- Tổng quan
- Nội dung
- Tiêu chuẩn liên quan
- Lược đồ
- Tải về
Tiêu chuẩn Quốc gia TCVN 12796-3:2019 ISO 19095-3:2015 Phương pháp thử tính năng kết dính liên diện trong tổ hợp chất dẻo-kim loại
| Số hiệu: | TCVN 12796-3:2019 | Loại văn bản: | Tiêu chuẩn Việt Nam |
| Cơ quan ban hành: | Bộ Khoa học và Công nghệ | Lĩnh vực: | Công nghiệp |
|
Ngày ban hành:
Ngày ban hành là ngày, tháng, năm văn bản được thông qua hoặc ký ban hành.
|
2019 |
Hiệu lực:
|
Đã biết
|
| Người ký: | Đang cập nhật |
Tình trạng hiệu lực:
Cho biết trạng thái hiệu lực của văn bản đang tra cứu: Chưa áp dụng, Còn hiệu lực, Hết hiệu lực, Hết hiệu lực 1 phần; Đã sửa đổi, Đính chính hay Không còn phù hợp,...
|
Đã biết
|
TÓM TẮT TIÊU CHUẨN VIỆT NAM TCVN 12796-3:2019
Nội dung tóm tắt đang được cập nhật, Quý khách vui lòng quay lại sau!
Tải tiêu chuẩn Việt Nam TCVN 12796-3:2019
TIÊU CHUẨN QUỐC GIA
TCVN 12796-3:2019
ISO 19095-3:2015
CHẤT DẺO - ĐÁNH GIÁ TÍNH NĂNG KẾT DÍNH LIÊN DIỆN TRONG TỔ HỢP CHẤT DẺO-KIM LOẠI - PHẦN 3: PHƯƠNG PHÁP THỬ
Plastics - Evaluation of the adhesion interface performance in plastic-metal assemblies - Part 3: Test methods
Lời nói đầu
TCVN 12796-3:2019 hoàn toàn tương đương với ISO 19095-3:2015.
TCVN 12796-3:2019 do Ban kỹ thuật tiêu chuẩn quốc gia TCVN/TC61 Chất dẻo biên soạn, Tổng cục Tiêu chuẩn Đo lường Chất lượng đề nghị, Bộ Khoa học và Công nghệ công bố
Bộ TCVN 12796 (ISO 19095) Chất dẻo - Đánh giá tính năng kết dính liên diện trong tổ hợp chất dẻo-kim loại, gồm các tiêu chuẩn sau:
- TCVN 12796-1:2019 (ISO 19095-1:2015) Phần 1: Hướng dẫn cách tiếp cận
- TCVN 12796-2:2019 (ISO 19095-2:2015) Phần 2: Mẫu thử
- TCVN 12796-3:2019 (ISO 19095-3:2015) Phần 3: Phương pháp thử
- TCVN 12796-4:2019 (ISO 19095-4:2015) Phần 4: Điều kiện môi trường để xác định độ bền.
Lời giới thiệu
Các sản phẩm có kết cấu từ các vật liệu không đồng nhất đang được sản xuất trong các lĩnh vực công nghiệp ô tô và hàng không vũ trụ, nơi đòi hỏi có các giới hạn an toàn cao hơn.
Các phương pháp thử hiện có không thích hợp do khó đánh giá tính năng kết dính của tổ hợp chất dẻo-kim loại vì vật liệu polyme có độ bền cơ học tương đối thấp và do vậy gãy đứt bên ngoài các mối dán. Do đó, cần phải phát triển một phương pháp luận đối với việc đánh giá tính năng liên diện chất dẻo-kim loại.
Cũng cần có một phương pháp thử để đánh giá chính xác tính năng kết dính liên diện hoặc chuẩn hóa sự đánh giá dài hạn trong môi trường khắc nghiệt.
Phương pháp trong bộ TCVN 12796 (ISO 19095) nhằm đảm bảo tính toàn vẹn của liên diện được thực hiện trên toàn bộ liên diện và khả năng truy xuất nguồn gốc của giá trị sẽ giúp cải thiện việc so sánh dữ liệu.
Tiêu chuẩn này xác định điều kiện thử nghiệm, chỉ định phương pháp thử liên quan đến các tính chất cơ học có thể được đánh giá theo các tiêu chuẩn ISO hiện có và cũng bổ sung thêm các phương pháp thử khác được cho là cần thiết.
