- Tổng quan
- Nội dung
- Tiêu chuẩn liên quan
- Lược đồ
- Tải về
Tiêu chuẩn Việt Nam TCVN 6306-3:2006 Mức cách điện máy biến áp điện lực
| Số hiệu: | TCVN 6306-3:2006 | Loại văn bản: | Tiêu chuẩn Việt Nam |
| Cơ quan ban hành: | Bộ Khoa học và Công nghệ | Lĩnh vực: | Công nghiệp |
|
Ngày ban hành:
Ngày ban hành là ngày, tháng, năm văn bản được thông qua hoặc ký ban hành.
|
29/12/2006 |
Hiệu lực:
|
Đã biết
|
| Người ký: | Đang cập nhật |
Tình trạng hiệu lực:
Cho biết trạng thái hiệu lực của văn bản đang tra cứu: Chưa áp dụng, Còn hiệu lực, Hết hiệu lực, Hết hiệu lực 1 phần; Đã sửa đổi, Đính chính hay Không còn phù hợp,...
|
Đã biết
|
TÓM TẮT TIÊU CHUẨN VIỆT NAM TCVN 6306-3:2006
Tiêu chuẩn Việt Nam TCVN 6306-3:2006: Quy định cách điện và thử nghiệm ảnh hưởng đến máy biến áp điện lực
Tiêu chuẩn Việt Nam TCVN 6306-3:2006 được ban hành ngày 18/12/2006, có hiệu lực từ ngày 01/01/2007, thay thế tiêu chuẩn TCVN 6306-3:1997. Tiêu chuẩn này quy định các mức cách điện, thử nghiệm điện môi và khoảng cách ly bên ngoài trong không khí đối với máy biến áp điện lực ba pha và một pha. Tiêu chuẩn hoàn toàn tương đương với tiêu chuẩn IEC 60076-3:2000.
Tiêu chuẩn áp dụng cho các máy biến áp điện lực thường dùng, với các yếu tố chính cần lưu ý như sau:
Mức cách điện danh định: Đây là tập hợp các điện áp chịu thử đảm bảo độ bền điện của cách điện, phân loại theo từng cuộn dây của máy biến áp tương ứng với điện áp cao nhất dùng cho thiết bị (Um). Việc phân loại này rất quan trọng, vì nó ảnh hưởng trực tiếp tới khả năng hoạt động và độ an toàn của máy biến áp.
Thử nghiệm điện môi: Các yêu cầu về thử nghiệm nhằm đảm bảo khả năng chống chịu của các cuộn dây trước các điều kiện điện áp cao. Các thử nghiệm bao gồm xung đóng cắt, xung sét, và thử nghiệm AC nguồn. Mỗi loại thử nghiệm có những yêu cầu cụ thể về điện áp và điều kiện thực hiện, nhằm bảo đảm rằng thiết bị sẽ không bị hư hỏng trong quá trình vận hành.
Khoảng cách ly bên ngoài: Yêu cầu về khoảng cách ly giữa các bộ phận mang điện và các vật có điện thế đất là điều kiện cần thiết để đảm bảo an toàn cho thiết bị và nhân viên kỹ thuật. Tiêu chuẩn đề cập đến các khe hở tối thiểu ở những độ cao khác nhau so với mực nước biển.
Thỏa thuận giữa nhà cung cấp và người mua: Các yêu cầu thử nghiệm và cách điện có thể được thay đổi và thỏa thuận giữa bên mua và bên cung cấp, ví dụ như khi máy biến áp hoạt động ở độ cao lớn hơn 1.000m so với mặt nước biển, cần có thiết kế khe hở không khí phù hợp.
Tiêu chuẩn này không chỉ ảnh hưởng đến các nhà sản xuất máy biến áp mà còn đến các kỹ sư thiết kế, lắp đặt và bảo trì các thiết bị điện lực, bởi vì nó quy định những yêu cầu kỹ thuật cụ thể cần tuân thủ trong quá trình sản xuất và lắp đặt máy biến áp điện lực. Việc tuân thủ TCVN 6306-3:2006 đảm bảo cho sự an toàn và hiệu quả trong quá trình sử dụng thiết bị điện lực.
Như vậy, TCVN 6306-3:2006 không chỉ là cơ sở pháp lý mà còn là kim chỉ nam cho các bên liên quan trong việc thiết kế, sản xuất và quản lý vận hành máy biến áp điện lực tại Việt Nam.
Tải tiêu chuẩn Việt Nam TCVN 6306-3:2006
TIÊU CHUẨN VIỆT NAM
TCVN 6306-3:2006
MÁY BIẾN ÁP ĐIỆN LỰC – PHẦN 3 : MỨC CÁCH ĐIỆN, THỬ NGHIỆM ĐIỆN MÔI VÀ KHOẢNG CÁCH LY BÊN NGOÀI KHÔNG KHÍ
Power transformers – Part 3: Insulation levels, dielectric tests and external clearances in air
Lời nói đầu
TCVN 6306-3 : 2006 thay thế TCVN 6306-3 : 1997 (IEC 76-3:1980) và TCVN 6306-3-1 : 1997 (IEC 76-3-1 : 1987);
TCVN 6306-3-1 : 2006 hoàn toàn tương đương với tiêu chuẩn IEC 60076-3 : 2000;
TCVN 6306-3 : 2006 do Ban kỹ thuật tiêu chuẩn TCVN/TC/E1 Máy điện và khí cụ điện biên soạn, Tổng cục Tiêu chuẩn Đo lường Chất lượng đề nghị, Bộ Khoa học và Công nghệ ban hành.
MÁY BIẾN ÁP ĐIỆN LỰC – PHẦN 3 : MỨC CÁCH ĐIỆN, THỬ NGHIỆM ĐIỆN MÔI VÀ KHOẢNG CÁCH LY BÊN NGOÀI KHÔNG KHÍ
Power transformers – Part 3: Insulation levels, dielectric tests and external clearances in air
1. Phạm vi áp dụng
Tiêu chuẩn này áp dụng cho máy biến áp điện lực ba pha và một pha (kể cả máy biến áp tự ngẫu), loại ngâm trong dầu trừ các máy biến áp đặc biệt và máy biến áp nhỏ, được xác định trong phạm vi áp dụng của TCVN 6306-1 (IEC 60076-1). Tiêu chuẩn này phân biệt các cuộn dây của máy biến áp dùng cho thiết bị Um kết hợp với mức cách điện danh định tương ứng của chúng và đề cập đến các thử nghiệm điện môi liên quan có thể áp dụng và khe hở không khí bên ngoài nhỏ nhất giữa các bộ phận mang điện của sứ xuyên và các vật có điện thế đất.
Đối với các loại của máy biến áp điện lực và cuộn kháng có tiêu chuẩn riêng thì tiêu chuẩn này chỉ áp dụng cho phần nhất định được viện dẫn trong các tiêu chuẩn riêng đó.
2. Tài liệu viện dẫn
Các tài liệu viện dẫn sau đây rất cần thiết cho việc áp dụng tiêu chuẩn. Đối với các tài liệu viện dẫn ghi năm ban hành thì áp dụng phiên bản được nêu. Đối với các tài liệu viện dẫn không ghi năm ban hành thì áp dụng phiên bản mới nhất. Tuy nhiên, các bên có thỏa thuận dựa trên tiêu chuẩn này cần nghiên cứu khả năng áp dụng phiên bản mới nhất của các tài liệu liệt kê dưới đây.
TCVN 6306-1 (IEC 60076-1), Máy biến áp điện lực – Phần 1: Qui định chung
TCVN 6989-1 (CISPR 16-1), Qui định đối với phương pháp và thiết bị đo nhiễu tần số radio và đo miễn nhiễm – Thiết bị đo nhiễu và đo miễn nhiễm tần số radio
IEC 60050 (421), International Electrotechnical Vocabulary (IEV) – Chapter 421: Power transformers and reactors (Từ vựng kỹ thuật điện quốc tế (IEV) – Chương 421: Máy biến áp điện lực và cuộn kháng)
IEC 60060-1, High-voltage test techniques – Part 1: General definitions and test requirements (Kỹ thuật thử nghiệm cao áp – Phần 1: Định nghĩa chung và các yêu cầu thử nghiệm)
IEC 60060-2, High-voltage test techniques – Part 2: Measuring systems (Kỹ thuật thử nghiệm cap áp – Phần 2: Hệ thống đo)
IEC 60071-1:1993, Insulation coordination – Part 1: Definitions, principles and rules (Cách điện phối hợp – Phần 1: Định nghĩa, qui định và qui tắc)
IEC 60071-2:1976, Insulation coordination – Part 2: Application guide (Cách điện phối hợp – Phần 2: Hướng dẫn áp dụng)
IEC 60137:1995, Bushings for alternating voltages above 1 000 V (Các sứ xuyên dùng cho điện áp xoay chiều trên 1 000 V)
IEC 60270, Partial discharge measurements (Phép đo phóng điện cục bộ)
IEC 60076-4, Power transformenrs – Guide to the lightning impulse and switching impulse testing – Power transformenrs and reactors (Máy biến áp điện lực – Hướng dẫn thử nghiệm xung sét và xung đóng cắt – Máy biến áp điện lực và cuộn kháng)
IEC 60790, Oscilloscopes and peak voltmeters for impulse tests (Đồng hồ đo điện áp đỉnh và máy hiện sóng dùng cho thử nghiệm xung)
IEC 61083-1, Digital recorders for measurements in high-voltage impulse tests – Part 2: Evaluation of software used for the determination of the parameters of impulse waveforms (Bộ ghi số dùng cho phép đo trong thử nghiệm xung điện áp cao – Phần 2: Đánh giá phần mềm sử dụng cho việc xác định các tham số của xung dạng sóng)
3. Định nghĩa
Tiêu chuẩn này áp dụng các định nghĩa dưới đây. Các thuật ngữ khác được sử dụng có ý nghĩa như đã chỉ ra trong TCVN 6306-1 (IEC 60076-1) hoặc IEC 60050 (421).
3.1.
Điện áp cao nhất dùng cho thiết bị Um có thể đặt lên cuộn dây máy biến áp (highest voltage for equipment Um applicable to a transformer winding)
Điện áp pha-pha hiệu dụng cao nhất trong hệ thống ba pha mà cuộn dây máy biến áp được thiết kế phù hợp với cách điện của nó.
3.2.
Mức cách điện danh định (rated insulation level)
Một tập hợp các điện áp chịu thử đặc trưng cho độ bền điện của cách điện
3.3.
Mức cách điện tiêu chuẩn (standard insulation level)
Mức cách điện danh định, các điện áp chịu thử tiêu chuẩn kết hợp với Um được khuyến cáo trong bảng 2 và bảng 3 của IEC 60071-1.
3.4.
Cách điện đồng nhất của cuộn dây máy biến áp (uniform insulation of a transformer winding)
Cách điện của cuộn dây máy biến áp khi tất cả các đầu dây của nó được nối đến các đầu nối có cùng mức cách điện danh định.
3.5.
Cách điện không đồng nhất của cuộn dây máy biến áp (non-uniform insulation of a transformer winding)
Cách điện của cuộn dây máy biến áp khi có một đầu nối trung bình tính dùng để nối đất trực tiếp hoặc gián tiếp, và được thiết kế với mức cách điện thấp hơn mức ấn định cho đầu nối pha.
4. Qui định chung
Các yêu cầu cách điện đối với máy biến áp điện lực và các thử nghiệm cách điện tương ứng được chia ra có liên quan đến các cuộn dây cụ thể và các đầu nối của chúng.
Đối với máy biến áp ngâm trong dầu, các yêu cầu này chỉ áp dụng cho cách điện bên trong. Bất cứ yêu cầu hoặc các thử nghiệm bổ sung nào liên quan đến cách điện bên ngoài được cho là cần thiết đều phải có điều kiện thỏa thuận giữa nhà cung cấp và người mua, kể cả các thử nghiệm điển hình trên một kiểu kết cấu phù hợp.
Nếu người mua dự định đầu nối máy biến áp theo cách có thể làm giảm khe hở không khí tạo ra bởi chính máy biến áp thì điều này phải được chỉ ra trong bản yêu cầu.
Khi một máy biến áp loại ngâm trong dầu được qui định để vận hành ở độ cao lớn hơn 1 000m so với mực nước biển, khe hở không khí phải được thiết kế phù hợp. Khi đó có thể cần phải chọn sứ xuyên được thiết kế với mức cách điện cao hơn mức qui định cho cách điện bên trong của cuộn dây máy biến áp, xem điều 16 của tiêu chuẩn này và 4.2 của IEC 60137.
Sứ xuyên phải chịu thử nghiệm thường xuyên và thử nghiệm điển hình riêng lẻ theo IEC 60137 để kiểm tra cách điện pha-đất của chúng, cách điện bên trong cũng như cách điện bên ngoài.
Giả định rằng sứ xuyên và bộ điều chỉnh theo nấc được qui định, thiết kế và thử nghiệm phù hợp với các tiêu chuẩn IEC liên quan. Tuy nhiên, thử nghiệm cách điện trên máy biến áp hoàn chỉnh có tác dụng kiểm tra việc ứng dụng và lắp đặt đúng các phần tử này.
Thông thường thử nghiệm cách điện phải được thực hiện tại xưởng chế tạo của nhà cung ứng ở nhiệt độ xấp xỉ nhiệt môi trường nhưng ít nhất là ở 10 0C.
Máy biến áp phải được lắp hoàn chỉnh như khi vận hành gồm cả các thiết bị giám sát. Tuy nhiên, không nhất thiết phải lắp các phần tử không làm ảnh hưởng đến độ bền điện của cách điện bên trong, ví dụ như thiết bị làm mát bên ngoài.
Nếu máy biến áp không đáp ứng được yêu cầu thử nghiệm của nó và bị hư hỏng một sứ xuyên thì cho phép tạm thời thay sứ này bằng một sứ xuyên khác và tiếp tục thử nghiệm trên máy biến áp đến khi hoàn thành. Một trường hợp đặc biệt nảy sinh đối với các thử nghiệm cho phép đo phóng điện cục bộ, đó là một số loại sứ xuyên cao áp thông dụng gây ra những khó khăn vì mức phóng điện cục bộ của chúng trong chất điện môi tương đối cao. Khi các sứ xuyên này được người qui định, cho phép thay chúng bằng sứ xuyên loại không có phóng điện cục bộ trong quá trình thử nghiệm máy biến áp, xem phụ lục A.
Máy biến áp đấu nối với hộp cáp hay đấu nối trực tiếp đến hệ thống lắp đặt SF6 có vỏ bọc kim loại thì cần thiết sao cho có thể đấu nối tạm thời dùng để thử nghiệm cách điện bằng cách sử dụng các sứ xuyên tạm thời, nếu cần. Bằng thỏa thuận, có thể thay sứ xuyên dầu/SF6 bằng sứ xuyên dầu/không khí thích hợp.
Khi nhà cung cấp dự định sử dụng các phần tử phi tuyến hoặc các chống sét, lắp bên trong hoặc bên ngoài máy biến áp, để hạn chế quá điện áp quá độ truyền tới, điều này phải tạo được chú ý cho người mua trong đơn đặt hàng và cần được chỉ ra ở sơ đồ mạch đi dây trên tấm thông số đặc trưng của máy biến áp.
5. Điện áp cao nhất dùng cho thiết bị và mức cách điện
Mỗi cuộn dây của máy biến áp, cả ở phía trung tính và phía đường dây đều được ấn định một giá trị điện áp thiết bị cao nhất Um, xem 3.1.
Các qui tắc phối hợp cách điện máy biến áp có liên quan đến quá điện áp quá độ được xác định một cách khác nhau phụ thuộc vào giá trị Um.
Khi các qui tắc về các thử nghiệm liên quan đối với các cuộn dây khác nhau trong máy biến áp là trái ngược nhau thì qui tắc dùng cho cuộn dây có giá trị Um cao nhất được áp dụng cho toàn bộ máy biến áp.
Các qui tắc dùng cho một số máy biến áp đặc biệt được nêu trong điều 6.
Giá trị tiêu chuẩn hóa của Um được liệt kê từ bảng 2 đến bảng 4. Giá trị sử dụng cho cuộn dây máy biến áp là giá trị bằng hoặc lớn hơn gần nhất giá trị danh định của cuộn dây.
CHÚ THÍCH 1: Các máy biến áp một pha được thiết kế để đấu sao tạo thành tổ máy biến áp ba pha được thiết kế theo điện áp danh định pha-đất, ví dụ 400/
kV. Giá trị pha-pha xác định việc lựa chọn Um, do vậy, trong trường hợp này Um = 420 kV.
CHÚ THÍCH 2: Có thể xảy ra trường hợp một số điện áp nấc được chọn cao hơn một chút so với giá trị tiêu chuẩn hóa Um, nhưng hệ thống mà cuộn dây sẽ được đấu vào lại có điện áp hệ thống cao nhất nằm trong giá trị tiêu chuẩn này. Yêu cầu cách điện phải phù hợp với điều kiện thực tế, và vì vậy giá trị tiêu chuẩn này phải được chấp nhận là Um cho máy biến áp, mà không phải là giá trị cao hơn gần nhất.
CHÚ THÍCH 3: Trong một số ứng dụng với các điều kiện rất đặc biệt, qui định cách phối hợp khác của điện áp chịu thử có thể phải kiểm tra. Trong trường hợp này, cần áp dụng hướng dẫn chung từ IEC 60071-1.
CHÚ THÍCH 4: Trong một số ứng dụng, các cuộn dây nối tam giác được nối đất qua một trong số các đầu nối bên ngoài. Trong các ứng dụng đó, có thể yêu cầu điện áp chịu thử cao hơn điện áp cao nhất dùng cho thiết bị Um đối với cuộn dây đó và phải được thỏa thuận giữa nhà cung ứng và người mua.
