- Tổng quan
- Nội dung
- VB gốc
- Tiếng Anh
- Hiệu lực
- VB liên quan
- Lược đồ
-
Nội dung hợp nhất
Tính năng này chỉ có tại LuatVietnam.vn. Nội dung hợp nhất tổng hợp lại tất cả các quy định còn hiệu lực của văn bản gốc và các văn bản sửa đổi, bổ sung, đính chính... trên một trang. Việc hợp nhất văn bản gốc và những văn bản, Thông tư, Nghị định hướng dẫn khác không làm thay đổi thứ tự điều khoản, nội dung.
Khách hàng chỉ cần xem Nội dung hợp nhất là có thể nắm bắt toàn bộ quy định hiện hành đang áp dụng, cho dù văn bản gốc đã qua nhiều lần chỉnh sửa, bổ sung.
- Tải về
Văn bản hợp nhất 03/VBHN-BCT 2023 quy định hệ thống điện phân phối
| Số hiệu: | 03/VBHN-BCT | Ngày ký xác thực: | 06/01/2023 |
| Loại văn bản: | Văn bản hợp nhất | Cơ quan hợp nhất: | Bộ Công Thương |
|
Ngày đăng công báo:
|
Đang cập nhật |
Người ký:
|
Đặng Hoàng An |
|
Số công báo:
Số công báo là mã số ấn phẩm được đăng chính thức trên ấn phẩm thông tin của Nhà nước. Mã số này do Chính phủ thống nhất quản lý.
|
Đang cập nhật |
Ngày hết hiệu lực:
Ngày hết hiệu lực là ngày, tháng, năm văn bản chính thức không còn hiệu lực (áp dụng).
|
Đang cập nhật |
TÓM TẮT VĂN BẢN HỢP NHẤT 03/VBHN-BCT
Nội dung tóm tắt đang được cập nhật, Quý khách vui lòng quay lại sau!
Tải văn bản hợp nhất 03/VBHN-BCT
|
| CỘNG HÒA XÃ HỘI CHỦ NGHĨA VIỆT NAM |
THÔNG TƯ
Quy định hệ thống điện phân phối
__________________
Thông tư số 39/2015/TT-BCT ngày 18 tháng 11 năm 2015 của Bộ trưởng Bộ Công Thương quy định hệ thống điện phân phối, có hiệu lực kể từ ngày 18 tháng 01 năm 2016, được sửa đổi, bổ sung bởi:
1. Thông tư số 30/2019/TT-BCT ngày 18 tháng 11 năm 2019 của Bộ trưởng Bộ Công Thương sửa đổi, bổ sung một số điều của Thông tư số 25/2016/TT-BCT ngày 30 tháng 11 năm 2016 của Bộ trưởng Bộ Công Thương quy định hệ thống điện truyền tải và Thông tư số 39/2015/TT-BCT ngày 18 tháng 11 năm 2015 của Bộ trưởng Bộ Công Thương quy định hệ thống điện phân phối, có hiệu lực kể từ ngày 03 tháng 01 năm 2020;
2. Thông tư số 39/2022/TT-BCT ngày 30 tháng 12 năm 2022 của Bộ trưởng Bộ Công Thương Sửa đổi, bổ sung một số điều của Thông tư số 25/2016/TT-BCT ngày 30 tháng 11 năm 2016 của Bộ trưởng Bộ Công Thương quy định hệ thống điện truyền tải, Thông tư số 39/2015/TT-BCT ngày 18 tháng 11 năm 2015 của Bộ trưởng Bộ Công Thương quy định hệ thống điện phân phối và Thông tư số 30/2019/TT-BCT ngày 18 tháng 11 năm 2019 sửa đổi, bổ sung một số điều Thông tư số 25/2016/TT-BCT ngày 30 tháng 11 năm 2016 của Bộ trưởng Bộ Công Thương quy định hệ thống điện truyền tải và Thông tư số 39/2015/TT-BCT ngày 18 tháng 11 năm 2015 của Bộ trưởng Bộ Công Thương quy định hệ thống điện phân phối, có hiệu lực kể từ ngày 16 tháng 02 năm 2023.
Căn cứ Nghị định số 95/2012/NĐ-CP ngày 12 tháng 11 năm 2012 của Chính phủ quy định chức năng, nhiệm vụ, quyền hạn và cơ cấu tổ chức của Bộ Công Thương;
Căn cứ Luật Điện lực ngày 03 tháng 12 năm 2004 và Luật sửa đổi, bổ sung một số Điều của Luật Điện lực ngày 20 tháng 11 năm 2012;
Căn cứ Nghị định số 137/2013/NĐ-CP ngày 21 tháng 10 năm 2013 của Chính phủ quy định chi tiết thi hành một số điều của Luật Điện lực và Luật sửa đổi, bổ sung một số điều của Luật Điện lực;
Theo đề nghị của Cục trưởng Cục Điều tiết điện lực,
Bộ trưởng Bộ Công Thương ban hành Thông tư quy định hệ thống điện phân phối.[1]
Chương I. QUY ĐỊNH CHUNG
Điều 1. Phạm vi điều chỉnh
Thông tư này quy định về:
1. Các yêu cầu trong vận hành hệ thống điện phân phối.
2. Dự báo nhu cầu phụ tải điện.
3. Kế hoạch đầu tư phát triển lưới điện phân phối.
4. Điều kiện, yêu cầu kỹ thuật và thủ tục đấu nối vào lưới điện phân phối.
5. Vận hành hệ thống điện phân phối.
Điều 2. Đối tượng áp dụng
Thông tư này áp dụng đối với các đối tượng sau:
1. Đơn vị phân phối điện.
2. Đơn vị phân phối và bán lẻ điện.
3. Đơn vị điều độ hệ thống điện quốc gia.
4. Đơn vị truyền tải điện.
5. Khách hàng sử dụng lưới điện phân phối.
6. Tập đoàn Điện lực Việt Nam.
7. Tổ chức, cá nhân khác có liên quan.
Điều 3. Giải thích từ ngữ
Trong Thông tư này, các thuật ngữ dưới đây được hiểu như sau:
1. Cấp điện áp là một trong những giá trị của điện áp danh định được sử dụng trong hệ thống điện, bao gồm:
a) Hạ áp là cấp điện áp danh định đến 01 kV;
b) Trung áp là cấp điện áp danh định trên 01 kV đến 35 kV;
c) Cao áp là cấp điện áp danh định trên 35 kV đến 220 kV;
d) Siêu cao áp là cấp điện áp danh định trên 220 kV.
2. Cấp điều độ có quyền điều khiển là cấp điều độ có quyền chỉ huy, điều độ hệ thống điện theo phân cấp điều độ.
3. Công suất khả dụng của tổ máy phát điện là công suất phát thực tế cực đại của tổ máy phát điện có thể phát ổn định, liên tục trong một khoảng thời gian xác định.
3a. [2]Công suất định mức của nhà máy điện là tổng công suất định mức của các tổ máy trong nhà máy điện ở chế độ vận hành ổn định, bình thường và được nhà sản xuất công bố theo thiết kế của tổ máy. Đối với nhà máy điện mặt trời, công suất định mức của nhà máy điện mặt trời là công suất điện xoay chiều tối đa có thể phát được của nhà máy được tính toán và công bố trong thiết kế kỹ thuật đã được phê duyệt, phù hợp với công suất điện một chiều của nhà máy điện mặt trời theo quy hoạch.
4. Dao động điện áp là sự biến đổi biên độ điện áp so với điện áp danh định trong thời gian dài hơn 01 phút.
5. Điểm đấu nối là điểm nối trang thiết bị, lưới điện và nhà máy điện của Khách hàng sử dụng lưới điện phân phối hoặc Đơn vị phân phối điện khác vào lưới điện phân phối.
6. Đơn vị điều độ hệ thống điện quốc gia là đơn vị chỉ huy, điều khiển quá trình phát điện, truyền tải điện, phân phối điện trong hệ thống điện quốc gia, bao gồm các cấp điều độ:
a) Cấp điều độ quốc gia;
b) Cấp điều độ miền.
7. Đơn vị phát điện là đơn vị điện lực sở hữu một hoặc nhiều nhà máy điện đấu nối vào lưới điện phân phối, được cấp giấy phép hoạt động điện lực trong lĩnh vực phát điện.
8. Đơn vị phân phối điện là đơn vị điện lực được cấp giấy phép hoạt động điện lực trong lĩnh vực phân phối và bán điện, bao gồm:
a) Tổng công ty Điện lực;
b) Công ty Điện lực tỉnh, thành phố trực thuộc Tổng công ty Điện lực (sau đây viết tắt là Công ty Điện lực tỉnh).
9. Đơn vị phân phối và bán lẻ điện là đơn vị điện lực được cấp giấy phép hoạt động điện lực trong lĩnh vực phân phối và bán lẻ điện, mua buôn điện từ Đơn vị phân phối điện để bán lẻ điện cho Khách hàng sử dụng điện.
10. Đơn vị truyền tải điện là đơn vị điện lực được cấp phép hoạt động điện lực trong lĩnh vực truyền tải điện, có trách nhiệm quản lý vận hành lưới điện truyền tải quốc gia.
11. Hệ số chạm đất là tỷ số giữa giá trị điện áp của pha không bị sự cố sau khi xảy ra ngắn mạch chạm đất với giá trị điện áp của pha đó trước khi xảy ra ngắn mạch chạm đất (áp dụng cho trường hợp ngắn mạch 01 (một) pha hoặc ngắn mạch 02 (hai) pha chạm đất).
12. Hệ thống điện phân phối là hệ thống điện bao gồm lưới điện phân phối và các nhà máy điện đấu nối vào lưới điện phân phối.
13. Hệ thống đo đếm là hệ thống bao gồm các thiết bị đo đếm và mạch điện được tích hợp để đo đếm và xác định lượng điện năng truyền tải qua một vị trí đo đếm.
14. Hệ thống SCADA (Supervisory Control And Data Acquisition) là hệ thống thu thập số liệu để phục vụ việc giám sát, điều khiển và vận hành hệ thống điện.
15. Khách hàng sử dụng điện là tổ chức, cá nhân mua điện từ lưới điện phân phối để sử dụng, không bán lại cho tổ chức, cá nhân khác.
16. Khách hàng sử dụng lưới điện phân phối là tổ chức, cá nhân có trang thiết bị điện, lưới điện đấu nối vào lưới điện phân phối để sử dụng dịch vụ phân phối điện, bao gồm:
a) Đơn vị phát điện;
b) Đơn vị phân phối và bán lẻ điện;
c) Khách hàng sử dụng điện.
17. Khách hàng lớn sử dụng lưới điện phân phối là Khách hàng sử dụng lưới điện phân phối, bao gồm:
a) Đơn vị phát điện sở hữu nhà máy điện có quy mô công suất từ 03 MW trở lên;
b) Khách hàng sử dụng điện có sản lượng bình quân từ 1.000.000 kWh/tháng trở lên.
18. Khách hàng sử dụng lưới điện phân phối có trạm điện riêng là khách hàng có trạm biến áp, lưới điện riêng đấu nối vào lưới điện phân phối ở cấp điện áp trung áp và 110 kV.
19. Lệnh điều độ là lệnh chỉ huy, điều khiển chế độ vận hành hệ thống điện trong thời gian thực.
20. Lưới điện phân phối là phần lưới điện bao gồm các đường dây và trạm điện có cấp điện áp đến 110 kV.
21. Lưới điện truyền tải là phần lưới điện bao gồm các đường dây và trạm điện có cấp điện áp trên 110 kV.
22. Ngày điển hình là ngày được chọn có chế độ tiêu thụ điện điển hình của phụ tải điện theo Quy định nội dung, phương pháp, trình tự và thủ tục nghiên cứu phụ tải điện do Bộ Công Thương ban hành. Ngày điển hình bao gồm ngày điển hình của ngày làm việc, ngày cuối tuần, ngày lễ (nếu có) cho năm, tháng và tuần.
23. Rã lưới là sự cố mất liên kết giữa các nhà máy điện, trạm điện dẫn đến mất điện một phần hay toàn bộ hệ thống điện miền hoặc hệ thống điện quốc gia.
24. Sa thải phụ tải là quá trình cắt phụ tải ra khỏi lưới điện khi có sự cố trong hệ thống điện hoặc khi có quá tải cục bộ ngắn hạn nhằm đảm bảo vận hành an toàn hệ thống điện, được thực hiện thông qua hệ thống tự động sa thải phụ tải hoặc lệnh điều độ.
25. Sóng hài là sóng điện áp và dòng điện hình sin có tần số là bội số của tần số cơ bản.
26. Thiết bị đầu cuối RTU/Gateway là thiết bị đặt tại trạm điện hoặc nhà máy điện phục vụ việc thu thập và truyền dữ liệu về trung tâm điều khiển của hệ thống SCADA.
27. Tách đấu nối là việc tách lưới điện hoặc thiết bị điện của Khách hàng sử dụng lưới điện phân phối ra khỏi lưới điện phân phối tại điểm đấu nối.
28. Thỏa thuận đấu nối là văn bản thỏa thuận giữa Đơn vị phân phối điện và Khách hàng sử dụng lưới điện phân phối có trạm điện riêng để đấu nối các trang thiết bị điện của khách hàng vào lưới điện phân phối.
29. Tiêu chuẩn IEC là tiêu chuẩn về kỹ thuật điện do Ủy ban Kỹ thuật điện quốc tế ban hành.
30. Trạm điện là trạm biến áp, trạm cắt hoặc trạm bù.
31. Trung tâm điều khiển là trung tâm được trang bị hệ thống cơ sở hạ tầng công nghệ thông tin, viễn thông để có thể giám sát, điều khiển từ xa một nhóm nhà máy điện, nhóm trạm điện hoặc các thiết bị đóng cắt trên lưới điện.
Chương II. YÊU CẦU TRONG VẬN HÀNH HỆ THỐNG ĐIỆN PHÂN PHỐI
Mục 1. YÊU CẦU KỸ THUẬT
Điều 4. Tần số
Tần số danh định trong hệ thống điện quốc gia là 50 Hz. Trong điều kiện bình thường, tần số hệ thống điện được dao động trong phạm vi ± 0,2 Hz so với tần số danh định. Trường hợp hệ thống điện chưa ổn định, tần số hệ thống điện được dao động trong phạm vi ± 0,5 Hz so với tần số danh định.
Điều 5. Điện áp[3]
1. Các cấp điện áp danh định trong hệ thống điện phân phối bao gồm 110 kV, 35 kV, 22 kV, 15 kV, 10 kV, 06 kV và 0,38 kV.
2. Độ lệch điện áp vận hành cho phép trên lưới điện phân phối trong chế độ vận hành bình thường:
a) Độ lệch điện áp vận hành cho phép tại thanh cái trên lưới điện phân phối của Đơn vị phân phối điện so với điện áp danh định là + 10% và - 05%;
b) Độ lệch điện áp vận hành cho phép tại điểm đấu nối so với điện áp danh định như sau:
- Tại điểm đấu nối với Khách hàng sử dụng điện là ± 05%;
- Tại điểm đấu nối với nhà máy điện là + 10% và - 05%;
- Trường hợp nhà máy điện và khách sử dụng điện đấu nối vào cùng một thanh cái, đường dây trên lưới điện phân phối thì điện áp tại điểm đấu nối do Đơn vị phân phối điện quản lý vận hành lưới điện khu vực quyết định đảm bảo phù hợp với yêu cầu kỹ thuật vận hành lưới điện phân phối và đảm bảo chất lượng điện áp cho khách hàng sử dụng điện theo quy định.
3. Đối với lưới điện chưa ổn định sau sự cố, cho phép độ lệch điện áp tại điểm đấu nối với Khách hàng sử dụng điện bị ảnh hưởng trực tiếp do sự cố trong khoảng + 5% và - 10% so với điện áp danh định.
4. Trong chế độ sự cố hệ thống điện hoặc khôi phục sự cố, cho phép mức dao động điện áp trên lưới điện phân phối trong khoảng ± 10% so với điện áp danh định.
5. Trong thời gian sự cố, điện áp tại nơi xảy ra sự cố và vùng lân cận có thể giảm quá độ đến giá trị bằng 0 ở pha bị sự cố hoặc tăng quá 110% điện áp danh định ở các pha không bị sự cố cho đến khi sự cố được loại trừ.
6. Dao động điện áp tại điểm đấu nối trên lưới điện phân phối do phụ tải của khách hàng sử dụng điện dao động hoặc do thao tác thiết bị đóng cắt trong nội bộ nhà máy điện gây ra không được vượt quá 2,5% điện áp danh định và phải nằm trong phạm vi giá trị điện áp vận hành cho phép được quy định tại Khoản 2 Điều này.
7. Trường hợp Khách hàng sử dụng lưới điện phân phối có yêu cầu chất lượng điện áp cao hơn so với quy định tại Khoản 2 Điều này, Khách hàng sử dụng lưới điện phân phối có thể thỏa thuận với Đơn vị phân phối điện hoặc Đơn vị phân phối và bán lẻ điện. Đơn vị phân phối điện hoặc Đơn vị phân phối và bán lẻ điện có trách nhiệm lấy ý kiến của Cấp điều độ có quyền điều khiển trước khi thỏa thuận thống nhất với khách hàng.
Điều 6. Cân bằng pha [4]
1. Trong chế độ làm việc bình thường, thành phần thứ tự nghịch của điện áp pha không vượt quá 03 % điện áp danh định đối với cấp điện áp 110 kV hoặc 05 % điện áp danh định đối với cấp điện áp trung áp và hạ áp.
2. Cho phép thành phần thứ tự nghịch của điện áp pha trên lưới điện phân phối trong một số thời điểm vượt quá giá trị quy định tại Khoản 1 Điều này nhưng phải đảm bảo 95% các giá trị đo với thời gian đo là ít nhất 01 tuần và tần suất lấy mẫu 10 phút/lần không được vượt quá giới hạn quy định.
Điều 7. Sóng hài [5]
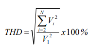
1. Sóng hài điện áp:
a) Tổng biến dạng sóng hài điện áp là tỷ lệ giữa giá trị hiệu dụng của sóng hài điện áp với giá trị hiệu dụng của điện áp bậc cơ bản được tính theo công thức sau:

Trong đó:
- THD: Tổng biến dạng sóng hài điện áp;
- Vi: Giá trị hiệu dụng của sóng hài điện áp bậc i và N là bậc cao nhất của sóng hài cần đánh giá;
- V1: Giá trị hiệu dụng của điện áp bậc cơ bản (tần số 50 Hz).
b) Độ biến dạng sóng hài điện áp tối đa cho phép trên lưới điện phân phối quy định trong Bảng 1a như sau:
Bảng 1a
Độ biến dạng sóng hài điện áp tối đa cho phép
| Cấp điện áp | Tổng biến dạng sóng hài (THD) | Biến dạng riêng lẻ |
| 110 kV | 3,0% | 1,5% |
| Trung áp | 5% | 3,0% |
| Hạ áp | 8% | 5% |
2. Sóng hài dòng điện:
a) Tổng biến dạng sóng hài dòng điện là tỷ lệ giữa giá trị hiệu dụng của sóng hài dòng điện với giá trị hiệu dụng của dòng điện bậc cơ bản ở phụ tải/công suất phát cực đại được tính theo công thức sau:

Trong đó:
- TDD: Tổng biến dạng sóng hài dòng điện;
- Ii: Giá trị hiệu dụng của sóng hài dòng điện bậc i và N là bậc cao nhất của sóng hài cần đánh giá;
- IL: Giá trị hiệu dụng của dòng điện bậc cơ bản (tần số 50 Hz) ở phụ tải, công suất phát cực đại (phụ tải, công suất phát cực đại là giá trị trung bình của 12 giá trị phụ tải, công suất phát cực đại tương ứng với 12 tháng trước đó, trường hợp đối với các đấu nối mới hoặc không thu thập được giá trị phụ tải, công suất cực đại tương ứng với 12 tháng trước đó thì sử dụng giá trị phụ tải, công suất phát cực đại trong toàn bộ thời gian thực hiện phép đo).
b) Nhà máy điện đấu nối vào lưới điện phân phối phải đảm bảo không gây ra biến dạng sóng hài dòng điện vượt quá giá trị quy định tại Bảng 1b như sau:
Bảng 1b
Độ biến dạng sóng hài dòng điện tối đa cho phép đối với nhà máy điện
| Cấp điện áp | Tổng biến dạng | Biến dạng riêng lẻ |
| 110 kV | 3% | 2% |
| Trung áp, hạ áp | 5% | 4% |
c) Phụ tải điện đấu nối vào lưới điện phân phối phải đảm bảo không gây ra biến dạng sóng hài dòng điện vượt quá giá trị quy định tại Bảng 1c như sau:
Bảng 1c
Biến dạng sóng hài dòng điện tối đa cho phép đối với phụ tải điện
| Cấp điện áp | Tổng biến dạng | Biến dạng riêng lẻ |
| 110 kV | 4% | 3,5% |
| Trung áp | 8% | 7% |
| Hạ áp | 12% nếu phụ tải ≥50 kW 20% nếu phụ tải <50 kW | 10% nếu phụ tải ≥50 kW 15% nếu phụ tải <50 kW |
3. Cho phép đỉnh nhọn bất thường của sóng hài trên lưới điện phân phối vượt quá tổng biến dạng sóng hài quy định tại Khoản 1 và Khoản 2 Điều này nhưng phải đảm bảo 95% các giá trị đo sóng hài điện áp và sóng hài dòng điện với thời gian đo ít nhất 01 tuần và tần suất lấy mẫu 10 phút/lần không được vượt quá giới hạn quy định.
Điều 8. Nhấp nháy điện áp [6]
1. Trong điều kiện vận hành bình thường, mức nhấp nháy điện áp tại mọi điểm đấu nối không được vượt quá giới hạn quy định trong Bảng 2 như sau:
Bảng 2
Mức nhấp nháy điện áp
| Cấp điện áp | Mức nhấp nháy cho phép |
|---|---|
| 110 kV | Pst95% = 0,80 Plt95% = 0,60 |
| Trung áp | Pst95% = 1,00 Plt95% = 0,80 |
| Hạ áp | Pst95% = 1,00 Plt95% = 0,80 |
2. Mức nhấp nháy điện áp ngắn hạn (Pst) và mức nhấp nháy điện áp dài hạn (Plt) là giá trị đo theo tiêu chuẩn quốc gia hiện hành. Trường hợp giá trị đo Pst và Plt chưa có trong tiêu chuẩn quốc gia, đo theo Tiêu chuẩn IEC hiện hành do Ủy ban Kỹ thuật điện quốc tế công bố.
Điều 9. Dòng điện ngắn mạch và thời gian loại trừ sự cố [7]
1. Dòng điện ngắn mạch lớn nhất cho phép trên lưới điện phân phối và thời gian tối đa loại trừ sự cố của bảo vệ chính được quy định trong Bảng 3 như sau:
Bảng 3
Dòng điện ngắn mạch lớn nhất cho phép và thời gian tối đa loại trừ sự cố
| Điện áp | Dòng điện ngắn mạch lớn nhất cho phép (kA) | Thời gian tối đa loại trừ sự cố của bảo vệ chính (ms) |
|
|
| |||
| 110 kV | 31,5 | 150 |
|
| Trung áp | 25 | 500 |
|
2. Thiết bị đóng cắt trên lưới điện phân phối phải có đủ khả năng cắt dòng điện ngắn mạch lớn nhất qua thiết bị đóng cắt trong ít nhất 10 năm tiếp theo kể từ thời điểm dự kiến đưa thiết bị vào vận hành và chịu đựng được dòng điện ngắn mạch này trong thời gian tối thiểu 01 giây trở lên.
3. Đối với đường dây trung áp có nhiều phân đoạn, khó phối hợp bảo vệ giữa các thiết bị đóng cắt trên lưới điện, cho phép thời gian loại trừ sự cố của bảo vệ chính tại một số vị trí đóng cắt lớn hơn giá trị quy định tại Khoản 1 Điều này nhưng phải nhỏ hơn 01 giây và phải đảm bảo an toàn cho thiết bị và lưới điện.
4. Các công trình điện đấu nối vào hệ thống điện phân phối có giá trị dòng điện ngắn mạch tại điểm đấu nối theo tính toán mà lớn hơn giá trị dòng điện ngắn mạch lớn nhất cho phép quy định tại Bảng 3, chủ đầu tư các công trình điện có trách nhiệm áp dụng các biện pháp để dòng điện ngắn mạch tại điểm đấu nối xuống thấp hơn hoặc bằng giá trị dòng điện ngắn mạch lớn nhất cho phép quy định tại Bảng 3.
5. Đơn vị phân phối điện có trách nhiệm thông báo giá trị dòng điện ngắn mạch lớn nhất tại điểm đấu nối để Khách hàng sử dụng lưới điện phân phối phối hợp trong quá trình đầu tư, lắp đặt thiết bị, đảm bảo thiết bị đóng cắt có đủ khả năng đóng cắt dòng điện ngắn mạch lớn nhất tại điểm đấu nối trong ít nhất 10 năm tiếp theo kể từ khi dự kiến đưa thiết bị vào vận hành.
Điều 10. Chế độ nối đất
1. Chế độ nối đất trung tính trong hệ thống điện phân phối được quy định trong Bảng 4 như sau:
Bảng 4. Chế độ nối đất
| Cấp điện áp | Điểm trung tính |
|---|---|
| 110 kV | Nối đất trực tiếp. |
| 35 kV | Trung tính cách ly hoặc nối đất qua trở kháng. |
| 15 kV, 22 kV | Nối đất trực tiếp (03 pha 03 dây) hoặc nối đất lặp lại (03 pha 04 dây). |
| 06 kV, 10 kV | Trung tính cách ly. |
| Dưới 1000 V | Nối đất trực tiếp (nối đất trung tính, nối đất lặp lại, nối đất trung tính kết hợp). |
2. Trường hợp chế độ nối đất trung tính trong hệ thống điện phân phối thực hiện khác với quy định tại Khoản 1 Điều này thì phải được sự đồng ý bằng văn bản của Đơn vị điều độ hệ thống điện quốc gia.
Điều 11. Hệ số sự cố chạm đất
Hệ số sự cố chạm đất của lưới điện phân phối không được vượt quá 1,4 đối với lưới điện có trung tính nối đất trực tiếp và 1,7 đối với lưới điện có trung tính cách ly hoặc lưới điện có trung tính nối đất qua trở kháng.
Mục 2. ĐỘ TIN CẬY CUNG CẤP ĐIỆN VÀ TỔN THẤT ĐIỆN NĂNG
Điều 12. Các chỉ số về độ tin cậy cung cấp điện của lưới điện phân phối
1. Các chỉ số về độ tin cậy cung cấp điện của lưới điện phân phối bao gồm:
a) Chỉ số về thời gian mất điện trung bình của lưới điện phân phối (System Average Interruption Duration Index - SAIDI);
b) Chỉ số về số lần mất điện trung bình của lưới điện phân phối (System Average Interruption Frequency Index - SAIFI);
c) Chỉ số về số lần mất điện thoáng qua trung bình của lưới điện phân phối (Momentary Average Interruption Frequency Index - MAIFI).
2. Các chỉ số về độ tin cậy của lưới điện phân phối được tính toán như sau:
a) SAIDI được tính bằng tổng số thời gian mất điện kéo dài trên 05 phút của Khách hàng sử dụng điện và Đơn vị phân phối và bán lẻ điện mua điện của Đơn vị phân phối điện chia cho tổng số Khách hàng sử dụng điện và Đơn vị phân phối và bán lẻ điện mua điện của Đơn vị phân phối điện, xác định theo công thức sau:

Trong đó:
- Ti: Thời gian mất điện lần thứ i trong tháng t (chỉ xét các lần mất điện có thời gian kéo dài trên 05 phút);
- Ki: Tổng số Khách hàng sử dụng điện và các Đơn vị phân phối và bán lẻ điện mua điện của Đơn vị phân phối điện bị ảnh hưởng bởi lần mất điện thứ i trong tháng t;
- n: Tổng số lần mất điện kéo dài trên 05 phút trong tháng t thuộc phạm vi cung cấp điện của Đơn vị phân phối điện;
- Kt: Tổng số Khách hàng sử dụng điện và các Đơn vị phân phối và bán lẻ điện mua điện của Đơn vị phân phối điện trong tháng t;
- SAIDIt (phút): Chỉ số về thời gian mất điện trung bình của lưới điện phân phối trong tháng t;
- SAIDIy (phút): Chỉ số về thời gian mất điện trung bình của lưới điện phân phối trong năm y.
b) SAIFI được tính bằng tổng số lượt Khách hàng sử dụng điện và Đơn vị phân phối và bán lẻ điện mua điện của Đơn vị phân phối điện bị mất điện kéo dài trên 05 phút chia cho tổng số Khách hàng sử dụng điện và Đơn vị phân phối và bán lẻ điện mua điện của Đơn vị phân phối điện, xác định theo công thức sau:

Trong đó:
- n: Tổng số lần mất điện kéo dài trên 05 phút trong tháng t thuộc phạm vi cung cấp điện của Đơn vị phân phối điện;
- Ki: Tổng số Khách hàng sử dụng điện và các Đơn vị phân phối và bán lẻ điện mua điện của Đơn vị phân phối điện bị ảnh hưởng bởi lần mất điện thứ i trong tháng t;
- Kt: Tổng số Khách hàng sử dụng điện và các Đơn vị phân phối và bán lẻ điện mua điện của Đơn vị phân phối điện trong tháng t;
- SAIFIt: Chỉ số về số lần mất điện trung bình của lưới điện phân phối trong tháng t;
- SAIFIy: Chỉ số về số lần mất điện trung bình của lưới điện phân phối trong năm y.
c) MAIFI được tính bằng tổng số lượt Khách hàng sử dụng điện và Đơn vị phân phối và bán lẻ điện mua điện của Đơn vị phân phối điện bị mất điện thoáng qua (thời gian mất điện kéo dài từ 05 phút trở xuống) chia cho tổng số Khách hàng sử dụng điện và Đơn vị phân phối và bán lẻ điện mua điện của Đơn vị phân phối điện, xác định theo công thức sau:

Trong đó:
- n: Tổng số lần mất điện thoáng qua trong tháng t thuộc phạm vi cung cấp điện của Đơn vị phân phối điện;
- Ki: Tổng số Khách hàng sử dụng điện và các Đơn vị phân phối và bán lẻ điện mua điện của Đơn vị phân phối điện bị ảnh hưởng bởi lần mất điện thoáng qua thứ i trong tháng t;
- Kt: Tổng số Khách hàng sử dụng điện và các Đơn vị phân phối và bán lẻ điện mua điện của Đơn vị phân phối điện trong tháng t;
- MAIFIt: Chỉ số về số lần mất điện thoáng qua trung bình của lưới điện phân phối trong tháng t;
- MAIFIy: Chỉ số về số lần mất điện thoáng qua trung bình của lưới điện phân phối trong năm y.
Điều 13. Các bộ chỉ số độ tin cậy cung cấp điện
1. Độ tin cậy cung cấp điện được thống kê và đánh giá qua hai bộ chỉ số bao gồm “Độ tin cậy cung cấp điện toàn phần” và “Độ tin cậy cung cấp điện của lưới điện phân phối”. Mỗi bộ chỉ số độ tin cậy cung cấp điện bao gồm 03 chỉ số SAIDI, SAIFI và MAIFI được xác định theo quy định tại Điều 12 Thông tư này.
2. Bộ chỉ số “Độ tin cậy cung cấp điện toàn phần” được sử dụng để đánh giá chất lượng cung cấp điện cho khách hàng mua điện của Đơn vị phân phối điện và được tính toán theo quy định tại Điều 12 Thông tư này khi không xét các trường hợp ngừng cung cấp điện do các nguyên nhân sau:
a) Khách hàng sử dụng lưới điện phân phối đề nghị cắt điện;
b) Thiết bị của Khách hàng sử dụng lưới điện phân phối không đáp ứng các yêu cầu kỹ thuật, an toàn điện để được khôi phục cung cấp điện;
c) Do sự cố thiết bị của Khách hàng sử dụng lưới điện phân phối;
d) Do các sự kiện bất khả kháng, ngoài khả năng kiểm soát của Đơn vị phân phối điện hoặc do Khách hàng sử dụng lưới điện phân phối điện vi phạm quy định của pháp luật theo Quy định điều kiện, trình tự ngừng, giảm mức cung cấp điện do Bộ Công Thương ban hành.
3. Bộ chỉ số “Độ tin cậy cung cấp điện của lưới điện phân phối” là một trong các chỉ tiêu được sử dụng để đánh giá hiệu quả hoạt động của Đơn vị phân phối điện được tính toán theo quy định tại Điều 12 Thông tư này khi không xét các trường hợp ngừng cung cấp điện do các nguyên nhân sau:
a) Các trường hợp được quy định tại Khoản 2 Điều này;
b) Do mất điện từ hệ thống điện truyền tải;
c) Sa thải phụ tải theo lệnh điều độ của Cấp điều độ có quyền điều khiển;
d) Cắt điện khi xét thấy có khả năng gây mất an toàn nghiêm trọng đối với con người và thiết bị trong quá trình vận hành hệ thống điện.
Điều 14. Tổn thất điện năng của lưới điện phân phối
Tổn thất điện năng của lưới điện phân phối bao gồm:
1. Tổn thất điện năng kỹ thuật là tổn thất điện năng gây ra do bản chất vật lý của đường dây dẫn điện, trang thiết bị điện trên lưới điện phân phối.
2. Tổn thất điện năng phi kỹ thuật là tổn thất điện năng do ảnh hưởng của các yếu tố trong quá trình quản lý kinh doanh điện mà không phải do bản chất vật lý của đường dây dẫn điện, trang thiết bị điện trên lưới điện phân phối gây ra.
Điều 15. Trình tự phê duyệt chỉ tiêu độ tin cậy cung cấp điện, tổn thất điện năng hàng năm của lưới điện phân phối
1. Trước ngày 15 tháng 11 hàng năm, Tập đoàn Điện lực Việt Nam có trách nhiệm xây dựng kế hoạch về độ tin cậy cung cấp điện và tổn thất điện năng cho năm tiếp theo của các Đơn vị phân phối điện để trình Cục Điều tiết điện lực xem xét, phê duyệt.
2. Trước ngày 15 tháng 12 hàng năm, Cục Điều tiết điện lực phê duyệt chỉ tiêu độ tin cậy cung cấp điện và tổn thất điện năng của từng Đơn vị phân phối điện làm cơ sở tính toán chi phí phân phối điện cho Đơn vị phân phối điện.
Mục 3. YÊU CẦU CHẤT LƯỢNG DỊCH VỤ KHÁCH HÀNG
Điều 16. Các chỉ tiêu chất lượng dịch vụ khách hàng
1. Thời gian xem xét, ký thỏa thuận đấu nối và thực hiện đấu nối mới hoặc thời gian điều chỉnh đấu nối cho khách hàng.
2. Thời gian thông báo ngừng, giảm mức cung cấp điện.
3. Chất lượng trả lời kiến nghị, khiếu nại của khách hàng bằng văn bản được đánh giá trên các tiêu chí:
a) Mức độ rõ ràng trong việc trả lời kiến nghị, khiếu nại của khách hàng bằng văn bản thể hiện thông qua văn bản trả lời phải bao gồm các nội dung sau:
- Trả lời khiếu nại được chấp nhận hay không;
- Giải thích rõ ràng phương án giải quyết trong trường hợp khiếu nại được chấp nhận;
- Trong trường hợp không chấp nhận khiếu nại, Đơn vị phân phối điện hoặc Đơn vị phân phối và bản lẻ điện phải nêu rõ lý do và hướng dẫn khách hàng theo từng trường hợp cụ thể;
- Cung cấp đầy đủ các thông tin cần thiết khác giúp khách hàng đánh giá được phương án giải quyết.
b) Tỷ lệ số văn bản trả lời khiếu nại của khách hàng trong thời gian quy định tại Điểm c Khoản 2 Điều 17 Thông tư này.
