- Tổng quan
- Nội dung
- VB gốc
- Tiếng Anh
- Hiệu lực
- VB liên quan
- Lược đồ
-
Nội dung hợp nhất
Tính năng này chỉ có tại LuatVietnam.vn. Nội dung hợp nhất tổng hợp lại tất cả các quy định còn hiệu lực của văn bản gốc và các văn bản sửa đổi, bổ sung, đính chính... trên một trang. Việc hợp nhất văn bản gốc và những văn bản, Thông tư, Nghị định hướng dẫn khác không làm thay đổi thứ tự điều khoản, nội dung.
Khách hàng chỉ cần xem Nội dung hợp nhất là có thể nắm bắt toàn bộ quy định hiện hành đang áp dụng, cho dù văn bản gốc đã qua nhiều lần chỉnh sửa, bổ sung.
- Tải về
Văn bản hợp nhất 04/VBHN-BCT 2023 quy định hệ thống điện truyền tải
| Số hiệu: | 04/VBHN-BCT | Ngày ký xác thực: | 06/01/2023 |
| Loại văn bản: | Văn bản hợp nhất | Cơ quan hợp nhất: | Bộ Công Thương |
|
Ngày đăng công báo:
|
Đang cập nhật |
Người ký:
|
Đặng Hoàng An |
|
Số công báo:
Số công báo là mã số ấn phẩm được đăng chính thức trên ấn phẩm thông tin của Nhà nước. Mã số này do Chính phủ thống nhất quản lý.
|
Đang cập nhật |
Ngày hết hiệu lực:
Ngày hết hiệu lực là ngày, tháng, năm văn bản chính thức không còn hiệu lực (áp dụng).
|
Đang cập nhật |
TÓM TẮT VĂN BẢN HỢP NHẤT 04/VBHN-BCT
Nội dung tóm tắt đang được cập nhật, Quý khách vui lòng quay lại sau!
Tải văn bản hợp nhất 04/VBHN-BCT
|
| CỘNG HÒA XÃ HỘI CHỦ NGHĨA VIỆT NAM |
THÔNG TƯ
Quy định hệ thống điện truyền tải
____________
Thông tư số 25/2016/TT-BCT ngày 30 tháng 11 năm 2016 của Bộ trưởng Bộ Công Thương quy định hệ thống điện truyền tải, có hiệu lực kể từ ngày 16 tháng 01 năm 2017, được sửa đổi, bổ sung bởi:
1. Thông tư số 30/2019/TT-BCT ngày 18 tháng 11 năm 2019 của Bộ trưởng Bộ Công Thương sửa đổi, bổ sung một số điều của Thông tư số 25/2016/TT-BCT ngày 30 tháng 11 năm 2016 của Bộ trưởng Bộ Công Thương quy định hệ thống điện truyền tải và Thông tư số 39/2015/TT-BCT ngày 18 tháng 11 năm 2015 của Bộ trưởng Bộ Công Thương quy định hệ thống điện phân phối, có hiệu lực kể từ ngày 03 tháng 01 năm 2020;
2. Thông tư số 39/2022/TT-BCT ngày 30 tháng 12 năm 2022 của Bộ trưởng Bộ Công Thương sửa đổi, bổ sung một số điều của Thông tư số 25/2016/TT-BCT ngày 30 tháng 11 năm 2016 của Bộ trưởng Bộ Công Thương quy định hệ thống điện truyền tải, Thông tư số 39/2015/TT-BCT ngày 18 tháng 11 năm 2015 của Bộ trưởng Bộ Công Thương quy định hệ thống điện phân phối và Thông tư số 30/2019/TT-BCT ngày 18 tháng 11 năm 2019 sửa đổi, bổ sung một số điều Thông tư số 25/2016/TT-BCT ngày 30 tháng 11 năm 2016 của Bộ trưởng Bộ Công Thương quy định hệ thống điện truyền tải và Thông tư số 39/2015/TT-BCT ngày 18 tháng 11 năm 2015 của Bộ trưởng Bộ Công Thương quy định hệ thống điện phân phối, có hiệu lực kể từ ngày 16 tháng 02 năm 2023.
Căn cứ Nghị định số 95/2012/NĐ-CP ngày 12 tháng 11 năm 2012 của Chính phủ quy định chức năng, nhiệm vụ, quyền hạn và cơ cấu tổ chức của Bộ Công Thương;
Căn cứ Luật Điện lực ngày 03 tháng 12 năm 2004 và Luật sửa đổi, bổ sung một số điều của Luật Điện lực ngày 20 tháng 11 năm 2012;
Căn cứ Nghị định số 137/2013/NĐ-CP ngày 21 tháng 10 năm 2013 của Chính phủ quy định chi tiết thi hành một số điều của Luật Điện lực và Luật sửa đổi, bổ sung một số điều của Luật Điện lực;
Theo đề nghị của Cục trưởng Cục Điều tiết điện lực,
Bộ trưởng Bộ Công Thương ban hành Thông tư quy định hệ thống điện truyền tải.[1]
Chương I. QUY ĐỊNH CHUNG
Điều 1. Phạm vi điều chỉnh
Thông tư này quy định về:
1. Các yêu cầu trong vận hành hệ thống điện truyền tải.
2. Dự báo nhu cầu phụ tải điện.
3. Lập kế hoạch phát triển lưới điện truyền tải.
4. Điều kiện, yêu cầu kỹ thuật và trình tự đấu nối vào lưới điện truyền tải.
5. Đánh giá an ninh hệ thống điện.
6. Vận hành hệ thống điện truyền tải.
Điều 2. Đối tượng áp dụng
1. Thông tư này áp dụng cho các đối tượng sau đây:
a) Đơn vị truyền tải điện;
b) Đơn vị vận hành hệ thống điện và thị trường điện;
c) Đơn vị bán buôn điện;
d) Đơn vị phân phối điện;
đ) Đơn vị phân phối và bán lẻ điện;
e) Đơn vị phát điện;
g) Khách hàng sử dụng điện nhận điện trực tiếp từ lưới điện truyền tải;
h) Tập đoàn Điện lực Việt Nam;
i) Tổ chức, cá nhân khác có liên quan.
2. Tổ máy phát điện của nhà máy điện có tổng công suất lắp đặt lớn hơn 30 MW đấu nối vào lưới điện phân phối phải đáp ứng các yêu cầu kỹ thuật đối với thiết bị đấu nối vào lưới điện truyền tải và các yêu cầu khác có liên quan quy định tại Thông tư này.
Điều 3. Giải thích từ ngữ
Trong Thông tư này, những thuật ngữ dưới đây được hiểu như sau:
1. AGC (viết tắt theo tiếng Anh: Automatic Generation Control) là hệ thống thiết bị tự động điều chỉnh tăng giảm công suất tác dụng của tổ máy phát điện nhằm duy trì tần số của hệ thống điện ổn định trong phạm vi cho phép theo nguyên tắc vận hành kinh tế tổ máy phát điện.
2. An ninh hệ thống điện là khả năng nguồn điện đảm bảo cung cấp điện đáp ứng nhu cầu phụ tải điện tại một thời điểm hoặc một khoảng thời gian xác định có xét đến các ràng buộc trong hệ thống điện.
3. AVR (viết tắt theo tiếng Anh: Automatic Voltage Regulator) là hệ thống tự động điều khiển điện áp đầu cực máy phát điện thông qua tác động vào hệ thống kích từ của máy phát điện để đảm bảo điện áp tại đầu cực máy phát trong giới hạn cho phép.
4. Cấp điện áp là một trong những giá trị của điện áp danh định được sử dụng trong hệ thống điện, bao gồm:
a) Hạ áp là cấp điện áp danh định đến 01 kV;
b) Trung áp là cấp điện áp danh định trên 01 kV đến 35 kV;
c) Cao áp là cấp điện áp danh định trên 35 kV đến 220 kV;
d) Siêu cao áp là cấp điện áp danh định trên 220 kV.
5. Cấp điều độ có quyền điều khiển là cấp điều độ có quyền chỉ huy, điều độ hệ thống điện theo phân cấp điều độ tại Quy trình điều độ hệ thống điện quốc gia do Bộ Công Thương ban hành.
5a. [2] Công suất định mức của nhà máy điện là tổng công suất định mức của các tổ máy trong nhà máy điện ở chế độ vận hành ổn định, bình thường và được nhà sản xuất công bố theo thiết kế của tổ máy. Đối với nhà máy điện mặt trời, công suất định mức của nhà máy điện mặt trời là công suất điện xoay chiều tối đa có thể phát được của nhà máy được tính toán và công bố, phù hợp với công suất điện một chiều của nhà máy điện mặt trời theo quy hoạch.
6. Công suất khả dụng của tổ máy phát điện là công suất phát thực tế cực đại của tổ máy phát điện có thể phát ổn định, liên tục trong một khoảng thời gian xác định.
6a.[3] DIM (viết tắt theo tiếng Anh: Dispatch Instruction Management) là hệ thống quản lý thông tin lệnh điều độ giữa cấp điều độ có quyền điều khiển với nhà máy điện hoặc Trung tâm Điều khiển các nhà máy điện.
7. Dải chết của hệ thống điều tốc là dải tần số mà khi tần số hệ thống điện thay đổi trong phạm vi đó thì hệ thống điều tốc của tổ máy phát điện không có phản ứng hoặc tác động để tham gia điều chỉnh tần số sơ cấp.
8. [4] (được bãi bỏ)
9. [5] (được bãi bỏ)
10. [6] Điều khiển tần số trong hệ thống điện (sau đây viết tắt là điều khiển tần số) là quá trình điều khiển trong hệ thống điện để duy trì sự vận hành ổn định của hệ thống điện, bao gồm điều khiển tần số sơ cấp, điều khiển tần số thứ cấp và điều khiển tần số cấp 3:
a) Điều khiển tần số sơ cấp là quá trình điều khiển tức thời tần số hệ thống điện được thực hiện tự động bởi số lượng lớn các tổ máy phát điện có trang bị hệ thống điều tốc;
b) Điều khiển tần số thứ cấp là quá trình điều khiển tiếp theo của điều khiển tần số sơ cấp được thực hiện thông qua tác động của hệ thống AGC nhằm đưa tần số về dải làm việc lâu dài cho phép;
c) Điều khiển tần số cấp 3 là quá trình điều khiển tiếp theo của điều khiển tần số thứ cấp được thực hiện bằng lệnh điều độ để đưa tần số hệ thống điện vận hành ổn định theo quy định hiện hành và đảm bảo phân bổ kinh tế công suất phát các tổ máy phát điện.
11. Điều độ hệ thống điện là hoạt động chỉ huy, điều khiển quá trình phát điện, truyền tải điện, phân phối điện trong hệ thống điện quốc gia theo quy trình, quy chuẩn kỹ thuật và phương thức vận hành đã được xác định.
12. Đơn vị bán buôn điện là đơn vị điện lực được cấp giấy phép hoạt động điện lực trong lĩnh vực bán buôn điện. Theo từng cấp độ của thị trường điện lực cạnh tranh, Đơn vị bán buôn điện là một trong các đơn vị sau:
a) Công ty Mua bán điện;
b) Tổng công ty Điện lực;
c) Đơn vị bán buôn điện khác được thành lập theo từng cấp độ của thị trường điện cạnh tranh.
13. Đơn vị phát điện là đơn vị điện lực được cấp giấy phép hoạt động điện lực trong lĩnh vực phát điện, sở hữu một hoặc nhiều nhà máy điện đấu nối với lưới điện truyền tải hoặc nhà máy điện có công suất đặt trên 30 MW đấu nối vào lưới điện phân phối.
14. Đơn vị phân phối điện là đơn vị điện lực được cấp giấy phép hoạt động điện lực trong lĩnh vực phân phối và bán điện, bao gồm:
a) Tổng công ty Điện lực;
b) Công ty Điện lực tỉnh, thành phố trực thuộc Trung ương (sau đây viết tắt là Công ty Điện lực tỉnh) trực thuộc Tổng công ty Điện lực.
15. Đơn vị phân phối và bán lẻ điện là đơn vị điện lực được cấp giấy phép hoạt động điện lực trong lĩnh vực truyền tải điện.
16. [7] Đơn vị truyền tải điện là đơn vị điện lực được cấp phép hoạt động điện lực trong lĩnh vực truyền tải điện.
17. Đơn vị vận hành hệ thống điện và thị trường điện (Trung tâm Điều độ hệ thống điện quốc gia) là đơn vị chỉ huy, điều khiển quá trình phát điện, truyền tải điện, phân phối điện trong hệ thống điện quốc gia và điều hành giao dịch trên thị trường điện.
18. Độ tin cậy của hệ thống bảo vệ bao gồm:
a) Độ tin cậy tác động của hệ thống bảo vệ là chỉ số xác định khả năng hệ thống bảo vệ làm việc đúng khi có sự cố xảy ra trong phạm vi bảo vệ đã được tính toán và xác định;
b) Độ tin cậy không tác động của hệ thống bảo vệ là chỉ số xác định khả năng hệ thống bảo vệ tránh làm việc nhầm ở chế độ vận hành bình thường hoặc sự cố xảy ra ngoài phạm vi bảo vệ đã được tính toán và xác định.
19. Hệ thống điều tốc (viết tắt theo tiếng Anh: Governor) là hệ thống tự động điều chỉnh tốc độ quay của tuabin tổ máy phát điện theo sự biến đổi tần số góp phần khôi phục tần số về tần số danh định của hệ thống điện.
20. Hệ thống quản lý năng lượng EMS (viết tắt theo tiếng Anh: Energy Management System) là hệ thống phần mềm quản lý năng lượng để vận hành tối ưu hệ thống điện.
21. Hệ thống điều khiển phân tán DCS (viết tắt theo tiếng Anh: Distributed Control System) là hệ thống các thiết bị điều khiển trong nhà máy điện hoặc trạm điện được kết nối mạng theo nguyên tắc điều khiển phân tán để tăng độ tin cậy và hạn chế các ảnh hưởng do sự cố phần tử điều khiển trong nhà máy điện hoặc trạm điện.
22. Hệ thống điện là hệ thống các trang thiết bị phát điện, lưới điện và các trang thiết bị phụ trợ được liên kết với nhau.
23. Hệ thống điện quốc gia là hệ thống điện được chỉ huy thống nhất trong phạm vi cả nước.
24. Hệ thống điện truyền tải là hệ thống điện bao gồm lưới điện truyền tải và các nhà máy điện đấu nối vào lưới điện truyền tải.
25. Hệ thống SCADA (viết tắt theo tiếng Anh: Supervisory Control And Data Acquisition) là hệ thống thu thập số liệu để phục vụ việc giám sát, điều khiển và vận hành hệ thống điện.
26. Hệ số chạm đất là tỷ số giữa giá trị điện áp của pha không bị sự cố sau khi xảy ra ngắn mạch chạm đất với giá trị điện áp của pha đó trước khi xảy ra ngắn mạch chạm đất (áp dụng cho trường hợp ngắn mạch một pha hoặc ngắn mạch hai pha chạm đất).
27. Hòa đồng bộ là thao tác nối tổ máy phát điện vào hệ thống điện hoặc nối hai phần của hệ thống điện với nhau theo điều kiện hòa đồng bộ quy định tại Quy trình thao tác trong hệ thống điện quốc gia do Bộ Công Thương ban hành.
28. Khả năng khởi động đen là khả năng của một nhà máy điện có thể khởi động ít nhất một tổ máy phát điện từ trạng thái dừng hoàn toàn và hoà đồng bộ vào lưới điện mà không cần nhận điện từ lưới điện khu vực.
29. Khởi động đen là quá trình khôi phục lại toàn bộ (hoặc một phần) hệ thống điện từ trạng thái mất điện toàn bộ (hoặc một phần) bằng cách sử dụng các tổ máy phát điện có khả năng khởi động đen.
30. Khách hàng sử dụng lưới điện truyền tải là tổ chức, cá nhân có trang thiết bị điện, lưới điện đấu nối vào lưới điện truyền tải để sử dụng dịch vụ truyền tải điện, bao gồm:
a) Đơn vị phát điện;
b) Đơn vị phân phối điện nhận điện trực tiếp từ lưới điện truyền tải;
c) Đơn vị phân phối và bán lẻ điện nhận điện trực tiếp từ lưới điện truyền tải;
d) Khách hàng sử dụng điện nhận điện trực tiếp từ lưới điện truyền tải.
31. Lệnh điều độ là lệnh chỉ huy, điều khiển chế độ vận hành hệ thống điện trong thời gian thực.
32. Lưới điện là hệ thống đường dây tải điện, trạm điện và trang thiết bị phụ trợ để truyền dẫn điện.
33. Lưới điện phân phối là phần lưới điện bao gồm các đường dây và trạm điện có cấp điện áp đến 110 kV.
34. Lưới điện truyền tải là phần lưới điện bao gồm các đường dây và trạm điện có cấp điện áp trên 110 kV.
35. [8] Mức nhấp nháy điện áp ngắn hạn (Pst) và mức nhấp nháy điện áp dài hạn (Plt) là giá trị đo theo tiêu chuẩn quốc gia hiện hành. Trường hợp giá trị đo Pst và Plt chưa có trong tiêu chuẩn quốc gia, đo theo Tiêu chuẩn IEC hiện hành do Ủy ban Kỹ thuật điện quốc tế công bố.
36. [9] (được bãi bỏ)
37. Năm N là năm hiện tại vận hành hệ thống điện, được tính theo năm dương lịch.
38. Ngày điển hình là ngày được chọn có chế độ tiêu thụ điện điển hình của phụ tải điện theo Quy định nội dung, phương pháp, trình tự và thủ tục nghiên cứu phụ tải điện do Bộ Công Thương ban hành. Ngày điển hình bao gồm ngày điển hình của ngày làm việc, ngày cuối tuần (thứ Bẩy, Chủ nhật), ngày lễ (nếu có) cho năm, tháng và tuần.
39. Ngừng, giảm cung cấp điện theo kế hoạch là việc ngừng cung cấp điện cho các khách hàng sử dụng điện để thực hiện kế hoạch bảo dưỡng, sửa chữa, đại tu, xây lắp các công trình điện; điều hòa, hạn chế phụ tải theo kế hoạch do Đơn vị vận hành hệ thống điện và thị trường điện thông báo khi thiếu điện.
40. Nhà máy nhiệt điện là nhà máy điện hoạt động theo nguyên lý biến đổi nhiệt năng thành điện năng, bao gồm cả các nhà máy điện sinh khối, khí sinh học và nhà máy điện sử dụng chất thải rắn.
41. Quy định vận hành thị trường điện cạnh tranh là quy định do Bộ Công Thương ban hành về vận hành thị trường điện cạnh tranh và trách nhiệm của các đơn vị trong thị trường điện theo từng cấp độ.
42. Sa thải phụ tải là quá trình cắt phụ tải điện ra khỏi hệ thống điện khi có sự cố hoặc không đảm bảo an ninh hệ thống điện, được thực hiện thông qua hệ thống tự động sa thải phụ tải hoặc lệnh điều độ.
43. Sự cố là sự kiện một hoặc nhiều trang thiết bị trong hệ thống điện do một hoặc nhiều nguyên nhân dẫn đến hệ thống điện hoạt động không bình thường, gây ngừng cung cấp điện hoặc ảnh hưởng đến việc đảm bảo cung cấp điện an toàn, ổn định và liên tục cho hệ thống điện quốc gia.
44. Sự cố một phần tử (sự cố đơn lẻ) là sự cố xảy ra ở một phần tử trong hệ thống điện truyền tải khi hệ thống điện đang ở chế độ vận hành bình thường.
45. Sự cố nhiều phần tử là sự cố xảy ra ở hai phần tử trở lên tại cùng một thời điểm trong hệ thống điện truyền tải.
46. Sự cố nghiêm trọng là sự cố trong hệ thống điện gây mất điện diện rộng trên lưới điện truyền tải hoặc gây cháy, nổ làm tổn hại đến người hoặc tài sản.
47. Tan rã hệ thống điện là tình huống hệ thống điện quốc gia bị chia tách thành nhiều hệ thống điện nhỏ không liên kết với nhau do sự cố.
48. Thiết bị đầu cuối RTU/Gateway (viết tắt theo tiếng Anh: Remote Terminal Unit/Gateway) là thiết bị đặt tại trạm điện hoặc nhà máy điện phục vụ việc thu thập và truyền dữ liệu về hệ thống SCADA của Trung tâm điều độ hệ thống điện hoặc Trung tâm điều khiển.
49. [10] Thiết bị ổn định hệ thống điện PSS (viết tắt theo tiếng Anh: Power System Stabilizer) là thiết bị đưa tín hiệu bổ sung tác động vào bộ tự động điều chỉnh điện áp (AVR) để làm suy giảm mức dao động công suất trong hệ thống điện.
50. Thời gian khởi động là khoảng thời gian tối thiểu để khởi động một tổ máy phát điện tính từ khi Đơn vị phát điện nhận được lệnh khởi động từ Đơn vị vận hành hệ thống điện và thị trường điện đến khi tổ máy phát điện được hoà đồng bộ vào hệ thống điện quốc gia.
51. Tiêu chí N-1 là một tiêu chí phục vụ quy hoạch, thiết kế, đầu tư xây dựng và vận hành hệ thống điện đảm bảo khi có sự cố một phần tử xảy ra trong hệ thống điện hoặc khi một phần tử tách khỏi vận hành để bảo dưỡng, sửa chữa thì hệ thống điện vẫn vận hành ổn định, đáp ứng các tiêu chuẩn vận hành, giới hạn vận hành cho phép và cung cấp điện an toàn, liên tục.
52. Tiêu chuẩn IEC là tiêu chuẩn về kỹ thuật điện do Ủy ban Kỹ thuật điện quốc tế IEC (International Electrotechnical Commission) ban hành.
53. [11] Sa thải phụ tải tự động là tác động cắt tải tự động của rơ le theo tín hiệu tần số, điện áp, mức công suất truyền tải của hệ thống điện khi tần số, điện áp, mức công suất truyền tải ra ngoài ngưỡng cho phép theo tính toán của Đơn vị vận hành hệ thống điện và thị trường điện.
54. Trạm điện là trạm biến áp, trạm cắt hoặc trạm bù.
55. Trung tâm điều khiển là trung tâm được trang bị hệ thống cơ sở hạ tầng công nghệ thông tin, viễn thông để giám sát, điều khiển từ xa một nhóm nhà máy điện, nhóm trạm điện hoặc các thiết bị đóng cắt trên lưới điện.
56. pu là hệ đơn vị tương đối thể hiện tỷ lệ giữa giá trị thực tế so với giá trị định mức.
Chương II. YÊU CẦU TRONG VẬN HÀNH HỆ THỐNG ĐIỆN TRUYỀN TẢI
Điều 4. Tần số
1. Tần số danh định của hệ thống điện quốc gia Việt Nam là 50 Hz. Trong chế độ vận hành bình thường, tần số hệ thống điện được phép dao động trong phạm vi ± 0,2 Hz so với tần số danh định. Ở các chế độ vận hành khác của hệ thống điện, dải tần số được phép dao động và thời gian khôi phục về chế độ vận hành bình thường được quy định tại Bảng 1 như sau:
Bảng 1
Dải tần số được phép dao động và thời gian khôi phục hệ thống điện về chế độ vận hành bình thường trong các chế độ vận hành khác của hệ thống điện quốc gia
| Chế độ vận hành của hệ thống điện | Dải tần số được phép dao động | Thời gian khôi phục, tính từ thời điểm xảy ra sự cố (Áp dụng từ ngày 01 tháng 01 năm 2018) | |
|---|---|---|---|
| Trạng thái chưa ổn định (chế độ xác lập) | Khôi phục về chế độ vận hành bình thường | ||
| Sự cố đơn lẻ | 49 Hz ÷ 51 Hz | 02 phút để đưa tần số về phạm vi 49,5 Hz ÷ 50,5 Hz | 05 phút để đưa tần số về phạm vi 49,8 Hz ÷ 50,2 Hz |
| Sự cố nhiều phần tử, sự cố nghiêm trọng hoặc chế độ cực kỳ khẩn cấp | 47,5 Hz ÷ 52 Hz | 10 giây để đưa tần số về phạm vi 49 Hz ÷ 51 Hz | 10 phút để đưa tần số về phạm vi 49,8 Hz ÷ 50,2 Hz |
| 05 phút để đưa tần số về phạm vi 49,5 Hz ÷ 50,5 Hz | |||
2. Dải tần số được phép và số lần được phép tần số vượt quá giới hạn trong trường hợp sự cố nhiều phần tử, sự cố nghiêm trọng hoặc chế độ cực kỳ khẩn cấp được xác định theo chu kỳ 01 năm hoặc 02 năm được quy định tại Bảng 2 như sau:
Bảng 2
Dải tần số được phép và số lần được phép tần số vượt quá giới hạn trong trường hợp sự cố nhiều phần tử, sự cố nghiêm trọng hoặc chế độ cực kỳ khẩn cấp
| Dải tần số được phép (Hz) (“f” là tần số hệ thống điện) | Số lần được phép theo chu kỳ thời gian (tính từ thời điểm bắt đầu chu kỳ) |
|---|---|
| 52 ³ f ³ 51,25 | 07 lần trong 01 năm |
| 51,25 > f > 50,5 | 50 lần trong 01 năm |
| 49,5 > f > 48,75 | 60 lần trong 01 năm |
| 48,75 > f > 48 | 12 lần trong 01 năm |
| 48 ³ f ³ 47,5 | 01 lần trong 02 năm |
Trong đó, một lần tần số hệ thống điện vượt quá giới hạn được phép là một lần tần số hệ thống điện vượt quá giới hạn được phép trong khoảng thời gian từ 05 giây (s) trở lên.
3. Trong quá trình vận hành hệ thống điện quốc gia, Đơn vị vận hành hệ thống điện và thị trường điện có trách nhiệm điều độ, vận hành hệ thống điện quốc gia và huy động các loại hình dịch vụ phụ trợ để đảm bảo tần số nằm trong dải được phép.
Điều 5. Ổn định hệ thống điện
1. Ổn định hệ thống điện là khả năng của hệ thống điện, với điều kiện vận hành ban đầu xác định, trở lại chế độ vận hành bình thường hoặc chế độ cân bằng xác lập sau khi xảy ra một kích động vật lý trong hệ thống điện làm thay đổi các thông số vận hành của hệ thống điện. Ổn định hệ thống điện được phân loại như sau:
a) Ổn định quá độ (Transient Stability) là khả năng của các tổ máy phát điện trong hệ thống điện duy trì được trạng thái vận hành đồng bộ sau khi xảy ra các kích động lớn trong hệ thống điện;
b) Ổn định tín hiệu nhỏ (Small Signal stability) là khả năng các tổ máy phát điện trong hệ thống điện duy trì được trạng thái vận hành đồng bộ sau khi xảy ra các kích động nhỏ trong hệ thống điện, với mức độ dập tắt các dao động công suất tự nhiên trong giới hạn cho phép;
c) Ổn định điện áp động (Dynamic Voltage Stability) là khả năng của hệ thống điện duy trì điện áp xác lập tại các nút sau khi xảy ra các kích động lớn trong hệ thống điện;
d) Ổn định điện áp tĩnh (Steady State Voltage Stability) là khả năng của hệ thống điện duy trì điện áp xác lập tại các nút sau khi xảy ra các kích động nhỏ trong hệ thống điện;
đ) Ổn định tần số (Frequency Stability) là khả năng hệ thống điện duy trì được tần số xác lập sau khi xảy ra các kích động làm mất cân bằng công suất giữa nguồn điện và phụ tải điện.
2. Cộng hưởng dưới đồng bộ (cộng hưởng tần số thấp, Sub-Synchronous resonance) là hiện tượng tần số dao động riêng của hệ thống điện cộng hưởng với tần số dao động riêng của tuabin tổ máy phát điện làm tăng mô men xoắn tác động lên trục tuabin và rôto của tổ máy phát điện.
3. Hệ thống điện quốc gia đang vận hành ở chế độ bình thường hoặc sau khi sự cố đã được loại trừ phải duy trì chế độ đồng bộ và đáp ứng tiêu chuẩn về ổn định hệ thống điện được quy định tại Bảng 3 như sau:
Bảng 3
Tiêu chuẩn về ổn định hệ thống điện
| Dạng ổn định | Tiêu chuẩn ổn định |
|---|---|
| Ổn định quá độ | Góc pha của roto tổ máy phát điện không được vượt quá 120 độ. Dao động góc pha roto tổ máy phát điện phải được dập tắt trong khoảng 20 giây sau khi sự cố được loại trừ. |
| Ổn định tín hiệu nhỏ | Hệ số suy giảm của dao động (Damping Ratio) không được nhỏ hơn 5 %. |
| Ổn định điện áp động | Trong thời gian 05 giây sau khi sự cố được loại trừ, điện áp tại điểm sự cố phải được phục hồi ít nhất 75 % giá trị điện áp trước khi sự cố. |
| Ổn định điện áp tĩnh | Hệ thống điện phải có dự phòng công suất ít nhất 5% theo đặc tính P-V trong trường hợp 01 (một) phần tử bị tách ra khỏi vận hành (N-1). |
| Ổn định tần số | Hệ thống điện phải đảm bảo tiêu chuẩn về ổn định tần số đáp ứng theo quy định tại Khoản 1 Điều 4 Thông tư này. |
Điều 6. Điện áp
1. Các cấp điện áp danh định trong lưới điện truyền tải bao gồm 500 kV, 220 kV.
2. Trong điều kiện làm việc bình thường hoặc khi có sự cố đơn lẻ xảy ra trong lưới điện truyền tải, điện áp tại thanh cái cho phép vận hành trên lưới điện truyền tải được quy định tại Bảng 4 như sau:
Bảng 4
Điện áp tại thanh cái cho phép vận hành trên lưới điện truyền tải
| Cấp điện áp | Chế độ vận hành của hệ thống điện | |
|---|---|---|
| Vận hành bình thường | Sự cố đơn lẻ | |
| 500 kV | 475 ÷ 525 | 450 ÷ 550 |
| 220 kV | 209 ÷ 242 | 198 ÷ 242 |
3. Trong trường hợp hệ thống điện truyền tải bị sự cố nhiều phần tử, sự cố nghiêm trọng, trong chế độ vận hành cực kỳ khẩn cấp hoặc chế độ khôi phục hệ thống điện, cho phép mức dao động điện áp trên lưới điện truyền tải tạm thời lớn hơn ± 10 % so với điện áp danh định nhưng không được vượt quá ± 20 % so với điện áp danh định.
4. Trong thời gian sự cố, điện áp tại nơi xảy ra sự cố và vùng lân cận có thể giảm quá độ đến giá trị bằng 0 ở pha bị sự cố hoặc tăng quá 110 % điện áp danh định ở các pha không bị sự cố cho đến khi sự cố được loại trừ.
Điều 7. Cân bằng pha[12]
1. Trong chế độ vận hành bình thường, thành phần thứ tự nghịch của điện áp pha không được vượt quá 3% điện áp danh định đối với các cấp điện áp danh định trong lưới điện truyền tải.
2. Cho phép thành phần thứ tự nghịch của điện áp pha trên lưới điện truyền tải trong một số thời điểm vượt quá giá trị quy định tại Khoản 1 Điều này nhưng phải đảm bảo 95% các giá trị đo với thời gian đo ít nhất 01 tuần và tần suất lấy mẫu 10 phút/lần không được vượt quá giới hạn quy định.
Điều 8. Sóng hài
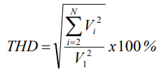
1. [13] Sóng hài điện áp
a) Tổng biến dạng sóng hài điện áp là tỷ lệ giữa giá trị hiệu dụng của sóng hài điện áp với giá trị hiệu dụng của điện áp bậc cơ bản được tính theo công thức sau:

Trong đó:
- THD: Tổng biến dạng sóng hài điện áp;
- Vi: Giá trị hiệu dụng của sóng hài điện áp bậc i và N là bậc cao nhất của sóng hài cần đánh giá;
- V1: Giá trị hiệu dụng của điện áp bậc cơ bản (tần số 50 Hz).
b) Giá trị cực đại cho phép của tổng biến dạng sóng hài điện áp do các thành phần sóng hài bậc cao gây ra đối với các cấp điện áp 220 kV và 500 kV phải nhỏ hơn hoặc bằng 3%.
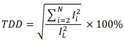
2. [14] Sóng hài dòng điện
a) Tổng biến dạng sóng hài dòng điện là tỷ lệ giữa giá trị hiệu dụng của sóng hài dòng điện với giá trị hiệu dụng của dòng điện bậc cơ bản ở chế độ phụ tải, công suất phát cực đại được tính theo công thức sau:

Trong đó:
- TDD: Tổng biến dạng sóng hài dòng điện;
- Ii: Giá trị hiệu dụng của sóng hài dòng điện bậc i và N là bậc cao nhất của sóng hài cần đánh giá;
- IL: Giá trị hiệu dụng của dòng điện bậc cơ bản (tần số 50 Hz) ở phụ tải, công suất phát cực đại (phụ tải, công suất phát cực đại là giá trị trung bình của 12 phụ tải, công suất phát cực đại tương ứng với 12 tháng trước đó, trường hợp đối với các đấu nối mới hoặc không thu thập được giá trị phụ tải, công suất phát cực đại tương ứng với 12 tháng trước đó thì sử dụng giá trị phụ tải, công suất phát cực đại trong toàn bộ thời gian thực hiện phép đo).
b) Giá trị cực đại cho phép của tổng biến dạng sóng hài dòng điện do các thành phần sóng hài bậc cao gây ra đối với các cấp điện áp 220 kV và 500 kV phải nhỏ hơn hoặc bằng 3%.
3. Trong chế độ vận hành bình thường, Đơn vị truyền tải điện có trách nhiệm đảm bảo tổng mức biến dạng do sóng hài trên lưới điện truyền tải không vượt quá các giá trị quy định Khoản 1 Điều này.
4. Khách hàng sử dụng lưới điện truyền tải có trách nhiệm đảm bảo thiết bị đấu nối với lưới điện truyền tải không phát sóng hài lên lưới điện truyền tải vượt quá giá trị quy định tại Khoản 2 Điều này.
5. Trường hợp tổng mức biến dạng sóng hài có dấu hiệu vi phạm các giá trị quy định tại Khoản 1 hoặc Khoản 2 Điều này, Khách hàng sử dụng lưới điện truyền tải hoặc Đơn vị truyền tải điện có quyền yêu cầu đơn vị còn lại kiểm tra các giá trị sóng hài hoặc thuê đơn vị thí nghiệm độc lập thực hiện. Trường hợp kết quả kiểm tra cho thấy tổng mức biến dạng sóng hài vi phạm quy định tại Khoản 1 hoặc Khoản 2 Điều này, đơn vị nào gây ra nguyên nhân và vi phạm quy định, đơn vị đó phải chịu toàn bộ chi phí kiểm tra, xác minh, các thiệt hại và thực hiện các biện pháp khắc phục.
6. [15] Cho phép đỉnh nhọn bất thường của sóng hài trên lưới điện truyền tải vượt quá tổng biến dạng sóng hài quy định tại Khoản 1 và Khoản 2 Điều này nhưng phải đảm bảo 95 % giá trị đo sóng hài điện áp và sóng hài dòng điện với thời gian đo ít nhất 01 tuần và tần suất lấy mẫu 10 phút/lần không được vượt quá giới hạn quy định.
Điều 9. Mức nhấp nháy điện áp
1. Mức nhấp nháy điện áp tối đa cho phép trong lưới điện truyền tải được quy định tại Bảng 5 như sau:
Bảng 5
Mức nhấp nháy điện áp
| Cấp điện áp | Plt95% | Pst95% |
|---|---|---|
| 220, 500 kV | 0,6 | 0,8 |
Trong đó: Plt95% là ngưỡng giá trị của Plt sao cho trong khoảng 95 % thời gian đo (ít nhất 01 tuần) và 95 % số vị trí đo Plt không vượt quá giá trị này; Pst95% là ngưỡng giá trị của Pst sao cho trong khoảng 95 % thời gian đo (ít nhất 01 tuần) và 95 % số vị trí đo Pst không vượt quá giá trị này.
2. Đơn vị truyền tải điện có trách nhiệm kiểm soát mức nhấp nháy điện áp trên lưới điện truyền tải đảm bảo mức nhấp nháy điện áp tại điểm đấu nối không vượt quá các giá trị quy định tại Bảng 5 trong chế độ vận hành bình thường. Khách hàng sử dụng lưới điện truyền tải có trách nhiệm đảm bảo thiết bị đấu nối của mình với lưới điện truyền tải không gây ra mức nhấp nháy điện áp trên lưới điện vượt quá giá trị quy định tại Bảng 5.
3. Trường hợp cho rằng mức nhấp nháy điện áp có dấu hiệu vi phạm các giá trị quy định tại Khoản 1 Điều này, Khách hàng sử dụng lưới điện truyền tải hoặc Đơn vị truyền tải điện có quyền yêu cầu đơn vị còn lại kiểm tra mức nhấp nháy điện áp hoặc thuê đơn vị thí nghiệm độc lập thực hiện. Trường hợp kết quả kiểm tra cho thấy mức nhấp nháy điện áp vi phạm quy định tại Khoản 1 Điều này, đơn vị nào gây ra nguyên nhân và vi phạm quy định, đơn vị đó phải chịu toàn bộ chi phí kiểm tra, xác minh, các thiệt hại và thực hiện các biện pháp khắc phục.
Điều 10. Dao động điện áp
1. Dao động điện áp tại điểm đấu nối trên lưới điện truyền tải do phụ tải dao động gây ra không được vượt quá 2,5 % của điện áp danh định và phải nằm trong phạm vi giá trị điện áp vận hành cho phép đối với từng cấp điện áp được quy định tại Điều 6 Thông tư này.
2. Trong trường hợp chuyển nấc phân áp dưới tải bằng tay, dao động điện áp tại điểm đấu nối với phụ tải không được vượt quá giá trị điều chỉnh điện áp của nấc phân áp máy biến áp điều áp dưới tải.
3. Cho phép mức điều chỉnh điện áp mỗi lần tối đa là 5 % giá trị điện áp danh định, với điều kiện việc điều chỉnh điện áp không được gây ra hỏng hóc thiết bị trên hệ thống điện truyền tải và thiết bị của Khách hàng sử dụng lưới điện truyền tải.
Điều 11. Chế độ nối đất trung tính
1. Chế độ nối đất trung tính của lưới điện truyền tải là chế độ nối đất trực tiếp.
2. Trường hợp chế độ nối đất trung tính của một số thiết bị trong lưới điện truyền tải thực hiện khác với quy định tại Khoản 1 Điều này thì phải được sự đồng ý bằng văn bản của Đơn vị vận hành hệ thống điện và thị trường điện.
Điều 12. Dòng điện ngắn mạch và thời gian loại trừ sự cố [16]
1. Dòng điện ngắn mạch lớn nhất cho phép
a) Trị số dòng điện ngắn mạch lớn nhất cho phép và thời gian tối đa loại trừ sự cố bằng bảo vệ chính trong hệ thống điện truyền tải được quy định tại Bảng 6 như sau:
Bảng 6
Dòng điện ngắn mạch lớn nhất cho phép và thời gian tối đa loại trừ sự cố bằng bảo vệ chính
| Cấp điện áp | Dòng điện ngắn mạch lớn nhất cho phép (kA) | Thời gian tối đa loại trừ sự cố bằng bảo vệ chính (ms) |
|
|---|---|---|---|
|
| |||
| 500 kV | 50 | 80 |
|
| 220 kV | 50 | 100 |
|
b) Bảo vệ chính trang thiết bị điện là bảo vệ chủ yếu và được lắp đặt, chỉnh định để thực hiện tác động trước tiên, đảm bảo các tiêu chí về độ chọn lọc, độ tin cậy tác động và thời gian tác động của hệ thống bảo vệ khi có sự cố xảy ra trong phạm vi bảo vệ đối với trang thiết bị được bảo vệ;
c) Thanh cái 110 kV của các trạm biến áp 500 kV, 220 kV trong lưới điện truyền tải được áp dụng dòng điện ngắn mạch lớn nhất cho phép là 40 kA.
2. Thiết bị đóng cắt trên lưới điện truyền tải phải có đủ khả năng cắt dòng điện ngắn mạch lớn nhất qua thiết bị đóng cắt trong ít nhất 10 năm tiếp theo kể từ thời điểm dự kiến đưa thiết bị vào vận hành và chịu đựng được dòng điện ngắn mạch này trong thời gian tối thiểu từ 01 giây trở lên.
3. Đối với tổ máy thủy điện và nhiệt điện có công suất lớn hơn 30 MW, tổng giá trị điện kháng siêu quá độ chưa bão hòa của tổ máy phát điện (Xd’’-%) và điện kháng ngắn mạch của máy biến áp đầu cực (Uk-%) tính trong hệ đơn vị tương đối (đơn vị pu quy về công suất biểu kiến định mức của tổ máy phát điện) không được nhỏ hơn 40%.
Trường hợp không đáp ứng được yêu cầu trên, chủ đầu tư có trách nhiệm tính toán, đầu tư và lắp đặt thêm kháng điện để tổng giá trị của Xd’’, Uk và kháng điện tính trong hệ đơn vị tương đối (đơn vị pu quy về công suất biểu kiến định mức của tổ máy phát điện) không được nhỏ hơn 40%.
4. Các công trình điện đấu nối vào hệ thống điện truyền tải có giá trị dòng điện ngắn mạch tại điểm đấu nối theo tính toán mà lớn hơn giá trị dòng điện ngắn mạch lớn nhất cho phép quy định tại Bảng 6 thì chủ đầu tư các công trình điện có trách nhiệm áp dụng các biện pháp để dòng điện ngắn mạch tại điểm đấu nối xuống thấp hơn hoặc bằng giá trị dòng điện ngắn mạch lớn nhất cho phép quy định tại Bảng 6.
5. Đơn vị truyền tải điện có trách nhiệm thông báo giá trị dòng điện ngắn mạch lớn nhất tại điểm đấu nối tại thời điểm hiện tại và theo tính toán trong ít nhất 10 năm tiếp theo để Khách hàng sử dụng lưới điện truyền tải phối hợp trong quá trình đầu tư, lắp đặt thiết bị, đảm bảo thiết bị đóng cắt có đủ khả năng đóng cắt dòng điện ngắn mạch lớn nhất tại điểm đấu nối trong ít nhất 10 năm tiếp theo kể từ thời điểm dự kiến đưa thiết bị vào vận hành.
Điều 13. Hệ số chạm đất
Hệ số chạm đất của lưới điện truyền tải ở các cấp điện áp không được vượt quá 1,4.
Điều 14. Độ tin cậy của lưới điện truyền tải
1. Độ tin cậy của lưới điện truyền tải được xác định bằng tỷ lệ sản lượng điện năng không cung cấp được hàng năm do ngừng, giảm cung cấp điện không theo kế hoạch, ngừng, giảm cung cấp điện có kế hoạch và sự cố trên lưới điện truyền tải gây mất điện cho khách hàng.
2. Sản lượng điện năng không cung cấp được được tính bằng tích số giữa công suất phụ tải bị ngừng, giảm cung cấp điện với thời gian ngừng, giảm cung cấp điện tương ứng trong các trường hợp mất điện kéo dài trên 01 phút, trừ các trường hợp sau:
a) Ngừng, giảm cung cấp điện do hệ thống điện quốc gia thiếu nguồn;
b) Ngừng, giảm mức cung cấp điện do sự kiện bất khả kháng (sự kiện xảy ra một cách khách quan không thể kiểm soát được, không thể lường trước được và không thể tránh được mặc dù đã áp dụng mọi biện pháp cần thiết trong khả năng cho phép).
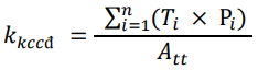
3. Tỷ lệ sản lượng điện năng không cung cấp được của lưới điện truyền tải trong một năm được xác định theo công thức sau:

Trong đó:
- kkccđ: Tỷ lệ sản lượng điện năng không cung cấp được của lưới điện truyền tải trong 01 năm;
- Ti: Thời gian ngừng, giảm cung cấp điện lần i kéo dài trên 01 phút, được xác định bằng khoảng thời gian từ lúc bắt đầu ngừng, giảm cung cấp cho tới lúc khôi phục được cung cấp điện (giờ);
- Pi: Công suất phụ tải trung bình bị ngừng, giảm cung cấp điện lần thứ i (kW);
- n: Số lần ngừng, giảm cung cấp điện năm tính toán;
- Att: Tổng sản lượng điện truyền tải qua lưới điện truyền tải trong năm tính toán (kWh).
Điều 15. Tổn thất điện năng của lưới điện truyền tải
1. Tổn thất điện năng hàng năm trên lưới điện truyền tải được xác định theo công thức sau:

Trong đó:
- ΔA: Tổn thất hàng năm trên lưới điện truyền tải;
- Attnhận: Tổng lượng điện năng nhận vào lưới điện truyền tải trong năm là lượng điện năng nhận từ tất cả Khách hàng sử dụng lưới điện truyền tải tại các điểm đấu nối với lưới điện truyền tải cộng với tổng điện năng nhập khẩu qua lưới điện truyền tải;
- Attgiao: Tổng lượng điện năng giao từ lưới điện truyền tải trong năm là lượng điện năng mà các Đơn vị phân phối điện và Khách hàng sử dụng điện nhận điện trực tiếp từ lưới điện truyền tải tiếp nhận từ các điểm đấu nối với lưới điện truyền tải cộng với tổng điện năng xuất khẩu qua lưới điện truyền tải.
