- Tổng quan
- Nội dung
- Tiêu chuẩn liên quan
- Lược đồ
- Tải về
Tiêu chuẩn Quốc gia TCVN 7763:2007 Chai thép hàn nạp lại và vận chuyển được dùng cho khí dầu mỏ hoá lỏng
| Số hiệu: | TCVN 7763:2007 | Loại văn bản: | Tiêu chuẩn Việt Nam |
| Cơ quan ban hành: | Bộ Khoa học và Công nghệ | Lĩnh vực: | Công nghiệp |
|
Ngày ban hành:
Ngày ban hành là ngày, tháng, năm văn bản được thông qua hoặc ký ban hành.
|
2007 |
Hiệu lực:
|
Đã biết
|
| Người ký: | Đang cập nhật |
Tình trạng hiệu lực:
Cho biết trạng thái hiệu lực của văn bản đang tra cứu: Chưa áp dụng, Còn hiệu lực, Hết hiệu lực, Hết hiệu lực 1 phần; Đã sửa đổi, Đính chính hay Không còn phù hợp,...
|
Đã biết
|
TÓM TẮT TIÊU CHUẨN VIỆT NAM TCVN 7763:2007
Nội dung tóm tắt đang được cập nhật, Quý khách vui lòng quay lại sau!
Tải tiêu chuẩn Việt Nam TCVN 7763:2007
TIÊU CHUẨN QUỐC GIA
TCVN 7763 : 2007
ISO 22991 : 2004
CHAI CHỨA KHÍ – CHAI THÉP HÀN NẠP LẠI VÀ VẬN CHUYỂN ĐƯỢC DÙNG CHO KHÍ DẦU MỎ HÓA LỎNG (LPG) – THIẾT KẾ VÀ KẾT CẤU
Gas cylinders - Transportable refillable welded steel cylinders for liquefied petroleum gas (LGP) - Design and construction
1. Phạm vi áp dụng
Tiêu chuẩn này qui định các yêu cầu cơ bản về vật liệu, thiết kế, kết cấu, tay nghề và phương pháp hàn và kiểm tra thử nghiệm trong chế tạo các chai thép hàn nạp lại và vận chuyển được dùng cho khí dầu mỏ hoá lỏng (LPG) có dung tích nước từ 0,5 l đến và bằng 150 l, ở nhiệt độ môi trường xung quanh.
2. Tài liệu viện dẫn
Các tài liệu dưới đây là rất cần thiết đối với việc áp dụng tiêu chuẩn này. Đối với tài liệu có ghi năm công bố, áp dụng phiên bản được nêu. Đối với tài liệu không có năm công bố. áp dụng phiên bản mới nhất (kể cả các sửa đổi).
TCVN 197 (ISO 6892), Vật liệu kim loại - Thử kéo ở nhiệt độ phòng
TCVN 6700-1 (ISO 9606-1), Kiểm tra chấp nhận thợ hàn - Hàn nóng chảy - Phần 1: Thép
TCVN 6834-3 (ISO 9956-3), Đặc tính kỹ thuật và sự chấp nhận các qui trình hàn vật liệu kim loại - Phần 3: Thử qui trình hàn đối với hàn hồ quang các loại thép
TCVN 7472 (ISO 5817), Hàn - Các liên kết mối hàn nóng chảy trên thép, niken, titan và hợp kim của chúng (trừ hàn chùm tia) - Mức chất lượng đối với khuyết tật
TCVN 7481-1 (ISO 11116-1), Chai chứa khí - Ren côn 17 E để nối van vào chai chứa khí - Phần 1: Đặc tính kỹ thuật
TCVN 7165 (ISO 10920). Chai chứa khí - Ren côn 25 E để nối van vào chai chứa khí - Đặc tính kỹ thuật
ISO 643, Steels - Micrographic determination of the apparent grain size (Thép - Xác định kích thước hạt biểu kiến bằng chụp ảnh tổ chức tế vi)
ISO 1106-1:1984, Recommended practice for radiographic examination of fusion welded joints - Part 1: Fusion welded butt joints in steel plates up to 50 mm thick (Công nghệ kiểm tra bằng chụp ảnh tia bức xạ của mối hàn nóng chảy - Phần 1: Mối hàn giáp mép nóng chảy trên các tấm thép có chiều dày đến 50 mm)
ISO 1106-3 :1984, Recommended practice for radiographic examination of fusion welded joints - Part 3: Fusion welded circumferential joints in steel pipes of up to 50 mm wall thickness (Công nghệ kiểm tra bằng chụp ảnh tia bức xạ của mối hàn nóng chảy - Phần 3: Mối hàn nóng chảy theo chu vi trên các ống thép có chiều dày thành đến 50 mm)
ISO 2504 :1973, Radiography of welds and viewing conditions for films - Utilization of the recommended patterns of image quality indications (I.Q.I) (Chụp ảnh tia bức xạ mối hàn và điều kiện quan sát phim - Sử dụng mô hình khuyến cáo các chỉ dẫn về chất lượng ảnh (I.Q.I))
ISO 4136, Destructive tests on welds in metallic materials - Transverse tensile test (Thử phá hủy các mối hàn trên vật liệu kim loại - Thử kéo ngang)
ISO 4978, Flat rolled steel products for welded gas cylinders (Sản phẩm thép cán phẳng dùng cho chai chứa khí hàn)
ISO 5178, Destructive tests on welds in metallic materials - Longitudinal tensile test on weld metal in fusion welded joints (Thử phá hủy mối hàn trên vật liệu kim loại - Thử kéo dọc kim loại mối hàn trong các liên kết hàn nóng chảy)
ISO 7438, Metallic materials - Bend test (Vật liệu kim loại - Thử uốn)
ISO 13769, Gas cylinders - Stamp marking (Chai chứa khí - Ghi nhãn)
ISO 14732, Welding personnel - Approval testing of welding operators for fusion welding and of resistance weld setters for fully mechanized and automatic welding of metallic materials (Thợ hàn - Kiểm tra chấp nhận thợ hàn nóng chảy và hàn điện trở vật liệu kim loại cơ khí hóa và tự động hóa hoàn toàn)
ISO 17637. Non-destaictive testing of welds - Visual testing of fusion-welded joints (Thử không phá hủy mối hàn - Kiểm tra bằng mắt liên kết hàn nóng chảy)
ISO 17639, Destructive tests on welds in metallic materials - Macroscopic and microscopic examination of welds (Thử không phá hủy mối hàn vật liệu kim loại - Kiểm tra thô đại và tế vi mối hàn)
3. Thuật ngữ và định nghĩa
Trong tiêu chuẩn này, sử dụng các thuật ngữ và định nghĩa sau:
3.1. Giới hạn chảy (yield stress)
Giới hạn chảy trên, Reh hoặc đối với thép không có điểm chảy xác định là giới hạn 0,2 % (độ giãn dài không tỷ lệ), Rp
[ISO 6892]
3.2. Thường hóa (normalizing)
Nhiệt luyện, trong đó chai được nung nóng đến nhiệt độ đồng đều trên điểm tới hạn trên (AC3) của thép, sau đó được làm nguội trong khí quyển được kiểm soát hoặc không khí tĩnh.
3.2. Khử ứng suất (stress relieving)
Nhiệt luyện chai để khử ứng suất dư mà không làm thay đổi tổ chức tế vi của thép bằng cách nung nóng đến nhiệt độ đồng đều dưới điểm tới hạn dưới (AC1) của thép, sau đó làm nguội trong khí quyển được kiểm soát hoặc không khí tĩnh.
3.4. Tổ chức có thẩm quyền (competent body)
Người hoặc nhóm người do cơ quan nhà nước có thẩm quyền chỉ định, có đủ năng lực, đã qua đào tạo, có kinh nghiệm và cơ sở vật chất kỹ thuật để có thể đưa ra các đánh giá khách quan về một vấn đề.
4. Ký hiệu
Bảng 1 - Ký hiệu, tên gọi của ký hiệu và đơn vị
| Ký hiệu | Tên gọi | Đơn vị |
| a | Chiều dày tính toán nhỏ nhất của vỏ chai | mm |
| A | Độ giãn dài theo phần trăm sau đứt | % |
| b | Chiều dày tính toán nhỏ nhất của đáy chai | mm |
| C | Hệ số hình dạng ( xem Bảng 3 và Hình 2) | 1 |
| D | Đường kính ngoài của chai như được ghi trên bản vẽ thiết kế ( xem Hình 1) | mm |
| Dp | Đường kính ngoài của gối thử uốn ( xem Hình 8) | mm |
| h | Chiều cao phần hình trụ của đáy chai ( xem Hình 1) | mm |
| H | Chiều cao bên ngoài của phần vòm đáy chai | mm |
| J | Hệ số giảm ứng suất | 1 |
| L | Chiều dài chai | mm |
| Lo | Chiều dài đo ban đầu của mẫu thử phù hợp với TCVN 197 | mm |
| n | Tỷ số đường kính của gối thử uốn và chiều dày mẫu thử ( xem Bảng 4) | 1 |
| Pc | Áp suất tính toán dùng để tính chiều dày nhỏ nhất qui định của vỏ hình trụ và các đáy ( xem 6.1.3) | bar |
| Pb | Áp suất lớn nhất đạt được trong thử nổ | bar |
| Pt | Áp suất thử thực tế do nhà sản suất áp dụng cho chai | bar |
| Pt min | Áp suất thử nhỏ nhất cho phép | bar |
| r | Bán kính lượn bên trong của đáy | mm |
| R | Bán kính dập lòng đĩa bên trong của đáy | mm |
| Rg | Độ bền kéo nhỏ nhất được bảo đảm | MPa |
| Ro | Ứng suất chảy nhỏ nhất do nhà sản xuất chai bảo đảm đối với chai hoàn chỉnh | MPa |
| Rm | Độ bền kéo thực được xác định bằng thử kéo qui định trong 8.1.2.2 | MPa |
| CHÚ THÍCH : 1 MPa = 1 N/mm2 = 10 bar | ||
5. Vật liệu
5.1. Vật liệu chế tạo vỏ chai và đáy chai phải phù hợp với ISO 4978 hoặc với các đặc tính tương đương khác của vật liệu đáp ứng các yêu cầu của Bảng 2.
CHÚ THÍCH: "Vât liệu” ám chỉ các vật liệu ở trạng thái trước khi có bất kỳ sự biến đổi nào về quá trình chế tạo.
5.2. Tất cả chi tiết hàn vào chai phải được chế tạo bằng vật liệu tương thích.
5.3. Vật liệu hàn phải có khả năng tạo ra các mối hàn vững chắc với độ bền kéo nhỏ nhất tối thiểu bằng độ bền kéo qui định cho vật liệu cơ bản của chai đã hoàn thiện.
5.4. Nhà sản xuất chai phải có giấy chứng nhận về phân tích mẻ đúc và cơ tính của thép dùng cho kết cấu của các bộ phận chịu áp lực của chai.
5.5. Nhà sản xuất phải duy trì một hệ thống nhận biết các vật liệu dùng trong chế tạo để có thể truy tìm nguồn gốc của tất cả các vật liệu chế tạo các bộ phận chịu áp lực của toàn bộ chai.
Bảng 2 - Yêu cầu về vật liệu
| Nguyên tố | Giới hạn % max |
| Các vật liệu khác với vật liệu cho trong ISO 4978 dùng để chế tạo chai chứa khí, phải có tính hàn được và trong phân tích mẻ đúc các nguyên tố sau không được vượt quá các giới hạn cho phép: Cacbon Silic Mangan Photpho Lưu huỳnh Photpho + lưu huỳnh |
0,22 0,45 1,60 0,025 0,020 0,040 |
| Việc sử dụng các nguyên tố hợp kim vi lượng như niobi, titan, vanadi phải được hạn chế như sau: Niobi Titan Vanađi Niobi + vanađi |
0,08 0,20 0,20 0,20 |
| Khi sử dụng các nguyên tố hợp kim vi lượng khác thì phải báo cáo về sự có mặt và số lượng của chúng cùng với các nguyên tố hợp kim vi lượng nêu trên trong giấy chứng nhận về thép của nhà sản xuất. Cần có các phân tích kiểm tra được thực hiện trên mẫu được lấy trong quá trình sản xuất từ vật liệu do nhà sản xuất vật liệu cung cấp cho nhà sản xuất chai hoặc từ chai đã được hoàn thiện. | |
6. Thiết kế
6.1. Yêu cầu chung
6.1.1. Việc tính toán chiều dày thành của các bộ phận chịu áp lực để chịu được áp suất bên trong chai chứa khí phải có liên quan tới ứng suất chảy của vật liệu.
6.1.2. Để tính toán, giá trị của ứng suất chảy Ro, được giới hạn ở giá trị lớn nhất 0,85 Rg.
6.1.3. Áp suất bên trong dùng cho tính toán chiều dày thành chai chứa khí phải là áp suất tính toán Pc,
- Đối với các chai chỉ dùng cho butan thương phẩm Pc = Pt min = 15 bar;
- Đối với tất cả các chai dùng cho LPG khác Pc = Pt min= 30 bar.
6.1.4. Phải lập bản vẽ có đầy đủ kích thước bao gồm cả đặc tính kỹ thuật của vật liệu.
6.2. Tính toán chiều dày thân chai hình trụ
Chiều dày thành của thân chai hình trụ không được nhỏ hơn chiều dày tính theo công thức:

- Đối với chai có mối hàn dọc: J = 0,9:
- Đối với chai không có mối hàn dọc: J = 1,0.
Trong bất kỳ trường hợp nào, chiều dày thực cũng không được nhỏ hơn chiều dày qui định trong 6.5.
6.3. Thiết kế các phần đáy lõm chịu áp lực
6.3.1. Ngoại trừ trường hợp cho phép trong 6.4, hình dạng đáy của chai chứa khí phải đáp ứng các điều kiện sau:
- Đối với các đáy chỏm cầu:
R ≤ D; r ≥ 0,1 D; h ≥ 4 b [xem hình 1 a)];
- Đối với đáy nửa elip:
H ≥ 0,2 D; h ≥ 4 b [xem hình 1 b)];
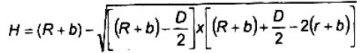
6.3.2. Chiều dày thành của đáy chai chứa khí không được nhỏ hơn chiều dày tính theo công thức:

Trong công thức này C là hệ số hình dạng có giá trị phụ thuộc vào tỷ số H/D.
Giá trị của C được xác định từ Bảng 3 và các đồ thị trên hình 2 và hình 3.
Đồ thị trên Hình 2 mô tả mối quan hệ giữa giá trị C và tỷ số b/D.

CHÚ DẪN:
1 - Đáy dạng chỏm cầu;
2 - Đáy dạng nửa elip.
CHÚ THÍCH: đối với các đáy dạng chỏm cầu:

Hình 1 - Mô tả đáy chai lõm chịu áp lực
Bảng 3 - Quan hệ giữa H/D và hệ số hình dạng C
| H/D | C | H/D | C |
| 0,25 | 1,000 | 0,38 | 0,612 |
| 0,26 | 0,931 | 0,39 | 0,604 |
| 0,27 | 0,885 | 0,40 | 0,596 |
| 0,28 | 0,845 | 0,41 | 0,588 |
| 0,29 | 0,809 | 0,42 | 0,581 |
| 0.30 | 0,775 | 0,43 | 0,576 |
| 0,31 | 0,743 | 0,44 | 0,572 |
| 0.32 | 0,713 | 0,45 | 0,570 |
| 0,33 | 0,687 | 0,46 | 0,568 |
| 0,34 | 0,667 | 0,47 | 0,566 |
| 0,35 | 0,649 | 0,48 | 0,565 |
| 0.36 | 0,633 | 0,49 | 0,564 |
| 0,37 | 0,621 | 0,50 | 0,564 |
| CHÚ THÍCH: các giá trị trung gian được xác định bằng phép nội suy tuyến tính. i | |||

CHÚ DẪN:
X - tỷ số H/D
Y - hệ số hình dạng C
Hình 2 - Các giá trị của hệ số hình dạng C đối với H/D từ 0,2 đến 0,25

