- Tổng quan
- Nội dung
- Tiêu chuẩn liên quan
- Lược đồ
- Tải về
Tiêu chuẩn Việt Nam TCVN 7094:2007 Quy phạm phân cấp và đóng phương tiện thủy nội địa vỏ gỗ
| Số hiệu: | TCVN 7094:2007 | Loại văn bản: | Tiêu chuẩn Việt Nam |
| Cơ quan ban hành: | Đang cập nhật | Lĩnh vực: | Công nghiệp |
|
Ngày ban hành:
Ngày ban hành là ngày, tháng, năm văn bản được thông qua hoặc ký ban hành.
|
2007 |
Hiệu lực:
|
Đã biết
|
| Người ký: | Đang cập nhật |
Tình trạng hiệu lực:
Cho biết trạng thái hiệu lực của văn bản đang tra cứu: Chưa áp dụng, Còn hiệu lực, Hết hiệu lực, Hết hiệu lực 1 phần; Đã sửa đổi, Đính chính hay Không còn phù hợp,...
|
Đã biết
|
TÓM TẮT TIÊU CHUẨN VIỆT NAM TCVN 7094:2007
Nội dung tóm tắt đang được cập nhật, Quý khách vui lòng quay lại sau!
Tải tiêu chuẩn Việt Nam TCVN 7094:2007
TIÊU CHUẨN VIỆT NAM
TCVN 7094:2007
QUY PHẠM PHÂN CẤP VÀ ĐÓNG PHƯƠNG TIỆN THUỶ NỘI ĐỊA VỎ GỖ
Phần 1.
QUY ĐỊNH CHUNG
Chương 1.
QUY ĐỊNH CHUNG
1.1. Phạm vi áp dụng
1.1.1. Quy phạm này áp dụng cho việc phân cấp, đóng mới, sửa chữa, hoán cải/ phục hồi các phương tiện thủy nội địa vỏ gỗ (sau đây gọi là phương tiện) hoạt động trong vùng sông hồ, đầm và vịnh của nước Cộng hoà xã hội chủ nghĩa Việt Nam, có một trong các đặc trưng sau:
1.1.1.1. Chiều dài tàu (L) từ 20 mét trở lên;
1.1.1.2. Máy chính có công suất (Ne) từ 37 kW (50 sức ngựa) trở lên.
1.1.2. Những vấn đề hoặc các phần không đề cập trọng Quy phạm này phải tuân thủ những quy định ở các phần tương ứng của Quy phạm phân cấp và đóng phương tiện thủy nội địa (TCVN5801:2005).
Quy phạm này không bắt buộc thực hiện đối với phương tiện làm nhiệm vụ quốc phòng, an ninh và các phương tiện thể thao.
1.1.3. Quy phạm này không áp dụng cho phương tiện chở xô hóa chất, tàu cá.
1.1.4. Khuyến khích áp dụng các quy định của Quy phạm này ở mức độ có thể thực hiện được và hợp lý đối với những phương tiện không thuộc phạm vi áp dụng của Quy phạm.
1.2. Tài liệu viện dẫn
1.2.1. Luật Giao thông đường thuỷ nội địa;
1.2.2. TCVN5801:2005 – Quy phạm Phân cấp và đóng phương tiện thuỷ nội địa;
1.2.3. TCVN1072-71 Gỗ - phân nhóm theo tính chất cơ lý.
1.3. Thuật ngữ và định nghĩa
Ngoài những định nghĩa và giải thích đã nêu trong Quy phạm phân cấp và đóng phương tiện thủy nội địa (TCVN5801:2005). Quy phạm này sử dụng những định nghĩa và giải thích sau đây:
1.3.1. Chiều dài giữa hai đường vuông góc (Lpp) là khoảng cách tính bằng mét, đo theo phương nằm ngang, từ mép trước của sống mũi đến tâm trục lái, tại đường nước toàn tải (xem Hình 1).
1.3.2. Chiều dài (L) là khoảng cách tính bằng mét, đo theo phương nằm ngang, từ mép trước của sống mũi đến mép sau sống đuôi tại đường nước toàn tải (Xem Hình 1).
1.3.3. Chiều dài toàn bộ (Lmax) là khoảng cách tính bằng mét, đo theo phương nằm ngang, từ mút mũi đến mút đuôi của phương tiện (Xem Hình 1).
1.3.4. Chiều rộng (B) là khoảng cách tính bằng mét, đo theo phương nằm ngang giữa hai mặt ngoài của tiết diện sườn, tại điểm giữa của L (Xem Hình 2).
1.3.5. Chiều cao mạn (D) là khoảng cách tính bằng mét, đo theo phương thẳng đứng, từ giao tuyến của ván đáy với phần sống dưới đáy đến mặt trên xà ngang boong tại mạn, tại điểm giữa của L (Xem Hình 2).
1.3.6. Chiều chìm (d) là khoảng cách tính bằng mét, đo theo phương thẳng đứng, từ giao tuyến của ván đáy với phần sống dưới đáy đến đường nước toàn tải, tại điểm giữa của L (Xem Hình 2).
1.3.7. Đường nước toàn tải là đường nước ứng với trạng thái tàu chở đủ tải, gồm: hàng hoá/ hành khách, dự trữ (dầu, nước, lương thực thực phẩm…) và nước dằn.
1.3.8. Các phần của thân phương tiện (sau đây gọi là thân tàu):
Thân tàu được chia thành các phần cơ bản sau (Xem Hình 1)
- Phần đuôi tàu - Là phần thân tàu có chiều dài bằng 0,3L tính từ đường vuông góc đuôi về mũi;
- Phần mũi tàu - Là phần thân tàu có chiều dài bằng 0,3L tính từ đường vuông góc mũi về đuôi;
- Phần giữa tàu - Là phân thân tàu có chiều dài bằng 0,4 L giữa phần mũi và phần đuôi.

Hình 1 Các phần thân tàu và chiều dài tàu

Hình 2 Chiều rộng, chiều cao mạn, chiều chìm

Hình 3 Sống dưới đáy, sống trên đáy
Chương 2.
QUY ĐỊNH CHUNG VỀ GIÁM SÁT KỸ THUẬT VÀ PHÂN CẤP
2.1. Giám sát kỹ thuật
Khối lượng và nội dung giám sát phương tiện vỏ gỗ được thực hiện theo các quy định nêu ở 2.4.
2.2. Hồ sơ kỹ thuật
Hồ sơ kỹ thuật của phương tiện thủy nội địa vỏ gỗ phải tuân thủ quy định Chương 5 - Hồ sơ kỹ thuật Phần 1A của Quy phạm phân cấp và đóng phương tiện thủy nội địa (TCVN 5801: 2005) và các hồ sơ tài liệu sau:
- Bản vẽ kết cấu vùng mũi trong đó thể hiện được liên kết của sống mũi với ván vỏ, đà ngang, sống chính, các kết cấu vùng mũi;
- Bản vẽ kết cấu vùng đuôi trong đó thể hiện các chi tiết kết cấu như độn trục, sống đuôi;
- Bản vẽ các mối nối các cơ cấu dọc: mối nối sống đáy, sống hông, sống mạn, sống boong, mối nối ván vỏ, mối xảm;
- Bản vẽ mặt cắt ngang tại các vị trí đặc biệt thể hiện các cơ cấu hoặc liên kiết giữa các nhóm cơ cấu.
2.3. Phân cấp phương tiện
2.3.1. Quy định chung
Phương tiện vỏ gỗ thuộc phạm vi điều chỉnh nêu ở 1.1.1, chỉ được đăng ký và trao cấp khi đã được Đăng kiểm tiến hành kiểm tra thân tàu, trang thiết bị, hệ thống máy tàu, trang bị điện, trang bị phòng chống cháy, ổn định và mạn khô thoả mãn các yêu cầu của phần này và các phần khác có liên quan.
Theo yêu cầu của chủ phương tiện, Đăng kiểm có thể tiến hành phân cấp các phương tiện, không được nêu ra ở 1.1.1 trên với một số miễn giảm nhất định trong từng trường hợp cụ thể.
2.3.2. Ký hiệu cấp phương tiện
Ký hiệu cấp phương tiện gồm có ký hiệu cấp phương tiện quy định tại Chương 2 - Ký hiệu cấp tàu Phần 1A của Quy phạm phân cấp và đóng phương tiện thủy nội địa (TCVN 5801:2005) và ký hiệu bổ sung về vật liệu (gỗ) được đưa vào sau ký hiệu cơ bản.
Ví dụ: Cấp tàu VR – SI (gỗ)
Dấu hiệu thí nghiệm T được thêm vào trước dấu hiệu vật liệu đối với các tàu có các kết cấu chưa được quy định trong Quy phạm hoặc chưa được thực tế khai thác kiểm nghiệm nhưng Đăng kiểm cho phép hoạt động để nghiên cứu hoặc đang nghiên cứu những vấn đề khác có liên quan.
Ví dụ: VR – SI T (gỗ)
2.3.3. Đăng ký
Các phương tiện vỏ gỗ được đóng phù hợp với yêu cầu của Quy phạm hoặc các tiêu chuẩn kỹ thuật hiện hành của nhà nước được vào sổ đăng ký tàu sông. Ký hiệu cấp của phương tiện phải được ghi vào sổ đăng ký tàu sông.
2.4. Kiểm tra phương tiện
Khi kiểm tra đóng mới, sửa chữa, hoán cải/ phục hồi và kiểm tra các phương tiện đang khai thác phải tuân thủ các quy định tại Chương 3, Chương 4 Phần 1B của Quy phạm phân cấp và đóng phương tiện thủy nội địa (TCVN 5801:2005), trong đó không áp dụng những điều không có liên quan đến phương tiện vỏ gỗ.
Phần 2.
THÂN TÀU
Chương 1.
VẬT LIỆU GỖ
1.1. Quy định chung
1.1.1. Gỗ dùng để chế tạo các cơ cấu thân tàu phải thoả mãn các yêu sau đây:
1.1.1.1. Độ ẩm của gỗ: không vượt quá 20%
1.1.1.2. Khối lượng riêng của gỗ phải không nhỏ hơn trị số yêu cầu đối với từng loại cơ cấu cho trong bảng sau:
Bảng 1
| TT | Cơ cấu thân tàu | Khối lượng riêng của gỗ kg/m3 |
| 1 | Đà ngang đáy | 720 |
| 2 | Sườn mạn | 720 |
| 3 | Sống đáy | 640 |
| 4 | Sống mũi | 640 |
| 5 | Sống đuôi | 640 |
| 6 | Mã liên kết sống chính đáy với sống mũi, sống đuôi | 640 |
| 7 | Ván vỏ | 560 |
| 8 | Thanh chống va | 560 |
| 9 | Ốp chống va | 560 |
| 10 | Sống mạn, sống hông | 560 |
| 11 | Xà ngang boong và mã thành miệng khoang | 560 |
| 12 | Ván boong | 430 |
1.2. Chất lượng của gỗ
1.2.1. Gỗ dùng để đóng tàu phải là gỗ có chất lượng tốt, được sấy khô không có bướu và giác, không mục, sâu, hoặc tách lớp, gỗ phải không bị nứt và không có các khuyết tật khác (Các bướu nhỏ và riêng lẻ ở phía trong có thể chấp nhận được nếu không ảnh hưởng nhiều đến chất lượng gỗ).
1.2.2. Gỗ được dùng để chế tạo các cơ cấu dọc phải được sấy khô hợp lý. Nếu gỗ bị quá khô thì phải phủ một lớp dầu gai hoặc sơn dầu trước khi lắp ráp để ngăn ngừa hiện tượng tách lớp.
1.2.3. Gỗ dùng để chế tạo các cơ cấu thân tàu, đặc biệt là ván vỏ, ván boong phải được xẻ phẳng.
1.2.4. Gỗ dùng để đóng tàu phải được bảo quản trong môi trường khô và trước khi lắp ráp lên tàu gỗ phải có độ ẩm thoả mãn quy định 1.1.1.1.
1.2.5. Gỗ dán được dùng trong đóng tàu phải có chất lượng cao, phù hợp với mục đích sử dụng, phải có tính chịu nước lâu dài.
1.2.6. Ngoài vật liệu gỗ, có thể dùng các vật liệu khác để chế tạo các cơ cấu thân tàu (Kết hợp vật liệu gỗ). Các vật liệu này phải có chất lượng tốt và phù hợp với mục đích sử dụng, đồng thời phải thoả mãn các yêu cầu của đăng kiểm đối với vật liệu đóng tàu. Việc kết hợp các vật liệu khác với gỗ phải có các tài liệu tính toán để chứng minh rằng việc kết hợp các vật liệu đảm bảo đủ độ bền cho thân tàu ở các điều kiện sóng gió của các vùng mà tàu hoạt động. Phải ghi rõ các đặc tính cơ bản của vật liệu được sử dụng trong các bản vẽ tương ứng.
Chương 2.
KẾT CẤU THÂN TÀU
2.1. Quy định chung
2.1.1. Kích thước các cơ cấu thân tàu của các tàu có hình dáng thông thường, có chiều dài đến 30 mét và có các quan hệ kích thước nằm trong giới hạn sau đây:
![]()
được xác định phụ thuộc vào các thông số cơ bản của tàu L, B, D và d.
2.1.2. Kích thước các cơ cấu thân tàu của các tàu có hình dáng khác thường, quan hệ kích thước và chiều dài L nằm ngoài giới hạn nêu trên phải được Đăng kiểm xem xét trong từng trường hợp cụ thể. Khi đó, có thể chọn kích thước các cơ cấu theo các bảng ở Phụ lục A, phụ thuộc vào số đặc trưng N của tàu, N được tính như sau:
N = L x B x D
Trong đó L, B, D là các thông số kích thước của tàu (định nghĩa ở Phần 1, Chương 1).
2.1.3. Chương này không áp dụng cho tàu nêu ở điều 2.1.2 có trị số N>1370. Các tàu này là đối tượng xem xét riêng của Đăng kiểm.
2.2. Các cơ cấu chính
2.2.1 Sống dưới đáy
2.2.1.1. Sống dưới đáy phải là sống liền. Tuy nhiên có thể dùng sống dưới đáy nối đôi hoặc nối ba và mỗi nối các đoạn sống phải là mối nối gài. Khi sống dưới đáy được nối từ ba đoạn thì khoảng cách giữa hai mối nối gài gần nhau ít nhất phải bằng 10m (Hình 3)
Diện tích tiết diện sống dưới đáy không được nhỏ hơn trị số cho trong Bảng 2.
Bảng 2 Diện tích sống dưới đáy và Sống trên đáy
Đơn vị: cm2
| Chiều dài tàu L,m |
|
|
|
|
|
| Sống đáy dưới | Sống đáy trên | Tổng diện tích | Sống mũi –đuôi, Trụ lái | Thanh kề sống đuôi | |
| 20≤L≤21 | 342 | 462 | 804 | 342 | 225 |
| 21≤L≤23 | 380 | 529 | 909 | 380 | 256 |
| 23≤L≤25 | 441 | 625 | 1066 | 441 | 272 |
| 25≤L≤27 | 484 | 676 | 1160 | 484 | 306 |
| 27≤L≤29 | 552 | 784 | 1316 | 552 | 342 |
| 29≤L≤30 | 576 | 900 | 1476 | 576 | 380 |
2.2.1.2. Tại mỗi phần (phần đuôi, phần giữa và phần mũi) của thân tàu chỉ được bố trí nhiều nhất 1 mỗi nối sống dưới đáy. Mối nối Sống dưới đáy không được đặt ở dưới bệ máy, ở vị trí vách ngang hoặc ở mặt cắt đầu miệng khoang, khoảng cách tối thiểu từ mỗi nối đến các vị trí nêu trên tối thiểu phải bằng 2 khoảng sườn.
2.2.2. Sống trên đáy
2.2.2.1 Sống trên đáy phải là sống liền. Tuy nhiên có thể dùng sống trên đáy nối đôi hoặc nối ba và các mối nối các đoạn sống phải là mỗi nối gài. Khi sống trên đáy được từ ba đoạn, thì khoảng cách giữa hai mối nối gài gần nhau ít nhất phải bằng 10 mét.
2.2.2.2. Diện tích tiết diện của sống trên đáy không được nhỏ hơn trị số trong Bảng 2.
2.2.2.3. Có thể chỉ đặt một sống đáy tiết diện liền, không có sống dưới đáy và sống trên đáy, tiết diện của sống đáy thay thế phải là tiết diện liền và phải có diện tích tối thiểu không nhỏ hơn 2/3 tổng diện tích sống đáy dưới và sống đáy trên quy định trong Bảng 2.
Ngoài Tiêu chuẩn này, trong công tác giám sát kỹ thuật, Đăng kiểm còn sử dụng các tiêu chuẩn, Quy phạm và các văn bản pháp quy hiện hành khác có liên quan.
2.2.3. Thanh dọc đáy
2.2.3.1. Những tàu có chiều dài lớn hơn và bằng 21 m và có chiều rộng lớn hơn 4,8 m ngoài sống đáy trên còn phải đặt 2 thanh dọc đáy mỗi bên, những tàu khác phải đặt ít nhất đặt 1 thanh dọc đáy.
2.2.3.2. Thanh dọc đáy phải là thanh liền. Tuy nhiên có thể dùng dạng thanh nối ghép 2,3 hoặc 4 nếu mối nối các đoạn thanh dọc đáy là mối nối gài.
2.2.3.3. Trong mỗi phần của thân tàu chỉ được bố trí nhiều nhất là 2 mối nối thanh dọc đáy.
2.2.3.4. Trong buồng máy, nếu thanh dọc đáy trùng với thành dọc bệ máy thì ở đó thành dọc bệ máy được coi là thanh dọc máy và các đoạn thanh dọc đáy ở ngoài vùng buồng máy phải được nối ốp với thành dọc bệ máy bằng bu lông. Quy cách bệ máy và bu lông liên kết xác định theo Bảng 4.
2.2.3.5. Thành dọc bệ máy phải được đặt trực tiếp lên mặt trên của đà ngang đáy và được liên kết với đà ngang đáy bằng bulông.
2.2.3.6. Diện tích tiết diện ngang thành dọc đáy, cm2 (Hoặc tổng diện tích tiết diện ngang hai thanh dọc đáy nếu đặt hai thanh dọc đáy theo quy định của 2.2.3.1 không được nhỏ hơn trị số cho trong Bảng 3.
Bảng 3 Qui cách thanh dọc đáy, hông và mạn
| L,m | Diện tích thanh dọc đáy cm2 | Chiều dày thanh dọc hông mm | Diện tích thanh dọc mạn cm2 | |
| 20≤L≤21 | 145 | 55 |
| |
|
| B<4,8 | 165 | 55 | 150 |
| 21≤L≤23 | B<4,8 | 165 |
|
|
| 21≤L≤23 | B<≥4,8 | 2500 |
|
|
| B≥4,8 | 300 | |||
| 25≤L≤27 | 350 | 75 | 190 | |
| 27≤L≤29 | 410 | 80 | 190 | |
| 29≤L≤30 | 410 | 85 | 210 | |
2.2.3.7. Các thành dọc bệ máy phải có chiều dài lớn hơn chiều dài máy và phải kéo dài quá về phía mũi và phía đuôi ít nhất hai khoảng sườn mỗi phía. Các thanh dọc bệ máy phải được liên kết với nhau ít nhất bằng ba thanh giằng ngang. Diện tích tiết diện ngang thanh dọc bệ máy và thanh giằng ngang không được nhỏ hơn trị số cho trong Bảng 4.
Bảng 4 Kích thước bệ máy và đường kính bulông
| Công suất máy chính (Ne, mã lực ) | Ne<50 | 50≤Ne<100 | 100≤Ne<200 | 200≤Ne<300 | Ne≥300 |
| Diện tích tiết diện thành dọc và thanh giằng ngang bệ máy (cm2) | 729 | 900 | 1089 | 1296 | 1521 |
| Đường kính bulông (mm) | 20 | 22 | 25 | 25 | 25 |
2.2.4. Thanh dọc hông
2.2.4.1. Ở mỗi bên mạn tàu tại mặt trong của hông phải đặt ít nhất hai thanh dọc hông, có chiều rộng tối thiểu bằng 20 cm mỗi thanh, kề nhau. Về hai phía mũi – lái có thể giảm dần chiều rộng các thanh dọc hông nhưng chiều rộng còn lại của thanh dọc hông không được nhỏ hơn 2/3 trị số nêu trên.
2.2.4.2. Thanh dọc hông có thể được nối với nhau từ các đoạn bằng mối nối gài (có ngạnh) hoặc có thể dùng mối nối táp nếu Đăng kiểm chấp nhận.
2.2.4.3. Chiều dày thanh dọc hông không được nhỏ hơn trị số cho trong Bảng 3.
2.2.5. Thanh dọc mạn
2.2.5.1. Những tàu có chiều cao mạn lớn hơn và bằng 2,5 m ở mỗi bên mạn phải đặt ít nhất một thanh dọc mạn trực tiếp liên mặt trong của thanh sườn.
2.2.5.2. Thanh dọc mạn phải là thanh liền. Tuy nhiên nếu dùng mối nối gài thì thanh dọc mạn có thể là thanh ghép 2,3 hoặc 4.
2.2.5.3. Trong mỗi phần của thân tàu, không được bố trí quá hai mối nối thanh dọc mạn.
2.2.5.4. Diện tích tiết diện ngang thanh dọc mạn không được nhỏ hơn trị số trong Bảng 3.
2.2.6. Thanh đỡ đầu xà ngang boong
2.2.6.1. Tàu phải có thanh đỡ đầu xà ngang boong. Nếu tàu có chiều cao mạn bằng và lớn hơn 2,5m, ngoài thanh đỡ đầu xà ngang boong còn phải đặt thanh phụ đỡ đầu xà ngang boong kề với thanh đỡ đầu xà ngang boong.
2.2.6.2. Mối nối các đoạn thanh đỡ đầu xà ngang boong và thanh phụ đỡ đầu xà ngang boong phải là mối nối gài. Ở gần tiết diện ngang thân tàu có miệng khoang, không được bố trí mối nối các thanh đỡ đầu xà ngang boong và thanh phụ đỡ đầu xà ngang boong trong cùng một mặt sườn.
2.2.6.3. Kích thước tiết diện ngang thanh đỡ đầu xà ngang boong và thanh phụ đỡ đầu xà ngang boong không được nhỏ hơn trị số cho trong Bảng 5.
2.2.7. Thanh đè đầu xà ngang boong
Bảng 5 Diện tích thanh đỡ, đè đầu xà ngang boong ( bxh) , cm2
| L,m | Thanh đỡ đầu xà ngang boong trên | Diện tích cm2 | Thanh đè đầu xà ngang boong trên | Diện tích cm2 |
| 20≤L≤21 | 24x7,5 | 180 | 24x9,0 | 216 |
| 21≤L≤23 | 24x8,0 | 192 | 24x10 | 240 |
| 23≤L≤25 | 24x8,5 | 204 | 24x10 | 240 |
| 25≤L≤27 | 24x8,5 | 204 | 27x10,5 | 284 |
| 27≤L≤29 | 24x9,0 | 216 | 27x10,5 | 284 |
| 29≤L≤30 | 27x10 | 270 | 30x11,5 | 345 |
2.2.7.1 Kích thước tiết diện thanh đè đầu xà ngang không được nhỏ hơn trị số cho trong Bảng 5.
2.2.7.2 Mối nối các thanh đè đầu xà ngang boong phải có mối nối ngạnh và không được đặt ở tiết diện ngang có đầu miệng khoang.
2.2.8. Sống mũi, sống đuôi và trụ bánh lái
2.2.8.1. Sống mũi
(1) Sống mũi phải là thanh liền, chỉ ở phần thẳng nối với sống đáy mới được phép nối ghép 2 hoặc 3.
(2) Mối nối sống mũi với sống đáy phải là mối nối gài và được gia cường hai miếng thép ở hai bên, miếng thép gia cường này phải có độ bền tương đương với độ bền của cơ cấu gỗ tại tiết diện được nối.
(3) Diện tích tiết diện ngang của sống mũi không được nhỏ hơn trị số cho trong Bảng 2.
2.2.8.2 Sống đuôi
(1) Sống đuôi phải là thanh liền,chỉ có mối nối với sống đáy. Ở hai bên mối nối với sống đáy được gia cường hai miếng thép có độ bền tương đương với độ bền của cơ cấu gỗ tại tiết diện được nối.
(2) Diện tích tiết diện ngang của sống đuôi không được nhỏ hơn trị số cho trong bảng Bảng 2.
(3) Ở vùng lỗ luồn trục chân vịt, diện tích tiết diện mỗi nửa sống đuôi không được nhỏ hơn 3/5 diện tích tiết diện sống đuôi quy định theo Bảng 2, chiều dày của mỗi nửa sống đuôi ít nhất phải bằng ½ chiều dày sống đuôi xác định theo Bảng 2.
2.2.8.3. Trụ bánh lái
(1) Diện tích tiết diện ngang của trụ bánh lái không được nhỏ hơn trị số cho trong Bảng 2.
(2) Mối nối trụ bánh lái với sống đuôi phải được gia cường bằng thép ở hai bên. Mối nối trục bánh lái và sống đuôi phải được ghép chắc chắn bằng gỗ tốt. Qui cách miếng thép gia cường phải thoả mãn độ bền như quy định ở 2.2.8.2 (1).
2.2.8.4 Liên kết sống mũi, sống đuôi với sườn xiên
(1) Phải đặt bổ sung các thanh gia cường sống mũi và thanh ốp gia cường sống đuôi để liên kết chân sườn xiên. Kích thước của các thanh gia cường tối thiểu phải bằng kích thước của chân sườn xiên liên kết với nó.
(2) Ở phần dưới boong trên, theo những khoảng cách đều nhau, phải đặt các mã nằm để liên kết sống mũi với mạn tàu. Kích thước mã liên kết được quy định ở Bảng 6. Số lượng mã nằm phải bằng:
1. Nếu D< 1,5 m
2. Nếu 1,5 £ D £ 3,0 m
3. Nếu D>3,0m
2.2.9. Sườn
2.2.9.1. Thanh sườn phải được đặt trong mặt phẳng vuông góc với mặt phẳng dọc tâm tàu (trừ sườn xiên ở vùng mũi và đuôi tàu). Chỉ trong trường hợp đặc biệt, ở vùng mũi tàu và đuôi tàu, được phép dùng sườn xiên. Sườn xiên phải được nối gài vào thanh gia cường sống mũi và thanh ốp gia cường sống đuôi.
2.2.9.2. Khoảng sườn a (Khoảng cách giữa hai tâm tiết diện của hai thanh sườn kề nhau) được xác định theo công thức sau đây:
a = L+ 20,cm
Trong đó: L là chiều dài tàu, m;
Ở vùng buồng máy và ở vùng có miệng lỗ khoét có chiều dài bằng và lớn hơn 5m thì khoảng sườn không được vượt quá 0,9(L+20),cm.
Bảng 6 Kích thước mã
Đơn vị cm
| Cơ cấu | B,m | Hình dạng mã | a | b | c | d |
| Mã nối xà ngang, xà ngang cụt, xà ngang đầu miện khoang với sườn và sốnd dọc boong | B<3,5 |
| 30 | 45 | 15 | 7,5 |
| 3,5£B<4,0 | 35 | 50 | 16 | 8,0 | ||
| 4,0£B<4,5 | 40 | 60 | 17 | 8,5 | ||
| 4,5£B<5,0 | 45 | 65 | 18 | 9,0 | ||
| 5,0£B<5,5 | 50 | 75 | 20 | 10 | ||
| 5,5£B<6,0 | 55 | 80 | 22 | 11 | ||
| 6,0£B<6,5 | 60 | 90 | 24 | 12 | ||
| 6,5£B<7,0 | 65 | 95 | 26 | 13 | ||
| 7,0£B<7,5 | 70 | 105 | 82 | 14 | ||
| 7,5£B<8,0 | 75 | 110 | 30 | 15 | ||
| B³8,0 | 80 | 120 | 32 | 16 | ||
| Mã ở sống mũi và sống đuôi | B<3,5 |
| 70 | 70 | 18 | 9,0 |
| 3,5£B<4,0 | 80 | 80 | 19 | 9,5 | ||
| 4,0£B<4,5 | 90 | 90 | 20 | 10,0 | ||
| 4,5£B<5,0 | 100 | 100 | 21 | 10,5 | ||
| 5,0£B<5,5 | 110 | 110 | 23 | 11,5 | ||
| 5,5£B<6,0 | 120 | 120 | 25 | 12,5 | ||
| 6,0£B<6,5 | 130 | 130 | 27 | 13,5 | ||
| 6,5£B<7,0 | 140 | 140 | 29 | 14,5 | ||
| 7,0£B<7,5 | 150 | 150 | 31 | 15,5 | ||
| 7,5£B<8,0 | 160 | 160 | 33 | 16,5 | ||
| B³8,0 | 170 | 170 | 35 | 17,5 |
Đối với các sườn xiên, khoảng sườn được xác định như sau:
- Ở độ cao của boong trên: a = L + 20 cm;
- Ở độ cao của đường đáy tàu: a = 2(L + 20)/3 cm.
2.2.9.3. Có hai kiểu thanh sườn được sử dụng:
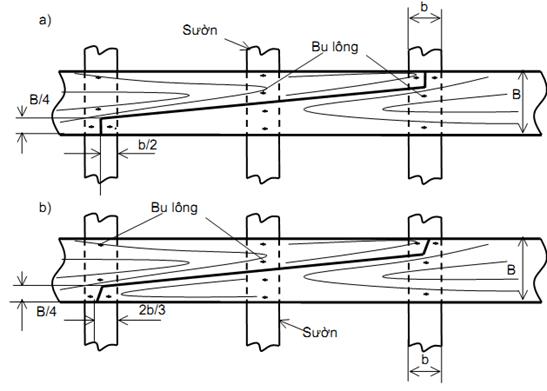
(1) Sườn đơn (tiết diện liền) là một thanh liên tục ở mỗi bên mạn. Sườn có thể liên kết với đà ngang đáy bằng mối nối gài hoặc mối nối táp (nối đối đầu và có đoạn gỗ táp - xem Hình 4) hoặc táp trực tiếp.
(2) Sườn kép (tiết diện ghép) gồm 2 thanh có tiết diện bằng nhau ghép lại. Chiều dài của đoạn ở đáy phải bằng hoặc lớn hơn B/3 (m). Mỗi thanh sườn kép có thể gồm các đoạn nối táp với nhau, nên đặt mối nối ở mổi thanh sườn so le nhau (xem Hình 7)
2.2.9.4. Diện tích tiết diện ngang của sườn đơn hoặc của 1 trong 2 thanh sườn kép phải không nhỏ hơn trị số trong Bảng 7 phụ thuộc vào trị số: l=D+B/2.
Diện tích tiết diện ở đỉnh sườn xiên (tại độ cao boong) tối thiểu phải bằng 3/4 diện tích tiết diện 1 của sườn cho trong Bảng 7.
Diện tích tiết diện chân sườn (ở đáy tàu) tối thiểu phải bằng 4/3 diện tích tiết diện 3 của sườn cho trong Bảng 7.

