- Tổng quan
- Nội dung
- VB gốc
- Tiếng Anh
- Hiệu lực
- VB liên quan
- Lược đồ
-
Nội dung hợp nhất
Tính năng này chỉ có tại LuatVietnam.vn. Nội dung hợp nhất tổng hợp lại tất cả các quy định còn hiệu lực của văn bản gốc và các văn bản sửa đổi, bổ sung, đính chính... trên một trang. Việc hợp nhất văn bản gốc và những văn bản, Thông tư, Nghị định hướng dẫn khác không làm thay đổi thứ tự điều khoản, nội dung.
Khách hàng chỉ cần xem Nội dung hợp nhất là có thể nắm bắt toàn bộ quy định hiện hành đang áp dụng, cho dù văn bản gốc đã qua nhiều lần chỉnh sửa, bổ sung.
- Tải về
Thông tư 45/2014/TT-BGTVT Quy chuẩn quốc gia về khí thải mức 3 đối với xe mô tô hai bánh
| Cơ quan ban hành: | Bộ Giao thông Vận tải |
Số công báo:
Số công báo là mã số ấn phẩm được đăng chính thức trên ấn phẩm thông tin của Nhà nước. Mã số này do Chính phủ thống nhất quản lý.
|
Đã biết
|
| Số hiệu: | 45/2014/TT-BGTVT | Ngày đăng công báo: |
Đã biết
|
| Loại văn bản: | Thông tư | Người ký: | Đinh La Thăng |
|
Ngày ban hành:
Ngày ban hành là ngày, tháng, năm văn bản được thông qua hoặc ký ban hành.
|
03/10/2014 |
Ngày hết hiệu lực:
Ngày hết hiệu lực là ngày, tháng, năm văn bản chính thức không còn hiệu lực (áp dụng).
|
Đã biết
|
|
Áp dụng:
Ngày áp dụng là ngày, tháng, năm văn bản chính thức có hiệu lực (áp dụng).
|
Đã biết
|
Tình trạng hiệu lực:
Cho biết trạng thái hiệu lực của văn bản đang tra cứu: Chưa áp dụng, Còn hiệu lực, Hết hiệu lực, Hết hiệu lực 1 phần; Đã sửa đổi, Đính chính hay Không còn phù hợp,...
|
Đã biết
|
| Lĩnh vực: | Tài nguyên-Môi trường Giao thông |
TÓM TẮT THÔNG TƯ 45/2014/TT-BGTVT
Cơ sở sản xuất lắp ráp xe mô tô 02 bánh phải báo cáo với cơ quan cấp Giấy chứng nhận về mọi sửa đổi của kiểu loại xe sản xuất lắp ráp đã được chứng nhận so với xe mẫu là nội dung quy định tại Thông tư số 45/2014/TT-BGTVT ngày 03/10/2014 của Bộ Giao thông Vận tải ban hành Quy chuẩn kỹ thuật quốc gia về khí thải mức 3 đối với xe mô tô 02 bánh sản xuất, lắp ráp và nhập khẩu mới.
Nếu các sửa đổi không đáng kể và kiểu loại xe vẫn thỏa mãn các yêu cầu về khí thải theo quy định thì các sửa đổi này sẽ được chấp thuận; ngược lại, nếu các sửa đổi có thể gây ảnh hưởng xấu đến khí thải, cơ quan cấp Giấy chứng nhận có thể yêu cầu cơ sở thử nghiệm đã thử nghiệm khí thải xe mẫu tiến hành thử nghiệm 01 xe đã sửa đổi và nộp báo cáo thử nghiệm khí thải mới; đồng thời ra quyết định chấp thuận hoặc không đối với việc sửa đổi này.
Cũng theo Thông tư này, các xe sản xuất lắp ráp thuộc kiểu loại xe đã được cấp Giấy chứng nhận chất lượng kiểu loại phải thỏa mãn mức giới hạn khí thải theo quy định. Cụ thể, đối với xe mô tô 02 bánh có dung tích xi lanh dưới 150 cm3, khối lượng cacbon mônôxít; khối lượng Hydrocacbon và Nitơ ôxit lần lượt phải nhỏ hơn 2,0; 0,8 và 0,15 hoặc 2,62; 0,75 và 0,17 (trường hợp tổ chức, cá nhân đăng ký thử nghiệm đề nghị áp dụng TCVN 9726). Việc kiểm tra các yêu cầu trên được thực hiện đột xuất và khi đánh giá hàng năm để xác nhận lại hiệu lực Giấy chứng nhận của cơ quan cấp Giấy chứng nhận.
Thông tư này có hiệu lực thi hành kể từ ngày 01/01/2015. Riêng việc áp dụng khí thải mức 3 quy định tại Điều 2.1 QCVN 77:2014/BGTVT đối với xe mô tô 02 bánh sản xuất, lắp ráp và nhập khẩu mới được thực hiện từ ngày 01/01/2017.
Văn bản này được thay thế bởi 48/2024/TT-BGTVT
Xem chi tiết Thông tư 45/2014/TT-BGTVT có hiệu lực kể từ ngày 01/01/2015
Tải Thông tư 45/2014/TT-BGTVT
|
BỘ GIAO THÔNG VẬN TẢI Số: 45/2014/TT-BGTVT |
CỘNG HÒA XÃ HỘI CHỦ NGHĨA VIỆT NAM Hà Nội, ngày 03 tháng 10 năm 2014 |
THÔNG TƯ
BAN HÀNH QUY CHUẨN KỸ THUẬT QUỐC GIA VỀ KHÍ THẢI MỨC 3 ĐỐI VỚI
XE MÔ TÔ HAI BÁNH SẢN XUẤT, LẮP RÁP VÀ NHẬP KHẨU MỚI
Căn cứ Luật Giao thông đường bộ ngày 13 tháng 11 năm 2008;
Căn cứ Luật Tiêu chuẩn và Quy chuẩn kỹ thuật ngày 29 tháng 6 năm 2006;
Căn cứ Luật Ban hành văn bản quy phạm pháp luật ngày 03 tháng 6 năm 2008;
Căn cứ Nghị định số 107/2012/NĐ-CP ngày 20 tháng 12 năm 2012 của Chính phủ quy định chức năng, nhiệm vụ, quyền hạn và cơ cấu tổ chức của Bộ Giao thông vận tải;
Căn cứ Quyết định số 49/2011/QĐ-TTg ngày 01 tháng 9 năm 2011 của Thủ tướng Chính phủ quy định lộ trình áp dụng tiêu chuẩn khí thải đối với xe ô tô, xe mô tô hai bánh sản xuất, lắp ráp và nhập khẩu mới;
Theo đề nghị của Cục trưởng Cục Đăng kiểm Việt Nam và Vụ trưởng Vụ Môi trường,
Bộ trưởng Bộ Giao thông vận tải ban hành Thông tư ban hành Quy chuẩn kỹ thuật quốc gia về khí thải mức 3 đối với xe mô tô hai bánh sản xuất, lắp ráp và nhập khẩu mới.
Điều 1. Ban hành kèm theo Thông tư này Quy chuẩn kỹ thuật quốc gia về khí thải mức 3 đối với xe mô tô hai bánh sản xuất, lắp ráp và nhập khẩu mới.
Mã số đăng ký: QCVN 77:2014/BGTVT.
