- Tổng quan
- Nội dung
- Tiêu chuẩn liên quan
- Lược đồ
- Tải về
Tiêu chuẩn Quốc gia TCVN 6663-7:2000 ISO 5667-7:1993 Chất lượng nước - Lấy mẫu - Phần 7: Hướng dẫn lấy mẫu nước và hơi nước tại xưởng nồi hơi
| Số hiệu: | TCVN 6663-7:2000 | Loại văn bản: | Tiêu chuẩn Việt Nam |
| Cơ quan ban hành: | Bộ Khoa học, Công nghệ và Môi trường | Lĩnh vực: | Khoa học-Công nghệ |
|
Ngày ban hành:
Ngày ban hành là ngày, tháng, năm văn bản được thông qua hoặc ký ban hành.
|
2000 |
Hiệu lực:
|
Đã biết
|
| Người ký: | Đang cập nhật |
Tình trạng hiệu lực:
Cho biết trạng thái hiệu lực của văn bản đang tra cứu: Chưa áp dụng, Còn hiệu lực, Hết hiệu lực, Hết hiệu lực 1 phần; Đã sửa đổi, Đính chính hay Không còn phù hợp,...
|
Đã biết
|
TÓM TẮT TIÊU CHUẨN VIỆT NAM TCVN 6663-7:2000
Nội dung tóm tắt đang được cập nhật, Quý khách vui lòng quay lại sau!
Tải tiêu chuẩn Việt Nam TCVN 6663-7:2000
TIÊU CHUẨN VIỆT NAM
TCVN 6663-7 : 2000
ISO 5667-7 : 1993
CHẤT LƯỢNG NƯỚC - LẤY MẪU - PHẦN 7: HƯỚNG DẪN LẤY MẪU VÀ HƠI NƯỚC TẠI XƯỞNG NỒI HƠI
Water quality – Sampling - Part 7: Guidance on sampling of water and steam in boiler plant
Lời nói đầu
TCVN 6663 - 7 : 2000 hoàn toàn tương đương với ISO 5667-7 : 1993
TCVN 6663 - 7 : 2000 do Ban kỹ thuật Tiêu chuẩn TCVN/TC 147 Chất lượng nước biên soạn, Tổng cục Tiêu chuẩn Đo lường Chất lượng đề nghị, Bộ Khoa học, Công nghệ và Môi trường ban hành
Chất lượng nước - Lấy mẫu - Phần 7: Hướng dẫn lấy mẫu nước và hơi nước tại xưởng nồi hơi
Water quality – Sampling - Part 7: Guidance on sampling of water and steam in boiler plants
1 Phạm vi áp dụng
Tiêu chuẩn này trình bày các quy trình và thiết bị để lấy mẫu nước và mẫu hơi nước từ phân xưởng nồi hơi, kể cả các thí dụ về dụng cụ lấy mẫu, nhằm cung cấp mẫu đại diện để phân tích lý hóa của vùng nước chính hoặc của hơi nước ở nơi lấy mẫu.
Quy trình lấy mẫu nước áp dụng cho:
- Nước thô
- Nước pha thêm
- Nước cung cấp cho nồi hơi
- Nước ngưng tụ
- Nước nồi hơi
- Nước làm lạnh
Qui trình lấy mẫu hơi nước bao gồm cả hơi nước bão hòa và hơi nước quá nhiệt.
Tiêu chuẩn này không áp dụng cho việc lấy mẫu nước và hơi nước ở các nhà máy điện hạt nhân. Hình 2 đến hình 6 chỉ là những thí dụ về các thiết bị lấy mẫu.
2 TIêu chuẩn trích dẫn
- ISO 5667-1: 1980. Chất lượng nước - Lấy mẫu - Phần 1: Hướng dẫn lập các chương trình lấy mẫu
- TCVN 5992-1995 (ISO 5667-2:1991) Chất lượng nước - Lấy mẫu - Hướng dẫn kỹ thuật lấy mẫu
- TCVN 5993-1995 (ISO 5667-3: 1985) Chất lượng nước - Lấy mẫu - Hướng dẫn bảo quản và xử lý mẫu
- TCVN 5980-1995 (ISO 6107-1:1986). Chất lượng nước - Thuật ngữ - Phần 1
- TCVN 5981-1995 (ISO 6107-2:1989). Chất lượng nước - Thuật ngữ - Phần 2
- ISO 8199:1988. Chất lượng nước - Hướng dẫn chung về cách đếm các vi sinh vật bằng nuôi cấy.
3 Định nghĩa
Các định nghĩa sau đây được áp dụng cho tiêu chuẩn này:
3.1 lấy mẫu đẳng tốc: Là kỹ thuật lấy mẫu trong đó mẫu lấy từ một dòng nước hoặc hơi nước chảy qua miệng của đầu lấy mẫu có tốc độ bằng tốc độ của dòng chảy ở chỗ kề ngay với đầu lấy mẫu [TCVN 5981-1995 (ISO 6107-2)].