Hình 4 - Mối nối táp sườn đơn
Bảng 7 Diện tích mặt cắt vuông của sườn
Đơn vị cm2
| l=D+B/2 m | Diện tích sườn đơn | Diện tích mỗi sườn kép | ||||
| Mặt cắt 1 | Mặt cắt 2 | Mặt cắt 3 | Mặt cắt 1 | Mặt cắt 2 | Mặt cắt 3 | |
| l<3,5 | 56 | 81 | 100 | 30 | 49 | 64 |
| 3,5≤l<4,0 | 72 | 100 | 121 | 42 | 64 | 81 |
| 4,0≤l<4,5 | 90 | 121 | 169 | 56 | 81 | 110 |
| 4,5≤l<5,0 | 121 | 169 | 210 | 72 | 110 | 132 |
| 5,0≤l<5,5 | 144 | 210 | 272 | 90 | 132 | 169 |
| 5,5≤l<6,0 | 169 | 272 | 342 | 100 | 169 | 225 |
| 6,0≤l<6,5 | 210 | 342 | 420 | 121 | 210 | 240 |
| 6,5≤l<7,0 | 256 | 720 | 506 | 156 | 240 | 324 |
| 7,0≤l<7,5 | 306 | 506 | 625 | 182 | 289 | 380 |
| l≥7,5 | 342 | 625 | 729 | 169 | 324 | 441 |
Chú thích :
Mặt cắt 1 - mặt cắt đầu trên sườn ở độ cao của boong trên;
Mặt cắt 2 - mặt cắt trung gian sườn ở mạn tàu;
Mặt cắt 3 - mặt cắt đầu dưới sườn ở đáy tàu.
2.2.9.5 Nếu qui cách sườn không nhỏ hơn trị số cho trong Bảng 7 và thoả mãn điều kiện dưới đây, thì có thể tăng khoảng cách sườn lên đến trị số không lớn hơn 1,25 lần trị số a quy định ở 2.2.9.2:
Trong đó:
b - Chiều rộng thực chọn của tiết diện sườn (đo theo phương dọc tàu)
h - Chiều cao thực chọn của tiết diện sườn (đo theo phương ngang tàu)
S - Khoảng cách sườn thực tế của các sườn đang xét.
bo, ho, a – là chiều rộng, chiều cao tiết diện sườn và khoảng sườn theo quy định (Xem Hình 5).
2.2.9.6. Có thể làm sườn tiết diện chữ nhật, nhưng phải thoả mãn hai điều kiện sau:
(1) Diện tích tiết diện ngang không nhỏ hơn trị số trong Bảng 7;
(2) Tỷ lệ giữa chiều rộng tiết diện và chiều cao tiết diện (b/h) không nhỏ hơn 0.7 (Hướng đặt như Hình 5)
2.2.9.7. Khi khoảng sườn thực tế nhỏ hơn giá trị xác định theo 2.2.9.2 thì kích thước tiết diện sườn (b,h) thực tế có thể giảm so với các kích thước (b,h) quy định trong Quy phạm xác định theo tiết diện sườn ở Bảng 7 như sau:

Hình 5
2.2.10. Xà ngang boong và lỗ khoét trên boong
2.2.10.1. Khoảng cách các xà ngang boong trên So không được lớn hơn hai khoảng sườn. Xà ngang boong trên, trừ các xà ngang đầu miệng khoang, phải được đặt trong cùng một mặt phẳng với sườn. Xà ngang boong của vùng boong lộ thiên phải có độ cong phù hợp để thoát nước.
2.2.10.2. Diện tích tiết diện ngang của xà boong, trừ xà ngang đầu miệng khoang và xà ngang boong cụt, không được nhỏ hơn trị số cho trong Bảng 8.
Bảng 8 Diện tích mặt cắt vuông của Xà ngang boong, thanh dọc mép miệng khoang và xà ngang đầu miệng khoang
Kích thước tính bằng cm2
| B,m | Xà ngang boong và thanh dọc mép miệng khoang | Xà ngang đầu miệng khoang | B,m | Xà ngang boong và thanh dọc mép miệng khoang | Xà ngang đầu miệng khoang |
| B≤3,5 | 110 | 272 | 6,0≤B<6,5 | 289 | 729 |
| 3,5≤B<4,0 | 132 | 324 | 6,5≤B<7,0 | 342 | 870 |
| 4,0≤B<4,5 | 156 | 400 | 7,0≤B<7,5 | 400 | 1024 |
| 4,5≤B<5,0 | 182 | 462 | 7,5≤B<8,0 | 462 | 1156 |
| 5,5≤B<5,5 | 210 | 529 | B≥8,0 | 529 | 1332 |
| 5,5≤B<6,0 | 256 | 650 |
|
|
|
2.2.10.3. Chiều cao của tiết diện ngang xà ngang boong có thể giảm dần còn 9/10 trị số xác định theo diện tích tiết diện cho trong Bảng 8 ở hai mạn tàu. Diện tích tiết ngang của xà ngang cụt có chiều dài nhỏ hơn và bằng 0.25B có thể lấy bằng 0.65 trị số tương ứng cho trong Bảng 8; nếu xà ngang cụt có chiều dài lớn hơn 0.25B thì diện tích tiết diện ngang có thể lấy bằng 0.75 trị số cho trong Bảng 8.
2.2.10.4. Diện tích tiết diện ngang của xà ngang đầu miệng khoang và thanh dọc mép khoang không được nhỏ hơn trị số cho trong Bảng 8 nhân với hệ số m (trong Bảng 9) phụ thuộc vào λ - tỷ số giữa chiều dài miệng khoang và khoảng cách các xà ngang boong quy định ở 2.2.10.1 nói trên (nếu có cột chống ở mặt phẳng dọc tâm đỡ xà ngang đầu miệng khoang thì lấy B = 2B/3).
Bảng 9 Hệ số m
| Tỷ số giữa chiều dài miệng khoang và khoảng cách xà ngang boong theo quy định 2.2.10.1 | l<2 | 2≤l<5 | 5≤l<7 | 7≤l<9 | 9≤l<11 | 11≤l<13 | 13≤l<15 |
| Xà ngang đầu miệng khoang | 0,70 | 0,85 | 1,00 | 1,10 | 1,25 | 1,35 | 1,50 |
| Sống dọc tâm boong | 0,80 | 1,00 | 1,20 | 1,35 | 1,50 | 1,65 | 1,80 |
2.2.10.5. Khoảng cách xà ngang boong có thể tăng lên đến trị số không lớn hơn 1.25 trị số tương ứng quy định ở 2.2.10.1 nói trên, nếu diện tích tiết diện ngang xà ngang boong tăng lên và thoả mãn điều kiện:

Trong đó:
b – Chiều rộng thực chọn của tiết diện ngang xà ngang boong (đo theo phương dọc)
h - Chiều cao thực chọn của tiết diện ngang xà ngang boong (đo theo phương thẳng đứng)
S - Khoảng cách thực tế của các xà ngang boong đang xét
bo, ho, So – là chiều rộng, chiều cao tiết diện và khoảng cách xà ngang boong quy định
2.2.10.6. Khi khoảng xà ngang boong thực tế nhỏ hơn giá trị xác định theo 2.2.10.1 thì kích thước tiết diện xà ngang boong (b,h) thực tế có thể giảm so với các kích thước (b, h) quy định trong Quy phạm xác định theo tiết diện xà ngang boong ở Bảng 8 như sau:

2.2.10.7. Tại những vị trí ở trên boong có đặt máy móc, thiết bị hoặc khó thoát nước phải tăng kích thước của các cơ cấu boong hoặc phải gia cường các cơ cấu boong một cách thích đáng, theo sự thoả thuận với Đăng kiểm.
2.2.10.8. Mọi xà ngang boong, xà ngang boong cụt cơ chiều dài > B/4 đều phải nối với các cơ cấu mạn bằng mã ke. Chiều dài mã ke phải bằng hoặc lớn hơn 0,65 chiều rộng tiết diện của xà boong ngang. Các kích thước khác của mã ke phải không nhỏ hơn trị số cho trong Bảng 6. Nếu xà ngang được đặt ở mỗi mặt sườn thì các mã sườn được đặt cách nhau một sườn, khi đó quy cách mã được lấy theo Bảng 6 nhưng với B = B + 1
Trong mọi trường hợp, xà ngang đầu miệng khoang phải được nối với cơ cấu mạn bằng mã ke.
Nếu tàu có chiều dài miệng khoang bằng và lớn hơn 3,5 lần khoảng cách xà ngang boong quy định ở 2.2.10.5 nói trên, thì xà ngang đầu miệng khoang phải được nối với cơ cấu mạn bằng mã ke và nối với sống chính boong (dọc tâm) bằng 2 mã ke ở hai bên sống. Nếu tàu có chiều dài miệng khoang bằng và lớn hơn 5 lần khoảng cách xà ngang boong quy định ở 2.2.10.5 thì ngoài mã ke nối với sống chính boong, mỗi đầu xà miệng khoang phải được nối với cơ cấu mạn bằng 2 mã ke. Kích thước của mã ke không được nhỏ hơn trị số ghi ở Bảng 6, chiều dài của mã ke (đo theo phương dọc tàu) không được nhỏ hơn 0,65 lần chiều rộng tiết diện xà ngang đầu miệng khoang.
2.2.12. Cột chống
2.2.12.1. Những tàu có chiều dài bằng và lớn hơn 27m, nếu sống dọc boong có chiều dài bằng và lớn hơn B/2 thì phải đặt cột chống ở giữa nhịp sống.
2.2.12.2. Diện tích tiết diện ngang của cột chống phải không nhỏ hơn trị số cho trong Bảng 10 phụ thuộc trị số sau:

Trong đó:
B - Chiều rộng tàu, m;
L - Chiều dài tàu, m;
Nếu được Đăng kiểm chấp nhận thì có thể dùng biện pháp kết cấu tương đương khác để thay thế cho cột chống.
Bảng 10 Diện tích cột chống
Đơn vị cm2
| Cơ cấu | b=B( 10 | ||||
| b ≤ | 25<b≤30 | 305<b≤35 | 35<b≤40 | b>40 | |
| Cột chống | 49 | 64 | 81 | 100 | 121 |
2.2.13. Trường hợp các tàu có mui che, miệng khoang mở rộng hết chiều rộng tàu và chiều dài khoang kéo dài quá quy định, kết cấu mui che phải thoả mãn các yêu cầu trong các điều 2.2.13.1 đến 2.2.13.4.
2.2.13.1. Mạn mui che phải có kết cấu đủ cứng vững và kín thời tiết. Các sườn mạn mui che phải có diện tích tiết diện tối thiểu bằng 0.70 diện tích sườn mạn tàu và được đặt trong cùng mặt phẳng với mặt phẳng sườn mạn tàu;
2.2.13.2. Ván mạn mui che phải có chiều dài tối thiểu bằng 0,70 chiều dài ván mạn tàu;
2.2.13.3. Boong mui che phải có kết cấu cứng vững và kín thời tiết, kết cấu boong phải bao gồm: Sống boong, xà ngang boong và cột chống – có kích thước như sống boong, và cột chống của boong chính;
2.2.13.4. Ván boong mui che phải có chiều dài tối thiểu bằng 0,70 chiều dài ván boong chính.
2.2.14. Ván vỏ (đáy và mạn)
2.2.14.1. Ván vỏ phải gồm các thành phần sau: ván kề sóng đáy, ván đáy, ván hông, ván mạn, ván đai mạn, ván mép mạn xem Hình 6.
Kích thước của các dải ván vỏ nêu trên không được nhỏ hơn trị số tương ứng cho trong Bảng 11, với khoảng cách sườn xác định theo 2.2.9. 2
2.2.14.2. Tổng chiều rộng của các dải ván đai mạn ít nhất phải bằng D/4. Chiều dày của ván đai mạn không được nhỏ hơn trị số cho Bảng 11. Theo chiều cao của tàu, các ván đai mạn phải được đặt ở khoảng giữa của dải đai hông và dải mép mạn.
2.2.14.3. Tổng chiều rộng của các dải đai hông phải đủ để che kín vùng cong hông, chiều dày của ván đai hông không được nhỏ hơn trị số cho trong Bảng 11.
2.2.14.4. Nếu khoảng cách sườn thực của tàu khác với trị số quy định ở 2.2.9.2 thì chiều dày của ván vỏ có thể được tăng hoặc giảm bằng cách nhân trị số yêu cầu cho trong Bảng với hệ số h = (0,7r + 0,3); trong đó r là tỷ số giữa khoảng cách sườn thực và khoảng sườn quy định. Tuy nhiên trong mọi trường hợp chiều dày ván vỏ không được nhỏ hơn 40mm.
Bảng 11 Kích thước ván vỏ
Đơn vị mm
| Tên gọi | Chiều dài tàu L,m | ||||
| 20≤L<21 | 21≤L<24 | 24≤L<27 | 27≤L<30 | ||
| Ván kề sống đáy | b(rộng) | 180 | 210 | 210 | 240 |
| h(dày) | 70 | 70 | 85 | 95 | |
| Ván đáy và mạn | b |
|
|
|
|
| h | 45 | 55 | 55 | 60 | |
| Ván đai hông | b |
|
|
|
|
| h | 60 | 55 | 65 | 75 | |
| Ván đai mạn | b |
|
|
|
|
| h |
| 55 | 65 | 75 | |
| Ván mép mạn | b | 300 | 330 | 360 | 390 |
| h | 60 | 65 | 70 | 75 | |
| Ván viền boong | b |
|
|
|
|
| h | 45 | 50 | 55 | 60 | |
2.2.15. Ván boong
2.2.15.1. Chiều rộng các ván boong không được lớn hơn 250mm. Chiều dày của ván boong không được nhỏ hơn trị số cho trong Bảng 11.
2.2.15. 2. Nếu khoảng cách các xà ngang boong khác với trị số quy định ở 2.2.10.1 thì chiều dày của ván boong được lấy bằng trị số ở Bảng 11 nhân với hệ số h = (0.7r + 0.3) trong đó r là tỷ số giữa khoảng cách sườn thực và khoảng sườn quy định. Trong mọi trường hợp chiều dày ván boong không được nhỏ hơn 35mm.
2.2.15. 3. Ở vùng miệng khoang hàng, miệng buồng máy và miệng các lỗ khoét khác, chỗ đặt thiết bị, máy …ván boong phải được gia cường thích đáng theo thoả thuận với Đăng kiểm.
2.2.15. 4. Phải đặt dải ván viền boong có chiều rộng đủ để đảm bảo liên kết dải ván mép mạn với thanh đè đầu xà ngang boong kín nước. Chiều dày của ván viền boong không được nhỏ hơn trị số cho trong Bảng 11.
2.2.15. 5. Các miệng lỗ khoét ở boong (ngoại trừ miệng buồng máy và miệng khoang hàng) phải có thành quây và có các thanh gỗ viền theo chu vi miệng lỗ khoét. Chiều cao của thành quây phụ thuộc vào vị trí của miệng lỗ khoét và được lấy như sau:
Nếu phần lỗ khoét nằm ở phần boong lộ thiên thì chiều cao thành quây tối thiểu phải bằng 300 mm;
(1) Nếu phần lỗ khoét nằm ở bên trong thượng tầng có cửa ra vào chắc chắn thì chiều cao tối thiểu thành quây phẳI bằng 150 mm;
(2) Nếu miệng lỗ khoét nằm phía bên trong thượng tầng không có cửa ra vào chắc chắn thì chiều cao thành quây tối thiểu phải bằng 230 mm;
(3) Nếu miệng lỗ khoét nằm ở boong thượng tầng nằm cao hơn boong chính từ 1,2m trở lên, thì chiều cao tối thiểu thành quây phải bằng 150 mm;
(4) Nếu miệng lỗ khoét nằm ở boong thượng tầng nằm cao hơn boong chính dưới 1,2m thì chiều cao tối thiểu thành quây phải bằng 230 mm;
Thành quây phải có các mã đứng (cột nẹp), khoảng cách mã đứng phải bằng khoảng cách các xà ngang boong.
Chiều rộng của ván thành quây phải bằng:
- 100mm - nếu chiều cao của ván thành quây > 400 mm
- 80mm - nếu chiều cao của ván thành quây > 300 mm
- 70mm - nếu chiều cao của ván thành quây > 150 mm
Thông thường chiều dày ván thành quây phải không nhỏ hơn 1/5 chiều cao của nó.
Kích thước của thành viền và mã đứng của miệng thành quây được lấy bằng kích thước xà ngang boong tại vùng lỗ khoét. Nếu lỗ khoét nhỏ thì có thể giảm chiều cao thành quây lỗ khoét và qui cách các cơ cấu của thành quây (ván quây, thanh viền, mã đứng) đến mức độ thoả đáng.

| 1. Dải ván kề sống dưới đáy | 2. Các dải ván đáy |
| 3. Dải ván đai hông | 4. Các dải ván mạn |
| 5. Các dải ván đai hông | 6. Ván mép mạn |
Hình 6 Các thành phần ván vỏ
(5) Nếu miệng buồng máy nằm bên trong thượng tầng thì phải có vách quây miệng buồng máy kéo lên đến boong thượng tầng.
(6) Nếu miệng buồng máy nằm ở boong lộ thiên thì phải có thành quây. Theo chu vi thành quây phải có thanh gỗ viền. Chiều cao miệng thành quây buồng máy cho trong Bảng 12.
Ở nắp miệng buồng máy phải có cửa thông sáng (cửa trời); nếu miệng buồng máy nhỏ có thể giảm chiều cao thành quây. Thành quây phải đặt các cột nẹp cách nhau không quá một khoảng cách xà ngang boong.
Thanh gỗ viền và cột nẹp phải có kích thước bằng kích thước xà ngang boong tại vùng buồng máy.
Chiều dày của ván thành quây/ vách quây ít nhất phải bằng 1/5 chiều rộng của nó.
2.2.15.6. Miệng khoang hàng ở boong chính (loại trừ loại tàu có mui che kín):
Miệng khoang hàng phải có thành miệng khoang, thành miệng khoang phải có chiều cao tối thiểu bằng 300 mm, đối với tàu cấp SI và phải bằng 250 mm, đối với tàu SII.
Miệng khoang hàng phải có nắp gỗ kín thời tiết. Chiều dày của ván thành quây và ván nắp phải không nhỏ hơn 35mm. Thành quây phải đặt các cột nẹp cách nhau không quá một khoảng cách xà ngang boong. Theo mép trên của thành quây phải có thanh viền, kích thước thanh gỗ viền và cột nẹp được lấy bằng kích thước của xà ngang boong tại vùng miệng khoang hàng.
Đối với tàu có mui che kín thời tiết, thành miệng khoang hàng ở phía mũi có thể giảm xuống đến bằng 300 mm ứng với tàu cấp VR - SI và đến bằng 250 mm ứng với tàu cấp VR - SII.
Bảng 12 Chiều cao thành quây
Đơn vị: cm
| Cấp tàu | Vị trí buồng máy | ||
| Ở boong thương tầng có chiều cao >1,2 m (kể cả boong chính) | Ở boong thượng tầng có chiều cao ≤1,2 m | Ở boong chính | |
| VR- SI | 60 | 90 | 120 |
| VR-SII | 30 | 45 | 60 |
2.2.16. Mạn chắn sóng và lan can
2.2.16 .1. Ở boong lộ thiên nơi thuyền viên, hành khách qua lại phải đặt mạn chắn sóng hoặc lan can bảo vệ.
2.2.16 .2. Chiều cao của mạn chắn sóng ít nhất phải bằng 0,6 m. Mã của mạn chắn sóng (cột nẹp) thường là phần kéo dài của các thanh sườn kéo lên quá mặt boong. Chiều dày của ván mạn chắn sóng được lấy bằng chiều dày ván mạn, dọc theo mép trên của mạn chắn sóng phải có thanh gỗ viền. Nếu đặt cửa lên xuống ở mạn chắn sóng thì phải gia cường cạnh cửa thích đáng bằng hai cột nẹp đủ cứng vững. Kích thước của thanh gỗ viền đựơc lấy bằng kích thước xà ngang boong. Mạn chắn sóng phải có chỗ thoát nước. Đối với tàu có mui che kín thì chỉ đặt mạn chắn sóng ở những vùng boong không có mui che.
2.2.16 .3. Lan can ở tàu khách ít nhất phải cao 1,0 m. Đối với các tàu khác có thể giảm chiều cao lan can xuống đến mức hợp lý. Lan can phải bao gồm các cột đứng cách nhau một khoảng sườn và các thanh nằm ngang đặt cách nhau không quá 230 mm. Cột lan can thường là phần kéo dài của các thanh sườn kéo vượt qua mặt boong.
2.2.17. Thanh đỡ bao bọc ống chân vịt
2.2.17.1. Thanh đỡ bao trục ống chân vịt gồm hai nửa: nửa trên và nửa dưới, ghép lại với nhau, mặt đầu thanh được tán thép. Thanh đỡ ống bao trục chân vịt được ghép với sống đuôi bằng những thanh gỗ đứng.
Ở những tàu có công suất máy nhỏ hơn hoặc bằng 200 mã lực, nếu ống bao trục chân vịt được cố định chắc chắn vào 2 trục đứng liên kết chắc chắn với sống đáy thì không cần đặt thanh đỡ ống bao trục chân vịt. Khi đó khoảng cách không gian đáng lẽ đặt thanh đỡ ống bao trục chân vịt phải được nhét nhựa đường hoặc bê tông đổ nhựa đường.
2.2.1.2. Chiều rộng và chiều cao của mặt cắt thanh đỡ ống bao trục chân vịt ít nhất phải bằng 2 lần đường kính của ống bao trục chân vịt.

1- Ống bao trục
2- Thanh đỡ ống bao trục
Hình 7 Thanh đỡ ống bao trục
2.2.18. Vách ngang
2.2.18.1. Mọi tàu phải có vách mũi và vách đuôi kín nước. Tàu tự hành đều phải có các vách giới hạn buồng máy.
2.2.18.2. Số lượng tối thiểu vách ngang kín nước, kể cả vách đầu và đuôi không nhỏ hơn 3. Đối với tàu khách, các vách ngang phải kín nước.
2.2.18.3. Chiều dầy của tấm ván vách ngang không được nhỏ hơn chiều dày của tấm ván mạn. Kích thước nẹp vách không nhỏ hơn kích thước sườn thường.
2.2.19. Thượng tầng và lầu
2.2.19.1. Các cơ cấu boong, mạn, vách biên thượng tầng và lầu được lấy bằng kích thước mặt cắt 1 của sườn mạn.
2.2.19.2. Kích thước ván boong, ván mạn, ván vách thượng tầng lấy bằng ván mạn trong.
2.2.20. Cột cẩu, cột buồm
2.2.20.1. Nếu tàu có đặt cột cẩu, cột buồm, thì cột cẩu, cột buồm phải được chế tạo bằng gỗ nhóm I hoặc nhóm II. Đường kính cột phải được chọn bằng phương pháp tính toán phù hợp, được chấp nhận, phụ thuộc vào chiều cao h (m) của cột tính từ mặt trên của sống đáy trên đến vị trí dây chằng ở đỉnh cột (Bảng 13).
Bảng 13 Đường kính cột cẩu, cột buồm
| Mặt cắt | ở chân cột | ở boong trên | ở đỉnh cột |
| Đường kính (cm) | 3,8 h | 2,3 h | 1,5 h |
2.2.20.2. Số lượng và đường kính cáp chằng cột, phụ thuộc vào chiều cao h (m) của cột, không được nhỏ hơn trị số sau đây:
| - Nếu h < 15m: | 2 dây có đường kính d = 15 mm; |
| - Nếu 15 ≤h ≤20m: | 2 dây có đường kính d = 18 mm; |
| - Nếu h > 20m: | 2 dây có đường kính d = 20mm; |
2.3. Các liên kết
2.3.1. Các chi tiết để liên kết
2.3.1.1. Các chi tiết để liên kết (bu lông, đinh vít, đinh) phải được mã kẽm, phải theo đúng tiêu chuẩn Việt Nam hiện hành.
2.3.1.2. Có thể sử dụng những chi tiết liên kết chưa được nói đến ở 2.3.1.1 (ví dụ: đinh tre, đinh gỗ). Kích thước của những chi tiết này phải được tính toán theo nguyên tắc có độ bền tương đương với những chi tiết liên kết tương ứng quy định. Bản tính và bản vẽ chi tiết này phải được Đăng kiểm xem xét.
2.3.1.3. Đai ốc phải được vặn từ phía trong tàu. Dưới đai ốc phải đặt vành đệm, ở những liên kết quan trọng, bu lông phải được vặn hai đai ốc để hãm.
2.3.1.4. Vít dùng để liên kết ván với cơ cấu phải có chiều dài không nhỏ hơn 2,25 chiều dày của ván cộng thêm chiều dày của thanh đệm (nếu có). Thanh đệm phải được liên kết trước với cơ cấu, sau đó được liên kết với ván. Vít để liên kết hai cơ cấu phải có chiều dài sao cho xuyên suốt chiều dày cơ cấu thứ nhất, xuyên qua thanh đệm (nếu có), và xuyên sâu ít nhất đến ¾ của chiều dầy cơ cấu thứ hai.
2.3.1.5. Nếu dùng đinh để liên kết cơ cấu với ván thì chiều dài của đinh không nhỏ hơn 2,5 lần chiều dày của ván cộng thêm với chiều dày của thanh đệm (nếu có). Đinh để liên kết hai cơ cấu phải có chiều dài sao cho xuyên suốt chiều dài cơ cấu thứ nhất, xuyên qua thanh đệm (nếu có), và xuyên sâu ít nhất ¾ chiều dày cơ cấu thứ hai.
2.3.1.6. Đường kính của lỗ để đặt bu lông phải nhỏ hơn đường kính của bu lông khoảng 0,5 mm.
2.3.1.7. Đầu vào của đinh và vít liên kết ván vỏ, ván boong với cơ cấu phải được đóng âm sâu vào ván 5mm.
2.3.2. Mối nối các đoạn của cơ cấu
2.3.2.1. Mối nối của các đoạn cơ cấu dọc phải được bố trí ở trên mặt của cơ cấu ngang. Khoảng cách các đinh liên kết, khoảng cách từ đinh liên kết tới mép đầu mút mối nối phải bằng 6 lần đường kính của đinh nếu là gỗ nhóm I, nhóm II, nhóm III và bằng 7 lần đường kính của đinh nếu là gỗ nhóm IV, và nhóm V.
2.3.2.2. Kích thước mối nối của các đoạn cơ cấu được quy định ở Bảng 14, đường kính của bu lông được quy định ở Bảng 15.
Bảng 14 Qui cách mối nối
| Số | Các thành phần mối nối | Chiều dài mối nối | Ghi chú |
| 1 | Các đoạn của sống đáy dưới | 5.0h |
|
| 2 | Các đoạn của sống mũi | 3.5h |
|
| 3 | Nối sống mũi với sống đáy dưới | 3.5h |
|
| 4. | Các đoạn của sống đáy trên | 5.0h |
|
| 5 | Nối sống đáy trên với thanh gia cường mũi tàu và với thanh gia cường đuôi tàu | 2 khoảng sườn | Mối nối gài ( có ngạch) |
|
| Nối các đoạn của thanh dọc hông, thanh dọc mạn, thanh đỡ và thanh đè đầu xà ngang boong, dải mép mạn, viền boong và thanh dọc đáy |
| Nếu h≤3b/4 , trong đó b là chiều rộng của mặt cắt, Nếu h> 3b/4, trong đó h là chiều cao của mặt cắt (theo chiều của đinh liên kết ) |
| 7 | Nối bệ máy với thanh dọc đáy | 2 khoảng sườn | Tối thiểu có 3 bulông |
Bảng 15 Đường kính bulông của mối nối cơ cấu dọc
Đơn vị mm
| Chiều cao cơ cấu được nối h, cm | h<18 | 18≤h<23 | 23≤h<27 | 27≤h<31 | h≥31 |
| Đường kính bulông | 12 | 16 | 20 | 22 | 25 |
2.3.2.3. Ở phần giữa tàu, các mối nối các đoạn của thanh sống đáy dưới, của thanh ván kề sống đáy dưới, của thanh sống đáy trên phỉa được bố trí so le sao cho các mối nối của bất kì hai đoạn nào cũng phải cách nhau ít nhất là 3 khoảng sườn.
Hai mối nối gần nhau của các đoạn thuộc thanh ván kề đáy dưới phải cách xa nhau một khoảng ít nhất là bằng chiều dài mối nối.
Mối nối các đoạn hai thanh dọc kề nhau, mối nối các đoạn của hai thanh dọc đặt ở mặt trong và mặt ngoài của thanh sườn phải cách xa nhau một khoảng ít nhất là bằng chiều dài mối nối.
Ở phần giữa tàu: các mối nối ở dải ván vỏ thứ nhất và dải ván vỏ thứ hai phải cách xa nhau ít nhất là 3 khoảng sườn; các mối nối ở dải ván vỏ thứ nhất và dải ván vỏ thứ ba phải cách xa nhau một khoảng ít nhất là 2 khoảng sườn; các mối nối dải ván vỏ thứ nhất và dải ván vỏ thứ 4 phải cách xa nhau ít nhất 1 khoảng sườn.
Các mối nối ở dải ván boong thứ nhất và dải ván boong thứ hai phải cách nhau ít nhất là 2 khoảng cách xà ngang boong; các mối nối ở dải ván boong thứ nhất và dải ván boong thứ ba phải cách nhau ít nhất 1 khoảng cách xà ngang boong.
2.3.2.4. Nếu hai đoạn của một sườn đơn được nối đầu với nhau thì phải dùng 1 hoặc 2 gỗ táp (Hình 9). Chiều dài đoạn gỗ táp ít nhất phải bằng 4 chiều cao mặt cắt sườn tạI chỗ có mối nối. Diện tích mặt cắt gỗ táp ít nhất phải bằng diện tích của mặt sườn tại chỗ có mối nối. Về mỗi phía của mối nối phải có 2 bu lông siết chặt thanh sườn với thanh gỗ táp. Kích thước của bu lông xác định theo Bảng 16. Nếu mối nối nói trên là nằm trên mặt của sống đáy dưới thì chiều dài đoạn gỗ táp ít nhất phải bằng 6 lần chiều cao mặt cắt sườn tại chỗ có mỗi nối và ở mỗi vế của thanh nối ít nhất phải có 3 bu lông. Kích thước của bu lông được xác định theo Bảng 16.
Nếu hai đoạn sườn đơn được nối có ngạnh hoặc nối vát thì chiều dài mối nối ít nhất phải bằng 3 lần chiều cao mặt cắt sườn tại chỗ có mối nối. Mỗi mối nối phải có 3 bu lông với kích thước xác định theo Bảng 16.
Mối nối ở hai thanh sườn đơn gần nhau phải cách xa nhau một khoảng ít nhất bằng 5 lần chiều cao mặt cắt thanh sườn lớn hơn.
2.3.2.5. Các đoạn thuộc một thanh thuộc sườn kép được nối đối đầu với nhau (Hình 8). Ở gần mối nối, hai thanh của sườn kép được ghép chặt với nhau bằng bu lông. Kích thước của bu lông được xác định theo Bảng 16. Trong khoảng giữa các bu lông, hai thanh của sườn kép được ghép chặt với nhau bằng vít đóng so le nhau.
Khoảng cách các mối nối đoạn của hai thanh thuộc một sườn kép phải cách xa nhau ít nhất 4 lần chiều cao của mặt cắt thanh lớn hơn.
Mối nối gần thanh dọc hông phải cách thanh dọc hông ít nhất ba lần chiều cao của mặt cắt thanh lớn hơn.
Bảng 16 Đường kính bulông của mối nối cơ cấu với sườn
Đơn vị mm
| Chiều cao sườn h ( theo phương bulông ),cm | h<18 | 18≤h<22 | 22≤h<27 | h≥27 |
| Đường kính bulông | 16 | 20 | 22 | 25 |
2.3.2.6. Đối với những cơ cấu chịu uốn có mặt cắt ghép (ghép 2, ghép 3 hoặc ghép 4) thì mặt cắt phải được ghép sao cho từng thành phần mặt cắt làm việc uốn theo mô men quán tính cực đại Jmax của bản thân thành phần đó (Hình 10)
Nếu mặt tiếp xúc của hai chi tiết mà nằm ngang thì mặt tiếp xúc đó phải được bôi một lớp nhựa đường trước khi được ghép.
Mối nối các đoạn ván phải theo Hình 12a hoặc Hình 12b.
a)

