- Tổng quan
- Nội dung
- Tiêu chuẩn liên quan
- Lược đồ
- Tải về
Tiêu chuẩn TCVN 12128:2017 Xác định kẽm trong tinh quặng kẽm sulfua
| Số hiệu: | TCVN 12128:2017 | Loại văn bản: | Tiêu chuẩn Việt Nam |
| Cơ quan ban hành: | Bộ Khoa học và Công nghệ | Lĩnh vực: | Công nghiệp |
|
Ngày ban hành:
Ngày ban hành là ngày, tháng, năm văn bản được thông qua hoặc ký ban hành.
|
2017 |
Hiệu lực:
|
Đã biết
|
| Người ký: | Đang cập nhật |
Tình trạng hiệu lực:
Cho biết trạng thái hiệu lực của văn bản đang tra cứu: Chưa áp dụng, Còn hiệu lực, Hết hiệu lực, Hết hiệu lực 1 phần; Đã sửa đổi, Đính chính hay Không còn phù hợp,...
|
Đã biết
|
TÓM TẮT TIÊU CHUẨN VIỆT NAM TCVN 12128:2017
Nội dung tóm tắt đang được cập nhật, Quý khách vui lòng quay lại sau!
Tải tiêu chuẩn Việt Nam TCVN 12128:2017
TIÊU CHUẨN QUỐC GIA
TCVN 12128:2017
ISO 13291:2006
TINH QUẶNG KẼM SULFUA - XÁC ĐỊNH KẼM - PHƯƠNG PHÁP CHIẾT DUNG MÔI VÀ CHUẨN ĐỘ EDTA
Zinc sulfide concentrates - Determination of zinc - Solvent extraction and EDTA titrimetric method
Lời nói đầu
TCVN 12128:2017 hoàn toàn tương đương với ISO 13291:2006.
TCVN 12128:2017 do Ban kỹ thuật tiêu chuẩn quốc gia TCVN/TC102 Quặng sắt biên soạn, Tổng cục Tiêu chuẩn Đo lường Chất lượng đề nghị, Bộ Khoa học và Công nghệ công bố.
TINH QUẶNG KẼM SULFUA - XÁC ĐỊNH KẼM - PHƯƠNG PHÁP CHIẾT DUNG MÔI VÀ CHUẨN ĐỘ EDTA
Zinc sulfide concentrates - Determination of zinc - Solvent extraction and EDTA titrimetric method
CẢNH BÁO: Tiêu chuẩn này có thể liên quan đến các vật liệu, thao tác và thiết bị nguy hại. Trách nhiệm của người sử dụng tiêu chuẩn này là phải thiết lập các quy tắc thực hành thích hợp đảm bảo sức khoẻ, an toàn và xác định khả năng áp dụng các giới hạn của luật định trước khi sử dụng.
1 Phạm vi áp dụng
Tiêu chuẩn này qui định phương pháp chiết dung môi/chuẩn độ để xác định hàm lượng kẽm trong tinh quặng kẽm sulfua.
Phương pháp này áp dụng cho các tinh quặng kẽm sulfua có hàm lượng kẽm từ 11 % (khối lượng) đến 62 % (khối lượng).
2 Tài liệu viện dẫn
Các tài liệu viện dẫn sau là cần thiết cho việc áp dụng tiêu chuẩn này. Đối với các tài liệu viện dẫn ghi năm công bố thì áp dụng bản được nêu. Đối với các tài liệu viện dẫn không ghi năm công bố thì áp dụng bản mới nhất, bao gồm cả các sửa đổi (nếu có).
TCVN 1044 (ISO 4787), Dụng cụ thí nghiệm bằng thủy tinh - Dụng cụ đo thể tích bằng thủy tinh - Phương pháp sử dụng và thử nghiệm dung tích.
TCVN 7149 (ISO 385), Dụng cụ thí nghiệm bằng thủy tinh - Buret.
TCVN 7151 (ISO 648), Dụng cụ thí nghiệm bằng thủy tinh - Pipet một mức.
TCVN 7153 (ISO 1042), Dụng cụ thí nghiệm bằng thủy tinh - Bình định mức.
TCVN 4851 (ISO 3696), Nước dùng để phân tích trong phòng thí nghiệm - Yêu cầu kỹ thuật và phương pháp thử
TCVN 8245 (ISO Guide 35), Mẫu chuẩn - Nguyên tắc chung và các nguyên tắc thống kê trong chứng nhận.
TCVN 12125 (ISO 9599), Tinh quặng đồng, chì và kẽm sulfua - Xác định hàm lượng ẩm của mẫu phân tích - Phương pháp khối lượng.
