- Tổng quan
- Nội dung
- VB gốc
- Tiếng Anh
- Hiệu lực
- VB liên quan
- Lược đồ
-
Nội dung hợp nhất
Tính năng này chỉ có tại LuatVietnam.vn. Nội dung hợp nhất tổng hợp lại tất cả các quy định còn hiệu lực của văn bản gốc và các văn bản sửa đổi, bổ sung, đính chính... trên một trang. Việc hợp nhất văn bản gốc và những văn bản, Thông tư, Nghị định hướng dẫn khác không làm thay đổi thứ tự điều khoản, nội dung.
Khách hàng chỉ cần xem Nội dung hợp nhất là có thể nắm bắt toàn bộ quy định hiện hành đang áp dụng, cho dù văn bản gốc đã qua nhiều lần chỉnh sửa, bổ sung.
- Tải về
Nghị định 111/2006/NĐ-CP của Chính phủ về việc hướng dẫn thi hành Luật Đấu thầu và lựa chọn nhà thầu xây dựng theo Luật Xây dựng
| Cơ quan ban hành: | Chính phủ |
Số công báo:
Số công báo là mã số ấn phẩm được đăng chính thức trên ấn phẩm thông tin của Nhà nước. Mã số này do Chính phủ thống nhất quản lý.
|
Đã biết
|
| Số hiệu: | 111/2006/NĐ-CP | Ngày đăng công báo: |
Đã biết
|
| Loại văn bản: | Nghị định | Người ký: | Nguyễn Tấn Dũng |
|
Ngày ban hành:
Ngày ban hành là ngày, tháng, năm văn bản được thông qua hoặc ký ban hành.
|
29/09/2006 |
Ngày hết hiệu lực:
Ngày hết hiệu lực là ngày, tháng, năm văn bản chính thức không còn hiệu lực (áp dụng).
|
Đã biết
|
|
Áp dụng:
Ngày áp dụng là ngày, tháng, năm văn bản chính thức có hiệu lực (áp dụng).
|
Đã biết
|
Tình trạng hiệu lực:
Cho biết trạng thái hiệu lực của văn bản đang tra cứu: Chưa áp dụng, Còn hiệu lực, Hết hiệu lực, Hết hiệu lực 1 phần; Đã sửa đổi, Đính chính hay Không còn phù hợp,...
|
Đã biết
|
| Lĩnh vực: | Xây dựng Đầu tư |
TÓM TẮT NGHỊ ĐỊNH 111/2006/NĐ-CP
* Hướng dẫn thi hành Luật Đấu thầu và lựa chọn nhà thầu xây dựng theo Luật Xây dựng - Theo Nghị định số 111/2006/NĐ-CP ban hành ngày 29/9/2006, Chính phủ quy định: đối với mỗi gói thầu phải nêu rõ nguồn vốn hoặc phương thức thu xếp vốn để thanh toán cho nhà thầu, trường hợp sử dụng vốn ODA thì phải nêu rõ tên nhà tài trợ vốn và cơ cấu nguồn vốn (ngoài nước, trong nước)... Chi phí thẩm định kết quả lựa chọn nhà thầu kể cả trường hợp không lựa chọn được nhà thầu được tính bằng 0,01% giá gói thầu nhưng tối thiểu là 500.000 đồng và tối đa là 30 triệu đồng. Chi phí cho Hội đồng tư vấn giải quyết kiến nghị của nhà thầu về kết quả lựa chọn nhà thầu là 0,01% giá dự thầu của nhà thầu có kiến nghị nhưng tối thiểu là 2 triệu đồng và tối đa là 30 triệu đồng... Đối với gói thầu dịch vụ tư vấn, kể cả dịch vụ tư vấn xây dựng, tiêu chuẩn đánh giá về mặt kỹ thuật: sử dụng thang điểm (100, 1.000,...) để đánh giá, bao gồm các nội dung sau đây: Kinh nghiệm và năng lực của nhà thầu. Tỷ lệ điểm đối với nội dung này quy định từ 10% - 20% tổng số điểm, Giải pháp và phương pháp luận đối với yêu cầu của gói thầu. Tỷ lệ điểm đối với nội dung này quy định từ 30% - 40% tổng số điểm, Nhân sự của nhà thầu để thực hiện gói thầu. Tỷ lệ điểm đối với nội dung này quy định từ 50% - 60% tổng số điểm. Cần phải xác định mức điểm yêu cầu tối thiểu về mặt kỹ thuật song không được quy định thấp hơn 70% tổng số điểm. Hồ sơ dự thầu có điểm về mặt kỹ thuật không thấp hơn mức điểm yêu cầu tối thiểu thì được coi là đáp ứng yêu cầu về mặt kỹ thuật... Đối với các gói thầu đã thực hiện sơ tuyển, trong hồ sơ mời thầu không cần quy định tiêu chuẩn đánh giá về kinh nghiệm và năng lực của nhà thầu song cần yêu cầu nhà thầu khẳng định lại các thông tin về năng lực và kinh nghiệm mà nhà thầu đã kê khai trong hồ sơ dự sơ tuyển. Hồ sơ mời thầu không được nêu yêu cầu về nhãn hiệu, xuất xứ cụ thể của hàng hoá. Trường hợp đặc biệt cần thiết phải nêu nhãn hiệu, catalô của một nhà sản xuất nào đó, hoặc hàng hoá từ một nước nào đó để tham khảo, minh họa cho yêu cầu về mặt kỹ thuật của hàng hóa thì phải ghi kèm theo cụm từ "hoặc tương đương" sau nhãn hiệu, catalô hoặc xuất xứ nêu ra và quy định rõ khái niệm tương đương nghĩa là có đặc tính kỹ thuật tương tự, có tính năng sử dụng là tương đương với các hàng hóa đã nêu. Đối với hàng hoá phức tạp, cần yêu cầu nhà thầu nộp giấy phép bán hàng của nhà sản xuất... Nghị định này có hiệu lực sau 15 ngày, kể từ ngày đăng công báo.
>> Xem: Luật xây dựng 2014 mới nhất đang áp dụng
Xem chi tiết Nghị định 111/2006/NĐ-CP có hiệu lực kể từ ngày 04/11/2006
| CHÍNH PHỦ Số: 111/2006/NĐ-CP | CỘNG HOÀ XÃ HỘI CHỦ NGHĨA VIỆT NAM ____________________ Hà Nội, ngày 29 tháng 9 năm 2006 |
NGHỊ ĐỊNH
Hướng dẫn thi hành Luật Đấu thầu
và lựa chọn nhà thầu xây dựng theo Luật Xây dựng
____________
CHÍNH PHỦ
Căn cứ Luật Tổ chức Chính phủ ngày 25 tháng 12 năm 2001;
Căn cứ Luật Đấu thầu số 61/2005/QH11 ngày 29 tháng 11 năm 2005, Luật Xây dựng số 16/2003/QH11 ngày 26 tháng 11 năm 2003 của Quốc hội;
Xét đề nghị của Bộ trưởng Bộ Kế hoạch và Đầu tư, Bộ trưởng Bộ Xây dựng,
NGHỊ ĐỊNH
Chương I
NHỮNG QUY ĐỊNH CHUNG
Điều 1. Phạm vi điều chỉnh
1. Nghị định này hướng dẫn thi hành Luật Đấu thầu số 61/2005/QH11 ngày 29 tháng 11 năm 2005 của Quốc hội và hướng dẫn thi hành việc lựa chọn nhà thầu xây dựng theo Luật Xây dựng số 16/2003/QH11 ngày 26 tháng 11 năm 2003 của Quốc hội.
2. Việc lựa chọn nhà thầu đối với các gói thầu thuộc dự án sử dụng vốn ODA thực hiện theo quy định tại khoản 3 Điều 3 của Luật Đấu thầu. Thủ tục trình, thẩm định và phê duyệt các nội dung về kế hoạch đấu thầu, kết quả lựa chọn nhà thầu đối với các dự án này thực hiện theo quy định của Nghị định này.
Điều 2. Giải thích từ ngữ
Trong Nghị định này, các từ ngữ dưới đây được hiểu như sau:
1. Sử dụng vốn nhà nước theo quy định tại khoản 1 Điều 1 của Luật Đấu thầu còn bao gồm việc chi tiêu theo hình thức mua, thuê, thuê mua. Đối với dự án được thực hiện theo hình thức liên doanh, hợp đồng hợp tác kinh doanh, cổ phần thì phần vốn nhà nước tham gia từ 30% trở lên được xác định căn cứ tương ứng phần vốn nhà nước tham gia vào vốn pháp định, vốn góp, vốn cổ phần;
2. Hồ sơ yêu cầu là toàn bộ tài liệu sử dụng cho hình thức chỉ định thầu, chào hàng cạnh tranh, mua sắm trực tiếp, lựa chọn nhà thầu trong trường hợp đặc biệt bao gồm các yêu cầu cho một gói thầu làm căn cứ pháp lý để nhà thầu chuẩn bị hồ sơ đề xuất và để bên mời thầu đánh giá hồ sơ đề xuất nhằm lựa chọn nhà thầu đáp ứng các yêu cầu của hồ sơ yêu cầu; là căn cứ cho việc thương thảo, hoàn thiện và ký kết hợp đồng. Chủ đầu tư chịu trách nhiệm quyết định nội dung của hồ sơ yêu cầu;
3. Hồ sơ đề xuất là toàn bộ tài liệu do nhà thầu đề xuất theo hồ sơ yêu cầu và được nộp cho bên mời thầu theo quy định nêu trong hồ sơ yêu cầu;
4. Kết quả lựa chọn nhà thầu là kết quả đấu thầu khi áp dụng hình thức đấu thầu rộng rãi, đấu thầu hạn chế hoặc kết quả lựa chọn khi áp dụng các hình thức lựa chọn khác;
5. Vi phạm pháp luật về đấu thầu là hành vi không thực hiện hoặc thực hiện không đầy đủ các quy định của pháp luật về đấu thầu;
6. Tham gia đấu thầu là việc nhà thầu tham gia các cuộc đấu thầu rộng rãi hoặc hạn chế;
7. Gói thầu lựa chọn tổng thầu xây dựng bao gồm việc lựa chọn tổng thầu để thực hiện gói thầu thiết kế (E); thi công (C); thiết kế và thi công (EC); thiết kế, cung cấp thiết bị, vật tư và xây lắp (EPC); lập dự án, thiết kế, cung cấp thiết bị, vật tư và xây dựng (chìa khoá trao tay).
Điều 3. Bảo đảm cạnh tranh trong đấu thầu
Thủ tướng Chính phủ quy định cụ thể lộ trình phù hợp để thực hiện bảo đảm cạnh tranh trong đấu thầu theo quy định tại Điều 11 của Luật Đấu thầu.
Điều 4. Ưu đãi trong đấu thầu quốc tế
1. Việc ưu đãi trong đấu thầu quốc tế theo quy định tại Điều 14 của Luật Đấu thầu được thực hiện như sau:
a) Đối với gói thầu dịch vụ tư vấn: hồ sơ dự thầu của nhà thầu thuộc đối tượng ưu đãi thì điểm tổng hợp được cộng thêm 7,5% số điểm tổng hợp của nhà thầu đó; trường hợp gói thầu dịch vụ tư vấn có yêu cầu kỹ thuật cao thì điểm kỹ thuật được cộng thêm 7,5% số điểm kỹ thuật của nhà thầu đó;
b) Đối với gói thầu xây lắp: giá đánh giá của hồ sơ dự thầu của nhà thầu không thuộc đối tượng ưu đãi cần cộng thêm một khoản tiền bằng 7,5% giá dự thầu sau sửa lỗi và hiệu chỉnh sai lệch của nhà thầu đó;
c) Đối với gói thầu mua sắm hàng hóa: giá đánh giá của hồ sơ dự thầu của nhà thầu không thuộc đối tượng ưu đãi cần cộng thêm một khoản tiền tương ứng với giá trị thuế nhập khẩu, phí và lệ phí liên quan đến nhập khẩu phải nộp theo quy định của pháp luật nhưng không vượt quá 15% giá hàng hoá, trừ các loại hàng hóa phải đóng thuế nhập khẩu, phí và lệ phí liên quan đến nhập khẩu;
d) Đối với gói thầu lựa chọn tổng thầu thiết kế, việc xác định ưu đãi căn cứ quy định tại điểm a khoản này. Đối với các gói thầu lựa chọn tổng thầu xây dựng khác thì việc xác định ưu đãi căn cứ theo quy định tại điểm b khoản này.
2. Trường hợp các hồ sơ dự thầu của nhà thầu nước ngoài được xếp hạng ngang nhau thì ưu tiên xếp hạng cao hơn cho hồ sơ dự thầu đề xuất giá trị chi phí trong nước cao hơn. Trường hợp hồ sơ dự thầu của nhà thầu trong nước và nhà thầu nước ngoài sau khi đã thực hiện việc ưu đãi theo khoản 1 Điều này được xếp hạng ngang nhau thì ưu tiên xếp hạng cao hơn cho hồ sơ dự thầu của nhà thầu trong nước.
Điều 5. Đào tạo, bồi dưỡng nghiệp vụ về đấu thầu
1. Đối tượng
a) Các cá nhân trực tiếp tham gia hoạt động đấu thầu phải có chứng chỉ đào tạo, bồi dưỡng nghiệp vụ về đấu thầu, trừ các nhà thầu;
b) Các cá nhân khác có nhu cầu.
2. Quản lý hoạt động đào tạo, bồi dưỡng về đấu thầu
Bộ Kế hoạch và Đầu tư có trách nhiệm tổ chức các hoạt động đào tạo, bồi dưỡng nghiệp vụ về đấu thầu theo quy định tại khoản 5 Điều 68 của Luật Đấu thầu, cụ thể như sau:
a) Tổng hợp tình hình hoạt động đào tạo, bồi dưỡng của các cơ sở đào tạo thông qua các báo cáo tình hình thực hiện công tác đấu thầu hàng năm của các bộ, ngành và địa phương;
b) Xây dựng hệ thống dữ liệu các cơ sở đào tạo về đấu thầu trên cơ sở các thông tin do các cơ sở đào tạo cung cấp.
3. Điều kiện để các cơ sở tổ chức hoạt động đào tạo, bồi dưỡng
a) Có Giấy chứng nhận đăng ký kinh doanh hoặc quyết định thành lập đối với cơ sở không có Giấy chứng nhận đăng ký kinh doanh theo quy định của pháp luật;
b) Có đội ngũ giảng viên về đấu thầu.
4. Điều kiện cấp chứng chỉ về đấu thầu
a) Chứng chỉ được cấp cho các học viên tham gia đầy đủ các khóa học về đấu thầu và đạt yêu cầu sau khi kiểm tra, sát hạch;
b) Khóa học về đấu thầu để cấp chứng chỉ phải được tổ chức từ 3 ngày trở lên.
5. Trách nhiệm, nghĩa vụ của các cơ sở đào tạo về đấu thầu
a) Chịu trách nhiệm về chất lượng đào tạo; cung cấp thông tin về cơ sở đào tạo của mình cho hệ thống cơ sở dữ liệu theo quy định tại điểm b khoản 2 Điều này;
b) Thực hiện hoạt động đào tạo, bồi dưỡng và cấp chứng chỉ tham gia khóa học cho học viên theo đúng quy định;
c) Định kỳ hàng năm báo cáo Bộ Kế hoạch và Đầu tư và bộ, ngành hoặc địa phương có liên quan để theo dõi, tổng hợp.
Điều 6. Chi phí trong đấu thầu
1. Mức giá bán một bộ hồ sơ mời thầu (bao gồm cả thuế) do chủ đầu tư quyết định căn cứ quy mô, tính chất của gói thầu nhưng tối đa là 1.000.000 đồng đối với đấu thầu trong nước; đối với đấu thầu quốc tế mức giá bán theo thông lệ đấu thầu quốc tế.
2. Chi phí thẩm định kết quả lựa chọn nhà thầu kể cả trường hợp không lựa chọn được nhà thầu được tính bằng 0,01% giá gói thầu nhưng tối thiểu là 500.000 đồng và tối đa là 30.000.000 đồng.
3. Chi phí cho Hội đồng tư vấn giải quyết kiến nghị của nhà thầu về kết quả lựa chọn nhà thầu là 0,01% giá dự thầu của nhà thầu có kiến nghị nhưng tối thiểu là 2.000.000 đồng và tối đa là 30.000.000 đồng.
Việc quản lý và sử dụng các khoản chi phí nêu tại khoản 1 và khoản 2 Điều này được thực hiện theo quy định của pháp luật hiện hành.
Điều 7. Tờ báo về đấu thầu và trang thông tin điện tử về đấu thầu
1. Việc đăng tải thông tin về đấu thầu quy định tại Điều 5 của Luật Đấu thầu được thực hiện miễn phí đối với các cơ quan, tổ chức gửi thông tin để đăng tải.
2. Cơ quan, đơn vị phát hành tờ báo về đấu thầu và trang thông tin điện tử về đấu thầu hoạt động theo hình thức đơn vị sự nghiệp có thu.
3. Tờ báo về đấu thầu được phát hành hàng ngày.
4. Cung cấp thông tin về đấu thầu
a) Trách nhiệm cung cấp thông tin
- Các bộ, cơ quan ngang bộ, cơ quan khác ở Trung ương và Ủy ban nhân dân các cấp chịu trách nhiệm cung cấp thông tin nêu tại điểm g và điểm h khoản 1 Điều 5 của Luật Đấu thầu.
- Chủ đầu tư, bên mời thầu chịu trách nhiệm cung cấp các thông tin nêu từ điểm a đến điểm e và điểm h khoản 1 Điều 5 của Luật Đấu thầu.
b) Thời hạn cung cấp thông tin
Đối với thông báo mời sơ tuyển, thông báo mời thầu và thông báo mời nộp hồ sơ quan tâm, thời hạn cung cấp thông tin chậm nhất là 15 ngày trước ngày phát hành hồ sơ mời sơ tuyển, hồ sơ mời thầu và hồ sơ quan tâm; đối với thông báo mời chào hàng thì thời hạn cung cấp thông tin chậm nhất là 10 ngày trước ngày phát hành hồ sơ yêu cầu. Đối với các thông tin còn lại quy định tại khoản 1 Điều 5 của Luật Đấu thầu, thời hạn cung cấp thông tin chậm nhất là 10 ngày, kể từ ngày ký văn bản.
Bộ Kế hoạch và Đầu tư chịu trách nhiệm quy định chi tiết việc cung cấp thông tin và lộ trình đăng tải thông tin về đấu thầu.
Chương II
KẾ HOẠCH ĐẤU THẦU
Điều 8. Căn cứ lập kế hoạch đấu thầu
1. Quyết định đầu tư và các tài liệu là cơ sở để quyết định đầu tư; Giấy chứng nhận đăng ký kinh doanh, Giấy chứng nhận đầu tư. Đối với các công việc chuẩn bị dự án thì căn cứ theo quyết định của người đứng đầu cơ quan chuẩn bị dự án.
2. Điều ước quốc tế hoặc văn bản thỏa thuận quốc tế đối với các dự án sử dụng vốn ODA.
3. Thiết kế, dự toán, tổng dự toán được duyệt (nếu có).
4. Nguồn vốn cho dự án.
5. Các văn bản pháp lý khác có liên quan (nếu có).
Điều 9. Nội dung của từng gói thầu trong kế hoạch đấu thầu
Việc phân chia dự án thành các gói thầu được thực hiện theo quy định tại khoản 4 Điều 6 của Luật Đấu thầu, bảo đảm quy mô gói thầu không quá nhỏ hoặc quá lớn làm hạn chế sự tham gia của các nhà thầu. Nội dung của từng gói thầu bao gồm:
1. Tên gói thầu
Tên gói thầu thể hiện tính chất, nội dung và phạm vi công việc của gói thầu, phù hợp với nội dung nêu trong dự án.
2. Giá gói thầu
Giá gói thầu được xác định trên cơ sở tổng mức đầu tư hoặc tổng dự toán, dự toán được duyệt và các quy định có liên quan.
3. Nguồn vốn
Đối với mỗi gói thầu phải nêu rõ nguồn vốn hoặc phương thức thu xếp vốn để thanh toán cho nhà thầu; trường hợp sử dụng vốn ODA thì phải nêu rõ tên nhà tài trợ vốn và cơ cấu nguồn vốn (ngoài nước, trong nước).
4. Hình thức lựa chọn nhà thầu và phương thức đấu thầu
Nêu hình thức lựa chọn nhà thầu (trong nước, quốc tế hoặc sơ tuyển nếu có) theo quy định từ Điều 18 đến Điều 24 của Luật Đấu thầu và Điều 97 của Luật Xây dựng, phương thức đấu thầu theo quy định tại Điều 26 của Luật Đấu thầu.
5. Thời gian lựa chọn nhà thầu
Nêu thời gian tổ chức thực hiện việc lựa chọn nhà thầu thực hiện gói thầu để bảo đảm tiến độ của gói thầu.
6. Hình thức hợp đồng
Tùy theo tính chất của gói thầu, xác định các hình thức hợp đồng áp dụng đối với hợp đồng cho gói thầu theo quy định từ Điều 49 đến Điều 53 của Luật Đấu thầu và Điều 107 của Luật Xây dựng.
7. Thời gian thực hiện hợp đồng
Thời gian thực hiện hợp đồng phải bảo đảm việc thực hiện gói thầu phù hợp với tiến độ thực hiện dự án.
Điều 10. Trình duyệt kế hoạch đấu thầu
1. Trách nhiệm trình duyệt
Chủ đầu tư có trách nhiệm trình kế hoạch đấu thầu lên người quyết định đầu tư xem xét, phê duyệt, đồng thời gửi cho cơ quan, tổ chức thẩm định; trường hợp trình kế hoạch đấu thầu lên Thủ tướng Chính phủ, chủ đầu tư còn phải gửi cho bộ quản lý ngành để có ý kiến bằng văn bản trình Thủ tướng Chính phủ xem xét, phê duyệt.
2. Hồ sơ trình duyệt
a) Văn bản trình duyệt kế hoạch đấu thầu bao gồm những nội dung sau đây:
- Phần công việc đã thực hiện bao gồm những công việc liên quan tới chuẩn bị dự án với giá trị tương ứng và căn cứ pháp lý để thực hiện;
- Phần công việc không áp dụng được một trong các hình thức lựa chọn nhà thầu quy định từ Điều 18 đến Điều 24 của Luật Đấu thầu và Điều 97 của Luật Xây dựng;
- Phần kế hoạch đấu thầu bao gồm những công việc hình thành các gói thầu được thực hiện theo một trong các hình thức lựa chọn nhà thầu quy định từ Điều 18 đến Điều 24 của Luật Đấu thầu và Điều 97 của Luật Xây dựng, kể cả các công việc như rà phá bom mìn, xây dựng khu tái định cư, bảo hiểm công trình, đào tạo. Nêu cơ sở của việc chia dự án thành các gói thầu. Đối với từng gói thầu, phải bảo đảm có đủ các nội dung quy định tại Điều 9 Nghị định này. Trường hợp không áp dụng đấu thầu rộng rãi thì phải nêu rõ lý do.
Tổng giá trị các phần công việc đã thực hiện, phần công việc không áp dụng các hình thức lựa chọn nhà thầu và phần công việc thuộc kế hoạch đấu thầu không được vượt tổng mức đầu tư của dự án.
Trường hợp cần thiết phải lập kế hoạch đấu thầu cho một hoặc một số gói thầu để thực hiện trước theo quy định tại khoản 2 Điều 6 của Luật Đấu thầu thì trong văn bản trình duyệt vẫn phải bao gồm các nội dung như quy định tại khoản này.
b) Tài liệu kèm theo văn bản trình duyệt
Khi trình duyệt kế hoạch đấu thầu, chủ đầu tư phải gửi kèm theo bản chụp các tài liệu làm căn cứ lập kế hoạch đấu thầu theo quy định tại Điều 8 Nghị định này.
Điều 11. Thẩm định và phê duyệt kế hoạch đấu thầu
1. Thẩm định kế hoạch đấu thầu
a) Thẩm định kế hoạch đấu thầu là việc tiến hành kiểm tra, đánh giá các nội dung theo quy định tại Điều 8, Điều 9 và Điều 10 Nghị định này.
b) Cơ quan, tổ chức thẩm định kế hoạch đấu thầu phải lập báo cáo kết quả thẩm định trên cơ sở tuân thủ quy định tại Điều 65 của Luật Đấu thầu trình người quyết định đầu tư phê duyệt.
2. Phê duyệt kế hoạch đấu thầu
Người quyết định đầu tư có trách nhiệm phê duyệt kế hoạch đấu thầu trong thời hạn không quá 10 ngày, kể từ ngày nhận được báo cáo của chủ đầu tư, báo cáo thẩm định của cơ quan, tổ chức thẩm định và ý kiến của các cơ quan liên quan (nếu có). Việc phê duyệt kế hoạch đấu thầu thuộc trách nhiệm của Thủ tướng Chính phủ được thực hiện theo Quy chế làm việc của Chính phủ.
Chương III
SƠ TUYỂN NHÀ THẦU
Điều 12. Áp dụng sơ tuyển
1. Việc sơ tuyển nhà thầu được thực hiện theo quy định tại điểm a khoản 1 Điều 32 của Luật Đấu thầu.
2. Trường hợp cần áp dụng sơ tuyển đối với các gói thầu không thuộc quy định tại khoản 1 Điều này thì người quyết định đầu tư quy định trong kế hoạch đấu thầu.
Điều 13. Trình tự thực hiện sơ tuyển
1. Lập hồ sơ mời sơ tuyển
Bên mời thầu lập hồ sơ mời sơ tuyển trình chủ đầu tư phê duyệt. Hồ sơ mời sơ tuyển bao gồm thông tin chỉ dẫn về gói thầu và các yêu cầu sau đây đối với nhà thầu:
a) Yêu cầu về năng lực kỹ thuật;
b) Yêu cầu về năng lực tài chính;
c) Yêu cầu về kinh nghiệm.
Tiêu chuẩn đánh giá hồ sơ dự sơ tuyển được xây dựng theo tiêu chí “đạt’, “không đạt” và cần được nêu trong hồ sơ mời sơ tuyển, bao gồm tiêu chuẩn đối với từng yêu cầu về năng lực kỹ thuật, về năng lực tài chính và về kinh nghiệm.
