- Tổng quan
- Nội dung
- Tiêu chuẩn liên quan
- Lược đồ
- Tải về
Tiêu chuẩn TCVN 11843:2025 Bóng đèn LED, đèn điện LED, môđun LED, đèn điện OLED và các nguồn sáng OLED - Phương pháp thử
| Số hiệu: | TCVN 11843:2025 | Loại văn bản: | Tiêu chuẩn Việt Nam |
| Cơ quan ban hành: | Bộ Khoa học và Công nghệ | Lĩnh vực: | Công nghiệp |
| Trích yếu: | CIE S 025:2015 with SP1:2019 Bóng đèn LED, đèn điện LED, môđun LED, đèn điện OLED và các nguồn sáng OLED - Phương pháp thử | ||
|
Ngày ban hành:
Ngày ban hành là ngày, tháng, năm văn bản được thông qua hoặc ký ban hành.
|
17/02/2025 |
Hiệu lực:
|
Đã biết
|
| Người ký: | Đang cập nhật |
Tình trạng hiệu lực:
Cho biết trạng thái hiệu lực của văn bản đang tra cứu: Chưa áp dụng, Còn hiệu lực, Hết hiệu lực, Hết hiệu lực 1 phần; Đã sửa đổi, Đính chính hay Không còn phù hợp,...
|
Đã biết
|
TÓM TẮT TIÊU CHUẨN VIỆT NAM TCVN 11843:2025
Tiêu chuẩn quốc gia TCVN 11843:2025: Phương pháp thử cho bóng đèn LED và đèn OLED
Tiêu chuẩn quốc gia TCVN 11843:2025, được ban hành nhằm thay thế TCVN 11843:2017, quy định các phương pháp thử nghiệm cho bóng đèn LED, đèn điện LED, mô đun LED cũng như đèn điện OLED và các nguồn sáng OLED. Tiêu chuẩn này tương đương với CIE S 025:2015 và Sửa đổi 1 CIE S 025-SP1:2019, đồng thời được biên soạn bởi Ban kỹ thuật tiêu chuẩn quốc gia TCVN/TC/E11 Chiếu sáng, được thẩm định bởi Ủy ban Tiêu chuẩn Đo lường Chất lượng Quốc gia và công bố bởi Bộ Khoa học và Công nghệ.
Các nội dung chính của Tiêu chuẩn TCVN 11843:2025 bao gồm:
Phạm vi áp dụng: Tiêu chuẩn quy định các quy trình thử đối với các đại lượng quang, điện và màu của bóng đèn LED, mô đun LED và đèn điện OLED. Các phép đo này bao gồm quang thông, hiệu suất sáng, độ chói, tọa độ màu và các đặc tính khác của nguồn sáng LED và OLED.
Yêu cầu về phòng thí nghiệm: Để thực hiện các thử nghiệm, phòng thí nghiệm cần đảm bảo các điều kiện thử nghiệm tiêu chuẩn và thiết bị đo phải được hiệu chuẩn và đáp ứng các yêu cầu cụ thể.
Chuẩn bị và điều kiện thử nghiệm: Các thiết bị thử nghiệm cần được lắp đặt và hoạt động trong điều kiện cụ thể để đảm bảo độ tin cậy của các phép đo. Kết quả thực hiện thử nghiệm cần được báo cáo với độ không đảm bảo đo theo các quy định.
Các tiêu chuẩn tham khảo: TCVN 11843:2025 đề cập đến nhiều tài liệu khác liên quan đến thử nghiệm quang và màu, giúp định hình các yêu cầu chi tiết cho việc thực hiện các phép đo.
Trình bày kết quả thử nghiệm: Kết quả của các phép đo thử nghiệm cần được trình bày một cách rõ ràng, với nhấn mạnh vào độ không đảm bảo và các khoảng tin cậy cần thiết.
Tiêu chuẩn TCVN 11843:2025 có hiệu lực từ ngày ban hành và mang lại nhiều lợi ích cho các nhà sản xuất và người tiêu dùng trong việc đảm bảo chất lượng và độ tin cậy của các sản phẩm chiếu sáng sử dụng công nghệ LED và OLED.
Tiêu chuẩn này, vì vậy, sẽ rất có ích cho các phòng thử nghiệm, nhà sản xuất và người tiêu dùng liên quan đến công nghệ chiếu sáng, đảm bảo rằng sản phẩm được thử nghiệm và sản xuất đúng theo chuẩn mực chất lượng quốc gia, cũng như tạo ra sự đồng bộ trong đánh giá và thử nghiệm các thiết bị chiếu sáng hiện đại.
Tải tiêu chuẩn Việt Nam TCVN 11843:2025
TIÊU CHUẨN QUỐC GIA
TCVN 11843:2025
CIE S 025:2015
WITH SP1:2019
BÓNG ĐÈN LED, ĐÈN ĐIỆN LED, MÔĐUN LED, ĐÈN ĐIỆN OLED VÀ CÁC NGUỒN SÁNG OLED - PHƯƠNG PHÁP THỬ
Test method for LED lamps, LED luminaires and LED module and OLED luminaires and OLED light sources
Mục lục
Lời nói đầu
Lời giới thiệu
1 Phạm vi áp dụng
2 Tài liệu viện dẫn
3 Thuật ngữ và định nghĩa
4 Yêu cầu của phòng thí nghiệm đối với các thử nghiệm
5 Chuẩn bị, điều kiện lắp đặt và hoạt động
6 Đo các đại lượng quang
7 Đo các đại lượng màu
8 Độ không đảm bảo đo
9 Trình bày kết quả thử nghiệm
Phụ lục A (tham khảo) - Hướng dẫn áp dụng tiêu chuẩn
Phụ lục B (tham khảo) - Ánh sáng tạp tán - Che chắn ánh sáng tạp tán trong quang kế góc
Phụ lục C (tham khảo) - Điều kiện thực tế phòng thí nghiệm
Phụ lục D (tham khảo) - Hướng dẫn tính độ không đảm bảo đo
Phụ lục E (tham khảo) - Hướng dẫn xác định các giá trị danh định của đại lượng đo quang của đèn điện LED
Thư mục tài liệu tham khảo
Lời nói đầu
TCVN 11843:2025 thay thế TCVN 11843:2017;
TCVN 11843:2025 hoàn toàn tương đương với CIE S 025:2015 và SP1:2019;
TCVN 11843:2025 do Ban kỹ thuật tiêu chuẩn quốc gia TCVN/TC/E11 Chiếu sáng biên soạn, Viện Tiêu chuẩn Chất lượng Việt Nam đề nghị, Ủy ban Tiêu chuẩn Đo lường Chất lượng Quốc gia thẩm định, Bộ Khoa học và Công nghệ công bố.
Lời giới thiệu
TCVN 11843:2025 được xây dựng hoàn toàn tương đương với CIE S 025:2015 và Sửa đổi 1 CIE S 025- SP1:2019. Việc bổ sung bản sửa đổi này nhằm mục đích đưa ra các phương pháp đo để đánh giá sự phù hợp đối với các yêu cầu về quang và màu của các nguồn sáng OLED và đèn điện OLED.
Các phép đo bóng đèn LED, đèn điện LED và môđun LED được giữ nguyên không thay đổi. Tiêu chuẩn này bổ sung một số yêu cầu cụ thể trong các điều khoản tương ứng đối với phép đo đèn điện OLED và nguồn sáng OLED.
BÓNG ĐÈN LED, ĐÈN ĐIỆN LED, MÔĐUN LED, ĐÈN ĐIỆN OLED VÀ CÁC NGUỒN SÁNG OLED - PHƯƠNG PHÁP THỬ
Test method for LED lamps, LED luminaires and LED module and OLED luminaires and OLED light sources
1 Phạm vi áp dụng
Tiêu chuẩn này quy định các yêu cầu đối với phép đo các đại lượng điện, quang và màu của bóng đèn LED, môđun LED và đèn điện LED, hoạt động với nguồn điện xoay chiều hoặc một chiều, có thể kết hợp với bộ điều khiển LED. Khối sáng LED được đồng hóa với môđun LED và được xử lý như với môđun LED. Đại lượng quang và màu đề cập trong tiêu chuẩn này bao gồm quang thông tổng, hiệu suất sáng, quang thông thành phần, phân bố cường độ sáng, cường độ trung tâm chùm tia, độ chói và phân bố độ chói, tọa độ màu, nhiệt độ màu tương quan (CCT), chỉ số hoàn màu (CRI) và độ đồng đều màu theo góc.
Tiêu chuẩn này cũng quy định các phép đo điện, quang và màu áp dụng cho đèn điện OLED, môđun OLED, tile OLED và panel OLED.
2 Tài liệu viện dẫn
Các tài liệu viện dẫn dưới đây là cần thiết để áp dụng tiêu chuẩn này. Đối với các tài liệu viện dẫn có ghi năm công bố thì áp dụng các bản được nêu. Đối với các tài liệu viện dẫn không ghi năm công bố thì áp dụng phiên bản mới nhất (kể cả các sửa đổi).
TCVN 7870:2014 (ISO/IEC Guide 98-3:2008), Độ không bảo đảm của phép đo - Phần 3: Hướng dẫn thể hiện độ không bảo đảm của phép đo (GUM:1995)
TCVN 8783 (IEC 62612), Bóng đèn LED có balát lắp liền dùng cho chiếu sáng thông dụng - Yêu cầu về tính năng
TCVN 12236:2018 (CIE s 017:2011), Từ vựng chiếu sáng quốc tế
CIE DIS 024/E:2015, Light Emitting Diodes (LEDs) và LED Assemblies - Terms and definitions (Điốt phát sáng (LED) và tổ hợp LED - Thuật ngữ và định nghĩa)
CIE 13.3:1995, Method of Measuring and Specifying colour rendering of the light sources (Phương pháp đo và xác định hiển thị màu của nguồn sáng)
CIE 15:2004, Colorimetry (Phép đo màu)
CIE 84-1989, Measurement of Luminous Flux (Phép đo quang thông)
CIE 121-1996, The Photometry and Goniophotometry of luminaires (Trắc quang và trắc quang góc của đèn điện)
CIE 198:2011, Determination of measurement uncertainties in photometry (Xác định độ không bảo đảm đo trong trắc quang)
CIE198-SP1:2011, Determination of measurement uncertainties in photometry - Supplement 1: Modules and Examples for Determination of measurement uncertainties (Xác định độ không bảo đảm đo trong trắc quang - Bổ sung 1: Môđun và ví dụ để xác định độ không bảo đảm đo)
ISO 11664-1:2007 (E)/CIE S 014-1/E:2007, Colorimetry - Part 1: CIE Standard Colorimetric Observers (Phép đo màu - Phần 1: Người quan sát trắc lượng màu tiêu chuẩn CIE)
ISO 11664-2:2007 (E)/CIE S 014-2/E:2006, Colorimetry - Part 2: CIE Standard Colorimetric illuminants (Phép đo màu - Phần 2: Nguồn phát sáng chuẩn của CIE)
ISO 11664-3:2012 (E)/ CIE S 014-3/E:2011, Colorimetry - Part 3: CIE Tristimulus Values (Phép đo màu - Phần 3: Các giá trị kích thích ba màu theo CIE)
ISO/CIE 19476:2014 (E), Characterization of the performance of Illuminance Meters and luminance Meters (Đặc tính hoạt động của máy đo độ rọi và máy đo độ chói)
ISO 23539:2005 (E)/CIE S 010/E:2004, Photometry - The CIE System of Physical Photometry (Trắc quang - Hệ thống trắc quang vật lý của CIE)
IEC/TR 60725:2012, Consideration of reference impedances and public supply network impedances for use in determining the disturbance characteristics of electrical equipment having a rated current ≤ 75 A per phase (Xem xét trở kháng chuẩn và trở kháng mạng nguồn cấp công cộng sử dụng trong việc xác định đặc tính nhiễu của thiết bị điện có dòng điện danh định ≤ 75 A mỗi pha)
IEC/TR 61341:2010, Methods of measurement of central beam intensity and beam angle(s) of reflector lamps (Phương pháp đo cường độ chùm sáng trung tâm và góc chùm tia của bóng đèn phản quang)
IEC 62504:2014[1], General lighting - Light emitting diodes products and related equipment - Terms and definations (Chiếu sáng thông dụng - Sản phẩm điốt phát sáng và các thiết bị liên quan - Thuật ngữ và định nghĩa)
IEC/PAS 62717:2011[2], LED modules for general lighting - Performance requirements (Môđun LED dùng cho chiếu sáng thông dụng - Yêu cầu về tính năng)
IEC/PAS 62722-1:2011[3], Tính năng của đèn điện - Phần 1: Yêu cầu chung (Luminaire performance - Part 1: General requirements)
IEC/PAS 62722-2-1:2011[4], Tính năng của đèn điện - Phần 2-1: Yêu cầu cụ thể đối với đèn điện LED (Luminaire performance - Part 2-1: Particular requirements for LED luminaires)
IEC 62922:2021, Organic light emitting diode (OLED) panels for general lighting - Performance requirements (Panel điốt phát quang hữu cơ (OLED)) dùng cho chiếu sáng thông dụng - Yêu cầu tính năng
ISO/IEC Guide 98-4:2012, Uncertainty of measurement - Part 4: Role of measurement uncertainty in conformity assessment, also JCGM 106:2012 (Độ không bảo đảm của phép đo - Phần 4: Vai trò của độ không bảo đảm đo trong việc đánh giá sự phù hợp, xem thêm JCGM 106:2012)
ISO/IEC Guide 99:2007, International Vocabulary of metrology - Basic and general consepts and associated terms (VIM), also JCGM 200:2008 (Từ vựng đo lường quốc tế - Các khái niệm chung và cơ bản và các thuật ngữ liên quan (VIM), viện dẫn thêm JCGM 200:2008)
ILAC P10:01/1013, ILAC policy on Traceability of Measurement Results (Chính sách truy xuất kết quả đo của ILAC)
3 Thuật ngữ và định nghĩa
3.1
Nguồn sáng điện (electric light source)
Nguồn sáng sơ cấp chuyển điện năng thành bức xạ quang.
