- Tổng quan
- Nội dung
- Tiêu chuẩn liên quan
- Lược đồ
- Tải về
Tiêu chuẩn TCVN 14293:2024 Chất dẻo - Ống hút có khả năng tạo compost công nghiệp
| Số hiệu: | TCVN 14293:2024 | Loại văn bản: | Tiêu chuẩn Việt Nam |
| Cơ quan ban hành: | Bộ Khoa học và Công nghệ | Lĩnh vực: | Công nghiệp |
| Trích yếu: | ISO 5424:2022 Chất dẻo - Ống hút bằng chất dẻo có khả năng tạo compost công nghiệp | ||
|
Ngày ban hành:
Ngày ban hành là ngày, tháng, năm văn bản được thông qua hoặc ký ban hành.
|
31/12/2024 |
Hiệu lực:
|
Đã biết
|
| Người ký: | Đang cập nhật |
Tình trạng hiệu lực:
Cho biết trạng thái hiệu lực của văn bản đang tra cứu: Chưa áp dụng, Còn hiệu lực, Hết hiệu lực, Hết hiệu lực 1 phần; Đã sửa đổi, Đính chính hay Không còn phù hợp,...
|
Đã biết
|
TÓM TẮT TIÊU CHUẨN VIỆT NAM TCVN 14293:2024
TCVN 14293:2024 ISO 5424:2022: Quy định về ống hút bằng chất dẻo có khả năng tạo compost công nghiệp
Tiêu chuẩn quốc gia TCVN 14293:2024, tương đương với ISO 5424:2022, đã được ban hành và có hiệu lực để hướng dẫn việc sản xuất và sử dụng ống hút bằng chất dẻo có khả năng tạo compost công nghiệp. Văn bản này được biên soạn bởi Ban Kỹ thuật Tiêu chuẩn quốc gia TCVN/TC 61 và do Bộ Khoa học và Công nghệ công bố. Tiêu chuẩn này đã có sự hỗ trợ từ Viện Tiêu chuẩn Chất lượng Việt Nam và được Ủy ban Tiêu chuẩn Đo lường Chất lượng Quốc gia thẩm định.
Ống hút bằng chất dẻo được sử dụng rộng rãi nhưng gây ra nhiều vấn đề về ô nhiễm môi trường. Tiêu chuẩn này không nhằm cấm việc sử dụng ống hút nhựa, mà là để giảm thiểu tác động tiêu cực của chúng. TCVN 14293:2024 đưa ra những yêu cầu kỹ thuật cụ thể về ống hút có khả năng tạo compost công nghiệp, bao gồm phương pháp thử nghiệm và quy định bao gói.
Phạm vi áp dụng của tiêu chuẩn này quy định rõ các yêu cầu kỹ thuật và phương pháp thử đối với ống hút, đảm bảo rằng sản phẩm đáp ứng các tiêu chuẩn môi trường. Cụ thể, ống hút phải có khả năng phân hủy sinh học và không để lại dư lượng độc hại. Một số yêu cầu kỹ thuật được nêu rõ bao gồm: sai lệch chiều dài ≤ ±2%, sai lệch đường kính ngoài ≤ ±3%.
Tiêu chuẩn cũng đề cập đến các phương pháp thử nghiệm khả năng tạo compost của ống hút, theo TCVN 13114. Việc đánh giá này nhằm xác định tác động của ống hút đến môi trường sinh thái và đảm bảo rằng ống hút đạt tiêu chuẩn cho quá trình tạo compost.
Ngoài ra, tiêu chuẩn quy định khắt khe về bao gói và ghi nhãn. Mỗi sản phẩm ống hút cần phải có nhãn hiệu rõ ràng, chỉ rõ tên nhà sản xuất, loại vật liệu, kích cỡ, cùng các thông tin liên quan đến khả năng tạo compost. Số lượng ống hút trong mỗi gói cũng cần đáp ứng tối thiểu 98% số lượng danh nghĩa trở lên.
TCVN 14293:2024 cũng đưa ra quy định về kiểm tra sản phẩm, bao gồm kiểm tra tại nhà máy và kiểm tra mẫu. Mỗi lô sản phẩm sẽ được đánh giá dựa trên các chỉ tiêu kỹ thuật và khả năng tạo compost. Kế hoạch lấy mẫu được xác định theo số lượng và yêu cầu cụ thể, với mục tiêu đảm bảo chất lượng sản phẩm đầu ra.
