. Phát thải khí nhà kính ngoài CO2 do đốt sinh khối
Áp dụng công thức 2.18 theo tiểu mục 1.4.
3.2. Đất có rừng chuyển đổi thành đất cỏ
3.2.1. Thay đổi trữ lượng các-bon trong sinh khối
Bậc 1 áp dụng các công thức 2.19 và 2.20 với trữ lượng sinh khối bình quân ngay sau khi chuyển đổi (BAFTER) bằng 0 và sinh khối đất cỏ đạt trạng thái ổn định đến giá trị mặc định của IPCC ngay trong năm đầu tiên sau khi chuyển đổi.
Bậc 2 áp dụng các công thức 2.19 và 2.20 với sinh khối đất cỏ ở trạng thái ổn định theo đặc trưng quốc gia và có thể áp dụng số năm để sinh khối đất cỏ đạt trạng thái ổn định theo hệ số đặc trưng quốc gia.
3.2.2. Thay đổi trữ lượng các-bon trong gỗ chết và thảm khô-thảm mục
Bậc 1 áp dụng các công thức 2.9, 2.21a và 2.21b với trữ lượng các-bon trong gỗ chết và thảm khô-thảm mục trên loại hình sử dụng đất mới bằng 0. Trữ lượng các-bon trong gỗ chết và thảm khô-thảm mục trên loại hình sử dụng đất cũ theo mặc định của IPCC.
Bậc 2 áp dụng công thức 2.9 kết hợp với cách tiếp cận hai giai đoạn để tính thay đổi trữ lượng các-bon trong gỗ chết và thảm khô-thảm mục:
Giai đoạn 1 (thay đổi đột ngột và tức thời): Áp dụng công thức 2.21a và 2.21b với trữ lượng các-bon trong gỗ chết và thảm khô-thảm mục trên loại hình sử dụng đất cũ theo hệ số đặc trưng quốc gia.
Giai đoạn 2 (thay đổi từ từ và dài hạn): Áp dụng phương pháp tăng-giảm (công thức 2.10a và 2.10b) hoặc phương pháp chênh lệch trữ lượng (công thức 2.14a và 2.14b).
3.2.3. Thay đổi trữ lượng các-bon trong đất
Thay đổi trữ lượng các-bon hằng năm trong đất được tính theo công thức 2.15.
a) Đất khoáng
Bậc 1 áp dụng công thức 2.16 với trữ lượng các-bon trong đất tham chiếu và các hệ số thay đổi trữ lượng mặc định của IPCC.
Bậc 2 áp dụng công thức 2.16 với trữ lượng các-bon trong đất tham chiếu và các hệ số thay đổi trữ lượng mặc định của IPCC hoặc hệ số đặc trưng quốc gia.
b) Đất hữu cơ
Bậc 1 áp dụng công thức 2.17 với hệ số phát thải mặc định của IPCC
Bậc 2 áp dụng công thức 2.17 với hệ số phát thải đặc trưng quốc gia.
3.2.4. Phát thải khí nhà kính ngoài CO2 do đốt sinh khối
Áp dụng công thức 2.18 theo tiểu mục 1.4.
3.3. Đất có rừng chuyển đổi thành đất ngập nước
3.3.1. Thay đổi trữ lượng các-bon sinh khối
Bậc 1 áp dụng công thức 2.22 với trữ lượng sinh khối bình quân sau chuyển đổi (Bafter) bằng 0 và trữ lượng sinh khối bình quân trước chuyển đổi (Bbefore) mặc định của IPCC.
|
| (2.22)28 |
Trong đó:
là thay đổi trữ lượng các-bon sinh khối hằng năm trên đất có rừng chuyển đổi thành đất ngập nước (tấn C/năm);
i là trạng thái rừng chuyển đổi thành đất ngập nước;
Ai là diện tích đất có rừng chuyển đổi thành đất ngập nước từ trạng thái rừng ban đầu i tại năm kiểm kê (ha/năm);
là trữ lượng sinh khối bình quân ngay sau khi chuyển đổi thành đất ngập nước từ trạng thái rừng ban đầu i (tấn khô/ha);
là trữ lượng sinh khối bình quân trên trạng thái rừng i ngay trước khi chuyển đổi thành đất ngập nước (tấn khô/ha);
CF là tỷ lệ các-bon của sinh khối khô (tấn C/tấn khô).
Bậc 2 áp dụng công thức 2.22 với trữ lượng sinh khối bình quân trước chuyển đổi (Bbefore) đặc trưng quốc gia và có thể áp dụng trữ lượng sinh khối bình quân sau chuyển đổi (Bafter) đặc trưng quốc gia.
3.3.2. Phát thải khí nhà kính ngoài CO2 do đốt sinh khối
Áp dụng công thức 2.18 theo tiểu mục 1.4.
__________________
28 Nguồn: Công thức 7.10, Chương 7, Tập 4, Hướng dẫn IPCC, 2006
3.4. Đất có rừng chuyển đổi thành đất ở
3.4.1. Thay đổi trữ lượng các-bon sinh khối
Bậc 1 áp dụng các công thức 2.19 và 2.20 với trữ lượng sinh khối bình quân sau chuyển đổi (BAFTER) bằng 0 và trữ lượng sinh khối bình quân trước chuyển đổi (BBEFORE) mặc định của IPCC.
Bậc 2 áp dụng các công thức 2.19 và 2.20 với trữ lượng sinh khối bình quân trước chuyển đổi (BBEFORE) theo hệ số đặc trưng quốc gia và có thể áp dụng trữ lượng sinh khối bình quân sau chuyển đổi (BAFTER) theo hệ số đặc trưng quốc gia.
3.4.2. Thay đổi trữ lượng các-bon trong gỗ chết và thảm khô-thảm mục
Bậc 1 áp dụng các công thức 2.9, 2.21a và 2.21b với trữ lượng các-bon trong gỗ chết và thảm khô-thảm mục trên loại hình sử dụng đất mới bằng 0. Trữ lượng các-bon trong gỗ chết và thảm khô-thảm mục trên loại hình sử dụng đất cũ theo mặc định của IPCC.
Bậc 2 áp dụng công thức 2.9 kết hợp với cách tiếp cận hai giai đoạn để tính thay đổi trữ lượng các-bon trong gỗ chết và thảm khô-thảm mục:
Giai đoạn 1 (thay đổi đột ngột và tức thời): Áp dụng công thức 2.21a và 2.21b với trữ lượng các-bon trong gỗ chết và thảm khô-thảm mục trên loại hình sử dụng đất cũ theo hệ số đặc trưng quốc gia.
Giai đoạn 2 (thay đổi từ từ và dài hạn): Áp dụng phương pháp tăng-giảm (công thức 2.10a và 2.10b) hoặc phương pháp chênh lệch trữ lượng (công thức 2.14a và 2.14b).
3.4.3. Thay đổi trữ lượng các-bon trong đất
Thay đổi trữ lượng các-bon hằng năm trong đất được tính theo công thức 2.15.
a) Đất khoáng
Bậc 1 áp dụng công thức 2.16 với trữ lượng các-bon trong đất tham chiếu và các hệ số thay đổi trữ lượng mặc định của IPCC.
Bậc 2 áp dụng công thức 2.16 với trữ lượng các-bon trong đất tham chiếu và các hệ số thay đổi trữ lượng mặc định của IPCC hoặc theo hệ số đặc trưng quốc gia.
b) Đất hữu cơ
Bậc 1 áp dụng công thức 2.17 với hệ số phát thải mặc định của IPCC
Bậc 2 áp dụng công thức 2.17 với hệ số phát thải đặc trưng quốc gia.
3.4.4. Phát thải khí nhà kính ngoài CO2 do đốt sinh khối
Áp dụng công thức 2.18 theo tiểu mục 1.4.
3.5. Đất có rừng chuyển đổi thành đất khác
3.5.1. Thay đổi trữ lượng các-bon sinh khối
Bậc 1 áp dụng các công thức 2.19 và 2.20 với trữ lượng sinh khối bình quân sau chuyển đổi (BAFTER) bằng 0 và trữ lượng sinh khối bình quân trước chuyển đổi (BBEFORE) mặc định của IPCC.
Bậc 2 áp dụng các công thức 2.19 và 2.20 với trữ lượng sinh khối bình quân trước chuyển đổi (BBEFORE) theo hệ số đặc trưng quốc gia.
3.5.2. Thay đổi trữ lượng các-bon trong gỗ chết và thảm khô-thảm mục
Bậc 1 áp dụng công thức 2.9, 2.21a và 2.21b với trữ lượng các-bon trong gỗ chết và thảm khô-thảm mục trên loại hình sử dụng đất mới bằng 0. Trữ lượng các-bon trong gỗ chết và thảm khô-thảm mục trên loại hình sử dụng đất cũ theo mặc định của IPCC.
Bậc 2 áp dụng công thức 2.9, 2.21a và 2.21b với trữ lượng các-bon trong gỗ chết và thảm khô-thảm mục trên loại hình sử dụng đất cũ theo hệ số đặc trưng quốc gia.
3.5.3. Thay đổi trữ lượng các-bon trong đất
Thay đổi trữ lượng các-bon hằng năm trong đất được tính theo công thức 2.15.
a) Đất khoáng
Bậc 1 áp dụng công thức 2.16 với trữ lượng các-bon trong đất tại năm kiểm kê (SOC0) bằng 0 và áp dụng trữ lượng các-bon trong đất tham chiếu và các hệ số thay đổi trữ lượng mặc định của IPCC để tính SOC(0-T).
Bậc 2 áp dụng công thức 2.16 với với trữ lượng các-bon trong đất tại năm kiểm kê (SOC0) bằng 0 và áp dụng trữ lượng các-bon trong đất tham chiếu và các hệ số thay đổi trữ lượng mặc định của IPCC hoặc hệ số đặc trưng quốc gia để tính SOC(0-T).
b) Đất hữu cơ: Thay đổi trữ lượng các-bon trong đất hữu cơ có giá trị bằng 0.
