- Tổng quan
- Nội dung
- Tiêu chuẩn liên quan
- Lược đồ
- Tải về
Tiêu chuẩn Việt Nam TCVN 6367:1998 Dây thép lò xo cơ khí - Thép lò xo không gỉ - Dây thép
| Số hiệu: | TCVN 6367:1998 | Loại văn bản: | Tiêu chuẩn Việt Nam |
| Cơ quan ban hành: | Đang cập nhật | Lĩnh vực: | Công nghiệp |
|
Ngày ban hành:
Ngày ban hành là ngày, tháng, năm văn bản được thông qua hoặc ký ban hành.
|
1998 |
Hiệu lực:
|
Đang cập nhật |
| Người ký: | Đang cập nhật |
Tình trạng hiệu lực:
Cho biết trạng thái hiệu lực của văn bản đang tra cứu: Chưa áp dụng, Còn hiệu lực, Hết hiệu lực, Hết hiệu lực 1 phần; Đã sửa đổi, Đính chính hay Không còn phù hợp,...
|
Đã biết
|
TÓM TẮT TIÊU CHUẨN VIỆT NAM TCVN 6367:1998
Nội dung tóm tắt đang được cập nhật, Quý khách vui lòng quay lại sau!
Tải tiêu chuẩn Việt Nam TCVN 6367:1998
TIÊU CHUẨN VIỆT NAM
TCVN 6367 : 1998
DÂY THÉP LÒ XO CƠ KHÍ - THÉP LÒ XO KHÔNG GỈ - DÂY THÉP
Steel wire for mechanical springs - Stainless steel for spring – Wire
1 Phạm vi áp dụng
Tiêu chuẩn này qui định yêu cầu kỹ thuật cho dây thép lò xo không gỉ, được dùng trong điều kiện ăn mòn có đường kính đến 10 mm, dùng để chế tạo lò xo hoặc những phần lò xo làm việc chịu gỉ và đôi khi trong điều kiện nhiệt độ tăng không nhiều (xem mục A1 của phụ lục A)
2 Tiêu chuẩn trích dẫn
TCVN 197 : 85 Kim loại - Phương pháp thử kéo.
TCVN 298 : 85 Gang thép - Phương pháp xác định Cacbon tự do.
TCVN 308 : 89 Gang thép - Phương pháp xác định Vanadi.
TCVN 1811 : 76 Gang thép - Qui định chung - Phương pháp chuẩn bị mẫu để phân tích hóa học.
TCVN 1812 : 76 Gang thép - Phương pháp phân tích hóa học - Xác định hàm lượng Crôm.
TCVN 1814 : 76 Gang thép - Phương pháp phân tích hóa học - Xác định hàm lượng Silic .
TCVN 1815 : 76 Gang thép - Phương pháp phân tích hóa học - Xác định hàm lượng Phốt pho.
TCVN 1817 : 76 Gang thép - Phương pháp phân tích hóa học - Xác định hàm lượng Molipđen.
TCVN 1819 : 76 Gang thép - Phương pháp phân tích hóa học - Xác định hàm lượng Mangan.
TCVN 1820 : 76 Gang thép - Phương pháp phân tích hóa học - Xác định hàm lượng Lưu huỳnh.
TCVN 4398 : 87 Thép - Phôi mẫu thử và mẫu thử để thử cơ tính.
3 Yêu cầu kỹ thuật
3.1 Chế tạo thép và sản phẩm
Nếu không có thỏa thuận nào khác, qui trình công nghệ chế tạo thép và sản phẩm do nhà chế tạo qui định.
3.2 Giao nhận
3.2.1 Dạng giao nhận
Dây thường được cung cấp dưới dạng cuộn dây hoặc ở dạng dài đã được cắt.