4. Chất lượng tiếp nhận khiếu nại của khách hàng qua điện thoại được đánh giá trên tiêu chí tỷ lệ số cuộc gọi của khách hàng được tiếp nhận trong thời gian quy định tại Điểm d Khoản 2 Điều 17 Thông tư này.
Điều 17. Yêu cầu chất lượng dịch vụ khách hàng
1. Đơn vị phân phối điện, Đơn vị phân phối và bán lẻ điện phải tổ chức, duy trì và cập nhật hệ thống thông tin để ghi nhận tất cả kiến nghị, khiếu nại từ khách hàng bằng văn bản hoặc qua điện thoại.
2. Yêu cầu chất lượng dịch vụ khách hàng được quy định như sau:
a) Thời gian xem xét và ký Thỏa thuận đấu nối kể từ khi nhận được hồ sơ đề nghị đấu nối hoàn chỉnh, hợp lệ theo quy định tại Điều 45 Thông tư này;
b) Thời gian thông báo ngừng, giảm mức cung cấp điện tại Quy định điều kiện, trình tự ngừng, giảm mức cung cấp điện do Bộ Công Thương ban hành;
c) Chất lượng trả lời kiến nghị, khiếu nại của khách hàng bằng văn bản: Có trên 95% văn bản trả lời khiếu nại bằng văn bản có nội dung trả lời rõ ràng và tuân thủ các quy định của pháp luật trong thời hạn 05 ngày làm việc;
d) Chất lượng tiếp nhận khiếu nại của khách hàng qua điện thoại: Có trên 80% các cuộc điện thoại của khách hàng được tiếp nhận trong thời gian 30 giây.
Điều 17a. Công bố thông tin về độ tin cậy cung cấp điện, tổn thất điện năng và chất lượng dịch vụ khách hàng [8]
1. Trước ngày 10 hàng tháng, Đơn vị phân phối điện có trách nhiệm công bố trên Trang thông tin điện tử của đơn vị các thông tin về độ tin cậy cung cấp điện, tổn thất điện năng và chất lượng dịch vụ khách hàng của tháng trước liền kề.
2. Trước ngày 31 tháng 01 hàng năm, Đơn vị phân phối điện có trách nhiệm công bố trên Trang thông tin điện tử của đơn vị các thông tin về độ tin cậy cung cấp điện, tổn thất điện năng và chất lượng dịch vụ khách hàng của năm trước liền kề.
Chương III. DỰ BÁO NHU CẦU PHỤ TẢI ĐIỆN HỆ THỐNG ĐIỆN PHÂN PHỐI
Điều 18. Quy định chung về dự báo nhu cầu phụ tải điện hệ thống điện phân phối
1. Dự báo nhu cầu phụ tải điện hệ thống điện phân phối là dự báo cho toàn bộ phụ tải điện được cung cấp điện từ hệ thống điện phân phối, trừ các phụ tải có nguồn cung cấp điện riêng. Dự báo nhu cầu phụ tải điện hệ thống điện phân phối là cơ sở để lập kế hoạch đầu tư phát triển lưới điện phân phối hàng năm, kế hoạch vận hành hệ thống điện phân phối, kế hoạch vận hành hệ thống điện quốc gia và kế hoạch vận hành thị trường điện.
2. Dự báo nhu cầu phụ tải điện hệ thống điện phân phối bao gồm dự báo nhu cầu phụ tải điện năm, tháng và tuần.
3. Trách nhiệm dự báo nhu cầu phụ tải điện hệ thống điện phân phối
a) Đơn vị phân phối và bán lẻ điện, Khách hàng lớn sử dụng lưới điện phân phối có trách nhiệm cung cấp cho Đơn vị phân phối điện các số liệu dự báo nhu cầu phụ tải điện của mình, trong đó bao gồm dự báo nhu cầu phụ tải điện tổng hợp toàn đơn vị và nhu cầu phụ tải điện tại từng điểm đấu nối;
b) Công ty Điện lực tỉnh có trách nhiệm dự báo nhu cầu phụ tải điện của hệ thống điện phân phối trong phạm vi quản lý bao gồm cả dự báo nhu cầu phụ tải điện tại các điểm đấu nối với lưới điện truyền tải;
c) Tổng công ty Điện lực có trách nhiệm dự báo nhu cầu phụ tải điện của hệ thống điện phân phối trong phạm vi quản lý bao gồm cả dự báo nhu cầu phụ tải điện tại tất cả các điểm đấu nối với lưới điện truyền tải trên cơ sở kết quả dự báo nhu cầu phụ tải điện của các Công ty Điện lực tỉnh trực thuộc và Khách hàng lớn sử dụng lưới điện phân phối.
4. Tổng công ty Điện lực có trách nhiệm thực hiện nghiên cứu phụ tải phục vụ dự báo nhu cầu phụ tải điện và tính toán giá bán lẻ điện theo Quy định nội dung, phương pháp, trình tự và thủ tục nghiên cứu phụ tải điện do Bộ Công Thương ban hành.
5. Cục Điều tiết điện lực có trách nhiệm tổ chức xây dựng và ban hành Quy trình Dự báo phụ tải điện hệ thống điện quốc gia.
Điều 19. Dự báo nhu cầu phụ tải điện năm
1. Các thông tin, dữ liệu sử dụng cho dự báo nhu cầu phụ tải điện năm bao gồm:
a) Các số liệu dự báo nhu cầu phụ tải điện trong Quy hoạch phát triển điện lực tỉnh, thành phố trực thuộc Trung ương đã được duyệt;
b) Yếu tố giá điện, tốc độ tăng dân số, xu hướng phát triển kinh tế trên địa bàn của Đơn vị phân phối điện và các yếu tố kinh tế - xã hội khác có liên quan;
c) Diễn biến nhu cầu phụ tải điện trong 05 năm trước gần nhất;
d) Dự báo tăng trưởng nhu cầu điện của các phụ tải điện hiện có trong các năm tới;
đ) Nhu cầu điện của các phụ tải mới, các dự án, các khu - cụm công nghiệp đã có kế hoạch đầu tư xây dựng và tiến độ đưa vào vận hành;
e) Các chương trình tiết kiệm năng lượng, quản lý nhu cầu phụ tải và các giải pháp giảm tổn thất điện năng;
g) Công suất và sản lượng điện mua, bán tại mỗi điểm đấu nối với lưới điện của Đơn vị phân phối điện khác;
h) Công suất và sản lượng điện xuất, nhập khẩu (nếu có);
i) Các yếu tố, sự kiện xã hội ảnh hưởng tới nhu cầu phụ tải điện.
2. Kết quả dự báo nhu cầu phụ tải điện năm
a) Cho năm đầu tiên
- Số liệu dự báo điện năng, công suất cực đại hàng tháng của toàn Đơn vị phân phối điện và tại từng điểm đấu nối với lưới điện truyền tải;
- Biểu đồ ngày điển hình hàng tháng của toàn Đơn vị phân phối điện và tại từng điểm đấu nối với lưới điện truyền tải.
b) Cho 04 năm tiếp theo
- Số liệu dự báo điện năng, công suất cực đại hàng năm của toàn Đơn vị phân phối điện và tại từng điểm đấu nối với lưới điện truyền tải;
- Biểu đồ ngày điển hình hàng năm của toàn Đơn vị phân phối điện và tại từng điểm đấu nối với lưới điện truyền tải.
3. Trách nhiệm cung cấp thông tin phục vụ dự báo nhu cầu phụ tải điện
a) Khách hàng sử dụng điện có sản lượng bình quân từ 1.000.000 kWh/tháng trở lên có trách nhiệm cung cấp các thông tin sau:
- Biểu đồ phụ tải điện ngày điển hình hiện trạng;
- Dự kiến công suất cực đại và sản lượng điện đăng ký sử dụng hàng tháng trong năm tới; dự kiến công suất cực đại và sản lượng điện đăng ký sử dụng hàng năm trong 04 năm tiếp theo;
- Các thông số bổ sung về lưới điện, máy cắt và sơ đồ bố trí bảo vệ cho các thiết bị trực tiếp đấu nối hoặc có ảnh hưởng tới lưới điện phân phối.
b) Khách hàng lớn sử dụng lưới điện phân phối sở hữu tổ máy phát điện có trách nhiệm cung cấp các thông tin sau:
- Dự báo sản lượng, công suất hàng tháng có thể phát lên lưới điện phân phối;
- Thông số kỹ thuật của các tổ máy phát điện mới và tiến độ đưa vào vận hành trong 05 năm tiếp theo.
c) Đơn vị phân phối và bán lẻ điện có trách nhiệm cung cấp các thông tin sau:
- Tổng số khách hàng, điện năng thống kê theo năm thành phần của 05 năm trước gần nhất;
- Dự báo nhu cầu công suất và điện năng của năm thành phần khách hàng trong 05 năm tiếp theo;
- Biểu đồ phụ tải ngày điển hình hàng tháng tại điểm đấu nối cho năm tới;
- Các thông số bổ sung về lưới điện, máy cắt và sơ đồ bố trí bảo vệ cho các thiết bị điện trực tiếp đấu nối hoặc có ảnh hưởng tới lưới điện phân phối.
d) Đơn vị phân phối điện đấu nối với lưới điện của Đơn vị phân phối điện khác phải cung cấp các thông tin về công suất cực đại và sản lượng giao nhận dự kiến tại điểm đấu nối trong từng tháng của năm tới; công suất cực đại và sản lượng giao nhận dự kiến tại điểm đấu nối trong từng năm trong giai đoạn 04 năm tiếp theo.
4. Trình tự thực hiện
a) Trước ngày 01 tháng 7 hàng năm, các đối tượng được quy định tại Khoản 3 Điều này phải cung cấp thông tin cho Đơn vị phân phối điện để lập dự báo nhu cầu phụ tải điện cho năm tới và 04 năm tiếp theo;
b) Trước ngày 01 tháng 8 hàng năm, Tổng công ty Điện lực phải hoàn thành kết quả dự báo nhu cầu phụ tải điện hàng năm theo quy định tại Khoản 2 Điều này để cung cấp cho Đơn vị điều độ hệ thống điện quốc gia.
Điều 20. Dự báo nhu cầu phụ tải điện tháng
1. Các thông tin, dữ liệu sử dụng cho dự báo nhu cầu phụ tải điện tháng
a) Kết quả dự báo nhu cầu phụ tải điện năm;
b) Các số liệu thống kê về điện năng tiêu thụ, công suất cao điểm ngày và cao điểm tối trong tháng tương ứng của năm trước đó;
c) Các thông tin cần thiết khác.
2. Kết quả dự báo nhu cầu phụ tải điện tháng
a) Công suất cực đại, điện năng tiêu thụ hàng tuần của toàn Đơn vị phân phối điện và tại từng điểm đấu nối với lưới điện truyền tải;
b) Công suất cực đại, điện năng giao nhận hàng tuần tại các điểm mua bán điện với nước ngoài thông qua lưới điện của Đơn vị phân phối điện;
c) Công suất cực đại, điện năng giao nhận hàng tuần của các Khách hàng lớn sử dụng lưới điện phân phối;
d) Biểu đồ điển hình của ngày làm việc, ngày nghỉ, ngày lễ hàng tuần của toàn Đơn vị phân phối điện.
3. Khách hàng lớn sử dụng lưới điện phân phối có trách nhiệm cung cấp cho Đơn vị phân phối điện về dự báo điện năng tiêu thụ, công suất cực đại trong tháng tới tại các điểm đấu nối trong các trường hợp sau:
a) Công suất điện tiêu thụ chênh lệch trên 02 MW so với số liệu của tháng tương ứng trong dự báo nhu cầu phụ tải điện năm;
b) Công suất phát của Đơn vị phát điện chênh lệch trên 01 MW so với công suất phát dự kiến của tháng tương ứng trong dự báo nhu cầu phụ tải điện năm.
4. Trình tự thực hiện
a) Trước ngày 15 hàng tháng, Khách hàng lớn sử dụng lưới điện phân phối phải cung cấp cho Đơn vị phân phối điện các thông tin theo quy định tại Khoản 3 Điều này phục vụ dự báo nhu cầu phụ tải điện tháng tới;
b) Trước ngày 20 hàng tháng, Tổng công ty Điện lực phải hoàn thành dự báo nhu cầu phụ tải điện tháng tới và thông báo cho Đơn vị điều độ hệ thống điện quốc gia.
Điều 21. Dự báo nhu cầu phụ tải điện tuần
1. Kết quả dự báo nhu cầu phụ tải điện tuần bao gồm các thông số sau:
a) Công suất cực đại, điện năng tiêu thụ theo từng ngày của toàn Đơn vị phân phối điện và tại từng điểm đấu nối với lưới điện truyền tải;
b) Công suất cực đại, điện năng giao nhận theo từng ngày tại các điểm mua bán điện với nước ngoài thông qua lưới điện của Đơn vị phân phối điện;
c) Biểu đồ phụ tải từng ngày trong tuần của toàn Đơn vị phân phối điện.
2. Trước 10h00 thứ Ba hàng tuần, Tổng công ty Điện lực có trách nhiệm hoàn thành và cung cấp cho Đơn vị điều độ hệ thống điện quốc gia dự báo nhu cầu phụ tải 02 tuần tới để lập phương thức vận hành cho 02 tuần tới.
Chương IV [9] (được bãi bỏ)
Chương V. ĐẤU NỐI VÀO LƯỚI ĐIỆN PHÂN PHỐI
Mục 1. NGUYÊN TẮC CHUNG
Điều 26. Điểm đấu nối
1. Điểm đấu nối trong hệ thống điện phân phối bao gồm:
a) Điểm nối trang thiết bị, lưới điện và nhà máy điện của Khách hàng sử dụng lưới điện phân phối vào lưới điện phân phối của Đơn vị phân phối điện;
b) Điểm nối trang thiết bị, lưới điện giữa hai Đơn vị phân phối điện;
c) Điểm nối trang thiết bị, lưới điện của Khách hàng sử dụng điện vào lưới điện phân phối của Đơn vị phân phối và bán lẻ điện.
2. Điểm đấu nối phải được mô tả chi tiết bằng các bản vẽ, sơ đồ, thuyết minh có liên quan trong Thoả thuận đấu nối hoặc hợp đồng mua bán điện.
Điều 27. Ranh giới phân định tài sản và quản lý vận hành
1. Ranh giới phân định tài sản giữa Đơn vị phân phối điện hoặc Đơn vị phân phối và bán lẻ điện với Khách hàng sử dụng lưới điện phân phối là điểm đấu nối.
2. Tài sản của mỗi bên tại ranh giới phân định tài sản phải được liệt kê chi tiết kèm theo các bản vẽ, sơ đồ có liên quan trong Thỏa thuận đấu nối hoặc hợp đồng mua bán điện.
3. Tài sản thuộc sở hữu của bên nào thì bên đó có trách nhiệm đầu tư, xây dựng và quản lý, vận hành theo các tiêu chuẩn và quy định của pháp luật, trừ trường hợp có thỏa thuận khác.
Điều 28. Tuân thủ quy hoạch phát triển điện lực
1. Phương án đấu nối các trạm điện, lưới điện và nhà máy điện mới vào lưới điện phân phối phải phù hợp với quy hoạch phát triển điện lực đã được cơ quan nhà nước có thẩm quyền phê duyệt.
2. [10]Trường hợp phương án đấu nối đề nghị của khách hàng không phù hợp với quy hoạch phát triển điện lực đã được phê duyệt, Đơn vị phân phối điện hoặc Đơn vị phân phối và bán lẻ điện có trách nhiệm thông báo cho Khách hàng sử dụng lưới điện phân phối biết để thực hiện điều chỉnh, bổ sung quy hoạch theo quy định.
Điều 29. Trách nhiệm tuân thủ các yêu cầu về đấu nối và phối hợp thực hiện đấu nối
1. Đơn vị phân phối điện và Khách hàng sử dụng lưới điện phân phối có trách nhiệm tuân thủ các yêu cầu về đấu nối thiết bị điện thuộc sở hữu của mình theo đúng quy định tại Thông tư này.
2. Đơn vị phân phối điện có trách nhiệm phối hợp thực hiện phương án đấu nối khi khách hàng có hồ sơ đề nghị đấu nối hợp lệ. Việc đấu nối và điều chỉnh đấu nối phải đảm bảo đáp ứng các yêu cầu kỹ thuật đối với thiết bị đấu nối quy định tại Mục 2 Chương này.
3. Trường hợp các thiết bị tại điểm đấu nối của Khách hàng sử dụng lưới điện phân phối không đáp ứng được các yêu cầu kỹ thuật và yêu cầu vận hành lưới điện phân phối, Đơn vị phân phối điện có trách nhiệm thông báo và phối hợp với khách hàng đưa ra biện pháp khắc phục. Khách hàng sử dụng lưới điện phân phối phải chịu mọi chi phí thực hiện các biện pháp khắc phục.
4. Đơn vị phân phối điện có trách nhiệm ban hành quy trình nội bộ thực hiện các nội dung công tác của đơn vị, phối hợp với khách hàng để nhằm rút ngắn thời gian thực hiện thỏa thuận đấu nối, thực hiện đấu nối cho khách hàng.
Mục 2. YÊU CẦU KỸ THUẬT ĐỐI VỚI THIẾT BỊ ĐẤU NỐI
Điều 30. Yêu cầu đối với thiết bị điện đấu nối
1. Sơ đồ đấu nối điện chính phải bao gồm tất cả thiết bị điện trung và cao áp tại vị trí đấu nối, phải thể hiện được liên kết giữa lưới điện của Khách hàng sử dụng lưới điện phân phối với lưới điện phân phối. Các trang thiết bị điện phải được mô tả bằng các biểu tượng, ký hiệu tiêu chuẩn và được đặt tên, đánh số theo Quy trình thao tác trong hệ thống điện quốc gia do Bộ Công Thương ban hành.
2. Máy cắt có liên hệ trực tiếp với điểm đấu nối và các hệ thống bảo vệ, điều khiển, đo lường đi kèm phải có khả năng đóng cắt dòng điện ngắn mạch lớn nhất tại điểm đấu nối đáp ứng sơ đồ phát triển lưới điện cho 10 năm tiếp theo.
3. Máy cắt thực hiện thao tác tại điểm đấu nối giữa nhà máy điện với lưới điện phân phối phải được trang bị hệ thống kiểm tra đồng bộ.
Điều 31. Yêu cầu về cân bằng pha
Trong chế độ làm việc bình thường, Khách hàng sử dụng lưới điện phân phối phải đảm bảo thiết bị của mình không gây ra thành phần thứ tự nghịch của điện áp pha tại điểm đấu nối quá 3 % điện áp danh định đối với cấp điện áp 110 kV hoặc quá 5 % điện áp danh định đối với cấp điện áp dưới 110 kV.
Điều 32. Yêu cầu về biến dạng sóng hài[11]
Biến dạng sóng hài cho phép tại điểm đấu nối với lưới điện phân phối phải đảm bảo các yêu cầu quy định tại Điều 7 Thông tư này.
Điều 33. Yêu cầu về nhấp nháy điện áp
Mức nhấp nháy điện áp tối đa cho phép tại điểm đấu nối với lưới điện phân phối phải theo quy định tại 0 Thông tư này.
Điều 34. Yêu cầu về chế độ nối đất
1. Khách hàng sử dụng lưới điện phân phối phải áp dụng các chế độ nối đất trung tính trong lưới điện của mình theo quy định tại 0 Thông tư này, trừ trường hợp có thỏa thuận khác và được sự đồng ý của Cấp điều độ có quyền điều khiển.
2. Trường hợp khách hàng được cung cấp điện từ nhiều phía, khách hàng có trách nhiệm lắp đặt các thiết bị bảo vệ thích hợp nhằm ngăn chặn và hạn chế dòng điện chạy qua điểm trung tính xuống đất.
Điều 35. Yêu cầu về hệ số công suất
Khách hàng sử dụng điện để sản xuất, kinh doanh, dịch vụ có trạm biến áp riêng hoặc không có trạm biến áp riêng nhưng có công suất sử dụng cực đại từ 40 kW trở lên có trách nhiệm duy trì hệ số công suất (cosj) tại điểm đặt thiết bị đo đếm điện năng theo hợp đồng mua bán điện không nhỏ hơn 0,9.
Điều 36. Yêu cầu về hệ thống bảo vệ
1. Hệ thống rơ le bảo vệ của các trạm điện, đường dây cấp điện áp 110 kV và tổ máy phát điện của nhà máy điện đấu nối vào lưới điện cấp điện áp 110 kV phải tuân thủ Quy định về yêu cầu kỹ thuật đối với hệ thống rơ le bảo vệ và tự động hóa trong nhà máy điện và trạm biến áp do Cục Điều tiết điện lực ban hành.
2. Đơn vị phân phối điện và Khách hàng sử dụng lưới điện phân phối có trạm điện riêng có trách nhiệm thiết kế, lắp đặt, chỉnh định, thử nghiệm và vận hành hệ thống bảo vệ trên lưới điện trong phạm vi quản lý để đáp ứng các tiêu chuẩn và yêu cầu về thời gian tác động, độ nhạy và tính chọn lọc khi loại trừ sự cố, đảm bảo vận hành hệ thống điện phân phối an toàn, tin cậy.
3. Đơn vị phân phối điện và Khách hàng sử dụng lưới điện phân phối có trạm điện riêng phải thống nhất các yêu cầu về hệ thống bảo vệ trong Thỏa thuận đấu nối. Việc phối hợp trang bị, lắp đặt các thiết bị bảo vệ rơ le tại điểm đấu nối phải được thỏa thuận giữa Đơn vị phân phối điện, Khách hàng sử dụng lưới điện phân phối và Cấp điều độ có quyền điều khiển trong quá trình thỏa thuận đấu nối.
4. Đơn vị phân phối điện phải cung cấp cho Khách hàng sử dụng lưới điện phân phối có trạm điện riêng các thông số của hệ thống rơ le bảo vệ trên lưới điện phân phối liên quan trực tiếp đến hệ thống bảo vệ của khách hàng tại điểm đấu nối trong quá trình thỏa thuận đấu nối. Cấp điều độ có quyền điều khiển có trách nhiệm tính toán, kiểm tra và ban hành phiếu chỉnh định rơ le bảo vệ hoặc thông qua các trị số chỉnh định trên lưới điện phân phối thuộc quyền điều khiển theo Quy trình điều độ hệ thống điện quốc gia do Bộ Công Thương ban hành.
5. Khách hàng sử dụng lưới điện phân phối có trạm điện riêng không được tự ý lắp đặt thiết bị để hạn chế dòng điện ngắn mạch tại thanh cái đấu nối với lưới điện phân phối, trừ trường hợp có thỏa thuận với Đơn vị phân phối điện và Cấp điều độ có quyền điều khiển.
6. Ngoài các yêu cầu được quy định tại các Khoản 1, 2, 3, 4 và 5 Điều này, hệ thống bảo vệ của nhà máy điện và Khách hàng sử dụng lưới điện phân phối có trạm điện riêng đấu nối vào cấp điện áp 110 kV phải đáp ứng các yêu cầu sau:
a) Các đường dây điện cấp điện áp 110 kV đấu nối nhà máy điện vào hệ thống điện quốc gia phải có 02 (hai) kênh thông tin liên lạc phục vụ cho việc truyền tín hiệu rơ le bảo vệ giữa hai đầu đường dây với thời gian truyền không lớn hơn 20 ms;
b) Khách hàng sử dụng lưới điện phân phối có trạm điện riêng đấu nối vào cấp điện áp 110 kV có trách nhiệm đầu tư, lắp đặt rơ le tần số thấp phục vụ tự động sa thải phụ tải theo tính toán của Cấp điều độ có quyền điều khiển.
Điều 37. Yêu cầu về hệ thống thông tin
1. [12] Nhà máy điện đấu nối vào lưới điện phân phối có công suất từ 10 MW trở lên hoặc trạm biến áp 110 kV phải được trang bị hệ thống thông tin và kết nối hệ thống này tương thích với hệ thống thông tin của Cấp điều độ có quyền điều khiển phục vụ thông tin liên lạc và truyền dữ liệu trong vận hành hệ thống điện. Các phương tiện thông tin liên lạc tối thiểu phục vụ công tác điều độ gồm kênh trực thông, điện thoại, DIM và mạng máy tính.
2. Các yêu cầu về hệ thống thông tin không thuộc trường hợp quy định tại Khoản 1 Điều này được các đơn vị thỏa thuận thống nhất và phải ghi rõ trong Thoả thuận đấu nối.
3. Đơn vị phân phối điện và Khách hàng sử dụng lưới điện phân phối có trách nhiệm đầu tư, quản lý, vận hành hệ thống thông tin trong phạm vi quản lý của mình để đảm bảo thông tin liên tục, tin cậy về Cấp điều độ có quyền điều khiển để phục vụ vận hành hệ thống điện phân phối.
4. Cấp điều độ có quyền điều khiển và Đơn vị phân phối điện có trách nhiệm phối hợp cung cấp cho Khách hàng sử dụng lưới điện phân phối các yêu cầu về dữ liệu thông tin, giao diện thông tin cần thiết và phối hợp với khách hàng trong việc thử nghiệm, kiểm tra và kết nối hệ thống thông tin, dữ liệu của khách hàng với hệ thống thông tin, dữ liệu hiện có trong phạm vi quản lý phục vụ vận hành hệ thống điện phân phối.
Điều 38. Yêu cầu về kết nối hệ thống SCADA
1. [13] Nhà máy điện đấu nối vào lưới điện phân phối có công suất từ 10 MW trở lên (không phân biệt cấp điện áp đấu nối) và các trạm biến áp 110 kV chưa kết nối đến Trung tâm điều khiển phải được trang bị Gateway hoặc RTU và thiết lập hai kết nối độc lập về mặt vật lý với hệ thống SCADA của Cấp điều độ có quyền điều khiển. Trường hợp nhà máy điện, trạm biến áp có nhiều cấp điều độ có quyền điều khiển, các cấp điều độ có trách nhiệm chia sẻ thông tin phục vụ phối hợp vận hành hệ thống điện.
2. [14] Nhà máy điện đấu nối vào lưới điện phân phối có công suất từ 10 MW trở lên đã kết nối đến Trung tâm điều khiển phải được trang bị Gateway hoặc RTU được thiết lập một kết nối với hệ thống SCADA của Cấp điều độ có quyền điều khiển và hai kết nối với hệ thống điều khiển tại Trung tâm điều khiển. Các trạm biến áp 110 kV được điều khiển và thao tác xa từ Trung tâm điều khiển phải được trang bị Gateway hoặc RTU thiết lập hai kết nối với hệ thống điều khiển tại Trung tâm điều khiển và từ Trung tâm điều khiển sẽ chia sẻ thông tin đến Cấp điều độ có quyền điều khiển.
3. Các yêu cầu về kết nối với hệ thống SCADA của Cấp điều độ có quyền điều khiển không thuộc trường hợp quy định tại Khoản 1 và Khoản 2 Điều này phải được các đơn vị thỏa thuận thống nhất và ghi rõ trong Thoả thuận đấu nối. Trong trường hợp này, Đơn vị phân phối điện có trách nhiệm phối hợp với Cấp điều độ có quyền điều khiển để thống nhất yêu cầu về kết nối hệ thống SCADA trong Thỏa thuận đấu nối.
4. Thiết bị đầu cuối RTU/Gateway của Đơn vị phân phối điện và Khách hàng sử dụng lưới điện phân phối phải có đặc tính kỹ thuật tương thích và đảm bảo kết nối được với hệ thống SCADA của Cấp điều độ có quyền điều khiển.
5. Chủ sở hữu nhà máy điện, trạm điện có trách nhiệm đầu tư, lắp đặt, quản lý, vận hành thiết bị đầu cuối RTU/Gateway trong phạm vi quản lý, đường truyền dữ liệu hoặc thuê của đơn vị cung cấp dịch vụ để đảm bảo kết nối, truyền dữ liệu liên tục, tin cậy về hệ thống SCADA của Cấp điều độ có quyền điều khiển.
6. Cấp điều độ có quyền điều khiển có trách nhiệm tích hợp các dữ liệu theo danh sách dữ liệu đã thỏa thuận với Đơn vị phân phối điện, Khách hàng sử dụng lưới điện phân phối vào hệ thống SCADA của mình. Đơn vị phân phối điện, Khách hàng sử dụng lưới điện phân phối có trách nhiệm cấu hình, thiết lập cơ sở dữ liệu trên hệ thống của mình để đảm bảo sự tương thích với hệ thống SCADA của Cấp điều độ có quyền điều khiển và phối hợp với Cấp điều độ có quyền điều khiển trong quá trình thực hiện.
7. Trường hợp hệ thống SCADA của Cấp điều độ có quyền điều khiển có sự thay đổi về công nghệ và được cơ quan có thẩm quyền phê duyệt sau thời điểm ký Thoả thuận đấu nối dẫn đến phải thay đổi hoặc nâng cấp hệ thống điều khiển, thiết bị đầu cuối RTU/Gateway của Đơn vị phân phối điện và Khách hàng sử dụng lưới điện phân phối, Cấp điều độ có quyền điều khiển, Đơn vị phân phối điện và Khách hàng sử dụng lưới điện phân phối có trách nhiệm phối hợp thực hiện các hiệu chỉnh cần thiết để các thiết bị của khách hàng và Đơn vị phân phối điện tương thích với các thay đổi của hệ thống SCADA. Đơn vị phân phối điện và Khách hàng sử dụng lưới điện phân phối có trách nhiệm đầu tư, nâng cấp hệ thống điều khiển, thiết bị đầu cuối RTU/Gateway để đảm bảo kết nối tương thích với hệ thống SCADA của Cấp điều độ có quyền điều khiển.
8. Yêu cầu danh sách dữ liệu, yêu cầu kỹ thuật của thiết bị đầu cuối RTU/Gateway được quy định cụ thể tại Quy định về yêu cầu kỹ thuật và quản lý vận hành hệ thống SCADA do Cục Điều tiết điện lực ban hành.
9. Cục Điều tiết điện lực có trách nhiệm tổ chức xây dựng và ban hành Quy định yêu cầu kỹ thuật và quản lý vận hành hệ thống SCADA.
Điều 39. Yêu cầu đối với tổ máy phát điện của nhà máy thủy điện và nhà máy nhiệt điện đấu nối vào lưới điện phân phối
1. Yêu cầu đối với tổ máy phát điện của nhà máy điện có tổng công suất lắp đặt lớn hơn 30 MW đấu nối vào lưới điện phân phối tuân theo các yêu cầu kỹ thuật tại Quy định hệ thống điện truyền tải do Bộ Công Thương ban hành.
2. Yêu cầu đối với tổ máy phát điện của nhà máy thủy điện và nhà máy nhiệt điện (bao gồm cả các nhà máy điện sinh khối, khí sinh học và nhà máy điện sử dụng chất thải rắn) có tổng công suất lắp đặt từ 30 MW trở xuống
a) Có khả năng phát công suất tác dụng định mức liên tục trong dải tần số từ 49 Hz đến 51 Hz. Trong dải tần số từ 47,5 Hz đến 49 Hz, mức giảm công suất không được vượt quá giá trị tính theo tỷ lệ yêu cầu của mức giảm tần số hệ thống điện, phù hợp với đặc tuyến quan hệ giữa công suất tác dụng và tần số của tổ máy. Thời gian tối thiểu duy trì vận hành phát điện tương ứng với các dải tần số của hệ thống theo quy định tại Bảng 5 như sau:
Bảng 5. Thời gian tối thiểu duy trì vận hành phát điện tương ứng với các dải tần số của hệ thống điện
| Dải tần số của hệ thống điện | Thời gian duy trì tối thiểu |
| 47,5 HZ đến 48,0 Hz | 10 phút |
| 48 Hz đến 49 Hz | 30 phút |
| 49 Hz đến 51 Hz | Phát liên tục |
| 51Hz đến 51,5 Hz | 30 phút |
| 51,5 Hz đến 52 Hz | 01 phút |
b) Tổ máy phát điện đấu nối vào lưới điện phân phối phải có khả năng phát và nhận liên tục công suất phản kháng với hệ số công suất 0,9 (ứng với chế độ phát công suất phản kháng) đến 0,95 (ứng với chế độ nhận công suất phản kháng) ứng với công suất định mức và giữ được độ lệch điện áp trong dải quy định tại 0 Thông tư này;
c) Tổ máy phát điện đấu nối vào lưới điện phân phối phải có khả năng chịu được mức mất đối xứng điện áp trong hệ thống điện theo quy định tại 0 Thông tư này và chịu được thành phần dòng điện thứ tự không và thứ tự nghịch không nhỏ hơn thời gian loại trừ ngắn mạch pha-pha và pha-đất gần máy phát bằng bảo vệ dự phòng có liên hệ với điểm đấu nối;
d) Trong trường hợp điểm đấu nối được trang bị thiết bị tự động đóng lại, hệ thống rơ le bảo vệ của nhà máy điện phải đảm bảo phối hợp được với thiết bị tự động đóng lại của Đơn vị phân phối điện và phải được thiết kế để đảm bảo tách được tổ máy phát điện ra khỏi lưới điện phân phối ngay sau khi máy cắt, thiết bị tự động đóng lại hoặc dao phân đoạn của lưới điện phân phối mở ra lần đầu tiên và duy trì cách ly tổ máy phát điện khỏi lưới điện phân phối cho tới khi lưới điện phân phối được khôi phục hoàn toàn;
đ) Các nhà máy điện có tổng công suất lắp đặt từ 30 MW trở xuống đấu nối vào lưới điện cấp điện áp 110 kV phải trang bị bộ điều tốc có khả năng làm việc với các giá trị hệ số tĩnh của đặc tính điều chỉnh trong dải từ 03 % đến 05 % và dải chết của bộ điều tốc trong phạm vi ± 0,05 Hz.
e) [15] Tổ máy phát điện của nhà máy điện phải duy trì nối lưới khi tốc độ biến thiên tần số hệ thống điện trong dải từ 0 Hz/giây đến 01 Hz/giây được đo trong khung thời gian 500 miligiây.
Điều 40. Yêu cầu đối với nhà máy điện gió, nhà máy điện mặt trời có công suất lớn hơn 1MW đấu nối vào lưới điện phân phối từ cấp điện áp trung áp trở lên [16]
1. Nhà máy điện gió, nhà máy điện mặt trời phải có khả năng duy trì vận hành phát công suất tác dụng theo các chế độ sau:
a) Chế độ phát tự do: Vận hành phát điện công suất lớn nhất có thể theo sự biến đổi của nguồn năng lượng sơ cấp (gió hoặc mặt trời);
b) Chế độ điều khiển công suất phát:
Nhà máy điện gió, nhà máy điện mặt trời phải có khả năng giới hạn công suất phát theo lệnh điều độ trong các trường hợp sau:
- Trường hợp nguồn năng lượng sơ cấp biến thiên thấp hơn giá trị giới hạn theo lệnh điều độ thì phát công suất lớn nhất có thể;
- Trường hợp nguồn năng lượng sơ cấp biến thiên bằng hoặc lớn hơn giá trị giới hạn theo lệnh điều độ thì phát công suất đúng giá trị giới hạn theo lệnh điều độ với sai số trong dải ± 01% công suất định mức.
2. Nhà máy điện gió, nhà máy điện mặt trời tại mọi thời điểm đang nối lưới phải có khả năng duy trì vận hành phát điện trong thời gian tối thiểu tương ứng với các dải tần số vận hành theo quy định tại Bảng 5b như sau:
Bảng 5b.