Điện áp cao nhất dùng cho thiết bị Um và các điện áp chịu thử ấn định của nó, tức là, mức cách điện của thiết bị, quyết định đặc trưng điện môi của máy biến áp. Các đặc trưng này được tra bằng một loạt các thử nghiệm điện môi phụ thuộc vào Um, xem điều 7.
Giá trị của Um và mức điện được ấn định cho từng cuộn dây của máy biến áp là một phần thông tin cần đưa ra trong bản yêu cầu đơn đặt hàng. Nếu có cuộn dây có cách điện không đồng nhất, thì việc ấn định Um và mức cách điện của đầu nối trung tính cũng phải được người mua qui định, xem 7.4.3.
Điện áp chịu thử danh định với tất cả các cuộn dây phải có trên tấm thông số đặc trưng. Các nguyên tắc ký hiệu viết tiêu chuẩn được chỉ dẫn trong một số ví dụ dưới đây.
Việc phân loại theo thiết kế cách điện phải độc lập với qui trình thử nghiệm rút ra từ các giá trị ở bảng 2, 3 và 4 hoặc từ IEC 60071-1. Vì trong hầu hết các trường hợp các thử nghiệm AC cảm ứng thời gian dài là các thử nghiệm kiểm tra chất lượng liên quan đến điều kiện vận hành và không phải là thử nghiệm kiểm tra thiết kế, nêu mức cách ly phải có đặc trưng như sau:
Um là điện áp cao nhất dùng cho thiết bị
SI/LI/AC,
trong đó có thể áp dụng -/LI/AC
Các chữ viết tắt ở đây và trong các ví dụ dưới đây có ý nghĩa như sau:
SI là điện áp chịu xung đóng cắt dùng cho đầu nối pha của cuộn dây có Um cao nhất;
LI là điện áp chịu xung sét dùng cho đầu nối trung tính và đầu nối pha của từng cuộn dây riêng rẽ;
AC điện áp chịu thử AC nguồn riêng và điện áp chịu thử AC cảm ứng thời gian ngắn dùng cho đầu nối trung tính và đầu nối pha của từng cuộn dây riêng;
h.v. điện áp cao;
l.v. điện áp thấp;
m.v. điện áp trung bình.
Ví dụ 1:
Um (h.v.) = 72,5 kV và Um (l.v.) = 12 kV, cả hai đều có cách điện đồng nhất, nối Y
Mức cách điện: đầu nối pha h.v và trung bình LI/AC 325/140 kV
đầu đối pha l.v và trung bình LI/AC 60/28 kV
Ví dụ 2:
Um (h.v.) pha = 245 kV, nối Y
Um (h.v) trung tính = 52 kV;
Um (m.v.) pha = 72,5 kV, cách điện đồng nhất, nối Y;
Um (l.v) pha = 24 kV, nối D.
Mức cách điện: đầu nối pha h.v SI/LI 650/850 kV
trung tính h.v LI/AC 250/95 kV
đầu nối pha và trung tính m.v LI/AC 325/140 kV
đầu nối pha l.v LI/AC 125/50 kV
Ví dụ 3:
Máy biến áp tự ngẫu có Um = 420 kV và 145 kV có Um = 17,5 kV ấn định cho trung tính nối đất trực tiếp, nối Y. Um (l.v) đầu nối pha = 24 kV, nối D.
Mức cách điện: đầu nối pha h.v. SI/LI 1 050/1 300 kV
đầu nối pha m.v. LI/AC 550/230 kV
trung tính h.v./m.v. LI/AC -/38 kV
đầu nối pha l.v LI/AC 125/50 kV
hoặc nếu có yêu cầu bổ sung thử nghiệm cảm ứng thời gian ngắn:
Mức cách điện: đầu nối pha h.v. SI/LI 1 050/1 300/570 kV
đầu nối pha m.v. LI/AC 550/230 kV
trung tính h.v./m.v. LI/AC -/38 kV
đầu nối pha l.v LI/AC 125/50 kV
6. Qui tắc đối với một số loại máy biến áp đặc biệt
Ở máy biến áp có cuộn dây cách điện đồng nhất có các giá trị Um khác nhau được nối với nhau bên trong máy biến áp (thường là máy biến áp tự ngẫu), điện áp thử nghiệm chịu thử AC nguồn riêng phải được xác định bằng cách điện của trung tính chung và giá trị ấn định Um của nó.
Ở máy biến áp có một hoặc nhiều cuộn dây có cách điện không đồng nhất, điện áp thử nghiệm dùng cho thử nghiệm điện áp chịu thử cảm ứng và điện áp dùng cho thử nghiệm xung đóng cắt nếu sử dụng, được xác định theo cuộn dây có giá trị Um cao nhất, nhưng các cuộn dây có giá trị Um nhỏ hơn có thể không nhận được điện áp thử nghiệm tương ứng của chúng. Thông thường nên chấp nhận mẫu thuẫn này. Nếu tỷ số các cuộn dây có thể thay đổi bằng cách thay đổi đầu ra thì nên sử dụng để đưa điện áp thử nghiệm dùng cho cuộn dây có giá trị điện áp Um thấp hơn càng gần đến giá trị thích hợp càng tốt.
Trong quá trình thử nghiệm xung đóng cắt, điện áp sinh ra trên các cuộn dây khác nhau là gần đúng theo tỷ số của vòng dây. Điện áp chịu xung đóng cắt danh định chỉ được ấn định cho cuộn dây có Um cao nhất. Ứng suất thử nghiệm trên các cuộn dây khác cũng tỷ lệ với tỷ số của vòng dây và được điều chỉnh bằng cách chọn các đầu ra thích hợp để càng gần với giá trị ấn định ở bảng 4 càng tốt. Ứng suất thử nghiệm xung đóng cắt trên các cuộn dây khác phải được giới hạn xấp xỉ 80 % điện áp chịu được xung sét ấn định tại các đầu nối này.
Các cuộn dây nối tiếp trong máy biến áp có điều chỉnh tăng áp, máy biến áp đổi pha, v.v… trong trường hợp điện áp danh định của cuộn dây chỉ là một phần nhỏ của điện áp hệ thống thì các cuộn dây nối tiếp này phải có giá trị Um tương ứng với điện áp hệ thống. Thường không thể thử nghiệm các máy biến áp này theo đúng tiêu chuẩn này mà cần có thỏa thuận giữa nhà cung ứng và khách hàng xem có thể bỏ qua hay sửa đổi thử nghiệm nào.
Đối với máy biến áp một pha được thiết kế để nối vào hai pha, như trong trường hợp hệ thống cung cấp điện cho tàu hỏa chạy điện, có thể cần sử dụng giá trị thử nghiệm cao hơn giá trị chỉ ra trong tiêu chuẩn này.
Chú ý đặc biệt đến đấu nối thử nghiệm và số lượng thử nghiệm cần thực hiện trên các máy biến áp có thể tháo ra nối lại nhiều lần phải được thỏa thuận tại thời điểm đặt đơn hàng.
7. Yêu cầu cách điện và thử nghiệm điện môi – Các qui tắc cơ bản
Cuộn dây máy biến áp được nhận biết bằng điện áp cao nhất dùng cho thiết bị Um kết hợp với mức cách điện tương ứng của chúng. Điều 7 đề cập đến các yêu cầu cách điện liên quan và các thử nghiệm điện môi có thể áp dụng. Đối với các loại máy biến áp điện lực và cuộn kháng có tiêu chuẩn thì các yêu cầu này chỉ có thể áp dụng cho phần nhất định được viện dẫn trong các tiêu chuẩn khác.
7.1. Qui định chung
Các qui tắc cơ bản đối với yêu cầu cách điện và thử nghiệm điện môi được tóm tắt trong bảng 1.
Các mức điện áp chịu thử tiêu chuẩn được nhận biết bằng điện áp cao nhất dùng cho thiết bị Um của cuộn dây được nêu trong bảng 2, 3 và 4. Việc chọn lựa các mức điện áp chịu thử tiêu chuẩn khác nhau trong các bảng này phụ thuộc chặt chẽ vào độ khắc nghiệt của điều kiện quá điện áp dự kiến trong hệ thống và phụ thuộc vào mức quan trọng của việc lắp đặt cụ thể. Có thể xem hướng dẫn trong IEC 60071-1.
CHÚ THÍCH 1: Ở một số nước, máy biến áp phân phối lắp đặt ở ngoại thành hoặc nông thôn phải chịu quá điện áp nặng nề. Trong các trường hợp như vậy, cần có thỏa thuận giữa nhà cung ứng và người mua về điện áp thử nghiệm cao hơn, thử nghiệm xung sét và các thử nghiệm khác nhau trên các khối riêng. Chúng phải được nêu rõ trong tài liệu yêu cầu.
CHÚ THÍCH 2: Sự phối hợp khác của Um có thể tồn tại ở một số nước.
Thông tin về yêu cầu chọn cách điện của máy biến áp và các thử nghiệm điện môi phải được cung cấp cùng với yêu cầu và đơn đặt hàng, xem phụ lục C.
Các yêu cầu cách điện được qui định trong 7.2. Việc kiểm tra điện áp chịu thử nghiệm điện môi được nêu trong 7.3. Các yêu cầu cách điện và các thử nghiệm đối với đầu nối trung tính của cuộn dây được nêu trong 7.4.
Việc mở rộng thử nghiệm xung sét để bảo trùm cả các xung bị cắt ở mặt sau xung là thử nghiệm đặc biệt, trong trường hợp biến áp được nối trực tiếp tới GIS bằng sứ xuyên dầu/SF6 hoặc khi máy biến áp được bảo vệ bằng các khe hở thanh. Giá trị đỉnh của xung cắt ở mặt sau xung phải cao hơn 10 % so với xung đầy đủ.
Đối với máy biến áp có cuộn dây áp cao có Um > 72,5 kV, thử nghiệm xung sét là thử nghiệm thường xuyên cho tất cả các cuộn dây của máy biến áp.
Bảng 1 – Yêu cầu và thử nghiệm đối với các loại cuộn dây khác nhau
| Loại cuộn dây | Điện áp cao nhất cùng cho thiết bị Um kV | Thử nghiệm | ||||
| Xung sét (LI) (xem điều 13 và 14) | Xung đóng cắt (SI) (Xem điều 15) | AC thời gian dài (ACLD) (Xem 12.4) | AC thời gian ngắn (ACSD) (xem 12.2 hoặc 12.3) | AC nguồn riêng (xem điều 11) | ||
| Cách điện đồng nhất | Um £ 72,5 | Điển hình (Chú thích 1) | Không áp dụng | Không áp dụng (Chú thích 1) | Thường xuyên | Thường xuyên |
| Cách điện đồng nhất và không đồng nhất | 72,5 < Um < 170 | Thường xuyên | Không áp dụng | Đặc biệt | Thường xuyên | Thường xuyên |
| 170 < Um < 300 | Thường xuyên | Thường xuyên (Chú thích 2) | Thường xuyên | Đặc biệt (Chú thích 2) | Thường xuyên | |
| Um ³ 300 | Thường xuyên | Thường xuyên | Thường xuyên | Đặc biệt | Thường xuyên | |
| CHÚ THÍCH 1: Ở một số nước, đối với máy biến áp có Um £ 72,5, thử nghiệm LI được yêu cầu là thử nghiệm thường xuyên, và thử nghiệm ACLD được yêu cầu là thử nghiệm thường xuyên hoặc thử nghiệm điển hình. CHÚ THÍCH 2: Nếu thử nghiệm ACSD là qui định thì không yêu cầu thử nghiệm SI. Điều này phải được chỉ rõ trong tài liệu yêu cầu. | ||||||
7.2. Yêu cầu cách điện
Các yêu cầu điện môi tiêu chuẩn là:
- nếu có thể áp dụng bảng 1 thì điện áp chịu xung đóng cắt tiêu chuẩn (SI) dùng cho đầu nối pha theo bảng 4;
- điện áp chịu xung sét tiêu chuẩn (LI) dùng cho đầu nối pha theo bảng 2,3 hoặc 4;
- nếu có qui định, điện áp chịu xung tiêu chuẩn (LI) dùng cho đầu nối trung tính; đối với cách điện đồng nhất, giá trị đỉnh của điện áp xung giống như đối với đầu nối pha; đối với cách điện không đồng nhất, giá trị đỉnh của điện áp xung như qui định trong 7.4.3;
- điện áp chịu thử AC nguồn riêng tiêu chuẩn theo bảng 2,3 hoặc 4;
- nếu có thể áp dụng bảng 1, điện áp chịu thử AC cảm ứng thời gian ngắn (ACSD) dùng cho đầu nối pha theo bảng 2,3 hoặc 4 và 12.2 hoặc 12.3
- nếu có thể áp dụng bảng 1, điện áp chịu thử AC cảm ứng thời gian dài (ACLD) có phép đo phóng điện cục bộ theo 12.4.
Bảng 2 – Điện áp chịu thử danh định cho cuộn dây máy biến áp có điện áp cao nhất dùng cho thiết bị Um £ 170 kV –
Nhóm I dựa trên thực tế ở Châu Âu
| Điện áp cao nhất dùng cho thiết bị Um giá trị hiệu dụng, kV | Điện áp chịu xung sét danh định giá trị đỉnh kV | Điện áp chịu thử AC nguồn riêng hoặc điện áp chịu thử cảm ứng thời gian ngắn danh định giá trị hiệu dụng, kV |
|
| ||
| CHÚ THÍCH: Đường chấm chấm biểu thị có thể yêu cầu bổ sung thử nghiệm chịu thử pha-pha để chứng minh rằng đáp ứng được điện áp chịu thử pha-pha yêu cầu. | ||
Cuộn dây điện áp thấp có Um £ 1,1 kV phải được thử nghiệm với điện áp chịu thử AC nguồn riêng 3 kV.
7.3. Thử nghiệm điện môi
Các yêu cầu về điện môi tiêu chuẩn được kiểm tra bằng các thử nghiệm điện môi. Trong trường hợp có thể áp dụng và không có thỏa thuận nào khác, chúng phải được thực hiện theo thứ tự sau đây.
- Thử nghiệm xung đóng cắt (SI) đối với đầu nối, xem điều 15
Thử nghiệm này nhằm kiểm tra độ bền chịu xung đóng cắt của đầu nối pha và (các) cuộn dây nối vào đầu nối với đất và với các cuộn dây khác, độ bền chịu thử giữa các pha và dọc theo (các) cuộn dây cần thử nghiệm.
Thử nghiệm này là yêu cầu cần thiết đối với máy biến áp phải chịu thử nghiệm điện áp chịu thử AC cảm ứng thời gian dài (ACLD).
- Thử nghiệm xung sét (LI) đối với đầu nối pha, xem điều 13
Thử nghiệm này nhằm kiểm tra độ bền chịu xung của máy biến áp cần thử nghiệm khi xung được đặt vào đầu nối pha của máy biến áp. Nếu thử nghiệm xung sét bao trùm cả xung cắt ở mặt sau xung (LIC), thì thử nghiệm xung được thay đổi theo điều 14.
- Thử nghiệm xung sét (LI) đối với nối trung tính, xem 13.3.2
Thử nghiệm này nhằm kiểm tra điện áp chịu xung của đầu nối trung tính và cuộn dây nối vào đầu nối với đất và với các cuộn dây khác, và dọc theo (các) cuộn dây cần thử nghiệm.
Thử nghiệm này được yêu cầu nếu có qui định điện áp chịu xung tiêu chuẩn đối với trung tính.
- Thử nghiệm điện áp chịu thử AC nguồn riêng (thử nghiệm đặt điện thế), xem điều 11.
Thử nghiệm này nhằm kiểm tra độ bền chịu thử AC của đầu nối pha và đầu nối trung tính và cuộn dây nối vào đầu nối với đất và với các cuộn dây khác.
- Thử nghiệm điện áp chịu thử AC cảm ứng thời gian ngắn (ACSD), xem 12.2 và 12.3
Thử nghiệm này nhằm kiểm tra độ bền chịu thử AC của đầu nối pha và (các) cuộn dây nối vào đầu nối với đất và các cuộn dây khác, độ bền chịu thử giữa các pha và dọc theo cuộn dây cần thử nghiệm.
Thử nghiệm phải được thực hiện theo 12.2 đối với cách điện đồng nhất và 12.3 đối với cách điện không đồng nhất.
Đối với Um > 75,5 kV, thử nghiệm được thực hiện bình thường với phép đo phóng điện cục bộ để kiểm tra sự vận hành không phóng điện cục bộ của máy biến áp trong các điều kiện thao tác. Bằng thỏa thuận giữa nhà cung cấp và người mua, phép đo phóng điện cục bộ có thể được thực hiện đối với Um £ 72,5 kV.
- Thử nghiệm điện áp AC cảm ứng thời gian dài (ACLD), xem 12.4
Thử nghiệm này không phải là thử nghiệm kiểm tra thiết kế mà là thử nghiệm kiểm tra chất lượng, và bao trùm được ứng suất quá điện áp tạm thời và ứng suất vận hành liên tục. Thử nghiệm này kiểm tra hoạt động không phóng điện cục bộ của máy biến áp trong các điều kiện thao tác.