Điều 2. Thông tư này có hiệu lực kể từ ngày 01 tháng 01 năm 2015. Riêng việc áp dụng khí thải mức 3 quy định tại Điều 2.1 QCVN 77:2014/BGTVT đối với xe mô tô hai bánh sản xuất, lắp ráp và nhập khẩu mới được thực hiện từ ngày 01 tháng 01 năm 2017 theo quy định tại khoản 2 Điều 4 Quyết định số 49/2011/QĐ-TTg ngày 01 tháng 9 năm 2011 của Thủ tướng Chính phủ.
Điều 3. Chánh Văn phòng Bộ, Chánh Thanh tra Bộ, các Vụ trưởng, Cục trưởng Cục Đăng kiểm Việt Nam, Thủ trưởng các cơ quan, đơn vị thuộc Bộ Giao thông vận tải, các tổ chức và cá nhân có liên quan chịu trách nhiệm thi hành Thông tư này./.
|
Nơi nhận: |
BỘ TRƯỞNG |
QCVN 77 : 2014/BGTVT
QUY CHUẨN KỸ THUẬT QUỐC GIA VỀ KHÍ THẢI MỨC 3 ĐỐI VỚI XE MÔ TÔ
HAI BÁNH SẢN XUẤT, LẮP RÁP VÀ NHẬP KHẨU MỚI
National technical regulation on the third level of gaseous pollutant emission for new assembled, manufactured and imported two-wheeled motorcycles
Lời nói đầu
QCVN 77:2014/BGTVT do Cục Đăng kiểm Việt Nam biên soạn, Vụ Môi trường trình duyệt, Bộ Giao thông vận tải ban hành theo Thông tư số ... ngày .... tháng …. năm 2014.
Quy chuẩn này được biên soạn trên cơ sở:
1. TCVN 7357:2010 - Phương tiện giao thông đường bộ - Khí thải gây ô nhiễm phát ra từ mô tô - Yêu cầu và phương pháp thử trong phê duyệt kiểu (sau đây viết tắt là TCVN 7357).
2. TCVN 9726:2013 - Phương tiện giao thông đường bộ - Khí thải gây ô nhiễm, khí thải CO2 và tiêu thụ nhiên liệu của mô tô hai bánh lắp động cơ cháy cưỡng bức hoặc cháy do nén - Yêu cầu và phương pháp thử trong phê duyệt kiểu (sau đây viết tắt là TCVN 9726).
QUY CHUẨN KỸ THUẬT QUỐC GIA VỀ KHÍ THẢI MỨC 3 ĐỐI VỚI XE MÔ TÔ HAI BÁNH SẢN XUẤT, LẮP RÁP VÀ NHẬP KHẨU MỚI
National technical regulation on the third level of gaseous pollutant emission for new assembled, manufactured and imported two-wheeled motorcycles
1. QUY ĐỊNH CHUNG
1.1. Phạm vi điều chỉnh
Quy chuẩn này quy định mức giới hạn khí thải, các phép thử, phương pháp thử và các yêu cầu về quản lý để kiểm tra khí thải mức 3 của xe mô tô hai bánh (sau đây viết tắt là xe) sản xuất, lắp ráp (sau đây viết tắt là SXLR) và nhập khẩu mới.
1.2. Đối tượng áp dụng
Quy chuẩn này áp dụng đối với các cơ quan, tổ chức và cá nhân có hoạt động liên quan đến SXLR và nhập khẩu xe.
1.3. Giải thích từ ngữ
Trong Quy chuẩn này các từ ngữ dưới đây được hiểu như sau:
1.3.1. Xe mô tô hai bánh (Two-wheeled motorcycle): Phương tiện hai bánh lắp động cơ cháy cưỡng bức, vận tốc thiết kế lớn nhất lớn hơn 50 km/h hoặc dung tích làm việc của xy lanh lớn hơn 50 cm3.
1.3.2. Kiểu loại xe (Vehicle type): Một loại gồm các xe có cùng các đặc điểm cơ bản sau đây:
a) Quán tính tương đương được xác định theo khối lượng chuẩn như quy định trong Bảng 3 của Quy chuẩn này;
b) Các đặc điểm của động cơ và xe được nêu tại Phụ lục 1 của Quy chuẩn này, trừ nội dung nêu tại mục 2.7 của Phụ lục 1.
1.3.3. Khối lượng chuẩn (Reference mass): Khối lượng bản thân xe đảm bảo vận hành với nhiên liệu được đổ tới ít nhất 90% dung tích tối đa của thùng nhiên liệu, cộng thêm 75 kg.
1.3.4. Chất khí gây ô nhiễm (Gaseous pollutants): Cacbon mônôxit (CO), các nitơ ôxit được biểu thị bằng đương lượng nitơ điôxit (NO2) và các hydrocacbon (HC) có thành phần như sau:
C1H1,85 đối với xăng;
C1H1,86 đối với điêzen.
1.3.5. Mức 3 (Level 3): là tiêu chuẩn về phép thử và giới hạn chất gây ô nhiễm có trong khí thải tương ứng với mức Euro 3 được quy định trong quy định kỹ thuật về khí thải xe cơ giới của Ủy ban kinh tế Châu Âu của Liên hợp quốc hoặc trong chỉ thị của Liên minh Châu Âu áp dụng đối với xe cơ giới SXLR và nhập khẩu mới.
1.3.6. Các te động cơ (Engine crank-case): Các khoang trong hoặc ngoài động cơ được thông với bình hứng dầu bôi trơn bằng các ống dẫn bên trong hoặc ngoài động cơ mà các loại khí và hơi trong các te có thể thoát ra ngoài qua các ống này.
1.3.7. Khí thải do bay hơi (Evaporative emissions): khí HC - khác với khí HC tại đuôi ống xả - phát thải do bay hơi từ hệ thống nhiên liệu của xe, bao gồm hai dạng sau:
a) Bay hơi từ thùng nhiên liệu (Tank breathing losses): Khí HC phát thải bay hơi từ thùng nhiên liệu do sự thay đổi nhiệt độ ở bên trong thùng;
b) Bay hơi do xe ngấm nóng (Hot soak losses): Khí HC phát thải bay hơi từ hệ thống nhiên liệu của xe đỗ sau khi hoạt động.
2. QUY ĐỊNH KỸ THUẬT
2.1. Khi kiểm tra khí thải xe theo phép thử loại I nêu tại khoản 3.2.2 của Quy chuẩn này, khối lượng trung bình đo được của từng chất khí thải CO, HC, NOx từ các xe SXLR và nhập khẩu mới phải nhỏ hơn mức giới hạn quy định trong các bảng dưới đây:
a) Trường hợp áp dụng mức 3 theo TCVN 7357: Bảng 1.
Bảng 1 - Giá trị giới hạn chất khí gây ô nhiễm cho xe mô tô hai bánh (theo TCVN 7357)
Khối lượng tính bằng (g/km)
|
Dung tích làm việc của xy lanh |
Khối lượng L1 |
Khối lượng Hydrocacbon (HC) L2 |
Khối lượng L3 |
|
< 150 cm3 |
2,0 |
0,8 |
0,15 |
|
³ 150 cm3 |
2,0 |
0,3 |
0,15 |
|
Chú thích: L1, L2, L3 lần lượt là ký hiệu của các giá trị giới hạn của CO, HC và NOx |
|||
b) Trường hợp tổ chức, cá nhân đăng ký thử nghiệm đề nghị áp dụng TCVN 9726: Bảng 2 (tương đương mức 3).