[Nguồn:CIE DIS 024/E:2015, 3.3)
3.2
Điốt phát quang (light-emitting diode)
LED
Linh kiện bán dẫn sử dụng lớp tiếp giáp p-n, phát bức xạ quang không kết hợp khi bị kích thích bởi dòng điện.
CHÚ THÍCH 1: Phát xạ quang có thể trong vùng tia cực tím, ánh sáng nhìn thấy hoặc hồng ngoại.
CHÚ THÍCH 2: "LED” thường được hiểu là chip LED hoặc gói LED. Thuật ngữ này cũng được sử dụng như thuật ngữ chung chỉ công nghệ.
[Nguồn: CIE DIS 024/E:2015, 3.14)
3.3
Gói LED (LED package)
Một thành phần duy nhất chứa một hoặc nhiều chip LED, có thể có thành phần quang và giao diện nhiệt, cơ và điện.
CHÚ THÍCH 1: Gói LED ở dạng thực tế cơ bản nhất của thiết bị LED, tương tự với transito hoặc linh kiện IC, tích hợp một hoặc nhiều chip bán dẫn trong một gói LED duy nhất và bao gồm cả giao diện điện, cơ và nhiệt và có thể có các thành phần quang bổ sung và/hoặc bộ chuyển đổi ánh sáng (phốt pho).
CHÚ THÍCH 2: Thuật ngữ LED thường chỉ các gói LED.
[Nguồn: CIE DIS 024/E:2015, 313]
3.4
Nguồn sáng LED (LED light source)
Nguồn sáng dựa trên công nghệ LED.
CHÚ THÍCH 1: Nguồn sáng LED có thể có dạng gói LED, môđun LED, khối sáng LED hoặc bóng đèn LED.
[NGUỒN: CIE DIS 024/E:2015, 3.10]
3.5
Bóng đèn LED (LED lamp)
Nguồn sáng LED tích hợp một hoặc nhiều gói LED hoặc môđun LED và có một hoặc nhiều đầu đèn.
CHÚ THÍCH 1: Một bóng đèn LED có thể bao gồm các thành phần khác về quang, nhiệt, cơ và điện.
CHÚ THÍCH 2: Một Bóng đèn LED có thể là tích hợp (bóng đèn LEDi) hoặc bán tích hợp (bóng đèn LEDsi) hoặc không tích hợp (bóng đèn LEDni).
CHÚ THÍCH 3: Bao gồm cả bóng đèn một đầu và bóng đèn hai đầu.
CHÚ THÍCH 4: Một bóng đèn LED được thiết kế để thay thế bởi người dùng thông thường.
CHÚ THÍCH 5: Thuật ngữ được định nghĩa khác trong IEC 62504:2014 (3.15), nhưng các định nghĩa là phù hợp.
[NGUỒN: CIE DIS 024/E:2015, 3.8]
3.6
Bóng đèn LED tích hợp (integrated LED lamp)
Bóng đèn LEDi
Bóng đèn LED tích hợp bộ điều khiển LED, và bất kỳ thành phần bổ sung nào cần thiết cho hoạt động ổn định của nguồn sáng được thiết kế để đấu nối trực tiếp với nguồn cấp điện áp.
CHÚ THÍCH 1: Trong một số tài liệu, có thể vẫn sử dụng thuật ngữ “bóng đèn có balat lắp liền” như một thuật ngữ tương đương.
[NGUỒN: CIE DIS 024/E:2015, 3.15.1, sửa đổi - “bộ điều khiển” được thay bằng “bộ điều khiển LED”, bổ sung Chú thích 1]
3.7
Bóng đèn LED nửa tích hợp (semi-integrated LED lamp)
Bóng đèn LEDsi
Bóng đèn LED có chứa cụm điều khiển của bộ điều khiển LED, và hoạt động bởi nguồn cấp riêng biệt của bộ điều khiển LED
CHÚ THÍCH 1: Trong một số tài liệu còn sử dụng thuật ngữ "bóng đèn LED nửa balat lắp liền”như thuật ngữ tương đương.
[NGUỒN: IEC 62504:2014, 3.15.4, sửa đổi-“bộ điều khiển được đổi thành “bộ điều khiển LED”, bổ sung chú thích 1]
3.8
Bóng đèn LED không tích hợp (non-integrated LED lamp)
Bóng đèn LEDni
Bóng đèn LED cần có bộ điều khiển LED riêng biệt để hoạt động
CHÚ THÍCH 1: Trong một số tài liệu còn sử dụng thuật ngữ “bóng đèn LED không có balat lắp liền”như thuật ngữ tương đương.
[NGUỒN: IEC 62504-2014, 3.15.4, sửa đổi - “bộ điều khiển được đổi thành “bộ điều khiển LED”, bổ sung chú thích 1]
3.9
Môđun LED (LED module)
Nguồn sáng LED kết hợp một hoặc nhiều gói LED trên một bản mạch in và có thể bao gồm các thành phần và giao diện điện, quang, cơ và nhiệt, nhưng không có đầu đèn.
CHÚ THÍCH 1: Một môđun LED có thể là tích hợp (môđun LEDi) hoặc nửa tích hợp (môđun LEDsi) hoặc không tích hợp (môđun LEDni).
CHÚ THÍCH 2: Môđun LED thường được thiết kế là một phần của bóng đèn LED hoặc đèn điện LED.
[NGUỒN: CIE DIS 024/E:2015, 3.12, sửa đổi - Bổ sung chú thích 1 và chú thích 2]
3.10
Môđun LED tích hợp (integrated LED module)
Môđun LEDi
Môđun LED kết hợp bộ điều khiển LED và bất kỳ thành phần bổ sung nào cần thiết cho hoạt động ổn định của nguồn sáng, được thiết kế để kết nối trực tiếp với nguồn điện.
CHÚ THÍCH 1: Trong một số tài liệu sử dụng thuật ngữ “môđun LED nửa balat lắp liền”như thuật ngữ tương đương.
[NGUỒN: IEC 62504:2014, 3.15.4, sửa đổi - “bộ điều khiển" được đổi thành “bộ điều khiển LED”, bổ sung chú thích 1]
3.11
Môđun LED nửa tích hợp (semi-integrated LED lamp)
Môđun LED có chứa cụm điều khiển của bộ điều khiển LED, và hoạt động bởi nguồn cấp riêng biệt của bộ điều khiển LED.
CHÚ THÍCH 1: Trong một số tài liệu còn sử dụng thuật ngữ "môđun LED nửa balat lắp liền” như thuật ngữ tương đương.
[NGUỒN: IEC 62504:2014, 3.19.6, sửa đổi - “bộ điều khiển” được đổi thành “bộ điều khiển LED”, bổ sung chú thích 1]
3.12
Môđun LED không tích hợp (non-integrated LED module)
Môđun LEDni
Môđun LED cần có bộ điều khiển LED riêng biệt để hoạt động
CHÚ THÍCH 1: Trong một số tài liệu còn sử dụng thuật ngữ “môđun LED không có balat lắp liền”như thuật ngữ tương đương
CHÚ THÍCH 2: Một hay nhiều gói LED trên một bản mạch in hoặc đế nền có cấu trúc hình học được coi như một mảng LED. Không bao gồm thành phần khác như thành phần điện, quang, cơ và nhiệt.
[NGUỒN: IEC 62504:2014, 3.19.5, sửa đổi - “bộ điều khiển” được đổi thành “bộ điều khiển LED”, bổ sung chú thích 1]
3.13
Bộ điều khiển LED (LED control gear)
Bộ phận đưa vào giữa hệ thống cấp điện và một hoặc nhiều gói LED hoặc môđun LED để cấp điện áp danh định hoặc dòng điện danh định cho các gói LED hoặc môđun LED.
CHÚ THÍCH 1: Bộ phận này có thể bao gồm một hay nhiều thành phần riêng biệt và có thể bao gồm các phương tiện để điều chỉnh tăng giảm độ sáng, hiệu chỉnh hệ số công suất và ngăn chặn nhiễu vô tuyến, và các chức năng điều khiển khác.
CHÚ THÍCH 2: Bộ điều khiển LED bao gồm nguồn cấp điện và bộ phận điều khiển và có thể tích hợp một phần hoặc toàn bộ môđun LED hoặc bóng đèn LED.
CHÚ THÍCH 3: Thuật ngữ “bộ điều khiển cho môđun LED” được sử dụng trong các tài liệu của IEC với định nghĩa tương đương.
CHÚ THÍCH 4: Thuật ngữ “LED driver” không được chấp nhận như thuật ngữ quốc tế để chỉ “bộ điều khiển LED”.
[NGUỒN: CIE DIS 024/E:2015, 3.5]
3.14
Khối sáng LED (LED light engine)
Tổ hợp tích hợp hoặc một khối bao gồm (các) môđun LED và bộ điều khiển LED để đấu nối trực tiếp với hệ thống cấp điện.
CHÚ THÍCH 1: Một khối sáng LED thường phải có các giao diện điện, cơ, nhiệt và điều khiển xác định, các tính chất trắc quang đặc thù.
CHÚ THÍCH 2: Một khối sáng LED có thể kết hợp bộ phận tản nhiệt hoặc không.
[NGUỒN: CIE DIS 024/E:2015, 3.9]
3.15
Đèn điện LED (LED luminaire)
Đèn LED (LED luminaire)
Đèn điện được thiết kế để kết hợp một hoặc nhiều nguồn sáng LED.
CHÚ THÍCH 1: Nguồn sáng LED có thể là một phần tích hợp của đèn điện LED.
[NGUỒN: CIE DIS 024/E:2015, 3.11 ]
3.16
Thiết bị LED (LED device)
Thuật ngữ chung để chỉ bóng đèn LED, môđun LED, cụm sáng LED hoặc đèn điện LED cho mục đích của tiêu chuẩn này
3.17
Góc chùm tia (beam angle)
Góc giữa hai đường thẳng trong mặt phẳng đi qua trục quang của chùm sáng, sao cho các đường này đi qua tâm mặt trước của thiết bị và đi qua các điểm có cường độ sáng bằng 50 % cường độ ở tâm chùm sáng, trong đó cường độ ở tâm chùm sáng là giá trị cường độ sáng đo được trên trục quang của chùm sáng.
CHÚ THÍCH 1: Góc chùm tia được tính bằng độ (°).
CHÚ THÍCH 2: Góc này là góc đo toàn phần, không phải góc đo một nửa.
CHÚ THÍCH 3: Trục quang của chùm sáng là trục mà cường độ chói bao quanh phân bố đối xứng hoàn toàn.
[NGUỒN: IEC 62504:2014, 3.4, sửa đổi - “hai đường thẳng tưởng tượng”được đổi thành “hai đường thẳng”, bổ sung “trong đó cường độ ở tâm chùm sáng là giá trị cường độ sáng đo được trên trục của chùm sáng”, bổ sung chú thích 3]
3.18
Thử nghiệm điển hình (type test)
Thử nghiệm phù hợp trên một hoặc nhiều sản phẩm LED đại diện cho loạt sản xuất.
[NGUỒN: IEC 62504:2014, 3.41]
3.19
Người yêu cầu (applicant)
Người được ủy quyền để yêu cầu thử nghiệm
CHÚ THÍCH 1: Người yêu cầu có thể là nhà sản xuất, đại lý được ủy quyền, khách hàng hoặc cơ quan quản lý.
CHÚ THÍCH 2: Người yêu cầu thường phải cung cấp đầy đủ thông tin cần thiết để thực hiện đúng thử nghiệm.
3.20
Thiết bị cần thử nghiệm (device under test)
DUT
Thiết bị LED được đưa đến để thử nghiệm.
CHÚ THÍCH 1: DUT không phải là một mẫu thử nghiệm điển hình trừ khi nó được công bố như vậy.
3.21
Điện áp nguồn <đối với thiết bị LED> (supply voltage <for an LED device>)
Điện áp được cấp cho một đơn vị hoàn chỉnh của nguồn sáng LED hoặc đèn điện LED.
[NGUỒN: IEC 62504:2014, 3.37, sửa đổi - “bổ sung <cho một thiết bị LED>” để xác định lĩnh vực áp dụng của thuật ngữ]
3.22
Giá trị danh định (rated value)
Giá trị của một đại lượng được sử dụng cho đặc trưng kỹ thuật, được thiết lập trong các điều kiện thử nghiệm tiêu chuẩn theo công bố của nhà sản xuất hoặc đại lý được ủy quyền.