Chương III. DỰ BÁO NHU CẦU PHỤ TẢI ĐIỆN HỆ THỐNG ĐIỆN QUỐC GIA
Điều 16. Quy định chung về dự báo nhu cầu phụ tải điện hệ thống điện quốc gia
1. Dự báo nhu cầu phụ tải điện hệ thống điện quốc gia là dự báo cho toàn bộ phụ tải điện được cung cấp điện từ hệ thống điện quốc gia, trừ các phụ tải có nguồn cung cấp điện độc lập và không nối lưới điện quốc gia. Dự báo nhu cầu phụ tải điện hệ thống điện quốc gia là cơ sở để lập kế hoạch phát triển hệ thống điện truyền tải hàng năm, kế hoạch và phương thức vận hành hệ thống điện, vận hành thị trường điện.
2. Dự báo nhu cầu phụ tải điện hệ thống điện quốc gia bao gồm dự báo nhu cầu phụ tải điện năm, tháng, tuần, ngày và chu kỳ giao dịch thị trường điện.
3. Trách nhiệm dự báo nhu cầu phụ tải điện hệ thống điện quốc gia
a) Đơn vị vận hành hệ thống điện và thị trường điện có trách nhiệm dự báo nhu cầu phụ tải điện của hệ thống điện quốc gia, hệ thống điện ba miền (Bắc, Trung, Nam) và tại các điểm đấu nối với lưới điện truyền tải;
b) Đơn vị phân phối điện, Đơn vị phân phối và bán lẻ điện, Khách hàng sử dụng điện nhận điện trực tiếp từ lưới điện truyền tải có trách nhiệm cung cấp cho Đơn vị vận hành hệ thống điện và thị trường điện các số liệu dự báo nhu cầu phụ tải điện của mình, bao gồm dự báo nhu cầu phụ tải điện tổng hợp toàn đơn vị và nhu cầu phụ tải điện tại từng trạm biến áp 110 kV;
c) Đơn vị bán buôn điện có trách nhiệm cung cấp cho Đơn vị vận hành hệ thống điện và thị trường điện các số liệu dự báo nhu cầu xuất, nhập khẩu điện, trong đó bao gồm dự báo nhu cầu xuất, nhập khẩu điện tổng hợp và tại từng điểm đấu nối phục vụ xuất, nhập khẩu điện.
4. Đối với dự báo nhu cầu phụ tải điện tại các điểm đấu nối với lưới điện truyền tải và độ phân giải của chu kỳ dự báo nhu cầu phụ tải điện, tùy theo từng giai đoạn phát triển và yêu cầu của thị trường điện, Cục Điều tiết điện lực có trách nhiệm hướng dẫn việc thực hiện quy định này.
Điều 17. Dự báo nhu cầu phụ tải điện năm
1. Dự báo nhu cầu phụ tải điện năm được thực hiện cho 01 năm tới (năm N+1) và 01 năm tiếp theo (năm N+2).
2. Số liệu phục vụ dự báo nhu cầu phụ tải điện năm bao gồm:
a) Số liệu dự báo nhu cầu phụ tải điện từng tháng về điện năng, công suất cực đại, biểu đồ ngày điển hình của 104 tuần với chu kỳ 30 phút/lần của Đơn vị phân phối điện, Đơn vị phân phối và bán lẻ điện, Khách hàng sử dụng điện nhận điện trực tiếp từ lưới điện truyền tải và tại các trạm biến áp 110 kV trong hệ thống điện;
b) Số liệu dự báo xuất, nhập khẩu điện từng tháng về điện năng, công suất cực đại, biểu đồ ngày điển hình của 104 tuần với chu kỳ 30 phút/lần của Đơn vị bán buôn điện.
3. Các yếu tố xét đến khi dự báo nhu cầu phụ tải điện năm bao gồm:
a) Tốc độ tăng trưởng kinh tế (GDP) của 02 năm tiếp theo được cơ quan có thẩm quyền công bố chính thức;
b) Số liệu dự báo nhu cầu phụ tải điện và hệ số phụ tải hàng năm theo quy hoạch phát triển điện lực đã được phê duyệt;
c) Các số liệu thống kê về công suất, điện năng tiêu thụ, xuất, nhập khẩu điện trong ít nhất 05 năm trước gần nhất của Đơn vị phân phối điện, Đơn vị phân phối và bán lẻ điện, Đơn vị bán buôn điện và Khách hàng sử dụng điện nhận điện trực tiếp từ lưới điện truyền tải;
d) Các giải pháp, mục tiêu của các Chương trình tiết kiệm năng lượng và Quản lý nhu cầu điện;
đ) Những thông tin cần thiết khác.
4. Kết quả dự báo nhu cầu phụ tải điện hệ thống điện quốc gia năm bao gồm: Công suất cực đại, điện năng, biểu đồ ngày điển hình của 104 tuần với chu kỳ 30 phút/lần của hệ thống điện quốc gia, hệ thống điện ba miền và tại các điểm đấu nối giữa lưới điện truyền tải với lưới điện phân phối.
5. Trình tự thực hiện
a) Trước ngày 01 tháng 8 hàng năm, Đơn vị phân phối điện, Đơn vị phân phối và bán lẻ điện, Đơn vị bán buôn điện, Khách hàng sử dụng điện nhận điện trực tiếp từ lưới điện truyền tải có trách nhiệm cung cấp cho Đơn vị vận hành hệ thống điện và thị trường điện kết quả dự báo nhu cầu phụ tải điện năm trong phạm vi quản lý theo quy định tại Khoản 2 Điều này.
Trường hợp Đơn vị phân phối điện, Đơn vị phân phối và bán lẻ điện, Đơn vị bán buôn điện và Khách hàng sử dụng điện nhận điện trực tiếp từ lưới điện truyền tải cung cấp không đúng hoặc không đủ số liệu theo đúng thời hạn quy định, Đơn vị vận hành hệ thống điện và thị trường điện có quyền căn cứ vào số liệu dự báo của năm trước để dự báo nhu cầu phụ tải điện hệ thống điện quốc gia.
b) Trước ngày 01 tháng 9 hàng năm, căn cứ vào số liệu về dự báo nhu cầu phụ tải điện được các đơn vị cung cấp, Đơn vị vận hành hệ thống điện và thị trường điện có trách nhiệm hoàn thành và công bố trên Trang thông tin điện tử của hệ thống điện và thị trường điện kết quả dự báo nhu cầu phụ tải điện năm theo quy định tại Khoản 4 Điều này.
Điều 18. Dự báo nhu cầu phụ tải điện tháng
1. Dự báo nhu cầu phụ tải điện tháng được thực hiện cho 01 tháng tới.
2. Số liệu phục vụ dự báo nhu cầu phụ tải điện tháng bao gồm:
a) Số liệu dự báo nhu cầu phụ tải điện từng tuần về điện năng, công suất cực đại, biểu đồ ngày điển hình từng tuần với chu kỳ 30 phút/lần của Đơn vị phân phối điện, Đơn vị phân phối và bán lẻ điện, Khách hàng sử dụng điện nhận điện trực tiếp từ lưới điện truyền tải và tại các trạm biến áp 110 kV trong hệ thống điện;
b) Số liệu dự báo xuất, nhập khẩu điện từng tuần về điện năng, công suất cực đại, biểu đồ ngày điển hình từng tuần với chu kỳ 30 phút/lần của Đơn vị bán buôn điện.
3. Các yếu tố xét đến khi dự báo nhu cầu phụ tải điện tháng bao gồm:
a) Kết quả dự báo nhu cầu phụ tải điện từng tháng trong dự báo nhu cầu phụ tải điện năm đã công bố;
b) Các số liệu thống kê về công suất, điện năng tiêu thụ, xuất nhập khẩu, phụ tải cực đại ban ngày và buổi tối của tháng cùng kỳ năm trước và 03 tháng trước gần nhất của Đơn vị phân phối điện, Đơn vị phân phối và bán lẻ điện, Đơn vị bán buôn điện và Khách hàng sử dụng điện nhận điện trực tiếp từ lưới điện truyền tải;
c) Các sự kiện có thể gây biến động lớn đến nhu cầu phụ tải điện và các thông tin cần thiết khác.
4. Kết quả dự báo nhu cầu phụ tải điện hệ thống điện quốc gia tháng bao gồm: Công suất cực đại, điện năng, biểu đồ ngày điển hình từng tuần với chu kỳ 30 phút/lần của hệ thống điện quốc gia, hệ thống điện ba miền và tại các điểm đấu nối giữa lưới điện truyền tải với lưới điện phân phối.
5. Trình tự thực hiện
a) Trước ngày 20 hàng tháng, Đơn vị phân phối điện, Đơn vị phân phối và bán lẻ điện, Đơn vị bán buôn điện, Khách hàng sử dụng điện nhận điện trực tiếp từ lưới điện truyền tải có trách nhiệm cung cấp cho Đơn vị vận hành hệ thống điện và thị trường điện số liệu dự báo nhu cầu phụ tải điện tháng trong phạm vi quản lý theo quy định tại Khoản 2 Điều này.
Trường hợp Đơn vị phân phối điện, Đơn vị phân phối và bán lẻ điện, Đơn vị bán buôn điện và Khách hàng sử dụng điện nhận điện trực tiếp từ lưới điện truyền tải cung cấp không đúng hoặc không đủ số liệu theo đúng thời hạn quy định, Đơn vị vận hành hệ thống điện và thị trường điện có quyền căn cứ vào số liệu dự báo của tháng trước hoặc kết quả dự báo nhu cầu phụ tải điện năm để dự báo nhu cầu phụ tải điện hệ thống điện quốc gia.
b) Trước 07 ngày làm việc cuối cùng hàng tháng, căn cứ vào số liệu về dự báo nhu cầu phụ tải điện được các đơn vị cung cấp, Đơn vị vận hành hệ thống điện và thị trường điện có trách nhiệm hoàn thành và công bố trên Trang thông tin điện tử của hệ thống điện và thị trường điện kết quả dự báo nhu cầu phụ tải điện tháng theo quy định tại Khoản 4 Điều này.
Điều 19. Dự báo nhu cầu phụ tải điện tuần
1. Dự báo nhu cầu phụ tải điện tuần được thực hiện cho 02 tuần tới.
2. Số liệu phục vụ dự báo nhu cầu phụ tải điện tuần bao gồm số liệu dự báo điện năng, công suất với chu kỳ 30 phút/lần trong từng ngày của 02 tuần tiếp theo của Đơn vị phân phối điện, Đơn vị phân phối và bán lẻ điện, Khách hàng sử dụng điện nhận điện trực tiếp từ lưới điện truyền tải và tại các trạm biến áp 110 kV trong hệ thống điện.
3. Các yếu tố xét đến khi dự báo nhu cầu phụ tải điện tuần bao gồm:
a) Kết quả dự báo nhu cầu phụ tải điện tuần trong dự báo nhu cầu phụ tải điện tháng và dự báo nhu cầu phụ tải điện của tuần trước đó đã công bố;
b) Các số liệu thống kê về công suất và điện năng tiêu thụ, phụ tải cực đại ban ngày và buổi tối trong 04 tuần trước gần nhất của Đơn vị phân phối điện, Đơn vị phân phối và bán lẻ điện và Khách hàng sử dụng điện nhận điện trực tiếp từ lưới điện truyền tải;
c) Dự báo thời tiết của các ngày trong 02 tuần tới, các ngày lễ, tết và các sự kiện có thể gây biến động lớn đến nhu cầu phụ tải điện.
4. Kết quả dự báo nhu cầu phụ tải điện hệ thống điện quốc gia tuần bao gồm: Điện năng, công suất với chu kỳ 30 phút/lần trong từng ngày của 02 tuần tiếp theo của hệ thống điện quốc gia, hệ thống điện ba miền và tại các điểm đấu nối giữa lưới điện truyền tải với lưới điện phân phối.
5. Trình tự thực hiện
a) Trước 10h00 thứ Ba hàng tuần, Đơn vị phân phối điện, Đơn vị phân phối và bán lẻ điện và Khách hàng sử dụng điện nhận điện trực tiếp từ lưới điện truyền tải có trách nhiệm cung cấp cho Đơn vị vận hành hệ thống điện và thị trường điện số liệu dự báo nhu cầu phụ tải điện tuần trong phạm vi quản lý theo quy định tại Khoản 2 Điều này.
Trường hợp Đơn vị phân phối điện, Đơn vị phân phối và bán lẻ điện và Khách hàng sử dụng điện nhận điện trực tiếp từ lưới điện truyền tải cung cấp không đúng hoặc không đủ số liệu theo đúng thời hạn quy định, Đơn vị vận hành hệ thống điện và thị trường điện có quyền căn cứ vào số liệu dự báo của tuần trước hoặc kết quả dự báo nhu cầu phụ tải điện tháng để dự báo nhu cầu phụ tải điện hệ thống điện quốc gia.
b) Trước 15h00 thứ Năm hàng tuần, căn cứ vào số liệu về dự báo nhu cầu phụ tải điện được các đơn vị cung cấp, Đơn vị vận hành hệ thống điện và thị trường điện có trách nhiệm hoàn thành và công bố trên Trang thông tin điện tử của hệ thống điện và thị trường điện kết quả dự báo nhu cầu phụ tải điện tuần theo quy định tại Khoản 4 Điều này.
Điều 20. Dự báo nhu cầu phụ tải điện ngày
1. Dự báo nhu cầu phụ tải điện ngày được thực hiện cho 02 ngày tới.
2. Các yếu tố xét đến khi dự báo nhu cầu phụ tải điện ngày bao gồm:
a) Kết quả dự báo nhu cầu phụ tải điện trong dự báo nhu cầu phụ tải điện tuần và dự báo nhu cầu phụ tải điện của ngày hôm trước đã công bố;
b) Các số liệu công suất, điện năng thực tế của hệ thống điện trong 07 ngày trước; trường hợp ngày lễ, tết phải sử dụng các số liệu của các ngày lễ, tết năm trước;
c) Dự báo thời tiết của 02 ngày tới và các thông tin cần thiết khác.
3. Kết quả dự báo nhu cầu phụ tải điện hệ thống điện quốc gia ngày bao gồm các số liệu sau: Điện năng, công suất với chu kỳ 30 phút/lần của hệ thống điện quốc gia, hệ thống điện ba miền và tại các điểm đấu nối giữa lưới điện truyền tải với lưới điện phân phối.
4. Trước 10h00 hàng ngày, Đơn vị vận hành hệ thống điện và thị trường điện có trách nhiệm hoàn thành và công bố trên Trang thông tin điện tử của hệ thống điện và thị trường điện kết quả dự báo nhu cầu phụ tải điện ngày theo quy định tại Khoản 3 Điều này.
Điều 21. Dự báo nhu cầu phụ tải điện chu kỳ giao dịch thị trường điện
1. Dự báo nhu cầu phụ tải điện chu kỳ giao dịch thị trường điện được thực hiện cho 01 (một) chu kỳ giao dịch tới và 08 (tám) chu kỳ giao dịch tiếp theo.
2. Các yếu tố xét đến khi dự báo nhu cầu phụ tải điện chu kỳ giao dịch thị trường điện bao gồm:
a) Kết quả dự báo nhu cầu phụ tải điện trong dự báo nhu cầu phụ tải điện ngày và kết quả dự báo nhu cầu phụ tải điện chu kỳ giao dịch thị trường điện trước đó đã công bố;
b) Các số liệu công suất, điện năng thực tế của hệ thống điện cùng kỳ tuần trước;
c) Dự báo thời tiết tại thời điểm gần nhất;
d) Các thông tin cần thiết khác.
3. Kết quả dự báo nhu cầu phụ tải điện chu kỳ giao dịch thị trường điện bao gồm:
a) Công suất và sản lượng của hệ thống điện quốc gia và hệ thống điện ba miền Bắc, Trung, Nam cho chu kỳ 30 phút của chu kỳ giao dịch tới và 08 (tám) chu kỳ giao dịch tiếp theo;
b) Công suất và sản lượng tại từng điểm đấu nối giữa lưới điện truyền tải với lưới điện phân phối cho chu kỳ 30 phút của chu kỳ giao dịch tới và 8 chu kỳ giao dịch tiếp theo.
4. Chậm nhất 15 phút trước chu kỳ giao dịch tiếp theo, Đơn vị vận hành hệ thống điện và thị trường điện có trách nhiệm hoàn thành và công bố trên Trang thông tin điện tử của hệ thống điện và thị trường điện kết quả dự báo nhu cầu phụ tải điện chu kỳ giao dịch theo quy định tại Khoản 3 Điều này.
Chương IV [17] (được bãi bỏ)
Chương V. ĐẤU NỐI VÀO LƯỚI ĐIỆN TRUYỀN TẢI
Mục 1. NGUYÊN TẮC CHUNG
Điều 26. Điểm đấu nối
1. Điểm đấu nối là điểm nối trang thiết bị, lưới điện và nhà máy điện của Khách hàng sử dụng lưới điện truyền tải vào hệ thống điện truyền tải.
2. Tuỳ thuộc vào cấu trúc của lưới điện, đường dây đấu nối, điểm đấu nối được xác định như sau:
a) Đối với đường dây trên không, điểm đấu nối là điểm cuối của chuỗi sứ đỡ treo dây xuất tuyến nối vào dao cách ly của trạm điện hoặc sân phân phối của nhà máy điện;
b) Đối với cáp ngầm, điểm đấu nối là đầu cốt trụ sứ dao cách ly phía xuất tuyến của trạm điện hoặc sân phân phối của nhà máy điện.
3. Trường hợp điểm đấu nối khác với quy định tại Khoản 2 Điều này, điểm đấu nối thay thế do hai bên tự thỏa thuận.
4. Điểm đấu nối phải được mô tả chi tiết bằng các bản vẽ, sơ đồ, thuyết minh có liên quan trong Thoả thuận đấu nối hoặc hợp đồng mua bán điện.
Điều 27. Ranh giới phân định tài sản và quản lý vận hành
1. Ranh giới phân định tài sản giữa Đơn vị truyền tải điện và Khách hàng sử dụng lưới điện truyền tải là điểm đấu nối.
2. Tài sản của mỗi bên tại điểm đấu nối phải được liệt kê chi tiết kèm theo các bản vẽ, sơ đồ có liên quan trong Thỏa thuận đấu nối hoặc hợp đồng mua bán điện.
3. Tài sản thuộc sở hữu của bên nào thì bên đó có trách nhiệm đầu tư, xây dựng, quản lý và vận hành theo các tiêu chuẩn và quy định của pháp luật, trừ trường hợp có thỏa thuận khác.
Điều 28. Các yêu cầu chung
1. Đơn vị truyền tải điện có trách nhiệm thực hiện đầu tư phát triển lưới điện truyền tải theo quy hoạch phát triển điện lực và kế hoạch đầu tư đã được duyệt, đảm bảo trang thiết bị lưới điện truyền tải đáp ứng các yêu cầu trong vận hành hệ thống điện theo quy định tại Chương II Thông tư này và yêu cầu kỹ thuật tại điểm đấu nối quy định tại Chương này.
2. Việc đấu nối trang thiết bị điện, lưới điện và nhà máy điện của Khách hàng sử dụng lưới điện truyền tải vào lưới điện truyền tải phải phù hợp với quy hoạch phát triển điện lực đã được cơ quan nhà nước có thẩm quyền phê duyệt, đảm bảo trang thiết bị lưới điện truyền tải đáp ứng các yêu cầu trong vận hành hệ thống điện theo quy định tại Chương II Thông tư này và yêu cầu kỹ thuật chung và cụ thể tại điểm đấu nối quy định tại Chương này.
3. [18] Trường hợp phương án đấu nối đề nghị của khách hàng không phù hợp với quy hoạch phát triển điện lực đã được phê duyệt, Đơn vị truyền tải điện có trách nhiệm thông báo cho khách hàng có nhu cầu đấu nối biết để thực hiện điều chỉnh, bổ sung quy hoạch theo quy định.
4. Đơn vị truyền tải điện và khách hàng có đề nghị đấu nối phải có Thỏa thuận đấu nối theo mẫu quy định tại Thông tư này, bao gồm những nội dung chính sau:
a) Vị trí điểm đấu nối;
b) Các nội dung kỹ thuật liên quan đến điểm đấu nối;
c) Tiến độ thời gian hoàn thành đấu nối;
d) Trách nhiệm đầu tư, quản lý vận hành;
đ) Các nội dung thương mại của Thỏa thuận đấu nối.
5. Đơn vị truyền tải điện có quyền từ chối đề nghị đấu nối trong các trường hợp sau:
a) Trang thiết bị, lưới điện của khách hàng có đề nghị đấu nối không đáp ứng các yêu cầu vận hành và yêu cầu kỹ thuật quy định tại Thông tư này và các quy chuẩn kỹ thuật ngành có liên quan;
b) Đề nghị đấu nối không đúng với quy hoạch phát triển điện lực đã được duyệt.
6. Đơn vị truyền tải điện có quyền tách đấu nối của Khách hàng sử dụng lưới điện truyền tải ra khỏi lưới điện truyền tải trong trường hợp khách hàng vi phạm các yêu cầu kỹ thuật và yêu cầu vận hành theo quy định tại Thông tư này hoặc các vi phạm quy định về an toàn, vận hành trên tài sản của Khách hàng sử dụng lưới điện truyền tải có thể gây ảnh hưởng đến an toàn vận hành lưới điện truyền tải. Trường hợp hai bên không thống nhất về việc tách đấu nối thì phải thực hiện trình tự, thủ tục giải quyết tranh chấp quy định tại Chương IX Thông tư này.
7. Trường hợp Khách hàng sử dụng lưới điện truyền tải có nhu cầu thay đổi, nâng cấp thiết bị hoặc thay đổi sơ đồ kết lưới trong phạm vi quản lý của mình có thể gây ảnh hưởng đến vận hành an toàn hệ thống điện truyền tải hoặc các thiết bị điện của Đơn vị truyền tải điện tại điểm đấu nối, Khách hàng sử dụng lưới điện truyền tải phải thông báo bằng văn bản và phải được Đơn vị truyền tải điện và Cấp điều độ có quyền điều khiển thống nhất kế hoạch trước khi thực hiện.
8. Những thay đổi liên quan đến điểm đấu nối trong quá trình đầu tư, vận hành phải được cập nhật trong hồ sơ về điểm đấu nối và Thoả thuận đấu nối đã ký.
9. Khách hàng sử dụng lưới điện truyền tải có trách nhiệm lưu trữ các số liệu về chế độ làm việc, công tác vận hành, duy tu, bảo dưỡng và các sự cố trên các phần tử thuộc phạm vi quản lý của mình trong thời hạn 05 năm. Khi Đơn vị truyền tải điện yêu cầu, Khách hàng sử dụng lưới điện truyền tải có trách nhiệm cung cấp đầy đủ các thông tin cần thiết liên quan đến sự cố xảy ra trên các phần tử thuộc phạm vi quản lý của mình. Đối với các đấu nối phục vụ mua bán, trao đổi điện với nước ngoài hoặc đấu nối giữa nhà máy điện nằm ngoài lãnh thổ Việt Nam với hệ thống điện quốc gia, các yêu cầu kỹ thuật, yêu cầu vận hành đối với thiết bị đấu nối vào lưới điện truyền tải được thực hiện theo thứ tự ưu tiên như sau:
a) Thực hiện theo các quy định, điều ước và cam kết quốc tế mà Việt Nam tham gia;
b) Thỏa thuận thống nhất cụ thể giữa các bên liên quan để đáp ứng tối đa các yêu cầu, quy định kỹ thuật về hệ thống điện của mỗi nước và đảm bảo vận hành lưới điện liên kết, lưới điện đấu nối được an toàn, tin cậy và ổn định.
Mục 2. YÊU CẦU KỸ THUẬT CHUNG ĐỐI VỚI THIẾT BỊ ĐẤU NỐI VÀO LƯỚI ĐIỆN TRUYỀN TẢI
Điều 29. Yêu cầu đối với thiết bị điện đấu nối
1. Sơ đồ đấu nối điện chính phải bao gồm các thiết bị điện từ cấp điện áp trung áp đến siêu cao áp tại điểm đấu nối và thể hiện được liên kết giữa lưới điện của Khách hàng sử dụng lưới điện truyền tải với lưới điện truyền tải. Các trang thiết bị điện phải được mô tả bằng các biểu tượng, ký hiệu tiêu chuẩn và được Cấp điều độ có quyền điều khiển đánh số thiết bị theo quy định tại Quy trình thao tác trong hệ thống điện quốc gia do Bộ Công Thương ban hành.
2. Máy cắt có liên hệ trực tiếp với điểm đấu nối và các hệ thống bảo vệ, điều khiển, đo lường đi kèm phải có đủ khả năng đóng cắt dòng điện ngắn mạch lớn nhất tại điểm đấu nối đáp ứng sơ đồ phát triển lưới điện và nguồn điện trong quy hoạch phát triển điện lực được duyệt cho giai đoạn ít nhất 10 năm tiếp theo.
3. Các thiết bị trực tiếp đấu nối vào lưới điện truyền tải phải có đủ khả năng chịu đựng dòng điện ngắn mạch lớn nhất có thể xảy ra tại điểm đấu nối theo tính toán và thông báo của Đơn vị truyền tải điện đáp ứng sơ đồ phát triển lưới điện và nguồn điện trong quy hoạch phát triển điện lực được duyệt cho giai đoạn ít nhất 10 năm tiếp theo.
4. Máy cắt thực hiện thao tác tại điểm đấu nối với lưới điện truyền tải phải được trang bị thiết bị kiểm tra hoà đồng bộ nếu hai phía máy cắt đều có nguồn điện và được trang bị dao cách ly kèm theo các phương tiện khoá liên động để đảm bảo an toàn trong quá trình vận hành và khi bảo dưỡng, sửa chữa thiết bị.
Điều 30. Yêu cầu đối với hệ thống rơ le bảo vệ
1. Đơn vị truyền tải điện và Khách hàng sử dụng lưới điện truyền tải có trách nhiệm thiết kế, lắp đặt, chỉnh định và thử nghiệm hệ thống rơ le bảo vệ trong phạm vi quản lý đảm bảo đáp ứng các yêu cầu về tác động nhanh, độ nhạy, tính chọn lọc và tin cậy khi loại trừ sự cố, đảm bảo vận hành hệ thống điện an toàn, tin cậy.
2. Việc phối hợp trang bị, lắp đặt các thiết bị rơ le bảo vệ tại điểm đấu nối phải được thỏa thuận giữa Cấp điều độ có quyền điều khiển, Đơn vị truyền tải điện và Khách hàng sử dụng lưới điện truyền tải. Đơn vị truyền tải điện hoặc Khách hàng sử dụng lưới điện truyền tải không tự ý thay đổi thiết bị bảo vệ và các giá trị cài đặt của thiết bị rơ le bảo vệ khi chưa được sự đồng ý của Cấp điều độ có quyền điều khiển.
3. Cấp điều độ có quyền điều khiển có trách nhiệm ban hành phiếu chỉnh định rơ le thuộc phạm vi lưới điện truyền tải của Đơn vị truyền tải điện và thông qua các trị số chỉnh định liên quan đến lưới điện truyền tải đối với các thiết bị rơ le bảo vệ của Khách hàng sử dụng lưới điện truyền tải.
4. Thời gian tối đa loại trừ sự cố trên các phần tử trong hệ thống điện của Khách hàng sử dụng lưới điện truyền tải bằng các bảo vệ chính không vượt quá các giá trị quy định tại Điều 12 Thông tư này.
5. Trường hợp thiết bị bảo vệ của Khách hàng sử dụng lưới điện truyền tải được yêu cầu kết nối với thiết bị bảo vệ của Đơn vị truyền tải điện thì các thiết bị này phải đáp ứng các yêu cầu của Đơn vị truyền tải điện về kết nối và được sự chấp thuận của Cấp điều độ có quyền điều khiển.
6. Trường hợp lưới điện của Khách hàng sử dụng lưới điện truyền tải bị sự cố, thiết bị rơ le bảo vệ trong lưới điện của Khách hàng sử dụng lưới điện truyền tải có thể được phép gửi lệnh đi cắt các máy cắt trên lưới điện truyền tải nhưng phải được sự chấp thuận của Đơn vị truyền tải điện và Cấp điều độ có quyền điều khiển đối với các máy cắt này và phải được ghi trong Thỏa thuận đấu nối.
7. Độ tin cậy tác động của hệ thống rơ le bảo vệ không nhỏ hơn 99 %.
8. Ngoài các yêu cầu quy định từ Khoản 1 đến Khoản 7 Điều này, hệ thống rơ le bảo vệ của Khách hàng sử dụng lưới điện truyền tải và Đơn vị truyền tải điện phải đáp ứng thêm các yêu cầu sau:
a) Nhà máy điện phải được trang bị hệ thống hoà đồng bộ chính xác;
b) Nhà máy điện phải được trang bị hệ thống giám sát ghi sự cố có chức năng đồng bộ thời gian GPS (Global Positioning System);
c) Nhà máy điện có tổng công suất đặt từ 300 MW trở lên, phải được trang bị thiết bị có chức năng đo góc pha (PMU - Phasor Measurement Unit) và đồng bộ thời gian GPS (Global Positioning System). Nhà máy điện có tổng công suất đặt dưới 300 MW, việc trang bị PMU phải theo tính toán và yêu cầu của Đơn vị vận hành hệ thống điện và thị trường điện;
d) Đơn vị truyền tải điện và Khách hàng sử dụng lưới điện truyền tải không phải Đơn vị phát điện có trách nhiệm trang bị, lắp đặt thiết bị ghi sự cố, thiết bị đo góc pha theo tính toán và yêu cầu của Cấp điều độ có quyền điều khiển, đảm bảo kết nối tương thích, tin cậy, ổn định với hệ thống ghi sự cố và đo góc pha đặt tại Đơn vị vận hành hệ thống điện và thị trường điện. Cấp điều độ có quyền điều khiển có trách nhiệm tích hợp thiết bị ghi sự cố, thiết bị đo góc pha của Đơn vị truyền tải điện và Khách hàng sử dụng lưới điện truyền tải với hệ thống đặt tại Cấp điều độ có quyền điều khiển;
đ) Trong quá trình vận hành, khi có nhu cầu nâng cấp, thay thế thiết bị ghi sự cố, thiết bị đo góc pha, Đơn vị truyền tải điện và Khách hàng sử dụng lưới điện truyền tải có trách nhiệm thông báo và thỏa thuận với Cấp điều độ có quyền điều khiển trước khi thực hiện;
e) Đường dây truyền tải điện cấp điện áp từ 220 kV trở lên đấu nối tổ máy phát điện hoặc sân phân phối của nhà máy điện phải có 02 kênh truyền thông tin liên lạc độc lập về vật lý phục vụ cho việc truyền tín hiệu rơ le bảo vệ giữa hai đầu đường dây với thời gian truyền không lớn hơn 20 ms;
g) Khách hàng sử dụng điện nhận điện trực tiếp từ lưới điện truyền tải có trách nhiệm đầu tư, lắp đặt rơ le tần số thấp trong phạm vi quản lý phục vụ tự động sa thải phụ tải theo tính toán và yêu cầu của Cấp điều độ có quyền điều khiển.
9. Phạm vi, cách bố trí và yêu cầu kỹ thuật đối với các thiết bị rơ le bảo vệ cho tổ máy phát điện, máy biến áp, thanh cái và đường dây đấu nối vào lưới điện truyền tải theo Quy định về yêu cầu kỹ thuật đối với hệ thống rơ le bảo vệ và tự động hóa trong nhà máy điện và trạm biến áp do Cục Điều tiết điện lực ban hành.
Điều 31. Yêu cầu đối với hệ thống thông tin
1. [19] Khách hàng sử dụng lưới điện truyền tải có trách nhiệm đầu tư, lắp đặt, quản lý vận hành hệ thống thông tin trong phạm vi quản lý của mình và đảm bảo kết nối hệ thống này với hệ thống thông tin của Đơn vị truyền tải điện và Cấp điều độ có quyền điều khiển; đảm bảo thông tin liên lạc, truyền dữ liệu (bao gồm cả dữ liệu của hệ thống SCADA, PMU, giám sát ghi sự cố) đầy đủ, tin cậy và liên tục phục vụ vận hành hệ thống điện và thị trường điện. Các phương tiện thông tin liên lạc tối thiểu phục vụ công tác điều độ, vận hành trong hệ thống điện truyền tải gồm kênh trực thông, điện thoại, DIM và mạng máy tính.
2. Hệ thống thông tin của Khách hàng sử dụng lưới điện truyền tải phải tương thích với hệ thống thông tin của Đơn vị truyền tải điện và Cấp điều độ có quyền điều khiển.
Khách hàng có thể thoả thuận sử dụng hệ thống thông tin của Đơn vị truyền tải điện hoặc của các nhà cung cấp khác để kết nối với hệ thống thông tin của Cấp điều độ có quyền điều khiển để đảm bảo thông tin liên tục và tin cậy phục vụ vận hành hệ thống điện và thị trường điện.
3. Đơn vị truyền tải điện có trách nhiệm đầu tư, quản lý hệ thống thông tin trong phạm vi quản lý lưới điện truyền tải để phục vụ việc quản lý, vận hành hệ thống điện và thị trường điện; phối hợp với Cấp điều độ có quyền điều khiển để thiết lập đường truyền thông tin về Cấp điều độ có quyền điều khiển.
4. Cấp điều độ có quyền điều khiển có trách nhiệm cung cấp cho Đơn vị truyền tải điện và Khách hàng sử dụng lưới điện truyền tải các yêu cầu về dữ liệu thông tin, truyền dữ liệu và giao diện thông tin cần thiết phục vụ vận hành hệ thống điện và thị trường điện.
5. Cấp điều độ có quyền điều khiển và Đơn vị truyền tải điện có trách nhiệm phối hợp với Khách hàng sử dụng lưới điện truyền tải trong việc thử nghiệm, kiểm tra và kết nối hệ thống thông tin, dữ liệu của khách hàng vào hệ thống thông tin, dữ liệu hiện có do đơn vị quản lý.
Điều 32. Yêu cầu về kết nối hệ thống SCADA
1. [20] Trạm biến áp có cấp điện áp từ 220 kV trở lên, nhà máy điện có công suất lắp đặt trên 30 MW và nhà máy điện đấu nối vào lưới điện truyền tải chưa kết nối đến Trung tâm điều khiển phải được trang bị Gateway hoặc RTU và thiết lập hai kết nối độc lập về mặt vật lý với hệ thống SCADA của Cấp điều độ có quyền điều khiển.
2. [21] Trạm biến áp có cấp điện áp từ 220 kV trở lên, nhà máy điện có công suất lắp đặt trên 30 MW và các nhà máy điện đấu nối vào lưới điện truyền tải đã kết nối và được điều khiển, thao tác xa từ Trung tâm điều khiển phải được trang bị Gateway hoặc RTU và thiết lập một kết nối với hệ thống SCADA của Cấp điều độ có quyền điều khiển và hai kết nối với hệ thống điều khiển tại Trung tâm điều khiển.
3. Trường hợp nhà máy điện, trạm biến áp có nhiều Cấp điều độ có quyền điều khiển, các cấp điều độ có trách nhiệm chia sẻ thông tin để phục vụ phối hợp vận hành hệ thống điện.
4. Đơn vị truyền tải điện và Khách hàng sử dụng lưới điện truyền tải có trách nhiệm đầu tư, lắp đặt, quản lý, vận hành thiết bị đầu cuối RTU/Gateway trong phạm vi quản lý, đường truyền dữ liệu hoặc thuê đường truyền dữ liệu của đơn vị cung cấp dịch vụ để đảm bảo kết nối, truyền dữ liệu liên tục, đầy đủ, tin cậy về hệ thống SCADA của Cấp điều độ có quyền điều khiển và hệ thống điều khiển của Trung tâm điều khiển (nếu có).
5. Thiết bị đầu cuối RTU/Gateway của Đơn vị truyền tải điện và Khách hàng sử dụng lưới điện truyền tải phải có đặc tính kỹ thuật tương thích và đảm bảo kết nối được với hệ thống SCADA của Cấp điều độ có quyền điều khiển và hệ thống điều khiển của Trung tâm điều khiển (nếu có).
6. Cấp điều độ có quyền điều khiển có trách nhiệm tích hợp các dữ liệu theo danh sách dữ liệu đã thoả thuận với Đơn vị truyền tải điện và Khách hàng sử dụng lưới điện truyền tải vào hệ thống SCADA của mình. Đơn vị truyền tải điện, Khách hàng sử dụng lưới điện truyền tải có trách nhiệm phối hợp với Cấp điều độ có quyền điều khiển để cấu hình, thiết lập cơ sở dữ liệu trên hệ thống của mình đảm bảo sự tương thích với hệ thống SCADA của Cấp điều độ có quyền điều khiển và hệ thống điều khiển của Trung tâm điều khiển (nếu có).
7. Trường hợp hệ thống SCADA của Cấp điều độ có quyền điều khiển có sự thay đổi về công nghệ và được cơ quan có thẩm quyền phê duyệt sau thời điểm ký Thoả thuận đấu nối dẫn đến phải thay đổi hoặc nâng cấp hệ thống điều khiển, thiết bị đầu cuối RTU/Gateway của Đơn vị truyền tải điện và Khách hàng sử dụng lưới điện truyền tải, Cấp điều độ có quyền điều khiển, Đơn vị truyền tải điện và Khách hàng sử dụng lưới điện truyền tải có trách nhiệm phối hợp thực hiện các hiệu chỉnh cần thiết để các thiết bị của Đơn vị truyền tải điện và Khách hàng sử dụng lưới điện truyền tải tương thích với các thay đổi của hệ thống SCADA. Đơn vị truyền tải điện và Khách hàng sử dụng lưới điện truyền tải có trách nhiệm đầu tư, nâng cấp hệ thống điều khiển, thiết bị đầu cuối RTU/Gateway để đảm bảo kết nối tương thích với hệ thống SCADA của Cấp điều độ có quyền điều khiển.
8. Trong quá trình vận hành, khi có nhu cầu nâng cấp, mở rộng hệ thống điều khiển, thiết bị đầu cuối RTU/Gateway, Đơn vị truyền tải điện và Khách hàng sử dụng lưới điện truyền tải có trách nhiệm thỏa thuận với Cấp điều độ có quyền điều khiển trước khi thực hiện nâng cấp, mở rộng.
9. Yêu cầu danh sách dữ liệu, yêu cầu kỹ thuật của thiết bị đầu cuối RTU/Gateway được quy định cụ thể tại Quy định về yêu cầu kỹ thuật và quản lý vận hành hệ thống SCADA do Cục Điều tiết điện lực ban hành.
Điều 33. Nối đất trung tính máy biến áp
1. Cuộn dây phía cao áp của máy biến áp ba pha hoặc 03 (ba) máy biến áp một pha đấu nối vào lưới điện truyền tải phải đấu hình sao có điểm trung tính thích hợp cho việc nối đất.
2. Việc nối đất trung tính máy biến áp phải đảm bảo giá trị của hệ số chạm đất không vượt quá giá trị quy định tại Điều 13 Thông tư này.
Điều 34. Hệ số công suất của Khách hàng sử dụng lưới điện truyền tải
1. Trong chế độ vận hành bình thường, Đơn vị phân phối điện và Khách hàng sử dụng điện nhận điện trực tiếp từ lưới điện truyền tải phải duy trì hệ số công suất (cosj) tại vị trí đo đếm chính không nhỏ hơn 0,9 trong trường hợp nhận công suất phản kháng và không nhỏ hơn 0,98 trong trường hợp phát công suất phản kháng.
2. Khách hàng sử dụng lưới điện truyền tải phải cung cấp cho Đơn vị truyền tải điện và Cấp điều độ có quyền điều khiển các thông số về các thiết bị bù công suất phản kháng trong lưới điện của mình (nếu có), bao gồm:
a) Công suất phản kháng định mức và dải điều chỉnh;
b) Nguyên tắc điều chỉnh công suất phản kháng.
Điều 35. Độ dao động phụ tải điện
Tốc độ thay đổi công suất tiêu thụ của Khách hàng sử dụng điện nhận điện trực tiếp từ lưới điện truyền tải trong 01 phút không được vượt quá 10 % công suất tiêu thụ khi đang vận hành ở chế độ bình thường, trừ trường hợp Khách hàng sử dụng điện có thể điều chỉnh nhu cầu sử dụng điện theo yêu cầu hoặc có thỏa thuận khác với Đơn vị vận hành hệ thống điện và thị trường điện.
Điều 36. Hệ thống tự động sa thải phụ tải [22]
1. Khách hàng sử dụng lưới điện truyền tải có trách nhiệm phối hợp với các đơn vị liên quan để thống nhất lắp đặt thiết bị và đảm bảo hoạt động của hệ thống sa thải phụ tải tự động trong hệ thống điện của mình theo tính toán và yêu cầu của Cấp điều độ có quyền điều khiển.
2. Hệ thống sa thải phụ tải tự động phải được thiết kế, chỉnh định đảm bảo các yêu cầu sau:
a) Độ tin cậy không nhỏ hơn 99%;
b) Việc sa thải không thành công của một phụ tải nào đó không làm ảnh hưởng đến hoạt động của toàn bộ hệ thống điện;
c) Trình tự sa thải và lượng công suất sa thải phải tuân thủ mức phân bổ của Cấp điều độ có quyền điều khiển, không được thay đổi trong bất kỳ trường hợp nào nếu không có sự cho phép của Cấp điều độ có quyền điều khiển.
3. Trình tự khôi phục phụ tải điện phải tuân thủ theo lệnh điều độ của Cấp điều độ có quyền điều khiển.
Điều 37. Yêu cầu đối với Trung tâm điều khiển
1. Yêu cầu kỹ thuật chung
a) Hệ thống giám sát, điều khiển và ệ thống thông tin lắp đặt tại Trung tâm điều khiển phải được trang bị thiết bị để đảm bảo vận hành an toàn, tin cậy các nhà máy điện, trạm điện do Trung tâm điều khiển thực hiện;
b) Hệ thống giám sát, điều khiển của Trung tâm điều khiển phải có đặc tính kỹ thuật tương thích và đảm bảo kết nối, truyền dữ liệu của các nhà máy điện, trạm điện và thiết bị đóng cắt trên lưới điện ổn định, tin cậy và liên tục về hệ thống SCADA của Cấp điều độ có quyền điều khiển;
c) Trung tâm điều khiển phải có nguồn điện dự phòng để đảm bảo vận hành bình thường trong trường hợp mất nguồn điện từ hệ thống điện quốc gia.
d) [23] Tổng công suất định mức của các nhà máy điện thuộc Trung tâm điều khiển không vượt quá công suất định mức của tổ máy phát điện lớn nhất đang vận hành phát điện trong hệ thống điện quốc gia do Đơn vị vận hành hệ thống điện và thị trường điện xác định.
2. [24] Yêu cầu kết nối của Trung tâm điều khiển
a) Yêu cầu về kết nối hệ thống thông tin
- Có một đường truyền dữ liệu kết nối với hệ thống thông tin của Cấp điều độ có quyền điều khiển. Trường hợp có nhiều cấp điều độ có quyền điều khiển, các cấp điều độ có trách nhiệm thống nhất phương thức chia sẻ thông tin;
- Có hai đường truyền dữ liệu (một đường truyền làm việc, một đường truyền dự phòng) kết nối với hệ thống điều khiển và thông tin của nhà máy điện, trạm điện do Trung tâm điều khiển thực hiện điều khiển từ xa;
- Các phương tiện thông tin liên lạc tối thiểu phục vụ công tác điều độ giữa Các cấp điều độ có quyền điều khiển với Trung tâm điều khiển gồm trực thông, điện thoại, DIM, mạng máy tính. Thông tin liên lạc tối thiểu giữa Trung tâm điều khiển với các nhà máy điện, trạm điện gồm trực thông, điện thoại và mạng máy tính.
b) Yêu cầu về kết nối hệ thống SCADA
- Có một kết nối với hệ thống SCADA của Cấp điều độ có quyền điều khiển. Trường hợp có nhiều cấp điều độ có quyền điều khiển, các cấp điều độ có trách nhiệm chia sẻ thông tin;
- Có hai kết nối với thiết bị đầu cuối RTU hoặc Gateway, hệ thống điều khiển của nhà máy điện, trạm điện và thiết bị đóng cắt trên lưới điện do Trung tâm điều khiển thực hiện điều khiển từ xa.
c) Trung tâm điều khiển phải trang bị màn hình giám sát và kết nối với hệ thống camera giám sát an ninh tại nhà máy điện, trạm điện.
3. Nhà máy điện, trạm điện hoặc thiết bị đóng cắt trên lưới điện do Trung tâm điều khiển thực hiện điều khiển, thao tác từ xa phải được trang bị hệ thống giám sát, điều khiển, camera và thông tin viễn thông để truyền, kết nối dữ liệu ổn định, tin cậy và liên tục với Trung tâm điều khiển đáp ứng các yêu cầu tại Khoản 1 và Khoản 2 Điều này.