Bảng 1 Thành phần hoá học của thép khi phân tích mẫu đúc
| Cấp thép | Thành phần hoá học 1),% (m/m) | |||||||
| Số | Kí hiệu | C max | Si max | Mn max | Al | Cr | Mo | Ni |
| 1 2 3 | X9 CrNi 18-8 X5CrNiMo 17-12-2 X7CrNiAl 17-7 | 0,12 0,07 0,09 | 1,5 1,0 1,0 | 2,0 2,0 1,0 | - - 0,75ữ1,50 | 16,0 ÷19,0 16,5÷18,5 16,0÷18,0 | 2,0÷2,52) | 6,5÷9,5 10,5÷13,5 6,5÷7,5 3) |
| 1) Đối với toàn bộ các cấp P ≤ 0,045 % (m/m) và S ≤ 0,030 % (m/m). 2) Dùng khi điều kiện chống mài mòn là đặc biệt quan trọng. 3) Khi có thoả thuận riêng, thép được dùng cho gia công biến dạng nguội, thành phần Ni có thể 7 ÷ 8,25 % (m/m) Ni. | ||||||||
3.2.2 Điều kiện giao nhận
3.2.2.1 Các điều kiên giao nhận được qui định trong bảng 2 :
Điều kiện nhiệt luyện (T) cấp 3 không phải là điều kiện giao nhận tiêu chuẩn, nhưng có thể là điều kiện được thỏa thuận giữa hai bên.
3.2.2.2 Mỗi một cuộn dây bao gồm một sợi dây liền, được cuốn đều lại, không được có chỗ thắt nút hoặc xoắn vẹo. Theo thỏa thuận với khách hàng cho phép số dây lớn nhất trong một cuộn là bằng hai.
Lõi dây được quấn tròn có đường kính không bé hơn dường kính tang của lõi và không lớn hơn 2,5 lần đường kính tang.
Cuộn dây được quấn tròn có đường kính không bé hơn đường kính lõi ban đầu và không lớn hơn 1,5 lần đường kính đó.
Các đường kính khác của khuôn đúc tròn do hai bên thỏa thuận.
Dây lò xo được kéo tự do từ khuôn đúc xoắn ốc.
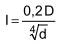
Các yêu cầu này đảm bảo được thực hiện cho dây có đường kính đến 5mm, nếu độ dịch chuyển dọc trục l giữa hai đầu của tang cuộn chuyên dùng (cuộn dây) không vượt quá giá trị tính theo công thức sau:
![]()
trong đó
D là đường kính trung bình của tang cuộn chuyên dùng, mm;
d là đường kính dây, mm.
Khuôn đúc tròn và khuôn đúc xoắn ốc được thử theo điều 4.3.2.4 .
3.2.2.3 Chất lượng bề mặt của dây thép lò xo không gỉ được qui định theo thỏa thuận giữa hai bên .
Bảng 2 - Độ bền của lò xo điều kiện kéo nguội (C) và cấp 3, điều kiện nhiệt luyện (T)
| Đường kính danh nghĩa mm | Độ bền kéo, N mm2 | ||||
| Cấp I Điều kiện C | Cấp II Điều kiện C min | Cấp III | |||
| Độ bền thông thường min | Độ bền cao min | Điều kiện C min | Điều kiện T min | ||
| ≤ 0,20 > 0,20 ≤ 0,30 > 0,30 ≤ 0,40 > 0,40 ≤ 0,50 > 0,50 ≤ 0,65 > 0,65 ≤ 0,80 > 0,80 ≤ 1,00 > 1,00 ≤ 1,25 > 1,25 ≤ 1,50 > 1,50 ≤ 1,75 > 1,75 ≤ 2,00 > 2,00 ≤ 2,50 > 2,50 ≤ 3,00 > 3,00 ≤ 3,50 > 3,50 ≤ 4,25 > 4,25 ≤ 5,00 > 5,00 ≤ 6,00 > 6,00 ≤ 7,00 | 2200 2150 2100 2050 2000 1950 1900 1850 1800 1750 1700 1650 1600 1550 1500 1450 1400 1350 | 2350 2300 2250 2200 2150 2100 2050 2000 1950 1900 1850 1750 1700 1650 1600 1550 1500 1450 | 1725 1700 1675 1650 1625 1600 1575 1550 1500 1450 1400 1350 1300 1250 1225 1200 1150 1125 | 1975 1950 1925 1900 1850 1825 1800 1750 1700 1650 1600 1550 1500 1450 1400 1350 1300 1250 | 2275 2250 2225 2200 2150 2125 2100 2050 2000 1950 1900 1850 1800 1750 1700 1650 1550 1500 |