Đối với gói thầu xây lắp, gói thầu lựa chọn tổng thầu xây dựng, trừ tổng thầu thiết kế, tiêu chuẩn đánh giá hồ sơ dự sơ tuyển còn phải phù hợp với yêu cầu về điều kiện năng lực đối với từng loại, cấp công trình xây dựng theo quy định của Luật Xây dựng.
2. Thông báo mời sơ tuyển
Thông báo mời sơ tuyển theo mẫu nêu tại Phụ lục I kèm theo Nghị định này phải được đăng tải trên tờ báo về đấu thầu 3 kỳ liên tiếp và trên trang thông tin điện tử về đấu thầu; đối với đấu thầu quốc tế còn phải đăng tải đồng thời trên một tờ báo tiếng Anh được phát hành rộng rãi trong nước. Sau khi đăng tải theo quy định trên có thể đăng trên các phương tiện thông tin đại chúng khác. Hồ sơ mời sơ tuyển được cung cấp miễn phí cho các nhà thầu sau 10 ngày, kể từ ngày đăng tải đầu tiên thông báo mời sơ tuyển và được kéo dài đến thời điểm hết hạn nộp hồ sơ dự sơ tuyển (đóng sơ tuyển).
3. Tiếp nhận và quản lý hồ sơ dự sơ tuyển
Bên mời thầu tiếp nhận hồ sơ dự sơ tuyển do các nhà thầu nộp và quản lý theo chế độ quản lý hồ sơ “mật”. Hồ sơ dự sơ tuyển được nộp theo đúng yêu cầu nêu trong hồ sơ mời sơ tuyển sẽ được mở công khai ngay sau thời điểm đóng sơ tuyển. Hồ sơ dự sơ tuyển được gửi đến sau thời điểm đóng sơ tuyển sẽ không được mở và được bên mời thầu gửi trả lại nhà thầu theo nguyên trạng.
4. Đánh giá hồ sơ dự sơ tuyển
Việc đánh giá hồ sơ dự sơ tuyển do bên mời thầu thực hiện theo tiêu chuẩn đánh giá nêu trong hồ sơ mời sơ tuyển.
5. Trình và phê duyệt kết quả sơ tuyển
Bên mời thầu chịu trách nhiệm trình chủ đầu tư phê duyệt kết quả sơ tuyển.
6. Thông báo kết quả sơ tuyển
Sau khi chủ đầu tư phê duyệt kết quả sơ tuyển, bên mời thầu có trách nhiệm thông báo bằng văn bản về kết quả sơ tuyển đến các nhà thầu tham dự sơ tuyển để mời tham gia đấu thầu.
Chương IV
ĐẤU THẦU RỘNG RÃI VÀ ĐẤU THẦU HẠN CHẾ ĐỐI VỚI GÓI THẦU DỊCH VỤ TƯ VẤN
Điều 14. Chuẩn bị đấu thầu
1. Lựa chọn danh sách nhà thầu để mời tham gia đấu thầu
a) Đối với đấu thầu rộng rãi:
- Chủ đầu tư phê duyệt hồ sơ mời quan tâm bao gồm các nội dung sau đây để yêu cầu nhà thầu quan tâm cung cấp:
+ Về năng lực và số lượng chuyên gia;
+ Về năng lực tài chính;
+ Về kinh nghiệm.
Tiêu chuẩn đánh giá hồ sơ quan tâm được xây dựng theo tiêu chí “đạt’, “không đạt” và cần được nêu trong hồ sơ mời quan tâm, bao gồm tiêu chuẩn về năng lực và số lượng chuyên gia, về năng lực tài chính và về kinh nghiệm.
- Thông báo mời nộp hồ sơ quan tâm phải được đăng tải trên tờ báo về đấu thầu 3 kỳ liên tiếp và trên trang thông tin điện tử về đấu thầu; đối với đấu thầu quốc tế thì còn phải đăng tải đồng thời trên một tờ báo tiếng Anh được phát hành rộng rãi trong nước. Sau khi đăng tải theo quy định trên có thể đăng trên các phương tiện thông tin đại chúng khác;
- Sau thời hạn 10 ngày kể từ ngày đăng tải đầu tiên thông báo mời nộp hồ sơ quan tâm, bên mời thầu phát hành miễn phí hồ sơ mời quan tâm cho các nhà thầu có nhu cầu tham dự thầu;
- Thời gian để nhà thầu chuẩn bị hồ sơ quan tâm tối thiểu là 5 ngày đối với đấu thầu trong nước và 10 ngày đối với đấu thầu quốc tế;
- Bên mời thầu đánh giá hồ sơ quan tâm do nhà thầu nộp theo tiêu chuẩn đánh giá, trình chủ đầu tư phê duyệt danh sách nhà thầu mời tham gia đấu thầu.
b) Đối với đấu thầu hạn chế:
Chủ đầu tư phê duyệt danh sách nhà thầu được coi là có đủ năng lực và kinh nghiệm để mời tham gia đấu thầu.
2. Lập hồ sơ mời thầu
a) Căn cứ lập hồ sơ mời thầu:
- Quyết định đầu tư và các tài liệu là cơ sở để quyết định đầu tư; Giấy chứng nhận đăng ký kinh doanh, giấy chứng nhận đầu tư;
- Kế hoạch đấu thầu được duyệt;
- Các quy định của pháp luật về đấu thầu và các quy định của pháp luật có liên quan; Điều ước quốc tế hoặc văn bản thỏa thuận quốc tế (nếu có) đối với các dự án sử dụng vốn ODA;
- Các chính sách của Nhà nước về thuế, tiền lương, ưu đãi trong đấu thầu quốc tế hoặc các quy định khác có liên quan.
Trường hợp gói thầu cần thực hiện trước khi có quyết định đầu tư thì tổ chức được giao nhiệm vụ chuẩn bị dự án căn cứ các văn bản liên quan để lập hồ sơ mời thầu trình người đứng đầu cơ quan chuẩn bị dự án phê duyệt.
b) Nội dung hồ sơ mời thầu:
Hồ sơ mời thầu phải bao gồm các nội dung theo quy định tại khoản 2 Điều 32 của Luật Đấu thầu; trong đó phải bao gồm các yêu cầu quan trọng (điều kiện tiên quyết) để loại bỏ hồ sơ dự thầu, cụ thể như sau:
- Nhà thầu không có tên trong danh sách mua hồ sơ mời thầu, không đăng ký tham gia đấu thầu, trừ trường hợp quy định tại khoản 2 Điều 16 Nghị định này;
- Nhà thầu không bảo đảm tư cách hợp lệ theo quy định tại Điều 7, Điều 8 của Luật Đấu thầu;
- Nhà thầu không bảo đảm điều kiện năng lực theo quy định của Luật Xây dựng;
- Không có bản gốc hồ sơ dự thầu;
- Đơn dự thầu không hợp lệ;
- Hiệu lực của hồ sơ dự thầu không bảo đảm yêu cầu theo quy định trong hồ sơ mời thầu;
- Nhà thầu có tên trong hai hoặc nhiều hồ sơ dự thầu với tư cách là nhà thầu chính (nhà thầu độc lập hoặc thành viên trong liên danh);
- Các yêu cầu quan trọng khác có tính đặc thù của gói thầu.
Nhà thầu vi phạm chỉ một trong số các điều kiện tiên quyết quy định trong hồ sơ mời thầu sẽ bị loại và hồ sơ dự thầu không được xem xét tiếp.
3. Phê duyệt hồ sơ mời thầu
Người quyết định đầu tư phê duyệt hoặc ủy quyền cho chủ đầu tư phê duyệt hồ sơ mời thầu theo quy định tại Điều 60 của Luật Đấu thầu trên cơ sở báo cáo thẩm định của cơ quan, tổ chức thẩm định.
4. Mời thầu
a) Bên mời thầu gửi thư mời thầu tới các nhà thầu trong danh sách mời tham gia đấu thầu. Nội dung thư mời thầu lập theo mẫu nêu tại Phụ lục II kèm theo Nghị định này;
b) Thời gian từ khi gửi thư mời thầu đến khi phát hành hồ sơ mời thầu tối thiểu là 5 ngày đối với đấu thầu trong nước, 7 ngày đối với đấu thầu quốc tế.
Điều 15. Tiêu chuẩn đánh giá hồ sơ dự thầu
1. Đối với gói thầu dịch vụ tư vấn, kể cả dịch vụ tư vấn xây dựng theo quy định của Luật Xây dựng, không yêu cầu kỹ thuật cao:
a) Tiêu chuẩn đánh giá về mặt kỹ thuật: sử dụng thang điểm (100, 1.000,...) để đánh giá, bao gồm các nội dung sau đây:
- Kinh nghiệm và năng lực của nhà thầu. Tỷ lệ điểm đối với nội dung này quy định từ 10% - 20% tổng số điểm;
- Giải pháp và phương pháp luận đối với yêu cầu của gói thầu. Tỷ lệ điểm đối với nội dung này quy định từ 30% - 40% tổng số điểm;
- Nhân sự của nhà thầu để thực hiện gói thầu. Tỷ lệ điểm đối với nội dung này quy định từ 50% - 60% tổng số điểm.
Cần phải xác định mức điểm yêu cầu tối thiểu về mặt kỹ thuật song không được quy định thấp hơn 70% tổng số điểm. Hồ sơ dự thầu có điểm về mặt kỹ thuật không thấp hơn mức điểm yêu cầu tối thiểu thì được coi là đáp ứng yêu cầu về mặt kỹ thuật.
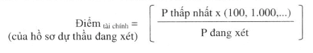
Sử dụng thang điểm (100, 1.000,...) thống nhất với thang điểm về mặt kỹ thuật. Điểm tài chính đối với từng hồ sơ dự thầu được xác định như sau:

Trong đó:
P thấp nhất: giá dự thầu thấp nhất sau sửa lỗi và hiệu chỉnh sai lệch trong số các nhà thầu đã vượt qua đánh giá về mặt kỹ thuật.
P đang xét: giá dự thầu sau sửa lỗi và hiệu chỉnh sai lệch của hồ sơ dự thầu đang xét.
c) Tiêu chuẩn đánh giá tổng hợp:
- Tiêu chuẩn đánh giá tổng hợp được xây dựng trên cơ sở tiêu chuẩn đánh giá về mặt kỹ thuật và về mặt tài chính, trong đó tỷ trọng điểm về mặt kỹ thuật không được quy định thấp hơn 70% tổng số điểm và tỷ trọng điểm về mặt tài chính không được quy định cao hơn 30% tổng số điểm;
- Điểm tổng hợp đối với một hồ sơ dự thầu được xác định theo công thức sau:
Điểm tổng hợp = Đkỹ thuật x (K%) + Đtài chính x (G%)
Trong đó:
+ K%: tỷ trọng điểm về mặt kỹ thuật (quy định trong thang điểm tổng hợp).
+ G%: tỷ trọng điểm về mặt tài chính (quy định trong thang điểm tổng hợp).
+ Đkỹ thuật : là số điểm của hồ sơ dự thầu được xác định tại bước đánh giá về mặt kỹ thuật theo quy định tại điểm a khoản này.
+ Đtài chính : là số điểm của hồ sơ dự thầu được xác định tại bước đánh giá về mặt tài chính theo quy định tại điểm b khoản này.
2. Đối với gói thầu dịch vụ tư vấn, kể cả dịch vụ tư vấn xây dựng theo quy định của Luật Xây dựng, có yêu cầu kỹ thuật cao:
Tiêu chuẩn đánh giá về mặt kỹ thuật được xây dựng theo quy định tại điểm a khoản 1 Điều này, trong đó mức điểm yêu cầu tối thiểu về mặt kỹ thuật không được quy định thấp hơn 80% tổng số điểm về mặt kỹ thuật.
Điều 16. Tổ chức đấu thầu
1. Phát hành hồ sơ mời thầu
a) Bên mời thầu bán hồ sơ mời thầu tới trước thời điểm đóng thầu cho các nhà thầu trong danh sách mời tham gia đấu thầu với giá bán được quy định tại khoản 1 Điều 6 Nghị định này. Đối với nhà thầu liên danh thì chỉ cần một thành viên trong liên danh mua hồ sơ mời thầu;
b) Việc sửa đổi và làm rõ hồ sơ mời thầu được thực hiện theo quy định tại khoản 1 Điều 33 và Điều 34 của Luật Đấu thầu.
2. Chuẩn bị hồ sơ dự thầu
Nhà thầu chuẩn bị và nộp hồ sơ dự thầu theo yêu cầu của hồ sơ mời thầu. Trường hợp nhà thầu cần thay đổi tư cách (tên) tham gia đấu thầu so với khi mua hồ sơ mời thầu, đăng ký tham gia đấu thầu thì phải thông báo bằng văn bản tới bên mời thầu. Bên mời thầu chỉ xem xét khi nhận được văn bản thông báo này trước thời điểm đóng thầu.
3. Tiếp nhận và quản lý hồ sơ dự thầu
Bên mời thầu tiếp nhận và quản lý các hồ sơ dự thầu đã nộp theo chế độ quản lý hồ sơ “mật”. Hồ sơ dự thầu được gửi đến bên mời thầu sau thời điểm đóng thầu đều được coi là không hợp lệ và được gửi trả lại cho nhà thầu theo nguyên trạng. Bất kỳ tài liệu nào được nhà thầu gửi đến sau thời điểm đóng thầu để sửa đổi, bổ sung hồ sơ dự thầu đã nộp đều được coi là không hợp lệ.
4. Sửa đổi hoặc rút hồ sơ dự thầu
Khi muốn sửa đổi hoặc rút hồ sơ dự thầu đã nộp, nhà thầu phải có văn bản đề nghị và bên mời thầu chỉ chấp thuận nếu nhận được văn bản đề nghị của nhà thầu trước thời điểm đóng thầu; văn bản đề nghị rút hồ sơ dự thầu phải được gửi riêng biệt với hồ sơ dự thầu.
5. Mở hồ sơ đề xuất kỹ thuật
a) Việc mở thầu phải được tiến hành công khai ngay sau thời điểm đóng thầu theo ngày, giờ, địa điểm quy định trong hồ sơ mời thầu trước sự chứng kiến của những người có mặt và không phụ thuộc vào sự có mặt hay vắng mặt của các nhà thầu được mời. Bên mời thầu có thể mời đại diện các cơ quan liên quan đến tham dự lễ mở thầu;
b) Bên mời thầu tiến hành mở hồ sơ đề xuất kỹ thuật của từng nhà thầu theo thứ tự chữ cái tên của nhà thầu và theo trình tự sau đây:
- Kiểm tra niêm phong;
- Mở hồ sơ, đọc và ghi vào biên bản các thông tin chủ yếu sau đây:
+ Tên nhà thầu;
+ Số lượng bản gốc, bản chụp hồ sơ;
+ Thời gian có hiệu lực của hồ sơ;
+ Văn bản đề nghị sửa đổi hồ sơ (nếu có);
+ Các thông tin khác có liên quan.
Biên bản mở thầu cần được đại diện các nhà thầu, đại diện bên mời thầu, đại diện các cơ quan liên quan tham dự ký xác nhận.
Sau khi mở thầu, bên mời thầu phải ký xác nhận vào từng trang bản gốc hồ sơ đề xuất kỹ thuật của từng hồ sơ dự thầu và quản lý theo chế độ quản lý hồ sơ “mật”. Việc đánh giá hồ sơ đề xuất kỹ thuật được tiến hành theo bản chụp. Nhà thầu phải chịu trách nhiệm về tính chính xác và phù hợp giữa bản chụp và bản gốc cũng như về niêm phong của hồ sơ dự thầu.
Điều 17. Đánh giá hồ sơ dự thầu
Việc đánh giá hồ sơ dự thầu đối với gói thầu dịch vụ tư vấn, kể cả dịch vụ tư vấn xây dựng theo quy định của Luật Xây dựng, căn cứ theo tiêu chuẩn đánh giá và các yêu cầu khác nêu trong hồ sơ mời thầu, theo nguyên tắc đánh giá được quy định tại Điều 28 của Luật Đấu thầu và trình tự đánh giá được quy định tại Điều 35 của Luật Đấu thầu, cụ thể như sau:
1. Đánh giá sơ bộ
a) Kiểm tra tính hợp lệ của hồ sơ đề xuất kỹ thuật theo yêu cầu của hồ sơ mời thầu:
- Tính hợp lệ của đơn dự thầu. Đơn dự thầu phải được điền đầy đủ và có chữ ký của người đại diện hợp pháp của nhà thầu theo yêu cầu của hồ sơ mời thầu. Đối với nhà thầu liên danh, đơn dự thầu phải do đại diện hợp pháp của từng thành viên liên danh ký, trừ trường hợp trong văn bản thoả thuận liên danh có quy định các thành viên trong liên danh uỷ quyền cho thành viên đứng đầu liên danh ký đơn dự thầu;
- Tính hợp lệ của thoả thuận liên danh. Trong thoả thuận liên danh phải phân định rõ trách nhiệm, quyền hạn, khối lượng công việc phải thực hiện và giá trị tương ứng của từng thành viên trong liên danh, kể cả người đứng đầu liên danh và trách nhiệm của người đứng đầu liên danh, chữ ký của các thành viên, con dấu (nếu có);
- Có một trong các loại giấy tờ hợp lệ theo yêu cầu của hồ sơ mời thầu: Giấy chứng nhận đăng ký kinh doanh, Giấy chứng nhận đầu tư, quyết định thành lập; Giấy đăng ký hoạt động hợp pháp; chứng chỉ chuyên môn phù hợp;
- Số lượng bản chính, bản chụp hồ sơ đề xuất kỹ thuật;
- Các phụ lục, tài liệu kèm theo hồ sơ dự thầu.
b) Loại bỏ hồ sơ dự thầu không đáp ứng yêu cầu quan trọng (điều kiện tiên quyết) nêu trong hồ sơ mời thầu theo quy định tại điểm b khoản 2 Điều 14 Nghị định này.
2. Đánh giá chi tiết
a) Đánh giá hồ sơ dự thầu đối với gói thầu dịch vụ tư vấn, kể cả dịch vụ tư vấn xây dựng theo quy định của Luật Xây dựng, không yêu cầu kỹ thuật cao:
- Đánh giá về mặt kỹ thuật:
Đánh giá theo tiêu chuẩn đánh giá về mặt kỹ thuật được quy định trong hồ sơ mời thầu. Chủ đầu tư phê duyệt danh sách các nhà thầu đáp ứng yêu cầu về mặt kỹ thuật để thực hiện đánh giá về mặt tài chính.
- Đánh giá về mặt tài chính:
Mở công khai hồ sơ đề xuất tài chính của các nhà thầu đáp ứng yêu cầu về mặt kỹ thuật theo trình tự quy định tại điểm b khoản 5 Điều 16 Nghị định này. Biên bản mở hồ sơ đề xuất tài chính bao gồm các thông tin chủ yếu sau đây:
+ Tên nhà thầu;
+ Số lượng bản gốc, bản chụp hồ sơ;
+ Giá dự thầu ghi trong đơn dự thầu;
+ Các thông tin khác có liên quan.
Sau khi mở thầu, bên mời thầu phải ký xác nhận vào từng trang bản gốc hồ sơ đề xuất tài chính của từng hồ sơ dự thầu và quản lý theo chế độ quản lý hồ sơ “mật”. Việc đánh giá về mặt tài chính được tiến hành theo bản chụp, nhà thầu phải chịu trách nhiệm về tính chính xác và phù hợp giữa bản gốc và bản chụp cũng như về niêm phong hồ sơ đề xuất tài chính. Việc đánh giá về mặt tài chính căn cứ theo tiêu chuẩn đánh giá về mặt tài chính nêu trong hồ sơ mời thầu.
- Đánh giá tổng hợp:
Đánh giá tổng hợp về mặt kỹ thuật và về mặt tài chính theo tiêu chuẩn đánh giá tổng hợp quy định trong hồ sơ mời thầu. Nhà thầu có điểm tổng hợp cao nhất được bên mời thầu trình chủ đầu tư phê duyệt xếp thứ nhất và được mời vào thương thảo hợp đồng theo quy định tại Điều 18 Nghị định này.
b) Đánh giá hồ sơ dự thầu đối với gói thầu dịch vụ tư vấn, kể cả dịch vụ tư vấn xây dựng theo quy định của Luật Xây dựng, có yêu cầu kỹ thuật cao:
Đánh giá hồ sơ đề xuất kỹ thuật theo tiêu chuẩn đánh giá được nêu trong hồ sơ mời thầu quy định tại điểm a khoản 2 Điều này. Hồ sơ dự thầu đạt số điểm về mặt kỹ thuật không thấp hơn mức điểm yêu cầu tối thiểu được coi là đáp ứng yêu cầu về mặt kỹ thuật và được bên mời thầu xếp hạng để trình chủ đầu tư phê duyệt. Nhà thầu xếp thứ nhất sẽ được mời đến để mở hồ sơ đề xuất tài chính và thương thảo hợp đồng theo quy định tại Điều 18 Nghị định này.
Điều 18. Thương thảo hợp đồng
1. Trên cơ sở quyết định của chủ đầu tư, bên mời thầu mời nhà thầu xếp hạng thứ nhất đến thương thảo hợp đồng.
2. Nội dung thương thảo hợp đồng
a) Nhiệm vụ và phạm vi công việc chi tiết của nhà thầu tư vấn cần thực hiện;
b) Chuyển giao công nghệ và đào tạo;
c) Kế hoạch công tác và bố trí nhân sự;
d) Tiến độ;
đ) Giải quyết thay đổi nhân sự (nếu có);
e) Bố trí điều kiện làm việc;
g) Chi phí dịch vụ tư vấn;
h) Các nội dung khác (nếu cần thiết).
Trường hợp thương thảo hợp đồng không thành, bên mời thầu báo cáo chủ đầu tư để xem xét, quyết định mời nhà thầu xếp hạng tiếp theo vào thương thảo.
Điều 19. Trình duyệt, thẩm định, phê duyệt và thông báo kết quả đấu thầu
1. Trình duyệt, thẩm định kết quả đấu thầu gói thầu dịch vụ tư vấn thực hiện theo quy định tại Điều 37, Điều 39 của Luật Đấu thầu và Điều 58, Điều 59 Nghị định này.
2. Việc phê duyệt kết quả đấu thầu thực hiện theo quy định tại Điều 40 của Luật Đấu thầu.
3. Thông báo kết quả đấu thầu thực hiện theo quy định tại Điều 41 của Luật Đấu thầu, cụ thể là ngay sau khi nhận được quyết định phê duyệt kết quả đấu thầu, bên mời thầu phải gửi văn bản thông báo kết quả đấu thầu cho các nhà thầu tham dự thầu, riêng đối với nhà thầu trúng thầu còn phải gửi kế hoạch thương thảo, hoàn thiện hợp đồng.
Điều 20. Thương thảo, hoàn thiện hợp đồng và ký kết hợp đồng
1. Việc thương thảo, hoàn thiện hợp đồng và ký kết hợp đồng thực hiện theo quy định tại Điều 42 và Chương III của Luật Đấu thầu, Mục 2 Chương VI của Luật Xây dựng.
2. Trường hợp thương thảo, hoàn thiện hợp đồng không thành thì chủ đầu tư báo cáo người quyết định đầu tư huỷ quyết định phê duyệt kết quả đấu thầu trước đó và xem xét, quyết định mời nhà thầu xếp hạng tiếp theo vào thương thảo hợp đồng theo quy định tại Điều 18 Nghị định này, trong trường hợp đó phải yêu cầu nhà thầu gia hạn hiệu lực hồ sơ dự thầu nếu cần thiết. Các bước công việc tiếp theo thực hiện theo quy định tại Điều 19 và Điều 20 Nghị định này.
Chương V
ĐẤU THẦU RỘNG RÃI VÀ ĐẤU THẦU HẠN CHẾ ĐỐI VỚI GÓI THẦU MUA SẮM HÀNG HOÁ, XÂY LẮP
MỤC I
ĐẤU THẦU MỘT GIAI ĐOẠN
Điều 21. Chuẩn bị đấu thầu
1. Sơ tuyển nhà thầu thực hiện theo quy định tại Chương III Nghị định này.
2. Lập hồ sơ mời thầu
a) Căn cứ lập hồ sơ mời thầu:
- Quyết định đầu tư và các tài liệu là cơ sở để quyết định đầu tư; Giấy chứng nhận đăng ký kinh doanh, Giấy chứng nhận đầu tư;
- Kế hoạch đấu thầu được duyệt;
- Tài liệu về thiết kế kèm theo tổng dự toán, dự toán được duyệt (đối với gói thầu xây lắp);
- Các quy định của pháp luật về đấu thầu và các quy định của pháp luật có liên quan; Điều ước quốc tế hoặc văn bản thỏa thuận quốc tế (nếu có) đối với các dự án sử dụng vốn ODA;
- Các chính sách của Nhà nước về thuế, tiền lương, ưu đãi nhà thầu trong nước hoặc các quy định khác có liên quan.
b) Nội dung hồ sơ mời thầu:
- Hồ sơ mời thầu phải bao gồm các nội dung theo quy định tại khoản 2 Điều 32 của Luật Đấu thầu. Đối với các gói thầu đã thực hiện sơ tuyển, trong hồ sơ mời thầu không cần quy định tiêu chuẩn đánh giá về kinh nghiệm và năng lực của nhà thầu song cần yêu cầu nhà thầu khẳng định lại các thông tin về năng lực và kinh nghiệm mà nhà thầu đã kê khai trong hồ sơ dự sơ tuyển;
- Hồ sơ mời thầu không được nêu yêu cầu về nhãn hiệu, xuất xứ cụ thể của hàng hoá theo quy định tại khoản 5 Điều 12 của Luật Đấu thầu. Trường hợp đặc biệt cần thiết phải nêu nhãn hiệu, catalô của một nhà sản xuất nào đó, hoặc hàng hoá từ một nước nào đó để tham khảo, minh họa cho yêu cầu về mặt kỹ thuật của hàng hóa thì phải ghi kèm theo cụm từ “hoặc tương đương” sau nhãn hiệu, catalô hoặc xuất xứ nêu ra và quy định rõ khái niệm tương đương nghĩa là có đặc tính kỹ thuật tương tự, có tính năng sử dụng là tương đương với các hàng hóa đã nêu. Đối với hàng hoá phức tạp, cần yêu cầu nhà thầu nộp giấy phép bán hàng của nhà sản xuất;
- Hồ sơ mời thầu phải bao gồm các yêu cầu quan trọng (điều kiện tiên quyết) để loại bỏ hồ sơ dự thầu, cụ thể như sau:
+ Nhà thầu không có tên trong danh sách mua hồ sơ mời thầu, không đăng ký tham gia đấu thầu, trừ trường hợp quy định tại khoản 2 Điều 26 Nghị định này;
+ Nhà thầu không bảo đảm tư cách hợp lệ theo quy định tại Điều 7, Điều 8 của Luật Đấu thầu;
+ Không có bảo đảm dự thầu hoặc có bảo đảm dự thầu nhưng không hợp lệ: có giá trị thấp hơn, không đúng đồng tiền quy định, thời gian hiệu lực ngắn hơn, không nộp theo địa chỉ và thời gian quy định trong hồ sơ mời thầu, không đúng tên nhà thầu, không phải là bản gốc và không có chữ ký hợp lệ (đối với thư bảo lãnh của ngân hàng);
+ Không có bản gốc hồ sơ dự thầu;
+ Đơn dự thầu không hợp lệ;
+ Hiệu lực của hồ sơ dự thầu không bảo đảm yêu cầu theo quy định trong hồ sơ mời thầu;
+ Hồ sơ dự thầu có giá dự thầu không cố định, chào thầu theo nhiều mức giá hoặc giá có kèm điều kiện;
+ Nhà thầu có tên trong hai hoặc nhiều hồ sơ dự thầu với tư cách là nhà thầu chính;
+ Không đáp ứng yêu cầu về năng lực và kinh nghiệm theo quy định tại điểm c khoản 1 Điều 27 Nghị định này và Điều 7 của Luật Xây dựng;
+ Các yêu cầu quan trọng khác có tính đặc thù của gói thầu.