CHẤT DẺO - ĐÁNH GIÁ TÍNH NĂNG KẾT DÍNH LIÊN DIỆN TRONG TỔ HỢP CHẤT DẺO-KIM LOẠI - PHẦN 3: PHƯƠNG PHÁP THỬ
Plastics - Evaluation of the adhesion interface performance in plastic-metal assemblies - Part 3: Test methods
CẢNH BÁO AN TOÀN: Người sử dụng tiêu chuẩn này phải thông thạo việc thực hành trong phòng thí nghiệm thông thường. Tiêu chuẩn này không đề cập đến tất cả các vấn đề về an toàn, nếu có, liên quan đến việc áp dụng tiêu chuẩn này. Người sử dụng có trách nhiệm thiết lập các quy trình về an toàn và vệ sinh lao động phù hợp và đảm bảo phải tuân thủ theo mọi quy định bắt buộc, có thể nhận thấy rằng một số vật liệu được chấp nhận trong tiêu chuẩn này có thể gây ra tác động tiêu cực đến môi trường. Khi tiến bộ công nghệ dẫn đến những lựa chọn khác dễ chấp nhận hơn, các vật liệu này sẽ được loại bỏ ở mức nhiều nhất có thể. Khi kết thúc quá trình thử nghiệm, phải thận trọng xử lý tất cả các chất thải một cách thích hợp theo các quy định hiện hành.
1 Phạm vi áp dụng
Tiêu chuẩn này quy định phương pháp thử để đánh giá tính năng kết dính liên diện trong tổ hợp chất dẻo-kim loại.
2 Tài liệu viện dẫn
Các tài liệu viện dẫn sau đây rất cần thiết cho việc áp dụng tiêu chuẩn này. Đối với các tài liệu viện dẫn ghi năm công bố thì áp dụng bản được nêu. Đối với các tài liệu viện dẫn không ghi năm công bố thì áp dụng phiên bản mới nhất, bao gồm cả các sửa đổi, bổ sung (nếu có).
TCVN 6799-2-11 (IEC 60068-2-17), Thử nghiệm môi trường - Phần 2-17: Các thử nghiệm - Thử nghiệm Q: Bịt kín
TCVN 10592 (ISO 14125), Composite chất dẻo gia cường sợi - Xác định các tính chất uốn
TCVN 11995 (ISO 8256), Chất dẻo - Xác định độ bền va đập kéo
TCVN 12796-1 (ISO 19095-1), Chất dẻo - Đánh giá tính năng kết dính liên diện trong tổ hợp chất dẻo-kim loại- Phần 1: Hướng dẫn cách tiếp cận
TCVN 12796-2:2019 (ISO 19095-2:2015), Chất dẻo - Đánh giá tính năng kết dính liên diện trong tổ hợp chất dẻo-kim loại - Phần 2: Mẫu thử
3 Ổn định mẫu
Xem TCVN 12796-1 (ISO 19095-1).
4 Các điều kiện của mẫu thử
Mẫu thử phải không bị xoắn và phải có các cặp bề mặt song song vuông góc với nhau. Các mặt và các cạnh không được có vết xước, lỗ, vết lõm và ba via. Mẫu thử phải được kiểm tra về sự phù hợp với các yêu cầu này bằng cách quan sát trực quan, được áp vào thước thẳng, thước vuông và tấm phẳng và bằng cách đo bằng thước cặp panme. Mẫu thử thể hiện sự sai lệch do đo hoặc do quan sát so với ít nhất một trong các yêu cầu này sẽ bị loại bỏ hoặc gia công lại đến kích cỡ và hình dạng quy định trước khi thử nghiệm.
5 Cách tiến hành
5.1 Độ bền kéo
5.1.1 Thiết bị, dụng cụ
Nên chọn máy thử kéo sao cho sự phá hủy mẫu thử xảy ra trong khoảng từ 10 % đến 80 % công suất tối đa của máy. Thời gian phản hồi của máy phải đủ ngắn sao cho có thể đo được chính xác lực tác động tại thời điểm phá hủy. Lực được ghi lại không được sai lệch so với lực tác động thực tế lớn hơn 1 %. Máy phải có khả năng duy trì tốc độ không đổi ở 10 mm/min (xem 5.1.3.2, 5.2.3.2 và 5.3.3). Có thể sử dụng một máy có mức gia tải cố định. Trong trường hợp này, máy phải có khả năng duy trì mức gia tải trong khoảng từ 8,3 MPa/min đến 9,7 MPa/min. Máy phải có một cặp má kẹp tự định tâm thích hợp để giữ mẫu thử. Má kẹp và bộ phận giữ phải được cấu tạo sao cho chúng di chuyển thẳng hàng với mẫu thử ngay khi đặt tải trọng để trục dài của mẫu thử sẽ trùng với hưởng lực tác động qua đường tâm của bộ kẹp.