Thời gian tối thiểu duy trì vận hành phát điện của nhà máy điện gió, nhà máy điện mặt trời tương ứng với các dải tần số của hệ thống điện
| Dải tần số của hệ thống điện | Thời gian duy trì tối thiểu |
|---|---|
| Từ 47,5 Hz đến 48,0 Hz | 10 phút |
| Trên 48 Hz đến dưới 49 Hz | 30 phút |
| Từ 49 Hz đến 51 Hz | Phát liên tục |
| Trên 51 Hz đến 51,5 Hz | 30 phút |
| Trên 51,5 Hz đến 52 Hz | 01 phút |
3. Khi tần số hệ thống điện lớn hơn 50,5 Hz, nhà máy điện gió, nhà máy điện mặt trời có khả năng giảm công suất tác dụng theo độ dốc tương đối của đường đặc tuyến tĩnh (droop characteristics) trong dải từ 02% đến 10%. Giá trị cài đặt độ dốc tương đối của đường đặc tuyến tĩnh do Cấp điều độ có quyền điều khiển tính toán và xác định. Quá trình giảm công suất tác dụng này phải ghi nhận bắt đầu suy giảm không muộn hơn 02 giây khi ghi nhận tần số trên 50,5 Hz và phải hoàn thành trong vòng 15 giây.
4. Nhà máy điện gió, nhà máy điện mặt trời phải có khả năng điều chỉnh công suất phản kháng theo đặc tính như hình vẽ dưới đây và mô tả tại điểm a và điểm b khoản này:

a) Trường hợp nhà máy điện phát công suất tác dụng lớn hơn hoặc bằng 20 % công suất tác dụng định mức và điện áp tại phía cao áp máy biến áp tăng áp của nhà máy điện trong dải ± 10 % điện áp danh định, nhà máy điện phải có khả năng điều chỉnh liên tục công suất phản kháng trong dải hệ số công suất 0,95 (ứng với chế độ phát công suất phản kháng) đến 0,95 (ứng với chế độ nhận công suất phản kháng) tại phía cao áp của máy biến áp tăng áp của nhà máy hoặc tại điểm đo lường phân tách công suất phản kháng của từng Nhà máy trong trường hợp nhiều nhà máy cùng nối vào 01 máy biến áp tăng áp ứng với công suất định mức;
b) Trường hợp nhà máy điện phát công suất tác dụng nhỏ hơn 20 % công suất định mức, nhà máy điện có thể giảm khả năng nhận hoặc phát công suất phản kháng phù hợp với đặc tính của nhà máy điện.
5. Chế độ điều khiển điện áp và công suất phản kháng:
a) Nhà máy điện gió, nhà máy điện mặt trời có khả năng điều khiển điện áp và công suất phản kháng theo các chế độ sau:
- Chế độ điều khiển điện áp theo giá trị đặt điện áp, đặc tính độ dốc điều chỉnh điện áp (đặc tính quan hệ điện áp/công suất phản kháng);
- Chế độ điều khiển theo giá trị đặt công suất phản kháng;
- Chế độ điều khiển theo hệ số công suất;
b) Nếu điện áp tại phía cao áp máy biến áp tăng áp của nhà máy điện trong dải ± 10 % điện áp danh định, nhà máy điện gió và nhà máy điện mặt trời phải có khả năng điều chỉnh điện áp tại phía hạ áp máy biến áp tăng áp với độ sai lệch không quá ± 0,5 % điện áp định mức (so với giá trị đặt điện áp) bất cứ khi nào công suất phản kháng của tổ máy phát điện còn nằm trong dải làm việc cho phép và hoàn thành trong thời gian không quá 05 giây.
6. Nhà máy điện gió, nhà máy điện mặt trời tại mọi thời điểm đang nối lưới phải có khả năng duy trì vận hành phát điện tương ứng với dải điện áp tại phía cao áp máy biến áp tăng áp của nhà máy điện trong thời gian như sau:

a) Điện áp dưới 0,3 pu, thời gian duy trì tối thiểu là 0,15 giây;
b) Điện áp từ 0,3 pu đến dưới 0,9 pu, thời gian duy trì tối thiểu được tính theo công thức sau:
Tmin = 4 x U - 0,6
Trong đó:
- Tmin (giây): Thời gian duy trì phát điện tối thiểu;
- U (pu): Điện áp thực tế tại phía cao áp máy biến áp tăng áp của nhà máy điện tính theo đơn vị pu (đơn vị tương đối);
c) Điện áp từ 0,9 pu đến dưới 1,1 pu, nhà máy điện gió và nhà máy điện mặt trời phải duy trì vận hành phát điện liên tục;
d) Điện áp từ 1,1 pu đến dưới 1,15 pu, nhà máy điện gió và nhà máy điện mặt trời phải duy trì vận hành phát điện trong thời gian 03 giây;
đ) Điện áp từ 1,15 pu đến dưới 1,2 pu, nhà máy điện gió và nhà máy điện mặt trời phải duy trì vận hành phát điện trong thời gian 0,5 giây.
7. Độ mất cân bằng pha, tổng biến dạng sóng hài và mức nhấp nháy điện áp do nhà máy điện gió, nhà máy điện mặt trời gây ra tại phía cao áp máy biến áp tăng áp của nhà máy điện không được vượt quá giá trị quy định tại Điều 6, Điều 7 và Điều 8 Thông tư này.
8. Nhà máy điện gió, nhà máy điện mặt trời phải đầu tư các trang thiết bị, hệ thống điều khiển, tự động đảm bảo kết nối ổn định, tin cậy và bảo mật với hệ thống điều khiển công suất tổ máy (AGC) của Cấp điều độ có quyền điều khiển phục vụ điều khiển từ xa công suất nhà máy theo lệnh điều độ của Cấp điều độ có quyền điều khiển.
9. Nhà máy điện gió, nhà máy điện mặt trời phải duy trì nối lưới khi tốc độ biến thiên tần số hệ thống điện trong dải từ 0 Hz/giây đến 01 Hz/giây được đo trong khung thời gian 500 miligiây.
10. Khi điện áp tại phía cao áp máy biến áp tăng áp của nhà máy điện nằm ngoài dải ± 10 % điện áp danh định, nhà máy điện phải có khả năng ưu tiên phát dòng điện phản kháng (khi điện áp thấp) hoặc hút dòng điện phản kháng (khi điện áp cao) để hỗ trợ hệ thống điện trong quá trình sự cố, dòng điện phản kháng có khả năng thay đổi từ 0 % đến 10 % dòng điện định mức của nhà máy cho mỗi 01% điện áp thay đổi với sai số không quá 20 % (tốc độ thay đổi do cấp điều độ có quyền điều khiển tính toán xác định), thời gian hoàn thành đáp ứng không trễ hơn 100 miligiây.
11. Sau khi sự cố được loại trừ và hệ thống điện trở về chế độ vận hành bình thường, nhà máy điện phải đảm bảo:
a) Nhà máy điện phải có khả năng khôi phục công suất tác dụng để quay trở về chế độ vận hành trước sự cố với tốc độ tăng công suất tác dụng không nhỏ hơn 30 % công suất định mức trên 01 giây và không lớn hơn 200 % công suất định mức trên 01 giây;
b) Trường hợp các tổ máy tuabin gió hoặc các inverter của nhà máy điện mặt trời bị ngừng vận hành khi sự cố hệ thống điện duy trì lớn hơn thời gian yêu cầu nối lưới tối thiểu, quá trình hòa lại của các tổ máy này không được sớm hơn 03 phút sau khi hệ thống điện quay về trạng thái vận hành bình thường và tốc độ khôi phục công suất tác dụng không lớn hơn 10 % công suất định mức trên 01 phút.
12. Nhà máy điện phải duy trì nối lưới khi điện áp tại phía cao áp máy biến áp tăng áp của nhà máy điện xuất hiện dao động góc pha điện áp (Phase Swing) tức thời lên đến 20 độ trong khoảng thời gian 100 miligiây mà không bị gián đoạn phát điện hay suy giảm công suất phát.
Điều 40a. Yêu cầu đối với nguồn điện mặt trời, điện gió đấu nối vào lưới điện trung áp có công suất từ 01 MW trở xuống [17]
1. Tại mọi thời điểm đang nối lưới, nguồn điện mặt trời, điện gió phải có khả năng duy trì vận hành phát điện trong thời gian tối thiểu tương ứng với các dải tần số vận hành theo quy định tại Bảng 5c như sau:
Bảng 5c.
Thời gian tối thiểu duy trì vận hành phát điện tương ứng với các dải tần số của hệ thống điện
| Dải tần số của hệ thống điện | Thời gian duy trì tối thiểu |
|---|---|
| Từ 48 Hz đến dưới 49 Hz | 30 phút |
| Từ 49 Hz đến 51 Hz | Phát liên tục |
| Trên 51 Hz đến 51,5 Hz | 30 phút |
2. Khi tần số hệ thống điện lớn hơn 50,5 Hz, nguồn điện mặt trời, điện gió phải giảm công suất tác dụng xác định theo công thức sau:

Trong đó:
- ΔP: Mức giảm công suất phát tác dụng (MW);
- Pm: Công suất tác dụng tương ứng với thời điểm trước khi thực hiện giảm công suất (MW);
- fn: Tần số hệ thống điện trước khi thực hiện giảm công suất (Hz).
3. Nguồn điện mặt trời, điện gió phải có khả năng duy trì vận hành phát điện liên tục trong các dải điện áp tại điểm đấu nối theo quy định tại Bảng 5d như sau:
Bảng 5d.
Thời gian tối thiểu duy trì vận hành phát điện tương ứng với các dải điện áp tại điểm đấu nối
| Điện áp tại điểm đấu nối | Thời gian duy trì tối thiểu |
|---|---|
| Nhỏ hơn 50% điện áp danh định | Không yêu cầu |
| Từ 50% đến dưới 85% điện áp danh định | 02 giây |
| Từ 85% đến 110% điện áp danh định | Vận hành liên tục |
| Trên 110% đến 120% điện áp danh định | 02 giây |
| Lớn hơn 120% điện áp danh định | Không yêu cầu |
4. Nguồn điện mặt trời, điện gió không được gây ra sự xâm nhập của dòng điện một chiều vào lưới điện phân phối vượt quá giá trị 0,5% dòng định mức tại điểm đấu nối.
5. Nguồn điện mặt trời, điện gió phải tuân theo các quy định về điện áp, cân bằng pha, sóng hài, nhấp nháy điện áp và chế độ nối đất quy định tại Điều 5, Điều 6, Điều 7, Điều 8 và Điều 10 Thông tư này.
6. Nguồn điện mặt trời, điện gió phải trang bị thiết bị bảo vệ đảm bảo các yêu cầu sau:
a) Tự ngắt kết nối với lưới điện phân phối khi xảy ra sự cố nội bộ nguồn điện mặt trời, điện gió;
b) Tự ngắt kết nối khi xảy ra sự cố mất điện từ lưới điện phân phối và không phát điện lên lưới khi lưới điện phân phối đang mất điện;
c) Không tự động kết nối lại lưới điện khi chưa đảm bảo các điều kiện sau:
- Tần số của lưới điện duy trì trong dải từ 48Hz đến 51Hz trong thời gian tối thiểu 60 giây;
- Điện áp tất cả các pha tại điểm đấu nối duy trì trong dải từ 85% đến 110% điện áp định mức trong thời gian tối thiểu 60 giây;
d) Khách hàng có đề nghị đấu nối phải thỏa thuận, thống nhất các yêu cầu về hệ thống bảo vệ với Đơn vị phân phối điện nhưng tối thiểu bao gồm các bảo vệ quy định tại các điểm a, điểm b và điểm c khoản này, bảo vệ quá áp, thấp áp và bảo vệ theo tần số.
7. Ngoài các yêu cầu quy định tại khoản 1 đến khoản 6 Điều này, nguồn điện mặt trời, gió có công suất từ 100 kW đến 1 MW đấu nối vào lưới điện trung áp phải đảm bảo các yêu cầu kỹ thuật sau:
a) Phải đảm bảo chế độ điều khiển công suất phản kháng được kích hoạt theo chế độ điều khiển theo hệ số công suất với giá trị hệ số công suất (cosphi) được cài đặt theo yêu cầu của Cấp điều độ có quyền điều khiển, trừ trường hợp có thỏa thuận khác với Cấp điều độ có quyền điều khiển;
b) Phải có khả năng thiết lập chế độ ưu tiên phát công suất tác dụng hoặc công suất phản kháng theo yêu cầu của Cấp điều độ có quyền điều khiển khi điện áp tại điểm đấu nối nằm ngoài dải yêu cầu vận hành liên tục quy định tại khoản 3 Điều này.
8. Chủ đầu tư nguồn điện mặt trời, điện gió đấu nối vào lưới điện trung áp có công suất từ 100 kW đến 1 MW có trách nhiệm thỏa thuận, thống nhất với Đơn vị phân phối điện về trang thiết bị, phương tiện kết nối với hệ thống thu thập, giám sát, điều khiển của Cấp điều độ phân phối.
Điều 41. Yêu cầu đối với hệ thống điện mặt trời đấu nối vào lưới điện phân phối cấp điện áp hạ áp [18]
Hệ thống điện mặt trời được phép đấu nối với lưới điện hạ áp khi đáp ứng các yêu cầu sau:
1. Công suất đấu nối
a) Tổng công suất đặt của hệ thống điện mặt trời đấu nối vào cấp điện áp hạ áp của trạm biến áp hạ thế không được vượt quá công suất đặt của trạm biến áp đó;
b) Hệ thống điện mặt trời có công suất dưới 20 kWp trở xuống được đấu nối vào lưới điện 01 pha hoặc 03 pha theo thỏa thuận với Đơn vị phân phối điện, Đơn vị phân phối và bán lẻ điện;
c) Hệ thống điện mặt trời có công suất từ 20 kWp trở lên phải đấu nối vào lưới điện 03 pha.
2. Tại mọi thời điểm đang nối lưới, hệ thống điện mặt trời được phép đấu nối với lưới điện hạ áp phải có khả năng duy trì vận hành phát điện trong thời gian tối thiểu tương ứng với các dải tần số vận hành theo quy định tại Bảng 5a như sau:
Bảng 5a
Thời gian tối thiểu duy trì vận hành phát điện tương ứng với các dải tần số của hệ thống điện
| Dải tần số của hệ thống điện | Thời gian duy trì tối thiểu |
|---|---|
| 48 Hz đến 49 Hz | 30 phút |
| 49 Hz đến 51 Hz | Phát liên tục |
| 51Hz đến 51,5 Hz | 30 phút |
3. Khi tần số hệ thống điện lớn hơn 50,5 Hz, hệ thống điện mặt trời có công suất từ 20 kWp trở lên phải giảm công suất tác dụng xác định theo công thức sau:

Trong đó:
- ΔP: Mức giảm công suất phát tác dụng (MW);
- Pm: Công suất tác dụng tương ứng với thời điểm trước khi thực hiện giảm công suất (MW);
- fn: Tần số hệ thống điện trước khi thực hiện giảm công suất (Hz).
4. Hệ thống điện mặt trời phải có khả năng duy trì vận hành phát điện liên tục trong các dải điện áp tại điểm đấu nối theo quy định tại Bảng 5b như sau:
Bảng 5b
Thời gian tối thiểu duy trì vận hành phát điện tương ứng với các dải điện áp tại điểm đấu nối
| Điện áp tại điểm đấu nối | Thời gian duy trì tối thiểu |
| Nhỏ hơn 50% điện áp danh định | Không yêu cầu |
| 50% đến 85% điện áp danh định | 2 giây |
| 85% đến 110% điện áp danh định | Vận hành liên tục |
| 110% đến 120% điện áp danh định | 2 giây |
| Lớn hơn 120% điện áp danh định | Không yêu cầu |
5. Hệ thống điện mặt trời đấu nối vào lưới điện hạ áp không được phát công suất phản kháng vào lưới điện và hoạt động ở chế độ tiêu thụ công suất suất phản kháng với hệ số công suất (cosj) lớn hơn 0,98.
6. Hệ thống điện mặt trời không được gây ra sự xâm nhập của dòng điện một chiều vào lưới điện phân phối vượt quá giá trị 0,5% dòng định mức tại điểm đấu nối.
7. Hệ thống điện mặt trời đấu nối vào lưới điện hạ áp phải tuân theo các quy định về điện áp, cân bằng pha, sóng hài, nhấp nháy điện áp và chế độ nối đất quy định tại Điều 5, Điều 6, Điều 7, Điều 8 và Điều 10 Thông tư này.
8. Hệ thống điện mặt trời phải trang bị thiết bị bảo vệ đảm bảo các yêu cầu sau:
a) Tự ngắt kết nối với lưới điện phân phối khi xảy ra sự cố nội bộ hệ thống điện mặt trời;
b) Tự ngắt kết nối khi xảy ra sự cố mất điện từ lưới điện phân phối và không phát điện lên lưới khi lưới điện phân phối đang mất điện;
c) Không tự động kết nối lại lưới điện khi chưa đảm bảo các điều kiện sau:
- Tần số của lưới điện duy trì trong dải từ 48Hz đến 51Hz trong thời gian tối thiểu 60 giây;
- Điện áp tất cả các pha tại điểm đấu nối duy trì trong dải từ 85% đến 110% điện áp định mức trong thời gian tối thiểu 60 giây.
d) Đối với hệ thống điện mặt trời đấu nối vào lưới điện hạ áp 03 pha, khách hàng có đề nghị đấu nối phải thỏa thuận, thống nhất các yêu cầu về hệ thống bảo vệ với Đơn vị phân phối điện nhưng tối thiểu bao gồm các bảo vệ quy định tại các Điểm a, Điểm b, Điểm c Khoản này, bảo vệ quá áp, thấp áp và bảo vệ theo tần số.
Điều 42. Yêu cầu kỹ thuật của Trung tâm điều khiển
1. Yêu cầu kỹ thuật chung
a) Hệ thống giám sát, điều khiển và hệ thống thông tin viễn thông lắp đặt tại Trung tâm điều khiển phải được trang bị thiết bị để đảm bảo vận hành an toàn, tin cậy các nhà máy điện, trạm điện do Trung tâm điều khiển thực hiện;
b) Hệ thống giám sát, điều khiển của Trung tâm điều khiển phải có đặc tính kỹ thuật tương thích và đảm bảo kết nối, truyền dữ liệu của các nhà máy điện, trạm điện ổn định, tin cậy và liên tục về hệ thống SCADA của Cấp điều độ có quyền điều khiển;
c) Trung tâm điều khiển phải có nguồn điện dự phòng để đảm bảo vận hành bình thường trong trường hợp mất nguồn điện từ lưới điện quốc gia.
d) [19] Tổng công suất định mức của các nhà máy điện thuộc Trung tâm điều khiển không vượt quá công suất định mức của tổ máy phát điện lớn nhất đang vận hành phát điện trong hệ thống điện quốc gia do Đơn vị vận hành hệ thống điện và thị trường điện xác định.
2. [20] Yêu cầu kết nối của Trung tâm điều khiển
a) Yêu cầu về kết nối hệ thống thông tin:
- Có một đường truyền dữ liệu kết nối với hệ thống thông tin của Cấp điều độ có quyền điều khiển. Trường hợp có nhiều Cấp điều độ có quyền điều khiển, các cấp điều độ có trách nhiệm thống nhất phương thức chia sẻ thông tin;
- Có hai đường truyền dữ liệu (một đường truyền làm việc, một đường truyền dự phòng) kết nối với hệ thống điều khiển và thông tin của nhà máy điện, trạm điện do Trung tâm điều khiển thực hiện điều khiển từ xa;
- Các phương tiện thông tin liên lạc tối thiểu phục vụ công tác điều độ giữa các Cấp điều độ có quyền điều khiển với Trung tâm điều khiển gồm trực thông, điện thoại, DIM, mạng máy tính. Thông tin liên lạc tối thiểu giữa Trung tâm điều khiển với các nhà máy điện, trạm điện gồm trực thông, điện thoại, mạng máy tính.
b) Yêu cầu về kết nối hệ thống SCADA:
- Có một kết nối với hệ thống SCADA của Cấp điều độ có quyền điều khiển. Trường hợp có nhiều Cấp điều độ có quyền điều khiển, các Cấp điều độ có trách nhiệm chia sẻ thông tin;
- Có hai kết nối với thiết bị đầu cuối RTU hoặc Gateway, hệ thống điều khiển của nhà máy điện, trạm điện và thiết bị đóng cắt trên lưới điện do Trung tâm điều khiển thực hiện điều khiển từ xa.
c) Trung tâm điều khiển phải trang bị màn hình giám sát và kết nối với hệ thống camera giám sát an ninh tại nhà máy điện, trạm điện.
3. Nhà máy điện và trạm điện do Trung tâm điều khiển thực hiện điều khiển xa phải được trang bị hệ thống giám sát, điều khiển, camera và thông tin viễn thông để truyền, kết nối dữ liệu ổn định, tin cậy và liên tục với Trung tâm điều khiển đáp ứng các yêu cầu tại Khoản 1 và Khoản 2 Điều này.
Mục 3. TRÌNH TỰ, THỦ TỤC THỎA THUẬN ĐẤU NỐI
Điều 43. Hồ sơ đề nghị đấu nối
1. Trường hợp đấu nối vào lưới điện hạ áp 03 (ba) pha, khi có nhu cầu đấu nối mới vào lưới điện phân phối hoặc thay đổi đấu nối hiện có, Khách hàng sử dụng lưới điện phân phối phải gửi cho Đơn vị phân phối điện các tài liệu quy định tại Phụ lục 2A ban hành kèm theo Thông tư này.
2. Trường hợp đấu nối ở cấp điện áp trung áp và 110 kV, khi có nhu cầu đấu nối mới hoặc thay đổi đấu nối hiện có, Khách hàng sử dụng lưới điện phân phối phải gửi cho Đơn vị phân phối điện các tài liệu sau:
a) Thông tin đăng ký đấu nối tương ứng với nhu cầu đấu nối quy định tại các Phụ lục 2B, 2C, 2D ban hành kèm theo Thông tư này;
b) Sơ đồ nguyên lý các thiết bị điện chính sau điểm đấu nối;
c) Tài liệu kỹ thuật về các trang thiết bị dự định đấu nối hoặc các thay đổi dự kiến tại điểm đấu nối hiện tại, thời gian dự kiến hoàn thành dự án, số liệu kỹ thuật của dự án đấu nối mới hoặc thay đổi đấu nối hiện tại.
3. [21] Trường hợp tại thời điểm làm hồ sơ đề nghị đấu nối vào cấp điện áp trung áp và 110 kV mà chưa có đầy đủ các thông tin, tài liệu quy định tại Khoản 2 Điều này, Khách hàng sử dụng lưới điện phân phối có trách nhiệm thỏa thuận với Đơn vị phân phối điện về việc cung cấp thông tin, tài liệu và ghi rõ trong thỏa thuận đấu nối.
Điều 44. [22] Trình tự thỏa thuận đấu nối đối với Khách hàng sử dụng lưới điện phân phối có đề nghị đấu nối ở cấp điện áp 110 kV và Khách hàng sở hữu tổ máy phát điện có đề nghị đấu nối vào lưới điện trung áp
1. Khi nhận được hồ sơ đề nghị đấu nối, Đơn vị phân phối điện có trách nhiệm kiểm tra và thông báo bằng văn bản về tính đầy đủ và hợp lệ của hồ sơ.
2. Sau khi nhận được hồ sơ đề nghị đấu nối đầy đủ và hợp lệ, Đơn vị phân phối điện có trách nhiệm thực hiện các công việc sau đây:
a) Xem xét các yêu cầu liên quan đến thiết bị điện dự kiến tại điểm đấu nối;
b) Chủ trì đánh giá ảnh hưởng của việc đấu nối trang thiết bị, lưới điện, nhà máy điện của khách hàng đề nghị đấu nối đối với lưới điện phân phối về khả năng mang tải của các đường dây, trạm biến áp hiện có; sự ảnh hưởng đến dòng ngắn mạch, ảnh hưởng đến chất lượng điện năng của lưới điện phân phối sau khi thực hiện đấu nối; công tác phối hợp các hệ thống bảo vệ;
c) [23] Lấy ý kiến của Cấp điều độ có quyền điều khiển và các đơn vị có liên quan đến đấu nối về ảnh hưởng của việc đấu nối đối với hệ thống điện, lưới điện khu vực, yêu cầu kết nối với hệ thống thông tin và hệ thống SCADA của Cấp điều độ có quyền điều khiển, các yêu cầu về rơ le bảo vệ, tự động hóa và các nội dung liên quan đến yêu cầu kỹ thuật với thiết bị tại điểm đấu nối;
d) Lập và thỏa thuận sơ đồ một sợi có các thông số kỹ thuật các thiết bị và sơ đồ mặt bằng điểm đấu nối lưới điện của khách hàng vào lưới điện phân phối làm sơ đồ chính thức sử dụng trong Thỏa thuận đấu nối;
đ) Dự thảo Thỏa thuận đấu nối theo các nội dung được quy định tại Phụ lục 3 ban hành kèm theo Thông tư này và gửi cho khách hàng đề nghị đấu nối.
3. Khách hàng đề nghị đấu nối có trách nhiệm cung cấp cho Đơn vị phân phối điện các thông tin cần thiết phục vụ cho việc xem xét, thỏa thuận thực hiện phương án đấu nối và ký Thỏa thuận đấu nối với Đơn vị phân phối điện.
4. Thoả thuận đấu nối được lập thành 05 bản, mỗi bên giữ 02 bản và 01 bản gửi tới Cấp điều độ có quyền điều khiển.
5. Trường hợp không thỏa thuận được phương án đấu nối, Đơn vị phân phối điện có trách nhiệm thông báo bằng văn bản cho khách hàng và báo cáo Cục Điều tiết điện lực về lý do không thống nhất phương án đấu nối.
Điều 45. Thời hạn xem xét và ký Thoả thuận đấu nối
1. Thời hạn xem xét và ký Thoả thuận đấu nối với Khách hàng sử dụng lưới điện phân phối có đề nghị đấu nối ở cấp điện áp 110 kV và khách hàng sở hữu tổ máy phát điện có đề nghị đấu nối vào lưới điện trung áp được quy định tại Bảng 6 như sau:
Bảng 6. Thời hạn xem xét và ký Thỏa thuận đấu nối
| Các nội dung thực hiện | Thời gian thực hiện | Trách nhiệm thực hiện |
|---|---|---|
| Gửi hồ sơ đề nghị đấu nối |
| Khách hàng đề nghị đấu nối |
| Xem xét hồ sơ đề nghị đấu nối | Không quá 15 ngày làm việc | Đơn vị phân phối điện, cấp điều độ có quyền điều khiển |
| Chuẩn bị dự thảo Thỏa thuận đấu nối | Không quá 03 ngày làm việc | Đơn vị phân phối điện |
| Thực hiện đàm phán và ký Thỏa thuận đấu nối | Không quá 07 ngày làm việc | Đơn vị phân phối điện và khách hàng đề nghị đấu nối |
2. [24]Đối với khách hàng sử dụng điện có trạm điện riêng đấu nối vào lưới điện trung áp: Trong thời hạn 02 ngày làm việc kể từ khi nhận đầy đủ hồ sơ hợp lệ của khách hàng, Đơn vị phân phối điện hoặc Đơn vị phân phối và bán lẻ điện có trách nhiệm khảo sát hiện trường, thỏa thuận và ký Thỏa thuận đấu nối với khách hàng sử dụng điện có trạm điện riêng đấu nối vào lưới điện trung áp.
Mục 4. THỰC HIỆN ĐẤU NỐI ĐỐI VỚI KHÁCH HÀNG SỬ DỤNG LƯỚI ĐIỆN PHÂN PHỐI
Điều 46. Quyền tiếp cận thiết bị tại điểm đấu nối
1. Đơn vị phân phối điện có quyền tiếp cận các thiết bị thuộc phạm vi quản lý của khách hàng tại điểm đấu nối trong quá trình xây dựng, lắp đặt, thay thế, tháo dỡ, kiểm tra, thử nghiệm, bảo dưỡng và vận hành các thiết bị này.
2. Khách hàng sử dụng lưới điện phân phối có quyền tiếp cận các thiết bị thuộc phạm vi quản lý của Đơn vị phân phối điện tại điểm đấu nối trong quá trình xây dựng, lắp đặt, thay thế, tháo dỡ, kiểm tra, thử nghiệm, bảo dưỡng và vận hành các thiết bị này.
3. Đơn vị phân phối điện, khách hàng sử dụng lưới điện phân phối có trách nhiệm tạo điều kiện để các bên thực hiện các quyền quy định tại Khoản 1 và Khoản 2 Điều này.
Điều 47. [25] Cung cấp hồ sơ kiểm tra điều kiện đóng điện điểm đấu nối để chạy thử, nghiệm thu đối với khách hàng sử dụng lưới điện phân phối đấu nối cấp điện áp 110kV và khách hàng có tổ máy phát điện đấu nối ở cấp điện áp trung áp
1. Trước ngày dự kiến đóng điện điểm đấu nối, khách hàng đề nghị đấu nối phải cung cấp cho Đơn vị phân phối điện 01 (một) bộ hồ sơ và Cấp điều độ có quyền điều khiển 01 (một) bộ hồ sơ phục vụ kiểm tra tổng thể điều kiện đóng điện điểm đấu nối (các tài liệu kỹ thuật có xác nhận của khách hàng đề nghị đấu nối và bản sao các tài liệu pháp lý được chứng thực), bao gồm:
a) Các biên bản nghiệm thu từng phần và toàn phần các thiết bị đấu nối của nhà máy điện, đường dây và trạm biến áp vào lưới điện phân phối tuân thủ các TCVN hoặc tiêu chuẩn quốc tế được Việt Nam công nhận và đáp ứng các yêu cầu kỹ thuật của thiết bị đấu nối quy định Mục 2 Chương này;
b) Tài liệu thiết kế kỹ thuật được phê duyệt và sửa đổi, bổ sung (nếu có) so với thiết kế ban đầu, bao gồm các tài liệu sau:
- Thuyết minh chung, mặt bằng bố trí thiết bị điện;
- Sơ đồ nối điện chính, sơ đồ nhất thứ một sợi phần điện;
- Sơ đồ nguyên lý, thiết kế của hệ thống bảo vệ và điều khiển thể hiện rõ các máy cắt, biến dòng, biến điện áp, chống sét, dao cách ly, mạch logic thao tác đóng cắt liên động theo trạng thái máy cắt;
- Các sơ đồ có liên quan khác (nếu có).
c) Các tài liệu về thông số kỹ thuật và quản lý vận hành bao gồm các tài liệu sau:
- Thông số kỹ thuật của thiết bị lắp đặt bao gồm cả thông số của đường dây đấu nối;
- Tài liệu kỹ thuật của hệ thống kích từ, điều tốc của tổ máy phát điện;
- Tài liệu hướng dẫn chỉnh định rơ le bảo vệ và tự động, phần mềm chuyên dụng để giao tiếp và chỉnh định rơ le, các trị số chỉnh định rơ le bảo vệ từ điểm đấu nối về phía khách hàng;
- Tài liệu hướng dẫn vận hành thiết bị của nhà chế tạo và các tài liệu kỹ thuật có liên quan khác.
d) Dự kiến lịch chạy thử, đóng điện và vận hành.
2. Trừ trường hợp có thỏa thuận khác, khách hàng đề nghị đấu nối có trách nhiệm cung cấp đầy đủ các tài liệu quy định tại Khoản 1 Điều này trong thời hạn sau:
a) Chậm nhất 02 tháng trước ngày dự kiến đưa nhà máy điện vào vận hành thử lần đầu;
b) Chậm nhất 01 tháng trước ngày dự kiến đưa đường dây, trạm biến áp vào vận hành thử lần đầu (trừ biên bản nghiệm thu toàn phần đường dây và trạm biến áp).
3. Chậm nhất 20 ngày làm việc kể từ khi nhận đủ tài liệu đối với hồ sơ đóng điện tổ máy phát điện hoặc chậm nhất 15 ngày làm việc kể từ khi nhận đủ tài liệu đối với hồ sơ đóng điện đường dây, trạm điện, Đơn vị phân phối điện và Cấp điều độ có quyền điều khiển có trách nhiệm gửi cho khách hàng đề nghị đấu nối các tài liệu sau:
a) Sơ đồ đánh số thiết bị;
b) Các yêu cầu đối với chỉnh định rơ le bảo vệ của khách hàng từ điểm đấu nối về phía khách hàng; phiếu chỉnh định rơ le và các trị số chỉnh định liên quan đối với các thiết bị bảo vệ rơ le của khách hàng đề nghị đấu nối được Cấp điều độ có quyền điều khiển ban hành hoặc thông qua;
c) Các yêu cầu về thử nghiệm, hiệu chỉnh thiết bị;
d) Các yêu cầu về phương thức nhận lệnh điều độ;
đ) Các yêu cầu về thiết lập hệ thống thông tin liên lạc phục vụ điều độ;
e) Các yêu cầu về thu thập và truyền dữ liệu hệ thống SCADA (nếu có);
g) Phương thức điều khiển tự động (nếu có);
h) Phương thức đóng điện dự kiến;
i) Danh mục các quy trình liên quan đến vận hành, điều độ hệ thống điện quốc gia, hệ thống điện phân phối và quy trình phối hợp vận hành;
k) Danh sách các cán bộ liên quan và Nhân viên vận hành kèm theo số điện thoại và số fax liên lạc.
4. Chậm nhất 10 ngày làm việc trước ngày dự kiến đóng điện điểm đấu nối, khách hàng đề nghị đấu nối phải cung cấp cho Đơn vị phân phối điện và Cấp điều độ có quyền điều khiển các nội dung sau:
a) Lịch chạy thử (đối với các nhà máy điện) và đóng điện vận hành các trang thiết bị điện;
b) Thỏa thuận phân định trách nhiệm mỗi bên về quản lý, vận hành trang thiết bị đấu nối;
c) Các quy định nội bộ về an toàn vận hành thiết bị đấu nối;
d) Danh sách các Nhân viên vận hành của khách hàng bao gồm họ tên, chức danh chuyên môn, trách nhiệm kèm theo số điện thoại và số fax liên lạc.
Điều 48. [26] Cung cấp hồ sơ kiểm tra điều kiện đóng điện điểm đấu nối để chạy thử, nghiệm thu đối với khách hàng sử dụng điện có trạm riêng đấu nối vào lưới điện trung áp
1. Trước ngày dự kiến đóng điện điểm đấu nối, khách hàng đề nghị đấu nối phải cung cấp cho Đơn vị phân phối điện 01 (một) bộ hồ sơ phục vụ kiểm tra điều kiện đóng điện điểm đấu nối (các tài liệu kỹ thuật có xác nhận của khách hàng đề nghị đấu nối và bản sao các tài liệu pháp lý được chứng thực), bao gồm:
a) Tài liệu thiết kế kỹ thuật được phê duyệt và sửa đổi, bổ sung (nếu có) so với thiết kế ban đầu bao gồm thuyết minh chung, sơ đồ nối điện chính, mặt bằng bố trí thiết bị điện, sơ đồ nguyên lý của hệ thống bảo vệ và điều khiển, các sơ đồ có liên quan khác và thông số kỹ thuật của thiết bị điện chính;
b) Tài liệu hướng dẫn vận hành và quản lý thiết bị của nhà chế tạo;
c) Các biên bản nghiệm thu từng phần và toàn phần các thiết bị đấu nối của đường dây và trạm biến áp vào lưới điện phân phối tuân thủ các TCVN hoặc tiêu chuẩn quốc tế được Việt Nam công nhận và đáp ứng các yêu cầu kỹ thuật của thiết bị đấu nối quy định tại Mục 2 Chương này;
d) Dự kiến lịch đóng điện chạy thử và vận hành.
