- Tổng quan
- Nội dung
- VB gốc
- Tiếng Anh
- Hiệu lực
- VB liên quan
- Lược đồ
-
Nội dung hợp nhất
Tính năng này chỉ có tại LuatVietnam.vn. Nội dung hợp nhất tổng hợp lại tất cả các quy định còn hiệu lực của văn bản gốc và các văn bản sửa đổi, bổ sung, đính chính... trên một trang. Việc hợp nhất văn bản gốc và những văn bản, Thông tư, Nghị định hướng dẫn khác không làm thay đổi thứ tự điều khoản, nội dung.
Khách hàng chỉ cần xem Nội dung hợp nhất là có thể nắm bắt toàn bộ quy định hiện hành đang áp dụng, cho dù văn bản gốc đã qua nhiều lần chỉnh sửa, bổ sung.
- Tải về
Thông tư 30/2019/TT-BCT sửa đổi Thông tư 25/2016/TT-BCT và Thông tư 39/2015/TT-BCT
| Cơ quan ban hành: | Bộ Công Thương |
Số công báo:
Số công báo là mã số ấn phẩm được đăng chính thức trên ấn phẩm thông tin của Nhà nước. Mã số này do Chính phủ thống nhất quản lý.
|
Đã biết
|
| Số hiệu: | 30/2019/TT-BCT | Ngày đăng công báo: |
Đã biết
|
| Loại văn bản: | Thông tư | Người ký: | Trần Tuấn Anh |
|
Ngày ban hành:
Ngày ban hành là ngày, tháng, năm văn bản được thông qua hoặc ký ban hành.
|
18/11/2019 |
Ngày hết hiệu lực:
Ngày hết hiệu lực là ngày, tháng, năm văn bản chính thức không còn hiệu lực (áp dụng).
|
Đã biết
|
|
Áp dụng:
Ngày áp dụng là ngày, tháng, năm văn bản chính thức có hiệu lực (áp dụng).
|
Đã biết
|
Tình trạng hiệu lực:
Cho biết trạng thái hiệu lực của văn bản đang tra cứu: Chưa áp dụng, Còn hiệu lực, Hết hiệu lực, Hết hiệu lực 1 phần; Đã sửa đổi, Đính chính hay Không còn phù hợp,...
|
Đã biết
|
| Lĩnh vực: | Công nghiệp , Điện lực |
TÓM TẮT THÔNG TƯ 30/2019/TT-BCT
Ngày 18/11/2019, Bộ Công Thương ban hành Thông tư 30/2019/TT-BCT về việc sửa đổi, bổ sung một số điều của Thông tư 25/2016/TT-BCT ngày 30/11/2016 của Bộ trưởng Bộ Công Thương quy định hệ thống điện truyền tải và Thông tư 39/2015/TT-BCT ngày 18/11/2015 của Bộ trưởng Bộ Công Thương quy định hệ thống điện phân phối.
Khác với quy định cũ tại Thông tư 25/2016/TT-BCT: thành phần thứ tự nghịch của điện áp pha không được vượt quá 3% điện áp danh định, Thông tư này quy định: trong một số trường hợp con số này có thể vượt quá 3% nhưng phải đảm bảo 95% các giá trị đo với thời gian đo ít nhất 01 tuần và tần suất lấy mẫu 10 phút/lần không vươt quá giới hạn quy định.
Bên cạnh đó, Thông tư còn: Bãi bỏ quy định về vận hành và lắp đặt rơ le tần số thấp trong Hệ thống tự động sa thải phụ tải theo tần số; bổ sung thêm quy định về định nghĩa côcng suất định mức của nhà máy, DIM – hệ thống quản lý thông tin lệnh điều độ giữa các cấp điều độ…
Thông tư có hiệu lực từ ngày 03/01/2020.
Xem chi tiết Thông tư 30/2019/TT-BCT có hiệu lực kể từ ngày 03/01/2020
Tải Thông tư 30/2019/TT-BCT
|
BỘ CÔNG THƯƠNG ------------- Số: 30/2019/TT-BCT |
CỘNG HÒA XÃ HỘI CHỦ NGHĨA VIỆT NAM Độc lập - Tự do - Hạnh phúc ------------------ Hà Nội, ngày 18 tháng 11 năm 2019 |
THÔNG TƯ
Sửa đổi, bổ sung một số điều của Thông tư số 25/2016/TT-BCT ngày 30 tháng 11 năm 2016 của Bộ trưởng Bộ Công Thương quy định hệ thống điện truyền tải và Thông tư số 39/2015/TT-BCT ngày 18 tháng 11 năm 2015 của Bộ trưởng Bộ Công Thương quy định hệ thống điện phân phối
---------------
Căn cứ Luật Điện lực ngày 03 tháng 12 năm 2004 và Luật sửa đổi, bổ sung một số điều của Luật Điện lực ngày 20 tháng 11 năm 2012;
Căn cứ Nghị định số 98/2017/NĐ-CP ngày 18 tháng 8 năm 2017 của Chính phủ quy định chức năng, nhỉệm vụ, quyền hạn và cơ cấu tổ chức của Bộ Công Thương;
Căn cứ Nghị định số 137/2013/NĐ-CP ngày 21 tháng 10 năm 2013 của Chính phủ quy định chi tiết thi hành một số điều của Luật Điện lực và Luật sửa đổi, bổ sung một số điều của Luật Điện lực;
Theo đề nghị của Cục trưởng Cục Điều tiết điện lực;
Bộ trưởng Bộ Công Thương ban hành Thông tư sửa đổi, bổ sung một số điều của Thông tư số 25/2016/TT-BCT ngày 30 tháng 11 năm 2016 của Bộ trưởng Bộ Công Thương quy định hệ thống điện truyền tải và Thông tư số 39/2015/TT-BCT ngày 18 tháng 11 năm 2015 của Bộ trưởng Bộ Công Thương quy định hệ thống điện phân phối.
1. Bổ sung Khoản 5a sau Khoản 5, Khoản 6a sau Khoản 6 Điều 3 như sau:
“5a. Công suất định mức của nhà máy điện là tổng công suất định mức của các tổ máy trong nhà máy điện ở chế độ vận hành ổn định, bình thường và được nhà sản xuất công bố theo thiết kế của tổ máy. Đối với nhà máy điện mặt trời, công suất định mức của nhà máy điện mặt trời là công suất điện xoay chiều tối đa có thể phát được của nhà máy được tính toán và công bố, phù hợp với công suất điện một chiều của nhà máy điện mặt trời theo quy hoạch.
6a. DIM (viết tắt theo tiếng Anh: Dispatch Instrụction Management) là hệ thống quản lý thông tin lệnh điều độ giữa cấp điều độ có quyền điều khiển với nhà máy điện hoặc Trung tâm Điều khiển các nhà máy điện.”
2. Sửa đổi Khoản 10, Khoản 35, Khoản 49, Khoản 53 Điều 3 như sau:
“10. Điều khiển tần số trong hệ thống điện (sau đây viết tắt là điều khiển tần số) là quá trình điều khiển trong hệ thống điện để duy trì sự vận hành ổn định của hệ thống, bao gồm điều khiển tần số sơ cấp, điều khiển tần số thứ cấp và điều khiển tần số cấp 3:
a) Điều khiển tần số sơ cấp là quá trình điều khiển tức thời tần số hệ thống điện được thực hiện tự động bởi số lượng lớn các tổ máy phát điện có trang bị hệ thống điều tốc;
b) Điều khiển tần số thứ cấp là quá trình điều khiển tiếp theo của điều khiển tần số sơ cấp được thực hiện thông qua tác động của hệ thống AGC nhằm đưa tần số về dải làm việc lâu dài cho phép.
c) Điều khiển tần số cấp 3 là quá trình điều khiển tiếp theo của điều khiển tần số thứ cấp được thực hiện bằng lệnh điều độ để đưa tần số hệ thống điện vận hành ổn định theo quy định hiện hành và đảm bảo phân bổ kinh tế công suất phát các tổ máy phát điện.
35. Mức nhấp nháy điện áp ngắn hạn (Pst) và mức nhấp nháy điện áp dài hạn (Plt) là giá trị đo theo tiêu chuẩn quốc gia hiện hành. Trường hợp giá trị đo Pst và Plt chưa có trong tiêu chuẩn quốc gia, đo theo Tiêu chuẩn IEC hiện hành do Ủy ban Kỹ thuật điện quốc tế công bố.
49. Thiết bị ổn định hệ thống điện PSS (viết tắt theo tiếng Anh: Power System Stabilizer) là thiết bị đưa tín hiệu bổ sung tác động vào bộ tự động điều chỉnh điện áp (AVR) để làm suy giảm mức dao động công suất trong hệ thống điện.
53. Sa thải phụ tải tự động là tác động cắt tải tự động của rơ le theo tín hiệu tần số, điện áp, mức công suất truyền tải của hệ thống điện khi tần số, điện áp, mức công suất truyền tải ra ngoài ngưỡng cho phép theo tính toán của Đơn vị vận hành hệ thống điện và thị trường điện.”.