3 Nguyên tắc
Một phần mẫu thử của tinh quặng kẽm được hòa tan trong brom và axit nitric. Các lượng cặn không tan còn lại được hòa tan trong các axit sulfuric, nitric và flohydric. Phức kẽm thiocyanat được chiết chọn lọc trong methyl isobutyl keton, sau khi che một số nguyên tố bằng các ion thiourea và citrat. Cadimi bị chiết một phần được che bằng các ion iodua trước khi chuẩn độ cuối cùng như trình bày tại Phụ lục C. Coban được chiết và xác định riêng rẽ, nếu có mặt tại các mức nồng độ lớn hơn 0,05 %. Kẽm được xác định theo phương pháp chuẩn độ bằng dung dịch EDTA tại pH 5,5.
4 Hóa chất, thuốc thử
Trong quá trình phân tích chỉ sử dụng các thuốc thử cấp tinh khiết phân tích và nước cất phù hợp loại 2 quy định tại TCVN 4851 (ISO 3696).
4.1 Kim loại kẽm, độ tinh khiết tối thiểu 99,99 %, không có oxit trước khi sử dụng.
Trước khi sử dụng, có thể làm sạch bề mặt kim loại bằng cách ngâm kim loại trong axit clohydric (4.2) pha loãng 1 + 9 trong 1 min, sau đó rửa kỹ bằng nước, tiếp theo bằng aceton và sấy khô trong tủ sấy tại nhiệt độ 50 °C.
4.2 Axit clohydric, (ρ20 1,16 g/ml đến 1,19 g/ml).
4.3 Brom
4.4 Axit nitric, (ρ20 1,42 g/ml).
4.5 Axit flohydric, (ρ20 1,13 g/ml đến 1,15 g/ml).
4.6 Axit clohydric, (ρ20 1,16 g/ml đến 1,19 g/ml) pha loãng (1 + 4).
Cho 200 ml axit clohydric (4.2) vào 800 ml nước.
4.7 Axit sulfuric, pha loãng 1 + 1.
Vừa khuấy vừa cho cẩn thận, từ từ 500 ml axit sulfuric (ρ20 1,84 g/ml) vào 500 ml nước.
4.8 Amoniac, (ρ20 0,89 g/ml).
4.9 4-metyl-2-pentanon (metyl isobutyl keton).
4.10 Etanol, tinh khiết hoặc biến tính.
4.11 Dung dịch che
Hòa tan 60 g thiourea, 100 g di-amoni citrat và 200 g amoni thiocynat trong nước và pha loãng đến 1 L. Có thể lọc nếu cần.
4.12 Dung dịch natri florua (20 g/l).
Hòa tan 20 g natri florua trong nước. Pha loãng đến 1 L.
4.13 Dung dịch thioure (100 g/l)
Hòa tan 100 g thioure trong nước và pha loãng đến 1 L.
4.14 Dung dịch đệm
Hòa tan 250 g hexametylenetetramin trong nước. Cho vào 60 ml axit acetic (ρ20 1,05 g/ml) và pha loãng đến 1 L.
4.15 Dung dịch chuẩn độ tiêu chuẩn EDTA (0,05 mol/l)
Hòa tan 18,6 g muối di-natri của axit etylenediamietetraacetic dihydrat (EDTA) trong nước. Pha loãng đến 1 L.
4.16 Dung dịch kali iodua (1000 g/l)
Hòa tan 100 g kali iodua trong nước và pha loãng đến 100 ml.
Pha mới để sử dụng trong ngày.
4.17 Chất chỉ thị xylenol da cam (1 % khối lượng)
Trộn 1 g muối natri của xylenol da cam với 99 g tinh thể kali nitrat, bằng cách nghiền nhẹ trong cối và chày bằng gốm. Quá trình trộn được coi là hoàn thiện khi màu đều và đồng nhất.
4.18 Dung dịch sắt gốc
Hoà tan 45 g sắt (III) nitrat nonahydrat [Fe(NO3)3.9H2O] trong nước và pha loãng đến 1 L.
5 Thiết bị, dụng cụ
Các thiết bị, dụng cụ thông thường trong phòng thí nghiệm và
5.1 Dụng cụ thủy tinh định mức, loại A, phù hợp TCVN 7149 (ISO 385), TCVN 7151 (ISO 648) và TCVN 7153 (ISO 1042), và sử dụng phù hợp TCVN 1044 (ISO 4787).
5.2 Chén platin, dung tích 25 ml.
5.3 Cân phân tích, chính xác đến 0,1 mg.
5.4 Tủ sấy, kiểm soát được nhiệt độ tại 105 °C ± 5 °C.
5.5 Lò múp, có nhiệt độ vận hành lớn hơn 800 °C.
5.6 Bếp điện dùng cho phòng thử nghiệm.
6 Lấy mẫu
6.1 Mẫu thử
Chuẩn bị mẫu thử cân bằng không khí theo TCVN 12125 (ISO 9599).
CHÚ THÍCH: Không cần mẫu thử nếu sử dụng các phần mẫu thử đã sấy sơ bộ (xem Phụ lục A).