Cuối cùng, việc áp dụng các quy định trong tiêu chuẩn này không chỉ giúp nâng cao chất lượng ống hút bằng chất dẻo mà còn góp phần quan trọng vào việc bảo vệ môi trường và sức khỏe cộng đồng. Tiêu chuẩn này có vai trò quan trọng trong việc thúc đẩy sự phát triển bền vững của ngành công nghiệp chế biến nhựa tại Việt Nam.
Tải tiêu chuẩn Việt Nam TCVN 14293:2024
TIÊU CHUẨN QUỐC GIA
TCVN 14293:2024
ISO 5424:2022
CHẤT DẺO - ỐNG HÚT BẰNG CHẤT DẺO CÓ KHẢ NĂNG TẠO COMPOST CÔNG NGHIỆP
Plastics - Industrial compostable plastic drinking straws
Lời nói đầu
TCVN 14293:2024 hoàn toàn tương đương với ISO 5424:2022.
TCVN 14293:2024 do Ban kỹ thuật tiêu chuẩn quốc gia TCVN/TC 61 Chất dẻo biên soạn, Viện Tiêu chuẩn Chất lượng Việt Nam đề nghị, Ủy ban Tiêu chuẩn Đo lường Chất lượng Quốc gia thẩm định, Bộ Khoa học và Công nghệ công bố.
Lời giới thiệu
Ống hút bằng chất dẻo được sử dụng trên toàn thế giới trong nhiều năm. Điều này gây ra một số vấn đề về môi trường, chẳng hạn như ô nhiễm trên mặt đất, ô nhiễm đất và ô nhiễm môi trường nước/biển. Những vấn đề này gây nguy cơ nghiêm trọng cho hệ sinh thái, sự đa dạng sinh học và sức khỏe con người. Gần đây, nhiều quốc gia, khu vực và thành phố đã ban hành quy định cấm hoặc hạn chế sử dụng ống hút bằng chất dẻo để giúp giải quyết những vấn đề này.
Tiêu chuẩn này không nhằm mục đích bỏ qua quy định ở trên mà nhằm giải quyết cụ thể vấn đề có thể sử dụng ống hút bằng chất dẻo có khả năng tạo compost công nghiệp:
a) đưa ra các phương pháp thử nghiệm khả năng tạo compost, sau đó chứng minh tác động của ống hút bằng chất dẻo có khả năng tạo compost công nghiệp đối với môi trường sinh thái;
b) cung cấp tài liệu để đánh giá ống hút bằng chất dẻo có khả năng tạo compost công nghiệp.
Việc xây dựng tiêu chuẩn này được kỳ vọng sẽ nâng cao hiệu quả quản lý chất lượng ống hút bằng chất dẻo có khả năng tạo compost công nghiệp tại các nơi có sẵn công nghệ tạo compost công nghiệp.
CHẤT DẺO - ỐNG HÚT BẰNG CHẤT DẺO CÓ KHẢ NĂNG TẠO COMPOST CÔNG NGHIỆP
Plastics - Industrial compostable plastic drinking straws
1 Phạm vi áp dụng
Tiêu chuẩn này quy định các yêu cầu kỹ thuật, phương pháp thử, quy định thử nghiệm và bao gói đối với ống hút bằng chất dẻo có khả năng tạo compost công nghiệp.
2 Tài liệu viện dẫn
Các tài liệu viện dẫn sau đây rất cần thiết cho việc áp dụng tiêu chuẩn này. Đối với các tài liệu viện dẫn ghi năm công bố thì áp dụng bản được nêu. Đối với các tài liệu viện dẫn không ghi năm công bố thì áp dụng phiên bản mới nhất, bao gồm cả các sửa đổi, bổ sung (nếu có).
TCVN 7790-1 (ISO 2859-1) Quy trình lấy mẫu để kiểm tra định tính - Phần 1: Chương trình lấy mẫu được xác định theo giới hạn chất lượng chấp nhận (AQL) để kiểm tra từng lô
TCVN 9848 (ISO 291) Chất dẻo - Khí quyển tiêu chuẩn cho ổn định và thử nghiệm
TCVN 13114 Chất dẻo - Chất dẻo có khả năng tạo compost - Yêu cầu kỹ thuật và phương pháp thử
ISO 18188:2016 Specifications for polypropylene drinking straws (Quy định kỹ thuật đối với ống hút bằng polypropylen)
3 Thuật ngữ và định nghĩa
Tiêu chuẩn này áp dụng các thuật ngữ và định nghĩa sau.