5.1.2 Mẫu thử
Xem 4.1 của TCVN 12796-2 (ISO 19095-2).
5.1.3 Cách tiến hành
5.1.3.1 Môi trường thử nghiệm
Tiến hành thử nghiệm trong cùng một môi trường được dùng để ổn định mẫu thử, trừ khi có sự thỏa thuận khác giữa các bên có liên quan, ví dụ, đối với thử nghiệm ở nhiệt độ cao hơn hoặc thấp hơn.
5.1.3.2 Tốc độ thử nghiệm và lắp mẫu
Tốc độ di chuyển của con trượt là 10 mm/min, trừ khi có những ghi chú khác. Khoảng cách giữa hai má kẹp phải là 50 mm và khoảng cách trên và dưới bề mặt mối dán phải là 25 mm.
CHÚ THÍCH: Độ bền kéo là kết quả thử nghiệm tại các tốc độ di chuyển của con trượt khác nhau từ 0,5 mm/min đến 50 mm/min, độ bền kéo khống phụ thuộc vào tốc độ di chuyển của con trượt, tuy nhiên, 10 mm/min là phù hợp nhất để ngăn ngừa sự biển động của dữ liệu.
5.1.3.3 Biểu thị kết quả
Trong báo cáo thử nghiệm, ứng suất phá hủy được tính là giá trị trung bình của các mẫu thử hợp lệ, biểu thị bằng MPa. Độ bền kéo (MPa) được tính bằng cách chia tài trọng phá hủy (N) cho diện tích mối dán (mm2). Ứng suất phá hủy được tính theo công thức (1)
(1)
trong đó
σB là ứng suất phá hủy, được biểu thị bằng MPa;
FB là tải trọng phá hủy, được biểu thị bằng N;
Aj là diện tích mối dán, biểu thị bằng mm2.
5.2 Độ bền trượt khi kéo của mối dán chồng
5.2.1 Thiết bị, dụng cụ
5.2.1.1 Máy thử kéo
Xem 5.1.1.
5.2.1.2 Bộ giữ mẫu thử
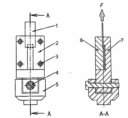
Một ví dụ về bộ giữ mẫu thử được thể hiện trong Hình 1. Bộ giữ này phải cố định để bộ kẹp được gắn vào thiết bị thử nghiệm và đường tải trọng tại má kẹp trên mẫu thử nằm thẳng.

CHÚ DẪN
1 mẫu thử
2 bộ giữ
3 bu lông để cố định
4 chốt nối
5 bộ kẹp gắn vào thiết bị thử nghiệm
6 nắp chụp bộ giữ
7 đế bộ giữ
Hình 1 - Ví dụ về bộ giữ mẫu thử
Nắp chụp (CHÚ DẪN 6) và đế (CHÚ DẪN 7) của bộ giữ mẫu thử được bắt với nhau bằng bu lông để kẹp phần kim loại của mẫu được thử nghiệm phải tạo ra một khe hở lớn hơn mẫu thử khoảng 0,1 mm dọc theo cả chiều rộng và chiều dài phần kim loại của mẫu thử để không có lực ma sát nào làm sai các kết quả thử nghiệm.
Tuy nhiên, phần của bộ giữ mẫu thử kẹp phần chất dẻo của mẫu được thử nghiệm phải tạo ra một khe hở nhỏ hơn 0,1 mm dọc theo cả chiều rộng và chiều dài phần chất dẻo.
CHÚ THÍCH Khi thực hiện thử nghiệm kéo, giữ cả hai cạnh của mẫu thử, độ bền trượt mối dán chồng có thể không được đo chính xác do phần keo bị phá hủy trước nếu độ bền mối dán quá lớn. Nếu sử dụng bộ giữ, có thể đặt ứng suất trượt trực tiếp vào xung quanh liên diện của mối dán.
