- Tổng quan
- Nội dung
- Tiêu chuẩn liên quan
- Lược đồ
- Tải về
Tiêu chuẩn Quốc gia TCVN 10975-2:2015 ISO 8791-2:2013 Giấy và các tông-Xác định độ nhám/độ nhẵn (phương pháp không khí thoát qua)-Phần 2: Phương pháp Bendtsen
| Số hiệu: | TCVN 10975-2:2015 | Loại văn bản: | Tiêu chuẩn Việt Nam |
| Cơ quan ban hành: | Bộ Khoa học và Công nghệ | Lĩnh vực: | Công nghiệp |
|
Ngày ban hành:
Ngày ban hành là ngày, tháng, năm văn bản được thông qua hoặc ký ban hành.
|
2015 |
Hiệu lực:
|
Đã biết
|
| Người ký: | Đang cập nhật |
Tình trạng hiệu lực:
Cho biết trạng thái hiệu lực của văn bản đang tra cứu: Chưa áp dụng, Còn hiệu lực, Hết hiệu lực, Hết hiệu lực 1 phần; Đã sửa đổi, Đính chính hay Không còn phù hợp,...
|
Đã biết
|
TÓM TẮT TIÊU CHUẨN VIỆT NAM TCVN 10975-2:2015
Nội dung tóm tắt đang được cập nhật, Quý khách vui lòng quay lại sau!
Tải tiêu chuẩn Việt Nam TCVN 10975-2:2015
TIÊU CHUẨN QUỐC GIA
TCVN 10975-2:2015
ISO 8791-2:2013
GIẤY VÀ CÁC TÔNG - XÁC ĐỊNH ĐỘ NHÁM/ ĐỘ NHẴN (PHƯƠNG PHÁP KHÔNG KHÍ THOÁT QUA) - PHẦN 2: PHƯƠNG PHÁP BENDTSEN
Paper and board - Determination of roughness/smoothness (air leak methods) - Part 2: Bendtsen method
Lời nói đầu
TCVN 10975-2:2015 hoàn toàn tương đương với ISO 8791-2:2013.
TCVN 10975-2:2015 do Ban kỹ thuật Tiêu chuẩn quốc gia TCVN/TC 6 Giấy và sản phẩm giấy biên soạn, Tổng cục Tiêu chuẩn Đo lường Chất lượng đề nghị, Bộ Khoa học và Công nghệ công bố.
Bộ TCVN 10975 (ISO 8791), Giấy và các tông - Xác định độ nhám/độ nhẵn (phương pháp không khí thoát qua), gồm các phần sau:
- TCVN 10975-1:2015 (ISO 8791-1:1986), Phần 1: Phương pháp chung;
- TCVN 10975-2:2015 (ISO 8791-2:2013), Phần 2: Phương pháp Bendtsen;
- TCVN 10975-3:2015 (ISO 8791-3:2005), Phần 3: Phương pháp Sheffield;
- TCVN 10975-4:2015 (ISO 8791-4:2007), Phần 4: Phương pháp Print-surf.
GIẤY VÀ CÁC TÔNG - XÁC ĐỊNH ĐỘ NHÁM/ ĐỘ NHẴN (PHƯƠNG PHÁP KHÔNG KHÍ THOÁT QUA) - PHẦN 2: PHƯƠNG PHÁP BENDTSEN
Paper and board - Determination of roughness/smoothness (air leak methods) - Part 2: Bendtsen method
1 Phạm vi áp dụng
Tiêu chuẩn này quy định phương pháp sử dụng thiết bị Bendtsen để xác định độ nhám của giấy và các tông.
Tiêu chuẩn này áp dụng được cho giấy và các tông có giá trị độ nhám Bendtsen nằm trong khoảng từ 5 ml/min đến 3000 ml/min khi được xác định bằng thiết bị có lưu lượng kế kiểu tiết diện biến thiên và trong khoảng từ 50 ml/min đến 5000 ml/min khi được xác định bằng thiết bị có lưu lượng kế điện tử. Phương pháp này không thích hợp với các loại giấy mềm mà khi kẹp vào vị trí thử nghiệm sẽ tạo nên vết hằn rõ rệt trên bề mặt mẫu thử hoặc các loại giấy có độ thấu khí cao làm cho một lượng không khí đáng kể đi qua tờ giấy hoặc với các loại giấy không thể đặt phẳng dưới đầu đo.
2 Tài liệu viện dẫn
Các tài liệu viện dẫn sau rất cần thiết cho việc áp dụng tiêu chuẩn này. Đối với các tài liệu viện dẫn ghi năm công bố thì áp dụng bản được nêu. Đối với các tài liệu viện dẫn không ghi năm công bố thì áp dụng phiên bản mới nhất, bao gồm cả các sửa đổi.
TCVN 3649 (ISO 186), Giấy và các tông - Lấy mẫu để xác định chất lượng trung bình.
TCVN 6725 (ISO 187), Giấy và các tông - Môi trường tiêu chuẩn để điều hòa và thử nghiệm và quy trình kiểm soát môi trường và điều hòa mẫu.
3 Thuật ngữ và định nghĩa
Trong tiêu chuẩn này áp dụng thuật ngữ và định nghĩa sau.