Bảng 2 - Giá trị giới hạn chất khí gây ô nhiễm cho xe mô tô hai bánh (theo TCVN 9726)
Khối lượng tính bằng (g/km)
|
Vận tốc thiết kế lớn nhất |
Khối lượng L1 |
Khối lượng Hydrocacbon (HC) L2 |
Khối lượng L3 |
|
Vmax < 130 km/h |
2,62 |
0,75 |
0,17 |
|
Vmax ³ 130 km/h |
2,62 |
0,33 |
0,22 |
2.2. Khi kiểm tra khí thải xe theo phép thử bay hơi nhiên liệu nêu tại khoản 3.2.4 của Quy chuẩn này, tổng lượng HC thoát ra không được lớn hơn 2,0 gam/ lần thử.
3. QUY ĐỊNH QUẢN LÝ
3.1. Tài liệu kỹ thuật và mẫu thử
Đối với loại xe phải kiểm tra khí thải, cơ sở SXLR hoặc tổ chức, cá nhân nhập khẩu cung cấp tài liệu và mẫu thử như sau:
3.1.1. Bản đăng ký thông số kỹ thuật chính của xe và động cơ theo quy định tại Phụ lục 1 của Quy chuẩn này.
3.1.2. Mẫu thử: Số lượng và các yêu cầu khác đối với xe mẫu đại diện cho kiểu loại xe hoặc lô xe để kiểm tra được quy định trong TCVN 7357, TCVN 9726, Thông tư số 44/2012/TT-BGTVT ngày 23/10/2012 của Bộ trưởng Bộ Giao thông vận tải quy định về kiểm tra chất lượng an toàn kỹ thuật và bảo vệ môi trường xe mô tô, xe gắn máy nhập khẩu và động cơ nhập khẩu sử dụng để SXLR xe mô tô, xe gắn máy và Thông tư số 45/2012/TT-BGTVT ngày 23/10/2012 của Bộ trưởng Bộ Giao thông vận tải quy định về kiểm tra chất lượng an toàn kỹ thuật và bảo vệ môi trường trong SXLR xe mô tô, xe gắn máy.
3.2. Phép thử và phương pháp thử
3.2.1. Việc kiểm tra khí thải xe phải được thực hiện bằng các phép thử loại I, loại II và phép thử bay hơi nhiên liệu.
3.2.2. Phép thử loại I được thực hiện theo quy định của TCVN 7357. Cho phép áp dụng TCVN 9726 thay TCVN 7357 để thực hiện phép thử loại I nếu tổ chức, cá nhân đăng ký thử nghiệm đề nghị. Số lần thực hiện lặp lại phép thử là ba lần trừ khi đáp ứng các điều kiện nêu tại các điểm a và điểm b dưới đây.
Trong mỗi lần thử, kết quả đo khối lượng của từng chất khí thải phải nhỏ hơn các mức giới hạn tương ứng (L1, L2, L3) nêu tại Bảng 1 và Bảng 2 của Quy chuẩn này. Tuy nhiên, đối với từng chất khí thải, một trong ba kết quả đo được của ba lần thử có thể được phép vượt không quá 10% mức giới hạn quy định tương ứng tại các Bảng 1 và Bảng 2 của Quy chuẩn này nhưng giá trị trung bình cộng của ba kết quả đo vẫn phải nhỏ hơn mức giới hạn đó.
Số lần thử quy định trên sẽ được giảm trong các điều kiện sau đây:
a) Chỉ phải thử một lần nếu các kết quả đo của tất cả các chất khí thải thỏa mãn yêu cầu sau: V1 ≤ 0,70 L;
b) Chỉ phải thử hai lần nếu các kết quả đo của tất cả các chất khí thải thỏa mãn đồng thời các yêu cầu sau: V1 ≤ 0,85 L, V1 + V2 ≤ 1,70 L và V2 ≤ L.
Trong đó:
V1 là kết quả của lần thử thứ nhất của từng chất khí thải;
V2 là kết quả của lần thử thứ hai của từng chất khí thải;
L (L1, L2, L3) là mức giới hạn khí thải trong các Bảng 1 và Bảng 2 của Quy chuẩn này.
Sơ đồ quy trình xác định số lần thử nêu trên trong phép thử loại I được thể hiện trong Phụ lục 3 của Quy chuẩn này.
3.2.3. Phép thử loại II phải được thực hiện theo quy định tại Phụ lục F của TCVN 7357 hoặc theo quy định của TCVN 9726.
Kết quả đo nồng độ CO (% thể tích) trong khí thải của xe và tốc độ của động cơ tại hai chế độ không tải thường và không tải tốc độ cao phải được ghi lại trong báo cáo thử nghiệm. Nếu trường hợp áp dụng TCVN 9726 thì phải ghi thêm nhiệt độ dầu bôi trơn động cơ và nồng độ CO2 (% thể tích) trong hai chế độ nói trên.
Các kết quả này được lấy làm cơ sở cho việc kiểm tra kiểu loại xe khi đưa vào sử dụng.
3.2.4. Phép thử bay hơi nhiên liệu phải được thực hiện bằng các phương pháp nêu tại Phụ lục G của TCVN 7357. Kết quả đo tổng cộng của lượng HC thoát ra không được lớn hơn giá trị giới hạn quy định tại Điều 2.2 của Quy chuẩn này.
3.3. Nhiên liệu thử
Nhiên liệu để thử nghiệm khí thải là nhiên liệu thông dụng phù hợp với quy chuẩn kỹ thuật về nhiên liệu hiện hành, đối với xăng phải có trị số ốc tan RON nhỏ nhất là 95. Trong trường hợp có sự thống nhất giữa cơ sở SXLR hoặc tổ chức, cá nhân nhập khẩu đăng ký kiểm tra khí thải với cơ sở thử nghiệm thì có thể dùng nhiên liệu chuẩn quy định tại Phụ lục 4 của Quy chuẩn này hoặc nhiên liệu có đặc tính tương đương với nhiên liệu chuẩn.
Nếu động cơ được bôi trơn bằng hỗn hợp của nhiên liệu và dầu bôi trơn thì dầu được cho vào nhiên liệu chuẩn phải phù hợp về số lượng và loại dầu bôi trơn theo bản đăng ký thông số kỹ thuật chính của động cơ và xe trong Phụ lục 1 của Quy chuẩn này.
3.4. Báo cáo thử nghiệm
Cơ sở thử nghiệm lập báo cáo thử nghiệm khí thải trong đó ít nhất phải bao gồm các nội dung quy định trong Phụ lục 2 của Quy chuẩn này. Ngoài ra, cơ sở thử nghiệm phải lưu trữ kèm theo báo cáo thử nghiệm này các bản ghi số liệu liên quan đến quá trình đo khí thải trong phòng thử nghiệm.
Kết quả kiểm tra khí thải trong báo cáo thử nghiệm là căn cứ để đánh giá việc thỏa mãn các quy định về khí thải của xe theo Quy chuẩn này.
3.5. Sửa đổi kiểu loại xe SXLR so với xe mẫu đã được thử nghiệm
Cơ sở SXLR phải báo cáo với cơ quan cấp giấy chứng nhận về mọi sửa đổi của kiểu loại xe SXLR đã được chứng nhận so với xe mẫu. Cơ quan này phải xem xét và đánh giá việc sửa đổi như sau:
3.5.1. Nếu các sửa đổi không đáng kể và kiểu loại xe vẫn thỏa mãn các yêu cầu về khí thải của Quy chuẩn này thì chấp thuận thực hiện các sửa đổi đó.