5.2.2 Mẫu thử
Xem 4.2 TCVN 12796-2 (ISO 19095-2).
5.2.3 Cách tiến hành
5.2.3.1 Tổng quan
Đặt mẫu thử vào trong bộ giữ, lưu ý căn chỉnh các mặt phẳng gia tải theo Hình 1 cho thẳng hàng, và dùng máy thử ghi lại tải trọng lớn nhất trước khi phá hủy.
5.2.3.2 Tốc độ thử nghiệm và chiều rộng phần kim loại của má kẹp
Tốc độ di chuyển của con trượt là 10 mm/min, trừ khi có những lưu ý khác. Chiều rộng kẹp của phần kim loại phải nhỏ hơn 15 mm tính từ đỉnh của mẫu kim loại.
CHÚ THÍCH: Độ bền kéo là kết quả thử nghiệm tại các tốc độ di chuyển của con trượt khác nhau từ 1 mm/min đến 50 mm/min, độ bền kéo không phụ thuộc vào tốc độ di chuyển của con trượt, tuy nhiên, 10 mm/min là phù hợp nhất để cho thời gian thử nghiệm ngắn hơn và ngăn ngừa sự biến động của dữ liệu.
5.2.4 Biểu thị kết quả
Trong báo cáo thử nghiệm, tải trọng phá hủy được biểu thị bằng N hoặc ứng suất phá hủy được tính là giá trị trung bình của các mẫu thử hợp lệ, biểu thị bằng MPa. Ứng suất trượt (MPa) được tính bằng cách chia tải trọng phá hủy (N) cho diện tích mối dán (mm2). Ứng suất phá hủy được tính theo công thức (1)
(1)
trong đó
σB là ứng suất phá hủy, được biểu thị bằng MPa;
FB là tải trọng phá hủy, được biểu thị bằng N;
Aj là diện tích mối dán, biểu thị bằng mm2.
5.3 Độ bền kéo bóc
5.3.1 Thiết bị, dụng cụ
5.3.1.1 Máy thử kéo
Xem 5.1.1.
5.3.1.2 Bộ kẹp thử nghiệm
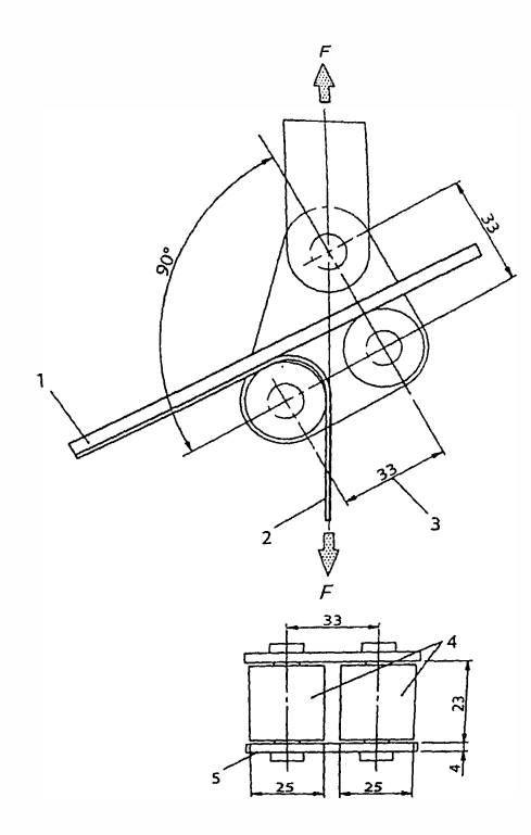
Bộ kẹp thử nghiệm kéo bóc được thể hiện trong Hình 2. Bộ kẹp phải gắn vào một thanh ngang của máy thử (5.1). Các trục lăn 25 mm trên bộ kẹp thử nghiệm có khả năng lăn tự do. Góc được xác định bởi các trục lăn và việc sử dụng ổ trục kép là rất quan trọng và do đó các trục lăn phải được bảo trì cẩn thận.
Kích thước tính bằng milimet

CHÚ DẪN:
1 mẫu thử chất dẻo
2 mẫu thử kim loại dẻo
3 khu vực kéo bóc
4 loại ổ trục lăn kép
5 thép nhẹ
Hình 2 - Bộ kẹp thử nghiệm kéo bóc
CHÚ THÍCH: Xem bộ kẹp tương tự trong ISO 4578.