CHÚ THÍCH 1: Điều kiện thử nghiệm chuẩn được quy định trong tiêu chuẩn liên quan.
[NGUỒN: IEC 62504:2014, 3.33]
3.23
Luyện <đối với một nguồn sáng LED> (ageing <for an LED source>)
Giai đoạn ổn định trước của một nguồn sáng LED trước khi đo các giá trị ban đầu.
CHÚ THÍCH: Các giá trị ban đầu là các đặc trưng về quang và điện được đo khi kết thúc giai đoạn luyện và ổn định.
[NGUỒN: IEC 62504:2014, 3.1, sửa đổi - bổ sung “<đối với một nguồn sáng LED>" để xác định lĩnh vực áp dụng của thuật ngữ, bổ sung và chú thích]
3.24
Thời gian ổn định <đối với một thiết bị LED> (stabilization time <for an LED device>)
Thời gian cần thiết để nguồn sáng LED hoặc đèn điện LED đạt được thông số quang đầu ra và công suất điện ổn định với nguồn điện đầu vào không đổi.
[NGUỒN: IEC 62504:2014, 3.35, sửa đổi - bổ sung thuật ngữ “thời gian ổn định”, bổ sung “<đối với một thiết bị LED>” để xác định lĩnh vực áp dụng của thuật ngữ]
3.25
Nhiệt độ môi trường xung quanh (ambient temperature)
tamb
Nhiệt độ không khí hoặc môi chất khác trong vùng lân cận của thiết bị cần thử nghiệm.
CHÚ THÍCH 1: Nhiệt độ môi trường xung quanh được đo bằng độ C.
[NGUỒN: IEC 62504:2014, 3.38.1, sửa đổi - “sản phẩm” đổi thành “thiết bị”, bỏ chú thích 2]
3.26
Nhiệt độ tối đa danh định <của một bộ phận> (rated maximum temperature <of an component>)
tc
Nhiệt độ cao nhất cho phép liên quan đến an toàn có thể xuất hiện trên mặt ngoài của bộ phận (môđun LED hoặc bộ điều khiển LED) (tại điểm được chỉ định, nếu có đánh dấu) trong điều kiện hoạt động bình thường và tại điện áp/dòng điện/công suất danh định hoặc tại giá trị lớn nhất của dải điện áp/dòng điện/công suất danh định.
CHÚ THÍCH 1: Nhiệt độ tối đa danh định được đo bằng độ C.
[NGUỒN: IEC 62504-2014, 3.38.9, sửa đổi - bổ sung “<của một thành phần> để xác định lĩnh vực áp dụng của thuật ngữ, “bộ điều khiển” đổi thành “bộ điều khiển LED”]
3.27
Nhiệt độ làm việc <của môđun LED> (performance temperature <of an LED module>)
tp
Nhiệt độ liên quan đến hoạt động của một môđun LED.
CHÚ THÍCH 1: Nhiệt độ làm việc được đo bằng độ C.
CHÚ THÍCH 2: Nhiệt độ làm việc được đo tại điểm tp được chỉ định.
[NGUỒN: IEC 62504:2014, 3.38.6, sửa đổi - “bổ sung <của một môđun LED> để xác định lĩnh vực áp dụng của thuật ngữ]
3.28
Điểm tp (tp-point)
Vị trí được chỉ định trên bề mặt của môđun LED, tại đó đo nhiệt độ tp.
CHÚ THÍCH 1: Vị trí nhiệt độ làm việc tp và nhiệt độ tối đa danh định tc có thể khác nhau.
[NGUỒN: IEC/PAS 62717:2011, 3.16, sửa đổi - bổ sung chú thích 1 ]
3.29
Nhiệt độ làm việc tối đa danh định <của môđun LED> (rated maximum performance temperature <of an LED module>)
tp,n
Nhiệt độ cao nhất tại điểm tp, liên quan đến tính năng danh định của môđun LED, cả hai đều do nhà sản xuất hoặc đại lý được ủy quyền công bố.
CHÚ THÍCH 1: Nhiệt độ làm việc tối đa danh định được đo bằng độ C.
CHÚ THÍCH 2: Đối với tính năng đã cho, nhiệt độ làm việc tối đa danh định tp,n là một giá trị xác định, không phải giá trị thay đổi, trong đó n là tuổi thọ công bố tương ứng bằng nghìn giờ. Ví dụ: tp,60 trong đó n = 60 có nghĩa là tuổi thọ công bố là 60 000 h.
CHÚ THÍCH 3: Có thể nhiều hơn một nhiệt độ làm việc tối đa danh định tp,n, tùy thuộc vào tính năng công bố.
CHÚ THÍCH 4: Trong một số tài liệu, sử dụng ký hiệu tp,rated hoặc tp,max hoặc tp,nn thay cho tp,n.
[NGUỒN: IEC 62504:2014, 3.38.8, sửa đổi - bổ sung “<của một môđun LED> để xác định lĩnh vực áp dụng của thuật ngữ, ký hiệu thay đổi từ tp,nn thành tp,n, thay đổi nội dung chú thích 2 và chú thích 3 và bổ sung chú thích 4]
3.30
Nhiệt độ môi trường xung quanh làm việc tối đa danh định <của đèn điện> (rated maximum performance ambient temperature <of a luminaire>)
tq,n
Nhiệt độ môi trường cao nhất xung quanh đèn điện liên quan tới tính năng danh định của đèn điện trong các điều kiện hoạt động bình thường, cả hai được nhà sản xuất hoặc đại lý được ủy quyền công bố.
CHÚ THÍCH 1: Nhiệt độ môi trường xung quanh làm việc tối đa danh định được đo bằng °C.
CHÚ THÍCH 2: Đối với tuổi thọ đã cho, nhiệt độ môi trường xung quanh làm việc tối đa danh định tq,n là một giá trị xác định, không phải giá trị thay đổi, trong đó n là tuổi thọ công bố tương ứng bằng nghìn giờ. Ví dụ: tq,60 trong đó n = 60 có nghĩa là tuổi thọ công bố là 60 000 h.
CHÚ THÍCH 3: Có thể nhiều hơn một nhiệt độ môi trường xung quanh làm việc tối đa danh định tq,n, tùy thuộc vào tuổi thọ công bố.
CHÚ THÍCH 4: Trong một số tài liệu, sử dụng ký hiệu tq,n hoặc tq,nn thay cho tq,n.
[NGUỒN: IEC 62504:2014, 3.38.7, sửa đổi - bổ sung “<của một đèn điện LED> để xác định lĩnh vực áp dụng của thuật ngữ, ký hiệu thay đổi từ tq,nn thành tq,n, thay đổi chú thích 2 và chú thích 3 và bổ sung chú thích 4]
3.31
Tỷ số ánh sáng phát ra <của đèn điện> (light output ratio <of a luminaire>)
LOR
Tỷ số giữa quang thông tổng của đèn điện đo được trong điều kiện thực tế quy định với (các) bóng đèn và thiết bị của nó và tổng các quang thông thành phần của cùng (các) bóng đèn đó khi hoạt động bên ngoài đèn điện với cùng thiết bị và trong các điều kiện quy định.
CHÚ THÍCH 1: LOR có thể được xác định đối với đèn điện LED sử dụng nguồn sáng có thể thay thế được trong một số trường hợp (ví dụ các bóng đèn LED). Việc sử dụng LOR được bỏ qua đối với đèn điện LED có nguồn sáng LED không thay thế được. Đối với đèn điện LED có nguồn sáng không thay thế được, chỉ đo quang thông tổng của đèn điện, trong trường hợp này LOR bằng 100 % là đương nhiên và sẽ không có ý nghĩa nữa.
[NGUỒN: CIE S 017/ E:2011. ILV, 17-668, IEV 845-09-39, được sửa đổi - bổ sung chú thích 2]
3.32
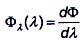
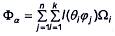
Tổng thông lượng bức xạ phổ <của nguồn sáng> (total spectral radiant flux <of a light source>)
Mật độ phổ của thông lượng bức xạ Φ trong toàn bộ không gian (4π sr) của một nguồn sáng:
|
| (1) |
CHÚ THÍCH 1: Tổng thông lượng bức xạ phổ được tính bằng oát trên nano mét (W.nm-1).
3.33
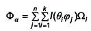
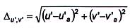
Quang thông từng phần <của nguồn sáng, trong giới hạn một góc hình nón xác định> (partial luminous flux <of a light source, within a specified cone angle>)
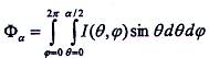
Quang thông phát ra từ nguồn sáng có góc nón xác định α, được tính từ phân bố cường độ sáng I(θ,φ) của nguồn sáng
|
| (2) |
CHÚ THÍCH 1: Quang thông từng phần được tính bằng lumen (lm).
CHÚ THÍCH 2: (θ,φ) - (0,0) là hướng trục hình nón.
CHÚ THÍCH 3: Góc hình nón α là góc tổng thể (đường kính) của hình nón.
CHÚ THÍCH 4: Trong một số ứng dụng còn sử dụng “quang thông nón” có cùng ý nghĩa.
CHÚ THÍCH 5: "Quang thông hữu ích” còn được sử dụng với nghĩa tương tự nhưng được xác định với trục hình nón là trục quang của chùm sáng quan sát được của nguồn sáng, là trục có cường độ sáng bao quanh đối xứng nhất
3.34
Trắc quang tuyệt đối (absolute photometry)
Quá trình đo các đại lượng trắc quang trực tiếp theo đơn vị Sl.
CHÚ THÍCH 1: Thuật ngữ này thường được sử dụng trong trắc quang góc của đèn điện, ngược lại với trắc quang tương đối (xem 3.35). Phân bố cường độ sáng được đo và ghi lại ở giá trị tuyệt đối theo đơn vị candela.
CHÚ THÍCH 1: Phép đo giá trị tuyệt đối đòi hỏi các thiết bị đo được hiệu chuẩn theo các đơn vị SI tương ứng.
3.35
Trắc quang tương đối (relative photometry)
Số đo nhận được ở dạng tỷ số của hai đại lượng trắc quang.
CHÚ THÍCH 1: Thuật ngữ này thường được sử dụng trong trắc quang góc của đèn điện, trong đó phân bố cường độ sáng được đo là các giá trị tương đối, được chuẩn hóa theo quang thông tổng của bóng đèn, và ghi lại theo đơn vị [cd/klm].
CHÚ THÍCH 2: Phương pháp này không sử dụng cho nguồn sáng LED và đèn điện LED có các nguồn sáng LED tích hợp.
3.36
Đầu đo quang (photometer head)
Sự kết hợp của đầu thu và các phương tiện để định lượng theo phổ của bức xạ phát hiện được.
CHÚ THÍCH 1: Đầu đo quang có thể có phương tiện để đánh giá hướng ánh sáng, ví dụ cửa sổ khuếch tán, thấu kính và vành chắn khẩu độ.
CHÚ THÍCH 2: Trong tài liệu này đầu đo quang đề cập đến một khối đo độ rọi có chứa đầu thu, một tấm lọc hiệu chỉnh V(ʎ), và bộ phận bổ sung bất kỳ (vành chắn khẩu độ, tấm khuếch tán, bộ khuếch đại, v.v.) trong khối đó.
3.37
Khả năng truy xuất (traceability)
Tính chất của một kết quả đo mà có thể liên quan đến một chuẩn tham chiếu thông qua một chuỗi chuẩn liên kết được lập thành tài liệu, mỗi hiệu chuẩn góp phần vào độ không bảo đảm đo.
CHÚ THÍCH 1: Tổ chức công nhận phòng thử nghiệm quốc tế (ILAC) xem các yếu tố để xác nhận khả năng truy xuất đo lường là một chuỗi truy xuất nguồn gốc đo lường chặt chê kết nối đến một chuẩn đo lường quốc tế hoặc chuẩn đo lường quốc gia, tài liệu độ không bảo đảm đo, quy trình đo, năng lực kỹ thuật được công nhận, truy xuất đo lường đến hệ đơn vị quốc tế SI, và chu kỳ hiệu chuẩn (xem ILAC P10:01/2013).
CHÚ THÍCH 2: Cụm từ "truy xuất đến hệ SI” có nghĩa “truy xuất đến một đơn vị đo của Hệ đơn vị quốc tế”.
[NGUỒN: ISO/IEC Guide 99 :2007, 2.41, sửa đổi, JCGM 200, 2.41, sửa đổi]
3.38
Khoảng dung sai (tolerance interval)
Khoảng giá trị cho phép của một đặc tính.
CHÚ THÍCH 1: Trừ khi có công bố khác trong thông số kỹ thuật, các giá trị giới hạn dung sai nằm trong khoảng dung sai.
CHÚ THÍCH 2: Thuật ngữ “khoảng dung sai” khi được sử dụng trong đánh giá sự phù hợp có ý nghĩa khác với cùng thuật ngữ đó khi được sử dụng trong thống kê.
[NGUỒN: ISO/IEC Guide 98-4, 3.3.5]
3.39
Khoảng chấp nhận (acceptance interval)
Khoảng giá trị cho phép của đại lượng đo được.
CHÚ THÍCH 1: Nếu không có quy định khác trong quy định kỹ thuật, các giá trị giới hạn chấp nhận nằm trong khoảng chấp nhận.