Mục 3. YÊU CẦU KỸ THUẬT ĐẤU NỐI ĐỐI VỚI NHÀ MÁY THỦY ĐIỆN VÀ NHIỆT ĐIỆN
Điều 38. Yêu cầu khả năng huy động, điều khiển công suất tổ máy phát điện
1. [25] Nhà máy điện có công suất lắp đặt trên 30 MW phải đầu tư các trang thiết bị, hệ thống điều khiển, hệ thống AGC đảm bảo kết nối ổn định, tin cậy và bảo mật với hệ thống điều khiển công suất tổ máy của Đơn vị vận hành hệ thống điện và thị trường điện phục vụ điều khiển từ xa công suất tổ máy theo lệnh điều độ của Đơn vị vận hành hệ thống điện và thị trường điện. Đối với các nhà máy điện thuộc khu công nghiệp chỉ bán một phần sản lượng điện lên hệ thống điện quốc gia, sự cần thiết của việc trang bị hệ thống AGC được các bên thỏa thuận và ghi rõ trong Thảo thuận đấu nối. Yêu cầu kỹ thuật cụ thể về kết nối tín hiệu hệ thống AGC của tổ máy phát điện với hệ thống SCADA/EMS của Đơn vị vận hành hệ thống điện và thị trường điện được quy định tại Quy định về yêu cầu kỹ thuật và quản lý vận hành hệ thống SCADA do Cục Điều tiết điện lực ban hành.
2. Tổ máy phát điện của nhà máy điện phải có khả năng phát công suất tác dụng định mức trong dải hệ số công suất từ 0,85 (ứng với chế độ phát công suất phản kháng) đến 0,9 (ứng với chế độ nhận công suất phản kháng) tại đầu cực của máy phát điện, phù hợp với đặc tính công suất phản kháng của tổ máy.
3. [26] Tổ máy phát điện của nhà máy điện phải có khả năng tham gia vào việc điều khiển tần số sơ cấp khi tần số lệch ra khỏi dải chết của hệ thống điều tốc và đáp ứng ít nhất 50% công suất điều khiển tần số sơ cấp của tổ máy trong 15 giây đầu tiên, 100% công suất điều khiển tần số sơ cấp của tổ máy trong 30 giây và duy trì công suất này tối thiểu 15 giây tiếp theo. Công suất điều khiển tần số sơ cấp của tổ máy được tính toán theo độ lệch tần số thực tế, lượng công suất khả dụng còn lại của tổ máy, giới hạn khả năng đáp ứng sơ cấp theo công nghệ của tổ máy và các thông số cài đặt do Đơn vị vận hành hệ thống điện và thị trường điện yêu cầu.
4. Trong chế độ vận hành bình thường, sự thay đổi điện áp tại điểm đấu nối với lưới điện truyền tải trong phạm vi cho phép theo quy định tại Điều 6 Thông tư này không được ảnh hưởng đến lượng công suất tác dụng đang phát và khả năng phát toàn bộ công suất phản kháng của tổ máy phát điện.
5. Tổ máy phát điện của nhà máy điện phải có khả năng liên tục phát công suất tác dụng định mức trong dải tần số từ 49 Hz đến 51 Hz. Trong dải tần số từ 46 Hz đến dưới 49 Hz và trên 51 Hz, mức giảm công suất không được vượt quá giá trị tính theo tỷ lệ yêu cầu của mức giảm tần số hệ thống điện, phù hợp với đặc tuyến quan hệ giữa công suất tác dụng và tần số của tổ máy. Thời gian tối thiểu duy trì vận hành phát điện của nhà máy điện có công suất lắp đặt trên 30 MW hoặc nhà máy điện đấu nối vào lưới điện truyền tải tương ứng với các dải tần số của hệ thống điện theo quy định tại Bảng 7 như sau:
Bảng 7
Thời gian tối thiểu duy trì vận hành phát điện tương ứng với các dải tần số của hệ thống điện
| Dải tần số của hệ thống điện | Thời gian duy trì tối thiểu | |
|---|---|---|
| Nhà máy thủy điện | Nhà máy nhiệt điện | |
| Từ 46 Hz đến 47,5 Hz | 20 giây | Không yêu cầu |
| Trên 47,5 Hz đến 48,0 Hz | 10 phút | 10 phút |
| Trên 48 Hz đến dưới 49 Hz | 30 phút | 30 phút |
| Từ 49 Hz đến 51 Hz | Phát liên tục | Phát liên tục |
| Trên 51 Hz đến 51,5 Hz | 30 phút | 30 phút |
| Trên 51,5 Hz đến 52 Hz | 03 phút | 01 phút |
6. Tổ máy phát điện của nhà máy điện phải có khả năng chịu được mức mất đối xứng điện áp trong hệ thống điện theo quy định tại Điều 7 Thông tư này và chịu được thành phần dòng điện thứ tự nghịch và thứ tự không xuất hiện trong thời gian loại trừ ngắn mạch pha - pha và pha - đất gần máy phát bằng bảo vệ dự phòng có liên hệ với điểm đấu nối mà không được phép tách ra khỏi vận hành.
7. Tổ máy phát điện của nhà máy điện phải có khả năng làm việc liên tục ở các chế độ sau:
a) Tải không cân bằng giữa ba pha từ 10 % trở xuống;
b) Hệ số đáp ứng của kích từ đối với tổ máy phát điện đồng bộ lớn hơn 0,5 %;
c) Dòng điện thứ tự nghịch nhỏ hơn 5 % dòng điện định mức.
8. [27] Tổ máy phát điện của nhà máy điện phải duy trì nối lưới khi tốc độ biến thiên tần số hệ thống điện trong dải từ 0 Hz/giây đến 01 Hz/giây được đo trong khung thời gian 500 miligiây.
Điều 39. Hệ thống kích từ của tổ máy phát điện
1. Hệ thống kích từ của tổ máy phát điện phải đảm bảo cho tổ máy phát điện có thể làm việc với dải hệ số công suất quy định tại Khoản 2 Điều 38 Thông tư này. Hệ thống kích từ phải đảm bảo cho tổ máy phát điện vận hành ở công suất biểu kiến định mức (MVA) trong dải ± 5 % điện áp định mức tại đầu cực máy phát.
2. Tổ máy phát điện của nhà máy điện phải được trang bị AVR hoạt động liên tục có khả năng giữ điện áp đầu cực với độ sai lệch không quá ± 0,5 % điện áp định mức trong toàn bộ dải làm việc cho phép của máy phát điện.
3. AVR phải có khả năng bù lại sự sụt áp trên máy biến áp đầu cực và đảm bảo sự phân chia ổn định công suất phản kháng giữa các máy phát điện cùng nối vào một thanh cái chung.
4. AVR phải cho phép cài đặt các giới hạn về:
a) Dòng điện kích từ tối thiểu;
b) Dòng điện kích từ tối đa.
5. Khi điện áp đầu cực máy phát điện nằm trong dải từ 80 đến 120 % điện áp định mức và tần số hệ thống nằm trong dải từ 47,5 đến 52 Hz, trong thời gian tối đa 0,1 giây hệ thống kích từ tổ máy phát điện phải có khả năng tăng dòng điện và điện áp kích từ tới các giá trị như sau:
a) Đối với tổ máy phát điện của nhà máy thủy điện: 1,8 lần giá trị định mức;
b) Đối với tổ máy phát điện của nhà máy nhiệt điện: 2,0 lần giá trị định mức.
6. Tốc độ thay đổi điện áp kích từ không được thấp hơn 2,0 lần so với điện áp kích từ định mức/giây khi tổ máy phát điện mang tải định mức.
7. Tổ máy phát điện có công suất trên 30 MW phải trang bị thiết bị ổn định hệ thống điện (Power System Stabiliser - PSS) có khả năng làm suy giảm các dao động có tần số trong dải từ 0,1 Hz đến 5 Hz góp phần nâng cao ổn định hệ thống điện. Đơn vị phát điện phải cài đặt, hiệu chỉnh các thông số của thiết bị PSS theo tính toán của Đơn vị vận hành hệ thống điện và thị trường điện để đảm bảo thiết bị PSS có hệ số suy giảm dao động (Damping ratio) không nhỏ hơn 5%. Đối với các tổ máy phát điện có trang bị thiết bị PSS, Đơn vị phát điện có trách nhiệm đưa thiết bị PSS vào hoạt động theo yêu cầu của Cấp điều độ có quyền điều khiển.
Điều 40. Hệ thống điều tốc của tổ máy phát điện
1. Tổ máy phát điện của nhà máy điện khi đang vận hành phải tham gia vào việc điều chỉnh tần số sơ cấp trong hệ thống điện quốc gia.
2. Tổ máy phát điện của nhà máy điện phải được trang bị hệ thống điều tốc tác động nhanh đáp ứng được sự thay đổi của tần số hệ thống trong điều kiện vận hành bình thường. Hệ thống điều tốc phải có khả năng tiếp nhận và thực hiện các lệnh tăng, giảm hoặc thay đổi điểm đặt công suất từ hệ thống SCADA/EMS của Đơn vị vận hành hệ thống điện và thị trường điện, trừ trường hợp Đơn vị vận hành hệ thống điện và thị trường điện không có yêu cầu.
3. Hệ thống điều tốc của tổ máy phát điện phải có khả năng chỉnh định giá trị hệ số tĩnh của đặc tính điều chỉnh nhỏ hơn hoặc bằng 5 %. Giá trị cài đặt của hệ số tĩnh của đặc tính điều chỉnh do Đơn vị vận hành hệ thống điện và thị trường điện tính toán và xác định.
4. Trừ các tổ máy phát điện đuôi hơi của nhà máy điện chu trình hỗn hợp, giá trị nhỏ nhất có thể đặt được của dải chết hệ thống điều tốc của các tổ máy phát điện phải nằm trong phạm vi ± 0,05 Hz. Giá trị dải chết hệ thống điều tốc của từng tổ máy phát điện sẽ được Đơn vị vận hành hệ thống điện và thị trường điện tính toán và xác định trong quá trình đấu nối và vận hành.
5. Hệ thống điều khiển bộ điều tốc phải cho phép cài đặt các giới hạn và các bảo vệ chống vượt tốc như sau:
a) Đối với các tua bin hơi: Từ 104 % đến 112 % tốc độ định mức;
b) Đối với tua bin khí và thuỷ điện: Từ 104% đến 130% tốc độ định mức;
c) Trường hợp tổ máy phát điện vận hành trong khu vực lưới điện đang tạm thời bị tách khỏi hệ thống điện truyền tải quốc gia nhưng vẫn tiếp tục cấp điện cho khách hàng thì hệ thống điều tốc máy phát điện phải duy trì được sự ổn định tần số cho khu vực lưới điện đã tách ra.
Điều 41. Khởi động đen
1. Tại các vị trí quan trọng trong hệ thống điện truyền tải, một số nhà máy điện phải có khả năng khởi động đen. Yêu cầu về trang bị khả năng khởi động đen phải được ghi rõ trong Thỏa thuận đấu nối.
2. Đơn vị vận hành hệ thống điện và thị trường điện có trách nhiệm xác định các vị trí quan trọng trong hệ thống điện quốc gia phải xây dựng các nhà máy điện có khả năng khởi động đen và phối hợp với Đơn vị truyền tải điện, Đơn vị phát điện trong quá trình thỏa thuận đấu nối để xác định các yêu cầu cụ thể về khởi động đen đối với từng nhà máy điện.
Mục 4. YÊU CẦU KỸ THUẬT ĐỐI VỚI NHÀ MÁY ĐIỆN GIÓ, NHÀ MÁY ĐIỆN MẶT TRỜI
Điều 42. Yêu cầu kỹ thuật đối với nhà máy điện gió, nhà máy điện mặt trời [28]
1. Nhà máy điện gió, nhà máy điện mặt trời phải có khả năng duy trì vận hành phát công suất tác dụng theo các chế độ sau:
a) Chế độ phát tự do: Vận hành phát điện công suất lớn nhất có thể theo sự biến đổi của nguồn năng lượng sơ cấp (gió hoặc mặt trời);
b) Chế độ điều khiển công suất phát:
Nhà máy điện gió, nhà máy điện mặt trời phải có khả năng giới hạn công suất phát theo lệnh điều độ trong các trường hợp sau:
- Trường hợp nguồn năng lượng sơ cấp biến thiên thấp hơn giá trị giới hạn theo lệnh điều độ thì phát công suất lớn nhất có thể;
- Trường hợp nguồn năng lượng sơ cấp biến thiên bằng hoặc lớn hơn giá trị giới hạn theo lệnh điều độ thì phát công suất đúng giá trị giới hạn theo lệnh điều độ với sai số trong dải ± 01 % công suất định mức.
2. Nhà máy điện gió, nhà máy điện mặt trời tại mọi thời điểm đang nối lưới phải có khả năng duy trì vận hành phát điện trong thời gian tối thiểu tương ứng với các dải tần số vận hành theo quy định tại Bảng 8 như sau:
Bảng 8
Thời gian tối thiểu duy trì vận hành phát điện của nhà máy điện gió, nhà máy điện mặt trời tương ứng với các dải tần số của hệ thống điện
| Dải tần số của hệ thống điện | Thời gian duy trì tối thiểu |
|---|---|
| Từ 47,5 Hz đến 48,0 Hz | 10 phút |
| Trên 48 Hz đến dưới 49 Hz | 30 phút |
| Từ 49 Hz đến 51 Hz | Phát liên tục |
| Trên 51 Hz đến 51,5 Hz | 30 phút |
| Trên 51,5 Hz đến 52 Hz | 01 phút |
3. Khi tần số hệ thống điện lớn hơn 50,5 Hz, nhà máy điện gió, nhà máy điện mặt trời có khả năng giảm công suất tác dụng theo độ dốc tương đối của đường đặc tuyến tĩnh (droop characteristics) trong dải từ 02 % đến 10 %. Giá trị cài đặt độ dốc tương đối của đường đặc tuyến tĩnh do Cấp điều độ có quyền điều khiển tính toán và xác định. Quá trình giảm công suất tác dụng này phải ghi nhận bắt đầu suy giảm không muộn hơn 02 giây khi ghi nhận tần số trên 50,5 Hz và phải hoàn thành trong vòng 15 giây.
4. Nhà máy điện gió, nhà máy điện mặt trời phải có khả năng điều chỉnh công suất phản kháng theo đặc tính như hình vẽ dưới đây và mô tả tại điểm a và điểm b khoản này:

a) Trường hợp nhà máy điện phát công suất tác dụng lớn hơn hoặc bằng 20% công suất tác dụng định mức và điện áp tại phía cao áp máy biến áp tăng áp của nhà máy điện trong dải ± 10 % điện áp danh định, nhà máy điện phải có khả năng điều chỉnh liên tục công suất phản kháng trong dải hệ số công suất 0,95 (ứng với chế độ phát công suất phản kháng) đến 0,95 (ứng với chế độ nhận công suất phản kháng) tại phía cao áp của máy biến áp tăng áp của nhà máy hoặc tại điểm đo lường phân tách công suất phản kháng của từng Nhà máy trong trường hợp nhiều nhà máy cùng nối vào 01 máy biến áp tăng áp ứng với công suất định mức;
b) Trường hợp nhà máy điện phát công suất tác dụng nhỏ hơn 20% công suất định mức, nhà máy điện có thể giảm khả năng nhận hoặc phát công suất phản kháng phù hợp với đặc tính của nhà máy điện.
5. Chế độ điều khiển điện áp và công suất phản kháng:
a) Nhà máy điện gió, nhà máy điện mặt trời có khả năng điều khiển điện áp và công suất phản kháng theo các chế độ sau:
- Chế độ điều khiển điện áp theo giá trị đặt điện áp, đặc tính độ dốc điều chỉnh điện áp (đặc tính quan hệ điện áp/công suất phản kháng);
- Chế độ điều khiển theo giá trị đặt công suất phản kháng;
- Chế độ điều khiển theo hệ số công suất.
b) Nếu điện áp tại phía cao áp máy biến áp tăng áp của nhà máy điện trong dải ± 10 % điện áp danh định, nhà máy điện gió và nhà máy điện mặt trời phải có khả năng điều chỉnh điện áp tại phía hạ áp máy biến áp tăng áp với độ sai lệch không quá ± 0,5 % điện áp định mức (so với giá trị đặt điện áp) bất cứ khi nào công suất phản kháng của tổ máy phát điện còn nằm trong dải làm việc cho phép và hoàn thành trong thời gian không quá 05 giây.
6. Nhà máy điện gió, nhà máy điện mặt trời tại mọi thời điểm đang nối lưới phải có khả năng duy trì vận hành phát điện tương ứng với dải điện áp tại phía cao áp máy biến áp tăng áp của nhà máy điện trong thời gian như sau:

a) Điện áp dưới 0,3 pu, thời gian duy trì tối thiểu là 0,15 giây;
b) Điện áp từ 0,3 pu đến dưới 0,9 pu, thời gian duy trì tối thiểu được tính theo công thức sau:
Tmin = 4 x U - 0,6
Trong đó:
- Tmin (giây): Thời gian duy trì phát điện tối thiểu;
- U (pu): Điện áp thực tế tại phía cao áp máy biến áp tăng áp của nhà máy điện tính theo đơn vị pu (đơn vị tương đối);
c) Điện áp từ 0,9 pu đến dưới 1,1 pu, nhà máy điện gió và nhà máy điện mặt trời phải duy trì vận hành phát điện liên tục;
d) Điện áp từ 1,1 pu đến dưới 1,15 pu, nhà máy điện gió và nhà máy điện mặt trời phải duy trì vận hành phát điện trong thời gian 03 giây;
đ) Điện áp từ 1,15 pu đến dưới 1,2 pu, nhà máy điện gió và nhà máy điện mặt trời phải duy trì vận hành phát điện trong thời gian 0,5 giây.
7. Độ mất cân bằng pha, tổng biến dạng sóng hài và mức nhấp nháy điện áp do nhà máy điện gió, nhà máy điện mặt trời gây ra tại phía cao áp máy biến áp tăng áp của nhà máy điện không được vượt quá giá trị quy định tại Điều 7, Điều 8 và Điều 9 Thông tư này.
8. Nhà máy điện gió, nhà máy điện mặt trời phải đầu tư các trang thiết bị, hệ thống điều khiển, tự động đảm bảo kết nối ổn định, tin cậy và bảo mật với hệ thống điều khiển công suất tổ máy (AGC) của Đơn vị vận hành hệ thống điện và thị trường điện phục vụ điều khiển từ xa công suất nhà máy theo lệnh điều độ của Đơn vị vận hành hệ thống điện và thị trường điện.
9. Nhà máy điện gió, nhà máy điện mặt trời phải duy trì nối lưới khi tốc độ biến thiên tần số hệ thống điện trong dải từ 0 Hz/giây đến 01 Hz/giây được đo trong khung thời gian 500 miligiây.
10. Khi điện áp tại phía cao áp máy biến áp tăng áp của nhà máy điện nằm ngoài dải ± 10 % điện áp danh định, nhà máy điện phải có khả năng thiết lập chế độ ưu tiên phát dòng điện phản kháng (khi điện áp thấp) hoặc hút dòng điện phản kháng (khi điện áp cao) để hỗ trợ hệ thống điện trong quá trình sự cố, dòng điện phản kháng có khả năng thay đổi từ 0 % đến 10 % dòng điện định mức của nhà máy cho mỗi 01 % điện áp thay đổi với sai số không quá 20 % (tốc độ thay đổi do cấp điều độ có quyền điều khiển tính toán xác định), thời gian hoàn thành đáp ứng không trễ hơn 100 miligiây.
11. Sau khi sự cố được loại trừ và hệ thống điện trở về chế độ vận hành bình thường, nhà máy điện phải đảm bảo:
a) Nhà máy điện phải có khả năng khôi phục công suất tác dụng để quay trở về chế độ vận hành trước sự cố với tốc độ tăng công suất tác dụng không nhỏ hơn 30 % công suất định mức trên 01 giây và không lớn hơn 200 % công suất định mức trên 01 giây;
b) Trường hợp các tổ máy tuabin gió hoặc các inverter của nhà máy điện mặt trời bị ngừng vận hành khi sự cố hệ thống điện duy trì lớn hơn thời gian yêu cầu nối lưới tối thiểu, quá trình hòa lại của các tổ máy này không được sớm hơn 03 phút sau khi hệ thống điện quay về trạng thái vận hành bình thường và tốc độ khôi phục công suất tác dụng không lớn hơn 10 % công suất định mức trên 01 phút.
12. Nhà máy điện phải duy trì nối lưới khi điện áp tại phía cao áp máy biến áp tăng áp của nhà máy điện xuất hiện dao động góc pha điện áp (Phase Swing) tức thời lên đến 20 độ trong khoảng thời gian 100 miligiây mà không bị gián đoạn phát điện hay suy giảm công suất phát.
Mục 5. TRÌNH TỰ THỎA THUẬN ĐẤU NỐI
Điều 43. Trình tự thoả thuận đấu nối
1. Khi có nhu cầu đấu nối mới hoặc thay đổi điểm đấu nối hiện tại, khách hàng có nhu cầu đấu nối phải gửi hồ sơ đề nghị đấu nối cho Đơn vị truyền tải điện.
2. Hồ sơ đề nghị đấu nối bao gồm:
a) Văn bản đề nghị đấu nối, kèm theo các nội dung theo mẫu quy định tại các Phụ lục 1A, 1B, 1C ban hành kèm theo Thông tư này;
b) Các tài liệu kỹ thuật về các trang thiết bị dự định đấu nối hoặc các thay đổi dự kiến tại điểm đấu nối hiện tại;
c) Thời gian dự kiến hoàn thành dự án, số liệu kinh tế - kỹ thuật của dự án đấu nối mới hoặc thay đổi đấu nối hiện tại.
3. Sau khi nhận được hồ sơ đề nghị đấu nối đầy đủ và hợp lệ, Đơn vị truyền tải điện có trách nhiệm:
a) Xem xét các yêu cầu liên quan đến thiết bị điện dự kiến tại điểm đấu nối;
b) Chủ trì thực hiện đánh giá ảnh hưởng của việc đấu nối trang thiết bị, lưới điện, nhà máy điện của khách hàng có nhu cầu đấu nối đối với lưới điện truyền tải, bao gồm các nội dung chính sau:
- Tính toán các chế độ xác lập cho lưới điện khu vực đề nghị đấu nối trong giai đoạn 10 năm tiếp theo, bao gồm cả kết quả tính toán các phương án và đánh giá khả năng đáp ứng tiêu chí N-1 của lưới điện truyền tải khu vực;
- Tính toán, đánh giá dòng điện ngắn mạch tại các điểm đấu nối vào lưới điện truyền tải;
- Xác định cụ thể các ràng buộc, hạn chế do đấu nối mới có thể ảnh hưởng đến việc vận hành an toàn, ổn định hệ thống điện truyền tải;
- Đánh giá khả năng đáp ứng các yêu cầu trong vận hành hệ thống điện quy định tại Chương II Thông tư này, yêu cầu kỹ thuật tại điểm đấu nối quy định tại Chương này.
c) Dự thảo Thỏa thuận đấu nối theo mẫu quy định tại Phụ lục 2 ban hành kèm theo Thông tư này, gửi cho khách hàng có nhu cầu đấu nối và Cấp điều độ có quyền điều khiển;
d) Chậm nhất sau 15 ngày làm việc kể từ khi nhận được hồ sơ đề nghị đấu nối đầy đủ và hợp lệ của khách hàng, gửi văn bản đề nghị Cấp điều độ có quyền điều khiển và các đơn vị có liên quan có ý kiến chính thức về các nội dung chính sau:
- Đánh giá ảnh hưởng của đấu nối đối với hệ thống điện truyền tải;
- Các nội dung liên quan đến yêu cầu kỹ thuật đối với thiết bị điện tại điểm đấu nối, yêu cầu phục vụ vận hành, điều độ đối với các tổ máy phát điện, yêu cầu về trang bị hệ thống sa thải phụ tải theo tần số đối với khách hàng sử dụng điện để đảm bảo đáp ứng các yêu cầu vận hành và yêu cầu kỹ thuật quy định tại Chương II và Chương V Thông tư này;
- Dự thảo Thỏa thuận đấu nối theo các nội dung được quy định tại Phụ lục Thông tư này.
4. Cấp điều độ có quyền điều khiển có trách nhiệm phối hợp với Đơn vị truyền tải điện để thực hiện đánh giá ảnh hưởng của đấu nối đối với hệ thống điện truyền tải theo các nội dung quy định tại Điểm b Khoản 3 Điều này.
5. Khách hàng có nhu cầu đấu nối có trách nhiệm cung cấp đầy đủ các thông tin cần thiết khác cho Đơn vị truyền tải điện và Cấp điều độ có quyền điều khiển để xác định các đặc tính kỹ thuật, yêu cầu kỹ thuật cần thiết khác đảm bảo vận hành an toàn, ổn định và tin cậy hệ thống điện truyền tải.
6. Trong thời hạn 20 ngày làm việc kể từ khi nhận được đề nghị của Đơn vị truyền tải điện, Cấp điều độ có quyền điều khiển và các đơn vị có liên quan có trách nhiệm gửi ý kiến góp ý bằng văn bản đối với các nội dung quy định tại Điểm d Khoản 3 và Khoản 4 Điều này cho Đơn vị truyền tải điện.
7. Sau khi nhận được ý kiến góp ý của Cấp điều độ có quyền điều khiển và các đơn vị liên quan khác, Đơn vị truyền tải điện có trách nhiệm hoàn thiện dự thảo Thỏa thuận đấu nối, thoả thuận thống nhất với khách hàng có nhu cầu đấu nối các yêu cầu kỹ thuật tại điểm đấu nối và cùng khách hàng ký Thỏa thuận đấu nối.
8. Thoả thuận đấu nối được lập thành 04 bản, mỗi bên giữ 02 bản. Đơn vị truyền tải có trách nhiệm gửi 01 bản sao cho Cấp điều độ có quyền điều khiển, và các đơn vị liên quan để phối hợp thực hiện trong quá trình đầu tư xây dựng, đóng điện chạy thử và vận hành chính thức.
9. Thời gian xem xét hồ sơ đề nghị đấu nối, thỏa thuận các nội dung liên quan và ký Thỏa thuận đấu nối thực hiện theo quy định tại Điều 44 Thông tư này.
10. Trường hợp khách hàng có nhu cầu đấu nối vào lưới điện hoặc thiết bị của Khách hàng sử dụng lưới điện truyền tải khác, khách hàng có nhu cầu đấu nối có trách nhiệm thoả thuận trực tiếp với Khách hàng sử dụng lưới điện truyền tải này. Trước khi thoả thuận thống nhất với khách hàng có nhu cầu đấu nối về phương án đấu nối, Khách hàng sử dụng lưới điện truyền tải sở hữu thiết bị có trách nhiệm phối hợp với Đơn vị truyền tải điện, Cấp điều độ có quyền điều khiển để đảm bảo thiết bị của khách hàng có nhu cầu đấu nối đáp ứng đầy đủ các yêu cầu kỹ thuật của thiết bị tại điểm đấu nối quy định tại Thông tư này. Các nội dung phát sinh liên quan đến đấu nối mới với khách hàng có nhu cầu đấu nối, Khách hàng sử dụng lưới điện truyền tải có trách nhiệm cập nhật các nội dung này vào Thỏa thuận đấu nối đã ký với Đơn vị truyền tải điện.
11. Trường hợp đấu nối vào thanh cái cấp điện áp 110 kV hoặc trung áp thuộc các trạm biến áp 500 kV hoặc 220 kV trong phạm vi quản lý của Đơn vị truyền tải điện, trình tự và thủ tục thỏa thuận đấu nối được thực hiện theo quy định từ Khoản 1 đến Khoản 9 Điều này.
Điều 44. Thời hạn xem xét và ký thoả thuận đấu nối
Thời hạn để thực hiện các bước đàm phán và ký Thỏa thuận đấu nối được quy định tại Bảng 9 như sau:
Bảng 9
Thời hạn xem xét và ký Thỏa thuận đấu nối
| Các nội dung thực hiện | Thời gian thực hiện | Trách nhiệm thực hiện |
|---|---|---|
| Gửi hồ sơ đề nghị đấu nối đầy đủ và hợp lệ |
| Khách hàng có nhu cầu đấu nối |
| Xem xét hồ sơ đề nghị đấu nối, chuẩn bị dự thảo Thỏa thuận đấu nối và gửi lấy ý kiến các đơn vị | Không quá 35 ngày làm việc kể từ khi nhận hồ sơ đầy đủ và hợp lệ | Đơn vị truyền tải điện chủ trì, phối hợp với Cấp điều độ có quyền điều khiển và các đơn vị liên quan |
| Hoàn thiện dự thảo Thỏa thuận đấu nối, thỏa thuận thống nhất và ký kết Thỏa thuận đấu nối | Không quá 20 ngày làm việc kể từ khi nhận được ý kiến góp ý của các đơn vị liên quan | Đơn vị truyền tải điện và khách hàng có nhu cầu đấu nối |
Mục 6
THỰC HIỆN THỎA THUẬN ĐẤU NỐI
Điều 45. Quyền tiếp cận thiết bị tại điểm đấu nối
Đơn vị truyền tải điện và khách hàng có nhu cầu đấu nối có quyền tiếp cận các thiết bị tại điểm đấu nối trong quá trình khảo sát để lập phương án đấu nối, thiết kế, thi công, lắp đặt, thử nghiệm, kiểm tra, thay thế, tháo dỡ, vận hành và bảo dưỡng các thiết bị đấu nối.
Điều 46. [29] Cung cấp hồ sơ cho kiểm tra điều kiện đóng điện điểm đấu nối để chạy thử, nghiệm thu
1. Hồ sơ phục vụ kiểm tra tổng thể điều kiện đóng điện điểm đấu nối (các tài liệu kỹ thuật có xác nhận của khách hàng có nhu cầu đấu nối và bản sao các tài liệu pháp lý được chứng thực theo quy định), bao gồm:
a) Các biên bản nghiệm thu từng phần và toàn phần các thiết bị đấu nối của nhà máy điện, đường dây và trạm biến áp vào lưới điện truyền tải tuân thủ các tiêu chuẩn kỹ thuật Việt Nam hoặc tiêu chuẩn quốc tế được Việt Nam cho phép áp dụng và đáp ứng các yêu cầu kỹ thuật của thiết bị đấu nối quy định tại Chương này;
b) Tài liệu thiết kế kỹ thuật được phê duyệt và sửa đổi, bổ sung (nếu có) so với thiết kế ban đầu, bao gồm các tài liệu sau:
- Thuyết minh chung, mặt bằng bố trí thiết bị điện;
- Sơ đồ nối điện chính, sơ đồ nhất thứ một sợi phần điện;
- Sơ đồ nguyên lý, thiết kế của hệ thống bảo vệ, tự động hoá và điều khiển thể hiện rõ các máy cắt, máy biến dòng, máy biến điện áp, chống sét, dao cách ly, mạch logic thao tác đóng cắt liên động theo trạng thái máy cắt;
- Sơ đồ nhị thứ của hệ thống bảo vệ, tự động hóa và điều khiển;
- Sơ đồ thể hiện chi tiết phương án đấu nối công trình điện của khách hàng với lưới điện truyền tải và thông số của đường dây đấu nối;
- Các sơ đồ có liên quan khác (nếu có).
c) Các tài liệu về thông số kỹ thuật và quản lý vận hành bao gồm các tài liệu sau:
- Thông số kỹ thuật của thiết bị lắp đặt bao gồm cả thông số của đường dây đấu nối[30];
- Tài liệu về hệ thống năng lượng sơ cấp, tài liệu kỹ thuật về hệ thống kích từ, điều tốc, mô hình mô phỏng và tài liệu hướng dẫn mô phỏng của hệ thống kích từ, điều tốc, hệ thống PSS, sơ đồ hàm truyền Laplace cùng các giá trị cài đặt (đối với công trình mới là nhà máy điện);
- Tài liệu hướng dẫn chỉnh định rơ le bảo vệ, tự động hoá, phần mềm chuyên dụng để giao tiếp và chỉnh định rơ le bảo vệ, các trị số chỉnh định rơ le bảo vệ từ điểm đấu nối về phía khách hàng;
- Tài liệu hướng dẫn vận hành thiết bị của nhà chế tạo và các tài liệu kỹ thuật có liên quan khác.
d) Tính toán, đề xuất kế hoạch khởi động, chạy thử; đề xuất phương thức đóng điện và vận hành.
2. Trừ trường hợp có thỏa thuận khác, khách hàng có nhu cầu đấu nối có trách nhiệm cung cấp đầy đủ các nội dung, tài liệu theo quy định tại Khoản 1 Điều này cho Cấp điều độ có quyền điều khiển và Đơn vị truyền tải điện phục vụ lập phương thức đóng điện theo thời hạn sau:
a) Chậm nhất 03 tháng trước ngày dự kiến đưa nhà máy điện vào vận hành thử lần đầu;
b) Chậm nhất 02 tháng trước ngày dự kiến đưa đường dây, trạm điện vào vận hành thử lần đầu.
3. Cấp điều độ có quyền điều khiển có trách nhiệm lập phương thức đóng điện đưa công trình mới vào vận hành để đảm bảo an toàn, tin cậy cho thiết bị trong hệ thống điện quốc gia. Khách hàng có nhu cầu đấu nối có trách nhiệm phối hợp với Cấp điều độ có quyền điều khiển trong quá trình lập phương thức đóng điện.
4. Chậm nhất 20 ngày làm việc kể từ khi nhận đủ tài liệu, Cấp điều độ có quyền điều khiển có trách nhiệm gửi cho khách hàng có nhu cầu đấu nối các tài liệu sau:
a) Sơ đồ đánh số thiết bị;
b) Các yêu cầu về phương thức nhận lệnh điều độ;
c) Các yêu cầu đối với chỉnh định rơ le bảo vệ, tự động hoá của khách hàng từ điểm đấu nối về phía khách hàng; phiếu chỉnh định rơ le bảo vệ, tự động hoá thuộc phạm vi lưới điện truyền tải và các trị số chỉnh định liên quan đến lưới điện truyền tải đối với các thiết bị rơ le bảo vệ, tự động hoá của khách hàng có nhu cầu đấu nối;
d) Phương thức đóng điện đã thống nhất với khách hàng có nhu cầu đấu nối;
đ) Các yêu cầu về thử nghiệm, hiệu chỉnh thiết bị;
e) Các yêu cầu về thiết lập hệ thống thông tin liên lạc phục vụ điều độ;
g) Các yêu cầu về kết nối và vận hành đối với hệ thống SCADA, thiết bị giám sát ghi sự cố, hệ thống PMU và hệ thống PSS;
h) Các yêu cầu về trang bị hệ thống công nghệ thông tin, cơ sở hạ tầng cần thiết khác phục vụ vận hành thị trường điện;
i) Danh mục các Quy trình liên quan đến vận hành hệ thống điện và thị trường điện;
k) Danh sách các cán bộ liên quan và điều độ viên kèm theo số điện thoại và số fax liên lạc.
5. Chậm nhất 20 ngày làm việc trước ngày đóng điện điểm đấu nối, khách hàng có nhu cầu đấu nối phải thỏa thuận thống nhất với Cấp điều độ có quyền điều khiển lịch chạy thử, phương thức đóng điện và vận hành các trang thiết bị điện.
6. Chậm nhất 15 ngày làm việc trước ngày đóng điện điểm đấu nối, khách hàng có nhu cầu đấu nối phải cung cấp cho Đơn vị truyền tải điện các nội dung sau:
a) Lịch chạy thử, phương thức đóng điện và vận hành các trang thiết bị điện đã thoả thuận thống nhất với Cấp điều độ có quyền điều khiển;
b) Thỏa thuận phân định trách nhiệm mỗi bên về quản lý, vận hành trang thiết bị đấu nối;
c) Các quy định nội bộ về vận hành an toàn thiết bị đấu nối;
d) Danh sách các nhân viên vận hành đã được đào tạo đủ năng lực theo quy định tại Quy trình điều độ hệ thống điện quốc gia do Bộ Công Thương ban hành, bao gồm họ tên, chức danh chuyên môn, trách nhiệm, số điện thoại và số fax liên lạc.
7. Chậm nhất 15 ngày làm việc trước ngày đóng điện điểm đấu nối, khách hàng có nhu cầu đấu nối phải cung cấp cho Cấp điều độ có quyền điều khiển các nội dung quy định tại các Điểm b, c, d Khoản 6 Điều này và cung cấp cho Đơn vị bán buôn điện nội dung quy định tại Điểm a Khoản 6 Điều này.
Điều 47. [31] Kiểm tra điều kiện đóng điện điểm đấu nối để chạy thử, nghiệm thu
1. Chậm nhất 05 ngày làm việc trước ngày dự kiến thực hiện đóng điện điểm đấu nối, khách hàng có nhu cầu đấu nối có trách nhiệm thoả thuận với Đơn vị truyền tải điện ngày thực hiện kiểm tra thực tế tại điểm đấu nối.
2. [32] Đơn vị truyền tải điện có trách nhiệm thỏa thuận với khách hàng có nhu cầu đấu nối về trình tự kiểm tra hồ sơ, biên bản nghiệm thu và thực tế lắp đặt trang thiết bị theo Thỏa thuận đấu nối.
3. Trường hợp Đơn vị truyền tải điện thông báo điểm đấu nối hoặc trang thiết bị liên quan đến điểm đấu nối của khách hàng có nhu cầu đấu nối chưa đủ điều kiện đóng điện thì khách hàng có trách nhiệm hiệu chỉnh, bổ sung hoặc thay thế trang thiết bị theo yêu cầu và thoả thuận lại với Đơn vị truyền tải điện thời gian tiến hành kiểm tra lần sau.
4. Trường hợp Cấp điều độ có quyền điều khiển cảnh báo việc đóng điện có nguy cơ ảnh hưởng đến vận hành an toàn, ổn định, tin cậy của hệ thống điện truyền tải hoặc thiết bị của khách hàng thì khách hàng có trách nhiệm phối hợp với Cấp điều độ có quyền điều khiển và Đơn vị truyền tải điện để kiểm tra lại nội dung liên quan đến cảnh báo, thống nhất phương án giải quyết và thoả thuận lại với Đơn vị truyền tải điện thời gian tiến hành kiểm tra lần sau.
5. Trường hợp khách hàng có nhu cầu đấu nối nhận thấy việc thực hiện đóng điện công trình điện có khả năng ảnh hưởng đến vận hành ổn định, an toàn thiết bị của khách hàng, khách hàng có trách nhiệm đề xuất với đơn vị có liên quan để phối hợp xử lý và thoả thuận lại với Đơn vị truyền tải điện thời gian tiến hành kiểm tra lần sau.
6. Đơn vị truyền tải điện, khách hàng có nhu cầu đấu nối và các đơn vị liên quan tham gia kiểm tra có trách nhiệm ký vào Biên bản kiểm tra điều kiện đóng điện điểm đấu nối.
Điều 48. [33] Đóng điện điểm đấu nối để chạy thử, nghiệm thu
1. Sau khi có Biên bản kiểm tra điều kiện đóng điện điểm đấu nối xác nhận đủ điều kiện đóng điện, khách hàng có nhu cầu đấu nối có trách nhiệm gửi cho Cấp điều độ có quyền điều khiển và Đơn vị truyền tải điện văn bản đăng ký đóng điện điểm đấu nối kèm theo các tài liệu sau:
a) [34] Các tài liệu pháp lý và kỹ thuật của công trình:
- Văn bản xác nhận và cam kết của Khách hàng có nhu cầu đấu nối khẳng định các thiết bị trong phạm vi đóng điện đã được thử nghiệm, kiểm tra đáp ứng các yêu cầu vận hành, yêu cầu kỹ thuật thỏa thuận tại điểm đấu nối và tuân thủ đầy đủ quy định pháp luật;
- Bản sao Biên bản kiểm tra điều kiện đóng điện điểm đấu nối khẳng định đã đáp ứng đầy đủ các yêu cầu tại Thỏa thuận đấu nối;
- Hệ thống đo đếm đã được hoàn thiện theo quy định, đã chốt chỉ số các công tơ giao nhận điện năng;
- Hợp đồng mua bán điện đã ký hoặc thoả thuận về mua bán, giao nhận điện;
b) Các tài liệu xác nhận công trình đủ điều kiện về vận hành và điều độ bao gồm:
- Thiết bị nhất thứ đã được đánh số đúng theo sơ đồ nhất thứ do Cấp điều độ có quyền điều khiển ban hành;
- Hệ thống rơ le bảo vệ, tự động hoá, hệ thống điều khiển, kích từ và điều tốc đã được cài đặt, chỉnh định đúng theo các yêu cầu quy định tại Thông tư và của Cấp điều độ có quyền điều khiển;
- Danh sách nhân viên vận hành đã được đào tạo đủ năng lực, trình độ theo quy định tại Quy trình điều độ hệ thống điện quốc gia do Bộ Công Thương ban hành, bao gồm họ tên, chức danh chuyên môn, trách nhiệm, số điện thoại và số fax;
- Phương tiện thông tin điều độ theo quy định tại Quy trình điều độ hệ thống điện quốc gia do Bộ Công Thương ban hành;
- Hoàn thiện kết nối thông tin, tín hiệu đầy đủ với hệ thống SCADA, hệ thống giám sát ghi sự cố, hệ thống PMU và hệ thống thông tin của Cấp điều độ có quyền điều khiển;
- Quy trình phối hợp vận hành đã được thống nhất giữa Đơn vị phát điện với Cấp điều độ có quyền điều khiển.
2. Trường hợp việc đóng điện điểm đấu nối của khách hàng có ảnh hưởng đến chế độ vận hành hoặc phải tách thiết bị trên lưới điện truyền tải ra khỏi vận hành, Đơn vị truyền tải điện có trách nhiệm đăng ký với Cấp điều độ có quyền điều khiển kế hoạch tách thiết bị thuộc phạm vi quản lý của mình để phối hợp đóng điện điểm đấu nối.
3. Trong thời hạn 05 ngày làm việc kể từ ngày nhận được văn bản đăng ký đóng điện, Cấp điều độ có quyền điều khiển có trách nhiệm thông báo cho Đơn vị truyền tải điện và khách hàng có nhu cầu đấu nối về thời gian và phương thức đóng điện điểm đấu nối.
4. Đơn vị truyền tải điện và khách hàng có nhu cầu đấu nối có trách nhiệm phối hợp thực hiện đóng điện điểm đấu nối theo phương thức đã được Cấp điều độ có quyền điều khiển thông báo.
Điều 49. Chạy thử, nghiệm thu để đưa vào vận hành thiết bị sau điểm đấu nối
1. Trong thời gian chạy thử, nghiệm thu để đưa vào vận hành các thiết bị sau điểm đấu nối của khách hàng có nhu cầu đấu nối, khách hàng có nhu cầu đấu nối phải cử nhân viên vận hành, cán bộ có thẩm quyền trực 24/24h và thông báo danh sách cán bộ trực kèm theo số điện thoại, số fax để liên hệ với Đơn vị truyền tải điện và Cấp điều độ có quyền điều khiển khi cần thiết.
2. Trình tự chạy thử, nghiệm thu thực hiện theo quy trình hướng dẫn của nhà chế tạo và các quy định hiện hành (nếu có).
3. Trong thời gian chạy thử, nghiệm thu, khách hàng có nhu cầu đấu nối có trách nhiệm phối hợp với Đơn vị truyền tải điện, Cấp điều độ có quyền điều khiển và các đơn vị có liên quan khác để giảm thiểu ảnh hưởng của các thiết bị mới đang được chạy thử, nghiệm thu đến vận hành an toàn, tin cậy hệ thống điện truyền tải quốc gia.
4. Kết thúc quá trình chạy thử, nghiệm thu, khách hàng có nhu cầu đấu nối có trách nhiệm xác nhận và cung cấp đầy đủ các thông tin sau cho Cấp điều độ có quyền điều khiển và Đơn vị truyền tải điện:
a) Thông số kỹ thuật thực tế của các thiết bị điện, đường dây, trạm biến áp, tổ máy phát điện;
b) Kết quả thí nghiệm và thông số cài đặt thực tế của các hệ thống kích từ, hệ thống điều tốc;
c) Các yêu cầu kỹ thuật khác đã được thống nhất trong Thoả thuận đấu nối.
Trường hợp các thiết bị của khách hàng có nhu cầu đấu nối không đáp ứng các yêu cầu quy định tại Thông tư này và Thỏa thuận đấu nối đã ký, Đơn vị truyền tải điện hoặc Cấp điều độ có quyền điều khiển có quyền chưa thực hiện đấu nối nhà máy điện hoặc lưới điện của khách hàng vào lưới điện truyền tải và yêu cầu khách hàng có nhu cầu đấu nối thực hiện các biện pháp bổ sung và khắc phục.
5. [35] Lưới điện, nhà máy điện và các thiết bị điện sau điểm đấu nối của khách hàng có nhu cầu đấu nối chỉ được chính thức đưa vào vận hành sau khi đã có đầy đủ biên bản thí nghiệm, chạy thử, nghiệm thu từng phần, toàn phần và đáp ứng đầy đủ các yêu cầu quy định tại Thông tư này.
Điều 50. Kiểm tra và giám sát vận hành các thiết bị sau khi chính thức đưa vào vận hành
1. Trong quá trình vận hành, Đơn vị truyền tải điện hoặc Cấp điều độ có quyền điều khiển (sau đây gọi là bên có yêu cầu kiểm tra bổ sung) có quyền yêu cầu Khách hàng sử dụng lưới điện truyền tải thực hiện kiểm tra, thử nghiệm, thí nghiệm bổ sung các thiết bị trong phạm vi quản lý của khách hàng cho các mục đích sau:
a) Kiểm tra sự đáp ứng của các thiết bị trong lưới điện, nhà máy điện và tại điểm đấu nối với các quy định tại Thông tư này, quy chuẩn kỹ thuật được phép áp dụng tại Việt Nam và các yêu cầu cụ thể trong Thoả thuận đấu nối đã ký;
b) Kiểm tra sự tuân thủ các thỏa thuận trong hợp đồng mua bán điện và Thoả thuận đấu nối đã ký đối với các thiết bị điện của Khách hàng sử dụng lưới điện truyền tải;
c) Đánh giá ảnh hưởng của lưới điện, nhà máy điện của Khách hàng sử dụng lưới điện truyền tải đến sự vận hành an toàn, ổn định và tin cậy của hệ thống điện quốc gia;
d) Chuẩn xác và hiệu chỉnh lại các thông số kỹ thuật của các tổ máy phát điện và lưới điện của Khách hàng sử dụng lưới điện truyền tải phục vụ tính toán, vận hành an toàn, ổn định và tin cậy hệ thống điện quốc gia.