3.1 Độ nhám Bendtsen (Bendtsen roughness)
Lưu lượng không khí đi qua giữa mặt phẳng đo hình tròn và tờ giấy hoặc các tông khi được thử trong các điều kiện và áp suất vận hành quy định.
CHÚ THÍCH 1 Độ nhám Bendtsen được biểu thị bằng mililít trên phút.
4 Nguyên tắc
Kẹp mẫu thử vào giữa một tấm phẳng và mặt phẳng tròn bằng kim loại. Không khí được cấp tại áp suất danh nghĩa bằng 1,47 kPa vào khoảng không kín bên trong mặt phẳng đo và lưu lượng không khí đi qua giữa mặt phẳng này và mẫu thử được xác định.
5 Thiết bị, dụng cụ
5.1 Thiết bị Bendtsen (hai loại)
Thiết bị Bendtsen vận hành theo một trong các nguyên lý đo lưu lượng không khí sau:
- Loại có lưu lượng kế kiểu tiết diện biến thiên (xem 5.2)
- Loại có lưu lượng kế điện tử (xem 5.3)
Đối với thiết bị đo có lưu lượng kế kiểu tiết diện biến thiên, áp suất giữa lưu lượng kế và đầu đo sẽ giảm ở lưu lượng không khí cao (xem 10.2.2) dẫn đến làm giảm độ chính xác của giá trị đọc trên lưu lượng kế. Đối với các thiết bị có lưu lượng kế điện tử, áp suất giữa lưu lượng kế và đầu đo được kiểm soát tự động.
5.2 Loại có lưu lượng kế kiểu tiết diện biến thiên
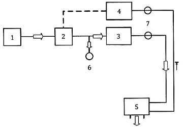
Chênh lệch áp suất chuẩn được tạo ra dọc theo mặt phẳng đo và lưu lượng không khí được đo bằng lưu lượng kế kiểu tiết diện biến thiên. Thiết bị gồm một máy nén khí (5.2.1) và bình ổn áp (5.2.2), một lưu lượng kế (5.2.4) với bộ kiểm soát áp suất (5.2.3) và đầu đo (5.2.5) (xem Hình 1).
Phụ lục A nêu chi tiết quy trình bảo dưỡng và bảo trì thiết bị Bendtsen.

CHÚ DẪN
1 Máy nén khí 4 Lưu lượng kế
2 Bình ổn áp 5 Đầu đo
3 Bộ kiểm soát áp suất
Hình 1 - Sơ đồ khối của thiết bị có lưu lượng kế kiểu tiết diện biến thiên
5.2.1 Máy nén khí, có khả năng tạo được áp suất không khí đến khoảng 127 kPa. Nếu cần thiết, phải có bộ phận lọc để đảm bảo không khí sạch và không có dầu.
CHÚ THÍCH Nên đặt máy nén khí trong phòng thí nghiệm có môi trường chuẩn để điều hòa và thử nghiệm mẫu.
5.2.2 Bình ổn áp, có thể tích không nhỏ hơn 10 lít, được đặt giữa máy nén khí và bộ điều chỉnh áp suất.
5.2.3 Bộ kiểm soát áp suất để điều chỉnh áp suất không khí tại đầu vào của lưu lượng kế. Bộ kiểm soát áp suất gồm một cơ cấu ổn áp, bộ điều chỉnh áp suất hoặc các thiết bị tạo được áp suất không khí danh nghĩa ổn định bằng (1,47 ± 0,02) kPa được đo tại cơ cấu ổn áp.
CHÚ THÍCH Phần lớn các thiết bị Bendtsen có ba cơ cấu ổn áp có thể thay thế cho nhau, nhưng chỉ có cơ cấu ổn áp 1,47 kPa đáp ứng yêu cầu của tiêu chuẩn này.
5.2.4 Lưu lượng kế, lưu lượng không khí phải được xác định bằng các lưu lượng kế kiểu tiết diện biến thiên có các khoảng đo lưu lượng từ 5 ml/min đến 150 ml/min, 50 ml/min đến 500 ml/min và trên một số thiết bị có khoảng đo lưu lượng 300 ml/min đến 3000 ml/min. Các lưu lượng kế này phải có khả năng đo được chính xác đến 2 ml/min, 5 ml/min và 20 ml/min tương ứng. Lưu lượng kế kiểu tiết diện biến thiên có thể được thay thế bằng một loại lưu lượng kế khác có khoảng đo phù hợp với vật liệu được đo mà cho phép xác định được lưu lượng không khí với sai số nhỏ hơn ± 5 ml/min hoặc ± 5 %, tùy theo giá trị nào lớn hơn.
Sử dụng một ống mao quản để kiểm tra việc hiệu chuẩn của từng lưu lượng kế kiểu tiết diện biến thiên, ống mao dẫn phải có khoảng đo phù hợp với khoảng đo của lưu lượng kế liên quan và bản thân chúng phải được hiệu chuẩn chính xác bởi thiết bị chuẩn chính xác (ví dụ, lưu lượng kế chuẩn kiểu bọt xà phòng) tại cùng giá trị chênh áp như bên trong đầu đo (Phụ lục B trình bày chi tiết việc hiệu chuẩn ống mao quản và lưu lượng kế kiểu tiết diện biến thiên).