3.2 dụng cụ lấy mẫu: Dụng cụ dùng để lấy mẫu nước hoặc hơi nước, gián đoạn hoặc liên tục, nhằm kiểm tra các đặc tính khác nhau đã định [TCVN 5981-1995 (ISO 6107-2)]
3.3 điểm lấy mẫu: Vị trí chính xác trong một hệ thống nơi mẫu được lấy [TCVN 5981-1995 (ISO 6107- 2)]
3.4 đầu lấy mẫu: Bộ phận của thiết bị lấy mẫu được nhúng vào trong một vùng nước hoặc hơi nước và mẫu nước sẽ chảy qua đó đầu tiên [TCVN 5981-1995 (ISO 6107-2)]
3.5 ống lấy mẫu: ống dẫn từ đầu lấy mẫu đến điểm chuyển giao mẫu hoặc đến thiết bị phân tích [TCVN 5981-1995/ISO 6107-2]
3.6 điểm chuyển giao mẫu: Đoạn cuối của ống lấy mẫu, thường cách xa đầu lấy mẫu, nơi mẫu được lấy đi, gián đoạn hoặc liên tục, để kiểm tra.
3.7 nước thô: Nước chưa qua bất kỳ xử lý gì, hoặc nước được đưa vào nhà máy để xử lý thêm [TCVN 5980-1995 (ISO 6107-1)]
3.8 nước pha thêm: Nước cần phải thêm vào hệ thống để bù vào phần nước bị mất đi.
3.9 nước ngưng tụ: Hơi nước ngưng tụ từ các nhà máy điện hoặc quá trình dùng năng lượng, và không bị lẫn với các loại nước khác.
3.10 nước nồi hơi: Nước có trong nồi hơi đang vận hành.
3.11 nước cung cấp cho nồi hơi: Là nước, bao gồm nước ngưng tụ (3.9) và nước pha thêm (3.8), chảy qua các máy bơm hoặc vòi phun nước.
3.12 hơi nước bão hòa: Hơi nước có nhiệt độ bằng với nhiệt độ tương ứng với áp suất của nó.
3.13 hơi nước quá nhiệt: Hơi nước có nhiệt độ cao hơn nhiệt độ tương ứng với áp suất của nó.
4 Lấy mẫu - Những khía cạnh chung
4.1 Giới thiệu
Điều kiện tiên quyết đối với mọi hệ thống lấy mẫu là chúng phải lấy được mẫu đại diện cho chất lỏng trong phần xác định của dòng nước để cho việc phân tích tiếp theo. Thường gặp phải rắc rối khi có hơn một pha hiện diện.
4.2 Hệ thống lấy mẫu - Các thông tin chung
Hệ thống lấy mẫu nước và hơi nước bao gồm các phần sau đây (xem hình 1):
- đầu lấy mẫu
- ống lấy mẫu, gồm cả van và các phụ tùng
- bộ phận làm lạnh (có thể bỏ qua bộ phận này khi nhiệt độ mẫu thường dưới 50oC)
- điểm chuyển giao mẫu
Việc thiết kế hệ thống lấy mẫu và lựa chọn các vật liệu bị ảnh hưởng bởi:
- các phân tích cần tiến hành và độ chính xác yêu cầu
- thành phần hóa học của nước hoặc hơi nước được phân tích
- nhiệt độ và áp suất tại điểm lấy mẫu
- thành phần hóa học của nước làm lạnh.
Trong hầu hết các áp dụng, tất cả các phần của thiết bị lấy mẫu tiếp xúc với mẫu cần phải làm bằng thép không gỉ, 18Cr8Ni. Trong một số trường hợp, có thể dùng các vật liệu khác, ví dụ như đồng dùng cho việc lấy mẫu từ các nồi hơi áp suất thấp. Điều cơ bản là các vật liệu này phải thích hợp với mục đích sử dụng của chúng và không phản ứng với các thành phần của mẫu. Mục 5 sẽ mô tả cụ thể hơn các phần khác nhau của hệ thống lấy mẫu.

Hình 1 - Giản đồ hệ thống lấy mẫu nước
4.3 Điểm lấy mẫu - Hướng dẫn chung
Cần đặt điểm lấy mẫu ở những phần của dòng nước cần phải xác định thành phần, hoặc xác định sự thay đổi trong thành phần, của nước và hơi nước.
Hình A.1 trình bày các vị trí lấy mẫu trong dòng nước/hơi nước.
Điểm lấy mẫu ở nồi hơi cần phải được đặt tối thiểu là 150mm dưới mức làm việc bình thường của nồi hơi. Nên lấy mẫu trong quá trình vận hành nồi hơi bình thường, song không nên lấy khi nồi hơi đang được đốt nóng.
Khi có thể, nên lấy mẫu từ hệ thống chảy. Nên tránh những vùng nước ứ đọng, trừ trường hợp đặc biệt phải lấy mẫu từ các vùng này (ví dụ những nồi hơi giữ ẩm).
Khi nước có nguồn gốc và thành phần khác nhau, hoặc có hóa chất thêm vào, cần phải đặt các điểm lấy mẫu ở những chỗ đã pha trộn hoàn toàn. Trong phần lớn các trường hợp, việc này có thể làm được bằng cách lấy mẫu sau các ở bộ phận tạo ra sự chảy rối, ví dụ như van, máy bơm hoặc đoạn uốn của đường ống.
Để có được mẫu đại diện cho một chất không tan có trong dòng nước trong ống, cần phải:
a) lấy mẫu ở vị trí chất không tan phân bố đồng đều trong đường ống
b) lấy mẫu đại diện từ khối chất lỏng
c) chuyển mẫu trong ống lấy mẫu tới điểm phân phối mẫu, với những thay đổi tối thiểu nhất về nồng độ hoặc bản chất của chất không tan đó.