2. Chi phí thực hiện kiểm tra, thử nghiệm và thí nghiệm bổ sung phải được hai bên thoả thuận và quy định trong Thoả thuận đấu nối hoặc hợp đồng mua bán điện. Trường hợp chưa quy định trong Thoả thuận đấu nối hoặc hợp đồng mua bán điện, thực hiện như sau:
a) Trường hợp kết quả kiểm tra cho thấy các thiết bị của Khách hàng sử dụng lưới điện truyền tải không tuân thủ các quy định tại Thông tư này và quy chuẩn kỹ thuật được áp dụng cho các thiết bị thì Khách hàng sử dụng lưới điện truyền tải phải chịu toàn bộ các chi phí kiểm tra và thử nghiệm bổ sung;
b) Trường hợp kết quả kiểm tra không phát hiện vi phạm, bên có yêu cầu kiểm tra bổ sung phải chịu toàn bộ các chi phí kiểm tra và thử nghiệm bổ sung. Đối với yêu cầu kiểm tra theo quy định tại Điểm c và Điểm d Khoản 1 Điều này, Cấp điều độ có quyền điều khiển phải báo cáo và được sự cho phép của Cục Điều tiết điện lực trước khi thực hiện kiểm tra.
3. Trước khi kiểm tra và thử nghiệm bổ sung lưới điện và thiết bị điện của Khách hàng sử dụng lưới điện truyền tải, bên có yêu cầu kiểm tra bổ sung phải thông báo trước ít nhất 15 ngày cho Khách hàng sử dụng lưới điện truyền tải về nội dung, thời điểm, thời gian kiểm tra và danh sách các cán bộ tham gia kiểm tra. Khách hàng sử dụng lưới điện truyền tải có trách nhiệm phối hợp và tạo điều kiện thuận lợi để bên có yêu cầu kiểm tra bổ sung thực hiện công tác kiểm tra.
4. Trong quá trình kiểm tra, bên có yêu cầu kiểm tra bổ sung được phép lắp đặt các thiết bị giám sát và kiểm tra trong lưới điện và thiết bị điện của Khách hàng sử dụng lưới điện truyền tải nhưng không được làm ảnh hưởng đến hiệu suất của thiết bị và an toàn vận hành của nhà máy điện, lưới điện và thiết bị điện của Khách hàng sử dụng lưới điện truyền tải.
5. Trong quá trình vận hành, trường hợp thiết bị của Khách hàng sử dụng lưới điện truyền tải tại điểm đấu nối phát sinh các vấn đề kỹ thuật không đảm bảo vận hành an toàn, tin cậy cho hệ thống điện truyền tải, Cấp điều độ có quyền điều khiển phải thông báo cho Khách hàng sử dụng lưới điện truyền tải và Đơn vị truyền tải điện về nguy cơ vận hành không đảm bảo an toàn cho hệ thống điện truyền tải và yêu cầu thời gian khắc phục các vấn đề kỹ thuật không đảm bảo. Khách hàng sử dụng lưới điện truyền tải phải tiến hành các biện pháp khắc phục và thử nghiệm lại để đưa thiết bị sau điểm đấu nối vào vận hành trở lại theo quy định tại Điều 49 Thông tư này. Trường hợp sau thời gian khắc phục mà vẫn chưa giải quyết được các vấn đề kỹ thuật thì Cấp điều độ có quyền điều khiển hoặc Đơn vị truyền tải điện có quyền tách điểm đấu nối và thông báo cho Khách hàng sử dụng lưới điện truyền tải.
6. Đối với mỗi tổ máy phát điện, Cấp điều độ có quyền điều khiển có thể yêu cầu Đơn vị phát điện tiến hành thử nghiệm vào bất kỳ thời gian nào để kiểm chứng một hoặc tổ hợp các đặc tính vận hành mà Đơn vị phát điện đã đăng ký, nhưng không được thử nghiệm một tổ máy phát điện quá 03 (ba) lần trong 01 năm, trừ các trường hợp sau:
a) Kết quả thử nghiệm và kiểm tra chỉ ra rằng một hoặc nhiều đặc tính vận hành không đúng với các thông số mà Đơn vị phát điện đã công bố;
b) Khi Cấp điều độ có quyền điều khiển và Đơn vị phát điện không thống nhất ý kiến về đặc tính vận hành của tổ máy phát điện;
c) Thử nghiệm, kiểm tra theo yêu cầu của Đơn vị phát điện;
d) Thí nghiệm về chuyển đổi nhiên liệu.
7. Đơn vị phát điện có quyền tiến hành kiểm tra và thử nghiệm các tổ máy phát điện của mình với mục đích xác định lại các đặc tính vận hành của mỗi tổ máy phát điện sau khi sửa chữa, thay thế, cải tiến hoặc lắp ráp lại. Thời gian tiến hành các thử nghiệm phải thống nhất với Cấp điều độ có quyền điều khiển.
Điều 51. Thay thế thiết bị tại điểm đấu nối
1. Trong quá trình vận hành, để đảm bảo vận hành an toàn, ổn định và tin cậy hệ thống điện truyền tải, Cấp điều độ có quyền điều khiển hoặc Đơn vị truyền tải điện có quyền yêu cầu Khách hàng sử dụng lưới điện truyền tải đầu tư, nâng cấp, thay thế hoặc điều chỉnh các trị số chỉnh định của các thiết bị tại điểm đấu nối và phải thông báo, thống nhất với khách hàng trước khi thực hiện.
2. Trường hợp Khách hàng sử dụng lưới điện truyền tải có nhu cầu thay thế, nâng cấp các thiết bị tại điểm đấu nối hoặc lắp đặt bổ sung các thiết bị điện mới có khả năng ảnh hưởng đến chế độ làm việc bình thường của lưới điện truyền tải, Khách hàng sử dụng lưới điện truyền tải phải thông báo bằng văn bản và thỏa thuận với Đơn vị truyền tải điện về các thay đổi này. Trong thời hạn 10 ngày làm việc kể từ khi nhận được thông báo bằng văn bản của Khách hàng sử dụng lưới điện truyền tải, Đơn vị truyền tải điện có trách nhiệm trả lời bằng văn bản về các đề nghị thay thế, nâng cấp thiết bị tại điểm đấu nối của khách hàng.
3. Trường hợp đề xuất của Khách hàng sử dụng lưới điện truyền tải không được chấp thuận, Đơn vị truyền tải điện có trách nhiệm thông báo cho Khách hàng sử dụng lưới điện truyền tải lý do không chấp thuận đề xuất hoặc các yêu cầu sửa đổi, bổ sung cần thiết đối với các thiết bị mới dự kiến thay đổi.
4. Toàn bộ thiết bị thay thế, bổ sung tại điểm đấu nối phải được thực hiện kiểm tra, thử nghiệm và nghiệm thu theo quy trình quy định từ Điều 45 đến Điều 50 Thông tư này. Các nội dung về nâng cấp, thay thế hoặc điều chỉnh các trị số chỉnh định của các thiết bị tại điểm đấu nối phải được bổ sung vào Thỏa thuận đấu nối đã ký.
Mục 7. CHUẨN BỊ ĐÓNG ĐIỆN ĐIỂM ĐẤU NỐI ĐỐI VỚI THIẾT BỊ ĐIỆN CỦA ĐƠN VỊ TRUYỀN TẢI ĐIỆN
Điều 52. [36] Cung cấp hồ sơ cho kiểm tra điều kiện đóng điện điểm đấu nối các thiết bị của Đơn vị truyền tải điện để chạy thử, nghiệm thu
1. Hồ sơ phục vụ kiểm tra tổng thể điều kiện đóng điện điểm đấu nối (các tài liệu kỹ thuật có xác nhận của Đơn vị truyền tải điện và bản sao các tài liệu pháp lý được chứng thực theo quy định), bao gồm:
a) Sơ đồ nối điện chính, sơ đồ nhất thứ một sợi phần điện, mặt bằng bố trí thiết bị điện; sơ đồ nguyên lý, thiết kế của hệ thống rơ le bảo vệ, tự động hoá và điều khiển thể hiện rõ các máy cắt, máy biến dòng, máy biến điện áp, chống sét, dao cách ly, mạch logic thao tác đóng cắt liên động theo trạng thái máy cắt;
b) Tài liệu hướng dẫn chỉnh định rơ le bảo vệ, tự động hoá, phần mềm chuyên dụng để giao tiếp và chỉnh định rơ le, các trị số chỉnh định rơ le bảo vệ tại điểm đấu nối;
c) Tài liệu và thông số kỹ thuật của các thiết bị được lắp đặt;
d) Sơ đồ nhị thứ của hệ thống bảo vệ, tự động hóa và điều khiển;
đ) [37] Sơ đồ thể hiện chi tiết phương án đấu nối công trình điện của Đơn vị truyền tải điện và thông số của đường dây đấu nối;
e) Các sơ đồ có liên quan khác (nếu có);
g) Dự kiến kế hoạch đóng điện các hạng mục công trình, lịch chạy thử, đóng điện và vận hành.
2. Chậm nhất 02 tháng trước ngày dự kiến đưa đường dây, trạm điện vào vận hành thử nghiệm lần đầu, Đơn vị truyền tải điện có trách nhiệm cung cấp đầy đủ các tài liệu theo quy định tại Khoản 1 Điều này cho Cấp điều độ có quyền điều khiển.
3. Chậm nhất 20 ngày làm việc kể từ khi nhận đủ tài liệu, Cấp điều độ có quyền điều khiển có trách nhiệm gửi cho Đơn vị truyền tải điện các tài liệu sau:
a) Lịch chạy thử, phương thức đóng điện và vận hành các trang thiết bị điện;
b) Sơ đồ đánh số thiết bị;
c) Các yêu cầu về phương thức nhận lệnh điều độ;
d) Phiếu chỉnh định rơ le cho các thiết bị rơ le bảo vệ của Đơn vị truyền tải điện;
đ) Các yêu cầu về thử nghiệm, hiệu chỉnh thiết bị;
e) Các yêu cầu về thiết lập hệ thống thông tin liên lạc phục vụ điều độ;
g) Các yêu cầu về kết nối và vận hành đối với hệ thống SCADA;
h) Danh mục các Quy trình liên quan đến vận hành hệ thống điện và thị trường điện;
i) Danh sách các cán bộ liên quan và Điều độ viên, kèm theo số điện thoại và số fax liên lạc.
4. Chậm nhất 20 ngày trước ngày đóng điện điểm đấu nối, Đơn vị truyền tải điện phải thỏa thuận được với Cấp điều độ có quyền điều khiển kế hoạch đóng điện các hạng mục công trình, lịch chạy thử, đóng điện và vận hành.
Điều 53. [38] Đóng điện điểm đấu nối các thiết bị của Đơn vị truyền tải điện để chạy thử, nghiệm thu
1. Đơn vị truyền tải điện có trách nhiệm gửi cho Cấp điều độ có quyền điều khiển văn bản đăng ký đóng điện điểm đấu nối kèm theo các tài liệu sau:
a) [39] Các tài liệu về pháp lý và kỹ thuật:
- Văn bản xác nhận và cam kết của Chủ đầu tư khẳng định các thiết bị trong phạm vi đóng điện đã được thử nghiệm, kiểm tra đáp ứng các yêu cầu vận hành, yêu cầu kỹ thuật tại điểm đấu nối và tuân thủ đầy đủ quy định pháp luật;
- Hệ thống đo đếm đã được hoàn thiện theo quy định, đã chốt chỉ số các công tơ giao nhận điện năng.
b) Các tài liệu xác nhận công trình đủ điều kiện về vận hành và điều độ:
- Thiết bị nhất thứ đã được đánh số đúng theo sơ đồ nhất thứ do Cấp điều độ có quyền điều khiển ban hành;
- Hệ thống rơ le bảo vệ và tự động hoá đã được chỉnh định đúng theo yêu cầu của Cấp điều độ có quyền điều khiển ban hành;
- Danh sách nhân viên vận hành đã được đào tạo đủ năng lực, trình độ theo quy định tại Quy trình điều độ hệ thống điện quốc gia do Bộ Công Thương ban hành, bao gồm họ tên, chức danh chuyên môn, trách nhiệm, số điện thoại và số fax liên hệ;
- Phương tiện thông tin điều độ theo quy định tại Quy trình điều độ hệ thống điện quốc gia do Bộ Công Thương ban hành;
- Hoàn thiện kết nối thông tin, tín hiệu đầy đủ với hệ thống SCADA, hệ thống giám sát ghi sự cố, hệ thống PMU và hệ thống thông tin của Cấp điều độ có quyền điều khiển.
2. Trường hợp việc đóng điện điểm đấu nối công trình lưới điện của Đơn vị truyền tải điện có ảnh hưởng đến chế độ vận hành lưới điện, nhà máy điện của Khách hàng sử dụng lưới điện truyền tải, Đơn vị truyền tải điện có trách nhiệm đăng ký với Cấp điều độ có quyền điều khiển kế hoạch tách thiết bị thuộc phạm vi quản lý của mình. Cấp điều độ có quyền điều khiển có trách nhiệm thông báo cho Khách hàng sử dụng lưới điện truyền tải bị ảnh hưởng để phối hợp đóng điện điểm đấu nối.
3. Trong thời hạn 05 ngày làm việc kể từ ngày nhận được văn bản đăng ký đóng điện, Cấp điều độ có quyền điều khiển có trách nhiệm thông báo cho Đơn vị truyền tải điện về thời gian cụ thể đóng điện điểm đấu nối.
4. Đơn vị truyền tải điện có trách nhiệm thực hiện đóng điện điểm đấu nối theo phương thức đã được Cấp điều độ có quyền điều khiển thông báo.
Điều 54. Thay thế thiết bị trên lưới điện truyền tải
1. Trường hợp Đơn vị truyền tải điện có nhu cầu thay thế, nâng cấp các thiết bị trên lưới điện truyền tải, bổ sung các thiết bị điện mới có khả năng ảnh hưởng đến chế độ làm việc của lưới điện truyền tải, Đơn vị truyền tải điện phải thông báo bằng văn bản và thống nhất với Cấp điều độ có quyền điều khiển về các thay đổi này. Trường hợp việc thay thế, nâng cấp thiết bị của Đơn vị truyền tải điện dẫn đến phải thay đổi thiết bị tại điểm đấu nối của Khách hàng sử dụng lưới điện truyền tải, Đơn vị truyền tải điện phải thông báo bằng văn bản cho khách hàng để phối hợp thực hiện đảm bảo không gây ảnh hưởng đến chế độ vận hành thiết bị điện tại điểm đấu nối của khách hàng.
2. Trường hợp đề xuất của Đơn vị truyền tải điện không được chấp thuận, Cấp điều độ có quyền điều khiển có trách nhiệm thông báo cho Đơn vị truyền tải điện lý do không chấp thuận hoặc các yêu cầu sửa đổi, bổ sung đối với các thiết bị mới dự kiến thay đổi.
3. Các thiết bị thay thế, bổ sung phải được thực hiện theo quy định tại Điều 52 và Điều 53 Thông tư này.
Mục 8. TÁCH ĐẤU NỐI VÀ KHÔI PHỤC ĐẤU NỐI
Điều 55. Quy định chung về tách đấu nối và khôi phục đấu nối
1. Các trường hợp tách đấu nối bao gồm:
a) Tách đấu nối tự nguyện;
b) Tách đấu nối bắt buộc.
2. Khách hàng sử dụng lưới điện truyền tải phải chịu toàn bộ chi phí cho việc tách đấu nối và khôi phục đấu nối.
Điều 56. Tách đấu nối tự nguyện
1. Tách đấu nối vĩnh viễn
a) Các trường hợp tách đấu nối vĩnh viễn Khách hàng sử dụng lưới điện truyền tải ra khỏi hệ thống điện truyền tải và trách nhiệm của các bên liên quan phải được quy định trong hợp đồng mua bán điện và Thoả thuận đấu nối.
b) Khi có nhu cầu tách đấu nối vĩnh viễn ra khỏi hệ thống điện truyền tải, Khách hàng sử dụng lưới điện truyền tải có trách nhiệm:
- Thông báo bằng văn bản cho Đơn vị truyền tải điện và Cấp điều độ có quyền điều khiển ít nhất 02 tháng trước ngày dự kiến tách đấu nối vĩnh viễn trong trường hợp khách hàng không sở hữu các tổ máy phát điện đấu nối vào lưới điện truyền tải;
- Thông báo bằng văn bản cho Đơn vị truyền tải điện và Cấp điều độ có quyền điều khiển ít nhất 06 tháng trước ngày dự kiến tách đấu nối vĩnh viễn trong trường hợp khách hàng sở hữu các tổ máy phát điện đấu nối vào lưới điện truyền tải.
2. Tách đấu nối tạm thời
Khi có nhu cầu tách đấu nối tạm thời ra khỏi hệ thống điện truyền tải, Khách hàng sử dụng lưới điện truyền tải phải thông báo và thỏa thuận với Đơn vị truyền tải điện và Cấp điều độ có quyền điều khiển về thời điểm và thời gian tách đấu nối tạm thời ít nhất 01 tháng trước ngày dự kiến tách đấu nối tạm thời.
Điều 57. Tách đấu nối bắt buộc
1. Đơn vị truyền tải điện hoặc Cấp điều độ có quyền điều khiển có quyền tách đấu nối các thiết bị của Khách hàng sử dụng lưới điện truyền tải ra khỏi hệ thống điện truyền tải trong các trường hợp sau:
a) Theo yêu cầu tách đấu nối của cơ quan nhà nước có thẩm quyền khi Khách hàng sử dụng lưới điện truyền tải vi phạm các quy định của pháp luật;
b) Các trường hợp tách đấu nối bắt buộc được quy định trong hợp đồng mua bán điện hoặc Thoả thuận đấu nối;
c) Trường hợp quy định tại Khoản 5 Điều 50 Thông tư này.
2. Cục Điều tiết điện lực có quyền yêu cầu tách đấu nối bắt buộc trong trường hợp Khách hàng sử dụng lưới điện truyền tải vi phạm các quy định tại Thông tư này, quy định trong Giấy phép hoạt động điện lực, Quy định vận hành thị trường điện cạnh tranh, Quy định đo đếm điện năng trong hệ thống điện.
3. Trường hợp Khách hàng sử dụng lưới điện truyền tải không thực hiện tách đấu nối bắt buộc thì bị xử lý theo quy định của pháp luật.
Điều 58. Khôi phục đấu nối
Đơn vị truyền tải điện có trách nhiệm khôi phục đấu nối trong các trường hợp sau:
1. Khi có yêu cầu khôi phục đấu nối của cơ quan nhà nước có thẩm quyền hoặc Cục Điều tiết điện lực hoặc Cấp điều độ có quyền điều khiển với điều kiện các nguyên nhân dẫn đến tách đấu nối bắt buộc đã được loại trừ và hậu quả đã được khắc phục.
2. Khi có đề nghị khôi phục đấu nối của Khách hàng sử dụng lưới điện truyền tải trong trường hợp tách đấu nối tạm thời và các khoản chi phí liên quan đã được khách hàng thanh toán.
Chương VI. VẬN HÀNH HỆ THỐNG ĐIỆN TRUYỀN TẢI
Mục 1. NGUYÊN TẮC VẬN HÀNH HỆ THỐNG ĐIỆN TRUYỀN TẢI
Điều 59. Các chế độ vận hành của hệ thống điện truyền tải
1. Hệ thống điện truyền tải vận hành ở chế độ vận hành bình thường khi đáp ứng các điều kiện sau:
a) Công suất phát và phụ tải ở trạng thái cân bằng;
b) Không thực hiện sa thải phụ tải điện;
c) Mức mang tải của đường dây và máy biến áp trong lưới điện truyền tải đều dưới 90 % giá trị định mức;
d) Các nhà máy điện và thiết bị điện khác vận hành trong dải thông số cho phép;
đ) Tần số hệ thống điện trong phạm vi cho phép đối với chế độ vận hành bình thường theo quy định tại Điều 4 Thông tư này;
e) Điện áp tại các nút trên lưới điện truyền tải trong phạm vi cho phép theo quy định tại Điều 6 Thông tư này đối với chế độ vận hành bình thường;
g) Các nguồn dự phòng của hệ thống điện quốc gia ở trạng thái sẵn sàng đảm bảo duy trì tần số và điện áp của hệ thống điện quốc gia trong dải tần số và điện áp ở chế độ vận hành bình thường; các thiết bị tự động làm việc trong phạm vi cho phép để khi xảy ra sự cố bất thường sẽ không phải sa thải phụ tải điện.
2. Hệ thống điện truyền tải vận hành ở chế độ cảnh báo khi xuất hiện hoặc tồn tại một trong các điều kiện sau đây:
a) [40] Mức dự phòng điều tần thứ cấp, dự phòng khởi động nhanh thấp hơn mức yêu cầu ở chế độ vận hành bình thường;
b) Mức mang tải của các đường dây và máy biến áp trong lưới điện truyền tải từ 90 % trở lên nhưng không vượt quá giá trị định mức;
c) Điện áp tại một nút bất kỳ trên lưới điện truyền tải ngoài phạm vi cho phép trong chế độ vận hành bình thường, nhưng trong dải điện áp cho phép đối với trường hợp xảy ra sự cố đơn lẻ trong hệ thống điện quy định tại Điều 6 Thông tư này;
d) Có khả năng xảy ra thiên tai hoặc các điều kiện thời tiết bất thường có thể gây ảnh hưởng tới an ninh cung cấp điện;
đ) Có khả năng xảy ra các vấn đề về an ninh, quốc phòng đe dọa an ninh hệ thống điện.
3. Hệ thống điện truyền tải vận hành ở chế độ khẩn cấp khi xuất hiện hoặc tồn tại một trong các điều kiện sau đây:
a) Tần số hệ thống điện vượt ra ngoài phạm vi cho phép của chế độ vận hành bình thường, nhưng trong dải tần số cho phép đối với trường hợp xảy ra sự cố đơn lẻ trong hệ thống điện quy định tại Điều 4 Thông tư này;
b) Điện áp tại một nút bất kỳ trên lưới điện truyền tải nằm ngoài dải điện áp cho phép đối với trường hợp xảy ra sự cố đơn lẻ quy định tại Điều 6 Thông tư này;
c) Mức mang tải của bất kỳ thiết bị điện nào trong lưới điện truyền tải hoặc thiết bị điện đấu nối vào lưới điện truyền tải vượt quá giá trị định mức nhưng dưới 110 % giá trị định mức mà thiết bị này khi bị sự cố do quá tải có thể dẫn đến chế độ vận hành cực kỳ khẩn cấp.
4. [41] Hệ thống điện truyền tải vận hành ở chế độ cực kì khẩn cấp khi xuất hiện hoặc tồn tại một trong các điều kiện sau đây:
a) Tần số hệ thống điện nằm ngoài dải tần số cho phép đối với trường hợp
xảy ra sự cố đơn lẻ trong hệ thống điện quy định tại Điều 4 Thông tư này hoặc sau khi đã huy động hết nguồn dự phòng mà tần số tiếp tục giảm xuống dưới 49,5Hz;
b) Mức mang tải của bất kỳ thiết bị nào trong lưới điện truyền tải hoặc thiết bị đấu nối với lưới điện truyền tải từ 110% giá trị định mức trở lên mà thiết bị này khi bị sự cố do quá tải có thể dẫn đến tan rã từng phần hệ thống điện;
c) Điện áp tại nút bất kỳ trên lưới điện truyền tải giảm thấp dẫn đến rơ le sa thải phụ tải theo điện áp thấp làm việc; điện áp trên lưới điện truyền tải thấp hơn 10% điện áp danh định hoặc có nguy cơ sụp đổ điện áp hệ thống điện theo tính toán của cấp điều độ khi không còn biện pháp điều chỉnh ngoài việc sa thải phụ tải và điện áp tiếp tục có xu hướng giảm thấp.
5. Hệ thống điện truyền tải vận hành ở chế độ khôi phục khi các tổ máy phát điện, lưới điện truyền tải và các phụ tải điện đã được đóng điện và đồng bộ để trở về trạng thái làm việc bình thường.
Điều 60. Nguyên tắc vận hành hệ thống điện truyền tải
1. Đơn vị vận hành hệ thống điện và thị trường điện có trách nhiệm chung trong việc vận hành hệ thống điện truyền tải an toàn, tin cậy, ổn định, chất lượng và kinh tế. Đảm bảo phù hợp với các nguyên tắc, quy định về vận hành, điều độ hệ thống điện quốc gia quy định tại Quy trình điều độ hệ thống điện quốc gia do Bộ Công Thương ban hành.
2. Nguyên tắc lập kế hoạch vận hành hệ thống điện truyền tải
a) Đảm bảo vận hành an toàn, ổn định và tin cậy;
b) Tuân thủ yêu cầu về chống lũ, tưới tiêu và duy trì dòng chảy sinh thái theo các quy trình vận hành hồ chứa thủy điện đã được phê duyệt;
c) Đảm bảo ràng buộc về nhiên liệu sơ cấp cho các nhà máy nhiệt điện;
d) Đảm bảo các điều kiện kỹ thuật cho phép của các tổ máy phát điện và lưới điện truyền tải;
đ) Đảm bảo thực hiện các thỏa thuận về sản lượng điện và công suất trong các hợp đồng xuất, nhập khẩu điện, hợp đồng mua bán điện;
e) Đảm bảo nguyên tắc tối thiểu chi phí mua điện cho toàn hệ thống điện.
3. Đơn vị vận hành hệ thống điện và thị trường điện có trách nhiệm lập kế hoạch vận hành hệ thống điện truyền tải cho năm tới (năm N+1) và có xét đến 01 năm tiếp theo (năm N+2), tháng tới, tuần tới, lịch huy động ngày tới và lịch huy động chu kỳ giao dịch tới, bao gồm các nội dung chính sau:
a) Kế hoạch bảo dưỡng, sửa chữa thiết bị điện, lưới điện truyền tải;
b) Đánh giá an ninh hệ thống điện;
c) Dự báo nhu cầu phụ tải điện, kế hoạch cung cấp nhiên liệu từ các nhà máy nhiệt điện, tiến độ vào vận hành các công trình điện mới, dự báo thuỷ văn từ các nhà máy thủy điện, tính toán mức dự phòng hệ thống điện, kế hoạch huy động nguồn, huy động các dịch vụ phụ trợ và sa thải phụ tải (nếu có) để đảm bảo an ninh hệ thống điện;
d) Cảnh báo tình trạng suy giảm an ninh hệ thống điện (nếu có);
đ) [42] Yêu cầu cấu hình huy động nguồn tối thiểu và quán tính tối thiểu hệ thống điện để đảm bảo vận hành an toàn hệ thống điện.
4. Kế hoạch vận hành hệ thống điện truyền tải năm tới (năm N+1) và có xét đến một năm tiếp theo (năm N+2) phải đảm bảo:
a) Kế hoạch vận hành hệ thống điện truyền tải năm tới (năm N+1) được Đơn vị vận hành hệ thống điện và thị trường điện lập phù hợp với phương thức vận hành hệ thống điện quốc gia năm tới (năm N+1) quy định tại Quy trình điều độ hệ thống điện quốc gia do Bộ Công Thương ban hành;
b) Kế hoạch vận hành hệ thống điện truyền tải cho năm N+2 phục vụ đánh giá an ninh, định hướng các kịch bản vận hành và các giải pháp trong trung hạn để đảm bảo hệ thống điện quốc gia vận hành an toàn, ổn định và tin cậy.
5. Đơn vị truyền tải điện và Khách hàng sử dụng lưới điện truyền tải căn cứ vào kế hoạch vận hành, phương thức vận hành và lịch huy động của Đơn vị vận hành hệ thống điện và thị trường điện để lập kế hoạch vận hành nhà máy điện và lưới điện trong phạm vi quản lý đảm bảo không ảnh hưởng đến vận hành an toàn, tin cậy và ổn định hệ thống điện truyền tải.
6. Trong quá trình vận hành hệ thống điện truyền tải, Đơn vị vận hành hệ thống điện và thị trường điện phải tuân thủ các nguyên tắc sau đây để đảm bảo duy trì sự an toàn, ổn định và tin cậy của hệ thống điện truyền tải:
a) Trong chế độ vận hành bình thường, Đơn vị vận hành hệ thống điện và thị trường điện có trách nhiệm vận hành, điều độ hệ thống điện đảm bảo các tiêu chuẩn, thông số vận hành trong phạm vi cho phép đối với chế độ vận hành bình thường quy định tại Chương II Thông tư này và đáp ứng các điều kiện quy định tại Khoản 1 Điều 59 Thông tư này;
b) Trong chế độ vận hành cảnh báo, Đơn vị vận hành hệ thống điện và thị trường điện phải thông báo trên trang thông tin điện tử của hệ thống điện và thị trường điện về tình trạng và các thông tin cần cảnh báo của hệ thống điện, đồng thời đưa ra các biện pháp cần thiết để đưa hệ thống điện trở lại chế độ vận hành bình thường;
c) Trong chế độ vận hành khẩn cấp, Đơn vị vận hành hệ thống điện và thị trường điện phải tiến hành các biện pháp cần thiết để đưa hệ thống điện trở lại chế độ vận hành bình thường sớm nhất;
d) Trong chế độ vận hành cực kỳ khẩn cấp hoặc khi xảy ra sự cố nhiều phần tử hoặc khi có nguy cơ đe dọa đến tính mạng con người hoặc an toàn thiết bị, có quyền sa thải phụ tải điện nhưng phải phù hợp với quy định tại Quy trình xử lý sự cố trong hệ thống điện quốc gia do Bộ Công Thương ban hành.
Điều 61. Kiểm tra, giám sát hệ thống rơ le bảo vệ
Cấp điều độ có quyền điều khiển có trách nhiệm kiểm tra, giám sát và yêu cầu các đơn vị liên quan đảm bảo hệ thống rơ le bảo vệ, tự động hóa và điều khiển trong hệ thống điện đáp ứng các yêu cầu tại Thông tư này, Quy phạm trang bị điện do Bộ Công Thương ban hành và Quy định về yêu cầu kỹ thuật đối với hệ thống rơ le bảo vệ và tự động hóa trong nhà máy điện và trạm biến áp do Cục Điều tiết điện lực ban hành.
Điều 62. Vận hành ổn định hệ thống điện
1. Đơn vị vận hành hệ thống điện và thị trường điện có trách nhiệm tính toán, xác định giới hạn vận hành ổn định của hệ thống điện. Đơn vị truyền tải điện và Khách hàng sử dụng lưới điện truyền tải phải cung cấp thông tin theo yêu cầu của Đơn vị vận hành hệ thống điện và thị trường điện phục vụ cho việc nghiên cứu đánh giá ổn định hệ thống điện.
2. Đơn vị vận hành hệ thống điện và thị trường điện có trách nhiệm xem xét các ràng buộc an ninh hệ thống điện khi lập kế hoạch vận hành hệ thống điện để đảm bảo chế độ vận hành của hệ thống điện không vượt quá tiêu chuẩn ổn định hệ thống điện quy định tại Điều 5 Thông tư này.
3. [43] Các Đơn vị phát điện có trách nhiệm vận hành nhà máy điện để duy trì điều chỉnh điện áp làm việc và đảm bảo cung cấp đủ công suất phản kháng cho hệ thống điện trong thời gian vận hành; không được tách các tổ máy phát điện ra khỏi vận hành khi xảy ra sự cố, trừ trường hợp sự cố có nguy cơ đe dọa đến tính mạng con người hoặc an toàn thiết bị hoặc tần số vượt quá giới hạn cho phép được quy định tại Điều 38 và Điều 42 Thông tư này hoặc được Đơn vị vận hành hệ thống điện và thị trường điện cho phép.
4. Đơn vị phân phối điện và Khách hàng sử dụng điện nhận điện trực tiếp từ lưới điện truyền tải có trách nhiệm duy trì vận hành các thiết bị điều chỉnh điện áp trong lưới điện thuộc phạm vi quản lý của mình nhằm đảm bảo ổn định điện áp cho toàn hệ thống điện.
5. Các đơn vị liên quan khác có trách nhiệm duy trì vận hành lưới điện, nhà máy điện thuộc phạm vi quản lý trong các giới hạn ổn định đã xác lập cho từng giai đoạn, phối hợp duy trì sơ đồ bảo vệ để loại trừ sự cố nhanh, nhạy và chọn lọc.
Điều 63. Thử nghiệm và giám sát thử nghiệm
1. Đơn vị phát điện có trách nhiệm tiến hành các thử nghiệm đối với các tổ máy phát điện của mình theo yêu cầu của Đơn vị vận hành hệ thống điện và thị trường điện. Khi yêu cầu thử nghiệm, Đơn vị vận hành hệ thống điện và thị trường điện phải thông báo thời gian ngừng giám sát hoạt động tổ máy vì mục đích thử nghiệm.
2. Thử nghiệm về đáp ứng tự động của một tổ máy phát điện theo các thay đổi của tần số hệ thống điện được thực hiện khi hệ thống điện vận hành trong chế độ bình thường. Trong trường hợp này, Đơn vị vận hành hệ thống điện và thị trường điện phải thông báo trước ít nhất 03 ngày làm việc về việc thử nghiệm tổ máy phát điện của Đơn vị phát điện để phối hợp thực hiện.
3. Thử nghiệm chỉ được tiến hành trong giới hạn làm việc theo đặc tính vận hành của tổ máy phát điện và trong thời gian được thông báo tiến hành thử nghiệm.
4. Đơn vị vận hành hệ thống điện và thị trường điện có quyền thử nghiệm một tổ máy phát điện vào bất cứ thời gian nào nhưng không được thử nghiệm đối với một tổ máy phát điện quá 03 (ba) lần trong 01 năm, trừ các trường hợp quy định tại Khoản 6 Điều 50 Thông tư này.
5. Đơn vị phát điện có quyền yêu cầu thử nghiệm trong các trường hợp sau:
a) Kiểm tra lại các đặc tính vận hành của tổ máy phát điện đã được hiệu chỉnh sau mỗi lần xảy ra sự cố hư hỏng liên quan đến tổ máy phát điện;
b) Kiểm tra tổ máy phát điện sau khi lắp đặt, sửa chữa lớn, thay thế, cải tiến hoặc lắp ráp lại.
6. Khi có yêu cầu thử nghiệm tổ máy phát điện, Đơn vị phát điện phải đăng ký cho Đơn vị vận hành hệ thống điện và thị trường điện, trong đó ghi rõ các thông tin sau:
a) Lý lịch của tổ máy phát điện;
b) Các đặc tính của tổ máy phát điện;
c) Các giá trị của đặc tính vận hành dự định thay đổi trong quá trình thử nghiệm.
7. Trong thời hạn 03 ngày làm việc kể từ ngày nhận được yêu cầu của Đơn vị phát điện, Đơn vị vận hành hệ thống điện và thị trường điện có trách nhiệm bố trí kế hoạch thử nghiệm. Trường hợp chưa thể thực hiện thử nghiệm, Đơn vị vận hành hệ thống điện và thị trường điện có thể yêu cầu Đơn vị phát điện vận hành tổ máy phát điện theo đặc tính vận hành hiện tại.
Điều 64. Xử lý sự cố
1. Trong quá trình xử lý sự cố, Đơn vị vận hành hệ thống điện và thị trường điện được phép vận hành hệ thống điện với tần số và điện áp khác với tiêu chuẩn quy định ở chế độ vận hành bình thường nhưng phải nhanh chóng thực hiện các giải pháp để khôi phục hệ thống điện về chế độ vận hành bình thường, đảm bảo sự làm việc ổn định của hệ thống điện.
2. Đơn vị vận hành hệ thống điện và thị trường điện, Đơn vị truyền tải điện và Khách hàng sử dụng lưới điện truyền tải phải thực hiện xử lý sự cố đảm bảo tuân thủ quy định tại Quy trình xử lý sự cố trong hệ thống điện quốc gia do Bộ Công Thương ban hành.
3. Các biện pháp chính xử lý sự cố
a) [44] Thay đổi công suất phát tổ máy phát điện, ngừng hoặc khởi động tổ máy phát điện để khôi phục hệ thống điện về chế độ vận hành bình thường;
b) [45] Sa thải phụ tải theo từng tuyến đường dây bằng rơ le tự động sa thải hoặc sa thải phụ tải theo lệnh điều độ;
c) [46] Hệ thống sa thải phụ tải tự động phải được bố trí, cài đặt hợp lý để đảm bảo hệ thống điện không bị tan rã khi có sự cố xảy ra. Đơn vị vận hành hệ thống điện và thị trường điện có trách nhiệm xác định vị trí lắp đặt, các giá trị chỉnh định của các rơ le bảo vệ để thực hiện sa thải phụ tải trong trường hợp sự cố xảy ra trong hệ thống điện nhằm đảm bảo an toàn, an ninh hệ thống điện;
d) Xây dựng các phương thức phân tách hệ thống thành các vùng hoặc tạo mạch vòng để khi xảy ra sự cố lan truyền vẫn có thể cân bằng được công suất trong từng vùng, nhằm duy trì vận hành riêng rẽ một phần hệ thống điện và ngăn ngừa sự cố lan rộng trong hệ thống điện;
đ) Khi tần số tăng đến trị số cho phép, Đơn vị vận hành hệ thống điện và thị trường điện có trách nhiệm khôi phục lại các phụ tải đã bị sa thải;
e) Đơn vị vận hành hệ thống điện và thị trường điện có quyền can thiệp để hạn chế việc phải tách liên tiếp các tổ máy phát điện, các đường dây tải điện ra khỏi vận hành;
g) Trường hợp sự cố tan rã toàn bộ hoặc một phần hệ thống điện, Đơn vị vận hành hệ thống điện và thị trường điện được chỉ định nhà máy điện có khả năng khởi động đen để khôi phục hệ thống điện. Trường hợp cần thiết, Đơn vị vận hành hệ thống điện và thị trường điện có thể yêu cầu nhà máy phát điện vận hành tổ máy phát điện không theo các đặc tính vận hành với điều kiện đảm bảo an toàn cho người và thiết bị. Đơn vị phát điện có trách nhiệm tuân thủ lệnh khởi động đen và thông báo lại cho Đơn vị vận hành hệ thống điện và thị trường điện. Đơn vị vận hành hệ thống điện và thị trường điện có trách nhiệm khôi phục các phụ tải thích hợp để đảm bảo vận hành ổn định tổ máy phát điện và hoà đồng bộ với các tổ máy phát điện khác.
Điều 65. Thông báo suy giảm an ninh hệ thống điện
1. Tại bất kỳ thời điểm nào, khi nhận thấy có tín hiệu suy giảm an ninh hệ thống điện, Đơn vị vận hành hệ thống điện và thị trường điện phải gửi ngay thông báo về tình trạng giảm mức độ an toàn của hệ thống điện cho Đơn vị truyền tải điện, Khách hàng sử dụng lưới điện truyền tải và các bên có liên quan những thông tin sau:
a) Tình trạng suy giảm an ninh hệ thống điện;
b) Nguyên nhân;
c) Phụ tải có khả năng bị sa thải;
d) Các đơn vị và khu vực chịu ảnh hưởng.
2. Đơn vị vận hành hệ thống điện và thị trường điện phải thông báo trước cho các đơn vị bị ảnh hưởng khi thực hiện sa thải phụ tải theo lệnh điều độ. Thông báo phải bao gồm những thông tin sau:
a) Các khu vực bị ngừng, giảm cung cấp điện;
b) Lý do ngừng, giảm cung cấp điện;
c) Thời điểm bắt đầu ngừng, giảm cung cấp điện;
d) Thời điểm dự kiến khôi phục cung cấp điện.
3. Khi không thể thông báo trước về sa thải phụ tải theo lệnh điều độ, Đơn vị vận hành hệ thống điện và thị trường điện phải thông báo cho Đơn vị truyền tải điện, Khách hàng sử dụng lưới điện truyền tải và các đơn vị liên quan ngay sau khi thực hiện sa thải phụ tải theo lệnh điều độ:
a) Các khu vực đã bị ngừng, giảm cung cấp điện;
b) Lý do ngừng, giảm cung cấp điện;
c) Thời điểm bắt đầu ngừng, giảm cung cấp điện;
d) Thời điểm dự kiến khôi phục cung cấp điện.
4. Hình thức thông báo: Trên cơ sở đánh giá an ninh hệ thống điện theo kế hoạch vận hành hệ thống điện năm, tháng, tuần và lịch huy động ngày, Đơn vị vận hành hệ thống điện và thị trường điện có trách nhiệm thông báo suy giảm an ninh hệ thống điện và các biện pháp phòng ngừa ngừng, giảm cung cấp điện (nếu có) như sau:
a) Gửi văn bản tới các đơn vị liên quan và đăng thông tin trên Trang thông tin điện tử của hệ thống điện và thị trường điện đối với thông báo suy giảm an ninh hệ thống điện theo kế hoạch vận hành hệ thống điện năm, tháng;
b) Gửi văn bản, ra lệnh điều độ trong phạm vi quyền điều khiển và đăng thông tin trên Trang thông tin điện tử của hệ thống điện và thị trường điện đối với thông báo suy giảm an ninh hệ thống điện theo kế hoạch và phương thức vận hành hệ thống điện tuần, ngày.
Điều 66. Sa thải phụ tải đảm bảo an ninh hệ thống điện
1. Cấp điều độ có quyền điều khiển có trách nhiệm tính toán, phân bổ công suất và điện năng cắt giảm tại các Đơn vị phân phối điện và Khách hàng sử dụng điện nhận điện trực tiếp từ lưới điện truyền tải phù hợp với các quy định tại Điều 60 và Điều 64 Thông tư này và Quy định về việc lập và thực hiện kế hoạch cung ứng điện khi hệ thống điện quốc gia thiếu nguồn điện do Bộ Công Thương ban hành để đảm bảo hệ thống điện được vận hành an toàn, ổn định và tin cậy.
2. Các Đơn vị phân phối điện và Khách hàng sử dụng điện nhận điện trực tiếp từ lưới điện truyền tải có trách nhiệm thực hiện ngừng, giảm cung cấp điện đúng mức công suất và điện năng theo yêu cầu của Cấp điều độ có quyền điều khiển.
3. Trường hợp hệ thống điện vận hành ở chế độ cực kỳ khẩn cấp, Cấp điều độ có quyền điều khiển có quyền sa thải một phần phụ tải của các Đơn vị phân phối điện và Khách hàng sử dụng điện nhận điện trực tiếp từ lưới điện truyền tải, kể cả khi lượng điện năng và công suất cắt giảm đã được thực hiện theo đúng yêu cầu.
Mục 2. TRÁCH NHIỆM CỦA CÁC ĐƠN VỊ TRONG VẬN HÀNH HỆ THỐNG ĐIỆN TRUYỀN TẢI
Điều 67. Trách nhiệm của Đơn vị vận hành hệ thống điện và thị trường điện
1. Lập kế hoạch, phương thức vận hành phục vụ công tác điều độ, vận hành hệ thống điện quốc gia cho năm, tháng, tuần, ngày và lịch huy động giờ tới theo quy định tại Thông tư này và Quy trình điều độ hệ thống điện quốc gia do Bộ Công Thương ban hành.
2. Chỉ huy, điều độ hệ thống điện truyền tải tuân thủ quy định tại Quy trình điều độ hệ thống điện quốc gia, Quy trình xử lý sự cố trong hệ thống điện quốc gia, Quy trình thao tác trong hệ thống điện quốc gia do Bộ Công Thương ban hành và các quy định tại Thông tư này để đảm bảo vận hành an toàn, tin cậy, ổn định, chất lượng và kinh tế.
3. Kiểm tra và thông qua sơ đồ bảo vệ các trang thiết bị điện của Khách hàng sử dụng lưới điện truyền tải trong trường hợp sơ đồ bảo vệ đó có ảnh hưởng đến hệ thống bảo vệ lưới điện truyền tải.
4. Thiết lập và đảm bảo duy trì hoạt động ổn định, tin cậy và liên tục hệ thống thông tin, hệ thống thông tin liên lạc, truyền dữ liệu, hệ thống SCADA/EMS và điều khiển từ xa phục vụ vận hành, điều độ hệ thống điện.
5. Điều độ, vận hành các tổ máy phát điện, lưới điện truyền tải theo quy định tại Chương này và Quy trình điều độ hệ thống điện quốc gia do Bộ Công Thương ban hành.
6. Chủ trì thoả thuận thống nhất kế hoạch bảo dưỡng, sửa chữa các tổ máy phát điện và lưới điện với Đơn vị truyền tải điện và Khách hàng sử dụng lưới điện truyền tải.
7. Kiểm tra, giám sát việc cài đặt, chỉnh định các thông số hệ thống bảo vệ, tự động hoá, điều khiển, hệ thống điều tốc, hệ thống kích từ, kết nối hệ thống AGC của Đơn vị truyền tải điện và Khách hàng sử dụng lưới điện truyền tải đáp ứng các yêu cầu quy định tại Thông tư này và yêu cầu của Cấp điều độ có quyền điều khiển để đảm bảo vận hành ổn định, tin cậy hệ thống điện truyền tải. Báo cáo Cục Điều tiết điện lực các trường hợp không tuân thủ để có biện pháp giải quyết.