5.2.5 Đầu đo, gồm một mặt phẳng đo hình tròn có tiết diện được giới hạn, tốt nhất là được làm bằng vật liệu không ăn mòn với bề mặt dưới phẳng có đường kính trong bằng 31,5 mm ± 0,2 mm, chiều rộng bằng 0,150 mm ± 0,002 mm và khối lượng 267 g ± 2 g. Ống dùng để nối đầu đo với lưu lượng kế phải làm bằng cao su hoặc chất dẻo, đường kính trong 5 mm và chiều dài không quá 700 mm.
CHÚ THÍCH 1 Ống nối có chiều dài lớn hơn sẽ gây ra tổn thất áp suất đáng kể giữa lưu lượng kế và đầu đo.
CHÚ THÍCH 2 Đối với hầu hết các thiết bị có trên thị trường, van tại đầu ra của lưu lượng kế có hai đầu ra. Đối với phép đo độ nhám ống được nối với đầu ra có đường kính nhỏ hơn.
Vì đầu đo phải được đặt trên mẫu thử sao cho không tạo thành vết hằn trên bề mặt nên phải có một dụng cụ cơ học thích hợp để nâng và hạ đầu đo 1)
5.2.6 Tấm phẳng, tấm phẳng được đánh bóng, tốt nhất là bằng thủy tinh, được dùng để kiểm tra sự thoát qua của không khí và khi đặt mẫu thử lên nó để thử nghiệm. Không khí thoát qua giữa mặt phẳng đầu đo và tấm phẳng này không được lớn hơn 5 ml/min.
5.2.7 Vật nặng bằng kim loại, vật nặng bằng kim loại có dạng hình khuyên hoặc các vật nặng có hình dạng thích hợp để giữ mẫu thử phẳng xung quanh đầu đo.
5.3 Lưu lượng kế điện tử
Chênh lệch áp suất chuẩn được tạo ra dọc theo mặt phẳng đo và lưu lượng không khí được xác định bằng một lưu lượng kế điện tử. Thiết bị gồm hệ thống cấp không khí nén (5.3.1), bộ điều chỉnh áp suất (5.3.2), lưu lượng kế điện tử (5.3.3) có dụng cụ kiểm soát áp suất (5.3.4) và đầu đo (5.3.5), xem Hình 2.

CHÚ DẪN
1 Bộ phận cấp không khí
2 Bộ phận kiểm soát áp suất
3 Cảm biến dòng
4 Cảm biến áp suất
5 Đầu đo
6 Không khí thoát qua không đổi
7 Đầu nối
Hình 2 - Sơ đồ khối của thiết bị thử có lưu lượng kế điện tử
5.3.1 Hệ thống cung cấp khí nén, có khả năng tạo được áp suất không khí đến khoảng 127 kPa. Nếu cần thiết, phải có bộ phận lọc để đảm bảo không khí sạch và không có dầu.
CHÚ THÍCH Nên đặt máy nén trong phòng thí nghiệm có môi trường chuẩn để điều hòa và thử nghiệm mẫu.
5.3.2 Bộ điều chỉnh áp suất, hoặc thiết bị khác tạo được áp suất không khí danh nghĩa ổn định bằng (1,47 ±0,02) kPa.
5.3.3 Lưu lượng kế, có khoảng đo từ 50 ml/min đến 5000 ml/min, cho phép xác định lưu lượng khí với sai số nhỏ hơn ± 5 ml/min hoặc ± 5 % của giá trị thực, tùy theo giá trị nào lớn hơn.
5.3.4 Đồng hồ đo chênh lệch áp suất không khí, cho phép đo được chênh lệch áp suất không khí trên mẫu thử với sai số nhỏ hơn 3 % áp suất thực.
5.3.5 Đầu đo, gồm một mặt phẳng đo bằng kim loại được giới hạn, tốt nhất được làm bằng vật liệu không ăn mòn với bề mặt dưới phẳng, có đường kính trong bằng 31,5 mm ± 0,2 mm, chiều rộng bằng 0,150 mm ± 0,002 mm và khối lượng 267 g ± 2 g.
5.3.6 Tấm phẳng, tấm phẳng được đánh bóng, tốt nhất là bằng thủy tinh, được dùng để kiểm tra sự thoát qua của không khí và khi đặt mẫu thử lên nó để thử nghiệm. Không khí thoát qua giữa mặt phẳng đầu đo và tấm phẳng này không được lớn hơn 5 ml/min.
5.3.7 Vật nặng bằng kim loại, vật nặng bằng kim loại có dạng hình khuyên hoặc các vật nặng có hình dạng thích hợp để giữ mẫu thử phẳng xung quanh đầu đo.
6 Lấy mẫu
Nếu các phép thử được thực hiện để đánh giá lô sản phẩm thì mẫu được lấy theo TCVN 3649 (ISO 186). Nếu các phép thử được thực hiện trên dạng mẫu khác thì phải bảo đảm mẫu thử được lấy đại diện cho mẫu nhận được.
7 Điều hòa
Mẫu phải được điều hòa theo TCVN 6725 (ISO 187).