3.1
Compost (compost)
Chất cải tạo đất hữu cơ thu được bởi quá trình phân hủy sinh học từ hỗn hợp gồm chủ yếu chất thải thực vật, đôi khi có lẫn chất hữu cơ khác và có hàm lượng khoáng vật ở mức hạn chế.
[Nguồn ISO 17088:2021, 3.1]
3.2
Chất dẻo có khả năng tạo compost (compostable plastic)
Chất dẻo bị phân hủy bởi các quá trình sinh học trong quá trình tạo compost để tạo ra CO2, nước, các hợp chất vỏ cơ và sinh khối ở tốc độ phù hợp với các vật liệu có khả năng tạo compost đã biết khác và không để lại dư lượng dưới ngưỡng phát hiện, có thể phân biệt hoặc độc hại.
CHÚ THÍCH 1: “Nguy hại” được sử dụng đồng nghĩa với độc hại.
[Nguồn ISO 17088:2021, 3.2]
3.3
Quá trình tạo compost (composting)
Quá trình hiếu khí để tạo thành compost (3.1) từ rác thải có thể phân hủy sinh học
CHÚ THÍCH 1: Tạo compost được phân thành tạo compost công nghiệp, tạo compost hộ gia đình và tạo compost bởi giun.
[Nguồn ISO 17088:2021, 3.3]
3.4
Quá trình tạo compost công nghiệp (industrial composting)
Quá trình tạo compost (3.3) thực hiện trong điều kiện được kiểm soát ở quy mô công nghiệp với mục đích sản xuất compost cho thị trường.
CHÚ THÍCH 1: Ở một số nơi, tạo compost công nghiệp được coi là tạo compost chuyên nghiệp.
[Nguồn ISO 17088:2021, 3.13]
3.5
Ống hút (drinking straw)
Ống rỗng dùng để hút nước uống, nước giải khát và thực phẩm dạng lỏng.
3.6
Ống hút có đầu nhọn (pointed straw)
Ống hút được cắt để tạo một đầu vát chéo.
3.7
Ống hút dạng thìa (spoon-type straw)
Ống hút được gia công để có một đầu dạng thìa.
4 Yêu cầu kỹ thuật
4.1 Thông số kỹ thuật và kích cỡ
Thông số kỹ thuật và kích cỡ của ống hút bằng chất dẻo có khả năng tạo compost công nghiệp phải đáp ứng các yêu cầu được quy định trong Bảng 1.
Bảng 1 - Các yêu cầu về thông số kỹ thuật và kích cỡ
| Tên chỉ tiêu | Các yêu cầu |
| Sai lệch chiều dài | ≤ ±2 % |
| Sai lệch đường kính ngoài | ≤ ±3 % |
| Tỷ lệ độ dày thành ống tối đa so với độ dày thành ống tối thiểu | ≤ ±1,2 |
| Tỷ lệ hư hỏng sau khi nắn thẳng đoạn ống gấp/xoắn | ≤ 2 % |
| Sai lệch tổng khối lượng của 100 ống hút | ≤ ±5 % |
4.2 Khả năng tạo compost công nghiệp
Khả năng tạo compost còng nghiệp của “ống hút bằng chất dẻo có khả năng tạo compost công nghiệp” phải được đánh giá theo TCVN 13114.
5 Phương pháp thử
5.1 Ổn định mẫu và môi trường thử nghiệm
Môi trường tiêu chuẩn để ổn định mẫu và thử nghiệm phải thực hiện theo các quy định trong TCVN 9848 (ISO 291).
5.2 Thông số kỹ thuật và kích cỡ
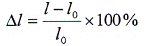
5.2.1 Sai lệch chiều dài
Sử dụng thước có vạch chia hoặc dụng cụ phù hợp khác, có độ chính xác ít nhất là 0,5 mm để đo chiều dài của ống hút.
Tính giá trị sai lệch chiều dài của ống hút theo Công thức (1)
|
| (1) |
trong đó
Δl là sai lệch chiều dài của ống hút, tính bằng %;
l là chiều dài đo được, tính bằng mm;
l0 là chiều dài danh nghĩa, tính bằng mm.