8. Yêu cầu thực hiện kiểm tra và thử nghiệm bổ sung các thiết bị trong phạm vi quản lý của Đơn vị truyền tải điện hoặc Khách hàng sử dụng lưới điện truyền tải.
9. Phối hợp với Đơn vị truyền tải điện trong quá trình thiết lập các sơ đồ bảo vệ lưới điện truyền tải quốc gia và duy trì đúng đặc tính vận hành của các thiết bị bảo vệ phù hợp với sơ đồ bảo vệ.
10. Chia sẻ và cung cấp các thông tin cần thiết cho Đơn vị truyền tải điện và Khách hàng sử dụng lưới điện truyền tải phục vụ công tác phối hợp vận hành hệ thống điện truyền tải.
Điều 68. Trách nhiệm của Đơn vị truyền tải điện
1. Quản lý, vận hành lưới điện truyền tải thuộc phạm vi quản lý đảm bảo đáp ứng các yêu cầu vận hành và yêu cầu kỹ thuật theo quy định tại Thông tư này, tuân thủ quy định tại Quy trình điều độ hệ thống điện quốc gia, Quy trình thao tác trong hệ thống điện quốc gia, Quy trình xử lý sự cố trong hệ thống điện quốc gia do Bộ Công Thương ban hành và các quy định khác có liên quan.
2. Cung cấp cho Cấp điều độ có quyền điều khiển các thông số kỹ thuật của thiết bị theo mẫu và thời gian do Cấp điều độ có quyền điều khiển quy định. Trừ trường hợp bảo dưỡng, sửa chữa có kế hoạch hoặc sự cố, Đơn vị truyền tải điện phải đảm bảo toàn bộ thiết bị của mình ở trạng thái sẵn sàng vận hành theo lệnh điều độ của Cấp điều độ có quyền điều khiển. Đơn vị truyền tải điện phải cung cấp cho Cấp điều độ có quyền điều khiển mọi thông tin thay đổi về mức độ sẵn sàng của thiết bị và lý do thay đổi.
3. Thiết lập các hệ thống bảo vệ, tự động hoá và điều khiển đáp ứng các yêu cầu theo quy chuẩn ngành được áp dụng, yêu cầu quy định tại Thông tư này và yêu cầu của Cấp điều độ có quyền điều khiển để đảm bảo vận hành ổn định, tin cậy hệ thống điện truyền tải.
4. Thiết lập các sơ đồ bảo vệ lưới điện truyền tải và duy trì đúng đặc tính vận hành của các thiết bị bảo vệ phù hợp với sơ đồ bảo vệ.
5. Duy trì vận hành lưới điện truyền tải trong tình trạng an toàn và tin cậy, khôi phục lại lưới điện truyền tải sau sự cố.
6. Tuân thủ các tiêu chuẩn, quy chuẩn kỹ thuật về vận hành lưới điện truyền tải; tuân thủ các quy định về an toàn điện, bảo vệ hành lang an toàn lưới điện, công trình điện theo quy định của pháp luật.
7. Đầu tư, lắp đặt, bảo trì, quản lý và vận hành đảm bảo hệ thống DCS, thiết bị đầu cuối RTU/Gateway, hệ thống thông tin trong phạm vi quản lý và đường truyền thông tin, dữ liệu để đảm bảo kết nối, truyền thông tin, dữ liệu tin cậy và liên tục về hệ thống SCADA, hệ thống thông tin, hệ thống điều khiển của Cấp điều độ có quyền điều khiển. Không tự ý tách thiết bị liên quan ra khỏi vận hành dẫn tới gây gián đoạn tín hiệu SCADA, tín hiệu thông tin và điều khiển khi chưa được sự đồng ý của Đơn vị vận hành hệ thống điện và thị trường điện, Cấp điều độ có quyền điều khiển.
8. Phối hợp với Cấp điều độ có quyền điều khiển trong quá trình lập kế hoạch vận hành, bảo dưỡng, sửa chữa lưới điện truyền tải, thiết lập sơ đồ bảo vệ, hệ thống thông tin liên lạc, hệ thống thông tin, truyền dữ liệu SCADA và tín hiệu điều khiển phục vụ vận hành hệ thống điện quốc gia.
9. Cung cấp các thông tin cần thiết cho Cấp điều độ có quyền điều khiển và Khách hàng sử dụng lưới điện truyền tải phục vụ công tác phối hợp vận hành hệ thống điện truyền tải.
Điều 69. Trách nhiệm của Đơn vị phát điện
1. Quản lý, vận hành nhà máy điện và lưới điện thuộc phạm vi quản lý đảm bảo đáp ứng các yêu cầu vận hành và yêu cầu kỹ thuật theo quy định tại Thông tư này, tuân thủ quy định tại Quy trình điều độ hệ thống điện quốc gia, Quy trình thao tác trong hệ thống điện quốc gia, Quy trình xử lý sự cố trong hệ thống điện quốc gia do Bộ Công Thương ban hành và các quy định khác có liên quan.
2. Cung cấp cho Cấp điều độ có quyền điều khiển các thông tin về độ sẵn sàng của các tổ máy phát điện, bao gồm công suất phát, thời gian khởi động và ngừng tổ máy, tốc độ tăng giảm tải. Trường hợp có thay đổi về độ sẵn sàng của các tổ máy phát điện, Đơn vị phát điện có trách nhiệm cung cấp ngay cho Cấp điều độ có quyền điều khiển các thay đổi và nêu rõ lý do.
2a. [47] Cung cấp thông tin về nguồn năng lượng sơ cấp (thông tin về thủy văn đối với nhà máy thủy điện, than - dầu - chất đốt đối với nhà máy nhiệt điện, thông tin quan trắc khí tượng đối với nhà máy điện gió, mặt trời), dự báo công suất, sản lượng của nhà máy và truyền số liệu về Đơn vị vận hành hệ thống điện và thị trường điện.
3. Duy trì hoạt động tin cậy và ổn định hệ thống điều tốc, hệ thống kích từ, kết nối hệ thống AGC và các yêu cầu kỹ thuật khác liên quan đến thiết bị tại điểm đấu nối theo quy định tại Thông tư này để đảm bảo cung cấp đầy đủ công suất theo yêu cầu của Đơn vị vận hành hệ thống điện và thị trường điện phù hợp với hợp đồng mua bán điện và Thỏa thuận đấu nối đã ký. Không tự ý thay đổi các thông số chỉnh định của các hệ thống điều tốc, hệ thống kích từ, kết nối hệ thống AGC và các yêu cầu kỹ thuật khác liên quan khi chưa được sự đồng ý của Đơn vị vận hành hệ thống điện và thị trường điện. Tiến hành các thí nghiệm, thử nghiệm và hiệu chỉnh cần thiết khi có yêu cầu từ Đơn vị vận hành hệ thống điện và thị trường điện phục vụ công tác tính toán ổn định, vận hành hệ thống điện.
4. Khi thực hiện đại tu tổ máy phát điện, Đơn vị phát điện có trách nhiệm thực hiện thí nghiệm để đánh giá vận hành của hệ thống kích từ, hệ thống điều tốc tổ máy phát điện và gửi kết quả thí nghiệm cho Đơn vị vận hành hệ thống điện và thị trường điện. Chi tiết nội dung và yêu cầu thí nghiệm thực hiện theo Quy trình thử nghiệm và giám sát thử nghiệm do Cục Điều tiết điện lực ban hành.
5. Thiết lập các hệ thống bảo vệ, tự động hoá và điều khiển đáp ứng các yêu cầu theo quy chuẩn ngành được áp dụng, yêu cầu quy định tại Thông tư này và yêu cầu của Cấp điều độ có quyền điều khiển để đảm bảo vận hành ổn định hệ thống điện quốc gia.
6. Đầu tư, lắp đặt, bảo trì, quản lý và vận hành đảm bảo hệ thống DCS, thiết bị đầu cuối RTU/Gateway, hệ thống thông tin trong phạm vi quản lý và đường truyền thông tin, dữ liệu để đảm bảo kết nối, truyền thông tin, dữ liệu tin cậy và liên tục về hệ thống SCADA, hệ thống thông tin, hệ thống điều khiển của Cấp điều độ có quyền điều khiển. Không tự ý tách thiết bị liên quan ra khỏi vận hành dẫn tới gây gián đoạn tín hiệu SCADA, tín hiệu thông tin và điều khiển khi chưa được sự đồng ý của Cấp điều độ có quyền điều khiển.
10. Cung cấp các thông tin cần thiết cho Cấp điều độ có quyền điều khiển và Đơn vị truyền tải điện phục vụ công tác phối hợp vận hành hệ thống điện truyền tải.
Điều 70. Trách nhiệm của Đơn vị phân phối điện, Đơn vị phân phối và bán lẻ điện
1. Quản lý, vận hành lưới điện phân phối thuộc phạm vi quản lý đảm bảo đáp ứng các yêu cầu vận hành và yêu cầu kỹ thuật theo quy định tại Thông tư này, tuân thủ quy định tại Quy trình điều độ hệ thống điện quốc gia, Quy trình thao tác trong hệ thống điện quốc gia, Quy trình xử lý sự cố trong hệ thống điện quốc gia do Bộ Công Thương ban hành và các quy định khác có liên quan.
2. Cung cấp cho Cấp điều độ có quyền điều khiển các thông số kỹ thuật của thiết bị theo mẫu và thời gian do Cấp điều độ có quyền điều khiển quy định. Trừ trường hợp bảo dưỡng, sửa chữa có kế hoạch hoặc sự cố, Đơn vị phân phối điện phải đảm bảo toàn bộ thiết bị của mình ở trạng thái sẵn sàng vận hành theo lệnh điều độ của Cấp điều độ có quyền điều khiển. Đơn vị phân phối điện phải cung cấp cho Cấp điều độ có quyền điều khiển mọi thông tin thay đổi về mức độ sẵn sàng của thiết bị và lý do thay đổi.
3. Thiết lập các hệ thống bảo vệ, tự động hoá và điều khiển đáp ứng các yêu cầu theo quy chuẩn ngành được áp dụng, yêu cầu quy định tại Thông tư này và yêu cầu của Cấp điều độ có quyền điều khiển để đảm bảo vận hành ổn định, tin cậy hệ thống điện truyền tải.
4. Vận hành các thiết bị bù trong lưới điện phân phối để đáp ứng nhu cầu công suất phản kháng mà đơn vị có nghĩa vụ cung cấp cho hệ thống điện.
5. Duy trì hoạt động của hệ thống bảo vệ, khả năng sẵn sàng làm việc của hệ thống tự động sa thải phụ tải theo yêu cầu của Cấp điều độ có quyền điều khiển.
6. Lập và cung cấp số liệu dự báo nhu cầu phụ tải điện cho Đơn vị vận hành hệ thống điện và thị trường điện theo quy định tại Chương III Thông tư này.
7. Đầu tư, lắp đặt, bảo trì, quản lý và vận hành đảm bảo hệ thống DCS, thiết bị đầu cuối RTU/Gateway, hệ thống thông tin trong phạm vi quản lý và đường truyền thông tin, dữ liệu để đảm bảo kết nối, truyền thông tin, dữ liệu tin cậy và liên tục về hệ thống SCADA, hệ thống thông tin, hệ thống điều khiển của Cấp điều độ có quyền điều khiển. Không tự ý tách thiết bị liên quan ra khỏi vận hành dẫn tới gây gián đoạn tín hiệu SCADA, tín hiệu thông tin và điều khiển khi chưa được sự đồng ý của Cấp điều độ có quyền điều khiển.
8. Cung cấp các thông tin cần thiết cho Cấp điều độ có quyền điều khiển và Đơn vị truyền tải điện phục vụ công tác phối hợp vận hành hệ thống điện truyền tải.
Điều 71. Trách nhiệm của Khách hàng sử dụng điện nhận điện trực tiếp từ lưới điện truyền tải
1. Quản lý, vận hành thiết bị điện, lưới điện thuộc phạm vi quản lý đảm bảo đáp ứng các yêu cầu vận hành và yêu cầu kỹ thuật theo quy định tại Thông tư này, tuân thủ quy định tại Quy trình điều độ hệ thống điện quốc gia, Quy trình thao tác trong hệ thống điện quốc gia, Quy trình xử lý sự cố trong hệ thống điện quốc gia do Bộ Công Thương ban hành và các quy định khác có liên quan.
2. Thực hiện đúng biểu đồ phụ tải và đảm bảo hệ số công suất quy định trong hợp đồng mua bán điện đã ký.
3. Đầu tư, lắp đặt, bảo trì, quản lý và vận hành hệ thống rơ le bảo vệ, tự động hoá và điều khiển trong phạm vi quản lý của mình để đảm bảo làm việc ổn định, tin cậy chống sự cố lan truyền vào hệ thống điện quốc gia. Không tự ý thay đổi các thông số chỉnh định của các hệ thống rơ le bảo vệ, tự động hoá, điều khiển và các yêu cầu kỹ thuật khác liên quan trong phạm vi quản lý khi chưa được sự đồng ý của Cấp điều độ có quyền điều khiển. Tiến hành các thí nghiệm hiệu chỉnh cần thiết khi có yêu cầu từ Cấp điều độ có quyền điều khiển.
4. Lập và cung cấp số liệu dự báo nhu cầu phụ tải điện cho Đơn vị vận hành hệ thống điện và thị trường điện theo quy định tại Chương III Thông tư này.
5. Đầu tư, lắp đặt, bảo trì, quản lý và vận hành đảm bảo hệ thống DCS, thiết bị đầu cuối RTU/Gateway, hệ thống thông tin trong phạm vi quản lý và đường truyền thông tin, dữ liệu để đảm bảo kết nối, truyền thông tin, dữ liệu tin cậy và liên tục về hệ thống SCADA, hệ thống thông tin, hệ thống điều khiển của Cấp điều độ có quyền điều khiển. Không tự ý tách thiết bị liên quan ra khỏi vận hành dẫn tới gây gián đoạn tín hiệu SCADA, tín hiệu thông tin và điều khiển khi chưa được sự đồng ý của Cấp điều độ có quyền điều khiển.
6. Cung cấp các thông tin cần thiết cho Cấp điều độ có quyền điều khiển và Đơn vị truyền tải điện khi có yêu cầu phục vụ vận hành an toàn, tin cậy hệ thống điện quốc gia.
Mục 3. DỊCH VỤ PHỤ TRỢ
Điều 72. Các loại dịch vụ phụ trợ [48]
Các loại dịch vụ phụ trợ trong hệ thống điện bao gồm:
1. Điều khiển tần số thứ cấp (Điều tần thứ cấp).
2. Khởi động nhanh.
3. Điều chỉnh điện áp.
4. Dự phòng vận hành phải phát để đảm bảo an ninh hệ thống điện.
5. Khởi động đen.
Điều 73. Yêu cầu kỹ thuật đối với các dịch vụ phụ trợ [49]
1. Điều tần thứ cấp: Tổ máy phát điện, nhà máy điện cung cấp dịch vụ điều tần thứ cấp phải có khả năng bắt đầu cung cấp công suất điều tần trong vòng 20 giây kể từ khi nhận được tín hiệu AGC từ Đơn vị vận hành hệ thống điện và thị trường điện và cung cấp toàn bộ công suất điều tần thứ cấp đã đăng ký trong vòng 10 phút và duy trì mức công suất này tối thiểu 15 phút.
2. Khởi động nhanh: Tổ máy phát điện, nhà máy điện cung cấp dự phòng khởi động nhanh phải có khả năng tăng đến công suất định mức trong vòng 25 phút và duy trì ở mức công suất này tối thiểu 08 giờ.
3. Điều chỉnh điện áp: Tổ máy phát điện, nhà máy điện cung cấp dịch vụ điều chỉnh điện áp phải có khả năng thay đổi công suất phản kháng ngoài dải điều chỉnh quy định tại khoản 2 Điều 38 và khoản 4 Điều 42 Thông tư này, đáp ứng yêu cầu của Đơn vị vận hành hệ thống điện và thị trường điện.
4. Dự phòng vận hành phải phát để đảm bảo an ninh hệ thống điện: Tổ máy phát điện, nhà máy điện cung cấp dịch vụ dự phòng vận hành phải phát để đảm bảo an ninh hệ thống điện phải có khả năng tăng đến công suất định mức trong vòng 01 giờ và duy trì mức công suất định mức tối thiểu trong 08 giờ (không bao gồm thời gian khởi động).
5. Khởi động đen: Tổ máy phát điện, nhà máy điện cung cấp dịch vụ khởi động đen phải có khả năng tự khởi động từ trạng thái nguội mà không cần nguồn cấp từ hệ thống điện quốc gia và phải có khả năng kết nối, cấp điện cho hệ thống điện sau khi đã khởi động thành công.
Điều 74. Xác định nhu cầu dịch vụ phụ trợ [50]
1. Nguyên tắc chung để xác định nhu cầu dịch vụ phụ trợ, bao gồm:
a) Đảm bảo duy trì mức dự phòng điện năng và công suất của hệ thống điện để đáp ứng các tiêu chuẩn vận hành và an ninh hệ thống điện;
b) Đảm bảo chi phí tối thiểu phù hợp với các điều kiện, ràng buộc trong hệ thống điện quốc gia.
2. Đơn vị vận hành hệ thống điện và thị trường điện và Tập đoàn Điện lực Việt Nam có trách nhiệm xác định và trình nhu cầu dịch vụ phụ trợ cho hệ thống điện quốc gia theo Quy trình xác định nhu cầu và vận hành dịch vụ phụ trợ do Cục Điều tiết điện lực ban hành.
Điều 75. Đăng ký dịch vụ phụ trợ
1. Trừ dịch vụ khởi động đen, Đơn vị phát điện có trách nhiệm đăng ký với Đơn vị vận hành hệ thống điện và thị trường điện khả năng cung cấp dịch vụ phụ trợ của từng tổ máy phát điện phù hợp với các yêu cầu kỹ thuật và nhu cầu dịch vụ phụ trợ quy định tại Điều 73 và Điều 74 Thông tư này.
2. Đối với nhà máy điện chuẩn bị đóng điện đưa vào vận hành thương mại, Đơn vị phát điện có trách nhiệm đăng ký khả năng cung cấp dịch vụ phụ trợ của từng tổ máy phát điện chậm nhất 03 tháng trước ngày tổ máy phát điện vận hành thương mại.
3. Đơn vị phát điện phải thông báo cho Đơn vị vận hành hệ thống điện và thị trường điện bất kỳ thay đổi nào về thiết bị ảnh hưởng đến khả năng cung cấp dịch vụ phụ trợ của đơn vị mình trong thời gian sớm nhất.
Mục 4. BẢO DƯỠNG, SỬA CHỮA HỆ THỐNG ĐIỆN TRUYỀN TẢI
Điều 76. Quy định chung về bảo dưỡng và sửa chữa hệ thống điện truyền tải
1. Đơn vị vận hành hệ thống điện và thị trường điện có trách nhiệm lập kế hoạch bảo dưỡng, sửa chữa hệ thống điện truyền tải bao gồm kế hoạch bảo dưỡng, sửa chữa lưới điện truyền tải, các nhà máy điện có công suất lắp đặt trên 30 MW và các nhà máy điện đấu nối vào lưới điện truyền tải phục vụ lập kế hoạch vận hành hệ thống điện truyền tải theo quy định.
2. Kế hoạch bảo dưỡng, sửa chữa hệ thống điện truyền tải được lập trên cơ sở đăng ký kế hoạch vận hành và kế hoạch bảo dưỡng, sửa chữa lưới điện, nhà máy điện của Đơn vị truyền tải điện, Khách hàng sử dụng lưới điện truyền tải và phải được tính toán cân đối trong toàn bộ hệ thống điện quốc gia theo các nguyên tắc sau:
a) Đảm bảo vận hành an toàn, ổn định, tin cậy và kinh tế toàn hệ thống điện quốc gia;
b) Cân bằng công suất nguồn điện và phụ tải điện, có đủ lượng công suất, điện năng dự phòng và các dịch vụ phụ trợ cần thiết trong các chế độ vận hành của hệ thống điện quốc gia;
c) Tối ưu việc phối hợp bảo dưỡng, sửa chữa thiết bị, lưới điện và nhà máy điện với các ràng buộc về điều kiện thủy văn, yêu cầu về cấp nước hạ du, phòng lũ và cung cấp nhiên liệu sơ cấp cho phát điện;
d) Kế hoạch bảo dưỡng, sửa chữa ngắn hạn phải được lập dựa trên Kế hoạch bảo dưỡng, sửa chữa dài hạn;
đ) Đảm bảo công suất, điện năng dự phòng ở mức cao nhất có thể trong các giờ cao điểm của hệ thống điện quốc gia. Ưu tiên bố trí sắp xếp bảo dưỡng, sửa chữa vào những thời điểm phụ tải thấp của hệ thống điện quốc gia;
e) Hạn chế tối đa việc ngừng, giảm cung cấp điện trong hệ thống điện quốc gia; hạn chế bố trí kế hoạch bảo dưỡng, sửa chữa vào các thời điểm đặc biệt có sự kiện chính trị, văn hoá, xã hội.
3. Đơn vị vận hành hệ thống điện và thị trường điện phải đánh giá mức độ ảnh hưởng của kế hoạch bảo dưỡng, sửa chữa hệ thống điện truyền tải do Đơn vị truyền tải điện và Khách hàng sử dụng lưới điện truyền tải đăng ký đối với vấn đề an ninh hệ thống điện theo quy định từ Điều 92 đến Điều 95 Thông tư này.
4. Đơn vị truyền tải điện và Khách hàng sử dụng lưới điện truyền tải phải tuân thủ kế hoạch bảo dưỡng, sửa chữa hệ thống điện truyền tải do Đơn vị vận hành hệ thống điện và thị trường điện lập và công bố.
5. Kế hoạch bảo dưỡng sửa, chữa hệ thống điện truyền tải bao gồm:
a) Kế hoạch bảo dưỡng, sửa chữa năm: Được lập cho năm tới (năm N+1) và có xét đến 01 năm tiếp theo (năm N+2) phục vụ lập kế hoạch vận hành hệ thống điện năm và đánh giá an ninh trung hạn;
b) Kế hoạch bảo dưỡng, sửa chữa tháng: Được lập và cập nhật cho tháng tới và có xét đến 01 tháng tiếp theo trên cơ sở kế hoạch bảo dưỡng, sửa chữa năm được duyệt;
c) Lịch bảo dưỡng, sửa chữa tuần: Được lập và cập nhật cho tuần tới và có xét đến 01 tuần tiếp theo trên cơ sở kế hoạch bảo dưỡng, sửa chữa tháng được duyệt;
d) Lịch bảo dưỡng, sửa chữa ngày: Xác định cụ thể các công tác bảo dưỡng, sửa chữa cần thực hiện trong ngày tới.
6. Thời gian đăng ký kế hoạch bảo dưỡng, sửa chữa hệ thống điện truyền tải phải phù hợp với quy định về thời gian đăng ký kế hoạch vận hành hệ thống điện truyền tải.
7. Kế hoạch bảo dưỡng, sửa chữa hệ thống điện truyền tải bao gồm các nội dung chính sau:
a) Tên thiết bị cần được bảo dưỡng, sửa chữa;
b) Yêu cầu và nội dung bảo dưỡng, sửa chữa;
c) Dự kiến thời gian bắt đầu và hoàn thành công việc bảo dưỡng, sửa chữa;
d) Những thiết bị liên quan khác.
Điều 77. Lập kế hoạch bảo dưỡng, sửa chữa hệ thống điện truyền tải
1. Kế hoạch bảo dưỡng, sửa chữa hệ thống điện truyền tải phải đảm bảo phối hợp lịch bảo dưỡng, sửa chữa cho các thiết bị, lưới điện, nhà máy điện để giảm thiểu ảnh hưởng tới an ninh hệ thống điện quốc gia.
2. Định kỳ hàng năm, Đơn vị truyền tải điện và Khách hàng sử dụng lưới điện truyền tải phải đăng ký với Đơn vị vận hành hệ thống điện và thị trường điện kế hoạch bảo dưỡng, sửa chữa lưới điện, nhà máy điện năm.
3. Trên cơ sở các thông tin đăng ký về kế hoạch bảo dưỡng, sửa chữa được cung cấp, Đơn vị vận hành hệ thống điện và thị trường điện có trách nhiệm lập kế hoạch bảo dưỡng, sửa chữa cho các tổ máy phát điện, lưới điện truyền tải và các thiết bị đấu nối liên quan đảm bảo tuân thủ các quy định tại Điều 76 Thông tư này.
4. Đơn vị vận hành hệ thống điện và thị trường điện phải phối hợp với các đơn vị có liên quan để lập kế hoạch bảo dưỡng, sửa chữa thiết bị hợp lý, đảm bảo an ninh cung cấp điện của hệ thống điện quốc gia.
5. Sau khi hoàn thành kế hoạch bảo dưỡng, sửa chữa hệ thống điện truyền tải, Đơn vị vận hành hệ thống điện và thị trường điện phải định kỳ công bố trên Trang thông tin điện tử của hệ thống điện và thị trường điện các thông tin sau:
a) Kế hoạch bảo dưỡng, sửa chữa năm: Công bố hàng năm;
b) Kế hoạch bảo dưỡng, sửa chữa tháng: Công bố hàng tháng;
c) Lịch bảo dưỡng, sửa chữa tuần: Công bố hàng tuần;
d) Lịch bảo dưỡng, sửa chữa ngày: Công bố hàng ngày.
Điều 78. Thứ tự ưu tiên tách thiết bị để bảo dưỡng, sửa chữa
1. Trong quá trình lập kế hoạch bảo dưỡng, sửa chữa thiết bị quy định tại Điều 77 Thông tư này, Đơn vị vận hành hệ thống điện và thị trường điện có thể từ chối yêu cầu tách thiết bị để bảo dưỡng, sửa chữa khi xác định việc tách thiết bị này ảnh hưởng đến an ninh hệ thống điện và phải nêu rõ lý do.
2. Trước khi từ chối yêu cầu tách thiết bị để bảo dưỡng, sửa chữa, Đơn vị vận hành hệ thống điện và thị trường điện phải lập kế hoạch bảo dưỡng, sửa chữa hệ thống điện truyền tải theo thực hiện thứ tự ưu tiên như sau:
a) Tách thiết bị để bảo dưỡng, sửa chữa nguồn điện có mức ưu tiên cao hơn so với lưới điện truyền tải;
b) Tách thiết bị để bảo dưỡng, sửa chữa các nguồn điện phải được ưu tiên thực hiện theo nguyên tắc tối thiểu chi phí mua điện toàn hệ thống;
c) Trường hợp có hai hoặc nhiều yêu cầu tách thiết bị để bảo dưỡng, sửa chữa nguồn điện có cùng ảnh hưởng đến chi phí phát điện thì yêu cầu nào đưa trước sẽ có thứ tứ ưu tiên cao hơn.
3. Căn cứ thứ tự ưu tiên quy định tại Khoản 2 Điều này, Đơn vị vận hành hệ thống điện và thị trường điện có quyền từ chối yêu cầu tách thiết bị để bảo dưỡng, sửa chữa đến khi yêu cầu an ninh hệ thống điện được đảm bảo.
Điều 79. Đăng ký tách thiết bị để bảo dưỡng, sửa chữa
1. Việc đăng ký đưa thiết bị đang vận hành hoặc dự phòng để thực hiện bảo dưỡng, sửa chữa của Đơn vị truyền tải điện và Khách hàng sử dụng lưới điện truyền tải được phân loại như sau:
a) Đăng ký bảo dưỡng, sửa chữa theo kế hoạch là đăng ký tách thiết bị để bảo dưỡng, sửa chữa trên cơ sở kế hoạch bảo dưỡng, sửa chữa hệ thống điện truyền tải đã được Đơn vị vận hành hệ thống điện và thị trường điện lập và công bố;
b) Đăng ký bảo dưỡng, sửa chữa ngoài kế hoạch là đăng ký tách thiết bị để bảo dưỡng, sửa chữa không theo kế hoạch bảo dưỡng, sửa chữa hệ thống điện truyền tải đã được Đơn vị vận hành hệ thống điện và thị trường điện lập và công bố;
c) Đăng ký bảo dưỡng, sửa chữa đột xuất là đăng ký tách thiết bị đang vận hành trong tình trạng có nguy cơ dẫn đến sự cố để sữa chữa.
2. Nội dung của đăng ký tách thiết bị ra sửa chữa bao gồm:
a) Tên thiết bị;
b) Nội dung công việc chính;
c) Thời gian dự kiến tiến hành công việc;
d) Thời gian dự kiến tiến hành nghiệm thu, chạy thử;
đ) Thời điểm dự kiến thao tác tách thiết bị và đưa thiết bị trở lại làm việc;
e) Các thiết bị cần cô lập khác;
g) Các thông tin cần thiết khác.
3. Trường hợp có cảnh báo suy giảm an ninh hệ thống điện dẫn đến phải thay đổi lịch tách thiết bị ra sửa chữa, Đơn vị truyền tải điện hoặc Khách hàng sử dụng lưới điện truyền tải phải đăng ký lại với Đơn vị vận hành hệ thống điện và thị trường điện ít nhất 48 giờ trước giờ thiết bị được tách ra khỏi vận hành, kể cả sửa chữa trong kế hoạch và ngoài kế hoạch.
4. Trường hợp cần thiết, khi có nguy cơ đe dọa đến tính mạng con người hoặc an toàn thiết bị, Đơn vị truyền tải điện hoặc Khách hàng sử dụng lưới điện truyền tải có thể tách thiết bị đó để tránh nguy hiểm cho người hoặc thiết bị. Đơn vị truyền tải điện hoặc Khách hàng sử dụng lưới điện truyền tải phải thông báo ngay cho Đơn vị vận hành hệ thống điện và thị trường điện đầy đủ các thông tin về việc tách thiết bị khẩn cấp khỏi vận hành.
5. Khi có thông báo suy giảm an ninh hệ thống điện quy định tại Điều 65 Thông tư này, Đơn vị truyền tải điện hoặc Khách hàng sử dụng lưới điện truyền tải có thể đưa thiết bị đang tách bảo dưỡng, sửa chữa trở lại vận hành trong thời gian sớm nhất so với kế hoạch đã được phê duyệt, đảm bảo không chậm hơn 48 giờ kể từ khi nhận được yêu cầu của Đơn vị vận hành hệ thống điện và thị trường điện. Trường hợp này, Đơn vị truyền tải điện hoặc Khách hàng sử dụng lưới điện truyền tải phải thông báo cho Đơn vị vận hành hệ thống điện và thị trường điện trước thời điểm dự kiến đưa thiết bị vận hành trở lại ít nhất 04 giờ.
Điều 80. Tách sửa chữa khẩn cấp thiết bị đang vận hành
1. Trường hợp phát hiện thiết bị đang vận hành có nguy cơ đe dọa đến tính mạng con người hoặc an toàn thiết bị, nhân viên vận hành của Đơn vị truyền tải điện hoặc Khách hàng sử dụng lưới điện truyền tải có quyền tách khẩn cấp thiết bị ra khỏi hệ thống điện truyền tải và phải chịu hoàn toàn trách nhiệm về quyết định của mình trong việc tách thiết bị đó ra khỏi hệ thống điện truyền tải.
2. Tách thiết bị khẩn cấp bao gồm cả việc tách thiết bị tự động do các thiết bị bảo vệ hoặc các thiết bị tự động khác.
Điều 81. Báo cáo việc tách sửa chữa khẩn cấp thiết bị
Trường hợp tách sửa chữa khẩn cấp thiết bị, các đơn vị có trách nhiệm thực hiện báo cáo như sau:
1. Đơn vị truyền tải điện và Khách hàng sử dụng lưới điện truyền tải có trách nhiệm cập nhật và thông báo ngay cho Đơn vị vận hành hệ thống điện và thị trường điện về sự thay đổi trạng thái của thiết bị và các thông tin liên quan đến thiết bị.
2. Trong thời hạn 24 giờ, đối với các trường hợp tách sửa chữa khẩn cấp gây ngừng, giảm cung cấp điện diện rộng trong hệ thống điện quốc gia, Đơn vị vận hành hệ thống điện và thị trường điện có trách nhiệm gửi báo cáo Cục Điều tiết điện lực về lý do tách thiết bị khỏi vận hành, nêu rõ nguyên nhân và phạm vi ảnh hưởng.
Mục 5. LẬP LỊCH VÀ ĐIỀU ĐỘ HỆ THỐNG ĐIỆN
Điều 82. Lập lịch huy động ngày tới
1. Mục đích của việc lập lịch huy động ngày tới là để cập nhật, điều chỉnh lịch huy động các tổ máy phát điện và các dịch vụ phụ trợ trong các chu kỳ giao dịch của ngày tới.
2. Lập lịch huy động ngày tới được thực hiện theo Quy định vận hành thị trường điện cạnh tranh và Quy trình điều độ hệ thống điện quốc gia do Bộ Công Thương ban hành, đồng thời xét đến các ràng buộc an ninh hệ thống điện.
3. Đơn vị vận hành hệ thống điện và thị trường điện có trách nhiệm tính toán, lập lịch huy động ngày tới và công bố thông tin về kết quả lịch huy động ngày tới trên Trang thông tin điện tử của hệ thống điện và thị trường điện theo thời gian biểu vận hành thị trường điện.
Điều 83. Ràng buộc an ninh hệ thống
1. Để lập lịch huy động và điều độ đảm bảo phù hợp với các nguyên tắc vận hành an toàn quy định tại Điều 60 và Điều 62 Thông tư này, Đơn vị vận hành hệ thống điện và thị trường điện phải xác định cụ thể các ràng buộc an ninh hệ thống điện trong mô hình tính toán lập lịch huy động.
2. Đơn vị vận hành hệ thống điện và thị trường điện có trách nhiệm nghiên cứu và xác định danh mục các ràng buộc an ninh hệ thống điện phục vụ quá trình lập lịch huy động và điều độ kinh tế hệ thống điện, bao gồm:
a) Ràng buộc lưới điện truyền tải;
b) Ràng buộc khả năng phát của tổ máy phát điện;
c) Yêu cầu đối với dịch vụ phụ trợ;
d) Các ràng buộc cần thiết để đảm bảo an ninh cung cấp điện quy định tại Điều 60 và Điều 62 Thông tư này.
3. Đơn vị vận hành hệ thống điện và thị trường điện phải công bố cơ sở xác định và cách tính các ràng buộc an ninh hệ thống điện trước ít nhất 01 tuần và phải được cập nhật liên tục.
4. Trường hợp cần thiết, Đơn vị vận hành hệ thống điện và thị trường điện có thể thay đổi những ràng buộc an ninh hệ thống điện trong quá trình điều độ thời gian thực để đảm bảo vận hành an toàn hệ thống điện.
5. Đơn vị vận hành hệ thống điện và thị trường điện phải công bố lịch huy động ngày tới, những ràng buộc an ninh hệ thống điện ảnh hưởng đến lịch huy động ngày tới, lịch huy động trong các chu kỳ giao dịch và những phương thức điều độ thời gian thực cùng với giải trình về bất kỳ thay đổi nào khi thực hiện điều độ thời gian thực.
Điều 84. Điều độ hệ thống điện thời gian thực
1. Mục đích điều độ hệ thống điện thời gian thực
a) Đảm bảo điều độ các tổ máy phát điện và dịch vụ phụ trợ trong thời gian thực được thực hiện minh bạch đối với các bên khi tham gia thị trường điện;
b) Đảm bảo hệ thống điện được vận hành an toàn, ổn định và tin cậy theo quy định.
2. Các nguyên tắc điều độ hệ thống điện thời gian thực
a) Đơn vị vận hành hệ thống điện và thị trường điện có trách nhiệm vận hành, điều độ hệ thống điện trong thời gian thực, ra lệnh điều độ và tuân thủ theo các quy trình, quy định có liên quan. Lịch huy động các tổ máy phát điện trong thời gian thực phải đảm bảo đáp ứng các ràng buộc an ninh hệ thống điện và tối thiểu hoá chi phí toàn hệ thống;
b) Việc điều độ hệ thống điện trong thời gian thực phải căn cứ trên lịch huy động ngày tới và lịch huy động các tổ máy trong thời gian thực. Trường hợp khẩn cấp, để đảm bảo an ninh hệ thống điện, Đơn vị vận hành hệ thống điện và thị trường điện có quyền vận hành hệ thống điện khác với lịch huy động các tổ máy trong thời gian thực. Các thay đổi này phải được ghi lại trong nhật ký vận hành ngày và thông báo cho các bên có liên quan;
c) Các đơn vị tham gia thị trường điện phải tuân thủ lệnh điều độ của Đơn vị vận hành hệ thống điện và thị trường điện;
d) Các lệnh điều độ phải được ghi lại trong nhật ký điều độ, bằng máy ghi âm và cơ sở dữ liệu của phần mềm quản lý vận hành hệ thống điện;
đ) Sau thời điểm vận hành thời gian thực, Đơn vị vận hành hệ thống điện và thị trường điện phải công bố thông tin về các lệnh điều độ huy động tổ máy, vận hành hệ thống điện trên Trang thông tin điện tử của hệ thống điện và thị trường điện theo thời gian biểu vận hành thị trường điện.
Điều 85. Các phương thức vận hành hệ thống điện thời gian thực
1. Phương thức vận hành ở chế độ bình thường và cảnh báo
a) Đơn vị vận hành hệ thống điện và thị trường điện có trách nhiệm đảm bảo cân bằng cung cầu trong thời gian thực bằng cách ra lệnh điều độ và các thao tác vận hành căn cứ vào lịch huy động chu kỳ giao dịch tới;
b) [51] Khi xảy ra trạng thái mất cân bằng trên hệ thống điện, Đơn vị vận hành hệ thống điện và thị trường điện huy động các tổ máy phát điện cung cấp dịch vụ phụ trợ và điều chỉnh công suất phát của các tổ máy phát điện căn cứ vào thứ tự huy động của các tổ máy phát điện trong hệ thống để đưa hệ thống điện trở lại trạng thái cân bằng và duy trì mức dự phòng theo quy định.
2. Phương thức vận hành ở chế độ khẩn cấp
a) Trường hợp đã thực hiện các biện pháp quy định tại Điểm b Khoản 1 Điều này mà hệ thống điện không trở về chế độ vận hành bình thường, Đơn vị vận hành hệ thống điện và thị trường điện có trách nhiệm huy động các tổ máy phát điện cung cấp dịch vụ dự phòng khởi động nhanh trên cơ sở lịch huy động chu kỳ giao dịch tới và đảm bảo tối thiểu hoá chi phí toàn hệ thống;
b) Đơn vị vận hành hệ thống điện và thị trường điện có trách nhiệm công bố lịch huy động thực tế của các loại dịch vụ phụ trợ trên Trang thông tin điện tử của hệ thống điện và thị trường điện theo Quy định vận hành thị trường điện cạnh tranh.
3. Phương thức vận hành ở chế độ cực kỳ khẩn cấp
a) Trường hợp đã thực hiện các biện pháp quy định tại Điểm a Khoản 2 Điều này mà hệ thống điện vẫn ở trạng thái mất cân bằng, Đơn vị vận hành hệ thống điện và thị trường điện được phép thực hiện các biện pháp sa thải phụ tải điện;
b) Trường hợp xảy ra sự cố trong vận hành thời gian thực, tùy thuộc vào mức độ nghiêm trọng của sự cố, Đơn vị vận hành hệ thống điện và thị trường điện có quyền điều độ, huy động các nhà máy điện trong hệ thống điện nhằm nhanh chóng đưa hệ thống điện trở về chế độ vận hành bình thường;
c) Các đơn vị liên quan phải tuân thủ lệnh điều độ của Đơn vị vận hành hệ thống điện và thị trường điện và Cấp điều độ có quyền điều khiển để khôi phục hệ thống điện trở về chế độ vận hành bình thường;
d) Các tình huống trên phải được ghi trong báo cáo vận hành của Đơn vị vận hành hệ thống điện và thị trường điện, Cấp điều độ có quyền điều khiển và thông báo cho các bên liên quan.
4. Khôi phục hệ thống điện
Đơn vị vận hành hệ thống điện và thị trường điện phải thực hiện theo Quy định khởi động đen và khôi phục hệ thống điện quốc gia do Bộ Công Thương ban hành để tiến hành các biện pháp khôi phục hệ thống điện về chế độ vận hành bình thường.
5. Vận hành khi dừng thị trường điện
Trong trường hợp thị trường điện dừng hoạt động, Đơn vị vận hành hệ thống điện và thị trường điện có trách nhiệm điều độ, huy động các tổ máy phát điện trong hệ thống điện trên cơ sở lịch huy động ngày tới và lịch huy động chu kỳ giao dịch tới có xét đến các ràng buộc an ninh hệ thống điện đã được tính toán, công bố và đảm bảo chi phí tối thiểu toàn hệ thống.
Mục 6. PHỐI HỢP VẬN HÀNH, TRAO ĐỔI THÔNG TIN SỰ CỐ VÀ CÁC CHẾ ĐỘ BÁO CÁO VẬN HÀNH
Điều 86. Trách nhiệm chung trong phối hợp vận hành
1. Đơn vị truyền tải điện và Khách hàng sử dụng lưới điện truyền tải phải thống nhất về trách nhiệm, phạm vi vận hành đối với thiết bị trên lưới điện truyền tải liên quan giữa hai bên; cử nhân viên vận hành phối hợp vận hành an toàn lưới điện và thiết bị để đảm bảo hệ thống điện truyền tải vận hành ổn định, an toàn và tin cậy.
2. Đơn vị truyền tải điện và Khách hàng sử dụng lưới điện truyền tải phải phối hợp, chia sẻ thông tin, thiết lập, duy trì liên lạc và thực hiện các biện pháp an toàn cần thiết khi tiến hành công tác hoặc thử nghiệm trong phạm vi quản lý của mình.
3. Đơn vị truyền tải điện và Khách hàng sử dụng lưới điện truyền tải phải xây dựng quy trình phối hợp vận hành để đảm bảo an toàn cho người và thiết bị trong công tác vận hành, thí nghiệm và bảo dưỡng, sửa chữa.
4. Khi thực hiện công tác, thao tác trên lưới điện, Đơn vị truyền tải điện và Khách hàng sử dụng lưới điện truyền tải phải tuân thủ quy định phối hợp vận hành an toàn và các quy định điều độ, vận hành, thao tác an toàn khác có liên quan.
5. Đơn vị truyền tải điện và Khách hàng sử dụng lưới điện truyền tải có trách nhiệm phối hợp lắp đặt các biển báo, thiết bị cảnh báo và hướng dẫn an toàn, cung cấp các phương tiện phục vụ công tác phù hợp tại vị trí công tác để đảm bảo công tác an toàn.
6. Việc kiểm tra, giám sát và điều khiển thiết bị đấu nối tại ranh giới phân định tài sản phải do Nhân viên vận hành của Đơn vị truyền tải điện và Khách hàng sử dụng lưới điện truyền tải thực hiện.
7. Các đơn vị liên quan có trách nhiệm phối hợp vận hành an toàn để đảm bảo tuân thủ quy định về vận hành an toàn lưới điện truyền tải, các thiết bị điện đấu nối vào lưới điện truyền tải.
Điều 87. Trao đổi thông tin xử lý sự cố
1. Đơn vị vận hành hệ thống điện và thị trường điện có trách nhiệm chung trong việc xử lý các sự cố ảnh hưởng đến quá trình vận hành an toàn và tin cậy hệ thống điện truyền tải quốc gia.
2. Đơn vị truyền tải điện và Khách hàng sử dụng lưới điện truyền tải có trách nhiệm gửi thông báo ngay theo hình thức fax hoặc các hình thức thông tin khác cho Đơn vị vận hành hệ thống điện và thị trường điện, Cấp điều độ có quyền điều khiển và các đơn vị liên quan khi có bất kỳ một sự kiện hay sự cố trong phạm vi quản lý gây ảnh hưởng đến quá trình vận hành an toàn, tin cậy hệ thống điện quốc gia hoặc để phục vụ việc phân tích, xử lý sự cố.
3. Khi nhận được thông báo theo quy định tại Khoản 2 Điều này, Đơn vị vận hành hệ thống điện và thị trường điện, Cấp điều độ có quyền điều khiển phải liên hệ và phối hợp với Đơn vị truyền tải điện và Khách hàng sử dụng lưới điện truyền tải để điều tra, xác định nguyên nhân và có giải pháp xử lý kịp thời. Đơn vị truyền tải điện và Khách hàng sử dụng lưới điện truyền tải phải cung cấp các thông tin có liên quan, giải đáp các câu hỏi và yêu cầu của Đơn vị vận hành hệ thống điện và thị trường điện và Cấp điều độ có quyền điều khiển. Khách hàng sử dụng lưới điện truyền tải phải cung cấp các thông tin liên quan đến sự cố cho Đơn vị truyền tải điện phục vụ công tác phân tích, xử lý sự cố khi có sự cố trong phạm vi quản lý của khách hàng.