3. Sửa đổi Điều 7 như sau:
“Điều 7. Cân bằng pha
1. Trong chế độ vận hành bình thường, thành phần thứ tự nghịch của điện áp pha không được vượt quá 3% điện áp danh định đối với các cấp điện áp danh định trong lưới điện truyền tải.
2. Cho phép thành phần thứ tự nghịch của điện áp pha trên lưới điện truyền tải trong một số thời điểm vượt quá giá trị quy định tại Khoản 1 Điều này nhưng phải đảm bảo 95% các giá trị đo với thời gian đo ít nhất 01 tuần và tần suất lấy mẫu 10 phút/lần không được vượt quá giới hạn quy định.”.
4. Sửa đổi Khoản 1, Khoản 2 và bổ sung Khoản 6 Điều 8 như sau:
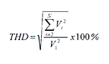
a) Tổng biên dạng sóng hài điện áp là tỷ lệ giữa giá trị hiệu dụng của sóng hài điện áp với giá trị hiệu dụng của điện áp bậc cơ bản được tính theo công thức sau:

- THD: Tổng biến dạng sóng hài điện áp;
- Vi: Giá trị hiệu dụng của sóng hài điện áp bậc i và N là bậc cao nhất của sóng hài cần đánh giá;
- Vl: Giá trị hiệu dụng của điện áp bậc cơ bản (tần số 50 Hz).
b) Giá trị cực đại cho phép của tổng biến dạng sóng hài điện áp do các thành phần sóng hài bậc cao gây ra đối với các cấp điện áp 220 kV và 500 kV phải nhỏ hơn hoặc bằng 3%.
a) Tổng biến dạng sóng hài dòng điện là tỷ lệ giữa giá trị hiệu dụng của sóng hài dòng điện với giá trị hiệu dụng của dòng điện bậc cơ bản ở chế độ phụ tải, công suất phát cực đại được tính theo công thức sau:

- TDD: Tổng biến dạng sóng hài dòng điện;
- Ii: Giá trị hiệu dụng của sóng hài dòng điện bậc i và N là bậc cao nhất của sóng hài cần đánh giá;
- IL: Giá trị hiệu dụng của dòng điện bậc cơ bản (tần số 50 Hz) ở phụ tải, công suất phát cực đại (phụ tải, công suất phát cực đại là giá trị trung bình của 12 phụ tải, công suất phát cực đại tương ứng với 12 tháng trước đó, trường hợp đối với các đấu nối mới hoặc không thu thập được giá trị phụ tải, công suất phát cực đại tương ứng với 12 tháng trước đó thì sử dụng giá trị phụ tải, công suất phát cực đại trong toàn bộ thời gian thực hiện phép đo).
b) Giá trị cực đại cho phép của tổng biến dạng sóng hài dòng điện do các thành phần sóng hài bậc cao gây ra đối với các cấp điện áp 220 kV và 500 kV phải nhỏ hơn hoặc bằng 3%.
6. Cho phép đỉnh nhọn bất thường của sóng hàỉ trên lưới điện truyền tải vượt quá tổng biến dạng sóng hài quy định tại Khoản 1 và Khoản 2 Điều này nhưng phải đảm bảo 95 % giá trị đo sóng hài điện áp và sóng hài dòng điện với thời gian đo ít nhất 01 tuần và tần suất lấy mẫu 10 phút/lần không được vượt quá giới hạn quy định”.
5. Sửa đổi Điều 12 như sau:
“Điều 12. Dòng điện ngắn mạch và thời gian loại trừ sự cố
1. Dòng điện ngắn mạch lớn nhất cho phép
a) Trị số dòng điện ngắn mạch lớn nhất cho phép và thời gian tối đa loại trừ sự cố bằng bảo vệ chính trong hệ thống điện truyền tải được quy định tại Bảng 6 như sau:
Bảng 6
Dòng điện ngắn mạch lớn nhất cho phép
và thời gian tối đa loại trừ sự cố bằng bảo vệ chính
|
Cấp điện áp |
Dòng điện ngắn mạch lớn nhất cho phép (kA) |
Thời gian tối đa loại trừ sự cố bằng bảo vệ chính (ms) |
|
500 kV |
50 |
80 |
|
220 kV |
50 |
100 |
b) Bảo vệ chính trang thiết bị điện là bảo vệ chủ yếu và được lắp đặt, chỉnh định để thực hiện tác động trước tiên, đảm bảo các tiêu chí về độ chọn lọc, độ tin cậy tác động và thời gian tác động của hệ thống bảo vệ khi có sự cố xảy ra trong phạm vi bảo vệ đối với trang thiết bị được bảo vệ;
c) Thanh cái 110 kV của các trạm biến áp 500 kV, 220 kV trong lưới điện truyền tải được áp dụng dòng điện ngắn mạch lớn nhất cho phép là 40 kA.
2. Thiết bị đóng cắt trên lưới điện truyền tải phải có đủ khả năng cắt dòng điện ngắn mạch lớn nhất qua thiết bị đóng cắt trong ít nhất 10 năm tiếp theo kể từ thời điểm dự kiến đưa thiết bị vào vận hành và chịu đựng được dòng điện ngắn mạch này trong thời gian tối thiểu từ 01 giây trở lên.
3. Đối với tổ máy thủy điện và nhiệt điện có công suất lớn hơn 30 MW, tổng giá trị điện kháng siêu quá độ chưa bão hòa của tổ máy phát điện (Xd”-%) và điện kháng ngắn mạch của máy biến áp đầu cực (Uk-%) tính trong hệ đơn vị tương đối (đơn vị pu quy về công suất biểu kiến định mức của tổ máy phát điện) không được nhỏ hơn 40%.
Trường hợp không đáp ứng được yêu cầu trên, chủ đầu tư có trách nhiệm tính toán, đầu tư và lắp đặt thêm kháng điện để tổng giá trị của Xd”, Uk và kháng điện tính trong hệ đơn vị tương đối (đơn vị pu quy về công suất biểu kiến định mức của tổ máy phát điện) không được nhỏ hơn 40%.
4. Các công trình điện đấu nối vào hệ thống điện truyền tải có giá trị dòng điện ngắn mạch tại điểm đấu nối theo tính toán mà lớn hơn giá trị dòng điện ngắn mạch lớn nhất cho phép quy định tại Bảng 6 thì chủ đầu tư các công trình điện có trách nhiệm áp dụng các biện pháp để dòng điện ngắn mạch tại điểm đấu nối xuống thấp hơn hoặc bằng giá trị dòng điện ngắn mạch lớn nhất cho phép quy định tại Bảng 6. 5.
5. Đơn vị truyền tải điện có trách nhiệm thông báo giá trị dòng điện ngắn mạch lớn nhất tại điểm đấu nối tại thời điểm hiện tại và theo tính toán trong ít nhất 10 năm tiếp theo để Khách hàng sử dụng lưới điện truyền tải phối hợp trong quá trình đầu tư, lắp đặt thiết bị, đảm bảo thiết bị đóng cắt có đủ khả năng đóng cắt dòng điện ngắn mạch lớn nhất tại điểm đấu nối trong ít nhất 10 năm tiếp theo kể từ thời điểm dự kiến đưa thiết bị vào vận hành.”.
6. Sửa đổi Khoản 3 Điều 28 như sau:
“3. Trường hợp phương án đấu nối đề nghị của khách hàng không phù hợp với quy hoạch phát triển điện lực đã được phê duyệt, Đơn vị truyền tải điện có trách nhiệm thông báo cho khách hàng có nhu cầu đấu nối biết để thực hiện điều chỉnh, bổ sung quy hoạch theo quy định.”.
7. Sửa đổi Khoản 1 Điều 31 như sau:
“1. Khách hàng sử dụng lưới điện truyền tải có trách nhiệm đầu tư, lắp đặt, quản lý vận hành hệ thống thông tin trong phạm vi quản lý của mình và đảm bảo kết nối hệ thống này với hệ thống thông tin của Đơn vị truyền tải điện và cấp điều độ có quyền điều khiển; đảm bảo thông tin liên lạc, truyền dữ liệu (bao gồm cả dữ liệu của hệ thống SCADA, PMU, giám sát ghi sự cố) đầy đủ, tin cậy và liên tục phục vụ vận hành hệ thống điện và thị trường điện. Các phương tiện thông tin liên lạc tối thiểu phục vụ công tác điều độ, vận hành trong hệ thống điện truyền tải gồm kênh trực thông, điện thoại, fax và DIM phải hoạt động tin cậy và liên tục.”.
8. Sửa đổi Khoản 1, Khoản 2 Điều 32 như sau:
“1. Trạm biến áp có cấp điện áp từ 220 kV trở lên, nhà máy điện có công suất lắp đặt trên 30 MW và nhà máy điện đấu nối vào lưới điện truyền tải chưa kết nối đến Trung tâm điều khiển phải được trang bị Gateway hoặc RTU và thiết lập hai kết nối độc lập về mặt vật lý với hệ thống SCADA của cấp điều độ có quyền điều khiển.