CHÚ DẪN:
X - Tỷ số H/D
Y - Hệ số hình dạng C
Hình 3 - Các giá trị của hệ số hình dạng C đối với H/D từ 0,25 đến 0,5
6.4. Các đáy chai có hình dạng khác
Có thể sử dụng các đáy chai có hình dạng khác với qui định trong 6.3 với điều kiện là chúng có kết cấu thích hợp đã được chứng minh bằng thử mỏi phù hợp với 8.6. Đối với các đáy lồi chịu áp lực thì chiều dày nhỏ nhất của đáy tối thiểu phải bằng hai lần chiều dày được qui định trong 6.2.
6.5. Chiều dày nhỏ nhất của thành chai
6.5.1. Chiều dày thành nhỏ nhất của phần hình trụ, a, và của đáy chai, b, không được nhỏ hơn giá trị được xác định theo bất kỳ công thức nào sau đây:
Đối với D < 100 mm
amin = bmin=1,1 mm (1)
Đối với 100 mm ≤ D ≤ 150 mm
amin= bmin= 1,1 + 0,008 (D -100) mm (2)
Đối với D > 150 mm
amin = bmin= (D/250) + 0,7 mm (3)
(với giá trị tối thiểu là 1,5 mm).
Các công thức này áp dụng cho các thân hình trụ và các đáy chai, không phân biệt chúng được thiết kế theo tính toán qui định trong 6.2 và 6.3 hoặc theo thử nghiệm qui định trong 6.4. Ngoại trừ các yêu cầu của 6.3, 6.4 và 6.5, bất kỳ bộ phận hình trụ nào gắn liền với đáy chai, trừ trường hợp đã nêu trong 6.5.2, cũng phải đáp ứng các yêu cầu trong 6.2 đối với thân hình trụ.
6.5.2. Không áp dụng được công thức trong 6.2 khi chiều dài phần hình trụ của chai được đo giữa các điểm bắt đầu của các phần cong hai đáy khoảng lớn hơn
. Trong trường hợp này, chiều dày thành chai không được nhỏ hơn chiều dày của đáy cong (xem 6.3.2).
6.6. Thiết kế các lỗ
6.6.1. Vị trí của tất cả các lỗ phải được bố trí trên một đầu của chai.
6.6.2. Mỗi lỗ trên chai phải được gia cường bởi một vấu lồi hoặc đệm lồi bằng thép hàn được thích hợp, được gắn chắc chắn bằng hàn và được thiết kế để có đủ độ bền đồng thời không gây ra sự tập trung ứng suất. Yêu cầu này phải được xác nhận bằng tính toán thiết kế hoặc thử mỏi phù hợp với 8.6.
6.6.3. Nếu độ kín chống rò rì giữa van và chai được bảo đảm bằng vòng bít kim loại (ví dụ như đồng) thì có thể lắp một vấu lồi thích hợp ở bên trong với chai bằng phương pháp sao cho không cần phải bảo đảm độ kín chống rò rỉ một cách độc lập.
6.6.4. Trừ khi có qui định khác, ren của van phải phù hợp với đặc tính kỹ thuật đã được thừa nhận, ví dụ TCVN 7165 đối với ren 25E hoặc TCVN 7481-1 đối với ren 17E.
6.7. Bảo vệ van
Việc thiết kế chai phải đưa ra biện pháp bảo vệ chống hư hỏng đối với van để tránh làm thoát ra chất chứa bên trong, trừ khi có biện pháp bảo vệ khác cho vận chuyển, v.v... phù hợp với 7.6.
7. Chế tạo và trình độ công nhân
7.1 Chứng chỉ hàn
7.1.1. Trước khi bắt đầu sản xuất chai chứa khí theo thiết kế đã cho, được sự thỏa thuận của đơn vị có thẩm quyền, nhà sản xuất phải phê duyệt các qui trình hàn theo TCVN 6831-3, thợ hàn theo TCVN 6700-1 và người điều khiển hàn theo ISO 14732 đối với toàn bộ công việc hàn liên quan đến vỏ chịu áp lực, bao gồm cả các bộ phận không chịu áp lực. Nhà sản xuất phải lưu giữ hồ sơ về các chứng chỉ hàn.
7.1.2. Thực hiện các kiểm tra chứng nhận qui trình hàn sao cho các mối hàn phải đại diện cho các mối hàn trong sản xuất.
7.1.3. Thợ hàn phải qua các kiểm tra chứng nhận đối với loại công việc và qui trình hàn riêng.
7.2. Thép tấm và chi tiết chịu áp lực
Trước khi lắp ráp, các chi tiết chịu áp lực của chai phải được kiểm tra bằng mắt về chất lượng đồng đều và không có các khuyết tật có ảnh hưởng đáng kể đến tính toàn vẹn của chai.
7.3. Mối hàn
7.3.1. Phải hàn các mối hàn dọc và các mối hàn theo chu vi bằng các quá trình hàn hoàn toàn cơ khí hóa, hoặc nửa tự động hoặc hoàn toàn tự động để đạt được chất lượng nhất quán và lặp lại được của mối hàn.
7.3.2. Mối hàn dọc phải là loại mối hàn giáp mép có đoạn được nối thành đệm lót và số lượng mối nối không vượt quá 1.
7.3.3. Mối hàn theo chu vi phải là loại mối hàn giáp mép hoặc mối hàn giáp mép có đoạn uốn tạo thành đệm lót, nghĩa là mộng nối (xem hình 4) và số lượng mối nối không vượt quá 2.
7.3.4. Trước khi hàn kín chai, phải kiểm tra các mối hàn dọc bằng mắt từ cả hai phía phù hợp với ISO 17637. Không được dùng đệm lót không tháo được cho các mối hàn dọc.
7.3.5. Sự nóng chảy và hòa nhập của kim loại mối hàn với kim loại cơ bản phải bằng phẳng, nhẵn và không được có kim loại chảy tràn, cháy cạnh hoặc sự không đồng đều đột ngột trên bề mặt. Không được có vết nứt, rãnh, vết rỗ trên bề mặt mối hàn và bề mặt liền kề với mối hàn. Bề mặt mối hàn phải đều và bằng phẳng, không có hốc lõm. Độ dày quá mức của mối hàn (độ cao của lớp hàn) không được vượt quá một phần tư chiều rộng mối hàn.
7.3.6. Các mối hàn giáp mép phải có sự chảy ngấu hoàn toàn.
7.3.7. Các mối hàn giáp mép có đệm lót (mộng nối) phải có sự chảy ngấu hoàn toàn ở chân mối hàn khi được kiểm tra bằng khắc ăn mòn có thể nhận thấy bằng mắt, thử uốn và thử kéo.
7.4. Dung sai
7.4.1. Độ tròn
Độ không tròn bên ngoài của thân hình trụ phải được giới hạn sao cho để hiệu số giữa đường kính ngoài lớn nhất và đường kính ngoài nhỏ nhất trong cùng một mặt cắt ngang không lớn hơn 1 % giá trị trung bình của các đường kính này đối với các chai hai mảnh, và 1,5 % đối với các chai ba mảnh. Phép đo không được thực hiện trên bất kỳ mối hàn nào mà phải đo liền kề với mối hàn.
7.4.2. Độ thẳng
Trừ khi có qui định khác được chỉ ra trên bản vẽ của nhà sản xuất, sai lệch lớn nhất so với một đường thẳng của thân chai hình trụ không được vượt quá 0,3 % chiều dài phần thân hình trụ.