[NGUỒN: ISO/IEC Guide 98-4, 3.3.9]
3.40
Điốt phát quang hữu cơ (organic light emitting diode)
OLED
Linh kiện bán dẫn phát quang gồm một vùng phát quang điện làm bằng các hợp chất bán dẫn hữu cơ được đặt giữa hai điện cực.
[NGUỒN: IEC TS 62972,3.1]
3.41
Tile OLED (OLED tile)
Khối OLED có chức năng nhỏ nhất mà không thể chia thành các phần tử sáng OLED nhỏ hơn và chứa tối thiểu một gờ tiếp xúc với tối thiểu một cực âm và một cực dương để đấu nối với nguồn cấp. [NGUỒN: IEC TS 62972, 3.12, có sửa đổi “nguồn sáng OLED” được thay bằng “khối OLED”]
3.42
Panel OLED (OLED panel)
Khối OLED có thể hoạt động độc lập có chứa một hoặc nhiều tile OLED và phương tiện nối với nguồn cấp ví dụ bộ nổi, PCB (tấm mạch in), linh kiện điện tử thụ động và khung tùy chọn.
[NGUỒN: IEC TS 62972, 3.13, có sửa đổi “sản phẩm khối OLED” được thay bằng “khối OLED”]
3.43
Môđun OLED (OLED module)
Cụm lắp ráp gồm một hoặc nhiều panel OLED và các linh kiện điện tử chủ động.
CHÚ THÍCH 1: Mô môđun OLED thường được thiết kế là một phần của đèn điện OLED.
[NGUỒN: IEC TS 62972, 3.14, có sửa đổi thêm CHÚ THÍCH 1]
3.44
Bóng đèn OLED (OLED lamp)
Panel OLED hoặc môđun OLED có đầu đèn.
CHÚ THÍCH 1: Môđun OLED thường được thiết kế là một phần của đèn điện OLED.
[NGUỒN: IEC TS 62972, 3.15]
3.45
Nguồn sáng OLED (OLED light source/ OLED source)
Nguồn sáng OLED bao gồm tile OLED, panel OLED, môđun OLED hoặc bóng đèn OLED.
[NGUỒN: IEC TS 62972, 3.16]
3.46
Đèn điện OLED (OLED luminaire)
Đèn điện được thiết kế để tích hợp tối thiểu một nguồn sáng OLED.
CHÚ THÍCH 1: Môđun OLED thường được thiết kế là một phần của đèn điện OLED.
[NGUỒN: IEC S 017, 17-30-056 (định nghĩa “đèn điện LED”, có sửa đổi - “LED” thay bằng “OLED”)]
3.47
Điều khoản (provision)
Thể hiện nội dung của tài liệu quy chuẩn được trình bày dưới dạng một thông cáo, chỉ dẫn, khuyến nghị hoặc yêu cầu.
CHÚ THÍCH 1: Các dạng của điều khoản được phân biệt bằng các thể loại ngôn ngữ được sử dụng: ví dụ các chỉ dẫn được thể hiện ở thể mệnh lệnh, các khuyến nghị thường sử dụng kèm từ “nên” còn các yêu cầu thường sử dụng kèm từ “phải”.
[NGUỒN: TCVN 6450:2007 (ISO/IEC Guide 2:2004), 7.1]
4 Yêu cầu của phòng thí nghiệm đối với các thử nghiệm
4.1 Quy định chung
4.1.1 Điều kiện thử nghiệm tiêu chuẩn
Các phép đo trắc quang, đặc tính màu và đặc tính điện của thiết bị LED phải được thực hiện bằng các thiết bị và quy trình trong các điều kiện thử nghiệm tiêu chuẩn xác định đối với hoạt động của DUT. Điều kiện thử nghiệm tiêu chuẩn bao gồm các giá trị đặt và khoảng dung sai. Lý tưởng nhất là tham số điều kiện vận hành của DUT (ví dụ điện áp thử nghiệm) được đặt một cách chính xác đến giá trị đặt. Trên thực tế, các giá trị đặt không thể được thiết lập một cách chính xác và có một số sai lệch, và do đó một khoảng dung sai Đối với mỗi giá trị đặt sẽ được quy định trong phép đo này. Nếu cần, thực hiện hiệu chỉnh các kết quả để điều chỉnh đến giá trị đặt. Kết quả đo được thể hiện đối với giá trị đặt của các điều kiện thử nghiệm tiêu chuẩn. Hơn nữa, thiết bị thử nghiệm phải đáp ứng các yêu cầu cụ thể, thường được quy định với giá trị tối đa hoặc tối thiểu (hoặc dãy các giá trị) của một đặc tính của thiết bị đo. Các khoảng dung sai và các yêu cầu cụ thể được thể hiện trong 4.2, 4.3, 4.4 và 4.5.
Tất cả các phép đo phải có thể truy xuất đến đơn vị SI khi được sử dụng để đo các giá trị tuyệt đối của một đại lượng liên quan đến phép đo. Các báo cáo phải có nội dung tuyên bố về độ không đảm bảo đo (xem Điều 8 để biết thêm chi tiết). Tất cả các giá trị không đảm bảo của thiết bị đo trong Điều 4 được thể hiện với độ không đảm bảo đo mở rộng với khoảng tin cậy 95 % (thường là với hệ số bao phủ k = 2).
Thử nghiệm phải được thực hiện với tất cả các điều kiện thử nghiệm trong phạm vi các khoảng dung sai và tất cả các thiết bị đo đáp ứng các yêu cầu cụ thể trong 4.2, 4.3, 4.4 và 4.5. Trong trường hợp này, các phép đo được coi là phù hợp với các điều kiện tiêu chuẩn. Để tiếp tục giảm độ không đảm bảo của các phép đo, kết quả có thể được hiệu chỉnh đối với độ lệch trong khoảng dung sai, theo các điều kiện ở giá trị đặt của các điều kiện thử nghiệm tiêu chuẩn. Giá trị đặt thường là giá trị trung tâm của khoảng dung sai, mặc dù không phải luôn luôn như vậy.
Trong trường hợp một số điều kiện thử nghiệm tiêu chuẩn hay yêu cầu không thể được đáp ứng, độ lệch bên ngoài các khoảng dung sai hoặc yêu cầu được cho phép nếu các phép đo liên quan được hiệu chỉnh theo các điều kiện thử nghiệm tiêu chuẩn. Trong trường hợp như vậy, các thành phần độ không đảm bảo đo cụ thể đối với các tham số hiệu chỉnh phải được đánh giá và đưa vào biên dự phòng của độ không đảm bảo đo cuối cùng. Các điều kiện đo thực tế và việc điều chỉnh được thực hiện theo các điều kiện thử nghiệm tiêu chuẩn cho các tham số phải được đưa vào báo cáo thử nghiệm.
Để áp dụng điều chỉnh, các hệ số nhạy của DUT phải được xác định. Việc hiệu chỉnh chỉ được thực hiện nếu DUT đang trong điều kiện ổn định liên quan đến tất cả các đại lượng tham gia vào tham số hiệu chỉnh.
CHÚ THÍCH: Nếu số lượng sản phẩm của cùng một model được đo thì các hệ số độ nhạy đo được Đối với DUT của model đó hoặc model tương đương có thể được sử dụng để hiệu chỉnh các DUT khác.
Đối với bảng dự tính độ không đảm bảo đo, các tính chất chính (và hệ số nhạy liên quan) của DUT nên được phân tích. Tuy nhiên, trong thực tế, đánh giá chi tiết của tất cả các thuộc tính của DUT không phải là luôn luôn có thể thực hiện hoặc khả thi. Do đó, nếu không có thông tin chi tiết có sẵn, các giá trị độ nhạy đối với tính năng của DUT từ Phụ lục C có thể được sử dụng để đánh giá sự không đảm bảo đo, nhưng các giá trị độ nhạy sẽ không được sử dụng cho mục đích điều chỉnh.
Mô hình đánh giá làm cơ sở của bảng dự tính độ không đảm bảo đo và chi tiết của tất cả các yếu tố hiệu chỉnh sử dụng và đánh giá thành phần không đảm bảo phải được các phòng thí nghiệm lưu giữ và có sẵn khi có yêu cầu.
Thiết kế và cấu trúc của thiết bị đo khác so với những mô tả một cách rõ ràng trong tiêu chuẩn này là chấp nhận được nếu chứng tỏ được sẽ tạo ra các kết quả tương đương.
Thông tin chi tiết và ví dụ để tính đến các điều kiện thực tế của phòng thí nghiệm được đưa ra trong Phụ lục A và hướng dẫn để xác định độ không đảm bảo đo được nêu trong Điều 8 và Phụ lục D.
4.1.2 Khoảng dung sai
Đối với mỗi điều kiện thử nghiệm tiêu chuẩn, khoảng dung sai đối với các tham số liên quan được đưa ra để thiết lập các điều kiện hoạt động của DUT. Độ không đảm bảo đo của các tham số liên quan được đưa vào tính toán để đảm bảo rằng các thông số nằm trong khoảng dung sai. Với mục đích này, một khoảng chấp nhận được xác định là khoảng dung sai được giảm đi độ không đảm bảo mở rộng (độ tin cậy 95 %) của phép đo các tham số trên cả hai giới hạn của dung sai. Các kết quả đo của tham số DUT phải nằm trong khoảng chấp nhận. Điều này được minh họa trong Hình 1. Độ không đảm bảo đo của các tham số bao gồm độ không đảm bảo đo hiệu chuẩn của thiết bị đo và đóng góp bổ sung từ các điều kiện đo. Xem Phụ lục A để biết thêm thông tin và một số ví dụ về khoảng dung sai và khoảng chấp nhận. Thông tin thêm về khái niệm khoảng chấp nhận được đưa ra trong ISO/IEC Guide 98-4.

Hình 1 - Minh họa khoảng dung sai và khoảng chấp nhận
4.2 Điều kiện phòng thí nghiệm và điều kiện môi trường
4.2.1 Buồng thử nghiệm
Phép đo phải được thực hiện trong buồng thử nghiệm, nơi tác động môi trường là không đáng kể lên đại lượng đo (ví dụ khói, bụi, sương mù, rung).
Khu vực xung quanh được bố trí sao cho ánh sáng tạp được giảm thiểu và, nếu có ý nghĩa, sai số liên quan phải được điều chỉnh. Thông tin thêm được nêu trong Phụ lục B.
4.2.2 Nhiệt độ môi trường
Nhiệt độ môi trường xung quanh t phải là 25,0 °C đối với các phép đo bóng đèn LED, khối sáng LED (được thiết kế cho nhiệt độ môi trường xung quanh) và đèn điện LED.
Khoảng dung sai: ±1,2 °C.
Để đáp ứng yêu cầu này, kết quả của phép đo nhiệt độ phải nằm trong khoảng chấp nhận (xem 4.1.2). Ví dụ, nếu độ không đảm bảo của phép đo nhiệt độ là 0,2 °C, khoảng chấp nhận phải là ±1,0 °C. Nếu độ không đảm bảo lớn hơn, khoảng chấp nhận sẽ hẹp hơn.
Nhiệt độ môi trường xung quanh phải được đo tại các điểm đại diện cho khu vực xung quanh DUT. Đối với quả cầu tích phân, cảm biến nhiệt kế cần được đặt bên trong quả cầu và ở cùng độ cao với DUT, hoặc ở độ cao gần với DUT (nếu DUT được gắn trên đỉnh của quả cầu trong cấu hình 2π). Việc đo nhiệt độ không được bị ảnh hưởng bởi bức xạ trực tiếp từ DUT cần thử nghiệm: cảm biến nhiệt kế phải được che chắn để tránh ánh sáng trực tiếp đến bộ cảm biến.
Điều hòa nhiệt độ hoặc thiết bị sưởi bất kỳ phải được bố trí sao cho dòng không khí và nhiệt bức xạ không hướng trực tiếp vào DUT hoặc vào cảm biến nhiệt độ.
Cần thận trọng để đảm bảo rằng nhiệt kế và vỏ bọc của nó không can thiệp vào các đường đo ánh sáng.
CHÚ THÍCH: Nhiệt độ không khí có thể được đo bằng nhiệt kế thuộc loại thuận tiện và thích hợp bất kỳ (ví dụ thủy tinh chứa chất lỏng, nhiệt ngẫu và nhiệt điện trở). Nhiệt kế cho mục đích này thường được bọc trong vỏ kim loại mà bề mặt ngoài được đánh bóng để phản xạ lại bức xạ (nhưng được che chắn, nếu cần thiết, để ngăn ánh sáng phản xạ đến đầu thu).
Trong trường hợp người yêu cầu thử nghiệm DUT quy định nhiệt độ không khí xung quanh công bố khác 25,0 °C (ví dụ như đèn điện LED dùng cho tủ trưng bày), nếu phép đo không được thực hiện ở nhiệt độ đó, thì kết quả đo ở 25,0 °C được ghi vào báo cáo, sau đó phải thiết lập hệ số chuyển đổi để cho phép chuyển đổi các giá trị quang đo được ở 25,0 °C về giá trị ở nhiệt độ môi trường xung quanh quy định. Điều này có thể được thực hiện bằng cách đo tỷ lệ của tổng quang thông (hoặc cường độ sáng hoặc độ chói theo một hướng cố định) của thiết bị trong buồng nhiệt hoặc hệ thống đo có khống chế nhiệt (ví dụ quả cầu tích phân có kiểm soát nhiệt độ không khí). Hệ số chuyển đổi này phải được báo cáo riêng.