2. Trạm biến áp có cấp điện áp từ 220 kV trở lên, nhà máy điện có công suất lắp đặt trên 30 MW và các nhà máy điện đấu nối vào lưới điện truyền tải đã kết nối và được điều khiển, thao tác xa từ Trung tâm điều khiển phải được trang bị Gateway hoặc RTU và thiết lập một kết nối với hệ thống SCADA của cấp điều độ có quyền điều khiển và hai kết nối với hệ thống điều khiển tại Trung tâm điều khiển.”.
9. Sửa đổi Điều 36 như sau:
“Điều 36. Hệ thống sa thải phụ tải tự động
1. Khách hàng sử dụng lưới điện truyền tải có trách nhiệm phối hợp với các đơn vị liên quan để thông nhất lắp đặt thiết bị và đảm bảo hoạt động của hệ thống sa thải phụ tải tự động trong hệ thống điện của mình theo tính toán và yêu cầu của Cấp điều độ có quyền điều khiển.
2. Hệ thống sa thải phụ tải tự động phải được thiết kế, chỉnh định đảm bảo các yêu cầu sau:
a) Độ tin cậy không nhỏ hơn 99%;
b) Việc sa thải không thành công của một phụ tải nào đó không làm ảnh hưởng đến hoạt động của toàn bộ hệ thống điện;
c) Trình tự sa thải và lượng công suất sa thải phải tuân thủ mức phân bổ của Cấp điều độ có quyền điều khiển, không được thay đổi trong bất kỳ trường hợp nào nếu không có sự cho phép của cấp điều độ có quyền điều khiển.
3. Trình tự khôi phục phụ tải điện phải tuân thủ theo lệnh điều độ của cấp điều độ có quyền điều khiển.”.
10. Sửa đổi Khoản 2 Điều 37 như sau:
“2. Yêu cầu kết nối của Trung tâm điều khiển
a) Yêu cầu về kết nối hệ thống thông tin
- Có một đường truyền dữ liệu kết nối với hệ thống thông tin của Cấp điều độ có quyền điều khiển. Trường hợp có nhiều cấp điều độ có quyền điều khiển, các cấp điều độ có trách nhiệm thống nhất phương thức chia sẻ thông tin;
- Có hai đường truyền dữ liệu (một đường truyền làm việc, một đường truyền dự phòng) kết nối với hệ thống điều khiển và thông tin của nhà máy điện, trạm điện do Trung tâm điều khiển thực hiện điều khiển từ xa;
- Các phương tiện thông tin liên lạc tối thiểu phục vụ công tác điều độ gồm trực thông, điện thoại, fax, DIM và mạng máy tính phải hoạt động tốt.
b) Yêu cầu về kết nối hệ thống SCADA
- Có một kết nối với hệ thống SCADA của Cấp điều độ có quyền điều khiển. Trường hợp có nhiều cấp điều độ có quyền điều khiển, các cấp điều độ có trách nhiệm chia sẻ thông tin;
- Có hai kết nối với thiết bị đầu cuối RTU/Gateway, hệ thống điều khiển của nhà máy điện, trạm điện và thiết bị đóng cắt trên lưới điện do Trung tâm điều khiển thực hiện điều khiển từ xa;
c) Trung tâm điều khiển phải trang bị màn hình giám sát và kết nối với hệ thống camera giám sát an ninh tại nhà máy điện, trạm điện và thiết bị đóng cắt trên lưới điện về Trung tâm điều khiển.”.
11. Sửa đổi Khoản 3 Điều 38 như sau:
“3. Tổ máy phát điện của nhà máy điện phải có khả năng tham gia vào việc điều khiển tần số sơ cấp khi tần số lệch ra khỏi dải chết của hệ thống điều tốc và đáp ứng toàn bộ công suất điều khiển tần số sơ cấp của tổ máy trong 15 giây và duy trì công suất này tối thiểu 15 giây. Công suất điều khiển tần số sơ cấp của tổ máy được tính toán theo độ lệch tần số thực tế và các thông số cài đặt do Đơn vị vận hành hệ thống điện và thị trường điện yêu cầu.”.
12. Sửa đổi Điều 42 như sau:
“Điều 42. Yêu cầu kỹ thuật đối với nhà máy điện gió, nhà máy điện mặt trời
1. Nhà máy điện gió, nhà máy điện mặt trời phải có khả năng duy trì vận hành phát công suất tác dụng theo các chế độ sau:
a) Chế độ phát tự do: Vận hành phát điện công suất lớn nhất có thể theo sự biến đổi của nguồn năng lượng sơ cấp (gió hoặc mặt trời);
b) Chế độ điều khiển công suất phát:
Nhà máy điện gió, nhà máy điện mặt trời phải có khả năng giới hạn công suất phát theo lệnh điều độ trong các trường hợp sau:
- Trường hợp nguồn năng lượng sơ cấp biến thiên thấp hơn giá trị giới hạn theo lệnh điều độ thì phát công suất lớn nhất có thể;
- Trường hợp nguồn năng lượng sơ cấp biến thiên bằng hoặc lớn hơn giá trị giới hạn theo lệnh điều độ thì phát công suất đúng giá trị giới hạn theo lệnh điều độ với sai số trong dải ±01% công suất định mức.
2. Nhà máy điện gió, nhà máy điện mặt trời tại mọi thời điểm đang nối lưới phải có khả năng duy trì vận hành phát điện trong thời gian tối thiểu tương ứng với các dải tần số vận hành theo quy định tại Bảng 8 như sau:
Bảng 8
Thời gian tối thiểu duy trì vận hành phát điện của nhà máy điện gió,
nhà máy điện mặt trời tương ứng với các dải tần số của hệ thống điện
|
Dải tần số của hệ thống điện |
Thời gian duy trì tối thiểu |
|
Từ 47,5 Hz đến 48,0 Hz |
10 phút |
|
Trên 48 Hz đến dưới 49 Hz |
30 phút |
|
Từ 49 Hz đến 51 Hz |
Phát liên tục |
|
Trên 51 Hz đến 51,5 Hz |
30 phút |
|
Trên 51,5 Hz đến 52 Hz |
01 phút |
3. Khi tần số hệ thống điện lớn hơn 50,5 Hz, nhà máy điện gió, nhà máy điện mặt trời có khả năng giảm công suất tác dụng theo độ dốc tương đối của đường đặc tuyến tĩnh (droop characteristics) trong dải từ 2% đến 10%. Giá trị cài đặt độ dốc tương đối của đường đặc tuyến tĩnh do cấp điều độ có quyền điều khiển tính toán và xác định. 3// i
4. Nhà máy điện gió, nhà máy điện mặt trời phải có khả năng điều chỉnh công suất phản kháng theo đặc tính như hình vẽ dưới đây và mô tả tại Điểm a, Điểm b Khoản này:

a) Trường hợp nhà máy điện phát công suất tác dụng lớn hơn hoặc bằng 20% công suất tác dụng định mức và điện áp tại điểm đấu nối trong dải ± 10% điện áp danh định, nhà máy điện phải có khả năng điều chỉnh liên tục công suất phản kháng trong dải hệ số công suất 0,95 (ứng với chế độ phát công suất phản kháng) đến 0,95 (ứng với chế độ nhận công suất phản kháng) tại điểm đấu nối ứng với công suất định mức;
b) Trường hợp nhà máy điện phát công suất tác dụng nhỏ hơn 20% công suất định mức, nhà máy điện có thể giảm khả năng nhận hoặc phát công suất phản kháng phù hợp với đặc tính của nhà máy điện.
5. Chế độ điều khiển điện áp và công suất phản kháng:
a) Nhà máy điện gió, nhà máy điện mặt trời có khả năng điều khiển điện áp và công suất phản kháng theo các chế độ sau:
- Chế độ điều khiển điện áp theo đặc tính độ dốc điều chỉnh điện áp (đặc tính quan hệ điện áp/công suất phản kháng);
- Chế độ điều khiển theo giá trị đặt công suất phản kháng;
- Chế độ điều khiển theo hệ số công suất.
b) Nếu điện áp tại điểm đấu nối trong dải ± 10% điện áp danh định, nhà máy điện gió và nhà máy điện mặt trời phải có khả năng điều chỉnh điện áp tại phía hạ áp máy biến áp tăng áp với độ sai lệch không quá ± 0,5% điện áp định mức (so với giá trị đặt điện áp) bất cứ khi nào công suất phản kháng của tố máy phát điện còn nằm trong dải làm việc cho phép và hoàn thành trong thời gian không quá 05 giây.