Nhằm đáp ứng các chỉ tiêu đối với hệ thống dòng chảy rối, tốt nhất nên đặt các điểm lấy mẫu trong hệ thống đường ống thẳng đứng và lấy mẫu đẳng tốc. Nếu không thể làm được điều này, cần phải đặt các điểm lấy mẫu cạnh đường ống nằm ngang cách ít nhất 10 lần đường kính trong của ống ở sau và 5 lần đường kính trong của ống ở trước những dòng chảy rối, ví dụ như bơm, van hay đoạn uốn của đường ống. Hướng dẫn thêm về cách chọn điểm lấy mẫu được trình bày trong điều 6.
5 Thiết bị lấy mẫu
5.1 Vật liệu
Vật liệu dùng làm đầu lấy mẫu, kể cả các phụ tùng, và các vật liệu hàn dùng để lắp đặt đầu lấy mẫu cần phải thích hợp với vật liệu đường ống và chất lỏng được lấy mẫu. Thiết kế các mối hàn và hàn cũng như các thủ tục kiểm tra cần phải tuân thủ tất cả các quy tắc được áp dụng để đảm bảo các điểm nối thích hợp và chắc chắn. Vật liệu dùng cho đầu lấy mẫu cũng phải được chọn sao cho mẫu không bị nhiễm bẩn bởi vật liệu. Ví dụ, một hệ thống có thành phần là đồng thau sẽ không thích hợp nếu như phải xác định đồng tổng số.
5.2 Đầu lấy mẫu nước
Để lấy mẫu nước đồng nhất, nên dùng đầu nối không phân nhánh như được trình bày trong hình 2.

Hình 2 - Thí dụ về đầu lấy mẫu theo dòng chảy thẳng để lấy mẫu các chất hoà tan
Khi cần lấy mẫu nước có chứa chất không tan, lý tưởng nhất là mẫu được lấy theo phương pháp đẳng tốc.
Lấy mẫu đại diện cho chất không tan rất quan trọng, ví dụ như để ước tính các sản phẩm ăn mòn trong một hệ thống.
Kinh nghiệm cho thấy đối với một số ứng dụng, chỉ cần dùng đầu lấy mẫu thẳng (không phân nhánh) là đủ. Trong các trường hợp khác, cần phải sử dụng đầu lấy mẫu định hướng. Để lựa chọn xem nên dùng đầu lấy mẫu thẳng hay định hướng, tốt nhất nên tiến hành thí nghiệm sử dụng cả hai kiểu. Đặt đầu lấy mẫu đối diện với hướng của dòng chảy. Dùng đầu lấy mẫu định hướng khi lấy mẫu nước có chứa chất không tan có các cỡ hạt khác nhau. Có thể dùng đầu lấy mẫu thẳng khi lấy mẫu nước có chứa chất không tan cỡ nhỏ. Hình 3 trình bày cách bố trí một đầu lấy mẫu định hướng dùng để lấy mẫu nước đẳng tốc.

Hình 3 - Thí dụ về đầu lấy mẫu định hướng để lấy mẫu các hạt trọng nước.
Hình 4 minh hoạ một hệ thống lấy mẫu thực sự với các bố trí đầu lấy mẫu dùng cho cả lấy mẫu chất hòa tan và mẫu hạt trong nước.
Chú thích 1 - Đôi khi dùng đầu lấy mẫu định hướng với đường rãnh không quay vào dòng chảy sẽ thích hợp với việc lấy mẫu các chất hòa tan. Trong trường hợp này, các chất không tan bị giảm đi, và do đó giảm được sự lắng đọng và nguy cơ làm tắc ống lấy mẫu. Đặc biệt có thể áp dụng cách này khi dùng ống lấy mẫu dài để chuyển mẫu đến dụng cụ phân tích tại chỗ.

Hình 4 - Thí dụ về đầu lấy mẫu nước dùng để lấy mẫu chất hòa tan và lấy mẫu hạt trong nước
5.3 Đầu lấy mẫu hơi nước
Do bản chất nhiều pha của hơi nước, tốt nhất nên lấy mẫu cả hơi nước bão hoà và hơi nước quá nhiệt theo phương pháp đẳng tốc dùng đầu lấy mẫu định hướng (xem điều 8). Cả đầu lấy mẫu có một và nhiều cửa lấy mẫu đều thích hợp cho việc lấy mẫu hơi nước.
Để lấy mẫu hơi nước có chất bão hòa trong đường ống ở đầu nối không phân nhánh gần với thành nồi hơi hoặc ống góp của nồi hơi, nên dùng vòi phun có một lỗ ra (xem thí dụ trong hình 5). Đỉnh đầu lấy mẫu nên quay vào hướng của dòng chảy.
Để lấy mẫu cả hơi nước bão hòa và hơi nước quá nóng trong những đường ống lớn, nên dùng đầu lấy mẫu có nhiều đầu ra. Đầu lấy mẫu này, đặc biệt thiết kế và phân chia cho những điều kiện nhất định, được gắn vào thành ống và kéo dài ngang tâm ống.