6.2 Phần mẫu thử
Lấy nhiều mẫu đơn, rút phần mẫu thử từ mẫu thử theo cách sao cho mẫu đại diện cho phần tinh quặng trên đĩa hoặc khay. Cân 2,5 g chính xác đến 0,1 mg. Tại thời điểm khi cân các phần mẫu thử, cân các phần mẫu thử để xác định hàm lượng ẩm theo TCVN 12125 (ISO 9599).
Ngoài ra, có thể sử dụng phương pháp nêu tại Phụ lục A để chuẩn bị các phần mẫu thử đã sấy sơ bộ từ mẫu phòng thử nghiệm.
7 Cách tiến hành
7.1 Số lượng các phép xác định
Thực hiện phép xác định ít nhất hai lần lặp lại, dưới các điều kiện như điều kiện đối với độ lặp lại, trên từng mẫu thử.
CHÚ THÍCH: Các điều kiện lặp lại là điều kiện mà ở đó các kết quả thử độc lập thu được bằng cùng một phương pháp trên cùng một vật liệu thử trong cùng một phòng thử nghiệm do cùng một thí nghiệm viên thực hiện trên cùng một thiết bị, trong các khoảng thời gian ngắn.
7.2 Phép thử trắng
Xác định phép thử trắng cho thuốc thử. Nên tiến hành xác định mẫu trắng hai lần lặp lại mỗi khi thực hiện phân tích mẫu phòng thử nghiệm. Các mẫu trắng được tiến hành qua tất cả các bước của qui trình, ngoài ra không cần phần mẫu thử phòng thử nghiệm. Tuy nhiên, phải cho vào 5 ml dung dịch sắt gốc (4.18) để trợ giúp trong phép xác định độ đục. Thể tích chất chuẩn độ EDTA sử dụng ký hiệu là Vb.
7.3 Hòa tan phần mẫu thử
Cho phần mẫu thử vào bình tam giác cổ hẹp dung tích 300 ml. Dùng khoảng 20 ml nước làm ẩm và cho vào 2ml đến 3 ml brom (4.3). Để phản ứng tại nhiệt độ môi trường trong 15 min, thỉnh thoảng xoay lắc bình. Cho vào 15 ml axit nitric (4.4) và để phản ứng thêm 15 min nữa. Đặt bình lên bếp điện (5.6) và cho sôi từ từ, để đuổi hết các hơi brom. Để nguội, cho thêm 100 ml nước, gia nhiệt đến sôi và để nguội.
Nếu không có cặn không tan, chuyển chất lỏng vào bình định mức một vạch dung tích 500 ml, rửa bình tam giác thật kỹ. Dùng nước pha loãng đến vạch mức.
Nếu có cặn không tan, lọc qua giấy lọc xenlulo trung bình vào bình định mức một vạch 500 ml. Dùng nước rửa kỹ giấy lọc. Đặt giấy lọc và cặn không tan vào chén platin (5.2) và hóa tro từ từ trong lò múp (5.5) đã đặt tại nhiệt độ 800 °C. Cho vào 2 ml axit sulfuric loãng (4.7), 2 ml axit nitric (4.4) và 2 ml axit flohydric (4.5) và cho bay hơi đến gần khô. Để nguội và cho các lượng nước nhỏ vào, để làm tan các muối tan được. Lọc qua giấy lọc xenlulo trung bình và cho nước lọc và nước rửa vào bình định mức một vạch dung tích 500 ml đã sử dụng ở trên. Dùng nước làm đầy đến vạch mức.
Nếu mẫu có chứa chì, thì có thể làm hỏng chén platin. Trong trường hợp này, xử lý tinh quặng không tan theo cách sau:
Rửa cặn không tan vào cốc polytetrafloetylen bằng tia nước. Cho giấy lọc vào chén sứ và hóa tro từ từ trong lò múp (5.5) tại nhiệt độ 600 °C đến 700 °C. Để chén nguội đến nhiệt độ môi trường.
Rửa tinh quặng trong chén bằng lượng nước nhỏ vào cốc polytetrafloetylen đã dùng trước đó. Cho 2 ml axit sulfuric loãng (4.7), 2 ml axit nitric (4.4) và 2 ml axit flohydric (4.5) và cho bay hơi đến gần khô. Để nguội và cho các lượng nước nhỏ vào, để làm tan các muối tan được. Lọc qua giấy lọc xenlulo trung bình và cho phần dung dịch lọc và dung dịch rửa vào bình định mức một vạch 500 ml đã dùng trước đó. Dùng nước làm đầy đến vạch mức.
Nếu khẳng định là giấy lọc không chứa kẽm, thì có thể bỏ qua qui trình tạo tro giấy lọc.