6. Nhà máy điện gió, nhà máy điện mặt trời tại mọi thời điểm đang nối lưới phải có khả năng duy trì vận hành phát điện tương ứng với dải điện áp tại điểm đấu nối trong thời gian như sau:

a) Điện áp dưới 0,3 pu, thời gian duy trì tối thiểu là 0,15 giây;
b) Điện áp từ 0,3 pu đến dưới 0,9 pu, thời gian duy trì tối thiểu được tính theo công thức sau:
Tmin = 4 x U - 0,6
Trong đó:
- Tmin (giây): Thời gian duy trì phát điện tối thiểu;
- U (pu): Điện áp thực tế tại điểm đấu nối tính theo đơn vị pu (đơn vị tương đối).
c) Điện áp từ 0,9 pu đến dưới 1,1 pu, nhà máy điện gió và nhà máy điện mặt trời phải duy trì vận hành phát điện liên tục;
d) Điện áp từ 1,1 pu đến dưới 1,15 pu, nhà máy điện gió và nhà máy điện mặt trời phải duy trì vận hành phát điện trong thời gian 03 giây;
đ) Điện áp từ 1,15 pu đến dưới 1,2 pu, nhà máy điện gió và nhà máy điện mặt trời phải duy trì vận hành phát điện trong thời gian 0,5 giây.
7. Độ mất cân bằng pha, tổng biến dạng sóng hài và mức nhấp nháy điện áp do nhà máy điện gió, nhà máy điện mặt trời gây ra tại điểm đấu nối không được vượt quá giá trị quy định tại Điều 7, Điều 8 và Điều 9 Thông tư này.
8. Nhà máy điện gió, nhà máy điện mặt trời phải đầu tư các trang thiết bị, hệ thống đỉều khiển, tự động đảm bảo kết nối ổn định, tin cậy và bảo mật với hệ thống điều khiển công suất tổ máy (AGC) của Đơn vị vận hành hệ thống điện và thị trường điện phục vụ điều khiển từ xa công suất nhà máy theo lệnh điều độ của Đơn vị vận hành hệ thống điện và thị trường điện.”.
13. Sửa đổi Điểm a Khoản 2 Điều 59 như sau:
“a) Mức dự phòng điều tần thứ cấp, dự phòng khởi động nhanh thấp hơn mức yêu cầu ở chế độ vận hành bình thường”.
14. Sửa đổi Điểm b Khoản 3 Điều 64 như sau:
“b) Sa thải phụ tải theo từng tuyến đường dây bằng rơ le tự động sa thải hoặc sa thải phụ tải theo lệnh điều độ.”
15. Bổ sung Khoản 2a sau Khoản 2 Điều 69 như sau:
“2a. Cung cấp thông tin về nguồn năng lượng sơ cấp (thông tin về thủy văn đối với nhà máy thủy điện, than - dầu - chất đốt đối với nhà máy nhiệt điện, thông tin quan trắc khí tượng đối với nhà máy điện gió, mặt trời), dự báo công suất, sản lượng của nhà máy và truyền số liệu về Đơn vị vận hành hệ thống điện và thị trường điện.”
16. Sửa đổi Điều 72 như sau:
“Điều 72. Các loại dịch vụ phụ trợ
Các loại dịch vụ phụ trợ trong hệ thống điện bao gồm:
1. Điều khiển tần số thứ cấp (Điều tần thứ cấp).
2. Khởi động nhanh.
3. Điều chỉnh điện áp.
4. Dự phòng vận hành phải phát để đảm bảo an ninh hệ thống điện.
5. Khởi động đen.”
17. Sửa đổi Điều 73 như sau:
“Điều 73. Yêu cầu kỹ thuật đối với các dịch vụ phụ trợ
1. Điều tần thứ cấp: Tổ máy phát điện cung cấp dịch vụ điều tần thứ cấp phải có khả năng bắt đầu cung cấp công suất điều tần trong vòng 20 giây kể từ khi nhận được tín hiệu AGC từ Đơn vị hành hành hệ thống điện và thị trường điện và cung cấp toàn bộ công suất điều tần thứ cấp đã đăng ký trong vòng 10 phút và duy trì mức công suất này tối thiểu 15 phút.
2. Khởi động nhanh: Tổ máy phát điện cung cấp dự phòng khởi động nhanh phải có khả năng tăng đến công suất định mức trong vòng 25 phút và duy trì ở mức công suất này tối thiểu 08 giờ.
3. Điều chỉnh điện áp: Tổ máy phát điện cung cấp dịch vụ điều chỉnh điện áp phải có khả năng thay đổi công suất phản kháng ngoài dải điều chỉnh quy định tại Khoản 2 Điều 38 Thông tư này, đáp ứng yêu cầu của Đơn vị vận hành hệ thống điện và thị trường điện.
4. Dự phòng vận hành phải phát để đảm bảo an ninh hệ thống điện: Tổ máy phát điện cung cấp dịch vụ dự phòng vận hành phải phát để đảm bảo an ninh hệ thống điện phải có khả năng tăng đến công suất định mức trong vòng 01 giờ và duy trì mức công suất định mức tối thiểu trong 08 giờ (không bao gồm thời gian khởi động).
5. Khởi động đen: Tổ máy phát điện cung cấp dịch vụ khởi động đen phải có khả năng tự khởi động từ trạng thái nguội mà không cần nguồn cấp từ hệ thống điện quốc gia và phải có khả năng kết nối, cấp điện cho hệ thống điện sau khi đã khởi động thành công.”
18. Sửa đổi Điều 74 như sau:
“Điều 74: Xác định nhu cầu và vận hành dịch vụ phụ trợ
1. Nguyên tắc chung để xác định nhu cầu dịch vụ phụ trợ, bao gồm:
a) Đảm bảo duy trì mức dự phòng điện năng và công suất của hệ thống điện để đáp ứng các tiêu chuẩn vận hành và an ninh hệ thống điện;
b) Đảm bảo chi phí tối thiểu phù hợp với các điều kiện, ràng buộc trong hệ thống điện quốc gia.
2. Đơn vị vận hành hệ thống điện và thị trường điện có trách nhiệm tính toán và trình Tập đoàn Điện lực Việt Nam nhu cầu dịch vụ phụ trợ cho hệ thống điện quốc gia theo Quy trình xác định nhu cầu và vận hành dịch vụ phụ trợ do Cục Điều tiết điện lực ban hành.
3. Trước ngày 01 tháng 11 hàng năm, Tập đoàn Điện lực Việt Nam có trách nhiệm trình Cục Điều tiết điện lực thông qua nhu cầu dịch vụ phụ trợ cho hệ thống điện quốc gia năm tới để làm cơ sở lập kế hoạch mua và huy động các dịch vụ phụ trợ trong kế hoạch vận hành hệ thống điện quốc gia năm tới.”
19. Sửa đổi Điểm b Khoản 1 Điều 85 như sau:
“b) Khi xảy ra trạng thái mất cân bằng trên hệ thống điện, Đơn vị vận hành hệ thống điện và thị trường điện huy động các tổ máy phát điện cung cấp dịch vụ phụ trợ và điều chỉnh công suất phát của các tổ máy phát điện căn cứ vào thứ tự huy động của các tổ máy phát điện trong hệ thống để đưa hệ thống điện trở lại trạng thái cân bằng và duy trì mức dự phòng theo quy định.”
20. Bổ sung Khoản 4 Điều 90 như sau:
“4. Đơn vị truyền tải điện có trách nhiệm báo cáo theo quy định tại Khoản 1, Khoản 2 và Khoản 3 Điều này bằng văn bản theo đường văn thư và thư điện tử (email).”.
21. Bổ sung Khoản 5 Điều 91 như sau:
“5. Đơn vị vận hành hệ thống điện và thị trường điện có trách nhiệm báo cáo theo quy định tại Khoản 1, Khoản 2, Khoản 3 và Khoản 4 Điều này bằng văn bản theo đường văn thư và thư điện tử (email).”.
1. Bổ sung Khoản 3a sau Khoản 3 Điều 3 như sau:
“3a. Công suất định mức của nhà máy điện là tổng công suất định mức của các tố máy trong nhà máy điện ở chế độ vận hành ổn định, bình thường và được nhà sản xuất công bố theo thiết kế của tổ máy. Đối với nhà máy điện mặt trời, công suất định mức của nhà máy điện mặt trời là công suất điện xoay chiều tối đa có thể phát được của nhà máy được tính toán và công bố trong thiết kế kỹ thuật đã được phê duyệt, phù hợp với công suất điện một chiều của nhà máy điện mặt trời theo quy hoạch.”.
2. Sửa đổi, bổ sung Điều 5 như sau:
“Điều 5. Điện áp
1. Các cấp điện áp danh định trong hệ thống điện phân phối bao gồm 110 kV, 35 kV, 22 kV,15 kV, 10 kV, 06 kV và 0,38 kV.
2. Độ lệch điện áp vận hành cho phép trên lưới điện phân phối trong chế độ vận hành bình thường:
a) Độ lệch điện áp vận hành cho phép tại thanh cái trên lưới điện phân phối của Đơn vị phân phối điện so với điện áp danh định là + 10% và - 05%;
b) Độ lệch điện áp vận hành cho phép tại điểm đấu nối so với điện áp danh định như sau:
- Tại điểm đấu nối với Khách hàng sử dụng điện là ± 05%;
- Tại điểm đấu nối với nhà máy điện là + 10% và - 05%;
- Trường hợp nhà máy điện và khách sử dụng điện đấu nối vào cùng một thanh cái, đường dây trên lưới điện phân phối thì điện áp tại điểm đấu nối do Đơn vị phân phối điện quản lý vận hành lưới điện khu vực quyết định đảm bảo phù hợp với yêu cầu kỹ thuật vận hành lưới điện phân phối và đảm bảo chất lượng điện áp cho khách hàng sử dụng điện theo quy định.