CHÚ DẪN:
a - Độ vát mép tùy chọn
b - Theo ý muốn
c - Chiều sâu của đoạn uốn = e1
d - Bên trong chai để tránh gãy, vỡ do sắc nhọn
e - Chiều dày của kim loại đoạn uốn
e1 - Chiều dày của kim loại không tạo ra đoạn uốn
Hình 4 - Minh họa mối nối hàn giáp mép có đệm lót ( mộng gối) điển hình
7.4.3. Độ thẳng đứng
Khi chai được đặt đứng trên bệ, sai lệch độ thẳng đứng không được vượt quá 25 mm trên một mét chiều dài.
7.5 .Các chi tiết phụ không chịu áp lực
7.5.1. Khi gắn các bộ phận phụ không chịu áp lực vào chai bằng hàn thì các bộ phận này phải được làm bằng thép thích hợp và có tính hàn (xem 5.2).
7.5.2. Các bộ phận phụ phải được thiết kế để cho phép kiểm tra các mối hàn, và các mối hàn này phải cách xa các mối nối hàn dọc và theo chu vi, và được thiết kế sao cho tránh được sự đọng nước.
7.5.3. Khi có lắp vành chân chai thì vành phải có độ bền thích hợp để đạt được độ ổn định và phải được gắn vào chai sao cho không ngăn cản việc kiểm tra bất kỳ mối hàn chịu áp lực nào. Bất cứ vành chân chai nào cũng phải có khả năng thoát nước một cách thích hợp và không gian bị bịt kín bởi vành chân chai phải được thông hơi thích hợp, ví dụ bằng các lỗ.
7.6. Bảo vệ van
Khi không đáp ứng được các yêu cầu của 6.7 thì nhà sản xuất phải qui định rằng chai phải được vận chuyển trong thùng bao gói hoặc giá đỡ hoặc phải được cung cấp một số phương tiện bảo vệ van có hiệu quả khác trong quá trình vận chuyển, trừ khi có thể chứng minh được rằng van có thể chống lại được hư hỏng mà không làm rò rỉ chất chứa trong chai.
7.7. Bịt kín các lỗ
Khi chai chưa được lắp van hoặc các thiết bị an toàn thì tất cả các lỗ phải được bịt kín bằng nút làm bằng vật liệu không hấp thụ không khí, hơi ẩm vào các lỗ để bảo vệ ren và ngăn ngừa sự xâm nhập của hơi ẩm.
7.8. Xử lý nhiệt
7.8.1. Ngoại trừ yêu cầu cho phép trong 7.8.4, chai phải được cung cấp ở trạng thái xử lý nhiệt (thường hóa hoặc khử ứng suất) (xem 3.2 và 3.3).
7.8.2. Nhà sản xuất chai phải lưu hồ sơ để chỉ ra rằng chai đã được xử lý nhiệt (thường hóa hoặc khử ứng suất) sau khi hoàn thành tất cả các công việc về hàn và để chỉ ra sự thích hợp của quá trình xử lý nhiệt.
7.8.3. Không được phép xử lý nhiệt cục bộ
7.8.4. Có thể cung cấp chai ở trạng thái chưa được xử lý nhiệt (thường hóa hoặc khử ứng suất) khi nhà sản xuất tuân theo các yêu cầu sau:
a) Chai phải có kết cấu gồm ba mảnh;
b) Các đáy chai phải có dạng nửa elip hoăc dạng chỏm cầu phù hợp với hình 1, và chiều sâu dập lõm phải được giới hạn bởi:
≤ 0,26 (4)
và h ≤ 8b (5)
c) Chai chỉ được chế tạo từ thép có tổ chức hạt mịn với cỡ kính thước hạt lớn nhất là 8, ở trạng thái cung cấp khi được thử phù hợp với ISO 643;
d) Phải tiến hành thử mỏi ba mẫu cho mỗi loại phù hợp với 8.6.
Bất cứ thay đổi tiếp sau nào về thiết kế, chiều dày vật liệu, đặc tính kỹ thuật của vật liệu hoặc qui trình hàn đều cần phải thực hiện thêm các phép thử về mỏi.
8. Thử nghiệm
8.1. Thử cơ tính
8.1.1. Yêu cầu chung
8.1.1.1. Khi không được nêu ra trong các yêu cầu của điều này thì phải thực hiện các phép thử cơ tính phù hợp với các tài liệu sau:
a) Vật liệu cơ bản:
- TCVN 197 trong trường hợp thử kéo;
- ISO 7438, nếu thích hợp, trong trường hợp thử uốn theo chiều dày của mẫu thử bằng 3 mm, hoặc lớn hơn hoặc nhỏ hơn 3 mm.
b) Tiến hành thử các mẫu thử mối hàn phù hợp với 8.1.2.
8.1.1.2. Phải thực hiện tất các các phép thử cơ tính để kiểm tra các tính chất của vật liệu cơ bản và của mối hàn trên vỏ, chịu áp lực của các chai chứa khí trên các mẫu thử được lấy từ chai đã hoàn thiện.
8.1.2. Các loại thử nghiệm và đánh giá kết quả thử
8.1.2.1. Các thử nghiệm
Phải tiến hành các thử nghiệm sau cho mỗi loại chai mẫu.
a) Đối với các chai chỉ có các mối hàn theo chu vi (chai gồm có hai mảnh), lấy một màu thử từ các vị trí được chỉ dẫn trên Hình 5.
- Một thử kéo (phù hợp với ISO 5178) cho vật liệu cơ bản theo hướng dọc của chai (1). hoặc nếu không thể thực hiện được thì theo hướng chu vi hoặc ở tâm của một đáy hình đĩa;
- Một thử kéo (phù hợp với ISO 4136) cho mẫu thử ở vị trí vuông góc với mối hàn theo chu vi (2);
- Một thử uốn (phù hợp với ISO 7438) cho mẫu thử ở vị trí mặt đỉnh của mối hàn theo chu vi (3);
- Một thử uốn (phù hợp với ISO 7438) cho mẫu thử ờ vị trí mặt chân của mối hàn theo chu vi (4);
- Một thử thô đại (phù hợp với ISO 17639) cho mẫu thử ở vị trí được lựa chọn ngẫu nhiên trên mối hàn theo chu vi.
Các mẫu thử không đủ phẳng phải được làm phẳng bằng dập nguội. Trong tất các các mẫu thử uốn có chứa mối hàn thì mối hàn phải được gia công cơ ngang bằng với bề mặt của kim loại cơ bản.
b) Đối với các chai có các mối hàn dọc và theo chu vi (chai có ba mảnh), các mẫu thử được lấy từ các vị trí như chỉ dẫn trên Hình 6:
- Một thử kéo (phù hợp với ISO 5178) cho vật liệu cơ bản của phần hình trụ theo hướng dọc của chai (1), hoặc nếu không thể thực hiện được thì theo hướng chu vi;
- Một thử kéo (phù hợp với ISO 5178) cho vật liệu cơ bản từ một đáy hình đĩa (2);
- Một thử kéo (phù hợp với ISO 4146) cho mẫu thử ở vị trí vuông góc với mối hàn dọc (3);
- Một thử kéo (phù hợp với ISO 4146) cho mẫu thử ở vị trí vuông góc với mối hàn theo chu vi (4);
- Một thử uốn (phù hợp với ISO 7438) cho mẫu thử ở vị trí mặt đỉnh của mối hàn dọc (5);
- Một thử uốn (phù hợp với ISO 7438) cho mẫu thử ở vị trí mặt chân của mối hàn dọc (6);
- Một thử uốn (phù hợp với ISO 7438) cho mẫu thử ở vị trí mặt đỉnh của mối hàn theo chu vi (7):
- Một thử uốn (phù hợp với ISO 7438) cho mẫu thử ở vị trí mặt chân của mối hàn theo chu vi (8);
- Một thử thô đại (phù hợp với ISO 17639) cho mẫu thử ở vị trí được lựa chọn ngẫu nhiên trên mối hàn theo chu vi.
Các mẫu thử không đủ phẳng phải được làm phẳng bằng dập nguội. Trong tất các các mẫu thử uốn có chứa mối hàn thì mối hàn phải được gia công cơ ngang bằng với bề mặt của kim loại cơ bản.
Việc hàn vấu lồi để lắp van phải được kiểm tra tối thiểu là bằng chụp tia bức xạ hoặc kiểm tra bằng mắt phù hợp với 8.4. Ngoài ra, phải kiểm tra một mẫu cho mỗi quá trình hàn của các bộ phận phụ không chịu áp lực để bảo đảm rằng vùng chịu ảnh hưởng nhiệt không mở rộng lớn hơn 40 % chiều dày thành của vỏ chịu áp lực.
8.1.2.2. Thử kéo
8.1.2.2.1. Thử kéo trên vật liệu cơ bản
8.1.2.2.1.1. Thực hiện qui trình thử kéo như đã cho trong tiêu chuẩn tương ứng phù hợp với 8.1.1.1. Không gia công cơ hai mặt của mẫu thử đại diện cho thành bên trong và thành bên ngoài của chai.
8.1.2.2.1.2. Các giá trị thu được đối với ứng suất chảy, độ bền kéo và độ giãn dài không được nhỏ hơn các giá trị do nhà sản xuất chai bảo đảm và không có trường hợp nào được nhỏ hơn các giá trị cho trong đặc tính kỹ thuật của vật liệu.
8.1.2.2.2. Thử kéo trên mối hàn
8.1.2.2.2.1. Phải thực hiện thử kéo vuông góc với mối hàn (xem ISO 4136) trên mẫu thử có mặt cắt ngang giảm nhỏ nhất với chiều rộng 25 mm và chiều dài mở rộng xa các cạnh mối hàn 15 mm (xem Hình 7). Ở xa phần giữa này chiều rộng của mẫu thử phải tăng dần lên.
8.1.2.2.2.2. Giá trị độ bền kéo thu được Rm không được nhỏ hơn giá trị do nhà sản xuất chai bảo đảm Rg và không có trường hợp nào được nhỏ hơn các giá trị cho trong đặc tính kỹ thuật của vật liệu, không phân biệt vết đứt gãy xảy ra ở vị trí nào trong mặt cắt ngang của phần giữa mẫu thử.
8.1.2.3. Thử uốn
8.1.2.3.1. Phương pháp tiến hành thử uốn được cho trong ISO 7438. Mẫu thử uốn phải có chiều rộng 25 mm. Con lăn uốn được đặt ở giữa mối hàn khi thực hiện phép thử (xem Hình 8).
8.1.2.3.2. Không được xuất hiện các vết nứt trong mẫu thử khi mẫu thử đã uốn quanh con lăn uốn tới góc 180° (xem Hình 8).