7.4 Chiết
Dùng pipet lấy 50,00 ml dung dịch nhận được tại 7.3 cho vào phễu chiết dung tích 250 ml. Cho vào từng giọt amoniac (4.8) cho đến khi xuất hiện vẩn đục nhẹ. Cho vào 5 ml axit clohydric loãng (4.6) và 50 ml dung dịch che (4.11). Lắc kỹ. Cho vào 80 ml 4-metyl-2-pentanol (4.9) và lắc trong 1 min. Để cho các pha tách riêng và từ từ chuyển pha nước phía dưới sang phễu chiết khác. Thực hiện chiết lần hai với 20 ml 4-metyl-2-pentanol (4.9). Tách riêng các pha và bỏ pha nước đi. Kết hợp hai pha hữu cơ tách riêng vào cốc thành thấp dung tích 400 ml.
Cho 1 ml axit clohydric loãng (4.6) và 70 ml etanol (4.10) vào từng phễu chiết. Lắc kỹ và lấy phần dung dịch của cả hai phễu vào cốc thành thấp dung tích 400 ml.
7.5 Chuẩn độ
Cho vào liên tiếp các dung dịch sau: 10 ml dung dịch natri florua (4.12), 10 ml dung dịch thioure (4.13), 20 ml dung dịch đệm (4.14), 5 ml dung dịch kali iodua (4.16) và 0,1 g chất chỉ thị xylenol da cam (4.17).
Chuẩn độ bằng dung dịch EDTA (4.15) cho đến khi màu chuyển từ đỏ sang vàng. Thực hiện chuẩn độ thật chậm khi đạt đến điểm cân bằng. Ghi lại thể tích chất chuẩn độ đã dùng là Vt.
7.6 Xác định hệ số chuẩn độ của dung dịch EDTA chuẩn
CHÚ THÍCH: Để thu được độ chính xác tương đối giữa 0,1 % và 0,2 %, cần tiến hành chuẩn hóa dung dịch EDTA với kẽm tại cùng thời điểm và dưới các điều kiện như khi tiến hành phân tích. Vì vậy khuyến cáo hiệu chuẩn đúng toàn bộ các thông số về các điều kiện vận hành đã thiết lập cho phép phân tích. Tương tự, để cải thiện độ lặp lại của phép hiệu chuẩn, tốt nhất nên chuẩn bị một số các dung dịch kẽm chuẩn. Cho sắt vào dung dịch chuẩn sẽ trợ giúp khi xác định độ đục tại 7.4.
Dung dịch EDTA chuẩn được chuẩn hóa như sau:
- Cân vào ba bình tam giác dung tích 300 ml riêng rẽ khoảng từ 0,25 g đến 1,625 g kẽm (4.1), chính xác đến 0,000 1 g, tùy thuộc vào hàm lượng kẽm có trong mẫu thử. Ghi lại ba khối lượng này là m1, m2 và m3.
- Cho vào 15 ml nước, 15 ml axit nitric (4.4) và 5 ml dung dịch sắt gốc (4.18). Sau khi hòa tan kẽm, đun sôi nhẹ để đuổi hết các khí oxit nitơ.
- Để nguội và chuyển sang bình định mức một vạch dung tích 500 ml. Rửa bình tam giác đầu tiên kỹ và gom nước rửa vào bình định mức. Pha loãng đến vạch mức. Tiếp tục qui trình như mô tả tại 7.4 và 7.5. Ghi lại các thể tích dung dịch EDTA chuẩn đã dùng trong các lần chuẩn độ là V1, V2 và V3.
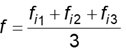
Tính hệ số trung gian, fix, cho từng cốc thử theo Phương trình sau:
| fix = mx/Vx | x = 1 đến 3 | (1a) |
trong đó
fix là hệ số thu được từ phép chuẩn độ;
mx là khối lượng của kẽm đã cân, tính bằng gam;
Vx là thể tích của dung dịch chuẩn EDTA, tính bằng mililit;
Nếu dải của các giá trị đối với fi1, fi2 và fi3 vượt quá 0,000 01 g/ml thì phải tiến hành lại qui trình chuẩn hoá. Nếu không thì tính hệ số trung bình như sau:
|
| (1b) |
8 Biểu thị kết quả
Hàm lượng kẽm của phần mẫu thử, wZn , biểu thị theo phần trăm, tính bằng phương trình sau:
|
| (2) |
trong đó
f là hệ số đương lượng kẽm tính được tại 7.6, tính bằng gam trên mililit;
H là hàm lượng ẩm của phần mẫu thử, tính bằng phần trăm, (trong trường hợp sử dụng mẫu đã sấy sơ bộ thì H = 0);
m là khối lượng của phần mẫu thử, tính bằng gam;
Vb là thể tích của dung dịch EDTA (4.15) đã dùng chuẩn độ dung dịch trắng, tính bằng mililit;
Vt là thể tích của dung dịch EDTA (4.15) đã dùng chuẩn độ dung dịch mẫu thử, tính bằng mililit.
Tính hàm lượng kẽm trong phần mẫu thử chính xác đến hai chữ số sau dấu phẩy.