3. Đối với lưới điện chưa ổn định sau sự cố, cho phép độ lệch điện áp tại điểm đấu nối với Khách hàng sử dụng điện bị ảnh hưởng trực tiếp do sự cố trong khoảng + 5% và - 10% so với điện áp danh định.
4. Trong chế độ sự cố hệ thống điện hoặc khôi phục sự cố, cho phép mức dao động điện áp trên lưới điện phân phối trong khoảng ± 10% so với điện áp danh định.
5. Trong thời gian sự cố, điện áp tại nơi xảy ra sự cố và vùng lân cận có thể giảm quá độ đến giá trị bằng 0 ở pha bị sự cố hoặc tăng quá 110% điện áp danh định ở các pha không bị sự cố cho đến khi sự cố được loại trừ.
6. Dao động điện áp tại điểm đấu nối trên lưới điện phân phối do phụ tải của khách hàng sử dụng điện dao động hoặc do thao tác thiết bị đóng cắt trong nội bộ nhà máy điện gây ra không được vượt quá 2,5% điện áp danh định và phải nằm trong phạm vi giá trị điện áp vận hành cho phép được quy định tại Khoản 2 Điều này.
7. Trường hợp Khách hàng sử dụng lưới điện phân phối có yêu cầu chất lượng điện áp cao hơn so với quy định tại Khoản 2 Điều này, Khách hàng sử dụng lưới điện phân phối có thể thỏa thuận với Đơn vị phân phối điện hoặc Đơn vị phân phối và bán lẻ điện. Đơn vị phân phối điện hoặc Đơn vị phân phối và bán lẻ điện có trách nhiệm lấy ý kiến của cấp điều độ có quyền điều khiển trước khi thỏa thuận thống nhất với khách hàng”.
3. Sửa đổi Điều 6 như sau:
“ Điều 6. Cân bằng pha
1. Trong chế độ làm việc bình thường, thành phần thứ tự nghịch của điện áp pha không vượt quá 03 % điện áp danh định đối với cấp điện áp 110 kV hoặc 05 % điện áp danh định đối với cấp điện áp trung áp và hạ áp.
2. Cho phép thành phần thứ tự nghịch của điện áp pha trên lưới điện phân phối trong một số thời điểm vượt quá giá trị quy định tại Khoản 1 Điều này nhưng phải đảm bảo 95% các giá trị đo với thời gian đo là ít nhất 01 tuần và tần suất lấy mẫu 10 phút/lần không được vượt quá giới hạn quy định”.
4. Sửa đổi, bổ sung Điều 7 như sau:
“Điều 7. Sóng hài
1. Sóng hài điện áp:
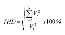
a) Tổng biến dạng sóng hài điện áp là tỷ lệ giữa giá trị hiệu dụng của sóng hài điện áp với giá trị hiệu dụng của điện áp bậc cơ bản được tính theo công thức sau:

Trong đó:
- THD: Tổng biến dạng sóng hài điện áp; Vi: Giá trị hiệu dụng của sóng hài điện áp bậc i và N là bậc cao nhất của sóng hài cần đánh giá;
- Vl: Giá trị hiệu dụng của điện áp bậc cơ bản (tần số 50 Hz).
b) Độ biến dạng sóng hài điện áp tối đa cho phép trên lưới điện phân phối quy định trong Bảng 1a như sau:
Bảng 1a
Độ biến dạng sóng hài điện áp tối đa cho phép
|
Cấp điện áp |
Tổng biến dạng sóng hài (THD) |
Biến dạng riêng lẻ |
|
110 kV |
3,0% |
1,5% |
|
Trung áp |
5% |
3,0% |
|
Hạ áp |
8% |
5% |
2. Sóng hài dòng điện:
a) Tổng biến dạng sóng hài dòng điện là tỷ lệ giữa giá trị hiệu dụng của sóng hài dòng điện với giá trị hiệu dụng của dòng điện bậc cơ bản ở phụ tải/công suất phát cực đại được tính theo công thức sau:

Trong đó:
- TDD: Tổng biến dạng sóng hài dòng điện;
- Ii: Giá trị hiệu dụng của sóng hài dòng điện bậc i và N là bậc cao nhất của sóng hài cần đánh giá;
- IL: Giá trị hiệu dụng của dòng điện bậc cơ bản (tần số 50 Hz) ở phụ tải, công suất phát cực đại (phụ tải, công suất phát cực đại là giá trị trung bình của 12 giá trị phụ tải, công suất phát cực đại tương ứng với 12 tháng trước đó, trường hợp đối với các đấu nối mới hoặc không thu thập được giá trị phụ tải, công suất cực đại tương ứng với 12 tháng trước đó thì sử dụng giá trị phụ tải, công suất phát cực đại trong toàn bộ thời gian thực hiện phép đo).
b) Nhà máy điện đấu nối vào lưới điện phân phối phải đảm bảo không gây ra biến dạng sóng hài dòng điện vượt quá giá trị quy định tại Bảng 1b như sau:
Bảng 1b
Độ biến dạng sóng hài dòng điện tối đa cho phép đối với nhà máy điện
|
Cấp điện áp |
Tổng biến dạng |
Biến dạng riêng lẻ |
|
110 kV |
3% |
2% |
|
Trung áp, hạ áp |
5% |
4% |
c) Phụ tải điện đấu nối vào lưới điện phân phối phải đảm bảo không gây ra biến dạng sóng hài dòng điện vượt quá giá trị quy định tại Bảng 1c như sau:
Bảng 1c
Biến dạng sóng hài dòng điện tối đa cho phép đối với phụ tải điện
|
Cấp điện áp |
Tổng biến dạng |
Biến dạng riêng lẻ |
|
110 kV |
4% |
3,5% |
|
Trung áp |
8% |
7% |
|
Hạ áp |
12% nếu phụ tải ≥50 kW 20% nếu phụ tải <50 kW |
10% nếu phụ tải ≥50 kW 15% nếu phụ tải <50 kW |
3. Cho phép đỉnh nhọn bất thường của sóng hài trên lưới điện phân phối vượt quá tổng biến dạng sóng hài quy định tại Khoản 1 và Khoản 2 Điều này nhưng phải đảm bảo 95% các giá trị đo sóng hài điện áp và sóng hài dòng điện với thời gian đo ít nhất 01 tuần và tần suất lấy mẫu 10 phút/lần không được vượt quá giới hạn quy định.”.
5. Sửa đổi Điều 8 như sau:
“Điều 8. Nhấp nháy điện áp
1. Trong điều kiện vận hành bình thường, mức nhấp nháy điện áp tại mọi điểm đấu nối không được vượt quá giới hạn quy định trong Bảng 2 như sau:
Bảng 2
Mức nhấp nháy điện áp
|
Cấp điện áp |
Mức nhấp nháy cho phép |
|
110 kV |
Pst95% = 0,80 Plt95% = 0,60 |
|
Trung áp |
Pst95% = 1,00 Plt95% = 0,80 |
|
Hạ áp |
Pst95% = 1,00 Plt95% = 0,80 |
2. Mức nhấp nháy điện áp ngắn hạn (Pst) và mức nhấp nháy điện áp dài hạn (Plt) là giá trị đo theo tiêu chuẩn quốc gia hiện hành. Trường hợp giá trị đo Pst và Plt chưa có trong tiêu chuẩn quốc gia, đo theo Tiêu chuấn IEC hiện hành do Ủy ban Kỹ thuật điện quốc tế công bố.”.
6. Sửa đổi Điều 9 như sau:
“Điều 9. Dòng điện ngắn mạch và thời gian loại trừ sự cố
1. Dòng điện ngắn mạch lớn nhất cho phép trên lưới điện phân phối và thời gian tối đa loại trừ sự cố của bảo vệ chính được quy định trong Bảng 3 như sau:
Bảng 3
Dòng điện ngắn mạch lớn nhất cho phép và thời gian tối đa loại trừ sự cố
|
Điện áp |
Dòng điện ngắn mạch lớn nhất cho phép (kA) |
Thời gian tối đa loại trừ sự cố của bảo vệ chính (ms) |
|
110 kV |
31,5 |
150 |
|
Trung áp |
25 |
500 |
2. Thiết bị đóng cắt trên lưới điện phân phối phải có đủ khả năng cắt dòng điện ngắn mạch lớn nhất qua thiết bị đóng cắt trong ít nhất 10 năm tiếp theo kể từ thời điểm dự kiến đưa thiết bị vào vận hành và chịu đựng dòng điện ngắn mạch này trong thời gian tối thiểu 01 giây trở lên.