Các cửa lấy mẫu nên đối diện với phía trước nguồn nước trong ống và các lỗ ở đường ra nên được đặt sao cho mỗi lỗ lấy một mẫu từ diện tích bằng nhau của tiết diện đường ống (xem hình 7).
Để lấy mẫu hơi nước quá nhiệt, dụng cụ lấy mẫu có một cửa, như được minh họa trong hình 5, nên được dùng thay thế dụng cụ có nhiều cửa ra khi phải lấy mẫu từ những đường ống có đường kính nhỏ, hoặc từ các đường ống có đường kính lớn khi hơi nước được trộn đều. Nếu như lượng mẫu lấy từ một đầu lấy mẫu không đủ, có thể dùng một số đấu lấy mẫu và các mẫu sẽ được kết hợp để tạo ra một mẫu đơn.

Hình 5 - Thí dụ về đầu lấy mẫu để lấy mẫu hơi nước bão hòa

Hình 6 - Thí dụ về đầu lấy mẫu hơi nước, loại có nhiều lỗ

Hình 7 - Các bán kính đường tròn để chia một đường ống tròn thành các cung có diện tích bằng nhau
Chú thích - Mỗi lỗ trên đầu lấy mẫu nhiều lỗ cần phải lấy một lượng hơi nước chính tương đương với diện tích của phần đường ống nơi đặt đầu lấy mẫu. Đối với những lỗ có cùng kích thước, khoảng cách giữa các lỗ phải sao cho chúng lấy được lượng mẫu bằng nhau từ những diện tích bằng nhau của đoạn ống. Khoảng cách các lỗ có thể được xác định theo hình 6.
Tốt nhất là ở mỗi lỗ lấy mẫu, áp suất giảm ở mức bằng nhau. Để thúc đẩy điều kiện này, toàn bộ diện tích lỗ lấy mẫu phải nhỏ hơn hai phần ba diện tích mặt cắt trong của đầu lấy mẫu. Đường kính lỗ của đầu lấy mẫu phải đủ lớn để đảm bảo hơi nước giữ được độ ẩm.
Tỉ lệ diện tích toàn bộ các lỗ lấy mẫu phải bằng với tỉ lệ giữa tốc độ dòng chảy của mẫu và tốc độ dòng hơi nước. Trong điều kiện này, tốc độ hơi nước đi vào lỗ lấy mẫu sẽ là tốc độ của hơi nước chảy trong đường ống và sẽ là dòng chảy đẳng tốc (xem bảng 1).
Bảng 1 - Khuyến nghị lưu lượng dòng vật chất tối thiểu qua đầu lấy mẫu đối với các áp suất hơi khác nhau
| áp suất hơi kPa | Lưu lượng kg/s m2 |
| 500 1000 2000 3000 4000 5000 6000 7500 10000 12500 15000 17500 20000 | 13 20 26 31 35 38 40 43 46 48 49 49 49 |
5.4 ống lấy mẫu
ống lấy mẫu phải càng ngắn càng tốt để hạn chế tối đa thời gian làm trễ mẫu và lắng đọng của các chất không tan khi cần lấy mẫu đại diện của chất này.
Để giảm tối thiểu sự lắng đọng của chất không tan tốt hơn, cần phải:
a. tránh các đoạn ống dài nằm ngang;
b. dùng đường ống có lỗ đủ nhỏ để đảm bảo mẫu được chuyển đi trong điều kiện dòng chảy rối với số Reynolds > 4000
c. chọn bộ kiểm soát mẫu và van cách ly được thiết kế giảm được tối đa sự lắng đọng của chất không tan trong van: nên tránh các chi tiết có các vùng tĩnh và đường đi phức tạp.
5.5 Van
Nên lắp van vào ống lấy mẫu để tách riêng mẫu, giảm áp suất mẫu và kiểm soát dòng chảy.
Cần bộ van có hai chiếc để tách riêng mẫu. Nên đặt chúng càng gần đầu lấy mẫu càng tốt. Cấu hình và hiệu suất của van phải thích hợp với áp suất của hệ thống và phải đáp ứng các yêu cầu an toàn đối với vị trí đó. Ví dụ một van điều tiết phải có van kim ở đầu ra của ống lấy mẫu để kiểm soát dòng chảy. Khi áp dụng với áp suất cao, cần lắp van giảm áp vào giữa van cách ly mẫu và van kiểm soát dòng chảy. Khi cần thiết bị làm lạnh (xem 5.6), phải cố định van giảm áp ở cuối nguồn của thiết bị làm lạnh. Khi lấy mẫu, phải mở toàn bộ van tách mẫu. Điều chỉnh lưu lượng mẫu bằng van kim. Do đó, toàn bộ ống lấy mẫu, gồm cả bộ phận làm lạnh có thể, phải đủ mạnh để chống lại áp suất toàn bộ của hệ thống đang được lấy mẫu. Hình 1 thể hiện cách bố trí lấy mẫu điển hình.
5.6 Làm lạnh mẫu
Cần tiến hành làm lạnh những mẫu lấy từ hệ thống vận hành với nhiệt độ lớn hơn 50 oC. Nhiệt độ làm lạnh mẫu phụ thuộc vào việc phân tích tiếp theo. Cần chọn cách làm lạnh, tốc độ chảy của nước làm lạnh và nhiệt độ cho từng ứng dụng cụ thể. Nhiệt độ mẫu cuối cùng thường nằm trong khoảng 25 oC đến 30 oC.