9 Độ chụm
9.1. Biểu thị độ chụm
Độ chụm của phép phân tích này được biểu thị theo các Phương trình sau:
| sr = 0,0008 | (3) |
| sL = 0,0016 | (4) |
trong đó
là hàm lượng trung bình của kẽm trong mẫu thử, tính theo phần trăm;
sr là độ lệch chuẩn trong nội bộ phòng thí nghiệm, tính theo phần trăm khối lượng;
sL là độ lệch chuẩn giữa các phòng thử nghiệm, tính theo phần trăm khối lượng.
CHÚ THÍCH: Các thông tin bổ sung được nêu tại Phụ lục D.
9.2 Phương pháp tính kết quả cuối cùng
Xem Phụ lục B
Tính các đại lượng sau từ các kết quả hai lần lặp lại X1 và X2 và tiến hành theo lưu đồ nêu tại Phụ lục B:
Trung bình của các kết quả hai lần lặp lại:
= (Xr + X2)/2 (5)
Độ lệch chuẩn trong một phòng thử nghiệm (độ lặp lại): Sr = 0,0008
+ 0,0382 (3)
Giới hạn độ lặp lại r = 2,8sr (6)
9.3 Độ chụm giữa các phòng thử nghiệm
Sử dụng độ chụm giữa các phòng thử nghiệm để xác định sự nhất quán giữa các kết quả do hai (hoặc nhiều) phòng thử nghiệm đã báo cáo. Giả sử là tất cả các phòng thử nghiệm này đều áp dụng theo cùng một qui trình.
Tính các đại lượng sau:
| Trung bình của các kết quả cuối cùng: | µ12 = (µ1 + µ2)/2 | (7) |
| Độ lệch chuẩn giữa các phòng thử nghiệm: | sL = 0,001 6 µ12 + 0,053 9 | (8) |
| Độ lệch chuẩn trong một phòng thử nghiệm: | sr = 0,000 8 µ12 + 0,038 2 | (9) |
| Chênh lệch cho phép: |
| (10) |
| Dải: | E = │µ1 - µ2 │ | (11) |
trong đó
µ1 là kết quả cuối cùng do phòng thử nghiệm 1 báo cáo, tính bằng phần trăm khối lượng kẽm;
µ2 là kết quả cuối cùng do phòng thử nghiệm 2 báo cáo, tính bằng phần trăm khối lượng kẽm.
Nếu E nhỏ hơn hoặc bằng P thì các kết quả cuối cùng là phù hợp.
9.4 Kiểm tra độ đúng
Độ đúng của phương pháp phân tích có thể kiểm tra bằng cách áp chúng vào mẫu chuẩn được chứng nhận (CRM). Khi độ chụm đã được khẳng định, thì so sánh kết quả cuối cùng của phòng thử nghiệm với giá trị đã chứng nhận, Ac. Có hai trường hợp sau:
│µc - Ac│≤ C (12)
Nếu điều kiện này xảy ra, thì chênh lệch giữa kết quả báo cáo và giá trị đã chứng nhận là không có ý nghĩa về mặt thống kê.
│µc - Ac│> C (13)
Nếu điều kiện này xảy ra, thì chênh lệch giữa kết quả báo cáo và giá trị đã chứng nhận là có ý nghĩa về mặt thống kê.
Trong các Phương trình (12) và (13) các ký hiệu có nghĩa như sau:
µc là kết quả cuối cùng của mẫu chuẩn được chứng nhận, tính bằng phần trăm khối lượng kẽm;
Ac là giá trị chứng nhận của mẫu chuẩn được chứng nhận, tính bằng phần trăm khối lượng kẽm;
C là đại lượng phụ thuộc vào loại mẫu chuẩn chứng nhận đã sử dụng, tính bằng phần trăm khối lượng kẽm, như xác định tại 9.4.1.
9.4.1 Mẫu chuẩn được chứng nhận (CRM) hoặc mẫu chuẩn (RM)
Các mẫu chuẫn sử dụng cho mục đích này được chuẩn bị và chứng nhận phù hợp theo TCVN 8245 (ISO Guide 35).
9.4.1.1 Mẫu chuẩn được chứng nhận/đặc trưng bởi chương trình thử nghiệm liên phòng
Tính đại lượng C (xem 9.4) theo phần trăm khối lượng kẽm, theo công thức sau:
(14)
trong đó
s2{AC} là phương sai của giá trị chứng nhận;
n là số lượng các phép xác định lặp lại.
9.4.1.2 Mẫu chuẩn được chứng nhận/đặc trưng bởi một phòng thử nghiệm
Tính đại lượng C (xem 9.4) theo phần trăm khối lượng kẽm, theo công thức sau:
(15)
Khuyến cáo tránh sử dụng mẫu chuẩn được chứng nhận loại này, trừ khi một mẫu chuẩn được chứng nhận (CRM) cụ thể có giá trị độ không chệch được chứng nhận.