4.2.3 Nhiệt độ bề mặt (nhiệt độ điểm tp)
Đối với môđun LED, ngoại trừ đối với khối sáng LED được thiết kế cho nhiệt độ môi trường, tất cả các đại lượng đo được phải được ghi lại đối với nhiệt độ làm việc danh định tp.
Khoảng dung sai: ± 2,5 °C
Để đáp ứng yêu cầu này, kết quả của phép đo nhiệt độ phải nằm trong khoảng chấp nhận (xem 4.1.2). Ví dụ, nếu độ không đảm bảo của phép đo nhiệt độ bề mặt là 0,5 °C, khoảng chấp nhận phải là ± 2,0 °C. Nếu độ không đảm bảo lớn hơn, khoảng chấp nhận sẽ hẹp hơn.
CHÚ THÍCH 1: Độ không đảm bảo hiệu chuẩn của nhiệt kế có thể khá nhỏ ví dụ 0,2 °C, tuy nhiên phép đo nhiệt độ bề mặt đưa thêm các thành phần bổ sung như nhiệt tiếp xúc của nhiệt kế với bề mặt, dẫn đến không đảm bảo đo lên đến 2,0 °C trong một số trường hợp.
CHÚ THÍCH 2: Có thể có nhiều hơn một giá trị nhiệt độ tính năng danh định p cho một môđun LED tùy thuộc vào sự công bố tuổi thọ danh định liên quan.
CHÚ THÍCH 3: Một khi các môđun LED được tích hợp trong khối sáng hoặc đèn điện và điểm t không tiếp cận được, nhà chế tạo hoặc người nộp đơn phải chỉ ra một điểm giám sát nhiệt độ và mối quan hệ giữa nhiệt độ tại điểm này và nhiệt độ hoạt động (hoặc cung cấp DUT được chuẩn bị đặc biệt để tiếp cận điểm t).
Cần thận trọng để đảm bảo rằng nhiệt kế và vỏ bọc của nó không can thiệp vào các đường đo ánh sáng. Thiết bị đo nhiệt độ bề mặt không được ảnh hưởng tới đáp ứng nhiệt của DUT, trong khi vẫn đảm bảo tiếp xúc nhiệt tốt giữa bề mặt DUT và nhiệt kế.
CHÚ THÍCH 4: Khái niệm nhiệt độ bề mặt thường không áp dụng cho các nguồn sáng OLED và do đó không áp dụng cho các phép đo liên quan đến nhiệt độ môi trường. Tuy nhiên, đối với các trường hợp khi cho trước điểm nhiệt độ tham chiếu, khi đó cũng áp dụng điều này cho OLED.
4.2.4 Chuyển động của không khí
Phép đo phải được thực hiện trong không khí không lưu thông (giá trị đặt: vận tốc không khí bằng 0).
Khoảng dung sai: 0 m/s đến 0,25 m/s
Để đáp ứng yêu cầu này, kết quả của phép đo phải nằm trong khoảng chấp nhận (xem 4.1.2). Nếu độ không đảm bảo của phép đo chuyển động của không khí là 0,05 m/s, khoảng chấp nhận sẽ là 0 m/s đến 0,20 m/s. Nếu độ không đảm bảo lớn hơn, khoảng chấp nhận sẽ hẹp hơn.
CHÚ THÍCH 1: Chuyển động không khí xung quanh DUT có thể làm thay đổi nhiệt độ làm việc hiệu quả, và do đó giá trị quang thông cũng có thể thay đổi. Chuyển động không khí này có thể gây ra do gió lùa, điều hòa không khí, chuyển động của thiết bị trong quang kế góc hoặc chuyển động của bản thân khung quang kế góc.
CHÚ THÍCH 2: Yêu cầu nêu trên được coi là đáp ứng trong quả cầu tích phân khi quả cầu đóng, trừ khi quả cầu có khống chế nhiệt độ không khí bằng quạt cưỡng bức thì trong trường hợp này nó sẽ yêu cầu đặc tính. Tuy nhiên, việc đóng quả cầu tích phân có thể gây ra gió lùa trên DUT. Vì vậy đôi khi cần đợi khoảng thời gian ngắn để DUT ổn định sau khi đóng quả cầu.
CHÚ THÍCH 3: Đối với thiết bị LED có độ nhạy cao với sự thay đổi nhiệt độ thì vận tốc không khí thấp (ví dụ nhỏ hơn 10 m/s) có thể cần thiết.
Chuyển động của không khí phải được đo trong vùng lân cận thiết bị và phải bỏ qua ảnh hưởng của làm mát cưỡng bức hoặc tự gia nhiệt của DUT.
Trong trường hợp quang kế góc di chuyển vị trí nguồn sáng trong quá trình đo, tốc độ chuyển động phải được chọn đủ để đáp ứng yêu cầu nêu trên hoặc phải áp dụng điều chỉnh thích hợp.
4.2.5 Tư thế hoạt động
Quy định cụ thể: DUT phải duy trì ở tình trạng làm việc được thiết kế trong suốt giai đoạn ổn định và thử nghiệm.
CHÚ THÍCH: Yêu cầu này không được áp dụng cho các môđun LED có nhiệt độ được đặt và duy trì đến nhiệt độ làm việc (xem 5.3.1).
Nếu yêu cầu này không được đáp ứng thì các phép đo phải được hiệu chuẩn về tính năng ở tư thế hoạt động được thiết kế.
VÍ DỤ: Có thể hiệu chỉnh phép đo quang bằng cách sử dụng phương pháp đo quang bổ sung để theo dõi cường độ sáng tương đối của DUT theo hướng cố định. Trong phương pháp này, Tỷ số giữa giá trị tham chiếu và giá trị đo được bằng quang kế bổ sung trong quá trình đo ở từng tư thể hoạt động khác nhau đóng vai trò là hệ số hiệu chỉnh phép đo. Giá trị tham chiếu được thể hiện bằng đầu ra của quang kế bổ sung đo được sau quy trình ổn định của nguồn sáng ở tư thế hoạt động thiết kế. Vị trí tương đối của quang kế bổ sung so với DUT được giữ không đổi trong tất cả các phép đo.
Đối với tất cả các đèn điện OLED, môđun OLED và bóng đèn OLED, áp dụng điều 4.2.5 này. Đối với các tile OLED và panel OLED, thử nghiệm phải được thực hiện ở tư thế nằm ngang với bề mặt phát xạ phần quang thông lớn nhất sẽ được hướng lên trên, trừ khi có quy định khác từ người yêu cầu thử nghiệm.
4.3 Điều kiện thử nghiệm điện và thiết bị điện
4.3.1 Điện áp thử nghiệm và dòng điện thử nghiệm
Giá trị đặt là điện áp nguồn danh định của DUT, hoặc dòng điện nguồn danh định của DUT (môđun LED với dòng điện đầu vào một chiều), được đo tại đầu nối nguồn của DUT.
Khoảng dung sai: ± 0,4 % đối với điện áp xoay chiều giá trị hiệu dụng; ± 0,2 % đối với điện áp một chiều. Đối với các môđun LED có đầu vào dòng điện một chiều, ± 0,2 % đối với dòng điện một chiều.
Để thực hiện yêu cầu này, các kết quả đo được nằm trong khoảng chấp nhận (xem 4.1.2). Nếu độ không đảm bảo của phép đo điện áp xoay chiều là 0,2 % thì khoảng chấp nhận sẽ là ± 0,2 %. Yêu cầu cụ thể về độ không đảm bảo hiệu chuẩn của vôn mét và ampe mét được quy định trong 4.3.2.
Điện áp thử nghiệm phải được đo tại đầu nối nguồn của DUT, không phải ở đầu ra của nguồn điện, để tránh các lỗi do sụt điện áp bởi cáp và các kết nối.
Trong trường hợp điện áp cung cấp danh định được quy định trong một dải, điện áp thử nghiệm phải được lựa chọn theo tiêu chuẩn thích hợp về tính năng đèn điện LED (xem Điều 2) hoặc quy định kỹ thuật khác liên quan.
CHÚ THÍCH: Các tiêu chuẩn về tính năng đèn điện LED thường liên quan đến các thiết bị của người sử dụng cuối được nối đến điện lưới hoặc vận hành với điện áp không đổi. Đối với một vài môđun LED, có thể áp dụng kiểm soát dòng điện.
Trong trường hợp điện áp nguồn danh định được quy định dưới dạng một dải, điện áp thử nghiệm phải được chọn theo tiêu chuẩn tính năng OLED thích hợp của IEC hoặc quy định kỹ thuật của khu vực.
4.3.2 Phép đo điện
Phép đo điện áp, dòng điện và công suất xoay chiều/một chiều phải được thực hiện bằng thiết bị đo thích hợp.
Yêu cầu cụ thể: Độ không đảm bảo đo hiệu chuẩn của vôn mét và ampe mét xoay chiều phải nhỏ hơn hoặc bằng 0,2 %. Độ không đảm bảo đo hiệu chuẩn của vôn mét và ampe mét một chiều nhỏ hơn hoặc bằng 0,1 %.
Các phép đo công suất xoay chiều được thực hiện với đồng hồ đo công suất phù hợp hoặc máy phân tích công suất. Các đồng hồ đo công suất phải có băng thông thích hợp để bao phủ các thành phần hài của dòng điện.
Yêu cầu cụ thể: Độ không đảm bảo hiệu chuẩn đồng hồ đo công suất xoay chiều hoặc máy phân tích công suất phải nhỏ hơn hoặc bằng 0,5 %. Băng thông ít nhất là 100 kHz. Băng thông thấp hơn có thể được chấp nhận (5 kHz hoặc 30 kHz) nếu chứng tỏ rằng không có các thành phần tần số cao đáng kể (tương ứng trên 5 kHz hoặc 30 kHz).
CHÚ THÍCH: Các sản phẩm LED có thể có hoặc không thể hiện các thành phần tần số cao đáng kể (> 5 kHz) tùy thuộc thiết bị phụ trợ (thiết bị điều khiển, dimmer, v.v.) được sử dụng. Đối với bộ điều khiển LED tạo ra các thành phần tần số cao đáng kể, thậm chí băng thông 100 kHz có thể không đủ và khi số loại máy phân tích công suất cần được điều chỉnh theo tình hình cụ thể này (ví dụ băng thông 1 MHz).
Tất cả các dây dẫn và kết nối dùng cho dòng điện nguồn phải được giữ chắc chắn và có trở kháng đủ thấp. Các mạch đo phải phù hợp với các tiêu chuẩn liên quan về bóng đèn. Phải áp dụng kỹ thuật đo 4 dây. Đối với đèn điện LED, các đầu nối là điểm tham chiếu cho phép đo điện áp.
Khi đo các thiết bị LED có công suất tiêu thụ rất nhỏ, cần đảm bảo rằng các trở kháng của vôn mét hoặc ampe mét là đủ cao để tránh sai số do dòng rò.
Yêu cầu cụ thể: Trở kháng trong của mạch đo điện áp phải ít nhất 1 MΩ
CHÚ THÍCH: Một số DUT có trở kháng cao và do đó có thể cần sử dụng thiết bị có trở kháng trong cao hơn,
Phép đo công suất một chiều có thể được thực hiện trực tiếp bằng thiết bị đo thích hợp hoặc có thể có được từ điện áp và dòng điện đo được.
4.3.3 Nguồn điện
4.3.3.1 Dung lượng dòng điện
Nguồn cấp điện phải có khả năng cấp đủ dòng điện cho các tải được kết nối. Đặc biệt, nguồn cấp điện kể cả máy biến áp phụ trợ phải có trở kháng rất thấp.
4.3.3.2 Mạng nguồn xoay chiều
Điện áp của nguồn xoay chiều phải được điều chỉnh ở các đầu nối nguồn của DUT.
Yêu cầu cụ thể: Trôi hoặc thăng giáng bất kỳ của điện áp nguồn trong quá trình đo DUT phải nằm trong khoảng chấp nhận của điện áp thử nghiệm (4.3.1).
Nếu giá trị này vượt quá khoảng chấp nhận thì phải hiệu chỉnh các kết quả.
Nguồn điện phải có dạng sóng điện áp hình sin. Tổng méo hài (THD) của điện áp mạng điện cung cấp (khối cấp nguồn, cáp và các kết nối) phải được giới hạn khi DUT được kết nối và cấp nguồn.
Yêu cầu cụ thể: Méo hài tổng của dạng sóng điện áp (THDv), được đo tại các đầu nối nguồn của DUT, không được vượt quá 1,5 %. Nếu DUT đo được có hệ số công suất cao hơn 0,9, thì THDv cho phép vượt quá 1,5 % nhưng phải nhỏ hơn 3 %.