8 Chuẩn bị mẫu thử
Cắt tối thiểu 10 mẫu thử cho mỗi mặt thử nghiệm. Kích thước nhỏ nhất của mỗi mẫu thử là 75 mm x 75 mm và các bề mặt của mẫu phải được nhận biết, ví dụ mặt trên và mặt lưới.
Phần diện tích thử không được có nếp gấp, nhăn, thủng, hình bóng nước hoặc các khuyết tật khác không thuộc bản chất của giấy và các tông. Không được chạm tay vào phần được đo của mẫu thử.
9 Hiệu chuẩn và kiểm tra
9.1 Thiết bị có lưu lượng kế kiểu tiết diện biến thiên
Hiệu chuẩn thiết bị theo mô tả trong 10.2.4 và Phụ lục B.
9.2 Thiết bị có lưu lượng kế điện tử
Hiệu chuẩn thiết bị theo mô tả (rong Phụ lục B.2 (cũng như theo hướng dẫn của nhà sản xuất thiết bị).
10 Cách tiến hành
10.1 Môi trường thử nghiệm
Tiến hành thử nghiệm tại môi trường giống như môi trường điều hòa mẫu thử. Thử riêng biệt từng mặt của các mẫu thử.
10.2 Xác định bằng thiết bị loại lưu lượng kế kiều tiết diện biến thiên
10.2.1 Đặt thiết bị cân bằng trên một bệ cứng. Cân chỉnh thiết bị, bảo đảm không bị rung lắc làm ảnh hưởng đến giá trị đọc và bật hệ thống cấp không khí.
10.2.2 Lựa chọn lưu lượng kế sẽ được sử dụng trong phép thử, nếu có thể chọn lưu lượng kế kiểu tiết diện biến thiên mà sẽ cho giá trị đọc lên đến 80 % của khoảng đo với bộ ổn áp bằng 1,47 kPa. Không sử dụng lưu lượng khí lớn hơn 1200 ml/min vì khi lưu lượng khí cao thì tổn thất áp suất giữa lưu lượng kế và đầu đo lớn có thể làm cho việc hiệu chỉnh lưu lượng kế kiểu tiết diện biến thiên không được chuẩn.
Lắp các van ở đáy của lưu lượng kế kiểu tiết diện biến thiên sao cho dòng không khí đi qua lưu lượng kế kiểu tiết diện biến thiên đã lựa chọn. Khi không khí bắt đầu đi qua, nhẹ nhàng đặt bộ ổn áp 1,47 kPa lên trục và bắt đầu cho nó quay tròn. Nó vẫn phải tiếp tục quay nhẹ nhàng.
Không đặt bộ ổn áp lên trục trước khi bắt đầu cho không khí đi qua và phải nhấc ra trước khi ngừng cấp khí.
10.2.3 Lắp van tại đầu ra của lưu lượng kế sao cho dòng không khí đi qua đầu ra nhỏ hơn (thấp hơn).
10.2.4 Kiểm tra việc hiệu chuẩn của lưu lượng kế kiểu tiết diện biến thiên bằng cách thay tạm thời đầu đo bằng ống mao quản phù hợp. Giá trị đọc của lưu lượng khí phải đúng với giá trị đọc của ống mao quản trong khoảng ± 5 %.
10.2.5 Nối đầu đo với lưu lượng kế, hạ thấp mặt phẳng đo lên tấm phẳng (5.2.6) và bảo đảm phao dừng lại ở đáy của lưu lượng kế. Nếu không, kiểm tra sự rò khí của hệ thống như mô tả trong Phụ lục A Điều A.1.
10.2.6 Đặt mẫu thử lên trên tấm phẳng với mặt được đo quay lên trên. Nhẹ nhàng hạ đầu đo lên mẫu thử, tiến hành thật cẩn thận để không tạo vết hằn trên bề mặt mẫu thử. Nếu mẫu thử không nằm phẳng, sử dụng tấm kim loại hình khuyên (5.2.7) đặt lên trên mẫu thử. Ghi lại giá trị đọc trên lưu lượng kế tại đỉnh phao ít nhất 5 s sau khi hạ thấp đầu đo, với độ chính xác được nêu trong 5.2.4.
10.2.7 Lặp lại 10.2.6 với các mẫu thử còn lại cho từng mặt được thử.
10.2.8 Sau khi hoàn thành các phép thử, lấy bộ ổn áp ra và tắt hệ thống cấp không khí.
10.3 Xác định bằng thiết bị có lưu lượng kế điện tử
10.3.1 Đặt thiết bị cân bằng trên bệ cứng. Cân chỉnh thiết bị, bảo đảm không bị rung lắc làm ảnh hưởng đến giá trị đọc và bật hệ thống cấp không khí.
10.3.2 Hạ thấp mặt phẳng đo lên tấm phẳng (5.3.6) và kiểm tra xem giá trị đọc trên lưu lượng kế không được vượt quá 5 ml/min.
10.3.3 Đặt mẫu thử lên tấm phẳng với mặt được đo quay lên trên và tiến hành thử nghiệm theo hướng dẫn của nhà sản xuất thiết bị. Nếu mẫu thử không nằm phẳng được thì sử dụng tấm kim loại hình khuyên (5.3.7) đặt lên trên mẫu thử. Ghi lại giá trị đọc trên lưu lượng kế, với độ chính xác được nêu trong 5.3.3.