10 Báo cáo thử nghiệm
Báo cáo thử nghiệm bao gồm các thông tin sau:
a) nhận dạng mẫu thử;
b) viện dẫn tiêu chuẩn này;
c) hàm lượng kẽm của mẫu thử, tính bằng phần trăm;
d) ngày thực hiện phép thử;
e) tất cả các hiện tượng xảy trong quá trình xác định có thể gây ảnh hưởng đến các kết quả thử.
Phụ lục A
(Quy định)
Qui trình chuẩn bị và xác định khối lượng phần mẫu thử đã sấy sơ bộ
A.1 Quy định chung
Phương pháp này áp dụng cho các loại tinh quặng kẽm sulfua không dễ bị ôxy hóa và có các hàm lượng ẩm từ 0,05 % đến 2 %
A.2 Nguyên tắc
Sấy khô phần mẫu thử sử dụng cho phép phân tích trong tủ sấy duy trì tại nhiệt độ 105 °C ± 5 °C. Cân phần mẫu thử đã sấy khô này và sử dụng cho phép phân tích. Không yêu cầu hiệu chính về độ ẩm.
A.3 Thuốc thử
A.3.1 Chất hút ẩm, ví dụ như silica gel loại tự hiển thị hoặc magie peclorat khan.
CẢNH BÁO - Phải hết sức cẩn thận khi thải bỏ magie perclorat. Chỉ được đổ magie perclorat xuống bồn cùng dòng nước chảy.
A.4 Thiết bị, dụng cụ
Các thiết bị, dụng cụ thông thường của phòng thử nghiệm và các thiết bị, dụng cụ sau:
A.4.1 Cân phân tích, chính xác đến 0,1 mg.
A.4.2 Các bình (để) cân, bằng thủy tinh hoặc silica hoặc kim loại không gỉ, có nắp kín khít ngoài.
Đối với các phần mẫu thử khối lượng nhỏ (khối lượng nhỏ hơn 3 g), khối lượng của các bình càng nhỏ càng tốt, tức là nhỏ hơn 20 g.
A.4.3 Tủ sấy phòng thử nghiệm, có khả năng duy trì nhiệt độ tại 105 °C ± 5 °C.
A.5 Cách tiến hành
A.5.1 Chuẩn bị bình cân
Sấy khô bình cân và nắp của nó (A.4.2) bằng cách sấy trong tủ sấy phòng thử nghiệm (A.4.3) tại nhiệt độ 105 °C ± 5 °C trong 1 h. Cho bình cân này và nắp của nó vào bình hút ẩm có chứa chất hút ẩm mới phù hợp (A.3.1) và để nguội đến nhiệt độ phòng.
A.5.2 Phần mẫu thử
Cân khối lượng bì của bình cân và nắp của nó đã sấy khô (A.5.1). Cho ngay khối lượng mẫu phòng thử nghiệm đã quy định cho phép phân tích vào bình cân. Tại thời điểm này không yêu cầu chính xác tổng khối lượng của phần mẫu thử và bình cân.
A.5.3 Xác định khối lượng của phần mẫu thử khô
Cho bình cân chưa đậy nắp và phần mẫu thử cùng nắp của bình cân vào tủ sấy phòng thử nghiệm (A.4.3) và sấy tại nhiệt độ 105 °C ± 5 °C trong 2 h. Sau khoảng thời gian 2 h, lấy bình cân và phần mẫu thử khô ra khỏi tủ sấy, đậy nắp bình cân, và để nguội trong bình hút ẩm đến nhiệt độ môi trường xung quanh. Khi đã nguội, lấy bình cân có chứa phần mẫu thử khô và nắp bình cân từ bình hút ẩm ra và cân chính xác đến 0,1 mg (m4) sau khi mở hé nắp ra và nhanh chóng đậy lại. Chuyển phần mẫu thử vào thiết bị phân tích phù hợp và cân lại ngay bình cân rỗng (không chứa phần mẫu thử) và nắp của nó. Ghi lại khối lượng này (m5) chính xác đến 0,1 mg.
Đối với các tinh quặng mới chưa biết rõ các tính chất, khuyến cáo nên lặp lại quá trình sấy thêm 2 h nữa tại nhiệt độ 105 °C ± 5 °C và tiến hành cân lại bình cân và phần mẫu thử với nắp bình cân chính xác đến 0,1 mg (m’4). Khối lượng phần mẫu thử có thể coi là không đổi nếu chênh lệch giữa (m4-m’4) ≤ 0,5 mg. Nếu không đạt được điều kiện này thì phải thực hiện lại các bước sấy và cân.
A.6 Tính khối lượng khô của phần mẫu thử
Khối lượng khô của phần mẫu thử (m8), tính bằng gam theo Công thức (A.1):
m6 = m4 - m5 (A.1)
trong đó
m4 là khối lượng của phần mẫu thử khô cộng với bình cân và nắp của nó, tính bằng gam;
m5 là khối lượng của bình cân rỗng và nắp của nó, tính bằng gam.