CHÚ THÍCH 1: Méo hài tổng, THD, là tỷ số giữa giá trị RMS của tổng các thành phần hài (trong tiêu chuẩn này các thành phần điện áp hài U có cỡ từ 2 đến 500) và giá trị RMS của thành phần hài cơ bản U, như thể hiện trong công thức:
|
| (3) |
CHÚ THÍCH 2: Các kết quả đo điện có thể phụ thuộc đáng kể vào THD của điện áp, mà THD phụ thuộc vào trở kháng nguồn của mạng nguồn xoay chiều và dạng sóng dòng điện của thiết bị LED. Ảnh hưởng này càng lớn khi hệ số công suất của DUT càng nhỏ (cụ thể nếu hệ số công suất nhỏ hơn 0,5) và phát ra các thành phần tần số cao hơn đáng kể. Sai số phép đo đáng kể có thể xảy ra nếu mạch điện đưa vào trở kháng cao tại các tần số này. Để phân tích sai số và giảm độ không đảm bảo đo trong phép đo các đại lượng điện, có thể sử dụng quy trình hiệu chỉnh để bù lại các ảnh hưởng của sai lệch của trở kháng mạng nguồn so với trở kháng tham chiếu nêu trong IEC/TR 60725:2012.
CHÚ THÍCH 3: Ảnh hưởng của trở kháng mạch điện (chiều dài cáp, vòng lặp) trên phép đo điện có thể được kiểm tra, tách riêng khỏi phép đo quang, trong mạch đo trở kháng thấp, đứng riêng (chiều dài cáp điện ngắn, không có vòng lặp). Các sai khác quan sát được cần được xem xét khi đánh giá độ không đảm bảo do.
Tần số của điện áp nguồn phải được duy trì ở tần số yêu cầu.
Yêu cầu cụ thể: Tần số của điện áp nguồn phải được duy trì trong khoảng dung sai tương đối ± 0,2 % của tần số yêu cầu.
4.3.3.3 Nguồn điện một chiều
Điện áp của nguồn một chiều phải được điều chỉnh ở các đầu nối nguồn của DUT.
Yêu cầu cụ thể: Trôi hoặc thăng giáng bất kỳ của điện áp nguồn trong quá trình đo DUT phải nằm trong khoảng chấp nhận của điện áp thử nghiệm (4.3.1).
Đối với các môđun LED có đầu vào dòng điện một chiều, dòng điện phải được điều chỉnh đến khoảng chấp nhận của dòng điện.
Nguồn điện không được có nhấp nhô xoay chiều.
Yêu cầu cụ thể: Điện áp nguồn không được chứa thành phần xoay chiều (là giá trị hiệu dụng) lớn hơn 0,5 % điện áp một chiều.
4.3.3.4 Tương thích điện tử
Nguồn điện và thiết bị điện bất kỳ ở gần không được gây ảnh hưởng đến thiết bị đo điện và quang.
4.4 Ổn định trước phép đo
Phép đo phải được bắt đầu sau khi DUT đạt được điều kiện ổn định. Thiết bị đo cũng phải đạt được điều kiện ổn định.
Trong quá trình ổn định, phép đo ánh sáng đầu ra và công suất điện được thực hiện tối thiểu cách nhau 1 min.
4.4.1 Bóng đèn LED và đèn điện LED
Quy trình này áp dụng cho bóng đèn LED (tích hợp, nửa tích hợp, không tích hợp) và đèn điện LED, và cũng áp dụng cho khối sáng LED có tản nhiệt.
Yêu cầu cụ thể: DUT phải được cho làm việc trong tối thiểu 30 min và được coi là ổn định nếu sự thay đổi tương đối giữa số đọc lớn nhất và nhỏ nhất của ánh sáng đầu ra và công suất điện quan sát được trong 15 min cuối cùng nhỏ hơn 0,5 % số đọc nhỏ nhất. Nếu DUT được đốt nóng trước, thì không cần cho làm việc trong 30 min, và được coi là ổn định nếu số đọc của 15 min cuối cùng đáp ứng yêu cầu trên.
Nếu DUT cho thấy có sự thăng giáng lớn và các điều kiện ổn định không đạt được trong vòng 45 min hoạt động đối với bóng đèn LED hoặc 150 min đối với đèn điện LED thì phép đo có thể được bắt đầu và các thăng giáng quan sát được phải được ghi lại. Tuy nhiên, Nếu thay vì thăng giáng ngẫu nhiên, việc giảm chậm gradien của các giá trị đo được vẫn quan sát được thi các phép đo cần được bắt đầu chỉ khi đã đáp ứng các tiêu chí ổn định.
CHÚ THÍCH: Thông thường quá trình ổn định quan sát được thường là giảm chậm ánh sáng đầu ra cho đến khi đạt được ổn định nhiệt. Tuy nhiên, do các linh kiện điện tử nên thăng giáng vẫn có thể xảy ra gần ổn định nhiệt.
Việc ổn định liên quan chặt chẽ với cân bằng nhiệt của các thành phần. Việc đốt nóng trước (nguồn sáng làm việc trước khi lắp vào thiết bị đo) có thể áp dụng để giảm thời gian ổn định trong hệ thống đo. Đặc biệt đối với phép đo một lượng lớn sản phẩm cùng kiểu, thời gian đo có thể được giảm đi nếu chứng tỏ rằng phương pháp đốt nóng trước tạo ra điều kiện ổn định giống với khi sử dụng quy trình bình thường.
4.4.2 Môđun LED
Quy trình sau áp dụng cho môđun LED (tích hợp, nửa tích hợp, không tích hợp) ngoại trừ khối sáng LED có lắp tản nhiệt (được đặt theo nhiệt độ môi trường). Điều kiện về nhiệt được đặt bởi nhiệt độ tính năng của DUT tp được đo tại điểm tp. Nhiệt độ của môđun LED được điều chỉnh bằng cách sử dụng tản nhiệt có khống chế nhiệt độ hoặc gia nhiệt bổ sung.
Yêu cầu cụ thể: Khi nhiệt độ đạt đến và duy trì nhiệt độ tính năng tp trong phạm vi ± 1 °C trong 15 min, môđun LED được coi là ổn định về nhiệt độ.
Đối với khối sáng LED có tản nhiệt, quy trình ở 4.4.1 được thực hiện trước ở nhiệt độ môi trường 25 °C với nhiệt độ tính năng tp được ghi lại; sau đó thực hiện quy trình ở 4.4.2 đối với phép đo ở các giá trị bổ sung của tp.
4.5 Thiết bị trắc quang và đo màu
Đối với phép đo các đại lượng quang và màu, thường sử dụng các thiết bị sau:
• Hệ thống quả cầu tích phân:
• quang kế cầu (đầu thu là đầu đo quang),
• phổ kế bức xạ cầu (đầu thu là phổ kế bức xạ),
CHÚ THÍCH 1: Hệ thống quả cầu tích phân bao gồm các nửa quả cầu tích phân. Quang kế cầu bao gồm các quả cầu tích phân có đầu đo kích thích ba màu, được sử dụng như đầu đo quang (kênh Y) và cũng dùng cho phép đo màu tương đối, nhưng không được khuyến cáo cho phép đo màu tuyệt đối.
• Hệ thống quang kế góc:
• quang kế góc (đầu thu là đầu đo quang),
• phổ kế bức xạ góc (đầu thu là phổ kế bức xạ),
• thiết bị đo màu góc (đầu thu là thiết bị đo kích thích ba màu).
CHÚ THÍCH 2: Quang kế góc bao gồm quang kế góc trường gần. Thiết bị đo màu góc được sử dụng cho phép đo màu tương đối, và do đó dùng cho phép đo đồng nhất màu theo góc, nhưng không được khuyến cáo cho phép đo màu tuyệt đối.
• Thiết bị đo độ chói
CHÚ THÍCH 3: Thiết bị đo độ chói là thiết bị đo độ chói dạng hình ảnh (ILMD).
Các kiểu thiết bị đo khác bao gồm nửa quả cầu tích phân, quang kế góc trường gần và ILMD, được chấp nhận nếu chúng chứng tỏ là cho các kết quả tương đương với hệ thống quả cầu tích phần quy ước hoặc hệ thống quang kế góc quy ước.
Các thiết bị đo được chọn tùy thuộc vào kiểu sản phẩm và đại lượng cần đo. Các sản phẩm kích thước nhỏ (ví dụ Bóng đèn LED) không đòi hỏi dữ liệu phân bố cường độ sáng có thể được đo với hệ thống quả cầu tích phân. Đèn điện thường yêu cầu dữ liệu phân bổ cường độ sáng và do đó cần phải có hệ thống quang kế góc. Để đo đại lượng màu, yêu cầu sử dụng phổ kế bức xạ cầu, phổ kế bức xạ góc hoặc thiết bị đo màu góc.
Tất cả thiết bị đo phải được hiệu chuẩn để đảm bảo sự truy xuất đến đơn vị SI. Tất cả các phép đo quang phải dựa trên hàm hiệu quả phổ ánh sáng theo V(ʎ) (xem ISO 23539/CIES 010). Xem ISO/CIE 19476:2014 để có thông tin chi tiết về hiệu chuẩn, kiểm tra và mô tả chỉ số chất lượng của quang kế.
4.5.1 Yêu cầu đáp ứng phổ của quang kế
Đối với thiết bị đo sử dụng đầu thu hiệu chỉnh theo V(ʎ) (quang kế cầu, quang kế góc, thiết bị đo độ chói), phải đáp ứng các yêu cầu sau.
Yêu cầu cụ thể: Chỉ số không tương thích V(ʎ) chung fʼ1 của đáp ứng phổ tương đối tổng (quả cầu cộng với đầu đo quang) phải nhỏ hơn hoặc bằng 3%.
Nếu yêu cầu này được đáp ứng, hiệu chỉnh sự không tương thích phổ không được yêu cầu cho phép đo thiết bị LED ánh sáng trắng, mặc dù được khuyến cáo. Yêu cầu hiệu chỉnh sự không tương thích phổ đối với thiết bị LED phát ra ánh sáng màu (ví dụ các môđun LIED một màu đỏ, xanh lá cây hoặc xanh da trời).
Nếu không đáp ứng yêu cầu trên đối với fʼ1, có thể được phép nếu hiệu chỉnh sự không tương thích phổ được áp dụng cho từng DUT được đo. Trong trường hợp này, giá trị fʼ1 thực của hệ thống và thực tế là việc áp dụng hiệu chỉnh phải được ghi lại (xem thêm 4.1.1).
Nếu không thực hiện hiệu chỉnh không tương thích phổ thì thành phần độ không đảm bảo đo từ các sai số không tương thích phổ phải được đánh giá, dựa trên đáp ứng phổ tương đối của hệ thống hoặc nếu không có sẵn, dựa trên giá trị fʼ1 (xem Phụ lục C.3.5). Khi sử dụng giá trị fʼ1, độ không đảm bảo của giá trị fʼ1 cần được xem xét trong biên về độ không đảm bảo của phép đo. Nếu thực hiện hiệu chỉnh sự không tương thích phổ thì vẫn sẽ có thành phần độ không đảm bảo đo từ các dữ liệu được sử dụng này.
CHÚ THÍCH: Tiêu chuẩn CIE sẵn sàng cho việc sử dụng hàm hiệu quả ánh sáng phổ mà không phải V(ʎ) đối với các trường hợp khi cần đo các đại lượng đo quang thị giác ban đêm và chuyển tiếp ngày đêm.
4.5.2 Quả cầu tích phân (tất cả các kiểu)
Quả cầu tích phân phải được trang bị Bóng đèn phụ trợ để cho phép đo sự tự hấp thụ.
CHÚ THÍCH 1: Tự hấp thụ có thể đáng kể do sự khác nhau về hình dạng và kích thước của DUT so với bóng đèn chuẩn và phụ thuộc vào cỡ của DUT và quả cầu, và đặc tính phản xạ của DUT và lớp phủ quả cầu.
Cỡ của quả cầu tích phân cần đủ lớn so với cỡ của DUT để tránh các sai số lớn do sự đáp ứng không đồng nhất về không gian của quả cầu do vách ngăn và bản thân DUT gây ra.
Yêu cầu cụ thể: Khi DUT được lắp tại tâm của quả cầu (cấu hình 4 π), tổng diện tích bề mặt (bề mặt bao phủ) của DUT không được vượt quá 2 % tổng diện tích bề mặt bên trong quả cầu. (Điều này tương ứng với DUT khối với chiều dài cạnh bằng 1/10 đường kính quả cầu). Khi DUT được lắp tại lỗ hở của quả cầu (cấu hình 2 π), cỡ của đường kính lỗ hở không được vượt quá 1/3 đường kính quả cầu.
Khi DUT có dạng thẳng được lắp tại tâm quả cầu (cấu hình 4 π), trục dọc của nó cần đồng trục với đường thẳng giữa đầu phát hiện và tâm của quả cầu sao cho kích thước vách ngăn có thể tối thiểu hóa.
Lớp phủ bên trong quả cầu tích phân phải có dạng khuếch tán, độ phản xạ cao và không có tính chọn lọc phổ và không có huỳnh quang. Độ phản xạ của lớp phủ > 90% được khuyến cáo đối với hệ thống đo phổ bức xạ cầu.
CHÚ THÍCH 2: Sự không đồng nhất về phản xạ của quả cầu có thể có ảnh hưởng đáng kể nếu DUT và bóng đèn chuẩn cho thấy sự phân bố cường độ sáng khác nhau.
Giá đỡ nguồn sáng và thiết bị phụ trợ có trong quả cầu cần có kích thước nhỏ nhất có thể. Tất cả các vách ngăn bên trong quả cầu cũng như kết cấu đỡ DUT đều được phủ lớp phủ có phản xạ khuếch tán cao nhất có thể.