Nhà thầu vi phạm một trong các điều kiện tiên quyết quy định trong hồ sơ mời thầu sẽ bị loại và hồ sơ dự thầu không được xem xét tiếp.
3. Phê duyệt hồ sơ mời thầu
Thực hiện theo quy định tại khoản 3 Điều 14 Nghị định này.
4. Mời thầu
a) Thông báo mời thầu
Đối với đấu thầu rộng rãi không có sơ tuyển, phải thực hiện đăng tải thông báo mời thầu trên tờ báo về đấu thầu 3 kỳ liên tiếp và trên trang thông tin điện tử về đấu thầu; đối với đấu thầu quốc tế thì còn phải đăng tải đồng thời trên một tờ báo tiếng Anh được phát hành rộng rãi trong nước. Sau khi đăng tải theo quy định trên có thể đăng trên các phương tiện thông tin đại chúng khác.
Nội dung thông báo mời thầu được lập theo mẫu nêu trong Phụ lục III, Phụ lục IV và Phụ lục V kèm theo Nghị định này.
b) Gửi thư mời thầu
Áp dụng đối với đấu thầu hạn chế và các gói thầu đã qua sơ tuyển. Bên mời thầu gửi thư mời thầu theo mẫu nêu tại Phụ lục III, IV và V kèm theo Nghị định này tới nhà thầu trong danh sách được mời tham gia đấu thầu hạn chế hoặc danh sách nhà thầu vượt qua sơ tuyển. Thời gian từ khi gửi thư mời thầu đến khi phát hành hồ sơ mời thầu tối thiểu là 5 ngày đối với đấu thầu trong nước, 7 ngày đối với đấu thầu quốc tế.
Điều 22. Quy định chung tiêu chuẩn đánh giá về mặt kỹ thuật
1. Sử dụng phương pháp chấm điểm
a) Sử dụng thang điểm tối đa (100, 1.000,...) để xây dựng tiêu chuẩn đánh giá về mặt kỹ thuật. Nội dung tiêu chuẩn đánh giá về mặt kỹ thuật đối với gói thầu mua sắm hàng hóa và xây lắp được nêu tại khoản 2 Điều 23 và khoản 2 Điều 24 Nghị định này. Mức điểm yêu cầu tối thiểu về mặt kỹ thuật được quy định tuỳ theo tính chất của từng gói thầu nhưng phải bảo đảm không thấp hơn 70% tổng số điểm về mặt kỹ thuật; đối với gói thầu có yêu cầu kỹ thuật cao không thấp hơn 80%;
Đối với gói thầu lựa chọn tổng thầu xây dựng (trừ gói thầu lựa chọn tổng thầu thiết kế) còn phải quy định mức điểm yêu cầu tối thiểu cho từng nội dung công việc bảo đảm không thấp hơn 70% mức điểm tối đa tương ứng.
b) Đối với gói thầu mua sắm hàng hoá, xây lắp, hồ sơ dự thầu được coi là đáp ứng yêu cầu về mặt kỹ thuật khi đạt số điểm không thấp hơn mức điểm yêu cầu tối thiểu về mặt kỹ thuật.
Đối với gói thầu lựa chọn tổng thầu xây dựng (trừ gói thầu lựa chọn tổng thầu thiết kế), hồ sơ dự thầu được coi là đáp ứng yêu cầu về mặt kỹ thuật khi số điểm được đánh giá cho từng nội dung công việc không thấp hơn mức điểm yêu cầu tối thiểu tương ứng và điểm tổng hợp của các nội dung không thấp hơn mức điểm yêu cầu tối thiểu về mặt kỹ thuật của cả gói thầu.
2. Sử dụng tiêu chí “đạt”, “không đạt”
a) Tiêu chuẩn đánh giá
Nội dung tiêu chuẩn đánh giá về mặt kỹ thuật đối với gói thầu mua sắm hàng hóa và xây lắp được nêu tại khoản 2 Điều 23 và khoản 2 Điều 24 Nghị định này. Tuỳ theo tính chất của gói thầu mà xác định mức độ yêu cầu đối với từng nội dung. Đối với các nội dung được coi là các yêu cầu cơ bản của hồ sơ mời thầu, chỉ sử dụng tiêu chí “đạt” hoặc “không đạt”. Đối với các nội dung yêu cầu không cơ bản, ngoài tiêu chí “đạt” hoặc “không đạt”, được áp dụng thêm tiêu chí “chấp nhận được” nhưng không được vượt quá 30% tổng số các nội dung yêu cầu trong tiêu chuẩn đánh giá.
b) Một hồ sơ dự thầu được đánh giá là đáp ứng yêu cầu về mặt kỹ thuật khi có tất cả nội dung yêu cầu cơ bản đều được đánh giá là “đạt”, các nội dung yêu cầu không cơ bản được đánh giá là “đạt” hoặc “chấp nhận được”.
Điều 23. Tiêu chuẩn đánh giá hồ sơ dự thầu đối với gói thầu mua sắm hàng hoá
Tiêu chuẩn đánh giá hồ sơ dự thầu đối với gói thầu mua sắm hàng hóa gồm tiêu chuẩn đánh giá về năng lực và kinh nghiệm của nhà thầu, tiêu chuẩn đánh giá về mặt kỹ thuật và cách xác định chi phí trên cùng một mặt bằng (giá đánh giá), cụ thể như sau:
1. Tiêu chuẩn đánh giá về năng lực và kinh nghiệm của nhà thầu áp dụng đối với gói thầu không tiến hành sơ tuyển, bao gồm:
a) Kinh nghiệm thực hiện các gói thầu tương tự tại Việt Nam và ở nước ngoài; kinh nghiệm hoạt động trong lĩnh vực sản xuất, kinh doanh chính;
b) Năng lực sản xuất và kinh doanh, cơ sở vật chất kỹ thuật, trình độ cán bộ chuyên môn;
c) Năng lực tài chính: tổng tài sản, tổng nợ phải trả, vốn lưu động, doanh thu, lợi nhuận, giá trị hợp đồng đang thực hiện dở dang và các chỉ tiêu khác.
Việc xác định mức độ yêu cầu cụ thể đối với từng tiêu chuẩn quy định tại các điểm a, điểm b và điểm c khoản này cần căn cứ theo yêu cầu của từng gói thầu.
Các tiêu chuẩn đánh giá quy định tại khoản này được sử dụng tiêu chí “đạt’’, “không đạt’’. Nhà thầu “đạt” cả 3 nội dung nêu tại các điểm a, điểm b và điểm c khoản này thì được đánh giá là đáp ứng yêu cầu về năng lực và kinh nghiệm.
2. Tiêu chuẩn đánh giá về mặt kỹ thuật
Tiêu chuẩn đánh giá về mặt kỹ thuật được xây dựng theo quy định tại Điều 22 Nghị định này và bao gồm các nội dung về khả năng đáp ứng các yêu cầu về số lượng, chất lượng đối với hàng hóa nêu trong hồ sơ mời thầu, cụ thể:
a) Đặc tính, thông số kỹ thuật của hàng hóa, tiêu chuẩn sản xuất và các nội dung khác;
b) Tính hợp lý và hiệu quả kinh tế của các giải pháp kỹ thuật, biện pháp tổ chức cung cấp hàng hóa;
c) Khả năng lắp đặt thiết bị và năng lực cán bộ kỹ thuật;
d) Mức độ đáp ứng các yêu cầu về bảo hành;
đ) Khả năng thích ứng về mặt địa lý;
e) Tác động đối với môi trường và biện pháp giải quyết;
g) Khả năng cung cấp tài chính (nếu có yêu cầu);
h) Các yếu tố khác về điều kiện thương mại, tài chính, thời gian thực hiện, đào tạo chuyển giao công nghệ (nếu có).
3. Nội dung xác định giá đánh giá
Việc xác định giá đánh giá là xác định chi phí trên cùng một mặt bằng về kỹ thuật, tài chính, thương mại và các yếu tố khác nhằm so sánh, xếp hạng các hồ sơ dự thầu. Phương pháp xác định giá đánh giá phải được nêu trong tiêu chuẩn đánh giá. Việc xác định giá đánh giá thực hiện theo trình tự sau đây:
- Xác định giá dự thầu;
- Sửa lỗi;
- Hiệu chỉnh các sai lệch;
Giá dự thầu sau sửa lỗi và hiệu chỉnh sai lệch được gọi là giá đề nghị trúng thầu.
- Chuyển đổi giá đề nghị trúng thầu sang một đồng tiền chung (nếu có) để làm căn cứ xác định giá đánh giá;
- Đưa các chi phí về một mặt bằng để xác định giá đánh giá, bao gồm:
+ Các điều kiện về mặt kỹ thuật như: tiến độ thực hiện; công suất, hiệu suất của máy móc thiết bị; mức tiêu hao điện năng, nguyên nhiên vật liệu; chi phí vận hành, duy tu, bảo dưỡng, tuổi thọ và các yếu tố kỹ thuật khác tùy theo từng gói thầu cụ thể;
+ Điều kiện tài chính, thương mại;
+ Ưu đãi trong đấu thầu quốc tế (nếu có);
+ Các yếu tố khác.
Tuỳ theo tính chất của từng gói thầu mà quy định các yếu tố để xác định giá đánh giá cho phù hợp. Hồ sơ dự thầu có giá đánh giá thấp nhất được xếp thứ nhất.
Điều 24. Tiêu chuẩn đánh giá hồ sơ dự thầu đối với gói thầu xây lắp
Tiêu chuẩn đánh giá hồ sơ dự thầu đối với gói thầu xây lắp gồm tiêu chuẩn đánh giá về năng lực và kinh nghiệm của nhà thầu, tiêu chuẩn đánh giá về mặt kỹ thuật và nội dung xác định giá đánh giá, cụ thể như sau:
1. Tiêu chuẩn đánh giá về năng lực và kinh nghiệm của nhà thầu áp dụng đối với gói thầu không tiến hành sơ tuyển, bao gồm:
a) Kinh nghiệm thực hiện các gói thầu tương tự ở Việt Nam, ở vùng địa lý và hiện trường tương tự;
b) Năng lực kỹ thuật: số lượng, trình độ cán bộ, công nhân kỹ thuật trực tiếp thực hiện gói thầu và số lượng thiết bị thi công sẵn có, khả năng huy động thiết bị thi công để thực hiện gói thầu;
c) Năng lực tài chính: tổng tài sản, tổng nợ phải trả, vốn lưu động, doanh thu, lợi nhuận, giá trị hợp đồng đang thực hiện dở dang và các chỉ tiêu khác.
Việc xác định mức độ yêu cầu cụ thể đối với từng tiêu chuẩn quy định tại các điểm a, điểm b và điểm c khoản này phải căn cứ theo yêu cầu của từng gói thầu.
Các tiêu chuẩn đánh giá quy định tại khoản này được sử dụng theo tiêu chí “đạt’’, “không đạt’’. Nhà thầu “đạt” cả 3 nội dung nêu tại điểm a, điểm b và điểm c khoản này thì được đánh giá là đáp ứng yêu cầu về năng lực và kinh nghiệm.
2. Tiêu chuẩn đánh giá về mặt kỹ thuật
Tiêu chuẩn đánh giá về mặt kỹ thuật được xây dựng theo quy định tại Điều 22 Nghị định này và bao gồm các nội dung về mức độ đáp ứng đối với các yêu cầu về hồ sơ thiết kế kỹ thuật và tiên lượng kèm theo, cụ thể:
a) Tính hợp lý và khả thi của các giải pháp kỹ thuật, biện pháp tổ chức thi công;
b) Bảo đảm điều kiện vệ sinh môi trường và các điều kiện khác như phòng cháy, chữa cháy, an toàn lao động;
c) Mức độ đáp ứng của thiết bị thi công (số lượng, chủng loại, chất lượng và tiến độ huy động), vật tư và nhân lực phục vụ thi công;
d) Mức độ đáp ứng các yêu cầu về bảo hành;
đ) Các biện pháp bảo đảm chất lượng;
e) Khả năng cung cấp tài chính (nếu có yêu cầu);
g) Tiến độ thi công;
h) Các nội dung khác (nếu có).
3. Nội dung xác định giá đánh giá
Việc xác định giá đánh giá là xác định chi phí trên cùng một mặt bằng về kỹ thuật, tài chính, thương mại và các yếu tố khác nhằm so sánh, xếp hạng các hồ sơ dự thầu. Phương pháp xác định giá đánh giá phải được nêu trong tiêu chuẩn đánh giá. Việc xác định giá đánh giá thực hiện theo trình tự sau đây:
- Xác định giá dự thầu;
- Sửa lỗi;
- Hiệu chỉnh các sai lệch;
Giá dự thầu sau sửa lỗi và hiệu chỉnh sai lệch được gọi là giá đề nghị trúng thầu.
- Chuyển đổi giá đề nghị trúng thầu sang một đồng tiền chung (nếu có) để làm căn cứ xác định giá đánh giá;
- Đưa các chi phí về một mặt bằng để xác định giá đánh giá, bao gồm:
+ Các điều kiện về mặt kỹ thuật như: tiến độ thực hiện; chi phí quản lý, vận hành, duy tu, bảo dưỡng, tuổi thọ công trình và các yếu tố kỹ thuật khác tùy theo từng gói thầu cụ thể;
+ Điều kiện tài chính, thương mại;
+ Ưu đãi trong đấu thầu quốc tế (nếu có);
+ Các yếu tố khác.
Tuỳ theo tính chất của từng gói thầu mà quy định các yếu tố để xác định giá đánh giá cho phù hợp. Hồ sơ dự thầu có giá đánh giá thấp nhất được xếp thứ nhất.
Điều 25. Tiêu chuẩn đánh giá hồ sơ dự thầu đối với gói thầu lựa chọn tổng thầu xây dựng (trừ gói thầu lựa chọn tổng thầu thiết kế)
Tiêu chuẩn đánh giá hồ sơ dự thầu đối với gói thầu lựa chọn tổng thầu xây dựng (trừ gói thầu lựa chọn tổng thầu thiết kế) bao gồm tiêu chuẩn đánh giá đối với từng nội dung công việc theo quy định tại điểm a khoản 1 Điều 15, Điều 22, Điều 23 và Điều 24 Nghị định này.
Điều 26. Tổ chức đấu thầu
1. Phát hành hồ sơ mời thầu
a) Bên mời thầu bán hồ sơ mời thầu tới thời điểm trước khi đóng thầu cho các nhà thầu trong danh sách trúng sơ tuyển (trong trường hợp có sơ tuyển), các nhà thầu được mời tham gia đấu thầu hạn chế hoặc các nhà thầu có nhu cầu tham gia đấu thầu rộng rãi với mức giá bán quy định tại khoản 1 Điều 6 Nghị định này. Đối với nhà thầu liên danh thì chỉ cần một thành viên trong liên danh mua hồ sơ mời thầu;
b) Việc sửa đổi và làm rõ hồ sơ mời thầu thực hiện theo quy định tại khoản 1 Điều 33 và Điều 34 của Luật Đấu thầu.
2. Chuẩn bị, tiếp nhận, sửa đổi hoặc rút hồ sơ dự thầu
Thực hiện theo quy định tại khoản 2, khoản 3 và khoản 4 Điều 16 Nghị định này.
3. Mở thầu
a) Việc mở thầu được tiến hành công khai ngay sau thời điểm đóng thầu theo ngày, giờ, địa điểm quy định trong hồ sơ mời thầu trước sự chứng kiến của những người có mặt và không phụ thuộc vào sự có mặt hay vắng mặt của các nhà thầu được mời. Bên mời thầu có thể mời đại diện của các cơ quan có liên quan đến tham dự lễ mở thầu;
b) Bên mời thầu tiến hành mở lần lượt hồ sơ dự thầu của từng nhà thầu có tên trong danh sách mua hồ sơ mời thầu, đăng ký tham gia đấu thầu và nộp hồ sơ dự thầu trước thời điểm đóng thầu theo thứ tự chữ cái tên của nhà thầu. Trình tự mở thầu được thực hiện như sau:
- Kiểm tra niêm phong hồ sơ dự thầu;
- Mở, đọc và ghi vào biên bản các thông tin chủ yếu sau đây:
+ Tên nhà thầu;
+ Số lượng bản gốc, bản chụp hồ sơ dự thầu;
+ Thời gian có hiệu lực của hồ sơ dự thầu;
+ Giá dự thầu ghi trong đơn dự thầu và giảm giá (nếu có);
+ Giá trị và thời hạn hiệu lực của bảo đảm dự thầu;
+ Văn bản đề nghị sửa đổi hồ sơ dự thầu (nếu có);
+ Các thông tin khác có liên quan.
Biên bản mở thầu cần được đại diện bên mời thầu, đại diện các nhà thầu, và đại diện các cơ quan liên quan tham dự ký xác nhận.
Sau khi mở thầu, bên mời thầu phải ký xác nhận vào từng trang bản gốc của tất cả hồ sơ dự thầu và quản lý theo chế độ quản lý hồ sơ “mật”. Việc đánh giá hồ sơ dự thầu được tiến hành theo bản chụp. Nhà thầu phải chịu trách nhiệm về tính chính xác và phù hợp giữa bản chụp và bản gốc cũng như về niêm phong của hồ sơ dự thầu.
Điều 27. Đánh giá hồ sơ dự thầu
Việc đánh giá hồ sơ dự thầu tiến hành theo tiêu chuẩn đánh giá hồ sơ dự thầu và các yêu cầu khác nêu trong hồ sơ mời thầu, theo nguyên tắc đánh giá quy định tại Điều 28 của Luật Đấu thầu và trình tự đánh giá quy định tại Điều 35 của Luật Đấu thầu, cụ thể như sau:
1. Đánh giá sơ bộ
a) Kiểm tra tính hợp lệ của hồ sơ dự thầu:
- Tính hợp lệ của đơn dự thầu. Đơn dự thầu phải được điền đầy đủ và có chữ ký của người đại diện hợp pháp của nhà thầu theo yêu cầu của hồ sơ mời thầu. Đối với nhà thầu liên danh, đơn dự thầu phải do đại diện hợp pháp của từng thành viên liên danh ký, trừ trường hợp trong văn bản thoả thuận liên danh có quy định các thành viên còn lại uỷ quyền cho thành viên đứng đầu liên danh ký đơn dự thầu;
- Tính hợp lệ của thoả thuận liên danh. Trong thoả thuận liên danh phải phân định rõ trách nhiệm, quyền hạn, khối lượng công việc phải thực hiện và giá trị tương ứng của từng thành viên trong liên danh, kể cả người đứng đầu liên danh và trách nhiệm của người đứng đầu liên danh; chữ ký của các thành viên, con dấu (nếu có);
- Có một trong các loại giấy tờ theo yêu cầu của hồ sơ mời thầu: Giấy chứng nhận đăng ký kinh doanh, Giấy chứng nhận đầu tư; quyết định thành lập hoặc Giấy đăng ký hoạt động hợp pháp; Giấy phép bán hàng thuộc bản quyền của nhà sản xuất (nếu có yêu cầu);
- Số lượng bản chính, bản chụp hồ sơ dự thầu;
- Sự hợp lệ của bảo đảm dự thầu;
- Các phụ lục, tài liệu kèm theo hồ sơ dự thầu.
b) Loại bỏ hồ sơ dự thầu không đáp ứng các điều kiện tiên quyết quy định trong hồ sơ mời thầu theo quy định tại điểm b khoản 2 Điều 21 Nghị định này;
c) Đánh giá năng lực và kinh nghiệm của nhà thầu theo tiêu chuẩn đánh giá về năng lực và kinh nghiệm nêu trong hồ sơ mời thầu đối với gói thầu không tiến hành sơ tuyển.
Đối với các gói thầu đã qua sơ tuyển, cần cập nhật các thông tin mà nhà thầu kê khai ở thời điểm sơ tuyển nhằm chuẩn xác khả năng đáp ứng yêu cầu về năng lực và kinh nghiệm của nhà thầu.
2. Đánh giá chi tiết hồ sơ dự thầu
a) Đánh giá về mặt kỹ thuật
Đánh giá theo tiêu chuẩn đánh giá về mặt kỹ thuật được quy định trong hồ sơ mời thầu. Trong quá trình đánh giá, bên mời thầu có quyền yêu cầu nhà thầu giải thích, làm rõ về những nội dung chưa rõ, khác thường trong hồ sơ dự thầu. Chỉ những hồ sơ dự thầu được chủ đầu tư phê duyệt đạt yêu cầu về mặt kỹ thuật mới được xác định giá đánh giá theo quy định tại điểm b khoản này.
b) Xác định giá đánh giá
Việc xác định giá đánh giá thực hiện theo quy định tại khoản 3 Điều 23 và khoản 3 Điều 24 Nghị định này.
3. Xếp hạng hồ sơ dự thầu theo giá đánh giá. Hồ sơ dự thầu có giá đánh giá thấp nhất được xếp thứ nhất. Trong trường hợp gói thầu phức tạp, nếu thấy cần thiết thì bên mời thầu báo cáo chủ đầu tư cho phép nhà thầu có hồ sơ dự thầu xếp thứ nhất vào thương thảo sơ bộ về hợp đồng để tạo thuận lợi cho việc thương thảo hoàn thiện hợp đồng sau khi có kết quả trúng thầu.
Điều 28. Sửa lỗi và hiệu chỉnh các sai lệch
1. Sửa lỗi
Sửa lỗi là việc sửa lại những sai sót trong hồ sơ dự thầu bao gồm lỗi số học, lỗi khác, lỗi nhầm đơn vị và được tiến hành theo nguyên tắc sau đây:
a) Đối với lỗi số học bao gồm những lỗi do thực hiện các phép tính cộng, trừ, nhân, chia không chính xác:
- Trường hợp không nhất quán giữa đơn giá và thành tiền thì lấy đơn giá làm cơ sở pháp lý cho việc sửa lỗi;
- Trường hợp không nhất quán giữa bảng giá tổng hợp và bảng giá chi tiết thì lấy bảng giá chi tiết làm cơ sở pháp lý cho việc sửa lỗi.
b) Đối với các lỗi khác:
- Cột thành tiền được điền vào mà không có đơn giá tương ứng thì đơn giá được xác định bổ sung bằng cách chia thành tiền cho số lượng;
- Khi có đơn giá nhưng cột thành tiền bỏ trống thì thành tiền sẽ được xác định bổ sung bằng cách nhân số lượng với đơn giá;
- Nếu một nội dung nào đó có điền đơn giá và thành tiền nhưng bỏ trống số lượng thì số lượng bỏ trống được xác định bổ sung bằng cách chia thành tiền cho đơn giá của nội dung đó. Trường hợp số lượng được xác định bổ sung nêu trên khác với số lượng nêu trong hồ sơ mời thầu thì được coi là sai lệch về phạm vi cung cấp và được hiệu chỉnh theo quy định tại khoản 2 Điều này;
- Lỗi nhầm đơn vị: sử dụng dấu "," (dấu phảy) thay cho dấu "." (dấu chấm) và ngược lại thì được sửa lại cho phù hợp theo cách viết của Việt Nam.
Lỗi số học được tính theo tổng giá trị tuyệt đối, không phụ thuộc vào việc giá dự thầu tăng lên hay giảm đi sau khi sửa.
Sau khi sửa lỗi theo nguyên tắc trên, bên mời thầu sẽ thông báo bằng văn bản cho nhà thầu. Nhà thầu phải có văn bản thông báo cho bên mời thầu về việc chấp nhận sửa lỗi nêu trên. Nếu nhà thầu không chấp nhận việc sửa lỗi thì hồ sơ dự thầu của nhà thầu đó sẽ bị loại.