Thiết bị làm lạnh phải được làm bằng thép không gỉ, hoặc một loại vật liệu khác thích hợp, và van giảm áp phải được cố định vào vỏ của thiết bị làm lạnh kín (xem hình 1).
ống xoắn của thiết bị làm lạnh phải được thiết kế và chế tạo sao cho có đủ khả năng vận hành dưới áp suất và nhiệt độ làm việc toàn phần của ống hoặc đường ống mà mẫu được lấy từ đó.
Nước làm lạnh đạt chất lượng khi không có lắng đọng hoặc ăn mòn xảy ra trong thiết bị làm lạnh và điều này phụ thuộc vào vật liệu chế tạo (xem phụ lục B).
Khi mẫu được chuyển trực tiếp từ điểm chuyển giao mẫu đến thiết bị đo kiểm, cần xem xét việc lắp đặt một van tự ngắt giữa thiết bị làm lạnh và thiết bị đo kiểm. Van này sẽ hoạt động nếu nhiệt độ mẫu tăng lên đến một giá trị xác định trước, do kết quả của việc mất dòng nước làm lạnh.
Nếu không có đủ nước lạnh có nhiệt độ thấp được chấp nhận để cấp thì phải có hệ thống làm lạnh đột ngột.
Chi tiết về một bộ làm lạnh nêu ở phụ lục B.
5.7 Thiết bị lấy mẫu mao quản
Có thể dùng ống mao quản để lấy cả mẫu hòa tan và không hòa tan như một hình thức thay thế cho hệ thống lấy mẫu được mô tả trong hình 1. Thiết bị này gồm có một mao quản dài bằng thép không gỉ và dùng lực cản ma sát ở mặt trong của mao quản để kiểm soát tốc độ chảy của mẫu và giảm áp suất mẫu mà không phải dùng van. Lợi thế của thiết bị này so với hệ thống thông thường để lấy mẫu đại diện cho các chất không tan là nó hạn chế tối đa những nơi có các chất không tan lắng đọng.
Tốt nhất nên dùng ống mao quản có đường kính bên trong từ 0,5mm đến 1,5mm. Khi cần làm lạnh cùng với việc giảm áp suất, một phần của ống mao quản phải được giữ trong thiết bị làm lạnh. Thí dụ về bố trí một ống mao quản lấy mẫu được trình bày trong hình 8.

Hình 8 - Cách bố trí điển hình ống lấy mẫu mao quản
5.8 Bình đựng mẫu
Tham khảo TCVN 5992-1995 ( ISO 5667-2) và TCVN 5993-1995 (ISO 5667-3) để xem hướng dẫn chi tiết về việc chọn bình chứa mẫu và quy trình làm sạch.
5.8.1 Trừ khi được nêu rõ, mẫu phải được đựng trong bình hoặc lọ sạch được đậy kín để hạn chế tối đa ô nhiễm từ không khí, do quá trình vận chuyển và do rò rỉ từ bình chứa.
5.8.2 Bình chứa và nắp đậy phải được rửa sạch trước khi dùng bằng cách xử lý qua dung dịch axit clohydric ấm pha loãng [c(HCl) = 1mol/l], và sau đó tráng bằng nước đã loại ion. Trước khi lấy mẫu, bình chứa và nắp đậy phải được tráng bằng nước và kiểm tra. Cũng cần phải kiểm tra xem đã đủ sạch chưa bằng cách tiến hành phép xác định "trắng".
Chú thích 2 - Nếu cần phải đo vết clorua, có thể dùng axit nitric (HNO3) thay cho axit clohydric (HCl).
5.8.3 Nên dùng bình làm bằng polyetylen hoặc nhựa plastic tương tự để xác định các loại ion. Bình làm bằng thủy tinh bo-silicat có thể dùng để lấy mẫu và đựng các mẫu nước để phân tích oxy hòa tan và các chất hữu cơ. Để kiểm tra vi khuẩn, phải dùng các bình tiệt trùng, có thể tham khảo thêm ISO 8199.
6 Vị trí lấy mẫu
6.1 Giới thiệu
Tuỳ theo loại dòng nước/ hơi nước để quyết định áp dụng những hướng dẫn chung ở điều 4. Trong một số trường hợp, có thể phải tham khảo một số chuyên gia về việc định vị và thiết kế các dụng cụ lấy mẫu. Cần quan tâm thích đáng đến việc đặt thiết bị lấy mẫu sao cho người vận hành có thể tiếp cận các dụng cụ lấy mẫu và van tách mẫu một cách an toàn. Khi thích hợp, nên cách nhiệt hệ thống đường ống để tránh bỏng cho người làm.
Những điểm lấy mẫu chính trong dòng nước/hơi nước được trình bày trong hình A.1 và được mô tả trong mục 6.2 đến 6.7.
6.2 Nước pha thêm
Sau khi xử lý bằng cách loại ion, có thể cần kiểm tra cả tính dẫn điện và thành phần silic dioxit hòa tan của nước pha thêm. Nên dùng đầu lấy mẫu, như thiết kế trình bày ở hình 2, trong áp dụng này.