3.5.4. Phát thải khí nhà kính ngoài CO2 do đốt sinh khối
Áp dụng công thức 2.18 theo tiểu mục 1.4.
II. DANH MỤC HỆ SỐ PHÁT THẢI
Bảng số 01: Danh mục hệ số phát thải
| STT | Hệ số phát thải | Công thức áp dụng | Giá trị | ||
| Đặc trưng quốc gia29 | Bộ TNMT công bố | IPCC | |||
| I | Phát thải CO2 |
|
|
|
|
| 1 | Tỷ lệ các-bon của sinh khối khô (CF) | 2.2; 2.8b; 2.20 |
| 0,47 | 0,47 |
| 2 | Lượng tăng trữ lượng gỗ cả vỏ ròng trung bình hằng năm (Iv) | 2.3 |
| - | - |
| 3 | Hệ số chuyển đổi và mở rộng sinh khối của rừng gỗ tự nhiên - giàu (BCEFI) | 2.3 |
| 0,87 | 0,85 |
| 4 | Hệ số chuyển đổi và mở rộng sinh khối của rừng gỗ tự nhiên - trung bình (BCEFI) | 2.3 |
| 0,87 | 0,86 |
| 5 | Hệ số chuyển đổi và mở rộng sinh khối của rừng gỗ tự nhiên - nghèo (BCEFI) | 2.3 |
| 0,87 | 0,87 |
| 6 | Hệ số chuyển đổi và mở rộng sinh khối của rừng tre nứa (BCEFI) | 2.3 |
| 0,93 | 0,93 |
| 7 | Hệ số chuyển đổi và mở rộng sinh khối của rừng hỗn giao gỗ và tre nứa (BCEFI) | 2.3 |
| 0,87 | 0,87 |
| 8 | Hệ số chuyển đổi và mở rộng sinh khối của rừng ngập mặn (BCEFI) | 2.3 |
| 0,87 | 0,87 |
| 9 | Hệ số chuyển đổi và mở rộng sinh khối của rừng cau dừa (BCEFI) | 2.3 |
| - | - |
| 10 | Hệ số chuyển đổi và mở rộng sinh khối của rừng gỗ trồng (BCEFI) | 2.3 |
| - | - |
| 11 | Tỷ lệ giữa sinh khối dưới mặt đất so với sinh khối trên mặt đất (R) | 2.3; 2.8b |
| - | 0,20 (AGB ≤125 tấn khô/ha); 0,24 (AGB > 125 tấn khô/ha) |
| 12 | Hệ số chuyển đổi và mở rộng sinh khối để chuyển đổi sản lượng gỗ tròn cả vỏ khai thác thành sinh khối khai thác (BCEFR) | 2.5; 2.6; 2.13 |
| - | Theo cấp trữ lượng |
| 13 | Tỷ lệ giữa sinh khối dưới mặt đất so với sinh khối trên mặt đất của gỗ, củi khai thác (R) | 2.5; 2.6; 2.7; 2.13 |
| 0,20 | 0,20 |
| 14 | Tỷ lệ các-bon của sinh khối khô trong gỗ, củi khai thác (CF) | 2.5; 2.6; 2.7; 2.12; 2.13 |
| 0,47 | 0,47 |
| 15 | Khối lượng riêng của gỗ (D) | 2.6; 2.13 |
| - | - |
| 16 | Trữ lượng sinh khối trên mặt đất bình quân của đất có rừng (Bw) | 2.7; 2.8b |
| - | 50-220 (rừng tự nhiên); 40-150 (rừng trồng) |
| 17 | Tỷ lệ loại bỏ sinh khối do bị thiệt hại (fd) | 2.7 |
| - | - |
| 18 | Tỷ lệ sinh khối còn lại từ suy giảm sinh khối do thiệt hại được thêm vào bể gỗ chết (f_DWBLol) | 2.11a |
| - | - |
| 19 | Tỷ lệ sinh khối còn lại từ suy giảm sinh khối do thiệt hại được thêm vào bể thảm khô-thảm mục (f_LTBLol) | 2.11a |
| - | - |
| 20 | Tăng trưởng sinh khối trên mặt đất bình quân hằng năm của đất có rừng (Gw) | 2.12 |
| - | - |
| 21 | Tỷ lệ cây chết trên đất có rừng (m) | 2.12 |
| - | - |
| 22 | Trữ lượng gỗ chết bình quân (DWt1, DWt2) | 2.14a |
| - | 16,0 đối với đất có rừng; 0 đối với đất không có rừng |
| 23 | Tỷ lệ các-bon trong sinh khối khô của gỗ chết (CFDW) | 2.14a |
| 0,47 | 0,50 |
| 24 | Trữ lượng thảm khô-thảm mục bình quân (LTt1, LTt2) | 2.14b |
| - | 14,75 đối với đất có rừng; 0 đối với đất không có rừng |
| 25 | Tỷ lệ các-bon trong sinh khối khô của thảm khô-thảm mục (CFLT) | 2.14b |
| 0,47 | 0,37 |
| 26 | Thời gian phụ thuộc của các hệ số thay đổi trữ lượng (D) | 2.16a |
| - | 20 |
| 27 | Trữ lượng các-bon trong đất tham chiếu (SOCREF) của đất sét hoạt tính cao | 2.16b |
| - | 65 |
| 28 | Trữ lượng các-bon trong đất tham chiếu (SOCREF) của đất sét hoạt tính thấp | 2.16b |
| - | 47 |
| 29 | Trữ lượng các-bon trong đất tham chiếu (SOCREF) của đất cát | 2.16b |
| - | 39 |
| 30 | Trữ lượng các-bon trong đất tham chiếu (SOCREF) của đất spodic | 2.16b |
| - | - |
| 31 | Trữ lượng các-bon trong đất tham chiếu (SOCREF) của đất núi lửa | 2.16b |
| - | 70 |
| 32 | Trữ lượng các-bon trong đất tham chiếu (SOCREF) của đất ngập nước | 2.16b |
| - | 86 |
| 33 | Hệ số thay đổi trữ lượng cho các phân loại sử dụng đất (FLU) | 2.16b |
| - | - |
| 34 | Hệ số thay đổi trữ lượng cho các phương thức quản lý (FMG) | 2.16b |
| - | - |
| 35 | Hệ số thay đổi trữ lượng cho các mức đầu vào gỗ chết, thảm khô- thảm mục (FI) | 2.16b |
| - | - |
| 36 | Hệ số phát thải đối với đất có rừng hữu cơ bị rút nước | 2.17 |
| 1,36 | 1,36 |
| 37 | Hệ số phát thải đối với đất sản xuất nông nghiệp hữu cơ bị rút nước | 2.17 |
| 20 | 20 |
| 38 | Hệ số phát thải đối với đất cỏ hữu cơ bị rút nước | 2.17 |
| 5 | 5 |
| 39 | Hệ số phát thải đối với đất ngập nước hữu cơ bị rút nước | 2.17 |
| - | - |
| 40 | Hệ số phát thải đối với đất ở hữu cơ bị rút nước | 2.17 |
| - | - |
| 41 | Tăng trưởng trữ lượng các-bon sinh khối hằng năm trên đất trồng cây hằng năm (∆CG) | 2.19 |
| 4,7 | 4,7 |
| 42 | Tăng trưởng trữ lượng các-bon sinh khối hằng năm trên đất trồng cây lâu năm (∆CG) | 2.19 |
| 2,6 | 2,6 |
| 43 | Tăng trưởng trữ lượng các-bon sinh khối hằng năm trên đất cỏ (ACg) | 2.19 |
| - | - |
| 44 | Tăng trưởng trữ lượng các-bon sinh khối hằng năm trên đất ngập nước (∆CG) | 2.19 |
| - | 0 |
| 45 | Tăng trưởng trữ lượng các-bon sinh khối hàng năm trên đất ở (∆CG) | 2.19 |
| - | 0 |
| 46 | Trữ lượng sinh khối bình quân trước chuyển đổi của đất có rừng (BBEFORE) | 2.20 |
| - | - |
| 47 | Trữ lượng sinh khối bình quân trước chuyển đổi của đất trồng cây hằng năm (BBEFORE) | 2.20 |
| 10 (4,7 tC/ha) | 10 (4,7 tC/ha) |
| 48 | Trữ lượng sinh khối bình quân trước chuyển đổi của đất trồng cây lâu năm (BBEFORE) | 2.20 |
| 44,68 (21 tC/ha) | 44,68 (21 tC/ha) |
| 49 | Trữ lượng sinh khối bình quân trước chuyển đổi của đất cỏ (BBEFORE) | 2.20 |
| 3,65 | 16,1 |
| 50 | Trữ lượng sinh khối bình quân trước chuyển đổi của đất ngập nước (BBEFORE) | 2.20 |
| - | 0 |
| 51 | Trữ lượng sinh khối bình quân trước chuyển đổi của đất ở (BBEFORE) | 2.20 |
| - | 0 |
| 52 | Trữ lượng sinh khối bình quân trước chuyển đổi của đất khác (BBEFORE) | 2.20 |
| - | 0 |
| 53 | Sinh khối ngay sau chuyển đổi (BAFTER) | 2.20 |
| - | 0 |
| 54 | Trữ lượng các-bon bình quân trong gỗ chết trên đất rừng (CDW0, CDWn) | 2.21a |
| - | 8,0 |
| 55 | Trữ lượng các-bon bình quân trong gỗ chết trên đất sản xuất nông nghiệp (CDW0, CDWn) | 2.21a |
| - | 0 |
| 56 | Trữ lượng các-bon bình quân trong gỗ chết trên đất cỏ (CDW0, CDWn) | 2.21a |
| - | 0 |
| 57 | Trữ lượng các-bon bình quân trong gỗ chết trên đất ngập nước (CDW0, CDWn) | 2.21a |
| - | 0 |
| 58 | Trữ lượng các-bon bình quân trong gỗ chết trên đất ở (CDW0, CDWn) | 2.21a |
| - | 0 |
| 59 | Trữ lượng các-bon bình quân trong gỗ chết trên đất khác (CDW0, CDWn) | 2.21a |
|
| 0 |
| 60 | Trữ lượng các-bon bình quân trong thảm khô-thảm mục trên đất rừng (CLT0, CLTn) | 2.21a |
| - | 5,9 |
| 61 | Trữ lượng các-bon bình quân trong thảm khô-thảm mục trên đất sản xuất nông nghiệp (CLT0, CLTn) | 2.21a |
| - | 0 |
| 62 | Trữ lượng các-bon bình quân trong thảm khô-thảm mục trên đất cỏ (CLT0, CLTn) | 2.21a |
| - | 0 |
| 63 | Trữ lượng các-bon bình quân trong thảm khô-thảm mục trên đất ngập nước (CLT0, CLTn) | 2.21a |
| - | 0 |
| 64 | Trữ lượng các-bon bình quân trong thảm khô-thảm mục trên đất ở (CLT0, CLTn) | 2.21a |
| - | 0 |
| 65 | Trữ lượng các-bon bình quân trong thảm khô-thảm mục trên đất khác (CLT0, CLTn) | 2.21a |
| - | 0 |
| II | Phát thải ngoài CO2 |
|
|
|
|
| 66 | Khối lượng vật liệu cháy bình quân của các trạng thái rừng (MB) | 2.18 |
| - | 76,7 |
| 67 | Hệ số đốt cháy sinh khối (Cf) | 2.18 |
| 0,55 | 0,55 |
| 68 | Hệ số phát thải của CH4 của chất khô bị cháy (Gef) | 2.18 |
| 6,8 | 6,8 |
| 69 | Hệ số phát thải của N2O của chất khô bị cháy (Gef) | 2.18 |
| 0,20 | 0,20 |
| Ghi chú: Các hệ số phát thải chưa có giá trị (-) sẽ được xác định theo hệ số đặc trưng quốc gia. | |||||
___________________
29 Giá trị hệ số đặc trưng quốc gia được xác định từ các báo cáo khoa học của các chương trình, dự án, nhiệm vụ khoa học công nghệ đã được nghiệm thu; các bài báo khoa học đăng trên các Tạp chí quốc tế và trong nước; các tài liệu khác đã được thẩm định.