Bảng 2 (tiếp theo và kết thúc)
| Đường kính danh nghĩa mm | Độ bền kéo, N mm2 |
| ||||
| Cấp I Điều kiện C | Cấp II Điều kiện C min | Cấp III |
| |||
| Điều kiện C min | Điều kiện T min | |||||
| Độ bền thông thường min | Độ bền cao min |
| ||||
| > 7,00 ≤ 8,50 > 8,50 ≤ 10,00 | 1300 1250 | 1400 1350 | 1075 1050 | 1200 1150 | 1450 1400 |
|
| Chú thích 1. Độ bền kéo được đo tại đường kính thực tế. 2. Sau khi nắn thẳng, độ bền kéo giảm xuống xấp xỉ 7%. Bằng nhiệt luyện, có thể bù lại hoàn toàn độ giảm sức bền trên. 3. Đối với dây có ứng suất biến dạng cao, giá trị độ bền kéo bị hạ thấp sẽ được thoả thuận giữa hai bên. 4. Sai lệch độ bền kéo xem điều 3.4.2. 5. Dung sai độ bền kéo: + 15 % giá trị bé nhất. 6. Đơn vị độ bền kéo: 1 N/mm2 = 1 MPa. |
| |||||
3.3 Thành phần hóa học
3.3.1 Thành phần hóa học của thép khi phân tích mẫu đúc được qui định trong bảng 1.
3.3.2 Sai lệch cho phép giữa các giá trị cho trong bảng 1 và giá trị khi phân tích sản phẩm được qui định trong bảng 3.
Bảng 3 - Sai lệch cho phép
| Nguyên tố | Hàm lượng lớn nhất cho phép trong mẫu đúc % (m/m) | Sai lệch cho phép % (m/m) |
| C | ≤ 0,12 | + 0,01 |
| Si | ≤1,0 > 1,0 ≤ 1,5 | + 0,05 + 0,10 |
| Mn | ≤ 1,0 > 1,0 ≤ 2,0 | + 0,03 + 0,04 |
| P | ≤ 0,045 | + 0,005 |
| S | 0,030 | + 0,005 |
| Al | 0,75 ≤ 1,50 | ± 0,10 |
| Cr | 16,0 ≤ 19,0 | ± 0,20 |
| Mo | 2,0 ≤ 2,5 | ± 0,10 |
| Ni | 6,0 > 10,0 ≤ 13,5 | ± 0,10 ± 0,15 |
3.4 Cơ tính
3.4.1 Cơ tính của lò xo khi kéo nguội (C) và khi nhiệt luyện (T) cấp 3 được qui định trong bảng 2.
Nhiệt luyện cấp 1 và 2 cũng làm tăng cơ tính, nhưng vẫn thấp hơn cấp 3 theo A.2 và hình A.1 (phụ lục A)
3.4.2 Sai lệch độ bền kéo lớn nhất giữa hai đầu của cuộn dây hoặc lõi dây được qui định trong bảng 4
Sai lệch độ bền kéo trong một lô, đúc từ cùng một mẻ không được vượt quá 9% độ bền kéo nhỏ nhất .
Bảng 4 - Sai lệch độ bền kéo trong cùng một lõi dây hoặc cuộn dây
| Đường kính dây, d mm | Sai lệch độ bền kéo lớn nhất, N/mm2 |
| ≤ 1,5 > 1,5 ≤ 10,0 | 100 70 |
3.5 Đặc tính công nghệ, chất lượng bề mặt và điều kiện làm việc tốt bên trong dây
3.5.1 Đặc tính công nghệ và điều kiện bề mặt
3.5.1.1 Để đánh giá độ đồng nhất của cuộn quấn và chất lượng bề mặt, khi đường kính dây từ 0,5 đến 1,5 mm phải áp dụng thử quấn.
Lò xo được quấn theo 4.3.2.2 phải có bề mặt và bước quấn đều.
3.5.1.2 Để đánh giá độ dẻo và chất lượng bề mặt, phải áp dụng việc thử sau đây:
- thử cuốn cho đường kính dây từ 0,3 mm đến 4,00 mm;
- thử uốn cho đường kính dây lớn hơn 4 mm đến 10,0 mm.