CHÚ THÍCH 3: Mặt của vách ngăn đối diện với đầu thu có thể có phản xạ thấp hơn và có cùng lớp phù với vách quả cầu có thể là thích hợp.
Bộ phận quang lối vào đầu thu phải được hiệu chỉnh cosin. Việc này thường đạt được bằng cách sử dụng bộ khuếch tán hoặc quả cầu tích phân vệ tinh tại lối vào.
Yêu cầu cụ thể: Đầu đo quang hoặc lối vào phổ kế bức xạ của quả cầu tích phân có hiệu chỉnh cosin với giá trị fʼ1 nhỏ hơn hoặc bằng 15 %.
Hệ thống quả cầu tích phân phải có độ tái lặp về cơ đủ để đáp tuyến của quả cầu được giữ không đổi khi các phép đo DUT được thực hiện với các thao tác đóng và mở quả cầu.
Yêu cầu cụ thể: Độ tái lặp của quả cầu khi đóng và mở phải nằm trong phạm vi ±0,5 % và có tính đến bảng dự tính độ không đảm bảo đo.
Hệ thống quả cầu tích phân (kể cả thiết bị đo) phải có độ ổn định đủ về đáp ứng giữa các lần hiệu chuẩn. Độ ổn định của hệ thống quả cầu cần được kiểm tra trước hết bằng phép đo bóng đèn ổn định ngay sau hiệu chuẩn và sau đó bằng cách đo cùng bóng đèn đó định kỳ để xác định độ trôi hoặc thay đổi đáp tuyến của quả cầu.
Yêu cầu cụ thể: Trừ khi quả cầu được hiệu chuẩn ngay trước mỗi lần sử dụng, quả cầu phải được hiệu chuẩn lại ở những khoảng thời gian thích hợp sao cho độ trôi của đáp tuyến quả cầu trong khoảng thời gian này nhỏ hơn 0,5 %.
Quả cầu tích phân cần được hiệu chuẩn với các chuẩn tham chiếu có phân bố cường độ tương tự với DUT (ví dụ đơn hưởng hoặc có hướng). Chênh lệch về phân bố cường độ giữa các chuẩn tham chiếu và DUT cần được xét đến trong bảng dự tính độ không đảm bảo đo.
4.5.2.1 Phổ kế bức xạ cầu
Hệ thống phổ kế bức xạ cầu phải được hiệu chuẩn bằng hoặc được kiểm tra xác nhận theo chuẩn thông lượng phổ tổng truy xuất đến SI.
Nếu không có sẵn bóng đèn chuẩn thông lượng bức xạ phổ tổng thì chuẩn này có thể có được bởi người sử dụng từ các bóng đèn chuẩn độ chiếu xạ phổ và các bóng đèn chuẩn quang thông tổng, cả hai đều truy xuất đến SI. Trong trường hợp này, phương pháp rút ra và dữ liệu liên quan (ví dụ đồng nhất theo góc của phổ hoặc nhiệt độ màu tương quan của Bóng đèn chuẩn) cần được ghi lại.
Không chấp nhận nếu phổ kế bức xạ được sử dụng với quả cầu chỉ được hiệu chuẩn độ chiếu xạ phổ mà không xét đến thông lượng phổ tương đối của quả cầu tích phân. Quả cầu tích phân cùng với phổ kế bức xạ phải được hiệu chuẩn như một hệ thống đối với thông lượng bức xạ phổ tổng.
Phổ kế bức xạ được sử dụng cho hệ thống phổ kế bức xạ cầu phải có phạm vi đo bao trùm dải bước sóng nhìn thấy, có độ rộng băng tần thích hợp và khoảng quét bước sóng cho phép đo LED cần thử nghiệm.
Yêu cầu cụ thể:
• Phạm vi đo bước sóng phải tối thiểu từ 380 nm đến 780 nm.
• Phổ kế bức xạ phải có độ không đảm bảo đo về bước sóng trong phạm vi 0,5 nm (k=2).
• Độ rộng băng tần (độ rộng toàn phần tại một nửa cực đại) và khoảng quét bước sóng không được lớn hơn 5 nm.
Phổ kế bức xạ phải có đáp ứng tuyến tính với bức xạ đầu vào ở mỗi bước sóng của dải bước sóng nhìn thấy. Ảnh hưởng của sự không tuyến tính phải được xem xét là một nguồn gây độ không đảm bảo.
Ánh sáng tạp tán bên trong phổ kế bức xạ phải được xem xét là một nguồn gây độ không đảm bảo.
Bóng đèn phụ dùng để đo sự tự hấp thụ cần có dải phổ phát xạ trong toàn bộ dài bước sóng nhìn thấy.
4.5.2.2 Quang kế cầu
Quang kế cầu phải được hiệu chỉnh với chuẩn quang thông tổng truy xuất theo SI. Mong muốn rằng bóng đèn chuẩn có phân bổ phổ tương tự với phân bố của DUT, nếu có sẵn các chuẩn này.
Quang kế cầu phải có đáp ứng phổ tương đối tổng (quả cầu cộng với đầu đo quang) xứng hợp với hàm hiệu quả chiếu sáng phổ đối với thị giác ban ngày V(ʎ). Chỉ số không tương thích V(ʎ) chung f’1 của hệ quang kế cầu phải đáp ứng các yêu cầu trong 4.5.1.
Trong trường hợp cần thiết, phải áp dụng hiệu chỉnh không tương thích phổ. Đối với hiệu chỉnh này, phân bố phổ tương đối của DUT và đáp tuyến phổ tương đối của hệ thống gồm quả cầu và quang kế là cần thiết. Xem Phụ lục C đối với hiệu chuẩn không tương thích phổ. Giá trị f’1 của quang kế cầu được xác định từ đáp tuyến phổ tương đối của đầu đo quang và mức hấp thụ phổ tương đối của quả cầu tích phân (hàm ρ(ʎ)/(1 -ρ(ʎ)), trong đó ρ(ʎ) là phản xạ phổ của các bề mặt bên trong quả cầu). Các giá trị này cũng cần thiết đối với hiệu chỉnh không tương thích phổ. Sử dụng dữ liệu đáp tuyến phổ của chỉ riêng đầu đo quang dẫn đến sai số lớn.
Mức hấp thụ phổ tương đối của quả cầu tích phân thay đổi theo thời gian, đặc biệt khi quả cầu còn mới hoặc khi quả cầu được sử dụng liên tục và bị nhiễm bẩn. Mức hấp thụ phổ của quả cầu cần được đo định kỳ để cập nhật giá trị f’1 hoặc dữ liệu hiệu chỉnh không tương thích phổ. Điều này đặc biệt quan trọng nếu phản xạ bề mặt bên trong quả cầu là cao (> 95 %).
CHÚ THÍCH: Hướng dẫn đo mức hấp thụ phổ tương đối của hệ thống quả cầu là sẵn có trong Phụ lục B của IES LM-78 (2007).
Kỳ vọng rằng bóng đèn bổ sung cho phép đo tự hấp thụ có phân bố phổ tương tự với phân bố phổ của DUT được đo, đặc biệt là với các môđun LED một màu (đơn sắc).
4.5.3 Quang kế góc (tất cả các kiểu)
Quang kế góc phải có góc quét bao trùm toàn bộ góc khối mà LED phát ra ánh sáng, đặc biệt khi đo quang thông tổng.
Yêu cầu cụ thể: Mục đích của góc DUT phải được điều chỉnh và duy trì trong phạm vi ± 5° của hướng dự kiến. Hiển thị góc phải có độ phân giải số đọc là 0,1 hoặc tốt hơn.
Đối với phép đo phân bố cường độ sáng, các quy trình sử dụng quang kế góc quy ước (trường xa) giả thiết rằng vùng phát sáng của nguồn sáng là nguồn điểm hiệu quả. Phép đo cường độ sáng rút ra từ các phép đo độ rọi theo luật bình phương nghịch đảo đòi hỏi khoảng cách đo quang đủ xa.
Các yêu cầu cụ thể đối với khoảng cách thử nghiệm trong phép đo trường xa:
- Đối với DUT có phân bố gần cosin (Lambertian) (góc chùm tia ≥ 90°) trong tất cả các mặt phẳng C: ≥ 5 x D
- Đối với DUT có phân bố góc rộng khác với phân bố cosin (góc chùm tia > 60°) trong một số mặt phẳng C: ≥ 10 x D
- Đối với DUT có phân bố góc hẹp hơn, phân bố cường độ sáng thay đổi lớn hoặc kiểm soát ánh sáng tới hạn: ≥ 15 x D
- Đối với DUT có các không gian không sáng lớn giữa các vùng sáng: ≥ 15 X (D+S)
trong đó D là kích thước phát sáng lớn nhất của DUT và S là khoảng cách lớn nhất giữa hai vùng sáng lân cận.
CHÚ THÍCH 1: Đối với các khoảng cách thử nghiệm này, có thể kỳ vọng là luật bình phương nghịch đảo của phép đo quang được kiểm tra xác nhận ở điểm tốt hơn 1 % trên trục quang, đến 3 % trong phạm vi hai lần góc chùm tia. Các khoảng cách thử nghiệm khác kiểm tra quy tắc này có thể được áp dụng mà không cần hiệu chỉnh. (Xem thêm c.3.6 của Phụ lục C).
CHÚ THÍCH 2: Đối với một số sản phẩm LED trong đó mỗi LED riêng lẻ đóng vai trò như các đèn chiếu nhỏ theo các hướng khác nhau (ví dụ LED phân kỳ trên đèn điện tuyến tính hoặc môđun LED riêng rẽ được lắp trong một đèn điện), các khoảng cách thử nghiệm khuyến cáo có thể là không đủ. Trong trường hợp có nghi ngờ thì cần kiểm tra xác nhận nếu luật bình phương nghịch đảo được áp dụng đúng.
Đối với phép đo quang trường gần, khoảng cách thử nghiệm được coi là không xác định về lý thuyết, nhưng cần được kiểm tra xác nhận.
Đối với phép đo quang thông tổng (và không dùng cho phân bố cường độ sáng), điều kiện trường xa là không cần thiết, vì quang thông tổng có thể rút ra bởi tích phân phân bố độ rọi.
Nhìn chung quang kế góc có một số vùng góc (được gọi là góc chết) tại đó phát xạ từ nguồn sáng bị chặn do cơ cấu của nó, ví dụ do tay đòn giữa nguồn sáng. Quang kế góc có góc chết lớn vượt quá góc khối 0,1 sr (ứng với góc nón xấp xỉ 10°) không được sử dụng để đo quang thông tổng của bóng đèn đa hướng hoặc đèn điện loại này trừ khi sử dụng các quy trình hiệu chỉnh thích hợp.
4.5.3.1 Quang kế góc sử dụng đầu đo quang
Đáp tuyến phổ tương đối của đầu đo quang (kết hợp với phản xạ phổ của gương nếu được sử dụng) phải phối hợp với hàm hiệu quả phổ ánh sáng đối với thị giác ban ngày V(ʎ). Chỉ số không tương thích V(ʎ) chung f’1 của đầu đo quang (kể cả gương nếu được sử dụng) phải đáp ứng các yêu cầu trong 4.5.1.
Trong trường hợp cần thiết, phải áp dụng hiệu chuẩn không tương thích phổ. Đối với hiệu chỉnh này, phân bố phổ tương đối của DUT và đáp tuyến phổ tương đối của đầu đo quang (kể cả gương Nếu được sử dụng) là cần thiết. Xem Phụ lục C đối với hiệu chuẩn không tương thích phổ.
Quang kế góc phải được hiệu chỉnh theo chuẩn cường độ sáng hoặc chuẩn độ rọi truy xuất đến SI, và nếu quang thông tổng cũng được đo, giá trị quang thông tổng đo được (tính bằng Im) cũng phải được kiểm tra xác nhận bằng cách đo chuẩn quang thông tổng truy xuất đến SI. Thay vào đó, hệ thống quang kế góc đối với phép đo quang thông tổng có thể được hiệu chuẩn theo chuẩn quang thông tổng truy xuất đến SI, nếu góc chết của quang kế góc không ảnh hưởng đến bóng đèn chuẩn quang thông tổng.
CHÚ THÍCH: Đối với quang kế góc kiểu gương, bóng đèn chuẩn cường độ sáng thường được sử dụng để hiệu chuẩn đầu đo quang, trong trường hợp này, khoảng cách đo quang và độ phản xạ của gương tự động được đưa vào hiệu chuẩn.
4.5.3.2 Phổ kế bức xạ góc
Phổ kế bức xạ góc phải được hiệu chuẩn theo chuẩn độ chiếu xạ phổ hoặc chuẩn cường độ bức xạ phổ được truy xuất đến SI. Đối với phổ kế bức xạ góc kiểu gương, phản xạ phổ của gương phải được tính đến nếu sử dụng chuẩn độ chiếu xạ phổ. Nếu thông lượng bức xạ phổ cũng được đo thì các giá trị (tính bằng W/nm) cũng phải được kiểm tra xác nhận bằng cách đo thông lượng bức xạ phổ tổng của bóng đèn chuẩn có thể truy xuất đến SI. Một cách khác, hệ thống phổ kế bức xạ góc dùng cho các phép đo thông lượng bức xạ phổ tổng hoặc quang thông tổng có thể được hiệu chuẩn theo chuẩn thông lượng bức xạ phổ tổng truy xuất được đến SI, nếu góc chết của phổ kế bức xạ góc không ảnh hưởng đến phép đo của bóng đèn chuẩn thông lượng bức xạ phổ tổng.