2. Hiệu chỉnh các sai lệch
Hiệu chỉnh các sai lệch là việc điều chỉnh những nội dung thiếu hoặc thừa trong hồ sơ dự thầu so với yêu cầu của hồ sơ mời thầu cũng như điều chỉnh những khác biệt giữa các phần của hồ sơ dự thầu; giữa đề xuất kỹ thuật và đề xuất tài chính; giữa con số và chữ viết; giữa nội dung trong đơn dự thầu và các phần khác của hồ sơ dự thầu. Việc hiệu chỉnh sai lệch được thực hiện như sau:
a) Trường hợp có những sai lệch về phạm vi cung cấp thì phần chào thiếu sẽ được cộng thêm vào, phần chào thừa sẽ được trừ đi theo nguyên tắc nếu không thể tách ra trong giá dự thầu của nhà thầu đang tiến hành sửa sai lệch thì lấy mức giá chào cao nhất đối với nội dung này (nếu chào thiếu) và lấy mức giá chào thấp nhất (nếu chào thừa) trong số các hồ sơ dự thầu khác vượt qua bước đánh giá về mặt kỹ thuật. Trong trường hợp chỉ có một nhà thầu duy nhất vượt qua bước đánh giá về mặt kỹ thuật thì tiến hành sửa sai lệch trên cơ sở lấy mức giá của nhà thầu này (nếu có) hoặc của các hồ sơ dự thầu hoặc trong dự toán, tổng dự toán hoặc trong giá gói thầu được duyệt theo nguyên tắc lấy mức giá cao nhất (đối với chào thiếu) hoặc thấp nhất (đối với chào thừa) để áp dụng cho các nội dung nêu trên;
b) Trường hợp có sai lệch giữa những nội dung thuộc đề xuất kỹ thuật và nội dung thuộc đề xuất tài chính thì nội dung thuộc đề xuất kỹ thuật sẽ là cơ sở pháp lý cho việc hiệu chỉnh sai lệch;
c) Trường hợp không nhất quán giữa con số và chữ viết thì lấy chữ viết làm cơ sở pháp lý cho việc hiệu chỉnh sai lệch;
d) Trường hợp có sự sai khác giữa giá ghi trong đơn dự thầu (không kể giảm giá) và giá trong biểu giá tổng hợp thì được coi đây là sai lệch và việc hiệu chỉnh sai lệch này được căn cứ vào giá ghi trong biểu giá tổng hợp sau khi được hiệu chỉnh và sửa lỗi theo biểu giá chi tiết.
Điều 29. Trình duyệt, thẩm định, phê duyệt, thông báo kết quả đấu thầu, thương thảo, hoàn thiện hợp đồng và ký kết hợp đồng
1. Trình duyệt, thẩm định, phê duyệt, thông báo kết quả đấu thầu được thực hiện theo quy định tại Điều 38, Điều 39 của Luật Đấu thầu và khoản 2, khoản 3 Điều 19, Điều 58, Điều 59 Nghị định này.
2. Thương thảo, hoàn thiện hợp đồng và ký kết hợp đồng
a) Việc thương thảo, hoàn thiện hợp đồng và ký kết hợp đồng được thực hiện theo quy định tại Điều 42 và Chương III của Luật Đấu thầu, Mục 2 Chương VI của Luật Xây dựng.
b) Trường hợp thương thảo, hoàn thiện hợp đồng không thành thì chủ đầu tư báo cáo người quyết định đầu tư hoặc người được uỷ quyền quyết định huỷ kết quả đấu thầu trước đó và xem xét, quyết định nhà thầu xếp hạng tiếp theo trúng thầu để có cơ sở pháp lý mời vào thương thảo, hoàn thiện hợp đồng; trong trường hợp đó, phải yêu cầu nhà thầu gia hạn hiệu lực hồ sơ dự thầu và bảo đảm dự thầu nếu cần thiết.
MỤC II
ĐẤU THẦU HAI GIAI ĐOẠN
Điều 30. Chuẩn bị đấu thầu giai đoạn 1
1. Việc sơ tuyển nhà thầu được thực hiện theo quy định tại Chương III Nghị định này.
2. Lập hồ sơ mời thầu giai đoạn 1
a) Căn cứ lập hồ sơ mời thầu theo quy định tại điểm a khoản 2 Điều 21 Nghị định này;
b) Hồ sơ mời thầu giai đoạn 1 có nội dung theo quy định tại điểm b khoản 2 Điều 21 Nghị định này nhưng không yêu cầu nhà thầu đề xuất về giá dự thầu và không yêu cầu thực hiện biện pháp bảo đảm dự thầu.
3. Việc phê duyệt hồ sơ mời thầu thực hiện theo quy định tại khoản 3 Điều 14 Nghị định này.
4. Việc mời thầu giai đoạn 1 thực hiện theo quy định tại khoản 4 Điều 21 Nghị định này.
Điều 31. Tổ chức đấu thầu giai đoạn 1
1. Phát hành hồ sơ mời thầu
a) Bên mời thầu bán hồ sơ mời thầu tới trước thời điểm đóng thầu cho các nhà thầu trong danh sách trúng sơ tuyển (trong trường hợp có sơ tuyển), các nhà thầu được mời tham gia đấu thầu hạn chế hoặc các nhà thầu có nhu cầu tham gia đấu thầu rộng rãi với mức giá bán quy định tại khoản 1 Điều 6 Nghị định này. Đối với nhà thầu liên danh thì chỉ cần một thành viên trong liên danh mua hồ sơ mời thầu;
b) Việc sửa đổi và làm rõ hồ sơ mời thầu thực hiện theo quy định tại khoản 1 Điều 33 và Điều 34 của Luật Đấu thầu.
2. Nhận và quản lý hồ sơ dự thầu giai đoạn 1
Bên mời thầu tiếp nhận và quản lý các hồ sơ dự thầu đã nộp theo chế độ quản lý hồ sơ “mật”.
3. Mở thầu
Việc mở thầu được thực hiện theo quy định tại khoản 3 Điều 26 Nghị định này. Biên bản mở thầu không bao gồm các thông tin về giá dự thầu và bảo đảm dự thầu.
4. Trao đổi về hồ sơ dự thầu giai đoạn 1
Căn cứ các yêu cầu nêu trong hồ sơ mời thầu, bên mời thầu tiến hành trao đổi với từng nhà thầu nhằm chuẩn xác yêu cầu về mặt kỹ thuật của gói thầu. Nội dung trao đổi phải được bên mời thầu ghi lại thành biên bản để có cơ sở hình thành hồ sơ mời thầu giai đoạn 2.
Điều 32. Chuẩn bị, tổ chức đấu thầu giai đoạn 2
1. Lập hồ sơ mời thầu giai đoạn 2
Trong hồ sơ mời thầu giai đoạn 2, cần xác định rõ chi tiết các yêu cầu về mặt kỹ thuật, yêu cầu về tài chính (bao gồm giá dự thầu), thương mại cũng như yêu cầu về biện pháp bảo đảm dự thầu.
Việc phê duyệt hồ sơ mời thầu giai đoạn 2 được thực hiện theo quy định tại khoản 3 Điều 14 Nghị định này.
2. Tổ chức đấu thầu
Hồ sơ mời thầu giai đoạn 2 được bán cho các nhà thầu đã nộp hồ sơ dự thầu giai đoạn 1 với mức giá bán quy định tại khoản 1 Điều 6 Nghị định này. Việc tổ chức đấu thầu được thực hiện theo quy định tại Điều 26 Nghị định này.
Điều 33. Đánh giá hồ sơ dự thầu giai đoạn 2
Việc đánh giá hồ sơ dự thầu giai đoạn 2 được thực hiện theo quy định tại Điều 27 Nghị định này.
Điều 34. Trình duyệt, thẩm định, phê duyệt, thông báo kết quả đấu thầu, thương thảo, hoàn thiện hợp đồng và ký kết hợp đồng
Trình duyệt, thẩm định, phê duyệt, thông báo kết quả đấu thầu và thương thảo, hoàn thiện hợp đồng, ký kết hợp đồng được thực hiện theo quy định tại Điều 29 Nghị định này.
Chương VI
CÁC HÌNH THỨC LỰA CHỌN NHÀ THẦU KHÁC
Điều 35. Chỉ định thầu
Việc áp dụng hình thức chỉ định thầu phải được phê duyệt trong kế hoạch đấu thầu trên cơ sở tuân thủ quy định tại Điều 20 của Luật Đấu thầu và Điều 101 của Luật Xây dựng.
Thủ tướng Chính phủ quy định các trường hợp đặc biệt được chỉ định thầu quy định tại điểm đ khoản 1 Điều 101 của Luật Xây dựng.
1. Quy trình thực hiện chỉ định thầu đối với một gói thầu bao gồm:
a) Phát hành hồ sơ yêu cầu;
b) Chuẩn bị hồ sơ đề xuất;
c) Đánh giá hồ sơ đề xuất;
d) Trình duyệt, thẩm định và phê duyệt kết quả chỉ định thầu;
đ) Thương thảo, hoàn thiện và ký kết hợp đồng.
2. Hồ sơ yêu cầu
a) Bên mời thầu lập hồ sơ yêu cầu, đối với gói thầu dịch vụ tư vấn không cần nêu tiêu chuẩn đánh giá tổng hợp; đối với gói thầu mua sắm hàng hóa, xây lắp và gói thầu lựa chọn tổng thầu xây dựng (trừ gói thầu lựa chọn tổng thầu thiết kế) không cần nêu các yếu tố để xác định giá đánh giá. Hồ sơ yêu cầu có nội dung tương tự hồ sơ mời thầu;
b) Chủ đầu tư chịu trách nhiệm phê duyệt hồ sơ yêu cầu theo quy định tại khoản 2 Điều 2 Nghị định này để bên mời thầu gửi cho nhà thầu được đề nghị chỉ định thầu chuẩn bị hồ sơ đề xuất.
3. Hồ sơ đề xuất
Nhà thầu được đề nghị chỉ định thầu chuẩn bị hồ sơ đề xuất có nội dung tương tự hồ sơ dự thầu, bao gồm đề xuất về kỹ thuật và đề xuất về tài chính, thương mại.
4. Đánh giá hồ sơ đề xuất
a) Bên mời thầu tiến hành đánh giá hồ sơ đề xuất của nhà thầu theo tiêu chuẩn đánh giá nêu trong hồ sơ yêu cầu;
b) Nhà thầu được đề nghị trúng chỉ định thầu khi hồ sơ đề xuất đáp ứng đầy đủ các điều kiện sau đây:
- Có đủ năng lực và kinh nghiệm theo hồ sơ yêu cầu;
- Có đề xuất về kỹ thuật được đánh giá là đáp ứng yêu cầu của hồ sơ yêu cầu căn cứ theo tiêu chuẩn đánh giá;
- Có giá đề nghị chỉ định thầu không vượt dự toán (giá gói thầu) được duyệt cho gói thầu.
5. Trình duyệt, thẩm định và phê duyệt kết quả chỉ định thầu
a) Trên cơ sở báo cáo kết quả chỉ định thầu, báo cáo thẩm định, người quyết định đầu tư phê duyệt hoặc uỷ quyền phê duyệt kết quả chỉ định thầu đối với gói thầu dịch vụ tư vấn có giá gói thầu từ 500 triệu đồng trở lên, gói thầu mua sắm hàng hóa, xây lắp, gói thầu lựa chọn tổng thầu xây dựng (trừ gói thầu lựa chọn tổng thầu thiết kế) có giá gói thầu từ 1 tỷ đồng trở lên; chủ đầu tư phê duyệt kết quả chỉ định thầu gói thầu dịch vụ tư vấn có giá gói thầu dưới 500 triệu đồng, gói thầu mua sắm hàng hoá, xây lắp có giá gói thầu dưới 1 tỷ đồng đối với các gói thầu thuộc dự án quy định tại khoản 1 và khoản 3 Điều 1 của Luật Đấu thầu;
b) Đối với gói thầu thực hiện chỉ định thầu thuộc dự án quy định tại điểm c khoản 1 Điều 20 của Luật Đấu thầu, chủ đầu tư trình báo cáo kết quả chỉ định thầu lên Thủ tướng Chính phủ (trường hợp Thủ tướng Chính phủ trực tiếp phê duyệt) hoặc lên người được Thủ tướng Chính phủ uỷ quyền phê duyệt theo quy định tại khoản 2 Điều 41 Nghị định này.
6. Thương thảo, hoàn thiện và ký kết hợp đồng
Trên cơ sở quyết định phê duyệt kết quả chỉ định thầu, bên mời thầu tiến hành thương thảo, hoàn thiện hợp đồng với nhà thầu được chỉ định thầu để chủ đầu tư ký kết hợp đồng.
7. Đối với các gói thầu thuộc trường hợp sự cố bất khả kháng do thiên tai, địch hoạ, sự cố cần khắc phục ngay theo quy định tại điểm a khoản 1 Điều 20 của Luật Đấu thầu thì việc chỉ định thầu không phải thực hiện theo quy định từ khoản 1 đến khoản 6 Điều này nhưng sau không quá 15 ngày, kể từ ngày chỉ định thầu, chủ đầu tư hoặc cơ quan chịu trách nhiệm quản lý công trình, tài sản đó và nhà thầu phải tiến hành các thủ tục xác định khối lượng và giá trị công việc để hai bên ký kết hợp đồng làm cơ sở cho việc thực hiện và thanh toán.
8. Trường hợp được phép áp dụng hình thức chỉ định thầu đối với gói thầu được thực hiện trước khi có quyết định đầu tư thì tổ chức được giao nhiệm vụ chuẩn bị dự án tiến hành việc lập và phê duyệt dự toán theo quy định tại khoản 3 Điều 20 của Luật Đấu thầu. Trong trường hợp này, dự toán là giá trị tương ứng với khối lượng công việc được người đứng đầu cơ quan chuẩn bị dự án phê duyệt.
9. Đối với gói thầu dịch vụ tư vấn có giá gói thầu dưới 500 triệu đồng, gói thầu mua sắm hàng hoá, xây lắp có giá gói thầu dưới 1 tỷ đồng thuộc dự án cải tạo, sửa chữa lớn của doanh nghiệp nhà nước quy định tại khoản 3 Điều 1 của Luật Đấu thầu được áp dụng chỉ định thầu khi thấy cần thiết nhưng phải bảo đảm quy trình chỉ định thầu quy định từ khoản 1 đến khoản 6 Điều này.
Điều 36. Mua sắm trực tiếp
Việc áp dụng hình thức mua sắm trực tiếp phải được phê duyệt trong kế hoạch đấu thầu trên cơ sở tuân thủ quy định tại Điều 21 của Luật Đấu thầu đối với hợp đồng đã ký với nhà thầu thông qua đấu thầu rộng rãi hoặc đấu thầu hạn chế.
Quy trình mua sắm trực tiếp được thực hiện như sau:
1. Chủ đầu tư phê duyệt hồ sơ yêu cầu để làm cơ sở cho nhà thầu chuẩn bị hồ sơ đề xuất.
2. Việc đánh giá hồ sơ đề xuất được thực hiện theo các nội dung sau:
a) Kiểm tra các nội dung về mặt kỹ thuật và đơn giá;
b) Cập nhật năng lực của nhà thầu;
c) Đánh giá tiến độ thực hiện;
d) Các nội dung khác (nếu có).
3. Trình duyệt, thẩm định và phê duyệt kết quả mua sắm trực tiếp
Trên cơ sở báo cáo kết quả mua sắm trực tiếp, báo cáo thẩm định, người quyết định đầu tư phê duyệt hoặc uỷ quyền phê duyệt kết quả mua sắm trực tiếp.
Điều 37. Chào hàng cạnh tranh trong mua sắm hàng hoá
Việc áp dụng hình thức chào hàng cạnh tranh phải được phê duyệt trong kế hoạch đấu thầu trên cơ sở tuân thủ quy định tại Điều 22 của Luật Đấu thầu.
Quy trình chào hàng cạnh tranh trong mua sắm hàng hoá được thực hiện như sau:
1. Hồ sơ yêu cầu chào hàng
Chủ đầu tư phê duyệt hồ sơ yêu cầu chào hàng. Hồ sơ yêu cầu chào hàng bao gồm yêu cầu về mặt kỹ thuật như số lượng, tiêu chuẩn, đặc tính kỹ thuật, thời hạn cung cấp hàng hoá, thời hạn hiệu lực của báo giá, thời điểm nộp báo giá, các yêu cầu về bảo hành, bảo trì, đào tạo, chuyển giao và các nội dung cần thiết khác, không nêu yêu cầu về bảo đảm dự thầu. Việc đánh giá các yêu cầu về mặt kỹ thuật được thực hiện theo tiêu chí “đạt”, “không đạt” và được thể hiện trong hồ sơ yêu cầu chào hàng.
2. Tổ chức chào hàng
a) Bên mời thầu thông báo mời chào hàng trên tờ báo về đấu thầu 3 kỳ liên tiếp và trên trang thông tin điện tử về đấu thầu để các nhà thầu có quan tâm đăng ký tham dự. Sau khi đăng tải theo quy định trên có thể đăng tải trên các phương tiện thông tin đại chúng khác. Thời gian từ lúc thông báo mời chào hàng cho tới khi phát hành hồ sơ yêu cầu tối thiểu là 5 ngày, kể từ ngày đăng tải đầu tiên thông báo mời chào hàng;
b) Bên mời thầu gửi hồ sơ yêu cầu đến các nhà thầu quan tâm để bảo đảm nhận được tối thiểu 3 báo giá từ 3 nhà thầu khác nhau. Thời gian để nhà thầu chuẩn bị báo giá tối thiểu là 3 ngày;
c) Nhà thầu gửi báo giá đến bên mời thầu bằng cách gửi trực tiếp, gửi qua đường bưu điện hoặc bằng fax. Mỗi nhà thầu chỉ được gửi một báo giá;
d) Bên mời thầu chịu trách nhiệm bảo mật các thông tin trong báo giá của từng nhà thầu. Ngay sau khi kết thúc thời hạn nộp báo giá, bên mời thầu lập văn bản tiếp nhận các báo giá gồm các nội dung như: tên nhà thầu, giá chào, điều kiện hậu mãi, thời hạn hiệu lực của báo giá và gửi văn bản này đến các nhà thầu đã nộp báo giá.
3. Đánh giá các báo giá
a) Bên mời thầu đánh giá các báo giá được nộp theo yêu cầu của hồ sơ yêu cầu về mặt kỹ thuật. Báo giá được coi là vượt qua bước đánh giá về mặt kỹ thuật khi tất cả yêu cầu về mặt kỹ thuật đều được đánh giá là “đạt”;
b) Bên mời thầu so sánh giá chào của các báo giá đáp ứng về mặt kỹ thuật để xác định báo giá có giá chào thấp nhất. Nhà thầu có giá chào thấp nhất sau sửa lỗi, hiệu chỉnh sai lệch và không vượt giá gói thầu sẽ được đề nghị lựa chọn.
4. Phê duyệt kết quả chào hàng và ký kết hợp đồng
a) Trên cơ sở báo cáo kết quả chào hàng do bên mời thầu trình, báo cáo thẩm định, người quyết định đầu tư phê duyệt kết quả chào hàng đối với gói thầu có giá gói thầu từ 1 tỷ đồng trở lên; chủ đầu tư phê duyệt kết quả chào hàng đối với gói thầu có giá gói thầu dưới 1 tỷ đồng;
b) Bên mời thầu thông báo kết quả chào hàng bằng văn bản cho tất cả các nhà thầu tham gia nộp báo giá và tiến hành thương thảo, hoàn thiện hợp đồng với nhà thầu được lựa chọn để chủ đầu tư ký kết hợp đồng.
Điều 38. Tự thực hiện
Việc áp dụng hình thức tự thực hiện phải được phê duyệt trong kế hoạch đấu thầu trên cơ sở tuân thủ quy định tại Điều 23 của Luật Đấu thầu và điểm a khoản 1 của các Điều 41, 50, 57, 75, 89 và điểm b khoản 2 Điều 45 của Luật Xây dựng.
Quy trình tự thực hiện được tiến hành bảo đảm các điều kiện sau:
1. Chủ đầu tư lựa chọn theo quy định của Luật Đấu thầu một nhà thầu tư vấn giám sát độc lập với chủ đầu tư về tổ chức và tài chính theo quy định của pháp luật. Chủ đầu tư phải cung cấp các hồ sơ cần thiết để nhà thầu tư vấn giám sát thực hiện nhiệm vụ quy định tại khoản 2 Điều này.
2. Nhà thầu tư vấn giám sát có nhiệm vụ sau đây:
a) Giám sát việc thực hiện gói thầu của chủ đầu tư theo đúng phương án, giải pháp thực hiện mà chủ đầu tư đã đưa ra;
b) Kiểm tra các loại hàng hoá, vật tư, thiết bị dùng cho gói thầu;
c) Nghiệm thu khối lượng công việc do chủ đầu tư thực hiện làm cơ sở cho việc thanh toán.
Điều 39. Lựa chọn nhà thầu tư vấn thiết kế kiến trúc công trình xây dựng
Việc lựa chọn nhà thầu tư vấn đối với gói thầu thiết kế kiến trúc công trình xây dựng thông qua thi tuyển quy định tại khoản 3 Điều 97 của Luật Xây dựng được thực hiện theo quy định tại Điều 102 của Luật Xây dựng.
Điều 40. Lựa chọn nhà thầu trong trường hợp đặc biệt
1. Căn cứ vào tính chất đặc thù của gói thầu mà không thể áp dụng được các hình thức lựa chọn nhà thầu được quy định từ Điều 18 đến Điều 23 của Luật Đấu thầu và Điều 97 của Luật Xây dựng, chủ đầu tư trình Thủ tướng Chính phủ phương án lựa chọn nhà thầu trên cơ sở bảo đảm mục tiêu cạnh tranh và hiệu quả kinh tế, đồng thời gửi cho Bộ Kế hoạch và Đầu tư, bộ quản lý ngành để có ý kiến trình Thủ tướng Chính phủ xem xét, quyết định.
2. Trường hợp có đặc thù về đấu thầu quy định ở luật khác thì thực hiện theo quy định của nghị định hướng dẫn thi hành luật đó.
Chương VII
PHÂN CẤP TRÁCH NHIỆM THẨM ĐỊNH, PHÊ DUYỆT TRONG ĐẤU THẦU
Điều 41. Thủ tướng Chính phủ
1. Đối với các dự án do Thủ tướng Chính phủ trực tiếp quyết định đầu tư:
a) Phê duyệt kế hoạch đấu thầu;
b) Phê duyệt hoặc ủy quyền phê duyệt kết quả lựa chọn nhà thầu;
c) Phê duyệt hoặc uỷ quyền phê duyệt việc xử lý các tình huống trong đấu thầu, giải quyết kiến nghị trong đấu thầu và xử lý vi phạm pháp luật về đấu thầu.
2. Phê duyệt hoặc uỷ quyền phê duyệt kế hoạch đấu thầu, kết quả chỉ định thầu các gói thầu thuộc dự án bí mật quốc gia, dự án cấp bách vì lợi ích quốc gia, an ninh an toàn năng lượng theo quy định tại điểm c khoản 1 Điều 20 của Luật Đấu thầu.
3. Phê duyệt hoặc uỷ quyền phê duyệt phương án lựa chọn nhà thầu trong trường hợp đặc biệt theo quy định tại Điều 24 của Luật Đấu thầu.
Điều 42. Bộ trưởng, Thủ trưởng cơ quan ngang bộ, Thủ trưởng các cơ quan khác ở Trung ương, Chủ tịch Ủy ban nhân dân tỉnh, thành phố trực thuộc Trung ương
1. Đối với các dự án, gói thầu do Thủ tướng Chính phủ trực tiếp phê duyệt:
a) Có ý kiến bằng văn bản về kế hoạch đấu thầu, kết quả lựa chọn nhà thầu các gói thầu của dự án có liên quan do Thủ tướng Chính phủ trực tiếp phê duyệt;
b) Chịu trách nhiệm phê duyệt hồ sơ mời thầu;
c) Chịu trách nhiệm phê duyệt các nội dung khác về đấu thầu theo uỷ quyền của Thủ tướng Chính phủ.
2. Đối với các dự án do mình quyết định đầu tư:
a) Phê duyệt kế hoạch đấu thầu;
b) Phê duyệt hoặc uỷ quyền phê duyệt hồ sơ mời thầu, kết quả lựa chọn nhà thầu của các gói thầu thuộc dự án, trừ kết quả chỉ định thầu của các gói thầu do Thủ tướng Chính phủ trực tiếp phê duyệt theo quy định tại khoản 2 Điều 41 Nghị định này.
Điều 43. Chủ tịch Ủy ban nhân dân thành phố thuộc tỉnh, quận, huyện, thị xã, thị trấn, phường, xã, Thủ trưởng các cơ quan khác ở địa phương
1. Chịu trách nhiệm phê duyệt các nội dung về đấu thầu theo uỷ quyền;
2. Phê duyệt kế hoạch đấu thầu, phê duyệt hoặc uỷ quyền phê duyệt hồ sơ mời thầu, kết quả lựa chọn nhà thầu của các gói thầu thuộc dự án do mình quyết định đầu tư.
Điều 44. Hội đồng quản trị hoặc giám đốc doanh nghiệp
1. Đối với các dự án do Thủ tướng Chính phủ quyết định đầu tư mà mình làm chủ đầu tư:
a) Phê duyệt hồ sơ mời thầu đối với các gói thầu do Thủ tướng Chính phủ trực tiếp phê duyệt kết quả lựa chọn nhà thầu;
b) Chịu trách nhiệm phê duyệt các nội dung khác về đấu thầu theo uỷ quyền của Thủ tướng Chính phủ.
2. Đối với dự án do mình quyết định đầu tư:
a) Phê duyệt kế hoạch đấu thầu;
b) Phê duyệt hoặc uỷ quyền phê duyệt hồ sơ mời thầu, kết quả lựa chọn nhà thầu đối với các gói thầu thuộc dự án, trừ kết quả chỉ định thầu đối với các gói thầu do Thủ tướng Chính phủ trực tiếp phê duyệt theo quy định tại khoản 2 Điều 41 Nghị định này.
3. Thoả thuận bằng văn bản về kế hoạch đấu thầu và kết quả lựa chọn nhà thầu các gói thầu có giá gói thầu từ 50 tỷ đồng trở lên đối với dịch vụ tư vấn, từ 150 tỷ đồng trở lên đối với mua sắm hàng hoá, xây lắp thuộc các dự án liên doanh, hợp đồng hợp tác kinh doanh, dự án cổ phần do phía doanh nghiệp Việt Nam tham gia góp vốn nhà nước từ 30% trở lên vào vốn pháp định, vốn điều lệ, vốn cổ phần. Quá thời hạn 20 ngày, kể từ ngày nhận được hồ sơ đề nghị thỏa thuận nếu không gửi văn bản thỏa thuận thì được coi là Hội đồng quản trị hoặc giám đốc doanh nghiệp đồng ý với phía doanh nghiệp liên doanh, hợp đồng hợp tác kinh doanh, doanh nghiệp cổ phần về kế hoạch đấu thầu, kết quả lựa chọn nhà thầu.