5.3.2 Mẫu thử
Xem 4.2 TCVN 12796-2 (ISO 19095-2).
5.3.3 Cách tiến hành
Đặt mẫu thử vào trong bộ kẹp kéo bóc, với đầu không bị dán của miếng dán dẻo được kẹp vào trong ngàm tự do của máy thử. Kéo bóc mẫu thử với tốc độ tách cố định của con trượt là 100 mm/min ± 5 mm/min, trừ khi có quy định khác.
Trong quá trình thử nghiệm kéo bóc, ghi đồ thị tự động tương quan giữa lực với chuyển dịch của con trưọt (tức là lực so với khoảng dài đã kéo bóc) trên độ dài của đường dán ít nhất là 115 mm, bỏ qua 25 mm bóc đầu tiên.
5.3.4 Biểu thị kết quả
Từ đường cong đồ thị ghi tự động, cho đoạn kéo bóc ít nhất là 115 mm (bỏ qua 25 mm bóc đầu tiên và 20 mm bóc cuối cùng), xác định lực kéo bóc trung bình cần thiết để tách các miếng dán, tính bằng kilonewton trên mét chiều rộng mẫu thử (kN/m). Lực trung bình này có thể được xác định từ đường cong bằng một trong những phương pháp thử được đưa ra ở ISO 4578.
5.4 Độ bền uốn
5.4.1 Thiết bị, dụng cụ
5.4.1.1 Quy định chung
Xem TCVN 10592 (ISO 14125).
5.4.1.2 Thiết bị gia tải và dụng cụ giữ
Đánh dấu vị trí điểm đỡ (điểm tựa) và tâm điểm nhấn như trong Hình 3. Trục điểm đỡ và trục điểm nhấn phải song song với nhau.
Kích thước tính bằng milimet

CHÚ DẪN
1 mẫu thử
Hình 3 - Bố trí tải trọng trên bốn điểm
5.4.2 Mẫu thử
Xem 4.1 TCVN 12796-2 (ISO 19095-2).
5.4.3 Cách tiến hành
5.4.3.1 Quy định chung
Xem TCVN 10592 (ISO 14125).
5.4.3.2 Tốc độ thử nghiệm và chiều rộng phần kim loại của má kẹp
Tốc độ di chuyển của con trượt là 1 mm/min, trừ khi có quy định khác.
CHÚ THÍCH Độ bền kéo là kết quả thử nghiệm tại các tốc độ di chuyển của con trượt khác nhau từ 0,5 mm/min đến 50 mm/min, độ bền kéo không phụ thuộc vào tốc độ di chuyển của con trượt, tuy nhiên, 1 mm/min là phù hợp nhất để thời gian thử nghiệm ngắn hơn và ngăn ngừa sự biến động của dữ liệu.
5.4.4 Biểu thị kết quả
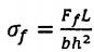
Trong báo cáo thử nghiệm, ứng suất phá hủy được tính là giá trị trung bình của các mẫu thử hợp lệ, biểu thị bằng MPa. Ứng suất uốn (MPa) được tính theo công thức (3)
(3)
trong đó
σf là ứng suất phá hủy, được biểu thị bằng MPa;
Ff là tải trọng phá hủy, được biểu thị bằng N;
L là nhịp dầm (khoảng cách giữa các gối đỡ), biểu thị bằng mm;
b là chiều rộng mẫu thử, biểu thị bằng mm;
h là độ dày mẫu thử, biểu thị bằng mm.
5.5 Độ bền va đập
5.5.1 Thiết bị, dụng cụ
5.5.1.1 Quy định chung
Xem TCVN 11995 (ISO 8256).
5.5.1.2 Dụng cụ kẹp
Xem TCVN 11995 (ISO 8256).
CHÚ THÍCH: Sẽ không đo được chính xác độ bền khi thực hiện phép đo theo ISO 179-1 do sự phá hủy mẫu thử xảy ra tại phần keo. Sự biến động độ bền va đập trở nên lớn phụ thuộc vào cách tạo khía.
5.5.2 Mẫu thử
Xem 4.1 TCVN 12796-2 (ISO 19095-2).