3.5.2. Nếu các sửa đổi có thể gây ảnh hưởng xấu đến khí thải thì yêu cầu cơ sở thử nghiệm đã thử nghiệm khí thải xe mẫu tiến hành thử nghiệm một xe đã sửa đổi và nộp báo cáo thử nghiệm khí thải mới.
3.5.3. Căn cứ vào việc xem xét và đánh giá trên để có quyết định chấp thuận hoặc không chấp thuận thực hiện việc sửa đổi. Nếu chấp thuận, phải thông báo rõ ràng nội dung được sửa đổi.
3.6. Mở rộng việc thừa nhận kết quả thử nghiệm khí thải
Kết quả thử nghiệm khí thải xe mẫu của kiểu loại xe đã được cấp giấy chứng nhận chất lượng (sau đây gọi là kiểu loại xe đã chứng nhận) có thể được mở rộng để thừa nhận là kết quả thử nghiệm cho một kiểu loại xe có bản đăng ký thông số kỹ thuật quy định tại Phụ lục 1 của Quy chuẩn này khác bản đăng ký thông số kỹ thuật của kiểu loại xe đã chứng nhận như sau:
- Chỉ khác nhau về số loại nêu tại mục 1.2 Phụ lục 1; hoặc
- Chỉ khác nhau về số loại và một trong các trường hợp phù hợp với quy định tại các khoản từ 3.6.1 đến 3.6.3 dưới đây:
3.6.1. Trường hợp 1: Khác về khối lượng chuẩn nhưng có khối lượng quán tính tương đương tương ứng cao hơn liền kề hoặc thấp hơn liền kề với khối lượng quán tính tương đương của kiểu loại xe đã chứng nhận (xem Bảng 3 dưới đây).
Bảng 3 - Khối lượng chuẩn và khối lượng quán tính tương đương của xe
|
Khối lượng chuẩn mref(kg) |
Khối lượng quán tính tương đương mi (kg) |
|
95 < m ≤ 105 |
100 |
|
105 < m ≤ 115 |
110 |
|
115 < m ≤ 125 |
120 |
|
125 < m ≤ 135 |
130 |
|
135 < m ≤ 145 |
140 |
|
145 < m ≤ 155 |
150 |
|
155 < m ≤ 165 |
160 |
|
165 < m ≤ 175 |
170 |
|
175 < m ≤ 185 |
180 |
|
185 < m ≤ 195 |
190 |
|
195 < m ≤ 205 |
200 |
|
205 < m ≤ 215 |
210 |
|
215 < m ≤ 225 |
220 |
|
225 < m ≤ 235 |
230 |
|
235 < m ≤ 245 |
240 |
|
245 < m ≤ 255 |
250 |
|
255 < m ≤ 265 |
260 |
|
265 < m ≤ 275 |
270 |
|
275 < m ≤ 285 |
280 |
|
285 < m ≤ 295 |
290 |
|
295 < m ≤ 305 |
300 |
|
305 < m ≤ 315 |
310 |
|
315 < m ≤ 325 |
320 |
|
325 < m ≤ 335 |
330 |
|
335 < m ≤ 345 |
340 |
|
345 < m ≤ 355 |
350 |
|
355 < m ≤ 365 |
360 |
|
365 < m ≤ 375 |
370 |
|
375 < m ≤ 385 |
380 |
|
385 < m ≤ 395 |
390 |
|
395 < m ≤ 405 |
400 |
|
405 < m ≤ 415 |
410 |
|
415 < m ≤ 425 |
420 |
|
425 < m ≤ 435 |
430 |
|
435 < m ≤ 445 |
440 |
|
445 < m ≤ 455 |
450 |
|
455 < m ≤ 465 |
460 |
|
465 < m ≤ 475 |
470 |
|
475 < m ≤ 485 |
480 |
|
485 < m ≤ 495 |
490 |
|
495 < m ≤ 505 |
500 |
|
505 < m ≤ 515 |
510 |
|
515 < m ≤ 525 |
520 |
|
525 < m ≤ 535 |
530 |
|
535 < m ≤ 545 |
540 |
|
545 < m ≤ 550 |
550 |
3.6.2. Trường hợp 2: Có các tỉ số truyền toàn bộ của hệ thống truyền lực (tính theo các số truyền) khác với các tỉ số truyền toàn bộ tương ứng của kiểu loại xe đã chứng nhận nhưng thỏa mãn điều kiện sau:
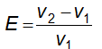
a) Đối với tất cả tỷ số truyền được sử dụng trong phép thử loại I, tỉ số E phải không lớn hơn 8% với E được tính như sau:

Trong đó:
v1 là vận tốc xe thuộc kiểu loại đã chứng nhận khi tốc độ động cơ bằng 1000 r/min;
v2 là vận tốc xe thuộc kiểu loại đang được xét khi tốc độ động cơ bằng 1000 r/min;
b) Nếu E của ít nhất một tỉ số truyền lớn hơn 8% và đồng thời E của tất cả các tỉ số truyền không lớn hơn 13% thì vẫn phải lặp lại phép thử loại I. Tuy nhiên, phép thử này có thể thực hiện tại bất kỳ cơ sở thử nghiệm nào được cơ quan cấp giấy chứng nhận chấp thuận, không nhất thiết phải là cơ sở thử nghiệm xe mẫu của kiểu loại xe đã chứng nhận. Kết quả thử khí thải phải phù hợp với quy định giới hạn khí thải nêu tại các Bảng 1 hoặc Bảng 2 ở trên và báo cáo thử nghiệm này cũng phải được gửi cho cơ sở thử nghiệm xe mẫu của kiểu loại xe đã chứng nhận.
3.6.3. Trường hợp 3: Khác cả khối lượng chuẩn và tỉ số truyền toàn bộ nêu trong hai trường hợp 1 và 2 ở trên so với kiểu loại xe đã chứng nhận nhưng thỏa mãn tất cả các điều kiện nêu tại hai khoản 3.6.1 và 3.6.2.
3.7. Giám sát khí thải xe khi SXLR hàng loạt
3.7.1. Các xe SXLR thuộc kiểu loại xe đã được cấp giấy chứng nhận chất lượng kiểu loại cũng phải thỏa mãn mức giới hạn khí thải nêu tại mục 2 của Quy chuẩn này.
3.7.2. Việc kiểm tra theo yêu cầu nêu tại khoản 3.7.1 được thực hiện đột xuất và khi đánh giá hàng năm để xác nhận lại hiệu lực giấy chứng nhận của cơ quan cấp giấy chứng nhận.
3.7.3. Việc kiểm tra phải dựa trên cơ sở nội dung trong hồ sơ chứng nhận và phải thực hiện phép thử loại I nêu tại khoản 3.7.2 trên một xe lấy từ loạt xe kiểm tra. Kết quả đo của các chất khí thải phải nhỏ hơn giới hạn tương ứng của các chất này trong Bảng 1 và Bảng 2 của Quy chuẩn này.