Bảng 3 – Điện áp chịu thử danh định đối với cuộn dây máy biến áp có điện áp cao nhất dùng cho thiết bị Um £ 169 kV –
Nhóm 2 dựa trên thực tế ở Bắc Mỹ
| Điện áp cao nhất dùng cho thiết bị Um giá trị hiệu dụng kV | Điện áp chịu thử xung sét danh định giả đỉnh, kV | Điện áp chịu thử AC nguồn riêng hoặc điện áp chịu thử cảm ứng thời gian ngắn danh định giá trị hiệu dụng, kV | ||
|
| Máy biến áp phân phối (chú thích 1) và máy biến áp cấp I (chú thích 2) | Máy biến áp cấp II (chú thích 3) | Máy biến áp cấp I và máy biến áp phân phối | Máy biến áp cấp II |
|
| ||||
| CHÚ THÍCH 1: Máy biến áp phân phối truyền tải điện năng từ mạch phân phối sơ cấp sang mạch phân phối thứ cấp. CHÚ THÍCH 2: Máy biến áp điện lực cấp I kể cả cuộn dây điện áp cao có Um £ 72,5 kV. CHÚ THÍCH 3: Máy biến áp điện lực II kể cả cuộn dây điện áp cao có Um ³ 121 kV. | ||||
Bảng 4 – Điện áp chịu thử danh định đối với cuộn dây máy biến áp có Um > 170 kV.
| Điện áp cao nhất dùng cho thiết bị Um giá trị hiệu dụng kV | Điện áp danh định đóng cắt pha-đất giá trị đỉnh, kV | Điện áp chịu thử xung sét danh định giá trị đỉnh, kV | Điện áp chịu thử AC nguồn riêng hoặc điện áp chịu thử cảm ứng thời gian ngắn danh định giá trị hiệu dụng, kV |
|
| |||
| CHÚ THÍCH 1: Đường chấm chấm không được in ở IEC 60071-1 nhưng đang hiện hành ở một số nước. CHÚ THÍCH 2: Đối với máy biến áp cách điện đồng nhất có mức cách điện AC danh định cực thấp, có thể phải dùng biện pháp đặc biệt để thực hiện thử nghiệm AC cảm ứng thời gian ngắn, xem 12.2 CHÚ THÍCH 3: Không áp dụng, trừ khi có thỏa thuận khác. CHÚ THÍCH 4: Đối với các điện áp trong cột cuối, điện áp thử nghiệm cao hơn có thể được yêu cầu để chứng minh rằng đáp ứng được điện áp chịu thử pha-pha yêu cầu. Điều này có hiệu lực đối với mức cách điện thấp hơn được ấn định cho các Um khác nhau trong bảng. | |||
7.4. Yêu cầu về cách điện và các thử nghiệm đối với đầu nối trung tính của cuộn dây
7.4.1 Qui định chung
Mức cách điện cần thiết phụ thuộc vào việc đầu nối trung tính được thiết kế để nối đất trực tiếp, không nối đất hoặc nối đất qua một trở kháng. Nếu đầu nối trung tính không được nối đất trực tiếp phải lắp một thiết bị bảo vệ quá điện áp giữa đầu nối trung tính và đất để giới hạn điện áp quá độ.
CHÚ THÍCH: Các khuyến cáo dưới đây liên quan đến xác định điện áp chịu thử tối thiểu cần thiết đối với đầu nối trung tính. Việc tăng giá này đôi khi có thể dễ dàng sắp xếp và có thể nâng cao khả năng lắp lẫn của máy biến áp trong hệ thống. Đối với cách điện không đồng nhất có thể cần thiết kế cuộn dây có mức cách điện trung tính cao hơn vì phải sử dụng đầu nối thử nghiệm dùng cho thử nghiệm chịu thử AC của máy biến áp, xem 12.3.
7.4.2 Đầu nối trung tính nối đất trực tiếp
Đầu nối trung tính phải được nối cố định với đất, trực tiếp hoặc qua máy biến dòng, nhưng không dự kiến lắp thêm trở kháng nào vào mối nối này.
Trong trường hợp đó, điện áp chịu thử AC nguồn riêng phải ít nhất là 38 kV (ở Châu Âu) hoặc 34 kV (ở Bắc Mỹ).
Không cần thử nghiệm xung trên đầu nối trung tính. Trong quá trình thử nghiệm xung trên đầu nối pha, trung tính phải được nối trực tiếp với đất.
7.4.3 Đầu nối trung tính không nối đất trực tiếp
Đầu nối trung tính không cần nối cố định vào nối trực tiếp với đất. Nó có thể với đất pha một trở kháng đáng kể (ví dụ như qua cuộn dập hồ quang). Đầu nối trung tính của cuộn dây pha riêng biệt có thể được nối với máy biến áp điều chỉnh.
Trách nhiệm của người mua là chọn thiết bị bảo vệ quá điện áp, xác định mức bảo vệ xung của nó, và qui định điện áp chịu xung tương ứng đối với đầu nối trung tính của máy biến áp. Ấn định Um thích hợp đối với trung tính và phải chọn từ bảng 2,3 hoặc 4, và áp dụng điện áp chịu thử AC nguồn riêng danh định tương ứng từ bảng đó. Điện áp chịu thử AC phải lớn hơn quá điện áp lớn nhất sinh ra trong điều kiện sự cố hệ thống.
Điện áp chịu xung danh định của đầu nối trung tính phải được kiểm tra bằng một trong hai thử nghiệm mô tử ở 13.3.2. Không áp dụng thử nghiệm xung sóng cất trên trung tính. Đối với máy biến áp có cuộn dây có nấc điều chỉnh gần đầu trung tính của cuộn dây, nếu không có thỏa thuận khác giữa người mua và nhà cung cấp thì phải chọn cách đấu nối nấc điều chỉnh với tỷ số vòng dây lớn nhất cho thử nghiệm xung.
8. Thử nghiệm trên máy biến áp có cuộn dây có nấc điều chỉnh
Nếu dải điều chỉnh điện áp là ± 5 % hoặc nhỏ hơn, các thử nghiệm, điện môi phải được thực hiện với máy biến áp được nối với nấc điều chỉnh chính.
Nếu dải điều chỉnh lớn hơn ± 5 %, việc lựa chọn nấc điều chỉnh không thể qui định chung và phải áp dụng như dưới đây:
Các điều kiện thử nghiệm xác định việc chọn nấc điều chỉnh yêu cầu đối với thử nghiệm AC cảm ứng và đối với thử nghiệm xung đóng cắt (SI), xem điều 6.
Trong thử nghiệm xung sét (LI), các ứng suất điện môi được phân bố khác nhau phụ thuộc vào đầu nối nấc điều chỉnh điện áp và thiết kế chung của máy biến áp. Nếu không có thỏa thuận về thử nghiệm xung ở một nấc điều chỉnh cụ thể thì sử dụng hai nấc điều chỉnh biên và nấc điều chỉnh chính, một nấc điều chỉnh cho từng pha riêng rẽ của máy biến áp ba pha hoặc cho ba máy biến áp một pha được thiết kế để tạo thành tổ máy ba pha. Đối với thử nghiệm xung trên đầu nối trung tính, xem 7.4.3.
9. Thử nghiệm điện môi lặp lại
Đối với máy biến áp đã được vận hành và đã được sửa chữa hoặc bảo hành, thử nghiệm điện môi theo điều 7.2, 7.3 và 7.4 phải được lặp lại ở mức thử nghiệm bằng 80 % giá trị ban đầu, nếu không có thỏa thuận nào khác và với điều kiện là cách điện bên trong không được thay đổi. Thử nghiệm AC cảm ứng thời gian dài (ACLD) theo 12.4 phải luôn được lặp lại ở 100 % mức thử nghiệm.
CHÚ THÍCH: Tiêu chí phóng điện cục bộ cần được thỏa thuận giữa người mua và nhà cung cấp phụ thuộc vào mức độ sữa chữa.
Lặp lại các thử nghiệm được yêu cầu để chứng tỏ rằng các máy biến áp chưa qua sử dụng, đã được thử nghiệm trong xưởng theo 7.2, 7.3 và 7.4, vẫn đáp ứng được các yêu cầu của tiêu chuẩn này luôn vận hành ở 100 % mức thử nghiệm.
10. Cách điện của hệ thống đi dây phụ trợ
Nếu không có qui định nào khác, hệ thống đi dây dùng cho mạch điện phụ trợ và mạch điều khiển phải chịu trong 1 min thử nghiệm AC nguồn riêng với giá trị hiệu dụng 2 kV với đất. Động cơ và các thiết bị khác dùng cho thiết bị phụ trợ phải đáp ứng đủ các yêu cầu cách điện theo tiêu chuẩn IEC liên quan (nói chung các yêu cầu này thấp hơn giá trị qui định riêng cho dây điện và vì thế đôi khi cần tháo chúng ra để thử các mạch điện).
CHÚ THÍCH: Thiết bị phụ trợ của các máy biến áp lớn thường được tháo dỡ để chuyên chở. Sau khi hoàn thành lắp đặt tại hiện trường nên thử nghiệm bằng megomét 1 000 V. Mọi thiết bị điện từ có điện áp chịu thử nhỏ hơn 1 000 V cần được tháo ra trước khi tiến hành thử nghiệm này.
11. Thử nghiệm điện áp chịu thử AC nguồn riêng
Thử nghiệm điện áp chịu thử AC nguồn riêng phải được thực hiện với điện áp xoay chiều một pha gần dạng sóng sin càng tốt và tần số không nhỏ hơn 80 % tần số danh định.
Phải đo giá trị điện áp đỉnh. Giá trị đỉnh chia cho
phải bằng giá trị thử nghiệm.
Thử nghiệm phải được bắt đầu ở điện áp không lớn hơn 1/3 giá trị thử nghiệm qui định, rồi tăng nhanh đến giá trị thử nghiệm. Cuối thử nghiệm, điện áp phải được giảm nhanh xuống thấp hơn 1/3 giá trị thử nghiệm trước khi cắt điện. Ở cuộn dây có cách điện không đồng nhất, thử nghiệm được thực hiện với điện áp thử nghiệm qui định cho đầu nối trung tính. Sau đó đầu nối pha phải chịu được thử nghiệm điện áp chịu thử AC cảm ứng theo 12.3 hoặc 12.4.
Điện áp thử nghiệm toàn bộ phải được đặt trong 60 s, một cực đặt lên tất cả các đầu nối của cuộn dây cần thử nghiệm được nối với nhau và cực kia lên tất cả các đầu nối của các cuộn dây còn lại, lõi, khung và thùng hoặc vỏ của máy biến áp nối với nhau và nối với đất.
Thử nghiệm là đạt yêu cầu nếu không xảy ra sụt điện áp thử nghiệm.
12. Thử nghiệm điện áp AC cảm ứng (ACSD, ACLD)
12.1. Qui định chung
Các điều 12.2 và 12.3 đề cập đến các thử nghiệm chịu thử AC cảm ứng thời gian ngắn (ACSD) đối với cách điện đồng nhất và cách điện không đồng nhất. Đối với Um > 72,5 kV, thử nghiệm ACSD được thực hiện bình thường với phép đo phóng điện cục bộ. Phép đo phóng điện cục bộ trong toàn bộ quá trình thử nghiệm là công cụ quan trọng đối với nhà cung cấp cũng như đối với người mua. Đo phóng điện cục bộ trong quá trình thử nghiệm có thể phát hiện không đủ cách điện trước khi xuất hiện phóng điện đánh thủng. Thử nghiệm này kiểm tra hoạt động không phóng điện cục bộ của máy biến áp trong các điều kiện vận hành.
Các yêu cầu đối với phép đo phóng điện cục bộ trong quá trình thử nghiệm ACSD có thể bỏ qua. Điều này phải chỉ rõ trong bản yêu cầu và đơn đặt hàng.
Điều 12.4 đề cập đến thử nghiệm điện áp AC cảm ứng thời gian dài (ACLD) đối với cách điện đồng nhất và không đồng nhất. Thử nghiệm này thường được thực hiện với phép đo phóng điện cục bộ trong toàn bộ quá trình thử nghiệm.
Đặt điện áp xoay chiều lên các đầu nối của một cuộn dây máy biến áp. Dạng sóng của điện áp phải càng gần hình sin càng tốt và tần số đủ cao so với tần số danh định để tráng dòng điện từ hóa quá mức trong khi thử nghiệm.
Phải đo giá trị đỉnh của điện áp thử nghiệm cảm ứng. Giá trị đỉnh chia cho
phải bằng giá trị thử nghiệm.
Nếu không có qui định nào khác, thời gian thử nghiệm ở toàn bộ điện áp thử nghiệm phải là 60 s đối với tất cả tần số thử nghiệm và bằng hai lần tần số danh định. Khi tần số thử nghiệm vượt quá hai lần tần số danh định thì thời gian thử nghiệm bằng giây phải là:
120 x
, nhưng không nhỏ hơn 15 s
12.2. Thử nghiệm điện áp chịu thử AC cảm ứng thời gian ngắn (ACSD) đối với máy biến áp có các cuộn dây điện áp cao cách điện đồng nhất.
Tất cả các máy biến áp ba pha phải được thử nghiệm với nguồn cung cấp ba pha đối xứng. Nếu máy biến áp có trung tính thì trung tính này phải được nối đất khi thử nghiệm. Ở máy biến áp có các cuộn dây cách điện đồng nhất, chỉ cần thực hiện các thử nghiệm pha-pha. Các thử nghiệm pha-đất được đề cập trong thử nghiệm AC nguồn riêng theo điều 11.
Tùy thuộc vào điện áp cao nhất dùng cho thiết bị Um thử nghiệm phải được thực hiện theo 12.2.1 hoặc 12.2.2.
12.2.1 Máy biến áp có Um £ 72,5 kV
Điện áp thử nghiệm pha-pha không vượt quá điện áp chịu thử AC cảm ứng danh định trong bảng 2 hoặc bảng 3. Về nguyên tắc, điện áp thử nghiệm đặt lên cuộn dây máy biến áp không có điều chỉnh điện áp phải càng gần với hai lần điện áp danh định càng tốt. Thông thường, không thực hiện phép đo phóng điện cục bộ trong thử nghiệm này.
Thử nghiệm phải bắt đầu ở điện áp không lớn hơn 1/3 giá trị thử nghiệm, rồi tăng nhanh đến giá trị thử nghiệm. Cuối thử nghiệm, điện áp phải được giảm nhanh xuống nhỏ hơn 1/3 giá trị thử nghiệm trước khi ngắt điện.
Thử nghiệm là đạt yêu cầu nếu không xảy ra sụt điện áp thử nghiệm.
12.2.2 Máy biến áp có Um > 72,5 kV
Nếu không có thỏa thuận khác, tất cả các máy biến áp này phải được thử nghiệm với phép đo phóng điện cục bộ. Điện áp thử nghiệm pha-pha không được vượt quá điện áp chịu thử AC danh định ở bảng 2, 3 hoặc 4. Về nguyên tắc, điện áp thử nghiệm đặt lên cuộn dây máy biến áp không có điều chỉnh điện áp phải càng gần với hai lần điện áp danh định càng tốt.
Tính năng phóng điện cục bộ phải được khống chế theo trình tự thời gian đặt điện áp như chỉ ra trong hình 1.
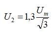
Để không vượt quá điện áp chịu thử danh định giữa các pha theo bảng 2, 3 và 4, mức đánh giá phóng điện cục bộ U2 phải là:
1,3 Um /
pha-đất và
1,3 Um pha-pha
Phụ lục D, bảng D.1 chỉ ra điện áp thử nghiệm U1, có được từ bảng 2 hoặc bảng 4 và giá trị tương ứng của U2.
Điện áp liên quan đến đất phải:
- được đóng ở mức không cao hơn 1/3 U2;
- tăng đến 1,1 Um /
và giữ ở mức đó trong 5 min;
- tăng đến U2 và giữ ở mức đó trong 5 min;
- tăng đến U1, giữ ở mức đó trong thời gian thử nghiệm được chỉ ra ở 12.1;
- ngay sau thời gian thử nghiệm, giảm không có gián đoạn đến U2 và giữ ở đó trong khoảng ít nhất 5 min để đo phóng điện cục bộ;
- giảm đến 1,1 Um /
và giữ ở mức đó trong 5 min;
- giảm đến giá trị thấp hơn 1/3 U2 trước khi cắt điện.

A = 5 min
B = 5 min
C = thời gian thử nghiệm
D ³ 5 min
E = 5 min
Hình 1 – Trình tự thời gian đặt điện áp thử nghiệm có liên quan đến đất
Quá trình tăng điện áp lên một mức và giảm từ U2 xuống, phải ghi lại các điện áp khi bắt đầu phóng điện cục bộ và điện áp khi hết phóng điện cục bộ.
Mức ồn nền không được quá 100 pC.
CHÚ THÍCH: Mức ồn nền nên nhỏ hơn đáng kể so với 100 pC để đảm bảo rằng bất cứ sự bắt đầu và kết thúc phóng điện cục bộ nào đều có thể được nhận ra và được ghi lại. Giá trị 100 pC đề cập ở trên tại 1,1 Um /
là có thể chấp nhận được cho thử nghiệm này.
Thử nghiệm là đạt yêu cầu nếu:
- không xảy ra sụt điện áp thử nghiệm;
- mức liên tục của điện tích biểu kiến’ tại U2 trong 5 min thứ hai không vượt quá 300 pC trong tất cả các đầu nối đo;
- phóng điện cục bộ không cho thấy có khuynh hướng tăng lên đều đặn;
- mức liên tục của điện tích biểu kiến không quá 100 pC tại 1,1 Um /
.
Nếu không đáp ứng được tiêu chí phóng điện cục bộ thì phải thống nhất giữa người mua và nhà cung cấp để có các xem xét tiếp theo (phụ lục A). Trong trường hợp này, có thể thực hiện thử nghiệm điện áp AC cảm ứng thời gian dài (xem 12.4). Nếu máy biến áp đáp ứng được các yêu cầu của 12.4, thử nghiệm được xem là đạt yêu cầu.