C= (6 ¸ 7)d
d- Đường kính bu lông

C= (6 ¸ 7)d
d- Đường kính bu lông
a- Mối nối vát
b- Mối nối có ngạnh
Hình 8 Mối nối sống chính
2.3.3. Mối liên kết các cơ cấu
2.3.3.1. Thanh gia cường mũi tàu liên kết với sống mũi, với sống đáy bằng bu lông đặt cách nhau không quá 45 cm. Thanh gia cường đuôi tàu liên kết với sống đuôi, với sống đáy đặt cách nhau không xa quá 45 cm. Sống đuôi liên kết với trụ bánh lái, với gỗ đệm bằng bu lông xuyên suốt đặt cách nhau không xa quá 45 cm. Sống đuôi phụ liên kết với sống đuôi, với trụ bánh lái và với gỗ đệm bằng bu lông xuyên suốt đặt cách nhau không xa quá 45 cm.
Kích thước của bu lông được lấy theo Bảng 16 với h là chiều dài của bu lông.
2.3.3.2. Sườn (không kể sườn xiên) được liên kết với sống đáy bằng vít và bu lông.
Sườn xiên ở đuôi tàu phải được liên kết bằng bu lông xuyên suốt từ thanh kề sống đuôi bên này đến thanh kề sống đuôi bên kia.
Kích thước của vít và bu lông được quy định ở Bảng 17 mà h là chiều cao của mặt cắt sườn (cm). Chiều dài của vít được tính theo 2.3.1.4.
Bảng 17. Đường kính bulông, vít nối sườn với cơ cấu khác
Đơn vị mm
| Đường kính (mm) | Chiều cao h của tiết diện sườn, cm | |||||
| h<5,5 | 5,5≤h<7 | 7≤h<8,5 | 8,5≤h<10 | 10≤h<11,5 | h≥11,5 | |
| Bulông | 10 | 12 | 16 | 20 | 22 | 25 |
| Vít | 8 | 10 | 12 | 16 | 20 | 22 |
2.3.3.3. Ở mỗi khoảng sườn, sống đáy dưới phải được liên kết với sống đáy trên bằng bu lông. Đường kính của bu lông được quy định ở Bảng 15 với h là chiều cao của mặt cắt sống đáy dưới.

1 - Các đoạn sườn 2 - Gỗ táp
3 - Bu lông
Hình 9 Mối nối dùng đoạn gỗ táp
Thanh dọc hông, thanh dọc mạn, thanh đỡ đầu xà ngang boong được liên kết với sườn bằng vít và bu lông có kích thước được quy định ở Bảng 17 phụ thuộc chiều cao h của mặt cắt các thanh dọc được liên kết. Chiều dài của vít được tính theo 2.3.1.4.
Thanh đai hông, thanh dọc đáy được liên kết với sườn bằng bu lông có kích thước theo quy định của Bảng 17 phụ thuộc chiều cao h của mặt cắt các thanh dọc được liên kết.

1 – Thanh dọc hông 2 – Mối nối gần thanh dọc hông
3- Mối nối đối đầu 4 – Bu lông 5- Đinh vít
Hình 10 Mối nối đối đầu sườn kép

Hình 11 Mặt cắt ghép
2.3.3.4. Ván vỏ được liên kết với mỗi sườn bằng một số lượng vít phụ thuộc chiều rộng của dải ván lấy theo Bảng 18.
Kích thước của vít phụ thuộc chiều dày của ván được quy định ở Bảng 17. Chiều dài của vít được tính theo 2.3.1.4.
Nếu dùng định để liên kết ván vỏ với sườn thì số lượng đinh được lấy theo Bảng 18. Đường kính của đinh được lấy theo Bảng 17 như đối với vít. Chiều dài của đinh được tính theo 2.3.1.5. Lỗ đóng đinh phải được khoan mồi.
2.3.3.5. Dải ván boong có chiều rộng nhỏ hơn 13 cm phải được liên kết với mỗi xà ngang boong bằng ít nhất là một đinh. Dải ván boong có chiều rộng bằng và lớn hơn 15 cm phải được liên kết với mỗi xà ngang boong bằng ít nhất là hai đinh. Ở phần 0.25L giữa tàu của những tàu có chiều dài bằng và lớn hơn 27 m, tạI mỗi xà ngang boong một trong số đinh nói trên thuộc một dải ván phải được thay thế bằng bu lông.
Dải ván kề với thanh đỡ đầu xà ngang trên, cứ cách một xà ngang boong, được liên kết với một xà ngang boong trên bằng một bu lông và một đinh, còn ở chiếc

Hình 12 Mối nối các đoạn ván vỏ
xà ngang boong còn lại, được liên kết bằng hai đinh. Đường kính của bu lông được quy định ở Bảng 17 phụ thuộc chiều cao h của mặt cắt xà ngang boong. Chiều dài của đinh được tính theo 2.3.1.5.
Bảng 18 Số lượng vít
|
Chiều | Số lượng vít (chiếc) | ||||
| 20 ≤ b < 22 | 22 ≤ b < 25 | 25 ≤ b < 30 | 30 ≤ b < 35 | b ≥ 35 | |
| Tàu có L<27 m | 2 | 3 | Sườn kép 4 Sườn đơn 3 | ||
| Tàu có L≥27 m | 3 | 4 | Sườn kép 5 Sườn đơn 4 | ||
2.3.3.6. Xà ngang boong trên (trừ xà ngang đầu miệng khoang) được liên kết với thanh đỡ đầu xà ngang bằng bu lông hoặc vít. Xà ngang đầu miệng khoang của boong trên phải được liên kết với thanh đỡ đầu xà bằng bu lông. Kích thước của những bu lông và vít này được xác định theo Bảng 17 phụ thuộc chiều cao h của mặt cắt xà ngang boong trên. Chiều dài của vít được lấy theo 2.3.1.4.
2.3.3.7. Thanh đỡ đầu xà ngang boong trên phải được liên kết với từng xà ngang boong bằng bu lông.
Thanh đỡ đầu xà ngang boong trên phải được liên kết với thanh mép mạn bằng bu lông tại mỗi sườn.
Ở mỗi chiếc xà ngang boong trên, thanh ván viền phải được liên kết với xà ngang boong và thanh đỡ đầu xà ngang bằng bu lông xuyên suốt. Ở khoảng giữa các xà ngang boong, thanh ván viền phải được liên kết với thanh đỡ đầu xà ngang boong bằng vít.
Thanh ván viền phải được liên kết với dải mép mạn bằng bu lông đặt cách nhau 3 khoảng sườn và bằng vít đăt cách nhau một khoảng sườn. Nếu ván viền là do hai thanh ghép lại thì chúng phải được liên kết với dải ván mép mạn bằng bu lông đặt cách nhau một khoảng sườn. Đường kính của bu lông (và vít) được quy định ở Bảng 17 phụ thuộc chiều dài h của bu lông (và vít). Chiều dài của vít được tính theo 2.3.1.4.
Thanh ván viền phải được liên kết với chân mạn chắn sóng bằng vít.
2.3.3.8. Nếu kết cấu của tàu không có thanh ván viền thì những quy định trong 2.3.3.7 được đổi như sau:
Thanh đỡ đầu xà ngang boong phải được liên kết với mỗi xà ngang boong bằng bu lông và vít, thanh đỡ đầu xà ngang boong được liên kết với thanh mép mạn bằng bu lông đặt cách nhau 3 khoảng sườn vag bằng vít đặt cách nhau một khoảng sườn.
Thanh đỡ đầu xà ngang boong được liên kết với chân cột nẹp của mạn chắn sóng bằng bu lông.
Nếu thanh đỡ đầu xà ngang boong gồm hai thanh thì chúng phải được ghép với nhau bằng bu lông đặt cách nhau một khoảng sườn.
Kích thước của bu lông và vít nói ở 2.3.3.8 được quy định như ở 2.3.3.7.
2.3.3.9. Mã xà ngang boong, mã sống mũi, mã sống đuôi phải được liên kết bằng bu lông, tại mỗi khớp mã phải có ít nhất 2 bu lông, tại cổ mã phải có ít nhất 1 bu lông. Những chiếc bu lông liên kết mã với cơ cấu mạn phải đi xuyên suốt qua thanh sườn và xuyên suốt qua ván vỏ. Những chiếc bu lông liên kết mã với sống mũi phải xuyên suốt sống mũi. Kích thước của bu lông được quy định ở Bảng 16 mà h là chiều cao của mặt cắt cơ cấu được liên kết với mã.
2.3.3.10. Bệ máy phải được liên kết với mỗi thanh sườn bằng bu lông xuyên suốt bệ máy và sườn. Đầu bu lông âm vào sườn được phết ma tít hoặc nhựa đường cho đến bằng mặt gỗ. Sườn phải ăn sâu vào bệ máy 20mm. Số lượng bu lông tại mỗi thanh sườn phụ thuộc công suất máy. Nếu công suất máy nhỏ hơn 200 mã lực thì số lượng bu lông được bố trí theo sơ đồ a Hình 13. Nếu công suất máy từ 200 mã lực đến 300 mã lực thì số lượng bu lông được bố trí theo sơ đồ b Hình 13.