II. THU THẬP, XỬ LÝ SỐ LIỆU HOẠT ĐỘNG
1. Thu thập số liệu hoạt động
1.1. Phân loại đất và trạng thái rừng để kiểm kê
Loại đất và trạng thái rừng để kiểm kê được phân loại như bảng sau:
Bảng số 02: Phân loại đất và trạng thái rừng để kiểm kê
| Ký hiệu tiểu mục | Loại đất | Trạng thái rừng/loại đất | Ký hiệu trạng thái rừng/loại đất |
| 3B1 | Đất có rừng (F) | 1. Rừng gỗ tự nhiên giàu | WODFR |
| 2. Rừng gỗ tự nhiên trung bình | WODFM | ||
| 3. Rừng gỗ tự nhiên nghèo | WODFP | ||
| 4. Rừng tre nứa | BAMB | ||
| 5. Rừng hỗn giao gỗ và tre nứa | MIXF | ||
| 6. Rừng ngập mặn | MANG | ||
| 7. Rừng cau dừa | COCF | ||
| 8. Rừng gỗ trồng | PLANT | ||
| 3B2 | Đất sản xuất nông nghiệp (C) | 1. Đất trồng cây hằng năm | ACRP |
| 2. Đất trồng cây lâu năm | PCRP | ||
| 3. Đất trồng lúa nước | WRIC | ||
| 3B3 | Đất cỏ (G) | Đất cỏ | GRASS |
| 3B4 | Đất ngập nước (W) | 1. Đất than bùn 2. Đất bị làm ngập | PEAT FLOOD |
| 3B5 | Đất ở (S) | Đất ở | SETLM |
| 3B6 | Đất khác (O) | Đất khác | OTHER |
Bảng số 03: Bảng chuyển đổi trạng thái rừng để kiểm kê
| Các trạng thái rừng theo quy định về điều tra, kiểm kê rừng của Bộ Nông nghiệp và Phát triển nông thôn | Các trạng thái rừng để kiểm kê khí nhà kính | ||||
| Mã | Ký hiệu | Trạng thái rừng/loại đất | Mã | Ký hiệu | Trạng thái rừng/loại đất |
| 1 | TXG1 | Rừng gỗ tự nhiên núi đất lá rộng thường xanh giàu nguyên sinh | 1 | WODFR | Rừng gỗ tự nhiên giàu |
| 2 | TXB1 | Rừng gỗ tự nhiên núi đất lá rộng thường xanh trung bình nguyên sinh | 2 | WODFM | Rừng gỗ tự nhiên trung bình |
| 3 | RLG1 | Rừng gỗ tự nhiên núi đất lá rộng rụng lá giàu nguyên sinh | 1 | WODFR | Rừng gỗ tự nhiên giàu |
| 4 | RLB1 | Rừng gỗ tự nhiên núi đất lá rộng rụng lá trung bình nguyên sinh | 2 | WODFM | Rừng gỗ tự nhiên trung bình |
| 5 | LKG1 | Rừng gỗ tự nhiên núi đất lá kim giàu nguyên sinh | 1 | WODFR | Rừng gỗ tự nhiên giàu |
| 6 | LKB1 | Rừng gỗ tự nhiên núi đất lá kim trung bình nguyên sinh | 2 | WODFM | Rừng gỗ tự nhiên trung bình |
| 7 | RKG1 | Rừng gỗ tự nhiên núi đất lá rộng lá kim giàu nguyên sinh | 1 | WODFR | Rừng gỗ tự nhiên giàu |
| 8 | RKB1 | Rừng gỗ tự nhiên núi đất lá rộng lá kim trung bình nguyên sinh | 2 | WODFM | Rừng gỗ tự nhiên trung bình |
| 9 | TXDG1 | Rừng gỗ tự nhiên núi đá lá rộng thường xanh giàu nguyên sinh | 1 | WODFR | Rừng gỗ tự nhiên giàu |
| 10 | TXDB1 | Rừng gỗ tự nhiên núi đá lá rộng thường xanh trung bình nguyên sinh | 2 | WODFM | Rừng gỗ tự nhiên trung bình |
| 11 | RNM1 | Rừng gỗ tự nhiên ngập mặn nguyên sinh | 6 | MANG | Rừng ngập mặn |
| 12 | RNP1 | Rừng gỗ tự nhiên ngập phèn nguyên sinh | 6 | MANG | Rừng ngập mặn |
| 13 | RNN1 | Rừng gỗ tự nhiên ngập ngọt nguyên sinh | 1 | WODFR | Rừng gỗ tự nhiên giàu |
| 14 | TXG | Rừng gỗ tự nhiên núi đất lá rộng thường xanh giàu | 1 | WODFR | Rừng gỗ tự nhiên giàu |
| 15 | TXB | Rừng gỗ tự nhiên núi đất lá rộng thường xanh trung bình | 2 | WODFM | Rừng gỗ tự nhiên trung bình |
| 16 | TXN | Rừng gỗ tự nhiên núi đất lá rộng thường xanh nghèo | 3 | WODFP | Rừng gỗ tự nhiên nghèo |
| 17 | TXK | Rừng gỗ tự nhiên núi đất lá rộng thường xanh nghèo kiệt | 3 | WODFP | Rừng gỗ tự nhiên nghèo |
| 18 | TXP | Rừng gỗ tự nhiên núi đất lá rộng thường xanh chưa có trữ lượng | 3 | WODFP | Rừng gỗ tự nhiên nghèo |
| 19 | RLG | Rừng gỗ tự nhiên núi đất lá rộng rụng lá giàu | 1 | WODFR | Rừng gỗ tự nhiên giàu |
| 20 | RLB | Rừng gỗ tự nhiên núi đất lá rộng rụng lá trung bình | 2 | WODFM | Rừng gỗ tự nhiên trung bình |
| 21 | RLN | Rừng gỗ tự nhiên núi đất lá rộng rụng lá nghèo | 3 | WODFP | Rừng gỗ tự nhiên nghèo |
| 22 | RLK | Rừng gỗ tự nhiên núi đất lá rộng rụng lá nghèo kiệt | 3 | WODFP | Rừng gỗ tự nhiên nghèo |
| 23 | RLP | Rừng gỗ tự nhiên núi đất lá rộng rụng lá chưa có trữ lượng | 3 | WODFP | Rừng gỗ tự nhiên nghèo |
| 24 | NRLG | Rừng gỗ tự nhiên lá rộng nửa rụng lá giàu | 1 | WODFR | Rừng gỗ tự nhiên giàu |
| 25 | NRLB | Rừng gỗ tự nhiên lá rộng nửa rụng lá trung bình | 2 | WODFM | Rừng gỗ tự nhiên Trung bình |
| 26 | NRLN | Rừng gỗ tự nhiên lá rộng nửa rụng lá nghèo | 3 | WODFP | Rừng gỗ tự nhiên nghèo |
| 27 | NRLK | Rừng gỗ tự nhiên lá rộng rụng lá nghèo kiệt | 3 | WODFP | Rừng gỗ tự nhiên nghèo |
| 28 | NRLP | Rừng gỗ tự nhiên lá rộng rụng lá chưa có trữ lượng | 3 | WODFP | Rừng gỗ tự nhiên nghèo |
| 29 | LKG | Rừng gỗ tự nhiên núi đất lá kim giàu | 1 | WODFR | Rừng gỗ tự nhiên giàu |
| 30 | LKB | Rừng gỗ tự nhiên núi đất lá kim trung bình | 2 | WODFM | Rừng gỗ tự nhiên trung bình |
| 31 | LKN | Rừng gỗ tự nhiên núi đất lá kim nghèo | 3 | WODFP | Rừng gỗ tự nhiên nghèo |
| 32 | LKK | Rừng gỗ tự nhiên núi đất lá kim nghèo kiệt | 3 | WODFP | Rừng gỗ tự nhiên nghèo |
| 33 | LKP | Rừng gỗ tự nhiên núi đất lá kim chưa có trữ lượng | 3 | WODFP | Rừng gỗ tự nhiên nghèo |
| 34 | RKG | Rừng gỗ tự nhiên núi đất lá rộng lá kim giàu | 1 | WODFR | Rừng gỗ tự nhiên giàu |
| 35 | RKB | Rừng gỗ tự nhiên núi đất lá rộng lá kim trung bình | 2 | WODFM | Rừng gỗ tự nhiên trung bình |
| 36 | RKN | Rừng gỗ tự nhiên núi đất lá rộng lá kim nghèo | 3 | WODFP | Rừng gỗ tự nhiên nghèo |