4. Yêu cầu về nội dung thông báo, báo cáo hoặc giải đáp thông tin về sự cố quy định tại các Khoản 2 và Khoản 3 Điều này bao gồm:
a) Tên và chức vụ của người cung cấp thông báo, báo cáo hoặc giải đáp, thời gian thông báo, gửi báo cáo hoặc giải đáp;
b) Thông tin chi tiết liên quan đến vận hành, làm rõ trường hợp sự cố hoặc những rủi ro xảy ra;
c) Báo cáo thông tin sự cố hoặc các giải đáp về sự cố có thể bằng văn bản hoặc bằng lời nói. Báo cáo sự cố hoặc các giải đáp về sự cố phải bao gồm các nội dung và được thực hiện như sau:
- Thông tin chi tiết về nguyên nhân sự cố, những ảnh hưởng hoặc thiệt hại do sự cố, tai nạn hoặc thiệt hại tính mạng; biện pháp khắc phục và kết quả thực hiện những biện pháp đó;
- Trường hợp sự cố có thể khắc phục ngay, báo cáo hoặc giải đáp dưới dạng lời nói: Người báo cáo phải nói từng từ cho người nhận để ghi lại và người nhận phải đọc lại những thông tin này để người cung cấp xác nhận lại một cách chính xác thông tin đó;
- Trường hợp sự cố xảy ra trong nhà máy, nhà máy phải báo cáo hoặc giải đáp. Nếu sự cố xảy ra tại hệ thống điện đấu nối với lưới điện truyền tải quốc gia, khách hàng sử dụng lưới điện truyền tải phải báo cáo về sự cố hoặc giải đáp các câu hỏi; nếu sự cố xảy ra trên lưới điện truyền tải quốc gia thì Đơn vị truyền tải điện phải làm báo cáo hoặc giải đáp các câu hỏi.
Điều 88. Bảo mật thông tin
Mọi thông tin liên quan đến quá trình vận hành hay xử lý sự cố chỉ được cung cấp cho bên thứ ba trong các trường hợp sau:
1. Các trường hợp do pháp luật quy định.
2. Có sự thỏa thuận giữa các Khách hàng sử dụng lưới điện truyền tải, hoặc được Cấp điều độ có quyền điều khiển đồng ý cung cấp thông tin.
3. Bên thứ ba là khách hàng có đấu nối với lưới điện truyền tải quốc gia và được Cấp điều độ có quyền điều khiển đồng ý cung cấp thông tin.
Điều 89. Chế độ báo cáo sự cố trong hệ thống điện quốc gia
1. Cấp điều độ có quyền điều khiển, Đơn vị truyền tải điện và Khách hàng sử dụng lưới điện truyền tải có trách nhiệm thực hiện chế độ báo cáo sự cố theo quy định tại Quy trình xử lý sự cố trong hệ thống điện quốc gia do Bộ Công Thương ban hành.
2. Ngoài các quy định về chế độ báo cáo sự cố trong hệ thống điện quốc gia quy định tại Khoản 1 Điều này, Đơn vị vận hành hệ thống điện và thị trường điện và Cấp điều độ có quyền điều khiển có trách nhiệm thực hiện các chế độ báo cáo sự cố trong hệ thống điện quốc gia như sau:
a) Đối với sự cố kéo dài xảy ra trong hệ thống điện truyền tải từ cấp điện áp 220 kV trở lên gây hư hỏng thiết bị hoặc sự cố trên hệ thống điện quốc gia gây mất điện diện rộng trên phạm vi từ một tỉnh, thành phố trực thuộc Trung ương hoặc sự cố dẫn đến sa thải phụ tải với quy mô công suất từ 200 MW trở lên, ngay sau khi cô lập phần tử bị sự cố trong hệ thống điện quốc gia, gửi báo cáo về thông tin sự cố cho Cục Điều tiết điện lực thông qua hình thức tin nhắn hoặc thư điện tử (email);
b) Trong thời hạn 36 giờ kể từ khi xảy ra sự cố, các Cấp điều độ có quyền điều khiển có trách nhiệm gửi báo cáo về Cục Điều tiết điện lực bằng thư điện tử (email) theo mẫu quy định tại Phụ lục 3 ban hành kèm theo Quy trình xử lý sự cố trong hệ thống điện quốc gia do Bộ Công Thương ban hành;
c) Định kỳ trước ngày 20 hàng tháng, Đơn vị vận hành hệ thống điện và thị trường điện tổng hợp báo cáo phân tích các sự cố theo mẫu quy định tại Phụ lục 4 ban hành kèm theo Quy trình xử lý sự cố trong hệ thống điện quốc gia do Bộ Công Thương ban hành (đối với các sự cố phải phân tích, đánh giá) và tổng hợp các sự cố xảy ra trong tháng trước gửi về Cục Điều tiết điện lực theo đường văn thư và thư điện tử (email) đối với các sự cố sau:
- Các sự cố kéo dài trên lưới điện 500 kV;
- Các sự cố kéo dài trên lưới điện 220 kV, 110 kV và nhà máy điện mà gây mất điện diện rộng trên phạm vi từ một tỉnh, thành phố trực thuộc Trung ương hoặc một quận nội thành của Thủ đô Hà Nội và thành phố Hồ Chí Minh hoặc phải sa thải phụ tải với quy mô công suất từ 200 MW trở lên hoặc ảnh hưởng trực tiếp đến chế độ vận hành của nhà máy điện tham gia thị trường phát điện cạnh tranh.
Điều 90. Báo cáo kết quả vận hành lưới điện truyền tải
1. Đơn vị truyền tải điện có trách nhiệm báo cáo định kỳ về các nội dung sau:
a) Tình hình vận hành lưới điện truyền tải;
b) Đánh giá việc thực hiện các tiêu chuẩn vận hành quy định tại Chương II Thông tư này;
c) Tình hình quá tải, sự cố thiết bị và nguyên nhân, đề xuất các biện pháp để đảm bảo vận hành lưới điện an toàn, tin cậy và hiệu quả;
d) Các chỉ số đánh giá chất lượng hoạt động quy định tại Điều 98 Thông tư này và giải trình lý do không thực hiện đáp ứng các chỉ số;
đ) Tình trạng kết nối tín hiệu SCADA của các trạm biến áp với Cấp điều độ có quyền điều khiển.
2. Thời điểm báo cáo định kỳ
a) Trước ngày 15 tháng 01 hàng năm, Đơn vị truyền tải điện có trách nhiệm báo cáo Cục Điều tiết điện lực và Đơn vị vận hành hệ thống điện và thị trường điện kết quả vận hành lưới điện truyền tải năm trước, bao gồm các nội dung quy định tại Khoản 1 Điều này;
b) Trước ngày 15 hàng tháng, Đơn vị truyền tải điện có trách nhiệm báo cáo Cục Điều tiết điện lực và Đơn vị vận hành hệ thống điện và thị trường điện kết quả vận hành lưới điện truyền tải tháng trước, bao gồm các nội dung quy định tại Khoản 1 Điều này.
3. Đơn vị truyền tải điện có trách nhiệm báo cáo đột xuất tình hình vận hành lưới điện truyền tải khi có yêu cầu của Cục Điều tiết điện lực, Sở Công Thương, Tập đoàn Điện lực Việt Nam, Đơn vị vận hành hệ thống điện và thị trường điện.
4. [52] Đơn vị truyền tải điện có trách nhiệm báo cáo theo quy định tại Khoản 1, Khoản 2 và Khoản 3 Điều này bằng văn bản theo đường văn thư và thư điện tử (email).
Điều 91. Báo cáo kế hoạch vận hành và kết quả vận hành hệ thống điện quốc gia
1. Đơn vị vận hành hệ thống điện và thị trường điện có trách nhiệm lập báo cáo định kỳ gửi Cục Điều tiết điện lực về kế hoạch vận hành hệ thống điện quốc gia năm tới, tháng tới và tuần tới, bao gồm cả kế hoạch bảo dưỡng, sửa chữa thiết bị và đánh giá an ninh hệ thống điện quy định tại Thông tư này.
2. Đơn vị vận hành hệ thống điện và thị trường điện có trách nhiệm lập báo cáo định kỳ về tình hình thực hiện, kết quả vận hành hệ thống điện quốc gia hàng năm, hàng tháng, bao gồm các nội dung chính sau:
a) Cơ cấu huy động các dạng nguồn điện, tổng công suất đặt và khả dụng của nguồn điện; tiến độ vận hành các công trình nguồn điện và lưới điện mới;
b) Đánh giá việc thực hiện các tiêu chuẩn vận hành quy định tại Chương II Thông tư này;
c) Đánh giá nhu cầu phụ tải điện và diễn biến tiêu thụ điện, đánh giá sai số dự báo nhu cầu phụ tải điện;
d) Đánh giá kết quả vận hành lưới điện truyền tải, tình hình sự cố và nguyên nhân, đề xuất các biện pháp để đảm bảo vận hành hệ thống điện an toàn tin cậy và hiệu quả;
đ) Các chỉ số đánh giá chất lượng hoạt động quy định tại Điều 97 Thông tư này và giải trình lý do không thực hiện đáp ứng các chỉ số;
e) Các số liệu thống kê về cung cấp nhiên liệu, tình hình thuỷ văn các hồ chứa thuỷ điện và huy động các nhà máy điện; thống kê sự cố nguồn điện và lưới điện;
g) Tình trạng kết nối tín hiệu SCADA của nhà máy điện và trạm biến áp thuộc quyền điều khiển.
3. Thời điểm báo cáo định kỳ
a) Trước ngày 31 tháng 01 hàng năm, Đơn vị vận hành hệ thống điện và thị trường điện có trách nhiệm báo cáo Cục Điều tiết điện lực kết quả vận hành hệ thống điện quốc gia năm trước, bao gồm các nội dung quy định tại Khoản 2 Điều này;
b) Trước ngày 25 hàng tháng, Đơn vị vận hành hệ thống điện và thị trường điện có trách nhiệm báo cáo Cục Điều tiết điện lực kết quả vận hành hệ thống điện quốc gia tháng trước, bao gồm các nội dung quy định tại Khoản 2 Điều này.
4. Đơn vị vận hành hệ thống điện và thị trường điện có trách nhiệm báo cáo đột xuất tình hình vận hành hệ thống quốc gia khi có yêu cầu của Cục Điều tiết điện lực.
5. [53] Đơn vị vận hành hệ thống điện và thị trường điện có trách nhiệm báo cáo theo quy định tại Khoản 1, Khoản 2, Khoản 3 và Khoản 4 Điều này bằng văn bản theo đường văn thư và thư điện tử (email).
Chương VII. ĐÁNH GIÁ AN NINH HỆ THỐNG ĐIỆN
Điều 92. Quy định chung về đánh giá an ninh hệ thống điện
1. Đơn vị vận hành hệ thống điện và thị trường điện có trách nhiệm thực hiện đánh giá an ninh hệ thống điện phục vụ việc lập kế hoạch vận hành hệ thống điện quốc gia năm tới, tháng tới, tuần tới, lập lịch huy động ngày tới, giờ tới và điều độ thời gian thực.
2. Đơn vị truyền tải điện và Khách hàng sử dụng lưới điện truyền tải có trách nhiệm cung cấp cho Đơn vị vận hành hệ thống điện và thị trường điện đầy đủ các thông tin liên quan để thực hiện đánh giá an ninh hệ thống điện. Các thông tin cung cấp bao gồm: Dự báo nhu cầu phụ tải điện, kế hoạch vận hành, kế hoạch bảo dưỡng, sửa chữa lưới điện, nhà máy điện, công suất truyền tải trên lưới điện truyền tải, công suất khả dụng và công suất công bố của các tổ máy phát điện, các ràng buộc năng lượng và các thông tin liên quan cần thiết khác.
3. Đánh giá an ninh hệ thống điện bao gồm các nội dung tính toán, phân tích và công bố tổng công suất nguồn khả dụng dự kiến, dự báo nhu cầu phụ tải của hệ thống điện, đánh giá độ tin cậy và khả năng sẵn sàng đáp ứng nhu cầu phụ tải hệ thống điện, các cảnh báo an ninh hệ thống điện và các yêu cầu khác về an ninh hệ thống điện. Đánh giá an ninh hệ thống điện bao gồm đánh giá an ninh trung hạn và ngắn hạn được quy định như sau:
a) Đánh giá an ninh hệ thống điện trung hạn, bao gồm:
- Đánh giá an ninh hệ thống điện năm: Được thực hiện để đánh giá khả năng đảm bảo an ninh hệ thống điện quốc gia cho năm tới (năm N+1) và một năm tiếp theo (năm N+2), đơn vị thời gian tính toán là tháng;
- [54] (được bãi bỏ)
- Đánh giá an ninh hệ thống điện tháng: Được thực hiện để đánh giá khả năng đảm bảo an ninh hệ thống điện quốc gia trong các tháng còn lại của năm, đơn vị tính toán là tháng;
- Đánh giá an ninh hệ thống điện tuần: Được thực hiện để đánh giá khả năng đảm bảo an ninh hệ thống điện quốc gia trong các tuần còn lại của tháng hiện tại và các tuần của tháng tới, đơn vị thời gian tính toán là tuần.
b) Đánh giá an ninh hệ thống điện ngắn hạn: Được thực hiện để đánh giá khả năng đảm bảo an ninh hệ thống điện quốc gia cho 02 tuần tiếp theo, đơn vị thời gian tính toán là giờ.
4. Kết quả đánh giá an ninh hệ thống điện là cơ sở để các đơn vị tham gia thị trường điện chủ động xây dựng kế hoạch phát điện, bảo dưỡng, sửa chữa thiết bị, tham gia điều chỉnh cân bằng cung cầu của hệ thống điện.
5. Để phục vụ việc đánh giá an ninh hệ thống điện, Đơn vị truyền tải điện và Khách hàng sử dụng lưới điện truyền tải phải đăng ký với Đơn vị vận hành hệ thống điện và thị trường điện dự kiến kế hoạch bảo dưỡng, sửa chữa thiết bị điện, lưới điện và nguồn điện.
6. Trường hợp Đơn vị vận hành hệ thống điện và thị trường điện nhận thấy kế hoạch bảo dưỡng, sửa chữa lưới điện, nguồn điện đe doạ tới an ninh hệ thống điện, Đơn vị vận hành hệ thống điện và thị trường điện có quyền từ chối kế hoạch đó và phải nêu rõ lý do từ chối.
7. Đơn vị vận hành hệ thống điện và thị trường điện chỉ được từ chối kế hoạch bảo dưỡng, sửa chữa trên cơ sở xác định ảnh hưởng tới an ninh hệ thống điện do việc thực hiện kế hoạch bảo dưỡng, sửa chữa gây ra.
Điều 93. Công suất và điện năng dự phòng của hệ thống điện
1. Đơn vị vận hành hệ thống điện và thị trường điện có trách nhiệm tính toán, xác định công suất và điện năng dự phòng của hệ thống điện quốc gia trong quá trình tính toán nhu cầu dịch vụ phụ trợ và đánh giá an ninh hệ thống điện, đảm bảo an ninh cung cấp điện cho hệ thống điện quốc gia.
2. Trong quá trình xây dựng phương pháp tính toán công suất và điện năng dự phòng, Đơn vị vận hành hệ thống điện và thị trường điện phải bảo đảm thực hiện theo các nguyên tắc sau:
a) Xác định công suất dự phòng hợp lý
- Công suất dự phòng là hiệu số giữa tổng công suất phát khả dụng dự báo của các tổ máy phát điện trong hệ thống điện và nhu cầu công suất cực đại dự báo của phụ tải hệ thống điện trong cùng thời điểm;
- Công suất dự phòng tối ưu đạt được khi chi phí biên của điện năng thiếu hụt do sự cố nguồn điện, sự biến động về nhiên liệu sơ cấp và sự tăng đột biến của phụ tải bằng với chi phí biên khi phải huy động dự phòng khởi động nhanh để bù đắp lượng điện năng thiếu hụt đó;
- Công suất dự phòng hợp lý là công suất dự phòng tối ưu có tính đến những yếu tố biến động phụ tải điện và các ràng buộc tổ máy phát điện trong hệ thống điện.
b) Xác định điện năng dự phòng hợp lý
- Điện năng dự phòng là hiệu số giữa tổng điện năng khả dụng dự báo của các tổ máy phát điện trong hệ thống điện và nhu cầu điện năng dự báo của phụ tải hệ thống điện trong cùng thời điểm;
- Điện năng dự phòng tối ưu đạt được khi chi phí biên của lượng điện năng thiếu hụt do sự cố nguồn điện, sự biến động về nhiên liệu sơ cấp và sự tăng đột biến của phụ tải bằng với chi phí biên khi phải huy động dịch vụ dự phòng vận hành phải phát để bù đắp lượng điện năng thiếu hụt đó;
- Điện năng dự phòng hợp lý là điện năng dự phòng tối ưu có tính đến những yếu tố biến động phụ tải điện và các ràng buộc tổ máy phát điện trong hệ thống điện;
3. Các yếu tố đầu vào sử dụng khi tính toán công suất và điện năng dự phòng cho những trường hợp sau:
a) Tính toán công suất dự phòng phục vụ lập kế hoạch huy động dự phòng khởi động nhanh, bao gồm:
- Công suất phát đăng ký của các tổ máy phát điện của nhà máy điện đã ký hợp đồng mua bán điện dài hạn;
- Suất sự cố của mỗi tổ máy phát điện được xác định trên số liệu thống kê hoặc giá trị tính toán của Đơn vị vận hành hệ thống điện và thị trường điện cho loại tổ máy phát điện đó;
- Dự báo nhu cầu phụ tải điện do Đơn vị vận hành hệ thống điện và thị trường điện tính toán theo quy định tại Chương III Thông tư này;
- Chi phí thiếu hụt điện năng được xác định bằng phương pháp xác suất thống kê trong trường hợp nhu cầu phụ tải điện lớn hơn tổng công suất khả dụng của nguồn điện và tính toán của Đơn vị vận hành hệ thống điện và thị trường điện về chi phí mất tải ngoài dự kiến (Value Of Lost Load - VOLL).
b) Tính toán công suất dự phòng phục vụ lập kế hoạch ngừng, giảm cung cấp điện và sa thải phụ tải điện, bao gồm:
- Công suất phát khả dụng công bố của tổ máy phát điện của các nhà máy điện;
- Suất sự cố của mỗi tổ máy phát điện được xác định căn cứ trên số liệu thống kê hoặc giá trị tính toán của Đơn vị vận hành hệ thống điện và thị trường điện cho loại tổ máy phát điện đó;
- Dự báo nhu cầu phụ tải điện do Đơn vị vận hành hệ thống điện và thị trường điện tính toán theo quy định tại Chương III Thông tư này;
- Chi phí thiếu hụt điện năng được xác định bằng phương pháp xác suất thống kê trong trường hợp nhu cầu phụ tải điện lớn hơn tổng công suất khả dụng của nguồn điện và tính toán của Đơn vị vận hành hệ thống điện và thị trường điện về chi phí mất tải ngoài dự kiến (VOLL).
c) Tính toán điện năng dự phòng phục vụ lập kế hoạch huy động dự phòng vận hành phải phát để đảm bảo an ninh hệ thống điện, bao gồm:
- Công suất đăng ký của các tổ máy phát điện của nhà máy nhiệt điện có hợp đồng mua bán điện dài hạn hoặc hợp đồng dịch vụ dự phòng khởi động nhanh với suất sự cố tương ứng;
- Suất sự cố của mỗi tổ máy phát điện được xác định căn cứ trên số liệu thống kê hoặc giá trị tính toán của Đơn vị vận hành hệ thống điện và thị trường điện cho loại tổ máy phát điện đó;
- Dự báo biến động sản lượng điện năng của các nhà máy thủy điện căn cứ vào số liệu quá khứ hoặc số liệu thủy văn thực tế;
- Dự báo nhu cầu phụ tải điện do Đơn vị vận hành hệ thống điện và thị trường điện thực hiện theo quy định tại Chương III Thông tư này;
- Chi phí thiếu hụt điện năng được xác định bằng phương pháp xác suất thống kê trong trường hợp nhu cầu phụ tải điện lớn hơn tổng điện năng khả dụng và tính toán của Đơn vị vận hành hệ thống điện và thị trường điện về chi phí mất tải ngoài dự kiến (VOLL).
d) Tính toán điện năng dự phòng phục vụ lập kế hoạch ngừng, giảm cung cấp điện và sa thải phụ tải điện, bao gồm:
- Điện năng công bố của các tổ máy phát điện của nhà máy nhiệt điện trong từng giai đoạn;
- Suất sự cố của mỗi tổ máy phát điện được xác định căn cứ trên số liệu thống kê hoặc giá trị tính toán của Đơn vị vận hành hệ thống điện và thị trường điện cho loại tổ máy phát điện đó;
- Dự báo biến động sản lượng điện năng của các nhà máy thủy điện căn cứ vào số liệu quá khứ hoặc số liệu thủy văn thực tế;
- Dự báo nhu cầu phụ tải điện do Đơn vị vận hành hệ thống điện và thị trường điện thực hiện theo quy định tại Chương III Thông tư này;
- Chi phí thiếu hụt điện năng được xác định bằng phương pháp xác suất thống kê trong trường hợp nhu cầu phụ tải điện lớn hơn tổng điện năng khả dụng và tính toán của Đơn vị vận hành hệ thống điện và thị trường điện về chi phí mất tải ngoài dự kiến (VOLL).
4. Hàng năm, Đơn vị vận hành hệ thống điện và thị trường điện có trách nhiệm tính toán xác định công suất và điện năng dự phòng trên cơ sở đảm bảo dự phòng công suất, điện năng hợp lý và quy định tại Điều này, báo cáo Cục Điều tiết điện lực để thông qua, làm cơ sở vận hành an toàn, ổn định và tin cậy hệ thống điện quốc gia.
5. Trong quá trình đánh giá, thông qua công suất và điện năng dự phòng, Cục Điều tiết điện lực có trách nhiệm lấy ý kiến từ các bên liên quan đối với các nội dung sau:
a) Tác động ảnh hưởng của chi phí mua bán dịch vụ phụ trợ;
b) Tác động ảnh hưởng tới các yêu cầu trong vận hành hệ thống điện;
c) Tác động ảnh hưởng tới chất lượng cung cấp điện;
d) Đánh giá tương quan chi phí cung cấp điện và chất lượng cung cấp điện.
Điều 94. Đánh giá an ninh hệ thống điện trung hạn
1. Hàng năm, Đơn vị vận hành hệ thống điện và thị trường điện có trách nhiệm thực hiện tính toán và công bố kết quả đánh giá an ninh hệ thống điện năm.
2. [55] (được bãi bỏ)
3. Hàng tháng, Đơn vị vận hành hệ thống điện và thị trường điện có trách nhiệm thực hiện tính toán và công bố đánh giá an ninh hệ thống điện tháng.
4. Hàng tuần, Đơn vị vận hành hệ thống điện và thị trường điện có trách nhiệm thực hiện tính toán và công bố đánh giá an ninh hệ thống điện tuần.
5. Các thông tin đầu vào cho đánh giá an ninh hệ thống trung hạn bao gồm:
a) Dự báo nhu cầu phụ tải hệ thống điện quốc gia và ba miền, bao gồm cả công suất cực đại và sản lượng điện tiêu thụ;
b) Biểu đồ phụ tải điển hình từng tuần của hệ thống điện quốc gia và ba miền;
c) Kế hoạch bảo dưỡng, sửa chữa nguồn điện và lưới điện;
d) Điện năng đảm bảo tuần của các hồ chứa thủy điện đã phê duyệt;
đ) Suất sự cố của các tổ máy phát điện và lưới điện truyền tải;
e) Các yêu cầu về dịch vụ phụ trợ của hệ thống điện quốc gia;
g) Các ràng buộc của lưới điện.
6. Đơn vị phát điện có trách nhiệm cung cấp cho Đơn vị vận hành hệ thống điện và thị trường điện các thông tin đầu vào phục vụ đánh giá an ninh hệ thống điện trung hạn bao gồm:
a) Dự kiến kế hoạch bảo dưỡng, sửa chữa;
b) Công suất khả dụng hàng tuần của tổ máy phát điện;
c) Các ràng buộc năng lượng hàng tuần (nếu có) của tổ máy phát điện.
Những thông tin này phải cung cấp theo mẫu do Đơn vị vận hành hệ thống điện và thị trường điện công bố trên Trang thông tin điện tử của hệ thống điện và thị trường điện.
7. Đơn vị truyền tải điện có trách nhiệm cung cấp cho Đơn vị vận hành hệ thống điện và thị trường điện dự kiến kế hoạch bảo dưỡng, sửa chữa lưới điện truyền tải và các thông tin đầu vào phục vụ đánh giá an ninh hệ thống điện trung hạn. Trường hợp kế hoạch bảo dưỡng, sửa chữa lưới điện truyền tải có ảnh hưởng đến khả năng phát điện của các tổ máy phát điện, Đơn vị vận hành hệ thống điện và thị trường điện có quyền điều chỉnh khả năng phát điện của các tổ máy phát điện và thông báo các thay đổi, ràng buộc của lưới điện truyền tải cho các Đơn vị phát điện.
8. Đơn vị phân phối điện có trách nhiệm cung cấp cho Đơn vị vận hành hệ thống điện và thị trường điện dự báo nhu cầu phụ tải điện tại các điểm nút trạm biến áp 110 kV trên lưới điện phân phối.
9. Các thông tin do Đơn vị vận hành hệ thống điện và thị trường điện công bố trong đánh giá an ninh hệ thống điện trung hạn bao gồm:
a) Tổng công suất và điện năng khả dụng có tính đến các ràng buộc năng lượng của tổ máy phát điện, kế hoạch bảo dưỡng, sửa chữa lưới điện truyền tải và tổ máy phát điện;
b) Các yêu cầu về dịch vụ phụ trợ của hệ thống điện quốc gia;
c) Công suất và điện năng dự phòng của hệ thống điện quốc gia;
d) Dự kiến các ràng buộc trên lưới điện truyền tải;
đ) Cảnh báo về suy giảm an ninh cung cấp điện (nếu có).
10. Trường hợp Đơn vị vận hành hệ thống điện và thị trường điện nhận thấy công suất và điện năng dự phòng thấp hơn mức dự phòng được phê duyệt quy định tại Điều 93 Thông tư này, Đơn vị vận hành hệ thống điện và thị trường điện có quyền từ chối kế hoạch bảo dưỡng, sửa chữa của Đơn vị truyền tải điện và Đơn vị phát điện.
11. Trường hợp Đơn vị vận hành hệ thống điện và thị trường điện từ chối kế hoạch bảo dưỡng, sửa chữa thiết bị, các đơn vị chịu ảnh hưởng có quyền đề xuất Đơn vị vận hành hệ thống điện và thị trường điện kế hoạch sửa đổi trong thời hạn 07 ngày.
12. Đơn vị vận hành hệ thống điện và thị trường điện có trách nhiệm tính toán và cập nhật thường xuyên về đánh giá an ninh hệ thống điện trung hạn. Khi các mức công suất, điện năng dự phòng và an ninh hệ thống điện cục bộ được đáp ứng, Đơn vị vận hành hệ thống điện và thị trường điện phải phê duyệt kế hoạch bảo dưỡng, sửa chữa sửa đổi.
Điều 95. Đánh giá an ninh hệ thống điện ngắn hạn
1. Thời gian quy định cho đánh giá an ninh hệ thống điện ngắn hạn là 14 ngày tới kể từ 24h00 của ngày công bố đánh giá an ninh hệ thống điện ngắn hạn cho đến 24h00 của ngày thứ 14 kế tiếp, đơn vị thời gian tính toán là giờ.
2. Hàng ngày, Đơn vị vận hành hệ thống điện và thị trường điện có trách nhiệm công bố đánh giá an ninh hệ thống điện ngắn hạn.
3. Các thông tin đầu vào cho đánh giá an ninh hệ thống ngắn hạn gồm:
a) Dự báo nhu cầu phụ tải hệ thống điện quốc gia và ba miền, bao gồm cả công suất cực đại và sản lượng điện tiêu thụ;
b) Kế hoạch bảo dưỡng, sửa chữa nguồn điện và lưới điện;
c) Suất sự cố của các tổ máy phát điện và lưới điện truyền tải;
d) Các yêu cầu về dịch vụ phụ trợ của hệ thống quốc gia;
đ) Các ràng buộc trên lưới điện.
4. Đơn vị phát điện phải cung cấp cho Đơn vị vận hành hệ thống điện và thị trường điện các thông tin đầu vào phục vụ đánh giá an ninh hệ thống điện ngắn hạn gồm:
a) Kế hoạch bảo dưỡng, sửa chữa các thiết bị;
b) Công suất khả dụng của tổ máy phát điện cho từng chu kỳ giao dịch;
c) Công suất công bố của tổ máy phát điện cho từng chu kỳ giao dịch;
d) Thời gian khởi động và ngừng máy đối với tổ máy khởi động chậm;
đ) Công suất phát ổn định thấp nhất của tổ máy phát điện.
5. Đơn vị truyền tải điện có trách nhiệm thông báo cho Đơn vị vận hành hệ thống điện và thị trường điện cập nhật kế hoạch bảo dưỡng, sửa chữa lưới điện truyền tải. Trong trường hợp kế hoạch bảo dưỡng, sửa chữa lưới điện truyền tải có ảnh hưởng đến khả năng phát điện của các tổ máy phát điện, Đơn vị vận hành hệ thống điện và thị trường điện có quyền điều chỉnh khả năng phát điện của các tổ máy phát điện và thông báo cho các Đơn vị phát điện biết các điều chỉnh và ràng buộc trên lưới điện truyền tải.
6. Đơn vị phân phối điện có trách nhiệm cung cấp cho Đơn vị vận hành hệ thống điện và thị trường điện dự báo nhu cầu phụ tải điện tại các điểm nút trạm biến áp 110 kV trên lưới điện phân phối.
7. Các thông tin do Đơn vị vận hành hệ thống điện và thị trường điện công bố trong đánh giá an ninh hệ thống điện ngắn hạn bao gồm:
a) Tổng công suất và điện năng khả dụng hệ thống điện có tính đến kế hoạch bảo dưỡng, sửa chữa lưới điện truyền tải;
b) Dự báo nhu cầu phụ tải điện hệ thống điện quốc gia;
c) Các yêu cầu về dịch vụ phụ trợ;
d) Công suất và điện năng dự phòng của hệ thống điện;
đ) Dự kiến các ràng buộc trên lưới điện truyền tải;
e) Cảnh báo về suy giảm an ninh cung cấp điện (nếu có).
8. Trường hợp Đơn vị vận hành hệ thống điện và thị trường điện nhận thấy mức công suất, điện năng dự phòng hoặc an ninh hệ thống điện cục bộ không đảm bảo, Đơn vị vận hành hệ thống điện và thị trường điện có quyền từ chối việc thực hiện kế hoạch bảo dưỡng, sửa chữa của Đơn vị truyền tải điện và Đơn vị phát điện.
9. Trường hợp Đơn vị vận hành hệ thống điện và thị trường điện từ chối việc thực hiện kế hoạch bảo dưỡng, sửa chữa thiết bị, các đơn vị chịu ảnh hưởng có quyền đề xuất Đơn vị vận hành hệ thống điện và thị trường điện kế hoạch thay thế trong thời hạn 07 ngày kể từ thời điểm nhận được thông báo từ chối thực hiện kế hoạch bảo dưỡng, sửa chữa.
10. Đơn vị vận hành hệ thống điện và thị trường điện phải duy trì cập nhật về đánh giá an ninh hệ thống điện ngắn hạn. Nếu các mức công suất, điện năng dự phòng và an ninh hệ thống điện cục bộ được đáp ứng, Đơn vị vận hành hệ thống điện và thị trường điện phải phê duyệt kế hoạch bảo dưỡng, sửa chữa thay thế.
Chương VIII. ĐÁNH GIÁ CHẤT LƯỢNG VẬN HÀNH HỆ THỐNG ĐIỆN TRUYỀN TẢI
Điều 96. Yêu cầu chung
1. Định kỳ hàng tháng, hàng năm, Đơn vị vận hành hệ thống điện và thị trường điện và Đơn vị truyền tải điện có trách nhiệm báo cáo Cục Điều tiết điện lực về tình hình vận hành hệ thống điện quốc gia, lưới điện truyền tải và việc thực hiện các tiêu chuẩn chất lượng vận hành.
2. Các chỉ số thực hiện được quy định trong Chương này là một trong những chỉ số để Cục Điều tiết điện lực đánh giá chất lượng điều độ, vận hành hệ thống điện truyền tải của Đơn vị vận hành hệ thống điện và thị trường điện và Đơn vị truyền tải điện. Trường hợp, chỉ số thực hiện của năm (N+1) kém hơn chỉ số thực hiện năm (N), Đơn vị vận hành hệ thống điện và thị trường điện và Đơn vị truyền tải điện có trách nhiệm báo cáo giải trình và thực hiện các giải pháp để cải thiện chỉ số thực hiện cho các năm tiếp theo.
Điều 97. Các chỉ số thực hiện của Đơn vị vận hành hệ thống điện và thị trường điện
Định kỳ hàng tháng, hàng năm, Đơn vị vận hành hệ thống điện và thị trường điện có trách nhiệm báo cáo Cục Điều tiết điện lực và công bố trên Trang thông tin điện tử của hệ thống điện và thị trường điện các chỉ số thực hiện sau:
1. Số lần tần số hệ thống điện quốc gia vượt ra ngoài dải tần số cho phép và thời gian khôi phục về chế độ vận hành bình thường trong các trường hợp sự cố theo quy định tại Điều 4 Thông tư này.
2. Chỉ số sẵn sàng của lưới điện, chỉ số độ lệch điện áp (Voltage Deviation Index), chỉ số độ lệch tần số (Frequency Deviation Index).
3. Tổng chi phí hàng tháng cho các loại dịch vụ phụ trợ.
4. Công suất huy động và thời gian huy động thực tế của từng loại dịch vụ phụ trợ.
5. Số lần và khoảng thời gian khi các loại dịch vụ phụ trợ không đáp ứng các yêu cầu về công suất và điện năng dự phòng được quy định tại Điều 93 Thông tư này.
6. Sai số dự báo nhu cầu phụ tải điện năm, tháng, tuần, ngày so với phụ tải điện thực tế.
Điều 98. Các chỉ số thực hiện của Đơn vị truyền tải điện
1. Định kỳ hàng tháng, Đơn vị truyền tải điện có trách nhiệm báo cáo Cục Điều tiết điện lực và công bố trên Trang thông tin điện tử của đơn vị các chỉ số thực hiện sau:
a) Thống kê tình trạng quá tải của các thiết bị trên lưới điện truyền tải (mức độ quá tải, thời gian quá tải);
b) Thống kê tình trạng cắt điện trong lưới điện truyền tải bao gồm:
- Số lần ngừng, giảm cung cấp điện có kế hoạch và không có kế hoạch;
- Thời gian bắt đầu và thời gian kết thúc việc ngừng, giảm cung cấp điện.
c) Thống kê các thanh cái trong lưới điện truyền tải có điện áp không đạt tiêu chuẩn quy định tại Điều 6 Thông tư này, bao gồm:
- Thống kê tình trạng quá áp, thấp áp so với quy định tại Điều 6 Thông tư này;
- Thời gian bắt đầu và thời gian kết thúc của mỗi lần vi phạm tiêu chuẩn điện áp;
- Điện áp cao nhất và thấp nhất khi có vi phạm tiêu chuẩn điện áp;
- Các sự kiện bất thường khi có vi phạm tiêu chuẩn điện áp.
d) Các nội dung về độ tin cậy của lưới điện truyền tải được quy định tại Điều 14 Thông tư này;
đ) Tổn thất điện năng hàng tháng trên lưới điện truyền tải theo từng cấp điện áp;
e) Danh sách các sự cố dẫn tới việc vi phạm các tiêu chuẩn vận hành lưới điện truyền tải được quy định tại Chương II Thông tư này. Báo cáo giải trình nguyên nhân vi phạm và những đề xuất thay đổi để đạt được các tiêu chuẩn kỹ thuật vận hành.
2. Định kỳ hàng năm, Đơn vị truyền tải điện có trách nhiệm báo cáo Cục Điều tiết điện lực và công bố trên Trang thông tin điện tử của đơn vị các chỉ số thực hiện sau:
a) Tỷ lệ đầu tư xây dựng theo từng cấp điện áp so với kế hoạch phát triển lưới điện truyền tải hàng năm đã được duyệt;
b) Tổng số các thiết bị trên lưới điện truyền tải bị quá tải trong năm;
c) Tổng số lần ngừng, giảm cung cấp điện có kế hoạch và không có kế hoạch ở các đường dây truyền tải và máy biến áp;
d) Tổng số lần và tổng thời gian vi phạm tiêu chuẩn điện áp quy định tại Điều 6 Thông tư này;
đ) Các nội dung về độ tin cậy của lưới điện truyền tải được quy định tại Điều 14 Thông tư này;
e) Tổn thất điện năng trên lưới điện truyền tải và theo từng cấp điện áp;
g) Tổng số các sự cố bất thường dẫn tới việc vi phạm các tiêu chuẩn vận hành lưới điện truyền tải.
Chương IX. GIẢI QUYẾT TRANH CHẤP VÀ XỬ LÝ VI PHẠM
Điều 99. Giải quyết tranh chấp
1. Trường hợp xảy ra tranh chấp giữa các đơn vị liên quan đến việc thực hiện Thông tư này, các đơn vị tranh chấp có thể tự giải quyết trên cơ sở thoả thuận trong thời hạn 60 ngày.
2. Hết thời hạn được quy định tại Khoản 1 Điều này mà không tự giải quyết được thì các đơn vị có quyền trình vụ việc lên Cục Điều tiết điện lực để giải quyết theo quy định của pháp luật.
3. Quyết định giải quyết tranh chấp của Cục Điều tiết điện lực có hiệu lực chung thẩm trừ các nội dung tranh chấp có liên quan đến thoả thuận hoặc hợp đồng đã ký giữa các bên.
Điều 100. Xử lý vi phạm
1. Mọi tổ chức, cá nhân có quyền trình báo Cục Điều tiết điện lực về hành vi vi phạm quy định tại Thông tư này.
2. Trình báo về hành vi vi phạm phải có các thông tin sau:
a) Ngày, tháng, năm trình báo;
b) Tên, địa chỉ tổ chức, cá nhân trình báo;
c) Tên, địa chỉ tổ chức, cá nhân thực hiện hành vi có dấu hiệu vi phạm;
d) Mô tả hành vi có dấu hiệu vi phạm;
đ) Lý do biết hành vi có dấu hiệu vi phạm (nếu có);
e) Các thông tin khác có liên quan (nếu có).
Mẫu trình báo được quy định tại Trình tự xác minh và xử phạt vi phạm hành chính trong lĩnh vực điện lực thuộc thẩm quyền của Thủ trưởng Cơ quan Điều tiết điện lực do Bộ Công Thương ban hành.
3. Cục Điều tiết điện lực có quyền yêu cầu các bên có liên quan cung cấp thông tin về hành vi vi phạm trong quá trình xác minh và xử lý vi phạm.
Chương X. TỔ CHỨC THỰC HIỆN
Điều 101. Tổ chức thực hiện
1. Cục Điều tiết điện lực có trách nhiệm phổ biến, hướng dẫn và kiểm tra việc thực hiện Thông tư này.
2. Trường hợp cần thiết, Cục Điều tiết điện lực có trách nhiệm tổ chức xây dựng và ban hành Quy trình hướng dẫn chi tiết về yêu cầu kỹ thuật, yêu cầu đấu nối và phương pháp dự báo công suất, điện năng phát của các nhà máy điện mặt trời, nhà máy điện gió đấu nối vào lưới điện truyền tải, phù hợp với các quy định tại Thông tư này và đặc tính công nghệ, kỹ thuật của các nhà máy điện.
3. Tập đoàn Điện lực Việt Nam có trách nhiệm chỉ đạo các đơn vị thành viên thực hiện Thông tư này. Trong thời hạn 06 tháng kể từ ngày ban hành Thông tư này, Tập đoàn Điện lực Việt Nam có trách nhiệm xây dựng và trình Cục Điều tiết điện lực ban hành các Quy trình, Quy định kỹ thuật để hướng dẫn thực hiện Thông tư này, bao gồm:
a) Quy trình dự báo nhu cầu phụ tải điện hệ thống điện quốc gia;
b) Quy trình lập kế hoạch bảo dưỡng, sửa chữa lưới điện và nhà máy điện trong hệ thống điện quốc gia;
c) Quy trình thực hiện đánh giá an ninh hệ thống điện trung hạn và ngắn hạn;
d) Quy trình lập kế hoạch vận hành hệ thống điện quốc gia;
đ) Quy trình xác định và vận hành dịch vụ phụ trợ;
e) Quy định yêu cầu kỹ thuật đối với hệ thống rơ le bảo vệ và tự động hóa trong nhà máy điện và trạm biến áp;
g) Quy định về yêu cầu kỹ thuật và quản lý vận hành hệ thống SCADA;
h) Quy trình thử nghiệm và giám sát thử nghiệm;
i) Quy trình sa thải phụ tải điện trong hệ thống điện quốc gia.
4. Đơn vị truyền tải điện và Khách hàng sử dụng lưới điện truyền tải có trách nhiệm xây dựng kế hoạch để đầu tư, nâng cấp và cải tạo lưới điện, thiết bị điện trong phạm vi quản lý đảm bảo đáp ứng các yêu cầu kỹ thuật và yêu cầu trong vận hành quy định tại Thông tư này.
Điều 102. Hiệu lực thi hành [56]
1. Thông tư này có hiệu lực kể từ ngày 16 tháng 01 năm 2017. Thông tư số 12/2010/TT-BCT ngày 15 tháng 4 năm 2010 của Bộ trưởng Bộ Công Thương quy định hệ thống điện truyền tải hết hiệu lực từ ngày Thông tư này có hiệu lực.
2. Trường hợp đã có hợp đồng mua sắm, lắp đặt thiết bị được ký trước ngày 01 tháng 6 năm 2010 có nội dung khác với quy định tại Thông tư số 12/2010/TT-BCT ngày 15 tháng 4 năm 2010 của Bộ trưởng Bộ Công Thương quy định hệ thống điện truyền tải hoặc được ký trước ngày Thông tư này có hiệu lực mà có nội dung khác với một số nội dung mới được quy định tại Thông tư này, Đơn vị truyền tải điện và Khách hàng sử dụng lưới điện truyền tải được tiếp tục thực hiện theo hợp đồng đã ký.
3. Trong quá trình thực hiện Thông tư này, nếu có vấn đề vướng mắc, yêu cầu các đơn vị có liên quan phản ánh trực tiếp về Cục Điều tiết điện lực để xem xét, giải quyết theo thẩm quyền hoặc báo cáo Bộ Công Thương để giải quyết./.
| BỘ CÔNG THƯƠNG Nơi nhận: | XÁC THỰC VĂN BẢN HỢP NHẤT KT. BỘ TRƯỞNG |
PHỤ LỤC 1A
THÔNG TIN ĐĂNG KÝ ĐẤU NỐI CHO KHÁCH HÀNG CÓ NHU CẦU ĐẤU NỐI
(Ban hành kèm theo Thông tư số 25 /2016/TT-BCT ngày 30 tháng 11 năm 2016 của Bộ trưởng Bộ Công Thương)
Thông tin đăng ký đấu nối áp dụng cho các điểm đấu nối mới hoặc sửa đổi tại các điểm đấu nối cũ, bao gồm:
Họ và tên khách hàng có nhu cầu đấu nối:
Chức danh:
Tên đơn vị công tác:
Có trụ sở đăng ký tại:
Địa chỉ:
Điện thoại:
Fax:
Email:
1. Mô tả dự án
a) Tên dự án;
b) Lĩnh vực hoạt động/loại hình sản xuất;
c) Sản lượng dự kiến/Năng lực sản xuất;
d) Ngày dự kiến bắt đầu khởi công xây dựng;
đ) Ngày dự kiến đưa vào vận hành;
e) Điểm đấu nối hiện tại (nếu có);
g) Điểm đấu nối đề nghị;
h) Cấp điện áp và số mạch đường dây đấu nối đề xuất;
i) Ngày dự kiến đóng điện điểm đấu nối.
2. Bản đồ, sơ đồ và kế hoạch
a) Bản đồ địa lý tỷ lệ 1:50000 có đánh dấu vị trí của khách hàng có nhu cầu đấu nối, phần lưới điện truyền tải liên quan của Đơn vị truyền tải điện và vị trí điểm đấu nối;
b) Sơ đồ bố trí mặt bằng tỷ lệ 1:200 hoặc 1:500 mô tả vị trí các tổ máy phát điện, máy biến áp, các toà nhà, vị trí đấu nối;
c) Cung cấp kế hoạch xây dựng các công trình đề xuất cho các vùng bao quanh trạm biến áp, tổ máy phát điện, công trình xây dựng, điểm đấu nối với tỷ lệ 1:200 hoặc 1:500.
3. Hồ sơ pháp lý
Các tài liệu về tư cách pháp nhân (bản sao Giấy phép đầu tư hoặc Quyết định đầu tư, Quyết định thành lập doanh nghiệp, Giấy đăng ký kinh doanh, Giấy phép hoạt động điện lực và các giấy phép khác theo quy định của pháp luật).
PHỤ LỤC 1B
THÔNG TIN VỀ NHÀ MÁY ĐIỆN VÀ TỔ MÁY PHÁT ĐIỆN CỦA KHÁCH HÀNG CÓ NHU CẦU ĐẤU NỐI
(Ban hành kèm theo Thông tư số 25 /2016/TT-BCT ngày 30 tháng 11 năm 2016 của Bộ trưởng Bộ Công Thương)
Thông tin áp dụng cho nhà máy điện, tổ máy phát điện, trạm điện của khách hàng có nhu cầu đấu nối gồm:
1. Mô tả nhà máy điện
a) Tên nhà máy;
b) Địa điểm xây dựng;
c) Loại hình và công nghệ của nhà máy điện (thuỷ điện, nhiệt điện than, khí, năng lượng tái tạo,...);
d) Số tổ máy phát điện, công suất định mức;
đ) Sản lượng điện dự kiến;
e) Công suất dự kiến phát vào lưới;
g) Thời gian dự kiến đưa vào vận hành;
h) Cấp điện áp đề xuất tại điểm đấu nối.