Hình 13 Sơ đồ bố trí bu lông bệ máy
Nếu công suất máy bằng và lớn hơn 300 mã lực thì số lượng bu lông được bố trí theo sơ đồ c Hình 13.
Kích thước của bệ máy và bu lông liên kết bệ máy được quy định ở Bảng 19 phụ thuộc công suất máy.
Bảng 19 Kích thước bệ máy và đường kính bulông
| Công suất máy chính (Ne, mã lực) | Ne<50 | 50≤Ne<100 | 100≤Ne<200 | 200≤Ne<300 | Ne≥300 |
| Diện tích tiết diện thành dọc và thanh giằng ngang bệ máy (cm2) | 729 | 900 | 1089 | 1296 | 1521 |
| Đường kính bulông (mm) | 20 | 22 | 25 | 25 | 25 |
2.3.3.11. Ván bánh lái được liên kết với trục lái bằng bu lông đặt cách nhau không quá 45 cm. Kích thước bu lông được tính theo Bảng 20.
2.3.3.12. Ván thượng tầng phải được liên kết với các cơ cấu thượng tầng bằng bu lông đặt cách nhau không xa hơn một khoảng cách xà ngang boong thượng tầng. Đường kính bu lông phải không nhỏ hơn 12 mm.
Bảng 20 Đường kính bu lông
| Đường kính trục lái d (cm) | 20 £d< 22 | 22 £d< 27 | D ³ 27 |
| Đường kính bu lông (mm) | 20 | 22 | 25 |
2.3.3.13. Ván quây miệng khoang được liên kết với xà ngang đầu miệng khoang và với thanh thép dọc miệng khoang bằng bu lông đặt cách nhau không xa quá 45 cm. Kích thước bu lông được xác định theo Bảng 17 theo chiều dài bulông h.
2.3.3.14. Mép dọc và mép ngang của ván vỏ, ván boong ở khu vực cần kín nước phải được gọt vát sâu đến 2/3 chiều dày, còn ở các khu vực khác thì chỉ cần ghép khít. Rãnh gọt vát phải được xảm kín, hoặc được xảm 3 lớp dây đay rồI đổ nhựa (xem thêm 2.4.1.1).
Ở khu vực cần kín nước, đầu đinh phải được âm sâu vào ván 5 mm, đầu bu lông phải được đặt vào lỗ khoét trong gỗ. Lỗ được xảm dây đay và đậy bằng nút gỗ.
Các liên kết kín nước phải được thử kín nước theo quy định của Đăng Kiểm.
2.3.3..15. Ở sống đáy phải khoét rãnh đủ rộng để ghép ván vỏ và để đóng đinh liên kết ván vỏ. Chân sườn phải được gài sâu vào sống đáy và được ghép khít với thanh ván kề sống đáy. Dải ván ngoài của boong phải được gài vào trong thanh đè đầu xà ngang boong với chiều sâu ít nhất là 2.5cm. Xà ngang đầu miệng khoang phải được gài vào rãnh khoét ở thanh đỡ đầu xà ngang boong.
Thanh mép dọc miệng khoang phải được gài vào rãnh khoét ở xà ngang đầu miệng khoang.
Rãnh phải có chiều sâu đến ¼ chiều cao của mặt cắt thanh bị khoét.
Mặt ngoài của ống bao trục chân vịt phải khớp khít với mặt trong của lỗ khoét thanh đỡ trục chân vịt và ở sống đuôi.
Ván quây miệng khoang phải được liên kết trực tiếp với xà ngang đầu miệng khoang và với thanh dọc mép miệng khoang. Ở 4 góc miệng khoang đầu ván quây phải được cắt vát 45o để ghép chặt với nhau.
Cột cẩu,cột buồm phải được tì lên thanh bệ và được liên kết vững chắc với cơ cấu thân tàu.
Các dải ván có khoét lỗ để cột cẩu xuyên qua phải được gia cường bằng các xà và phải được làm kín nước.
Vị trí mà cột cẩu, cột buồm và trục lái xuyên suốt qua boong phải được gia cường thích đáng.
Ván boong phải được đặt hướng lòng ván vào phía trong tàu.
Phần 3.
ỔN ĐỊNH
Chương 1.
QUY ĐỊNH CHUNG
1.1. Quy định chung
1.1.1. Phương tiện nêu tại 1.1.1 Chương 1 Quy định chung Phần 1 Của Quy phạm này phải kiểm tra ổn định theo các quy định tại Phần 7 Ổn định nguyên vẹn của Quy phạm phân cấp và đóng phương tiện thủy nội địa (TCVN5801:2005).
1.1.2. Các thuật ngữ và định nghĩa hiểu theo các thuật ngữ và định nghĩa đưa ra ở điều 1.2 Thuật ngữ và định nghĩa Chương 1 Quy định chung phần 7 Ổn định nguyên vẹn của Quy phạm phân cấp và đóng phương tiện thủy nội địa(TCVN5801:2005) nếu trong phần này không có giải thích gì thêm.
Chương 2.
YÊU CẦU CƠ BẢN VỀ ỔN ĐỊNH
2.1. Các yêu cầu chung về ổn định
Các tàu nêu tại 1.1.1 Chương 1 Quy định chung Phần 1 Của Quy phạm này phải thỏa mãn các yêu cầu cơ bản về ổn định nêu tại Chương 2 Phần 7 Ổn định nguyên vẹn của Quy phạm phân cấp và đóng phương tiện thủy nội địa (TCVN 5801:2005).
2.2. Các yêu cầu bổ sung về ổn định
2.2.1. Các tàu phải thỏa mãn các yêu cầu bổ sung cho từng loại tàu nêu tại Chương 3 Phần 7 Ổn định nguyên vẹn của Quy phạm phân cấp và đóng phương tiện thủy nội địa (TCVN 5801:2005);
2.2.2. Các tàu khách ngoài các tiêu chuẩn bổ sung còn phải thỏa mãn các yêu cầu về ổn định tai nạn quy định tại Phần 8 Phân khoang của Quy phạm phân cấp và đóng phương tiện thủy nội địa (TCVN 5801:2005) trong đó xét tới việc các vách không kín nước và khả năng ngập các khoang liên tiếp. Việc tính trọng tâm khách phải coi khách tập trung ở boong cao nhất.
Phần 4.
MẠN KHÔ
Chương 1.
QUY ĐỊNH CHUNG
1.1. Quy định chung
1.1.1. Phương tiện thủy nội địa vỏ gỗ nêu tại 1.1.1 Chương 1 Quy định chung Phần 1 Của Quy phạm này phải thỏa mãn các yêu cầu về mạn khô theo các quy định tại Phần 9 Mạn khô của Quy phạm phân cấp và đóng phương tiện thủy nội địa (TCVN5801:2005).
Phần 5.
HỆ THỐNG MÁY TÀU
Chương 1.
QUY ĐỊNH CHUNG
1.1. Quy định chung
1.1.1. Phạm vi áp dụng
Các yêu cầu đưa ra trong phần này áp dụng cho máy chính lai chân vịt, thiết bị truyền động, hệ trục, chân vịt, máy chính dẫn động không phải là máy chính lai chân vịt, thiết bị áp lực, máy phụ và các hệ thống ống và các hệ thống điều khiển chúng (sau đây gọi chung là hệ thống máy tàu).
Các thuật ngữ đưa ra ở phần này thống nhất với các thuật ngữ đưa ra ở Phần 3 của Quy phạm phân cấp và đóng phương tiện thủy nội địa (TCVN5801:2005)”.
1.2. Những yêu cầu chung đối với máy chính
1.2.1. Quy định chung
1.2.1.1. Máy chính phải được cố định chính xác, phải có kết cấu và bố trí sao cho thuận lợi cho việc bảo hành, kiểm tra và bảo dưỡng.
1.2.1.2. Máy chính phải được lắp đặt và được bảo vệ để giảm thiểu bất kỳ nguy hiểm nào cho người trên tàu, vì thế phải quan tâm đầy đủ tới các bộ phận chuyển động, các bề mặt bị nung nóng và các nguy hiểm khác.
1.2.1.3. Người chế tạo phải cung cấp sẵn các thông tin cần thiết để đảm bảo rằng máy có thể được lắp đặt đúng đắn, có xét đến những yếu tố như điều kiện hoạt động và những hạn chế cần thiết khác.
1.2.1.4. Máy chính phải có các thiết bị giám sát an toàn và điều khiển đầy đủ về phương diện tốc độ, nhiệt độ.
1.2.2. Công suất lùi
Phải có đủ công suất để chạy lùi đảm bảo điều khiển tàu chính xác và an toàn trong mọi điều kiện bình thường.
1.2.3. Hạn chế sử dụng nhiên liệu
Không được sử dụng nhiên liệu có nhiệt độ chớp cháy thấp hơn 60oC, trừ trường hợp được quy định dưới đây.
Có thể được phép sử dụng nhiên liệu có điểm chớp cháy tháp hơn 60oC nhưng không được nhỏ hơn 43oC với điều kiện là có những biện pháp phòng chống cháy bổ sung nếu như nó được coi là cần thiết và nhiệt độ xung quanh trong khoang có chứa nhiên liệu đó hoặc nhiên liệu sẽ được dùng không được tăng tới phạm vi thấp hơn tới 10oC so với nhiệt dộ chớp cháy của nhiên liệu.
1.2.4. Phòng cháy
1.2.4.1. Trừ trường hợp có các phương tiện để che chắn hoặc thu gom dầu rò rỉ thích hợp, không được đặt hệ thống dầu bôi trơn, hệ thống nhiên liệu ngay trực tiếp trên các đường ống khí xả, các bầu giảm âm hoặc các bề mặt có nhiệt độ cao khác và chúng phải đặt xa các thiết bị đó đến mức có thể đạt được.
1.2.4.2. Phải bọc cách nhiệt có hiệu quả tất cả các bề mặt của hệ thống máy có nhiệt độ cao hơn 220oC nếu chúng có thể tác động tới nhiên liệu do hệ thông hư hỏng.
1.2.4.3. Các kết cấu được làm bằng vật liệu cháy được như gỗ và những vật liệu tương tự không được đặt ở phía trên và xung quanh động cơ đốt trong có công suất từ 100kW trở lên, trừ khi được bảo vệ thích đáng bằng tấm kim loại hặc các vật liệu chống cháy khác.
1.2.5. Thông gió buồng máy
Buồng máy phải được thông gió đầy đủ để đảm bảo rằng khi máy móc đặt trong đó đang hoạt động đủ công suất, phải có khả năng duy trì việc cấp đầy đủ không khí cho buòng máy để đảm bảo an toàn và thoải mái cho con người, cho sự hoạt động của máy móc và để ngăn ngừa sự tích tụ của các khí dễ cháy.
1.2.6. Thông tin liên lạc giữa buồng lái và buồng máy
Việc thông tin liên lạc giữa buồng lái với buồng máy phải được đảm bảo bằng phương tiện để truyền lệnh từ buồng lái xuống buồng máy. Đối với tàu chở từ 50 khách trở lên mà buồng lái và buồng máy của tàu cách biệt nhau thì phải có ống nói để làm phương tiện truyền lệnh bổ xung.
1.3. Thử nghiệm
1.3.1. Thử tại xưởng
1.3.1.1. Trước khi lắp đặt lên tàu, máy và thiết bị phải được kiểm và thử tại xưởng.
1.3.1.2. Hệ trục chân vịt
Các ống bao trục, các áo bọc trục chân vịt của các tàu có máy chính với công suất từ 76,3kW trở lên phải đựơc thử thuỷ lực như sau:
(1) Ống bao trục: 0,2 Mpa
(2) Áo trục chân vịt: 0,1 Mpa
1.3.1.3. Các bình chịu áp lực
Các bình chịu áp lực phải có giấy chứng nhận hợp lệ, nếu không có giấy chứng nhận hợp lệ hoặc không có hồ sơ thì phải tiến hành kiểm tra bên trong hoặc thử thuỷ lực với áp suất thử như sau:
(1) Đối với bình có áp suất thiết kế lớn hơn 0,1MPa nhưng nhỏ hơn 0,3MPa thì phải thử với áp suất bằng 2 lần áp suất thiết kế hoặc 0,2MPa lấy giá trị nào lớn hơn. Nếu không biết áp suất thiết kế thì phải lấy áp suất khởi động quy định lớn nhất của động cơ làm áp suất thiết kế.
(2). Đối với bình có áp suất thiết kế lớn hơn hoặ bằng 0,3MPa thì phải áp suất bằng 1,5 lấn suất ấp suất thiết kế. Nếu không biết áp suât thiết kế thì phải lấy áp suất khởi động quy định lớn nhất của động cơ làm áp suât thiết kế.
1.3.2. Thử nghiệm sau khi lắp đặt trên tàu
Sau khi lắp đặt trên tàu, phải tiến hành các thử nghiệm sau đây đối với tàu lắp máy có công suất từ 73,6kW trở lên:
1.3.2.1. Tiến hành thử các thiết bị vượt tốc, thiết bị dừng máy khẩn cấp.
1.3.2.2. Thử dầu rò rỉ ở áp suất làm việc cho các thiết bị làm kín ống bao trục.
1.3.2.3. Đối với các hệ thống nhiên liệu, phải thử rò rỉ với áp suất bằng 1,5 lần áp suất thiết kế hoặc 0,4MPa lấy giá trị nào lớn hơn.
1.3.3. Miễn thử
Nếu hệ thống máy có công suất từ 73,6kW trở lên đã có giấy chứng nhận thử nghiệm được Đăng kiểm cho là thoả đáng thì từng phần hoặc toàn bộ công việc thử nghiệm máy móc quy định ở 1.3.1 có thể được bỏ qua.
Chương 2.
ĐỘNG CƠ ĐỐT TRONG
2.1. Quy định chung
2.1.1. Phạm vi áp dụng
Các yêu cầu đưa ra trong Chương này áp dụng cho các động cơ Diesel được dùng làm máy chính hoặc được dùng làm động cơ lai máy phát điện và máy phụ trừ các máy phụ chuyên dùng.
2.2. Vật liệu, kết cấu và độ bền
2.2.1. Vật liệu
Vật liệu dùng để chế tạo các bộ phân chính của các động cơ đốt trong và việc thử nghiệm không phá huỷ các vật liệu này phải tuân theo những quy định ở Phần 3 của Quy phạm phân cấp và đóng phương tiện thủy nội địa (TCVN5801:2005).
2.2.2. Kết cấu
Nếu các bộ phận chính của động cơ đốt trong có kết cấu hàn thì chúng phải thoả mãn các yêu cầu quy định ở Phần 3 của Quy phạm phân cấp và đóng phương tiện thủy nội địa (TCVN 5801:2005).
2.2.3. Độ bền
Trục khuỷ của động cơ phải thoả mãn các yêu cầu ở Phần 3 của Quy phạm phân cấp và đóng phương tiện thủy nội địa (TCVN 5801:2005).
2.3. Thiết bị an toàn
2.3.1. Bộ điều tốc và thiết bị bảo vệ vượt tốc
Động cơ đi-ê-zen dùng làm máy chính trên tàu phải được trang bị bộ điều tốc sao cho có thể điều chỉnh được để ngăn ngừa sự vượt tốc quá 15% so với số vòng quay liên tục lớn nhất.
2.3.2. Đề phong nổ thùng trục
Các động cơ phải thoả mãn những yêu cầu ở Phần 3 của Quy định phân cấp và đóng phương tiện thuỷ nội địa (TCVN5801:2005) để đề phòng nổ thùng trục.
2.3.3. Van xả áp của các xi lanh
Phải trang bị cho từng xi lanh của các động cơ Đi-ê-zen có đường kính lớn hơn 230 mm van xả áp để đề phòng áp suất cháy tăng quá 40% áp suất cháy ở công suất liên tục lớn nhất, van xả áp phải được bố trí để khi xả không gây nguy hiểm cho người vận hành. Các van xả có thể được thay bằng các thiết bị cảnh báo có hiệu quả đối với việc quá áp trong từng xi lanh.
2.3.4. Thiết bị dừng động cơ khẩn cấp
Phải trang bị ít nhất một phương tiện dừng động cơ độc lập để dừng động cơ nhanh chóng trong bất kỳ điều kiện khai thác nào.
2.4. Các trang thiết bị liên quan
2.4.1. Thiết bị khởi động
2.4.1.1. Đường ống khí khởi động chính phải được bảo vệ chống lại sự nổ do cháy ngược từ các xi lanh theo yêu cầu ở Phần 3 của Quy phạm phân cấp và đóng phương tiện thủy nội địa (TCVN 5801:2005).
2.4.1.2. Nếu các động cơ chính được khởi động bằng khí nén thì phải trang bị các bình chứa khí khởi động. Những bình chứa khí này phải được nối lại để sẵn sàng sử dụng. Tổng dung tích của các bình chứa khí khởi động phải đủ để khởi động mà không phải bổ sung thêm với số lần khởi động không được ít hơn 6 lần liên tục đối với động cơ chính không tự đảo chiều được.
Hệ thống khí nén khởi động phải thoả mãn thêm các yêu cầu của Phần 3 của Quy phạm phân cấp và đóng phương tiện thủy nội địa (TCVN5801:2005) .
2.4.1.3. Đối với các máy chính được khởi động bằng điện thì phải trang bị các ắc quy đảm bảo số lần khởi động 6 lần liên tục mà không phải nạp bổ sung.
2.4.1.4. Khởi động bằng tay
Nếu động cơ được khởi động bằng tay thì cần khởi động phải được thiết kế sao cho có thể rời ngay lập tức khi động cơ đã được khởi động.
2.4.2. Thiết bị nhiên liệu
Các đường ống dầu đốt cao áp của các động cơ phải được che chắn đầy đủ và được kẹp chặt để đảm bảo sao cho ngăn ngừa dầu đốt khoặc lớp nhiên liệu phun thành sương tiếp cận được với nguồn đánh lửa trên động cơ hoặc xung quanh chúng.
2.4.3. Hệ thống đánh tia lửa điện
2.4.3.1. Các động cơ có thiết bị đánh tia lửa điện phải được trang bị thiết bị tiếp đất.
2.4.3.2. Các cáp của thiết bị đánh tia lửa điện phải có độ cách điện tốt và phải được đặt sao cho không bị hư hỏng và không được tiếp xúc với các loại dầu dễ cháy khác kể cả tiếp xúc với các két và các ống của chúng.
2.4.3.3. Các dây cáp của thiết bị phân phối của thiết bị đánh tia lửa điện phải được đặt ở những nơi không có sự rò rỉ các khí dễ cháy hoặc phải có kết cấu được bảo vệ khỏi các khí như thế.
2.4.4. Thiết bị khí xả
2.4.4.1. Phải đặt các đường ống khí xả sao cho thân tàu không bị ảnh hưởng của nhiệt.
2.4.4.2. Nếu đường ống khí xả được dẫn qua mạn tàu thì ở chỗ đường ống khí xả xuyên qua mạn tàu phải có biện pháp bảo vệ thích hợp tránh cho vỏ tàu bị ảnh hưởng của nhiệt độ cao
2.4.4.3. Các đường hở của các đường ống khí xả phải được đặt ở những nơi mà không khí đi vào không bị chộn lẫn với khí xả.
2.5. Lắp đặt máy
2.5.1. Quy định chung
2.5.1.1. Việc bố trí các máy móc, trang thiết bị, đường ống phải đảm bảo có lối đi lại dễ dàng để vận hành, bảo quảm, bảo dưỡng khi có sự cố.
2.5.1.2. Đối với những tàu thuyền có bố trí riêng biệt buồng máy, phải có lối ra vào buồng may bằng một cầu thang chắc chắn.
2.5.1.3. Việc lắp đặt đông cơ đốt trong có công suất từ 37kW trở lên tàu phải đảm bảo thoả mãn các yêu cầu (1) và (2) dưới đây
(1) Các động cơ phải được đặt trên bệ máy bằng thép có đủ độ bền và độ cứng vững qua các xà dọc đáy.
(2) Nếu đặt các động cơ có các lực quán tính không cân bằng lớn hoặc mô men hoặc có các lực kích động lớn do phía đẩy của bít tông gây ra thì bệ máy phải có đủ chiều dài và phải được nối với nhau về cả 2 phía hoặc được kết hợp lại trong một kết cấu.
2.5.2. Lắp đặt máy bằng bệ gỗ
2.5.2.1. Nếu bề mặt thân tàu trong khu vực bệ máy không được bảo vệ đầy đủ chống lại dầu, thì phải đặt các khay hứng dưới các bộ phận của đông cơ hoặc hộp giảm tốc và những chỗ có thể rò rỉ nguyên liệu hoặc dầu bôi trơn, đồng thời phải có phương tiện lấy nguyên liệu hoặc dầu bôi trơn rò ri ra hoặc dẫn vào két chứa dầu bẩn.
2.5.2.2. Phải có các tấm thép hoặc vật liệu thích hợp khác ở khu vực chân động cơ
Chương 3.
THIẾT BỊ TRUYỀN ĐỘNG
3.1. Quy định chung
3.11. Phạm vi áp dụng
Các yêu cầu đưa ra trong Chương này áp dụng cho các thiết bị truyền động từ động cơ chính, động cơ dẫn động các máy phát điện và các máy phụ trừ máy phụ chuyên dùng.
3.2. Vật liệu, kết cấu và độ bền
3.2.1. Vật liệu
Vật liệu dùng chế tạo các bộ phận chính của các bộ truyền động và việc thử không phá huỷ chúng phải tuân theo các quy định ở Phần 3 của Quy phạm phân cấp và đóng phương tiện thủy nội địa (TCVN 5801:2005).
3.2.2. Kết cấu
Nếu các bộ phận chính của thiết bị truyền động có kết cấu hàn thì chúng phải thoả mãn các yêu cầu quy đỉnh ở Phần 3 của Quy phạm phân cấp và đóng phương tiện thủy nội địa (TCVN 5801:2005).
3.2.3. Độ bền của các bánh răng
3.2.3.1. Nếu vành răng được ép nóng lên may-ơ thì vành răng phải có độ dày sao cho đảm bảo được độ bền cần thiết và phảo có đủ độ căng cho phép để chịu được công suất truyền qua. Nếu việc lắp căng được tiến hành sau khi cắt răng thì kết cấu phải sao cho đảm bảo độ chính xác của răng hoặc phải tiến hành gia công tinh các răng sau khi lắp ráp với may-ơ.
3.2.3.2. Nếu các bánh răng có kết cấu hàn thì chúng phải có đủ độ cứng và phải được khử ứng suất trước khi cắt răng.
3.2.3.3. Các bánh răng không được có trọng lượng không cân bằng có hại
3.2.3.4. Độ bền của hệ thống bánh răng phải thoả mãn các yêu cầu quy định ở Phần 3 của Quy phạm phân cấp và đóng phương tiện thủy nội địa (TCVN5801:2005).
3.2.3.5. Hộp bánh răng phải có độ cứng và kết cấu của nó sao cho phải thuận tiện cho việc kiểm tra và bảo dưỡng.
3.2.4. Độ bền chung của thiết bị truyền động không phải là bánh răng (các khớp nối mềm, các li hợp)
Các thiết bị truyền động không phải là các bánh răng phải được đăng kiểm xét duyệt về kết cấu, vật liệu , sự hoạt động an toàn, độ tin cậy và có đủ độ bền chịu được công suất truyền qua.
3.3. Thiết bị bôi trơn
Phải trang bị bộ lọc từ cho hệ thống bôi trơn các bánh răng nếu thực tế có thể thực hiện được.
Chương 4.
HỆ TRỤC VÀ CHÂN VỊT
4.1. Hệ trục
4.1.1. Phạm vi áp dụng
Các yêu cầu đưa ra trong Chương này áp dụng cho hệ trục chân vịt, hệ trục truyền công suất từ máy dẫn động đến máy phát điện và máy phụ trừ các máy phụ chuyên dùng.
4.1.2. Vật liệu, kết cấu và độ bền
4.1.2.1. Vật liệu để chế tạo các bộ phận chính của hệ trục được nói với động cơ có công suất từ 37kW trở lên và việc thử không phá huỷ chúng phải tuân theo các yêu cầu có liên quan quy định ở Phần 3 của Quy phạm phân cấp và đóng phương tiện thủy nội địa (TCVN 5801:2005).
4.1.2.2. Kích thước của các trục như quy định ở 4.1.2.1 trên đây và các bu lông khớp nối trục phải thoả mãn các yêu cầu được quy định đưới đây:

Trong đó:
ds: Đường kính trục chân vịt (mm);
H: Công suất liên tục lớn nhất của động cơ(kW);
N: Số vòng quay của trục ở công suất liên tục lớn nhất (v/ph);
k: Hệ số = 95
4.1.2.3. Trục các đăng
(1) Đường kính trục các đăng không được nhỏ hơn đường kính trục trung gian tính theo công thức ở Phần 3 của Quy phạm phân cấp và đóng phương tiện thủy nội địa (TCVN5801:2005).
(2) Tỷ số giữa đường kính trong và đường kính ngoài của trục các đăng không được lớn hơn 0,7.
4.1.2.4. Mặt bích của khớp nối trục các đăng phải thoả mãn các yêu cầu sau:
(1) Chiều dày của bích khớp nối đo tại khu vực đường tâm bu lông khớp nối không được nhỏ hơn đường kính bu lông khớp nối quy định ở Phần 3 của Quy phạm phân cấp và đóng phương tiện thủy nội địa (TCVN5801:2005).
(2) Góc lượn của bích khớp nối phải có bán kính lượn ít nhất không nhỏ hơn trị số quy đinh ở Phần 3 của Quy phạm phân cấp và phương tiện thuỷ nội địa (TCVN5801:2005).
4.1.2.5. Đối với các trục được chế tạo bằng các vật liệu có các dặc tính như quy định ở Bảng 21 dưới đây thì đường kính trục chân vịt được xác định theo công thức:

Trong đó:
ds: Đường kính trục chân vịt(mm);
H: Công suất liên tục lớn nhất của động cơ(kW);
N: Số vòng quay của trục ở công suất liên tục lớn nhất (v/ph); K: Hệ số quy định trong Bảng 21;
4.1.3. Bảo vệ các trục chân vịt khỏi sự ăn mòn
4.1.3.1. Các trục chân vịt được quy định như ở 4.1.2 phải được bảo vệ có hiệu quả chống lại sự ăn mòn của nước sông hoặc dược chế tạo bằng vật liệu chịu được sự ăn mòn của nước sông.
4.1.3.2. Phải có phương tiện có hiệu quả để ngăn ngừa nước sông xâm nhập vào phần trục nằm giữa áo bọc trục phía sau hoặc phía sau của bạc trong ống bao phía sau và may-ơ chân vịt.
4.1.3.3. Các khoảng trống giữa mũ chân vịt hoặc củ chân vịt và trục chân vịt phải được nạp đầy chất bôi trơn hoặc có phương tiện hữu hiệu chống lại sự ăn mòn của nước sông.
4.1.4. Áo bọc trục chân vịt
4.1.4.1. Áo bọc trục lắp trên các trục chân vịt phải thoả mãn các yêu cầu quy định ở Phần 3 của “Quy phạm phân cấp và đóng phương tiện thủy nội địa (TCVN5801:2005)” .
4.1.4.2. Các áo bọc trục phải làm bằng đồng thanh hoặc vật liệu tương đương và phải không bị rỗ hoặc có các khuyết tật khác.
4.1.4.3. Các áo bọc trục phải được lắp lên trục bằng phương pháp sao cho không gây nên sự tập trung ứng suất.
4.1.5. Cố định chân vịt
Nếu chân vịt được lắp lên trục không dùng then, thì phần lắp ghép phải có đủ độ bền để chịu được mômen xoắn truyền qua.
Nếu dùng then để lắp chân vịt lên trục thì phải có góc lượn lớn ở góc rãnh then.Then phải được lắp chính xác lên rãnh. Phần phía trước của rãnh then chân vịt phải được lượn tròn từ từ để tránh sự tập trung ứng suất quá lớn.
Bảng 21 Giá trị của hệ số k
| Vật liệu | Thành phần hoá học % | Giới hạn chảy Re min (N/mm2) | Giới hạn bền Rmin (N/mm2 | K |
| Thép cácbon và thép cácbon măng gan | C:0,16-0,25 Si≤0,45 S≤0,04 P≤0,04 | 200 | 400 | 113.7 |
| Thép không gỉ Austenit (loại 316) | C≤0,08 Mn≤2,0 Si≤1,0 Cr:16,0-18,0 Ni:11,0-13,0 Mo:2,0-3,0 | 175 | 470 | 93.9 |
| Thép không gỉ Mactenxit (loại 431) | C≤0,20 Mn:1,0 Si:0,8 Cr:15,0-18,0 Ni:2,0-3,0 | 675 | 850 | 84.8 |
| Đồng măng gan | Cu:52-62 Pb≤0,5 Mn≤2,0 Fe≤1,20 Zn: Còn lại | 245 | 510 | 83.1 |
| Đồng nhôm-Niken | Ni:4,0-6,0 Al:7,0-11,0 Mn≤2,0 Fe:2,0-6,0 Cu: còn lại | 390 | 740 | 76.7 |
| Hợp kim đồng – Niken(Monel K400) | Ni:63-68 Mn≤2,0 Fe≤3,0 C ≤0,3 Cu: Còn lại | 350 | 550 | 76.7 |
| Hợp kim đồng- niken (Model K500) | Ni: 63-70 Al:2,0-4,0 Mn≤1,5 Fe≤2,0 C ≤0,25 Cu : còn lại | 690 | 960 | 64.1 |
4.1.6. Bạc trục trong ống bao và trong giá chữ chân
Bạc sau ống bao hoặc trong giá chữ chân chịu trọng lượng của chân vịt của tàu mà máy chính có công suất từ 73,6 kW trở lên phải thoả mãn các yêu cầu ở Phần 3 của Quy phạm phân cấp và đóng phương tiện thủy nội địa (TCVN5801:2005).
4.1.7. Giá đỡ trục chân vịt
4.1.3.1. Chiều dài của giá đỡ không được nhỏ hơn 4 lần đường kính thực của trục chân vịt. Chiều dày của giá đỡ không được nhỏ hơn một phần tư đường kính thực của trục chân vịt.
4.1.3.2. Giá đỡ hình chữ “V” bằng thép các bon
(1) Chiều rộng
Chiều rộng của từng chân (càng) không được nhỏ hơn giá trị nhận được từ công thức:
W=2,27d
Trong đó:
W: Chiều rộng theo hướng chính (mm)
d: Đường kính trục chân vịt (mm) được tính theo công thức quy định 4.1.2 cho vật liệu có giớ hạn bền là 400N/mm2.
(2) Chiều dày
Chiều dày của chân không được nhỏ hơn giá trị nhận được từ công thức sau:
T=0,35d
Trong đó:
T: Chiều dày chân theo hướng phụ (mm)
d: Đường kính trục chân vịt được tính theo công thức quy định ở 4.1.2 cho vật liệu có giới hạn bền là 400N/mm.
Nếu góc kẹp giữa các chân nhỏ hơn 45o thì Đăng kiểm sẽ xem xét riêng kích thước của giá đỡ.
4.1.3.3. Giá đỡ hình chữ “I” bằng thép các bon
(1) Chiều rộng
Chiều rộng của chân (càng) không được nhỏ hơn giá trị nhận được từ công thức sau:
W=3,22 d
Trong đó:
W: Chiều rộng theo hướng chính (mm)
D: Đường kính trục chân vịt (mm) được tính theo công thức quy định ở 4.1.2 cho vật liệu có giới hạn bền là 400 N/mm2
(2) Chiều dày
Chiều dày của chân không được nhỏ hơn giá trị nhận được từ công thức sau :
(a) Nếu giá đỡ kiểu công son :
t=0.515 d
(b) Nếu đầu thấp của giá đỡ được gắn vào gót củ :
t=0,36 d
Trong đó :
t: Chiều dày theo hướng phụ (mm)
d: Đường kính trục chân vịt (mm) tính theo công thức quy định ở 4.1.2 cho vật liệu có giới hạn bền là 400N/mm2
4.1.3.4. Giá đỡ trục chân vịt không phải là thép cácbon
Nếu vật liệu làm giá đỡ trục chân vịt không phải là thép các bon thì có thể cho phép xác định chiều dày của chân theo công thức sau:
t1=t f
Trong đó:
t1:Chiều dày của chân giá đỡ bằng vật liệu không phải là thép cácbon (mm)
t: Chiều dày của chân giá đỡ bằng thép cácbon (mm)
f: Hệ số vật liệu được tính theo công thức sau:

Ts: Giới hạn bền của vật liệu làm giá đỡ N/mm2
4.1.3.5. Chiều dài chân
Chiều dài hơn của giá đỡ chữ “V” hoặc chiều dài chân của giá đỡ chữ “I” được đo từ chu vi ngoài của củ giá đỡ đến bên ngoài tấm vỏ tàu phải không được vượt quá 10,6 lần đường kính trục chân vịt. Nếu chiều dài này lớn hơn giá trị trên thì chiều rộng và chiều dày của chân phải được tăng lên và Đăng kiểm sẽ xem xét riêng việc thiết kế giá đỡ.
4.1.3.6. Nếu giá đỡ có tiết diện rỗng thì môđun của tiết diện ít nhất phải bằng môđun của tiết diện đặc.
4.2. Chân vịt
4.2.1. Phạm vi áp dụng
Những yêu cầu ở mục này áp dụng cho các loại chân vịt của các tàu với máy chính có công suất từ 73.6 kW trở lên.
4.2.2. Vật liệu, kết cấu và độ bền
4.2.2.1. Vật liệu của chân vịt, bulông cố định cánh chân vịt biến bước và việc thử không phá huỷ vật liệu phải tuân theo những yêu cầu có liên quan quy định ở Chương 5 Phần 3 của Quy phạm phân cấp và đóng phương tiện thuỷ nội địa (TCVN 5801:2005)
4.2.2.2. Chiều dày của cánh chân vịt phải thoả mãn những yêu cầu có liên quan quy định ở Chương 5 Phần 3 của Quy phạm phân cấp và đóng phương tiện thuỷ nội địa (TCVN5801:2005).
Chương 5.
CÁC ỐNG, VAN VÀ PHỤ TÙNG ĐƯỜNG ỐNG
5.1. Quy định chung:
Trừ khi được quy định khác đi, các yêu cầu trong chương này áp dụng cho các hệ thống đường ống lắp đặt trên các tàu có máy chính với công suất từ 73.6 kW trở lên.
5.1.1. Vật liệu
5.1.1.1. Vật liệu làm ống có đồng thời áp suất thiết kế nhỏ hơn 1MPa và nhiệt độ thiết kế từ 230o C trở xuống có thể theo các tiêu chuẩn mà Đăng kiểm cho là thoả đáng để dùng cho các ống.
5.1.1.2. Cho phép sử dụng các ống chất dẻo để làm
(1) Các ống hút khô của các khoang nhỏ như hầm xích neo được hút khô bằng bơm tay;
(2) Các ống dẫn nước đi bên trong các két nước;
(3) Các ống đo mực nước;
(4) Các ống thoát nước, ống nước vệ sinh, ống thông gió nằm cao hơn boong vách.
5.1.1.3. Trong những trường hợp khác, việc sử dụng đường ống bằng chất dẻo sẽ được Đăng kiểm xét riêng.
5.2. Chiều dày ống
5.2.1. Chiều dày tối thiểu của ống kim loại
5.2.1.1. Nói chung, chiều dày của thành ống kim loại không được nhỏ hơn các giá trị quy định trong Bảng 22 đối với các ống bằng đồng và hợp kim đồng v.v… và Bảng 23 đối với các ống thép và ống nhôm.
5.2.1.2. Không yêu cầu có lượng dung sai âm hoặc lượng bù thêm cho thành ống bị giảm đi khi uốn.
5.2.2. Chiều dày tối thiểu của ống chất dẻo
Chiều dày tối thiểu của ống chất dẻo sẽ được Đăng kiểm xem xét trong từng trường hợp cụ thể.
Bảng 22 Chiều dày tối thiểu của thành ống bằng đống và hợp kim đồng, ti tan và thép không rỉ
| Đường kính ngoài D (mm) | Chiều dày tối thiểu (mm) (1) | |
| Đồng | Hợp kim đồng, thép không rỉ | |
| D ≤10 | 1,0 | 0,8 |
| 10<D≤20 | 1,2 | 1,0 |
| 20<D≤44,5 | 1,5 | 1,2 |
| 44,5<D≤76,1 | 2,0 | 1,5 |
| 76,1<D≤108 | 2,5 | 2,0 |
Chú thích:
Chiều dày thành ống của hệ thống điều khiển từ xa các van đi qua các két dằn không được nhỏ hơn 3mm đối với ống đồng-nhôm và 2mm đối với ống đồng-niken và ống thép không rỉ.
Bảng 23 Chiều dày tối thiểu của thành ống bằng thép và nhôm
| Đường kính ngoài D(mm) | Chiều dày tối thiểu (mm) (1),(2) |
| 10,2 đến 12,0 | 1,6 |
| 13,5 đến 17,2 | 1,8 |
| 20,0 | 2,0 |
| 21,3 đến 25 | 2,0 |
| 26,9 đến 33,7 | 2,0 |
| 38,0 đến 44,5 | 2,0 |
| 48,3 | 2,3 |
| 51,0 đến 63,5 | 2,3 |
| 70,0 | 2,6 |
Chú thích:
(1) Đối với các ống được bảo vệ chống ăn mòn có hiệu quả thì chiều dày có thể giảm đi một lượng không quá 0,5mm.
(2) Đối với các ống có ren, nếu được phép thì chiều dày tối thiểu phải được đo tại chân ren.
Chương 6.
CÁC HỆ THỐNG ĐƯỜNG ỐNG
6.1. Quy định chung
6.1.1. Quy định chung
Trừ khi được quy định khác đi, các yêu cầu trong chương này áp dụng cho các hệ thống lắp đặt trên các tàu.
6.1.2. Đường ống
6.1.2.1. Các hệ thống đường ống phải thoả mãn các yêu cầu có liên quan quy định ở và Phần 3 của Quy phạm phân cấp và đóng phương tiện thuỷ nội địa (TCVN5801:2005).
6.1.2.2. Việc xuyên ống qua boong, vách phải thoả mãn các yêu cầu quy định ở Phần 3 của Quy phạm phân cấp và đóng phương tiện thủy nội địa (TCVN5801:2005).
6.2 Van hút nước sông và van xả mạn
6.2.1. Vị trí và kết cấu
6.2.1.1. Cửa nước sông vào và các ống xả mạn phải được nối với các van hoặc các rô bi nê.
6.2.1.2. Các tay điều khiển các van hút nước sông phải được nâng cao lên trên sàn của buồng máy nơi chúng có thể dễ dàng thao tác.
6.2.2. Cửa thông sông
Các cửa thông sông phải có kết cấu bền vững và không tạo thành túi khí.
6.2.3. Lưới lọc của miệng hút nước sông
Phải đặt các lưới lọc ở chỗ lấy nước sông vào. Diện tích thông có ích của lưới lọc không được nhỏ hơn 2 lần tổng diện tích lối vào của các van hút nước sông.
6.3. Hệ thống hút khô
6.3.1. Quy định chung
Các đường ống hút khô phải thoả mãn những yêu cầu có liên quan quy định ở Phần 3 của Quy phạm phân cấp và đóng phương tiện thủy nội địa (TCVN5801:2005).
6.3.2. Hệ thống hút khô
6.3.2.1. Tất cả mọi tàu phải được trang bị hệ thống hút khô có khả năng hút khô các khoang kín nước bất kì trên tàu.
6.3.2.2. Khoang kín nước có thể tích nhỏ hơn 7% tổng thể tích dưới boong có thể được xả khô vào khoang kề cận bằng van tự đóng. Van tự đóng này phải được bố trí bên ngoài khoang được xả khô và có thể thao tác được từ vị trí dễ tiếp cận.
6.3.2.3. Số lượng và sản lượng của các bơm hút khô.
(1). Tất cả các tàu phải được trang bị các bơm hút khô với số lượng và sản lượng như yêu cầu có liên quan ở Phần 3 của Quy phạm phân cấp và đóng phương tiện thủy nội địa (TCVN5801:2005).
(2). Bơm hút khô phải là kiểu tự hút hoặc phải lắp thiết bị hút không khí cho hệ thống.
6.3.2.4. Đường kính trong của ống hút khô của các tàu có công suất máy chính dưới 73.6 kW có thể được xác định theo công thức sau:

Trong đó:
d: là đường kính trong ống hút khô, mm
L: là chiều dài tàu, m
6.3.2.5. Đường kính trong của ống hút khô của các tàu phải được xác định theo công thức tương ứng ở Phần 3 của Quy phạm phân cấp và đóng phương tiện thuỷ nội địa (TCVN5801:2005).
6.4. Ống thông hơi
Các ống thông hơi phải thoả mãn các yêu cầu có liên quan quy định ở Phần 3 của Quy phạm phân cấp và đóng phương tiện thủy nội địa (TCVN5801:2005).
6.5. Ống đo
6.5.1. Quy định chung
Phải trang bị các ống đo hoặc thiết bị chỉ báo mức chất lỏng cho các két, các khoang cách li hoặc những vùng khó tiếp cận.
6.5.2. Các đầu trên của các ống đo
6.5.2.1. Các ống đo phải được dẫn ra các chỗ ở trên boong vách với độ cao có thể tiếp cận được
6.5.2.2. Các đầu cuối phía trên của các ống đo dùng cho các két nhiên liệu, không được liền kề với thiết bị điện hoặc các bề mặt bị nung nóng khác.
6.6. Hệ thống nhiên liệu
6.6.1. Quy định chung
6.6.1.1. Hệ thống nhiên liệu trong buồng máy phải được xem xét cẩn thận để có thể bảo dưỡng hoặc kiểm tra dễ dàng. Phải chú ý ngăn ngừa dò lọt dầu sao cho không gây nên cháy.
6.6.1.2. Các van, các rô bi nê và các phụ tùng khác đặt trên các két nhiên liệu phải được bố trí ở những chỗ an toàn hoặc được bảo vệ tránh được hư hỏng từ phía ngoài.
6.7. Hệ thống làm mát
6.7.1. Quy định chung
6.7.1.1. Phải có thiết bị để cung cấp nước sông làm mát từ các van hút nước sông đặt trên hai cửa thông sông hoặc miệng hút nước sông trở lên.
6.7.1.2. Nếu nước sông được dùng để làm mát trực tiếp máy chính thì phải trang bị bầu lọc được bố trí giữa van hút nước sông và bơm nước làm mát. Các bầu lọc phải có khả năng vệ sinh mà không dừng việc cấp nước làm mát đã được lọc cho các động cơ.
6.8. Hệ thống khí nén
Các hệ thống khí nén phải thoả mãn các yêu cầu có liên quan quy định Phần 3 của Quy phạm phân cấp và đóng phương tiện thủy nội địa (TCVN5801:2005).
6.9. Đường ống khí xả
Việc bố trí các đường ống khí xả phải thoả mãn các yêu cầu quy định ở Phần 3 của Quy phạm phân cấp và đóng phương tiện thủy nội địa (TCVN5801:2005).
6.10. Thông gió
Việc thông gió tự nhiên hay nhân tạo đều phải đảm bảo đủ không khí cần thiết cho động cơ làm việc trong cả điều kiện thời tiết xấu và phải thải được không khí của các phần dưới mặt boong, dưới sàn buồng máy và những chỗ có thể đọng các khí nặng hơn không khí ra ngoài.
Chương 7.
BÌNH CHỊU ÁP LỰC
7.1. Quy định chung
Những quy định trong Chương này áp dụng cho các bình chịu áp lực
7.2. Các bình chịu áp lực
Các bình chịu áp lực phải thoả mãn các yêu cầu quy định có liên quan ở Phần 3 của Quy phạm phân cấp và đóng phương tiện thủy nội địa (TCVN5801:2005).
Phần 6.
TRANG BỊ ĐIỆN
Chương 1.
QUY ĐỊNH CHUNG
1.1. Quy định chung
1.1.1. Phạm vi áp dụng
1.1.1.1. Phần này quy định các yêu cầu chung đối với thiết bị điện và cáp điện sử dụng trên tàu gỗ và được áp dụng cho cả thiết bị điện một chiều và xoay chiều.
1.1.1.2. Thiết bị điện phải là loại đã được duyệt hoặc có giấy chứng nhận của cơ sở sản xuất chứng tỏ rằng nó được sản xuất để dùng cho tàu thuỷ. Việc sử dụng các thiết bị điện chuyên dùng trong công nghiệp sẽ được Đăng kiểm xem xét riêng trong từng trường hợp.
1.2. Bố trí thiết bị điện
1.2.1. Thiết bị điện phải được bố trí ở vị trí dễ tới gần, tránh xa các vật liệu dễ cháy, trong vùng được thông gió tốt, được chiếu sáng đủ, không có nguy cơ bị hư hỏng va chạm cơ khí. Nếu như điều này không thể thực hiện được thì thiết bị điện phải có kết cấu thích hợp hoặc phải được làm kín, khi cần có thể che chắn tốt phần mạng điện.
1.2.2. Không cho phép đặt thiết bị điện trực tiếp vào kết cấu gỗ, trừ thiết bị chiếu sáng ở trong buồng ở hoặc buồng khô dáo.
1.2.3. Tất cả thiết bị điện phải được bố trí sao cho thuận tiện thao tác, bảo dưỡng và trong điều kiện khai thác bình thường con người không bị điện giật do vô tình chạm vào.
1.2.4. Các vật liệu cách điện và các cuộn dây cách điện phải chống được sự kéo, hơi ẩm, không khí biển và hơi dầu, trừ khi chúng được bảo vệ đặc biệt.
1.2.5. Khi đã ngắt mạch công tắc điều khiển thì không được phép có dòng điện chạy qua mạch điều khiển hoặc các đèn hiệu.
1.2.6. Thiết bị điện phải làm việc tốt ngay cả khi tàu bị lắc và bị chấn động mạnh.
1.2.7. Tất cả các ecu và vít dùng để nối các phẩn mạng điện phải được hãm chắc chắn, không có khả năng tự nới lỏng.
1.2.8. Các dây dẫn và thiết bị điện phải được đặt cách xa la bàn từ, hoặc được bố trí sao cho từ trường nhiễu gây ra là không đáng kể.
Chương 2.
THIẾT BỊ ĐIỆN VÀ THIẾT KẾ HỆ THỐNG
2.1. Quy định chung
2.1.1. Phân phối điện
2.1.1.1. Chỉ cho phép sử dụng các hệ thống phân phối sau đây:
(1) Một chiều hai dây cách điện
(2) Xoay chiều một pha hai dây cách điện
(3) Xoay chiều ba pha ba dây cách điện
(4) Xoay chiều ba pha bốn dây cách điện
2.1.1.2. Điện áp được phép dùng: chỉ cho phép sử dụng điện áp và tần số như nếu dưới đây:
(1) Điện áp không quá 400V hoặc 440V, 60Hz đối với máy phát điện và hệ động lực
(2) ĐIện áp không qua 250V đối với hệ thống chiếu sáng, lò sưởI trong buồng ở và các hệ thống khác
(3) Điện áp không quá 50V đối với đèn di động
(4) Tần số 50 Hz hoặc 60Hz được coi là tần số tiêu chuẩn
2.1.1.3. Cung cấp điện cho các thiết bị hệ thống
(1) Các thiết bị, hệ thống điện quan trọng phải được cấp điện trực tiếp từ bảng điện chính (bao gồm các thiết bị và hệ thống cần cho hành trình và an toàn của tàu). Các thiết bị và hệ thống còn lại có thể được cấp theo nhóm hoặc ở nối.
(2) Nếu có thiết bị lái dùng điện thì nó phải được cấp điện bằng 2 đường dây được đặt càng xa nhau càng tốt theo chiều ngang cũng như theo chiều thẳng đứng thân tàu.
(3) Bảng điện hàng hải chính phải được cấp điện bằng 2 đường dây, một từ bảng điện chính, một từ bảng điện gần nhất. Từ bảng điện đến các đèn phải có đường dây riêng biệt. Nếu đèn hàng hải chính dùng điện ắc quy, thì không cần có đèn dự phòng.
(4) Các bảng điện chiếu sáng phải được cấp điện bằng đường dây riêng biệt. Cho phép đặt các ổ cắm điện trên đường dây chiếu sáng, với điều kiện khi xét cả ổ cắm và đèn hoạt động đồng thời thì dòng điện nhánh cuối không quá 10A và không gây rải dây dẫn.
2.1.2. Kết cấu thiết bị điện
2.1.2.1. Các bộ phận thường thay thế trong thời gian sử dụng phải tháo được dễ dàng. Các bộ phận này phải được thiết kế sao cho khi thay thế các chi tiết hư hỏng thì không cần phải tháo các chi tiết khác và không cần phải dùng các đồ nghề chuyên dùng.
2.1.2.2. Nếu dùng vít chuyên dụng thì phải có biện pháp không để vít tự xoáy ra. Ở các vị trí mà ốc vít thường xuyên phải tháo thì phải có biện pháp loại trừ khả năng mất chúng.
2.1.2.3. Các phần đệm kín của thiết bị điện (nắp, các lỗ kiểm tra) phải được bảo vệ tương tự như việc bảo vệ vỏ của thiết bị. Đệm chèn kín phải được bắt chặt với nắp hoặc vỏ hộp.
2.1.2.4. Các thiết bị điện mà bên trong có thể tạo ra những chỗ gây tích tụ hơi (dầu, nước) thì phải có biện pháp để dẫn hơi tích tụ ra theo đường riêng. Các cuộn dây, các bộ phận dẫn điện phải được bảo vệ khỏi bị tác động của hơi tích tụ trong thiết bị.
2.1.2.5. Thiết bị điện được thông gió cưỡng bức đặt ở trong buồng có độ ẩm cao phải có hệ thống thông gió sao cho hơi ẩm và hơi dầu không bị hút vào bên trong của thiết bị điện.
2.1.3. Bảo vệ tránh điện giật
2.1.3.1. Vỏ kim loại của thiết bị điện làm việc ở điện áp cao hơn điện áp an toàn mà không được cách điện tăng cường hay cách điện kép thì phải được nối đất. Việc nối đất được biểu thị bằng dấu hiệu ┴.
2.1.3.2. Các phần kim loại không có điện của thiết bị điện mà trong quá trình vận hành con ngườI có thể chạm vào và khi lớp cách điện bị hỏng có thể trở thành có điện phải được nối đất tin cậy với dấu nối đất ┴.
2.1.3.3. Kết cấu thiết bị điện phải phù hợp với công dụng; kiểu; điều kiện làm việc của thiết bị và phải loạI trừ được khả năng người đụng chạm vào các phần có điện.
2.1.3.4. Vỏ hộp, tủ và nắp để ngăn cản không cho người không có trách nhiệm lại gần các phần có điện và thông thường không cần mở ra khi vận hành phải có kết cấu sao cho chỉ có thể mở được chúng bằng đồ nghề chuyên dụng.
2.1.4. Điều kiện làm việc của thiết bị điện trên tàu
2.1.4.1. Thiết bị điện phải làm việc tốt khi điện áp chênh lệch so với giá trị định mức là ± 10% và tần số là ± 5% trong điều kiện độ ẩm tương đối bằng 90 ± 5% và nhiệt độ bằng 40 ± 50C.
2.1.4.2. Thiết bị điện phải làm việc tốt khi tàu nghiêng lâu dài đến 15o và chúi đến 5o và khi tàu chòng chành ngang đến 2005 và chòng chành dọc đến 10o cũng như khi bị rung động với tần số 5 ÷ 30Hz.
2.1.5. Nối đất
2.1.5.1. Tất cả các bộ phận bằng kim loại không có điện áp của các thiết bị điện nhưng trong quá trình vận hành con người có khả năng đụng chạm tới phải nối đất, trừ các trường hợp sau đây:
(1) Thiết bị điện có hai lần cách điện hoặc có cách điện tăng cường.
(2) Các thiết bị điện dùng điện áp nhỏ hơn 5V.
(3) Các bộ phận bằng kim loại của thiết bị điện được cố định trong các vật liệu cách điện hoặc xuyên qua vật liệu cách điện để cách ly với bộ phận có điện áp đã được nối đất sao cho ở điều kiện làm việc bình thường không có xuất hiện điện áp hoặc tiếp xúc với các phần nối đất.
(4) Thân của ổ đỡ được cách điện đặc biệt.
(5) Đui đèn và các bộ phận bắt chặt với đèn huỳnh quang, các bộ phận bên ngoài được bắt chặt với đui hoặc đèn được chế tạo bằng vật liệu cách điện hoặc được vặn vào các vật liệu cách điện.
(6) Các bộ phận chi tiết cố định cây cáp.
2.1.5.2. Các thiết bị điện cố định phải được nối đất bằng dây cáp riêng bên ngoài hoặc nối đất bằng lõi nối đất của cáp điện.
Tiết diện dây nối đất không được nhỏ hơn 10mm2 nếu là dây đồng hoặc 50mm2 nếu là dây thép.
Đối với các dụng cụ đo, khí cụ đo có công suất nhỏ và vỏ cáp điện dùng cho chúng thì dây nối đất bằng đồng có tiết diện tối thiểu là 1.5 mm2.
Đối với bảng điện chính và bảng điện bờ thì tiết dây dây nối đất lấy bằng 0.5 tiết diện dây cáp đi vào trong bảng điện, nhưng không lớn hơn 70 mm2 nếu là dây đồng và 700 mm2 nếu là dây thép.
Tấm tiếp đất phải được làm bằng đồng có diện tích đủ lớn và phải được đặt có định bên ngoài thân tàu tại vị trí đảm bảo luôn bị ngập nước trong mọi tư thế của tàu.
2.1.5.3. Không được đặt thiết bị ngắt mạch nối đất của thiết bị điện cố định.
2.1.5.4. Vỏ bọc ngoài và vỏ bọc kim loại của cáp điện phải được nối đất. Phải tiến hành nối đất bằng một trong những cách sau:
(1) Bằng dây đồng có tiết diện không nhỏ hơn 2.5 mm2 đối với cáp có tiết diện lõi tới 25 mm2 và không nhỏ hơn 4 mm2 đối với cáp có tiết diện lõi lớn hơn 25 mm2;
(2) Kẹp chặt lõi nối đất hoặc vỏ bọc kim loại của cáp với thân tàu bằng các vòng kẹp ôm khít chắc chắn và dẫn điện tốt;
(3) Dùng các vòng đệm cáp được chế tạo bằng vật liệu chống gỉ, dẫn điện tốt và có tính đàn hồi. Phải nối đất cả hai đầu dây cáp; Vỏ của cáp ở đầu cuối cùng thì chỉ cần nối đất ở phía cấp điện.
2.1.5.5 .Khi dùng một trong các lõi cáp để nối đất thì phải cố định nó với các phần nối đất ở bên trong vỏ của thiết bị.
2.1.5.6. Cuộn thứ cấp của biến áp đo lường, biến áp thấp áp, các thiết bị điều khiển truyền động điện đều phải được nối đất.
2.1.5.7. Vị trí nối đất phải đảm bảo dễ tiếp cận để kiểm tra và bảo quản tránh hư hỏng cơ học hoặc do han gỉ gây ra. Bề mặt chỗ nối đắt phải được đánh sạch tới ánh kim và được phủ một lớp kim loạI chống gỉ. Phải dùng vít hoặc bu lông có đường kính không nhỏ hơn 6mm để nối đất với thân tàu hay với dây dẫn nối đất.
2.1.5.8. Vỏ kim loại của dụng cụ thiết bị điện di động làm việc ở điện áp lớn hơn 24V phải được nối đất. Việc nối đất ổ cắm phải dùng một cọc cắm nối đất riêng.
2.1.5.9. Cấm dùng ống dẫn, két, bình chứa khí nén và chứa các sản phẩm dầu mỡ làm chỗ nối đất.
2.1.6. Khoảng cách cách điện
2.1.6.1. Khoảng cách giữa các phần có điện với nhau và giữa các phần có điện với kim loại nối đất qua về mặt cách điện hoặc qua không khí phải tương xứng với điện áp làm việc của chúng, có lưu ý đến bản chất của vật liệu cách điện và sự tăng điện áp tức thời do đóng mở mạch hoặc do hư hỏng.
2.1.6.2. Đối với các thanh dẫn thì khoảng cách tối thiểu giữa các pha hoặc các cực với nhau hoặc giữa các pha và các cực với đất là 16 mm.
2.1.7. Thiết bị điện trong vùng có khí dễ nổ
2.1.7.1. Thiết bị điện bắt buộc phải lắp đặt trong vùng có khí dễ nỏ thì chúng phải là loại có kiểu an toàn phòng nổ đã được duyệt, do cơ quan có thẩm quyền chứng nhận hoặc do cơ quan Đăng kiểm uỷ quyền chứng nhận.
2.1.7.2. Các công tắc và thiết bị bảo vệ triết bị điện đặt trong vùng và không gian nguy hiểm phải được lắp ở các pha hoặc các cực và được bố trí ở vùng không nguy hiểm.
2.1.7.3. Vùng và không gian nguy hiểm là những vùng và không gian có tồn tại các hợp chất khí dễ nổ hoặc dễ cháy: như buồng để ắc quy, buồng bơm dầu, khoang chứa dầu, kho sơn…
2.2. Ắc quy
2.2.1. Bố trí ắc quy
2.2.1.1. Ắc quy phải được bố trí trong các buồng được thông gió tốt, buồng được chiếu sáng bằng đèn phòng nổ hoặc chiếu sáng gián tiếp.
2.2.1.2. Tổ ắc quy có dung lượng nhỏ hơn 1000Ah cho phép đặt ở buồng máy.
2.2.1.3. Các ắc quy phải được cố định chắc chắn, không bị xê dịch khi tàu lặc hoặc chấn động.
2.2.1.4. Phải đặt riêng biệt ắc quy axit và ắc quy kiềm.
2.2.2. Nạp điện ắc quy
2.2.2.1. Mỗi tổ ắc quy phải được bố trí mạch nạp.
2.2.2.2. Các bộ ắc quy có kiểu và dung lượng khác nhau phải có thiết bị chỉnh dòng nạp.
2.2.2.3. Tổ ắc quy dùng cho thiết bị quan trọng phải đảm bảo nạp với dòng định mức không quá 8 giờ.
2.2.2.4. Trong thiết bị nạp phải có đồng hồ đo điện áp và dòng điện .
2.2.3. Khởi động điện của các động cơ đốt trong
2.2.3.1. Dung lượng của tổ ắc quy phải đảm bảo tối thiểu 8 lần khởi động kể từ lúc máy nguội, thời gian khởi động không quá 5 giây cho 1 lần khởI động.
2.2.3.2. Cho phép dùng ắc quy khởi động cấp điện cho các phụ tải với điều kiện nó phải đảm bảo số lần khởi động và thời gian cấp cho các phụ tải không ít hơn 8 giờ mà không phải nạp thêm.
2.3. Điều khiển truyền động điện các máy
2.3.1. Yêu cầu chung
2.3.1.1. Truyền động điện các máy phải có bảo vệ “O” (trừ truyền động điện các máy lái điện và điện thuỷ lực)
2.3.1.2. Nếu động cơ truyền động được khởi động trực tiếp có nguy cơ làm sụt áp trạm phát quá mức gây mất đồng bộ các thiết bị khác thì phải có biện pháp khởi động gián tiếp.
2.3.1.3. Truyền động điện quạt gió, bơm dầu phải có nút ngắt từ xa đặt trên buồng lái.
2.4. Bảo vệ các thiết bị điện
2.4.1. Bảo vệ các máy phát điện
2.4.1.1. Mỗi máy phát làm việc độc lập phải được bảo vệ:
(1) Qua tải;
(2) Ngắn mạch.
2.4.1.2. Mỗi máy phát làm việc song song phải được bảo vệ:
(1) Qua tải;
(2) Ngắn mạch;
(3) Dòng điện ngược hoặc công suất ngược.
2.4.2. Bảo vệ các động cơ điện
Các động cơ điện tối thiểu phải được bảo vệ ngắn mạch, động cơ có công suất lớn hơn 1.5KW phải có bảo vệ quá tải.
2.4.3. Bảo vệ các mạch điện
Các mạch điện phải được bảo vệ ngắn mạch
2.4.4. Bố trí thiết bị bảo vệ
Thiết bị bảo vệ phải được đặt ở tối thiểu 2 pha đối với mạch điện 3 pha hoặc 1 pha hoặc 1 cực đối với mạch điện 2 pha hoặc mạch điện 1 chiều.
2.5. Chiếu sáng
2.5.1. Yêu cầu chung
2.5.1.1. Trong các buồng và không gian dễ ẩm ướt (như buồng máy, bếp, nhà vệ sinh …) và không gian ngoài trời phải dùng các đèn có nắp chụp kín nước.
2.5.1.2. Những nơi dễ bị va chạm cơ khí phải dùng các đèn có bọc lưới thép bảo vệ.
2.5.1.3. Các đèn phải được bố trí sao cho các dây cáp và vật liệu lân cận không bị nung nóng tới quá nhiệt độ cho phép của chúng.