3. Đối với đường dây trung áp có nhiều phân đoạn, khó phối hợp bảo vệ giữa các thiết bị đóng cắt trên lưới điện, cho phép thời gian loại trừ sự cố của bảo vệ chính tại một số vị trí đóng cắt lớn hơn giá trị quy định tại Khoản 1 Điều này nhưng phải nhỏ hơn 01 giây và phải đảm bảo an toàn cho thiết bị và lưới điện.
4. Các công trình điện đấu nối vào hệ thống điện phân phối có giá trị dòng điện ngắn mạch tại điểm đấu nối theo tính toán mà lớn hơn giá trị dòng điện ngắn mạch lớn nhất cho phép quy định tại Bảng 3, chủ đầu tư các công trình điện có trách nhiệm áp dụng các biện pháp để dòng điện ngắn mạch tại điểm đấu nối xuống thấp hơn hoặc bằng giá trị dòng điện ngắn mạch lớn nhất cho phép quy định tại Bảng 3.
5. Đơn vị phân phối điện có trách nhiệm thông báo giá trị dòng điện ngắn mạch lớn nhất tại điểm đấu nối để Khách hàng sử dụng lưới điện phân phối phối hợp trong quá trình đàu tư, lắp đặt thiết bị, đảm bảo thiết bị đóng cắt có đủ khả năng đóng cắt dòng điện ngắn mạch lớn nhất tại điểm đấu nối trong ít nhất 10 năm tiếp theo kể từ khi dự kiến đưa thiết bị vào vận hành.”.
7. Bổ sung Điều 17a sau Điều 17 như sau:
“Điều 17a. Công bố thông tin về độ tin cậy cung cấp điện, tổn thất điện năng và chất lưựng dịch vụ khách hàng
1. Trước ngày 10 hàng tháng, Đơn vị phân phối điện có trách nhiệm công bố trên Trang thông tin điện tử của đơn vị các thông tin về độ tin cậy cung cấp điện, tổn thất điện năng và chất lượng dịch vụ khách hàng của tháng trước liền kề.
2. Trước ngày 31 tháng 01 hàng năm, Đơn vị phân phối điện có trách nhiệm công bố trên Trang thông tin điện tử của đơn vị các thông tin về độ tin cậy cung cấp điện, tổn thất điện năng và chất lượng dịch vụ khách hàng của năm trước liền kề.”.
8. Sửa đổi Khoản 2 Điều 28 như sau:
“2. Trường hợp phương án đấu nối đề nghị của khách hàng không phù hợp với quy hoạch phát triển điện lực đã được phê duyệt, Đơn vị phân phối điện hoặc Đơn vị phân phối và bán lẻ điện có trách nhiệm thông báo cho Khách hàng sử dụng lưới điện phân phối biết để thực hiện điều chỉnh, bổ sung quy hoạch theo quy định.”.
9. Sửa đổi Điều 32 như sau:
“Điều 32. Yêu cầu về biến dạng sóng hài
Biến dạng sóng hài cho phép tại điểm đấu nối với lưới điện phân phối phải đảm bảo các yêu cầu quy định tại Điều 7 Thông tư này.”.
10. Sửa đổi Khoản 1, Khoản 2 Điều 38 như sau:
“1. Nhà máy điện đấu nối vào lưới điện phân phối có công suất từ 10 MW trở lên (không phân biệt cấp điện áp đấu nối) và các trạm biến áp 110 kV chưa kết nối đến Trung tâm điều khiển phải được trang bị Gateway hoặc RTU và thiết lập hai kết nối độc lập về mặt vật lý với hệ thống SCADA của cấp điều độ có quyền điều khiển. Trường hợp nhà máy điện, trạm biến áp có nhiều cấp điều độ có quyền điều khiển, các cấp điều độ có trách nhiệm chia sẻ thông tin phục vụ phối hợp vận hành hệ thống điện.
2. Nhà máy điện đấu nối vào lưới điện phân phối có công suất từ 10 MW trở lên, các trạm biến áp 110 kV đã kết nối đến Trung tâm điều khiển phải được trang bị Gateway hoặc RTU được thiết lập một kết nối với hệ thống SCADA của Cấp điều độ có quyền điều khiển và hai kết nối với hệ thống điều khiển tại Trung tâm điều khiển.”.
11. Sửa đổi, bổ sung Điều 40 như sau:
“Điều 40. Yêu cầu đối với nhà máy điện gió, nhà máy điện mặt trời đấu nối vào lưới điện phân phối từ cấp điện áp trung áp trở lên
1. Nhà máy điện gió, nhà máy điện mặt trời phải có khả năng duy trì vận hành phát công suất tác dụng theo các chế độ sau:
a) Chế độ phát tự do: Vận hành phát điện công suất lớn nhất có thể theo sự biến đổi của nguồn năng lượng sơ cấp (gió hoặc mặt trời);
b) Chế độ điều khiển công suất phát:
Nhà máy điện gió, nhà máy điện mặt trời phải có khả năng giới hạn công suất phát theo lệnh điều độ trong các trường hợp sau:
- Trường hợp nguồn năng lượng sơ cấp biến thiên thấp hơn giá trị giới hạn theo lệnh điều độ thì phát công suất lớn nhất có thể;
- Trường hợp nguồn năng lượng sơ cấp biến thiên bằng hoặc lớn hơn giá trị giới hạn theo lệnh điều độ thì phát công suất đúng giá trị giới hạn theo lệnh điều độ với sai số trong dải ±01% công suất định mức.
2. Nhà máy điện gió, nhà máy điện mặt trời tại mọi thời điểm đang nối lưới phải có khả năng duy trì vận hành phát điện trong thời gian tối thiểu tương ứng với các dải tần số vận hành theo quy định tại Bảng 8 như sau:
Bảng 8
Thời gian tối thiểu duy trì vận hành phát điện của nhà máy điện gió, nhà máy điện mặt trời tương ứng với các dải tần số của hệ thống điện
|
Dải tần số của hệ thống điện |
Thời gian duy trì tối thiểu |
|
Từ 47,5 Hz đến 48,0 Hz |
10 phút |
|
Trên 48 Hz đến dưới 49 Hz |
30 phút |
|
Từ 49 Hz đến 51 Hz |
Phát liên tục |
|
Trên 51 Hz đến 51,5 Hz |
30 phút |
|
Trên 51,5 Hz đến 52 Hz |
01 phút |
3. Khi tần số hệ thống điện lớn hơn 50,5 Hz, nhà máy điện gió, nhà máy điện mặt trời có khả năng giảm công suất tác dụng theo độ dốc tương đối của đường đặc tuyến tĩnh (droop characteristics) trong dải từ 2% đến 10%. Giá trị cài đặt độ dốc tương đối của đường đặc tuyến tĩnh do cấp điều độ có quyền điều khiển tính toán và xác định.
4. Nhà máy điện gió, nhà máy điện mặt trời phải có khả năng điều chỉnh công suất phản kháng theo đặc tính như hình vẽ dưới đây và mô tả tại Điểm a, Điểm b Khoản này:

a) Trường hợp nhà máy điện phát công suất tác dụng lớn hơn hoặc bằng 20% công suất tác dụng định mức và điện áp tại điểm đấu nối trong dải ± 10% điện áp danh định, nhà máy điện phải có khả năng điều chỉnh liên tục công suất phản kháng trong dải hệ số công suất 0,95 (ứng với chế độ phát công suất phản kháng) đến 0,95 (ứng với chế độ nhận công suất phản kháng) tại điểm đấu nối ứng với công suất định mức;
b) Trường hợp nhà máy điện phát công suất tác dụng nhỏ hơn 20% công suất định mức, nhà máy điện có thể giảm khả năng nhận hoặc phát công suất phản kháng phù hợp với đặc tính của nhà máy điện.
5. Chế độ điều khiển điện áp và công suất phản kháng:
a) Nhà máy điện gió, nhà máy điện mặt trời có khả năng điều khiển điện áp và công suất phản kháng theo các chế độ sau:
- Chế độ điều khiển điện áp theo đặc tính độ dốc điều chỉnh điện áp (đặc tính quan hệ điện áp/công suất phản kháng);
- Chế độ điều khiển theo giá trị đặt công suất phản kháng;
- Chế độ điều khiển theo hệ số công suất.
b) Nếu điện áp tại điểm đấu nối trong dải ± 10% điện áp danh định, nhà máy điện gió và nhà máy điện mặt trời phải có khả năng điều chỉnh điện áp tại phía hạ áp máy biến áp tăng áp với độ sai lệch không quá ± 0,5% điện áp định mức (so với giá trị đặt điện áp) bất cứ khi nào công suất phản kháng của tổ máy phát điện còn năm trong dải làm việc cho phép và hoàn thành trong thời gian không quá 05 giây.