Điều 45. Hội đồng quản trị của doanh nghiệp liên doanh, công ty cổ phần và đại diện hợp pháp của các bên tham gia hợp đồng hợp tác kinh doanh
1. Phê duyệt kế hoạch đấu thầu và kết quả lựa chọn nhà thầu của các gói thầu thuộc dự án do mình đầu tư trên cơ sở văn bản thoả thuận được quy định tại khoản 3 Điều 44 Nghị định này.
2. Phê duyệt hoặc uỷ quyền phê duyệt hồ sơ mời thầu.
Điều 46. Cơ quan, tổ chức thẩm định
1. Bộ Kế hoạch và Đầu tư chịu trách nhiệm thẩm định các nội dung sau đây:
a) Kế hoạch đấu thầu thuộc thẩm quyền phê duyệt của Thủ tướng Chính phủ;
b) Kết quả lựa chọn nhà thầu các gói thầu do Thủ tướng Chính phủ trực tiếp phê duyệt;
c) Phương án lựa chọn nhà thầu trong trường hợp đặc biệt do Thủ tướng Chính phủ trực tiếp phê duyệt.
2. Sở Kế hoạch và Đầu tư chịu trách nhiệm thẩm định các nội dung sau đây:
a) Kế hoạch đấu thầu và kết quả lựa chọn nhà thầu đối với gói thầu của dự án do Chủ tịch Ủy ban nhân dân tỉnh, thành phố trực thuộc Trung ương trực tiếp phê duyệt;
b) Hồ sơ mời thầu gói thầu do Thủ tướng Chính phủ ủy quyền cho Chủ tịch Ủy ban nhân dân tỉnh, thành phố trực thuộc Trung ương và gói thầu thuộc thẩm quyền phê duyệt của Chủ tịch Ủy ban nhân dân tỉnh, thành phố trực thuộc Trung ương, Sở Kế hoạch và Đầu tư hoặc Sở chuyên ngành có liên quan chịu trách nhiệm chủ trì thẩm định;
c) Kết quả lựa chọn nhà thầu đối với gói thầu do Thủ tướng Chính phủ ủy quyền cho Chủ tịch Ủy ban nhân dân tỉnh, thành phố trực thuộc Trung ương phê duyệt.
3. Trách nhiệm thẩm định của cơ quan, tổ chức được Bộ trưởng, Thủ trưởng cơ quan ngang bộ, Thủ trưởng cơ quan khác ở Trung ương, Hội đồng quản trị hoặc giám đốc doanh nghiệp giao nhiệm vụ thẩm định gồm:
a) Kế hoạch đấu thầu, hồ sơ mời thầu và kết quả lựa chọn nhà thầu đối với tất cả gói thầu của dự án thuộc thẩm quyền quyết định đầu tư của Bộ trưởng, Thủ trưởng cơ quan ngang bộ, Thủ trưởng cơ quan khác ở Trung ương, Hội đồng quản trị hoặc giám đốc doanh nghiệp;
b) Hồ sơ mời thầu, kết quả lựa chọn nhà thầu đối với gói thầu do Thủ tướng Chính phủ uỷ quyền cho Bộ trưởng, Thủ trưởng cơ quan ngang bộ, Thủ trưởng cơ quan khác ở Trung ương, Hội đồng quản trị hoặc giám đốc doanh nghiệp phê duyệt.
4. Đối với dự án thuộc thẩm quyền quyết định đầu tư của Chủ tịch Ủy ban nhân dân thành phố thuộc tỉnh, quận, huyện, thị xã do bộ phận kế hoạch - đầu tư chịu trách nhiệm thẩm định các nội dung trong quá trình đấu thầu.
5. Đối với dự án thuộc thẩm quyền quyết định đầu tư của Chủ tịch Ủy ban nhân dân thị trấn, phường, xã, thủ trưởng các cơ quan khác ở địa phương, Hội đồng quản trị của doanh nghiệp liên doanh, công ty cổ phần và đại diện hợp pháp của các bên tham gia hợp đồng hợp tác kinh doanh thì bộ phận giúp việc liên quan chịu trách nhiệm thẩm định các nội dung trong quá trình đấu thầu.
6. Đối với các gói thầu do người quyết định đầu tư uỷ quyền phê duyệt kết quả lựa chọn nhà thầu, người được uỷ quyền chịu trách nhiệm quy định đơn vị thẩm định hồ sơ mời thầu và kết quả lựa chọn nhà thầu.
Chương VIII
GIẢI QUYẾT KIẾN NGHỊ TRONG ĐẤU THẦU
Điều 47. Điều kiện để xem xét, giải quyết kiến nghị
1. Kiến nghị phải là của nhà thầu tham gia đấu thầu.
2. Đơn kiến nghị phải có chữ ký của người ký đơn dự thầu hoặc đại diện hợp pháp của nhà thầu, được đóng dấu (nếu có).
3. Người có trách nhiệm giải quyết kiến nghị nhận được đơn kiến nghị trong thời gian quy định tại khoản 3 Điều 72 của Luật Đấu thầu.
4. Nội dung kiến nghị chưa được nhà thầu nộp đơn kiện ra Tòa án.
5. Đối với kiến nghị về kết quả lựa chọn nhà thầu khi gửi tới người quyết định đầu tư, nhà thầu phải nộp một khoản chi phí theo quy định tại khoản 3 Điều 6 Nghị định này cho bộ phận thường trực giúp việc của Hội đồng tư vấn nêu trong hồ sơ mời thầu; trường hợp nhà thầu có kiến nghị được kết luận là đúng thì chi phí do nhà thầu nộp sẽ được hoàn trả bởi cá nhân, tổ chức có trách nhiệm liên đới.
Điều 48. Giải quyết kiến nghị
1. Thời hạn giải quyết kiến nghị quy định tại Điều 73 của Luật Đấu thầu được tính từ ngày bộ phận hành chính của người có trách nhiệm giải quyết kiến nghị nhận được đơn kiến nghị.
2. Người có trách nhiệm giải quyết kiến nghị thông báo bằng văn bản cho nhà thầu về việc không xem xét, giải quyết kiến nghị trong trường hợp kiến nghị của nhà thầu không đáp ứng điều kiện nêu tại Điều 47 Nghị định này.
3. Nhà thầu được quyền rút đơn kiến nghị trong quá trình giải quyết kiến nghị nhưng phải bằng văn bản.
Điều 49. Hội đồng tư vấn
1. Chủ tịch Hội đồng tư vấn
a) Chủ tịch Hội đồng tư vấn cấp Trung ương là đại diện có thẩm quyền của Bộ Kế hoạch và Đầu tư. Hội đồng tư vấn cấp Trung ương có trách nhiệm tư vấn về kiến nghị liên quan đến gói thầu do Thủ tướng Chính phủ trực tiếp phê duyệt hoặc trong trường hợp Thủ tướng Chính phủ yêu cầu.
b) Chủ tịch Hội đồng tư vấn cấp bộ, cơ quan ngang bộ, cơ quan thuộc Chính phủ và các cơ quan khác ở Trung ương (sau đây gọi là Hội đồng tư vấn cấp bộ) là đại diện có thẩm quyền của đơn vị được giao nhiệm vụ quản lý về đấu thầu thuộc các cơ quan này. Hội đồng tư vấn cấp bộ có trách nhiệm tư vấn về kiến nghị đối với tất cả các gói thầu thuộc dự án do cấp bộ quyết định đầu tư hoặc quản lý theo ngành, trừ gói thầu quy định tại điểm a khoản này.
c) Chủ tịch Hội đồng tư vấn cấp địa phương là đại diện có thẩm quyền của Sở Kế hoạch và Đầu tư. Hội đồng tư vấn cấp địa phương có trách nhiệm tư vấn về kiến nghị đối với tất cả các gói thầu thuộc dự án do địa phương quyết định đầu tư hoặc quản lý, trừ gói thầu quy định tại điểm a khoản này.
2. Thành viên Hội đồng tư vấn
Tùy theo tính chất của từng gói thầu và trong trường hợp cần thiết, ngoài các thành viên quy định tại khoản 2 Điều 73 của Luật Đấu thầu, Chủ tịch Hội đồng tư vấn có thể mời thêm các cá nhân tham gia với tư cách là thành viên của Hội đồng tư vấn. Thành viên Hội đồng tư vấn không được là thân nhân (cha mẹ đẻ, cha mẹ vợ hoặc cha mẹ chồng, vợ hoặc chồng, con đẻ, con nuôi, con dâu, con rể, anh chị em ruột) của người ký đơn kiến nghị, của các cá nhân trực tiếp tham gia đánh giá hồ sơ dự thầu thuộc bên mời thầu, thuộc chủ đầu tư, của các cá nhân trực tiếp thẩm định kết quả lựa chọn nhà thầu và của người ký phê duyệt kết quả lựa chọn nhà thầu.
3. Hoạt động của Hội đồng tư vấn
a) Chủ tịch Hội đồng tư vấn ra quyết định thành lập Hội đồng trong thời hạn tối đa là 5 ngày, kể từ ngày nhận được đơn kiến nghị của nhà thầu. Hội đồng tư vấn hoạt động theo từng vụ việc.
b) Hội đồng tư vấn làm việc theo nguyên tắc tập thể, biểu quyết theo đa số, có Báo cáo kết quả làm việc trình người quyết định đầu tư xem xét, quyết định; từng thành viên được quyền bảo lưu ý kiến và chịu trách nhiệm trước pháp luật về ý kiến của mình.
4. Bộ phận thường trực giúp việc của Hội đồng tư vấn
a) Bộ phận thường trực giúp việc là cơ quan, tổ chức được giao công tác thẩm định trong đấu thầu nhưng không gồm các cá nhân tham gia trực tiếp thẩm định gói thầu mà nhà thầu có kiến nghị.
b) Bộ phận thường trực giúp việc thực hiện các nhiệm vụ về hành chính do Chủ tịch Hội đồng tư vấn quy định; tiếp nhận và quản lý chi phí do nhà thầu có kiến nghị nộp theo quy định tại khoản 5 Điều 47 Nghị định này.
Chương IX
XỬ LÝ VI PHẠM PHÁP LUẬT VỀ ĐẤU THẦU
Điều 50. Nguyên tắc xử lý vi phạm
1. Tổ chức, cá nhân có hành vi vi phạm pháp luật về đấu thầu thì tuỳ theo mức độ vi phạm sẽ bị xử phạt theo một hoặc các hình thức sau đây: cảnh cáo, phạt tiền, cấm tham gia hoạt động đấu thầu. Đối với cán bộ, công chức có hành vi vi phạm pháp luật đấu thầu thì bị xử lý theo quy định của pháp luật về cán bộ, công chức.
2. Nguyên tắc, thủ tục xử lý vi phạm, thủ tục thi hành quyết định xử phạt được thực hiện theo quy định của pháp luật.
3. Quyết định xử phạt phải được gửi cho tổ chức, cá nhân bị xử phạt, Bộ Kế hoạch và Đầu tư và các cơ quan, tổ chức liên quan.
4. Quyết định xử phạt được thực hiện ở bất kỳ địa phương, ngành nào đều có hiệu lực thi hành trên phạm vi cả nước và trong tất cả các ngành.
5. Tổ chức, cá nhân bị xử phạt vi phạm pháp luật về đấu thầu có quyền khởi kiện ra Toà án.
Điều 51. Thẩm quyền xử lý vi phạm pháp luật về đấu thầu
1. Người quyết định đầu tư có trách nhiệm xử lý vi phạm pháp luật về đấu thầu đối với các dự án do mình quyết định đầu tư theo quy định tại Điều 60 của Luật Đấu thầu. Trường hợp người quyết định đầu tư vi phạm pháp luật về đấu thầu thì việc xử lý vi phạm theo quy định của pháp luật.
2. Bộ Kế hoạch và Đầu tư chịu trách nhiệm theo dõi việc xử lý vi phạm pháp luật về đấu thầu và quyết định cấm tham gia hoạt động đấu thầu đối với các tổ chức, cá nhân bị phạt cảnh cáo liên tục từ 5 lần trở lên theo quy định tại khoản 4 Điều 53 Nghị định này.
Điều 52. Hình thức phạt tiền
Tùy theo mức độ vi phạm, tổ chức, cá nhân vi phạm pháp luật về đấu thầu theo quy định tại điểm b khoản 1 Điều 75 của Luật Đấu thầu sẽ bị phạt tiền theo các mức sau:
1. Phạt tiền từ 5.000.000 đồng đến 20.000.000 đồng đối với một trong các hành vi vi phạm sau đây:
a) Lập, thẩm định, phê duyệt hồ sơ mời thầu, hồ sơ yêu cầu không phù hợp với các quy định của pháp luật về đấu thầu dẫn đến phải huỷ đấu thầu;
b) Đánh giá hồ sơ dự thầu, hồ sơ đề xuất, thẩm định, phê duyệt kết quả lựa chọn nhà thầu không căn cứ vào các yêu cầu của hồ sơ mời thầu, hồ sơ yêu cầu cùng tiêu chuẩn đánh giá đi kèm làm sai lệch kết quả lựa chọn nhà thầu hoặc dẫn đến phải huỷ đấu thầu;
c) Ký kết hợp đồng trái với các quy định của pháp luật gây thiệt hại đến lợi ích của Nhà nước;
d) Các hành vi vi phạm dẫn đến phải tổ chức đấu thầu lại như tổ chức đấu thầu khi chưa có kế hoạch đấu thầu, hồ sơ mời thầu, hồ sơ yêu cầu được duyệt.
2. Phạt tiền từ 20.000.000 đồng đến 50.000.000 đồng đối với một trong các hành vi vi phạm sau đây:
a) Dàn xếp, thông đồng giữa tất cả nhà thầu, giữa nhà thầu với chủ đầu tư, bên mời thầu, tổ chuyên gia đấu thầu, tư vấn lập hồ sơ mời thầu, cơ quan, tổ chức thẩm định, người phê duyệt kết quả lựa chọn nhà thầu làm sai lệch kết quả lựa chọn nhà thầu dẫn đến phải huỷ đấu thầu hoặc lựa chọn nhà thầu không đủ năng lực theo quy định tại khoản 3 Điều 10 của Luật Xây dựng;
b) Nhà thầu thực hiện hợp đồng xây lắp, cung cấp hàng hóa thông đồng với nhà thầu tư vấn giám sát, cơ quan, tổ chức nghiệm thu để xác nhận sai về chất lượng, khối lượng của công trình, hàng hóa.
3. Ngoài việc gây thiệt hại về lợi ích đối với các bên liên quan nêu tại khoản 1 và khoản 2 Điều này, những hậu quả gây thiệt hại khác do các hành vi nêu trên gây ra hoặc do các hành vi khác gây ra thì hình thức phạt tiền còn được thực hiện theo quy định của pháp luật có liên quan.
Điều 53. Hình thức cấm tham gia hoạt động đấu thầu
Tuỳ theo mức độ vi phạm mà áp dụng hình thức cấm tham gia hoạt động đấu thầu, cụ thể như sau:
1. Cấm tham gia hoạt động đấu thầu từ 6 tháng đến 1 năm đối với một trong các hành vi vi phạm sau đây:
a) Vi phạm quy định tại khoản 4 Điều 12 của Luật Đấu thầu;
b) Vi phạm quy định tại khoản 5 Điều 12 của Luật Đấu thầu, cụ thể như sau:
Tổ chức, cá nhân lập, thẩm định, phê duyệt hồ sơ mời thầu đối với gói thầu mua sắm hàng hoá, xây lắp, gói thầu lựa chọn tổng thầu xây dựng trong đó nêu yêu cầu về nhãn hiệu, xuất xứ hàng hoá cụ thể trong hồ sơ mời thầu.
c) Cá nhân thuộc chủ đầu tư, bên mời thầu, tổ chuyên gia đấu thầu, tư vấn đấu thầu, cơ quan, tổ chức thẩm định đấu thầu vi phạm quy định tại khoản 9 Điều 12 của Luật Đấu thầu;
d) Vi phạm quy định tại khoản 6 Điều 12 của Luật Đấu thầu;
đ) Vi phạm quy định tại khoản 7 Điều 12 của Luật Đấu thầu, cụ thể như sau:
Người quyết định đầu tư cho phép chia dự án thành các gói thầu trái với quy định tại khoản 4 Điều 6 của Luật Đấu thầu để thực hiện chỉ định thầu hoặc tạo cơ hội cho số ít nhà thầu tham dự thầu;
e) Vi phạm quy định tại khoản 8 Điều 12 của Luật Đấu thầu, cụ thể như sau:
Chủ đầu tư, bên mời thầu chấp nhận và đề nghị trúng thầu đối với nhà thầu tham gia đấu thầu cung cấp hàng hoá, xây lắp cho gói thầu thuộc dự án mà nhà thầu này trước đó đã cung cấp dịch vụ tư vấn, trừ trường hợp đối với: gói thầu EPC, gói thầu lựa chọn tổng thầu thiết kế và thi công, tổng thầu chìa khoá trao tay;
g) Vi phạm quy định tại khoản 10 Điều 12 của Luật Đấu thầu, cụ thể như sau:
Cá nhân trực tiếp tham gia tổ chức đấu thầu, đánh giá hồ sơ dự thầu thuộc chủ đầu tư, bên mời thầu, thành viên tổ chuyên gia đấu thầu, tư vấn đấu thầu, cá nhân trực tiếp tham gia thẩm định kết quả lựa chọn nhà thầu thuộc cơ quan, tổ chức thẩm định và người ký quyết định về kết quả lựa chọn nhà thầu không rút khỏi công việc được phân công khi người ký đơn dự thầu là người thân của mình (cha mẹ đẻ, cha mẹ vợ hoặc cha mẹ chồng, vợ hoặc chồng, con đẻ, con nuôi, con dâu, con rể, anh chị em ruột);
h) Vi phạm quy định tại khoản 11 Điều 12 của Luật Đấu thầu, cụ thể như sau:
Tổ chức, cá nhân thuộc bên mời thầu, chủ đầu tư, kho bạc nhà nước, cơ quan quản lý tài chính, ngân hàng, cơ quan nghiệm thu gây khó khăn trong thủ tục cấp phát, thanh quyết toán theo hợp đồng đã ký giữa chủ đầu tư và nhà thầu;
i) Vi phạm quy định tại khoản 13 Điều 12 của Luật Đấu thầu, cụ thể như sau:
- Cá nhân ký đơn dự thầu đối với các gói thầu thuộc dự án do cơ quan, tổ chức mà mình đã công tác trước đó trong thời hạn 1 năm, kể từ khi nhận được quyết định thôi công tác tại cơ quan, tổ chức đó;
- Quyết định trúng thầu đối với nhà thầu mà người ký đơn dự thầu tham gia đấu thầu gói thầu thuộc dự án của cơ quan, tổ chức mà người đó vừa nhận được quyết định thôi công tác chưa được 1 năm;
k) Vi phạm quy định tại khoản 16 Điều 12 của Luật Đấu thầu, cụ thể như sau:
Phê duyệt hình thức lựa chọn nhà thầu trong kế hoạch đấu thầu không phải là hình thức đấu thầu rộng rãi khi không bảo đảm đủ điều kiện theo quy định từ Điều 19 đến Điều 24 của Luật Đấu thầu và Điều 100, Điều 101 của Luật Xây dựng;
l) Vi phạm quy định tại khoản 17 Điều 12 của Luật Đấu thầu, cụ thể như sau:
- Người quyết định đầu tư phê duyệt kế hoạch đấu thầu để cho phép tổ chức lựa chọn nhà thầu khi nguồn vốn để thực hiện gói thầu chưa được xác định;
- Người quyết định đầu tư phê duyệt kết quả lựa chọn nhà thầu khi chưa có cam kết tín dụng trong trường hợp cho phép trong kế hoạch đấu thầu là nguồn vốn cho gói thầu do nhà thầu thu xếp.
2. Cấm tham gia hoạt động đấu thầu từ 1 năm đến 3 năm đối với một trong các hành vi sau đây:
a) Vi phạm quy định tại khoản 2 Điều 12 của Luật Đấu thầu, cụ thể như sau:
- Cá nhân sử dụng quyền, ảnh hưởng của mình buộc chủ đầu tư, bên mời thầu, tổ chuyên gia đấu thầu, tư vấn đấu thầu, cơ quan, tổ chức thẩm định kết quả lựa chọn nhà thầu đề xuất nhà thầu trúng thầu không phù hợp với yêu cầu của hồ sơ mời thầu và tiêu chuẩn đánh giá đã nêu trong hồ sơ mời thầu;
- Cá nhân trực tiếp đánh giá hồ sơ dự thầu, thẩm định kết quả lựa chọn nhà thầu cố ý báo cáo sai hoặc không trung thực về các thông tin làm sai lệch kết quả lựa chọn nhà thầu, ký kết, thực hiện hợp đồng;
- Nhà thầu cố ý cung cấp các thông tin không trung thực trong hồ sơ dự thầu làm sai lệch kết quả lựa chọn nhà thầu, ký kết, thực hiện hợp đồng.
b) Vi phạm quy định tại khoản 14 Điều 12 của Luật Đấu thầu, cụ thể như sau:
- Nhà thầu sử dụng tên, chữ ký, con dấu của mình nhằm hợp pháp hoá hồ sơ dự thầu của mình tham gia đấu thầu hình thức nhằm phục vụ cho một nhà thầu khác trúng thầu;
- Nhà thầu cho nhà thầu khác sử dụng tên, chữ ký, con dấu của mình; nhà thầu sử dụng tên, chữ ký, con dấu của nhà thầu khác để tạo thành một liên danh tham gia đấu thầu, sau khi trúng thầu thì không thực hiện theo văn bản thoả thuận liên danh; trừ trường hợp hợp đồng có quy định khác;
- Nhà thầu chuyển nhượng từ 10% trở lên giá trị phải tự thực hiện (sau khi trừ phần công việc thuộc trách nhiệm của nhà thầu phụ) nêu trong hợp đồng đã ký cho nhà thầu khác, trừ trường hợp có lý do chính đáng được người quyết định đầu tư cho phép;
- Chủ đầu tư, tư vấn giám sát chấp thuận để nhà thầu chuyển nhượng công việc mà chưa được người quyết định đầu tư cho phép, trừ phần công việc thuộc trách nhiệm của nhà thầu phụ đã kê khai trong hợp đồng.
c) Vi phạm quy định tại khoản 15 Điều 12 của Luật Đấu thầu.
3. Cấm tham gia hoạt động đấu thầu từ 3 năm đến 5 năm đối với một trong các hành vi sau đây:
a) Vi phạm quy định tại khoản 1 Điều 12 của Luật Đấu thầu;
b) Vi phạm quy định tại khoản 3 Điều 12 của Luật Đấu thầu;
c) Vi phạm quy định tại khoản 12 Điều 12 của Luật Đấu thầu.
4. Tổ chức, cá nhân bị phạt cảnh cáo 5 lần liên tục sẽ bị cấm tham gia hoạt động đấu thầu trong 6 tháng. Trường hợp tổ chức, cá nhân tiếp tục có hành vi vi phạm pháp luật về đấu thầu cứ thêm 2 lần thì bị cấm tham gia hoạt động đấu thầu tương ứng trong 1 năm, 2 năm, 3 năm.
Chương X
CÁC VẤN ĐỀ KHÁC
Điều 54. Mẫu tài liệu đấu thầu
1. Mẫu tài liệu đấu thầu bao gồm mẫu hồ sơ mời sơ tuyển đối với gói thầu mua sắm hàng hóa, xây lắp; mẫu hồ sơ mời thầu và mẫu báo cáo đánh giá hồ sơ dự thầu đối với gói thầu dịch vụ tư vấn, mua sắm hàng hóa, xây lắp, gói thầu lựa chọn tổng thầu xây dựng.
2. Bộ Kế hoạch và Đầu tư chịu trách nhiệm ban hành mẫu tài liệu đấu thầu.
Điều 55. Bảo hành
1. Nhà thầu có trách nhiệm bảo hành đối với công trình trong trường hợp hợp đồng giữa chủ đầu tư và nhà thầu có nội dung về xây dựng, có trách nhiệm bảo hành hàng hóa trong trường hợp hợp đồng giữa chủ đầu tư và nhà thầu có nội dung về mua sắm hàng hóa theo quy định hiện hành của pháp luật.
2. Nội dung công việc bảo hành, thời hạn bảo hành, chi phí liên quan và trách nhiệm của các bên (giữa chủ đầu tư và nhà thầu) phải được thể hiện trong hợp đồng.
Điều 56. Tổ chức đấu thầu chuyên nghiệp
Tổ chức đấu thầu chuyên nghiệp theo quy định tại khoản 3 Điều 9 của Luật Đấu thầu là tổ chức được thành lập và hoạt động theo pháp luật về doanh nghiệp, pháp luật về đấu thầu và pháp luật có liên quan.
Điều 57. Xử lý tình huống trong đấu thầu
Xử lý tình huống trong đấu thầu quy định tại Điều 70 của Luật Đấu thầu được thực hiện như sau :
1. Trường hợp có lý do cần điều chỉnh giá gói thầu hoặc nội dung gói thầu, chủ đầu tư phải tiến hành thủ tục điều chỉnh kế hoạch đấu thầu theo các quy định của pháp luật trước thời điểm mở thầu, trừ trường hợp quy định tại khoản 6 Điều này.
2. Trường hợp dự toán của gói thầu được duyệt thấp hơn giá gói thầu đã duyệt thì dự toán sẽ thay thế giá gói thầu để làm cơ sở xem xét kết quả lựa chọn nhà thầu, nếu dự toán được duyệt cao hơn giá gói thầu đã duyệt thì chủ đầu tư phải báo cáo bằng văn bản đến người quyết định đầu tư xem xét, quyết định việc điều chỉnh giá gói thầu trong kế hoạch đấu thầu để bảo đảm cơ sở pháp lý cho việc xem xét kết quả lựa chọn nhà thầu.