12.3. Thử nghiệm điện áp chịu thử AC thời gian ngắn (ACSD) đối với máy biến áp có cuộn dây điện áp cao cách điện không đồng nhất.
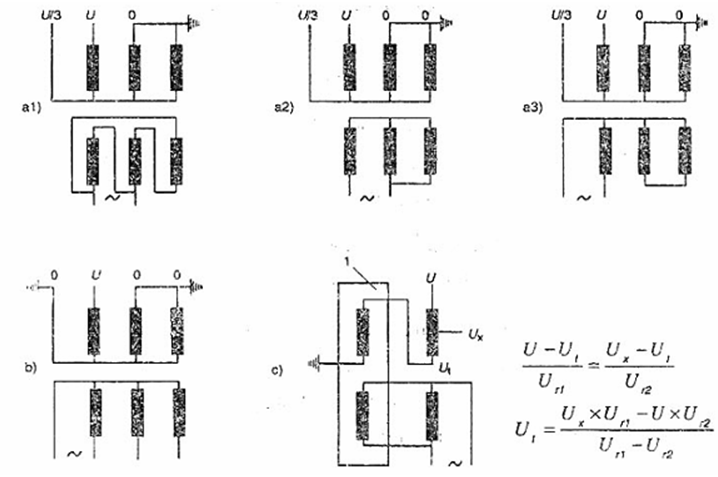
Đối với máy biến áp ba pha, yêu cầu hai loạt thử nghiệm sau, cụ thể là:
a) Thử nghiệm pha-đất đối với điện áp thử nghiệm danh định giữa pha và đất theo bảng 2, 3 hoặc 4 với phép đo phóng điện cục bộ.
b) Thử nghiệm pha-pha có trung tính nối đất và có điện áp chịu thử nghiệm giữa các pha theo các bảng 2, 3 hoặc 4 với phép đo phóng điện cục bộ. Thử nghiệm phải được thực hiện theo 12.2.2.
Ở máy biếp áp một pha, chỉ yêu cầu thử nghiệm pha-đất. Thử nghiệm này thường được thực hiện với đầu nối trung bình nối đất. Nếu tỷ số giữa các cuộn dây được thay đổi bằng nấc điều chỉnh thì tỷ số này được dùng để thỏa mãn đồng thời các điều kiện điện áp thử nghiệm trên các cuộn dây khác nhau trong phạm vi có thể. Trong trường hợp ngoại lệ, xem điều 6, điện áp nối trung tính có thể được tăng bằng cách nối với máy biến áp tăng áp phụ. Trong trường hợp này, trung tính phải được cách ly thích hợp.
Qui trình thử ngiệm đối với máy biến áp ba pha gồm ba lần đặt điện áp thử nghiệm một pha, mỗi lần nối đất tại một điểm khác nhau của cuộn dây. Cách đầu nối thử nghiệm nên sử dụng để tránh quá điện áp quá mức giữa các đầu nối pha được thể hiện trên hình 2. Cũng có thể có các phương pháp khác.
Nói chung, các cuộn dây riêng biệt khác phải được nối đất tại trung tính nếu chúng được nối sao và nối đất tại một trong các đầu nối nếu chúng được nối tam giác.
Điện áp trên mỗi vòng dây trong thử nghiệm có giá trị khác nhau phụ thuộc vào cách đấu nối thử nghiệm. Việc lựa chọn cách đầu nối thử nghiệm thích hợp xác định bởi đặc tính của máy biến áp liên quan đến điều kiện làm việc hoặc các giới hạn của thiết bị thử nghiệm. Thời gian thử nghiệm và trình tự thời gian đặt điện áp thử nghiệm phải như mô tả ở 12.1 và 12.2.2.
Để đánh giá quá trình phóng điện cục bộ, trong khi thử nghiệm pha-pha, các phép đo phải thực hiện ở U2 = 1,3 Um.
CHÚ THÍCH: Giá trị U2 = 1,3 Um có hiệu lực đến Um = 550 kV với giá trị thử nghiệm AC lớn hơn 510 kV. Đối với Um = 420 kV và 550 kV với giá trị thử nghiệm AC là 460 kV hoặc 510 kV, mức đánh giá phóng điện cục bộ nên giảm đến U2 = 1,2 Um để không vượt quá điện áp chịu thử AC ở bảng 4.
Đối với ba thử nghiệm một pha cho cách điện pha-đất, U1 là điện áp thử nghiệm theo bảng 2, 3 hoặc 4 và U2 = 1,5 Um /
. Các ví dụ được nêu trong bảng D.2.
CHÚ THÍCH 1: Trong trường hợp máy biến áp có cách bố trí cuộn dây phức tạp, toàn bộ cách điện đầu nối của tất cả các cuộn dây trong khi thử nghiệm nên được xem xét giữa nhà cung cấp và người mua ở giai đoạn hợp đồng, để thử nghiệm có thể phản ánh đúng nhất sự kết hợp các ứng suất trong vận hành thực tế.
CHÚ THÍCH 2: Một thử nghiệm chịu thử AC cảm ứng bổ sung với điện áp ba pha đối xứng sinh ra ứng suất cao hơn giữa các pha. Nếu thử nghiệm này được qui định, khe hở không khí giữa các pha phải được điều chỉnh thích hợp và qui định trong giai đoạn hợp đồng.
CHÚ THÍCH 3: Ở Pháp, phép đo phóng điện cục bộ trong thử nghiệm AC thời gian ngắn trên cuộn dây điện áp cao cách điện không đồng nhất không được chấp nhận.
Thử nghiệm đạt yêu cầu nếu không xảy ra sụt điện áp thử nghiệm và nếu phép đo phóng điện cục bộ đáp ứng đủ yêu cầu trong 12.2.2 cùng với thay đổi sau:
Mức liên tục của ‘điện tích biểu kiến’ tại U2 trong thời gian 5 min thứ hai không được vượt quá 500 pC trên tất cả các đầu nối đo đối với các thử nghiệm một pha tại U2 = 1,5 Um /
pha-đất, hoặc 300 pC đối với thử nghiệm pha-pha tại U = 1,3 Um hoặc nếu có thể được yêu cầu ở giá trị kết hợp xoay chiều cực thấp tại 1,2 Um.

Ký hiệu
1 máy biến áp tăng áp phụ
U là điện áp thử nghiệm AC pha-đất như chỉ ra ở bảng 2, 3 hoặc 4
Hình 2 – Cách đầu nối để thử nghiệm điện áp chịu thử AC cảm ứng một pha (ACSD) trên máy biến áp có cách điện không đồng nhất
Cách nối a) có thể được sử dụng khi trung tính được thiết kế để chịu ít nhất là 1/3 điện áp U. Ba cách nối máy phát khác nhau đối với cuộn dây điện áp thấp cũng được thể hiện. Chỉ có thể chọn a1) nếu máy biến áp có đường từ trở về không quấn dây (dạng vỏ hoặc dạng lõi năm trụ).
Cách nối b) có thể và nên sử dụng cho máy biến áp pha có đường từ trở về không quấn dây đối với từ thông trong trụ thử nghiệm. Nếu có cuộn dây nối tam giác thì nó phải được tách ra trong quá trình thử nghiệm.
Cách nối c) thể hiện một máy biến áp tăng áp phụ tạo ra điện áp lệch Ut tại đầu nối trung tính của máy biến áp tự ngẫu cần thử nghiệm. Điện áp danh định của hai cuộn dây nối tự ngẫu là Ur1 và Ur2 còn điện áp thử nghiệm tương ứng là U, Ux. Cách nối này có thể cũng được sử dụng đối với máy biến áp không có đường từ trở về không quấn dây có cách điện trung tính được thiết kế thấp hơn 1/3 điện áp U.
12.4. Thử nghiệm điện áp AC cảm ứng thời gian dài (ACLD) có các cuộn dây điện áp cao cách điện đồng nhất và/hoặc không đồng nhất, theo bảng 1
Máy biến áp ba pha phải được thử nghiệm từng pha một theo cách đấu nối một pha tạo ra các điện áp trên các đầu nối pha hình 3, hoặc theo cách đấu nối ba pha đối xứng. Cách đấu nối thứ hai yêu cầu có các chú ý đặc biệt, xem chú thích 1 dưới đây.
Máy biến áp ba pha được cấp nguồn từ phía cuộn dây điện áp thấp, cuộn dây điện áp cao nối tam giác có thể nhận điện áp thử nghiệm thích hợp như mô tả dưới đây chỉ trong thử nghiệm ba pha có cuộn dây điện áp cao tự lựa. Vì các điện áp liên quan đến đất trong thử nghiệm này phụ thuộc hoàn toàn vào điện dung pha-đất và các cuộn dây khác, nên thử nghiệm này không nên thực hiện với Um £ 245 kV trong bảng 1. Bất cứ phóng điện bề mặt nào từ một trong các đầu nối pha xuống đất có thể dẫn đến sự cố nghiệm trọng cho hai pha khác do điện áp cao đột ngột. Đối với máy biến áp loại này, đấu nối một pha theo hình 3 là thích hợp, áp dụng lần lượt cho cả ba pha của máy biến áp ba pha.
Thử nghiệm lần lượt pha của các cuộn dây nối tam giác nghĩa là thử nghiệm kép của từng đầu nối pha và cuộn dây nối vào đó. Vì thử nghiệm là thử nghiệm kiểm tra chất lượng không phải là thử nghiệm kiểm tra thiết kế nên thử nghiệm có thể lặp lại đối với đầu nối pha mà không làm hỏng cách điện.
Đầu nối trung tính, nếu có, của cuộn dây cần thử nghiệm phải được nối đất. Đối với các cuộn dây riêng biệt khác, nếu chúng được nối sao cho phải nối đất ở trung tính, và nếu chúng được nối tam giác thì phải nối đất tại một trong các đầu nối hoặc nối đất qua trung tính của nguồn điện áp cung cấp. Cuộn dây có nấc điều chỉnh phải được nối ở nấc điều chỉnh chính, nếu không có thỏa thuận khác.
Bố trí thử nghiệm (ba pha hoặc một pha) phải được thỏa thuận giữa nhà cung cấp và người mua khi hợp đồng.
CHÚ THÍCH 1: Nếu máy biến áp ba pha nối sao được thử nghiệm theo cách nối ba pha, điện áp thử nghiệm của các pha là cao hơn theo cách nối một pha. Điều này có thể ảnh hưởng đến thiết kế cách điện pha-pha và sẽ đòi hỏi khe hở không khí bên ngoài rộng hơn.
CHÚ THÍCH 2: Nếu máy biến áp ba pha nối tam giác được thử nghiệm theo cách nối một pha, điện áp thử nghiệm giữa các pha cao hơn cách nối ba pha. Điều này có thể ảnh hưởng đến thiết kế cách điện pha-pha.
|
|
|
| Nối Y | Nối D |
Hình 3 – Thử nghiệm lần lượt từng pha trên máy biến áp ba pha nối sao hoặc nối tam giác
Điện áp phải:
- được đóng ở mức không cao hơn 1/3 U2;
- tăng đến 1,1 Um /
và giữ ở mức đó trong 5 min;
- tăng đến U2 và giữ ở mức đó trong 5 min;
- tăng đến U1, giữ ở mức đó trong thời gian thử nghiệm được chỉ ra ở 12.1;
- ngay sau thời gian thử nghiệm, giảm không có gián đoạn đến U2 và giữ ở đó trong khoảng ít nhất 60 min khi Um ³ 300 kV hoặc 30 min đối với Um < 300 kV để đo phóng điện cục bộ;
- giảm đến 1,1 Um /
và giữ ở mức độ trong 5 min;
- giảm đến giá trị dưới 1/3 U2 trước khi cắt điện.
Khoảng thời gian thử nghiệm, ngoại trừ đối với mức tăng U1, không được phụ thuộc vào tần số thử nghiệm.

A = 5 min
B = 5 min
C = thời gian thử nghiệm
D = 60 min đối với Um ³ 300 kV hoặc 30 min đối với Um < 300 kV
E = 5 min
Hình 4 – Trình tự thời gian đặt điện áp thử nghiệm đối với phép thử AC cảm ứng thời gian dài (ACLD)
Trong toàn bộ quá trình đặt điện áp thử nghiệm, phóng điện cục bộ phải được giám sát.
Điện áp nối đất phải là:
U1 = 1,7 Um / 
U2 = 1,5 Um / 
CHÚ THÍCH: Đối với các điều kiện lưới điện mà máy biến áp phải đặt trong điều kiện quá điện áp nặng nề, giá trị đối với U1 và U2 lần lượt có thể là 1,8 Um /
và 1,6 Um /
. Yêu cầu này phải chỉ rõ trong bản yêu cầu. Mức ồn nền không vượt quá 100 pC.
CHÚ THÍCH: Mức ồn nền cần nhỏ hơn đáng kể so với 100 pC để đảm bảo rằng bất cứ sự bắt đầu và kết thúc phóng điện cục bộ nào đều có thể được nhận ra và được ghi lại. Giá trị 100 pC đề cập trên đây tại 1,1 Um /
là có thể chấp nhận được cho thử nghiệm này.
Phóng điện cục bộ phải được quan sát và đánh giá như dưới đây. Các thông tin khác có thể lấy từ phụ lục A, phụ lục này phù hợp với IEC 60270.
- Các phép đo phải được thực hiện tại các đầu nối pha của tất cả các cuộn dây cách điện không đồng nhất, điều đó nghĩa là các đầu nối pha điện áp cao hơn và thấp hơn của cặp cuộn dây nối tự ngẫu sẽ được đo đồng thời.
- Kênh đo từ mỗi đầu nối sử dụng phải được hiệu chuẩn với các xung cặp giữa đầu nối và đất, và việc hiệu chuẩn này dùng để đánh giá các giá trị đọc được trong thử nghiệm. Đo điện tích biểu kiến tại đầu nối cụ thể của máy biến áp, bằng cách sử dụng hiệu chuẩn thích hợp phải căn cứ vào các xung lặp ổn định cao nhất. Cần bỏ qua chớp sáng do mức phóng điện cục bộ cao đôi khi có thể xảy ra. Phóng điện liên tục vào bất cứ khoảng thời gian nào xảy ra tại thời gian nghỉ bất thường có thể chấp nhận đến 500 pC, với điều kiện là không có xu hướng tăng đều đặn.
- Trước và sau khi đặt điện áp thử nghiệm, mức ồn nền phải được ghi lại trên tất cả các kênh đo.
- Trong khi tăng điện áp lên đến mức U2 và lại giảm từ U2 xuống, cần ghi lại các điện áp khởi đầu và điện áp tắt có thể xảy ra. Phóng điện cục bộ phải đo tại 1,1 Um /
.
- Phải lấy và ghi giá trị đọc trong thời gian đầu tại điện áp U2. Không qui định giá trị điện tích biểu kiến trong thời gian này.
- Không ấn định giá trị điện tích biểu kiến trong khi đặt U1.
- Trong toàn bộ giai đoạn hai tại điện áp U2, mức phóng điện cục bộ phải được theo dõi liên tục và phải ghi lại giá trị đọc sau mỗi 5 min.
Thử nghiệm là đạt yêu cầu nếu:
- không xảy ra sụt điện áp;
- mức phóng điện cục bộ liên tục không vượt quá 500 pC trong quá trình thử nghiệm thời gian dài tại U2;
- phóng điện cục bộ cho thấy không khí có xu hướng tăng liên tục tại U2. Cần bỏ qua các chớp sáng mạnh do bản chất không duy trì đôi khi có thể xảy ra;
CHÚ THÍCH: Thực tế ở Bắc Mỹ giới hạn sự thay đổi cho phép trong thử nghiệm đến 150 pC để nhận biết sự cố bên trong có thể xảy ra.
- mức điện tích biểu kiến liên tục không vượt quá 100 pC tại 1,1 Um /
.
Chừng nào không xuất hiện phóng điện đánh thủng và nếu không có phóng điện cục bộ rất cao duy trì trong thời gian dài thì thử nghiệm được xem như không phá hủy. Vì vậy nếu không đáp ứng được các chỉ tiêu phóng điện cục bộ chấp nhận được thì không loại bỏ ngay lập tức, mà cần có thỏa thuận giữa nhà cung cấp và người mua về việc xem xét thêm. Gợi ý các thủ tục này được nêu ở phụ lục A.
Các khó khăn liên quan đến các sứ xuyên trong khi thử nghiệm, xem thêm điều 4.
13. Thử nghiệm xung sét (LI)
13.1. Qui định chung
Khi có yêu cầu, thử nghiệm xung sét (LI) chỉ phải thực hiện trên các cuộn dây có các đầu nối được đưa ra ngoài qua vỏ hoặc thùng máy biến áp.
Các định nghĩa chung về các thuật ngữ liên quan đến thử nghiệm xung, các yêu cầu đối với mạch điện thử nghiệm, các thử nghiệm tính năng và kiểm tra thường xuyên trên các thiết bị đo được chấp nhận được nêu trong IEC 60060-1. Các thông tin khác được nêu trong IEC 60076-4.
Đối với máy biến áp loại ngâm trong dầu, điện áp thử nghiệm thường có cực tính âm vì như vậy sẽ giảm được nguy cơ xảy ra phóng điện bề mặt bên ngoài thất thường trong mạch thử nghiệm.
Có thể loại bỏ khe hở phóng điện của sứ xuyên hoặc tăng khoảng cách của khe hở để ngăn ngừa phóng điện bề mặt trong quá trình thử nghiệm.