5.5.3 Cách tiến hành
Xem TCVN 11995 (ISO 8256).
5.5.4 Tính toán và biểu thị kết quả
Xem TCVN 11995 (ISO 8256).
5.6 Các tính chất bịt kín
5.6.1 Thiết bị, dụng cụ
XemTCVN 12796-1 (ISO 19095-1).
5.6.2 Mẫu thử
Xem 4.4 TCVN 12796-2 (ISO 19095-2).
5.6.3 Cách tiến hành
Phương pháp thử phải phù hợp với Phụ lục A và Phụ lục B.
5.6.4 Biểu thị kết quả
Xem TCVN 6799-2-11 (IEC 60068-2-17).
6 Báo cáo thử nghiệm
Ngoài báo cáo thử nghiệm của TCVN 12796-2 (ISO 19095-2) khi cần thiết, báo cáo thử nghiệm phải bao gồm các thông tin sau
6.1 Độ bền kéo
a) độ chính xác của máy thử và dụng cụ đo độ giãn dài;
b) biểu thị độ giãn dài, sự biến dạng và chiều dài đo, Lo;
c) hình dạng dụng cụ kẹp và khoảng cách giữa các kẹp, L;
d) tốc độ thử;
e) ứng suất trung bình tại điểm phá hủy.
6.2 Độ bền trượt khi kéo của mối dán chồng
a) tốc độ thử nghiệm;
b) ứng suất trung bình tại điểm phá hủy;
c) kiểu phá hủy.
6.3 Độ bền kéo bóc
a) tốc độ thử nghiệm;
b) độ bền kéo bóc trung bình, độ bền kéo bóc lớn nhất và độ bền kéo bóc nhỏ nhất của từng mẫu thử;
c) đường cong chuyển dịch tải trọng;
6.4 Độ bền uốn
a) tốc độ thử nghiệm;
b) ứng suất uốn trung bình tại điểm phá hủy;
c) kiểu phá hủy.
6.5 Độ bền va đập
a) năng lượng của con lắc;
b) khối lượng của con trượt;
c) độ bền va đập kéo được tính bằng kilojun trên mét vuông (kJ/m2), được báo cáo là giá trị trung bình các kết quả.
d) kiểu phá hủy.
6.6 Các tính chất bịt kín
a) phương pháp thử nghiệm;
b) áp suất và thời gian thử nghiệm;
c) phương pháp xác định rò rỉ;
d) mức rò tối đa.
Phụ lục A
(quy định)
Xác định các tính chất bịt kín bằng phương pháp bơm
A.1 Quy định chung
Thử nghiệm được tiến hành theo quy trình sau đây.
A.2 Cách tiến hành
A.2.1 Thiết bị, dụng cụ
A.2.1.1 Quy định chung
Xem TCVN 12796-1 (ISO 19095-1).
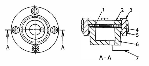
A.2.1.2 Cốc hút
Hộp chân không cỡ nhỏ, còn gọi là cốc hút, được bịt kín bằng mẫu thử với miếng đệm cao su. Bên trong cốc hút phải được giữ chân không để detector rò heli hoạt động được.
A.2.2 Chuẩn bị
Chuẩn bị thử nghiệm rò heli theo những điều sau.
a) Bố trí cốc hút, bộ hiệu chuẩn độ rò, hệ thống hút chân không, detector rò heli, chuông thu khí heli và khí heli. Lựa chọn hệ thống hút chân không cần thiết theo thể tích của cốc hút để hút khí và áp suất mong muốn.
b) Tiến hành xử lý sơ bộ mẫu thử. Trong trường hợp này, loại bỏ các vật liệu bám trên bề mặt có khả năng gây ảnh hưởng đến việc phát hiện rò khí như mỡ, dầu, chất béo và sơn.
c) Gắn bộ hiệu chuẩn độ rò trực tiếp lên cốc hút, hoặc lên vị trí gần với cốc hút nhất (vị trí cách xa nhất từ detector rò heli).
A.2.3 Sự hút chân không
Gắn cốc hút vào vị trí cần thử nghiệm và hút khí. Mức chân không ban đầu phải thấp hơn 5,0 x 10-4 Pa và áp suất riêng ban đầu của heli phài thấp hơn 5,0 x 10-9 Pa.