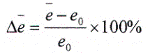
5.2.2 Tính sai lệch trung bình của độ dày
Tính sai lệch độ dày trung bình của ống hút theo Công thức (2)
|
| (2) |
trong đó
|
| là sai lệch độ dày trung bình, tính bằng %; |
|
| là độ dày trung bình, tính bằng mm; |
| e0 | là độ dày danh nghĩa, tính bằng mm. |
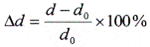
5.2.3 Sai lệch đường kính ngoài
Sử dụng thước cặp hoặc dụng cụ phù hợp với vạch chia tối đa là 0,02 mm để đo đường kính ngoài tại một đầu ống hút.
Tính giá trị sai lệch chiều dài đường kính ngoài của ống hút theo Công thức (3)
|
| (3) |
trong đó
Δd là sai lệch đường kính ngoài của ống hút, tính bằng %,
d là đường kính đo được, tính bằng mm;
d0 là đường kính danh nghĩa, tính bằng mm.
5.2.4 Độ đồng nhất của độ dày thành ống
Thử nghiệm độ đồng nhất của độ dày thành ống theo phương pháp quy định trong ISO 18188, 6.3.4.
5.2.5 Tỷ lệ mở rộng đầu ống hút dạng thìa
Mở đoạn ống hút có dạng thìa của ống hút dạng thìa. Sử dụng thước có vạch chia hoặc dụng cụ phù hợp với độ chính xác ít nhất là 1 mm để đo chiều rộng lớn nhất.
Tính giá trị tỷ lệ mở rộng đầu ống hút dạng thìa theo Công thức (4)
|
| (4) |
trong đó
Δk là sai lệch đường kính ngoài của ống hút, tính bằng %;
k là chiều rộng lớn nhất đo được, tính bằng mm;
d0 là đường kính danh nghĩa, tính bằng mm.
5.2.6 Tỷ lệ hỏng sau khi nắn thẳng đoạn ống gấp/xoắn
Chọn ngẫu nhiên 100 ống hút từ cùng một lô sản phẩm và thực hiện xác định tỷ lệ hỏng bằng cách kiểm tra trực quan sau khi nắn thẳng đoạn ống gấp/xoắn.
Các tính chất phá hủy, đứt và nứt sẽ được đánh giá bằng cách nắn thẳng ống gấp/xoắn.
5.2.7 Sai lệch khối lượng
Chọn ngẫu nhiên 300 ống hút từ cùng một lô sản phẩm, chia thành 3 nhóm, mỗi nhóm là 100 ống.
Sử dụng cân hoặc thiết bị phù hợp với độ chinh xác ít nhất là 0,1 g để xác định khối lượng của mỗi nhóm (100 ống hút).
Tính giá trị sai lệch khối lượng của ống hút theo Công thức (5)
|
| (5) |
trong đó
Δg là sai lệch khối lượng của ống hút, tính bằng %;
g là khối lượng đo được, tính bằng g;
g0 là khối lượng danh nghĩa, tính bằng g.
5.3 Khả năng tạo compost công nghiệp
Thử nghiệm khả năng tạo compost công nghiệp theo TCVN 13114.
6 Quy định thử nghiệm
6.1 Lô nhỏ
Sản phẩm được kiểm tra và chấp nhận theo lô. Sản phẩm có cùng thông số kỹ thuật được sản xuất liên tục từ cùng một loại nguyên vật liệu và cùng một quy trình sẽ là một lô.
6.2 Phân loại kiểm tra
Kiểm tra được chia thành kiểm tra tại nhà máy và kiểm tra kiểu loại.
6.2.1 Kiểm tra tại nhà máy
Các hạng mục kiểm tra tại nhà máy phải đáp ứng các yêu cầu của 4.1.
6.2.2 Kiểm tra kiểu loại
Các hạng mục kiểm tra kiểu loại phải đáp ứng các yêu cầu kỹ thuật của tiêu chuẩn này.
6.3 Kế hoạch lấy mẫu
6.3.1 Thông số kỹ thuật và kích cỡ
Phải sử dụng kế hoạch lấy mẫu hai lần để kiểm tra thông thường theo TCVN 7790-1 (ISO 2859-1). Mức kiểm tra (il) là mức kiểm tra thông thường ii và giới hạn chất lượng chấp nhận (AQL) là 6,5 %. Mẫu và mức đánh giá được đưa ra trong Bảng 2. Lấy từng gói đơn vị làm một đơn vị mẫu. Gói đơn vị có thể là hộp, túi hoặc ống. Trong quá trình thử nghiệm, lấy ngẫu nhiên một sản phẩm từ mỗi gói để làm mẫu kiểm tra.