10.3.4 Lặp lại 10.3.3 với các mẫu thử còn lại cho từng mặt được thử.
10.3.5 Sau khi hoàn thành các phép thử, tắt hệ thống cấp không khí.
11 Biểu thị kết quả
11.1 Đối với mỗi mặt thử nghiệm, tính và báo cáo giá trị trung bình của các giá trị đọc được của lưu lượng khí, theo ml/min, lấy chính xác đến ba chữ số có nghĩa.
11.2 Đối với mỗi mặt thử nghiệm, tính độ lệch chuẩn hoặc hệ số sai khác chính xác đến hai chữ số có nghĩa đối với giá trị nhỏ hơn 10 ml/min và lấy chính xác đến một số nguyên đối với giá trị bằng và lớn hơn 10 ml/min.
12 Báo cáo thử nghiệm
Báo cáo thử nghiệm phải bao gồm các thông tin sau;
a) Viện dẫn tiêu chuẩn này;
b) Thời gian và địa điểm thử nghiệm;
c) Tất cả các thông tin cần thiết để nhận biết hoàn toàn mẫu;
d) Loại thiết bị sử dụng;
e) Môi trường điều hòa mẫu;
f) Số lượng mẫu thử được thử nghiệm;
g) Chênh lệch áp suất sử dụng, theo kilopascal;
h) Khoảng đo của lưu lượng kế sử dụng;
i) Giá trị độ nhám Bendtsen trung bình, theo ml/min được tính toán theo 11.1;
j) Độ lệch chuẩn hoặc hệ số sai khác, được tính toán theo 11.2;
k) Bất kỳ sai khác nào so với cách tiến hành được mô tả trong tiêu chuẩn này mà có thể ảnh hưởng đến kết quả thử nghiệm.
PHỤ LỤC A
(quy định)
Bảo dưỡng và bảo trì thiết bị Bendtsen có lưu lượng kế kiểu tiết diện biến thiên
A.1 Kiểm tra sự rò khí
Kiểm tra sự rò khí bằng cách đặt đầu đo lên tấm phẳng như mô tả trong 10.2.5, sử dụng lưu lượng kế có khoảng đo từ 5 ml/min đến 150 ml/min. Nếu rotor không dừng lại ở đáy của lưu lượng kế, kiểm tra tấm phẳng và mặt phẳng đầu đo xem có bị hỏng hoặc có khuyết tật không, kiểm tra ống dẫn và các đầu nối.
A.2 Cơ cấu ổn áp
Cẩn thận khi thao tác với cơ cấu ổn áp để tránh làm hỏng các mép. Đặc biệt không được lắp nó vào trục trục trước khi cho không khí đi qua và phải lấy ra trước khi dừng cấp không khí.
Kiểm tra để đảm bảo lỗ đi qua trục phải sạch.
Tháo đầu đo ra và nối vào đầu ống chữ T nơi có ống mao quản phù hợp ở vị trí thẳng của chữ T và áp kế nước thì được nối vào vị trí bên cạnh. Kiểm tra xem áp suất tại điểm này có nằm trong khoảng 5 % của giá trị đọc yêu cầu trên áp kế khi lưu lượng khí có giá trị như trong Bảng A.1 và A.2, cũng như trong đoạn thứ tư của điều này.
Bảng A.1 - Lưu lượng kế có khoảng đo từ 5 ml/min đến 150 ml/min
| Lưu không khí (ml/min) | 10 | 100 | 150 |
| Giá trị đọc mong muốn trên áp kế (mm) | 152 | 150 | 148 |
Bảng A.2 - Lưu lượng kế có khoảng đo từ 50 ml/min đến 500 ml/min
| Lưu lượng không khí (ml/min) | 50 | 100 | 300 | 500 |
| Giá trị đọc mong muốn trên áp kế (mm) | 152 | 151 | 149 | 146 |
Lưu lượng kế kiểu tiết diện biến thiên có khoảng đo từ 300 ml/min đến 3000 ml/min
Giá trị đọc mong muốn trên áp kế (mm): 150 ± 10 tại các lưu lượng không khí lên đến 1200 ml/min. Không sử dụng lưu lượng không khí lớn hơn 1200 ml/min, xem 10.2.2.
Để đảm bảo tổn thất áp suất giữa điểm này và mẫu thử không đáng kể, ống nối với đầu đo phải có đường kính trong là 5 mm và không được dài hơn 700 mm.
Không được bôi trơn cơ cấu ổn áp.
A.3 Sự di chuyển của phao
Kiểm tra sự quay tự do của các phao trong các ống của lưu lượng kế kiểu tiết diện biến thiên. Mặc dù phao quay không tốt vẫn có thể cho giá trị đọc ổn định, phao quay có thể tự làm sạch và ít gây ra sai số do chạm vào thành ống. Kiểm tra điều kiện làm việc ống vì rất quan trọng để phao quay đúng, đặc biệt là ở các lưu lượng nhỏ. Để phao quay tốt thì các yếu tố khác quan trọng khác là sự cân bằng cơ học và tình trạng của mép trên đỉnh.