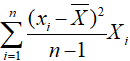
3.7.4. Nếu kết quả đo các chất khí thải không đáp ứng được yêu cầu nêu tại khoản 3.7.3 thì cơ sở SXLR có thể đề nghị thử nghiệm bổ sung một số xe được lấy ra từ loạt xe đó. Số lượng xe được thử nghiệm (n) do cơ sở SXLR xác định; trong số xe này phải có cả chiếc xe đã được lấy ra để kiểm tra theo khoản 3.7.3 ở trên. Đối với từng chất khí thải, sau khi đo phải xác định giá trị trung bình cộng của các kết quả đo từ các xe thử nghiệm trên và sai lệch chuẩn S theo công thức dưới đây. Loạt xe đó sẽ được coi là phù hợp với Quy chuẩn này nếu đáp ứng được điều kiện sau:

Trong đó:
- L là mức giới hạn đối với từng chất khí thải trong Bảng 1 hoặc Bảng 2 của Quy chuẩn này;
- là giá trị trung bình cộng của các kết quả đo từng chất khí thải của tất cả n xe mẫu;
- Sai lệch chuẩn S2 =
là kết quả đo chất khí thải được xét đến của xe mẫu thứ i,
- k là trọng số thống kê phụ thuộc vào n trong Bảng 4 sau:
Bảng 4. Trọng số thống kê k
|
n |
2 |
3 |
4 |
5 |
6 |
7 |
8 |
9 |
10 |
|
K |
0,973 |
0,613 |
0,489 |
0,421 |
0,376 |
0,342 |
0,317 |
0,296 |
0,279 |
|
n |
11 |
12 |
13 |
14 |
15 |
16 |
17 |
18 |
19 |
|
K |
0,265 |
0,253 |
0,242 |
0,233 |
0,224 |
0,216 |
0,210 |
0,203 |
0,198 |
Nếu n ³ 20 thì:

4. TỔ CHỨC THỰC HIỆN
4.1. Cục Đăng kiểm Việt Nam chịu trách nhiệm triển khai, hướng dẫn thực hiện Quy chuẩn này. Nếu có vấn đề phát sinh liên quan đến quy định của Quy chuẩn này, Cục Đăng kiểm Việt Nam báo cáo Bộ Giao thông vận tải để xem xét, giải quyết.
4.2. Trường hợp các tiêu chuẩn, quy chuẩn, quy định nêu tại Quy chuẩn này có thay đổi, bổ sung hoặc được thay thế thì thực hiện theo các quy định nêu tại tiêu chuẩn, quy chuẩn, quy định mới.
PHỤ LỤC 1
(Annex 1)
Bản đăng ký thông số kỹ thuật chính của xe và động cơ
(Document of essential characteristics of two-wheeled motorcycle and engine)
1. Xe (Two-wheeled motorcycle) ……………………………………………………………………..
1.1. Nhãn hiệu xe (Mark): …………………………………………………………………………….
1.2. Kiểu loại xe (Số loại) (Vehicle type): ……………………………………………………………
1.3. Tên và địa chỉ cơ sở sản xuất, lắp ráp/ tổ chức/ cá nhân nhập khẩu(1) (Manufacturer’s/ lmporter’s name and address): ………………………………………………………………………..
1.4. Tên và địa chỉ đại diện cơ sở sản xuất, lắp ráp/ tổ chức/ cá nhân nhập khẩu (nếu có)(1) (lf applicable, name and address of manufacturer’s/ importer’s representative): …………….
1.5. Khối lượng bản thân của xe (Unladen mass of vehicle): ………………………………… (kg)
1.6. Khối lượng lớn nhất của xe (Maximum mass of vehicle): ………………………………… (kg)
1.7. Hộp số (Gear-box) ……………………………………………………………………………….
1.7.1. Điều khiển (Control): Cơ khí/ Tự động (Manual/ Automatic/)(1)
1.7.2. Số lượng tỷ số truyền (Number of gear ratios)(2): ……………………………………………
1.7.3. Tỷ số truyền của hộp số (Gear ratio(3):
Số 1 (First gear): ………………………………………………………………………………………
Số 2 (Second gear): …………………………………………………………………………………..
Số 3 (Third gear): ………………………………………………………………………………………
……………………………………………………………………………………………………………
1.8. Tỉ số truyền cuối cùng (Final drive ratio): ………………………………………………………
1.9. Lốp (Tyres)
1.9.1. Ký hiệu kích cỡ lốp (Dimensions): …………………………………………………………..
1.9.2. Chu vi vòng lăn động lực học (4)(5) (Dynamic rolling circumference): ………………. (mm)
1.10. Vận tốc thiết kế lớn nhất do cơ sở SXLR quy định (Maximum design speed specified by the manufacturer): ………………………………………………………………………….. (km/h)
Chú thích mục 1:
(1) Bỏ phần không áp dụng (Strike out what does not apply).
(2) Chỉ áp dụng cho hộp số điều khiển cơ khí (Only apply for manual gear-box).
(3) Đối với xe lắp hộp số tự động, phải cung cấp các thông số kỹ thuật tương ứng (In the case of vehicles equipped with automatic-shift gear-boxes, give all pertinent technical data).
(4) Tính theo bán kính động lực học: khoảng cách từ tâm bánh xe đến mặt đường khi xe chạy (It is calculated from dynamic rolling radius which is the distance from the center of the wheel to road when the vehicles is in motion).
(5) Không áp dụng cho xe nhập khẩu (Not apply for imported motorcycle).
2. Động cơ (Engine)
2.1. Mô tả động cơ (Description of engine)
2.1.1. Tên thương mại/ Nhãn hiệu (Make/ Mark): …………………………………………………
2.1.2. Kiểu loại (Số loại) (Type): …………………………………………………………………….
2.1.3. Số kỳ (Cycle): 4 kỳ/ 2 kỳ (Four-stroke/two-stroke)(1): ………………………………………
2.1.4. Số lượng và bố trí các xy lanh (Number and arrangement of cylinders): ……………….
2.1.5. Đường kính lỗ xy lanh (Bore): ……………………………………………………………. mm
2.1.6. Hành trình pit-tông (Stroke) …………………………………………………………….. mm
2.1.7. Dung tích xy lanh (Cylinder capacity): ………………………………………………….... cm3
2.1.8. Tỷ số nén (Compression ratio)(2)(3): ………………………………………………………….
2.1.9. Các bản vẽ mô tả buồng cháy, bản vẽ pit tông bao gồm cả vòng găng (xéc măng) (Drawings of the combustion chamber and of the piston, including the piston rings)(4): ………..
…………………………………………………………….………………………………………………
2.1.10. Hệ thống làm mát (System of cooling): Chất lỏng/ không khí (Liquid/ Air)(1): …………...
2.1.11. Hệ thống tăng áp, nếu có (Supercharged, if applicable): mô tả hệ thống (Description)....
2.1.12. Hệ thống bôi trơn (động cơ hai kỳ, bôi trơn riêng biệt hoặc bôi trơn bằng hỗn hợp nhiên liệu - dầu bôi trơn) (System of lubrication (two-stroke engines - separate or by mixture)): …………………………………………….…………………………………………………
…………………………………………………………….……………………………………………..
2.1.13. Thiết bị tuần hoàn khí các te động cơ (nếu có - mô tả và vẽ sơ đồ) (Device for recycling crank-case gases (if any, description and diagrams)): ………………………………….
…………………………………………………………….………………………………………………
2.1.14. Bộ lọc không khí: Bản vẽ hoặc nhãn hiệu và kiểu (Air filter: drawings, or makes and types(4): …………………………………………………………….…………………………………….