6.3 Nước cung cấp cho nồi hơi
Có thể phải lấy mẫu từ một số điểm trong hệ thống nước ngưng tụ và nước cung cấp. Các vị trí này bao gồm đầu xả bơm hút, đầu vào tách khí, đầu ra tách khí và đường vào của nồi hơi. Cần lấy mẫu các chất hòa tan và có thể cả không hòa tan. Nên dùng đầu lấy mẫu như trong thiết kế trong hình 2 để lấy mẫu các chất hòa tan. Đầu lấy mẫu trình bày trong hình 2 hoặc hình 3 có thể dùng để lấy mẫu các chất không hòa tan (xem 5.2).
6.4 Nước nồi hơi
Thành phần của nước nồi hơi có thể có những thay đổi lớn trong nồi hơi. Do đó điểm lấy mẫu rất quan trọng và cần phải là điểm sao cho mẫu không bị ảnh hưởng bởi nước đang cung cấp vào nồi hoặc hơi nước không được tách riêng.
Với những nồi hơi thuộc loại tuần hoàn tự nhiên, phải lấy mẫu đại diện từ dòng chảy. Với những nồi hơi thuộc loại tuần hoàn cưỡng bức, phải lấy mẫu phía đầu xả của bơm lưu thông khi đang hoạt động. Một cách thay thế khác là mẫu có thể được lấy bằng các đầu lấy mẫu được đặt một cách thích hợp trên tang nồi hơi hoặc trong các ống phun liên tục.
Tuy nhiên, do khó khăn trong việc đảm bảo rằng các mẫu lấy từ tang nồi hơi là mẫu đại diện, chỉ nên dùng vị trí này khi không có được các vị trí mong muốn khác.
Nếu lấy mẫu chất hòa tan là chủ yếu, thì nên dùng đầu lấy mẫu như được minh họa trong hình 2. Đầu lấy mẫu có thiết kế như trong hình 2 hoặc hình 3 có thể dùng để lấy mẫu chất không tan các hạt (xem 5.2). Không thể lấy mẫu từ nồi hơi kiểu ống nước dòng thẳng.
6.5 Hơi nước
Khi không tách được hơi nước/nước, thì phải lấy mẫu và phân tích hơi nước bão hòa. Hơn nữa, cũng phải lấy mẫu và phân tích cả hơi nước nóng già để kiểm tra lắng đọng trong bộ phận làm quá nhiệt và chuyển sang tuốc bin. Cần phải xem cả hơi nước bão hòa và hơi nước quá nhiệt có chứa chất không tan hay không và phải được lấy mẫu theo phương pháp đẳng tốc bằng đấu lấy mẫu định hướng (xem 5.2 và điều 8).
6.6 Ngưng tụ hồi lưu
Điểm lấy mẫu phải được đặt tại ống ngưng tụ hồi lưu chính và trong ống dẫn về ở mỗi bộ phận. Khi nước ngưng tụ từ những nguồn khác, cần phải thiết lập điểm lấy mẫu cho các nguồn này.
Nên dùng đầu lấy mẫu như được minh họa trong hình 2.
6.7 Nước làm lạnh
Hệ thống nước làm lạnh có những khác nhau lớn về mặt thiết kế (hệ thống đóng/mở có tháp làm lạnh hoặc các bộ phận làm lạnh bề mặt) và về nguồn gốc nước (nước bên ngoài, nước trong lỗ khoan hoặc nước ngưng tụ).
ở đây không có hướng dẫn cụ thể nào, nhưng yêu cầu tối thiểu, là các điểm lấy mẫu phải được bố trí theo hướng dẫn trong ISO 5667-1.
7 Thu thập mẫu nước
7.1 Tần số và chương trình lấy mẫu phụ thuộc vào một số yếu tố, ví dụ như:
- thay đổi về các thông số vận hành
- thêm các hóa chất
- mức độ kiểm soát hóa chất cần thiết
ISO 5667-1 đưa ra những hướng dẫn chung về cách lập chương trình lấy mẫu và cần phải tuân thủ những hướng dẫn này.
7.2 Mẫu phải được lấy đầy bình đựng mẫu. Điều này đặc biệt quan trọng khi phải xác định lượng oxy hòa tan, hydrazin, sulfit, cacbon dioxit, clo tự do, sắt (II) và amoni, đồng thời cả tính dẫn điện, độ pH và độ kiềm. Trong những trường hợp này, cần phải nối một ống làm bằng vật liệu trơ với đường lấy mẫu và nhúng xuống đáy bình chứa. Trước khi lấy mẫu, điều quan trọng là phải kiểm tra xem bề mặt bên ngoài của ống lấy mẫu có sạch không.
7.3 Cần phải lấy một lượng mẫu đủ để tiến hành tất cả các phân tích cần thiết. Thông thường một lượng mẫu khoảng 0,5 lít đến 1 lít là đủ.
7.4 Khi lấy mẫu chất không tan, tốt nhất nên đặt các điểm lấy mẫu liên tục theo tốc độ dòng chảy đẳng tốc. Nếu vận hành không thuận lợi, cần phải mở van và cho hoạt động hết công suất để loại các chất lắng đọng và sau khoảng 10 phút điều chỉnh theo tốc độ dòng đẳng tốc. Tiến hành lấy mẫu sau khi không còn một thay đổi bên ngoài đáng chú ý nào nữa, và không sớm hơn 30 phút sau khi điều chỉnh về dòng chảy đẳng tốc. Cần tối ưu hóa việc tính toán thời gian lấy mẫu cho một điểm lấy mẫu xác định, tiếp sau các bước nghiên cứu đơn giản và thích hợp để xác định xem sự lắng đọng của các chất không tan đạt đến một giá trị ổn định nhanh như thế nào.