Nếu phao bị kẹt vào lò xo ở phía dưới hoặc phía trên của ống lưu lượng kế, thì mở van một chút để không khí đi qua ống. Nếu phao không thoát được ra khỏi vị trí bị kẹt, dùng cờ lê nới lỏng ống lót ở bên trên và bên dưới ống, tháo tấm chặn bằng kim loại ở phía trên lưu lượng kế và nhấc ống ra. Để tránh phao bị kẹt lại, phải điều chỉnh lại lò xo. Lò xo bên dưới phải kết thúc bởi vòng ngang và nằm ở giữa lưu lượng kế. Lò xo bên trên phải kết thúc bởi vòng đứng và nằm ở giữa lưu lượng kế.
A.4 Làm sạch lưu lượng kế kiểu tiết diện biến thiên
Nếu ống của lưu lượng kế kiểu tiết diện biến thiên hoặc phao bị bẩn sẽ cho giá trị đọc cao, lấy phao ra khỏi ống và làm sạch cả hai bằng nước xà phòng hoặc dung môi thích hợp, sau đó làm khô bằng cách thổi khí. Nếu dùng xà phòng, cho một ít xà phòng vào ống, lắc mạnh với nước vài lần, và sử dụng dung dịch loãng (khoảng 10 % thể tích) để làm sạch phao. Cuối cùng rửa cả hai bằng nước cất và sấy khô.
Thay thế các ống bị hỏng.
A.5 Ống dẫn không khí
Ống dẫn không khí phải được kiểm tra thường xuyên và phải thay mới nếu cần thiết. Tất cả các ống dẫn khí phải thay mới ít nhất một lần trong năm kể cả khi không có hư hỏng.
A.6 Ống mao quản
Các ống mao quản rất dễ bị bẩn, bởi vậy phải kiểm tra thường xuyên và cẩn thận bằng kính lúp và nếu cần thiết phải làm sạch theo quy trình cho trong Điều A.4.
PHỤ LỤC B
(quy định)
Hiệu chuẩn các ống mao quản, lưu lượng kế kiểu tiết diện biến thiên và lưu lượng kế điện tử
B.1 Kiểm tra lưu lượng kế kiểu tiết diện biến thiên bằng các ống mao quản
Phao của lưu lượng kế dễ bị hỏng do sử dụng. Nếu giá trị đọc khi nối với ống mao quản chênh lệch nhau quá 5 % so với giá trị được chỉ ra thì tiến hành hiệu chuẩn như sau:
a) Kiểm tra lưu lượng kế kiểu tiết diện biến thiên với ống mao quản chuẩn thường được sử dụng cho lưu lượng kế kiểu tiết diện biến thiên liền kề;
b) Nếu cả hai giá trị đọc đều cao, kiểm tra xem ống và phao của lưu lượng kế có sạch không và làm sạch nếu cần thiết;
c) Nếu cả hai giá trị đọc đều thấp, kiểm tra sự tắc hoặc rò rỉ trong hệ thống, ví dụ ống chất dẻo hoặc cao su bị xoắn hoặc rò rỉ. Thay thế ống nếu bị xoắn hoặc rò rỉ.
d) Nếu cả hai giá trị đọc đều không đúng, hoặc các nguyên nhân trong trường hợp b) hoặc c) không thể xác định được thì hiệu chuẩn lưu lượng kế kiểu tiết diện biến thiên theo Điều B.2;
e) Từ kết quả của d), xác định xem các lưu lượng kế kiểu tiết diện biến thiên hoặc ống mao quản có bị hỏng không và thay thế nếu cần thiết.
B.2 Kiểm tra việc hiệu chuẩn lưu lượng kế kiểu tiết diện biến thiên và lưu lượng kế điện tử
B.2.1 Quy định chung
Các lưu lượng kế kiểu tiết diện biến thiên có thể được hiệu chuẩn bằng lưu lượng kế chuẩn kiểu bọt xà phòng, có các thiết kế khác nhau. Hình B.1 đưa ra biểu đồ thể hiện cho một dụng cụ phù hợp.
CHÚ THÍCH Có thể sử dụng các quy trình hiệu chuẩn khác nhưng phải đảm bảo sự chính xác tối thiểu như quy trình được mô tả trong phụ lục này.
Quy trình này mô tả việc hiệu chuẩn các lưu lượng kế kiểu tiết diện biến thiên, sử dụng lưu lượng kế chuẩn kiểu bọt xà phòng (Hình B.1). Phương pháp này cũng có thể được sử dụng để hiệu chuẩn lưu lượng kế điện tử khi có phụ kiện đi kèm thích hợp.
Nguyên tắc của phương pháp này là sự đo sự di chuyển của bọt xà phòng được đưa vào dòng không khí, từ dụng cụ đo lưu lượng khí cần thử, được xác định thời gian đi qua giữa hai vạch của dụng cụ đo thể tích có thể tích đã biết chính xác và tính toán lưu lượng khi thực. Quy trình này được lặp lại tại các lưu lượng khí khác cho đến khi toàn bộ khoảng đo của lưu lượng kế được thực hiện.