2. Sau khi nhận đủ tài liệu, Đơn vị phân phối điện có trách nhiệm chuyển cho khách hàng đề nghị đấu nối các tài liệu sau:
a) Sơ đồ đánh số thiết bị;
b) Các yêu cầu đối với chỉnh định rơ le bảo vệ của khách hàng từ điểm đấu nối về phía khách hàng; phiếu chỉnh định rơ le và các trị số chỉnh định liên quan đối với các thiết bị bảo vệ rơ le của khách hàng đề nghị đấu nối được Cấp điều độ có quyền điều khiển ban hành hoặc thông qua;
c) Các yêu cầu về thử nghiệm, hiệu chỉnh thiết bị;
d) Các yêu cầu về phương thức nhận lệnh điều độ;
đ) Các yêu cầu về thiết lập hệ thống thông tin liên lạc phục vụ điều độ;
e) Các yêu cầu về thu thập và truyền dữ liệu hệ thống SCADA (nếu có);
g) Phương thức điều khiển tự động (nếu có);
h) Phương thức đóng điện dự kiến;
i) Danh mục các quy trình liên quan đến vận hành, điều độ hệ thống điện quốc gia, hệ thống điện phân phối và quy trình phối hợp vận hành;
k) Danh sách các cán bộ liên quan và nhân viên vận hành kèm theo số điện thoại và số fax liên lạc.
3. Trước ngày dự kiến đóng điện lần đầu và chạy thử, khách hàng đề nghị đấu nối phải cung cấp cho Đơn vị phân phối điện các nội dung sau:
a) Lịch chạy thử và đóng điện vận hành các trang thiết bị điện;
b) Thỏa thuận phân định trách nhiệm mỗi bên về quản lý, vận hành trang thiết bị đấu nối;
c) Các quy định nội bộ về an toàn vận hành thiết bị đấu nối;
d) Danh sách các nhân viên vận hành của khách hàng bao gồm họ tên, chức danh chuyên môn, trách nhiệm kèm theo số điện thoại và số fax liên lạc.
Điều 49. [27] Kiểm tra điều kiện đóng điện điểm đấu nối để chạy thử, nghiệm thu
1. Khách hàng đề nghị đấu nối có trách nhiệm thoả thuận với Đơn vị phân phối điện ngày thực hiện kiểm tra thực tế tại điểm đấu nối.
2. Trường hợp Đơn vị phân phối điện thông báo điểm đấu nối hoặc trang thiết bị liên quan tại điểm đấu nối của khách hàng chưa đủ điều kiện đóng điện thì khách hàng đề nghị đấu nối phải hiệu chỉnh, bổ sung hoặc thay thế trang thiết bị theo yêu cầu và thoả thuận lại với Đơn vị phân phối điện thời gian tiến hành kiểm tra lần sau.
3. [28] Đơn vị phân phối điện có trách nhiệm thỏa thuận với Khách hàng có nhu cầu đấu nối về trình tự kiểm tra hồ sơ, biên bản nghiệm thu và thực tế lắp đặt trang thiết bị theo Thỏa thuận đấu nối.
4. Đơn vị phân phối điện và Cấp điều độ có quyền điều khiển (nếu có) phải ký với khách hàng đề nghị đấu nối Biên bản kiểm tra điều kiện đóng điện điểm đấu nối.
Điều 50. [29] Đóng điện điểm đấu nối để chạy thử nghiệm thu
1. Sau khi có Biên bản kiểm tra điều kiện đóng điện điểm đấu nối, khách hàng đề nghị đấu nối có trách nhiệm gửi Đơn vị phân phối điện và Cấp điều độ có quyền điều khiển văn bản đăng ký đóng điện điểm đấu nối kèm theo các tài liệu sau:
a) [30] Các tài liệu pháp lý và kỹ thuật:
- Văn bản xác nhận và cam kết của Khách hàng có nhu cầu đấu nối khẳng định các thiết bị trong phạm vi đóng điện đã được thử nghiệm, kiểm tra đáp ứng các yêu cầu vận hành, yêu cầu kỹ thuật tại điểm đấu nối và tuân thủ đầy đủ quy định pháp luật;
- Bản sao Biên bản kiểm tra điều kiện đóng điện điểm đấu nối khẳng định đã đáp ứng đầy đủ các yêu cầu tại Thỏa thuận đấu nối;
- Hệ thống đo đếm đã được hoàn thiện, đã chốt chỉ số công tơ giao nhận điện năng;
- Hợp đồng mua bán điện đã ký hoặc thoả thuận về mua bán, giao nhận điện;
b) Các tài liệu xác nhận công trình đủ điều kiện về điều độ, vận hành:
- Thiết bị nhất thứ đã được đánh số đúng theo sơ đồ nhất thứ do Cấp điều độ có quyền điều khiển ban hành;
- Hệ thống bảo vệ rơ le đã được chỉnh định đúng theo các yêu cầu của Cấp điều độ có quyền điều khiển;
- Nhân viên vận hành đã được đào tạo, kiểm tra, cấp Chứng nhận vận hành và công nhận chức danh theo Quy trình điều độ hệ thống điện quốc gia do Bộ Công Thương ban hành;
- Phương tiện thông tin điều độ (Kênh trực thông, điện thoại, fax) hoạt động tốt;
- Hoàn thiện kết nối thông tin, tín hiệu đầy đủ với hệ thống SCADA, hệ thống thông tin của Cấp điều độ có quyền điều khiển (nếu có).
2. Trong thời hạn 03 ngày làm việc kể từ ngày nhận được văn bản đăng ký đóng điện, Cấp điều độ có quyền điều khiển có trách nhiệm chủ trì, phối hợp với Đơn vị phân phối điện thông báo cho khách hàng đề nghị đấu nối về thời gian và phương thức đóng điện điểm đấu nối.
3. Đơn vị phân phối điện và Khách hàng sử dụng lưới điện phân phối có trách nhiệm thực hiện đóng điện điểm đấu nối theo phương thức đã được Cấp điều độ có quyền điều khiển thông báo.
4. [31] Đối với khách hàng sử dụng điện đấu nối vào lưới điện trung áp cho phép đóng điện điểm đấu nối ngay sau khi có Biên bản kiểm tra điều kiện đóng điện điểm đấu nối khẳng định tuân thủ đúng các yêu cầu tại Thỏa thuận đấu nối, đáp ứng đầy đủ các yêu cầu về pháp lý, kỹ thuật, điều độ, vận hành quy định tại khoản 1 Điều này và an toàn điện.
Điều 51. Trình tự thử nghiệm, nghiệm thu để đưa vào vận hành thiết bị sau điểm đấu nối
1. Đối với Khách hàng sử dụng lưới điện phân phối đấu nối ở cấp điện áp 110 kV và Đơn vị phát điện có tổ máy phát điện đấu nối ở cấp điện áp trung áp:
a) Trong thời gian thử nghiệm để đưa vào vận hành các thiết bị sau điểm đấu nối, khách hàng đề nghị đấu nối phải cử nhân viên vận hành trực và thông báo danh sách nhân viên trực kèm theo số điện thoại, số fax liên lạc cho Đơn vị phân phối điện và Cấp điều độ có quyền điều khiển để phối hợp vận hành khi cần thiết;
b) Trong thời gian nghiệm thu chạy thử, khách hàng đề nghị đấu nối có trách nhiệm phối hợp với Đơn vị phân phối điện và Cấp điều độ có quyền điều khiển để đảm bảo các thông số vận hành đáp ứng các yêu cầu kỹ thuật tại điểm đấu nối trong giới hạn cho phép quy định tại Mục 2 Chương này;
c) Kết thúc quá trình nghiệm thu chạy thử, khách hàng đề nghị đấu nối phải xác nhận thông số vận hành thực tế tại điểm đấu nối của các thiết bị điện, đường dây, trạm biến áp và tổ máy phát điện. Trường hợp các thông số vận hành tại điểm đấu nối không đáp ứng được các yêu cầu kỹ thuật quy định tại Mục 2 Chương này do lưới điện hoặc thiết bị điện của khách hàng gây ra, Đơn vị phân phối điện có quyền tách nhà máy điện hoặc lưới điện của khách hàng ra khỏi hệ thống điện phân phối và yêu cầu khách hàng tiến hành các biện pháp khắc phục;
d) [32] Lưới điện, nhà máy điện và các thiết bị điện sau điểm đấu nối của khách hàng có nhu cầu đấu nối chỉ được chính thức đưa vào vận hành sau khi đã có đầy đủ biên bản thử nghiệm, chạy thử, nghiệm thu từng phần, toàn phần, đáp ứng đầy đủ các yêu cầu quy định tại Thông tư này, các quy định về quy hoạch, đất đai, xây dựng, phòng cháy chữa cháy, môi trường và các quy định pháp luật có liên quan.
2. [33] Đối với Khách hàng sử dụng điện có trạm điện riêng đấu nối vào lưới điện trung áp: Trong thời hạn 05 ngày làm việc kể từ ngày nhận đầy đủ hồ sơ đóng điện điểm đấu nối hợp lệ của Khách hàng sử dụng điện có trạm điện riêng đấu nối vào lưới điện trung áp theo quy định tại Điều 48 Thông tư này, Đơn vị phân phối điện có trách nhiệm phối hợp với khách hàng hoàn thành đóng điện chạy thử, nghiệm thu và đóng điện vận hành chính thức cho khách hàng có đề nghị đấu nối.
Điều 52. Kiểm tra và giám sát vận hành các thiết bị đấu nối
1. Khách hàng sử dụng lưới điện phân phối có trách nhiệm vận hành thiết bị đảm bảo các yêu cầu kỹ thuật vận hành và yêu cầu kỹ thuật tại điểm đấu nối trong giới hạn quy định tại Thông tư này. Trường hợp thông số vận hành thiết bị điện của khách hàng không đáp ứng các yêu cầu kỹ thuật vận hành và yêu cầu kỹ thuật tại điểm đấu nối, Đơn vị phân phối điện có quyền yêu cầu khách hàng tiến hành kiểm tra, thí nghiệm lại các thiết bị thuộc phạm vi quản lý của khách hàng để xác định nguyên nhân và thực hiện các biện pháp khắc phục.
2. [34] Trường hợp hai bên không thống nhất về kết quả kiểm tra và nguyên nhân gây ra vi phạm, hai bên phải thỏa thuận về phạm vi kiểm tra để khách hàng thuê Đơn vị thí nghiệm độc lập tiến hành kiểm tra, thí nghiệm lại. Trường hợp kết quả kiểm tra của Đơn vị thí nghiệm độc lập cho thấy các vi phạm gây ra do thiết bị của khách hàng mà khách hàng không chấp nhận các giải pháp khắc phục hoặc không hoàn thành việc khắc phục theo thời gian đã cam kết với Đơn vị phân phối điện, Đơn vị phân phối điện có quyền tách đấu nối các thiết bị của khách hàng ra khỏi lưới điện phân phối. Thời gian khắc phục do hai bên thỏa thuận, trường hợp hai bên không thống nhất được thời gian khắc phục, các bên giải quyết tranh chấp theo Quy định về kiểm tra hoạt động điện lực và sử dụng điện, giải quyết tranh chấp hợp đồng mua bán điện do Bộ Công Thương ban hành.
3. Khách hàng sử dụng lưới điện phân phối phải chịu chi phí thực hiện kiểm tra và thí nghiệm bổ sung trong trường hợp kết quả kiểm tra cho thấy thiết bị của khách hàng vi phạm các yêu cầu kỹ thuật vận hành và yêu cầu kỹ thuật tại điểm đấu nối. Đơn vị phân phối điện phải chịu chi phí thực hiện kiểm tra và thí nghiệm bổ sung trong trường hợp kết quả kiểm tra cho thấy thiết bị của khách hàng không vi phạm các yêu cầu kỹ thuật vận hành và yêu cầu kỹ thuật tại điểm đấu nối.
4. Trước khi kiểm tra thiết bị đấu nối để xác định các vi phạm yêu cầu kỹ thuật tại điểm đấu nối, Đơn vị phân phối điện phải thông báo trước cho Khách hàng sử dụng lưới điện phân phối và Cấp điều độ có quyền điều khiển thời gian kiểm tra, danh sách người kiểm tra. Trường hợp kiểm tra có thể gây mất điện của khách hàng, Đơn vị phân phối điện phải thông báo trước ít nhất 05 ngày cho Khách hàng sử dụng lưới điện phân phối và Cấp điều độ có quyền điều khiển. Khách hàng sử dụng lưới điện phân phối có trạm điện riêng có trách nhiệm phối hợp và tạo mọi điều kiện cần thiết để thực hiện công tác kiểm tra.
5. Trong quá trình kiểm tra, Đơn vị phân phối điện được phép lắp đặt các thiết bị đo đếm điện và kiểm tra tại thiết bị đấu nối nhưng không được làm ảnh hưởng đến an toàn vận hành của nhà máy điện, lưới điện và thiết bị điện của Khách hàng sử dụng lưới điện phân phối.
6. [35] Trong quá trình vận hành, nếu tại điểm đấu nối phát hiện nguy cơ không đảm bảo vận hành an toàn cho hệ thống điện do các thiết bị thuộc sở hữu của khách hàng gây ra, Đơn vị phân phối điện phải thông báo ngay cho Cấp điều độ có quyền điều khiển, Khách hàng sử dụng lưới điện phân phối có trạm điện riêng để khắc phục, loại trừ nguy cơ không đảm bảo vận hành an toàn cho hệ thống điện. Trường hợp nguyên nhân kỹ thuật không khắc phục được hoặc có nghi ngờ thiết bị của Khách hàng sử dụng lưới điện phân phối gây ảnh hưởng xấu đến lưới điện phân phối, Đơn vị phân phối điện có quyền yêu cầu khách hàng tiến hành kiểm tra, thí nghiệm lại các thiết bị thuộc phạm vi quản lý của khách hàng theo quy định tại Khoản 1 và Khoản 2 Điều này.
Điều 53. Thay thế, lắp đặt thêm thiết bị tại điểm đấu nối
1. Trường hợp Khách hàng sử dụng lưới điện phân phối có trạm điện riêng dự định thay thế, nâng cấp các thiết bị đấu nối, lắp đặt thêm các thiết bị điện mới có khả năng ảnh hưởng đến cung cấp điện an toàn, tin cậy và liên tục của lưới điện phân phối, khách hàng phải thông báo, thỏa thuận với Đơn vị phân phối điện về các thay đổi này và nội dung thay đổi phải được bổ sung trong Thỏa thuận đấu nối.
2. Trường hợp không chấp thuận đề xuất của Khách hàng sử dụng lưới điện phân phối có trạm điện riêng thì Đơn vị phân phối điện phải thông báo bằng văn bản cho khách hàng các yêu cầu bổ sung cần thiết khác đối với các thiết bị mới dự kiến thay đổi.
3. Toàn bộ thiết bị thay thế tại điểm đấu nối phải được kiểm tra, thử nghiệm và nghiệm thu theo quy định từ Điều 47 đến Điều 51 Thông tư này.
Điều 54. Thực hiện đấu nối vào lưới hạ áp đối với Khách hàng sử dụng điện
1. Trường hợp sử dụng điện phục vụ mục đích sinh hoạt
Trong thời hạn 07 ngày làm việc kể từ khi nhận đủ hồ sơ hợp lệ của khách hàng, Đơn vị phân phối điện hoặc Đơn vị phân phối và bán lẻ điện có trách nhiệm ký hợp đồng và cung cấp điện cho khách hàng sử dụng điện.
2. Trường hợp sử dụng điện ngoài mục đích sinh hoạt
a) Trong thời hạn 03 ngày làm việc kể từ khi nhận đủ hồ sơ hợp lệ của khách hàng, Đơn vị phân phối điện hoặc Đơn vị phân phối và bán lẻ điện có trách nhiệm kiểm tra, khảo sát và lập phương án cấp điện cho khách hàng đề nghị cung cấp điện;
b) Trong thời hạn 05 ngày làm việc kể từ ngày thực hiện khảo sát và lập phương án cấp điện, Đơn vị phân phối điện hoặc Đơn vị phân phối và bán lẻ điện có trách nhiệm ký hợp đồng và cung cấp điện cho khách hàng.
3. Trường hợp không cung cấp được điện cho khách hàng, Đơn vị phân phối điện hoặc Đơn vị phân phối và bán lẻ điện có trách nhiệm thông báo cho khách hàng, trong đó phải ghi rõ lý do và có xác nhận của Sở Công Thương địa phương.
Mục 5. CHUẨN BỊ ĐÓNG ĐIỆN ĐIỂM ĐẤU NỐI ĐỐI VỚI THIẾT BỊ ĐIỆN CỦA ĐƠN VỊ PHÂN PHỐI ĐIỆN
Điều 55. [36] Cung cấp hồ sơ cho kiểm tra điều kiện đóng điện điểm đấu nối đối với thiết bị điện của Đơn vị phân phối điện để chạy thử, nghiệm thu
1. Trước ngày dự kiến đóng điện điểm đấu nối, Đơn vị phân phối điện có trách nhiệm cung cấp cho Cấp điều độ có quyền điều khiển 01 (một) bộ hồ sơ phục vụ kiểm tra điều kiện đóng điện điểm đấu nối (các tài liệu kỹ thuật có xác nhận của Đơn vị phân phối điện và bản sao các tài liệu pháp lý được chứng thực), bao gồm:
a) Sơ đồ nối điện chính, sơ đồ nhất thứ một sợi phần điện, mặt bằng bố trí thiết bị điện;
b) Sơ đồ nguyên lý, thiết kế của hệ thống bảo vệ và điều khiển, thể hiện rõ các máy cắt, biến dòng, biến điện áp, chống sét, dao cách ly, mạch logic thao tác đóng cắt liên động theo trạng thái máy cắt;
c) Các sơ đồ có liên quan khác (nếu có);
d) Tài liệu hướng dẫn chỉnh định rơ le bảo vệ và tự động, phần mềm chuyên dụng để giao tiếp và chỉnh định rơle;
đ) Tài liệu, thông số kỹ thuật của các thiết bị lắp đặt bao gồm cả thông số của đường dây đấu nối;
e) Dự kiến lịch chạy thử, đóng điện và vận hành.
2. Chậm nhất 01 tháng trước ngày dự kiến đưa đường dây, trạm điện vào vận hành thử lần đầu, Đơn vị phân phối điện có trách nhiệm cung cấp đầy đủ các tài liệu quy định tại Khoản 1 Điều này, trừ trường hợp có thỏa thuận khác.
3. Chậm nhất 15 ngày làm việc kể từ khi nhận đủ tài liệu, Cấp điều độ có quyền điều khiển có trách nhiệm gửi cho Đơn vị phân phối điện các tài liệu sau:
a) Sơ đồ đánh số thiết bị;
b) Các yêu cầu về phương thức nhận lệnh điều độ;
c) Ban hành phiếu chỉnh định rơ le hoặc thông qua các trị số chỉnh định rơ le theo Quy trình điều độ hệ thống điện quốc gia do Bộ Công Thương ban hành;
d) Các yêu cầu về thử nghiệm, hiệu chỉnh thiết bị;
đ) Các yêu cầu về thiết lập hệ thống thông tin liên lạc phục vụ điều độ;
e) Các yêu cầu về kết nối và vận hành đối với hệ thống SCADA;
g) Phương thức đóng điện dự kiến;
h) Danh sách các cán bộ liên quan và các Nhân viên vận hành kèm theo số điện thoại và số fax liên lạc.
4. Chậm nhất 07 ngày làm việc trước ngày đóng điện điểm đấu nối, Đơn vị phân phối điện phải thỏa thuận thống nhất với Cấp điều độ có quyền điều khiển lịch chạy thử và vận hành các trang thiết bị điện.
Điều 56. [37] Đóng điện điểm đấu nối đối với thiết bị điện của Đơn vị phân phối điện để chạy thử, nghiệm thu
1. Đơn vị phân phối điện có trách nhiệm gửi cho Cấp điều độ có quyền điều khiển văn bản đăng ký đóng điện điểm đấu nối kèm theo các tài liệu sau:
a) [38] Các tài liệu về pháp lý và kỹ thuật:
- Văn bản xác nhận và cam kết của Chủ đầu tư khẳng định các thiết bị trong phạm vi đóng điện đã được thử nghiệm, kiểm tra đáp ứng các yêu cầu vận hành, yêu cầu kỹ thuật tại điểm đấu nối và tuân thủ đầy đủ quy định pháp luật;
- Hệ thống đo đếm đã được hoàn thiện, đã chốt chỉ số các công tơ giao nhận điện năng.
b) Các tài liệu xác nhận công trình đủ điều kiện về điều độ, vận hành
- Thiết bị nhất thứ đã được đánh số đúng theo sơ đồ nhất thứ do Cấp điều độ điều khiển ban hành;
- Hệ thống bảo vệ rơle và tự động đã được chỉnh định đúng theo các phiếu chỉnh định rơle bảo vệ do Cấp điều độ có quyền điều khiển ban hành hoặc thông qua;
- Nhân viên vận hành đã được đào tạo, kiểm tra, cấp Chứng nhận vận hành và công nhận chức danh theo Quy trình điều độ hệ thống điện quốc gia do Bộ Công Thương ban hành;
- Phương tiện thông tin điều độ (trực thông, điện thoại quay số, fax) hoạt động tốt;
- Hoàn thiện kết nối thông tin, tín hiệu đầy đủ với hệ thống SCADA, hệ thống thông tin của Cấp điều độ có quyền điều khiển.
2. Trong thời hạn 03 ngày làm việc kể từ ngày nhận được văn bản đăng ký đóng điện, Cấp điều độ có quyền điều khiển có trách nhiệm thông báo cho Đơn vị phân phối điện về thời gian và phương thức đóng điện điểm đấu nối.
3. Đơn vị phân phối điện có trách nhiệm phối hợp với Cấp điều độ có quyền điều khiển và các đơn vị liên quan khác thực hiện đóng điện điểm đấu nối theo phương thức đã được Cấp điều độ có quyền điều khiển thông báo.
Điều 57. Thay thế, lắp đặt thêm thiết bị trên lưới điện phân phối
1. Trường hợp Đơn vị phân phối điện có nhu cầu thay thế, nâng cấp, lắp đặt thêm các thiết bị điện trên lưới điện phân phối có khả năng ảnh hưởng đến cung cấp điện an toàn, tin cậy và liên tục của lưới điện phân phối, Đơn vị phân phối điện phải thỏa thuận bằng văn bản với Cấp điều độ có quyền điều khiển và thông báo cho các đơn vị liên quan về các thay đổi này.
2. Trường hợp đề xuất của Đơn vị phân phối điện không được chấp thuận, Cấp điều độ có quyền điều khiển có trách nhiệm thông báo cho Đơn vị phân phối điện các yêu cầu bổ sung đối với các thiết bị mới dự kiến thay đổi.
3. Toàn bộ thiết bị thay thế, bổ sung phải được thực hiện theo quy định tại Điều 55 và Điều 56 Thông tư này.
Mục 6. TÁCH ĐẤU NỐI VÀ KHÔI PHỤC ĐẤU NỐI
Điều 58. Quy định chung về tách đấu nối và khôi phục đấu nối
1. Các trường hợp tách đấu nối bao gồm:
a) Tách đấu nối tự nguyện là tách đấu nối theo đề nghị của Khách hàng sử dụng lưới điện phân phối, bao gồm tách đấu nối vĩnh viễn và tách đấu nối tạm thời;
b) Tách đấu nối bắt buộc là tách đấu nối trong các trường hợp Khách hàng sử dụng lưới điện phân phối vi phạm Thỏa thuận đấu nối, hợp đồng mua bán điện, vi phạm quy định về kiểm tra và giám sát vận hành các thiết bị đấu nối hoặc theo yêu cầu của cơ quan có thẩm quyền khi Khách hàng sử dụng lưới điện phân phối vi phạm các quy định của pháp luật.
2. Khách hàng sử dụng lưới điện phân phối phải chịu toàn bộ chi phí cho việc tách đấu nối và khôi phục đấu nối.
Điều 59. Tách đấu nối tự nguyện
1. Tách đấu nối vĩnh viễn
a) Các trường hợp tách đấu nối vĩnh viễn Khách hàng sử dụng lưới điện phân phối ra khỏi hệ thống điện phân phối và trách nhiệm của các bên liên quan phải được quy định trong Thoả thuận đấu nối và hợp đồng mua bán điện;
b) Khi có nhu cầu tách đấu nối vĩnh viễn ra khỏi hệ thống điện phân phối, Khách hàng sử dụng lưới điện phân phối phải thông báo bằng văn bản cho Đơn vị phân phối điện và Cấp điều độ có quyền điều khiển ít nhất 01 tháng trước ngày dự kiến tách đấu nối vĩnh viễn. Trường hợp là Khách hàng sử dụng lưới điện phân phối sở hữu các tổ máy phát điện đấu nối vào lưới điện phân phối thì phải thông báo bằng văn bản cho Đơn vị phân phối điện và Cấp điều độ có quyền điều khiển ít nhất 03 tháng trước ngày dự kiến tách đấu nối vĩnh viễn.
2. Tách đấu nối tạm thời
Khách hàng sử dụng lưới điện phân phối có trách nhiệm thông báo và thỏa thuận với Đơn vị phân phối điện và Cấp điều độ có quyền điều khiển về thời điểm và thời gian tách đấu nối tạm thời ra khỏi hệ thống điện phân phối.
Điều 60. Tách đấu nối bắt buộc
Đơn vị phân phối điện có quyền tách đấu nối Khách hàng sử dụng lưới điện phân phối ra khỏi hệ thống điện phân phối trong các trường hợp sau:
1. Theo yêu cầu tách đấu nối của cơ quan nhà nước có thẩm quyền.
2. Các trường hợp tách đấu nối bắt buộc được quy định trong hợp đồng mua bán điện hoặc Thoả thuận đấu nối.
3. Trường hợp quy định tại Khoản 2 và Khoản 6 Điều 52 Thông tư này.
Điều 61. Khôi phục đấu nối
Đơn vị phân phối điện có trách nhiệm khôi phục đấu nối cho Khách hàng sử dụng lưới điện phân phối trong các trường hợp sau:
1. Khi có yêu cầu khôi phục đấu nối của cơ quan nhà nước có thẩm quyền hoặc khi các nguyên nhân dẫn đến tách đấu nối đã được loại trừ, các hậu quả đã được khắc phục và các khoản chi phí liên quan đã được khách hàng thanh toán.
2. Khi có đề nghị khôi phục đấu nối của Khách hàng sử dụng lưới điện phân phối và các khoản chi phí liên quan đã được khách hàng thanh toán trong trường hợp tách đấu nối tạm thời.
Chương VI. VẬN HÀNH HỆ THỐNG ĐIỆN PHÂN PHỐI
Mục 1. TRÁCH NHIỆM TRONG VẬN HÀNH
Điều 62. Trách nhiệm của Đơn vị phân phối điện
1. [39] Quản lý, vận hành thiết bị điện, lưới điện thuộc phạm vi quản lý đảm bảo đáp ứng các yêu cầu vận hành và yêu cầu kỹ thuật theo quy định tại Thông tư này, tuân thủ quy định tại Quy trình điều độ hệ thống điện quốc gia, Quy trình thao tác trong hệ thống điện quốc gia, Quy trình xử lý sự cố trong hệ thống điện quốc gia do Bộ Công Thương ban hành và các quy định pháp luật khác có liên quan.
2. Lập kế hoạch vận hành, kế hoạch bảo dưỡng, sửa chữa các trang thiết bị điện và lưới điện phân phối hàng năm, tháng, tuần và ngày theo quy định tại Mục 2 và Mục 3 Chương này.
3. Quản lý, vận hành lưới điện phân phối đảm bảo cung cấp điện an toàn, ổn định, tin cậy cho khách hàng đáp ứng các yêu cầu kỹ thuật vận hành quy định tại Chương II Thông tư này.
4. Đầu tư, lắp đặt, bảo trì, quản lý và vận hành hệ thống rơ le bảo vệ trong phạm vi quản lý đảm bảo làm việc ổn định, tin cậy và chọn lọc. Lập phương thức, tính toán, kiểm tra hệ thống rơ le bảo vệ cho hệ thống bảo vệ của Khách hàng sử dụng lưới điện phân phối tại điểm đấu nối với lưới điện phân phối trong trường hợp sơ đồ bảo vệ đó có ảnh hưởng tới hệ thống bảo vệ lưới điện phân phối để đảm bảo tính chọn lọc, độ nhạy và khả năng loại trừ sự cố.
5. Đầu tư, lắp đặt, bảo trì, quản lý và vận hành hệ thống DCS, thiết bị đầu cuối RTU/Gateway, hệ thống SCADA, hệ thống thông tin trong phạm vi quản lý và đường truyền thông tin, dữ liệu để đảm bảo truyền thông tin, dữ liệu tin cậy và liên tục về hệ thống SCADA, hệ thống thông tin, hệ thống điều khiển của Cấp điều độ có quyền điều khiển.
6. Tuân thủ lệnh điều độ của Cấp điều độ có quyền điều khiển trừ trường hợp việc thực hiện có nguy cơ đe dọa đến tính mạng con người, thiết bị hoặc lệnh điều độ đó vi phạm các quy định đã được ban hành.
7. Vận hành hệ thống điện phân phối tuân thủ quy định tại Quy định hệ thống điện truyền tải, Quy trình điều độ hệ thống điện quốc gia, Quy trình thao tác trong hệ thống điện quốc gia, Quy trình xử lý sự cố trong hệ thống điện do Bộ Công Thương ban hành và các quy định tại Thông tư này.
8. Phối hợp với Đơn vị phân phối điện khác và Khách hàng sử dụng lưới điện phân phối có trạm điện riêng trong quá trình vận hành các thiết bị tại điểm đấu nối với lưới điện của mình.
9. Phối hợp với Cấp điều độ có quyền điều khiển trong quá trình lập kế hoạch vận hành hệ thống điện phân phối, thiết lập sơ đồ bảo vệ, hệ thống thông tin liên lạc, truyền dữ liệu SCADA và tín hiệu điều khiển phục vụ vận hành hệ thống điện phân phối.
10. Tuân thủ các quy định về an toàn điện, bảo vệ hành lang an toàn lưới điện, công trình điện theo quy định của pháp luật.
Điều 63. Trách nhiệm của Đơn vị điều độ hệ thống điện quốc gia, Cấp điều độ có quyền điều khiển
1. Lập kế hoạch, phương thức vận hành phục vụ công tác điều độ, vận hành hệ thống điện phân phối thuộc quyền điều khiển cho năm, tháng, tuần và ngày tới.
2. Chỉ huy, điều độ hệ thống điện phân phối thuộc quyền điều khiển tuân thủ quy định tại Quy định hệ thống điện truyền tải, Quy trình điều độ hệ thống điện quốc gia, Quy trình xử lý sự cố trong hệ thống điện quốc gia, Quy trình thao tác trong hệ thống điện quốc gia do Bộ Công Thương ban hành và các quy định tại Thông tư này để đảm bảo vận hành an toàn, ổn định và tin cậy hệ thống điện phân phối.
3. Phối hợp với Đơn vị phân phối, Khách hàng sử dụng lưới điện phân phối trong việc thỏa thuận kế hoạch bảo dưỡng sửa chữa thiết bị; thiết lập hệ thống thông tin liên lạc, truyền dữ liệu SCADA và điều khiển xa phục vụ vận hành; kiểm tra và thông qua sơ đồ bảo vệ trong hệ thống điện thuộc phạm vi điều khiển của mình để đảm bảo tính chọn lọc, độ nhạy và khả năng loại trừ sự cố.
4. Thực hiện các trách nhiệm khác theo quy định của pháp luật.
Điều 64. Trách nhiệm của Khách hàng sử dụng lưới điện phân phối
1. Khách hàng sử dụng điện đấu nối vào cấp điện áp trung áp có trách nhiệm:
a) [40] Quản lý, vận hành thiết bị điện, lưới điện thuộc phạm vi quản lý đảm bảo đáp ứng các yêu cầu vận hành và yêu cầu kỹ thuật theo quy định tại Thông tư này, tuân thủ quy định tại Quy trình điều độ hệ thống điện quốc gia, Quy trình thao tác trong hệ thống điện quốc gia, Quy trình xử lý sự cố trong hệ thống điện quốc gia do Bộ Công Thương ban hành và các quy định pháp luật khác có liên quan;
b) Quản lý vận hành, bảo dưỡng sửa chữa thiết bị điện và lưới điện trong phạm vi quản lý đảm bảo đáp ứng các yêu cầu kỹ thuật quy định tại Mục 2 Chương V Thông tư này, các cam kết trong Thỏa thuận đấu nối, hợp đồng mua bán điện và các quy định pháp luật hiện hành;
c) Tuân thủ lệnh điều độ của Cấp điều độ có quyền điều khiển theo Quy trình điều độ hệ thống điện quốc gia, Quy trình xử lý sự cố trong hệ thống điện quốc gia, Quy trình thao tác trong hệ thống điện quốc gia do Bộ Công Thương ban hành;
d) Cung cấp thông tin chính xác, kịp thời cho Đơn vị phân phối điện để lập kế hoạch vận hành, kế hoạch bảo dưỡng, sửa chữa hệ thống điện phân phối;
đ) Phối hợp với Đơn vị phân phối điện duy trì chất lượng điện năng và vận hành kinh tế hệ thống điện phân phối theo thỏa thuận với Đơn vị phân phối điện.
2. Đơn vị phát điện và Khách hàng sử dụng điện đấu nối vào cấp điện áp 110 kV có trách nhiệm:
a) Thực hiện các quy định tại Khoản 1 Điều này;
b) Đầu tư, lắp đặt, bảo trì, quản lý và vận hành hệ thống rơ le bảo vệ trong phạm vi quản lý của mình để đảm bảo làm việc ổn định, tin cậy;
c) Đầu tư, lắp đặt, bảo trì, quản lý và vận hành đảm bảo hệ thống DCS, thiết bị đầu cuối RTU/Gateway, hệ thống thông tin trong phạm vi quản lý và đường truyền thông tin, dữ liệu để đảm bảo truyền thông tin, dữ liệu tin cậy và liên tục về hệ thống SCADA, hệ thống thông tin, hệ thống điều khiển của Cấp điều độ có quyền điều khiển. Không được tự ý tách thiết bị liên quan ra khỏi vận hành dẫn tới gây gián đoạn tín hiệu SCADA, tín hiệu thông tin và điều khiển khi chưa được sự đồng ý của Cấp điều độ có quyền điều khiển.
d) [41] Đơn vị phát điện có trách nhiệm cung cấp thông tin về nguồn năng lượng sơ cấp (thông tin về thủy văn đối với nhà máy thủy điện, than - dầu - chất đốt đối với nhà máy nhiệt điện, thông tin quan trắc khí tượng đối với nhà máy điện gió, mặt trời), dự báo công suất, sản lượng của nhà máy và truyền số liệu về Cấp điều độ điều khiển theo Quy trình lập kế hoạch vận hành hệ thống điện quốc gia do Cục Điều tiết điện lực ban hành.
3. Khách hàng sử dụng điện đấu nối vào cấp điện áp hạ áp có trách nhiệm vận hành trang thiết bị điện và lưới điện của mình đảm bảo phù hợp với các yêu cầu kỹ thuật quy định tại Mục 2 Chương V Thông tư này.
Mục 2. KẾ HOẠCH BẢO DƯỠNG, SỬA CHỮA HỆ THỐNG ĐIỆN PHÂN PHỐI
Điều 65. Quy định chung về bảo dưỡng, sửa chữa hệ thống điện phân phối
1. Đơn vị phân phối điện có trách nhiệm lập kế hoạch bảo dưỡng, sửa chữa hệ thống điện phân phối năm, tháng và tuần phục vụ cho việc lập kế hoạch vận hành hệ thống điện phân phối trong phạm vi quản lý.
2. Kế hoạch bảo dưỡng sửa chữa hệ thống điện phân phối được lập cần xem xét đến kế hoạch bảo dưỡng, sửa chữa lưới điện, nhà máy điện của Khách hàng sử dụng lưới điện phân phối và phải đáp ứng các yêu cầu sau:
a) Giảm thiểu ảnh hưởng đến việc đảm bảo cung cấp điện an toàn, ổn định, tin cậy và liên tục;
b) Tối ưu việc phối hợp bảo dưỡng, sửa chữa nguồn điện và lưới điện.