Khi có các phần tử phi tuyến hoặc bộ chia sóng xung lắp bên trong hay bên ngoài máy biến áp để hạn chế quá điện áp quá độ truyền đến, quy trình thử nghiệm xung phải được thỏa thuận trước đối với từng trường hợp cụ thể. Nếu có các phần tử này xuất hiện trong thử nghiệm thì việc đánh giá báo cáo thử nghiệm có thể khác so với thử nghiệm xung thông thường (xem 13.5). Bằng chính bản chất của nó, các thiết bị bảo vệ phi tuyến nối trên các cuộn dây có thể gây nên sự khác nhau giữa biểu đồ dao động xung toàn sóng và xung toàn sóng suy giảm. Để chứng tỏ rằng các khác biệt này thực sự xảy ra do hoạt động của các thiết bị trên thì phải biểu thị bằng cách thực hiện hai hoặc nhiều thử nghiệm xung toàn sóng suy giảm tại mức điện áp khác nhau để chứng tỏ xu hướng hoạt động của chúng. Để thể hiện tính thuận nghịch của các hiệu ứng phi tuyến, các xung toàn sóng suy giảm cùng loại phải theo sau điện áp thử nghiệm toàn sóng theo cách ngược lại.
Ví dụ: 60 %, 80 %, 100 %, 80 %, 60 %.
Xung thử nghiệm phải là xung sét tiêu chuẩn toàn sóng: 1,2 ms ± 30 %/50 ms ± 20 %.
Tuy nhiên, có những trường hợp không có được một cách hợp lý hình dạng mẫu chuẩn của xung, do điện cảm cuộn dây thấp hoặc do điện dung với đất cao. Hình dạng xung lúc đó thường dao động. Trong trường hợp này, có thể cho phép dung sai lớn hơn sự thỏa thuận giữa nhà cung cấp với người mua. Xem IEC 60076-4.
Có thể xử lý vấn đề hình dạng xung bằng các phương pháp nối đất khác trong khi thử nghiệm, xem 13.3.
Mạch tạo xung và cách đấu nối thiết bị đo cần giữ không đổi khi hiệu chuẩn và thử nghiệm điện áp toàn sóng.
CHÚ THÍCH: Các thông tin nêu trong IEC 60076-4 liên quan đến đánh giá dạng sóng dựa trên máy hiện sóng, các qui tắc kỹ thuật và đánh giá bằng mắt của tham số dạng sóng. Cùng với việc đặt bộ ghi kỹ thuật số theo IEC 61083-1 và IEC 61083-2 trong thử nghiệm xung điện áp cao của máy biến áp điện lực, cần đưa ra cảnh báo rõ ràng về biên độ và các tham số thời gian liên quan đến đánh giá các dạng sóng phi tiêu chuẩn.
Trong thực tế, khi thử nghiệm cuộn dây điện áp thấp danh định công suất cao dẫn đến hiện tượng như xung đơn cực có tần số nhỏ hơn 0,5 MHz thì không thể áp dụng IEC 61083-2 để đánh giá biên độ của dạng sóng phi tiêu chuẩn này. Các sai số vượt quá 10 % quan sát được do thuật toán san bằng đường cong ghép liền trong bộ số hóa.
Trong các trường hợp này, cần phải đánh giá cẩn thận các mảng dữ liệu chưa được điều chỉnh sử dụng phán đoán kỹ thuật. Phép đo song song điện áp đỉnh bằng vônmét đỉnh theo IEC 60790 là rất nên làm.
13.2. Quy trình thử nghiệm
Quy trình thử nghiệm bao gồm đặt xung điện áp 50 % đến 75 % của điện áp thử nghiệm toàn sóng và đặt ba xung liên tiếp ở điện áp toàn sóng. Nếu trong khi đặt một trong các này mà có phóng điện bề mặt bên ngoài theo mạch điện hoặc qua một khe hở phóng điện của sứ xuyên hoặc nếu không ghi được biểu đồ dao động trên bất kỳ kênh do qui định nào thì đặt xung đó không được tính và phải làm lại lần nữa.
CHÚ THÍCH: Có thể sử dụng thêm có biên độ không lớn hơn 50 %, nhưng không nhất thiết phải ghi vào báo cáo thử nghiệm.
13.3. Đầu nối thử nghiệm
13.3.1 Đầu nối thử nghiệm trong thử nghiệm các đầu nối pha
Thứ tự thử nghiệm xung là đặt lần lượt vào từng đầu nối pha của cuộn dây thử nghiệm. Trong trường hợp này biến áp ba pha, các đầu nối pha khác của cuộn dây phải được nối đất trực tiếp hoặc qua một trở kháng nhỏ, không vượt quá trở kháng tăng đột ngột của pha được nối.
Nếu cuộn dây có đầu nối trung tính, trung tính này phải được nối đất trực tiếp hoặc qua một trở kháng nhỏ như sun đo dòng điện. Vỏ máy phải được nối đất.
Trong trường hợp máy biến áp có cuộn dây riêng biệt, các đầu nối của cuộn dây không trong thử nghiệm cũng được nối đất trực tiếp hoặc qua các trở kháng, sao cho trong mọi tình huống điện áp xuất hiện tại các đầu nối là giới hạn ở mức không quá 75 % điện áp chịu xung sét danh định của chúng đối với cuộn dây nối sao, và 50 % đối với cuộn dây nối tam giác.
Trong trường hợp máy biến áp tự ngẫu, khi thử nghiệm đầu nối pha của cuộn dây điện áp cao, có thể xảy ra trường hợp không có được dạng sóng tiêu chuẩn một cách hợp lý nếu đầu nối pha của cuộn dây chung được nối đất trực tiếp hoặc qua một sun đo dòng điện. Cũng xảy ra tương tự khi thử nghiệm các đầu nối đất các nối pha không thử nghiệm qua các điện trở không quá 400 W. Hơn nữa, điện áp xuất hiện ở đầu nối pha không thử nghiệm đến đất không được quá 75 % điện áp chịu xung sét danh định của chúng đối với cuộn dây nối sao và 50 % đối với cuộn dây nối tam giác.
Khi các cuộn dây thử nghiệm xung có trở kháng thấp, có thể khó khăn để đạt được dạng xung đúng trên các đầu nối thử nghiệm. Trong trường hợp này có thể chấp nhận dung sai lớn hơn, xem 13.1. Cũng có thể đơn giản vấn đề này bằng cách nối đất các đầu nối không trong thử nghiệm của pha thử nghiệm qua các điện trở. Giá trị điện trở phải được chọn điện áp trên các đầu nối là giới hạn ở mức không quá 75 % của điện áp chịu xung sét danh định đối với cuộn dây nối sao và 50 % đối với cuộn dây nối tam giác.
Một cách làm khác là sử dụng phương pháp truyền xung sét, nếu có thỏa thuận khi hợp đồng, xem 13.3.3.
Những trường hợp ngoại lệ khác với qui trình này được nêu ở 13.3.2 và 13.3.3.
13.3.3.2 Thử nghiệm xung trên đầu nối trung tính
Khi đầu nối trung tính của cuộn dây có điện áp xung danh định, có thể kiểm tra nó bằng thử nghiệm như sau:
a) bằng cách đặt gián tiếp:
Các xung thử nghiệm được đặt đến bất kỳ một đầu nối pha nào hoặc đặt vào tất cả ba đầu nối pha của cuộn dây ba pha được nối với nhau. Đầu nối trung tính được nối đất qua một trở kháng hoặc để hở, và biên độ điện áp hình thành qua trở kháng này hoặc đến đất phải bằng điện áp chịu thử danh định của đầu nối trung tính khi xung sét tiêu chuẩn được đặt đến đầu nối pha. Không đưa ra quyết định đối với dạng xung nhận được qua trở kháng. Biên độ của xung đặt vào đầu nối pha tuy không được qui định nhưng không được vượt quá 75 % điện áp chịu xung sét danh định của đầu nối pha.
b) bằng cách đặt trực tiếp:
Đặt trực tiếp các xung thử nghiệm tương ứng với điện áp chịu thử danh định của trung tính liên trung tính với tất cả các đầu nối pha được nối đất. Tuy nhiên, trong trường hợp này, cho phép một khoảng thời gian dài hơn lên đến 13 ms.
13.3.3 Phương pháp truyền xung sét trên cuộn dây điện áp thấp
Khi cuộn dây điện áp thấp không thể chịu được quá điện áp do sét từ hệ thống điện áp thấp, theo thỏa thuận giữa nhà cung cấp và người mua, cuộn dây này có thể phải chịu thử nghiệm xung bằng một xung sét truyền từ phía cuộn dây điện áp cao.
Phương pháp này cũng cần được ưu tiên khi thiết kế theo cách xung được đặt trực tiếp lên cuộn dây điện áp thấp có thể dẫn đến ứng suất phi thực tế của các cuộn dây điện áp cao hơn, cụ thể là khi đặt cuộn dây có nấc điều chỉnh lớn liền kề với cuộn dây điện áp thấp.
Cùng với áp dụng phương pháp truyền xung sét thì các thử nghiệm đối với cuộn dây điện áp thấp được thực hiện bằng cách đặt các xung lên cuộn dây điện áp cao hơn liền kề. Các đầu nối pha của cuộn dây điện áp thấp được nối đất qua các điện trở có giá trị sao cho biên độ của điện áp xung truyền giữa đầu không vượt qá điện áp chịu được xung danh định. Biên độ của các xung đặt không được vượt quá mức xung của cuộn dây mà chúng được đặt vào.
Chi tiết về qui trình phải được thỏa thuận trước khi thử nghiệm.
13.3 Báo cáo thử nghiệm
Báo cáo ở dạng biểu đồ hoặc ở dạng bản ghi kỹ thuật số có ghi hiệu chuẩn và thử nghiệm phải chỉ ra rõ ràng dạng xung điện áp đặt (thời gian đầu, thời gian tới nửa giá trị và biên độ).
Ít nhất phải sử dụng hai kênh đo. Trong hầu hết các trường hợp, một biểu đồ dao động của dòng điện chạy từ cuộn dây thử nghiệm đến đất (dòng điện trung tính) hoặc dòng rò diện dung, ví dụ như dòng điện truyền đến cuộn dây nối tắt và không tham gia thử nghiệm sẽ đại diện cho độ nhạy lớn nhất để phát hiện sự cố. Dòng điện chạy từ vỏ máy đến đất, hoặc điện áp truyền trong cuộn dây không trong thử nghiệm là các ví dụ của đại lượng lựa chọn thích hợp để đo. Phương pháp phát hiện được chọn phải được thỏa thuận giữa nhà cung cấp và người mua.
Các chỉ dẫn khác về phát hiện sự cố, khoảng thời gian cơ bản thích hợp, v.v… được nêu trong IEC 60076-4.
13.5 Tiêu chí thử nghiệm
Việc không có các sai khác đáng kể giữa điện áp quá độ và dòng điện quá độ được ghi lại ở điện áp giảm thấp và kết quả ghi lại ở toàn bộ điện áp thử nghiệm là bằng chứng chứng tỏ rằng cách điện đã chịu được thử nghiệm này.
Việc giải trình chi tiết của báo cáo thử nghiệm dạng biểu đồ hoặc dạng số và sự phân biệt các nhiễu so với báo cáo sự cố thực tế đòi hỏi phải có kỹ năng và kinh nghiệm. Các thông tin khác được nêu ở IEC 60076-4.
Nếu có nghi ngờ đối với phần giải trình về sự mâu thuẫn có thể xảy ra giữa các báo cáo dạng biểu đồ hoặc báo cáo dạng số thì phải đặt ba xung liên tiếp ở điện áp đầy đủ hoặc lặp lại toàn bộ thử nghiệm xung đối với các đầu nối. Thử nghiệm được xem là đạt yêu cầu nếu quan sát thấy sai lệch không tăng thêm.
Các quan sát khác trong khi thử nghiệm (hiệu ứng âm thanh bất thường, v.v…) có thể được dùng để khẳng định việc giải trình báo cáo dạng biểu đồ hoặc dạng số, nhưng tự chúng không tạo thành bằng chứng.
Bất cứ sự khác biệt về dạng sóng giữa toàn sóng suy giảm và toàn sóng cuối cùng được phát hiện bằng cách so sánh hai dao động dòng điện có thể nhận biết được sai lỗi hoặc sự trệch do các nguyên nhân không có hại. Chúng phải được kiểm tra và phải được giải thích đầy đủ bằng thử nghiệm giảm sóng và toàn sóng mới. Các ví dụ về nguyên nhân có thể xảy ra các dạng sóng khác nhau là hoạt động của các thiết bị bảo vệ, bão hòa lõi sắt, hoặc các điều kiện trong mạch thử nghiệm ngoài máy biến áp.
14. Thử nghiệm xung sét bị cắt đuôi sóng (LIC)
14.1. Qui định chung
Thử nghiệm này là một thử nghiệm đặc biệt và được dùng cho các ứng dụng đặc biệt trên các đầu nối pha của cuộn dây. Khi thỏa thuận tiến hành thử nghiệm này, nó phải được kết hợp với thử nghiệm xung sét toàn sóng theo cách dưới đây. Giá trị đỉnh của xung cắt bằng 1,1 lần biên độ của xung toàn sóng.
Thông thường, sử dụng cùng một chế độ đặt cho máy phát xung và thiết bị đo và chỉ cần bổ sung thêm thiết bị khe hở cắt. Xung sét cắt tiêu chuẩn phải có thời gian cắt từ 2 ms đến 6 ms.
Thời gian gốc khác nhau có thể được dùng để ghi lại xung sét bị cắt đuôi sóng.
14.2. Khe hở cắt và các đặc tính cắt
Nên sử dụng một khe hở cắt kiểu trigơ có thời gian điều chỉnh được, tuy nhiên vẫn được phép sử dụng khe hở thanh-thanh đơn giản. Mạch cắt được bố trí sao cho số lần đảo chiều sang cực tính ngược lại của xung ghi được sẽ được giới hạn ở mức không lớn hơn 30 % biên độ của xung cắt; việc thêm một trở kháng Z trong mạch cắt thường là cần thiết để duy trì giới hạn này.
14.3. Qui trình thử nghiệm và các tiêu chí thử nghiệm
Như đã nêu ở trên, thử nghiệm được kết hợp với thử nghiệm xung toàn sóng theo một trật tự duy nhất. Nên đặt các xung theo trình tự như sau:
- một xung toàn sóng mức giảm nhẹ;
- một xung toàn sóng mức đầy đủ;
- một hoặc nhiều xung cắt mức giảm nhẹ;
- hai xung cắt mức đầy đủ;
- hai xung mức toàn sóng đầy đủ.
Qui định kênh đo cùng loại và báo cáo dạng biểu đồ hoặc dạng số như đối với thử nghiệm xung toàn sóng.
Về nguyên tắc, việc phát hiện các sự cố trong thử nghiệm xung cắt phụ thuộc chủ yếu vào việc so sánh các báo cáo dạng biểu đồ hoặc dạng số của xung cắt ở mức đầy đủ hoặc giảm nhẹ. Bản ghi dòng điện trung tính (hoặc bất cứ bản ghi bổ sung nào) thể hiện sự xếp chồng của các hiện tượng quá độ do phần đầu sóng của xung gốc và phần cắt. Do đó, phải tính đến các thay đổi có thể xảy ra, dù rất nhỏ, của việc trễ thời gian cắt. Phần sau của dạng dao động khi đó bị thay đổi, và hiệu ứng này khó tách riêng khỏi bản ghi sự cố. Tuy vậy, cần chứng tỏ sự thay đổi của tần số sau khi cắt.
Các bản ghi các thử nghiệm xung toàn sóng liên tiếp ở mức đầy đủ là tiêu chí bổ sung của sự cố, nhưng bản thân chúng không phải là tiêu chí về chất lượng của thử nghiệm xung cắt.
15. Thử nghiệm xung đóng cắt (SI)
15.1. Qui định chung
Định nghĩa chung của các thuật ngữ liên quan đến các thử nghiệm xung, các yêu cầu về mạch thử nghiệm, các thử nghiệm tính năng và kiểm tra định kỳ trên các thiết bị đo được chấp nhận, có thể xem trong IEC 60060-1. Các thông tin khác nêu trong IEC 60076-4.
Các xung được đặt trực tiếp từ nguồn điện áp xung quanh đến đầu nối pha của cuộn dây trong thử nghiệm, hoặc đến cuộn dây điện áp thấp để điện áp thử nghiệm được truyền bằng cảm ứng đến cuộn dây đang thử nghiệm. Điện áp thử nghiệm qui định phải xuất hiện giữa pha và đất. Đầu nối trung tính phải được nối đất. Ở máy biến áp ba pha, điện áp hình thành giữa các đầu nối pha trong quá trình thử nghiệm phải xấp xỉ 1,5 lần điện áp giữa đầu nối pha và đầu nối trung tính, xem 15.3.
Điện áp thử nghiệm thường có cực tính âm để giảm nguy hiểm phóng điện bề mặt ngoài trong mạch thử nghiệm.
Điện áp hình thành trên các cuộn dây khác nhau của máy biến áp tỷ lệ xấp xỉ với tỷ số vòng dây và điện áp thử nghiệm được xác định bằng cuộn dây có giá trị Um cao nhất, xem điều 6.
Xung điện áp phải có thời gian đầu sóng và giả định ít nhất là 100 ms, thời gian mà biên độ cao hơn 90 % biên độ qui định ít nhất là 200 ms và tổng thời gian từ điểm gốc giả định đến khi qua điểm không đầu tiên ít nhất là 500 ms nhưng giá trị thích hợp là 1 000 ms.
CHÚ THÍCH: Hình dạng sóng xung khác biệt có mục đích so với dạng sóng chuẩn 250/ 2 500 ms được khuyến cáo trong IEC 60060-1, vì IEC 60060-1 có hiệu lực đối với thiết bị có mạch từ không bão hòa.