| 37 | RKK | Rừng gỗ tự nhiên núi đất lá rộng lá kim nghèo kiệt | 3 | WODFP | Rừng gỗ tự nhiên nghèo |
| 38 | RKP | Rừng gỗ tự nhiên núi đất lá rộng lá kim chưa có trữ lượng | 3 | WODFP | Rừng gỗ tự nhiên nghèo |
| 39 | TXDG | Rừng gỗ tự nhiên núi đá lá rộng thường xanh giàu | 1 | WODFR | Rừng gỗ tự nhiên giàu |
| 40 | TXDB | Rừng gỗ tự nhiên núi đá lá rộng thường xanh trung bình | 2 | WODFM | Rừng gỗ tự nhiên trung bình |
| 41 | TXDN | Rừng gỗ tự nhiên núi đá lá rộng thường xanh nghèo | 3 | WODFP | Rừng gỗ tự nhiên nghèo |
| 42 | TXDK | Rừng gỗ tự nhiên núi đá lá rộng thường xanh nghèo kiệt | 3 | WODFP | Rừng gỗ tự nhiên nghèo |
| 43 | TXDP | Rừng gỗ tự nhiên núi đá lá rộng thường xanh chưa có trữ lượng | 3 | WODFP | Rừng gỗ tự nhiên nghèo |
| 44 | NMG | Rừng gỗ tự nhiên ngập mặn giàu | 6 | MANG | Rừng ngập mặn |
| 45 | NMB | Rừng gỗ tự nhiên ngập mặn trung bình | 6 | MANG | Rừng ngập mặn |
| 46 | NMN | Rừng gỗ tự nhiên ngập mặn nghèo | 6 | MANG | Rừng ngập mặn |
| 48 | NPG | Rừng gỗ tự nhiên ngập phèn giàu | 6 | MANG | Rừng ngập mặn |
| 49 | NPB | Rừng gỗ tự nhiên ngập phèn trung bình | 6 | MANG | Rừng ngập mặn |
| 50 | NPN | Rừng gỗ tự nhiên ngập phèn nghèo | 6 | MANG | Rừng ngập mặn |
| 51 | NPP | Rừng gỗ tự nhiên ngập phèn chưa có trữ lượng | 6 | MANG | Rừng ngập mặn |
| 52 | RNN | Rừng gỗ tự nhiên ngập ngọt | 2 | WODFM | Rừng gỗ tự nhiên trung bình |
| 53 | TLU | Rừng tre/luồng tự nhiên núi đất | 4 | BAMB | Rừng tre nứa |
| 54 | NUA | Rừng nứa tự nhiên núi đất | 4 | BAMB | Rừng tre nứa |
| 55 | VAU | Rừng vầu tự nhiên núi đất | 4 | BAMB | Rừng tre nứa |
| 56 | LOO | Rừng lồ ô tự nhiên núi đất | 4 | BAMB | Rừng tre nứa |
| 57 | TNK | Rừng tre nứa khác tự nhiên núi đất | 4 | BAMB | Rừng tre nứa |
| 58 | TND | Rừng tre nứa tự nhiên núi đá | 4 | BAMB | Rừng tre nứa |
| 59 | HG1 | Rừng hỗn giao gỗ - tre nứa tự nhiên núi đất | 5 | MIXF | Rừng hỗn giao gỗ và tre nứa |
| 60 | HG2 | Rừng hỗn giao tre nứa - gỗ tự nhiên núi đất | 5 | MIXF | Rừng hỗn giao gỗ và tre nứa |
| 61 | HGD | Rừng hỗn giao tự nhiên núi đá | 5 | MIXF | Rừng hỗn giao gỗ và tre nứa |
| 62 | CD | Rừng cau dừa tự nhiên núi đất | 7 | COCF | Rừng cau dừa |
| 63 | CDD | Rừng cau dừa tự nhiên núi đá | 7 | COCF | Rừng cau dừa |
| 64 | CDN | Rừng cau dừa tự nhiên ngập nước ngọt | 7 | COCF | Rừng cau dừa |
| 65 | RTG | Rừng gỗ trồng núi đất | 8 | PLANT | Rừng gỗ trồng |
| 66 | RTGD | Rừng gỗ trồng núi đá | 8 | PLANT | Rừng gỗ trồng |
| 67 | RTM | Rừng gỗ trồng ngập mặn | 8 | PLANT | Rừng gỗ trồng |
| 68 | RTP | Rừng gỗ trồng ngập phèn | 8 | PLANT | Rừng gỗ trồng |
| 69 | RTC | Rừng gỗ trồng đất cát | 8 | PLANT | Rừng gỗ trồng |
| 70 | RTTN | Rừng tre nứa trồng núi đất | 4 | BAMB | Rừng tre nứa |
| 71 | RTTND | Rừng tre nứa trồng núi đá | 4 | BAMB | Rừng tre nứa |
| 72 | RTCD | Rừng cau dừa trồng cạn | 7 | COCF | Rừng cau dừa |
| 73 | RTCDN | Rừng cau dừa trồng ngập nước | 7 | COCF | Rừng cau dừa |
| 74 | RTCDC | Rừng cau dừa trồng đất cát | 7 | COCF | Rừng cau dừa |
| 75 | RTK | Rừng trồng khác núi đất | 8 | PLANT | Rừng gỗ trồng |
| 76 | RTKD | Rừng trồng khác núi đá | 8 | PLANT | Rừng gỗ trồng |
1.2. Các loại số liệu hoạt động cần thu thập
Bảng số 04: Các loại số liệu hoạt động cần thu thập
| STT | Loại số liệu hoạt động | Công thức áp dụng | Nguồn và yêu cầu |
| 1 | Diện tích đất có rừng trong giai đoạn kiểm kê (A) | 2.2; 2.8b; 2.12; 2.14a; 2.14b | Được trích xuất từ dữ liệu không gian |
| 2 | Diện tích đất không có rừng chuyển đổi thành đất có rừng trong giai đoạn kiểm kê (A, Aon) | 2.2; 2.21a; 2.21b | Được trích xuất từ dữ liệu không gian |
| 3 | Diện tích đất có rừng chuyển đổi thành đất không có rừng trong giai đoạn kiểm kê (A, Aon) | 2.2; 2.21a; 2.21b | Được trích xuất từ dữ liệu không gian |
| 4 | Sản lượng gỗ tròn cả vỏ khai thác tại năm kiểm kê (H) | 2.5 2.13 | Sử dụng dữ liệu thống kê quốc gia về lượng gỗ khai thác năm kiểm kê |
| 5 | Sản lượng củi khai thác tại năm kiểm kê, (FGtrees, FGpart) | 2.6 | Sử dụng dữ liệu thống kê quốc gia về lượng củi khai thác năm kiểm kê |
| 6 | Diện tích đất có rừng bị thiệt hại tại năm kiểm kê (Adisturbance) | 2.7; 2.18 | Sử dụng dữ thống kê quốc gia hoặc Bộ, ngành. Các số liệu về diện tích rừng bị thiệt hại do nguyên nhân khác (thiên tai, sinh vật gây hại rừng...) nếu chưa được thống kê, sẽ có giá trị bằng 0. |
| 7 | Diện tích đất khoáng tại năm kiểm kê (Ac,s,i) | 2.16b | Sử dụng dữ liệu thống kê quốc gia hoặc trích xuất từ bản đồ thổ nhưỡng. |
| 8 | Diện tích đất khoáng tại năm T trước năm kiểm kê (Ac,s,i) | 2.16b | Sử dụng dữ liệu thống kê quốc gia hoặc trích xuất từ bản đồ thổ nhưỡng. |
| 9 | Diện tích đất hữu cơ rút nước tại năm kiểm kê (A) | 2.17 | Sử dụng dữ liệu thống kê quốc gia hoặc trích xuất từ bản đồ thổ nhưỡng. |
| 10 | Diện tích đất không có rừng chuyển đổi thành đất có rừng trong năm kiểm kê (∆ATO_OTHERSi) | 2.20 | Được trích xuất từ dữ liệu không gian |
| 11 | Diện tích đất có rừng chuyển đổi thành đất không có rừng trong năm kiểm kê (∆ATO_OTHERSi) | 2.20 | Được trích xuất từ dữ liệu không gian |
1.3. Mẫu biểu thu thập số liệu hoạt động
Bảng số 05: Diện tích sử dụng đất và thay đổi sử dụng đất giai đoạn ...