CHÚ THÍCH Phương pháp hiệu chuẩn này có độ chính xác phù hợp nếu điều kiện môi trường thử nghiệm không sai khác so với giá trị 101,3 kPa và 23 °C. Vì lý do này, nếu có thể nên chọn ngày hiệu chuẩn khi điều kiện khí tượng đạt yêu cầu.
B.2.2 Thiết bị, dụng cụ và vật liệu
B.2.2.1 Lưu lượng kế chuẩn kiểu bọt xà phòng, gồm
- Bình hoặc chai thủy tinh có dung tích 1 lít;
- Dụng cụ đo thể tích có các vạch chỉ ở 100 ml, 250 ml và 1500 ml; các thể tích khác nhau có thể đạt được bằng các dụng cụ đo thể tích thay thế được (thiết kế phù hợp được cho trong tài liệu tham khảo [3] trong thư mục tài liệu tham khảo);
- Van kim;
- Ống thủy tinh và ống cao su có đường kính trong lớn phù hợp để giảm thiểu tổn thất áp suất.
B.2.2.2 Đồng hồ bấm giây, có khả năng đọc chính xác đến 0,1 s.
B.2.2.3 Dung dịch xà phòng: 3 % - 5 % chất tẩy rửa trong nước cất.
B.2.2.4 Dụng cụ đo khí áp, hoặc dụng cụ khác đo được áp suất thực.
B.2.3 Cách tiến hành
B.2.3.1 Phải đảm bảo thiết bị được đặt cân bằng trên bề mặt, không bị rung lắc. Đảm bảo sự điều chỉnh bên trong của lưu lượng kế đã được thực hiện theo đúng hướng dẫn của nhà sản xuất.
B.2.3.2 Để hiệu chuẩn một lưu lượng kế kiểu tiết diện biến thiên, tháo tổ hợp thử nghiệm tại đầu cuối của ống nối cao su hoặc chất dẻo và nối với lưu lượng kế chuẩn kiểu bọt xà phòng. Mở van để cho không khí đi qua lưu lượng kế được hiệu chuẩn và sau đó đi qua lưu lượng kế chuẩn kiểu bọt xà phòng tại điểm nối [3], xem Hình B.1. Cho không khí đi qua, lắp cơ cấu ổn áp tương ứng với áp suất 1,47 kPa vào trục và bắt đầu cho quay. Mở van cho không khí đi qua lưu lượng kế kiểu tiết diện biến thiên sẽ được hiệu chuẩn đến lưu lượng kế chuẩn kiểu bọt xà phòng. Điều chỉnh van kim để tạo lưu lượng khí đo được thuận lợi và bảo đảm rằng lưu lượng khí này được duy trì không đổi. Nhanh chóng bóp quả bóp bằng cao su ở đáy dụng cụ đo thể tích để bọt xà phòng đi vào dụng cụ đo thể tích này. Ghi lại thời gian tính bằng giây để bọt xà phòng di chuyển giữa hai vạch tương ứng với thể tích đã biết. Khoảng thể tích đo phải được chọn sao cho thời gian để bọt đi qua từ vạch thứ nhất đến vạch thứ hai lâu hơn 30 s.
Lặp lại quy trình này tại sáu lưu lượng khí khác nhau phân bố trong khoảng hoạt động của lưu lượng kế sao cho tất cả các giá trị đọc phải lớn hơn 20 % khoảng thang đo sử dụng.
Ghi lại áp suất khí quyển.
CHÚ THÍCH Tại lưu lượng khí cao, tổn thất áp suất trong hệ thống dẫn đến sai số khi hiệu chuẩn. Để hạn chế sai số đến mức thấp nhất, chiều dài và đường kính của ống nối sử dụng để hiệu chuẩn và khi thử nghiệm phải như nhau.
B.2.4 Tính toán
Tính lưu lượng khí thực, theo mililit trên phút, từ mỗi thời gian và thể tích đo được và kiểm tra giá trị đọc trên lưu lượng kế phải nằm trong khoảng 5 % của lưu lượng này. Nếu không, kiểm tra hoạt động của lưu lượng kế và nếu cần thiết lập một đồ thị.
Nếu áp suất khí quyển thực chênh lệch nhiều hơn 5 % so với 101,3 kPa, thì hiệu chỉnh lưu lượng khí theo áp suất theo công thức (1):
(1)
trong đó
q0 là lưu lượng khí, theo mililít trên phút, được hiệu chỉnh đến 102,8 kPa [áp suất khí quyển danh nghĩa (101,3 kPa) cộng áp suất làm việc danh nghĩa (1,47 kPa) tại 23 °C];
V là thể tích được xác định thời gian đi giữa các vạch trên dụng cụ đo thể tích, tính bằng mililít;
t là thời gian, tính bằng giây;
p là tổng của áp suất khí quyển thực cộng với áp suất làm việc danh nghĩa (1,47 kPa), tính bằng kilopascal.
B.3 Kiểm tra việc hiệu chuẩn các ống mao quản
Để hiệu chuẩn ống mao quản, bỏ van kim [1] và nối ống mao quản vào đó. Tháo đầu đo và nối máy đo vào lưu lượng kế chuẩn kiểu bọt xà phòng như mô tả trong B.2.2. Mở van sao cho khi đi vào lưu lượng kế kiểu tiết diện biến thiên phù hợp. Bóp nhanh quả bóng bằng cao su ở đáy của dụng cụ đo thể tích và tính thời gian bọt xà phòng đi qua.