Bảng 2 - Kế hoạch lấy mẫu và đánh giá
| Cỡ lô | Mẫu | Cỡ mẫu | Cỡ mẫu cộng dồn | Số chấp nhận | Số loại bỏ |
|
|
|
|
| Ac | Re |
| < 50 | Lần đầu | 5 | 5 | 0 | 2 |
| Lần thứ hai | 5 | 10 | 1 | 2 | |
| 51 - 90 | Lần đầu | 8 | 8 | 0 | 3 |
| Lần thứ hai | 8 | 16 | 3 | 4 | |
| 91 - 150 | Lần đầu | 13 | 13 | 1 | 3 |
| Lần thứ hai | 13 | 26 | 4 | 5 | |
| 151 - 280 | Lần đầu | 20 | 20 | 2 | 5 |
| Lần thứ hai | 20 | 40 | 6 | 7 | |
| 281 - 500 | Lần đầu | 32 | 32 | 3 | 6 |
| Lần thứ hai | 32 | 64 | 9 | 10 | |
| 501 - 1200 | Lần đầu | 50 | 50 | 5 | 9 |
| Lần thứ hai | 50 | 100 | 12 | 13 |
6.3.2 Khả năng tạo compost công nghiệp
Lấy ngẫu nhiên một số lượng mẫu đủ từ các mẫu đã được lấy ra để thử nghiệm.
6.4 Quy tắc ra quyết định
6.4.1 Xác định các yêu cầu khác nhau
6.4.1.1 Thông số kỹ thuật và kích cỡ
Việc xác định đơn vị cỡ mẫu được thực hiện theo 5.2.
Nếu kết quả của đơn vị mẫu đáp ứng các yêu cầu của Bảng 2 về kích cỡ thông số kỹ thuật được coi là đạt yêu cầu. Nếu không đáp ứng các yêu cầu của Bảng, sản phẩm không đạt yêu cầu.
6.4.1.2 Khả năng tạo compost công nghiệp
Chỉ tiêu này không đạt khi một trong các hạng mục sau đây không đủ điều kiện:
a) khả năng phân hủy sinh học;
b) quá trình phân rã;
c) kiểm soát các thành phần; hoặc
d) tác động của compost lên các sinh vật trên cạn.
6.4.2 Xác định lô đạt yêu cầu
Nếu kết quả kiểm tra tất cả các chỉ tiêu đều đạt thì lô được đánh giá là đạt yêu cầu.
7 Bao gói, ghi nhãn trên bao gói
7.1 Số lượng trong bao gói
Lấy ngẫu nhiên hai (2) túi (hộp) ống hút từ thùng chứa sản phẩm, không lấy túi (hộp) từ thùng thiếu số lượng túi (hộp) danh nghĩa.
Số lượng ống hút trong mỗi túi (hộp) của 2 túi (hộp) được lấy ngẫu nhiên phải ≥ 98 % số lượng danh nghĩa.
Trong cùng một lô, nếu số lượng ống hút trong túi (hộp) ít hơn số lượng cần thiết, lô đó sẽ được đánh giá là không đạt yêu cầu. Trong trường hợp lượng ống hút không đủ trong bao gói (túi/hộp), sẽ lấy gấp đôi lượng mẫu để kiểm tra lại. Nếu kết quả kiểm tra lại đạt yêu cầu, chỉ tiêu này (số lượng trong bao gói) được đánh giá là đạt yêu cầu, nếu không, chỉ tiêu này không đạt.
7.2 Nhãn trên bao gói
7.2.1 Quy định chung
Yêu cầu nhãn phải bao gồm tên nhà sản xuất, vật liệu và kích cỡ của ống hút, số lượng ống hút trong một gói, ngày sản xuất, có khả năng tạo compost công nghiệp, tên quốc gia nơi sản phẩm chất dẻo hoặc vật liệu sẽ được tiêu thụ hoặc tái chế bằng cách tạo compost, khuyến nghị thời gian sử dụng và thông tin bất kỳ nào liên quan đến sức khỏe và an toàn do người mua yêu cầu.