| TT | Trạng thái rừng/loại đất | Diện tích (ha) | |||
| Năm bắt đầu (A1) | Năm kiểm kê (A2) | Thay đổi | Thay đổi trung bình năm | ||
|
| Tổng diện tích (I+II+III+IV+V+VI) |
|
|
|
|
| I | Đất có rừng |
|
|
|
|
| 1 | Rừng gỗ tự nhiên giàu |
|
|
|
|
| 2 | Rừng gỗ tự nhiên trung bình |
|
|
|
|
| 3 | Rừng gỗ tự nhiên nghèo |
|
|
|
|
| 4 | Rừng tre nứa |
|
|
|
|
| 5 | Rừng hỗn giao gỗ và tre nứa |
|
|
|
|
| 6 | Rừng ngập mặn |
|
|
|
|
| 7 | Rừng cau dừa |
|
|
|
|
| 8 | Rừng gỗ trồng |
|
|
|
|
| II | Đất sản xuất nông nghiệp |
|
|
|
|
| 9 | Đất trồng cây hằng năm |
|
|
|
|
| 10 | Đất trồng cây lâu năm |
|
|
|
|
| 11 | Đất trồng lúa nước |
|
|
|
|
| III | Đất cỏ |
|
|
|
|
| 12 | Đất cỏ |
|
|
|
|
| IV | Đất ngập nước |
|
|
|
|
| 13 | Đất than bùn |
|
|
|
|
| 14 | Đất bị làm ngập |
|
|
|
|
| V | Đất ở |
|
|
|
|
| 15 | Đất ở |
|
|
|
|
| VI | Đất khác |
|
|
|
|
| 16 | Đất khác |
|
|
|
|
Bảng số 06: Diện tích sử dụng đất và thay đổi diện tích sử dụng đất năm ...
| Nguồn phát thải và hấp thụ khí nhà kính | Diện tích (ha) | |
| Tổng |
| |
| 3B1. Đất có rừng | Tổng |
|
| 3B1a. Đất có rừng |
| |
| 3B1b. Đất chuyển đổi thành đất có rừng |
| |
| 3B2. Đất sản xuất nông nghiệp | Tổng |
|
| 3B2a. Đất sản xuất nông nghiệp |
| |
| 3B2b. Đất chuyển đổi thành đất sản xuất nông nghiệp |
| |
| 3B3. Đất cỏ | Tổng |
|
| 3B3a. Đất cỏ |
| |
| 3B3b. Đất chuyển đổi thành đồng cỏ |
| |
| 3B4. Đất ngập nước | Tổng |
|
| 3B4a. Đất ngập nước |
| |
| 3B4b. Đất chuyển đổi thành đất ngập nước |
| |
| 3B5. Đất ở | Tổng |
|
| 3B5a. Đất ở |
| |
| 3B5b. Đất chuyển đổi thành đất ở |
| |
| 3B6. Đất khác | Tổng |
|
| 3B6a. Đất khác |
| |
| 3B6b. Đất chuyển đổi thành đất khác |
| |
Bảng số 07: Ma trận thay đổi sử dụng đất giai đoạn ...
(Đơn vị: ha)
| Diện tích chuyển đổi | Mã trạng thái tại năm kiểm kê | Tổng (diện tích năm bắt đầu (A1)) | ||||||||||||||||
| 1 | 2 | 3 | 4 | 5 | 6 | 7 | 8 | 9 | 10 | 11 | 12 | 13 | 14 | 15 | 16 | |||
| Mã trạng thái tại năm bắt đầu | 1 |
|
|
|
|
|
|
|
|
|
|
|
|
|
|
|
|
|
| 2 |
|
|
|
|
|
|
|
|
|
|
|
|
|
|
|
|
| |
| 3 |
|
|
|
|
|
|
|
|
|
|
|
|
|
|
|
|
| |
| 4 |
|
|
|
|
|
|
|
|
|
|
|
|
|
|
|
|
| |
| 5 |
|
|
|
|
|
|
|
|
|
|
|
|
|
|
|
|
| |
| 6 |
|
|
|
|
|
|
|
|
|
|
|
|
|
|
|
|
| |
| 7 |
|
|
|
|
|
|
|
|
|
|
|
|
|
|
|
|
| |
| 8 |
|
|
|
|
|
|
|
|
|
|
|
|
|
|
|
|
| |
| 9 |
|
|
|
|
|
|
|
|
|
|
|
|
|
|
|
|
| |
| 10 |
|
|
|
|
|
|
|
|
|
|
|
|
|
|
|
|
| |
| 11 |
|
|
|
|
|
|
|
|
|
|
|
|
|
|
|
|
| |
| 12 |
|
|
|
|
|
|
|
|
|
|
|
|
|
|
|
|
| |
| 13 |
|
|
|
|
|
|
|
|
|
|
|
|
|
|
|
|
| |
| 14 |
|
|
|
|
|
|
|
|
|
|
|
|
|
|
|
|
| |
| 15 |
|
|
|
|
|
|
|
|
|
|
|
|
|
|
|
|
| |
| 16 |
|
|
|
|
|
|
|
|
|
|
|
|
|
|
|
|
| |
| Tổng (diện tích năm kiểm kê (A2)) |
|
|
|
|
|
|
|
|
|
|
|
|
|
|
|
|
| |
Ghi chú: Mã trạng thái rừng/loại đất từ 1 đến 16 lần lượt tương ứng với: 1-Rừng gỗ tự nhiên giàu, 2-Rừng gỗ tự nhiên trung bình, 3-Rừng gỗ tự nhiên nghèo, 4-Rừng tre nứa. 5-Rừng hỗn giao gỗ và tre nứa, 6-Rừng ngập mặn, 7-Rừng cau dừa, 8-Rừng gỗ trồng, 9-Đất trồng cây hằng năm, 10-Đất trồng cây lâu năm, 11-Đất trồng lúa, 12-Đất cỏ, 13-Đất than bùn, 14-Đất bị làm ngập, 15-Đất ở, 16-Đất khác.
Bảng số 08: Diện tích các loại đất chuyển đổi thành đất có rừng năm ...
| Năm bắt đầu | Trạng thái rừng/loại đất năm kiểm kê | Diện tích (ha) |
| Đất trồng cây hằng năm | Rừng gỗ tự nhiên giàu |
|
| Rừng gỗ tự nhiên trung bình |
| |
| Rừng gỗ tự nhiên nghèo |
| |
| Rừng tre nứa |
| |
| Rừng hỗn giao gỗ và tre nứa |
| |
| Rừng ngập mặn |
| |
| Rừng cau dừa |
| |
| Rừng gỗ trồng |
| |
| Tổng |
| |
| Đất trồng cây lâu năm | Rừng gỗ tự nhiên - giàu |
|
| Rừng gỗ tự nhiên- trung bình |
| |
| Rừng gỗ tự nhiên - nghèo |
| |
| Rừng tre nứa |
| |
| Rừng hỗn giao gỗ và tre nứa |
| |
| Rừng ngập mặn |
| |
| Rừng cau dừa |
| |
| Rừng gỗ trồng |
| |
| Tổng |
| |
| Đất trồng lúa nước | Rừng gỗ tự nhiên giàu |
|
| Rừng gỗ tự nhiên trung bình |
| |
| Rừng gỗ tự nhiên nghèo |
| |
| Rừng tre nứa |
| |
| Rừng hỗn giao gỗ và tre nứa |
| |
| Rừng ngập mặn |
| |
| Rừng cau dừa |
| |
| Rừng gỗ trồng |
| |
| Tổng |
| |
| Đất cỏ | Rừng gỗ tự nhiên giàu |
|
| Rừng gỗ tự nhiên trung bình |
| |
| Rừng gỗ tự nhiên nghèo |
| |
| Rừng tre nứa |
| |
| Rừng hỗn giao gỗ và tre nứa |
| |
| Rừng ngập mặn |
| |
| Rừng cau dừa |
| |
| Rừng gỗ trồng |
| |
| Tổng |
| |
| Đất than bùn (đất ngập nước) | Rừng gỗ tự nhiên giàu |
|
| Rừng gỗ tự nhiên trung bình |
| |
| Rừng gỗ tự nhiên nghèo |
| |
| Rừng tre nứa |
| |
| Rừng hỗn giao gỗ và tre nứa |
| |
| Rừng ngập mặn |
| |
| Rừng cau dừa |
| |
| Rừng gỗ trồng |
| |
| Tổng |
| |
| Đất bị làm ngập (Đất ngập nước) | Rừng gỗ tự nhiên giàu |
|
| Rừng gỗ tự nhiên trung bình |
| |
| Rừng gỗ tự nhiên nghèo |
| |
| Rừng tre nứa |
| |
| Rừng hỗn giao gỗ và tre nứa |
| |
| Rừng ngập mặn |
| |
| Rừng cau dừa |
| |
| Rừng gỗ trồng |
| |
| Tổng |
| |
| Đất ở | Rừng gỗ tự nhiên giàu |
|
| Rừng gỗ tự nhiên trung bình |
| |
| Rừng gỗ tự nhiên nghèo |
| |
| Rừng tre nứa |
| |
| Rừng hỗn giao gỗ và tre nứa |
| |
| Rừng ngập mặn |
| |
| Rừng cau dừa |
| |
| Rừng gỗ trồng |
| |
| Tổng |
| |
| Đất khác | Rừng gỗ tự nhiên giàu |
|
| Rừng gỗ tự nhiên trung bình |
| |
| Rừng gỗ tự nhiên nghèo |
| |
| Rừng tre nứa |
| |
| Rừng hỗn giao gỗ và tre nứa |
| |
| Rừng ngập mặn |
| |
| Rừng cau dừa |
| |
| Rừng gỗ trồng |
| |
| Tổng |
| |
| Tổng các diện tích đất chuyển đổi thành đất có rừng |
| |
Bảng số 09: Sản lượng gỗ và củi được khai thác năm ...