2.2. Thiết bị chống ô nhiễm bổ sung (nếu có, và nếu không được nêu ở mục khác)
(Additional anti-pollution devices (if any, and if not covered by another heading))
2.2.1. Thiết bị chống ô nhiễm do khí thải phát ra từ ống xả (Additional anti-pollution devices for tailpipe emission): Bộ biến đổi xúc tác ………………………………………………………..
mô tả và vẽ sơ đồ (Description and diagrams): ……………………………………………………
2.2.2. Hệ thống chống ô nhiễm do bay hơi nhiên liệu. Mô tả chi tiết hoàn chỉnh các thiết bị và trạng thái điều chỉnh của chúng:(5)
(Evaporative emission control system. Complete detailed description of the devices and their state of tune)
- Bản vẽ hệ thống kiểm soát bay hơi (Drawing of the evaporative control system)
…………………………………………………………….……………………………………………
- Bản vẽ hộp các bon (nếu lắp) (Drawing of the carbon canister, if fitted))
…………………………………………………………….……………………………………………
- Bản vẽ thùng nhiên liệu có chỉ rõ dung tích và vật liệu (Drawing of the fuel tank with indication of capacity and material)
…………………………………………………………….………………………………………………
- Sơ đồ lắp đặt thùng nhiên liệu trên xe có chỉ rõ kiểu lắp đặt (kiểu lộ/ kiểu ẩn(1)) (Diagram of the fuel tank on vehicle with indication of fitting method (exposure/ hidden(1))
…………………………………………………………….……………………………………………
- Vật liệu chế tạo các ống dẫn nhiên liệu (Fuel hose material) …………………………………..
2.3. Hệ thống nạp không khí và cung cấp nhiên liệu (Air Intake and Fuel feed systems)
2.3.1. Mô tả và vẽ sơ đồ của hệ thống nạp không khí và các phụ kiện của nó (khoang không khí để giảm dao động không khí nạp, thiết bị sấy, hệ thống nạp không khí phụ v.v...) (Description and diagrams of air intakes and their accessories (dashpot, heating device, additional air intakes, etc.))(4)
2.3.2. Cung cấp nhiên liệu (Fuel feed)
2.3.2.1. Bằng bộ chế hòa khí (By carburetor(s))(1)
2.3.2.1.1. Tên thương mại/ Nhãn hiệu (Make/Marky): ……………………………………………..
2.3.2.1.2. Kiểu (Type): …………………………………………………………………………………
2.3.2.1.3. Các thông số chỉnh đặt (Settings)(3)(4)
2.3.2.1.3.1. Zíc lơ (Jets): ………………………………………………………….…………………..
2.3.2.1.3.2. Họng khuếch tán (Venturis): ……………………………………………………………
2.3.2.1.3.3. Mức nhiên liệu buồng phao (Float-chamber level): ………………………………….
2.3.2.1.3.4. Khối lượng phao (Mass of float): ………………………………………………………
2.3.2.1.3.5. Kim phao (Float needle): …………………………………………………………………
Hoặc đường đặc tính cung cấp nhiên liệu theo lưu lượng không khí (or curve of fuel delivery plotted)(1)(3)
2.3.2.1.4. Bướm gió (Choke): Điều khiển Cơ khí/ Tự động (Manual/ Automatic)(1)
Thông số chỉnh đặt đóng bướm gió (Closure setting)(3)(4): …………………………………………
2.3.2.1.5. Bơm cung cấp nhiên liệu (Feed pump): Áp suất (Pressure)(3)(4): ………………………
hoặc đường đặc tính (or characteristic diagram)(3)(4) ……………………………………………….
2.3.2.2. Bằng vòi phun nhiên liệu (By injector)(1)
2.3.2.2.1. Bơm nhiên liệu (Pump)
2.3.2.2.1.1. Tên thương mại/ Nhãn hiệu (Make/Mark): …………………………………………..
2.3.2.2.1.2. Kiểu (Type): ……………………………………………………………………………...
2.3.2.2.1.3. Lượng cung cấp trên một hành trình (Delivery per stroke)(3)(4): ………. mm3 tại (at) tốc độ bơm (pump speed) ……… r/min.
hoặc đường đặc tính (or characteristic diagram)(3)(4): ………………………………………………
2.3.2.2.2. Vòi phun (lnjector(s))
2.3.2.2.2.1. Tên thương mại/ Nhãn hiệu (Make/Mark): …………………………………………….
2.3.2.2.2.2. Kiểu (Type): ……………………………………………………………………………….
2.3.2.2.2.3. Áp suất hiệu chuẩn (Calibration pressure)(3)(4): ………………………………….. bar
hoặc đường đặc tính (or characteristic diagram)(3)(4):
2.4. Thời gian đóng mở van (xúp páp) (Valve timing)(4)
2.4.1. Đối với hệ thống đóng mở bằng van (Distribution by valves)
2.4.1.1. Thời gian đóng mở van cơ khí (Timing for mechanically operated valves):
2.4.1.1.1. Chiều cao nâng lớn nhất của van và các góc đóng và mở van tính theo điểm chết (Maximum lift of valves and angles of opening and closing in relation to dead centres): …….
……………………………………………………………………………………………………………
2.4.1.1.2. Thông số chuẩn và/ hoặc khe hở chỉnh đặt (Reference and/ or setting clearance)(1): …………………………………………………………………………………………………………….
2.4.2. Đối với hệ thống đóng mở bằng cửa (Distribution by ports)
2.4.2.1. Thể tích khoang các te khi pit tông ở điểm chết trên (Volume of crank-case cavity with piston at TDC): …………………………………………….
2.4.2.2. Mô tả các van lưỡi gà, nếu có (bằng bản vẽ có ghi kích thước) (Description of reed valves if any (with dimensioned drawing)): ………………………………………….
2.4.2.3. Mô tả (bằng bản vẽ có ghi kích thước) cửa vào, cửa quét và cửa xả, có biểu đồ thời gian đóng mở tương ứng. Các bản vẽ gồm có cả một bản thể hiện bề mặt bên trong của xy lanh (Description (with dimensioned drawing) of inlet ports, scavenging and exhaust, with corresponding timing diagram): ……………………………………………………………………
2.5. Hệ thống đánh lửa (Ignition)
2.5.1. Bộ chia điện (Distributor(s))
2.5.1.1. Tên thương mại/ Nhãn hiệu (Make/ Mark): ………………………………………………
2.5.1.2. Kiểu (Type): ………………………………………………………………………………….
2.5.1.3. Đường đặc tính đánh lửa sớm (Ignition advance curve)(3)(4): …………………………….
2.5.1.4. Thời điểm đánh lửa (Ignition timing)(3)(4): …………………………………………………
2.5.1.5. Khe hở tiếp điểm (Contact-point gap)(3)(4): ……………………………………………….
2.6. Hệ thống khí thải: mô tả và bản vẽ (Exhaust system: Description and diagrams)(4):
2.7. Thông tin bổ sung về điều kiện thử (Additional information on test conditions)
2.7.1. Nhiên liệu sử dụng (Fuel used): ……………………………………………………………..
2.7.2. Dầu bôi trơn sử dụng (Lubricant used)
2.7.2.1. Tên thương mại/ Nhãn hiệu (Make/Mark): ………………………………………………..
2.7.2.2. Loại dầu bôi trơn (Type): ……………………………………………………………………
Nếu dầu bôi trơn và nhiên liệu trộn với nhau, tỉ lệ % dầu trong hỗn hợp dầu và nhiên liệu.