2. Sơ đồ điện
a) Sơ đồ mặt bằng bố trí thiết bị;
b) Sơ đồ nối điện chính, trong đó chỉ rõ:
- Bố trí thanh cái;
- Các mạch điện (đường dây trên không, cáp ngầm, máy biến áp...);
- Các tổ máy phát điện;
- Bố trí pha;
- Bố trí nối đất;
- Các thiết bị đóng cắt;
- Điện áp vận hành;
- Phương thức bảo vệ;
- Vị trí điểm đấu nối;
- Bố trí thiết bị bù công suất phản kháng.
Sơ đồ này chỉ giới hạn ở trạm biến áp đấu vào điểm đấu nối và các thiết bị điện khác của Khách hàng có nhu cầu đấu nối có khả năng ảnh hưởng tới hệ thống điện truyền tải, nêu rõ những phần dự kiến sẽ mở rộng hoặc thay đổi (nếu có) trong tương lai.
3. Đặc tính vận hành tổ máy phát điện
Với mỗi loại tổ máy phát điện, cần phải cung cấp đầy đủ các thông tin sau:
- Số tổ máy phát điện;
- Công suất tác dụng phát định mức (MW);
- Công suất biểu kiến phát định mức (MVA);
- Công suất tác dụng phụ tải tự dùng (MW);
- Công suất phản kháng phụ tải tự dùng (MVAr);
- Điện áp đầu cực (kV);
- Dải công suất tác dụng (MW-MW);
- Công suất phản kháng phát tối đa tại mức công suất tác dụng định mức (MVAr);
- Công suất phản kháng nhận tối đa tại mức công suất tác dụng định mức (MVAr);
- Hệ số ngắn mạch;
- Dòng điện stator định mức (A);
- Dòng điện rotor định mức tại dòng điện đầu ra định mức (công suất tác dụng định mức, hệ số mang tải định mức, điện áp đầu cực định mức) và tốc độ rotor định mức (A);
- Điện áp rotor định mức (kV);
- Dải vận hành của tổ máy phát điện bao gồm giới hạn nhiệt và kích từ;
- Đồ thị từ hóa hở mạch;
- Đặc tính ngắn mạch;
- Đồ thị thành phần công suất không tải;
- Đồ thị điện áp;
- Thời gian hòa đồng bộ từ trạng thái ấm (giờ);
- Thời gian hòa đồng bộ từ trạng thái lạnh (giờ);
- Thời gian vận hành tối thiểu;
- Thời gian dừng tối thiểu;
- Tốc độ tăng tải định mức (MW/phút);
- Tốc độ giảm tải định mức (MW/phút);
- Loại nhiên liệu khởi động;
- Khả năng thay đổi nhiên liệu khi có tải;
- Các chế độ sẵn sàng;
- Thời gian thay đổi chế độ tải;
- Dải điều khiển của hệ thống điều chỉnh tần số thứ cấp (MW);
- Các đặc tính vận hành liên quan khác;
- Cung cấp thông tin chi tiết về công suất dự phòng của tổ máy phát điện trong các chế độ vận hành khác nhau.
Với các nhà máy nhiệt điện, ngoài các thông số yêu cầu ở trên phải cung cấp thêm sơ đồ khối chức năng của các thành phần chính của nhà máy, lò hơi, máy phát xoay chiều, các nguồn cung cấp nhiệt hoặc hơi.
4. Thông số kỹ thuật của tổ máy phát điện
Các thông số và giá trị sau:
- Điện kháng đồng bộ dọc trục Xd;
- Điện kháng quá độ dọc trục X’d
- Điện kháng siêu quá độ chưa bão hòa dọc trục X’’d;
- Điện kháng đồng bộ ngang trục Xq;
- Điện kháng quá độ chưa bão hòa ngang trục X’q;
- Điện kháng siêu quá độ chưa bão hòa ngang trục X’’q;
- Các thông số bão hòa của các điện kháng Xd, X’d, X’’d, Xq, X’q, X’’q;
- Điện kháng thứ tự nghịch X2;
- Điện kháng thứ tự không Xo;
- Điện trở Stator Ra;
- Điện kháng khe hở stator XL;
- Điện kháng điểm Xp;
- Biểu tượng và giá trị hằng số thời gian máy máy điện;
- Hằng số thời gian quá độ hở mạch dọc trục Tdo’ (s);
- Hằng số thời gian siêu quá độ hở mạch dọc trục Tdo’’(s)
- Hằng số thời gian quá độ hở mạch ngang trục Tqo’ (s);
- Hằng số thời gian siêu quá độ hở mạch ngang trục Tqo’’(s)
- Hằng số thời gian quá độ ngắn mạch dọc trục Td’ (s);
- Hằng số thời gian siêu quá độ ngắn mạch dọc trục Td’’ (s);
- Hằng số thời gian quá độ ngắn mạch ngang trục Tq’ (s);
- Hằng số thời gian siêu quá độ ngắn mạch ngang trục Tq’’ (s);
- Hằng số quán tính tuabin máy phát cho toàn bộ khối quay (MWsec/MVA);
5. Hệ thống kích từ
Dự kiến kiểu kích từ và thiết bị ổn định hệ thống điện (PSS), sơ đồ khối Laplace theo tiêu chuẩn của IEEE (hoặc tiêu chuẩn tương đương được phép áp dụng) cùng các thông số và hàm truyền kèm theo.
6. Hệ thống điều tốc và thiết bị ổn định
Dự kiến kiểu điều tốc, sơ đồ khối Laplace theo tiêu chuẩn IEEE (hoặc tiêu chuẩn tương đương được phép áp dụng) cùng các thông số và hàm truyền kèm theo.
7. Hệ thống bảo vệ và điều khiển
- Cung cấp thông tin về hệ thống rơ le bảo vệ của tổ máy phát điện.
- Cung cấp thông tin về hệ thống tự động điều khiển của nhà máy và dự kiến phương thức ghép nối với hệ thống SCADA, thiết bị đầu cuối viễn thông của nhà máy và trạm biến áp.
8. Khởi động đen
Yêu cầu cung cấp các thông tin về trang bị khả năng khởi động đen.
9. Ảnh hưởng tới môi trường
Yêu cầu cung cấp các thông tin liên quan tới phát thải khí nhà kính, bao gồm các thông tin sau:
a) Đối với nhà máy nhiệt điện
- Khí CO2:
+ Tấn CO2/tấn nhiên liệu;
+ Hiệu suất giảm khí CO2.
- Khí SO2:
+ Tấn SO2/tấn nhiên liệu;
+ Hiệu suất giảm khí SO2.
- Khí NOx:
+ Tấn NOx/ đường cong xuất điện năng MWh.
b) Nhà máy thủy điện tích năng
- Công suất dự trữ (MWH bơm);
- Công suất bơm lớn nhất (MW);
- Công suất bơm nhỏ nhất (MW);
- Công suất phát lớn nhất (MW);
- Công suất phát nhỏ nhất (MW);
- Hiệu suất (phát/ bơm tỷ lệ %).
c) Nhà máy điện gió
- Loại turbine (cố định hay biến tốc);
- Chi tiết về đặc tính kỹ thuật và đặc tính vận hành của nhà sản xuất;
- Phương thức vận hành theo mùa của tổ máy phát điện: mùa hay liên tục;
- Dự kiến khả năng phát vào lưới điện truyền tải hàng tháng (MW);
- Đồ thị phát điện ngày điển hình của từng tháng;
- Dự kiến chi tiết sự biến đổi đầu ra thường xuyên hay nhanh, bao gồm độ lớn, tỷ lệ thay đổi lớn nhất, tần suất và quãng thời gian;
- Số liệu về kết quả đo gió trong quá khứ.
10. Dự báo tính sẵn sàng
- Yêu cầu bảo dưỡng dự kiến: …tuần/năm;
- Khả năng sẵn sàng (lấy từ yêu cầu bảo dưỡng được lập lịch dự kiến);
- Khả năng sẵn sàng tỷ lệ công suất phát theo mùa (MW);
- Khả năng sẵn sàng tuyệt đối;
- Khả năng sẵn sàng bộ phận;
- Xác suất ngừng chạy ép buộc.
- Giới hạn khả năng phát điện:
+ Phát điện ngày (GWh);
+ Phát điện tuần (GWh);
+ Phát điện tháng (GWh);
+ Phát điện năm (GWh).
11. Số liệu kỹ thuật của các thiết bị điện tại điểm đấu nối
a) Thiết bị đóng cắt: Cầu dao, dao cách ly của các mạch đấu nối liên quan tới điểm đấu nối.
- Điện áp vận hành định mức (kV);
- Dòng điện định mức (A);
- Dòng cắt ngắn mạch 03 pha định mức (kA);
- Đòng cắt ngắn mặch 01 pha định mức (kA);
- Dòng cắt tải 03 pha định mức (kA);
- Dòng cắt tải 01 pha định mức (kA);
- Dòng ngắn mạch 03 pha nặng nề nhất định mức (kA);
- Dòng ngắn mạch 01 pha nặng nề nhất định mức (kA);
- Mức cách điện cơ bản-BIL (kV).
b) Máy biến áp
- Điện áp định mức và bố trí cuộn dây;
- Công suất định mức MVA của mỗi cuộn dây;
- Cuộn dây phân áp, kiểu điều áp (dưới tải hoặc không), vùng điều áp (số lượng đầu ra và kích cỡ bước điều áp);
- Chu kỳ thời gian điều áp;
- Bố trí nối đất (nối đất trực tiếp, không nối đất, nối đất qua cuộn kháng);
- Đường cong bão hòa;
- Điện trở và điện kháng thứ tự thuận của máy biến áp tại nấc phân áp danh định, nhỏ nhất, lớn nhất (R+jX trên phần trăm công suất định mức MVA của máy biến áp). Cho máy biến áp 03 cuộn dây, cả 03 cuộn dây có đấu nối bên ngoài, điện trở và điện kháng giữa mỗi cặp cuộn dây phải được tính toán với cuộn thứ ba là hở mạch;
- Điện trở và điện kháng thứ tự không của máy biến áp tại nấc phân áp danh định, thấp nhất và cao nhất (Ω);
- Mức cách điện cơ bản (kV).
c) Các thiết bị bù công suất phản kháng (Tụ/cuộn cảm)
- Loại thiết bị (cố định hoặc thay đổi) điện dung và/ hoặc tỷ lệ điện cảm hoặc vùng vận hành MVAr;
- Điện trở/ điện kháng, dòng điện nạp/ phóng;
- Với thiết bị tụ/ cuộn cảm có thể điều khiển được, phải cung cấp chi tiết nguyên lý điều khiển, các số liệu điều khiển như điện áp, tải, đóng cắt hoặc tự động, thời gian vận hàng và các cài đặt khác.
d) Máy biến điện áp (TU)/Máy biến dòng (TI)
- Tỷ số biến;
- Giấy chứng nhận kiểm tra, kiểm định tuân theo quy định đo đếm.
đ) Hệ thống bảo vệ và điều khiển
- Cấu hình hệ thống bảo vệ;
- Giá trị cài đặt đề xuất;
- Thời gian giải phóng sự cố của hệ thống bảo vệ chính và dự phòng;
- Chu kỳ tự động đóng lại (nếu có);
- Quản lý, điều khiển và giao tiếp dữ liệu.
e) Đường dây và cáp truyền tải liên quan tới điểm đấu nối
- Điện trở/ điện kháng/ điện dung;
- Dòng điện tải định mức và dòng điện tải lớn nhất.
12. Nhà máy thuỷ điện
Đối với nhà máy thủy điện phải cung cấp thêm dữ liệu về công suất phát và điện năng dự kiến cho mỗi tháng của năm và các thông tin liên quan đến thủy văn, thủy năng, cụ thể như sau:
a) Năng lượng sơ cấp - thuỷ năng
- Các thông số hồ chứa và điều tiết hồ chứa:
+ Dung tích hữu ích (tỉ m3);
+ Dung tích toàn bộ hồ (tỉ m3);
+ Dung tích chống lũ (tỉ m3);
+ Mực nước dâng bình thường (m);
+ Mực nước chết (m);
+ Mực nước gia cường (m);
+ Dung tích dành cho điều tiết nhiều năm (nếu có) (tỉ m3);
+ Diện tích lòng hồ (km2);
+ Chiều dài hồ ở mực nước dâng bình thường (km);
+ Chiều rộng trung bình hồ (km);
+ Chiều sâu trung bình hồ (m);
+ Đường đặc tính hồ chứa V = f(h);
+ Kiểu điều tiết (năm, nhiều năm, hỗn hợp);
+ Quy trình điều tiết hồ chứa tóm tắt (đặt trong 01 file văn bản);
+ Quy trình điều tiết hồ chứa đầy đủ (đặt trong 01 file văn bản);
+ Biểu đồ điều tiết hồ chứa (theo tháng hay tuần).
- Các thông số về đập chính:
+ Loại đập (đất đá, bê tông,..);
+ Kiểu xả lũ (xả tự nhiên, dùng cửa xả);
+ Cao độ đỉnh đập (m);
+ Chiều cao mặt đập (m);
+ Chiều dài mặt đập (m);
+ Chiều dài đáy đập (m);
+ Cao độ trên của cánh phai xả lũ (m);
+ Sơ đồ nguyên lý cấu tạo đập (file ảnh).
- Các thông số về đập phát điện:
+ Loại đập (đất đá, bê tông,..);
+ Cao độ đỉnh đập (m);
+ Chiều cao mặt đập (m);
+ Chiều dài mặt đập (m);
+ Chiều dài đáy đập (m);
+ Cao độ trên của cửa nhận nước (m);
+ Sơ đồ nguyên lý cấu tạo đập (file ảnh).
- Các thông số phía thượng lưu:
+ Mực nước dâng bình thường (m);
+ Mực nước chết (m);
+ Mực nước gia cường (m);
+ Mực nước điều tiết nhiều năm (nếu có) (m).
- Các thông số phía hạ lưu:
+ Mực nước khi dừng toàn bộ nhà máy (m);
+ Mực nước khi chạy công suất min (m);
+ Mực nước khi chạy công suất định mức (m);
+ Mực nước khi xả lưu lượng tần suất 0,01% (m).
- Các số liệu chính về thời tiết và thuỷ văn:
+ Đặc điểm thời tiết khí hậu;
+ Diện tích lưu vực sông (km2);
+ Tổng lượng dòng chảy trung bình nhiều năm (m3);
+ Lưu lượng nước về trung bình năm(m3/s);
+ Bảng tổng hợp lưu lượng nước về trung bình tháng;
+ Lượng mưa trung bình hằng năm (mm);
+ Lưu lượng lũ.
b) Tần suất nước về và năng lượng theo thiết kế
- Các số liệu chính về tần suất nước về theo bảng sau:
| Tần suất | Lưu lượng lũ tối đa (m3/s) | Lưu lượng trung bình ngày đêm (m3/s) |
| 10,00% |
|
|
| 1,00% |
|
|
| 0,10% |
|
|
| 0,01% |
|
|
- Các số liệu chính về tần suất nước về và năng lượng theo thiết kế:
| Tần suất | Lưu lượng | Năng lượng |
| 25% |
|
|
| 50% |
|
|
| 65% |
|
|
| 75% |
|
|
| 90% |
|
|
| Trung bình nhiều năm |
|
|
c) Cơ khí thuỷ lực
- Các loại cánh phai (van) dùng cho công trình:
+ Hệ thống nhận nước (file văn bản);
+ Hệ thống xả nước (file văn bản).
- Các thông số về Tua bin nước:
+ Kiểu tuabin ;
+ Nước sản xuất;
+ Mã hiệu;
+ Công suất thiết kế (MW);
+ Dải công suất khả dụng ứng với cột nước tính toán (từ …MW đến …MW);
+ Cột nước tính toán (m);
+ Cột nước tối đa (m);
+ Cột nước tối thiểu (m);
+ Lưu lượng nước qua Tua bin ứng với tải định mức (m3/s);
+ Tốc độ quay định mức (vòng/phút);
+ Tốc độ quay lồng tốc(vòng/phút);
+ Độ cao hút HS (m);
+ Suất tiêu hao nước ở cột nước định mức (m3/kWh).
- Cấu tạo của Tua bin nước (file văn bản):
+ Stator tuabin;
+ Séc măng ổ đỡ;
+ Séc măng ổ hướng;
+ Buồng xoắn;
+ Bánh xe công tác;
+ Trục tuabin;
+ Cánh hướng nước;
+ Servomotor;
+ Hệ thống điều tốc của tuabin.
- Hoạt động của Tua bin nước:
+ Khởi động;
+ Vận hành bình thường;
+ Ngừng bình thường tuabin;
+ Ngừng sự cố tuanbin;
+ Chuyển bù;
+ Đặc tính tuabin P=f(delta h);
+ Đặc tính suất tiêu hao nước theo cột nước.
d) Các hệ thống, thiết bị phụ đi kèm
+ Hệ thống khí nén cao áp - hạ áp;
+ Hệ thống dầu;
+ Hệ thống nước cứu hoả;
+ Hệ thống nước kỹ thuật làm mát.
e) Những lưu ý đặc biệt
PHỤ LỤC 1C
THÔNG TIN VỀ NHU CẦU SỬ DỤNG ĐIỆN CỦA ĐƠN VỊ PHÂN PHỐI ĐIỆN, ĐƠN VỊ PHÂN PHỐI VÀ BÁN LẺ ĐIỆN VÀ KHÁCH HÀNG SỬ DỤNG ĐIỆN
(Ban hành kèm theo Thông tư số 25 /2016/TT-BCT ngày 30 tháng 11 năm 2016 của Bộ trưởng Bộ Công Thương)
Thông tin áp dụng cho Đơn vị phân phối điện, Đơn vị phân phối và bán lẻ điện, Khách hàng sử dụng điện nhận điện trực tiếp từ lưới điện truyền tải, Đơn vị bán buôn điện có xuất - nhập khẩu điện thông qua lưới điện truyền tải có nhu cầu đấu nối mới hoặc thay đổi đấu nối cũ, bao gồm:
1. Số liệu về điện năng và công suất định mức
| - Công suất tác dụng: | (MW) |
| - Công suất phản kháng: | (MVAr) |
| - Điện năng tiêu thụ/ngày/tháng/năm: | (kWh) |
2. Số liệu dự báo nhu cầu điện tại điểm đấu nối
a) Số liệu tiêu thụ điện năm đầu
- Trường hợp thay đổi đấu nối hiện có, Khách hàng có nhu cầu thay đổi đấu nối phải cung cấp các thông tin về tình hình tiêu thụ điện của phụ tải điện hiện có tại điểm đấu nối, biểu đồ phụ tải ngày điển hình từng tháng trong năm gần nhất, trong đó bao gồm các số liệu sau:
+ Công suất tác dụng và công suất phản kháng nhận từ lưới điện truyền tải;
+ Công suất tác dụng và công suất phản kháng tự phát (nếu có).
- Trường hợp đấu nối mới, Khách hàng có nhu cầu đấu nối mới phải cung cấp các thông tin về nhu cầu phụ tải điện tại điểm đấu nối bao gồm công suất cực đại, điện năng và biểu đồ phụ tải ngày điển hình từng tháng của năm vào vận hành, trong đó bao gồm chi tiết các số liệu sau:
+ Công suất tác dụng và công suất phản kháng nhận từ lưới điện truyền tải;
+ Công suất tác dụng và công suất phản kháng tự phát (nếu có).
b) Dự báo nhu cầu điện dự kiến trong 01 năm tiếp theo
- Đối với nhu cầu thay đổi đấu nối hiện có, Khách hàng có nhu cầu thay đổi đấu nối phải cung cấp nhu cầu phụ tải điện dự kiến tại điểm đấu nối, bao gồm công suất cực đại, điện năng và Biểu đồ phụ tải ngày điển hình từng tháng cho 01 năm tiếp theo. Trong đó xác định rõ nhu cầu công suất tác dụng, phản kháng nhận từ lưới điện truyền tải và tự phát;
- Đối với nhu cầu đấu nối mới, Khách hàng có nhu cầu đấu nối mới phải cung cấp những thông tin dự báo nhu cầu phụ tải điện chi tiết, bao gồm công suất cực đại, điện năng và Biểu đồ phụ tải ngày điển hình từng tháng cho 01 năm tiếp theo. Trong đó xác định rõ nhu cầu công suất tác dụng, phản kháng nhận từ lưới điện truyền tải và tự phát.
c) Các số liệu liên quan tới dự báo nhu cầu điện (nếu có): Bao gồm các số liệu liên quan tới tiêu thụ điện như sản lượng sản phẩm, suất tiêu hao điện cho một đơn vị sản phẩm, chế độ tiêu thụ điện (ca, ngày làm việc và ngày nghỉ), tổng công suất lắp đặt của thiết bị điện và công suất cực đại, hệ số công suất.
3. Số liệu kỹ thuật thiết bị, lưới điện của phụ tải điện tại điểm đấu nối
a) Sơ đồ điện
- Sơ đồ mặt bằng bố trí thiết bị;
- Sơ đồ nối điện chính, trong đó chỉ rõ:
+ Bố trí thanh cái;
+ Các mạch điện (đường dây trên không, cáp ngầm, máy biến áp...);
+ Các tổ máy phát điện;
+ Bố trí pha;
+ Bố trí nối đất;
+ Các thiết bị đóng cắt;
+ Điện áp vận hành;
+ Phương thức bảo vệ;
+ Vị trí điểm đấu nối;
+ Bố trí thiết bị bù công suất phản kháng.
Sơ đồ này chỉ giới hạn ở trạm biến áp đấu vào điểm đấu nối và các thiết bị điện khác của Khách hàng có nhu cầu đấu nối có khả năng ảnh hưởng tới hệ thống điện truyền tải, nêu rõ những phần dự kiến sẽ mở rộng hoặc thay đổi (nếu có) trong tương lai.
b) Các thiết bị điện
- Thiết bị đóng cắt (cầu dao, cách ly…) của các mạch điện liên quan tới điểm đấu nối:
+ Điện áp vận hành định mức;
+ Dòng điện định mức (A);
+ Dòng điện cắt ngắn mạch 03 pha định mức (kA);
+ Dòng điện cắt ngắn mạch 01 pha định mức (kA);
+ Dòng cắt tải 03 pha định mức (kA);
+ Dòng cắt tải 01 pha định mức (kA);
+ Dòng ngắn mạch 03 pha nặng nề nhất định mức (kA);
+ Dòng ngắn mạch 01 pha nặng nề nhất định mức (kA);
+ Mức cách điện cơ bản –BIL (kV).
- Máy biến áp:
+ Điện áp định mức và bố trí cuộn dây;
+ Công suất định mức MVA của mỗi cuộn dây;
+ Cuộn dây phân áp, kiểu điều áp (dưới tải hoặc không), vùng phân áp (sô lượng đầu ra và kích cỡ bước phân áp);
+ Chu kỳ thời gian điều áp;
+ Bố trí nối đất (nối đất trực tiếp, không nối đất và nối đất qua cuộn kháng);
+ Đường cong bão hòa;
+ Điện trở và điện kháng thứ tự thuận của máy biến áp tại nấc phân áp danh định, nhỏ nhất, lớn nhất trên phần trăm công suất định mức MVA của máy biến áp. Cho máy biến áp 03 cuộn dây, có cả 03 cuộn dây đấu nối bên ngoài, điện trở và điện kháng giữa mỗi cặp cuộn dây phải được tính toán với cuộn thứ ba là mạch mở;
+ Điện trở và điện kháng thứ tự không của máy biến áp tại nấc phân áp danh định, thấp nhất và cao nhất (Ω);
+ Mức cách điện cơ bản (kV).
- Các thiết bị bù công suất phản kháng (Tụ/cuộn cảm):
+ Loại thiết bị (cố định hoặc thay đổi) điện dung và/ hoặc tỷ lệ điện cảm hoặc vùng vận hành MVAr;
+ Điện trở/ điện kháng, dòng điện nạp/ phóng;
+ Với thiết bị tụ/ cuộn cảm có thể điều khiển được, phải cung cấp chi tiết nguyên lý điều khiển, các số liệu điều khiển như điện áp, tải, đóng cắt hoặc tự động, thời gian vận hàng và các cài đặt khác.
- Máy biến điện áp (VT)/ máy biến dòng (TI):
+ Tỷ số biến;
+ Giấy chứng nhận kiểm tra tuân thủ Quy định đo đếm điện năng.
- Hệ thống bảo vệ và điều khiển:
+ Cấu hình hệ thống bảo vệ;
+ Giá trị cài đặt đề xuất;
+ Thời gian giải phóng sự cố của hệ thống bảo vệ chính và dự phòng;
+ Chu kỳ tự động đóng lại (nếu có);
+ Quản lý điều khiển và giao tiếp dữ liệu.
- Đường dây trên không và cáp điện liên quan tới điểm đấu nối:
+ Điện trở, điện kháng, điện dung (thứ tự thuận, thứ tự không và hỗ cảm) theo giá trị đo lường thực tế của đơn vị thí nghiệm;
+ Dòng điện tải định mức và dòng điện tải lớn nhất.
c) Các thông số liên quan đến ngắn mạch
- Dòng điện ngắn mạch 03 pha (xuất hiện tức thì tại điểm sự cố và sau sự cố thoáng qua) từ hệ thống điện của Khách hàng sử dụng lưới điện truyền tải vào hệ thống điện truyền tải tại điểm đấu nối;
- Giá trị điện trở và điện kháng thứ tự không của hệ thống điện của Khách hàng sử dụng lưới điện truyền tải tính từ điểm đấu nối;
- Giá trị điện áp trước khi sự cố phù hợp với dòng sự cố lớn nhất;
- Giá trị điện trở và điện kháng thứ tự ngịch của của hệ thống điện của Khách hàng sử dụng lưới điện truyền tải tính từ điểm đấu nối;
- Giá trị điện trở và điện kháng thứ tự không của mạch tương đương Pi của của hệ thống điện của Khách hàng sử dụng lưới điện truyền tải.
d) Yêu cầu về mức độ dự phòng
Đối với Khách hàng sử dụng điện nhận điện trực tiếp từ lưới điện truyền tải có nhu cầu nhận điện từ hai nguồn trở lên, yêu cầu chỉ rõ:
- Nguồn dự phòng;
- Công suất dự phòng yêu cầu (MW và MVAr).
4. Đặc tính phụ tải
Yêu cầu Khách hàng sử dụng điện nhận điện trực tiếp từ lưới điện truyền tải phải cung cấp các thông tin sau đây:
- Chi tiết về các thành phần phụ tải của Khách hàng sử dụng điện nhận điện trực tiếp từ lưới điện truyền tải, trong đó đặc biệt lưu ý cung cấp thông tin về các phụ tải có thể gây ra dao động quá 5% tổng công suất của Khách hàng sử dụng điện nhận điện trực tiếp từ lưới điện truyền tải tại điểm đấu nối và mức gây nhấp nháy điện áp của các phụ tải đó.
- Các chi tiết sau đây về đặc tính phụ tải tại từng điểm đấu nối:
| Thông số | Đơn vị |
|---|---|
| Hệ số công suất trong chế độ nhận công suất phản kháng |
|
| Độ nhạy của phụ tải với điện áp | MW/kV, MVAr/kV |
| Độ nhạy của phụ tải với tần số | MW/Hz, MVAr/Hz |
| Dự kiến mức độ gây mất cân bằng pha cực đại và trung bình | % |
| Dự kiến mức độ gây sóng hài tối đa |
|
| Dự kiến mức độ gây nhấp nháy điện áp ngắn hạn và dài hạn |
|
Đối với Khách hàng sử dụng lưới điện truyền tải có nhu cầu sử dụng với công suất từ 5MW trở lên tại điểm đấu nối phải cung cấp các dữ liệu sau:
- Tỷ lệ thay đổi tải (kW/s và kVAr/s) bao gồm cả tăng lên và hạ xuống;
- Bước thời gian lặp lại ngắn nhất của độ dao động phụ tải (giây);
- Độ lớn của bước thay đổi lớn nhất trong nhu cầu điện (kW; kVAr).
5. Các yêu cầu khác có liên quan tới phụ tải điện
PHỤ LỤC 2
THỎA THUẬN ĐẤU NỐI MẪU
(Ban hành kèm theo Thông tư số 25 /2016/TT-BCT ngày 30 tháng 11 năm 2016 của Bộ trưởng Bộ Công Thương)
CỘNG HÒA XÃ HỘI CHỦ NGHĨA VIỆT NAM
Độc lập - Tự do - Hạnh phúc
---------------
THỎA THUẬN ĐẤU NỐI
GIỮA (ĐƠN VỊ TRUYỀN TẢI ĐIỆN) VÀ …( TÊN KHÁCH HÀNG ĐỀ NGHỊ ĐẤU NỐI)
Số: /NPT - TTĐN
- Căn cứ Thông tư số ……/2016/TT-BCT ngày …tháng….năm 2016 của Bộ Công Thương quy định hệ thống điện truyền tải;
- Căn cứ Văn bản đề nghị đấu nối vào lưới điện truyền tải ngày … tháng … năm ….. của [Tên khách hàng có nhu cầu đấu nối] gửi [Tên Đơn vị truyền tải điện];
- Căn cứ hồ sơ đề nghị đấu nối của [Tên khách hàng có nhu cầu đấu nối] gửi [Tên Đơn vị truyền tải điện] ngày … tháng … năm …. ;
- Căn cứ vào các biên bản làm việc và thỏa thuận sơ bộ phương án đấu nối ….;
- Căn cứ vào yêu cầu và khả năng cung cấp dịch vụ truyền tải điện,
Hôm nay, ngày… tháng … năm … tại …, chúng tôi gồm:
Bên A: [Tên Đơn vị truyền tải điện]
Đại diện là: ...
Chức vụ: ....
Địa chỉ: ....
Điện thoại: .....; Fax: ....
Tài khoản số: ...
Mã số thuế: ...
Bên B: [Tên tên khách hàng có nhu cầu đấu nối]
Đại diện là: ...
Chức vụ: ...
Địa chỉ: ...
Điện thoại: ...; Fax: ...
Tài khoản số: ....
Mã số thuế: ...
Hai bên đồng ý ký kết Thỏa thuận đấu nối với các nội dung sau:
Điều 1. Nội dung đấu nối
[Tên Đơn vị truyền tải điện] thống nhất phương án đấu nối nhà máy điện .... của [tên khách hàng có nhu cầu đấu nối] vào lưới điện truyền tải, cụ thể như sau:
1. Quy mô công trình
a) Điểm đấu nối (yêu cầu chỉ rõ điểm đấu nối tại vị trí nào):
b) Điểm đầu đường dây đấu nối vào hệ thống điện: ...
c) Điểm cuối đường dây đấu nối vào hệ thống điện: ...
d) Cấp điện áp đấu nối: ...
đ) Tiết diện dây dẫn:...
e) Số mạch: ...
g) Kết cấu: ...
h) Chế độ vận hành: ...
i) Chiều dài đường dây đấu nối: ...
2. Ranh giới đo đếm
Ranh giới đo đếm mua bán điện năng lắp đặt tại vị trí đấu nối ..... vào lưới điện truyền tải.
3. Ranh giới đầu tư
4. Yêu cầu về giải pháp kỹ thuật
5. Các tài liệu kèm theo
a) Tài liệu đính kèm 01: ...
b) Tài liệu đính kèm 02: ...
c) Tài liệu đính kèm 03: ...
d) Tài liệu đính kèm 04: ...
đ) Tài liệu đính kèm 05: ...
e) Tài liệu đính kèm 06: ...
g) Tài liệu đính kèm 07: ...
Điều 2. Trách nhiệm của các bên
1. Trách nhiệm của Bên A
[Tên Đơn vị truyền tải điện] có trách nhiệm đầu tư xây dựng lưới điện truyền tải để kết nối với lưới điện của [tên khách hàng có nhu cầu đấu nối] theo đúng ranh giới đầu tư xây dựng quy định tại Khoản 3 Điều 1 của Thỏa thuận đấu nối này.
2. Trách nhiệm của Bên B
a) [Tên khách hàng có nhu cầu đấu nối] có trách nhiệm đầu tư xây dựng hệ thống lưới điện trong phạm vi quản lý theo các mô tả kỹ thuật tại Tài liệu đính kèm 3, tuân thủ Quy định hệ thống điện truyền tải và các quy định khác có liên quan.
b) [Tên khách hàng có nhu cầu đấu nối] có trách nhiệm quản lý, vận hành hệ thống điện hoặc nhà máy điện tuân thủ Quy định hệ thống điện truyền tải và các quy định khác có liên quan.
Điều 5. Ngày đấu nối
Ngày đấu nối dự kiến là ……………(ngày, tháng, năm).
Điều 6. Chi phí kiểm tra và thử nghiệm bổ sung
Chi phí kiểm tra và thử nghiệm bổ sung trong trường hợp quy định tại Khoản 1 Điều 51 Thông tư số …/2016/TT-BCT ngày…tháng…năm 2016 của Bộ Công Thương quy định hệ thống điện truyền tải được hai bên thống nhất như sau:
1. ………..
2. ………..
Điều 7. Tách đấu nối
1. Bên B có quyền đề nghị tách đấu nối tự nguyện trong các trường hợp cụ thể quy định tại Tài liệu đính kèm số 6 và phải tuân thủ các quy định có liên quan tại Thông tư số …/2016/TT-BCT ngày tháng năm 2016 của Bộ Công Thương quy định hệ thống điện truyền tải.
2. Bên A có quyền tách đấu nối bắt buộc trong các trường hợp quy định tại Điều 57 Thông tư số …/2016/TT-BCT ngày tháng năm 2016 của Bộ Công Thương quy định hệ thống điện truyền tải.
Điều 8. Các thoả thuận khác
1. Trong quá trình vận hành, khi có sự thay đổi hay sửa chữa liên quan tới điểm đấu nối hoặc thiết bị đấu nối, bên có thay đổi phải thông báo bằng văn bản và gửi các tài liệu kỹ thuật liên quan tới bên kia; soạn thảo Phụ lục Thỏa thuận đấu nối để cả hai bên ký làm tài liệu kèm theo Thoả thuận đấu nối này.
2. ………
3. ………
Điều 9. Hiệu lực thi hành
1. Thỏa thuận đấu nối này có hiệu lực kể từ ngày ký.
2. Thời hạn có hiệu lực của Thỏa thuận đấu nối:
3. Thỏa thuận đấu nối này được làm thành 04 bản có giá trị như nhau, mỗi bên giữ 02 bản./.
| ĐẠI DIỆN Bên B | ĐẠI DIỆN Bên A |
Tài liệu đính kèm 1
Sơ đồ 01 sợi tại khu vực đấu nối
(Kèm theo thỏa thuận đấu nối số………)
Tài liệu đính kèm 02 quy định ranh giới sở hữu, quản lý vận hành
(Kèm theo thỏa thuận đấu nối số………)
Ngày……tháng……..năm………
Tên Trạm biến áp:
Địa điểm:
Địa chỉ:
Số điện thoại:
Nhân viên vận hành lưới điện truyền tải của Đơn vị truyền tải điện (Tên):
Nhân viên vận hành của Khách hàng có nhu cầu đấu nối (Tên):
Điểm đấu nối:
Ranh giới sở hữu, quản lý vận hành:
Giám đốc/ Trưởng Trạm
(Ký và ghi tên)
| Nhân viên vận hành của Đơn vị truyền tải điện
(Ký và ghi tên) | Nhân viên vận hành của Khách hàng có nhu cầu đấu nối
(Ký và ghi tên) |
Tài liệu đính kèm 03
Danh sách thiết bị sở hữu cố định tại điểm đấu nối
(Kèm theo thỏa thuận đấu nối số………)
I. Thiết bị chính (bao gồm đường dây truyền tải điện và trạm biến áp)
1. Số, tên của thiết bị:
2. Mô tả kỹ thuật chính:
3. Nhà đầu tư/ chủ sở hữu:
4. Các thông tin cần thiết khác:
5. Nhận xét:
II. Thiết bị thứ cấp
1. Số/tên thiết bị:
2. Mô tả kỹ thuật chính:
3. Nhà đầu tư/ chủ sở hữu:
4. Các thông tin cần thiết khác:
5. Nhận xét:
III. Hệ thống đo đếm
1. Số/tên thiết bị:
2. Mô tả kỹ thuật chính:
3. Nhà đầu tư/ chủ sở hữu:
4. Các thông tin cần thiết khác:
5. Nhận xét:
IV. Các thiết bị khác liên quan đến điểm đấu nối
1. Số/ tên thiết bị:
2. Thông số kỹ thuật chính:
3. Nhà đầu tư/ chủ sở hữu:
4. Các thông tin cần thiết khác:
5. Nhận xét:
Tài liệu đính kèm 04
Mô tả kỹ thuật thiết bị điện liên quan tới điểm đấu nối của khách hàng có nhu cầu đấu nối
Bao gồm các dữ liệu cập nhật sửa đổi sơ đấu nối vào lưới điện truyền tải, đã được cập nhật và/hoặc sửa đổi.
(Kèm theo thỏa thuận đấu nối số………)
Tài liệu đính kèm 05
Mô tả Danh sách các dữ liệu truyền về hệ thống SCADA/EMS của Đơn vị vận hành hệ thống và thị trường điện, hệ thống kỹ thuật thiết bị đầu cuối RTU/Gateway liên quan tới đấu nối của khách hàng có nhu cầu đấu nối
(Kèm theo thỏa thuận đấu nối số………)
Tài liệu đính kèm 06
Đề nghị tách đấu nối tự nguyện của Khách hàng sử dụng lưới điện truyền tải
(Kèm theo thỏa thuận đấu nối số………)
Mô tả các trường hợp mà Khách hàng sử dụng lưới điện truyền tải đề xuất tách đấu nối tạm thời và các trách nhiệm của Khách hàng sử dụng lưới điện truyền tải với từng trường hợp.
(Kèm theo thỏa thuận đấu nối số………)
Tài liệu đính kèm 07
Các yêu cầu cụ thể về trang bị hệ thống PSS, PMU, AGC, hệ thống rơ le bảo vệ, thỏa thuận phối hợp trang bị, lắp đặt các thiết bị rơ le bảo vệ tại điểm đấu nối giữa Cấp điều độ có quyền điều khiển, Đơn vị truyền tải điện và Khách hàng sử dụng lưới điện truyền tải
(Kèm theo thỏa thuận đấu nối số………)
[1] Thông tư số 30/2019/TT-BCT sửa đổi, bổ sung một số điều của Thông tư số 25/2016/TT-BCT ngày 30 tháng 11 năm 2016 của Bộ trưởng Bộ Công Thương quy định hệ thống điện truyền tải và Thông tư số 39/2015/TT-BCT ngày 18 tháng 11 năm 2015 của Bộ trưởng Bộ Công Thương quy định hệ thống điện phân phối có căn cứ ban hành như sau:
“Căn cứ Luật Điện lực ngày 03 tháng 12 năm 2004 và Luật sửa đổi, bổ sung một số điều của Luật Điện lực ngày 20 tháng 11 năm 2012;
Căn cứ Nghị định số 98/2017/NĐ-CP ngày 18 tháng 8 năm 2017 của Chính phủ quy định chức năng, nhiệm vụ, quyền hạn và cơ cấu tổ chức của Bộ Công Thương;
Căn cứ Nghị định số 137/2013/NĐ-CP ngày 21 tháng 10 năm 2013 của Chính phủ quy định chi tiết thi hành một số điều của Luật Điện lực và Luật sửa đổi, bổ sung một số điều của Luật Điện lực;
Theo đề nghị của Cục trưởng Cục Điều tiết điện lực;”
Thông tư số 39/2022/TT-BCT sửa đổi, bổ sung một số điều của Thông tư số 25/2016/TT-BCT ngày 30 tháng 11 năm 2016 của Bộ trưởng Bộ Công Thương quy định hệ thống điện truyền tải, Thông tư số 39/2015/TT-BCT ngày 18 tháng 11 năm 2015 của Bộ trưởng Bộ Công Thương quy định hệ thống điện phân phối và Thông tư số 30/2019/TT-BCT ngày 18 tháng 11 năm 2019 sửa đổi, bổ sung một số điều Thông tư số 25/2016/TT-BCT ngày 30 tháng 11 năm 2016 của Bộ trưởng Bộ Công Thương quy định hệ thống điện truyền tải và Thông tư số 39/2015/TT-BCT ngày 18 tháng 11 năm 2015 của Bộ trưởng Bộ Công Thương quy định hệ thống điện phân phối có căn cứ ban hành như sau:
“Căn cứ Luật Điện lực ngày 03 tháng 12 năm 2004; Luật sửa đổi, bổ sung một số điều của Luật Điện lực ngày 20 tháng 11 năm 2012 và Luật sửa đổi, bổ sung một số điều của Luật Đầu tư công, Luật Đầu tư theo phương thức đối tác công tư, Luật Đầu tư, Luật Nhà ở, Luật Đấu thầu, Luật Điện lực, Luật Doanh nghiệp, Luật Thuế tiêu thụ đặc biệt và Luật Thi hành án dân sự ngày 11 tháng 01 năm 2022;
Căn cứ Nghị định số 96/2022/NĐ-CP ngày 29 tháng 11 năm 2022 của Chính phủ quy định chức năng, nhiệm vụ, quyền hạn và cơ cấu tổ chức của Bộ Công Thương;
Căn cứ Nghị định số 137/2013/NĐ-CP ngày 21 tháng 10 năm 2013 của Chính phủ quy định chi tiết thi hành một số điều của Luật Điện lực và Luật sửa đổi, bổ sung một số điều của Luật Điện lực;
Theo đề nghị của Cục trưởng Cục Điều tiết điện lực;”
[2] Khoản này được bổ sung theo quy định tại khoản 1 Điều 1 của Thông tư số 30/2019/TT-BCT sửa đổi, bổ sung một số điều của Thông tư số 25/2016/TT-BCT ngày 30 tháng 11 năm 2016 của Bộ trưởng Bộ Công Thương quy định hệ thống điện truyền tải và Thông tư số 39/2015/TT-BCT ngày 18 tháng 11 năm 2015 của Bộ trưởng Bộ Công Thương quy định hệ thống điện phân phối, có hiệu lực kể từ ngày 03 tháng 01 năm 2020.
[3] Khoản này được bổ sung theo quy định tại khoản 1 Điều 1 của Thông tư số 30/2019/TT-BCT sửa đổi, bổ sung một số điều của Thông tư số 25/2016/TT-BCT ngày 30 tháng 11 năm 2016 của Bộ trưởng Bộ Công Thương quy định hệ thống điện truyền tải và Thông tư số 39/2015/TT-BCT ngày 18 tháng 11 năm 2015 của Bộ trưởng Bộ Công Thương quy định hệ thống điện phân phối, có hiệu lực kể từ ngày 03 tháng 01 năm 2020.
[4] Khoản này được bãi bỏ theo quy định tại khoản 1 Điều 3 của Thông tư số 30/2019/TT-BCT sửa đổi, bổ sung một số điều của Thông tư số 25/2016/TT-BCT ngày 30 tháng 11 năm 2016 của Bộ trưởng Bộ Công Thương quy định hệ thống điện truyền tải và Thông tư số 39/2015/TT-BCT ngày 18 tháng 11 năm 2015 của Bộ trưởng Bộ Công Thương quy định hệ thống điện phân phối, có hiệu lực kể từ ngày 03 tháng 01 năm 2020.
[5] Khoản này được bãi bỏ theo quy định tại khoản 1 Điều 3 của Thông tư số 30/2019/TT-BCT sửa đổi, bổ sung một số điều của Thông tư số 25/2016/TT-BCT ngày 30 tháng 11 năm 2016 của Bộ trưởng Bộ Công Thương quy định hệ thống điện truyền tải và Thông tư số 39/2015/TT-BCT ngày 18 tháng 11 năm 2015 của Bộ trưởng Bộ Công Thương quy định hệ thống điện phân phối, có hiệu lực kể từ ngày 03 tháng 01 năm 2020.
[6] Khoản này được sửa đổi theo quy định tại khoản 2 Điều 1 của Thông tư số 30/2019/TT-BCT sửa đổi, bổ sung một số điều của Thông tư số 25/2016/TT-BCT ngày 30 tháng 11 năm 2016 của Bộ trưởng Bộ Công Thương quy định hệ thống điện truyền tải và Thông tư số 39/2015/TT-BCT ngày 18 tháng 11 năm 2015 của Bộ trưởng Bộ Công Thương quy định hệ thống điện phân phối, có hiệu lực kể từ ngày 03 tháng 01 năm 2020.
[7] Khoản này được sửa đổi theo quy định tại khoản 1 Điều 2 của Thông tư số 39/2022/TT-BCT sửa đổi, bổ sung một số điều của Thông tư số 25/2016/TT-BCT ngày 30 tháng 11 năm 2016 của Bộ trưởng Bộ Công Thương quy định hệ thống điện truyền tải, Thông tư số 39/2015/TT-BCT ngày 18 tháng 11 năm 2015 của Bộ trưởng Bộ Công Thương quy định hệ thống điện phân phối và Thông tư số 30/2019/TT-BCT ngày 18 tháng 11 năm 2019 sửa đổi, bổ sung một số điều Thông tư số 25/2016/TT-BCT ngày 30 tháng 11 năm 2016 của Bộ trưởng Bộ Công Thương quy định hệ thống điện truyền tải và Thông tư số 39/2015/TT-BCT ngày 18 tháng 11 năm 2015 của Bộ trưởng Bộ Công Thương, có hiệu lực kể từ ngày 16 tháng 02 năm 2023.