CHÚ DẪN:
1 - các vị trí thay đổi của mẫu thử cho thử kéo.
2 - Mẫu thử cho thử kéo
3 - Mẫu thử cho thử uốn (mặt đỉnh mối hàn)
4 - Mẫu thử cho thử uốn (mặt chân mối hàn)
Hình 5 - Các mẫu thử được lấy từ các chai gồm có hai mảnh

CHÚ DẪN:
1 - Các vị trí thay đổi của mẫu thử cho thử kéo.
2 - Mẫu thử cho thử kéo
3 - Mẫu thử cho thử uốn (mặt đỉnh mối hàn)
4 - Mẫu thử cho thử uốn (mặt chân mối hàn)
Hình 6 - Các mẫu thử được lấy từ các chai gồm có ba mảnh
Kích thước tính bằng milimét

CHÚ DẪN:
1 - Mối hàn
Hình 7 - Mẫu thử cho thử kéo vuông góc với mối hàn
Kích thước tính bằng milimét

a) Các kích thước của mẫu thử

b) Chuẩn bị mẫu thử uốn ngang có dẫn hướng

c) Minh họa thử uốn
CHÚ DẪN:
1 - Mối thử có mối hàn giáp mép
2 - Mẫu thử có mối hàn ghép mộng
3 - Phần lồi cần được sửa của mối hàn
4 - Phần mộng (đệm tót) được loại bỏ
Hình 8 - Thử uốn
Bảng 4 - Tỷ số giữa đường kính con lăn uốn và chiều dày mẫu thử
| Độ bền kéo thực đo được Rm, MPa | Giá trị n |
| ≤ 440 | 2 |
| > 440 ≤ 520 | 3 |
| >520 | 4 |
8.1.2.3.3. Tỷ số giữa đường kính của con lăn uốn Dp và chiều dày của mẫu thử a không được vượt quá các giá trị cho trong Bảng 3.
8.2. Thử nổ thủy lực
8.2.1. Điều kiện thử
8.2.1.1. Nếu dự định áp dụng các thông số của nhãn phù hợp với điều 11 trên đoạn chai chịu áp lực thì các chai được thử phải được ghi nhãn tương tự.
8.2.1.2. Phải thực hiện thử nổ bằng áp suất thuỷ lực với thiết bị có khả năng tạo ra áp suất tăng dần tới khi chai bị nổ. Phải ghi lại áp suất tại đó chai bị nổ.
8.2.2. Giải thích phép thử
Chuẩn cứ dùng để giải thích thử nổ như sau:
a) Thể tích giãn nở của chai bằng:
- Thể tích nước sử dụng giữa thời điểm khi áp suất bắt đầu tăng lên và thời điểm chai bị nổ, hoặc
- Chênh lệch giữa thể tích của chai tại lúc bắt đầu và kết thúc phép thử (xem 8.2.3.2);
b) Kiểm tra vết rách và hình dạng của các mép vết rách (xem 8.2.3.3).
8.2.3. Yêu cầu tối thiểu của phép thử
8.2.3.1. Áp suất nổ
Áp suất nổ đo được ps trong bất kỳ trường hợp nào cũng không được nhỏ hơn 225 % áp suất tính toán Pc và không nhò hơn 50 bar.
8.2.3.2. Thể tích giãn nở
Tỷ số giữa thể tích giãn nở của chai và thể tích ban đầu của chai phải không nhỏ hơn:
- 20 %, nếu chiều dài (chiều dài của vỏ chịu áp lực bao gồm cả vấu lồi cho lắp van / vòng cổ chai) lớn hơn đường kính D;
- 17 %, nếu chiều dài chai (chiều dài của vỏ chịu áp lực bao gồm cả vấu lồi cho lắp van / vòng cổ chai) bằng hoặc nhỏ hơn đường kính D.
8.2.3.3. Kiểu đứt gãy
Vết đứt gãy không được bắt đầu trong mối hàn.
Vết đứt gãy chính không được có nguyên nhân là do giòn, nghĩa là các mép của vết đứt gãy không được hướng kính (tâm) mà phải tạo thành một góc với mặt phẳng hướng kính và có sự giảm diện tích suốt theo chiều dày của chúng.
Vết đứt gãy không được bộc lộ khuyết tật nhìn thấy được trong kim loại, ví dụ sự tách lớp.
Thử nổ không được làm cho chai bị vỡ ra thành từng mảnh.
8.3. Thử áp suất
8.3.1. Môi trường tạo áp lực thường là một chất lỏng. Có thể dùng khí với điều kiện là có các biện pháp bảo vệ an toàn thích hợp.
8.3.2. Áp suất thử nhỏ nhất phải theo qui định trong 6.1.3. Đối với các chai chỉ dùng cho butan, áp suất thử có thể cao hơn áp suất chỉ dẫn trong 6.1.3. Trong trường hợp này, ứng suất màng trong thành chai không được vượt quá 90 % ứng suất chảy nhỏ nhất của vật liệu (như đã cho trong tiêu chuẩn vật liệu) trong quá trình thử.
8.3.3. Áp suất trong chai phải được tăng lên dần tới khi đạt được áp suất thử.
8.3.4. Chai phải được giữ ở điều kiện có áp trong thời gian tối thiểu là 30 s để có thể xác định rằng không phát hiện ra rò rỉ.
8.3.5. Sau khi thử, chai không được có các dấu hiệu biến dạng dư.
8.3.6. Bất kỳ chai nào không qua được thử nghiệm đều phải loại bỏ.
8.4. Kiểm tra bằng chụp ảnh tia bức xạ và kiểm tra thô đại
8.4.1. Kiểm tra bằng chụp ảnh tia bức xạ
8.4.1.1. Qui định chung
Kiểm tra bằng chụp ảnh tia bức xạ phải phù hợp với các kỹ thuật được qui định trong 8.4.1.3 đến 8.4.1.5.
8.4.1.2. Yêu cầu đối với chụp tia bức xạ
a) Phải thực hiện chụp ảnh tia bức xạ trên các mối hàn theo chu vi và các mối hàn dọc (xem các Hình 9 và Hình 10) của chai sản xuất đầu tiên sau khi có sự thay đổi về kiểu hoặc cỡ kích thước chai hoặc qui trình hàn (bao gồm cả việc chỉnh đặt máy), hoặc sau khi dùng sản xuất trong thời gian vượt quá 4 h.
Ngoại lệ: trong trường hợp các chai có đường kính ngoài nhỏ hơn 250 mm có thể thay chụp ảnh tia bức xạ các mối hàn ghép mộng (có đệm lót) theo chu vi bằng hai kiểm tra thô đại (xem 8.4.2), một tại mặt phẳng của chỗ dừng / bắt đầu của đường hàn và một ở phía đối diện của chai.
b) Ngoài các yêu cầu trong a), đối với các chai có mối hàn dọc, phải chụp ảnh tia bức xạ chỗ nối của mối hàn dọc và mối hàn theo chu vi như chỉ dẫn trên Hình 10 cho một chai trong 250 chai sản xuất ra.
Khi sử dụng nhiều máy hàn cho sản xuất thì phải áp dụng các qui trình trên cho tất cả các máy.
Kích thước tính bằng milimét