Thời gian đầu sóng phải được nhà cung cấp chọn sao cho điện áp phân bố dọc theo cuộn dây đang thử nghiệm về cơ bản là tuyến tính. Giá trị của nó thường là lớn hơn 100 ms nhưng nhỏ hơn 250 ms. Trong khi thử nghiệm, một từ thông đáng kể được hình thành trong mạch từ. Điện áp xung có thể giữ được cho đến thời điểm lõi đạt tới bão hòa và tổng trở từ của máy biến áp giảm mạnh.
Có thể tăng thời gian xung cực đại bằng cách đưa vào độ từ dư cực tính ngược lại trước mỗi xung thử nghiệm điện áp toàn sóng. Điều này thực hiện được bằng các xung điện áp thấp hơn có cùng hình dạng nhưng ngược cực tính. Xem IEC 60076-4.
Gợi ý chọn vị trí nấc điều chỉnh được nêu trong điều 6.
15.2. Qui trình thử nghiệm và báo cáo
Qui trình thử nghiệm phải gồm một xung (xung hiệu chuẩn) có điện áp từ 50 % đến 70 % điện áp thử nghiệm toàn sóng và ba xung liên tiếp ở điện áp toàn sóng. Nếu không ghi được đồ thị dao động thì lần đó xem như không kể và làm lại lần khác. Báo cáo dạng đồ thị hoặc dạng số phải có được ít nhất dạng sóng xung trên đầu nối pha đang thử nghiệm và dòng điện trung tính tốt nhất.
CHÚ THÍCH: Vì ảnh hưởng của bão hòa từ trong thời gian đặt xung, nên biểu đồ dao động liên tiếp là khác nhau và bản ghi thử nghiệm mức đầy đủ và giảm nhẹ không như nhau. Để hạn chế ảnh hưởng này, sau mỗi xung thử nghiệm ở cùng một mức thử nghiệm, đòi hỏi có các xung khử từ tại mức giảm của cực tính ngược.
15.3. Đầu nối thử nghiệm
Trong khi thử nghiệm, máy biến áp phải là ở điều kiện không tải. Các cuộn dây không sử dụng cho thử nghiệm phải nối đất cố định tại một điểm nhưng không được nối tắt. Đối với máy biến áp một pha, đầu nối trung tính của cuộn dây thử nghiệm phải được nối cứng với đất.
Cuộn dây ba pha phải được thử nghiệm từng pha một với đầu nối trung tính nối đất và máy biến áp được nối sao cho điện áp có cực tính ngược và có khoảng một nửa biên độ xuất hiện trên hai đầu nối pha còn lại có thể nối với nhau.
Để hạn chế điện áp có cực tính ngược đến khoảng 50 % mức đặt, cần nối với điện trở làm nhụt có điện trở cao (10 W đến 20 W) với đất ở các đầu nối pha không thử nghiệm.
Các khe hở phóng điện của sứ xuyên và các biện pháp bổ sung để hạn chế quá điện áp được xử lý như qui định về thử nghiệm xung sét, xem 13.1,
15.4. Tiêu chí thử nghiệm
Thử nghiệm là đạt yêu cầu nếu không có sụt điện áp đột ngột hoặc gián đoạn dòng điện trung tính được chỉ ra ở báo cáo dạng biểu đồ hoặc dạng số.
Các quan sát bổ sung trong khi thử nghiệm (hiệu ứng âm thanh bất thường, v.v…) có thể được dùng để củng cố báo cáo dạng biểu đồ, nhưng tự chúng không thể là bằng chứng được.
16. Khoảng cách ly bên ngoài trong không khí
16.1. Qui định chung
Khe hở không khí được hiểu là khoảng cách mà tĩnh điện không bị xáo trộn bởi thân cách điện. Tiêu chuẩn này không đề cập đến các yêu cầu về khoảng cách phóng điện hiệu lực hoặc chiều dài đường rò dọc theo cái cách điện, cũng không xem sét đến nguy hiểm do chim chóc và các động vật khác.
Khi thiết lập các yêu cầu của tiêu chuẩn hiện hành trong dải điện áp cao hơn, đã thừa nhận rằng các đầu của sứ xuyên thường có dạng điện cực lượn tròn.
Các yêu cầu về khe hở không khí là có hiệu lực giữa các điện cực lượn tròn này. Giả thiết rằng các kẹp dây cùng với các điện cực có bọc đi cùng được tạo hình thích hợp sao cho chúng không làm giảm điện áp phóng điện bề mặt. Cũng giả thiết rằng sự bố trí các dây dẫn đi vào không làm giảm khe hở không khí hữu dụng do bản thân máy biến áp tạo ra.
CHÚ THÍCH: Nếu người mua có ý định thực hiện việc đầu nối theo cách riêng có thể làm giảm khe hở không khí hữu dụng, điều này phải được đề cập trong bản yêu cầu.
Nói chung, qui định các khe hở không khí cho thích hợp là khó khăn về mặt kỹ thuật, chủ yếu với điện áp lưới cao,đặc biệt đối với các máy cỡ nhỏ, hoặc không gian lắp đặt bị hạn chế. Nguyên tắc trong tiêu chuẩn này nhằm đưa ra các khe hở không khí tối thiểu và không tới hạn có thể thõa mãn các điều kiện khác nhau của lưới điện và điều kiện khí hậu mà không dẫn tới những cuộc thảo luận khác nhau hoặc chứng minh bổ sung. Các khe hở không khí khác dựa trên thực tế đã có từ trước hoặc hiện hành phải có thỏa thuận giữa nhà cung cấp và người mua.
Khe hở không khí khuyến cáo ở đây dựa vào giá trị điện áp chịu thử danh định của cách điện bên trong của máy biến áp, nếu không có qui định khác trong bản yêu cầu và đơn đặt hàng. Khi khe hở không khí của máy biến áp bằng hoặc lớn hơn các giá trị qui định trong tiêu chuẩn này và các sứ xuyên có các thông số kỹ thuật được chọn chính xác theo IEC 60137, thì cách điện bên ngoài của máy biến áp phải được xem là phù hợp mà không cần thử nghiệm thêm.
CHÚ THÍCH 2: Thừa nhận rằng ở một số nước, khe hở không khí có thể khác nhau nếu chỉ dựa trên điện áp chịu thử AC và LI.
CHÚ THÍCH 3: Nếu khe hở không khí nhỏ hơn khe hở nêu ở đoạn trên được sử dụng để hợp đồng, thì có thể yêu cầu một thử nghiệm điển hình mô phỏng khe hở không khí thực, hoặc thử trên chính máy biến áp. Qui trình thử nghiệm khuyến cáo cho các trường hợp này phải được nêu ra.
Nếu máy biến áp được qui định để vận hành ở độ cao trên 1 000 m so với mực nước biển, khe hở không khí yêu cầu phải tăng lên 1 % cho mỗi 100 m ở độ cao trên 1 000 m.
Các yêu cầu về khe hở không khí được cho dưới đây:
- khe hở không khí pha-đất và pha trung tính;
- khe hở không khí pha-pha giữa các pha của cùng cuộn dây;
- khe hở không khí giữa đầu nối pha của cuộn dây điện áp và đầu nối pha của cuộn dây điện áp thấp hơn.
Từ các điều trên suy nghĩ rằng các giá trị khuyến cáo là các giá trị tối thiểu có hiệu quả. Khe hở không khí thiết kế phải được ghi rõ trên bản vẽ tổng thể. Đó là các giá trị danh định với dung sai chuẩn về chế tạo và các giá trị này phải được lựa chọn sao cho khe hở không khí thực ít nhất là bằng các giá trị qui định.
Các thông tin này dùng để chứng minh rằng máy biến áp là phù hợp với khuyến cáo của tiêu chuẩn này, hoặc với các giá trị đã sửa đổi có thể được thỏa thuận trong hợp đồng cụ thể.
16.2. Yêu cầu về khe hở không khí của các sứ xuyên được xác định bằng các điện áp chịu thử cách điện máy biến áp
Các yêu cầu được trình bày như mô tả dưới đây, phụ thuộc vào giá trị điện áp Um của cuộn dây.
16.2.1 Um £ 170 kV
Cùng khoảng cách như nhau phải được áp dụng cho các khe hở không khí pha-đất, pha-trung tính, pha-pha, và đến các đầu nối của cuộn dây điện áp thấp hơn.
Khe hở không khí tối thiểu khuyến cáo được cho trong các bảng 5 và 6, có liên quan đến điện áp chịu thử nghiệm xung sét, khô với xung dương, ba xung, với điện áp thử nghiệm theo bảng 5 hoặc bảng 6 tương ứng.
CHÚ THÍCH: Như thể hiện trong bảng 2, một số giá trị xung sét thấp có thể được qui định theo IEC 60071-1. Phải tiến hành kiểm tra xem điều kiện này có yêu cầu khe hở không khí pha-pha rộng hơn không.
16.2.2 Um > 170 kV
Đối với thiết bị có Um > 170 kV trong trường hợp có qui định thử nghiệm xung sét thì khe hở thử nghiệm không khí khuyến cáo nêu trong bảng 7.
Giả thiết rằng các yêu cầu đối với cách điện bên ngoài là như nhau bất kể việc thực hiện thử nghiệm điện áp chịu thử AC thời gian ngắn theo các giá trị nêu trong bảng 4.
Cách điện bên trong được kiểm tra bằng thử nghiệm xung đóng cắt có điện áp thử nghiệm, và xấp xỉ 1,5 lần điện áp thử nghiệm giữa các pha trên máy biến áp ba pha, xem IEC 60071-1.
Đối với cách điện bên ngoài, điện áp chịu thử pha-pha được xác định theo cách khác. Một qui trình thử nghiệm thích hợp bao gồm các xung có cực tính dương dùng cho cấu hình pha-đất, và các xung có cực tính ngược dùng cho khe hở không khí pha-pha, xem 16.2.2.3. Điều này đã được xem xét trong phạm vi các khe hở không khí cho trong bảng 7.
16.2.2.1 Khe hở không khí pha-đất, pha-trung tính, và pha-pha giữa các pha của cùng cuộn dây
Khe hở không khí từ đỉnh sứ xuyên cao cấp đến đất (thùng, bình dầu phụ, thiết bị làm mát, kết cấu trạm, v.v…) hoặc đến đầu nối trung tính được xác định từ cột 4 của bảng 7.
Khe hở không khí giữa các mũ của sứ xuyên của các pha khác nhau được xác định từ cột 5 của bảng 7.
16.2.2.2 Khe hở không khí giữa các đầu nối của các cuộn dây khác nhau
Khe hở không khí giữa các đầu nối của các cuộn dây khác nhau của máy biến áp phải được kiểm tra đối với cả hai điều kiện xung sét và xung đóng cắt.
Yêu cầu chịu xung đóng cắt dựa trên chênh lệch điện áp tính toán, điện áp này xuất hiện giữa hai đầu nối, xem điều 15. Chênh lệch điện áp này xác định khe hở không khí yêu cầu có liên quan đến điều kiện xung đóng cắt. Hình 6 được dùng để tìm ra khe hở không khí khuyến cáo nếu các đầu nối nhận các điện áp có cực tính ngược và tỷ số giữa các điện áp xuất hiện là 2 hoặc nhỏ hơn. Trong trường hợp khác, áp dụng hình 5.
CHÚ THÍCH: Nếu so sánh hình 5 và hình 6 thì thấy rằng khe hở không khí pha-pha chịu chênh lệch điện áp lớn hơn so với cùng một khoảng cách ở cấu hình pha-đất. Nguyên nhân là do ở cấu hình pha-pha hai đầu nối được giả định có cực tính ngược và gradien điện môi cực đại ở bất kỳ đầu nối nào (được xác định chủ yếu vào điện áp với đất) là tương đối nhỏ. Cũng giả định là các điện cực có dạng lượn tròn.
Tuy nhiên, khe hở không khí cũng phải thỏa thuận yêu cầu chịu xung sét. Với giả định trước là đầu nối của cuộn dây điện áp thấp hơn là có điện thế đất khi đặt điện áp chịu xung sét lên đầu nối cao áp. Yêu cầu khe hở không khí trong cột 6 của bảng 7 và hình 7 tương ứng với điện áp xung sét danh định này, do đó cần thỏa mãn giữa hai đầu nối. Khe hở không khí lớn hơn trong số hai khe hở không khí này.
Thử nghiệm xung đóng cắt với máy biến áp ba pha sẽ gây ra các điện áp cảm ứng giữa các pha của cuộn dây khác được nối sao. Cần phải kiểm tra xem điều kiện này có đòi hỏi khe hở không khí pha-pha lớn hơn khe hở không khí được qui định đối với cuộn dây này như trong 16.2.1 hay không.
16.2.2.3 Qui trình thử nghiệm điển hình
Nếu phải thực hiện một thử nghiệm điển hình trên khe hở không khí giảm thì qui trình thử nghiệm phải như sau:
Một thử nghiệm trên cấu hình pha-đất (hoặc pha-pha trung tính, hoặc hướng đến một đầu nối của cuộn dây điện áp thấp hơn) phải bao gồm thử nghiệm xung đóng cắt, khô, có cực tính dương trên đầu nối pha của cuộn dây (cuộn dây có điện áp cao hơn). Điện cực kia phải được nối đất. Nếu đầu nối thử nghiệm của cuộn dây ba pha, các đầu nối pha khác cũng phải nối đất.
CHÚ THÍCH: Thử nghiệm này nói chung không thể thực hiện trên máy biến áp ba pha hoàn chỉnh và như vậy có thể phải tiến hành trên mô hình mô phỏng cấu hình thực của máy biến áp.
Các thử nghiệm trên khe hở không khí pha-pha của một máy biến áp ba pha phải bao gồm các thử nghiệm xung đóng cắt, khô, với một nửa điện áp thử nghiệm qui định, dương, trên một đầu nối pha, nửa khác, âm, trên đầu nối pha kia, và đầu nối pha thứ ba nối đất.
Kết hợp các điện áp thử nghiệm pha-đất, pha-pha được lặp lại trong bảng 7.
Khi các pha ngoài được đặt đối xứng đối với pha giữa, chỉ cần làm hai thử nghệm riêng biệt, một thử nghiệm với cực tính dương trên pha giữa, pha ngoài có cực tính âm và một thử nghiệm với cực tính dương trên pha ngoài, pha giữa có cực tính âm. Nếu trung tính đường dây được bố trí không đối xứng thì có thể cần thực hiện ba thử nghiệm trở lên.
Mỗi thử nghiệm phải bao gồm 15 lần đặt điện áp xung có dạng sóng 250/2 500 ms phù hợp với IEC 60060-2.
CHÚ THÍCH: Qui trình thử nghiệm đối với các khe hở không khí pha-pha bên ngoài, khác ở nhiều điểm với qui trình thử nghiệm xung đóng cắt qui định đối với các điện bên trong của máy biến áp trong điều 14. Hai qui trình thử nghiệm không thay thế cho nhau.
Bảng 5 – Khe hở không khí tối thiểu khuyến cáo pha-đất, pha-pha, pha-trung tính và đến các cuộn dây điện áp thấp hơn từ các bộ phận mang điện của sứ xuyên máy biến áp điện lực có cuộn dây với điện áp cao nhất dùng cho thiết bị Um £ 170 kV –
Nhóm I dựa trên thực tế ở Châu Âu
| Điện áp cao nhất dùng cho thiết bị Um giá trị hiệu dụng, kV | Điện áp chịu xung sét danh định giá trị đỉnh, kV | Khe hở không khí tối thiểu mm |
|
| ||
Bảng 6 – Khe hở không khí tối thiểu khuyến cáo pha-đất, pha-pha, pha-trung tính và đến các cuộn dây điện áp thấp hơn từ các bộ phận mang điện của các sứ xuyên của máy biến áp điện lực có cuộn dây với điện áp cao nhất dùng cho thiết bị Um £ 169 kV –
Nhóm II dựa trên thực tế ở Bắc Mỹ
| Điện áp cao nhất dùng cho thiết bị Um giá trị hiệu dụng, kV | Điện áp chịu xung sét danh định giá trị đỉnh, kV | Khe hở không khí tối thiểu mm |
|
| ||
| CHÚ THÍCH: Chỉ đưa ra giá trị đối với máy biến áp phân phối | ||
Bảng 7 – Khe hở không khí tối thiểu khuyến cáo pha-đất, pha-pha, pha-trung tính và đến các cuộn dây điện áp thấp hơn từ các bộ phận mang điện của sứ xuyên máy biến áp điện lực có cuộn dây với điện áp cao nhất dùng cho thiết bị Um > 170 kV –
| Điện áp cao nhất dùng cho thiết bị Um giá trị hiệu dụng, kV | Điện áp chịu xung đóng cắt danh định giá trị đỉnh, kV | Điện áp chịu xung sét danh định giá trị đỉnh, kV | Khe hở không khí tối thiểu | ||
|
|
|
| Pha-đất mm (Chú thích 1) | Pha-pha mm (Chú thích 1) | Đến các cuộn dây khác mm (Chú thích 2) |
|
|
1 250 |
1 450 | 1 250 | ||
|
1 500 |
1 800 | 1 450 | |||
|
1 900 |
2 250 | 1 600 | |||
|
2 300 |
2 650 | 1 750 | |||
| 2 700 | 3 100 | 1 950 2 200 | |||
|
|
2 300 |
2 650 | 1 950 | ||
|
2 700 |
3 100 | 2 200 | |||
|
3 100 |
3 500 | 2 400 | |||
|
3 700 |
4 200 | 2 650 | |||
|
4 400 |
5 000 | 2 850 | |||
|
4 400 |
5 000 | 3 100 | |||
|
5 000 |
5 800 | 3 300 | |||
|
5 800 |
6 700 | 3 600
3 800 | |||
| CHÚ THÍCH 1: Dựa trên điện áp xung đóng cắt. CHÚ THÍCH 2: Dựa trên điện áp xung sét, xem thêm 16.2.2. CHÚ THÍCH 3: Khe hở không khí có thể khác nhau nếu chỉ dựa trên điện áp chịu thử LI và AC. CHÚ THÍCH 4: Các đường chấm chấm không phù hợp với IEC 60071-1 nhưng hiện hành ở một số nước. | |||||

Hình 5 – Khe hở không khí pha-đất dựa trên điện áp chịu xung đóng cắt danh định

Hình 6 – Khe hở không khí pha-pha dựa trên điện áp chịu xung đóng cắt xuất hiện giữa các pha

Hình 7 – Khe hở không khí dựa trên điện áp chịu xung sét
Phụ lục A
(tham khảo)
Hướng dẫn áp dụng các phép đo phóng điện cục bộ trong thử nghiệm điện áp chịu thử AC cảm ứng trên các máy biến áp theo 12.2, 12.3 và 12.4
A.1. Giới thiệu
Phóng điện cục bộ (p.d) là phóng điện chỉ nối tắt một phần cách điện giữa các vật dẫn. Ở máy biến áp, phóng điện cục bộ như vậy gây nên sự thay đổi quá độ của điện áp đến đất tại mỗi đầu nối bên ngoài của cuộn dây.