(State percentage of oil in mixture if lubricant and fuel mixed) ……………………………………
2.7.3. Bu gi đánh lửa (Sparking plugs): …………………………………………………………….
2.7.3.1. Tên thương mại/ Nhãn hiệu (Make/ Mark): ………………………………………………..
2.7.3.2. Kiểu (Type): ……………………………………………..……………………………………
2.7.3.3. Thông số chỉnh đặt khe hở bu gi (Spark-gap setting): …………………………………..
2.7.4. Cuộn dây đánh lửa (Ignition coil)
2.7.4.1. Tên thương mại/ Nhãn hiệu (Make/ Mark): ………………………………………………..
2.7.4.2. Kiểu (Type): ……………………………………………………………………………………
2.7.5. Tụ điện đánh lửa (Ignition condenser)(4)
2.7.5.1. Tên thương mại/ Nhãn hiệu (Make/ Mark): ………………………………………………..
2.7.5.2. Kiểu (Type): ………………………………………………..…………………………………..
2.7.6. Hệ thống đánh lửa: Mô tả các thông số chỉnh đặt và các yêu cầu liên quan theo quy định của cơ sở SXLR (Spark system: Description of setting and relevant requirements prescribed by the manufacturer(4): ……………………………………………………………………
2.7.7. Hàm lượng CO trong khí thải của động cơ ở tốc độ không tải nhỏ nhất (theo tiêu chuẩn của cơ sở SXLR) (Carbon monoxide content by volume in the exhaust gas, with the engine idling per cent (manufacturer standard)(4): ………… % tại (at) ………….r/min(1)
2.8. Đặc tính động cơ (Engine Performance)
2.8.1. Tốc độ không tải nhỏ nhất (Minimum idling speed): ……………………………. r/min(3)(1)
2.8.2. Tốc độ tại công suất lớn nhất (Engine speed at maximum power): …….r/min(3)(1)(4)
2.8.3. Công suất lớn nhất (Maximum power)(4): ………………………………….. kW
Chúng tôi cam kết bản đăng ký này phù hợp với kiểu loại xe đã đăng ký kiểm tra và chịu trách nhiệm hoàn toàn về các vấn đề phát sinh do khai sai hoặc khai không đủ nội dung trong bản đăng ký này (We undertake that this declaration complies with the vehicle type applying for approval/ inspection and we are fully responsible for problems caused by the wrong contents or not enough content of the declaration).
|
|
Ngày ….. tháng ….. năm (Date) |
Chú thích mục 2:
(1) Bỏ phần không áp dụng (Strike out what does not apply)
(2) Tỉ số nén d = (thể tích buồng cháy + dung tích xy lanh)/(thể tích buồng cháy) (compression ratio d = (volume of combustion chamber + cylinder capacity)/(volume of combustion chamber))
(3) Kèm theo quy định dung sai (Specify the tolerance)
(4) Không áp dụng cho xe nhập khẩu (Not apply for imported motorcycle).
(5) Chỉ áp dụng cho phép thử bay hơi nhiên liệu (Only apply for evaporative emissions test).
PHỤ LỤC 2
(Annex 2)
Báo cáo thử nghiệm khí thải xe mô tô hai bánh
(Test report of emission from two-wheeled motorcycle)
1. Xe (Two-wheeled motorcycle)
. 11. Nhãn hiệu xe (Make/mark): …………………………………………………………………….
1.2. Kiểu loại xe (Số loại) (Vehicle Type): ……………………………………………………………
1.3. Tên và địa chỉ cơ sở sản xuất, lắp ráp/ tổ chức/ cá nhân nhập khẩu(1) (Manufacturer's/ Importer's name and address): ………………………………………………………………………
1.4. Khối lượng bản thân xe (Unladen mass of vehicle): ………………………………………. kg
1.5. Khối lượng chuẩn của xe (Reference mass of vehicle): ………………………………... kg
1.6. Khối lượng lớn nhất của xe (Maximum mass of vehicle): ………………………………. kg
1.7. Hộp số (Gear-box)
1.7.1. Điều khiển (Control): Cơ khí/ Tự động (Manual/ Automatic)(1)
1.7.2. Số lượng tỷ số truyền (Number of gear ratios)(2): …………………………………………..
1.7.3. Tỷ số truyền của hộp số (Gear ratio)(3):
Số 1 (First gear): ……………………………………………………………………………………….
Số 2 (Second gear): …………………………………………………………………………………..
Số 3 (Third gear): ………………………………………………………………………………………
……………………………………………………………………………………………………………
1.8. Tỉ số truyền cuối cùng (Final drive ratio): ………………………………………………………
1.9. Ký hiệu kích cỡ lốp (Dimensions of tires): ……………………………………………………..
1.10. Vận tốc thiết kế lớn nhất do cơ sở SXLR quy định (Maximum design speed specified by the manufacturer): …………………………………………………………………………….. (km/h).
2. Động cơ (Engine)
2.1. Tên thương mại/ Nhãn hiệu (Make/ Mark): ……………………………………………………
2.2. Kiểu loại động cơ (Số loại) (Type): …………………………………………………………….
2.3. Số kỳ (Cycle): 4 kỳ/ 2 kỳ (Four-stroke/two-stroke)(1)
2.4. Dung tích xy lanh (Cylinder capacity): ……………………………………………………. cm3
2.5. Số lượng và bố trí các xy lanh (Number and arrangement of cylinders): ………………..
2.6. Thiết bị chống ô nhiễm bổ sung (nếu có) (Additional anti-pollution devices (if any):
- Kiểu thiết bị: Tuần hoàn khí thải/ biến đổi xúc tác/ kiểu khác (Exhaust gas recirculation/ Catalystic converter/ Others): ……………………………………………………………………….
- Mô tả vị trí lắp đặt thiết bị (Description of instalation position): …………………………………
2.7. Hệ thống cung cấp nhiên liệu (Air lntake and Fuel feed systems)
2.7.1. Bằng bộ chế hòa khí (By carburetor(s)(1)
- Tên thương mại/ Nhãn hiệu (Make/Mark): ………………………………………………………..
- Kiểu (Type): …………………………………………………………………………………………..
2.7.2. Bằng hệ thống phun nhiên liệu (By injection)(1)
- Tên thương mại/ Nhãn hiệu (Make/ Mark): ……………………………………………………….
- Kiểu (Type): …………………………………………………………………………………………..
2.8. Nhiên liệu thử nghiệm, bao gồm nhãn hiệu và đặc tính nhiên liệu (Testing fuel including mark and specifications for fuel): …………………………………………………………………….