7.2.2 Bao gói bên ngoài
Hộp hoặc túi bao gói bên ngoài của sản phẩm phải có các dấu hiệu rõ ràng (trừ trường hợp xuất khẩu hoặc yêu cầu đặc biệt của khách hàng), bao gồm:
a) viện dẫn tiêu chuẩn này, tức là TCVN 14923 (ISO 5424);
b) tên và kiểu loại sản phẩm;
c) thông số kỹ thuật và kích cỡ;
Biểu thức thông số kỹ thuật và kích cỡ phải bao gồm đường kính ngoài danh nghĩa, D, và chiều dài danh nghĩa, L, và được biểu thị bằng đường kính ngoài của ống hút x chiều dài (đơn vị: mm).
VÍ DỤ: Các thông số kỹ thuật của ống hút cong có đường kính ngoài là 5 mm và chiều dài là 210 mm được thể hiện là: ống hút cong 5 x 210.
d) dải nhiệt độ sử dụng;
e) tháng và năm sản xuất;
f) tên và địa chỉ của nhà sản xuất;
g) khả năng tạo compost công nghiệp;
h) tên của quốc gia nơi sản phẩm hoặc vật liệu chất dẻo được tiêu thụ hoặc tái chế bằng cách tạo compost công nghiệp.
7.2.3 Bao gói bên trong
Túi (hộp) bao gói bên trong của sản phẩm phải có các dấu hiệu rõ ràng (trừ trường hợp xuất khẩu hoặc yêu cầu đặc biệt của khách hàng), bao gồm:
a) tên vật liệu;
b) dải nhiệt độ sử dụng;
c) kích cỡ thông số kỹ thuật (đường kính ngoài danh nghĩa và chiều dài danh nghĩa);
d) số lượng ống hút được đóng gói (nếu nhiều);
e) tháng và năm sản xuất;
f) tên và địa chỉ của nhà sản xuất;
g) bất kỳ thông tin nào liên quan đến sức khỏe và an toàn do người mua yêu cầu.
Đối với ống hút có đầu nhọn, trên bao gói có thể ghi dòng chữ “Trẻ sơ sinh và trẻ em sử dụng ống hút nên có sự giám sát của người lớn” hoặc “Hãy sử dụng đầu ống hút một cách cẩn thận”.
Thư mục tài liệu tham khảo
[1] TCVN 12960 (ISO 12846), Chất lượng nước - Xác định thủy ngân - Phương pháp sử dụng phổ hấp thụ nguyên tử (AAS) có làm giàu và không làm giàu
[2] ISO 17294-2, Water quality - Application of inductively coupled plasma mass spectrometry (ICP-MS) - Part 2: Determination of selected elements including uranium isotopes
[3] TCVN 12259 (ISO 18606), Bao bì và môi trường - Tái chế hữu cơ
[4] TCVN 11798:2017 (EN 13432:2000), Bao bì - Yêu cầu đối với bao bì có thể thu hồi qua việc ủ compost và có khả năng tạo compost - Sơ đồ thử nghiệm và tiêu chí đánh giá để chấp nhận bao bì
[5] EN 14582, Characterization of waste - Halogen and sulfur content - Oxygen combustion in closed systems and determination methods
[6] EN 14995, Plastics - Evaluation of compostability - Test scheme and specifications
[7] EN 17033, Plastics - Biodegradable mulch films for use in agriculture and horticulture - Requirements and test methods
[8] TCVN 11797 (ASTM D 6400), Yêu cầu ghi nhãn cho chất dẻo được phân loại có khả năng tạo compost hiếu khí tại các cơ sở xử lý chất thải đô thị và công nghiệp
[9] ASTM D 6868, Standard specification for labeling of end iterms that incorporate plastics and polymers as coatings or additives with papeer and other substrates designed to be aerobically composted in municipal or industrial facilities
[10] AS 4736, Biodegradable plastics - Biodegradable plastics suitable for composting and other microbial treatment
[11] AS 5810, Biodegradable plastics - Biodegradable plastics suitable for home composting
[12] ISO 17088 Plastics - Organic recycling - Specifications for compostable plastics
Bạn chưa Đăng nhập thành viên.
Đây là tiện ích dành cho tài khoản thành viên. Vui lòng Đăng nhập để xem chi tiết. Nếu chưa có tài khoản, vui lòng Đăng ký tại đây!