Hình 9 - Kích thước chụp ảnh tia bức xạ các mối hàn - Chai chỉ có các mối hàn theo chu vi
Kích thước tính bằng milimét

Hình 10 - Kích thước chụp ảnh tia bức xạ các mối hàn - Chai có mối hàn theo chu vi và mối hàn dọc
8.4.1.3. Phải thực hiện việc chụp ảnh tia bức xạ các mối hàn phù hợp với ISO 1106-1:1984 và ISO 1106-3:1984, cấp B.
8.4.1.4. Việc đánh giá các ảnh chụp tia bức xạ phải dựa trên các phim nguyên bản phù hợp với công nghệ được giới thiệu trong điều 6 của ISO 2504:1973.
8.4.1.5. Không cho phép có các khuyết tật sau đây đã được định nghĩa trong TCVN 7472:
- Vết nứt, mối hàn không thoả đáng, mối hàn không thấu hoặc chảy ngấu;
- Có lẫn tạp chất kéo dài hoặc nhóm các tạp chất tròn tạo thành hàng có chiều dài lớn hơn 6 mm trên chiều dài mối hàn 12 a;
- Bọt khí có kích thước lớn hơn a/3 mm;
- Bọt khí có kích thước lớn hơn a/4 mm, 25 mm, hoặc nhỏ hơn so với bất kỳ bọt khí nào khác;
- Các bọt khí trên bất cứ chiều dài 100 mm nào, nếu tổng diện tích tính bằng milimét vuông, của tất cả các diện tích của các bọt khí đó lớn hơn 2 a.
8.4.2. Kiểm tra thô đại (bằng mắt)
Tiến hành kiểm tra bằng mắt theo ISO 17639 cho toàn bộ mặt cắt ngang của các mối hàn để bảo đảm cho mối hàn phải chảy ngấu hoàn toàn và mối hàn phải thấu hoàn toàn như qui định trong 8.4.1.5. Trong trường hợp có nghi ngờ, phải thực hiện kiểm tra bằng kính hiển vi cho khu vực còn nghi ngờ này.
8.4.3. Kiểm tra việc hàn vấu lồi để lắp van / vòng cổ chai
Để kiểm tra việc hàn vấu lồi để lắp van / vòng cổ chai, phải tiến hành kiểm tra bằng chụp ảnh tia bức xạ hoặc kiểm tra bằng mắt với chu kỳ lấy mẫu và các mẫu thử được lấy từ các chai tương đương với các phép thử không phá huỷ như đã qui định trong 9.2.
8.4.4. Kiểm tra việc hàn các bộ phận phụ không chịu áp lực
Để kiểm tra việc hàn các bộ phận phụ không chịu áp lực, phải tiến hành kiểm tra bằng chụp ảnh tia bức xạ hoặc kiểm tra bằng mắt tối thiểu là một chai trong một nghìn chai được sản xuất ra. Có thể tiến hành kiểm tra trên các mẫu thử được lấy ra từ các chai tương đương với các phép thử không phá huỷ qui định trong 9.2.
8.4.5. Khuyết tật không chấp nhận được trong kiểm tra bằng chụp ảnh tia bức xạ hoặc kiểm tra bằng mắt
Nếu các kiểm tra bằng chụp ảnh tia bức xạ hoặc kiểm tra bằng mắt nào đó phát hiện ra các khuyết tật không chấp nhận được thi phải dừng sản xuất và mỗi chai hàn từ khi kiểm tra bằng chụp ảnh tia bức xạ hoặc kiểm tra bằng mắt chấp nhận được trước đó phải được để sang một bên tới khi chứng minh được rằng các chai này thoả mãn được các yêu cầu của kiểm tra bằng chụp ảnh tia bức xạ hoặc kiểm tra bằng các phương pháp khác. Không được bắt đầu lại công việc sản xuất tới khi xác định được nguyên nhân của khuyết tật, sửa chữa được khuyết tật và lặp lại qui trình thử qui định trong 8.4.1.2 a).
8.5. Kiểm tra bằng mắt bề mặt của mối hàn
8.5.1. Thực hiện phép kiểm tra này theo ISO 17637 khi mối hàn đã được hoàn thành. Bề mặt mối hàn cần kiểm tra phải được chiếu sáng đầy đủ và không có dầu, mỡ, bụi bẩn, chất cặn hoặc bất kỳ lớp phủ bảo vệ nào.
8.5.2. Mối hàn phải phù hợp với 7.3.5.
8.6. Thử áp suất theo chu trình (thử mỏi)
8.6.1. Thử áp suất theo chu trình chỉ yêu cầu như một phần của thử phê duyệt kiểu, xem 10.1. Đối với phép thử này, nạp chất lỏng không ăn mòn vào ba chai được nhà sản xuất bảo đảm là đại diện cho các chai có chiều dày đáy chai nhỏ nhất theo thiết kế, được ghi nhãn đầy đủ (phù hợp với điều 11) và chịu tác động của áp suất thuỷ lực tăng rồi giảm nối tiếp nhau (áp suất đảo ngược).
8.6.2. Tiến hành thử ở áp suất giới hạn trên theo chu trình hoặc:
a) Bằng hai phần ba của áp suất thử, trong trường hợp này chai phải chịu được 80 000 chu trình mà không bị phá huỷ, hoặc
b) Bằng áp suất thử, trong trường hợp này chai phải chịu được 12 000 chu trình mà không bị phá huỷ.
Giá trị của áp suất giới hạn dưới theo chu trình không được vượt quá 10 % áp suất giới hạn trên theo chu trình. Tần số đảo ngược áp suất không được vượt quá 0,25 hz (15 chu trình / min). Nhiệt độ đo được trên mặt ngoài của chai không được vượt quá 50 °C trong quá trình thử.
8.6.3. Sau khi thử phải cắt các đáy chai và các mối hàn để chứng minh rằng chiều dày thành đại diện cho kết cấu được xem xét.
9. Qui trình nghiệm thu (chấp nhận)
9.1. Qui định chung
9.1.1. Phải tiến hành tất cả các thử nghiệm kiểm tra nghiệm thu theo qui định của điều này cho các chai đã được gia công tính trước khi xử lý bề mặt.
9.1.2. Tất cả các chai phải được thử áp lực theo qui định trong 8.3 và kiểm tra bề mặt mối hàn bằng mắt theo qui định trong 8.5.
9.1.3. Phải tiến hành kiểm tra bằng chụp ảnh tia bức xạ hoặc kiểm tra thô đại (bằng mắt) theo qui định trong 8.4.
9.1.4. Phải tiến hành thử cơ tính như qui định trong 8.1 và thử nổ như qui định trong 8.2 cho các mẫu thử theo qui định trong 9.2. Phải đo chiều dày thành tại điểm mỏng nhất và tính toán ứng suất trên một mẫu thử thích hợp của chai.
9.2. Kiểm tra theo loạt sản phẩm
9.2.1. Loạt sản phẩm
Một loạt sản phẩm phải bao gồm các chai được sản xuất liên tiếp bởi cùng một nhà sản xuất, khi sử dụng cùng một công nghệ chế tạo, theo cùng một kết cấu, kích thước và đặc tính kỹ thuật của vật liệu, trên cùng một kiểu máy hàn tự động và có cùng một trạng thái xử lý nhiệt.
CHÚ THÍCH: trong ngữ cảnh này "liên tiếp” không có ngụ ý nói rằng sản xuất phải liên tục.
9.2.2. Kiểm tra theo lô
Để nghiệm thu, phải chia loạt sản phẩm thành các lô kiểm tra không vượt quá 1000 chai. Để chọn các chai mẫu thử cho thử nổ hoặc thử cơ tính, mỗi lô được chia thành các tiểu lô có 250 chai trong 3 000 chai đầu tiên của một loạt và sau đó là các tiểu lô 500 chai hoặc 1 000 chai tuỳ thuộc vào cỡ kích thước chai (xem Hình 11).
9.2.3. Chu kỳ lấy mẫu
9.2.3.1. Qui định chung
Khi một loạt sản phẩm bao gồm các chai được chế tạo bằng vật liệu từ nhiều mẻ nấu thì nhà sản xuất phải bố trí các mẫu thử để đại diện cho mỗi mẻ nấu của vật liệu được sử dụng. Chu kỳ lấy mẫu được giảm đi đối với sản xuất có khối lượng lớn (trên 3 000 chai) cần tuân theo thoả thuận bằng văn bản với đơn vị có thẩm quyền một khi nhà sản xuất có thể chứng minh rằng các kết quả thử loạt sản phẩm và quá trình sản xuất có đủ độ tin cậy, không có bất kỳ sự ngừng sản xuất nào. Sơ đồ minh hoạ chu kỳ lấy mẫu được giới thiệu trên Hình 11.
Ngoại trừ trường hợp cho phép trong 9.2.4, các mẫu thử lấy cho "thử cơ tính hoặc thử nổ" phải xen kẽ nhau giữa các thử cơ tính và thử nổ.