Khối lượng của phần mẫu thử khô là khối lượng sử dụng để tính hàm lượng nguyên tố có trong mẫu phòng thử nghiệm theo trạng thái khô. Không yêu cầu hiệu chính đối với độ ẩm.
Phụ lục B
(Quy định)
Lưu đồ qui trình chấp nhận các giá trị phân tích đối với các mẫu thử

r được xác định tại 9.2.
Phụ lục C
(Quy định)
Các nguyên tố gây cản trở phương pháp này
C.1 Cadimi
Cadimi được chiết nhiều tại cùng thời điểm như kẽm và sẽ bị che với kali iodua trước khi chuẩn độ cuối cùng.
C.2 Coban
Một phần lớn lượng coban có trong mẫu thử được chiết cùng kẽm, thể hiện là có màu xanh trong pha hữu cơ. Nếu hàm lượng coban nhỏ hơn 0,05 %, thì ảnh hưởng của nó là không đáng kể. Nếu hàm lượng coban cao hơn, thì phải được xác định sau chuẩn độ EDTA bằng quang phổ hấp thụ nguyên tử. Hàm lượng coban được trừ đi từ giá trị của kẽm bằng cách nhân với nồng độ coban để thu được nồng độ kẽm tương ứng.
C.3 Chì
Chì có thể gây cản trở tại các giá trị cao hơn 7 %. Chì kết tủa thành chì sunfat trong quá trình hoà tan và có thể loại bằng phương pháp chuẩn độ.
C.4 Mangan
Mangan gây cản trở tại các giá trị cao hơn 2 % do làm hạ thấp kết quả thử. Hiếm khi có giao dịch quốc tế về tinh quặng kẽm với mức mangan này.
C.5 Magie
Sự cản trở xuất hiện đối với các nồng độ magie lớn hơn 5 % do làm hạ thấp kết quả thử. Giá trị cao nhất được báo cáo đối với các tinh quặng kẽm trong giao dịch quốc tế là 0,8 %.
C.6 Titan và vanadi
Titan và vanadi chỉ gây cản trở khi có mặt tại các nồng độ lớn hơn 0,2 %. Các mức như vậy đã không tồn tại đối với các tinh quặng kẽm trong giao dịch quốc tế.
C.7 Các nguyên tố khác
Thực tế cho thấy các nguyên tố không gây ảnh hưởng tại các giá trị nhỏ hơn các nồng độ nêu sau:
| Al: | 2% | Ba: | 10 % | Cu: | 10 % | Ni: | 1 % |
| As: | 0,5% | Ca: | 5 % | Fe: | 15% | Sr: | 2 % |
Phụ lục D
(Tham khảo)
Nguồn gốc của các công thức độ chụm
D.1 Giới thiệu
Tiêu chuẩn này đã được thử nghiệm trong chương trình thử nghiệm liên phòng bao gồm chín quốc gia và hai mươi phòng thử nghiệm tham gia. Năm mẫu tinh quặng kẽm bao gồm dải từ 11 % (khối lượng) đến 62 % (khối lượng) đã được phân tích để xác định hàm lượng kẽm. Chương trình thử nghiệm được thiết kế nhằm xác định độ lặp lại của nội bộ một phòng thử nghiệm và độ tái lập giữa các phòng thử nghiệm nói chung, sử dụng các nguyên tắc của TCVN 6910-2 (ISO 5725-2)[1].
D.2 Thiết kế chương trình thử nghiệm
Chương trình phân tích thử nghiệm được thiết kế với mục đích cung cấp tối đa các thông tin. Mỗi phòng thử nghiệm sử dụng hai mẫu (hai túi) của từng loại tinh quặng và mỗi mẫu được tiến hành hai lần phân tích độc lập.
D.3 Các mẫu thử
Chương trình thử nghiệm sử dụng năm mẫu thử tinh quặng kẽm. Thành phần của các mẫu được nêu tại Bảng D.1.