Các yêu cầu cho việc thử uốn và cuốn được qui định trong mục 4.3.2.3.
3.5.1.3 Bề mặt của dây không được có khe rãnh, chỗ lõm và các khuyết tật bề mặt ảnh hưởng đến cơ tính của dây.
3.5.1.4 Đối với dây chế tạo lò xo công suất lớn, các yêu cầu từ 3.5.1.1 đến 3.5.1.3 là không đủ, phải có thêm những thỏa thuận riêng với khách hàng.
3.5.2 Chất lượng dây
Dây không được có những khuyết tật bên trong, ảnh hưởng đến tính chất làm việc của dây. Những phép thử dùng để đánh giá điều kiện bên trong, ví dụ thử cuốn được thỏa thuận giữa hai bên.
3.6 Kích thước và dung sai kích thước
3.6.1 Dung sai kích thước được qui dịnh trong bảng 5
Bảng 5 - Dung sai đường kính
Kích thước tính bằng milimét
| Đường kính danh nghĩa | Dung sai đường kính | |
| Lõi dây hoặc cuộn dây | Chiều dài | |
| ≤ 0,20 > 0,20 ≤ 0,40 > 0,40 ≤ 0,80 > 0,80 ≤ 1,60 > 1,60 ≤ 3,20 > 3,20 ≤ 6,00 > 6,00 ≤ 10,00 | ± 0,005 ± 0,008 ± 0,010 ± 0,015 ± 0,020 ± 0,025 ± 0,035 | ± 0,009 ± 0,013 ± 0,016 ± 0,025 ± 0,035 ± 0,045 ± 0,060 |
3.6.2 Dung sai độ tròn, tức là sai lệch giữa đường kính lớn nhất và nhỏ nhất trong cùng một mặt cắt ngang của dây không được lớn hơn một nửa dung sai đường kính .
3.6.3 Dung sai chiều dài
- cho đường kính đến 0,60 mm: ± 20 mm;
- cho đường kính lớn hơn 0,60 mm: ± 10 mm.
Các dung sai khác có thể được thỏa thuận với khách hàng.
4 Tiến hành thử
4.1 Số lượng thử
Bảng 6 áp dụng cho thành phần của các đơn vị thử và số lượng thử cho mỗi đơn vị thử
Nếu việc thử độ đồng đều của độ bền kéo (phù hợp với 3.4.2) được thỏa thuận giữa hai bên, thì đoạn thử sẽ được lấy ra ở hai đầu của mỗi cuộn dây hoặc lõi dây. Nếu từ một cuộn dây chính , có thể lấy ra được vài cuộn dây hoặc lõi dây và chúng được đánh số thứ tự, chỉ cần lấy ra đoạn thử từ phần đầu của mỗi cuộn dây hoặc lõi dây chế tạo tiếp liền nhau.
Bảng 6 - Đơn vị thử và số lần thử nghiệm thu
| Yêu cầu chất lượng 1) | 2) | Đơn vị thử | Số lượng | ||
| Sản phẩm mỗi đơn vị thử | Mẫu mỗi sản phẩm | đoạn thử mỗi mẫu | |||
| Phân tích sản phẩm | 0 | Mẫu đúc 3) | 4) | 1 | 1 |
| Thử kéo không cần kiểm tra độ đồng đều của độ bền kéo | m | Mẫu đúc và lô sản phẩm 5) | 1/10 số lõi dây hoặc cuộn dây | 1 | 1 |
| Thử kéo có kiểm tra độ đồng đều của độ bền kéo | 0 | Mẫu đúc và lô sản phẩm 5) | 6) | 6) | 6) |
| Thử uốn có kiểm tra độ đồng đều và điều kiện bề mặt; d = 0,3 mm đến 1,5 mm | 0 | Mẫu đúc và lô sản phẩm 5) | Theo thoả thuận | ||
| Thử kiểm tra độ dẻo và điều kiện bề mặt: Thử cuốn, d = 0,3 mm đến 4,0 mm Thử uốn - chữ U, d > 4,0 mm đến 10,0 mm |
0
0 | Mẫu đúc và lô sản phẩm 5) | Theo thoả thuận | ||
| 1) Nếu cần thử các dạng khác, ví dụ xác định môđun đàn hồi cho phép tiến hành theo thoả thuận. 2) m - thử được tiến hành cho từng trường hợp; 0 - thử được tiến hành chỉ theo thoả thuận. 3) Nếu không dùng mẫu phân tích sản phẩm, thành phần hoá học được lấy theo mẫu phân tích đúc và do nhà chế tạo qui định cho từng nguyên tố ở bảng 1. 4) Nếu không có thoả thuận nào khác , một đoạn thử được lấy ra từ một mẫu đúc. 5) Lô sản phẩm là các sản phẩm cùng một điều kiện nhiệt luyện - gia công và có cùng một độ giảm mặt cắt ngang. 6) Xem 4.2. | |||||
