- Tổng quan
- Nội dung
- Tiêu chuẩn liên quan
- Lược đồ
- Tải về
Tiêu chuẩn TCVN 12173-2:2017 Tải trọng, tuổi thọ danh định của trục then hoa bi
| Số hiệu: | TCVN 12173-2:2017 | Loại văn bản: | Tiêu chuẩn Việt Nam |
| Cơ quan ban hành: | Bộ Khoa học và Công nghệ | Lĩnh vực: | Công nghiệp |
|
Ngày ban hành:
Ngày ban hành là ngày, tháng, năm văn bản được thông qua hoặc ký ban hành.
|
2017 |
Hiệu lực:
|
Đã biết
|
| Người ký: | Đang cập nhật |
Tình trạng hiệu lực:
Cho biết trạng thái hiệu lực của văn bản đang tra cứu: Chưa áp dụng, Còn hiệu lực, Hết hiệu lực, Hết hiệu lực 1 phần; Đã sửa đổi, Đính chính hay Không còn phù hợp,...
|
Đã biết
|
TÓM TẮT TIÊU CHUẨN VIỆT NAM TCVN 12173-2:2017
Nội dung tóm tắt đang được cập nhật, Quý khách vui lòng quay lại sau!
Tải tiêu chuẩn Việt Nam TCVN 12173-2:2017
TIÊU CHUẨN QUỐC GIA
TCVN 12173-2:2017
ISO 23848-2:2009
MÁY CÔNG CỤ - TRỤC THEN HOA BI - PHẦN 2: TẢI TRỌNG ĐỘNG DANH ĐỊNH, TẢI TRỌNG TĨNH DANH ĐỊNH VÀ TUỔI THỌ DANH ĐỊNH
Machine tools - Ball splines - Part 1: General characteristics and requirements
Lời nói đầu
TCVN 12173-2:2017 hoàn toàn tương đương với ISO 23848-2:2009
TCVN 12173-2:2017 do Ban kỹ thuật tiêu chuẩn quốc gia TCVN/TC 39 Máy công cụ biên soạn, Tổng cục Tiêu chuẩn Đo lường Chất lượng đề nghị, Bộ Khoa học và Công nghệ công bố.
Bộ TCVN 12173 (ISO 23848) Máy công cụ - Trục then hoa bi bao gồm các phần sau:
- TCVN 12173-1:2017 (ISO 23848-1:2009), Phần 1: Đặc tính và yêu cầu chung;
- TCVN 12173-2:2017 (ISO 23848-2:2009), Phần 2: Tải trọng động danh định, tải trọng tĩnh danh định và tuổi thọ danh định.
MÁY CÔNG CỤ - TRỤC THEN HOA BI - PHẦN 2: TẢI TRỌNG ĐỘNG DANH ĐỊNH, TẢI TRỌNG TĨNH DANH ĐỊNH VÀ TUỔI THỌ DANH ĐỊNH
Machine tools - Ball splines - Part 2: Dynamic and static load ratings and rating life
1 Phạm vi áp dụng
Tiêu chuẩn này quy định phương pháp tính toán tải trọng động danh định cơ bản, tải trọng tĩnh danh định cơ bản và dự đoán tuổi thọ danh định cơ bản dùng cho thiết kế và sử dụng các trục then hoa bi loại AI, AII và R. Tiêu chuẩn này cũng thiết lập mô men xoắn tĩnh và động danh định cơ bản cho các loại trục then hoa bi này.
2 Tài liệu viện dẫn
Các tài liệu viện dẫn sau là cần thiết cho việc áp dụng tiêu chuẩn này. Đối với các tài liệu viện dẫn ghi năm công bố thì áp dụng bản được nêu. Đối với các tài liệu viện dẫn không ghi năm công bố thì áp dụng phiên bản mới nhất, bao gồm cả các sửa đổi (nếu có).
TCVN 12173-1 (ISO 23848-1 ), Máy công cụ - Trục then hoa bi - Phần 1: Đặc tính và yêu cầu chung.
3 Thuật ngữ và định nghĩa
Tiêu chuẩn này áp dụng các thuật ngữ và định nghĩa trong TCVN 12173-1 (ISO 23848-1) và các thuật ngữ, định nghĩa sau.
3.1
Tải trọng động danh định cơ bản, C (basic dynamic load rating, C)
Tải trọng hướng tâm tĩnh tại không đổi, có chiều và độ lớn không thay đổi theo thời gian và với tải này một cụm trục then hoa bi về mặt lý thuyết có tuổi thọ danh định cơ bản 50 km.
3.2
Mô men xoắn động danh định cơ bản, CT (basic dynamic torque rating, CT)
Mô men xoắn không đổi, có chiều và độ lớn không thay đổi theo thời gian và với mô men này một cụm trục then hoa bi về mặt lý thuyết có tuổi thọ danh định cơ bản 50 km.
3.3
Tuổi thọ danh định cơ bản, L10 (basic rating life, L10)
Tuổi thọ mỏi của một nhóm trục then hoa bi có xác suất độ bền lâu 90 %.
3.4
Tải trọng tĩnh danh định cơ bản, C0 (basic static load rating, C0)
Tải trọng tĩnh hướng tâm tương ứng với ứng suất tiếp xúc Hertz tính được tại tâm các bề mặt tiếp xúc của vị trí chịu tải lớn nhất của bi.
Xem Bảng 1.
Bảng 1 - Ứng suất tiếp xúc lớn nhất, σmax, tương ứng với tải trọng tĩnh danh định cơ bản
| rg/Dw | ≤ 0,52 | 0,53 | 0,54 | 0,55 | 0,56 | 0,57 | 0,58 | 0,59 | ≥ 0,6 |