| Hạng mục | Loại thay đổi sử dụng đất | Trữ lượng (m3) |
| Sản lượng gỗ tròn cả vỏ khai thác | - Đất có rừng - Đất chuyển đổi thành đất có rừng - Đất có rừng chuyển đổi thành các loại hình sử dụng đất khác |
|
| Sản lượng củi khai thác từ toàn bộ cây | - Đất có rừng - Đất chuyển đổi thành đất có rừng - Đất có rừng chuyển đổi thành các loại hình sử dụng đất khác |
|
| Sản lượng củi khai thác từ các bộ phận của cây | - Đất có rừng - Đất chuyển đổi thành đất có rừng - Đất có rừng chuyển đổi thành các loại hình sử dụng đất khác |
|
Bảng số 10: Diện tích rừng bị thiệt hại năm ...
| Kiểu thiệt hại | Trạng thái rừng/loại đất | Mức độ ảnh hưởng | Diện tích (ha) |
| Cháy có kiểm soát | Rừng gỗ tự nhiên giàu Rừng gỗ tự nhiên trung bình Rừng gỗ tự nhiên nghèo | Mạnh Trung bình Yếu |
|
| Cháy không kiểm soát |
|
|
|
| Sinh vật gây hại rừng |
|
|
|
| Thiên tai |
|
|
|
| Thiệt hại khác |
|
|
|
Bảng số 11: Diện tích đất hữu cơ bị rút nước năm …...
| Loại chuyển đổi | Diện tích đất hữu cơ bị rút nước (ha) |
| Đất có rừng |
|
| Đất chuyển đổi thành đất có rừng |
|
| Đất có rừng chuyển đổi thành đất sản xuất nông nghiệp |
|
| Đất có rừng chuyển đổi thành đất cỏ |
|
| Đất có rừng chuyển đổi thành đất ngập nước |
|
| Đất có rừng chuyển đổi thành đất ở |
|
| Đất có rừng chuyển đổi thành đất khác |
|
Bảng số 12: Diện tích đất có rừng chuyển đổi thành đất sản xuất nông nghiệp năm ...
| Trạng thái rừng năm bắt đầu | Loại đất sản xuất nông nghiệp năm kiểm kê | Diện tích (ha) |
| Rừng gỗ tự nhiên giàu | Đất trồng cây hằng năm |
|
| Đất trồng cây lâu năm |
| |
| Đất trồng lúa |
| |
| Tổng |
| |
| Rừng gỗ tự nhiên trung bình | Đất trồng cây hằng năm |
|
| Đất trồng cây lâu năm |
| |
| Đất trồng lúa |
| |
| Tổng |
| |
| Rừng gỗ tự nhiên nghèo | Đất trồng cây hằng năm |
|
| Đất trồng cây lâu năm |
| |
| Đất trồng lúa |
| |
| Tổng |
| |
| Rừng tre nứa | Đất trồng cây hằng năm |
|
| Đất trồng cây lâu năm |
| |
| Đất trồng lúa |
| |
| Tổng |
| |
| Rừng hỗn giao gỗ và tre nứa | Đất trồng cây hằng năm |
|
| Đất trồng cây lâu năm |
| |
| Đất trồng lúa |
| |
| Tổng |
| |
| Rừng ngập mặn | Đất trồng cây hằng năm |
|
| Đất trồng cây lâu năm |
| |
| Đất trồng lúa |
| |
| Tổng |
| |
| Rừng cau dừa | Đất trồng cây hằng năm |
|
| Đất trồng cây lâu năm |
| |
| Đất trồng lúa |
| |
| Tổng |
| |
| Rừng gỗ trồng | Đất trồng cây hằng năm |
|
| Đất trồng cây lâu năm |
| |
| Đất trồng lúa |
| |
| Tổng |
| |
| Tổng diện tích đất có rừng chuyển đổi thành đất sản xuất nông nghiệp |
| |
Bảng số 13: Diện tích đất có rừng chuyển đổi thành đất cỏ năm ...
| Trạng thái rừng năm bắt đầu | Diện tích (ha) |
| Rừng gỗ tự nhiên giàu |
|
| Rừng gỗ tự nhiên trung bình |
|
| Rừng gỗ tự nhiên nghèo |
|
| Rừng tre nứa |
|
| Rừng hỗn giao gỗ và tre nứa |
|
| Rừng ngập mặn |
|
| Rừng cau dừa |
|
| Rừng gỗ trồng |
|
| Tổng diện tích đất có rừng chuyển đổi thành đất cỏ |
|
Bảng số 14: Diện tích đất có rừng chuyển đổi thành đất ngập nước năm ...
| Trạng thái rừng năm bắt đầu | Loại đất ngập nước năm kiểm kê | Diện tích (ha) |
| Rừng gỗ tự nhiên giàu | Đất than bùn |
|
| Đất bị làm ngập |
| |
| Tổng |
| |
| Rừng gỗ tự nhiên trung bình | Đất than bùn |
|
| Đất bị làm ngập |
| |
| Tổng |
| |
| Rừng gỗ tự nhiên nghèo | Đất than bùn |
|
| Đất bị làm ngập |
| |
| Tổng |
| |
| Rừng tre nứa | Đất than bùn |
|
| Đất bị làm ngập |
| |
| Tổng |
| |
| Rừng hỗn giao gỗ và tre nứa | Đất than bùn |
|
| Đất bị làm ngập |
| |
| Tổng |
| |
| Rừng ngập nước | Đất than bùn |
|
| Đất bị làm ngập |
| |
| Tổng |
| |
| Rừng cau dừa | Đất than bùn |
|
| Đất bị làm ngập |
| |
| Tổng |
| |
| Rừng gỗ trồng | Đất than bùn |
|
| Đất bị làm ngập |
| |
| Tổng |
| |
| Tổng diện tích đất có rừng chuyển đổi thành đất ngập nước |
| |
Bảng số 15: Diện tích đất có rừng chuyển đổi thành đất ở năm ...
| Trạng thái rừng năm bắt đầu | Diện tích (ha) |
| Rừng gỗ tự nhiên giàu |
|
| Rừng gỗ tự nhiên trung bình |
|
| Rừng gỗ tự nhiên nghèo |
|
| Rừng tre nứa |
|
| Rừng hỗn giao gỗ và tre nứa |
|
| Rừng ngập mặn |
|
| Rừng cau dừa |
|
| Rừng gỗ trồng |
|
| Tổng diện tích đất có rừng chuyển đổi thành đất ở |
|
Bảng số 16: Diện tích đất có rừng chuyển đổi thành đất khác năm...
| Trạng thái rừng năm bắt đầu | Diện tích (ha) |
| Rừng gỗ tự nhiên giàu |
|
| Rừng gỗ tự nhiên trung bình |
|
| Rừng gỗ tự nhiên nghèo |
|
| Rừng tre nứa |
|
| Rừng hỗn giao gỗ và tre nứa |
|
| Rừng ngập mặn |
|
| Rừng cau dừa |
|
| Rừng gỗ trồng |
|
| Tổng diện tích đất có rừng chuyển đổi thành đất khác |
|
2. Xử lý số liệu hoạt động
Bảng dưới đây tóm tắt các yêu cầu đối với từng kỹ thuật và đề xuất các phương án xử lý số liệu hoạt động để kiểm kê khí nhà kính.
Bảng số 17: Các phương pháp xử lý số liệu hoạt động
| Phương pháp xử lý | Trường hợp áp dụng | Ghi chú |
| Xử lý trừng lặp | Được áp dụng khi có số liệu trừng lặp từ một năm trở lên giữa hai phương pháp tính toán cũ và mới. | - Phương pháp này đáng tin cậy nhất khi được dùng để đánh giá sự trừng lặp giữa hai hoặc nhiều bộ số liệu được tính toán hằng năm. - Nếu có số liệu được đo đạc hoặc được xác định bởi phương pháp khác thì không nên sử dụng. |
| Thay thế số liệu | Các số liệu hoạt động, hệ số phát thải hoặc các thông số tính toán khác được sử dụng trong phương pháp mới có tương quan chặt chẽ với các số liệu sẵn có. | - Cần nhiều bộ số liệu chỉ định (đơn lẻ hoặc kết hợp) để kiểm tra, xác định mối tương quan chặt chẽ nhất. - Không nên sử dụng cho khoảng thời gian dài. |
| Nội suy | Số liệu cần thiết để tính toán lại bằng phương pháp mới có sẵn cho các năm không liên tục trong chuỗi thời gian. | - Các tính toán có thể được nội suy tuyến tính cho các giai đoạn không thể áp dụng phương pháp mới. - Không áp dụng được khi số liệu có biến động lớn hằng năm. |
| Ngoại suy xu thế | Số liệu cho phương pháp mới không được thu thập hằng năm và không có sẵn ở đầu hoặc cuối chuỗi thời gian. | - Phương pháp này đáng tin cậy nhất nếu xu hướng phát thải theo thời gian là không đổi. - Không nên sử dụng nếu xu hướng phát thải đang thay đổi (trong trường hợp này, phương pháp thay thế số liệu có thể thích hợp hơn). - Không nên sử dụng cho khoảng thời gian dài. |
| Phương pháp xử lý số liệu khác | Các lựa chọn thay thế tiêu chuẩn không hợp lệ khi các điều kiện kỹ thuật thay đổi trong suốt chuỗi thời gian | - Phương pháp xử lý cần được thiết kế riêng theo cách tiếp cận toàn diện. - Cần so sánh kết quả với các phương pháp chuẩn. |
IV. TÍNH TOÁN KẾT QUẢ KIỂM KÊ KHÍ NHÀ KÍNH
1. Tính toán theo phương pháp được lựa chọn
Tính toán thay đổi trữ lượng các-bon hằng năm trong các bể sinh khối; gỗ chết và thảm khô-thảm mục; đất và phát thải các khí nhà kính ngoài CO2 theo các phương pháp, hệ số phát thải, số liệu hoạt động được lựa chọn.