4.2 Chọn và chuẩn bị mẫu thử
4.2.1 Việc chọn và chuẩn bị mẫu thử và đoạn thử được qui định theo TCVN 1811 : 76 và TCVN 4398 : 87.
4.2.2 Thử kéo và thử công nghệ
4.2.2.1 Đoạn thử dùng cho thử kéo và thử cuốn được cắt ra đủ chiều dài từ đầu cuối của cuộn dây hoặc lõi dây.
Trong trường hợp còn bàn cãi, khoảng cách nhỏ nhất từ đầu cuối của cuộn dây hoặc lõi dây sẽ là 5 mm cho dây có đường kính đến 6,00 mm.
4.2.2.2 Đoạn thử dùng cho thử kéo phải được vuốt thẳng tới mức có thể và không được có bất cứ khuyết tật bề mặt nào và không có chỗ xoắn vẹo. Nếu cần, đoạn thử này được vuốt thẳng :
a) bằng tay không dùng dụng cụ hoặc
b) dùng máy búa và mặt phẳng chế tạo từ gỗ, chất dẻo hoặc bằng đồng .
Trong khi vuốt thẳng. cần cẩn thận dể đảm bảo bề mặt của đoạn thử không bị hỏng, mặt cắt ngang của đoạn thử không bị thay đổi đến mức có thể. Đặc biệt, phải tránh bị bất cứ chỗ uốn nào của đoạn thử.
4.3 Phương pháp thử
4.3.1 Phân tích hóa học
Thành phần hóa học của vật liệu dây lò xo dược xác định theo :
- TCVN 298-85 cho Các bon ;
- TCVN 1814-76 cho Silíc ;
- TCVN 1819-76 cho Mangan ;
- TCVN 1815-76 cho Phốt pho ;
- TCVN 1820-76 cho lưu huỳnh;
- TCVN 1812-76 cho Crôm
- TCVN 308-89 cho Vanadi;
- TCVN 1817-76 cho Môlipden .
4.3.2 Thử kéo và thử công nghệ
4.3.2.1 Thử kéo được tiến hành theo TCVN 197 : 85.
Độ bền kéo được tính khi dùng đường kính dây thực tế
4.3.2.2 Thử cuốn đều
Lấy một đoạn thử chiều dài xấp xỉ 500 mm, quấn chặt quanh trục gá có đường kính bằng ba lần đường kính danh nghĩa của dây và bé nhất là 1 mm. Sau đó đoạn thử lại được kéo dài ra và không chịu tải trọng để chiều dài của lò xo bé nhất bằng hai lần và lớn nhất bằng bốn lần chiều dài quấn. Sau nguyên công này, đoạn thử được quấn đều lại mà không được có vết gãy nứt và không bị phá hỏng
Việc thử cuốn này nhìn chung ít được áp dụng vì nó chỉ cho phép phát hiện được nội ứng suất.
4.3.2.3 Thử độ dẻo và điều kiện bề mặt
a) Thử cuốn cho đường kính 0,3 đến 4,0 mm.
Dây không được có các dấu hiệu của gãy hỏng khi được cuốn tám vòng xung quanh trục gá có đường kính bằng đường kính dây .
b) Thử uốn cho dường kính lớn hơn 4,00 đến 10,00 mm.