| σmax MPa | 4 200 | 4 250 | 4 300 | 4 350 | 4 400 | 4 450 | 4 500 | 4 550 | 4 600 |
3.5
Mô men xoắn tĩnh danh định cơ bản, C0T (basic static torque rating, C0T)
Mô men xoắn tĩnh tương ứng với một ứng suất tiếp xúc Hertz tính được tại tâm các bề mặt tiếp xúc của vị trí chịu tải lớn nhất của bi, như thể hiện trong Bảng 1.
3.6
Tải trọng động tương đương, P (dynamic equivalent load, P)
Tải trọng hướng tâm không đổi, dưới tác động của nó trục then hoa bi có cùng tuổi thọ giống như đạt được dưới các điều kiện tải trọng tác dụng thực.
3.7
Mô men xoắn động tương đương, T (dynamic equivalent torque, T)
Mô men xoắn không đổi, dưới tác động của nó trục then hoa bi có cùng tuổi thọ giống như nó đạt được dưới các điều kiện mô men xoắn tác dụng thực.
3.8
Tuổi thọ (life)
Tổng quãng đường chạy của một trục then hoa bi trước khi xuất hiện bằng chứng đầu tiên của sự sai hỏng hoặc bong tróc do mỏi tiếp xúc lăn tại các mặt lăn của vòng ổ ngoài then hoa, trục then hoa hoặc của các viên bi quay vòng tuần hoàn.
3.9
Tải trọng tĩnh tương đương, P0 (static equivalent load, P0)
Tải trọng hướng tâm tĩnh gây ra cùng một giá trị ứng suất không đổi tại tâm của các bề mặt tiếp xúc giống như xuất hiện dưới các điều kiện chịu tải trọng tác dụng thực.
3.10
Mô men xoắn tĩnh tương đương, T0 (static equivalent torque, T0)
Mô men xoắn tĩnh gây ra cùng một giá trị ứng suất không đổi tại tâm của các bề mặt tiếp xúc giống như xuất hiện dưới các điều kiện chịu mô men xoắn tác dụng thực.
3.11
Độ tin cậy, R (Reliability, R)
Xác suất mà cụm lắp ráp trục then hoa bi sẽ không bị sai hỏng do mỏi tiếp xúc lăn dưới tác dụng một tải trọng và/hoặc mô men xoắn đã quy định.
CHÚ THÍCH: Thuật ngữ này giống như xác suất của sự tồn tại.
4 Ký hiệu
| Ký hiệu | Mô tả | Đơn vị |
| bm | Hệ số danh định đối với thép tôi chất lượng cao sử dụng hiện tại và chất lượng sản phẩm | - |
| C | Tải trọng động danh định cơ bản | N |
| CT | Mô men xoắn động danh định cơ bản | Nm |
| C0 | Tải trọng tĩnh danh định cơ bản | N |
| C0T | Mô men xoắn tĩnh danh định cơ bản | Nm |
| Dpw | Đường kính vòng tròn qua tâm các viên bi | mm |
| Dw | Đường kính bi | mm |
| fc | Hệ số được xác định bằng dạng hình học, độ chính xác gia công và vật liệu đối với từng chi tiết của trục then hoa bi | - |
| f0 | Hệ số được xác định bằng dạng hình học và ứng suất làm việc đối với từng chi tiết của trục then hoa bi | - |
| i | Số lượng các rãnh then hoa | - |
| it | Số lượng rãnh then hoa áp dụng cho tính toán tải trọng danh định | - |
| ki | Hệ số sắp xếp hàng bi áp dụng cho tính toán tải trọng động danh định | - |
| k0i | Hệ số sắp xếp hàng bi áp dụng cho tính toán tải trọng tĩnh danh định | - |
| L10 | Tuổi thọ danh định cơ bản với độ tin cậy 90 % | 50 km |
| It | Chiều dài rãnh then hoa của vòng ổ ngoài áp dụng cho tính toán tải trọng danh định | mm |
| P | Tải trọng động tương đương | N |
| P0 | Tải trọng tĩnh tương đương | N |
| R | Độ tin cậy | - |
| rg | Bán kính rãnh then hoa | Mm |
| T | Mô men xoắn động tương đương | Nm |
| T0 | Mô men xoắn tĩnh tương đương | Nm |
| Zt | Số lượng bi hiệu dụng cho một rãnh then hoa áp dụng cho tính toán tải trọng danh định | - |
| α | Góc tiếp xúc đối với tải trọng hướng tâm | ° |
| β | Góc tiếp xúc đối với chiều mô men xoắn | ° |
| λ | Hệ số điều chỉnh đối với tải trọng động danh định và mô men xoắn động danh định | - |
| σmax | Ứng suất tiếp xúc lớn nhất | MPa |
5 Loại AI và loại AII (loại góc)
Các tải trọng danh định, mô men xoắn danh định và các góc tiếp xúc tương ứng với tải trọng hướng tâm và mô men xoắn tác dụng cho ba loại trục then hoa bi được thể hiện trên Hình 1. Các tải trọng và mô men xoắn danh định được xác định trong 5.1 đến 5.4.