2. Tổng hợp kết quả phát thải CO2 do thay đổi trữ lượng các-bon
Thay đổi trữ lượng các-bon hằng năm của từng loại chuyển đổi sử dụng đất (đất có rừng, đất không có rừng chuyển đổi thành đất có rừng, đất có rừng chuyển đổi thành đất không có rừng) được tính theo công thức sau:
| ∆CLUCi = ∆CBMi + ∆CDOMi + ∆CSOi | (2.23) |
Trong đó:
∆CLUCi là lượng thay đổi trữ lượng các-bon hằng năm của loại chuyển đổi sử dụng đất i (tấn C/năm);
∆CBMi là lượng thay đổi trữ lượng các-bon hằng năm trong sinh khối của loại chuyển đổi sử dụng đất i (tấn C/năm);
∆CDOMi là lượng thay đổi trữ lượng các-bon hằng năm trong gỗ chết và thảm khô- thảm mục của loại chuyển đổi sử dụng đất i (tấn C/năm);
∆CSOi là lượng thay đổi trữ lượng các-bon hằng năm trong đất của loại chuyển đổi sử dụng đất i (tấn C/năm);
Thay đổi trữ lượng các-bon hằng năm trong lĩnh vực lâm nghiệp được tính theo công thức sau:
|
| (2.24) |
Trong đó:
∆CLN là lượng thay đổi trữ lượng các-bon hằng năm trong lĩnh vực lâm nghiệp (tấn C/năm);
∆CFL là lượng thay đổi trữ lượng các-bon hằng năm trên đất có rừng (tấn C/năm);
∆CTO_FL là lượng thay đổi trữ lượng các-bon hằng năm trên đất không có rừng chuyển đổi thành đất có rừng (tấn C/năm);
∆CFL_CL là lượng thay đổi trữ lượng các-bon hằng năm trên đất có rừng chuyển đổi thành đất sản xuất nông nghiệp (tấn C/năm);
∆CFL_GL là lượng thay đổi trữ lượng các-bon hằng năm trên đất có rừng chuyển đổi thành đất cỏ (tấn C/năm);
∆CFL_WL là lượng thay đổi trữ lượng các-bon hằng năm trên đất có rừng chuyển đổi thành đất ngập nước (tấn C/năm);
∆CFL_SL là lượng thay đổi trữ lượng các-bon hằng năm trên đất có rừng chuyển đổi thành đất ở (tấn C/năm),
∆CFL_OL là lượng thay đổi trữ lượng các-bon hằng năm trên đất có rừng chuyển đổi thành đất khác (tấn C/năm).
Thay đổi trữ lượng các-bon hằng năm được chuyển đổi thành lượng phát thải CO2 hằng năm theo công thức sau:
| CO2 = ∆C ∙ (-44/12) | (2.25) |
Trong đó:
∆C là lượng thay đổi trữ lượng các-bon hằng năm (tấn C/năm);
CO2 là lượng phát thải CO2 hằng năm (tấn CO2/năm).
3. Tổng hợp kết quả phát thải khí nhà kính ngoài CO2 do đốt sinh khối
Phát thải hằng năm của một loại khí nhà kính ngoài CO2 trong lĩnh vực lâm nghiệp được tính theo công thức sau:
|
| (2.26) |
Trong đó:
nCO2LN là lượng phát thải hằng năm của loại khí nhà kính ngoài CO2 trong lĩnh vực lâm nghiệp (tấn khí ngoài CO2/năm);
nCO2FL là lượng phát thải hằng năm của loại khí nhà kính ngoài CO2 trên đất có rừng (tấn khí ngoài CO2/năm);
nCO2TO_FL là lượng phát thải hằng năm của loại khí nhà kính ngoài CO2 trên đất không có rừng chuyển đổi thành đất có rừng (tấn khí ngoài CO2/năm);
nCO2FL_CL là lượng phát thải hằng năm của loại khí nhà kính ngoài CO2 trên đất có rừng chuyển đổi thành đất sản xuất nông nghiệp (tấn khí ngoài CO2/năm);
nCO2FL_GL là lượng phát thải hằng năm của loại khí nhà kính ngoài CO2 trên đất có rừng chuyển đổi thành đất cỏ (tấn khí ngoài CO2/năm);
nCO2FL_WL là lượng phát thải hằng năm của loại khí nhà kính ngoài CO2 trên đất có rừng chuyển đổi thành đất ngập nước (tấn khí ngoài CO2/năm);
nCO2FL_SL là lượng phát thải hằng năm của loại khí nhà kính ngoài CO2 trên đất có rừng chuyển đổi thành đất ở (tấn khí ngoài CO2/năm);
nCO2FL_OL là lượng phát thải hàng năm của loại khí nhà kính ngoài CO2 trên đất có rừng chuyển đổi thành đất khác (tấn khí ngoài CO2/năm).
Phát thải khí nhà kính ngoài CO2 được quy đổi về phát thải CO2 tương đương theo công thức sau:
| CO2tđ = nCO2 ∙ GWPnCO2 | (2.27) |
Trong đó:
CO2tđ là lượng phát thải khí CO2 tương đương (tấn CO2tđ);
nCO2 là lượng phát thải khí nhà kính ngoài CO2 (tấn khí ngoài CO2);
GWPnCO2 là hệ số tiềm năng nóng lên toàn cầu (GWP) của khí ngoài CO2 (tấn CO2tđ)/(tấn khí ngoài CO2). Tham khảo hệ số GWP của các loại khí ngoài CO2 từ báo cáo đánh giá (AR) cập nhật nhất của IPCC. Trong AR lần 5, hệ số GWP của khí N2O là 265 và CH4 là 28.30
______________________
30 Trang 714, Bảng 8.7, Chương 8, IPCC, 2013: Climate Change 2013: The Physical Science Basis. Contribution of Working Group I to the Fifth Assessment Report of the Intergovernmental Panel on Climate Change.
V. KIỂM SOÁT CHẤT LƯỢNG VÀ ĐẢM BẢO CHẤT LƯỢNG
1. Kiểm soát chất lượng (QC)
1.1. Kiểm soát chất lượng hệ số phát thải
- Kiểm tra dữ liệu nguồn được sử dụng để xây dựng hệ số phát thải.
- Kiểm tra mô hình.
- So sánh với các hệ số mặc định của IPCC.
- So sánh hệ số phát thải giữa các quốc gia.
1.2. Kiểm soát số liệu hoạt động
- Kiểm tra nguồn tham chiếu cho số liệu hoạt động quốc gia.
- So sánh với các bộ dữ liệu được biên soạn độc lập.
- So sánh với các mẫu.
- Kiểm tra xu hướng của số liệu hoạt động.
- Dữ liệu hoạt động khu vực xác định.
- Kiểm tra quy định đo lường.
- So sánh giữa các địa điểm và với dữ liệu quốc gia.
2. Đảm bảo chất lượng (QA)
Đảm bảo chất lượng bao gồm xem xét và kiểm tra, xác minh dữ liệu kiểm kê để xác định sự tuân thủ của các quy trình đã thực hiện và các nội dung có thể cải thiện. QA được thực hiện ở các cấp độ khác nhau (nội bộ/bên ngoài). QA được đánh giá độc lập với quá trình kiểm kê.
2.1. Đánh giá của chuyên gia
Đánh giá của chuyên gia bao gồm đánh giá các tính toán và giả định của các chuyên gia để khuyến nghị cải thiện.
2.2. Kiểm tra, xác minh
Kiểm tra, xác minh mức độ hiệu quả tuân thủ của dữ liệu kiểm kê theo các thông số kỹ thuật QC. Việc kiểm tra, xác minh cần độc lập với xây dựng dữ liệu kiểm kê để có thể đưa ra đánh giá khách quan về các quy trình và dữ liệu được đánh giá. Việc kiểm tra, xác minh có thể được tiến hành trong quá trình kiểm kê hoặc sau khi kiểm kê.
VI. ĐÁNH GIÁ MỨC ĐỘ TIN CẬY
Đánh giá mức độ không tin cậy kiểm kê khí nhà kính là việc đánh giá độ không chắc chan (uncertainty) của số liệu hoạt động, hệ số phát thải và của kết quả kiểm kê khí nhà kính. IPCC cung cấp độ không chắc chắn cho các hệ số phát thải mặc định và hướng dẫn đánh giá độ không chắc chắn cho số liệu hoạt động, hệ số phát thải và kết quả kiểm kê khí nhà kính.
1. Đánh giá độ không chắc chắn của số liệu hoạt động, hệ số phát thải
1.1. Đánh giá độ không chắc chắn của các dữ liệu, số liệu được tạo ra từ mô hình
Đánh giá độ không chắc chắn của dữ liệu, số liệu được tạo ra từ mô hình theo ba phương pháp sau:
- So sánh kết quả dự đoán của mô hình với dữ liệu độc lập: So sánh kết quả dự đoán của mô hình với dữ liệu độc lập để đánh giá độ không chắc chắn của mô hình.
- So sánh kết quả dự đoán của các mô hình khác nhau: Sử dụng các mô hình khác nhau để đưa ra kết quả dự đoán cho cùng đại lượng quan tâm.
- Đánh giá của chuyên gia về độ không chắc chắn của mô hình.
1.2. Đánh giá độ không chắc chắn của dữ liệu, số liệu với dữ liệu thực nghiệm
Sử dụng phân tích thống kê đối với dữ liệu thực nghiệm bao gồm các bước sau:
Bước 1: Xây dựng và đánh giá cơ sở dữ liệu về hệ số phát thải, số liệu hoạt động và các hệ số tính toán khác.
Bước 2: Xây dựng các hàm phân phối xác suất thực nghiệm cho từng số liệu hoạt động và hệ số phát thải.
Bước 3: Lựa chọn hàm phân phối xác suất phù hợp nhất để xác định sự biến động của từng số liệu hoạt động và hệ số phát thải.
Bước 4: Xác định các giá trị trung bình và khoảng tin cậy của các hàm phân phối xác suất.