a - Đối với chai có dung tích ≤ 35 l
b - Đối với chai có dung tích > 35 /.
| Cỡ /tiểu lô | ký hiệu | Số lượng chai | Loại các phép thử |
| 250 |
| 2 | Một cho thử nổ và một cho thử cơ tính |
| 250 |
| 1 | Một cho thử nổ hoặc cho thử cơ tính |
| 500 |
| 2 | Một cho thử nổ và một cho thử cơ tính |
| 500 |
| 1 | Một cho thử nổ hoặc cho thử cơ tính |
| 1 000 |
| 2 | Một cho thử nổ và một cho thử cơ tính |
CHÚ THÍCH: Theo 9.2.2 các chai được đưa vào thử cơ tính và có dung tích nước nhỏ hơn 6,5 l và áp suất nổ lớn hơn 100 bar có thể được đưa vào thử nổ xem kẽ theo qui định của nhà sản xuất.
Hình 11 - Các lô kiểm tra
9.2.3.2. Số lượng nhỏ hơn hoặc bằng 3 000 chai
9.2.3.2.1. Phải chọn ngẫu nhiên từ 250 chai đầu tiên hoặc nhỏ hơn trong mỗi lô kiểm tra, đại diện cho các chai, một chai cho thử nổ và một chai cho thử cơ tính.
9.2.3.2.2. Phải chọn ngẫu nhiên một chai đại diện cho thử nổ hoặc thử cơ tính từ mỗi nhóm 250 chai hoặc nhỏ hơn tiếp sau trong lô kiểm tra.
9.2.3.3. Số lượng trên 3 000 chai
9.2.3.3.1. Đối với chai có dung tích nhỏ hơn hoặc bằng 35 l trong 3 000 chai đầu tiên trong loạt sản phẩm phải chọn các chai đại diện theo qui định trong 9.2.3.2. Phải chọn ngẫu nhiên từ mỗi lô kiểm tra còn lại, đại diện cho các chai, một chai cho thử nổ và một chai cho thử cơ tính.
9.2.3.3.2. Đối với chai có dung tích lớn hơn trong 3 000 chai đầu tiên trong loạt sản phẩm phải chọn các chai đại diện theo qui định trong 9.2.3.2. Phải chọn ngẫu nhiên cho các chai đại diện từ 500 chai đầu tiên hoặc nhỏ hơn trong mỗi lô kiểm tra còn lại một chai cho thử nổ và một chai cho thử cơ tính. Phải chọn ngẫu nhiên từ 500 chai còn lại hoặc nhỏ hơn trong các lô kiểm tra này một chai đại diện cho thử nổ hoặc thử cơ tính.
9.2.4. Đối với các chai có dung tích nước nhỏ hơn 6,5 l và có áp suất nổ lớn hơn 100 bar. Các chai này có yêu cầu thử cơ tính có thể được đưa vào thử nổ xen kẽ theo quyết định của nhà sản xuất.
9.3. Không đáp ứng các yêu cầu kiểm tra theo loạt sản phẩm
9.3.1. Trong trường hợp không đáp ứng các yêu cầu kiểm tra theo loạt sản phẩm thì phải tiến hành kiểm tra lại như qui định trong 9.3.2.
9.3.2. Nếu có dấu hiệu sai sót trong việc thực hiện các phép thử cơ tính hoặc sai sót trong phép đo thì phải tiến hành thử nghiệm lần thứ hai, trên cùng một chai. Nếu kết quả của phép thử này đáp ứng yêu cầu thì có thể bỏ qua phép thử đầu tiên.
9.3.3. Nếu phép thử đã được thực hiện có kết quả tốt thì phải theo qui trình được qui định trong 9.3.3.1 hoặc 9.3.3.2.
9.3.3.1. Trong trường hợp một chai duy nhất không đáp ứng yêu cầu của phép thử cơ tính hoặc thử nổ thì phải tiến hành thử lại cả về cơ tính và thử nổ như chỉ dẫn trong Bảng 5.
Các chai thử lại được chọn ngẫu nhiên từ cùng một tiểu lô.
Bảng 5 - Yêu cầu thử lại loạt sản phẩm
| Cỡ kích thước của tiểu lô kiểm tra | Thử không đạt | Thử lại |
| ≤ 250 | 1M | 2M + 1B |
| ≤ 250 | 1B | 2B + 1M |
| > 250 | 1M | 2M + 2B |
| > 250 | 1B | 1M + 4B |
| CHÚ THÍCH : "M" biểu thị cho thử cơ tính, "B" biểu thị cho thử nổ | ||
9.3.3.2. Trong trường hợp có nhiều chai không đáp ứng yêu cầu của các phép thử đầu tiên hoặc một hay nhiều chai không đáp ứng yêu cầu của thử lại qui định trong 9.3.3.1 thì phải loại bỏ loạt sản phẩm. Trong trường hợp các chai được xử lý nhiệt nếu nhà sản xuất:
a) Xử lý nhiệt lại loạt sản phẩm đã bị loại bỏ hoặc
b) Sửa chữa các khuyết tật bất kỳ của mối hàn và xử lý nhiệt lại loạt sản phẩm, sau đó loạt sản phẩm phải được đệ trình lại để kiểm tra như một loạt sản phẩm mới như qui định trong 9.2.
Trong trường hợp các chai không được xử lý nhiệt thì chỉ được áp dụng xử lý nhiệt nếu tiến hành thêm các phép thử phê duyệt kiểu và các qui trình hàn được thực hiện cho trạng thái được xử lý nhiệt.
10. Yêu cầu kỹ thuật cho phê duyệt kiểu
10.1. Nhà sản xuất phải có sẵn một loạt tối thiểu là 50 chai để đơn vị có thẩm quyển lựa chọn các chai cho thử nghiệm như sau:
a) 3 chai cho thử áp suất theo chu kỳ (thử mỏi) như qui định trong 8.6 khi có yêu cầu theo 6.4, 6.6.2, 7.8.4 d) hoăc điều 11:
b) 2 chai cho các phép thử cơ tính như qui định trong 8.1;
c) 2 chai cho thử nổ như qui định trong 8.2.
Hai chai trong số các chai này phải qua các phép thử chụp ảnh tia bức xạ / thử thô đại như qui định trong 8.4.1.3 đến 8.4.1.5 và 8.4.2.
10.2. Phải xem xét các kết cấu khác nhau của chai như là các kiểu chai trong phạm vi các giới hạn sau
a) Các chai gồm hai mảnh có cùng một đường kính, chiều dài và chiều dày, được trang bị cùng một loại lỗ mở và được chế tạo bởi cùng một công nghệ chế tạo và cùng một đặc tính vật liệu trên cùng một kiểu máy hàn cơ khí hoá hoặc tự động hoá và được xừ lý nhiệt trong cùng một điều kiện như nhau.
b) Các chai gồm ba mảnh có cùng một đường kính và chiều dày, được trang bị cùng một loại lỗ mở và được chế tạo trong điều kiện như a), ngoại trừ yêu cầu là các chai có thể khác nhau về chiều dài trong giới hạn sau:
- Chiều dài của phần hình trụ không nhỏ hơn ba lần đường kính ngoài;
- Chiều dài của phần hình trụ không lớn hơn 1,5 lần chiều dài phần hình trụ của các chai được thử.
11. Ghi nhãn
Mỗi chai phải được ghi nhãn dễ đọc và bền lâu trên một biển hiệu hoặc trên một bộ phận không chịu áp lực khác được gắn chặt thích hợp và bền vững với chai, phù hợp với ISO 13769, với các dấu hiệu bổ sung thêm như được nêu chi tiết trong phụ lục a. Khi ghi nhãn trên các đáy của chai thì phải chứng minh được rằng trong thử mỏi và thử nổ sự phá huỷ không bắt đầu ở nhãn và nhãn phải dễ đọc. Bất cứ sự hạn chế nào về LPG đưa vào chai phải được ghi nhãn bền lâu.
12. Giấy chứng nhận
Mỗi loạt chai phải có một giấy chứng nhận để bảo đảm rằng các chai đáp ứng các yêu cầu của tiêu chuẩn này về mọi mặt. Phụ lục B giới thiệu một ví dụ điển hình về giấy chứng nhận.
Phụ lục A
(qui định)
Ghi nhãn của nhà sản xuất
Bảng A.1 - Ghi nhãn của nhà sản xuất
|
| Định nghĩa | Ví dụ |
| 1 | Đối với chai được tiêu chuẩn hoá, ký hiệu này được đóng nhãn ngay sau số hiệu tiêu chuẩn tương ứng | N |
| 2 | Đối với chai được khử ứng suất, ký hiệu này được đóng nhãn ngay sau số hiệu tiêu chuẩn tương ứng | S |
| 3 | Đối với chai không được tiêu chuẩn hoá hoặc khử ứng suất, ký hiệu này được đóng nhãn ngay sau số hiệu tiêu chuẩn tương ứng | U |
| 4 | Khi chai được dùng cho butan thương phẩm | "butan" |
| CHÚ THÍCH: Thứ tự được nêu ở trên không biểu thị thứ tự ghi nhãn trên chai trừ khi có yêu cầu. | ||
Phụ lục B
(tham khảo)
Các ví dụ về giấy chứng nhận kiểm tra phê duyệt kiểu và kiểm tra trong sản xuất