Các trở kháng đo được nối chắc giữa thùng máy nối đất và các đầu nối, thường qua đầu nối sứ xuyên hoặc qua cặp tụ nối riêng rẽ, như trình bày trong điều A.2.
Điện tích thực tế được truyền đến nơi phóng điện cục bộ không thể đo trực tiếp được. Phép đo hoạt động phóng điện cục bộ phù hợp cho máy biến áp điện lực là xác định điện tích biểu kiến q như được định nghĩa trong IEC 60270.
Điện tích biểu kiến q liên quan đến tất cả các đầu đo được xác định bằng cách tiêu chuẩn thích hợp xem điều A.2.
Phóng điện cục bộ cụ thể tạo ra các giá trị khác nhau của điện tích biểu kiến tại các đầu nối khác nhau của máy biến áp. Việc so sánh những chỉ báo được thu thập đồng thời tại các đầu nối khác nhau có thể đưa ra thông tin về vị trí của nguồn phóng điện cục bộ trong máy biến áp, xem điều A.5.
Qui trình thử nghiệm chấp nhận qui định trong 12.2, 12.3 và 12.4 yêu cầu phải đo điện tích biểu kiến tại các đầu nối pha của cuộn dây.
A.2. Đấu nối mạch đo và mạch hiệu chuẩn - Qui trình hiệu chuẩn
Thiết bị đo được nối tới các đầu nối bằng cáp đồng trục phối hợp. Trở kháng đo ở dạng đơn giản nhất của nó là trở kháng phối hợp của cáp, có thể là trở kháng đầu vào thiết bị đo.
Để cải thiện tỷ số hiệu/mức ồn của hệ thống đo hoàn chỉnh, cách thích hợp là sử dụng điều hưởng, các máy biến áp xung và các bộ khuếch đại giữa các đầu nối của đối tượng thử nghiệm và cáp.
Mạch đo phải có điện trở không đổi thích hợp, khi được quan sát từ các đầu nối của đối tượng thử nghiệm trong toàn bộ dải tần được sử dụng cho phép đo phóng điện cục bộ.
Trong khi đo phóng điện cục bộ giữa đầu nối pha của cuộn dây và thùng máy nối đất, cách bố trí thích hợp là lắp trở kháng đo Zm một cách hiệu quả giữa giá trị của đầu phân điện dung kiểu tụ điện trong sứ xuyên và mặt bích nối đất, xem hình A.1. Nếu không có đầu phân điện dung thì có thể cách điện mặt bích sứ xuyên thùng máy và sử dụng nó như là đầu nối đo. Điện dung tương đương giữa dây dẫn ở giữa, đầu nối đo và đất hoạt động như một bộ suy giảm đối với tín hiệu phóng điện cục bộ. Tuy nhiên, vấn đề này được giải quyết bằng việc hiệu chuẩn thực hiện giữa đầu nối trên cùng của sứ xuyên và đất.

Hình A.1 – Mạch hiệu chuẩn đối với phép đo phóng điện cục bộ khi có giá trị của đầu phân điện dung kiểu tụ điện của sứ xuyên
Nếu phải thực hiện phép đo ở đầu nối mang điện không có sẵn đầu phân điện dung kiểu tụ điện sứ xuyên (hoặc mặt bích cách điện) thì sử dụng phương pháp tụ điện ghép cao áp. Tụ điện này phải không có phóng điện cục bộ và giá trị điện dung C của nó phải đủ lớn so với điện dung máy phát hiệu chuẩn C0. Trở kháng đo (với khe hở bảo vệ) được nối giữa đầu nối điện áp thấp của tụ điện và đất, xem hình A.2.
Việc hiệu chuẩn hệ thống đo hoàn chỉnh được thực hiện bằng cách bơm các điện tích đã biết vào giữa các đầu nối tiêu chuẩn. Theo IEC 60270, máy phát hiệu chuẩn gồm máy phát xung điện áp bậc thang với thời gian ngắn và một tụ nối tiếp nhỏ có điện dung đã biết C0. Thời gian tăng phải không quá 0,1 ms và C0 phải nằm trong dải từ 50 pF đến 100 pF. Khi máy phát được nối giữa hai đầu nối hiệu chuẩn có điện dung lớn hơn C0 rất nhiều thì diện tích từ máy phát xung bơm vào phải là: q0 = U0 x C0
Trong đó: U0 là bước điện áp (thường 2 V đến 50 V)
Máy phát xung hiệu chuẩn nên có tần số lặp lại vào cỡ một xung trong mỗi nửa chu kỳ của tần số công nghiệp được sử dụng trong thử nghiệm máy biến áp.

Hình A.2 – Mạch đo phóng điện cục bộ sử dụng tụ điện ghép cao áp
Nếu các đầu nối hiệu chuẩn cách xa nhau thì có nguy cơ là điện dung rò từ các dây nối có thể gây ra sai số. Một phương pháp có thể áp dụng để hiệu chuẩn giữa đất và đầu nối khác được chỉ ra ở hình A.1.
Sau đó, tụ điện C0 được đặt vào đầu nối cao áp và cáp đồng trục với điện trở phù hợp được sử dụng từ máy phát điện áp bước.
Nếu không có đầu nối hiệu chuẩn nào được nối đất thì điện dung từ bản thân máy phát xung cũng là nguồn gây sai số. Máy phát tốt nhất là hoạt động bằng nguồn acqui và nên có kích thước nhỏ.
A.3. Dụng cụ đo, dải tần
Đặc tính của dụng cụ phải như qui định trong IEC 60270.
Theo dõi thử nghiệm bằng máy ghi dao động nói chung là hữu ích, đặc biệt vì nó tạo ra khả năng phân biệt giữa phóng điện cục bộ thực trong máy biến áp và các dạng nhất định của nhiễu bên ngoài. Điều này dựa trên tần suất lặp lại, vị trí trên sóng, các khác biệt về cực tính, v.v…
Các chỉ số phải được quan sát liên tục hoặc ngắt quãng nhiều lần trong suốt thời gian thử nghiệm. Không bắt buộc ghi liên tục bằng máy ghi dao động hoặc ghi băng.
Hệ thống đo phóng điện cục bộ được chia thành hệ thống băng hẹp hoặc băng rộng. Hệ thống băng hẹp hoạt động với độ băng là khoảng 10 kHz hoặc nhỏ hơn tại tần số điều hưởng nhất định (ví dụ, các dụng cụ đo nhiễu tần số radio). Hệ thống băng rộng sử dụng một tỷ số tương đối lớn giữa giới hạn dưới và giới hạn trên của băng tần, ví dụ từ 50 kHz đến 150 kHz, hoặc thậm chí 50 kHz đến 400 kHz.
Bằng cách sử dụng hệ thống băng kẹp, có thể tránh được nhiễu từ các trạm phát thanh địa phương bằng cách điều chỉnh hợp tần số giữa băng nhưng phải kiểm tra để chỉ ra rằng cộng hưởng nhiều đến phép đo. Dụng cụ đo băng hẹp cần được làm việc ở tần số không quá 500 kHz, và tốt nhất là nhỏ hơn 300 kHz. Có hai lý do cho điều kiện này. Một là, sự truyền xung phóng điện sẽ dẫn đến suy giảm mạnh các thành phần có tần số cao hơn, hai là, khi đặt xung hiệu chuẩn vào đầu nối pha, xung này có nhiều khả năng sẽ kích thích các dao động cục bộ ở gần đầu nối, và điều này sẽ làm phức tạp cho việc hiệu chỉnh khi sử dụng tần số giữa băng tần lớn hơn 500 kHz.
Hệ thống đo băng rộng ít khó khăn hơn, xét về độ suy giảm và đáp ứng đối với các dạng xung khác nhau dễ tiếp nhận nhiễu ở các vị trí thử nghiệm không có màn chắn điện tử. Các bộ lọc loại trừ băng tần có thể được dùng để chống lại các bộ truyền sóng radio. Có thể nhận dạng nguồn phóng điện cục bộ bằng cách so sánh hình dạng và cực tính của từng xung riêng biệt.
CHÚ THÍCH: Dụng cụ đo băng rộng ngày nay khác rất nhiều về các chế độ đánh giá của chúng và các đặc tính của bộ lọc bên trong. Cùng với chế độ truyền xung phức tạp từ trong các cuộn dây và dải tần suy giảm của các đáp ứng, từng dụng cụ đo sẽ có giá trị đọc của điện tích biểu kiến khác nhau cho dù qui trình hiệu chuẩn được thiết lập tốt. Bản mới nhất của IEC 60270 đưa ra vấn đề này nhưng không tiêu chuẩn hóa dụng cụ đo băng rộng. Vấn đề này không tồn tại đối với các dụng cụ đo băng hẹp với đánh giá độ lặp lại xung của TCVN 6989-1 (CISPR 16-1).
A.4. Tiêu chí thử nghiệm – Qui trình sau thử nghiệm không đạt
Các tiêu chí chấp nhận được nêu ở cuối 12.2, 12.3, 12.4. Mức phóng điện cục bộ ở trạng thái ổn định thể hiện bằng điện tích biểu kiến đo được giữa các đầu nối do qui định, không được quá giới hạn qui định, và không được có xu hướng tăng đáng kể trong toàn bộ thời gian thử nghiệm.
Nếu không có sụt áp, nhưng thử nghiệm không đạt vì lý do giá trị đọc của phóng điện cục bộ vượt quá nhưng vẫn vừa phải (trong vòng một vài nghìn picô culông hoặc ít hơn), thử nghiệm được xem là không phá hủy. Chỉ tiêu quan trọng khác là phóng điện cục bộ không duy trì trong hoặc dưới mức điện áp làm việc, khi tác động ở mức thử nghiệm.
Đối tượng thử nghiệm sẽ không bị loại bỏ ngay lập tức với một kết quả như vậy mà được xem xét kỹ hơn.
Môi trường thử nghiệm phải được kiểm tra trước tiên để tìm ra mọi dấu hiệu rõ ràng của nguồn phóng điện cục bộ không có liên quan. Sau đó, cần phải tham khảo ý kiến giữa nhà cung cấp và người mua để thỏa thuận các thử nghiệm bổ sung hoặc hành động khác để chứng tỏ hoặc có phóng điện cục bộ nghiêm trọng hoặc máy biến áp đáp ứng được điều kiện vận hành.
Dưới đây là một số gợi ý có thể có ích trong quá trình thực hiện trên.
Khảo sát xem các chỉ cố đo có thực có quan hệ với qui trình thử nghiệm hay chỉ là sự trùng hợp ngẫu nhiên của các nguồn không liên quan. Việc này nhiều khi sẽ dễ dàng hơn nếu theo dõi thử nghiệm bằng máy ghi dao động, chẳng hạn như nhiễu có thể được nhận ra bởi không đồng bộ với điện áp thử nghiệm.
Khảo sát xem phóng điện cục bộ có thể truyền từ nguồn cung cấp hay không. Bộ lọc thông thấp trên các dây dẫn nguồn đến máy biến áp cần thử nghiệm có thể giúp ích trong các trường hợp này.
Khảo sát để xác định xem nguồn phóng điện cục bộ nằm trong hay ngoài máy biến áp (phóng ra từ các vật ở trong phòng có điện thế trôi nổi, từ các phần mang điện trong không khí hoặc từ các gờ nhọn ở các phần nối đất của máy biến áp). Vì thử nghiệm liên quan đến cách điện bên trong, được phép và nên đặt màn chắn tĩnh điện tạm thời ở bên ngoài.
Khảo sát vị trí có thể của (các) nguồn theo sơ đồ mạch điện của máy biến áp. Có một vài phương pháp đã biết và đã xuất bản. Một phương pháp dựa trên cơ sở tương quan giữa các chỉ số và trị số chuẩn ở các cặp đầu nối khác nhau (ngoài các số ghi bắt buộc giữa các đầu nối pha và đất). Phương pháp này được mô tả trong điều A.5. Cũng có thể nhận dạng các dạng xung khác nhau trong quá trình thử nghiệm với dạng sóng chuẩn tương ứng, nếu sử dụng các giá trị ghi từ mạch băng rộng. Trường hợp đặc biệt là nhận biết sự phóng điện cục bộ trong điện môi của sứ xuyên phân điện dung, xem phần cuối điều A.5.
Khảo sát bằng cách dò âm thanh hoặc siêu âm vị trí “địa lý” của (các) nguồn hoặc các nguồn bên trong thùng máy.
Xác định bản chất vật lý có thể có của nguồn dựa vào các kết luận rút ra từ sự thay đổi theo cấp điện áp thử nghiệm, hiệu ứng trễ, dạng xung dọc theo sóng điện áp thử nghiệm, v.v….
Phóng điện cục bộ trong hệ thống cách điện có thể gây ra do sấy hoặc tẩm dầu chưa đủ. Vì vậy, có thể xử lý máy biến áp hoặc cho máy tạm nghĩ và sau đó lặp lại qui trình thử nghiệm.
Một điều rõ ràng là sự chịu đựng trong thời gian ngắn phóng điện cục bộ tương đối cao có thể dẫn tới phân hủy dầu cục bộ và tạm thời làm giảm điện áp dập tắt và điện áp phục hồi nhưng các điều kiện ban đầu có thể tự phục hồi trong một vài giờ.
Nếu các chỉ số đo phóng điện cục bộ vượt trên giới hạn chấp nhận nhưng không được xem là rất lớn, thì có thể thỏa thuận lặp lại thử nghiệm có thể với thời gian kéo dài hơn, và thậm chí tăng mức điện áp. Nếu mức phóng điện cục bộ thay đổi tương đối nhỏ theo sự tăng điện áp và không tăng thời gian, có thể chấp nhận là bằng chứng cho thấy biến áp thích hợp cho vận hành.
Thường không có những vết phóng điện cục bộ nhìn thấy được sau khi mở thùng, trừ khi máy biến áp phải chịu trong thời gian đáng kể các mức điện áp rất cao so với giới hạn chấp nhận. Đây có thể là qui trình cuối cùng nếu các biện pháp khác nhau nhằm cải thiện đặc tính máy biến áp hoặc nhận biết nguồn là không đạt yêu cầu.
A.5. Xác định vị trí các nguồn phóng điện cục bộ bằng cách “đo nhiều đầu nối” và “so sánh profin”
Nguồn phóng điện cục bộ bất kỳ sẽ đưa ra các tín hiệu ở tất cả cặp đầu đo tiếp cận được của máy biến áp và dạng của các tín hiệu là “dấu tay” duy nhất. Nếu xung hiệu chuẩn được đưa ra vào các cặp đầu đo hiệu chuẩn khác nhau thì xung này cũng sẽ đưa ra các tổ hợp đặc trưng của các tín hiệu ở các cặp đo.
Điều này có ý nghĩa là có thể rút ra kết luận về vị trí điện của nguồn phóng điện cục bộ trong sơ đồ mạch điện của máy biến áp. “Vị trí vật lý” là một khái niệm khác; một nguồn phóng điện cục bộ có định vị “về mặt điện” trong vùng lân cận của một đầu nối cụ thể có thể được định vị về mặt vật lý ở bất kỳ nơi nào dọc theo các dây dẫn nối với đầu nối này hoặc ở đầu dây tương ứng của kết cấu cuộn dây. Vị trí vật lý của nguồn phóng điện cục bộ thường được xác định bằng kỹ thuật định vụ âm thanh.
Qui trình để đạt được so sánh profin như dưới đây:
Trong khi máy phát chuẩn được nối với cặp đầu nối chuẩn cụ thể, phải quan sát các chỉ số tại tất cả các cặp đầu nối đo. Sau đó, qui trình này được lặp lại đối với các cặp đầu nối chuẩn khác. Hiệu chuẩn được thực hiện đầu nối cuộn dây với đất, nhưng cũng có thể áp dụng giữa các đầu nối mang điện của các sứ xuyên cao áp và các đầu phân điện dung (mô phỏng phóng điện cục bộ trong điện môi của sứ xuyên), giữa đầu nối điện áp cao và đầu nối trung tính, và giữa các đầu nối cuộn dây điện áp cao và điện áp thấp.
Tất cả các tổ hợp của các cặp đo và hiệu chuẩn tạo thành một “ma trận hiệu chuẩn” dùng để tham khảo khi giải thích các số ghi trong thử nghiệm thực tế.