Bước 5: Sử dụng các giá trị trung bình và khoảng tin cậy để phân tích xác suất phục vụ việc xác định độ không chắc chắn tổng thể của kết quả kiểm kê.
Bước 6: Phân tích độ nhạy của từng yếu tố không chắc chắn để xác định các yếu tố không chắc chắn nào góp phần đáng kể nhất vào độ không chắc chắn tổng thể của kết quả kiểm kê và để xác định các ưu tiên cải thiện những yếu tố không chắc chắn chủ yếu này.
1.3. Đánh giá độ không chắc chắn của dữ liệu, số liệu bằng phương pháp chuyên gia
Khi dữ liệu thực nghiệm bị thiếu hoặc không đại diện đầy đủ cho tất cả các nguyên nhân gây ra sự không tin cậy, có thể sử dụng đánh giá chuyên gia để định lượng độ không chắc chắn. Mục tiêu của đánh giá chuyên gia là xây dựng một hàm phân phối xác suất.
Một số phương pháp thường được sử dụng là:
- Giá trị cố định: Tính toán xác suất trở nên cao hơn (hoặc thấp hơn) một giá trị nào đó và lặp lại, thường là ba hoặc năm lần.
- Xác suất cố định: Tính toán giá trị liên quan đến một xác suất xác định để cao hơn (hoặc thấp hơn) một giá trị nào đó.
- Phương pháp khoảng: Phương pháp này tập trung vào trung vị và tứ phân vị.
- Xác định các hàm phân phối xác suất.
2. Đánh giá độ không chắc chắn của kết quả kiểm kê khí nhà kính
2.1. Phương pháp lan truyền sai số
Phương pháp này dựa trên sự lan truyền sai số và được sử dụng để tính toán độ không chắc chắn của dữ liệu, số liệu, hệ số riêng lẻ nói chung và của xu hướng kết quả kiểm kê giữa năm kiểm kê và năm cơ sở.
Phương pháp lan truyền sai số cho một tích áp dụng theo công thức sau:
|
| (2.28)31 |
Trong đó:
Utích là độ không chắc chắn của tích của các đại lượng;
Un là độ không chắc chắn của từng đại lượng.
Phương pháp lan truyền sai số cho một tổng áp dụng theo công thức sau:
|
| (2.29)32 |
Trong đó: Utổng là độ không chắc chắn của tổng các đại lượng; xi và Ui là các đại lượng và độ không chắc chắn kèm theo.
_________________
31 Nguồn: Công thức 3.1, Chương 3, Tập 1, Hướng dẫn IPCC, 2006
32 Nguồn: Công thức 3.2, Chương 3, Tập 1, Hướng dẫn IPCC, 2006
2.2. Phương pháp mô phỏng Monte Carlo
Mô phỏng Monte Carlo phù hợp để đánh giá độ không chắc chắn theo từng hạng mục, đặc biệt khi độ không chắc chắn cao, phân phối không chuẩn, thuật toán là các hàm phức tạp hoặc có mối tương quan giữa một số tập hợp của số liệu hoạt động, hệ số phát thải, hoặc cả hai.
Mô phỏng Monte Carlo yêu cầu người phân tích chỉ định các hàm phân phối xác suất phù hợp với từng biến đầu vào của mô hình mà độ không chắc chắn được định lượng. Cần xây dựng hàm phân phối xác suất cho các biến đầu vào của mô hình tính toán lượng phát thải và hấp thụ sao cho chúng dựa trên các giả định cơ bản nhất quán về thời gian trung bình, vị trí và các yếu tố điều kiện khác.
Mô phỏng Monte Carlo có thể được áp dụng đối với các hàm mật độ xác suất có bất kỳ hình dạng và bề rộng nào có thể có về mặt vật lý, cũng như có các mức độ tương quan khác nhau (cả về thời gian và giữa các loại nguồn phát thải/bể hấp thụ).
Nguyên tắc của phương pháp mô phỏng Monte Carlo là chọn các giá trị ngẫu nhiên của hệ số phát thải, số liệu hoạt động và các tham số tính toán khác từ các hàm mật độ xác suất riêng của chúng và tính toán các giá trị phát thải tương ứng. Quy trình này được lặp lại nhiều lần, sử dụng máy tính và kết quả của các lần tính toán sẽ tạo thành hàm mật độ xác suất của lượng phát thải tổng thể.
VII. MẪU BÁO CÁO
| BỘ NÔNG NGHIỆP VÀ PHÁT TRIỂN NÔNG THÔN TÊN TỔ CHỨC CHỦ TRÌ | CỘNG HÒA XÃ HỘI CHỦ NGHĨA VIỆT NAM |
BÁO CÁO
Kiểm kê khí nhà kính lĩnh vực lâm nghiệp
I. THÔNG TIN CHUNG
1. Tổ chức thực hiện kiểm kê khí nhà kính
Mô tả cách tổ chức thực hiện kiểm kê khí nhà kính, bao gồm: (i) cơ quan chủ trì thực hiện kiểm kê khí nhà kính; (ii) quá trình chuẩn bị kiểm kê khí nhà kính, bao gồm việc phân chia trách nhiệm cụ thể của các tổ chức tham gia vào việc chuẩn bị kiểm kê; (iii) hệ thống lưu trữ tất cả thông tin, dữ liệu sử dụng để kiểm kê khí nhà kính; và (iv) các quy trình để xem xét và phê duyệt chính thức kết quả kiểm kê khí nhà kính.
2. Phương pháp luận kiểm kê khí nhà kính
Mô tả phương pháp luận kiểm kê khí nhà kính được sử dụng, bao gồm cơ sở lý luận cho việc lựa chọn phương pháp luận. Nếu sử dụng phương pháp luận đặc trưng quốc gia, cần phải giải thích rõ ràng các phương pháp, dữ liệu và/hoặc các tham số quốc gia đã chọn. Trong trường hợp không đủ nguồn lực để thực hiện kiểm kê khí nhà kính cho một nguồn phát thải/bể hấp thụ ở bậc phù hợp với các quyết định tương ứng của hướng dẫn IPCC, cần phải giải thích rõ lý do.
3. Số liệu hoạt động và hệ số phát thải
Cung cấp thông tin về hạng mục và loại khí, các phương pháp luận, hệ số phát thải và số liệu hoạt động được sử dụng ở cấp độ phân tách nhất, trong phạm vi có thể, theo các hướng dẫn của IPCC. Phân tích tính nhất quán theo chuỗi thời gian của số liệu hoạt động và hệ số phát thải.
4. Kiểm soát chất lượng và đảm bảo chất lượng (QA/QC)
Mô tả quy trình QA/QC được áp dụng và kết quả của QA/QC.
5. Tính toán lại (nếu có)
Mô tả lý do phải thực hiện tính toán lại và ảnh hưởng của việc tính toán lại.
6. Kết quả đánh giá mức độ tin cậy
Mô tả cách tiếp cận (dùng công thức lan truyền sai số hay dùng mô phỏng Monte Carlo) để đánh giá độ không chắc chắn và cung cấp kết quả đánh giá mức độ tin cậy.
II. HOẠT ĐỘNG KIỂM KÊ KHÍ NHÀ KÍNH NĂM ...
(Trình bày chi tiết về phương pháp, số liệu hoạt động, hệ số phát thải và kết quả tính toán phát thải đối với từng hoạt động)
1. Phát thải khí nhà kính từ đất lâm nghiệp
2. Phát thải khí nhà kính từ các nguồn phát thải khác và phát thải ngoài CO2
III. TỔNG HỢP KẾT QUẢ KIỂM KÊ KHÍ NHÀ KÍNH
Đơn vị: nghìn tấn CO2tđ
| STT | Nguồn phát thải/ bể hấp thụ | CO2 | CH4 | N2O | Tổng |
| I | Đất lâm nghiệp |
|
|
|
|
| 1 | Đất có rừng |
|
|
|
|
| 2 | Đất không có rừng chuyển đổi thành đất có rừng |
|
|
|
|
| 3 | Đất có rừng chuyển đổi thành đất không có rừng |
|
|
|
|
| 3.1 | Đất có rừng chuyển đổi thành đất sản xuất nông nghiệp |
|
|
|
|
| 3.2 | Đất có rừng chuyển đổi thành đất cỏ |
|
|
|
|
| 3.3 | Đất có rừng chuyển đổi thành đất ngập nước |
|
|
|
|
| 3.4 | Đất có rừng chuyển đổi thành đất ở |
|
|
|
|
| 3.5 | Đất có rừng chuyển đổi thành đất khác |
|
|
|
|
| II | Các nguồn phát thải khác và phát thải ngoài CO2 |
|
|
|
|
| 1 | Đốt sinh khối |
|
|
|
|
IV. CÁC CẢI THIỆN ĐƯỢC THỰC HIỆN TRONG QUÁ TRÌNH KIỂM KÊ KHÍ NHÀ KÍNH NĂM ...
Trình bày những cải thiện đã thực hiện trong quá trình kiểm kê khí nhà kính năm ... so với các năm trước đây (về phương pháp, thu thập số liệu hoạt động, hệ số phát thải).
V. KẾT LUẬN VÀ KIẾN NGHỊ
Trình bày những kết luận và kiến nghị rút ra trong quá trình kiểm kê khí nhà kính lĩnh vực lâm nghiệp năm ..., bao gồm cả những khuyến nghị để cải tiến trong tương lai./.
|
| THỦ TRƯỞNG CƠ QUAN |
Bạn chưa Đăng nhập thành viên.
Đây là tiện ích dành cho tài khoản thành viên. Vui lòng Đăng nhập để xem chi tiết. Nếu chưa có tài khoản, vui lòng Đăng ký tại đây!
Bạn chưa Đăng nhập thành viên.
Đây là tiện ích dành cho tài khoản thành viên. Vui lòng Đăng nhập để xem chi tiết. Nếu chưa có tài khoản, vui lòng Đăng ký tại đây!