2.9. Tốc độ không tải nhỏ nhất (Minimum idling speed): …………………………………. r/min(1).
2.10. Tốc độ tại công suất lớn nhất (Engine speed at maximum power): ……………… r/min(1).
2.11. Công suất lớn nhất (Maximum power): ………………………………………………….. kW.
3. Kiểm tra khí thải (Emission test)
3.1. Quy chuẩn áp dụng (Applied regulation): QCVN 77:2014/BGTVT (TCVN 7357/ TCVN 9726(1)).
3.2. Kết quả kiểm tra (Test results)
3.2.1. Phép thử loại I (Type I test)
|
Khí thải |
Giá trị giới hạn |
Kết quả (Results) |
Kết luận |
|||
|
Lần 1 |
Lần 2 |
Lần 3 |
Trung bình |
|||
|
CO (g/km) |
|
|
|
|
|
Đạt/Không đạt (Pass/Failure)(1) |
|
HC (g/km) |
|
|
|
|
|
Đạt/Không đạt (Pass/Failure)(1) |
|
NOx (g/km) |
|
|
|
|
|
Đạt/Không đạt (Pass/Failure)(1) |
3.2.2. Phép thử loại II (Type II Test)
Tốc độ không tải thường (Normal idle speed):
CO: …………………………………………………………. (% in volume)
CO2: …………………………………………………………. (% in volume)(4)
Nhiệt độ dầu bôi trơn (Temperature of engine oil): ……………….. (0C)(4)
Tốc độ động cơ khi đo (Engine speed when measuring) …….. r/min
Tốc độ không tải cao: (High idle speed)
CO: …………………………………………………………. (% in volume)
CO2: …………………………………………………………. (% in volume)(4)
Nhiệt độ dầu bôi trơn (Temperature of engine oil): ……………….. (0C)(4)
Tốc độ động cơ khi đo (Engine speed when measuring) …….. r/min
3.2.3. Phép thử bay hơi nhiên liệu (Evaporative fuel test)(5)
|
Phép đo (Test) |
Phương pháp thử |
Giá trị giới hạn |
Kết luận |
|
|
Buồng kín (SHED) |
Bẫy hộp các bon (Carbon canister trap) |
|||
|
Bay hơi từ thùng nhiên liệu (g/lần thử) (Tank breath loss (g/test)) |
|
|
- |
|
|
Bay hơi do xe ngấm nóng (g/lần thử) (Hot soak loss (g/test)) |
|
|
- |
|
|
Tổng lượng nhiên liệu bay hơi (g/lần thử) (Total loss of evaporative fuel (g/test)) |
|
|
2 |
Đạt/Không |
4. Chú ý (Remark):
……………………………………………………………………………………………………………
……………………………………………………………………………………………………………
|
|
Ngày ….. tháng ….. năm ….. (Date) |
Chú thích:
(1) Bỏ phần không áp dụng (Strike out what does not apply).
(2) Chỉ áp dụng cho hộp số điều khiển cơ khí (Only apply for manual gear-box).
(3) Đối với xe lắp hộp số tự động, phải cung cấp các thông số kỹ thuật tương ứng (In the case of vehicles equipped with automatic-shift gear-boxes, give all pertinent technical data).
(4) Trường hợp áp dụng theo TCVN 9726 (In case applying TCVN 9726).
(5) Trường hợp không áp dụng thì xóa nội dung này hoặc ghi rõ là “Không áp dụng” (lf apply other equivalent test method, then indicate clearly in below column).
PHỤ LỤC 3
Sơ đồ quy trình xác định số lần đo khí thải trong phép thử loại I

PHỤ LỤC 4
Yêu cầu đối với nhiên liệu chuẩn
Yêu cầu kỹ thuật của nhiên liệu chuẩn được sử dụng để thử các loại xe lắp động cơ cháy cưỡng bức (TCVN 7357:2010/ TCVN 9726:2013)
Loại: Xăng không chì
|
Chỉ tiêu |
Đơn vị |
Giới hạn (1) |
|
|
|
Nhỏ nhất |
Lớn nhất |
Phương pháp thử |
||
|
Chỉ số ốc tan nghiên cứu, RON |
- |
95,0 |
- |
EN 25164 |
|
Chỉ số ốc tan động cơ, MON |
- |
85,0 |
- |
EN 25163 |
|
Tỉ trọng ở 15°C |
kg/m3 |
748 |
762 |
ISO 3675 |
|
Áp suất hơi Reid |
kPa |
56,0 |
60,0 |
EN 12 |
|
Chưng cất: |
|
|
|
EN-ISO 3405 |
|
Điểm sôi đầu |
°C |
24 |
40 |
|
|
Bay hơi ở 100°C |
% thể tích |
49,0 |
57,0 |
|
|
Bay hơi ở 150°C |
% thể tích |
81,0 |
87,0 |
|
|
Điểm sôi cuối |
°C |
190 |
215 |
|
|
Cặn |
% thể tích |
- |
2 |
EN-ISO 3405 |
|
Phân tích Hydrocacbon: |
|
|
|
|
|
- Olefin |
% thể tích |
- |
10 |
ASTM D 1319 |
|
- Chất thơm |
% thể tích |
28,0 |
40,0 |
|
|
- Benzen |
% thể tích |
- |
1,0 |
Pr. EN 12177 |
|
- Chất bão hòa |
% thể tích |
- |
cân bằng |
ASTM D 1319 |
|
Tỷ lệ Cacbon/ Hydro |
- |
báo cáo |
báo cáo |
|
|
Độ bền ô xi hóa (2) |
phút |
480 |
- |
EN-ISO 7536 |
|
Hàm lượng ô xy |
% khối lượng |
- |
2,3 |
EN 1601 |
|
Keo |
mg/ml |
- |
0,04 |
EN-ISO 6246 |
|
Hàm lượng lưu huỳnh(3) |
mg/kg |
- |
100 |
Pr. EN ISO/DIS 14596 |
|
Ăn mòn đồng tại 50°C |
|
- |
1 |
EN-ISO 2160 |
|
Hàm lượng chì |
g/l |
- |
0,005 |
EN 237 |
|
Hàm lượng phốt pho |
g/l |
- |
0,0013 |
ASTM D 3231 |
(1) Các giá trị được nêu trong yêu cầu kỹ thuật là "Các giá trị thực". Việc thiết lập các giá trị giới hạn của chúng đã áp dụng các thuật ngữ của ISO 4529 "Sản phẩm dầu mỏ - Xác định và áp dụng dữ liệu chính xác liên quan đến phương pháp thử" và trong việc cố định một giá trị nhỏ nhất, đã tính đến một sai khác nhỏ nhất bằng 2R ở trên điểm 0; trong việc cố định một giá trị lớn nhất và nhỏ nhất, sai khác nhỏ nhất là 4R (R- khả năng tái tạo).
Mặc dù có biện pháp này, cần thiết vì những lý do kỹ thuật, nhà sản xuất nhiên liệu vẫn hướng đến một giá trị 0 mà ở đó trị số lớn nhất được quy định là 2R và hướng đến giá trị trung bình trong trường hợp trích dẫn các giới hạn nhỏ nhất và lớn nhất. Cần thiết làm sáng tỏ câu hỏi là liệu nhiên liệu có đáp ứng được yêu cầu của quy định không, cần áp dụng các thuật ngữ của ISO 4529.
(2) Nhiên liệu có thể chứa các chất hãm ôxy hóa và các chất khử hoạt tính kim loại thường được sử dụng để làm ổn định các luồng hơi xăng lọc, nhưng không được thêm vào các phụ gia dạng bột phân tán và dầu kết tủa.
(3) Hàm lượng lưu hùynh thực của nhiên liệu để thử kiểu loại I phải được báo cáo.
Bạn chưa Đăng nhập thành viên.
Đây là tiện ích dành cho tài khoản thành viên. Vui lòng Đăng nhập để xem chi tiết. Nếu chưa có tài khoản, vui lòng Đăng ký tại đây!
Bạn chưa Đăng nhập thành viên.
Đây là tiện ích dành cho tài khoản thành viên. Vui lòng Đăng nhập để xem chi tiết. Nếu chưa có tài khoản, vui lòng Đăng ký tại đây!