3. Trường hợp tại thời điểm đóng thầu có ít hơn 3 nhà thầu nộp hồ sơ dự thầu thì bên mời thầu phải báo cáo ngay về quá trình đấu thầu cho người quyết định đầu tư hoặc người được uỷ quyền xem xét, giải quyết trong thời hạn không quá 2 giờ để cho phép kéo dài thời điểm đóng thầu nhằm tăng thêm hồ sơ dự thầu hoặc cho phép mở thầu để tiến hành đánh giá hồ sơ dự thầu đã nộp. Trường hợp gói thầu thuộc thẩm quyền phê duyệt của Thủ tướng Chính phủ thì việc xử lý tình huống này sẽ thuộc thẩm quyền của Bộ trưởng, Thủ trưởng cơ quan ngang bộ, Thủ trưởng cơ quan thuộc Chính phủ, Thủ trưởng cơ quan khác ở Trung ương, Chủ tịch Ủy ban nhân dân cấp tỉnh hoặc Hội đồng quản trị doanh nghiệp do Thủ tướng Chính phủ quyết định thành lập liên quan tới dự án.
4. Trường hợp hồ sơ mời thầu cho phép nhà thầu chào cho một hoặc nhiều phần riêng biệt của gói thầu thì việc đánh giá hồ sơ dự thầu và xét duyệt trúng thầu sẽ được thực hiện theo từng phần nhưng bảo đảm giá trúng thầu của gói thầu không vượt giá gói thầu được duyệt.
5. Trường hợp hồ sơ dự thầu có đơn giá khác thường mà gây bất lợi cho bên mời thầu thì bên mời thầu yêu cầu nhà thầu giải thích, làm rõ bằng văn bản về những đơn giá khác thường đó. Nếu sự giải thích của nhà thầu không đủ rõ, thì đây được coi là sai lệch và thực hiện hiệu chỉnh sai lệch theo quy định như đối với nội dung chào thừa hoặc thiếu của hồ sơ dự thầu so với yêu cầu của hồ sơ mời thầu theo quy định tại Điều 28 Nghị định này.
6. Trường hợp giá đề nghị trúng thầu của các nhà thầu đều vượt giá gói thầu đã duyệt thì chủ đầu tư phải báo cáo bằng văn bản đến người quyết định đầu tư hoặc người được uỷ quyền để xem xét, quyết định việc cho phép các nhà thầu này được chào lại giá hoặc cho phép đồng thời với việc chào lại giá sẽ xem xét lại giá gói thầu, nội dung hồ sơ mời thầu đã duyệt, nếu cần thiết.
7. Trường hợp chỉ có một hồ sơ dự thầu vượt qua bước đánh giá về mặt kỹ thuật (đối với gói thầu mua sắm hàng hóa, xây lắp và gói thầu lựa chọn tổng thầu xây dựng, trừ gói thầu lựa chọn tổng thầu thiết kế) thì không cần xác định giá đánh giá mà chỉ xác định giá đề nghị trúng thầu để có cơ sở xem xét kết quả trúng thầu.
8. Trường hợp có hai hồ sơ dự thầu có kết quả đánh giá tốt nhất, ngang nhau (về số điểm hoặc giá đánh giá) thì sẽ xem xét trao thầu cho nhà thầu có giá đề nghị trúng thầu thấp hơn, trừ các trường hợp ưu đãi theo quy định tại khoản 2 Điều 4 Nghị định này.
9. Trường hợp giá đề nghị ký kết hợp đồng vượt giá trúng thầu được duyệt thì chủ đầu tư phải báo cáo bằng văn bản đến người quyết định đầu tư hoặc người được uỷ quyền để xem xét, quyết định.
10. Trường hợp giá đề nghị trúng thầu do chủ đầu tư, cơ quan thẩm định đề nghị thấp bất thường hoặc thấp dưới năm mươi phần trăm (50%) giá gói thầu, hoặc dự toán được duyệt thì trước khi phê duyệt kết quả đấu thầu, người quyết định đầu tư hoặc người được ủy quyền có thể đưa ra các biện pháp phù hợp như thành lập tổ thẩm định liên ngành để thẩm định kỹ hơn về hồ sơ dự thầu của nhà thầu hoặc đưa ra các biện pháp phù hợp trong hợp đồng để bảo đảm tính khả thi cho việc thực hiện.
Ngoài các trường hợp nêu trên, khi phát sinh tình huống thì bên mời thầu, chủ đầu tư phải báo cáo người quyết định đầu tư hoặc người được uỷ quyền xem xét, quyết định.
Điều 58. Hồ sơ trình duyệt kết quả lựa chọn nhà thầu
Trên cơ sở xem xét báo cáo kết quả lựa chọn nhà thầu, hồ sơ trình duyệt do bên mời thầu báo cáo, chủ đầu tư lập báo cáo trình người quyết định đầu tư hoặc người được uỷ quyền xem xét, quyết định. Hồ sơ trình duyệt của chủ đầu tư về kết quả lựa chọn nhà thầu bao gồm báo cáo kết quả lựa chọn nhà thầu và các tài liệu liên quan.
1. Báo cáo kết quả lựa chọn nhà thầu bao gồm :
a) Cơ sở pháp lý của việc thực hiện lựa chọn nhà thầu ;
b) Nội dung của gói thầu ;
c) Quá trình tổ chức lựa chọn và đánh giá hồ sơ dự thầu hoặc hồ sơ đề xuất của nhà thầu ;
d) Đề nghị về kết quả lựa chọn nhà thầu bao gồm :
- Tên nhà thầu được đề nghị lựa chọn (kể cả tên nhà thầu phụ nếu cần thiết). Trường hợp là nhà thầu liên danh phải nêu tên tất cả thành viên trong liên danh ;
- Giá đề nghị trúng thầu hoặc giá đề nghị thực hiện gói thầu (bao gồm thuế, dự phòng, trượt giá, nếu có) ;
- Hình thức hợp đồng ;
- Thời gian thực hiện hợp đồng.
Trường hợp không chọn được nhà thầu thì phải nêu phương án xử lý tiếp theo.
2. Tài liệu liên quan gồm:
a) Bản chụp quyết định đầu tư và các tài liệu để ra quyết định đầu tư; Giấy chứng nhận đăng ký kinh doanh, Giấy chứng nhận đầu tư hoặc quyết định thành lập, điều ước hoặc thoả thuận quốc tế (nếu có); kế hoạch đấu thầu;
b) Hồ sơ mời thầu, hồ sơ yêu cầu;
c) Quyết định thành lập tổ chuyên gia đấu thầu, hợp đồng thuê tư vấn đấu thầu, tổ chức đấu thầu chuyên nghiệp;
d) Danh sách nhà thầu nộp hồ sơ dự thầu, hồ sơ đề xuất, biên bản mở thầu;
đ) Các hồ sơ dự thầu, hồ sơ đề xuất và các tài liệu làm rõ, sửa đổi, bổ sung liên quan;
e) Báo cáo đánh giá hồ sơ dự thầu, hồ sơ đề xuất của tổ chuyên gia đấu thầu, tư vấn đấu thầu, tổ chức đấu thầu chuyên nghiệp;
g) Văn bản phê duyệt các nội dung của quá trình thực hiện lựa chọn nhà thầu theo quy định;
h) Biên bản thương thảo hợp đồng đối với gói thầu dịch vụ tư vấn;
i) Ý kiến về kết quả lựa chọn nhà thầu của tổ chức tài trợ nước ngoài (nếu có);
k) Các tài liệu khác có liên quan.
Điều 59. Thẩm định kết quả lựa chọn nhà thầu
1. Nội dung thẩm định bao gồm:
a) Kiểm tra các tài liệu là căn cứ của việc tổ chức lựa chọn nhà thầu;
b) Kiểm tra quy trình và thời gian liên quan tới việc tổ chức lựa chọn nhà thầu theo quy định: thời gian đăng tải thông tin đấu thầu, phát hành hồ sơ mời thầu, hồ sơ yêu cầu, thời gian chuẩn bị hồ sơ dự thầu, hồ sơ đề xuất, thời điểm đóng thầu, thời điểm mở thầu, thời gian đánh giá hồ sơ dự thầu, hồ sơ đề xuất;
c) Kiểm tra nội dung đánh giá hồ sơ dự thầu, hồ sơ đề xuất: biên bản đánh giá và ý kiến nhận xét đánh giá của từng chuyên gia, báo cáo tổng hợp của tổ chuyên gia đấu thầu, đánh giá của tư vấn đấu thầu, tổ chức đấu thầu chuyên nghiệp (nếu có), sự tuân thủ của việc đánh giá hồ sơ dự thầu, hồ sơ đề xuất so với yêu cầu của hồ sơ mời thầu, hồ sơ yêu cầu và tiêu chuẩn đánh giá được duyệt, mức độ chính xác của việc đánh giá;
d) Phát hiện những nội dung còn chưa rõ trong hồ sơ trình duyệt kết quả lựa chọn nhà thầu;
đ) Những ý kiến khác nhau (nếu có) giữa các thành viên tổ chuyên gia đấu thầu, giữa tư vấn đấu thầu, tổ chức đấu thầu chuyên nghiệp với bên mời thầu.
2. Báo cáo thẩm định bao gồm những nội dung chính sau đây:
a) Khái quát về dự án và gói thầu: nội dung chính của dự án và gói thầu, cơ sở pháp lý đối với việc tổ chức lựa chọn nhà thầu;
b) Tóm tắt quá trình tổ chức thực hiện và đề nghị của cơ quan trình duyệt về kết quả lựa chọn nhà thầu;
c) Nhận xét về mặt pháp lý, về quá trình thực hiện, về đề nghị của cơ quan trình duyệt;
d) Ý kiến về kết quả lựa chọn nhà thầu hoặc biện pháp giải quyết đối với những trường hợp chưa đủ cơ sở kết luận về kết quả lựa chọn nhà thầu.
3. Báo cáo thẩm định trình người quyết định đầu tư quy định tại khoản 2 Điều này được gửi đồng thời cho chủ đầu tư, bên mời thầu.
Điều 60. Quản lý nhà thầu nước ngoài
1. Sau khi được lựa chọn để thực hiện các gói thầu trên lãnh thổ Việt Nam, nhà thầu nước ngoài phải tuân thủ các quy định của pháp luật Việt Nam về nhập cảnh, xuất cảnh, nhập khẩu, xuất khẩu hàng hóa, đăng ký tạm trú, chế độ kế toán, thuế và các quy định khác của pháp luật Việt Nam có liên quan, trừ trường hợp có quy định khác trong Điều ước quốc tế mà Cộng hoà xã hội chủ nghĩa Việt Nam là thành viên hoặc thoả thuận quốc tế mà cơ quan, tổ chức có thẩm quyền của Cộng hoà xã hội chủ nghĩa Việt Nam đã ký kết.
2. Trước khi triển khai thực hiện hợp đồng đã ký với chủ đầu tư trên lãnh thổ Việt Nam, nhà thầu nước ngoài phải đăng ký hoạt động với cơ quan nhà nước theo quy định tại Điều này để được cấp Giấy chứng nhận đăng ký hoạt động.
3. Hồ sơ đăng ký hoạt động tại Việt Nam của nhà thầu nước ngoài bao gồm:
a) Giấy đăng ký hoạt động do nhà thầu nước ngoài hoặc đại diện nhà thầu nước ngoài kê khai theo mẫu do Bộ Kế hoạch và Đầu tư ban hành;
b) Bản sao có công chứng văn bản thông báo kết quả lựa chọn nhà thầu;
c) Bản sao có công chứng hộ chiếu đối với nhà thầu là cá nhân; bản sao có công chứng đăng ký hoạt động được cấp bởi cơ quan có thẩm quyền của nước hoặc vùng lãnh thổ mà nhà thầu mang quốc tịch đối với nhà thầu là tổ chức (kèm theo bản dịch có công chứng ra tiếng Việt hoặc tiếng Anh).
4. Giấy chứng nhận đăng ký hoạt động đối với nhà thầu nước ngoài được cấp miễn phí.
5. Sở Kế hoạch và Đầu tư tỉnh, thành phố trực thuộc Trung ương nơi nhà thầu nước ngoài đặt trụ sở (sau đây gọi là cơ quan đăng ký hoạt động) có trách nhiệm tiếp nhận và xem xét hồ sơ đăng ký hoạt động tại Việt Nam của nhà thầu nước ngoài. Trong thời hạn 5 ngày làm việc, kể từ ngày nhận đủ hồ sơ hợp lệ theo quy định tại khoản 3 Điều này, cơ quan đăng ký hoạt động phải cấp Giấy chứng nhận đăng ký hoạt động cho nhà thầu nước ngoài (theo Mẫu do Bộ Kế hoạch và Đầu tư ban hành). Đồng thời, cơ quan đăng ký hoạt động có trách nhiệm thông báo bằng văn bản tới Sở Kế hoạch và Đầu tư của địa phương khác về việc đăng ký hoạt động của nhà thầu nước ngoài trong trường hợp gói thầu được thực hiện ở địa phương này.
Trường hợp cơ quan đăng ký hoạt động từ chối cấp thì phải thông báo bằng văn bản cho nhà thầu nước ngoài đăng ký và nêu rõ lý do.
6. Giấy chứng nhận đăng ký hoạt động hết hiệu lực trong các trường hợp sau:
a) Hết thời hạn hoạt động ghi trong Giấy chứng nhận đăng ký hoạt động;
b) Nhà thầu nước ngoài bị đình chỉ hoạt động, giải thể, phá sản theo quy định của pháp luật Việt Nam hoặc pháp luật của nước hoặc vùng lãnh thổ mà nhà thầu mang quốc tịch.
7. Trường hợp nhà thầu nước ngoài thực hiện nhiều gói thầu mà thời gian thực hiện các gói thầu đó trùng nhau thì nhà thầu chỉ phải lập một hồ sơ đăng ký hoạt động tại Việt Nam với thời hạn được tính từ khi bắt đầu thực hiện gói thầu đầu tiên đến thời hạn kết thúc thực hiện gói thầu cuối cùng.
8. Trường hợp nhà thầu nước ngoài đã được cơ quan đăng ký hoạt động cấp Giấy chứng nhận đăng ký hoạt động đang còn hiệu lực thì khi nhà thầu nước ngoài thực hiện gói thầu tiếp theo trên địa bàn đó thì chỉ cần cập nhật bổ sung thông tin cho cơ quan đã cấp Giấy chứng nhận đăng ký hoạt động để được cấp Giấy chứng nhận đăng ký hoạt động bổ sung (theo mẫu do Bộ Kế hoạch và Đầu tư ban hành).
9. Đối với các nhà thầu nước ngoài trúng thầu trong hoạt động xây dựng tại Việt Nam thì phải thực hiện theo quy định tại khoản 4 Điều 7 của Luật Xây dựng và Quyết định số 87/2004/QĐ-TTg ngày 19 tháng 5 năm 2004 của Thủ tướng Chính phủ về Quy chế quản lý hoạt động của nhà thầu nước ngoài trong lĩnh vực xây dựng tại Việt Nam mà không phải thực hiện các quy định từ khoản 1 đến khoản 8 Điều này.
Điều 61. Kiểm tra về đấu thầu
1. Bộ Kế hoạch và Đầu tư chủ trì, tổ chức kiểm tra về đấu thầu trên phạm vi cả nước. Các bộ, cơ quan ngang bộ, cơ quan thuộc Chính phủ, cơ quan khác ở Trung ương, địa phương, Ủy ban nhân dân các cấp kiểm tra về đấu thầu đối với các đơn vị thuộc phạm vi quản lý của mình và các dự án do mình quyết định đầu tư.
2. Kiểm tra đấu thầu được tiến hành thường xuyên theo kế hoạch hoặc đột xuất (khi có vướng mắc, kiến nghị) theo quyết định của người có thẩm quyền của cơ quan kiểm tra.
3. Nội dung kiểm tra đấu thầu bao gồm:
a) Kiểm tra chứng chỉ đào tạo, bồi dưỡng về đấu thầu, chứng chỉ liên quan đến trình độ của đội ngũ cán bộ, chuyên gia đấu thầu và các văn bản pháp lý liên quan tới quá trình lựa chọn nhà thầu.
b) Kiểm tra việc xây dựng kế hoạch đấu thầu theo các nội dung sau đây:
- Cơ sở pháp lý;
- Nội dung của kế hoạch đấu thầu, tính hợp lý của việc phân chia các gói thầu và hình thức lựa chọn nhà thầu áp dụng cho các gói thầu;
- Tiến độ thực hiện các gói thầu theo kế hoạch đấu thầu đã duyệt. Việc điều chỉnh kế hoạch đấu thầu (nếu có) và lý do điều chỉnh;
- Việc trình duyệt và phê duyệt kế hoạch đấu thầu.
c) Kiểm tra việc tổ chức lựa chọn nhà thầu để thực hiện các gói thầu theo các nội dung sau đây:
- Sự tuân thủ theo cơ sở pháp lý được duyệt như kế hoạch đấu thầu, hồ sơ mời thầu, hồ sơ yêu cầu;
- Trình tự và thời gian thực hiện.
d) Phát hiện những tồn tại trong công tác đấu thầu và đề xuất biện pháp khắc phục.
4. Sau khi kết thúc kiểm tra, phải có báo cáo kết quả kiểm tra. Cơ quan kiểm tra có trách nhiệm theo dõi việc khắc phục các tồn tại đã nêu trong kết luận báo cáo kết quả kiểm tra.
5. Nội dung báo cáo kiểm tra bao gồm:
a) Cơ sở pháp lý;
b) Kết quả kiểm tra;
c) Nhận xét;
d) Kiến nghị.
Điều 62. Giám sát hoạt động đấu thầu của cộng đồng
Việc giám sát hoạt động đấu thầu của cộng đồng được thực hiện theo quy định của pháp luật về giám sát đầu tư của cộng đồng.
Chương XI
ĐIỀU KHOẢN THI HÀNH
Điều 63. Hướng dẫn thi hành
1. Đối với các gói thầu đã phát hành hồ sơ mời thầu trước ngày Luật Đấu thầu có hiệu lực thi hành (ngày 01 tháng 4 năm 2006) thì thực hiện theo những nội dung quy định của các Nghị định số 88/1999/NĐ-CP, Nghị định số 14/2000/NĐ-CP, Nghị định số 66/2003/NĐ-CP và các Thông tư hướng dẫn thực hiện liên quan.
2. Đối với các gói thầu phát hành hồ sơ mời thầu sau ngày Luật Đấu thầu có hiệu lực thi hành (ngày 01 tháng 4 năm 2006) thì tổ chức thực hiện theo Luật Đấu thầu, cụ thể như sau:
a) Từ ngày 01 tháng 4 năm 2006 tới trước ngày Nghị định này có hiệu lực thi hành thì thực hiện theo Luật Đấu thầu và hướng dẫn thực hiện của Bộ Kế hoạch và Đầu tư tại công văn số 2820/BKH-QLĐT ngày 21 tháng 4 năm 2006;
b) Từ ngày Nghị định này có hiệu lực thi hành thì thực hiện theo Luật Đấu thầu và Nghị định này.
3. Việc đăng tải thông tin về đấu thầu trên Bản tin “Thông tin Đấu thầu” do Bộ Kế hoạch và Đầu tư quản lý và phát hành được thực hiện tiếp tục cho đến khi tờ báo về đấu thầu được phát hành theo hướng dẫn cụ thể của Bộ Kế hoạch và Đầu tư.
4. Các quy định về việc đăng tải thông tin trên trang thông tin điện tử về đấu thầu, đấu thầu qua mạng, chứng chỉ tham gia khóa học về đấu thầu, mẫu tài liệu đấu thầu, mẫu Giấy đăng ký hoạt động của nhà thầu nước ngoài được thực hiện theo hướng dẫn của Bộ Kế hoạch và Đầu tư. Đối với hồ sơ mời sơ tuyển, hồ sơ mời thầu thì thực hiện theo các Phụ lục kèm theo Nghị định này cho tới khi có mẫu chi tiết được ban hành.
5. Bộ Tài chính chịu trách nhiệm hướng dẫn khoản 2 Điều 1 của Luật Đấu thầu về dự án sử dụng vốn nhà nước để mua sắm tài sản nhằm duy trì hoạt động thường xuyên của cơ quan nhà nước, tổ chức chính trị, tổ chức chính trị - xã hội, tổ chức chính trị xã hội - nghề nghiệp, tổ chức xã hội, tổ chức xã hội - nghề nghiệp, đơn vị vũ trang nhân dân.
6. Bộ Thương mại chịu trách nhiệm hướng dẫn thủ tục xuất, nhập khẩu hàng hoá của các nhà thầu trúng thầu.
7. Bộ Xây dựng trong phạm vi quản lý của mình hướng dẫn những nội dung cần thiết về lựa chọn nhà thầu trong hoạt động xây dựng nhưng bảo đảm không trái với các quy định của Nghị định này.
8. Các bộ, cơ quan ngang bộ, cơ quan thuộc Chính phủ, cơ quan khác ở Trung ương, Ủy ban nhân dân cấp tỉnh trong phạm vi quản lý của mình hướng dẫn chi tiết một số nội dung của Nghị định này (nếu cần thiết) nhưng bảo đảm không trái với các quy định của Nghị định này.
9. Bộ trưởng, Thủ trưởng cơ quan ngang bộ, Thủ trưởng cơ quan khác ở Trung ương, Chủ tịch Ủy ban nhân dân các cấp chỉ định một cấp phó trực tiếp chịu trách nhiệm về công tác đấu thầu trong phạm vi quản lý của ngành hoặc địa phương mình. Trong quá trình thực hiện Nghị định này, nếu có những phát sinh, vướng mắc cần báo cáo Thủ tướng Chính phủ xem xét, quyết định. Định kỳ hàng năm, các bộ, cơ quan ngang bộ, cơ quan thuộc Chính phủ, cơ quan khác ở Trung ương, Ủy ban nhân dân cấp tỉnh, các doanh nghiệp do Thủ tướng Chính phủ quyết định thành lập phải gửi báo cáo tình hình thực hiện công tác đấu thầu về Bộ Kế hoạch và Đầu tư để tổng hợp báo cáo Thủ tướng Chính phủ.
Điều 64. Hiệu lực thi hành
Nghị định này có hiệu lực thi hành sau 15 ngày, kể từ ngày đăng Công báo. Kể từ ngày Nghị định này có hiệu lực thì các Nghị định số 88/1999/NĐ-CP ngày 01 tháng 9 năm 1999, số 14/2000/NĐ-CP ngày 05 tháng 5 năm 2000, số 66/2003/NĐ-CP ngày 12 tháng 6 năm 2003 của Chính phủ hết hiệu lực thi hành. Những quy định trước đây của Chính phủ, các bộ, cơ quan ngang bộ và của các địa phương trái với quy định của Luật Đấu thầu, Luật Xây dựng và của Nghị định này đều bị bãi bỏ ./.
| Nơi nhận: |
TM. CHÍNH PHỦ |
PHỤ LỤC
Ban hành kèm theo Nghị định số 111/2006/NĐ-CP ngày 29 tháng 9 năm 2006
của Chính phủ về hướng dẫn thi hành Luật đấu thầu và
lựa chọn nhà thầu xây dựng theo Luật Xây dựng
______________
Phụ lục I
MẪU THÔNG BÁO MỜI SƠ TUYỂN VÀ
MỜI CHÀO HÀNG
A. THÔNG BÁO MỜI SƠ TUYỂN
[Ghi tên Bên mời thầu] có kế hoạch tổ chức sơ tuyển nhà thầu theo Luật Đấu thầu để lựa chọn nhà thầu tham gia đấu thầu gói thầu [ghi tên gói thầu với phạm vi công việc chính] thuộc dự án [ghi tên dự án], sử dụng nguồn vốn [ghi nguồn vốn hoặc tổ chức tài trợ vốn].
Bên mời thầu mời tất cả các nhà thầu có đủ năng lực, kinh nghiệm và có điều kiện tham dự sơ tuyển gói thầu nêu trên.
Nhà thầu có nguyện vọng tham dự sơ tuyển có thể tìm hiểu thông tin chi tiết tại [ghi địa chỉ nơi cung cấp thông tin, điện thoại, fax, e-mail của Bên mời thầu] và sẽ được cung cấp miễn phí hồ sơ mời sơ tuyển tại [ghi địa chỉ cung cấp hồ sơ mời sơ tuyển, điện thoại, fax, e-mail].
Thời gian phát hành hồ sơ mời sơ tuyển từ ...... giờ, ngày ..... tháng ...... năm ....... đến ....... giờ, ngày ....... tháng ...... năm ..... [ghi thời điểm đóng sơ tuyển] (trong giờ làm việc hành chính).
Hồ sơ dự sơ tuyển phải được chuyển đến [ghi địa chỉ nhận hồ sơ dự sơ tuyển] chậm nhất là trước ...... giờ (giờ Việt Nam), ngày ...... tháng ..... năm .... [ghi thời điểm đóng sơ tuyển].
Hồ sơ dự sơ tuyển sẽ được mở công khai vào ...... giờ (giờ Việt Nam), ngày ....... tháng ...... năm ..... tại [ghi địa điểm mở hồ sơ dự sơ tuyển].
[Ghi tên Bên mời thầu] kính mời đại diện các nhà thầu nộp hồ sơ dự sơ tuyển tới tham dự lễ mở hồ sơ dự sơ tuyển vào thời gian và địa điểm nêu trên.
B. THÔNG BÁO MỜI CHÀO HÀNG
(Áp dụng đối với hình thức chào hàng cạnh tranh trong mua sắm hàng hóa)
[Ghi tên Bên mời thầu] có kế hoạch tổ chức chào hàng cạnh tranh theo Luật Đấu thầu đối với gói thầu [ghi tên gói thầu với phạm vi cung cấp chính], thuộc dự án [ghi tên dự án] sử dụng nguồn vốn [ghi nguồn vốn hoặc tổ chức tài trợ vốn].
Bên mời thầu mời các nhà thầu có đủ năng lực, kinh nghiệm và quan tâm đối với việc cung cấp hàng hóa nêu trên tham dự. Các nhà thầu quan tâm đến gói thầu tìm hiểu thông tin chi tiết tại [ghi địa chỉ nơi cung cấp thông tin, điện thoại, fax, e-mail của Bên mời thầu]. Nhà thầu có thể đăng ký tham dự trước với Bên mời thầu theo thời gian từ ngày ...... tháng .... năm ... đến ngày ... tháng ... năm ... (trong giờ hành chính) theo địa chỉ [ghi địa điểm đăng ký, điện thoại, fax, e-mail](nhà thầu có thể đăng ký trực tiếp, qua đường bưu điện hoặc fax). Sau ... ngày kể từ ngày đăng tải đầu tiên thông báo này, [ghi tên Bên mời thầu] sẽ phát hành hồ sơ yêu cầu chào hàng tại [ghi địa chỉ nơi phát hành hồ sơ yêu cầu chào hàng] .