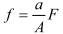
Lưu lượng dòng chảy của mẫu được xác định như sau:
![]()
trong đó
f là lưu lượng dòng chảy của mẫu, tính bằng kilogam trên giây;
F là lưu lượng dòng chảy của nước nhà máy, tính bằng kilogam trên giây;
a là diện tích cửa lấy mẫu, tính bằng mét vuông;
A là diện tích đường ống nước, tính bằng mét vuông.
8 Lấy mẫu hơi nước
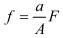
8.1 Để lấy mẫu đại diện hơi nước bão hòa và hơi nước quá nhiệt, lấy mẫu đẳng tốc chính xác là điều kiện hàng đầu.
Lưu lượng dòng chảy của mẫu được xác định như sau:
![]()
trong đó
f là lưu lượng dòng chảy của mẫu, tính bằng kilogam trên giây;
F là lưu lượng dòng chảy của hơi nước, tính bằng kilogam trên giây;
a là diện tích tổng cộng (các) cửa lấy mẫu, tính bằng mét vuông;
A là diện tích đường ống hơi nước, tính bằng mét vuông.
Chú thích 3 - Trên các lỗ lấy mẫu, phải giữ vận tốc dòng chảy của mẫu luôn cao để giảm tối đa sự hao hụt các chất lỏng và rắn pha trộn từ hơi nước. Điều này đặc biệt quan trọng nếu dòng chảy qua đầu lấy mẫu đi ngược lên trên theo chiều thẳng đứng. Lưu lượng tối thiểu qua đầu lấy mẫu tuỳ theo nhiều áp suất khác nhau được trình bày trong bảng 1.
9 Bảo quản mẫu
Đối với việc bảo quản mẫu và xử lý trước tại chỗ để cho phân tích trong phòng thí nghiệm, cần tham khảo TCVN 5993-1995 ( ISO 5667-3).
10 Nhận dạng và ghi chép mẫu
Để nhận dạng mẫu và diễn giải các kết quả phân tích, cần phải ghi các dữ liệu cụ thể như loại nước, điểm lấy mẫu, ngày, giờ, nhiệt độ, áp suất, và tên của người lấy mẫu trên phiếu lấy mẫu.
Cần ghi chép cả việc bảo quản mẫu. Ví dụ nếu dùng một axit để bảo quản [xem TCVN 5993: 1995 (ISO 5667-3)], cần phải chú thích loại axit, lượng axit và nồng độ. Nếu có thể, cần báo cáo cả sự có mặt của các hóa chất xử lý nước trong dòng mẫu.
Ngoài ra, cần dán nhãn thích hợp và đóng gói để vận chuyển nếu cần thiết.
Nên tham khảo phụ lục C xem ví dụ một mẫu báo cáo lấy mẫu nước và hơi nước trong xưởng nồi hơi.
Phụ lục A
(tham khảo)
CÁC ĐIỂM LẤY MẪU TRONG XƯỞNG NỒI HƠI
A.1 Các vị trí lấy mẫu điển hình trong dòng nước/hơi nước được trình bày trong hình A.1 và những điều kiện của mẫu điển hình tương ứng ở những vị trí đó được trình bày trong bảng A.1.

| 1. Thiết bị tăng nhiệt 2. Lượng đưa vào 3. Nồi hơi 4. Bộ tiết kiệm 5. Thiết bị sinh nhiệt áp suất cao 6. Thiết bị sinh nhiệt áp suất cao 7. Bơm tiếp liệu 8. Lượng đưa vào 9. Bộ phận loại khí 10. Thiết bị sinh nhiệt áp suất thấp 11. Lượng đưa vào 12. Thiết bị đánh bóng ngưng tụ 13. Bơm hút 14. Bộ ngưng tụ 15. Thiết bị thêm nước | A. Hơi nước quá nhiệt B. Hơi nước bão hòa C. Nước nồi hơi D. Đầu vào bộ tiết kiệm E. Đầu ra bộ khử khí F. Đầu ra bộ phận đánh bóng G. Đầu xả bơm hút H. Đầu ra hoặc gian ngưng tụ I. Nước thêm J. Nước thêm để dự trữ nước tiếp liệu K. Tấm thoát nước đặt trong ống |
Hình A.1 - Vị trí các điểm lấy mẫu chính
Bảng A.1 - Các điều kiện của mẫu điển hình ở các điểm lấy mẫu khác nhau trong dòng nước và hơi nước
| Vị trí điểm lấy mẫu | Nhiệt độ oC | áp suất MPa |
| Thiết bị thêm nước Đầu xả bơm chiết xuất Thiết bị đánh bóng ngưng tụ Đầu vào bộ loại khí Đầu ra bộ loại khí Đầu vào bộ tiết kiệm của nồi hơi Nước nồi hơi Hơi nước bão hoà Hơi nước quá nhiệt | < 30 20 đến 45 35 đến 50 90 đến 120 140 đến 180 180 đến 260 345 đến 355 345 đến 355 550 đến 570 | 0,1 0,4 1 đến 3 1 1 17 đến 20 16 đến 19 16 đến 19 16 đến 19 |
Phụ lục B
(tham khảo)
THIẾT BỊ LÀM LẠNH
B.1 Đối với nhiệt độ mẫu trên 50oC, cần phải làm lạnh mẫu để hạn chế tối đa sự tương tác giữa các thành phần có trong mẫu và tạo ra môi trường lấy mẫu an toàn.