3. Trong quá trình lập kế hoạch bảo dưỡng, sửa chữa hệ thống điện phân phối trong phạm vi quản lý, Đơn vị phân phối điện có trách nhiệm phối hợp với các Cấp điều độ có quyền điều khiển, Đơn vị truyền tải điện và Đơn vị phân phối điện khác nhằm mục đích giảm thiểu ảnh hưởng tới an ninh cung cấp điện cho hệ thống điện.
4. Trường hợp không thể thực hiện được kế hoạch bảo dưỡng, sửa chữa hệ thống điện phân phối đã công bố, Khách hàng sử dụng lưới điện phân phối có trạm điện riêng, Đơn vị phân phối và bán lẻ điện phải thông báo lại và phối hợp với Đơn vị phân phối điện để điều chỉnh.
Điều 66. Kế hoạch bảo dưỡng, sửa chữa năm
1. Trước ngày 01 tháng 6 hàng năm, Khách hàng sử dụng lưới điện phân phối có trạm điện riêng và Đơn vị phân phối và bán lẻ điện có trách nhiệm cung cấp cho Đơn vị phân phối điện các thông tin về kế hoạch bảo dưỡng, sửa chữa cho 02 năm tiếp theo đối với lưới điện 110 kV và 01 năm tiếp theo đối với lưới điện trung áp, bao gồm:
a) Danh mục các đường dây, thiết bị điện liên quan đến điểm đấu nối với lưới điện của Đơn vị phân phối điện dự kiến bảo dưỡng, sửa chữa;
b) Lý do bảo dưỡng, sửa chữa;
c) Phạm vi ngừng cung cấp điện do công tác bảo dưỡng, sửa chữa;
d) Ước tính điện năng, công suất của phụ tải bị ngừng cung cấp điện;
đ) Ước tính điện năng, công suất không phát được lên lưới điện phân phối của nhà máy điện.
2. Trước ngày 01 tháng 7 hàng năm, Đơn vị phân phối điện phải hoàn thành dự thảo kế hoạch bảo dưỡng, sửa chữa cho 02 năm tiếp theo đối với lưới điện 110 kV và 01 năm tiếp theo đối với lưới điện trung áp trên cơ sở xem xét các yếu tố sau:
a) Kết quả dự báo nhu cầu phụ tải điện;
b) Kế hoạch bảo dưỡng, sửa chữa của Khách hàng sử dụng lưới điện phân phối có trạm điện riêng, Đơn vị phân phối và bán lẻ điện và các yêu cầu thay đổi kế hoạch bảo dưỡng, sửa chữa (nếu có);
c) Các yêu cầu bảo dưỡng, sửa chữa lưới điện truyền tải;
d) Phối hợp các kế hoạch bảo dưỡng, sửa chữa của Khách hàng sử dụng lưới điện phân phối có trạm điện riêng, Đơn vị phân phối và bán lẻ điện, phù hợp với điều kiện vận hành thực tế nhằm tối ưu vận hành kinh tế kỹ thuật hệ thống điện phân phối;
đ) Các yêu cầu khác có liên quan đến bảo dưỡng, sửa chữa.
3. Trường hợp không thống nhất với kế hoạch bảo dưỡng, sửa chữa của Đơn vị phân phối điện, trước ngày 10 tháng 7 hàng năm, Khách hàng sử dụng lưới điện phân phối có trạm điện riêng, Đơn vị phân phối và bán lẻ điện có quyền gửi văn bản đề nghị Đơn vị phân phối điện điều chỉnh kế hoạch bảo dưỡng, sửa chữa năm. Đơn vị phân phối điện có trách nhiệm xem xét, điều chỉnh kế hoạch bảo dưỡng, sửa chữa năm phù hợp với đề nghị của khách hàng. Trường hợp không thể điều chỉnh kế hoạch bảo dưỡng, sửa chữa theo yêu cầu của khách hàng, Đơn vị phân phối điện phải thông báo cho khách hàng bằng văn bản và nêu rõ lý do.
4. Trước ngày 01 tháng 12 hàng năm, Đơn vị phân phối điện phải hoàn thành và công bố kế hoạch bảo dưỡng, sửa chữa cho 02 năm tiếp theo đối với lưới điện 110 kV và 01 năm tiếp theo đối với lưới điện trung áp trên trang thông tin điện tử của đơn vị, bao gồm các nội dung sau:
a) Danh mục các thiết bị điện, đường dây thực hiện bảo dưỡng, sửa chữa;
b) Lý do đưa thiết bị, đường dây ra bảo dưỡng, sửa chữa;
c) Nội dung công việc chính;
d) Dự kiến thời gian bảo dưỡng, sửa chữa;
đ) Các yêu cầu khác có liên quan đến công tác bảo dưỡng, sửa chữa.
Điều 67. Kế hoạch bảo dưỡng, sửa chữa tháng
1. Trường hợp kế hoạch bảo dưỡng, sửa chữa tháng tới có thay đổi so với kế hoạch bảo dưỡng, sửa chữa năm đã công bố, Khách hàng sử dụng lưới điện phân phối có trạm điện riêng, Đơn vị phân phối và bán lẻ điện phải cung cấp cho Đơn vị phân phối điện các thông tin quy định tại Khoản 1 Điều 66 Thông tư này trước ngày 10 hàng tháng.
2. Trước ngày 15 hàng tháng, Đơn vị phân phối điện phải hoàn thành dự thảo kế hoạch kế hoạch bảo dưỡng, sửa chữa tháng tới trên cơ sở xem xét các yếu tố sau:
a) Kế hoạch bảo dưỡng, sửa chữa năm đã công bố;
b) Kết quả dự báo nhu cầu phụ tải điện tháng tới;
c) Đề nghị điều chỉnh kế hoạch bảo dưỡng, sửa chữa của Khách hàng sử dụng lưới điện phân phối có trạm điện riêng và Đơn vị phân phối và bán lẻ điện;
d) Các yêu cầu bảo dưỡng, sửa chữa trên lưới điện truyền tải.
3. Trước ngày 25 hàng tháng, Đơn vị phân phối điện phải hoàn thành và công bố kế hoạch bảo dưỡng, sửa chữa cho tháng tới trên trang thông tin điện tử của đơn vị, bao gồm các nội dung sau:
a) Tên các thiết bị điện, đường dây thực hiện bảo dưỡng, sửa chữa;
b) Lý do đưa thiết bị, đường dây ra bảo dưỡng, sửa chữa;
c) Nội dung công việc chính;
d) Thời gian dự kiến bắt đầu và kết thúc công tác bảo dưỡng, sửa chữa;
đ) Các yêu cầu khác có liên quan đến công tác bảo dưỡng, sửa chữa;
e) Ước tính công suất và điện năng không cung cấp được do bảo dưỡng, sửa chữa.
Điều 68. Kế hoạch bảo dưỡng, sửa chữa tuần
1. Hàng tuần, Đơn vị phân phối điện có trách nhiệm lập kế hoạch bảo dưỡng, sửa chữa cho 02 tuần kế tiếp dựa trên các căn cứ sau:
a) Kế hoạch vận hành tháng được duyệt;
b) Kết quả dự báo phụ tải 02 tuần tới;
c) Kế hoạch bảo dưỡng sửa chữa nguồn điện và lưới điện được cập nhật;
d) Đề nghị điều chỉnh kế hoạch bảo dưỡng, sửa chữa của Khách hàng sử dụng lưới điện phân phối có trạm điện riêng và Đơn vị phân phối và bán lẻ điện.
2. Trường hợp có thay đổi so với kế hoạch bảo dưỡng, sửa chữa tháng, trước 10h00 thứ Hai hàng tuần, Khách hàng sử dụng lưới điện phân phối có trạm điện riêng, Đơn vị phân phối và bán lẻ điện phải cung cấp cho Đơn vị phân phối điện các thông tin theo quy định tại Khoản 1 Điều 66 Thông tư này.
3. Trước 16h00 thứ Năm hàng tuần, căn cứ kế hoạch bảo dưỡng, sửa chữa tháng và thông tin do Khách hàng sử dụng lưới điện phân phối và Đơn vị phân phối và bán lẻ điện cung cấp, Đơn vị phân phối điện phải hoàn thành và công bố kế hoạch bảo dưỡng, sửa chữa cho 02 tuần tiếp theo trên trang thông tin điện tử của đơn vị, bao gồm các nội dung sau:
a) Tên các thiết bị điện, đường dây thực hiện bảo dưỡng, sửa chữa;
b) Lý do đưa thiết bị, đường dây ra bảo dưỡng, sửa chữa;
c) Nội dung công việc chính;
d) Thời gian dự kiến bắt đầu và kết thúc công tác bảo dưỡng, sửa chữa;
đ) Các yêu cầu khác có liên quan đến công tác bảo dưỡng, sửa chữa;
e) Phạm vi ngừng cung cấp điện do công tác bảo dưỡng, sửa chữa;
h) Ước tính công suất và điện năng không cung cấp được do bảo dưỡng, sửa chữa.
4. Trước 16h00 thứ Sáu hàng tuần, căn cứ kế hoạch bảo dưỡng, sửa chữa tuần do Đơn vị phân phối điện công bố, các Đơn vị phân phối và bán lẻ điện có trách nhiệm lập kế hoạch bảo dưỡng, sửa chữa cho lưới điện phân phối trong phạm vi quản lý và thông báo đến khách hàng bị ảnh hưởng theo quy định tại Quy định điều kiện, trình tự ngừng, giảm mức cung cấp điện do Bộ Công Thương ban hành.
Mục 3. KẾ HOẠCH VẬN HÀNH
Điều 69. Kế hoạch vận hành năm
1. Đơn vị phân phối điện có trách nhiệm lập kế hoạch vận hành hệ thống điện phân phối cho năm tới bao gồm các nội dung chính như sau:
a) Dự báo nhu cầu phụ tải điện năm tới;
b) Kế hoạch bảo dưỡng, sửa chữa năm tới;
c) Dự kiến sản lượng điện năng phát năm tới của các nhà máy điện có công suất đặt từ 30 MW trở xuống đấu nối vào lưới điện phân phối.
2. Trước ngày 01 tháng 12 hàng năm, Đơn vị phân phối điện có trách nhiệm hoàn thành kế hoạch vận hành năm tới và công bố trên trang thông tin điện tử của đơn vị đồng thời thông báo kế hoạch vận hành năm tới của lưới điện 110 kV, các tổ máy phát điện đấu nối vào lưới điện phân phối cho Khách hàng sử dụng lưới điện phân phối có trạm điện riêng, Đơn vị phân phối và bán lẻ điện và các đơn vị liên quan để phối hợp thực hiện.
Điều 70. Kế hoạch vận hành tháng
1. Đơn vị phân phối điện có trách nhiệm lập kế hoạch vận hành hệ thống điện phân phối cho tháng tới căn cứ kế hoạch vận hành hệ thống điện phân phối năm được công bố, bao gồm các nội dung sau:
a) Dự báo nhu cầu phụ tải điện tháng tới;
b) Kế hoạch bảo dưỡng, sửa chữa tháng tới;
c) Dự kiến lượng điện năng phát tháng tới của từng nhà máy điện có công suất đặt từ 30 MW trở xuống đấu nối vào lưới điện phân phối.
2. Trước ngày 25 hàng tháng, Đơn vị phân phối điện có trách nhiệm hoàn thành kế hoạch vận hành tháng tới và công bố trên trang thông tin điện tử của đơn vị đồng thời thông báo kế hoạch vận hành tháng tới của lưới điện trung áp và 110 kV, các tổ máy phát điện đấu nối vào lưới điện phân phối cho Khách hàng sử dụng lưới điện phân phối có trạm điện riêng, Đơn vị phân phối và bán lẻ điện và các đơn vị liên quan để phối hợp thực hiện.
Điều 71. Kế hoạch vận hành tuần
1. Đơn vị phân phối điện có trách nhiệm lập kế hoạch vận hành hệ thống điện phân phối cho 02 tuần tới căn cứ kế hoạch vận hành tháng đã công bố, bao gồm các nội dung sau:
a) Dự báo nhu cầu phụ tải điện 02 tuần tới;
b) Kế hoạch bảo dưỡng, sửa chữa trong 02 tuần tới;
c) Dự kiến thời gian và phạm vi ngừng cung cấp điện trong 02 tuần tới;
d) Dự kiến sản lượng điện năng và công suất phát trong 02 tuần tới của từng nhà máy điện có công suất đặt từ 30 MW trở xuống đấu nối vào lưới điện phân phối.
2. Trước 16h00 thứ Năm hàng tuần, Đơn vị phân phối điện có trách nhiệm hoàn thành kế hoạch vận hành của 02 tuần tới và công bố trên trang thông tin điện tử của đơn vị đồng thời thông báo kế hoạch vận hành 02 tuần tới của lưới điện trung áp và 110 kV, các tổ máy phát điện đấu nối vào lưới điện phân phối cho Khách hàng sử dụng lưới điện phân phối có trạm điện riêng, Đơn vị phân phối và bán lẻ điện và các đơn vị liên quan biết để phối hợp thực hiện.
3. Trước ngày 16h00 thứ Sáu hàng tuần, căn cứ kế hoạch vận hành tuần đã công bố, Đơn vị phân phối điện và Đơn vị phân phối và bán lẻ điện có trách nhiệm hoàn thành kế hoạch vận hành tuần của lưới điện hạ áp và thông báo tới khách hàng bị ảnh hưởng trong phạm vi quản lý của mình.
Điều 72. Phương thức vận hành ngày
1. Hàng ngày, căn cứ kế hoạch vận hành tuần đã công bố, Đơn vị phân phối điện có trách nhiệm lập phương thức vận hành ngày tới, bao gồm các nội dung sau:
a) Danh mục nguồn điện và lưới điện bảo dưỡng, sửa chữa;
b) Dự kiến thời gian và phạm vi ngừng cung cấp điện ngày tới;
c) Dự kiến sản lượng điện năng và công suất phát từng giờ ngày tới của từng nhà máy điện có công suất đặt từ 30 MW trở xuống đấu nối vào lưới điện phân phối.
2. Trước 16h00 hàng ngày, Đơn vị phân phối điện có trách nhiệm hoàn thành và công bố phương thức vận hành ngày tới trên trang thông tin điện tử của đơn vị.
Điều 73. Vận hành hệ thống điện phân phối
1. Đơn vị phân phối điện có trách nhiệm vận hành hệ thống điện phân phối theo phương thức vận hành ngày và lịch huy động giờ tới đã công bố, tuân thủ Quy trình điều độ hệ thống điện quốc gia do Bộ Công Thương ban hành và các quy định có liên quan.
2. Khách hàng sử dụng lưới điện phân phối có trách nhiệm tuân thủ lệnh điều độ của cấp điều độ có quyền điều khiển, phối hợp và cung cấp thông tin cho Đơn vị phân phối điện phục vụ vận hành hệ thống điện phân phối.
Mục 4. VẬN HÀNH TRONG TÌNH HUỐNG KHẨN CẤP
Điều 74. Tình huống khẩn cấp
1. Tình huống khẩn cấp trên hệ thống điện phân phối là tình huống xảy ra mất điện toàn bộ hoặc một phần hệ thống điện truyền tải hoặc hệ thống điện phân phối gây ảnh hưởng đến chế độ vận hành bình thường hoặc gây mất điện trên diện rộng trong hệ thống điện phân phối.
2. Các tình huống khẩn cấp bao gồm:
a) Sự cố hoặc rã lưới toàn bộ hoặc một phần hệ thống điện truyền tải gây ảnh hưởng đến chế độ vận hành bình thường của hệ thống điện phân phối;
b) Sự cố trên hệ thống điện truyền tải dẫn đến một phần hệ thống điện phân phối vận hành trong tình trạng tách đảo;
c) Sự cố đường dây hoặc trạm biến áp phân phối cấp điện áp 110 kV gây mất điện trên diện rộng trong hệ thống điện phân phối.
Điều 75. Vận hành hệ thống điện phân phối trong trường hợp sự cố hoặc rã lưới toàn bộ hoặc một phần hệ thống điện truyền tải
1. Trường hợp sự cố trên hệ thống điện truyền tải làm ảnh hưởng tới chế độ vận hành bình thường hoặc mất điện trên lưới điện phân phối, Đơn vị phân phối điện có trách nhiệm:
a) Liên hệ ngay với Cấp điều độ có quyền điều khiển, Đơn vị truyền tải điện để biết thông tin về thời gian dự kiến ngừng cung cấp điện và phạm vi ảnh hưởng đến phụ tải của hệ thống điện phân phối do sự cố này;
b) Áp dụng các biện pháp điều khiển phụ tải và các biện pháp vận hành khác để giảm thiểu phạm vi ảnh hưởng do sự cố trên hệ thống điện truyền tải gây ra.
2. Trường hợp rã lưới toàn bộ hoặc một phần hệ thống điện truyền tải làm ảnh hưởng tới chế độ vận hành bình thường hoặc mất điện trên hệ thống điện phân phối, Đơn vị phân phối điện có trách nhiệm:
a) Tuân thủ Quy định khởi động đen và khôi phục hệ thống điện quốc gia và Quy định hệ thống điện truyền tải do Bộ Công Thương ban hành;
b) Tách lưới điện phân phối thuộc quyền quản lý của đơn vị thành các vùng phụ tải riêng biệt theo Quy trình điều độ hệ thống điện quốc gia do Bộ Công Thương ban hành;
c) Khôi phục phụ tải theo thứ tự ưu tiên tuân thủ phương thức đã được Cấp điều độ có quyền điều khiển phê duyệt trong phạm vi quản lý;
d) Đảm bảo thông tin liên lạc thông suốt phục vụ điều độ vận hành hệ thống điện phân phối cho đến khi hệ thống điện được khôi phục hoàn toàn.
3. Đơn vị phân phối điện và Khách hàng lớn sử dụng lưới điện phân phối phải đảm bảo thông tin liên lạc thông suốt, cử các nhân viên vận hành và thông báo danh sách (họ và tên, chức vụ, quyền hạn) của các nhân viên này cho các bên liên quan để phối hợp vận hành trong suốt quá trình xử lý và khôi phục tình huống khẩn cấp.
Điều 76. Vận hành hệ thống điện phân phối trong trường hợp tách đảo
1. Trường hợp một phần hệ thống điện phân phối bị tách đảo, Cấp điều độ có quyền điều khiển phải xem xét và quyết định việc vận hành các nhà máy điện đấu nối với phần lưới điện phân phối này. Cấp điều độ có quyền điều khiển phải chỉ huy điều độ các nhà máy điện vận hành ở chế độ tách đảo và đảm bảo sẵn sàng hòa đồng bộ với hệ thống điện khi có lệnh từ điều độ cấp trên.
2. Trường hợp nhà máy điện được thiết kế có chế độ vận hành tách đảo độc lập và đã có sự thống nhất với Cấp điều độ có quyền điều khiển, Đơn vị phát điện có thể sử dụng hệ thống tự dùng để cung cấp điện cho phụ tải hoặc thiết bị của khách hàng khác với các điều kiện sau:
a) Nhà máy được trang bị đầy đủ về hệ thống rơ le bảo vệ và có các phương thức điều khiển đối với các tổ máy cả ở chế độ tách đảo và chế độ vận hành nối với hệ thống điện phân phối;
b) Đảm bảo khả năng xác định và cắt các sự cố trong khi vận hành tách đảo để bảo vệ các tổ máy và lưới điện của Khách hàng sử dụng lưới điện phân phối khác trong phần lưới điện phân phối bị tách đảo;
c) Đảm bảo yêu cầu nối đất trung tính của phần lưới điện phân phối bị tách đảo.
3. Trường hợp phần hệ thống điện phân phối bị tách đảo không có khả năng hòa đồng bộ với phần hệ thống điện đã được phục hồi, Cấp điều độ có quyền điều khiển phải tách các nhà máy điện đấu nối với phần lưới điện phân phối bị tách đảo để khôi phục cung cấp điện cho vùng bị tách đảo từ hệ thống điện đã được phục hồi, sau đó khôi phục vận hành các nhà máy điện đã bị tách.
Điều 77. Vận hành hệ thống điện phân phối khi xảy ra sự cố nghiêm trọng trên lưới điện phân phối cấp điện áp 110 kV
Trường hợp xảy ra sự cố trên đường dây hoặc trạm biến áp phân phối cấp điện áp 110 kV gây mất điện trên diện rộng trong hệ thống điện phân phối, Đơn vị phân phối điện có trách nhiệm:
1. Khẩn trương cô lập và xử lý sự cố tuân thủ Quy trình xử lý sự cố hệ thống điện quốc gia do Bộ Công Thương ban hành.
2. Thông báo thông tin sự cố cho Cấp điều độ có quyền điều khiển, Đơn vị truyền tải điện và Khách hàng sử dụng lưới điện phân phối có trạm điện riêng bị ảnh hưởng của sự cố.
3. Thay đổi phương thức kết dây, đảm bảo tối đa khả năng cung cấp điện cho phụ tải hệ thống điện phân phối trong thời gian sự cố.
Điều 78. Khôi phục hệ thống điện phân phối
1. Khi hệ thống điện phân phối bị tan rã, vận hành ở chế độ tách đảo hoặc khi xảy ra sự cố lớn trên lưới điện phân phối, Đơn vị phân phối điện có trách nhiệm phối hợp với Cấp điều độ có quyền điều khiển, Đơn vị truyền tải điện, Khách hàng sử dụng lưới điện phân phối có trạm điện riêng và các đơn vị liên quan đưa hệ thống điện phân phối về chế độ vận hành bình thường trong thời gian sớm nhất.
2. Đơn vị phân phối điện có trách nhiệm phân vùng phụ tải có quy mô phù hợp với khả năng khởi động đen của các nhà máy điện và thông báo cho Cấp điều độ có quyền điều khiển để bảo đảm nhanh chóng khôi phục hệ thống điện phân phối.
3. Các nhà máy điện đấu nối vào lưới điện phân phối trong chế độ vận hành tách đảo và hòa đồng bộ phải tuân theo lệnh điều độ của Cấp điều độ có quyền điều khiển.
4. Trường hợp lưới điện phân phối không có các nhà máy điện có khả năng tự khởi động để vận hành tách đảo, lưới điện phân phối chỉ được khôi phục từ hệ thống điện truyền tải thì Đơn vị phân phối điện phải thực hiện khôi phục hệ thống điện phân phối theo lệnh của Cấp điều độ có quyền điều khiển. Đơn vị phân phối điện phải khôi phục phụ tải theo thứ tự ưu tiên và theo kế hoạch đã được phê duyệt.
5. Đơn vị phân phối điện có trách nhiệm thông báo cho Khách hàng sử dụng lưới điện phân phối có trạm điện riêng để phối hợp trong quá trình xử lý sự cố khôi phục hệ thống điện phân phối.
Mục 5. ĐIỀU KHIỂN PHỤ TẢI VÀ ĐIỆN ÁP
Điều 79. Điều khiển phụ tải [42]
1. Điều khiển phụ tải điện trong hệ thống điện bao gồm các biện pháp:
a) Ngừng, giảm mức cung cấp điện;
b) Sa thải phụ tải điện;
c) Điều chỉnh phụ tải điện của khách hàng sử dụng điện khi tham gia vào các chương trình quản lý nhu cầu điện.
2. Cấp điều độ có quyền điều khiển và Đơn vị phân phối điện thực hiện điều khiển phụ tải điện theo quy định tại Quy trình điều độ hệ thống điện quốc gia và Quy định nội dung, trình tự thực hiện các chương trình điều chỉnh phụ tải điện do Bộ Công Thương ban hành.
Điều 80. Ngừng, giảm mức cung cấp điện
1. Đơn vị phân phối điện có trách nhiệm thực hiện ngừng, giảm mức cung cấp điện theo kế hoạch phù hợp với kế hoạch vận hành tuần đã công bố quy định tại Điều 71 Thông tư này.
2. Đơn vị phân phối điện được ngừng, giảm mức cung cấp điện không theo kế hoạch trong các trường hợp sau:
a) Do có sự cố xảy ra trên lưới điện cấp điện cho khách hàng; sự cố trong hệ thống điện gây mất điện mà bên bán điện không kiểm soát được.
b) Theo yêu cầu của Đơn vị điều độ hệ thống điện quốc gia khi hệ thống điện thiếu công suất dẫn đến đe dọa sự an ninh cung cấp điện của hệ thống điện quốc gia;
c) Có nguy cơ gây sự cố, mất an toàn nghiêm trọng cho người, thiết bị và hệ thống điện;
d) Trường hợp bất khả kháng.
3. Khi thực hiện ngừng, giảm mức cung cấp điện, Đơn vị phân phối điện hoặc Đơn vị phân phối và bán lẻ điện phải thực hiện thông báo cho Khách hàng sử dụng điện bị ảnh hưởng theo quy định tại Quy định điều kiện, trình tự ngừng, giảm mức cung cấp điện do Bộ Công Thương ban hành.
Điều 81. Xây dựng phương án sa thải phụ tải
1. Đơn vị phân phối điện có trách nhiệm xây dựng phương án sa thải phụ tải trong phạm vi quản lý căn cứ trên:
a) Yêu cầu vận hành an toàn, tin cậy và ổn định hệ thống điện;
b) Phương án sa thải phụ tải và điều hòa, tiết giảm phụ tải do đe dọa an ninh cung cấp điện của Đơn vị điều độ hệ thống điện quốc gia;
c) Thứ tự ưu tiên của các phụ tải;
d) Các biện pháp giảm thiểu ảnh hưởng đến Khách hàng sử dụng điện có cùng thứ tự ưu tiên cấp điện.
2. Phương án sa thải phụ tải phải bao gồm các mức công suất, thứ tự thực hiện và thời gian sa thải phụ tải.
3. Trước 16h00 thứ Năm hàng tuần, Đơn vị phân phối điện có trách nhiệm công bố phương án sa thải phụ tải cho 02 tuần tiếp theo trên trang thông tin điện tử của đơn vị.
Điều 82. Các biện pháp sa thải phụ tải
1. [43] Sa thải phụ tải tự động là sa thải do rơ le tần số, điện áp và mức công suất tác động để cắt có chọn lọc phụ tải nhằm giữ hệ thống điện vận hành trong giới hạn cho phép, tránh mất điện trên diện rộng.
2. Sa thải phụ tải theo lệnh là sa thải theo yêu cầu của Cấp điều độ có quyền điều khiển trong trường hợp thiếu nguồn hoặc có sự cố trên hệ thống điện để đảm bảo an ninh cung cấp điện.
Điều 83. Thực hiện sa thải phụ tải
1. Đơn vị phân phối điện phải thực hiện sa thải phụ tải theo phương án sa thải phụ tải đã được xây dựng và công bố.
2. Trường hợp sa thải phụ tải theo lệnh của Cấp điều độ có quyền điều khiển hoặc để bảo vệ lưới điện phân phối, Đơn vị phân phối điện, Đơn vị phân phối và bán lẻ điện phải thông báo cho Khách hàng sử dụng điện theo quy định tại Quy định điều kiện, trình tự ngừng, giảm mức cung cấp điện do Bộ Công Thương ban hành.
3. Sau khi sa thải phụ tải tự động hoặc sa thải phụ tải theo lệnh của Cấp điều độ có quyền điều khiển, Đơn vị phân phối điện có trách nhiệm:
a) Thông báo cho Cấp điều độ có quyền điều khiển về công suất, thời gian, khu vực phụ tải bị sa thải và các mức sa thải phụ tải theo giá trị cài đặt tác động của rơ le tần số;
b) Khôi phục phụ tải bị sa thải khi có lệnh của Cấp điều độ có quyền điều khiển.
4. Trường hợp phụ tải thuộc phạm vi quản lý của khách hàng bị sa thải phụ tải tự động, hoặc sa thải theo lệnh của Cấp điều độ có quyền điều khiển, Khách hàng sử dụng lưới điện phân phối có trách nhiệm:
a) Thông báo cho Cấp điều độ có quyền điều khiển và Đơn vị phân phối điện về công suất, thời gian, khu vực phụ tải bị sa thải và các mức sa thải phụ tải theo giá trị cài đặt tác động của rơ le tần số;
b) Khôi phục phụ tải bị sa thải khi có lệnh của Cấp điều độ có quyền điều khiển.
Điều 84. Thực hiện điều chỉnh điện áp
1. Cấp điều độ có quyền điều khiển và Đơn vị phân phối điện có trách nhiệm tính toán và điều chỉnh điện áp tại các nút trên lưới điện phân phối phù hợp với quy định tại Quy định quy trình điều độ hệ thống điện quốc gia do Bộ Công Thương ban hành.
2. Khách hàng sử dụng lưới điện phân phối có trách nhiệm phối hợp với Cấp điều độ có quyền điều khiển và Đơn vị phân phối điện để duy trì điện áp trên hệ thống điện phân phối thông qua các biện pháp điều khiển công suất phản kháng và điều chỉnh nấc phân áp của máy biến áp.
Điều 85. Giám sát và điều khiển từ xa
1. Thực hiện điều khiển, thao tác xa thiết bị tại trạm điện và nhà máy điện phải tuân thủ Quy trình điều độ hệ thống điện quốc gia, Quy trình thao tác trong hệ thống điện quốc gia do Bộ Công Thương ban hành và quy định tại Thông tư này.
2. Trường hợp Đơn vị phân phối điện hoặc Cấp điều độ có quyền điều khiển có yêu cầu giám sát, điều khiển và thao tác xa trạm điện hoặc nhà máy điện của Khách hàng sử dụng lưới điện phân phối có trạm điện riêng, Đơn vị phân phối điện hoặc Cấp điều độ có quyền điều khiển phải thỏa thuận, thống nhất với khách hàng sử dụng lưới điện phân phối có trạm điện riêng về phương thức giám sát và điều khiển thiết bị của khách hàng. Đơn vị phân phối điện hoặc Cấp điều độ có quyền điều khiển có trách nhiệm trang bị hệ thống điều khiển và các thiết bị tích hợp cần thiết để thu thập thông tin, giám sát, điều khiển hệ thống lưới điện của Khách hàng sử dụng lưới điện phân phối có trạm điện riêng khi hai bên có thỏa thuận thống nhất, bao gồm cả phần điều khiển máy cắt theo phân cấp quyền điều khiển hệ thống máy cắt trong phạm vi lưới điện của khách hàng.
3. Khách hàng sử dụng lưới điện phân phối có trạm điện riêng có trách nhiệm phối hợp với Đơn vị phân phối điện và Cấp điều độ có quyền điều khiển trong việc lắp đặt, vận hành hệ thống điều khiển và giám sát từ xa trong phạm vi quản lý.
Mục 6. TRAO ĐỔI THÔNG TIN TRONG VẬN HÀNH VÀ CHẾ ĐỘ BÁO CÁO
Điều 86. Hình thức trao đổi thông tin
1. Đơn vị phân phối điện, Khách hàng lớn sử dụng lưới điện phân phối và Đơn vị phân phối và bán lẻ điện phải thoả thuận thống nhất hình thức trao đổi thông tin để đảm bảo việc liên lạc phục vụ vận hành được liên tục và thông suốt 24/24 giờ.
2. Đơn vị phân phối điện và Khách hàng lớn sử dụng lưới điện phân phối và Đơn vị phân phối và bán lẻ điện phải chỉ định cán bộ phụ trách liên lạc vận hành, trao đổi danh sách cán bộ phụ trách liên lạc và nhân viên vận hành.
3. Hình thức trao đổi thông tin giữa Đơn vị phân phối điện, Khách hàng lớn sử dụng lưới điện phân phối và Đơn vị phân phối và bán lẻ điện với Cấp điều độ có quyền điều khiển phải tuân theo Quy trình điều độ hệ thống điện quốc gia do Bộ Công Thương ban hành.
Điều 87. Trao đổi thông tin trong vận hành
1. Đơn vị phân phối điện và Cấp điều độ có quyền điều khiển có trách nhiệm thông báo cho Khách hàng lớn sử dụng lưới điện phân phối khi chế độ vận hành lưới điện phân phối có thể ảnh hưởng tới chế độ vận hành lưới điện hoặc tổ máy phát điện của khách hàng, bao gồm các thông tin sau đây:
a) Chế độ vận hành hệ thống điện phân phối và những ảnh hưởng có thể xảy ra cho lưới điện hoặc tổ máy phát điện của khách hàng;
b) Nguyên nhân gây ra ảnh hưởng tới lưới điện hoặc tổ máy phát điện của khách hàng và các giải pháp khắc phục cần thiết.
2. Khách hàng lớn sử dụng lưới điện phân phối có trách nhiệm thông báo ngay cho Đơn vị phân phối điện và Cấp điều độ có quyền điều khiển khi nhận thấy chế độ vận hành lưới điện hoặc các tổ máy phát điện của mình có thể ảnh hưởng đến lưới điện phân phối, bao gồm các thông tin sau đây:
a) Nguyên nhân gây ra sự thay đổi chế độ vận hành lưới điện hoặc tổ máy phát điện của khách hàng;
b) Những ảnh hưởng có thể xảy ra cho lưới điện phân phối.
Điều 88. Thông báo các tình huống bất thường
1. Tình huống bất thường là tình huống hệ thống điện phân phối bị sự cố, đe doạ sự cố hoặc các thông số vận hành nằm ngoài dải cho phép.
2. Khi xuất hiện tình huống bất thường trên hệ thống điện phân phối, Đơn vị phân phối điện có trách nhiệm:
a) Thông báo ngay cho Khách hàng lớn sử dụng lưới điện phân phối có thể bị ảnh hưởng;
b) Bổ sung, làm rõ thông tin đã cung cấp cho các Khách hàng lớn sử dụng lưới điện phân phối sở hữu nhà máy điện khi có yêu cầu.
3. Khách hàng lớn sử dụng lưới điện phân phối có trách nhiệm thông báo ngay cho Đơn vị phân phối điện khi có tình huống bất thường trên lưới điện trong phạm vi quản lý gây ảnh hưởng đến hệ thống điện phân phối.
Điều 89. Thông báo về sự cố nghiêm trọng
1. Sự cố nghiêm trọng là các sự cố dẫn đến đường dây hoặc trạm biến áp phân phối cấp điện áp 110 kV bị tách ra khỏi vận hành gây mất điện trên diện rộng trong hệ thống điện phân phối.
2. Đơn vị phân phối điện, Khách hàng lớn sử dụng lưới điện phân phối có trách nhiệm thông báo thông tin sự cố trên lưới điện của mình khi xảy ra sự cố nghiêm trọng trên lưới điện theo Quy trình xử lý sự cố hệ thống điện quốc gia do Bộ Công Thương ban hành.
3. Thông báo về sự cố nghiêm trọng bao gồm các nội dung chính sau đây:
a) Ngày giờ xảy ra sự cố;
b) Khoảng thời gian tồn tại sự cố;
c) Địa điểm xảy ra sự cố và khu vực bị ảnh hưởng;
d) Thiết bị bị sự cố;
đ) Mô tả ngắn gọn sự cố;
e) Nguyên nhân gây ra sự cố (nếu có);
g) Thời gian dự kiến khắc phục sự cố;
h) Các biện pháp sa thải phụ tải đã được thực hiện (nếu có).
4. Đơn vị phân phối điện hoặc Khách hàng lớn sử dụng lưới điện phân phối có trách nhiệm bổ sung, làm rõ các nội dung trong thông báo sự cố nghiêm trọng khi có yêu cầu.
Mục 7. PHỐI HỢP VẬN HÀNH
Điều 90. Trách nhiệm chung trong phối hợp vận hành
1. Đơn vị phân phối điện và Khách hàng sử dụng lưới điện phân phối phải thống nhất về trách nhiệm, phạm vi điều khiển vận hành đối với thiết bị trên lưới điện phân phối liên quan giữa hai bên; cử người có trách nhiệm trong việc phối hợp vận hành an toàn lưới điện và thiết bị.
2. Đơn vị phân phối điện và Khách hàng sử dụng lưới điện phân phối phải phối hợp, thiết lập và duy trì thực hiện các biện pháp an toàn cần thiết khi tiến hành công tác hoặc thử nghiệm trong phạm vi quản lý của mình.