Phụ lục II
TÀI LIỆU HƯỚNG DẪN LẬP
HỒ SƠ MỜI THẦU GÓI THẦU DỊCH VỤ TƯ VẤN
______________
PHỤ LỤC NÀY GỒM CÁC NỘI DUNG SAU:
PHẦN A. MỜI THẦU
I. THÔNG BÁO MỜI NỘP HỒ SƠ QUAN TÂM
II. THƯ MỜI THẦU
PHẦN B. NỘI DUNG HỒ SƠ MỜI THẦU
I. CHỈ DẪN ĐỐI VỚI NHÀ THẦU
II. BẢNG DỮ LIỆU ĐẤU THẦU
III. TIÊU CHUẨN ĐÁNH GIÁ
IV. ĐỀ XUẤT KỸ THUẬT
V. ĐỀ XUẤT TÀI CHÍNH
VI. ĐIỀU KHOẢN THAM CHIẾU
VII. CÁC BIỂU MẪU
PHẦN A. MỜI THẦU
I. THÔNG BÁO MỜI NỘP HỒ SƠ QUAN TÂM
(Áp dụng đối với đấu thầu rộng rãi)
[Ghi tên Bên mời thầu] có kế hoạch tổ chức đấu thầu theo Luật Đấu thầu để lựa chọn nhà thầu cung cấp dịch vụ tư vấn cho gói thầu [ghi tên gói thầu] theo hình thức đấu thầu rộng rãi [trong nước hoặc quốc tế], thuộc dự án [ghi tên dự án], sử dụng nguồn vốn [ghi nguồn vốn hoặc tổ chức tài trợ vốn].
Bên mời thầu mời các nhà thầu quan tâm tới gói thầu nộp hồ sơ quan tâm đối với việc cung cấp dịch vụ tư vấn nêu trên. Các nhà thầu quan tâm đến gói thầu tìm hiểu thông tin chi tiết, nhận hồ sơ mời quan tâm tại [ghi địa chỉ nơi cung cấp thông tin, điện thoại, fax, e-mail của Bên mời thầu]. Hồ sơ quan tâm cần mô tả tóm tắt lịch sử, năng lực và kinh nghiệm của nhà thầu. Thời gian nộp hồ sơ quan tâm chậm nhất vào trước….. giờ (giờ Việt Nam), ngày ….. tháng ….. năm …... tại [ghi địa chỉ nộp hồ sơ quan tâm]. Nhà thầu có hồ sơ quan tâm đáp ứng yêu cầu sẽ được mời tham gia đấu thầu.
II. THƯ MỜI THẦU
(Áp dụng đối với đấu thầu hạn chế hoặc đấu thầu rộng rãi khi đã xác định được danh sách nhà thầu tham gia đấu thầu)
......, ngày ......... tháng ....... năm ......
Kính gửi: ..............[Ghi tên và địa chỉ của nhà thầu]
[Ghi tên Bên mời thầu] chuẩn bị tổ chức đấu thầu theo Luật Đấu thầu gói thầu [ghi tên gói thầu] thuộc dự án [ghi tên dự án]. [Ghi tên Bên mời thầu] xin mời [ghi tên nhà thầu] tham gia đấu thầu gói thầu nêu trên.
Nhà thầu sẽ được mua một bộ hồ sơ mời thầu với giá là [ghi giá trị bằng số, bằng chữ và đồng tiền sử dụng], tại [ghi địa chỉ bán hồ sơ mời thầu].
Thời gian bán hồ sơ mời thầu từ ....... giờ, ngày ...... tháng ...... năm .......đến trước ........ giờ, ngày ........ tháng ....... năm ....... [ghi thời điểm đóng thầu] (trong giờ làm việc hành chính).
Hồ sơ dự thầu phải được gửi đến [ghi địa chỉ nhận hồ sơ dự thầu] chậm nhất là trước........ giờ (giờ Việt Nam), ngày ........ tháng ....... năm ....... [ghi thời điểm đóng thầu].
Hồ sơ dự thầu sẽ được mở công khai vào .... giờ (giờ Việt Nam) ngày ..... tháng ........ năm ......... tại [ghi địa điểm mở thầu].
[Ghi tên Bên mời thầu] kính mời đại diện [ghi tên nhà thầu] tới tham dự lễ mở thầu vào thời gian và địa điểm nêu trên.
|
| Đại diện Bên mời thầu (Ghi tên, chức danh, ký tên và đóng dấu) |
PHẦN B. NỘI DUNG HỒ SƠ MỜI THẦU
I. CHỈ DẪN ĐỐI VỚI NHÀ THẦU
1. Giải thích từ ngữ
2. Giới thiệu về dự án, gói thầu
3. Tư cách hợp lệ của nhà thầu
4. Chi phí dự thầu
5. Giải thích làm rõ hồ sơ mời thầu
6. Sửa đổi hồ sơ mời thầu
7. Ngôn ngữ sử dụng
8. Nội dung hồ sơ dự thầu
9. Thời hạn hiệu lực của hồ sơ dự thầu
10. Nộp, tiếp nhận hồ sơ dự thầu
11. Mở thầu
12. Đánh giá hồ sơ dự thầu
13. Thương thảo
14. Thương thảo, hoàn thiện và ký kết hợp đồng
15. Giải quyết kiến nghị trong đấu thầu, chỉ dẫn địa chỉ bộ phận thường trực giúp việc của Hội đồng tư vấn về giải quyết kiến nghị
16. Xử lý vi phạm
II. BẢNG DỮ LIỆU ĐẤU THẦU
Bảng dữ liệu đấu thầu bao gồm các nội dung chi tiết đối với một số mục tương ứng trong phần chỉ dẫn đối với nhà thầu.
III. TIÊU CHUẨN ĐÁNH GIÁ
Tuỳ theo tính chất của gói thầu, Bên mời thầu nêu rõ tiêu chuẩn đánh giá về mặt kỹ thuật, tiêu chuẩn đánh giá về mặt tài chính và tiêu chuẩn đánh giá tổng hợp. Đối với gói thầu có yêu cầu kỹ thuật cao thì chỉ nêu tiêu chuẩn đánh giá về mặt kỹ thuật.
IV. ĐỀ XUẤT KỸ THUẬT
Đề xuất kỹ thuật của nhà thầu bao gồm các nội dung: đơn dự thầu thuộc đề xuất kỹ thuật, cơ cấu tổ chức và kinh nghiệm của nhà thầu, những góp ý (nếu có) để hoàn thiện nội dung Điều khoản tham chiếu, giải pháp và phương pháp luận tổng quát do nhà thầu đề xuất để thực hiện gói thầu, chuyên gia và nhiệm vụ của chuyên gia, lý lịch chuyên gia, chương trình công tác, các yêu cầu cần thiết để thực hiện dịch vụ tư vấn.
V. ĐỀ XUẤT TÀI CHÍNH
Đề xuất tài chính được chuẩn bị trên cơ sở đề xuất kỹ thuật, phù hợp với yêu cầu và các quy định trong hồ sơ mời thầu, gồm các nội dung như: đơn dự thầu thuộc phần đề xuất tài chính, tổng hợp chi phí, chi phí trả cho chuyên gia và các chi phí khác.
VI. ĐIỀU KHOẢN THAM CHIẾU
"Điều khoản tham chiếu" bao gồm những nội dung chủ yếu sau:
Giới thiệu:
Mô tả khái quát về dự án và gói thầu
Mô tả mục đích tuyển chọn nhà thầu tư vấn
Phạm vi công việc:
1. Mô tả chi tiết phạm vi công việc đối với nhà thầu tư vấn, nguồn vốn, tên cơ quan thực hiện dự án, thời gian, tiến độ thực hiện, số tháng-người cần thiết (nếu có).
2. Mô tả các nhiệm vụ cụ thể do nhà thầu tư vấn phải tiến hành trong thời gian thực hiện hợp đồng tư vấn.
3. Yêu cầu về tiến độ nộp các báo cáo có liên quan đến phạm vi dịch vụ tư vấn.
4. Dự kiến thời gian chuyên gia bắt đầu thực hiện dịch vụ tư vấn (thông thường không quá 30 ngày, kể từ khi hợp đồng có hiệu lực).
Trách nhiệm của Bên mời thầu:
Dự kiến khả năng cung cấp điều kiện làm việc, cán bộ hỗ trợ của Bên mời thầu và những tài liệu có liên quan đến nhiệm vụ của tư vấn.
VII. CÁC BIỂU MẪU
1. Mẫu đơn dự thầu
Mẫu số 1
ĐƠN DỰ THẦU
(Hồ sơ đề xuất kỹ thuật)
......, ngày ....... tháng ...... năm .......
| Kính gửi: | (Ghi tên và địa chỉ của Bên mời thầu) |
Sau khi nghiên cứu hồ sơ mời thầu và văn bản sửa đổi hồ sơ mời thầu số [ghi số của văn bản bổ sung nếu có] mà chúng tôi đã nhận được, chúng tôi, [ghi tên nhà thầu], cam kết cung cấp dịch vụ tư vấn [ghi phạm vi dịch vụ tư vấn] theo đúng yêu cầu của hồ sơ mời thầu. Hồ sơ dự thầu của chúng tôi gồm có đề xuất kỹ thuật này và một đề xuất tài chính được niêm phong riêng biệt.
Chúng tôi cam kết rằng mọi thông tin trong đề xuất kỹ thuật là chính xác và không thay đổi nhân sự đã đề xuất trong thời gian hồ sơ dự thầu có hiệu lực là ....... ngày [ghi số ngày căn cứ theo quy định của hồ sơ mời thầu về hiệu lực của hồ sơ dự thầu], kể từ ........ giờ, ngày ..... tháng ........ năm ....... [ghi thời điểm đóng thầu].
|
| Đại diện hợp pháp của nhà thầu (Ghi tên, chức danh, ký tên và đóng dấu) |
Mẫu số 2
ĐƠN DỰ THẦU
(Hồ sơ đề xuất tài chính)
......., ngày ........ tháng ...... năm ........
Kính gửi: [Ghi tên và địa chỉ của Bên mời thầu]
Sau khi nghiên cứu hồ sơ mời thầu và văn bản sửa đổi hồ sơ mời thầu số [ghi số của văn bản bổ sung nếu có] mà chúng tôi đã nhận được, chúng tôi, [ghi tên nhà thầu], cam kết cung cấp dịch vụ tư vấn [ghi phạm vi dịch vụ tư vấn] theo đúng yêu cầu của hồ sơ mời thầu. Cùng với Đề xuất kỹ thuật, chúng tôi xin gửi kèm đơn này một Đề xuất tài chính với tổng số tiền là [ghi giá trị bằng số, bằng chữ và đồng tiền dự thầu](1) với thời gian hiệu lực là ...... ngày [căn cứ theo thời gian có hiệu lực của hồ sơ đề xuất kỹ thuật], kể từ ...... giờ, ngày ......, tháng ....... năm ....... [ghi thời điểm đóng thầu].
|
| Đại diện hợp pháp của nhà thầu (Ghi tên, chức danh, ký tên và đóng dấu) |
Ghi chú: (1) Trường hợp trong HSMT cho phép chào theo một số đồng tiền khác nhau thì nhà thầu cần ghi giá trị bằng số và bằng chữ của từng đồng tiền do nhà thầu chào.
2. Mẫu hợp đồng
Mẫu số 3
HỢP ĐỒNG
(Văn bản Hợp đồng cung cấp dịch vụ tư vấn)
........, ngày ...... tháng ...... năm .....
Hợp đồng số: ...............
Gói thầu: .............. [ghi tên gói thầu]
Thuộc dự án: ............... [ghi tên dự án]
Căn cứ ký hợp đồng [ghi các căn cứ cụ thể]
Các Bên tham gia ký Hợp đồng:
Chủ đầu tư: [ghi tên và địa chỉ chủ đầu tư hoặc đại diện hợp pháp của chủ đầu tư]
Nhà thầu Tư vấn: [ghi tên và địa chỉ nhà thầu trúng thầu]
Nội dung hợp đồng:
1. Đối tượng hợp đồng
2. Thành phần hợp đồng [ghi cụ thể thành phần hợp đồng theo thứ tự ưu tiên như văn bản hợp đồng, biên bản thương thảo hoàn thiện hợp đồng, điều kiện cụ thể và điều kiện chung của hợp đồng và các tài liệu liên quan khác].
3. Trách nhiệm của Chủ đầu tư
4. Trách nhiệm của Nhà thầu Tư vấn
5. Giá hợp đồng và phương thức thanh toán
6. Hình thức hợp đồng
7. Thời gian thực hiện hợp đồng
8. Hiệu lực hợp đồng
| Đại diện hợp pháp của Chủ đầu tư (Ghi tên, chức danh, | Đại diện hợp pháp của Nhà thầu Tư vấn (Ghi tên, chức danh, |
3. Các biểu mẫu khác
Nêu các biểu mẫu cần thiết khác, chẳng hạn như biểu mẫu về tiêu chuẩn đánh giá, biểu mẫu liên quan đến năng lực và kinh nghiệm của nhà thầu, biểu mẫu về chi phí và các nội dung khác.
Phụ lục III
TÀI LIỆU HƯỚNG DẪN
LẬP HỒ SƠ MỜI THẦU MUA SẮM HÀNG HOÁ
__________
PHỤ LỤC NÀY GỒM CÁC NỘI DUNG SAU:
PHẦN A. MỜI THẦU
I. THÔNG BÁO MỜI THẦU
II. THƯ MỜI THẦU
PHẦN B. NỘI DUNG HỒ SƠ MỜI THẦU
B1. YÊU CẦU VỀ THỦ TỤC ĐẤU THẦU
I. CHỈ DẪN ĐỐI VỚI NHÀ THẦU
II. BẢNG DỮ LIỆU ĐẤU THẦU
III. TIÊU CHUẨN ĐÁNH GIÁ VÀ NỘI DUNG XÁC ĐỊNH GIÁ ĐÁNH GIÁ
IV. BIỂU MẪU DỰ THẦU
B2. YÊU CẦU VỀ CUNG CẤP
I. PHẠM VI CUNG CẤP
II. TIẾN ĐỘ CUNG CẤP
III. YÊU CẦU VỀ MẶT KỸ THUẬT
B3. YÊU CẦU VỀ HỢP ĐỒNG
I. ĐIỀU KIỆN CHUNG CỦA HỢP ĐỒNG
II. ĐIỀU KIỆN CỤ THỂ CỦA HỢP ĐỒNG
III. BIỂU MẪU VỀ HỢP ĐỒNG
PHẦN A. MỜI THẦU
I. THÔNG BÁO MỜI THẦU
(Áp dụng trong trường hợp đấu thầu rộng rãi không thực hiện sơ tuyển)
[Ghi tên Bên mời thầu] có kế hoạch tổ chức đấu thầu theo Luật Đấu thầu gói thầu [ghi tên gói thầu với phạm vi cung cấp chính] theo hình thức đấu thầu rộng rãi [trong nước hoặc quốc tế], thuộc dự án [ghi tên dự án] sử dụng nguồn vốn [ghi nguồn vốn hoặc tổ chức tài trợ vốn].
Bên mời thầu mời tất cả các nhà thầu có đủ năng lực, kinh nghiệm và có điều kiện tới tham gia đấu thầu gói thầu nêu trên.
Nhà thầu có nguyện vọng tham gia đấu thầu có thể tìm hiểu thông tin chi tiết tại [ghi địa chỉ nơi cung cấp thông tin, điện thoại, fax, e-mail của Bên mời thầu] và sẽ được mua một bộ hồ sơ mời thầu hoàn chỉnh với giá là [ghi số tiền bằng số, bằng chữ và đồng tiền sử dụng] tại [ghi địa chỉ bán hồ sơ mời thầu, điện thoại, fax, e-mail].
Thời gian bán hồ sơ mời thầu từ ......... giờ, ngày ..... tháng .... năm .......... đến trước ....... giờ, ngày ....... tháng ....... năm ........ [ghi thời điểm đóng thầu], (trong giờ làm việc hành chính).
Hồ sơ dự thầu phải kèm theo bảo đảm dự thầu trị giá [ghi số tiền bằng số và bằng chữ, đồng tiền sử dụng, hình thức bảo đảm] và phải được gửi đến [ghi địa chỉ nhận hồ sơ dự thầu] chậm nhất là trước.... giờ (giờ Việt Nam), ngày .... tháng ...... năm ........ [ghi thời điểm đóng thầu].
Hồ sơ dự thầu sẽ được mở công khai vào .... giờ (giờ Việt Nam), ngày .... tháng ........ năm ........, tại [ghi địa điểm mở thầu].
[Ghi tên Bên mời thầu] kính mời đại diện của các nhà thầu nộp hồ sơ dự thầu tới tham dự lễ mở thầu vào thời gian và địa điểm nêu trên.
II. THƯ MỜI THẦU
(Áp dụng trong trường hợp gói thầu đã thực hiện sơ tuyển hoặc đấu thầu hạn chế)
........., ngày....... tháng ..... năm .......
Kính gửi: [Ghi tên và địa chỉ của nhà thầu]
[Ghi tên Bên mời thầu] chuẩn bị tổ chức đấu thầu theo Luật Đấu thầu gói thầu [ghi tên gói thầu] để thực hiện dự án (hoặc công trình) tại ............ [Ghi tên Bên mời thầu] xin mời [ghi tên nhà thầu] tới tham gia đấu thầu gói thầu nêu trên.
Nhà thầu sẽ được mua một bộ hồ sơ mời thầu với giá là ...... [ghi giá trị bằng số, bằng chữ và đồng tiền sử dụng], tại [ghi địa chỉ bán hồ sơ mời thầu].
Thời gian bán hồ sơ mời thầu từ ....... giờ, ngày ........ tháng ...... năm ....... đến trước ........ giờ, ngày ....... tháng ....... năm ........ [ghi thời điểm đóng thầu] (trong giờ làm việc hành chính).
Hồ sơ dự thầu phải kèm theo bảo đảm dự thầu trị giá [ghi giá trị bằng số và bằng chữ, đồng tiền sử dụng, hình thức bảo đảm] và phải được gửi đến [ghi địa chỉ nhận hồ sơ dự thầu] chậm nhất là trước....... giờ (giờ Việt Nam), ngày ....... tháng ....... năm ........ [ghi thời điểm đóng thầu].
Hồ sơ dự thầu sẽ được mở công khai vào ...... giờ (giờ Việt Nam), ngày..... tháng ....... năm ........, tại [ghi địa điểm mở thầu].
[Ghi tên Bên mời thầu] kính mời đại diện [ghi tên nhà thầu] tới tham dự lễ mở thầu vào thời gian và địa điểm nêu trên.
|
| Đại diện Bên mời thầu |
PHẦN B. NỘI DUNG HỒ SƠ MỜI THẦU
B1. YÊU CẦU VỀ THỦ TỤC ĐẤU THẦU
I. CHỈ DẪN ĐỐI VỚI NHÀ THẦU
1. Nội dung đấu thầu
2. Nguồn vốn
3. Tư cách hợp lệ của nhà thầu
4. Tính hợp lệ của hàng hóa
5. Chi phí dự thầu
6. Hồ sơ mời thầu và giải thích làm rõ hồ sơ mời thầu
7. Sửa đổi hồ sơ mời thầu
8. Ngôn ngữ sử dụng
9. Nội dung hồ sơ dự thầu
10. Đơn dự thầu
11. Giá dự thầu và biểu giá
12. Đồng tiền dự thầu
13. Tài liệu chứng minh tư cách hợp lệ, kinh nghiệm và năng lực của nhà thầu
14. Tài liệu chứng minh tính hợp lệ và tính phù hợp (đáp ứng) của hàng hóa
15. Bảo đảm dự thầu
16. Thời hạn hiệu lực của hồ sơ dự thầu
17. Quy cách của hồ sơ dự thầu và chữ ký trong hồ sơ dự thầu
18. Niêm phong và cách ghi trên túi đựng hồ sơ dự thầu
19. Thời hạn nộp hồ sơ dự thầu
20. Hồ sơ dự thầu nộp muộn
21. Sửa đổi hoặc rút hồ sơ dự thầu
22. Mở thầu
23. Làm rõ hồ sơ dự thầu
24. Đánh giá sơ bộ hồ sơ dự thầu
25. Đánh giá về mặt kỹ thuật
26. Xác định giá đánh giá
27. Sửa lỗi
28. Hiệu chỉnh các sai lệch
29. Chuyển đổi sang một đồng tiền chung
30. Mặt bằng để so sánh hồ sơ dự thầu
31. Tiếp xúc với Bên mời thầu
32. Điều kiện được đề nghị trúng thầu
33. Quyền của Bên mời thầu được chấp nhận, loại bỏ bất kỳ hoặc tất cả các hồ sơ dự thầu
34. Công bố kết quả đấu thầu
35. Thương thảo, hoàn thiện và ký hợp đồng
36. Bảo đảm thực hiện hợp đồng
37. Giải quyết kiến nghị trong đấu thầu, chỉ dẫn địa chỉ bộ phận thường trực giúp việc của Hội đồng tư vấn về giải quyết kiến nghị
38. Xử lý vi phạm trong đấu thầu
II. BẢNG DỮ LIỆU ĐẤU THẦU
Bảng dữ liệu đấu thầu bao gồm các nội dung chi tiết của gói thầu theo một số mục tương ứng trong Phần Chỉ dẫn đối với nhà thầu.
III. TIÊU CHUẨN ĐÁNH GIÁ VÀ NỘI DUNG XÁC ĐỊNH GIÁ ĐÁNH GIÁ
Trong mục này cần nêu rõ tiêu chuẩn đánh giá về kinh nghiệm và năng lực của nhà thầu (trường hợp không áp dụng sơ tuyển), tiêu chuẩn đánh giá về mặt kỹ thuật, nội dung xác định giá đánh giá.
Các nội dung yêu cầu về kinh nghiệm và năng lực được đánh giá theo tiêu chí "đạt", "không đạt". Tùy theo tính chất, yêu cầu của gói thầu mà áp dụng phương pháp chấm điểm hoặc phương pháp đánh giá theo tiêu chí "đạt", "không đạt" cho tiêu chuẩn đánh giá về mặt kỹ thuật.
Nội dung xác định giá đánh giá gồm: xác định giá dự thầu, sửa lỗi, hiệu chỉnh các sai lệch, chuyển đổi giá đề nghị trúng thầu sang một đồng tiền chung (nếu có) và đưa các chi phí về một mặt bằng.
IV. BIỂU MẪU DỰ THẦU
Nêu cụ thể biểu mẫu theo yêu cầu như đơn dự thầu (Mẫu số 1), biểu giá chào, biểu mẫu báo cáo về năng lực và kinh nghiệm của nhà thầu, bảo lãnh dự thầu (nếu yêu cầu Ngân hàng bảo lãnh), giấy phép bán hàng của nhà sản xuất và các biểu mẫu cần thiết khác theo yêu cầu của gói thầu.
Mẫu số 1
ĐƠN DỰ THẦU
........, ngày ......... tháng ......... năm .........
Kính gửi: ........................... (ghi tên Bên mời thầu)
(Sau đây gọi là Bên mời thầu)
Sau khi nghiên cứu hồ sơ mời thầu và văn bản sửa đổi hồ sơ mời thầu số [ghi số của văn bản bổ sung nếu có] mà chúng tôi đã nhận được, chúng tôi, [ghi tên nhà thầu], cam kết cung cấp [ghi tên hàng hóa] theo đúng yêu cầu của hồ sơ mời thầu với tổng số tiền là [ghi giá trị bằng số, bằng chữ và đồng tiền dự thầu] (1) cùng với biểu giá chi tiết kèm theo.
Nếu hồ sơ dự thầu của chúng tôi được chấp nhận, chúng tôi sẽ thực hiện biện pháp bảo đảm thực hiện hợp đồng tương đương với ......... % giá hợp đồng theo quy định trong hồ sơ mời thầu và cam kết cung cấp hàng hóa theo đúng yêu cầu nêu trong hợp đồng.
Hồ sơ dự thầu này có hiệu lực trong thời gian ......... ngày, kể từ ......... giờ, ngày ......... tháng ......... năm ......... [ghi thời điểm đóng thầu].
|
| Đại diện hợp pháp của nhà thầu |
Ghi chú:
(1) Trường hợp trong hồ sơ mời thầu cho phép chào theo một số đồng tiền khác nhau thì nhà thầu cần ghi giá trị bằng số và bằng chữ của từng đồng tiền do nhà thầu chào.
B2. YÊU CẦU VỀ CUNG CẤP
I. PHẠM VI CUNG CẤP
Trong Phần này, Bên mời thầu liệt kê chi tiết danh mục các hàng hóa yêu cầu cung cấp. Trong đó cần nêu rõ danh mục hàng hóa với số lượng, chủng loại yêu cầu và các mô tả, diễn giải chi tiết (nếu thấy cần thiết).
II. TIẾN ĐỘ CUNG CẤP
Tiến độ yêu cầu cung cấp cần được Bên mời thầu lập thành biểu, trong đó nêu rõ tên hàng hóa với số lượng yêu cầu, địa điểm và tiến độ cung cấp cụ thể. Hàng hóa có thể được yêu cầu cung cấp thành một hoặc nhiều đợt khác nhau tùy theo yêu cầu của gói thầu.
III. YÊU CẦU VỀ MẶT KỸ THUẬT
Yêu cầu về mặt kỹ thuật bao gồm yêu cầu kỹ thuật (mang tính kỹ thuật thuần tuý) và các yêu cầu khác liên quan đến việc cung cấp hàng hóa (trừ giá). Yêu cầu về mặt kỹ thuật phải được nêu đầy đủ, rõ ràng và cụ thể để làm cơ sở cho nhà thầu lập hồ sơ dự thầu.
Thông thường, yêu cầu về mặt kỹ thuật bao gồm các mục chính như sau:
1. Giới thiệu chung về dự án và gói thầu
Mục này giới thiệu chung, khái quát về dự án và về gói thầu như địa điểm thực hiện dự án, quy mô của dự án, yêu cầu về cung cấp hàng hóa thuộc gói thầu, thời gian thực hiện gói thầu và những thông tin khác tùy theo tính chất và yêu cầu của gói thầu.