2.5.2. Thiết bị ngắt mạch trong chiếu sáng
2.5.2.1. Chỉ cho phép thiết bị ngắt kiểu 1 cực trong mạch chiếu sáng ở các buồng và không gian khô ráo.
2.5.2.2. Các đèn chiếu sáng ngoài tàu phải được ngắt mạch tập trung trong buồng lái.
2.5.3. Ổ cắm điện
2.5.3.1. Ổ cắm dùng cho các đèn di dộng phải được bố trí ở những nơi thích hợp như buồng máy, buồng lái…
2.5.3.2. Ổ cắm bố trí trên boong phải là loại kín nước được đặt nằm ngang hoặc quay xuống dưới.
2.5.4. Cường độ chiếu sáng
Cường độ chiếu sáng trong các buồng làm việc tối thiểu 75 LUX còn ở các vị trí khác tối thiểu là 50LUX.
2.6. Các hệ thống thông tin, báo động
2.6.1. Hệ thống báo cháy
2.6.1.1. Nên bố trí hệ thống báo cháy bằng tay trên tàu (trừ tầu dầu là bắt buộc)
2.6.1.2. Nút ấn báo cháy phải được sơn màu đỏ, tối thiểu phải được đặt ở buồng máy, boong, buồng sinh hoạt công cộng. Chuông báo cháy phải được đặt trong buồng lái và phải có đèn hiệu chỉ rõ vị trí xảy ra cháy. Nguồn cấp cho hệ thống phải đảm bảo liên tục.
2.6.2. Hệ thống công vụ
Nếu trên tàu có bố trí chuông công vụ thì các chuông báo phải có âm thanh khác với chuông báo cháy. Nút ấn chuông phải được đặt trong buồng lái. Nguồn cấp cho hệ thống phải đảm bảo liên tục.
2.7. Cáp điện
2.7.1. Yêu cầu chung
2.7.1.1. Cáp điện là loại chuyên dùng cho tàu thuỷ và được Đăng kiểm chấp nhận
2.7.1.2. Cho phép dùng dây cáp các loại khác ở những nơi khô ráo, khó xảy ra cháy. Điều này sẽ do Đăng kiểm xem xét cụ thể và quyết định.
2.7.2. Tính chọn cáp điện
Chương 3.
TRANG BỊ ĐIỆN
3.1. Nguồn điện
3.1.1. Nguồn điện chính
3.1.1.1. Số lượng và công suất của nguồn điện phải đủ để đảm bảo cho tàu hoạt động bình thường ở mọi chế độ. Nguồn điện trên tàu có thể là tổ máy phát hoặc tổ ắc quy.
3.1.1.2. Trên những tàu mà nguồn điện chính là ắc quy thì dung lượng của nó phải đủ đảm bảo cung cấp cho các phụ tải trong thời gian không ít hơn 12 giờ.
3.1.1.3. Nếu có ý định dùng nguồn điện trên bờ cấp cho tàu thì phải có hộp điện bờ, và phải đặt cáp cố định từ hộp điện bờ đến bảng điện chính.
3.1.2. Nguồn điện sự cố
3.1.2.1. Trên mỗi tàu phải có nguồn điện sự cố ắc quy độc lập, việc bố trí ắc quy sự cố phải phù hợp với 2.5.1.
3.1.2.2. Công suất nguồn điện sự cố phải đảm bảo cung cấp đủ cho các phụ tải dưới đây trong thời gian 3 giờ mà điện áp không giảm quá 10% điện áp định mức:
(1) Chiếu sáng:
- Buồng máy, buồng lái.
- Chỗ đặt phương tiện cứu sinh, dụng cụ cứu nạn, thiết bị phòng chống cháy.
- Hành lang, cầu thang trong cabin, lối thoát khỏi buồng máy.
- Buồng hành khách.
(2) Đèn tín hiệu
(3) Phương tiện liên lạc vô tuyến (nếu như không có ắc quy sự cố dành riêng cho nó).
(4) Hệ thống thông tin, báo động trên tàu. Điều này không áp dụng cho hệ thống dùng nguồn điện ắc quy.
3.1.2.3. Trên những tàu có nguồn điện chính là máy phát gắn trên động cơ chính làm việc ở chế độ đệm với ắc quy, thì có thể coi ắc quy là nguồn điện sự cố.
3.1.2.4. Trên những tàu mà nguồn điện chính là ắc quy thì có thể không cần nguồn điện sự cố nếu dung lượng của nó đảm bảo được yêu cầu 2.1.2.
3.2. Thiết bị chống sét
3.2.1. Quy định chung
3.2.1.1. Mỗi cột tàu phải được bố trí thiết bị chống sét, trừ các tàu không bố trí thuyền viên hoặc các tàu chỉ dùng để chở đất đá, khoáng sản.
3.2.1.2. Thiết bị chống sét phải bao gồm kim thu sét, dây dẫn, và tấm tiếp mát.
3.2.2. Kết cấu
3.2.2.1. Phải thực hiện chống sét bằng một trong các cách sau đây :
(1) Nếu cột tàu là kim loại có nối điện tin cậy, còn ở đỉnh cột có thiết bị điện thì phải đặt kim thu sét cao hơn thiết bị điện đặt ở đỉnh cột một khoảng không nhỏ hơn 300 mm.
(2) Nếu cột làm bằng vật liệu không dẫn điện thì phải đặt kim thu sét cao hơn thiết bị đặt ở đỉnh cột một khoảng không nhỏ hơn 300 mm. Kim thu sét phải được nối với tấm thép hoặc đồng làm “Đất” gắn ở vỏ đáy ngoài thân tàu bằng dây dẫn điện. Tấm thép hoặc đồng phải có kích thước đủ và phải được bố trí tại vị trí sao cho luôn bị ngập nước với mọi tư thế của tàu.
3.2.2.2. Đường kính kim thu sét không được nhỏ hơn 12 mm. Kim thu sét phải được làm bằng đồng đỏ, hợp kim đồng hoặc bằng thép có mạ lớp chống gỉ.
3.2.2.3. Nếu dây dẫn bằng đồng hoặc hợp kim đồng thì tiết diện không nhỏ hơn 70 m2, nếu dây dẫn làm bằng thép thì tiết diện không nhỏ hơn 100 mm2 và nó phải được bảo vệ chống gỉ.
3.2.2.4. Phải đặt dây dẫn phía ngoài cột, đường dây phải có ít chỗ uốn, nếu có chỗ uốn thì bán kính chỗ uốn phải càng lớn càng tốt.
3.2.2.5. Không được đi dây dẫn qua những chỗ nguy hiểm.
3.2.2.6. Liên kết giữa cột thu sét với dây dẫn và với đất phải là liên kết bu lông. Bu lông phải làm bằng đồng hoặc hợp kim đồng. Nếu bu lông làm bằng thép thì phải mạ lớp chống gỉ.
3.2.2.7. Mặt tiếp xúc chỗ nối bu lông giữa dây dẫn với kim thu sét và với “đất” phải có diện tích không nhỏ hơn 100 mm2 nếu bu lông bằng đồng hoặc hợp kim đồng, và không nhỏ hơn 1000 mm2 nếu bulông bằng thép.
3.2.2.8. Các bộ phận kim loại gần dây dẫn phải được nối đất nếu như các bộ phận này không có liên kết với thân tàu theo kiểu nối đất.
3.3. Phụ tùng dự trữ và đồ nghề
3.3.1. Yêu cầu chung
3.3.1.1. Các loại, số lượng phụ tùng dự trữ và đồ nghề đối với thiết bị điện trên tàu sẽ do Đăng kiểm quy định căn cứ vào các thiết bị điện thực tế dùng trên tàu.
Chương 4.
THỬ THIẾT BỊ ĐIỆN
4.1. Thử tại xưởng
4.1.1. Yêu cầu chung
4.1.1.1. Thiết bị điện sau đây phải được tiến hành thử tại xưởng chế tạo hoặc tại xưởng khác có đủ điều kiện thử:
(1) Máy phát điện phục vụ trên tàu
(2) Máy biến áp có công suất lớn hơn 1kVA đối với loại 3 pha và 5kVA đối với loại 1 pha.
(3) Các động cơ quan trọng phục vụ máy chính.
4.1.1.2. Các thiết bị điện sau đây phải được thử theo kiểu
(1) Cáp điện
(2) Công tắc điện từ
(3) Bộ ngắt mạch, cầu chì
(4) Thiết bị điện phòng nổ
4.1.2. Chứng nhận thiết bị điện
4.1.2.1. Thiết bị điện ít nhất phải được chứng nhận đã qua thử nghiệm:
(1) Thử nhiệt độ;
(2) Thử cách điện;
(3) Thử khả năng thâm nhập của nước, hơi nước và dầu;
(4) Thử tính năng.
4.1.2.2. Mỗi thiết bị hoặc kiểu thiết bị sau khi được thử xong phải được cấp giấy chứng nhận tương ứng bởi xưởng chế tạo.
4.2. Thử sau khi lắp đặt lên tàu
4.2.1. Quy định chung
4.2.1.1. Sau khi hoàn thiện lắp đặt mới hoặc sửa chữa, thay thế các thiết bị điện trên tàu thì phải thực hiện thử chúng, với sự có mặt của Đăng kiểm viên. Việc thử này được tiến hành để bổ sung cho các công việc thử đã được tiến hành trong xưởng chế tạo.
4.2.2. Điện trở cách điện
4.2.2.1. Phải dùng đồng hồ đo cách điện kiểu quay tay phát ra điện áp ³ 500 V để tiến hành đo điện trở cách điện.
4.2.2.2. Mạch động lực và mạch chiếu sáng. Điện trở cách điện giữa các pha hoặc cực với đất và có thể giữa các pha và các cực với nhau phải ít nhất là 1MΩ. Nếu kết quả đo mà thấp hơn trị số này thì có thể tách riêng thiết bị ra.
4.2.2.3. Mạch thông tin, báo động: Các mạch có điện áp ³ 50 V thì điện trở cách điện giữa các dây dẫn với đất phải ít nhất là 1MΩ. Các mạch có điện áp <50 V thì trị số này không được nhỏ hơn 0,33 MΩ.
4.2.2.4. Các bảng điện, bảng phân phối: Điện trở cách điện giữa các thanh dẫn và giữa thanh dẫn với đất tối thiểu là 1MΩ. Khi đo phải để công tắc ở trạng thái ngắt và phải tháo các cầu chì, đèn chỉ báo nối đất, vôn mét, các cuộn dây điện áp v.v…
4.2.2.5. Các máy phát và động cơ điện: Điện trở cách điện của cáp điện máy phát và động cơ, các cuộn dây từ trường và cơ cấu điều khiển phải ít nhất là 1MΩ.
4.2.2.6. Sau khi đo điện trở cách điện, các số liệu phải được ghi lại và lập thành văn bản có các bên xác nhận.
4.2.3. Tính nối đất liên tục
4.2.3.1. Phải có biện pháp thử để chứng tỏ rằng việc nối đất các thiết bị điện là đảm bảo tốt.
4.2.4. Kết quả thử
4.2.4.1. Nhiệt độ phát nóng của các thiết bị điện không được vượt quá giới hạn cho phép của vật liệu cách điện dùng trong chúng.
4.2.4.2. Bộ điều chỉnh điện áp của mỗi máy phát phải đảm bảo giữ điện áp không sai lệch quá ± 3% điện áp định mức khi tải thay đổi từ 0 đến 100% tải định mức.
4.2.4.3. Tất cả các động cơ điện truyền động các máy phát quan trọng phải hoạt động tốt theo mỗi chức năng của chúng, điều này không bắt buộc phải cho chúng mang hết tải và thời gian thử chỉ cần đủ để khẳng định rằng chúng là thoả mãn.
4.2.5. Thiết bị điện trong các vùng nguy hiểm
4.2.5.1. Phải tiến hành kiểm tra các thiết bị điện bố trí trong vùng và không gian nguy hiểm để chứng minh rằng nó đúng là kiểu được chấp nhận và phù hợp với yêu cầu của Quy định này, và việc lắp đặt chúng không làm ảnh hưởng đến tính nguyên vẹn của kết cấu thân tàu ở các vùng đó.
4.2.5.2. Phải tiến hành thử hoạt động các tín hiệu báo động, khoá liên động liên quan đến thiết bị thông gió trong các buồn nằm trong các vùng nguy hiểm, kết quả thu được phải chứng tỏ rằng nó hoạt động tốt và đúng chức năng.
Phần 7.
TRANG THIẾT BỊ
Chương 1.
QUY ĐỊNH CHUNG
1.1. Quy định chung
1.1.1. Chương này quy định về định mức, yêu cầu kỹ thuật và bố trí trang thiết bị của phương tiện thủy nội địa vỏ gỗ.
1.1.2. Các trang thiết bị không nêu trong phần này phải thỏa mãn các yêu cầu kỹ thuật, định mức và bố trí trên phương tiện nêu trong các phần tương ứng của Quy phạm phân cấp và đóng phương tiện thủy nội địa (TCVN 5801:2005).
Chương 2.
THIẾT BỊ LÁI
2.1. Quy định chung
2.1.1. Thiết bị lái lắp đặt trên phương tiện phải thỏa mãn các yêu cầu nêu tại Chương 1 Phần 2B Trang thiết bị và Chương 12 Phần 3 Hệ thống máy tàu của Quy phạm phân cấp và đóng phương tiện thủy nội địa (TCVN5801:2005).
2.2. Trục lái và chi tiết bánh lái bằng gỗ
2.2.1. Trục lái phải là loại trục liền, đường kính tiết diện trục lái không được nhỏ hơn trị số cho trong Bảng 23 phụ thuộc vào số đặc trưng N:
N = RAV2
Trong đó: R - Khoảng cách thẳng đứng từ tâm bánh lái đến chốt bánh lái, m2
A - diện tích bánh lái, m2
V - Vận tốc thiết kế, hảI lý/giờ
Đường kính mặt cắt trục lái còn phải không nhỏ hơn trị số tính theo công thức sau:
Với gỗ nhóm I: d = 0.65L + 5.5 cm
Với gỗ nhóm II: d = 0.7L + 6 cm
Với gỗ nhóm III d = 0.76L + 6.4 cm
Trong đó: L - chiều dài tàu, m
Đoạn đầu trục lái, chỗ lắp séc tơ, phải có mặt cắt hình 4 hoặc 6 cạnh, chiều dài của cạnh phải bằng ít nhất đường kính trục lái. Chiều dài đoạn đầu trục lái ít nhất phải bằng 2.5 lần đường kính của trục.
Bảng 23 Đường kính trục lái d
Kích thước tính bằng cm
| Chi tiết | Nhóm gỗ | N=RAV2 | ||||||
| <20 | 20≤N<30 | 30≤N<40 | 40≤N<60 | 60≤N<80 | 80≤N<100 | 100≤N<120 | ||
| d | I | 15 | 18 | 20,5 | 23 | 25,5 | 28 | 30 |
| II | 16 | 19,5 | 22 | 25 | 27,5 | 30 | 32 | |
| III | 17,5 | 21,5 | 24 | 27 | 30 | 33 | 39 | |
2.2.2. Kích thước của các chi tiết kết cấu bánh lái ít nhất phải bằng trị số cho trong Bảng 24.
Bảng 24 Kích thước các chi tiết kết cấu bánh lái
Kích thước tính bằng mm
| d
Chi tiết | Nhóm | I | 15≤d<18 | 18≤d<20,5 | 20,5≤d<23 | 23≤d<25,5 | 25,5≤d<28 | 28≤d<30 | 30≤d |
| II | 16≤d<21,5 | 19,5≤d<22 | 22≤d<25 | 25≤d<27,5 | 27,5≤d<30 | 30≤d<32 | 32≤d | ||
| III | 17,5≤d<18 | 21,5≤d<24 | 24≤d<275 | 27≤d<30 | 30≤d<33 | 33≤d<35 | 35≤d | ||
| Đường kính chốt bánh lái | 40 | 35 | 38 | 43 | 48 | 50 | 50 | ||
| Kích thước khung bánh lái |
|
|
|
|
|
|
| ||
| - Chiều dày | 60 | 54 | 57 | 66 | 72 | 72 | 75 | ||
| - Chiều cao | 20 | 18 | 19 | 22 | 24 | 24 | 25 | ||
| - Số lượng khung bánh lái | 2 | 3 | 3 | 3 | 3 | 4 | 4 | ||
Chương 3.
THIẾT BỊ NEO
3.1. Quy định chung
3.1.1. Thiết bị neo lắp đặt trên phương tiện phải thỏa mãn các yêu cầu nêu tại Chương 2 Phần 2B Trang thiết bị và Chương 13 Phần 3 Hệ thống máy tàu của Quy phạm phân cấp và đóng phương tiện thủy nội địa (TCVN5801:2005).
Chương 4.
THIẾT BỊ CHẰNG BUỘC
1.4. Quy định chung
1.4.1. Thiết bị chằng buộc lắp đặt trên phương tiện phải thỏa mãn các yêu cầu nêu tại Chương 3 Phần 2B Trang thiết bị và Chương 14 Phần 3 Hệ thống máy tàu của Quy phạm phân cấp và đóng phương tiện thủy nội địa (TCVN5801:2005).
Chương 5.
PHƯƠNG TIỆN CỨU SINH
5.1. Quy định chung
5.1.1. Phương tiện cứu sinh lắp đặt trên phương tiện phải thỏa mãn các yêu cầu nêu tại Chương 1 Phần 10 Trang thiết bị của Quy phạm phân cấp và đóng phương tiện thủy nội địa (TCVN5801:2005).
Chương 6.
TRANG BỊ TÍN HIỆU
6.1. Quy định chung
6.1.1. Trang bị tín hiệu lắp đặt trên phương tiện phải thỏa mãn các yêu cầu nêu tại Chương 2 Phần 10 Trang thiết bị của Quy phạm phân cấp và đóng phương tiện thủy nội địa (TCVN5801:2005).
Chương 7.
PHÒNG, PHÁT HIỆN VÀ CHỮA CHÁY
7.1. Quy định chung
7.1.1. Định mức, yêu cầu kỹ thuật và bố trí trang bị phòng, phát hiện và chữa cháy lắp đặt trên phương tiện phải thỏa mãn các yêu cầu nêu tại Phần 5 của Quy phạm phân cấp và đóng phương tiện thủy nội địa (TCVN5801:2005).
Chương 8.
TRANG BỊ HÚT KHÔ
8.1. Quy định chung
8.1.1. Định mức, yêu cầu kỹ thuật và bố trí trang bị hút khô trên phương tiện phải thỏa mãn các yêu cầu nêu tại Chương 3 Phần 10 Trang bị an toàn của Quy phạm phân cấp và đóng phương tiện thủy nội địa (TCVN5801:2005).
Chương 9.
TRANG BỊ NGĂN NGỪA Ô NHIỄM
9.1. Quy định chung
9.1.1. Định mức, yêu cầu kỹ thuật và bố trí trang bị ngăn ngừa ô nhiễm trên phương tiện phải thỏa mãn các yêu cầu tại Quy phạm ngăn ngừa ô nhiễm do phương tiện thủy nội địa (22TCN 264-06).
PHỤ LỤC A
(tham khảo)
Kích thước các cơ cấu thân tàu có L lớn hơn 30 m
| N | Fsđ | Fsm,sđ | F sườn mạn,cm2 | Fđn | Fd,xb | Tấm vỏ | |||
| m3 | cm2 | cm2 | Tại đỉnh | Tại chân | cm2 | cm2 | Độ dày | Độ rộng,cm | |
|
|
|
|
|
|
|
| cm | Mép mạn | Ván hông |
| 200 | 795 | 600 | 81 | 156 | 357 | 136 | 4,2 | 50 | 50 |
| 227 | 840 | 600 | 81 | 169 | 357 | 136 | 4,2 | 50 | 50 |
| 249 | 890 | 600 | 81 | 169 | 357 | 136 | 4,4 | 50 | 50 |
| 274 | 940 | 661 | 90 | 196 | 396 | 136 | 4,4 | 50 | 50 |
| 300 | 990 | 661 | 110 | 210 | 396 | 136 | 4,6 | 50 | 50 |
| 330 | 1045 | 726 | 110 | 210 | 396 | 162 | 4,8 | 50 | 50 |
| 365 | 1105 | 726 | 121 | 225 | 437 | 162 | 4,8 | 50 | 50 |
| 400 | 1165 | 794 | 121 | 240 | 437 | 162 | 5,0 | 50 | 50 |
| 440 | 1230 | 794 | 132 | 256 | 437 | 210 | 5,2 | 50 | 50 |
| 485 | 1300 | 864 | 132 | 272 | 470 | 210 | 5,2 | 50 | 50 |
| 535 | 1380 | 864 | 144 | 289 | 480 | 210 | 5,4 | 50 | 50 |
| 585 | 1460 | 938 | 156 | 324 | 539 | 210 | 5,6 | 50 | 50 |
| 640 | 1540 | 1014 | 156 | 324 | 539 | 240 | 5,8 | 75 | 75 |
| 710 | 1630 | 1054 | 169 | 361 | 550 | 240 | 5,8 | 75 | 75 |
| 780 | 1720 | 1094 | 182 | 400 | 550 | 240 | 6,0 | 75 | 75 |
| 860 | 1820 | 1176 | 196 | 441 | 624 | 240 | 6,2 | 75 | 75 |
| 940 | 1920 | 1202 | 210 | 441 | 636 | 275 | 6,4 | 75 | 75 |
| 1030 | 2020 | 1262 | 225 | 441 | 702 | 290 | 6,6 | 75 | 75 |
| 1140 | 2140 | 1352 | 225 | 484 | 722 | 324 | 6,6 | 75 | 75 |
| 1250 | 2270 | 1442 | 256 | 484 | 742 | 350 | 6,8 | 75 | 75 |
| 1370 | 2400 | 1536 | 256 | 484 | 784 | 350 | 7,0 | 75 | 75 |
Ghi chú: Các ký hiệu ở bảng trên được giải thích như sau :
- N - Số đặc trưng;
- Fsđ - Tổng diện tích sống dưới đáy và sống trên đáy;
- Fđn - Diện tích đà ngang đáy;
- Fđ,xb - Diện tích dầm/xà boong ;
- Fsm,sđ - Diện tích sống mũi, sống đuôi;
Tỷ lệ giữa chiều rộng và chiều cao cơ cấu nằm trong khoảng từ 0,70 đến 0,75
Với các trị số trung gian của N, kích thước cơ cấu tính theo nội suy tuyến tính.
Các cơ cấu không nêu trong phụ lục B được lấy như với tàu có L= 30 m của phụ lục A
Bạn chưa Đăng nhập thành viên.
Đây là tiện ích dành cho tài khoản thành viên. Vui lòng Đăng nhập để xem chi tiết. Nếu chưa có tài khoản, vui lòng Đăng ký tại đây!