3. Đơn vị phân phối điện và Khách hàng sử dụng lưới điện phân phối phải xây dựng quy trình phối hợp vận hành để đảm bảo an toàn cho người và thiết bị trong công tác vận hành, thí nghiệm, bao gồm các nội dung sau:
a) Nguyên tắc và các thủ tục phối hợp vận hành;
b) Trách nhiệm và quyền hạn trong việc điều khiển, vận hành và thí nghiệm trên lưới điện phân phối trong phạm vi quản lý.
4. Đơn vị phân phối điện và Khách hàng sử dụng lưới điện phân phối có trách nhiệm thống nhất về việc phối hợp vận hành và lưu trữ, quản lý, cập nhật, trao đổi các tài liệu liên quan.
Điều 91. Phối hợp thực hiện vận hành
1. Khi thực hiện công tác, thao tác trên lưới điện, Đơn vị phân phối điện và Khách hàng sử dụng lưới điện phân phối phải tuân thủ quy định phối hợp vận hành an toàn và các quy định điều độ, vận hành an toàn khác có liên quan.
2. Đơn vị phân phối điện và Khách hàng sử dụng lưới điện phân phối có trách nhiệm phối hợp lắp đặt các biển báo, thiết bị cảnh báo và hướng dẫn an toàn, cung cấp các phương tiện phục vụ công tác phù hợp tại vị trí công tác để đảm bảo công tác an toàn.
3. Việc kiểm tra, giám sát và điều khiển thiết bị đấu nối tại ranh giới phân định tài sản phải do người được Đơn vị phân phối điện và Khách hàng sử dụng lưới điện phân phối chỉ định thực hiện.
Mục 8. THÍ NGHIỆM TRÊN HỆ THỐNG ĐIỆN PHÂN PHỐI
Điều 92. [44] (được bãi bỏ)
Điều 93. [45] (được bãi bỏ)
Điều 94. [46] (được bãi bỏ)
Điều 95. [47] (được bãi bỏ)
Điều 96. [48] (được bãi bỏ)
Điều 97. [49] (được bãi bỏ)
Điều 98. [50] (được bãi bỏ)
Mục 9. BÁO CÁO KẾT QUẢ VẬN HÀNH HỆ THỐNG ĐIỆN PHÂN PHỐI
Điều 99. Chế độ báo cáo
1. Báo cáo định kỳ hàng tháng
Trước ngày 10 hàng tháng, Tổng công ty Điện lực có trách nhiệm báo cáo Cục Điều tiết điện lực tình hình thực hiện, kết quả vận hành hệ thống điện phân phối của tháng trước đó bao gồm những nội dung sau:
a) Tình hình thực hiện các yêu cầu trong vận hành hệ thống điện phân phối quy định tại Chương II Thông tư này gồm:
- Yêu cầu kỹ thuật;
- Độ tin cậy cung cấp điện;
- Tổn thất điện năng;
- Chất lượng dịch vụ khách hàng.
b) Tình hình vận hành của lưới điện phân phối thuộc phạm vi quản lý: Tăng trưởng, diễn biến, dự báo phụ tải; tình hình quá tải, sự cố thiết bị và nguyên nhân xảy ra sự cố; tình hình kết nối tín hiệu SCADA, các vấn đề còn tồn tại, phát sinh trong quá trình vận hành lưới điện phân phối;
c) Đề xuất các biện pháp về vận hành, quản lý để đảm bảo vận hành lưới điện phân phối an toàn, tin cậy, nâng cao chất lượng cung cấp điện và chất lượng dịch vụ khách hàng.
2. Báo cáo định kỳ hàng năm
Trước ngày 31 tháng 01 hàng năm, Tổng công ty Điện lực có trách nhiệm báo cáo Cục Điều tiết điện lực tình hình thực hiện, kết quả vận hành hệ thống điện phân phối, bao gồm những nội dung sau:
a) Tình hình thực hiện, kết quả vận hành hệ thống điện phân phối của năm trước đó bao gồm các nội dung quy định tại Khoản 1 Điều này;
b) Kế hoạch, giải pháp về đầu tư, quản lý, vận hành, để đảm bảo vận hành lưới điện an toàn, tin cậy, nâng cao chất lượng cung cấp điện và chất lượng dịch vụ khách hàng.
3. Báo cáo đột xuất
a) Đơn vị phân phối điện có trách nhiệm báo cáo về các sự cố nghiêm trọng và ảnh hưởng do ngừng giảm cung cấp điện tới Khách hàng sử dụng điện và các Đơn vị phân phối và bán lẻ điện mua điện của Đơn vị phân phối điện bằng văn bản cho Cục Điều tiết điện lực, Sở Công Thương theo Quy định điều kiện trình tự ngừng, giảm mức cung cấp điện do Bộ Công Thương ban hành;
b) Đơn vị phân phối điện có trách nhiệm báo cáo đột xuất tình hình vận hành hệ thống điện phân phối theo yêu cầu của Cục Điều tiết điện lực, Sở Công Thương, Tập đoàn Điện lực Việt Nam, Đơn vị điều độ hệ thống điện quốc gia.
4. [51] Tổng công ty Điện lực và Đơn vị phân phối điện có trách nhiệm báo cáo theo quy định tại Khoản 1, Khoản 2 và Khoản 3 Điều này bằng văn bản theo đường văn thư và thư điện tử (email).
Chương VII. TỔ CHỨC THỰC HIỆN
Điều 100. Tổ chức thực hiện
1. Cục Điều tiết điện lực có trách nhiệm phổ biến, hướng dẫn và kiểm tra việc thực hiện Thông tư này.
2. Trường hợp cần thiết, Cục Điều tiết điện lực có trách nhiệm tổ chức xây dựng và ban hành Quy trình hướng dẫn chi tiết về yêu cầu kỹ thuật đối với hệ thống điện mặt trời, hệ thống điện gió đấu nối vào lưới điện phân phối phù hợp với các quy định tại Thông tư này.
2a. [52] Sở Công Thương các tỉnh, thành phố trực thuộc Trung ương có trách nhiệm kiểm tra, giám sát việc tuân thủ các quy định của Thông tư này trong phạm vi địa bàn quản lý.
3. Tập đoàn Điện lực Việt Nam có trách nhiệm chỉ đạo các đơn vị thành viên thực hiện Thông tư này.
4. Đơn vị phân phối điện và Khách hàng sử dụng lưới điện phân phối có trách nhiệm xây dựng kế hoạch để đầu tư, nâng cấp và cải tạo lưới điện, thiết bị điện trong phạm vi quản lý đảm bảo đáp ứng các yêu cầu kỹ thuật quy định tại Thông tư này.
5. Trong quá trình thực hiện, nếu xảy ra tranh chấp giữa các đơn vị liên quan đến việc thực hiện Thông tư này, các đơn vị có quyền trình vụ việc lên Cục Điều tiết điện lực để giải quyết theo quy định về trình tự, thủ tục giải quyết tranh chấp trong hoạt động điện lực do Bộ Công Thương ban hành.
Điều 101. [53] (được bãi bỏ)
Điều 102. Hiệu lực thi hành [54]
1. Thông tư này có hiệu lực kể từ ngày 18 tháng 01 năm 2016. Thông tư số 32/2010/TT-BCT ngày 30 tháng 7 năm 2010 của Bộ trưởng Bộ Công Thương quy định hệ thống điện phân phối hết hiệu lực từ ngày Thông tư này có hiệu lực.
2. Trường hợp đã có hợp đồng mua sắm, lắp đặt thiết bị được ký trước ngày 15 tháng 9 năm 2010 mà có nội dung khác với quy định tại Thông tư này, Đơn vị phân phối điện và Khách hàng sử dụng lưới điện phân phối được tiếp tục thực hiện theo hợp đồng đã ký.
3. Trong quá trình thực hiện Thông tư này, nếu có vấn đề vướng mắc, yêu cầu các đơn vị có liên quan phản ánh trực tiếp về Cục Điều tiết điện lực để xem xét, giải quyết theo thẩm quyền hoặc báo cáo Bộ Công Thương để giải quyết./.
| BỘ CÔNG THƯƠNG Nơi nhận: | XÁC THỰC VĂN BẢN HỢP NHẤT KT. BỘ TRƯỞNG |
PHỤ LỤC 1
DANH MỤC ĐƯỜNG DÂY VÀ TRẠM BIẾN ÁP XÂY DỰNG MỚI/CẢI TẠO CHO NĂM TỚI VÀ 02 NĂM TIẾP THEO
(Ban hành kèm theo Thông tư số 39 /2015/TT-BCT ngày 18 tháng 11 năm 2015 của Bộ trưởng Bộ Công Thương Quy định hệ thống điện phân phối)
Bảng 1.1. Danh mục các đường dây xây dựng mới và cải tạo
| TT | Danh mục | Tiết diện | Quy mô | Thời điểm vận hành | Ghi chú | ||
|---|---|---|---|---|---|---|---|
| Hiện có | Xây dựng mới hoặc sau cải tạo | Số mạch | Chiều dài (km) | ||||
| I | Cấp điện áp 110kV |
|
|
|
|
|
|
| 1 | Đường dây xây dựng mới |
|
|
|
|
|
|
|
|
|
|
|
|
|
|
|
| 2 | Đường dây cải tạo |
|
|
|
|
|
|
|
|
|
|
|
|
|
|
|
| II | Cấp điện áp 35kV |
|
|
|
|
|
|
| 1 | Đường dây xây dựng mới |
|
|
|
|
|
|
|
|
|
|
|
|
|
|
|
| 2 | Đường dây cải tạo |
|
|
|
|
|
|
|
|
|
|
|
|
|
|
|
| III | Cấp điện áp 22kV |
|
|
|
|
|
|
| 1 | Đường dây xây dựng mới |
|
|
|
|
|
|
|
|
|
|
|
|
|
|
|
| 2 | Đường dây cải tạo |
|
|
|
|
|
|
|
|
|
|
|
|
|
|
|
| IV | Cấp điện áp 15kV, 10kV, 6kV |
|
|
|
|
|
|
| 1 | Đường dây xây dựng mới |
|
|
|
|
|
|
|
|
|
|
|
|
|
|
|
| 2 | Đường dây cải tạo |
|
|
|
|
|
|
|
|
|
|
|
|
|
|
|
Bảng 1.2. Danh mục các Trạm biến áp xây dựng mới và cải tạo
| TT | Danh mục trạm | Máy | Hiện có | Năm tới | Ghi chú | ||
|---|---|---|---|---|---|---|---|
| Quy mô (MVA) | Điện áp (kV) | Quy mô (MVA) | Điện áp (kV) | ||||
| I | Cấp điện áp 110kV |
|
|
|
|
|
|
| 1 | Trạm biến áp xây dựng mới |
|
|
|
|
|
|
|
|
|
|
|
|
|
|
|
| 2 | Trạm biến áp nâng cấp, cải tạo |
|
|
|
|
|
|
|
|
|
|
|
|
|
|
|
| II | Cấp điện áp 35kV |
|
|
|
|
|
|
| 1 | Trạm biến áp xây dựng mới |
|
|
|
|
|
|
|
|
|
|
|
|
|
|
|
| 2 | Trạm biến áp nâng cấp, cải tạo |
|
|
|
|
|
|
|
|
|
|
|
|
|
|
|
| III | Cấp điện áp 22kV |
|
|
|
|
|
|
| 1 | Trạm biến áp xây dựng mới |
|
|
|
|
|
|
|
|
|
|
|
|
|
|
|
| 2 | Trạm biến áp nâng cấp, cải tạo |
|
|
|
|
|
|
|
|
|
|
|
|
|
|
|
| IV | Cấp điện áp 15kV, 10kV, 6kV |
|
|
|
|
|
|
| 1 | Trạm biến áp xây dựng mới |
|
|
|
|
|
|
|
|
|
|
|
|
|
|
|
| 2 | Trạm biến áp nâng cấp, cải tạo |
|
|
|
|
|
|
Bảng 1.3. Danh mục các công trình hạ thế xây dựng mới, cải tạo
| TT | Hạng mục | Hiện có | Năm tới | Ghi chú | |
|---|---|---|---|---|---|
| Lắp mới | Cải tạo | ||||
| I | Đường dây (km) |
|
|
|
|
| II | Công tơ 1 pha (cái) |
|
|
|
|
| III | Công tơ 3 pha (cái) |
|
|
|
|
PHỤ LỤC 2A
THÔNG TIN ĐĂNG KÝ ĐẤU NỐI VÀO LƯỚI ĐIỆN HẠ ÁP 03 PHA
(Ban hành kèm theo Thông tư số 39 /2015/TT-BCT ngày 18 tháng 11 năm 2015 của Bộ trưởng Bộ Công Thương Quy định hệ thống điện phân phối)
I. THÔNG TIN KHÁCH HÀNG
1. Tên khách hàng/người được ủy quyền:
2. Số chứng minh nhân dân/hộ chiếu:
3. Hộ khẩu thường trú:
4. Địa chỉ sử dụng điện:
5. Thông tin liên lạc: Điện thoại....................., Fax…............, Email..................
II. THÔNG TIN ĐỀ NGHỊ ĐẤU NỐI
1. Loại đấu nối yêu cầu (đấu nối mới/thay đổi đấu nối):
2. Đăng ký sử dụng điện năm hiện tại và 03 năm tiếp theo:
| Đăng ký sử dụng điện | Năm hiện tại | Năm thứ 1 | Năm thứ 2 | Năm thứ 3 | Ghi chú |
| Công suất lớn nhất (kW) |
|
|
|
|
|
| Sản lượng điện trung bình năm (kWh) |
|
|
|
|
|
3. Loại phụ tải chính (máy hàn, xay xát, chiếu sáng…):
4. Hệ số công suất dự kiến:
5. Mục đích sử dụng điện (phục vụ sinh hoạt, sản xuất, kinh doanh…):
6. Yêu cầu đặc biệt cho thiết bị (nếu có):
7. Thời gian cần sử dụng điện:
PHỤ LỤC 2B
THÔNG TIN ĐĂNG KÝ ĐẤU NỐI CHO KHÁCH HÀNG SỬ DỤNG ĐIỆN ĐẤU NỐI VÀO LƯỚI ĐIỆN TRUNG ÁP
(Ban hành kèm theo Thông tư số 39 /2015/TT-BCT ngày 18 tháng 11 năm 2015 của Bộ trưởng Bộ Công Thương Quy định hệ thống điện phân phối)
I. THÔNG TIN CHUNG
1. Thông tin khách hàng có nhu cầu đấu nối
a) Họ và tên khách hàng có nhu cầu đấu nối:
b) Có trụ sở đăng ký tại:
c) Người đại diện/Người được ủy quyền:
d) Chức danh:
đ) Số chứng minh nhân dân/Hộ chiếu:
e) Địa chỉ liên lạc: Điện thoại: ; Fax: ; Email:
2. Hồ sơ pháp lý
Các tài liệu về tư cách pháp nhân theo quy định của pháp luật.
3. Mô tả dự án
a) Đề nghị đấu nối: (mô tả nhu cầu đấu nối)
b) Tên dự án:
c) Địa điểm xây dựng:
d) Lĩnh vực hoạt động/loại hình sản xuất:
đ) Ngày dự kiến đóng điện điểm đấu nối:
e) Cấp điện áp dự kiến đấu nối:
II. THÔNG TIN VỀ NHU CẦU SỬ DỤNG ĐIỆN
1. Số liệu về điện năng và công suất định mức
| Công suất sử dụng lớn nhất: | (kW) |
| Điện năng tiêu thụ/ngày/tháng/năm: | (kWh) |
2. Số liệu dự báo nhu cầu điện tại điểm đấu nối
| Đăng ký sử dụng điện | Năm hiện tại | Năm thứ 2 | Năm thứ 3 | Năm thứ 4 | Năm thứ 5 |
| Công suất lớn nhất (kW) |
|
|
|
|
|
| Sản lượng điện trung bình năm (kWh) |
|
|
|
|
|
- Khách hàng phải cung cấp các thông tin về tổng công suất lắp đặt của các thiết bị điện, chế độ tiêu thụ điện (ca, ngày làm việc và ngày nghỉ).
- Đối với khách hàng sử dụng điện sản xuất, kinh doanh, dịch vụ có công suất sử dụng cực đại từ 40 kW trở lên, khách hàng phải cung cấp các thông tin về Biểu đồ phụ tải ngày điển hình của năm vào vận hành (hoặc năm dự kiến thay đổi đấu nối hiện có) và 04 năm tiếp theo.
3. Yêu cầu về mức độ dự phòng
Đối với Khách hàng sử dụng điện nhận điện trực tiếp từ lưới điện phân phối là khách hàng quan trọng theo danh mục được UBND cấp tỉnh phê duyệt có nhu cầu nhận điện từ hai nguồn trở lên cần nêu rõ nguồn dự phòng và công suất dự phòng yêu cầu.
4. Đặc tính phụ tải và các yêu cầu khác (nếu có)
Chi tiết về đặc điểm dây chuyền công nghệ các thành phần phụ tải của Khách hàng sử dụng điện nhận điện trực tiếp từ lưới điện phân phối, trong đó đặc biệt lưu ý cung cấp thông tin về các phụ tải có thể gây ra dao động quá 5% tổng công suất của Khách hàng sử dụng điện nhận điện trực tiếp từ lưới điện phân phối tại điểm đấu nối và mức gây nhấp nháy điện áp của các phụ tải đó.
PHỤ LỤC 2C
THÔNG TIN ĐĂNG KÝ ĐẤU NỐI CHO KHÁCH HÀNG SỬ DỤNG ĐIỆN ĐẤU NỐI VÀO LƯỚI ĐIỆN 110 kV
(Ban hành kèm theo Thông tư số 39 /2015/TT-BCT ngày 18 tháng 11 năm 2015 của Bộ trưởng Bộ Công Thương Quy định hệ thống điện phân phối)
I. THÔNG TIN CHUNG
1. Thông tin khách hàng có nhu cầu đấu nối
a) Họ và tên khách hàng có nhu cầu đấu nối:
b) Có trụ sở đăng ký tại:
c) Người đại diện:
d) Chức danh:
đ) Số chứng minh nhân dân/Hộ chiếu:
e) Địa chỉ liên lạc: Điện thoại: ; Fax: ; Email:
2. Hồ sơ pháp lý
Các tài liệu về tư cách pháp nhân theo quy định của pháp luật.
3. Mô tả dự án
a) Đề nghị đấu nối: (mô tả nhu cầu đấu nối)
b) Tên dự án:
c) Địa điểm xây dựng:
d) Lĩnh vực hoạt động/loại hình sản xuất:
đ) Ngày dự kiến đưa vào vận hành:
e) Cấp điện áp dự kiến đấu nối:
II. THÔNG TIN VỀ NHU CẦU SỬ DỤNG ĐIỆN
1. Số liệu về điện năng và công suất
| Công suất tác dụng lớn nhất: | (MW) |
| Công suất phản kháng: | (MVAr) |
| Điện năng tiêu thụ/ngày/tháng/năm: | (kWh) |
2. Số liệu dự báo nhu cầu điện tại điểm đấu nối
- Khách hàng phải cung cấp các thông tin về nhu cầu phụ tải điện tại điểm đấu nối bao gồm công suất cực đại, điện năng và Biểu đồ phụ tải ngày điển hình của năm vào vận hành (hoặc năm dự kiến thay đổi đấu nối hiện có) và 04 năm tiếp theo, trong đó bao gồm các số liệu sau:
+ Công suất tác dụng và công suất phản kháng nhận từ lưới điện phân phối;
+ Công suất tác dụng và công suất phản kháng tự phát (nếu có).
- Khách hàng phải cung cấp các thông tin về đặc điểm tiêu thụ điện của khách hàng bao gồm các số liệu liên quan tới tiêu thụ điện như sản lượng sản phẩm, suất tiêu hao điện cho một đơn vị sản phẩm, chế độ tiêu thụ điện (ca, ngày làm việc và ngày nghỉ), tổng công suất lắp đặt của thiết bị điện và công suất cực đại, hệ số công suất…
3. Số liệu kỹ thuật thiết bị, lưới điện của phụ tải điện tại điểm đấu nối
a) Sơ đồ điện
- Sơ đồ mặt bằng bố trí thiết bị;
- Sơ đồ nối điện chính, trong đó chỉ rõ:
+ Bố trí thanh cái;
+ Các mạch điện (đường dây trên không, cáp ngầm, máy biến áp...);
+ Bố trí pha;
+ Bố trí nối đất;
+ Các thiết bị đóng cắt;
+ Điện áp vận hành;
+ Phương thức bảo vệ;
+ Vị trí điểm đấu nối;
+ Bố trí thiết bị bù công suất phản kháng.
Sơ đồ này chỉ giới hạn ở trạm biến áp đấu vào điểm đấu nối và các thiết bị điện khác của Khách hàng đề nghị đấu nối có khả năng ảnh hưởng tới hệ thống điện phân phối, nêu rõ những phần dự kiến sẽ mở rộng hoặc thay đổi (nếu có) trong tương lai.
b) Các thiết bị điện
- Thiết bị đóng cắt (cầu dao, cách ly…) của các mạch điện liên quan tới điểm đấu nối:
+ Điện áp vận hành định mức;
+ Dòng điện định mức (A);
+ Dòng điện cắt ngắn mạch 03 pha định mức (kA);
+ Dòng điện cắt ngắn mạch 01 pha định mức (kA);
+ Dòng cắt tải 03 pha định mức (kA);
+ Dòng cắt tải 01 pha định mức (kA);
+ Dòng ngắn mạch 03 pha nặng nề nhất định mức (kA);
+ Dòng ngắn mạch 01 pha nặng nề nhất định mức (kA);
+ Mức cách điện cơ bản -BIL (kV).
- Máy biến áp:
+ Điện áp định mức và bố trí cuộn dây;
+ Công suất định mức MVA của mỗi cuộn dây;
+ Cuộn dây phân áp, kiểu điều áp (dưới tải hoặc không), vùng phân áp (số lượng đầu ra và kích cỡ bước phân áp);
+ Chu kỳ thời gian điều áp;
+ Bố trí nối đất (nối đất trực tiếp, không nối đất và nối đất qua cuộn kháng);
+ Đường cong bão hòa;
+ Điện trở và điện kháng thứ tự thuận của máy biến áp tại nấc phân áp danh định, nhỏ nhất, lớn nhất trên phần trăm công suất định mức MVA của máy biến áp. Với máy biến áp 03 cuộn dây, có cả 03 cuộn dây đấu nối bên ngoài, điện trở và điện kháng giữa mỗi cặp cuộn dây phải được tính toán với cuộn thứ 3 là mạch mở;
+ Điện trở và điện kháng thứ tự không của máy biến áp tại nấc phân áp danh định, thấp nhất và cao nhất (Ω);
+ Mức cách điện cơ bản (kV).
- Các thiết bị bù công suất phản kháng (Tụ/cuộn cảm):
+ Loại thiết bị (cố định hoặc thay đổi) điện dung và/hoặc tỷ lệ điện cảm hoặc vùng vận hành MVAr;
+ Điện trở/điện kháng, dòng điện nạp/phóng;
+ Với thiết bị tụ/cuộn cảm có thể điều khiển được, phải cung cấp chi tiết nguyên lý điều khiển, các số liệu điều khiển như điện áp, tải, đóng cắt hoặc tự động, thời gian vận hàng và các cài đặt khác.
- Máy biến điện áp (VT)/máy biến dòng (TI):
+ Tỷ số biến;
+ Giấy chứng nhận tuân thủ các yêu cầu kỹ thuật theo quy định của pháp luật về đo lường.
- Hệ thống bảo vệ và điều khiển:
+ Cấu hình hệ thống bảo vệ;
+ Giá trị cài đặt đề xuất;
+ Thời gian loại trừ sự cố của hệ thống bảo vệ chính và dự phòng;
+ Chu kỳ tự động đóng lại (nếu có);
+ Quản lý điều khiển và giao tiếp dữ liệu.
- Đường dây trên không và cáp điện liên quan tới điểm đấu nối:
+ Điện trở/điện kháng/điện dung;
+ Dòng điện tải định mức và dòng điện tải lớn nhất.
c) Các thông số liên quan đến ngắn mạch
- Dòng điện ngắn mạch 03 pha (xuất hiện tức thì tại điểm sự cố và sau sự cố thoáng qua) từ hệ thống điện của Khách hàng sử dụng lưới điện phân phối vào hệ thống điện phân phối tại điểm đấu nối;
- Giá trị điện trở và điện kháng thứ tự không của hệ thống điện của Khách hàng sử dụng lưới điện phân phối tính từ điểm đấu nối;
- Giá trị điện áp trước khi sự cố phù hợp với dòng sự cố lớn nhất;
- Giá trị điện trở và điện kháng thứ tự nghịch của của hệ thống điện của Khách hàng sử dụng lưới điện phân phối tính từ điểm đấu nối;
- Giá trị điện trở và điện kháng thứ tự không của mạch tương đương Pi của của hệ thống điện của Khách hàng sử dụng lưới điện phân phối.
d) Yêu cầu về mức độ dự phòng
Đối với Khách hàng sử dụng điện nhận điện trực tiếp từ lưới điện phân phối có nhu cầu nhận điện từ hai nguồn trở lên cần nêu rõ nguồn dự phòng và công suất dự phòng yêu cầu (MW và MVAr).
4. Đặc tính phụ tải và các yêu cầu khác có liên quan tới phụ tải điện.
Yêu cầu Khách hàng sử dụng điện nhận điện trực tiếp từ lưới điện phân phối phải cung cấp các thông tin sau đây:
- Chi tiết về các thành phần phụ tải của Khách hàng sử dụng điện nhận điện trực tiếp từ lưới điện phân phối, trong đó đặc biệt lưu ý cung cấp thông tin về các phụ tải có thể gây ra dao động quá 05 % tổng công suất của Khách hàng sử dụng điện nhận điện trực tiếp từ lưới điện phân phối tại điểm đấu nối và mức gây nhấp nháy điện áp của các phụ tải đó.
- Các chi tiết sau đây về đặc tính phụ tải tại từng điểm đấu nối:
| Thông số | Đơn vị |
|---|---|
| Hệ số công suất trong chế độ nhận công suất phản kháng |
|
| Độ nhạy của phụ tải với điện áp | MW/kV, MVAr/kV |
| Độ nhạy của phụ tải với tần số | MW/Hz, MVAr/Hz |
| Dự kiến mức độ gây mất cân bằng pha cực đại và trung bình | % |
| Dự kiến mức độ gây sóng hài tối đa |
|
| Dự kiến mức độ gây nhấp nháy điện áp ngắn hạn và dài hạn |
|
| Tỷ lệ thay đổi tải bao gồm cả tăng lên và hạ xuống | kW/s và kVAr/s |
| Bước thời gian lặp lại ngắn nhất của độ dao động phụ tải | giây (s) |
| Độ lớn của bước thay đổi lớn nhất trong nhu cầu điện | kW và kVAr |
- Các yêu cầu khác có liên quan tới phụ tải điện.
PHỤ LỤC 2D
THÔNG TIN VỀ NHÀ MÁY ĐIỆN VÀ CÁC TỔ MÁY PHÁT ĐIỆN CỦA KHÁCH HÀNG CÓ ĐỀ NGHỊ ĐẤU NỐI
(ĐẤU NỐI VÀO LƯỚI ĐIỆN TRUNG ÁP TRỞ LÊN)
(Ban hành kèm theo Thông tư số 39 /2015/TT-BCT ngày 18 tháng 11 năm 2015 của Bộ trưởng Bộ Công Thương Quy định hệ thống điện phân phối)
Thông tin áp dụng cho các nhà máy điện, tổ máy phát điện của khách hàng lớn sử dụng lưới điện phân phối đề nghị đấu nối gồm:
1. Mô tả nhà máy
- Tên nhà máy;
- Địa điểm đặt;
- Loại nhà máy (thuỷ điện, nhiệt điện than, khí...);
- Số tổ máy, công suất định mức;
- Sản lượng điện dự kiến;
- Công suất dự kiến phát vào lưới;
- Thời gian dự kiến đưa vào vận hành;
- Cấp điện áp đề xuất tại điểm đấu nối.
2. Mạch điện
a) Sơ đồ mặt bằng bố trí thiết bị;
b) Sơ đồ nối điện chính, trong đó chỉ rõ:
- Bố trí thanh cái;
- Các mạch điện (đường dây trên không, cáp ngầm, máy biến áp...);
- Các tổ máy phát điện;
- Bố trí pha;
- Bố trí nối đất;
- Các thiết bị đóng cắt;
- Điện áp vận hành;
- Phương thức bảo vệ;
- Vị trí điểm đấu nối;
- Bố trí thiết bị bù công suất phản kháng.
Sơ đồ này chỉ giới hạn ở trạm biến áp đấu vào điểm đấu nối và các thiết bị điện khác của Khách hàng đề nghị đấu nối có khả năng ảnh hưởng tới phần lưới điện của Đơn vị phân phối điện, nêu rõ những phần dự kiến sẽ mở rộng hoặc thay đổi (nếu có) trong tương lai.
3. Đặc tính vận hành máy phát điện
Với mỗi loại tổ máy phát điện, cần phải cung cấp đầy đủ các thông tin sau:
- Số tổ máy phát điện;
- Công suất phát định mức MW;
- Công suất phát tổ máy định mức MVA;
- Công suất tác dụng tải tự dùng MW;
- Công suất phản kháng tải tự dùng MVAr;
- Điện áp đầu cực kV;
- Dải công suất tác dụng MW-MW;
- Công suất phản kháng phát tại mức công suất tác dụng định mức MVAr;
- Công suất phản kháng nhận tại mức công suất tác dụng định mức MVAr;
- Hệ số ngắn mạch;
- Dòng stator định mức (A);
- Dòng rotor định mức tại dòng đầu ra định mức (công suất tác dụng định mức, hệ số mang tải định mức, điện áp đầu cực định mức) và tốc độ rotor định mức (A);
- Điện áp rotor định mức (kV);
- Dải vận hành của tổ máy phát bao gồm giới hạn nhiệt và kích từ;
- Đồ thị từ hóa hở mạch;
- Đặc tính ngắn mạch;
- Đồ thị thành phần công suất không tải;
- Đồ thị điện áp;
- Thời gian đồng bộ từ trạng thái ấm (giờ);
- Thời gian đồng bộ từ trạng thái lạnh (giờ);
- Thời gian vận hành tối thiểu;
- Thời gian dừng tối thiểu;
- Tải bình thường định mức (MW/phút);
- Tách tải bình thường định mức (MW/phút);
- Loại nhiên liệu khởi động;
- Khả năng thay đổi nhiên liệu khi có tải;
- Các chế độ sẵn sàng;
- Thời gian thay đổi chế độ tải;
- Dải điều khiển cho hệ thống điều chỉnh tần số thứ cấp (SFRS) vận hành (MW);
- Các đặc tính vận hành liên quan khác;
- Cung cấp thông tin chi tiết về công suất dự phòng của máy phát trong các chế độ vận hành khác nhau.
Với các nhà máy nhiệt điện, ngoài các thông số yêu cầu ở trên phải cung cấp thêm sơ đồ khối chức năng của các thành phần chính của nhà máy, lò hơi, máy phát xoay chiều, các nguồn cung cấp nhiệt hoặc hơi.
4. Mô tả kỹ thuật của mỗi tổ máy phát điện
Các thông số và giá trị sau:
- Điện kháng đồng bộ dọc trục Xd;
- Điện kháng quá độ dọc trục X’d
- Điện kháng tiền quá độ chưa bão hòa dọc trục X’’d;
- Điện kháng đồng bộ ngang trục Xq;
- Điện kháng quá độ chưa bão hòa ngang trục X’q;
- Điện kháng tiền quá độ ngang trục X’’q;
- Điện kháng nghịch X2;
- Điện kháng thứ tự không Xo;
- Điện trở Stator Ra;
- Điện kháng khe hở stator XL;
- Điện kháng điểm Xp;
- Biểu tượng và giá trị hằng số thời gian máy điện;
- Trục thuận mở mạch quá độ Tdo’ (s);
- Trục thuận mở mạch tiền quá độ Tdo’’(s)
- Trục góc vuông mở mạch quá độ Tqo’ (s);
- Trục góc vuông mở mạch tiền quá độ Tqo’’(s)
- Trục thuận ngắn mạch quá độ Td’ (s);
- Trục thuận ngắn mạch tiền qúa độ Td’’ (s);
- Trục góc vuông ngắn mạch quá độ Tq’ (s);
- Trục góc vuông ngắn mạch tiền quá độ Tq’’ (s);
- Hằng số quán tính tuabin máy phát cho toàn bộ khối quay (MWsec/MVA);
5. Hệ thống kích từ
Dự kiến kiểu kích từ và thiết bị ổn định hệ thống điện (PSS) (nếu có), sơ đồ khối Laplace theo tiêu chuẩn IEEE (hoặc tiêu chuẩn tương đương được phép áp dụng) cùng các thông số và hàm truyền kèm theo.
6. Hệ thống điều tốc và ổn định
Dự kiến kiểu điều tốc, sơ đồ khối Laplace theo tiêu chuẩn IEEE (hoặc tiêu chuẩn tương đương được phép áp dụng) cùng các thông số và hàm truyền kèm theo.
7. Hệ thống bảo vệ và điều khiển
- Cung cấp thông tin về hệ thống bảo vệ rơ le của máy phát.
- Cung cấp thông tin về hệ thống tự động điều khiển của nhà máy và dự kiến phương thức ghép nối với hệ thống SCADA, thiết bị đầu cuối viễn thông của nhà máy và trạm biến áp của Khách hàng có đề nghị đấu nối.
8. Khởi động đen
Yêu cầu cung cấp các thông tin về hệ thống khởi động đen.
9. Ảnh hưởng tới môi trường
Yêu cầu cung cấp các thông tin liên quan tới phát thải khí nhà kính, bao gồm các thông tin sau:
a) Đối với các nhà máy nhiệt điện
- Khí CO2;
- Tấn CO2/tấn nhiên liệu;
- Hiệu suất giảm khí CO2;
- Khí SO2;
- Tấn SO2/tấn nhiên liệu;
- Hiệu suất giảm khí SO2;
- Khí NOx;
- Tấn NOx/đường cong xuất điện năng MWh.
b) Nhà máy điện tích năng
- Công suất dự trữ (MWH bơm);
- Công suất bơm lớn nhất (MW);
- Công suất bơm nhỏ nhất (MW);
- Công suất phát lớn nhất (MW);
- Công suất phát nhỏ nhất (MW);
- Hiệu suất (phát/bơm tỷ lệ %).
c) Trạm phát điện gió
- Loại turbine (cố định hay biến tốc);
- Chi tiết nhà sản xuất về đặc tính ký thuật và đặc tính vận hành với tham khảo riêng biệt về độ nhấp nháy và thể hiện sóng hài;
- Phương thức vận hành mùa của máy phát: mùa hay liên tục;
- Liệt kê mức xuất lớn nhất dự kiến phát vào lưới phân phối của Đơn vị phân phối điện cho mỗi tháng vận hành (MW);
- Đồ thị phát điện ngày điển hình của tháng với lượng phát lớn nhất;
- Dự kiến chi tiết sự biến đổi đầu ra thường xuyên hay nhanh, bao gồm độ lớn, tỷ lệ thay đổi lớn nhất, tần suất và quãng thời gian.
10. Dự báo tính sẵn sàng
- Yêu cầu bảo dưỡng dự kiến: …Tuần/năm;
- Khả năng sẵn sàng (lấy từ yêu cầu bảo dưỡng được lập lịch dự kiến);
- Khả năng sẵn sàng tỷ lệ công suất phát theo mùa MW;
- Khả năng sẵn sàng tuyệt đối;
- Khả năng sẵn sàng bộ phận;
- Xác xuất ngừng chạy ép buộc;
- Giới hạn điện năng;
- Phát điện ngày (GWh);
- Phát điện tuần (GWh);
- Phát điện tháng (GWh);
- Phát điện năm (GWh).