B.1. Mẫu giấy chứng nhận phê duyệt kiểu
Cấp bởi …………………..…………(cơ quan có thẩm quyền) ……………………………….....trên cơ sở ……………………………………………………………………………………………………………………..…….áp dụng TCVN 7763
| ĐỐI VỚI CHAI CHỨA KHÍ THÉP HÀN, NẠP LẠI DÙNG CHO LPG |
Số phê duyệt: ………………………………………………..Ngày …………………………………………..… Kiểu chai ……………………………………..(mô tả họ chai được chấp nhận phê duyệt kiểu) …………….. P1 ……………….D …………………Dp ……………….a …………………….…b …………………………….... Lo …………………………………Lmax
Nhà sản xuất hoặc người đại diện ………………… (tên và địa chỉ nhà sản xuất hoặc đại diện của nhà sản xuất)………………………………………………………………………………………………………………………………………………………………………………………………………………………………………………...
Dấu phê duyệt kiểu…………………………………………………………………………………………………….
Nội dung chi tiết của các kết quả kiểm tra kiểu cho phê duyệt kiểu và các đặc điểm chủ yếu của kiểu. Có thể nhận được tất cả các thông tin từ ………………………………(tên và địa chỉ của cơ quan phê duyệt) ……………………………………………………………………………………………………………………………………………………………………………………………………………………………………………………………………………………………………………………………………………………………………………………..
Ngày …………………………………….địa điểm ………………………………….............................................
Ký tên…………………………………………………..
Chú giải về sử dụng giấy chúng nhận phê duyệt kiểu
a) Các kết quả kiểm tra phê duyệt kiểu cần được gắn kèm theo các nội dung chi tiết của kiểu được phê duyệt.
b) Cần chỉ rõ các đặc điểm của kiểu, đặc biệt là:
- Mặt cắt ngang theo chiều dài của kiểu chai được chấp nhận phê duyệt kiểu, trên đó có chỉ ra:
- Đường kính, D0, cùng với dung sai thiết kế do nhà sản xuất qui định;
- Chiều dày nhỏ nhất của thành chai (a);
- Chiểu dày nhỏ nhất của đáy chai (b);
- Các chiều dài nhỏ nhất và lớn nhất. Lmin và Lmax
- Dung tích nước hoặc các dung tích nước, Vmin và Vmax;
- Áp suất thử thuỷ lực, P1;
- Tên nhà sản xuất / số hiệu bản vẽ và ngày tháng;
- Tên của kiểu chai;
- Thép phù hợp với điều 5 [tính chất/thành phần hoá học/phương pháp sản xuất/xử lý nhiệt/cơ tính được bảo đảm (độ bền kéo - ứng suất chảy)];
- Đặc tính kỹ thuật của qui trình hàn.
B.2. Mẫu giấy chứng nhận kiểm tra trong sản xuất
Áp dụng TCVN 7763 …………………………………………………………………………………………………
Người kiểm tra .................................................................................................................................. ............................................................................... …………………………………………………………..
Ngày tháng .......................................................................................................................................
Phê duyệt kiểu số .............................................................................................................................
Mô tả chai ........................................................................................................................................
.........................................................................................................................................................
Kiểm tra trong sản xuất số .......................................................................... ……………………………...
Loạt sản xuất số ............................................................... ………………..…..đến………………………...
Nhà sản xuất ............................................................................... (Tên và địa chỉ) ……………………….
.........................................................................................................................................................
.........................................................................................................................................................
Quốc gia ........................................................................... Dấu........................................................
Chủ sở hữu ......................................................................................... (Tên và địa chỉ)………………..
.........................................................................................................................................................
.........................................................................................................................................................
Khách hàng ......................................................................................... ( Tên và địa chỉ)………………..
.........................................................................................................................................................
Kiểm tra trong sản xuất
1. Kết quả đo các chai mẫu
| Phép thử số | Loạt Từ số……… Đến số………. | Dung tích nước lít | Khối lượng rỗng kg | Chiều dày nhỏ nhất thu được | |
| Của thành chai mm | Của các đáy mm | ||||
|
|
|
|
|
|
|
2. Các kết quả thử không phá huỷ (NDE)
|
|
3. Thử cơ tính được thực hiện trên các chai mẫu
| Phép thử/loạt | Xử lý nhiệt NR | Thử kéo | Thử uốn | Thử nổ thủy lực bar | Mô tả sự phá hủy | |||
| Mẫu thử | Ứng suất chảy Ro, MPa | Độ bền kéo Rm, MPa | Độ giãn dài A % | |||||
|
|
|
|
|
|
|
|
|
|
| Các giá trị nhỏ nhất qui định |
|
|
|
|
|
| ||
Tôi, người ký tên dưới đây, tuyên bố rằng tôi đã kiểm tra và các yêu cầu của tTCVN 7763: đã được thực hiện đạt kết quả theo qui định.
Nhận xét riêng....................................................................................................................................
.........................................................................................................................................................
Nhận xét chung..................................................................................................................................
.........................................................................................................................................................
Được chứng nhận ngày ............................................... địa điểm........................................................
Chữ ký của người kiểm tra.................................................................................................................
Đại diện .................. (cơ quan có thẩm quyền)...................................................................................
Bạn chưa Đăng nhập thành viên.
Đây là tiện ích dành cho tài khoản thành viên. Vui lòng Đăng nhập để xem chi tiết. Nếu chưa có tài khoản, vui lòng Đăng ký tại đây!