Dây không được có các dấu hiệu của gãy nứt bề mặt khi được uốn 180o xung quanh một trục gá. Đối với đường kính lớn hơn 4,0 mm đến 6,0 mm, đường kính trục gá bằng hai lần đường kính dây hoặc nhỏ hơn.
Đối với đường kính dây lớn hơn, đường kính trục gá bằng ba lần đường kính dây hoặc nhỏ hơn.
4.3.2.4 Để thử khuôn đúc tròn và khuôn đúc xoắn ốc , phải cắt một đoạn dây đủ dài từ cuộn dây hoặc lõi dây để tạo thành đủ một vòng . Cần đảm bảo dây không bị uốn và bị hỏng (xem hình 1).
Để đo khuôn đúc tròn, tức là đo đường kính trong của vòng, vòng được đặt trên mặt nằm ngang phẳng và sau đó đo đường kính trung bình. Hình 2 và 3 chỉ rõ cách xác định khuôn đúc tròn hở và kín.
Để đo khuôn đúc xoắn ốc (khoảng dịch chuyển các đầu cắt tại các góc bên phải với vòng), hoặc
a) Treo vòng kiểm lên một thanh đỡ hoặc lên một bút chì v.v... sao cho các đầu cắt ở tại điểm thấp nhất (xem hình 4a) và đo khoảng hở của các đầu tại góc bên phải với mặt phẳng của vòng, hoặc
b) Đặt vòng kiểm trên mặt nằm ngang phẳng, đo và ghi lại khoảng cách thẳng đứng giữa các đầu của vòng (xem hình 4b).

Hình 1 - Mẫu dây

Hình 4 - Khuôn đúc xoắn ốc
Phụ lục A
(tham khảo)
A.1 Chỉ dẫn phân loại các cấp thép
Phụ thuộc vào ứng suất, nhiệt độ làm việc lớn nhất của thép cấp 1 (xem bảng A.1) có thể từ 1200 C đến 2500 C. Nếu độ chống mài mòn lớn nhất được qui định cho thép trong tiêu chuẩn này,thép ôstenit cấp hai cũng được dùng và phụ thuộc vào ứng suất trong khoảng nhiệt độ làm việc lớn nhất từ 120o C đến 250o C. Khoảng nhiệt độ làm việc lớn nhất của thép ôstenit - máctenxit kết tủa cứng cấp 3 trong khoảng 250o C đến 300o C phụ thuộc vào ứng suất. Thép này có độ bền mỏi cao và độ bền tăng ở nhiệt độ nâng cao, nhưng độ chống mài mòn giảm .
Ba cấp thép trên có môđun đàn hồi khác nhau chút ít, được xác định trên các phần thử dọc trục cho môđun trượt (xem bảng A.1). Theo tính toán thấy rằng môđun đàn hồi và mô đun trượt tăng khi tăng nhiệt độ.
A.2 Thay đổi độ bền kéo do nhiệt luyện
Nhiệt luyện sê làm tăng độ bền kéo so với điều kiện kéo nguội lò xo. Việc xử lý dạng này sẽ giảm được ứng suất gia công sinh ra do tạo hình lò xo .
Thép kết tủa cứng cấp 3 có độ tăng độ bền kéo lớn hơn nhờ nhiệt luyện so với các cấp khác của tiêu chuẩn này.
Số liệu tham khảo về sự tăng độ bền kéo có thể đạt dược sau khi nhiệt luyện được qui định trong bảng A.1.
A.3 Cơ tính
Số liệu tham khảo về môđun đàn hồi và môđun trượt được qui định trong bảng A.1 .
A.4 Hướng dẫn phương pháp gia công và xử lí nhiệt . A.4.1 Phương pháp gia công
Tạo hình được tiến hành bằng phương pháp biến dạng nguội. Do đó, việc tính toán dựa trên thực tế là khả năng biến dạng của dây lò xo làm việc chịu cứng nguội bị hạn chế. Phụ thuộc vào các yêu cầu gia công định hình, có thể dùng độ bền kéo thấp hơn theo thỏa thuận khi đặt hàng(xem chú thích 3 ở bảng A.2).