Đối với nhà máy thủy điện phải cung cấp thêm dữ liệu về công suất phát và điện năng dự kiến cho mỗi tháng của năm và các thông tin liên quan đến thủy văn, thủy năng, cụ thể như sau:
| A. NĂNG LƯỢNG SƠ CẤP - THUỶ NĂNG: |
|
|
| A.1. Các thông số hồ và điều tiết hồ chứa: | ||
| 1. Các số liệu về hồ chứa nước: |
|
|
| Dung tích hữu ích: | tỉ m3 |
|
| Dung tích toàn bộ hồ: | tỉ m3 |
|
| Dung tích chống lũ: | tỉ m3 |
|
| Mực nước dâng bình thường: | m |
|
| Mực nước chết: | m |
|
| Mực nước gia cường: | m |
|
| Dung tích dành cho điều tiết nhiều năm (nếu có): | tỉ m3 |
|
| Diện tích lòng hồ: | km2 |
|
| Chiều dài hồ ở mực nước dâng bình thường: | km |
|
| Chiều rộng trung bình hồ: | km |
|
| Chiều sâu trung bình hồ: | m |
|
| Đường đặc tính hồ chứa: | V = f(h) |
|
| 2. Điều tiết hồ chứa: |
|
|
| Kiểu điều tiết: | năm, nhiều năm, hỗn hợp | |
| Quy trình điều tiết hồ chứa tóm tắt: | (đặt trong 1 file văn bản) |
|
| Quy trình điều tiết hồ chứa đầy đủ: | (đặt trong 1 file văn bản) |
|
| Biểu đồ điều tiết hồ chứa: | theo tháng hay tuần |
|
| A.2. Các thông số về đập |
|
|
| 1. Cấu tạo đập chính (xả lũ): |
|
|
| Loại đập: | (chất liệu đất đá, bê tông...) | |
| Kiểu xả lũ: | (tự nhiên, dùng cửa xả) |
|
| Cao độ đỉnh đập: | m |
|
| Chiều cao mặt đập: | m |
|
| Chiều dài mặt đập: | m |
|
| Chiều dài đáy đập: | m |
|
| Cao độ trên của cánh phai xả lũ: | m |
|
| ( Sơ đồ nguyên lý cấu tạo đập) | (là 1 file ảnh) |
|
| 2. Cấu tạo đập phát điện: |
|
|
| Loại đập: | (chất liệu đất đá, bê tông..) | |
| Cao độ đỉnh đập: | m |
|
| Chiều cao mặt đập: | m |
|
| Chiều dài mặt đập: | m |
|
| Chiều dài đáy đập: | m |
|
| Cao độ trên của cửa nhận nước: | m |
|
| Cao độ dưới của cửa nhận nước: | m |
|
| ( Sơ đồ nguyên lý cấu tạo đập) | (là 1 file ảnh) |
|
| 3. Phía thượng lưu: |
|
|
| Mực nước dâng bình thường: | m |
|
| Mực nước chết: | m |
|
| Mực nước gia cường: | m |
|
| Mực nước điều tiết nhiều năm (nếu có): | m |
|
| 4. Phía hạ lưu: |
|
|
| Mực nước khi dừng toàn bộ nhà máy: | m |
|
| Mực nước khi chạy công suất min: | m |
|
| Mực nước khi chạy công suất định mức: | m |
|
| Mực nước khi xả lưu lượng tần suất 0,01% | m |
|
| A.3. Các số liệu chính về thời tiết và thuỷ văn: |
|
|
| 1. Đặc điểm thời tiết khí hậu | (là 1 file văn bản) |
|
| 2. Các số liệu đặc trưng thuỷ văn |
|
|
| Diện tích lưu vực sông: | km2 |
|
| Tổng lượng dòng chảy trung bình nhiều năm: | m3 |
|
| Lưu lượng nước về trung bình năm: | m3/s |
|
| Bảng tổng hợp lưu lượng mước về trung bình tháng: | (là 1 file văn bản) |
|
| Lượng mưa trung bình hằng năm: | mm |
|
| Lưu lượng lũ: |
|
|
| Tần suất | Lưu lượng lũ tối đa (m3/s) | Lưu lượng trung bình ngày đêm (m3/s) |
| 10,00% |
|
|
| 1,00% |
|
|
| 0,10% |
|
|
| 0,01% |
|
|
|
|
|
|
| Bảng tần suất nước về và năng lượng theo thiết kế | ||
| Tần suất | Lưu lượng | Năng lượng |
| 25 % |
|
|
| 50 % |
|
|
| 65 % |
|
|
| 75 % |
|
|
| 90 % |
|
|
| Trung bình nhiều năm |
|
|
| A.4. Những lưu ý đặc biệt: |
|
|
| (là 1 file văn bản) |
|
|
| B. CƠ KHÍ THỦY LỰC |
|
|
| B.1. Các loại cánh phai (van) dùng cho công trình |
|
|
| 1. Hệ thống nhận nước: | (là 1 file văn bản) |
|
| 2. Hệ thống xả nước: | (là 1 file văn bản) |
|
| B.2 Tua bin nước |
|
|
| 1. Các thông số kỹ thuật |
|
|
| Kiểu | (francis ,pelton, hỗn hợp) | |
| Nước sản xuất |
|
|
| Mã hiệu |
|
|
| Công suất | MW |
|
| Dải công suất khả dụng ứng với cột nước tính toán | từ ....MW tới...MW |
|
| Cột nước tính toán | m |
|
| Cột nước tối đa | m |
|
| Cột nước tối thiểu | m |
|
| Lưu lượng nước qua tuabin khi tải định mức | m3/s |
|
| Tốc độ quay định mức | vòng/phút |
|
| Tốc độ quay lồng tốc | vòng/phút |
|
| Độ cao hút (HS) | m |
|
| Suất tiêu hao nước ở cột nước định mức | m3/kWh |
|
| 2. Cấu tạo của tua bin (phần này cho vào 1 file văn bản có cấu trúc giống như sau:) | ||
| Stator tuabin |
|
|
| Sec măng |
|
|
| - ổ đỡ |
|
|
| - ổ hướng |
|
|
| Buồng xoắn |
|
|
| Bánh xe công tác |
|
|
| Trục tuabin |
|
|
| Cánh hướng nước |
|
|
| Servomotor |
|
|
| Bộ điều chỉnh tốc độ của tua bin |
|
|
| 3. Hoạt động của tua bin |
|
|
| Diễn giải về sự hoạt động của tua bin (khởi động, bình thường, ngừng tuabin, ngừng bình thường, ngừng sự cố, chuyển bù…) | (là 1 file văn bản) |
|
| Đặc tính tuabin | P = f(delta h) |
|
| Đặc tính suất tiêu hao nước theo cột nước |
|
|
| 3. Các hệ thống, thiết bị phụ đi kèm | (là 1 file văn bản) |
|
| (Đưa ra dưới dạng văn bản, gồm có: Hệ thống khí nén cao - hạ áp, hệ thống dầu, hệ thống nước cứu hoả, hệ thống nước kỹ thuật làm mát....) | ||
11. Số liệu kỹ thuật của các thiết bị điện tại điểm đấu nối
a) Thiết bị đóng cắt: cầu dao, dao cách ly của các mạch đấu nối liên quan tới điểm đấu nối
- Điện áp vận hành định mức;
- Dòng điện định mức (A);
- Dòng cắt ngắn mạch 03 pha định mức (kA);
- Dòng cắt ngắn mạch 01 pha định mức (kA);
- Dòng cắt tải 03 pha định mức (kA);
- Dòng cắt tải 01 pha định mức (kA);
- Dòng ngắn mạch 03 pha nặng nề nhất định mức;
- Dòng ngắn mạch 01 pha nặng nề nhất định mức;
- Mức cách điện cơ bản-BIL (kV).
b) Máy biến áp
- Điện áp định mức và bố trí cuộn dây;
- Công suất định mức MVA của mỗi cuộn dây;
- Cuộn dây phân áp, kiểu điều áp (dưới tải hoặc không), vùng điều áp (số lượng đầu ra và kích cỡ bước điều áp);
- Chu kỳ thời gian điều áp;
- Bố trí nối đất (nối đất trực tiếp, không nối đất, nối đất qua cuộn kháng);
- Đường cong bão hòa;
- Điện trở và điện kháng thứ tự thuận của máy biến áp tại nấc phân áp danh định, nhỏ nhất, lớn nhất (R+jX trên phần trăm công suất định mức MVA của máy biến áp). Cho máy biến áp 03 cuộn dây, cả 03 cuộn dây có đấu nối bên ngoài, điện trở và điện kháng giữa mỗi cặp cuộn dây phải được tính toán với cuộn thứ 3 là hở mạch;
- Điện trở và điện kháng thứ tự không của máy biến áp tại nấc phân áp danh định, thấp nhất và cao nhất (Ω);
- Mức cách điện cơ bản (kV).
c) Các thiết bị bù công suất phản kháng (Tụ/cuộn cảm)
- Loại thiết bị (cố định hoặc thay đổi) điện dung và/hoặc tỷ lệ điện cảm hoặc vùng vận hành MVAr;
- Điện trở/điện kháng, dòng điện nạp/phóng;
- Với thiết bị tụ/cuộn cảm có thể điều khiển được, phải cung cấp chi tiết nguyên lý điều khiển, các số liệu điều khiển như điện áp, tải, đóng cắt hoặc tự động, thời gian vận hàng và các cài đặt khác.
d) Máy biến điện áp (VT)/máy biến dòng (TI)
- Tỷ số biến;
- Giấy chứng nhận tuân thủ các yêu cầu kỹ thuật theo quy định của pháp luật về đo lường.
đ) Hệ thống bảo vệ và điều khiển
- Cấu hình hệ thống bảo vệ;
- Giá trị cài đặt đề xuất;
- Thời gian giải phóng sự cố của hệ thống bảo vệ chính và dự phòng;
- Chu ký tự động đóng lại (nếu có);
- Quản lý điều khiển và giao tiếp dữ liệu.
e) Đường dây và cáp phân phối liên quan tới điểm đấu nối
- Điện trở/điện kháng/điện dung;
- Dòng điện tải định mức và dòng điện tải lớn nhất.
12. Máy phát điện thuộc sở hữu của khách hàng đề nghị đấu nối
Đối với các máy phát điện thuộc quyền sở hữu của khách hàng phải cung cấp các thông tin dự báo phụ tải như sau:
- Dự báo nhu cầu phụ tải điện cực đại và cực tiểu;
- Các yêu cầu điện năng.
PHỤ LỤC 3
MẪU THỎA THUẬN ĐẤU NỐI
(Ban hành kèm theo Thông tư số 39 /2015/TT-BCT ngày 18 tháng 11 năm 2015 của Bộ Công Thương Quy định hệ thống điện phân phối)
CỘNG HÒA XÃ HỘI CHỦ NGHĨA VIỆT NAM
Độc lập - Tự do - Hạnh phúc
---------------
THỎA THUẬN ĐẤU NỐI
GIỮA (ĐƠN VỊ PHÂN PHỐI ĐIỆN) VÀ …( TÊN KHÁCH HÀNG ĐỀ NGHỊ ĐẤU NỐI)
Số:
- Căn cứ Thông tư số ……/……./TT-BCT ngày …tháng….năm ….. của Bộ trưởng Bộ Công Thương ban hành Quy định hệ thống điện phân phối;
- Căn cứ đơn đề nghị đấu nối ngày … tháng … năm ….. của [tên khách hàng đề nghị đấu nối] gửi [Đơn vị phân phối điện];
- Căn cứ hồ sơ đề nghị đấu nối của [tên khách hàng đề nghị đấu] gửi [Đơn vị phân phối điện] ngày … tháng … năm …. ;
- Căn cứ vào các biên bản làm việc và thỏa thuận sơ bộ phương án đấu nối ….;
- Căn cứ vào yêu cầu và khả năng cung cấp dịch vụ phân phối điện,
Hôm nay, ngày… tháng … năm … tại …, chúng tôi gồm:
Bên A: [Đơn vị phân phối điện]
Đại diện là: ...
Chức vụ: ....
Địa chỉ: ....
Điện thoại: ................................................; Fax: .................................
Tài khoản số: ...
Mã số thuế: ...
Bên B: [Tên khách hàng đề nghị đấu nối]
Đại diện là: ...
Chức vụ: ...
Địa chỉ: ...
Điện thoại: ;Fax: ……………………
Tài khoản số: ....
Mã số thuế: ...
Hai bên đồng ý ký kết Thỏa thuận đấu nối với các nội dung sau:
Điều 1. [Tên Đơn vị phân phối điện] thống nhất phương án đấu nối nhà máy điện [Tên nhà máy] của [tên khách hàng đề nghị đấu nối] vào lưới điện phân phối, cụ thể như sau:
1. Quy mô công trình
a) Điểm đầu: ...
b) Điểm cuối: ...
c) Đường dây:
- Cấp điện áp đấu nối: ...
- Dây dẫn: ...
- Số mạch: ...
- Chiều dài tuyến: ...
- Kết cấu: ...
- Chế độ vận hành: ...
đ) Trạm biến áp :
- Kiểu trạm:
- Công suất trạm:
2. Đo đếm điện năng
.........................................................................................................................
(Tuân thủ Quy định đo đếm điện năng trong hệ thống điện do Bộ Công thương ban hành)
3. Ranh giới đầu tư
............................................................................................................................................
4. Yêu cầu về giải pháp kỹ thuật
5. Các hồ sơ kèm theo
- Tài liệu đính kèm số 1: ......
- Tài liệu đính kèm số 2: ......
- Tài liệu đính kèm số 3: ......
- Tài liệu đính kèm số 4: ......
- Tài liệu đính kèm số 5: ......
(Các tài liệu đính kèm là một phần của Thỏa thuận đấu nối, hai bên đàm phán và thống nhất chi tiết cách thức và thời gian cung cấp các hồ sơ kèm theo).
Điều 2. Trách nhiệm của các bên
1. Trách nhiệm của Bên A
[Tên Đơn vị phân phối điện] có trách nhiệm đầu tư xây dựng lưới điện phân phối để kết nối với lưới điện của [tên khách hàng có nhu cầu đấu nối] theo đúng ranh giới đầu tư xây dựng quy định tại Khoản 3 Điều 1 Thỏa thuận đấu nối này.
2. Trách nhiệm của Bên B
a) [Tên Khách hàng có đề nghị đấu nối] có trách nhiệm đầu tư xây dựng lưới điện phân phối của mình để kết nối với lưới điện của [tên Đơn vị phân phối điện] theo đúng ranh giới đầu tư xây dựng quy định tại Khoản 3 Điều 1 Thỏa thuận đấu nối này.
b) [Tên khách hàng đề nghị đấu nối] cam kết quản lý, vận hành hệ thống điện/nhà máy điện của mình tuân thủ Thông tư số …/…./TT-BCT ngày…tháng…năm 2015 của Bộ trưởng Bộ Công Thương ban hành Quy định hệ thống điện phân phối và các quy định khác có liên quan.
............................................................................................................................................
Điều 3. Ngày đấu nối
Ngày đóng điện dự kiến là ……………(ngày, tháng, năm).
Điều 4. Chi phí kiểm tra và thí nghiệm bổ sung
Chi phí kiểm tra và thí nghiệm bổ sung trong trường hợp quy định tại khoản….Điều …Thông tư số …/.../TT-BCT ngày…tháng…năm 2015 của Bộ trưởng Bộ Công Thương ban hành Quy định hệ thống điện phân phối được hai bên thống nhất như sau:
1. ………..
2. ………..
Điều 5. Các thỏa thuận khác
1. Trong quá trình vận hành, khi có sự thay đổi hay sửa chữa liên quan tới điểm đấu nối hoặc thiết bị đấu nối, bên có thay đổi phải thông báo bằng văn bản và gửi các tài liệu kỹ thuật liên quan tới bên kia; soạn thảo Phụ lục Thỏa thuận đấu nối để cả hai bên ký làm tài liệu kèm theo Thoả thuận đấu nối này.
2. ………
3. ………
Điều 6. Tách đấu nối
1. Bên B có quyền đề nghị tách đấu nối tự nguyện trong các trường hợp cụ thể quy định tại Tài liệu đính kèm số 5 và phải tuân thủ các quy định có liên quan tại Quy định hệ thống điện phân phối do Bộ Công Thương ban hành.
2. Bên A có quyền tách đấu nối bắt buộc trong các trường hợp quy định tại Khoản 2 và Khoản 6 Điều 53 Thông tư số …/2015/TT-BCT ngày tháng năm 2015 do Bộ Công Thương ban hành Quy định hệ thống điện phân phối.
3. Các trường hợp khác: … (do hai bên thỏa thuận)
Điều 7. Hiệu lực thi hành
1. Thỏa thuận đấu nối này có hiệu lực kể từ ngày ký.
2. Thời hạn có hiệu lực của Thỏa thuận đấu nối:
3. Thỏa thuận đấu nối này được làm thành 05 bản có giá trị như nhau, mỗi bên giữ 02 bản và 01 bản gửi tới cấp điều độ có quyền điều khiển./.
| Đại diện Bên B
(Tên, chức danh) | Đại diện Bên A
(Tên, chức danh) |
[Tài liệu đính kèm số 1] Sơ đồ nguyên lý và sơ đồ bố trí thiết bị tại điểm đấu nối
(Kèm theo Thỏa thuận đấu nối số………)
[Tài liệu đính kèm số 2] Tài liệu quy định ranh giới cố định
(Kèm theo Thỏa thuận đấu nối số………)
Ngày……Tháng……..Năm………
Tên trạm biến áp hoặc lộ đấu nối:
Địa điểm:
Địa chỉ:
Số điện thoại:
Kĩ thuật viên vận hành lưới điện của Đơn vị phân phối điện (Tên, số ĐT):
Kĩ thuật viên vận hành lưới điện của khách hàng đề nghị đấu nối (Tên, số ĐT):
Điểm đấu nối:
Ranh giới sở hữu:
| Đại diện có thẩm quyền của khách hàng đề nghị đấu nối
(Ký và ghi rõ họ tên, đóng dấu) | Đại diện có thẩm quyền của Đơn vị phân phối điện
(Ký và ghi rõ họ tên, đóng dấu) |
[Tài liệu đính kèm số 3]: Danh sách thiết bị sở hữu cố định tại điểm đấu nối
I. Thiết bị chính (bao gồm lộ phân phối và trạm biến áp)
1. Số, tên của thiết bị:
2. Mô tả kỹ thuật chính:
3. Nhà đầu tư/chủ sở hữu:
4. Các thông tin cần thiết khác:
5. Nhận xét:
II. Thiết bị thứ cấp
1. Số tên thiết bị:
2. Mô tả kỹ thuật chính:
3. Nhà đầu tư/chủ sở hữu:
4. Các thông tin cần thiết khác:
5. Nhận xét:
III. Hệ thống đo đếm
1. Số/Tên thiết bị:
2. Mô tả kỹ thuật chính:
3. Nhà đầu tư/chủ sở hữu:
4. Các thông tin cần thiết khác:
5. Nhận xét:
IV. Các thiết bị khác
1. Số/tên thiết bị:
2. Thông số kỹ thuật chính:
3. Nhà đầu tư/chủ sở hữu:
4. Các thông tin cần thiết khác:
5. Nhận xét:
[Tài liệu đính kèm số 4] Mô tả kỹ thuật thiết bị điện liên quan tới điểm đấu nối của khách hàng có nhu cầu đấu nối
(Kèm theo Thỏa thuận đấu nối số………)
[Tài liệu đính kèm số 5] Yêu cầu ngừng đấu nối tạm thời hoặc vĩnh viễn của khách hàng sử dụng lưới điện phân phối
(Kèm theo Thỏa thuận đấu nối số………)
Mô tả các trường hợp Khách hàng sử dụng lưới điện phân phối đề xuất ngừng đấu nối tạm thời (có thời hạn) hoặc vĩnh viễn tới Đơn vị phân phối điện và các trách nhiệm của Khách hàng sử dụng lưới điện phân phối với từng trường hợp./.
[1] Thông tư số 30/2019/TT-BCT sửa đổi, bổ sung một số điều của Thông tư số 25/2016/TT-BCT ngày 30 tháng 11 năm 2016 của Bộ trưởng Bộ Công Thương quy định hệ thống điện truyền tải và Thông tư số 39/2015/TT-BCT ngày 18 tháng 11 năm 2015 của Bộ trưởng Bộ Công Thương quy định hệ thống điện phân phối có căn cứ ban hành như sau:
“Căn cứ Luật Điện lực ngày 03 tháng 12 năm 2004 và Luật sửa đổi, bổ sung một số điều của Luật Điện lực ngày 20 tháng 11 năm 2012;
Căn cứ Nghị định số 98/2017/NĐ-CP ngày 18 tháng 8 năm 2017 của Chính phủ quy định chức năng, nhiệm vụ, quyền hạn và cơ cấu tổ chức của Bộ Công Thương;
Căn cứ Nghị định số 137/2013/NĐ-CP ngày 21 tháng 10 năm 2013 của Chính phủ quy định chi tiết thi hành một số điều của Luật Điện lực và Luật sửa đổi, bổ sung một số điều của Luật Điện lực;
Theo đề nghị của Cục trưởng Cục Điều tiết điện lực;”.
Thông tư số 39/2022/TT-BCT sửa đổi, bổ sung một số điều của Thông tư số 25/2016/TT-BCT ngày 30 tháng 11 năm 2016 của Bộ trưởng Bộ Công Thương quy định hệ thống điện truyền tải và Thông tư số 39/2015/TT-BCT ngày 18 tháng 11 năm 2015 của Bộ trưởng Bộ Công Thương quy định hệ thống điện phân phối, Thông tư số 30/2019/TT-BCT ngày 18 tháng 11 năm 2019 sửa đổi, bổ sung một số điều Thông tư số 25/2016/TT-BCT ngày 30 tháng 11 năm 2016 của Bộ trưởng Bộ Công Thương quy định hệ thống điện truyền tải và Thông tư số 39/2015/TT-BCT ngày 18 tháng 11 năm 2015 của Bộ trưởng Bộ Công Thương quy định hệ thống điện phân phối có căn cứ ban hành như sau:
“Căn cứ Luật Điện lực ngày 03 tháng 12 năm 2004; Luật sửa đổi, bổ sung một số điều của Luật Điện lực ngày 20 tháng 11 năm 2012 và Luật sửa đổi, bổ sung một số điều của Luật Đầu tư công, Luật Đầu tư theo phương thức đối tác công tư, Luật Đầu tư, Luật Nhà ở, Luật Đấu thầu, Luật Điện lực, Luật Doanh nghiệp, Luật Thuế tiêu thụ đặc biệt và Luật Thi hành án dân sự ngày 11 tháng 01 năm 2022;
Căn cứ Nghị định số 96/2022/NĐ-CP ngày 29 tháng 11 năm 2022 của Chính phủ quy định chức năng, nhiệm vụ, quyền hạn và cơ cấu tổ chức của Bộ Công Thương;
Căn cứ Nghị định số 137/2013/NĐ-CP ngày 21 tháng 10 năm 2013 của Chính phủ quy định chi tiết thi hành một số điều của Luật Điện lực và Luật sửa đổi, bổ sung một số điều của Luật Điện lực;
Theo đề nghị của Cục trưởng Cục Điều tiết điện lực;”
[2] Khoản này được bổ sung theo quy định tại khoản 1 Điều 2 của Thông tư số 30/2019/TT-BCT sửa đổi, bổ sung một số điều của Thông tư số 25/2016/TT-BCT ngày 30 tháng 11 năm 2016 của Bộ trưởng Bộ Công Thương quy định hệ thống điện truyền tải và Thông tư số 39/2015/TT-BCT ngày 18 tháng 11 năm 2015 của Bộ trưởng Bộ Công Thương quy định hệ thống điện phân phối, có hiệu lực kể từ ngày 03 tháng 01 năm 2020.
[3] Điều này được sửa đổi, bổ sung theo quy định tại khoản 2 Điều 2 của Thông tư số 30/2019/TT-BCT sửa đổi, bổ sung một số điều của Thông tư số 25/2016/TT-BCT ngày 30 tháng 11 năm 2016 của Bộ trưởng Bộ Công Thương quy định hệ thống điện truyền tải và Thông tư số 39/2015/TT-BCT ngày 18 tháng 11 năm 2015 của Bộ trưởng Bộ Công Thương quy định hệ thống điện phân phối, có hiệu lực kể từ ngày 03 tháng 01 năm 2020.
[4] Điều này được sửa đổi theo quy định tại khoản 3 Điều 2 của Thông tư số 30/2019/TT-BCT sửa đổi, bổ sung một số điều của Thông tư số 25/2016/TT-BCT ngày 30 tháng 11 năm 2016 của Bộ trưởng Bộ Công Thương quy định hệ thống điện truyền tải và Thông tư số 39/2015/TT-BCT ngày 18 tháng 11 năm 2015 của Bộ trưởng Bộ Công Thương quy định hệ thống điện phân phối, có hiệu lực kể từ ngày 03 tháng 01 năm 2020.
[5] Điều này được sửa đổi, bổ sung theo quy định tại khoản 4 Điều 2 của Thông tư số 30/2019/TT-BCT sửa đổi, bổ sung một số điều của Thông tư số 25/2016/TT-BCT ngày 30 tháng 11 năm 2016 của Bộ trưởng Bộ Công Thương quy định hệ thống điện truyền tải và Thông tư số 39/2015/TT-BCT ngày 18 tháng 11 năm 2015 của Bộ trưởng Bộ Công Thương quy định hệ thống điện phân phối, có hiệu lực kể từ ngày 03 tháng 01 năm 2020.
[6] Điều này được sửa đổi theo quy định tại khoản 5 Điều 2 của Thông tư số 30/2019/TT-BCT sửa đổi, bổ sung một số điều của Thông tư số 25/2016/TT-BCT ngày 30 tháng 11 năm 2016 của Bộ trưởng Bộ Công Thương quy định hệ thống điện truyền tải và Thông tư số 39/2015/TT-BCT ngày 18 tháng 11 năm 2015 của Bộ trưởng Bộ Công Thương quy định hệ thống điện phân phối, có hiệu lực từ kể ngày 03 tháng 01 năm 2020.
[7] Điều này được sửa đổi theo quy định tại khoản 6 Điều 2 của Thông tư số 30/2019/TT-BCT sửa đổi, bổ sung một số điều của Thông tư số 25/2016/TT-BCT ngày 30 tháng 11 năm 2016 của Bộ trưởng Bộ Công Thương quy định hệ thống điện truyền tải và Thông tư số 39/2015/TT-BCT ngày 18 tháng 11 năm 2015 của Bộ trưởng Bộ Công Thương quy định hệ thống điện phân phối, có hiệu lực kể từ ngày 03 tháng 01 năm 2020.
[8] Điều này được bổ sung theo quy định tại khoản 7 Điều 2 của Thông tư số 30/2019/TT-BCT sửa đổi, bổ sung một số điều của Thông tư số 25/2016/TT-BCT ngày 30 tháng 11 năm 2016 của Bộ trưởng Bộ Công Thương quy định hệ thống điện truyền tải và Thông tư số 39/2015/TT-BCT ngày 18 tháng 11 năm 2015 của Bộ trưởng Bộ Công Thương quy định hệ thống điện phân phối, có hiệu lực kể từ ngày 03 tháng 01 năm 2020.
[9] Chương này bao gồm các Điều 22, Điều 23, Điều 24, Điều 25 được bãi bỏ theo quy định tại khoản 2 Điều 3 của Thông tư số 30/2019/TT-BCT sửa đổi, bổ sung một số điều của Thông tư số 25/2016/TT-BCT ngày 30 tháng 11 năm 2016 của Bộ trưởng Bộ Công Thương quy định hệ thống điện truyền tải và Thông tư số 39/2015/TT-BCT ngày 18 tháng 11 năm 2015 của Bộ trưởng Bộ Công Thương quy định hệ thống điện phân phối, có hiệu lực kể từ ngày 03 tháng 01 năm 2020.
[10] Khoản này được sửa đổi theo quy định tại khoản 8 Điều 2 của Thông tư số 30/2019/TT-BCT sửa đổi, bổ sung một số điều của Thông tư số 25/2016/TT-BCT ngày 30 tháng 11 năm 2016 của Bộ trưởng Bộ Công Thương quy định hệ thống điện truyền tải và Thông tư số 39/2015/TT-BCT ngày 18 tháng 11 năm 2015 của Bộ trưởng Bộ Công Thương quy định hệ thống điện phân phối, có hiệu lực từ ngày 03 tháng 01 năm 2020.
[11] Điều này được sửa đổi theo quy định tại khoản 9 Điều 2 của Thông tư số 30/2019/TT-BCT sửa đổi, bổ sung một số điều của Thông tư số 25/2016/TT-BCT ngày 30 tháng 11 năm 2016 của Bộ trưởng Bộ Công Thương quy định hệ thống điện truyền tải và Thông tư số 39/2015/TT-BCT ngày 18 tháng 11 năm 2015 của Bộ trưởng Bộ Công Thương quy định hệ thống điện phân phối, có hiệu lực từ ngày 03 tháng 01 năm 2020.
[12] Khoản này được sửa đổi theo quy định tại khoản 1 Điều 3 của Thông tư số 39/2022/TT-BCT sửa đổi, bổ sung một số điều của Thông tư số 25/2016/TT-BCT ngày 30 tháng 11 năm 2016 của Bộ trưởng Bộ Công Thương quy định hệ thống điện truyền tải, Thông tư số 39/2015/TT-BCT ngày 18 tháng 11 năm 2015 của Bộ trưởng Bộ Công Thương quy định hệ thống điện phân phối và Thông tư số 30/2019/TT-BCT ngày 18 tháng 11 năm 2019 sửa đổi, bổ sung một số điều Thông tư số 25/2016/TT-BCT ngày 30 tháng 11 năm 2016 của Bộ trưởng Bộ Công Thương quy định hệ thống điện truyền tải và Thông tư số 39/2015/TT-BCT ngày 18 tháng 11 năm 2015 của Bộ trưởng Bộ Công Thương quy định hệ thống điện phân phối, có hiệu lực kể từ ngày 16 tháng 02 năm 2023.
[13] Khoản 10 Điều 2 Thông tư số 30/2019/TT-BCT (sửa đổi khoản 1 Điều 38 Thông tư số 39/2015/TT-BCT) được sửa đổi theo quy định tại khoản 7 Điều 1 của Thông tư số 39/2022/TT-BCT sửa đổi, bổ sung một số điều của Thông tư số 25/2016/TT-BCT ngày 30 tháng 11 năm 2016 của Bộ trưởng Bộ Công Thương quy định hệ thống điện truyền tải, Thông tư số 39/2015/TT-BCT ngày 18 tháng 11 năm 2015 của Bộ trưởng Bộ Công Thương quy định hệ thống điện phân phối và Thông tư số 30/2019/TT-BCT ngày 18 tháng 11 năm 2019 sửa đổi, bổ sung một số điều Thông tư số 25/2016/TT-BCT ngày 30 tháng 11 năm 2016 của Bộ trưởng Bộ Công Thương quy định hệ thống điện truyền tải và Thông tư số 39/2015/TT-BCT ngày 18 tháng 11 năm 2015 của Bộ trưởng Bộ Công Thương quy định hệ thống điện phân phối, có hiệu lực kể từ ngày 16 tháng 02 năm 2023.
[14] Khoản 10 Điều 2 Thông tư số 30/2019/TT-BCT (sửa đổi khoản 2 Điều 38 Thông tư số 39/2015/TT-BCT) được sửa đổi theo quy định tại khoản 7 Điều 1 của Thông tư số 39/2022/TT-BCT sửa đổi, bổ sung một số điều của Thông tư số 25/2016/TT-BCT ngày 30 tháng 11 năm 2016 của Bộ trưởng Bộ Công Thương quy định hệ thống điện truyền tải, Thông tư số 39/2015/TT-BCT ngày 18 tháng 11 năm 2015 của Bộ trưởng Bộ Công Thương quy định hệ thống điện phân phối và Thông tư số 30/2019/TT-BCT ngày 18 tháng 11 năm 2019 sửa đổi, bổ sung một số điều Thông tư số 25/2016/TT-BCT ngày 30 tháng 11 năm 2016 của Bộ trưởng Bộ Công Thương quy định hệ thống điện truyền tải và Thông tư số 39/2015/TT-BCT ngày 18 tháng 11 năm 2015 của Bộ trưởng Bộ Công Thương quy định hệ thống điện phân phối, có hiệu lực kể từ ngày 16 tháng 02 năm 2023.
[15] Điểm này được bổ sung theo quy định tại khoản 2 Điều 3 của Thông tư số 39/2022/TT-BCT sửa đổi, bổ sung một số điều của Thông tư số 25/2016/TT-BCT ngày 30 tháng 11 năm 2016 của Bộ trưởng Bộ Công Thương quy định hệ thống điện truyền tải, Thông tư số 39/2015/TT-BCT ngày 18 tháng 11 năm 2015 của Bộ trưởng Bộ Công Thương quy định hệ thống điện phân phối và Thông tư số 30/2019/TT-BCT ngày 18 tháng 11 năm 2019 sửa đổi, bổ sung một số điều Thông tư số 25/2016/TT-BCT ngày 30 tháng 11 năm 2016 của Bộ trưởng Bộ Công Thương quy định hệ thống điện truyền tải và Thông tư số 39/2015/TT-BCT ngày 18 tháng 11 năm 2015 của Bộ trưởng Bộ Công Thương quy định hệ thống điện phân phối, có hiệu lực kể từ ngày 16 tháng 02 năm 2023.
[16] Khoản 11 Điều 2 Thông tư số 30/2019/TT-BCT (sửa đổi, bổ sung Điều 40 Thông tư số 39/2015/TT-BCT) được sửa đổi theo quy định tại khoản 8 Điều 1 của Thông tư số 39/2022/TT-BCT sửa đổi, bổ sung một số điều của Thông tư số 25/2016/TT-BCT ngày 30 tháng 11 năm 2016 của Bộ trưởng Bộ Công Thương quy định hệ thống điện truyền tải, Thông tư số 39/2015/TT-BCT ngày 18 tháng 11 năm 2015 của Bộ trưởng Bộ Công Thương quy định hệ thống điện phân phối và Thông tư số 30/2019/TT-BCT ngày 18 tháng 11 năm 2019 sửa đổi, bổ sung một số điều Thông tư số 25/2016/TT-BCT ngày 30 tháng 11 năm 2016 của Bộ trưởng Bộ Công Thương quy định hệ thống điện truyền tải và Thông tư số 39/2015/TT-BCT ngày 18 tháng 11 năm 2015 của Bộ trưởng Bộ Công Thương quy định hệ thống điện phân phối, có hiệu lực kể từ ngày 16 tháng 02 năm 2023.
[17] Điều này được bổ sung theo quy định tại khoản 3 Điều 3 của Thông tư số 39/2022/TT-BCT sửa đổi, bổ sung một số điều của Thông tư số 25/2016/TT-BCT ngày 30 tháng 11 năm 2016 của Bộ trưởng Bộ Công Thương quy định hệ thống điện truyền tải, Thông tư số 39/2015/TT-BCT ngày 18 tháng 11 năm 2015 của Bộ trưởng Bộ Công Thương quy định hệ thống điện phân phối và Thông tư số 30/2019/TT-BCT ngày 18 tháng 11 năm 2019 sửa đổi, bổ sung một số điều Thông tư số 25/2016/TT-BCT ngày 30 tháng 11 năm 2016 của Bộ trưởng Bộ Công Thương quy định hệ thống điện truyền tải và Thông tư số 39/2015/TT-BCT ngày 18 tháng 11 năm 2015 của Bộ trưởng Bộ Công Thương quy định hệ thống điện phân phối, có hiệu lực kể từ ngày 16 tháng 02 năm 2023.