D.4 Đánh giá mang tính thống kê
Qui trình đánh giá mang tính thống kê được mô phỏng theo lưu đồ tại Hình D.1. Các kết quả đánh giá thống kê được tổng hợp tại Bảng D.2 và Bảng D.3. Vẽ các độ chụm đã tính (sr, sL, r và P) theo các giá trị trung bình tương ứng của mẫu trên đồ thị như thể hiện trên Hình D.2, và các phương trình hồi qui của các độ chụm này theo các giá trị trung bình của mẫu đã tính và được trình bày trong Bảng D.2

a Phân tích phương sai giữa các nhóm
Hình D.1- Lưu đồ qui trình đánh giá thống kê các số liệu phân tích từ các phép thử quốc tế
Bảng D.1 - Thành phần của các mẫu tinh quặng kẽm
| Nguyên tố | Đơn vị | Số lượng mẫu a | ||||
| 90-1 | 90-2 | 90-3 | 90-9 | 90-10 | ||
| Zn | % (khối lượng) | 50 | 33 | 62 | 11 | 55 |
| S | % (khối lượng) | 30 | 30 | 30 | 20 | 31 |
| Fe | % (khối lượng) | 10 | 14 | 2 | 8 | 8 |
| Pb | % (khối lượng) | 3 | 14 | 1 | 53 | 2 |
| Si | % (khối lượng) | 2 | 2 | - | 2 | 1 |
| AI | % (khối lượng) | 0,5 | 0,6 | 0,3 | 0,2 | 0,1 |
| Cu | % (khối lượng) | 0,2 | 0,5 | 0,1 | 0,8 | 0,1 |
| Ca | % (khối lượng) | 0,4 | 0,5 | 0,3 | 0,1 | 0,1 |
| Mg | % (khối lượng) | 0,3 | 0,3 | 0,2 | 0,8 | 0,2 |
| Cd | % (khối lượng) | 0,2 | 0,1 | 0,2 | 0,02 | 0,2 |
| As | g/t | 300 | 550 | - | 250 | 100 |
| Sb | g/t | 250 | 700 | - | 300 | 20 |
| Ag | g/t | 125 | 400 | 60 | 380 | 160 |
| Co | g/t | 40 | 90 | < 1 | 60 | 20 |
| Ti | g/t | 25 | 60 | 1 | - | 10 |
| Ni | g/t | 2 | 8 | 2 | - | 8 |
| Bi | g/t | < 1 | < 1 | < 1 | 1 600 | < 1 |
| a 90-1 MIM (Úc) 90-2 MIM (Úc) 90-3 Polaris (Canada) 91-9 Cobar (Úc) 91-10 Hilton (Úc) | ||||||
Bảng D.2 - Tổng hợp độ chụm đối với tất cả các mẫu
| Số mẫu | ko | k | no | n |
| r | P | sr | sL | sL/sr |
| 90-1 | 21 | 21 | 80 | 80 | 49,445 | 0,190 | 0,357 | 0,067 | 0,117 | 1,74 |
| 90-2 | 21 | 20 | 80 | 76 | 32,812 | 0,161 | 0,306 | 0,057 | 0,101 | 1,77 |
| 90-3 | 21 | 20 | 80 | 76 | 62,105 | 0,251 | 0,489 | 0,089 | 0,161 | 1,82 |
| 91-9 | 21 | 20 | 80 | 76 | 10,845 | 0,150 | 0,241 | 0,053 | 0,076 | 1,45 |
| 91-10 | 21 | 21 | 80 | 80 | 55,435 | 0,282 | 0,450 | 0,100 | 0,143 | 1,43 |
| Các phương trình hồi qui là | Hệ số tương quan | |||||||||
| r = 0,0023 | 0,839 0 | |||||||||
| P = 0,0047 | 0,951 9 | |||||||||
| sr = 0,0008 | 0,839 0 | |||||||||
| sL = 0,0016 | 0,958 5 | |||||||||
| trong đó: k là số các phòng thử nghiệm tham gia sử dụng để tính độ chụm ko là tổng số các phòng thử nghiệm tham gia n là số các kết quả phân tích sử dụng để tính độ chụm no là tổng số các kết quả phân tích P là dung sai cho phép giữa các phòng thử nghiệm, tính bằng phần trăm khối lượng kẽm; r là dung sai cho phép trong một phòng thử nghiệm (độ lặp lại), tính bằng phần trăm khối lượng kẽm; sL là độ lệch chuẩn giữa các phòng thử nghiệm, tính bằng phần trăm khối lượng kẽm; sr là độ lệch chuẩn trong một phòng thử nghiệm, tính bằng phần trăm khối lượng kẽm;
| ||||||||||
Bảng D.3 - Danh mục các số lạc
| Số mẫu | Cochran (độ chụm) | Grubbs (độ đúng) | Phòng thử nghiệm chỉ có một kết quả | Kết quả riêng lẻ (Dixon) |
| 90-1 | - | - | - | - |
| 90-2 | JP1 | - | - | - |
| 90-3 | DE4 | - | - | - |
| 91-9 | JP1 | JP1 | - | - |
|
| [AU4]a | [CZ1] |
|
|
| 91-10 | [DE4] | - | - | - |
|
| [JP1] |
|
|
|
|
| [JP2] |
|
|
|
| a Các số lạ được ghi trong ngoặc | ||||

Hình D.2- Bình phương tối thiểu phù hợp của độ chụm theo hàm lượng trung bình của kẽm
Thư mục tài liệu tham khảo
[1] TCVN 6910-2 (ISO 5725-2) Độ chính xác (độ đúng và độ chụm) của phương pháp đo và kết quả đo - Phần 2: Phương pháp cơ bản xác định độ lặp lại và độ tái lập của phương pháp đo tiêu chuẩn.
Bạn chưa Đăng nhập thành viên.
Đây là tiện ích dành cho tài khoản thành viên. Vui lòng Đăng nhập để xem chi tiết. Nếu chưa có tài khoản, vui lòng Đăng ký tại đây!