Tính lưu lượng khí như mô tả trong B.2.3 và B.2.4.

CHÚ DẪN
1 Van kim
2 Dụng cụ đo thể tích
3 Đầu nối
4 Bóng bóp bằng cao su
5 Bình thủy tinh, dung tích 1 lít.
Hình B.1 - Lưu lượng kế chuẩn kiểu bọt xà phòng
PHỤ LỤC C
(tham khảo)
Độ chụm
C.1 Quy định chung
Trong năm 2010, một thử nghiệm liên phòng đã được tiến hành với sự tham gia của 14 phòng thí nghiệm. Thử nghiệm liên phòng gồm 6 thiết bị có lưu lượng kế kiểu tiết diện biến thiên và 8 thiết bị có lưu lượng kế điện tử.
Ba mẫu thử đã được thử nghiệm xác định độ nhám/độ nhẵn theo tiêu chuẩn này. Kết quả thử nghiệm được nêu trong Bảng C.1 và C.2.
C.2 Độ tái lập
Độ tái lập là sai khác giữa các kết quả riêng biệt, nhận được độc lập từ hai người thao tác, làm việc trong hai phòng thí nghiệm khác nhau, trên cùng một loại vật liệu.
Các tính toán được thực hiện theo ISO/TR 14498 [1] và TAPPI T 1200 sp-07 [2].
Giới hạn độ tái lập được báo cáo là các đánh giá về chênh lệch lớn nhất được mong muốn trong số 19 trường hợp của 20 trường hợp khi so sánh hai kết quả thử nghiệm của vật liệu tương tự vật liệu trong cùng điều kiện thử nghiệm. Các đánh giá này có thể không đúng đối với các vật liệu khác nhau hoặc điều kiện thử nghiệm khác nhau.
Giới hạn độ tái lập được tính bằng cách nhân độ lệch chuẩn tái lập với 2,77.
CHÚ THÍCH 1 Độ lệch chuẩn của độ lặp lại và độ lệch chuẩn trong cùng phòng thí nghiệm là bằng nhau. Tuy nhiên, độ lệch chuẩn của độ tái lập không bằng độ lệch chuẩn giữa các phòng thí nghiệm. Độ lệch chuẩn của độ tái lập bao gồm cả độ lệch chuẩn giữa các phòng thí nghiệm và độ lệch chuẩn trong phòng thí nghiệm
s2 độ lặp lại = s2 trong cùng phòng thí nghiệm nhưng s2 độ tái lập = s2 trong cùng phòng thí nghiệm + s2 giữa các phòng thí nghiệm.
CHÚ THÍCH
, với điều kiện các kết quả thử nghiệm được phân bố đều và độ lệch chuẩn s dựa trên cơ sở số lượng lớn các phép thử.
Bảng C.1 - Kết quả của thử nghiệm liên phòng đối với thiết bị có lưu lượng kế kiểu tiết diện biến thiên
| Mẫu | Giá trị độ nhám/ độ nhẵn trung bình
ml/min | Độ lệch chuẩn giữa các phòng thí nghiệm sR ml/min | Hệ số sai khác của độ tái lập CV,R % | Giới hạn độ tái lập R ml/min |
| A | 49,0 | 6,4 | 13 | 18 |
| B | 178 | 14 | 7,6 | 38 |
| C | 1653 | 182 | 11 | 505 |
Bảng C.2 - Kết quả thử nghiệm liên phòng đối với thiết bị có lưu lượng kế điện tử
| Mẫu | Giá trị độ nhám/ độ nhẵn trung bình
ml/min | Độ lệch chuẩn giữa các phòng thí nghiệm sR ml/min | Hệ số sai khác của độ tái lập CV,R % | Giới hạn độ tái lập R ml/min |
| A | 48,3 | 5,7 | 12 | 16 |
| B | 182 | 19 | 11 | 54 |
| C | 1715 | 276 | 16 | 763 |
Sự khác nhau về kết quả thử nghiệm nhận được giữa thiết bị đo có lưu lượng kế kiểu tiết diện biến thiên và thiết bị có lưu lượng kế điện tử, theo số liệu thống kê là không đáng kể.
THƯ MỤC TÀI LIỆU THAM KHẢO
[1] ISO/TR 24498:2006, Paper, board and pulps - Estimation of uncertainty for test methods.
[2] TAPPI Test method T 1200 sp-07, Interlaboratory evaluation of test methods to determine TAPPI repeatability and reproducibility.
[3] GOODERHAM, J.W.J.Soc.Chem.lnd. 1944, 63, p.351.
1) Dụng cụ thích hợp được mô tả bởi Zubryn, E. And Hook, G.L. in Appita 23 (4): 270-290 (January 1970).
Bạn chưa Đăng nhập thành viên.
Đây là tiện ích dành cho tài khoản thành viên. Vui lòng Đăng nhập để xem chi tiết. Nếu chưa có tài khoản, vui lòng Đăng ký tại đây!