A.2.4 Phép đo mức rò
Phép đo mức rò phải được tiến hành phù hợp với các điều sau.
a) Ví dụ về tổ hợp mẫu thử, cốc hút, bộ hiệu chuẩn độ rò, chuông thu, hệ thống hút hỗ trợ và detector rò heli được thể hiện trong Hình A.1.
b) Gắn cốc hút vào vật thử và tiến hành hút khí bên trong cốc.
c) Bơm khí heli để đưa heli vào chuông thu phủ trên mẫu thử như được thể hiện trong Hình A.1 sau khi tiến hành hút khi bên trong cốc hút.
d) Quan sát hoặc ghi lại giá trị chỉ thị của detector rò heli trong thời gian lâu hơn thời gian phản hồi, ít nhất là từ khi trong chuông thu đầy heli.
Kích thước tính bằng milimet

CHÚ DẪN
1 mẫu thử
2 chuông thu
3 khí hell
4 đầu bơm heli
5 mối bịt kín
6 đồng hồ đo chân không
7 cốc hút
8 máy bơm chân không
9 detector rò heli
Hình A.1 - Xác định các tính chất bịt kín bằng phương pháp bơm
A.2.5 Biện pháp ngăn ngừa
Các biện pháp ngăn ngừa sau phải được thực hiện.
a) Nếu sử dụng vật liệu polyme hữu cơ cao phân tử để bịt kín một phần mẫu thử, khí heli có thể thẩm thấu qua phần được bịt kín và có thể dẫn đến kết quả rò sai. Để ngăn ngừa điều này, sau khi bơm khí heli, khí nén và những khí tương tự phải được bơm ngay lập tức để loại bỏ khí heli tại vị trí được bịt kín.
b) Thực hiện việc đó trong điều kiện thoáng gió để tránh sự lưu trú của khí heli.
c) Giá trị hiển thị trên detector rò heli có thể bị ảnh hưởng bởi nồng độ heli gần vị trí rò. Để định lượng, cẩn thận trọng với nồng độ heli.
A.2.6 Mở và xử lý sau thử nghiệm
Tiến hành mở và xử lý theo các bước sau.
a) Xả khí heli bên trong chuông thu và hoàn tất quá trình hút chân không trong cốc hút. Đưa không khí hoặc ni tơ khô vào trong cốc hút để trả về áp suất môi trường.
b) Loại bỏ chất bịt kín nếu nó được sử dụng để bịt kín miếng đệm cao su của cốc hút khi thử nghiệm rò heli.
Phụ lục B
(quy định)
Xác định các tính chất bịt kín bằng phương pháp bình chuông
B.1 Quy định chung
Thử nghiệm được tiến hành theo quy trình sau đây.
B.2 Cách tiến hành
B.2.1 Thiết bị, dụng cụ
B.2.1.1 Quy định chung
Xem TCVN 12796-1 (ISO 19095-1).
B.2.1.2 Buồng chân không (bình chuông)
Buồng có kích cỡ sao cho có thể chứa mẫu thử và được trang bị cổng kết nối cho đồng hồ đo áp suất, bộ hiệu chuẩn độ rò và hệ thống hút chân không. Bình chuông phải được kiểm tra trước để đảm bảo không bị rò.
B.2.2 Chuẩn bị
Chuẩn bị thử nghiệm rò theo những điều sau.
a) bố trí detector rò heli, khí heli, đồng hồ đo áp suất, buồng chân không, hệ thống hút chân không, v.v...
b) tiến hành xử lý sơ bộ mẫu thử. Trong trường hợp này, loại bỏ các vật liệu bám trên bề mặt có khả năng gây ảnh hưởng đến việc phát hiện rò khí như mỡ, dầu, chất béo, v.v... và làm khô bề mặt.
B.2.3 Sự hút chân không
Đặt mẫu thử trong bình chuông và gắn đồng hồ đo áp suất và bộ hiệu chuẩn độ rò vào bình chuông và sau đó tiến hành hút. Bình chuông phải được hút ít nhất là đến mức áp suất không cản trở hoạt động của detector rò heli và cho phép đạt được độ nhạy quy định được xác nhận bởi bộ hiệu chuẩn độ rò.