6. Nhà máy điện gió, nhà máy điện mặt trời tại mọi thời điểm đang nối lưới phải có khả năng duy trì vận hành phát điện tương ứng với dải điện áp tại điểm đấu nối trong thời gian như sau:

a) Điện áp dưới 0,3 pu, thời gian duy trì tối thiểu là 0,15 giây;
b) Điện áp từ 0,3 pu đến dưới 0,9 pu, thời gian duy trì tối thiểu được tính theo công thức sau:
Tmin = 4 x U - 0,6
Trong đó:
- Tmin (giây): Thời gian duy trì phát điện tối thiểu;
- U (pu): Điện áp thực tế tại điểm đấu nối tính theo đơn vị pu (đơn vị tương đối).
c) Điện áp từ 0,9 pu đến dưới 1,1 pu, nhà máy điện gió và nhà máy điện mặt trời phải duy trì vận hành phát điện liên tục;
d) Điện áp từ 1,1 pu đến dưới 1,15 pu, nhà máy điện gió và nhà máy điện mặt trời phải duy trì vận hành phát điện trong thời gian 03 giây;
đ) Điện áp từ 1,15 pu đến dưới 1,2 pu, nhà máy điện gió và nhà máy điện mặt trời phải duy trì vận hành phát điện trong thời gian 0,5 giây.
7. Độ mất cân bằng pha, tổng biến dạng sóng hài và mức nhấp nháy điện áp do nhà máy điện gió, nhà máy điện mặt trời gây ra tại điểm đấu nối không được vượt quá giá trị quy định tại Điều 6, Điều 7 và Điều 8 Thông tư này.
8. Nhà máy điện gió, nhà máy điện mặt trời phải đầu tư các trang thiết bị, hệ thống điều khiển, tự động đảm bảo kết nối ổn định, tin cậy và bảo mật với hệ thống điều khiển công suất tổ máy (AGC) của Đơn vị vận hành hệ thống điện và thị trường điện phục vụ điều khiển từ xa công suất nhà máy theo lệnh điều độ của Đơn vị vận hành hệ thống điện và thị trường điện.”.
12. Sửa đổi, bổ sung Điều 41 như sau:
“Điều 41. Yêu cầu đối vói hệ thống điện mặt trời đấu nối vào lưới điện phân phối cấp điện áp hạ áp
Hệ thống điện mặt trời được phép đấu nối với lưới điện hạ áp khi đáp ứng các yêu cầu sau:
1. Công suất đấu nối
a) Tổng công suất đặt của hệ thống điện mặt trời đấu nối vào cấp điện áp hạ áp của trạm biến áp hạ thế không được vượt quá công suất đặt của trạm biến áp đó;
b) Hệ thống điện mặt trời có công suất dưới 20 kWp trở xuống được đấu nối vào lưới điện 01 pha hoặc 03 pha theo thỏa thuận với Đơn vị phân phối điện, Đơn vị phân phối và bán lẻ điện;
c) Hệ thống điện mặt trời có công suất từ 20 kWp trở lên phải đấu nối vào lưới điện 03 pha.
2. Tại mọi thời điểm đang nối lưới, hệ thống điện mặt trời được phép đấu nối với lưới điện hạ áp phải có khả năng duy trì vận hành phát điện trong thời gian tối thiểu tương ứng với các dải tần số vận hành theo quy định tại Bảng 5a như sau:
Bảng 5a
Thời gian tối thiểu duy trì vận hành phát điện
tương ứng với các dải tần số của hệ thống điện
|
Dải tần số của hệ thống điện |
Thời gian duy trì tối thiểu |
|
48 Hz đến 49 Hz |
30 phút |
|
49 Hz đến 51 Hz |
Phát liên tục |
|
51 Hz đến 51,5 Hz |
30 phút |
3. Khi tần số hệ thống điện lớn hơn 50,5 Hz, hệ thống điện mặt trời có công suất từ 20 kWp trở lên phải giảm công suất tác dụng xác định theo công thức sau:

Trong đó:
- ΔP: Mức giảm công suất phát tác dụng (MW);
- Pm: Công suất tác dụng tương ứng với thời điểm trước khi thực hiện giảm công suất (MW);
- fn: Tần số hệ thống điện trước khi thực hiện giảm công suất (Hz).
4. Hệ thống điện mặt trời phải có khả năng duy trì vận hành phát điện liên tục trong các dải điện áp tại điểm đấu nối theo quy định tại Bảng 5b như sau:
Bảng 5b
Thời gian tối thiểu duy trì vận hành phát điện
tương ứng với các dải điện áp tại điểm đấu nối
|
Điện áp tại điểm đấu nối |
Thời gian duy trì tối thiểu |
|
Nhỏ hơn 50% điện áp danh định |
Không yêu cầu |
|
50% đến 0,85 điện áp danh định |
2 giây |
|
85% đến 110% điện áp danh định |
Vận hành liên tục |
|
110% đến 120% điện áp danh định |
2 giây |
|
Lớn hơn 120% điện áp danh định |
Không yêu cầu |
5. Hệ thống điện mặt trời đấu nối vào lưới điện hạ áp không được phát công suất phản kháng vào lưới điện và hoạt động ở chế độ tiêu thụ công suất suất phản kháng với hệ số công suất (cosφ) lớn hơn 0,98.
6. Hệ thống điện mặt trời không được gây ra sự xâm nhập của dòng điện một chiều vào lưới điện phân phối vượt quá giá trị 0,5% dòng định mức tại điểm đấu nối.
7. Hệ thống điện mặt trời đấu nối vào lưới điện hạ áp phải tuân theo các quy định về điện áp, cân bằng pha, sóng hài, nhấp nháy điện áp và chế độ nối đất quy định tại Điều 5, Điều 6, Điều 7, Điều 8 và Điều 10 Thông tư này.
8. Hệ thống điện mặt trời phải trang bị thiết bị bảo vệ đảm bảo các yêu cầu sau:
a) Tự ngắt kết nối với lưới điện phân phối khi xảy ra sự cố nội bộ hệ thống điện mặt trời;
b) Tự ngắt kết nối khi xảy ra sự cố mất điện từ lưới điện phân phối và không phát điện lên lưới khi lưới điện phân phối đang mất điện;
c) Không tự động kết nối lại lưới điện khi chưa đảm bảo các điều kiện sau:
- Tần số của lưới điện duy trì trong dải từ 48Hz đến 51Hz trong thời gian tối thiểu 60 giây;
- Điện áp tất cả các pha tại điểm đấu nối duy trì trong dải từ 85% đến 110% điện áp định mức trong thời gian tối thiểu 60 giây.
d) Đối với hệ thống điện mặt trời đấu nối vào lưới điện hạ áp 03 pha, khách hàng có đề nghị đấu nối phải thỏa thuận, thông nhất các yêu cầu về hệ thống bảo vệ với Đơn vị phân phối điện nhưng tối thiểu bao gồm các bảo vệ quy định tại các Điểm a, Điếm b, Điểm c Khoản này, bảo vệ quá áp, thấp áp và bảo vệ theo tần số.”.
13. Sửa đổi Khoản 2 Điều 42 như sau:
“2. Yêu cầu kết nối của Trung tâm điều khiển
a) Yêu cầu về kết nối hệ thống thông tin:
- Có một đường truyền dữ liệu kết nối với hệ thống thông tin của cấp điều độ có quyền điều khiển. Trường hợp có nhiều cấp điều độ có quyền điều khiển, các cấp điều độ có trách nhiệm thống nhất phương thức chia sẻ thông tin;
- Có hai đường truyền dữ liệu (một đường truyền làm việc, một đường truyền dự phòng) kết nối với hệ thống điều khiển và thông tin của nhà máy điện, trạm điện do Trung tâm điều khiển thực hiện điều khiển từ xa;
- Các phương tiện thông tin liên lạc tối thiểu phục vụ công tác điều độ gồm trực thông, điện thoại, fax và mạng máy tính phải hoạt động tốt.
b) Yêu cầu về kết nối hệ thống SCADA:
- Có một kết nối với hệ thống SCADA của cấp điều độ có quyền điều khiển. Trường hợp có nhiều cấp điều độ có quyền điều khiển, các cấp điều độ có trách nhiệm chia sẻ thông tin;
- Có hai kết nối với thiết bị đầu cuối RTU/Gateway, hệ thống điều khiển của nhà máy điện, trạm điện và thiết bị đóng cắt trên lưới điện do Trung tâm điều khiển thực hiện điều khiển từ xa.
c) Trung tâm điều khiển phải trang bị màn hình giám sát và kết nối với hệ thống camera giám sát an ninh tại nhà máy điện, trạm điện và thiết bị đóng cắt trên lưới điện về Trung tâm điều khiển.”.
14. Bổ sung Khoản 3 Điều 43 như sau:
“3. Trường hợp tại thời điểm làm hồ sơ đề nghị đấu nối vào cấp điện áp trung áp và 110 kV mà chưa có đầy đủ các thông tin, tài liệu quy định tại Khoản 2 Điều này, Khách hàng sử dụng lưới điện phân phối có trách nhiệm thỏa thuận với Đơn vị phân phối điện về việc cung cấp thông tin, tài liệu và ghi rõ trong thỏa thuận đấu nối.”.