[8] Khoản này được sửa đổi theo quy định tại khoản 2 Điều 1 của Thông tư số 30/2019/TT-BCT sửa đổi, bổ sung một số điều của Thông tư số 25/2016/TT-BCT ngày 30 tháng 11 năm 2016 của Bộ trưởng Bộ Công Thương quy định hệ thống điện truyền tải và Thông tư số 39/2015/TT-BCT ngày 18 tháng 11 năm 2015 của Bộ trưởng Bộ Công Thương quy định hệ thống điện phân phối, có hiệu lực kể từ ngày 03 tháng 01 năm 2020.
[9] Khoản này được bãi bỏ theo quy định tại khoản 1 Điều 3 của Thông tư số 30/2019/TT-BCT sửa đổi, bổ sung một số điều của Thông tư số 25/2016/TT-BCT ngày 30 tháng 11 năm 2016 của Bộ trưởng Bộ Công Thương quy định hệ thống điện truyền tải và Thông tư số 39/2015/TT-BCT ngày 18 tháng 11 năm 2015 của Bộ trưởng Bộ Công Thương quy định hệ thống điện phân phối, có hiệu lực kể từ ngày 03 tháng 01 năm 2020.
[10] Khoản này được sửa đổi theo quy định tại khoản 2 Điều 1 của Thông tư số 30/2019/TT-BCT sửa đổi, bổ sung một số điều của Thông tư số 25/2016/TT-BCT ngày 30 tháng 11 năm 2016 của Bộ trưởng Bộ Công Thương quy định hệ thống điện truyền tải và Thông tư số 39/2015/TT-BCT ngày 18 tháng 11 năm 2015 của Bộ trưởng Bộ Công Thương quy định hệ thống điện phân phối, có hiệu lực kể từ ngày 03 tháng 01 năm 2020.
[11] Khoản này được sửa đổi theo quy định tại khoản 2 Điều 1 của Thông tư số 30/2019/TT-BCT sửa đổi, bổ sung một số điều của Thông tư số 25/2016/TT-BCT ngày 30 tháng 11 năm 2016 của Bộ trưởng Bộ Công Thương quy định hệ thống điện truyền tải và Thông tư số 39/2015/TT-BCT ngày 18 tháng 11 năm 2015 của Bộ trưởng Bộ Công Thương quy định hệ thống điện phân phối, có hiệu lực kể từ ngày 03 tháng 01 năm 2020.
[12] Điều này được sửa đổi theo quy định tại khoản 3 Điều 1 của Thông tư số 30/2019/TT-BCT sửa đổi, bổ sung một số điều của Thông tư số 25/2016/TT-BCT ngày 30 tháng 11 năm 2016 của Bộ trưởng Bộ Công Thương quy định hệ thống điện truyền tải và Thông tư số 39/2015/TT-BCT ngày 18 tháng 11 năm 2015 của Bộ trưởng Bộ Công Thương quy định hệ thống điện phân phối, có hiệu lực kể từ ngày 03 tháng 01 năm 2020.
[13] Khoản này được sửa đổi theo quy định tại khoản 4 Điều 1 của Thông tư số 30/2019/TT-BCT sửa đổi, bổ sung một số điều của Thông tư số 25/2016/TT-BCT ngày 30 tháng 11 năm 2016 của Bộ trưởng Bộ Công Thương quy định hệ thống điện truyền tải và Thông tư số 39/2015/TT-BCT ngày 18 tháng 11 năm 2015 của Bộ trưởng Bộ Công Thương quy định hệ thống điện phân phối, có hiệu lực kể từ ngày 03 tháng 01 năm 2020.
[14] Khoản này được sửa đổi theo quy định tại khoản 4 Điều 1 của Thông tư số 30/2019/TT-BCT sửa đổi, bổ sung một số điều của Thông tư số 25/2016/TT-BCT ngày 30 tháng 11 năm 2016 của Bộ trưởng Bộ Công Thương quy định hệ thống điện truyền tải và Thông tư số 39/2015/TT-BCT ngày 18 tháng 11 năm 2015 của Bộ trưởng Bộ Công Thương quy định hệ thống điện phân phối, có hiệu lực kể từ ngày 03 tháng 01 năm 2020.
[15] Khoản này được bổ sung theo quy định tại khoản 4 Điều 1 của Thông tư số 30/2019/TT-BCT sửa đổi, bổ sung một số điều của Thông tư số 25/2016/TT-BCT ngày 30 tháng 11 năm 2016 của Bộ trưởng Bộ Công Thương quy định hệ thống điện truyền tải và Thông tư số 39/2015/TT-BCT ngày 18 tháng 11 năm 2015 của Bộ trưởng Bộ Công Thương quy định hệ thống điện phân phối, có hiệu lực kể từ ngày 03 tháng 01 năm 2020.
[16] Điều này được sửa đổi theo quy định tại khoản 5 Điều 1 của Thông tư số 30/2019/TT-BCT sửa đổi, bổ sung một số điều của Thông tư số 25/2016/TT-BCT ngày 30 tháng 11 năm 2016 của Bộ trưởng Bộ Công Thương quy định hệ thống điện truyền tải và Thông tư số 39/2015/TT-BCT ngày 18 tháng 11 năm 2015 của Bộ trưởng Bộ Công Thương quy định hệ thống điện phân phối, có hiệu lực kể từ ngày 03 tháng 01 năm 2020.
[17] Chương này bao gồm các Điều 22, Điều 23, Điều 24, Điều 25 được bãi bỏ theo quy định tại khoản 1 Điều 3 của Thông tư số 30/2019/TT-BCT sửa đổi, bổ sung một số điều của Thông tư số 25/2016/TT-BCT ngày 30 tháng 11 năm 2016 của Bộ trưởng Bộ Công Thương quy định hệ thống điện truyền tải và Thông tư số 39/2015/TT-BCT ngày 18 tháng 11 năm 2015 của Bộ trưởng Bộ Công Thương quy định hệ thống điện phân phối, có hiệu lực kể từ ngày 03 tháng 01 năm 2020.
[18] Khoản này được sửa đổi theo quy định tại khoản 6 Điều 1 của Thông tư số 30/2019/TT-BCT sửa đổi, bổ sung một số điều của Thông tư số 25/2016/TT-BCT ngày 30 tháng 11 năm 2016 của Bộ trưởng Bộ Công Thương quy định hệ thống điện truyền tải và Thông tư số 39/2015/TT-BCT ngày 18 tháng 11 năm 2015 của Bộ trưởng Bộ Công Thương quy định hệ thống điện phân phối, có hiệu lực kể từ ngày 03 tháng 01 năm 2020.
[19] Khoản 7 Điều 1 Thông tư số 30/2019/TT-BCT (sửa đổi, bổ sung khoản 1 Điều 31 Thông tư số 25/2016/TT-BCT) được sửa đổi theo quy định tại khoản 1 Điều 1 của Thông tư số 39/2022/TT-BCT sửa đổi, bổ sung một số điều của Thông tư số 25/2016/TT-BCT ngày 30 tháng 11 năm 2016 của Bộ trưởng Bộ Công Thương quy định hệ thống điện truyền tải, Thông tư số 39/2015/TT-BCT ngày 18 tháng 11 năm 2015 của Bộ trưởng Bộ Công Thương quy định hệ thống điện phân phối và Thông tư số 30/2019/TT-BCT ngày 18 tháng 11 năm 2019 sửa đổi, bổ sung một số điều Thông tư số 25/2016/TT-BCT ngày 30 tháng 11 năm 2016 của Bộ trưởng Bộ Công Thương quy định hệ thống điện truyền tải và Thông tư số 39/2015/TT-BCT ngày 18 tháng 11 năm 2015 của Bộ trưởng Bộ Công Thương quy định hệ thống điện phân phối, có hiệu lực kể từ ngày 16 tháng 02 năm 2023.
[20] Khoản này được sửa đổi theo quy định tại khoản 8 Điều 1 của Thông tư số 30/2019/TT-BCT sửa đổi, bổ sung một số điều của Thông tư số 25/2016/TT-BCT ngày 30 tháng 11 năm 2016 của Bộ trưởng Bộ Công Thương quy định hệ thống điện truyền tải và Thông tư số 39/2015/TT-BCT ngày 18 tháng 11 năm 2015 của Bộ trưởng Bộ Công Thương quy định hệ thống điện phân phối, có hiệu lực kể từ ngày 03 tháng 01 năm 2020.
[21] Khoản này được sửa đổi theo quy định tại khoản 8 Điều 1 của Thông tư số 30/2019/TT-BCT sửa đổi, bổ sung một số điều của Thông tư số 25/2016/TT-BCT ngày 30 tháng 11 năm 2016 của Bộ trưởng Bộ Công Thương quy định hệ thống điện truyền tải và Thông tư số 39/2015/TT-BCT ngày 18 tháng 11 năm 2015 của Bộ trưởng Bộ Công Thương quy định hệ thống điện phân phối, có hiệu lực kể từ ngày 03 tháng 01 năm 2020.
[22] Điều này được sửa đổi theo quy định tại khoản 9 Điều 1 của Thông tư số 30/2019/TT-BCT sửa đổi, bổ sung một số điều của Thông tư số 25/2016/TT-BCT ngày 30 tháng 11 năm 2016 của Bộ trưởng Bộ Công Thương quy định hệ thống điện truyền tải và Thông tư số 39/2015/TT-BCT ngày 18 tháng 11 năm 2015 của Bộ trưởng Bộ Công Thương quy định hệ thống điện phân phối, có hiệu lực kể từ ngày 03 tháng 01 năm 2020.
[23] Điểm này được bổ sung theo quy định tại khoản 2 Điều 2 của Thông tư số 39/2022/TT-BCT sửa đổi, bổ sung một số điều của Thông tư số 25/2016/TT-BCT ngày 30 tháng 11 năm 2016 của Bộ trưởng Bộ Công Thương quy định hệ thống điện truyền tải, Thông tư số 39/2015/TT-BCT ngày 18 tháng 11 năm 2015 của Bộ trưởng Bộ Công Thương quy định hệ thống điện phân phối và Thông tư số 30/2019/TT-BCT ngày 18 tháng 11 năm 2019 sửa đổi, bổ sung một số điều Thông tư số 25/2016/TT-BCT ngày 30 tháng 11 năm 2016 của Bộ trưởng Bộ Công Thương quy định hệ thống điện truyền tải và Thông tư số 39/2015/TT-BCT ngày 18 tháng 11 năm 2015 của Bộ trưởng Bộ Công Thương, có hiệu lực kể từ ngày 16 tháng 02 năm 2023.
[24] Khoản 10 Điều 1 Thông tư số 30/2019/TT-BCT (sửa đổi khoản 2 Điều 37 Thông tư số 25/2016/TT-BCT) được sửa đổi theo quy định tại khoản 2 Điều 1 của Thông tư số 39/2022/TT-BCT sửa đổi, bổ sung một số điều của Thông tư số 25/2016/TT-BCT ngày 30 tháng 11 năm 2016 của Bộ trưởng Bộ Công Thương quy định hệ thống điện truyền tải, Thông tư số 39/2015/TT-BCT ngày 18 tháng 11 năm 2015 của Bộ trưởng Bộ Công Thương quy định hệ thống điện phân phối và Thông tư số 30/2019/TT-BCT ngày 18 tháng 11 năm 2019 sửa đổi, bổ sung một số điều của Thông tư số 25/2016/TT-BCT ngày 30 tháng 11 năm 2016 của Bộ trưởng Bộ Công Thương quy định hệ thống điện truyền tải và Thông tư số 39/2015/TT-BCT ngày 18 tháng 11 năm 2015 của Bộ trưởng Bộ Công Thương quy định hệ thống điện phân phối, có hiệu lực kể từ ngày 16 tháng 02 năm 2023.
[25] Khoản này được sửa đổi, bổ sung theo quy định tại khoản 3 Điều 2 của Thông tư số 39/2022/TT-BCT sửa đổi, bổ sung một số điều của Thông tư số 25/2016/TT-BCT ngày 30 tháng 11 năm 2016 của Bộ trưởng Bộ Công Thương quy định hệ thống điện truyền tải, Thông tư số 39/2015/TT-BCT ngày 18 tháng 11 năm 2015 của Bộ trưởng Bộ Công Thương quy định hệ thống điện phân phối và Thông tư số 30/2019/TT-BCT ngày 18 tháng 11 năm 2019 sửa đổi, bổ sung một số điều Thông tư số 25/2016/TT-BCT ngày 30 tháng 11 năm 2016 của Bộ trưởng Bộ Công Thương quy định hệ thống điện truyền tải và Thông tư số 39/2015/TT-BCT ngày 18 tháng 11 năm 2015 của Bộ trưởng Bộ Công Thương, có hiệu lực kể từ ngày 16 tháng 02 năm 2023.
[26] Khoản 11 Điều 1 Thông tư số 30/2019/TT-BCT (sửa đổi khoản 3 Điều 38 Thông tư số 25/2016/TT-BCT) được sửa đổi theo quy định tại khoản 3 Điều 1 của Thông tư số 39/2022/TT-BCT sửa đổi, bổ sung một số điều của Thông tư số 25/2016/TT-BCT ngày 30 tháng 11 năm 2016 của Bộ trưởng Bộ Công Thương quy định hệ thống điện truyền tải, Thông tư số 39/2015/TT-BCT ngày 18 tháng 11 năm 2015 của Bộ trưởng Bộ Công Thương quy định hệ thống điện phân phối và Thông tư số 30/2019/TT-BCT ngày 18 tháng 11 năm 2019 sửa đổi, bổ sung một số điều Thông tư số 25/2016/TT-BCT ngày 30 tháng 11 năm 2016 của Bộ trưởng Bộ Công Thương quy định hệ thống điện truyền tải và Thông tư số 39/2015/TT-BCT ngày 18 tháng 11 năm 2015 của Bộ trưởng Bộ Công Thương quy định hệ thống điện phân phối, có hiệu lực kể từ ngày 16 tháng 02 năm 2023.
[27] Khoản này bổ sung theo quy định tại khoản 4 Điều 2 của Thông tư số 39/2022/TT-BCT sửa đổi, bổ sung một số điều của Thông tư số 25/2016/TT-BCT ngày 30 tháng 11 năm 2016 của Bộ trưởng Bộ Công Thương quy định hệ thống điện truyền tải, Thông tư số 39/2015/TT-BCT ngày 18 tháng 11 năm 2015 của Bộ trưởng Bộ Công Thương quy định hệ thống điện phân phối và Thông tư số 30/2019/TT-BCT ngày 18 tháng 11 năm 2019 sửa đổi, bổ sung một số điều Thông tư số 25/2016/TT-BCT ngày 30 tháng 11 năm 2016 của Bộ trưởng Bộ Công Thương quy định hệ thống điện truyền tải và Thông tư số 39/2015/TT-BCT ngày 18 tháng 11 năm 2015 của Bộ trưởng Bộ Công Thương quy định hệ thống điện phân phối, có hiệu lực kể từ ngày 16 tháng 02 năm 2023.
[28] Khoản 12 Điều 1 Thông tư số 30/2019/TT-BCT (sửa đổi Điều 42 Thông tư số 25/2016/TT-BCT) được sửa đổi theo quy định tại khoản 4 Điều 1 của Thông tư số 39/2022/TT-BCT sửa đổi, bổ sung một số điều của Thông tư số 25/2016/TT-BCT ngày 30 tháng 11 năm 2016 của Bộ trưởng Bộ Công Thương quy định hệ thống điện truyền tải, Thông tư số 39/2015/TT-BCT ngày 18 tháng 11 năm 2015 của Bộ trưởng Bộ Công Thương quy định hệ thống điện phân phối và Thông tư số 30/2019/TT-BCT ngày 18 tháng 11 năm 2019 sửa đổi, bổ sung một số điều Thông tư số 25/2016/TT-BCT ngày 30 tháng 11 năm 2016 của Bộ trưởng Bộ Công Thương quy định hệ thống điện truyền tải và Thông tư số 39/2015/TT-BCT ngày 18 tháng 11 năm 2015 của Bộ trưởng Bộ Công Thương quy định hệ thống điện phân phối, có hiệu lực kể từ ngày 16 tháng 02 năm 2023.
[29] Tên điều này được sửa đổi theo quy định tại khoản 5 Điều 2 của Thông tư số 39/2022/TT-BCT sửa đổi, bổ sung một số điều của Thông tư số 25/2016/TT-BCT ngày 30 tháng 11 năm 2016 của Bộ trưởng Bộ Công Thương quy định hệ thống điện truyền tải, Thông tư số 39/2015/TT-BCT ngày 18 tháng 11 năm 2015 của Bộ trưởng Bộ Công Thương quy định hệ thống điện phân phối và Thông tư số 30/2019/TT-BCT ngày 18 tháng 11 năm 2019 sửa đổi, bổ sung một số điều Thông tư số 25/2016/TT-BCT ngày 30 tháng 11 năm 2016 của Bộ trưởng Bộ Công Thương quy định hệ thống điện truyền tải và Thông tư số 39/2015/TT-BCT ngày 18 tháng 11 năm 2015 của Bộ trưởng Bộ Công Thương quy định hệ thống điện phân phối, có hiệu lực kể từ ngày 16 tháng 02 năm 2023.
[30] Đoạn này được sửa đổi theo quy định tại khoản 6 Điều 2 của Thông tư số 39/2022/TT-BCT sửa đổi, bổ sung một số điều của Thông tư số 25/2016/TT-BCT ngày 30 tháng 11 năm 2016 của Bộ trưởng Bộ Công Thương quy định hệ thống điện truyền tải, Thông tư số 39/2015/TT-BCT ngày 18 tháng 11 năm 2015 của Bộ trưởng Bộ Công Thương quy định hệ thống điện phân phối và Thông tư số 30/2019/TT-BCT ngày 18 tháng 11 năm 2019 sửa đổi, bổ sung một số điều Thông tư số 25/2016/TT-BCT ngày 30 tháng 11 năm 2016 của Bộ trưởng Bộ Công Thương quy định hệ thống điện truyền tải và Thông tư số 39/2015/TT-BCT ngày 18 tháng 11 năm 2015 của Bộ trưởng Bộ Công Thương quy định hệ thống điện phân phối, có hiệu lực kể từ ngày 16 tháng 02 năm 2023.
[31] Tên điều này được sửa đổi theo quy định tại khoản 7 Điều 2 của Thông tư số 39/2022/TT-BCT sửa đổi, bổ sung một số điều của Thông tư số 25/2016/TT-BCT ngày 30 tháng 11 năm 2016 của Bộ trưởng Bộ Công Thương quy định hệ thống điện truyền tải, Thông tư số 39/2015/TT-BCT ngày 18 tháng 11 năm 2015 của Bộ trưởng Bộ Công Thương quy định hệ thống điện phân phối và Thông tư số 30/2019/TT-BCT ngày 18 tháng 11 năm 2019 sửa đổi, bổ sung một số điều Thông tư số 25/2016/TT-BCT ngày 30 tháng 11 năm 2016 của Bộ trưởng Bộ Công Thương quy định hệ thống điện truyền tải và Thông tư số 39/2015/TT-BCT ngày 18 tháng 11 năm 2015 của Bộ trưởng Bộ Công Thương quy định hệ thống điện phân phối, có hiệu lực kể từ ngày 16 tháng 02 năm 2023.
[32] Khoản này được sửa đổi theo quy định tại khoản 8 Điều 2 của Thông tư số 39/2022/TT-BCT sửa đổi, bổ sung một số điều của Thông tư số 25/2016/TT-BCT ngày 30 tháng 11 năm 2016 của Bộ trưởng Bộ Công Thương quy định hệ thống điện truyền tải, Thông tư số 39/2015/TT-BCT ngày 18 tháng 11 năm 2015 của Bộ trưởng Bộ Công Thương quy định hệ thống điện phân phối và Thông tư số 30/2019/TT-BCT ngày 18 tháng 11 năm 2019 sửa đổi, bổ sung một số điều Thông tư số 25/2016/TT-BCT ngày 30 tháng 11 năm 2016 của Bộ trưởng Bộ Công Thương quy định hệ thống điện truyền tải và Thông tư số 39/2015/TT-BCT ngày 18 tháng 11 năm 2015 của Bộ trưởng Bộ Công Thương quy định hệ thống điện phân phối, có hiệu lực kể từ ngày 16 tháng 02 năm 2023.
[33] Tên điều này được sửa đổi theo quy định tại khoản 9 Điều 2 của Thông tư số 39/2022/TT-BCT sửa đổi, bổ sung một số điều của Thông tư số 25/2016/TT-BCT ngày 30 tháng 11 năm 2016 của Bộ trưởng Bộ Công Thương quy định hệ thống điện truyền tải, Thông tư số 39/2015/TT-BCT ngày 18 tháng 11 năm 2015 của Bộ trưởng Bộ Công Thương quy định hệ thống điện phân phối và Thông tư số 30/2019/TT-BCT ngày 18 tháng 11 năm 2019 sửa đổi, bổ sung một số điều Thông tư số 25/2016/TT-BCT ngày 30 tháng 11 năm 2016 của Bộ trưởng Bộ Công Thương quy định hệ thống điện truyền tải và Thông tư số 39/2015/TT-BCT ngày 18 tháng 11 năm 2015 của Bộ trưởng Bộ Công Thương quy định hệ thống điện phân phối, có hiệu lực kể từ ngày 16 tháng 02 năm 2023.
[34] Điểm này được sửa đổi theo quy định tại khoản 10 Điều 2 của Thông tư số 39/2022/TT-BCT sửa đổi, bổ sung một số điều của Thông tư số 25/2016/TT-BCT ngày 30 tháng 11 năm 2016 của Bộ trưởng Bộ Công Thương quy định hệ thống điện truyền tải, Thông tư số 39/2015/TT-BCT ngày 18 tháng 11 năm 2015 của Bộ trưởng Bộ Công Thương quy định hệ thống điện phân phối và Thông tư số 30/2019/TT-BCT ngày 18 tháng 11 năm 2019 sửa đổi, bổ sung một số điều Thông tư số 25/2016/TT-BCT ngày 30 tháng 11 năm 2016 của Bộ trưởng Bộ Công Thương quy định hệ thống điện truyền tải và Thông tư số 39/2015/TT-BCT ngày 18 tháng 11 năm 2015 của Bộ trưởng Bộ Công Thương quy định hệ thống điện phân phối, có hiệu lực kể từ ngày 16 tháng 02 năm 2023.
[35] Khoản này được sửa đổi, bổ sung theo quy định tại khoản 11 Điều 2 của Thông tư số 39/2022/TT-BCT sửa đổi, bổ sung một số điều của Thông tư số 25/2016/TT-BCT ngày 30 tháng 11 năm 2016 của Bộ trưởng Bộ Công Thương quy định hệ thống điện truyền tải, Thông tư số 39/2015/TT-BCT ngày 18 tháng 11 năm 2015 của Bộ trưởng Bộ Công Thương quy định hệ thống điện phân phối và Thông tư số 30/2019/TT-BCT ngày 18 tháng 11 năm 2019 sửa đổi, bổ sung một số điều Thông tư số 25/2016/TT-BCT ngày 30 tháng 11 năm 2016 của Bộ trưởng Bộ Công Thương quy định hệ thống điện truyền tải và Thông tư số 39/2015/TT-BCT ngày 18 tháng 11 năm 2015 của Bộ trưởng Bộ Công Thương quy định hệ thống điện phân phối, có hiệu lực kể từ ngày 16 tháng 02 năm 2023.
[36] Tên điều này được sửa đổi theo quy định tại khoản 12 Điều 2 của Thông tư số 39/2022/TT-BCT sửa đổi, bổ sung một số điều của Thông tư số 25/2016/TT-BCT ngày 30 tháng 11 năm 2016 của Bộ trưởng Bộ Công Thương quy định hệ thống điện truyền tải, Thông tư số 39/2015/TT-BCT ngày 18 tháng 11 năm 2015 của Bộ trưởng Bộ Công Thương quy định hệ thống điện phân phối và Thông tư số 30/2019/TT-BCT ngày 18 tháng 11 năm 2019 sửa đổi, bổ sung một số điều Thông tư số 25/2016/TT-BCT ngày 30 tháng 11 năm 2016 của Bộ trưởng Bộ Công Thương quy định hệ thống điện truyền tải và Thông tư số 39/2015/TT-BCT ngày 18 tháng 11 năm 2015 của Bộ trưởng Bộ Công Thương quy định hệ thống điện phân phối, có hiệu lực kể từ ngày 16 tháng 02 năm 2023.
[37] Điểm này được sửa đổi theo quy định tại khoản 13 Điều 2 của Thông tư số 39/2022/TT-BCT sửa đổi, bổ sung một số điều của Thông tư số 25/2016/TT-BCT ngày 30 tháng 11 năm 2016 của Bộ trưởng Bộ Công Thương quy định hệ thống điện truyền tải; Thông tư số 39/2015/TT-BCT ngày 18 tháng 11 năm 2015 của Bộ trưởng Bộ Công Thương quy định hệ thống điện phân phối và Thông tư số 30/2019/TT-BCT ngày 18 tháng 11 năm 2019 sửa đổi, bổ sung một số điều Thông tư số 25/2016/TT-BCT ngày 30 tháng 11 năm 2016 của Bộ trưởng Bộ Công Thương quy định hệ thống điện truyền tải và Thông tư số 39/2015/TT-BCT ngày 18 tháng 11 năm 2015 của Bộ trưởng Bộ Công Thương quy định hệ thống điện phân phối, có hiệu lực kể từ ngày 16 tháng 02 năm 2023.
[38] Tên điều này được sửa đổi theo quy định tại khoản 14 Điều 2 của Thông tư số 39/2022/TT-BCT sửa đổi, bổ sung một số điều của Thông tư số 25/2016/TT-BCT ngày 30 tháng 11 năm 2016 của Bộ trưởng Bộ Công Thương quy định hệ thống điện truyền tải, Thông tư số 39/2015/TT-BCT ngày 18 tháng 11 năm 2015 của Bộ trưởng Bộ Công Thương quy định hệ thống điện phân phối và Thông tư số 30/2019/TT-BCT ngày 18 tháng 11 năm 2019 sửa đổi, bổ sung một số điều Thông tư số 25/2016/TT-BCT ngày 30 tháng 11 năm 2016 của Bộ trưởng Bộ Công Thương quy định hệ thống điện truyền tải và Thông tư số 39/2015/TT-BCT ngày 18 tháng 11 năm 2015 của Bộ trưởng Bộ Công Thương quy định hệ thống điện phân phối, có hiệu lực kể từ ngày 16 tháng 02 năm 2023.
[39] Điểm này được sửa đổi theo quy định tại khoản 15 Điều 2 của Thông tư số 39/2022/TT-BCT sửa đổi, bổ sung một số điều của Thông tư số 25/2016/TT-BCT ngày 30 tháng 11 năm 2016 của Bộ trưởng Bộ Công Thương quy định hệ thống điện truyền tải, Thông tư số 39/2015/TT-BCT ngày 18 tháng 11 năm 2015 của Bộ trưởng Bộ Công Thương quy định hệ thống điện phân phối và Thông tư số 30/2019/TT-BCT ngày 18 tháng 11 năm 2019 sửa đổi, bổ sung một số điều Thông tư số 25/2016/TT-BCT ngày 30 tháng 11 năm 2016 của Bộ trưởng Bộ Công Thương quy định hệ thống điện truyền tải và Thông tư số 39/2015/TT-BCT ngày 18 tháng 11 năm 2015 của Bộ trưởng Bộ Công Thương quy định hệ thống điện phân phối, có hiệu lực kể từ ngày 16 tháng 02 năm 2023.
[40] Điểm này được sửa đổi theo quy định tại khoản 13 Điều 1 của Thông tư số 30/2019/TT-BCT sửa đổi, bổ sung một số điều của Thông tư số 25/2016/TT-BCT ngày 30 tháng 11 năm 2016 của Bộ trưởng Bộ Công Thương quy định hệ thống điện truyền tải và Thông tư số 39/2015/TT-BCT ngày 18 tháng 11 năm 2015 của Bộ trưởng Bộ Công Thương quy định hệ thống điện phân phối, có hiệu lực kể từ ngày 03 tháng 01 năm 2020.
[41] Khoản này được sửa đổi, bổ sung theo quy định tại khoản 16 Điều 2 của Thông tư số 39/2022/TT-BCT sửa đổi, bổ sung một số điều của Thông tư số 25/2016/TT-BCT ngày 30 tháng 11 năm 2016 của Bộ trưởng Bộ Công Thương quy định hệ thống điện truyền tải, Thông tư số 39/2015/TT-BCT ngày 18 tháng 11 năm 2015 của Bộ trưởng Bộ Công Thương quy định hệ thống điện phân phối và Thông tư số 30/2019/TT-BCT ngày 18 tháng 11 năm 2019 sửa đổi, bổ sung một số điều Thông tư số 25/2016/TT-BCT ngày 30 tháng 11 năm 2016 của Bộ trưởng Bộ Công Thương quy định hệ thống điện truyền tải và Thông tư số 39/2015/TT-BCT ngày 18 tháng 11 năm 2015 của Bộ trưởng Bộ Công Thương quy định hệ thống điện phân phối, có hiệu lực kể từ ngày 16 tháng 02 năm 2023.
[42] Điểm này được bổ sung theo quy định tại khoản 17 Điều 2 của Thông tư số 39/2022/TT-BCT sửa đổi, bổ sung một số điều của Thông tư số 25/2016/TT-BCT ngày 30 tháng 11 năm 2016 của Bộ trưởng Bộ Công Thương quy định hệ thống điện truyền tải, Thông tư số 39/2015/TT-BCT ngày 18 tháng 11 năm 2015 của Bộ trưởng Bộ Công Thương quy định hệ thống điện phân phối và Thông tư số 30/2019/TT-BCT ngày 18 tháng 11 năm 2019 sửa đổi, bổ sung một số điều Thông tư số 25/2016/TT-BCT ngày 30 tháng 11 năm 2016 của Bộ trưởng Bộ Công Thương quy định hệ thống điện truyền tải và Thông tư số 39/2015/TT-BCT ngày 18 tháng 11 năm 2015 của Bộ trưởng Bộ Công Thương quy định hệ thống điện phân phối, có hiệu lực kể từ ngày 16 tháng 02 năm 2023.
[43] Khoản này được sửa đổi, bổ sung theo quy định tại khoản 18 Điều 2 của Thông tư số 39/2022/TT-BCT sửa đổi, bổ sung một số điều của Thông tư số 25/2016/TT-BCT ngày 30 tháng 11 năm 2016 của Bộ trưởng Bộ Công Thương quy định hệ thống điện truyền tải, Thông tư số 39/2015/TT-BCT ngày 18 tháng 11 năm 2015 của Bộ trưởng Bộ Công Thương quy định hệ thống điện phân phối và Thông tư số 30/2019/TT-BCT ngày 18 tháng 11 năm 2019 sửa đổi, bổ sung một số điều Thông tư số 25/2016/TT-BCT ngày 30 tháng 11 năm 2016 của Bộ trưởng Bộ Công Thương quy định hệ thống điện truyền tải và Thông tư số 39/2015/TT-BCT ngày 18 tháng 11 năm 2015 của Bộ trưởng Bộ Công Thương quy định hệ thống điện phân phối, có hiệu lực kể từ ngày 16 tháng 02 năm 2023.
[44] Điểm này được sửa đổi, bổ sung theo quy định tại khoản 19 Điều 2 của Thông tư số 39/2022/TT-BCT sửa đổi, bổ sung một số điều của Thông tư số 25/2016/TT-BCT ngày 30 tháng 11 năm 2016 của Bộ trưởng Bộ Công Thương quy định hệ thống điện truyền tải, Thông tư số 39/2015/TT-BCT ngày 18 tháng 11 năm 2015 của Bộ trưởng Bộ Công Thương quy định hệ thống điện phân phối và Thông tư số 30/2019/TT-BCT ngày 18 tháng 11 năm 2019 sửa đổi, bổ sung một số điều Thông tư số 25/2016/TT-BCT ngày 30 tháng 11 năm 2016 của Bộ trưởng Bộ Công Thương quy định hệ thống điện truyền tải và Thông tư số 39/2015/TT-BCT ngày 18 tháng 11 năm 2015 của Bộ trưởng Bộ Công Thương quy định hệ thống điện phân phối, có hiệu lực kể từ ngày 16 tháng 12 năm 2023.
[45] Điểm này được sửa đổi theo quy định tại khoản 14 Điều 1 của Thông tư số 30/2019/TT-BCT sửa đổi, bổ sung một số điều của Thông tư số 25/2016/TT-BCT ngày 30 tháng 11 năm 2016 của Bộ trưởng Bộ Công Thương quy định hệ thống điện truyền tải và Thông tư số 39/2015/TT-BCT ngày 18 tháng 11 năm 2015 của Bộ trưởng Bộ Công Thương quy định hệ thống điện phân phối, có hiệu lực kể từ ngày 03 tháng 01 năm 2020.
[46] Điểm này được sửa đổi, bổ sung theo quy định tại khoản 19 Điều 2 của Thông tư số 39/2022/TT-BCT sửa đổi, bổ sung một số điều của Thông tư số 25/2016/TT-BCT ngày 30 tháng 11 năm 2016 của Bộ trưởng Bộ Công Thương quy định hệ thống điện truyền tải; Thông tư số 39/2015/TT-BCT ngày 18 tháng 11 năm 2015 của Bộ trưởng Bộ Công Thương quy định hệ thống điện phân phối và Thông tư số 30/2019/TT-BCT ngày 18 tháng 11 năm 2019 sửa đổi, bổ sung một số điều Thông tư số 25/2016/TT-BCT ngày 30 tháng 11 năm 2016 của Bộ trưởng Bộ Công Thương quy định hệ thống điện truyền tải và Thông tư số 39/2015/TT-BCT ngày 18 tháng 11 năm 2015 của Bộ trưởng Bộ Công Thương quy định hệ thống điện phân phối, có hiệu lực kể từ ngày 16 tháng 02 năm 2023.
[47] Khoản này được bổ sung theo quy định tại khoản 15 Điều 1 của Thông tư số 30/2019/TT-BCT sửa đổi, bổ sung một số điều của Thông tư số 25/2016/TT-BCT ngày 30 tháng 11 năm 2016 của Bộ trưởng Bộ Công Thương quy định hệ thống điện truyền tải và Thông tư số 39/2015/TT-BCT ngày 18 tháng 11 năm 2015 của Bộ trưởng Bộ Công Thương quy định hệ thống điện phân phối, có hiệu lực kể từ ngày 03 tháng 01 năm 2020.
[48] Điều này được sửa đổi theo quy định tại khoản 16 Điều 1 của Thông tư số 30/2019/TT-BCT sửa đổi, bổ sung một số điều của Thông tư số 25/2016/TT-BCT ngày 30 tháng 11 năm 2016 của Bộ trưởng Bộ Công Thương quy định hệ thống điện truyền tải và Thông tư số 39/2015/TT-BCT ngày 18 tháng 11 năm 2015 của Bộ trưởng Bộ Công Thương quy định hệ thống điện phân phối, có hiệu lực kể từ ngày 03 tháng 01 năm 2020.
[49] Khoản 17 Điều 1 Thông tư số 30/2019/TT-BCT (sửa đổi Điều 73 Thông tư số 25/2016/TT-BCT) được sửa đổi theo quy định tại khoản 5 Điều 1 của Thông tư số 39/2022/TT-BCT sửa đổi, bổ sung một số điều của Thông tư số 25/2016/TT-BCT ngày 30 tháng 11 năm 2016 của Bộ trưởng Bộ Công Thương quy định hệ thống điện truyền tải, Thông tư số 39/2015/TT-BCT ngày 18 tháng 11 năm 2015 của Bộ trưởng Bộ Công Thương quy định hệ thống điện phân phối và Thông tư số 30/2019/TT-BCT ngày 18 tháng 11 năm 2019 sửa đổi, bổ sung một số điều Thông tư số 25/2016/TT-BCT ngày 30 tháng 11 năm 2016 của Bộ trưởng Bộ Công Thương quy định hệ thống điện truyền tải và Thông tư số 39/2015/TT-BCT ngày 18 tháng 11 năm 2015 của Bộ trưởng Bộ Công Thương quy định hệ thống điện phân phối, có hiệu lực kể từ ngày 16 tháng 02 năm 2023.
[50] Khoản 18 Điều 1 Thông tư số 30/2019/TT-BCT (sửa đổi Điều 74 Thông tư số 25/2016/TT-BCT) được sửa đổi theo quy định tại khoản 6 Điều 1 của Thông tư số 39/2022/TT-BCT sửa đổi, bổ sung một số điều của Thông tư số 25/2016/TT-BCT ngày 30 tháng 11 năm 2016 của Bộ trưởng Bộ Công Thương quy định hệ thống điện truyền tải; Thông tư số 39/2015/TT-BCT ngày 18 tháng 11 năm 2015 của Bộ trưởng Bộ Công Thương quy định hệ thống điện phân phối và Thông tư số 30/2019/TT-BCT ngày 18 tháng 11 năm 2019 sửa đổi, bổ sung một số điều Thông tư số 25/2016/TT-BCT ngày 30 tháng 11 năm 2016 của Bộ trưởng Bộ Công Thương quy định hệ thống điện truyền tải và Thông tư số 39/2015/TT-BCT ngày 18 tháng 11 năm 2015 của Bộ trưởng Bộ Công Thương quy định hệ thống điện phân phối, có hiệu lực kể từ ngày 16 tháng 02 năm 2023.
[51] Điểm này được sửa đổi theo quy định tại khoản 19 Điều 1 của Thông tư số 30/2019/TT-BCT sửa đổi, bổ sung một số điều của Thông tư số 25/2016/TT-BCT ngày 30 tháng 11 năm 2016 của Bộ trưởng Bộ Công Thương quy định hệ thống điện truyền tải và Thông tư số 39/2015/TT-BCT ngày 18 tháng 11 năm 2015 của Bộ trưởng Bộ Công Thương quy định hệ thống điện phân phối, có hiệu lực kể từ ngày 03 tháng 01 năm 2020.
[52] Khoản này được bổ sung theo quy định tại khoản 20 Điều 1 của Thông tư số 30/2019/TT-BCT sửa đổi, bổ sung một số điều của Thông tư số 25/2016/TT-BCT ngày 30 tháng 11 năm 2016 của Bộ trưởng Bộ Công Thương quy định hệ thống điện truyền tải và Thông tư số 39/2015/TT-BCT ngày 18 tháng 11 năm 2015 của Bộ trưởng Bộ Công Thương quy định hệ thống điện phân phối, có hiệu lực kể từ ngày 03 tháng 01 năm 2020.
[53] Khoản này được bổ sung theo quy định tại khoản 21 Điều 1 của Thông tư số 30/2019/TT-BCT sửa đổi, bổ sung một số điều của Thông tư số 25/2016/TT-BCT ngày 30 tháng 11 năm 2016 của Bộ trưởng Bộ Công Thương quy định hệ thống điện truyền tải và Thông tư số 39/2015/TT-BCT ngày 18 tháng 11 năm 2015 của Bộ trưởng Bộ Công Thương quy định hệ thống điện phân phối, có hiệu lực kể từ ngày 03 tháng 01 năm 2020.
[54] Đoạn này được bãi bỏ theo quy định tại điểm a khoản 2 Điều 4 của Thông tư số 39/2022/TT-BCT sửa đổi, bổ sung một số điều của Thông tư số 25/2016/TT-BCT ngày 30 tháng 11 năm 2016 của Bộ trưởng Bộ Công Thương quy định hệ thống điện truyền tải, Thông tư số 39/2015/TT-BCT ngày 18 tháng 11 năm 2015 của Bộ trưởng Bộ Công Thương quy định hệ thống điện phân phối và Thông tư số 30/2019/TT-BCT ngày 18 tháng 11 năm 2019 sửa đổi, bổ sung một số điều Thông tư số 25/2016/TT-BCT ngày 30 tháng 11 năm 2016 của Bộ trưởng Bộ Công Thương quy định hệ thống điện truyền tải và Thông tư số 39/2015/TT-BCT ngày 18 tháng 11 năm 2015 của Bộ trưởng Bộ Công Thương quy định hệ thống điện phân phối, có hiệu lực kể từ ngày 16 tháng 02 năm 2023.
[55] Khoản này được bãi bỏ theo quy định tại điểm a khoản 2 Điều 4 của Thông tư số 39/2022/TT-BCT sửa đổi, bổ sung một số điều của Thông tư số 25/2016/TT-BCT ngày 30 tháng 11 năm 2016 của Bộ trưởng Bộ Công Thương quy định hệ thống điện truyền tải, Thông tư số 39/2015/TT-BCT ngày 18 tháng 11 năm 2015 của Bộ trưởng Bộ Công Thương quy định hệ thống điện phân phối và Thông tư số 30/2019/TT-BCT ngày 18 tháng 11 năm 2019 sửa đổi, bổ sung một số điều Thông tư số 25/2016/TT-BCT ngày 30 tháng 11 năm 2016 của Bộ trưởng Bộ Công Thương quy định hệ thống điện truyền tải và Thông tư số 39/2015/TT-BCT ngày 18 tháng 11 năm 2015 của Bộ trưởng Bộ Công Thương quy định hệ thống điện phân phối, có hiệu lực kể từ ngày 16 tháng 02 năm 2023.
[56] Điều 4 Thông tư số 30/2019/TT-BCT sửa đổi, bổ sung một số điều của Thông tư số 25/2016/TT-BCT ngày 30 tháng 11 năm 2016 của Bộ trưởng Bộ Công Thương quy định hệ thống điện truyền tải và Thông tư số 39/2015/TT-BCT ngày 18 tháng 11 năm 2015 của Bộ trưởng Bộ Công Thương quy định hệ thống điện phân phối, có hiệu lực kể từ ngày 03 tháng 01 năm 2020 quy định như sau:
“Điều 4. Hiệu lực thi hành
1. Thông tư này có hiệu lực thi hành từ ngày 03 tháng 01 năm 2020.
2. Trong quá trình thực hiện, nếu phát sinh vướng mắc, các đơn vị có liên quan phản ánh về Cục Điều tiết điện lực để xem xét, giải quyết theo thẩm quyền hoặc báo cáo về Bộ Công Thương để giải quyết./.”
Điều 4 Thông tư số 39/2022/TT-BCT sửa đổi, bổ sung một số điều của Thông tư số 25/2016/TT-BCT ngày 30 tháng 11 năm 2016 của Bộ trưởng Bộ Công Thương quy định hệ thống điện truyền tải, Thông tư số 39/2015/TT-BCT ngày 18 tháng 11 năm 2015 của Bộ trưởng Bộ Công Thương quy định hệ thống điện phân phối và Thông tư số 30/2019/TT-BCT ngày 18 tháng 11 năm 2019 sửa đổi, bổ sung một số điều Thông tư số 25/2016/TT-BCT ngày 30 tháng 11 năm 2016 của Bộ trưởng Bộ Công Thương quy định hệ thống điện truyền tải và Thông tư số 39/2015/TT-BCT ngày 18 tháng 11 năm 2015 của Bộ trưởng Bộ Công Thương quy định hệ thống điện phân phối, có hiệu lực kể từ ngày 16 tháng 02 năm 2023 quy định như sau:
“Điều 4. Điều khoản thi hành
1. Thông tư này có hiệu lực thi hành từ ngày 16 tháng 02 năm 2023.
2. Bãi bỏ một số điều, khoản của Thông tư số 25/2016/TT-BCT ngày 30 tháng 11 năm 2016 của Bộ trưởng Bộ Công Thương quy định hệ thống điện truyền tải, Thông tư số 39/2015/TT-BCT ngày 18 tháng 11 năm 2015 của Bộ trưởng Bộ Công Thương quy định hệ thống điện phân phối như sau:
a) Bãi bỏ gạch đầu dòng thứ hai điểm a khoản 3 Điều 92 và khoản 2 Điều 94 Thông tư số 25/2016/TT-BCT ngày 30 tháng 11 năm 2016 của Bộ trưởng Bộ Công Thương quy định hệ thống điện truyền tải;
b) Bãi bỏ Điều 92, Điều 93, Điều 94, Điều 95, Điều 96, Điều 97 và Điều 98 Thông tư số 39/2015/TT-BCT ngày 18 tháng 11 năm 2015 của Bộ trưởng Bộ Công Thương quy định hệ thống điện phân phối.
3. Trường hợp trang thiết bị điện đã được đưa vào vận hành hoặc có hợp đồng mua sắm, lắp đặt thiết bị được ký trước ngày Thông tư này có hiệu lực mà có yêu cầu, thông số kỹ thuật khác so với quy định tại Thông tư này, các đơn vị thực hiện theo quy định có liên quan trước thời điểm Thông tư này có hiệu lực.
4. Trong quá trình thực hiện, nếu phát sinh vướng mắc, các đơn vị có liên quan phản ánh về Cục Điều tiết điện lực để xem xét, giải quyết theo thẩm quyền hoặc báo cáo về Bộ Công Thương để giải quyết./.”
Bạn chưa Đăng nhập thành viên.
Đây là tiện ích dành cho tài khoản thành viên. Vui lòng Đăng nhập để xem chi tiết. Nếu chưa có tài khoản, vui lòng Đăng ký tại đây!
Bạn chưa Đăng nhập thành viên.
Đây là tiện ích dành cho tài khoản thành viên. Vui lòng Đăng nhập để xem chi tiết. Nếu chưa có tài khoản, vui lòng Đăng ký tại đây!