A.4.2 Cách xử lí nhiệt
A.4.2.1 Bảng A.2 qui định các số liệu tham khảo vế xử lí nhiệt được tiến hành đối với lò xo hoàn chỉnh để đạt được độ bền và độ dẻo thích hợp.
Trong trường hợp đặc biệt, các cách sử lí nhiệt bổ xung xác định bằng các thí nghiệm thực tế sẽ cần thiết để thỏa mãn các yêu cầu đã định .
A.4.2.2 Lò xo cần được làm sạch trước khi qua xử lý nhiệt. Nếu màu sắc lò xo sinh ra khi xử lý nhiệt không đạt yêu cầu, thì việc xử lý nhiệt được tiến hành trong môi trường có bảo vệ hoặc cần áp dụng phương pháp làm sạch thích hợp để không làm giảm cơ tính của lò xo.
Bảng A.1 - Các số liệu tham khảo của môđun đàn hồi và hệ số cứng (giá trị trung bình)
| Cấp thép | Mô đun đàn hồi 1) kN/mm2 | Hệ số cứng 2) kN/mm | |||
| Số | Ký hiệu | Điều kiện giao nhận C | Điều kiện C + T3) | Điều kiện giao nhận C | Điều kiện C + T3) |
| 1 2 3 | X9CrNi 18-8 X5CrNiMo 17-12-2 X7CrNiAl 17-7 | 180 175 190 | 185 180 200 | 70 68 73 | 73 71 78 |
| 1) Giá trị mô-đun đàn hồi E được tính từ hệ số độ cứng G khi dùng công thức G = E/2.(1 + V), trong đó V là hệ số Pooxông bằng 0,3. Số liệu được áp dụng cho độ bền kéo trung bình 1800 N/mm2. Đối với độ bền kéo trung bình 1300 N/mm2, các giá trị này thấp hơn 6 kN/ mm2. Các giá trị trung gian được xác định bằng nội suy. 2) Các giá trị hệ số cứng được áp dụng cho dây có đường kính đến 2,8 mm và với độ bền kéo trung bình 1800 N/ mm2. Đối với độ bền kéo trung bình 1300 N/ mm2, các giá trị giảm bớt 2 kN/ mm2. Các giá trị trung gian được xác định bằng nội suy. 3) Xem bảng A.2 hình A.1. | |||||
Bảng A.2 - Các số liệu tham khảo để xử lý nhiệt dây lò xo
| Cấp thép | Nhiệt độ, 0C | Thời gian | Cách làm mát | |
| Số | Ký hiệu | |||
| 1 | X9CrNi 18-8 | 250 đến 425 | 30 phút đến 4 giờ | không khí |
| 2 | X5CrNiMo 17-12-2 | |||
| 3 | X7CrNiAl 17-7 | 450 đến 480 | 30 phút đến 1 giờ | không khí |
| Chú thích 1) Phân loại về số liệu độ bền kéo được cho trong bảng 2 và hình A.1. 2) Các điều kiện nhiệt luyện tối ưu có thể rất khác nhau. Cơ sở chế tạo lò xo có thể chọn các điều kiện phù hợp với mục đích, cũng xem A.4.2.1. 3) Các số liệu nhiệt luyện áp dụng cho lò xo chịu nén và kéo không có lực kéo ban đầu. Nhìn chung, lò xo kéo có lực kéo ban đầu không được xử lý nhiệt luyện ở cùng nhiệt độ cao như các lò xo trong bảng này. Nếu chấp nhận giảm vừa phải của lực kéo ban đầu, nhiệt độ nhiệt luyện lớn nhất là 200oC cho cấp thép 1 và 2, 300oC cho cấp thép 3. | ||||

Đường kính dây, mm
Hình A.1 - Các số liệu thao khảo về độ tăng độ bền kéo của dây thép kéo nguội nhờ nhiệt luyện (xem bảng A.2)
Bạn chưa Đăng nhập thành viên.
Đây là tiện ích dành cho tài khoản thành viên. Vui lòng Đăng nhập để xem chi tiết. Nếu chưa có tài khoản, vui lòng Đăng ký tại đây!