2. Yêu cầu kỹ thuật
Yêu cầu kỹ thuật bao gồm yêu cầu kỹ thuật chung và yêu cầu kỹ thuật chi tiết đối với hàng hóa thuộc phạm vi cung cấp của gói thầu.
3. Các yêu cầu khác
Các yêu cầu khác về mặt kỹ thuật bao gồm yêu cầu về phạm vi cung cấp, yêu cầu về tiến độ thực hiện, yêu cầu về giấy phép bán hàng của nhà sản xuất đối với một số loại hàng hóa (kèm theo danh mục) khi nhà thầu cung cấp không phải là nhà sản xuất, yêu cầu về phương thức thanh toán, yêu cầu về cung cấp tài chính (nếu có) và điều kiện tín dụng kèm theo, yêu cầu về dịch vụ kỹ thuật kèm theo như tổ chức lắp đặt máy móc thiết bị, vận hành chạy thử, đào tạo chuyển giao công nghệ,... cũng như yêu cầu về phụ tùng thay thế và dịch vụ sau bán hàng (nếu có). Các yêu cầu này phải được nêu chi tiết để nhà thầu chuẩn bị hồ sơ dự thầu.
B3. YÊU CẦU VỀ HỢP ĐỒNG
I. ĐIỀU KIỆN CHUNG CỦA HỢP ĐỒNG
Nêu yêu cầu về điều kiện của hợp đồng như tiêu chuẩn hàng hoá, yêu cầu kiểm tra thử nghiệm, đóng gói, yêu cầu giao hàng và các tài liệu kèm theo, bảo đảm thực hiện hợp đồng, bảo lãnh tiền tạm ứng, thanh toán, trách nhiệm của các bên và các nội dung cần thiết khác để thực hiện hợp đồng.
II. ĐIỀU KIỆN CỤ THỂ CỦA HỢP ĐỒNG
Cụ thể một số nội dung của Điều kiện chung đối với gói thầu cần thực hiện.
III. BIỂU MẪU VỀ HỢP ĐỒNG
Nêu mẫu hợp đồng (Mẫu số 2) và các Mẫu về bảo lãnh thực hiện hợp đồng (nếu yêu cầu Ngân hàng bảo lãnh), bảo lãnh tiền tạm ứng.
Mẫu số 2
HỢP ĐỒNG
(Văn bản Hợp đồng cung cấp hàng hóa)
........., ngày ......... tháng ......... năm .........
Hợp đồng số: ..................
Gói thầu: .................. [ghi tên gói thầu]
Thuộc dự án: .................. [ghi tên dự án]
Căn cứ ký hợp đồng [ghi các căn cứ cụ thể]
Các Bên tham gia ký Hợp đồng:
Bên mua: [ghi tên và địa chỉ chủ đầu tư hoặc đại diện hợp pháp của chủ đầu tư]
Bên bán: [ghi tên và địa chỉ nhà thầu trúng thầu]
Nội dung hợp đồng
1. Đối tượng hợp đồng
2. Thành phần hợp đồng
[Ghi cụ thể thành phần hợp đồng theo thứ tự ưu tiên như văn bản hợp đồng, biên bản thương thảo hoàn thiện hợp đồng, điều kiện cụ thể và điều kiện chung của hợp đồng và các tài liệu liên quan khác].
3. Trách nhiệm của Bên bán
4. Trách nhiệm của Bên mua
5. Giá hợp đồng và phương thức thanh toán
6. Hình thức hợp đồng
7. Thời gian thực hiện hợp đồng
8. Hiệu lực hợp đồng
| Đại diện hợp pháp của Bên mua (Ghi tên, chức danh, | Đại diện hợp pháp của Bên bán (Ghi tên, chức danh, |
Phụ lục IV
TÀI LIỆU HƯỚNG DẪN
LẬP HỒ SƠ MỜI THẦU XÂY LẮP
__________
PHỤ LỤC NÀY GỒM CÁC NỘI DUNG SAU:
PHẦN A. MỜI THẦU
I. THÔNG BÁO MỜI THẦU
II. THƯ MỜI THẦU
PHẦN B. NỘI DUNG HỒ SƠ MỜI THẦU
B1. YÊU CẦU VỀ THỦ TỤC ĐẤU THẦU
I. CHỈ DẪN ĐỐI VỚI NHÀ THẦU
II. BẢNG DỮ LIỆU ĐẤU THẦU
III. TIÊU CHUẨN ĐÁNH GIÁ VÀ NỘI DUNG XÁC ĐỊNH GIÁ ĐÁNH GIÁ
IV. BIỂU MẪU DỰ THẦU
B2. YÊU CẦU VỀ XÂY LẮP
I. PHẠM VI CÔNG VIỆC VÀ TIẾN ĐỘ THỰC HIỆN
II. YÊU CẦU VỀ KỸ THUẬT
III.THIẾT KẾ KỸ THUẬT
B3. YÊU CẦU VỀ HỢP ĐỒNG
I. ĐIỀU KIỆN CHUNG CỦA HỢP ĐỒNG
II. ĐIỀU KIỆN CỤ THỂ CỦA HỢP ĐỒNG
III. BIỂU MẪU VỀ HỢP ĐỒNG
PHẦN A. MỜI THẦU
I. THÔNG BÁO MỜI THẦU
(Áp dụng trong trường hợp đấu thầu rộng rãi không thực hiện sơ tuyển)
[Ghi tên Bên mời thầu] có kế hoạch tổ chức đấu thầu theo Luật Đấu thầu gói thầu [ghi tên gói thầu] theo hình thức đấu thầu rộng rãi [trong nước hoặc quốc tế], thuộc dự án [ghi tên dự án] sử dụng nguồn vốn [ghi nguồn vốn hoặc tổ chức tài trợ vốn].
Bên mời thầu mời tất cả các nhà thầu có đủ năng lực, kinh nghiệm và có điều kiện tới tham gia đấu thầu gói thầu nêu trên.
Nhà thầu có nguyện vọng tham gia đấu thầu có thể tìm hiểu thông tin chi tiết tại [ghi địa chỉ nơi cung cấp thông tin, điện thoại, fax, e.mail của Bên mời thầu] và sẽ được mua một bộ hồ sơ mời thầu hoàn chỉnh với giá là [ghi số tiền bằng số, bằng chữ và đồng tiền sử dụng] tại [ghi địa chỉ bán hồ sơ mời thầu, điện thoại, fax, e.mail].
Thời gian bán hồ sơ mời thầu từ ...... giờ, ngày ...... tháng ....... năm ......... đến trước ......... giờ, ngày ......... tháng ......... năm ......... [ghi thời điểm đóng thầu] (trong giờ làm việc hành chính).
Hồ sơ dự thầu phải kèm theo bảo đảm dự thầu trị giá [ghi số tiền bằng số và bằng chữ, đồng tiền sử dụng, hình thức bảo đảm] và phải được gửi đến [ghi địa chỉ nhận hồ sơ dự thầu] chậm nhất là trước.... giờ (giờ Việt Nam), ngày ..... tháng ....... năm ......... [ghi thời điểm đóng thầu].
Hồ sơ dự thầu sẽ được mở công khai vào .... giờ (giờ Việt Nam), ngày ..... tháng ......... năm ......... tại [ghi địa điểm mở thầu].
[Ghi tên Bên mời thầu] kính mời các đại diện của các nhà thầu nộp hồ sơ dự thầu tới tham dự lễ mở thầu vào thời gian và địa điểm nêu trên.
II. THƯ MỜI THẦU
(Áp dụng trong trường hợp gói thầu đã thực hiện sơ tuyển hoặc đấu thầu hạn chế)
........., ngày ....... tháng ...... năm .........
Kính gửi: [Ghi tên và địa chỉ của nhà thầu]
[Ghi tên Bên mời thầu] chuẩn bị đấu thầu theo Luật Đấu thầu gói thầu [ghi tên gói thầu] để thực hiện dự án (hoặc công trình).................. tại .......... [ghi tên Bên mời thầu] xin mời [ghi tên nhà thầu] tới tham gia đấu thầu gói thầu nêu trên.
Nhà thầu sẽ được mua một bộ hồ sơ mời thầu với giá là ......... [ghi giá trị bằng số, bằng chữ và đồng tiền sử dụng] tại [ghi địa chỉ bán hồ sơ mời thầu].
Thời gian bán hồ sơ mời thầu từ ......... giờ, ngày ......... tháng ......... năm ......... đến trước ......... giờ, ngày ......... tháng ......... năm .........[ghi thời điểm đóng thầu] (trong giờ làm việc hành chính).
Hồ sơ dự thầu phải kèm theo bảo đảm dự thầu trị giá [ghi giá trị bằng số và bằng chữ, đồng tiền sử dụng, hình thức bảo đảm] và phải được gửi đến [ghi địa chỉ nhận hồ sơ dự thầu] chậm nhất là trước......... giờ (giờ Việt Nam), ngày ......... tháng ......... năm [ghi thời điểm đóng thầu].
Hồ sơ dự thầu sẽ được mở công khai vào ......... giờ (giờ Việt Nam), ngày ......... tháng ......... năm ........., tại [ghi địa điểm mở thầu].
[Ghi tên Bên mời thầu] kính mời đại diện [ghi tên nhà thầu] tới tham dự lễ mở thầu vào thời gian và địa điểm nêu trên.
|
| Đại diện Bên mời thầu |
PHẦN B. NỘI DUNG HỒ SƠ MỜI THẦU
B1. YÊU CẦU VỀ THỦ TỤC ĐẤU THẦU
I. CHỈ DẪN ĐỐI VỚI NHÀ THẦU
1. Nội dung đấu thầu
2. Nguồn vốn
3. Tư cách hợp lệ của nhà thầu
4. Hồ sơ mời thầu và giải thích làm rõ hồ sơ mời thầu
5. Sửa đổi hồ sơ mời thầu
6. Chi phí dự thầu
7. Ngôn ngữ sử dụng
8. Nội dung hồ sơ dự thầu
9. Đơn dự thầu
10. Giá dự thầu và biểu giá
11. Đồng tiền dự thầu
12. Tài liệu chứng minh tư cách hợp lệ, kinh nghiệm và năng lực của nhà thầu
13. Thời hạn hiệu lực của hồ sơ dự thầu
14. Bảo đảm dự thầu
15. Thời hạn hiệu lực của hồ sơ dự thầu
16. Quy cách của hồ sơ dự thầu và chữ ký trong hồ sơ dự thầu
17. Niêm phong và cách ghi trên túi đựng hồ sơ dự thầu
18. Thời hạn nộp hồ sơ dự thầu
19. Hồ sơ dự thầu nộp muộn
20. Sửa đổi hoặc rút hồ sơ dự thầu
21. Mở thầu
22. Làm rõ hồ sơ dự thầu
23. Đánh giá sơ bộ hồ sơ dự thầu
24. Đánh giá về mặt kỹ thuật
25. Xác định giá đánh giá
26. Sửa lỗi
27. Hiệu chỉnh các sai lệch
28. Chuyển đổi sang một đồng tiền chung
29. Mặt bằng để so sánh hồ sơ dự thầu
30. Tiếp xúc với Bên mời thầu
31. Điều kiện được đề nghị trúng thầu
32. Quyền của Bên mời thầu được chấp nhận, loại bỏ bất kỳ hoặc tất cả các hồ sơ dự thầu
33. Công bố kết quả đấu thầu
34. Thương thảo, hoàn thiện và ký kết hợp đồng
35. Bảo đảm thực hiện hợp đồng
36. Giải quyết kiến nghị trong đấu thầu, chỉ dẫn địa chỉ bộ phận thường trực giúp việc của Hội đồng tư vấn về giải quyết kiến nghị
37. Xử lý vi phạm trong đấu thầu
II. BẢNG DỮ LIỆU ĐẤU THẦU
Bảng dữ liệu đấu thầu bao gồm các nội dung chi tiết của gói thầu theo một số mục tương ứng trong Phần Chỉ dẫn đối với nhà thầu.
III. TIÊU CHUẨN ĐÁNH GIÁ VÀ NỘI DUNG XÁC ĐỊNH GIÁ ĐÁNH GIÁ
Trong mục này cần nêu rõ tiêu chuẩn đánh giá về kinh nghiệm và năng lực của nhà thầu (trường hợp không áp dụng sơ tuyển), tiêu chuẩn đánh giá về mặt kỹ thuật, nội dung xác định giá đánh giá.
Các nội dung yêu cầu về kinh nghiệm và năng lực được đánh giá theo tiêu chí „đạt“, „không đạt“. Tùy theo tính chất, yêu cầu của gói thầu mà áp dụng phương pháp chấm điểm hoặc phương pháp đánh giá theo tiêu chí „đạt“, „không đạt“ cho tiêu chuẩn đánh giá về mặt kỹ thuật.
Nội dung xác định giá đánh giá gồm: xác định giá dự thầu, sửa lỗi, hiệu chỉnh các sai lệch, chuyển đổi giá đề nghị trúng thầu sang một đồng tiền chung (nếu có) và đưa các chi phí về một mặt bằng.
IV. BIỂU MẪU DỰ THẦU
Nêu cụ thể biểu mẫu theo yêu cầu như đơn dự thầu (Mẫu số 1), biểu giá chào, biểu mẫu báo cáo về năng lực và kinh nghiệm của nhà thầu, bảo lãnh dự thầu (nếu yêu cầu Ngân hàng bảo lãnh) và các biểu mẫu cần thiết khác tuỳ theo yêu cầu của gói thầu.
Mẫu số 1
ĐƠN DỰ THẦU
........., ngày......... tháng......... năm .........
Kính gửi: ...........................[ghi tên Bên mời thầu]
(Sau đây gọi là Bên mời thầu)
Sau khi nghiên cứu hồ sơ mời thầu và văn bản sửa đổi hồ sơ mời thầu số [ghi số của văn bản bổ sung nếu có] mà chúng tôi đã nhận được, chúng tôi, [ghi tên nhà thầu], cam kết thực hiện gói thầu [ghi tên gói thầu] theo đúng yêu cầu của hồ sơ mời thầu với tổng số tiền là [ghi giá trị bằng số, bằng chữ và đồng tiền dự thầu] (1) cùng với biểu giá chi tiết kèm theo.
Nếu hồ sơ dự thầu của chúng tôi được chấp nhận, chúng tôi sẽ thực hiện biện pháp bảo đảm thực hiện hợp đồng tương đương với ......... % giá hợp đồng theo quy định trong hồ sơ mời thầu và cam kết thực hiện theo đúng hợp đồng.
Hồ sơ dự thầu này có hiệu lực trong thời gian ......... ngày, kể từ ......... giờ, ngày ......... tháng ......... năm ......... [ghi thời điểm đóng thầu].
|
| Đại diện hợp pháp của nhà thầu |
Ghi chú:
(1) Trường hợp trong hồ sơ mời thầu cho phép chào theo một số đồng tiền khác nhau thì nhà thầu cần ghi giá trị bằng số và bằng chữ của từng đồng tiền do nhà thầu chào.
B2. YÊU CẦU VỀ XÂY LẮP
I. PHẠM VI CÔNG VIỆC VÀ TIẾN ĐỘ THỰC HIỆN
Nêu cụ thể phạm vi công việc và tiến độ yêu cầu.
II. YÊU CẦU KỸ THUẬT
Nêu yêu cầu cụ thể về mặt kỹ thuật.
III. THIẾT KẾ KỸ THUẬT
Thiết kế kỹ thuật phải kèm theo bảng tiên lượng và chỉ dẫn kỹ thuật.
B3. YÊU CẦU VỀ HỢP ĐỒNG
I. ĐIỀU KIỆN CHUNG CỦA HỢP ĐỒNG
Nêu các điều kiện của hợp đồng trên cơ sở tham khảo hướng dẫn của FIDIC và các tài liệu mẫu của các nhà tài trợ.
II. ĐIỀU KIỆN CỤ THỂ CỦA HỢP ĐỒNG
Cụ thể một số nội dung của Điều kiện chung đối với gói thầu cần thực hiện.
III. BIỂU MẪU VỀ HỢP ĐỒNG
Nêu mẫu hợp đồng (Mẫu số 2) và các Mẫu về bảo lãnh thực hiện hợp đồng (nếu yêu cầu Ngân hàng bảo lãnh), bảo lãnh tiền tạm ứng.
Mẫu số 2
HỢP ĐỒNG
(Văn bản Hợp đồng xây lắp)
........., ngày ......... tháng......... năm .........
Hợp đồng số: .........
Gói thầu: ......... [ghi tên gói thầu]
Thuộc dự án: ......... [ghi tên dự án]
Căn cứ ký hợp đồng [ghi các căn cứ cụ thể]
Các Bên tham gia ký Hợp đồng:
Chủ đầu tư: [ghi tên và địa chỉ chủ đầu tư hoặc đại diện hợp pháp của chủ đầu tư]
Nhà thầu xây lắp: [ghi tên và địa chỉ nhà thầu trúng thầu]
Nội dung hợp đồng:
1. Đối tượng hợp đồng
2. Thành phần hợp đồng
[Ghi cụ thể thành phần hợp đồng theo thứ tự ưu tiên như văn bản hợp đồng, biên bản thương thảo hoàn thiện hợp đồng, điều kiện cụ thể và điều kiện chung của hợp đồng và các tài liệu liên quan khác].
3. Trách nhiệm của Chủ đầu tư
4. Trách nhiệm của Nhà thầu xây lắp
5. Giá hợp đồng và phương thức thanh toán
6. Hình thức hợp đồng
7. Thời gian thực hiện hợp đồng
8. Hiệu lực hợp đồng
| Đại diện hợp pháp của Chủ đầu tư (Ghi tên, chức danh, | Đại diện hợp pháp của Nhà thầu xây lắp (Ghi tên, chức danh, |
Phụ lục V
TÀI LIỆU HƯỚNG DẪN
LẬP HỒ SƠ MỜI THẦU GÓI THẦU EPC
____________
PHỤ LỤC NÀY GỒM CÁC NỘI DUNG SAU:
PHẦN A. MỜI THẦU
I. THÔNG BÁO MỜI THẦU
II. THƯ MỜI THẦU
PHẦN B. NỘI DUNG HỒ SƠ MỜI THẦU
B1. YÊU CẦU VỀ THỦ TỤC ĐẤU THẦU
I. CHỈ DẪN ĐỐI VỚI NHÀ THẦU
II. BẢNG DỮ LIỆU ĐẤU THẦU
III. TIÊU CHUẨN ĐÁNH GIÁ VÀ NỘI DUNG XÁC ĐỊNH GIÁ ĐÁNH GIÁ
IV. BIỂU MẪU DỰ THẦU
B2. YÊU CẦU VỀ GÓI THẦU EPC
I. YÊU CẦU VỀ THIẾT KẾ
II. YÊU CẦU VỀ CUNG CẤP THIẾT BỊ, VẬT TƯ
III. YÊU CẦU VỀ XÂY LẮP
B3. YÊU CẦU VỀ HỢP ĐỒNG
I. ĐIỀU KIỆN CHUNG CỦA HỢP ĐỒNG
II. ĐIỀU KIỆN CỤ THỂ CỦA HỢP ĐỒNG
III. BIỂU MẪU VỀ HỢP ĐỒNG
PHẦN A. MỜI THẦU
I. THÔNG BÁO MỜI THẦU
(Áp dụng trong trường hợp đấu thầu rộng rãi không thực hiện sơ tuyển)
[Ghi tên Bên mời thầu] có kế hoạch tổ chức đấu thầu theo Luật Đấu thầu gói thầu EPC [ghi tên gói thầu] theo hình thức đấu thầu rộng rãi [trong nước hoặc quốc tế], thuộc dự án [ghi tên dự án] sử dụng nguồn vốn [ghi nguồn vốn hoặc tổ chức tài trợ vốn].
Bên mời thầu mời các nhà thầu có đủ năng lực, kinh nghiệm và có điều kiện tới tham gia đấu thầu gói thầu nêu trên.
Nhà thầu có nguyện vọng tham gia đấu thầu có thể tìm hiểu thông tin chi tiết tại [ghi địa chỉ nơi cung cấp thông tin, điện thoại, fax, e-mail của Bên mời thầu] và sẽ được mua một bộ hồ sơ mời thầu hoàn chỉnh với giá là [ghi số tiền bằng số, bằng chữ và đồng tiền sử dụng] tại [ghi địa chỉ bán hồ sơ mời thầu, điện thoại, fax, e-mail].
Thời gian bán hồ sơ mời thầu từ ....... giờ, ngày ...... tháng ...... năm ......... đến trước ......... giờ, ngày ......... tháng ......... năm ......... [ghi thời điểm đóng thầu] (trong giờ làm việc hành chính).
Hồ sơ dự thầu phải kèm theo bảo đảm dự thầu trị giá [ghi số tiền bằng số và bằng chữ, đồng tiền sử dụng, hình thức bảo đảm] và phải được gửi đến [ghi địa chỉ nhận hồ sơ dự thầu] chậm nhất là trước.... giờ (giờ Việt Nam), ngày .... tháng ...... năm ......... [ghi thời điểm đóng thầu].
Hồ sơ dự thầu sẽ được mở công khai vào .... giờ (giờ Việt Nam), ngày .... tháng ......... năm ......... tại [ghi địa điểm mở thầu].
[Ghi tên Bên mời thầu] kính mời đại diện của các nhà thầu nộp hồ sơ dự thầu tới tham dự lễ mở thầu vào thời gian và địa điểm nêu trên.
II. THƯ MỜI THẦU
(Áp dụng trong trường hợp gói thầu đã thực hiện sơ tuyển hoặc đấu thầu hạn chế)
........., ngày ..... tháng ..... năm .........
Kính gửi: [Ghi tên và địa chỉ của nhà thầu]
[Ghi tên Bên mời thầu] chuẩn bị đấu thầu theo Luật Đấu thầu gói thầu EPC [ghi tên gói thầu] để thực hiện dự án (hoặc công trình) ..................tại [ghi tên địa điểm thực hiện dự án]. [Ghi tên Bên mời thầu] xin mời [ghi tên nhà thầu] tới tham gia đấu thầu.
Nhà thầu sẽ được mua một bộ hồ sơ mời thầu với giá là ......... [ghi giá trị bằng số, bằng chữ và đồng tiền sử dụng] tại [ghi địa chỉ bán hồ sơ mời thầu].
Thời gian bán hồ sơ mời thầu từ ......... giờ, ngày ......... tháng ......... năm ......... đến trước ......... giờ, ngày ......... tháng ......... năm ......... [ghi thời điểm đóng thầu] (trong giờ làm việc hành chính).
Hồ sơ dự thầu phải kèm theo bảo đảm dự thầu trị giá [ghi giá trị bằng số và bằng chữ, đồng tiền sử dụng, hình thức bảo đảm] và phải được gửi đến [ghi địa chỉ nhận hồ sơ dự thầu] chậm nhất là trước......... giờ (giờ Việt Nam), ngày ......... tháng ......... năm ......... [ghi thời điểm đóng thầu].
Hồ sơ dự thầu sẽ được mở công khai vào ......... giờ (giờ Việt Nam), ngày......... tháng ......... năm ......... tại [ghi địa điểm mở thầu].
[Ghi tên Bên mời thầu] kính mời đại diện [ghi tên nhà thầu] tới tham dự lễ mở thầu vào thời gian và địa điểm nêu trên.
|
| Đại diện Bên mời thầu (Ghi tên, chức danh, ký tên và đóng dấu) |
PHẦN B. NỘI DUNG HỒ SƠ MỜI THẦU
B1. YÊU CẦU VỀ THỦ TỤC ĐẤU THẦU
I. CHỈ DẪN ĐỐI VỚI NHÀ THẦU
Tương tự như chỉ dẫn trong Phụ lục II, Phụ lục III, Phụ lục IV.
II. BẢNG DỮ LIỆU ĐẤU THẦU
Bảng dữ liệu đấu thầu bao gồm các nội dung chi tiết đối với một số Mục tương ứng trong Phần Chỉ dẫn đối với nhà thầu.
III. TIÊU CHUẨN ĐÁNH GIÁ VÀ NỘI DUNG XÁC ĐỊNH GIÁ ĐÁNH GIÁ
Cần nêu rõ tiêu chuẩn đánh giá về kinh nghiệm và năng lực của nhà thầu trong từng nội dung E, P và C (trường hợp không áp dụng sơ tuyển); tiêu chuẩn đánh giá về mặt kỹ thuật trong từng nội dung và tổng hợp các nội dung; nội dung xác định giá đánh giá chung. Tuỳ theo tính chất, yêu cầu của gói thầu mà áp dụng phương pháp chấm điểm hoặc phương pháp đánh giá theo tiêu chí “đạt”, “không đạt” cho tiêu chuẩn đánh giá về mặt kỹ thuật. Nội dung xác định giá đánh giá gồm: xác định giá dự thầu, sửa lỗi, hiệu chỉnh sai lệch, chuyển đổi giá đề nghị trúng thầu sang một đồng tiền chung (nếu có) và đưa chi phí về một mặt bằng.
IV. BIỂU MẪU DỰ THẦU
Nêu các Biểu mẫu yêu cầu như đơn dự thầu, các biểu mẫu nêu trong các phần E, P và C tương ứng ở các Phụ lục II, III và IV.
B2. YÊU CẦU VỀ GÓI THẦU EPC
I. YÊU CẦU VỀ TƯ VẤN THIẾT KẾ
II. YÊU CẦU VỀ CUNG CẤP HÀNG HOÁ
III. YÊU CẦU VỀ XÂY LẮP
B3. YÊU CẦU VỀ HỢP ĐỒNG
I. ĐIỀU KIỆN CHUNG CỦA HỢP ĐỒNG
II. ĐIỀU KIỆN CỤ THỂ CỦA HỢP ĐỒNG
III. BIỂU MẪU HỢP ĐỒNG
Bạn chưa Đăng nhập thành viên.
Đây là tiện ích dành cho tài khoản thành viên. Vui lòng Đăng nhập để xem chi tiết. Nếu chưa có tài khoản, vui lòng Đăng ký tại đây!
Bạn chưa Đăng nhập thành viên.
Đây là tiện ích dành cho tài khoản thành viên. Vui lòng Đăng nhập để xem chi tiết. Nếu chưa có tài khoản, vui lòng Đăng ký tại đây!