[18] Điều này được sửa đổi, bổ sung theo quy định tại khoản 12 Điều 2 của Thông tư số 30/2019/TT-BCT sửa đổi, bổ sung một số điều của Thông tư số 25/2016/TT-BCT ngày 30 tháng 11 năm 2016 của Bộ trưởng Bộ Công Thương quy định hệ thống điện truyền tải và Thông tư số 39/2015/TT-BCT ngày 18 tháng 11 năm 2015 của Bộ trưởng Bộ Công Thương quy định hệ thống điện phân phối, có hiệu lực kể từ ngày 03 tháng 01 năm 2020.
[19] Điểm này được bổ sung theo quy định tại khoản 4 Điều 3 của Thông tư số 39/2022/TT-BCT sửa đổi, bổ sung một số điều của Thông tư số 25/2016/TT-BCT ngày 30 tháng 11 năm 2016 của Bộ trưởng Bộ Công Thương quy định hệ thống điện truyền tải, Thông tư số 39/2015/TT-BCT ngày 18 tháng 11 năm 2015 của Bộ trưởng Bộ Công Thương quy định hệ thống điện phân phối và Thông tư số 30/2019/TT-BCT ngày 18 tháng 11 năm 2019 sửa đổi, bổ sung một số điều Thông tư số 25/2016/TT-BCT ngày 30 tháng 11 năm 2016 của Bộ trưởng Bộ Công Thương quy định hệ thống điện truyền tải và Thông tư số 39/2015/TT-BCT ngày 18 tháng 11 năm 2015 của Bộ trưởng Bộ Công Thương quy định hệ thống điện phân phối, có hiệu lực kể từ ngày 16 tháng 02 năm 2023.
[20] Khoản 13 Điều 2 Thông tư số 30/2019/TT-BCT (sửa đổi khoản 2 Điều 42 Thông tư số 39/2015/TT-BCT) được sửa đổi theo quy định tại khoản 9 Điều 1 của Thông tư số 39/2022/TT-BCT sửa đổi, bổ sung một số điều của Thông tư số 25/2016/TT-BCT ngày 30 tháng 11 năm 2016 của Bộ trưởng Bộ Công Thương quy định hệ thống điện truyền tải, Thông tư số 39/2015/TT-BCT ngày 18 tháng 11 năm 2015 của Bộ trưởng Bộ Công Thương quy định hệ thống điện phân phối và Thông tư số 30/2019/TT-BCT ngày 18 tháng 11 năm 2019 sửa đổi, bổ sung một số điều Thông tư số 25/2016/TT-BCT ngày 30 tháng 11 năm 2016 của Bộ trưởng Bộ Công Thương quy định hệ thống điện truyền tải và Thông tư số 39/2015/TT-BCT ngày 18 tháng 11 năm 2015 của Bộ trưởng Bộ Công Thương quy định hệ thống điện phân phối, có hiệu lực kể từ ngày 16 tháng 02 năm 2023.
[21] Khoản này được bổ sung theo quy định tại khoản 14 Điều 2 của Thông tư số 30/2019/TT-BCT sửa đổi, bổ sung một số điều của Thông tư số 25/2016/TT-BCT ngày 30 tháng 11 năm 2016 của Bộ trưởng Bộ Công Thương quy định hệ thống điện truyền tải và Thông tư số 39/2015/TT-BCT ngày 18 tháng 11 năm 2015 của Bộ trưởng Bộ Công Thương quy định hệ thống điện phân phối, có hiệu lực kể từ ngày 03 tháng 01 năm 2020.
[22] Tên điều này được sửa đổi theo quy định tại khoản 15 Điều 2 của Thông tư số 30/2019/TT-BCT sửa đổi, bổ sung một số điều của Thông tư số 25/2016/TT-BCT ngày 30 tháng 11 năm 2016 của Bộ trưởng Bộ Công Thương quy định hệ thống điện truyền tải và Thông tư số 39/2015/TT-BCT ngày 18 tháng 11 năm 2015 của Bộ trưởng Bộ Công Thương quy định hệ thống điện phân phối, có hiệu lực kể từ ngày 03 tháng 01 năm 2020.
[23] Điểm này được sửa đổi theo quy định tại khoản 16 Điều 2 của Thông tư số 30/2019/TT-BCT sửa đổi, bổ sung một số điều của Thông tư số 25/2016/TT-BCT ngày 30 tháng 11 năm 2016 của Bộ trưởng Bộ Công Thương quy định hệ thống điện truyền tải và Thông tư số 39/2015/TT-BCT ngày 18 tháng 11 năm 2015 của Bộ trưởng Bộ Công Thương quy định hệ thống điện phân phối, có hiệu lực kể từ ngày 03 tháng 01 năm 2020.
[24] Khoản này được sửa đổi theo quy định tại khoản 17 Điều 2 của Thông tư số 30/2019/TT-BCT sửa đổi, bổ sung một số điều của Thông tư số 25/2016/TT-BCT ngày 30 tháng 11 năm 2016 của Bộ trưởng Bộ Công Thương quy định hệ thống điện truyền tải và Thông tư số 39/2015/TT-BCT ngày 18 tháng 11 năm 2015 của Bộ trưởng Bộ Công Thương quy định hệ thống điện phân phối, có hiệu lực kể từ ngày 03 tháng 01 năm 2020.
[25] Tên điều này được sửa đổi theo quy định tại khoản 5 Điều 3 của Thông tư số 39/2022/TT-BCT sửa đổi, bổ sung một số điều của Thông tư số 25/2016/TT-BCT ngày 30 tháng 11 năm 2016 của Bộ trưởng Bộ Công Thương quy định hệ thống điện truyền tải, Thông tư số 39/2015/TT-BCT ngày 18 tháng 11 năm 2015 của Bộ trưởng Bộ Công Thương quy định hệ thống điện phân phối và Thông tư số 30/2019/TT-BCT ngày 18 tháng 11 năm 2019 sửa đổi, bổ sung một số điều Thông tư số 25/2016/TT-BCT ngày 30 tháng 11 năm 2016 của Bộ trưởng Bộ Công Thương quy định hệ thống điện truyền tải và Thông tư số 39/2015/TT-BCT ngày 18 tháng 11 năm 2015 của Bộ trưởng Bộ Công Thương quy định hệ thống điện phân phối, có hiệu lực kể từ ngày 16 tháng 02 năm 2023.
[26] Tên điều này được sửa đổi theo quy định tại khoản 6 Điều 3 của Thông tư số 39/2022/TT-BCT sửa đổi, bổ sung một số điều của Thông tư số 25/2016/TT-BCT ngày 30 tháng 11 năm 2016 của Bộ trưởng Bộ Công Thương quy định hệ thống điện truyền tải, Thông tư số 39/2015/TT-BCT ngày 18 tháng 11 năm 2015 của Bộ trưởng Bộ Công Thương quy định hệ thống điện phân phối và Thông tư số 30/2019/TT-BCT ngày 18 tháng 11 năm 2019 sửa đổi, bổ sung một số điều Thông tư số 25/2016/TT-BCT ngày 30 tháng 11 năm 2016 của Bộ trưởng Bộ Công Thương quy định hệ thống điện truyền tải và Thông tư số 39/2015/TT-BCT ngày 18 tháng 11 năm 2015 của Bộ trưởng Bộ Công Thương quy định hệ thống điện phân phối, có hiệu lực kể từ ngày 16 tháng 02 năm 2023.
[27] Tên điều này được sửa đổi theo quy định tại khoản 7 Điều 3 của Thông tư số 39/2022/TT-BCT sửa đổi, bổ sung một số điều của Thông tư số 25/2016/TT-BCT ngày 30 tháng 11 năm 2016 của Bộ trưởng Bộ Công Thương quy định hệ thống điện truyền tải, Thông tư số 39/2015/TT-BCT ngày 18 tháng 11 năm 2015 của Bộ trưởng Bộ Công Thương quy định hệ thống điện phân phối và Thông tư số 30/2019/TT-BCT ngày 18 tháng 11 năm 2019 sửa đổi, bổ sung một số điều Thông tư số 25/2016/TT-BCT ngày 30 tháng 11 năm 2016 của Bộ trưởng Bộ Công Thương quy định hệ thống điện truyền tải và Thông tư số 39/2015/TT-BCT ngày 18 tháng 11 năm 2015 của Bộ trưởng Bộ Công Thương quy định hệ thống điện phân phối, có hiệu lực kể từ ngày 16 tháng 02 năm 2023.
[28] Khoản này được sửa đổi, bổ sung theo quy định tại khoản 8 Điều 3 của Thông tư số 39/2022/TT-BCT sửa đổi, bổ sung một số điều của Thông tư số 25/2016/TT-BCT ngày 30 tháng 11 năm 2016 của Bộ trưởng Bộ Công Thương quy định hệ thống điện truyền tải, Thông tư số 39/2015/TT-BCT ngày 18 tháng 11 năm 2015 của Bộ trưởng Bộ Công Thương quy định hệ thống điện phân phối và Thông tư số 30/2019/TT-BCT ngày 18 tháng 11 năm 2019 sửa đổi, bổ sung một số điều Thông tư số 25/2016/TT-BCT ngày 30 tháng 11 năm 2016 của Bộ trưởng Bộ Công Thương quy định hệ thống điện truyền tải và Thông tư số 39/2015/TT-BCT ngày 18 tháng 11 năm 2015 của Bộ trưởng Bộ Công Thương quy định hệ thống điện phân phối, có hiệu lực kể từ ngày 16 tháng 02 năm 2023.
[29] Tên điều này được sửa đổi theo quy định tại khoản 9 Điều 3 của Thông tư số 39/2022/TT-BCT sửa đổi, bổ sung một số điều của Thông tư số 25/2016/TT-BCT ngày 30 tháng 11 năm 2016 của Bộ trưởng Bộ Công Thương quy định hệ thống điện truyền tải, Thông tư số 39/2015/TT-BCT ngày 18 tháng 11 năm 2015 của Bộ trưởng Bộ Công Thương quy định hệ thống điện phân phối và Thông tư số 30/2019/TT-BCT ngày 18 tháng 11 năm 2019 sửa đổi, bổ sung một số điều Thông tư số 25/2016/TT-BCT ngày 30 tháng 11 năm 2016 của Bộ trưởng Bộ Công Thương quy định hệ thống điện truyền tải và Thông tư số 39/2015/TT-BCT ngày 18 tháng 11 năm 2015 của Bộ trưởng Bộ Công Thương quy định hệ thống điện phân phối, có hiệu lực kể từ ngày 16 tháng 02 năm 2023.
[30] Điểm này được sửa đổi, bổ sung theo quy định tại khoản 10 Điều 3 của Thông tư số 39/2022/TT-BCT sửa đổi, bổ sung một số điều của Thông tư số 25/2016/TT-BCT ngày 30 tháng 11 năm 2016 của Bộ trưởng Bộ Công Thương quy định hệ thống điện truyền tải, Thông tư số 39/2015/TT-BCT ngày 18 tháng 11 năm 2015 của Bộ trưởng Bộ Công Thương quy định hệ thống điện phân phối và Thông tư số 30/2019/TT-BCT ngày 18 tháng 11 năm 2019 sửa đổi, bổ sung một số điều Thông tư số 25/2016/TT-BCT ngày 30 tháng 11 năm 2016 của Bộ trưởng Bộ Công Thương quy định hệ thống điện truyền tải và Thông tư số 39/2015/TT-BCT ngày 18 tháng 11 năm 2015 của Bộ trưởng Bộ Công Thương quy định hệ thống điện phân phối, có hiệu lực kể từ ngày 16 tháng 02 năm 2023.
[31] Khoản này được bổ sung theo quy định tại khoản 11 Điều 3 của Thông tư số 39/2022/TT-BCT sửa đổi, bổ sung một số điều của Thông tư số 25/2016/TT-BCT ngày 30 tháng 11 năm 2016 của Bộ trưởng Bộ Công Thương quy định hệ thống điện truyền tải, Thông tư số 39/2015/TT-BCT ngày 18 tháng 11 năm 2015 của Bộ trưởng Bộ Công Thương quy định hệ thống điện phân phối và Thông tư số 30/2019/TT-BCT ngày 18 tháng 11 năm 2019 sửa đổi, bổ sung một số điều Thông tư số 25/2016/TT-BCT ngày 30 tháng 11 năm 2016 của Bộ trưởng Bộ Công Thương quy định hệ thống điện truyền tải và Thông tư số 39/2015/TT-BCT ngày 18 tháng 11 năm 2015 của Bộ trưởng Bộ Công Thương quy định hệ thống điện phân phối, có hiệu lực kể từ ngày 16 tháng 02 năm 2023.
[32] Điểm này được bổ sung theo quy định tại khoản 12 Điều 3 của Thông tư số 39/2022/TT-BCT sửa đổi, bổ sung một số điều của Thông tư số 25/2016/TT-BCT ngày 30 tháng 11 năm 2016 của Bộ trưởng Bộ Công Thương quy định hệ thống điện truyền tải, Thông tư số 39/2015/TT-BCT ngày 18 tháng 11 năm 2015 của Bộ trưởng Bộ Công Thương quy định hệ thống điện phân phối và Thông tư số 30/2019/TT-BCT ngày 18 tháng 11 năm 2019 sửa đổi, bổ sung một số điều Thông tư số 25/2016/TT-BCT ngày 30 tháng 11 năm 2016 của Bộ trưởng Bộ Công Thương quy định hệ thống điện truyền tải và Thông tư số 39/2015/TT-BCT ngày 18 tháng 11 năm 2015 của Bộ trưởng Bộ Công Thương quy định hệ thống điện phân phối, có hiệu lực kể từ ngày 16 tháng 02 năm 2023.
[33] Khoản này được sửa đổi theo quy định tại khoản 18 Điều 2 của Thông tư số 30/2019/TT-BCT sửa đổi, bổ sung một số điều của Thông tư số 25/2016/TT-BCT ngày 30 tháng 11 năm 2016 của Bộ trưởng Bộ Công Thương quy định hệ thống điện truyền tải và Thông tư số 39/2015/TT-BCT ngày 18 tháng 11 năm 2015 của Bộ trưởng Bộ Công Thương quy định hệ thống điện phân phối, có hiệu lực kể từ ngày 03 tháng 01 năm 2020.
[34] Khoản này được sửa đổi theo quy định tại khoản 19 Điều 2 của Thông tư số 30/2019/TT-BCT sửa đổi, bổ sung một số điều của Thông tư số 25/2016/TT-BCT ngày 30 tháng 11 năm 2016 của Bộ trưởng Bộ Công Thương quy định hệ thống điện truyền tải và Thông tư số 39/2015/TT-BCT ngày 18 tháng 11 năm 2015 của Bộ trưởng Bộ Công Thương quy định hệ thống điện phân phối, có hiệu lực kể từ ngày 03 tháng 01 năm 2020.
[35] Khoản này được sửa đổi theo quy định tại khoản 19 Điều 2 của Thông tư số 30/2019/TT-BCT sửa đổi, bổ sung một số điều của Thông tư số 25/2016/TT-BCT ngày 30 tháng 11 năm 2016 của Bộ trưởng Bộ Công Thương quy định hệ thống điện truyền tải và Thông tư số 39/2015/TT-BCT ngày 18 tháng 11 năm 2015 của Bộ trưởng Bộ Công Thương quy định hệ thống điện phân phối, có hiệu lực kể từ ngày 03 tháng 01 năm 2020.
[36] Tên điều này được sửa đổi theo quy định tại khoản 13 Điều 3 của Thông tư số 39/2022/TT-BCT sửa đổi, bổ sung một số điều của Thông tư số 25/2016/TT-BCT ngày 30 tháng 11 năm 2016 của Bộ trưởng Bộ Công Thương quy định hệ thống điện truyền tải, Thông tư số 39/2015/TT-BCT ngày 18 tháng 11 năm 2015 của Bộ trưởng Bộ Công Thương quy định hệ thống điện phân phối và Thông tư số 30/2019/TT-BCT ngày 18 tháng 11 năm 2019 sửa đổi, bổ sung một số điều Thông tư số 25/2016/TT-BCT ngày 30 tháng 11 năm 2016 của Bộ trưởng Bộ Công Thương quy định hệ thống điện truyền tải và Thông tư số 39/2015/TT-BCT ngày 18 tháng 11 năm 2015 của Bộ trưởng Bộ Công Thương quy định hệ thống điện phân phối, có hiệu lực kể từ ngày 16 tháng 02 năm 2023.
[37] Tên điều này được sửa đổi theo quy định tại khoản 14 Điều 3 của Thông tư số 39/2022/TT-BCT sửa đổi, bổ sung một số điều của Thông tư số 25/2016/TT-BCT ngày 30 tháng 11 năm 2016 của Bộ trưởng Bộ Công Thương quy định hệ thống điện truyền tải, Thông tư số 39/2015/TT-BCT ngày 18 tháng 11 năm 2015 của Bộ trưởng Bộ Công Thương quy định hệ thống điện phân phối và Thông tư số 30/2019/TT-BCT ngày 18 tháng 11 năm 2019 sửa đổi, bổ sung một số điều Thông tư số 25/2016/TT-BCT ngày 30 tháng 11 năm 2016 của Bộ trưởng Bộ Công Thương quy định hệ thống điện truyền tải và Thông tư số 39/2015/TT-BCT ngày 18 tháng 11 năm 2015 của Bộ trưởng Bộ Công Thương quy định hệ thống điện phân phối, có hiệu lực kể từ ngày 16 tháng 02 năm 2023.
[38] Điểm này được sửa đổi theo quy định tại khoản 15 Điều 3 của Thông tư số 39/2022/TT-BCT sửa đổi, bổ sung một số điều của Thông tư số 25/2016/TT-BCT ngày 30 tháng 11 năm 2016 của Bộ trưởng Bộ Công Thương quy định hệ thống điện truyền tải, Thông tư số 39/2015/TT-BCT ngày 18 tháng 11 năm 2015 của Bộ trưởng Bộ Công Thương quy định hệ thống điện phân phối và Thông tư số 30/2019/TT-BCT ngày 18 tháng 11 năm 2019 sửa đổi, bổ sung một số điều Thông tư số 25/2016/TT-BCT ngày 30 tháng 11 năm 2016 của Bộ trưởng Bộ Công Thương quy định hệ thống điện truyền tải và Thông tư số 39/2015/TT-BCT ngày 18 tháng 11 năm 2015 của Bộ trưởng Bộ Công Thương quy định hệ thống điện phân phối, có hiệu lực kể từ ngày 16 tháng 02 năm 2023.
[39] Khoản này được sửa đổi, bổ sung theo quy định tại khoản 16 Điều 3 của Thông tư số 39/2022/TT-BCT sửa đổi, bổ sung một số điều của Thông tư số 25/2016/TT-BCT ngày 30 tháng 11 năm 2016 của Bộ trưởng Bộ Công Thương quy định hệ thống điện truyền tải, Thông tư số 39/2015/TT-BCT ngày 18 tháng 11 năm 2015 của Bộ trưởng Bộ Công Thương quy định hệ thống điện phân phối và Thông tư số 30/2019/TT-BCT ngày 18 tháng 11 năm 2019 sửa đổi, bổ sung một số điều Thông tư số 25/2016/TT-BCT ngày 30 tháng 11 năm 2016 của Bộ trưởng Bộ Công Thương quy định hệ thống điện truyền tải và Thông tư số 39/2015/TT-BCT ngày 18 tháng 11 năm 2015 của Bộ trưởng Bộ Công Thương quy định hệ thống điện phân phối, có hiệu lực kể từ ngày 16 tháng 02 năm 2023.
[40] Điểm này được sửa đổi, bổ sung theo quy định tại khoản 17 Điều 3 của Thông tư số 39/2022/TT-BCT sửa đổi, bổ sung một số điều của Thông tư số 25/2016/TT-BCT ngày 30 tháng 11 năm 2016 của Bộ trưởng Bộ Công Thương quy định hệ thống điện truyền tải, Thông tư số 39/2015/TT-BCT ngày 18 tháng 11 năm 2015 của Bộ trưởng Bộ Công Thương quy định hệ thống điện phân phối và Thông tư số 30/2019/TT-BCT ngày 18 tháng 11 năm 2019 sửa đổi, bổ sung một số điều Thông tư số 25/2016/TT-BCT ngày 30 tháng 11 năm 2016 của Bộ trưởng Bộ Công Thương quy định hệ thống điện truyền tải và Thông tư số 39/2015/TT-BCT ngày 18 tháng 11 năm 2015 của Bộ trưởng Bộ Công Thương quy định hệ thống điện phân phối, có hiệu lực kể từ ngày 16 tháng 12 năm 2023.
[41] Điểm này được bổ sung theo quy định tại khoản 20 Điều 2 của Thông tư số 30/2019/TT-BCT sửa đổi, bổ sung một số điều của Thông tư số 25/2016/TT-BCT ngày 30 tháng 11 năm 2016 của Bộ trưởng Bộ Công Thương quy định hệ thống điện truyền tải và Thông tư số 39/2015/TT-BCT ngày 18 tháng 11 năm 2015 của Bộ trưởng Bộ Công Thương quy định hệ thống điện phân phối, có hiệu lực kể từ ngày 03 tháng 01 năm 2020.
[42] Điều này được sửa đổi theo quy định tại khoản 21 Điều 2 của Thông tư số 30/2019/TT-BCT sửa đổi, bổ sung một số điều của Thông tư số 25/2016/TT-BCT ngày 30 tháng 11 năm 2016 của Bộ trưởng Bộ Công Thương quy định hệ thống điện truyền tải và Thông tư số 39/2015/TT-BCT ngày 18 tháng 11 năm 2015 của Bộ trưởng Bộ Công Thương quy định hệ thống điện phân phối, có hiệu lực kể từ ngày 03 tháng 01 năm 2020.
[43] Khoản này được sửa đổi theo quy định tại khoản 22 Điều 2 của Thông tư số 30/2019/TT-BCT sửa đổi, bổ sung một số điều của Thông tư số 25/2016/TT-BCT ngày 30 tháng 11 năm 2016 của Bộ trưởng Bộ Công Thương quy định hệ thống điện truyền tải và Thông tư số 39/2015/TT-BCT ngày 18 tháng 11 năm 2015 của Bộ trưởng Bộ Công Thương quy định hệ thống điện phân phối, có hiệu lực từ ngày 03 tháng 01 năm 2020.
[44] Điều này được bãi bỏ theo quy định tại điểm b khoản 2 Điều 4 của Thông tư số 39/2022/TT-BCT sửa đổi, bổ sung một số điều của Thông tư số 25/2016/TT-BCT ngày 30 tháng 11 năm 2016 của Bộ trưởng Bộ Công Thương quy định hệ thống điện truyền tải, Thông tư số 39/2015/TT-BCT ngày 18 tháng 11 năm 2015 của Bộ trưởng Bộ Công Thương quy định hệ thống điện phân phối và Thông tư số 30/2019/TT-BCT ngày 18 tháng 11 năm 2019 sửa đổi, bổ sung một số điều Thông tư số 25/2016/TT-BCT ngày 30 tháng 11 năm 2016 của Bộ trưởng Bộ Công Thương quy định hệ thống điện truyền tải và Thông tư số 39/2015/TT-BCT ngày 18 tháng 11 năm 2015 của Bộ trưởng Bộ Công Thương quy định hệ thống điện phân phối, có hiệu lực kể từ ngày 16 tháng 02 năm 2023.
[45] Điều này được bãi bỏ theo quy định tại điểm b khoản 2 Điều 4 của Thông tư số 39/2022/TT-BCT sửa đổi, bổ sung một số điều của Thông tư số 25/2016/TT-BCT ngày 30 tháng 11 năm 2016 của Bộ trưởng Bộ Công Thương quy định hệ thống điện truyền tải, Thông tư số 39/2015/TT-BCT ngày 18 tháng 11 năm 2015 của Bộ trưởng Bộ Công Thương quy định hệ thống điện phân phối và Thông tư số 30/2019/TT-BCT ngày 18 tháng 11 năm 2019 sửa đổi, bổ sung một số điều Thông tư số 25/2016/TT-BCT ngày 30 tháng 11 năm 2016 của Bộ trưởng Bộ Công Thương quy định hệ thống điện truyền tải và Thông tư số 39/2015/TT-BCT ngày 18 tháng 11 năm 2015 của Bộ trưởng Bộ Công Thương quy định hệ thống điện phân phối, có hiệu lực kể từ ngày 16 tháng 02 năm 2023.
[46] Điều này được bãi bỏ theo quy định tại điểm b khoản 2 Điều 4 của Thông tư số 39/2022/TT-BCT sửa đổi, bổ sung một số điều của Thông tư số 25/2016/TT-BCT ngày 30 tháng 11 năm 2016 của Bộ trưởng Bộ Công Thương quy định hệ thống điện truyền tải, Thông tư số 39/2015/TT-BCT ngày 18 tháng 11 năm 2015 của Bộ trưởng Bộ Công Thương quy định hệ thống điện phân phối và Thông tư số 30/2019/TT-BCT ngày 18 tháng 11 năm 2019 sửa đổi, bổ sung một số điều Thông tư số 25/2016/TT-BCT ngày 30 tháng 11 năm 2016 của Bộ trưởng Bộ Công Thương quy định hệ thống điện truyền tải và Thông tư số 39/2015/TT-BCT ngày 18 tháng 11 năm 2015 của Bộ trưởng Bộ Công Thương quy định hệ thống điện phân phối, có hiệu lực kể từ ngày 16 tháng 12 năm 2023.
[47] Điều này được bãi bỏ theo quy định tại điểm b khoản 2 Điều 4 của Thông tư số 39/2022/TT-BCT sửa đổi, bổ sung một số điều của Thông tư số 25/2016/TT-BCT ngày 30 tháng 11 năm 2016 của Bộ trưởng Bộ Công Thương quy định hệ thống điện truyền tải, Thông tư số 39/2015/TT-BCT ngày 18 tháng 11 năm 2015 của Bộ trưởng Bộ Công Thương quy định hệ thống điện phân phối và Thông tư số 30/2019/TT-BCT ngày 18 tháng 11 năm 2019 sửa đổi, bổ sung một số điều Thông tư số 25/2016/TT-BCT ngày 30 tháng 11 năm 2016 của Bộ trưởng Bộ Công Thương quy định hệ thống điện truyền tải và Thông tư số 39/2015/TT-BCT ngày 18 tháng 11 năm 2015 của Bộ trưởng Bộ Công Thương quy định hệ thống điện phân phối, có hiệu lực kể từ ngày 16 tháng 12 năm 2023.
[48] Điều này được bãi bỏ theo quy định tại điểm b khoản 2 Điều 4 của Thông tư số 39/2022/TT-BCT sửa đổi, bổ sung một số điều của Thông tư số 25/2016/TT-BCT ngày 30 tháng 11 năm 2016 của Bộ trưởng Bộ Công Thương quy định hệ thống điện truyền tải, Thông tư số 39/2015/TT-BCT ngày 18 tháng 11 năm 2015 của Bộ trưởng Bộ Công Thương quy định hệ thống điện phân phối và Thông tư số 30/2019/TT-BCT ngày 18 tháng 11 năm 2019 sửa đổi, bổ sung một số điều Thông tư số 25/2016/TT-BCT ngày 30 tháng 11 năm 2016 của Bộ trưởng Bộ Công Thương quy định hệ thống điện truyền tải và Thông tư số 39/2015/TT-BCT ngày 18 tháng 11 năm 2015 của Bộ trưởng Bộ Công Thương quy định hệ thống điện phân phối, có hiệu lực kể từ ngày 16 tháng 02 năm 2023.
[49] Điều này được bãi bỏ theo quy định tại điểm b khoản 2 Điều 4 của Thông tư số 39/2022/TT-BCT sửa đổi, bổ sung một số điều của Thông tư số 25/2016/TT-BCT ngày 30 tháng 11 năm 2016 của Bộ trưởng Bộ Công Thương quy định hệ thống điện truyền tải, Thông tư số 39/2015/TT-BCT ngày 18 tháng 11 năm 2015 của Bộ trưởng Bộ Công Thương quy định hệ thống điện phân phối và Thông tư số 30/2019/TT-BCT ngày 18 tháng 11 năm 2019 sửa đổi, bổ sung một số điều Thông tư số 25/2016/TT-BCT ngày 30 tháng 11 năm 2016 của Bộ trưởng Bộ Công Thương quy định hệ thống điện truyền tải và Thông tư số 39/2015/TT-BCT ngày 18 tháng 11 năm 2015 của Bộ trưởng Bộ Công Thương quy định hệ thống điện phân phối, có hiệu lực kể từ ngày 16 tháng 02 năm 2023.
[50] Điều này được bãi bỏ theo quy định tại điểm b khoản 2 Điều 4 của Thông tư số 39/2022/TT-BCT sửa đổi, bổ sung một số điều của Thông tư số 25/2016/TT-BCT ngày 30 tháng 11 năm 2016 của Bộ trưởng Bộ Công Thương quy định hệ thống điện truyền tải, Thông tư số 39/2015/TT-BCT ngày 18 tháng 11 năm 2015 của Bộ trưởng Bộ Công Thương quy định hệ thống điện phân phối và Thông tư số 30/2019/TT-BCT ngày 18 tháng 11 năm 2019 sửa đổi, bổ sung một số điều Thông tư số 25/2016/TT-BCT ngày 30 tháng 11 năm 2016 của Bộ trưởng Bộ Công Thương quy định hệ thống điện truyền tải và Thông tư số 39/2015/TT-BCT ngày 18 tháng 11 năm 2015 của Bộ trưởng Bộ Công Thương quy định hệ thống điện phân phối, có hiệu lực kể từ ngày 16 tháng 02 năm 2023.
[51] Khoản này được bổ sung theo quy định tại khoản 23 Điều 2 của Thông tư số 30/2019/TT-BCT sửa đổi, bổ sung một số điều của Thông tư số 25/2016/TT-BCT ngày 30 tháng 11 năm 2016 của Bộ trưởng Bộ Công Thương quy định hệ thống điện truyền tải và Thông tư số 39/2015/TT-BCT ngày 18 tháng 11 năm 2015 của Bộ trưởng Bộ Công Thương quy định hệ thống điện phân phối, có hiệu lực từ ngày 03 tháng 01 năm 2020.
[52] Khoản này được bổ sung theo quy định tại khoản 18 Điều 3 của Thông tư số 39/2022/TT-BCT sửa đổi, bổ sung một số điều của Thông tư số 25/2016/TT-BCT ngày 30 tháng 11 năm 2016 của Bộ trưởng Bộ Công Thương quy định hệ thống điện truyền tải, Thông tư số 39/2015/TT-BCT ngày 18 tháng 11 năm 2015 của Bộ trưởng Bộ Công Thương quy định hệ thống điện phân phối và Thông tư số 30/2019/TT-BCT ngày 18 tháng 11 năm 2019 sửa đổi, bổ sung một số điều Thông tư số 25/2016/TT-BCT ngày 30 tháng 11 năm 2016 của Bộ trưởng Bộ Công Thương quy định hệ thống điện truyền tải và Thông tư số 39/2015/TT-BCT ngày 18 tháng 11 năm 2015 của Bộ trưởng Bộ Công Thương quy định hệ thống điện phân phối, có hiệu lực kể từ ngày 16 tháng 02 năm 2023.
[53] Điều này được bãi bỏ theo quy định tại khoản 2 Điều 3 của Thông tư số 30/2019/TT-BCT sửa đổi, bổ sung một số điều của Thông tư số 25/2016/TT-BCT ngày 30 tháng 11 năm 2016 của Bộ trưởng Bộ Công Thương quy định hệ thống điện truyền tải và Thông tư số 39/2015/TT-BCT ngày 18 tháng 11 năm 2015 của Bộ trưởng Bộ Công Thương quy định hệ thống điện phân phối, có hiệu lực kể từ ngày 03 tháng 01 năm 2020.
[54] Điều 4 Thông tư số 30/2019/TT-BCT sửa đổi, bổ sung một số điều của Thông tư số 25/2016/TT-BCT ngày 30 tháng 11 năm 2016 của Bộ trưởng Bộ Công Thương quy định hệ thống điện truyền tải và Thông tư số 39/2015/TT-BCT ngày 18 tháng 11 năm 2015 của Bộ trưởng Bộ Công Thương quy định hệ thống điện phân phối, có hiệu lực từ ngày 03 tháng 01 năm 2020 quy định như sau:
“Điều 4. Hiệu lực thi hành
1. Thông tư này có hiệu lực thi hành từ ngày 03 tháng 01 năm 2020.
2. Trong quá trình thực hiện, nếu phát sinh vướng mắc, các đơn vị có liên quan phản ánh về Cục Điều tiết điện lực để xem xét, giải quyết theo thẩm quyền hoặc báo cáo về Bộ Công Thương để giải quyết./.”
Điều 4 Thông tư số 39/2022/TT-BCT sửa đổi, bổ sung một số điều của Thông tư số 25/2016/TT-BCT ngày 30 tháng 11 năm 2016 của Bộ trưởng Bộ Công Thương quy định hệ thống điện truyền tải, Thông tư số 39/2015/TT-BCT ngày 18 tháng 11 năm 2015 của Bộ trưởng Bộ Công Thương quy định hệ thống điện phân phối và Thông tư số 30/2019/TT-BCT ngày 18 tháng 11 năm 2019 sửa đổi, bổ sung một số điều Thông tư số 25/2016/TT-BCT ngày 30 tháng 11 năm 2016 của Bộ trưởng Bộ Công Thương quy định hệ thống điện truyền tải và Thông tư số 39/2015/TT-BCT ngày 18 tháng 11 năm 2015 của Bộ trưởng Bộ Công Thương quy định hệ thống điện phân phối, có hiệu lực kể từ ngày 16 tháng 02 năm 2023 quy định như sau:
“Điều 4. Điều khoản thi hành
1. Thông tư này có hiệu lực thi hành từ ngày 16 tháng 02 năm 2023.
2. Bãi bỏ một số điều, khoản của Thông tư số 25/2016/TT-BCT ngày 30 tháng 11 năm 2016 của Bộ trưởng Bộ Công Thương quy định hệ thống điện truyền tải, Thông tư số 39/2015/TT-BCT ngày 18 tháng 11 năm 2015 của Bộ trưởng Bộ Công Thương quy định hệ thống điện phân phối như sau:
a) Bãi bỏ gạch đầu dòng thứ hai điểm a khoản 3 Điều 92 và khoản 2 Điều 94 Thông tư số 25/2016/TT-BCT ngày 30 tháng 11 năm 2016 của Bộ trưởng Bộ Công Thương quy định hệ thống điện truyền tải;
b) Bãi bỏ Điều 92, Điều 93, Điều 94, Điều 95, Điều 96, Điều 97 và Điều 98 Thông tư số 39/2015/TT-BCT ngày 18 tháng 11 năm 2015 của Bộ trưởng Bộ Công Thương quy định hệ thống điện phân phối.
3. Trường hợp trang thiết bị điện đã được đưa vào vận hành hoặc có hợp đồng mua sắm, lắp đặt thiết bị được ký trước ngày Thông tư này có hiệu lực mà có yêu cầu, thông số kỹ thuật khác so với quy định tại Thông tư này, các đơn vị thực hiện theo quy định có liên quan trước thời điểm Thông tư này có hiệu lực.
4. Trong quá trình thực hiện, nếu phát sinh vướng mắc, các đơn vị có liên quan phản ánh về Cục Điều tiết điện lực để xem xét, giải quyết theo thẩm quyền hoặc báo cáo về Bộ Công Thương để giải quyết./.”
Bạn chưa Đăng nhập thành viên.
Đây là tiện ích dành cho tài khoản thành viên. Vui lòng Đăng nhập để xem chi tiết. Nếu chưa có tài khoản, vui lòng Đăng ký tại đây!
Bạn chưa Đăng nhập thành viên.
Đây là tiện ích dành cho tài khoản thành viên. Vui lòng Đăng nhập để xem chi tiết. Nếu chưa có tài khoản, vui lòng Đăng ký tại đây!