Hình 1 - Tải trọng danh định, mô men xoắn danh định và các góc tiếp xúc cho các trục then hoa bi loại AI và All
5.1 Tải trọng động danh định cơ bản
Tải trọng động danh định cơ bản, C, tìm được bằng sử dụng các công thức (1) và (2):

Trong đó
bm = 1,3;
λ = 0,9.
5.2 Tải trọng tĩnh danh định cơ bản
Tải trọng tĩnh danh định cơ bản, C0, tìm được bằng sử dụng công thức (3):
![]()
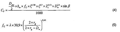
5.3 Mô men xoắn động danh định cơ bản
Mô men xoắn động danh định cơ bản, CT, tìm được bằng sử dụng các công thức (4) và (5):

Trong đó
bm = 1,3;
λ = 0,9.
5.4 Mô men xoắn tĩnh danh định cơ bản
Mô men xoắn tĩnh danh định cơ bản, C0T, tìm được bằng sử dụng công thức (6):

Bảng 2 - Hệ số fc và hệ số f0
| rg/Dw | 0,52 | 0,53 | 0,54 | 0,55 | 0,56 | 0,57 | 0,58 | 0,59 | 0,6 |
| fc | 105,8 | 90,3 | 80,8 | 74,3 | 69,5 | 65,7 | 62,7 | 60,1 | 58,0 |
| f0 | 94,6 | 76,3 | 66,1 | 59,5 | 54,9 | 51,5 | 49,0 | 47,1 | 45,6 |
6 Loại R (loại hướng tâm)
Các tải trọng danh định tương ứng với tải trọng hướng tâm và mô men xoắn tác dụng được thể hiện trên Hình 2 cho trục then hoa bi loại hướng tâm (loại R). Các tải trọng danh định được xác định trong 6.1 đến 6.2.

CHÚ THÍCH: Không có định nghĩa cho CT và C0T
Hình 2 - Các tải trọng danh định và các góc tiếp xúc cho các trục then hoa bi loại R
6.1 Tải trọng động danh định cơ bản
Tải trọng động danh định cơ bản, C, tìm được bằng sử dụng các công thức (7) và (8):
(7)

Trong đó
bm = 1,3;
λ = 0,9.
6.2 Tải trọng tĩnh danh định cơ bản
Tải trọng tĩnh danh định cơ bản, C0, tìm được bằng sử dụng công thức (9):
(9)
Bảng 3 - Hệ số ki và hệ số k0i
| i | 3 | 4 | 5 | 6 | 7 | 8 | 9 | 10 |
| ki | 1 | 1 | 1,104 | 1,329 | 1,531 | 1,681 | 1,807 | 1,948 |
| k0i | 1 | 1 | 1,106 | 1,354 | 1,614 | 1,841 | 2,052 | 2,284 |
7 Tuổi thọ danh định
Tuổi thọ danh định cơ bản, L10, đối với tải trọng tác dụng hướng tâm được cho bởi công thức (10):
(10)
Tuổi thọ danh định cơ bản, L10, đối với mô men xoắn tác dụng được cho bởi công thức (11):
(11)
Thư mục tài liệu tham khảo
[1] TCVN 8028-1 (ISO 14728-1) Ổ lăn - Ổ lăn chuyển động tịnh tiến - Phần 1: Tải trọng động danh định và tuổi thọ danh định
[2] TCVN 8028-2 (ISO 14728-2) Ổ lăn - Ổ lăn chuyển động tịnh tiến - Phần 2: Tải trọng tĩnh danh định
Bạn chưa Đăng nhập thành viên.
Đây là tiện ích dành cho tài khoản thành viên. Vui lòng Đăng nhập để xem chi tiết. Nếu chưa có tài khoản, vui lòng Đăng ký tại đây!