Ví dụ, hình A.3 chỉ ra máy biến áp tự ngẫu một pha siêu cao áp có cuộn dây thứ ba điện áp thấp. Hiệu chuẩn và thử nghiệm được thực hiện có liên quan đến các đầu nối như chỉ ra trong bảng. Dòng có kết quả 1,5 Um được so sánh với các chuẩn khác, và dễ dàng nhận thấy, trong trường hợp này, nó tương ứng nhất với chuẩn “đầu nối 2.1 – đất”. Điều này gợi ý rằng có các phóng điện cục bộ với điện tích biểu kiến vào cỡ 1 500 pC tại đầu nối 2.1, và có thể từ các phần mang điện tới đất. Vị trí vật lý có thể ở bất kỳ chỗ nào dọc theo dây giữa cuộn dây nối tiếp và cuộn dây chung, hoặc ở đầu cuộn dây liền kề.
Phương pháp mô tả ở trên đạt kết quả chủ yếu trong các trường hợp khi một nguồn phóng điện cục bộ rõ rệt chiếm ưu thế và mức ồn nền thấp. Tuy nhiên, chắc chắn không phải trường hợp nào cũng vậy.
Một trường hợp đặc biệt đáng quan tâm là xác định xem phóng điện cục bộ quan sát được có thể bắt nguồn từ điện môi sứ xuyên cao áp. Điều này được khảo sát bằng hiệu chuẩn giữa đầu nối pha của sứ xuyên và đầu phân cấp điện dung sứ xuyên. Việc hiệu chuẩn này đưa ra mối tương quan chặt chẽ nhất với profin của phóng điện cục bộ trong sứ xuyên.
| Kênh chuẩn | 1.1 | 2.1 | 2.2 | 3.1 |
| |||
| Đơn vị tương đối | ||||||||
| 1.1 – đất 2 000 pC | 50 | 20 | 5 | 10 | ||||
| 2.1 – đất 2 000 pC | 5 | 50 | 30 | 8 | ||||
| 2.2 – đất 2 000 pC | 2 | 10 | 350 | 4 | ||||
| 3.1 – đất 2 000 pC | 3 | 2 | 35 | 25 | ||||
| Thử nghiệm |
|
|
|
| ||||
| U = 0 | < 0,5 | < 0,5 | < 0,5 | < 0,5 | ||||
| U = Um | < 0,5 | < 0,5 | < 0,5 | 0,5 | ||||
| U = 1,5 Um | 6 | 40 | 25 | 8 | ||||
| CHÚ THÍCH: Để tăng hiệu quả, cả đầu nối 2.2 và 3.2 phải được xử lý như đầu nối chuẩn và đầu đo, đặc biệt khi có sứ xuyên phân điện dung. | ||||||||
Hình A.3 – Xác định vị trí của nguồn phóng điện cục bộ bằng cách “đo nhiều đầu nối” và “so sánh profin”
Phụ lục B
(tham khảo)
Quá điện áp truyền từ cuộn dây điện áp cao sang cuộn dây điện áp thấp
B.1. Qui định chung
Vấn đề quá điện áp truyền được xem xét từ quan điểm hệ thống trong phụ lục A của IEC 60071-2. Các thông tin nêu dưới đây chỉ đề cập đến các vấn đề liên quan đến bản thân máy biến áp trong điều kiện vận hành cụ thể. Quá điện áp truyền được xem xét hoặc là các xung quá độ hoặc là quá điện áp.
CHÚ THÍCH: Trách nhiệm của người mua là xác định tải của cuộn dây điện áp thấp. Nếu người mua không đưa ra thông tin, nhà cung cấp có thể đưa ra thông tin về điện áp truyền dự kiến khi các đầu nối điện áp thấp là mạch hở, và về các giá trị của điện trở cao hoặc các tụ điện cần thiết để giữ điện áp trong giới hạn chấp nhận được.
B.2. Truyền điện áp sóng
B.2.1 Qui định chung
Nói chung, nghiên cứu lắp đặt máy biến áp cụ thể về mặt quá điện áp sóng truyền chỉ nên quan tâm đến máy biến áp máy phát lớn, có tỷ số điện áp lớn và đến các máy biến áp lớn của lưới cao áp có một cuộn dây thứ ba điện áp thấp.
Cần phân biệt hai cơ chế truyền sóng, cụ thể là truyền điện dung và truyền điện cảm.
B.2.2 Truyền điện dung
Sự truyền điện dung của quá điện áp tới cuộn dây điện áp thấp có thể được mô tả một cách sơ lược như là sự phân chia điện áp bằng điện dung. Mạch điện tương đương đơn giản nhất từ phía cuộn dây điện áp thấp bao gồm một nguồn sức điện động (e.m.f) mắc nối tiếp với điện dung truyền C1, xem hình B.1.
Sức điện động tương đương là phần s của sóng điện ở phía điện áp cao, C1 cỡ 10-9 F; giá trị s và C1 không được xác định rõ ràng nhưng phụ thuộc vào hình dạng đầu sóng. Chúng có thể cùng được xác định bằng phép đo trên máy dao động. Việc tính toán trước là không chắc chắn.
Việc đưa vào đầu nối thứ hai một thiết bị đóng cắt, đoạn cáp ngắn hoặc tụ điện bổ sung (một vài nF), có tác dụng như một điện dung tập trung trực tiếp trên các đầu nối (ngay cả trong micro giây đầu tiên) sẽ làm giảm đỉnh của quá điện áp truyền. Các cáp hoặc thanh cái dài hơn được thể hiện bằng trở kháng đặc trưng của chúng. Hình dạng thu được của quá điện áp thứ cấp thường có đặc tính của một xung nhọn ngắn (micro giây), tương ứng với mặt trước của xung truyền đến.
|
|
|
Hình B.1 – Mạch điện tương đương đối với sự truyền điện dung do quá điện áp
B.2.3 Truyền điện cảm
Sự truyền điện cảm của điện áp sóng xung tùy thuộc vào dòng sóng xung trong cuộn dây điện áp cao.
Nếu không có tải bên ngoài đặt lên cuộn dây thứ cấp, điện áp quá độ thường có một dao động tắt dần xếp chồng có tần số được xác định bằng điện cảm rò và điện dung của cuộn dây.
Có thể giảm thành phần quá điện áp truyền có tính điện cảm bằng cách tắt dần điện trở thông qua bộ chuyển đổi xung hoặc bằng việc điều chỉnh dao động với tải điện dung. Nếu sử dụng tụ điện, giá trị điện dung thường cỡ vài phần mười micro fara. (Vì thế chúng sẽ tự động loại trừ thành phần truyền điện dung khi điện cảm của mạch là nhỏ).
Các thông số của máy biến áp có liên quan đến truyền sóng điện cảm được xác định chính xác hơn và ít phụ thuộc vào tốc độ tăng (hoặc tần số) hơn là các thông số liên quan đến sự truyền điện dung. Xem tài liệu về vấn đề này để có thêm các thông tin khác.
B.3. Quá điện áp truyền tần số công nghiệp
Nếu cuộn dây điện áp thấp ở gần kề về mặt vật lý với cuộn dây điện áp cao không được nối đất hoặc chỉ được nối đất qua một trở kháng cao trong khi đóng điện cuộn dây điện áp cao thì sẽ có nguy cơ chịu điện áp tần số công nghiệp có sự phân chia điện dung.
Nguy cơ này là hiển nhiên đối với cuộn dây một pha, nhưng nó cũng có thể tồn tại đối với cuộn dây ba pha nếu điện áp cuộn sơ cấp trở nên không đối xứng, như xảy ra sự cố chạm đất. Trong một số hoàn cảnh nhất định, có thể xuất hiện cộng hưởng.
Cuộn dây thứ ba và cuộn dây ổn định trong các máy biến áp lớn cũng có mối nguy cơ tương tự. Trách nhiệm của người mua là không để cuộn dây thứ ba ngẫu nhiên có trở kháng với đất quá cao. Cuộn dây ổn định thường phải bố trí nối đất vĩnh viễn (thùng máy), hoặc bên ngoài hoặc bên trong.
Quá điện áp được xác định bằng các điện dung giữa các cuộn dây với nhau và giữa các cuộn dây với đất. Các điện dung này phải được đo ở tần số thấp từ đầu nối của máy biến áp trong các tổ hợp khác nhau, và chúng có thể được tính với đủ độ chính xác.
Phụ lục C
(tham khảo)
Thông tin về cách điện máy biến áp và thử nghiệm điện môi cần cung cấp cùng với bản yêu cầu và đơn đặt hàng
Đối với cả các cuộn dây:
- Giá trị Um dùng cho các đầu nối pha và Um ấn định cho các đầu nối trung tính.
- Cách đấu nối của cuộn dây (Y, D hoặc Z).
- Điện áp chịu thử danh định tạo thành cấp cách điện cho các đầu nối pha, xem bảng 1.
- Cuộn dây có cách điện đồng nhất hay không đồng nhất và điện áp chịu thử cảm ứng AC của trung tính, trong trường hợp cách điện không đồng nhất.
- Có ấn định mức chịu xung danh định cho trung tính hay không, và điện áp chịu thử thích hợp trong từng trường hợp.
- Thử nghiệm xung sét ở các đầu nối pha có bao gồm thử nghiệm xung cắt hay không.
Đối với máy biến áp có cuộn dây điện áp cao với Um = 245 kV:
- Thử nghiệm xung đóng cắt có được bỏ qua hay không (chỉ bỏ qua nếu qui định thử nghiệm chịu thử AC thời gian ngắn, xem bảng 1).
Đối với máy biến áp có cuộn dây điện áp cao với Um ³ 245 kV:
- Nếu qui định thử nghiệm cảm ứng thời gian ngắn, thì cần qui trình thử nghiệm phải được thỏa thuận trong khi lập đơn đặt hàng hoặc khi xem xét bản thiết kế, đặc biệt là khi có liên quan đến cách đấu nối với các thử nghiệm điện áp chịu thử cảm ứng trong các máy biến áp phức tạp có cuộn dây điện áp cao cách điện không đồng nhất (xem 12.3, chú thích) và phương pháp được sử dụng cho thử nghiệm xung trên các cuộn dây điện áp thấp công suất cao và các đầu nối trung tính (xem 13.3). Việc áp dụng các thiết bị bảo vệ phi tuyến, được lắp trong máy biến áp phải được nhà cung cấp chỉ ra trong bản yêu cầu và ở thời điểm đặt hàng, và chỉ ra trong sơ đồ đi dây trên tấm thông số đặc trưng.
Phụ lục D
(qui định)
ACSD
Bảng D.1 – Điện áp thử nghiệm đối với thử nghiệm điện áp chịu thử nghiệm thời gian ngắn dùng cho máy biến áp cách điện đồng nhất có Um > 72,5 kV theo bảng 2, bảng 4 và 12.2.2
| Điện áp cao nhất dùng cho thiết bị Um
giá trị hiệu dụng, kV | Điện áp chịu thử nguồn xoay chiều riêng hoặc cảm ứng thời gian dài danh định theo bảng 2, 3 hoặc 4 giá trị hiệu dụng, kV | Điện áp thử nghiệm U1 pha-pha
giá trị hiệu dụng, kV | Mức đánh giá phóng điện cục bộ pha-đất
giá trị hiệu dung, kV | Mức đánh giá phóng điện cục bộ pha-đất U2 = 1,3 Um
giá trị hiệu dung, kV |
| 100 | 150 | 150 | 75 | 130 |
| 100 | 185 | 185 | 75 | 130 |
| 123 | 185 | 185 | 92 | 160 |
| 123 | 230 | 230 | 92 | 160 |
| 145 | 185 | 185 | 110 | 185 |
| 145 | 230 | 230 | 110 | 185 |
| 145 | 275 | 275 | 110 | 185 |
| 170 | 230 | 230 | 130 | 225 |
| 170 | 275 | 275 | 130 | 225 |
| 170 | 325 | 325 | 130 | 225 |
| 245 | 325 | 325 | 185 | 320 |
| 245 | 360 | 360 | 185 | 320 |
| 245 | 395 | 395 | 185 | 320 |
| 245 | 460 | 460 | 185 | 320 |
| 300 | 395 | 395 | 225 | 390 |
| 300 | 460 | 460 | 225 | 390 |
| 362 | 460 | 460 | 270 | 470 |
| 362 | 510 | 510 | 270 | 470 |
| 420 | 460 | 460 | 290 | 505 |
| 420 | 510 | 510 | 290 | 505 |
| 420 | 570 | 570 | 315 | 545 |
| 420 | 630 | 630 | 315 | 545 |
| 550 | 510 | 510 | 380 | 660 |
| 550 | 570 | 570 | 380 | 660 |
| 550 | 630 | 630 | 380 | 660 |
| 550 | 680 | 680 | 380 | 660 |
| CHÚ THÍCH 1: Đối với Um = 550 kV và phần Um = 420 kV, mức đánh giá phóng điện cục bộ phải giảm xuống còn 1,2 Um CHÚ THÍCH 2: Khi điện áp chịu thử ACSD U1 nhỏ hơn mức đánh giá phóng điện cục bộ pha-pha U2, U1 phải lấy bằng U2. Khe hở không khí bên trong và bên ngoài phải được thiết kế phù hợp. | ||||
Bảng D.2 – Điện áp thử nghiệm đối với thử nghiệm điện áp chịu thử nghiệm thời gian ngắn dùng cho máy biến áp cách điện đồng nhất có Um > 72,5 kV theo bảng 2, bảng 4 và 12.3
| Điện áp cao nhất dùng cho thiết bị Um
giá trị hiệu dụng, kV | Điện áp chịu thử nguồn xoay chiều riêng hoặc cảm ứng thời gian dài danh định theo bảng 2, 3 hoặc 4 giá trị hiệu dụng, kV | Điện áp thử nghiệm U1 pha-pha
giá trị hiệu dụng, kV | Mức đánh giá phóng điện cục bộ pha-đất
giá trị hiệu dung, kV | Mức đánh giá phóng điện cục bộ pha-đất U2 = 1,3 Um
giá trị hiệu dung, kV |
| 100 | 150 | 150 | 87 | 130 |
| 100 | 185 | 185 | 87 | 130 |
| 123 | 185 | 185 | 107 | 160 |
| 123 | 230 | 230 | 107 | 160 |
| 145 | 185 | 185 | 125 | 185 |
| 145 | 230 | 230 | 125 | 185 |
| 145 | 275 | 275 | 125 | 185 |
| 170 | 230 | 230 | 145 | 225 |
| 170 | 275 | 275 | 145 | 225 |
| 170 | 325 | 325 | 145 | 225 |
| 245 | 325 | 325 | 215 | 320 |
| 245 | 360 | 360 | 215 | 320 |
| 245 | 395 | 395 | 215 | 320 |
| 245 | 460 | 460 | 215 | 320 |
| 300 | 395 | 395 | 260 | 390 |
| 300 | 460 | 460 | 260 | 390 |
| 362 | 460 | 460 | 315 | 460 |
| 362 | 510 | 510 | 315 | 460 |
| 420 | 460 | 460 | 365 | 504 |
| 420 | 510 | 510 | 365 | 504 |
| 420 | 570 | 570 | 365 | 545 |
| 420 | 630 | 630 | 365 | 545 |
| 550 | 510 | 510 | 475 | 660 |
| 550 | 570 | 570 | 475 | 660 |
| 550 | 630 | 630 | 475 | 660 |
| 550 | 680 | 680 | 475 | 660 |
| CHÚ THÍCH 1: Đối với Um = 550 kV và phần Um = 420 kV, mức đánh giá phóng điện cục bộ phải giảm xuống còn 1,2 Um CHÚ THÍCH 2: Khi điện áp chịu thử ACSD U1 nhỏ hơn mức đánh giá phóng điện cục bộ pha-pha U2, U1 phải lấy bằng U2, khe hở không khí bên trong và bên ngoài phải được thiết kế phù hợp. | ||||
MỤC LỤC
Lời nói đầu
1 Phạm vi áp dụng
2 Tài liệu viện dẫn
3 Định nghĩa
4 Qui định chung
5 Điện áp cao nhất dùng cho thiết bị và mức cách điện
6 Qui tắc đối với một số loại máy biến áp đặc biệt
7 Yêu cầu cách điện và thử nghiệm điện môi – Các qui tắc cơ bản
8 Thử nghiệm trên máy biến áp có cuộn dây có nấc điều chỉnh
9 Thử nghiệm điện môi lặp lại
10 Cách điện của hệ thống đi dây phụ trợ
11 Thử nghiệm điện áp chịu thử AC nguồn riêng
12 Thử nghiệm điện áp AC cảm ứng (ACSD, ACLD)
13 Thử nghiệm xung sét (LI)
14 Thử nghiệm xung sét bị cắt đuôi sóng (LIC)
15 Thử nghiệm xung đóng cắt (SI)
16 Khoảng cách ly bên ngoài trong không khí
Phụ lục A (tham khảo) – Hướng dẫn áp dụng các phép đo phóng điện cục bộ trong thử nghiệm điện áp chịu thử AC cảm ứng trên các máy biến áp theo 12.2, 12.3 và 12.4.
Phụ lục B (tham khảo) – Quá điện áp truyền từ cuộn dây điện áp cao sang cuộn dây điện áp thấp
Phụ lục C (tham khảo) – Thông tin về cách điện máy biến áp và thử nghiệm điện môi cần cung cấp cùng với bản yêu cầu và đơn đặt hàng
Phụ lục D (qui định) – ACSD
Bạn chưa Đăng nhập thành viên.
Đây là tiện ích dành cho tài khoản thành viên. Vui lòng Đăng nhập để xem chi tiết. Nếu chưa có tài khoản, vui lòng Đăng ký tại đây!













và 1,2 Um tương ứng.
và 1,2 Um tương ứng.