Với hầu hết các áp dụng, mục đích là nhằm giảm nhiệt độ mẫu cuối cùng xuống còn 25oC ± 2oC. Với những tiêu chuẩn này, một tỉ lệ lớn các nguồn mẫu cần phải được làm lạnh trước khi lấy mẫu và các bước phân tích tiếp theo.
Đối với một số áp dụng trong đó phải làm lạnh mẫu từ nhiệt độ cao hoặc cần có sự kiểm soát chính xác nhiệt độ mẫu cuối cùng, ví dụ để như theo dõi tính dẫn điện cần có một bộ gồm hai thiết bị làm lạnh. Một thiết bị làm lạnh ban đầu và thiết bị làm lạnh cuối. Thiết bị làm lạnh ban đầu cần phải đặt ở cuối nguồn của van tách mẫu và càng gần van này càng tốt. Thiết bị làm lạnh cuối thường được đặt gần với điểm lấy mẫu bằng tay hoặc các thiết bị xử lý tại chỗ.
Thiết bị làm lạnh phải có ống xoắn bằng thép không gỉ 316, Inconel 600 hoặc Monel 400 được đặt trong một bộ phận bằng thép không gỉ được thiết kế sao cho dòng nước lạnh chảy ngược với dòng mẫu chảy trong ống xoắn. Kích thước bộ phận làm lạnh và ống xoắn được xác định theo vai trò dự định của nó.
Cần gắn vỏ bộ phận làm lạnh với một van an toàn để đề phòng ống xoắn không hoạt động và theo đó làm quá áp lực ở vỏ thiết bị. Để hạn chế kích thước van giảm áp suất, có thể đặt một lỗ kiểm soát dòng chảy trong ống lấy mẫu ở đầu nguồn của thiết bị làm lạnh.
Nước lạnh được cung cấp từ nguồn nước đã được loại khoáng và có thể được phân tích về mặt hóa học để tránh sự ăn mòn. Không nên dùng nước máy cho việc này nếu không có sự nhất trí trước giữa người sử dụng và người sản xuất bộ phận làm lạnh.
Hình B.1 thể hiện một thiết kế thiết bị làm lạnh thích hợp.
Bảng B.1 định ra các thông số thiết kế điển hình cho việc làm lạnh ban đầu và cuối.
Thiết bị làm lạnh vỏ nồi hơi và nước nóng nồi hơi thường ít phức tạp hơn và có thể không cần một lượng nước lớn đã loại khoáng để làm lạnh.
Bảng B.1 - Các thông số vận hành của thiét bị làm lạnh mẫu
| Thiết bị làm lạnh | Ban đầu | Cuối cùng | ||
| Điều kiện vào của mẫu | Nước | Lưu lượng (kg/s) Nhiệt độ (oC) áp suất (MPa) | 0,34 355 19 | 0,34 100 19 |
| Hơi nước | Lưu lượng (kg/s) Nhiệt độ (oC) áp suất (MPa) | 0,17 570 19 | 0,17 100 19 | |
| Nhiệt độ ra của mẫu (oC) Nhiệt độ vào của nước (oC) Nhiệt độ ra của nước (oC) | < 50 < 30 < 70 | 25 ± 2 < 20 | ||

Vỏ thiết bị làm lạnh - Được làm toàn bộ bằng thép không gỉ
ống xoắn - được làm bằng thép không gỉ, Inconel 600 hoặc Monel 400
Van an toàn - được cố định vào thiết bị làm lạnh hoặc vỏ thiết bị làm lạnh hoặc ở đầu ra của hệ thống đường ống.
Hình B.1 - Thí dụ về thiết bị điển hình làm lạnh mẫu
Phụ lục C
(tham khảo)
BÁO CÁO - LẤY MẪU NƯỚC VÀ HƠI NƯỚC TRONG XƯỞNG NỒI HƠI
Lý do lấy mẫu ...............................................................................................................................
.....................................................................................................................................................
Nhận dạng điểm lấy mẫu ..............................................................................................................
Loại nước/hơi nước được lấy mẫu..................................................................................................
áp suất .........................................................................................................................................
Nhiệt độ........................................................................................................................................
Ngày: Ngày ........................... Tháng ......................... Năm ..............................................
Thời gian Bắt đầu ....................................... Kết thúc .............................................................
Tên người lấy mẫu ........................................................................................................................
Phương pháp lấy mẫu ...................................................................................................................
Phương pháp bảo quản mẫu .........................................................................................................
Các quan sát tại điểm lấy mẫu......................................................................................................
Bình đựng mẫu .............................................................................................................................
Nhãn mẫu.....................................................................................................................................
Bạn chưa Đăng nhập thành viên.
Đây là tiện ích dành cho tài khoản thành viên. Vui lòng Đăng nhập để xem chi tiết. Nếu chưa có tài khoản, vui lòng Đăng ký tại đây!