B.2.4 Phép đo
Phép đo sự phản hồi phải theo các bước sau.
a) Đặt mẫu thử vào trong buồng chân không (bình chuông). Nối ống dẫn heli đến mẫu thử, nếu cần thiết. Mẫu thử phải được gắn cố định vào bình điều áp không có sự rò bất kỳ. Mặt khác, sự rò từ mẫu thử/bình có thể được phát hiện ngay. Một ví dụ về mẫu thử với bình điều áp được thể hiện trong Hình B.1. Một ví dụ về điều kiện thử nghiệm được thể hiện trong Hình B.2.
b) Đóng kín buồng chân không (bình chuông) và bắt đầu hút chân không. Mức chân không ban đầu phải thấp hơn 5,0 x 10-4 Pa và áp suất riêng ban đầu của heli phải thấp hơn 5,0 x 10-9 Pa.
c) Làm đầy bình với heli. Trong trường hợp này, khuyến nghị khi hút khí trong bình nên sử dụng hệ thống hút để thay thế không khi bên trong bình bằng heli. Bình được tăng áp đến áp suất quy định.
d) Quan sát hoặc ghi lại giá trị được hiển thị trên detector rò heli trong thời gian lâu hơn thời gian phản hồi.

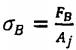
CHÚ DẪN
1 mẫu thử
2 nắp chụp bộ kẹp
3 bu lông để cố định
4 chất bịt kín
5 đai ốc để cố định
6 bình điều áp
7 ống dẫn heli
Hình B.1 - Ví dụ về mẫu thử với bình điều áp

CHÚ DẪN
1 mẫu thử với bình điều áp
2 buồng chân không
3 đồng hồ đo áp suất
4 đồng hồ đo chân không
5 van xả buồng chân không
6 van thử nghiệm
7 van thông khí buồng chân không
8 van xả bình điều áp
9 van heli
10 van thông khí bình điều áp
11 máy bơm chân không
12 detector rò heli
13 máy bơm chân không (để thay thế khí bên trong)
14 khí heli
Hình B.2 - Xác định các tính chất bịt kín bằng phương pháp bình chuông
B.2.5 Biện pháp ngăn ngừa
Các biện pháp ngăn ngừa sau phải được thực hiện.
a) Nếu sử dụng vật liệu polyme hữu cơ cao phân tử để bịt kín một phần mẫu thử, khí heli có thể thẩm thấu qua phần được bịt kín và có thể dẫn đến kết quả rò sai. Để ngăn ngừa điều này, sau khi bơm khi heli, khí nén và những khí tương tự phải được bơm ngay lập tức để loại bò khi heli tại vị trí được bịt kín.
b) Thực hiện việc đó trong điều kiện thoáng gió để tránh sự lưu trú của khí heli.
c) Giá trị hiển thị trên detector rò heli có thể bị ảnh hưởng bởi nồng độ heli gần vị trí rò. Để định lượng, cẩn thận trọng với nồng độ heli.
B.2.6 Mở và xử lý sau thử nghiệm
Tiến hành mở và xử lý theo các bước sau.
a) kết thúc quá trình hút trong buồng chân không, đưa không khí hoặc ni tơ khô vào trong buồng chân không để buồng chân không trở về áp suất môi trường.
b) Xả áp suất bên trong mẫu thử để trở về áp suất môi trường. Khi tiến hành thử nghiệm rò nhiều lần, khuyến nghị nên xả không khí bên trong vật thử ra ngoài bằng ống dẫn để tránh ảnh hưởng đến phép đo bởi nồng độ heli tăng lên tại vị trí thử nghiệm do sự thoát khí bên trong mẫu thử.
c) Thực hiện xử lý cần thiết sau thử nghiệm.
Thư mục tài liệu tham khảo
[1] ISO 179-1, Plastics - Determination of Charpy impact properties - Part 1: Non-instrumented impact test (Chất đèo - Xác định tính chất va đập Charpy - Phần 1: Thử nghiệm va đập không thiết bị)
[2] ISO 4578, Adhesives - Determination of peel resistance of high-strength adhesive bonds - Floating-roller method (Chất kết dính - Xác định độ bền bóc của liên kết cường độ cao)
[3] JIS Z 2331, Method for helium leak testing (Phương pháp thử nghiệm rò rỉ heli)
Bạn chưa Đăng nhập thành viên.
Đây là tiện ích dành cho tài khoản thành viên. Vui lòng Đăng nhập để xem chi tiết. Nếu chưa có tài khoản, vui lòng Đăng ký tại đây!