15. Sửa đổi tên Điều 44 như sau:
“Điều 44. Trình tự thỏa thuận đấu nối đối với Khách hàng sử dụng lưới điện phân phối có đề nghị đấu nối ở cấp điện áp 110 kV và khách hàng sở hữu tổ máy phát điện có đề nghị đấu nối vào lưới điện trung áp”
16. Sửa đổi Điểm c Khoản 2 Điều 44 như sau:
“c) Lấy ý kiến của cấp điều độ có quyền điều khiển và các đơn vị có liên quan đến đấu nối về ảnh hưởng của việc đấu nối đối với hệ thống điện, lưới điện khu vực, yêu cầu kết nối với hệ thống thông tin và hệ thống SCADA của cấp điều độ có quyền điều khiển, các yêu cầu về rơ le bảo vệ, tự động hóa và các nội dung liên quan đến yêu cầu kỹ thuật với thiết bị tại điểm đấu nối;”.
17. Sửa đổi Khoản 2 Điều 45 như sau:
“2. Đối với khách hàng sử dụng điện có trạm điện riêng đấu nối vào lưới điện trung áp: Trong thời hạn 02 ngày làm việc kể từ khi nhận đầy đủ hồ sơ hợp lệ của khách hàng, Đơn vị phân phối điện hoặc Đơn vị phân phối và bán lẻ điện có trách nhiệm khảo sát hiện trường, thỏa thuận và ký Thỏa thuận đấu nối với khách hàng sử dụng điện có trạm điện riêng đấu nối vào lưới điện trung áp.”.
18. Sửa đổi Khoản 2 Điều 51 như sau:
“2. Đối với Khách hàng sử dụng điện có trạm điện riêng đấu nối vào lưới điện trung áp: Trong thời hạn 05 ngày làm vỉệc kể từ ngày nhận đầy đủ hồ sơ đóng điện điểm đấu nối hợp lệ của Khách hàng sử dụng điện có trạm điện riêng đấu nối vào lưới điện trung áp theo quy định tại Điều 48 Thông tư này, Đơn vị phân phối điện có trách nhiệm phối hợp với khách hàng hoàn thành đóng điện chạy thử, nghiệm thu và đóng điện vận hành chính thức cho khách hàng có đề nghị đấu nối.”.
19. Sửa đổi Khoản 2, Khoản 6 Điều 52 như sau:
“2. Trường hợp hai bên không thống nhất về kết quả kiểm tra và nguyên nhân gây ra vi phạm, hai bên phải thỏa thuận về phạm vi kiểm tra để khách hàng thuê Đơn vị thí nghiệm độc lập tiến hành kiểm tra, thí nghiệm lại. Trường hợp kết quả kiểm tra của Đơn vị thí nghiệm độc lập cho thấy các vi phạm gây ra do thiết bị của khách hàng mà khách hàng không chấp nhận các giải pháp khắc phục hoặc không hoàn thành việc khắc phục theo thời gian đã cam kết với Đơn vị phân phối điện, Đơn vị phân phối điện có quyền tách đấu nối các thiết bị của khách hàng ra khỏi lưới điện phân phối. Thời gian khắc phục do hai bên thỏa thuận, trường hợp hai bên không thống nhất được thời gian khắc phục, các bên giải quyết tranh chấp theo Quy định về kiểm tra hoạt động điện lực và sử dụng điện, giải quyết tranh chấp hợp đồng mua bán điện do Bộ Công Thương ban hành.”.
6. Trong quá trình vận hành, nếu tại điểm đấu nối phát hiện nguy cơ không đảm bảo vận hành an toàn cho hệ thống điện do các thiết bị thuộc sở hữu của khách hàng gây ra, Đơn vị phân phối điện phải thông báo ngay cho cấp điều độ có quyền điều khiển, Khách hàng sử dụng lưới điện phân phối có trạm điện riêng để khắc phục, loại trừ nguy cơ không đảm bảo vận hành an toàn cho hệ thống điện. Trường hợp nguyên nhân kỹ thuật không khắc phục được hoặc có nghi ngờ thiết bị của Khách hàng sử dụng lưới điện phân phối gây ảnh hưởng xấu đến lưới điện phân phối, Đơn vị phân phối điện có quyền yêu cầu khách hàng tiến hành kiểm tra, thí nghiệm lại các thiết bị thuộc phạm vi quản lý của khách hàng theo quy định tại Khoản 1 và Khoản 2 Điều này.”.
20. Bổ sung Điểm d Khoản 2 Điều 64 như sau:
“d) Đơn vị phát điện có trách nhiệm cung cấp thông tin về nguồn năng lượng sơ cấp (thông tin về thủy văn đối với nhà máy thủy điện, than - dầu - chất đốt đối với nhà máy nhiệt điện, thông tin quan trắc khí tượng đối với nhà máy điện gió, mặt trời), dự báo công suất, sản lượng của nhà máy và truyền số liệu về Cấp điều độ điều khiển theo Quy trình lập kế hoạch vận hành hệ thống điện quốc gia do Cục Điều tiết điện lực ban hành.”
21. Sửa đổi Điều 79 như sau:
“Điều 79. Điều khiển phụ tải điện
1. Điều khiển phụ tải điện trong hệ thống điện bao gồm các biện pháp:
a) Ngừng, giảm mức cung cấp điện;
b) Sa thải phụ tải điện;
c) Điều chỉnh phụ tải điện của khách hàng sử dụng điện khi tham gia vào các chương trình quản lý nhu cầu điện.
2. Cấp điều độ có quyền điều khiển và Đơn vị phân phối điện thực hiện điều khiển phụ tải điện theo quy định tại Quy trình điều độ hệ thống điện quốc gia và Quy định nội dung, trình tự thực hiện các chương trình điều chỉnh phụ tải điện do Bộ Công Thương ban hành.”.
22. Sửa đổi Khoản 1 Điều 82 như sau:
“1. Sa thải phụ tải tự động là sa thải do rơ le tần số, điện áp và mức công suất tác động để cắt có chọn lọc phụ tải nhằm giữ hệ thống điện vận hành trong giới hạn cho phép, tránh mất điện trên diện rộng.”.
23. Bổ sung Khoản 4 Điều 99 như sau:
“4. Tổng công ty Điện lực và Đơn vị phân phối điện có trách nhiệm báo cáo theo quy định tại Khoản 1, Khoản 2 và Khoản 3 Điều này bằng văn bản theo đường văn thư và thư điện tử (email).”.
Điều 3. Bãi bỏ một số điều, khoản của Thông tư số 25/2016/TT-BCT ngày 30 tháng 11 năm 2016 của Bộ trưởng Bộ Công Thương quy định hệ thống điện truyền tải và Thông tư số 39/2015/TT-BCT ngày 18 tháng 11 năm 2015 của Bộ trưởng Bộ Công Thương quy định hệ thống điện phân phối
1. Bãi bỏ Khoản 8, Khoản 9, Khoản 36 Điều 3 và Chương IV Thông tư số 25/2016/TT-BCT ngày 30 tháng 11 năm 2016 của Bộ trưởng Bộ Công Thương quy định hệ thống điện truyền tải.
2. Bãi bỏ Chương IV và Điều 101 Thông tư số 39/2015/TT-BCT ngày 18 tháng 11 năm 2015 của Bộ trưởng Bộ Công Thương quy định hệ thống điện phân phối.
Điều 4. Hiệu lực thi hành
1. Thông tư này có hiệu lực thi hành từ ngày 03 tháng 01 năm 2020.
2. Trong quá trình thực hiện, nếu phát sinh vướng mắc, các đơn vị có liên quan phản ánh về Cục Điều tiết điện lực để xem xét, giải quyết theo thẩm quyền hoặc báo cáo về Bộ Công Thương để giải quyết./.
|
Nơi nhận: - Thủ tướng Chính phủ, các Phó Thủ tướng; - Văn phòng Tổng Bí thư; - Các Bộ, Cơ quan ngang Bộ, Cơ quan thuộc Chính phủ; - Viện Kiểm sát Nhân dân Tối cao; - Toà án Nhân dân Tối cao; - Kiểm toán Nhà nước; - Bộ trưởng, các Thứ trưởng; - Cục Kiểm tra văn bản QPPL (Bộ Tư pháp); - Công báo; - Website: Chính phủ, Bộ Công Thương; - Tập đoàn Điện lực Việt Nam; - Tập đoàn Dầu khí Việt Nam; - Tập đoàn Công nghiệp Than - Khoáng sản Việt Nam; - Tổng công ty Truyền tải điện quốc gia; - Các Tổng Công ty phát điện; - Công ty Mua bán điện; - Trung tâm Điều độ Hệ thống điện quốc gia; - Lưu: VT, PC, ĐTĐL. |
BỘ TRƯỞNG
Trần Tuấn Anh |
Bạn chưa Đăng nhập thành viên.
Đây là tiện ích dành cho tài khoản thành viên. Vui lòng Đăng nhập để xem chi tiết. Nếu chưa có tài khoản, vui lòng Đăng ký tại đây!
Bạn chưa Đăng nhập thành viên.
Đây là tiện ích dành cho tài khoản thành viên. Vui lòng Đăng nhập để xem chi tiết. Nếu chưa có tài khoản, vui lòng Đăng ký tại đây!