Phổ kế bức xạ được sử dụng cho hệ thống phổ kế bức xạ góc phải bao trùm dải bước sóng nhìn thấy được và có độ rộng băng thích hợp và khoảng quét đối với phép đo của LED cần thử nghiệm. Dải bước sóng phải bao trùm tối thiểu từ 380 nm đến 780 nm.
Yêu cầu cụ thể: Độ rộng băng tần (độ rộng toàn phần tại một nửa cực đại) và khoảng quét bước sóng không được lớn hơn 5 nm. Phổ kế bức xạ phải có độ không đảm bảo đo về bước sóng trong phạm vi 0,5 nm (k=2).
Phổ kế bức xạ phải có đáp ứng tuyến tính với bức xạ đầu vào ở mỗi bước sóng của dải bước sóng nhìn thấy. Ảnh hưởng của sự không tuyến tính phải được xem xét là một nguồn gây độ không đảm bảo,
Ánh sáng tạp tán bên trong phổ kế bức xạ phải được xem xét là một nguồn gây độ không đảm bảo.
4.5.3.3 Thiết bị đo màu (theo) góc
Thiết bị đo màu góc sử dụng các đầu đo màu kích thích ba màu (kết hợp bộ lọc-đầu thu có đáp tuyến phổ phối hợp với các hàm phối hợp CIE) để đo các giá trị kích thích ba màu X, Y, Z. Kênh Y của thiết bị đo màu góc phải đáp ứng tất cả các yêu cầu trong 4.5.3.1.
Nếu không được chứng minh khác, bản thân thiết bị đo màu góc không được sử dụng cho phép đo tuyệt đối các đại lượng màu, và chỉ có thể được sử dụng cho phép đo sai lệch màu (phép đo màu tương đối kết hợp với hiệu chuẩn bởi thiết bị đo phổ bức xạ đối với DUT cụ thể).
4.5.4 Thiết bị đo độ chói
Thiết bị đo độ chói phải được hiệu chuẩn với chuẩn độ chói truy xuất đến đơn vị SI. Sau đây áp dụng cho cả thiết bị đo độ chói cổ điển (các thiết bị đo độ chói điểm đơn) và các thiết bị đo độ chói ảnh (ILMD).
Đáp tuyển phổ tương đối của thiết bị đo độ chói phải phối hợp với hàm hiệu quả chiếu sáng phổ V(ʎ) Đối với thị giác ban ngày. Chỉ số không tương thích V(ʎ) chung f’1 của thiết bị đo độ chói phải đáp ứng các yêu cầu trong 4.5.1.
Khi cần, phải áp dụng hiệu chỉnh không tương thích phổ. Đối với hiệu chỉnh này, phân bố phổ tương đối của DUT và đáp tuyến phổ tương đối của quang kế là cần thiết. Xem Phụ lục C để có thông tin về hiệu chỉnh không tương thích phổ.
Nếu sử dụng ILMD, độ không đảm bảo đo phải được kiểm tra xác nhận bằng cách so sánh các kết quả đối với phân bố độ chói của thiết bị LED điển hình đo được với thiết bị đo độ chói điểm.
5 Chuẩn bị, điều kiện lắp đặt và hoạt động
5.1 Luyện
Luyện phải theo tiêu chuẩn tính năng của sản phẩm LED và OLED thích hợp (xem Điều 2).
5.2 Thiết bị thử nghiệm
Người yêu cầu thử nghiệm phải cung cấp đầy đủ các hướng dẫn cần thiết để sử dụng đúng. Các bộ phận quang của cơ cấu phải sạch, nếu không có yêu cầu khác của người yêu cầu thử nghiệm (ví dụ xác định các yếu tố bảo dưỡng).
5.3 Lắp đặt
5.3.1 Hướng hoạt động
Bóng đèn LED phải được hoạt động trong không khí lưu thông tự do ở tư thế thẳng đứng, đế phía trên, trừ khi hướng hoạt động khác được quy định bởi người yêu cầu thử nghiệm (hoặc quy định kỹ thuật). Nếu người yêu cầu thử nghiệm có công bố rằng bóng đèn thích hợp để sử dụng chỉ theo hướng quy định thì bóng đèn phải được lắp đặt theo hướng công bố trong tất cả các thử nghiệm. Nếu tư thế hoạt động khác được sử dụng trong quá trình thử nghiệm thì áp dụng các quy định kỹ thuật trong 4.2.5.
Đèn điện LED phải được lắp đặt ở tư thế hoạt động khuyến cáo bởi nhà chế tạo đối với sử dụng dự kiến sao cho điều kiện nhiệt của chúng do dòng không khí bên trong và bên ngoài cơ cấu sẽ giống như điều kiện sử dụng bình thường (về mặt tư thế hoạt động) và sự sắp thẳng hàng của chúng là đúng về mặt cơ khí và tất cả các thành phần được đặt vững chắc ở tư thế theo thiết kế. Các bộ phận điều chỉnh được phải được đặt đúng theo hướng dẫn của nhà chế tạo. Nếu sử dụng tư thể hoạt động khác trong quá trình thử nghiệm thì áp dụng quy định kỹ thuật trong 4.2.5.
Môđun LED có thể được hoạt động ở tư thế hoạt động bất kỳ nếu nhiệt độ của chúng được đặt và duy trì ở nhiệt độ tính năng tp.
Cơ cấu thử nghiệm phải được lắp đặt sao cho dẫn nhiệt bất kỳ qua các phần tử đỡ để giữ cơ cấu không gây ra ảnh hưởng làm mát đáng kể ngoài dự kiến.
CHÚ THÍCH 1: Ví dụ, đèn điện có thể được treo trong không khí bằng dây dẫn hoặc giữ bằng vật liệu đỡ có độ dẫn nhiệt thấp, ví dụ teflon.
Trong tất cả các trường hợp, tư thế của cơ cấu phải được ghi lại.
CHÚ THÍCH 2: Quá trình phát xạ ánh sáng của LED không bị ảnh hưởng bởi hướng (liên quan đến trọng lực). Tuy nhiên, hướng của Bóng đèn LED hoặc đèn điện LED có thể làm thay đổi các điều kiện nhiệt Đối với LED sử dụng trong thiết bị, và do đó ánh sáng phát ra có thể bị ảnh hưởng bởi hướng của thiết bị.
Đối với tất cả các bóng đèn OLED, áp dụng tư thế hoạt động đối với bóng đèn LED.
Đối với tất cả các môđun OLED và đèn điện OLED, áp dụng tư thế hoạt động đối với đèn điện LED.
Đối với các tile OLED và panel OLED, thử nghiệm phải được thực hiện ở tư thế nằm ngang với bề mặt phát xạ phần quang thông lớn nhất sẽ được hướng lên trên, trừ khi có quy định khác từ người yêu cầu thử nghiệm.
5.3.2 Hệ tọa độ
Phân bố quang và màu của thiết bị chiếu sáng phụ thuộc vào tư thế và hướng. Do đó hệ tọa độ phải liên kết với DUT và phân bố quang/màu được quy chiếu đến hệ tọa độ này. Tư thế cơ học của thiết bị được quy chiếu đến hệ tọa độ này phải là duy nhất và được công bố. Tâm của hệ tọa độ đồng nhất với tâm phép đo quang của DUT.
Hướng dẫn chung về hệ tọa độ được cho trong CIE 121-1996.
5.3.3 Tâm phép đo quang
Vị trí của tâm phép đo quang của thiết bị phải ở tâm của hình đặc được bao trong đường bao bởi các bề mặt phát sáng.
Đối với đèn điện có các mặt về cơ bản là trong mờ, trong đó các ngăn bóng đèn (hoặc môđun) về cơ bản là màu trắng hoặc phát sáng, tư thế phải ở tâm của lỗ hở chính của đèn điện, nhưng đối với đèn điện LED có các mặt trong mờ, trong đó các ngăn bóng đèn (hoặc môđun) về cơ bản là màu đen hoặc không phát sáng, thì vị trí phải ở tâm của phép đo quang của bóng đèn (tâm của hình đặc được bao trong đường bao bởi các bề mặt phát sáng của bóng đèn hoặc tâm của môđun).
Khi sử dụng quang kế góc và thiết bị đo trường xa có nhiều vùng phát ánh sáng có phân cách rõ ràng và không phù hợp với yêu cầu cụ thể đối với khoảng cách thử nghiệm trong 4.5.3, thiết bị phải được đo theo một vài bước với từng vùng phát sáng được đặt tại tâm một cách tương ứng. Dữ liệu đối với từng vùng phát sáng phải được ghi lại.
CHÚ THÍCH: Vùng phát sáng được coi là được phân cách rõ ràng khi độ lệch với luật bình phương nghịch đảo khi được đo cùng nhau là không đáng kể.
Hướng dẫn thêm về tâm phép đo quang được cho trong 5.3.2 của CIE 121-1996.
5.4 Điều kiện hoạt động của thiết bị LED
5.4.1 Quy định chung
Thiết bị LED có điều khiển độ sáng phải được điều chỉnh để có ánh sáng phát ra lớn nhất đối với tất cả các thử nghiệm hoặc đến các mức xác định trước nếu được người yêu cầu thử nghiệm hướng dẫn.
Thiết bị LED có mạch điều khiển phản hồi bên trong không điều chỉnh được từ bên ngoài phải được thử nghiệm như được giao.
Thiết bị LED có điểm màu điều chỉnh được phải được điều chỉnh hoặc đặt đến các giá trị đặt xác định như chỉ ra bởi nhà chế tạo hoặc người yêu cầu thử nghiệm.
Thiết bị LED có phổ trắng điều chỉnh được phải được điều chỉnh đến các giá trị quy định bởi người yêu cầu thử nghiệm hoặc theo tiêu chuẩn liên quan.
Đối với thiết bị LED nhiều màu, ví dụ thiết bị LED RGB, từng màu phải được đo riêng với giá trị đặt công suất đầy đủ và tất cả các màu cùng với giá trị đặt công suất đầy đủ. (công suất toàn phần)
5.4.2 Bóng đèn LED
Bóng đèn LED được đo trong các điều kiện thử nghiệm tiêu chuẩn và ghi lại dữ liệu đối với tamb = 25 °C. Nếu nhà chế tạo công bố nhiệt độ hoạt động khác, các kết quả đo được ở nhiệt độ cho trước phải được ghi lại hoặc hệ số chuyển đổi vận hành phải được cung cấp dưới dạng bảng hoặc đồ thị đối với các nhiệt độ này.
5.4.3 Môđun LED
CHÚ THÍCH: Không áp dụng 5.4.3 cho các nguồn sáng OLED.
Đối với môđun LED không có bộ điều khiển, người yêu cầu thử nghiệm phải cung cấp các quy định kỹ thuật cần thiết đối với thiết bị phụ trợ cần sử dụng.
Môđun LED được đo trong các điều kiện thử nghiệm tiêu chuẩn ở nhiệt độ tính năng danh định. Nhiệt độ tại điểm t phải được đặt ở giá trị này đối với các phép đo. Nếu không tiếp cận được, nhà chế tạo hoặc người yêu cầu thử nghiệm phải chỈ ra điểm theo dõi nhiệt độ. Nếu cần các bộ tản nhiệt cho hoạt động đúng của môđun LED và môđun LED không có bộ tản nhiệt riêng thì cho phép sử dụng bộ tản nhiệt có khống chế nhiệt độ thích hợp. Cũng có thể áp dụng các kỹ thuật nội suy (xem Phụ lục C).
Môđun LED có thể cho thấy nhiều hơn một giá trị nhiệt độ tính năng lớn nhất tp,n.
Khối sáng không có cơ cấu tản nhiệt được đo ở nhiệt độ tính năng danh định nêu trên.
Khối sáng có cơ cấu tản nhiệt phải được đo trước tiên trong các điều kiện thử nghiệm tiêu chuẩn đối với tamb = 25 °C, với giá trị t được đo và ghi lại. Sau đó thực hiện các phép đo ở nhiệt độ tính năng quy định ở điểm tp. Nếu điểm t không tiếp cận được thì người yêu cầu thử nghiệm phải chỉ ra điểm để theo dõi nhiệt độ.
5.4.4 Đèn điện LED
Đèn điện LED được đo trong các điều kiện thử nghiệm tiêu chuẩn tại tamb = 25 °C.
CHÚ THÍCH: tp không liên quan đến người sử dụng cuối cùng của đèn điện LED và thường không tiếp cận được.
Dữ liệu phải được ghi lại Đối với tamb = 25 °C. Nếu công bố nhiệt độ môi trường tính năng lớn nhất danh định t khác với 25 °C, thì phải sử dụng hệ số chuyển đổi đối với nhiệt độ này (xem thêm 4.2.2 và C.1.2). Có thể công bố nhiều hơn một nhiệt độ môi trường tính năng lớn nhất danh định.
5.4.5 Tile OLED và panel OLED
Tile OLED và panel OLED được đo trong các điều kiện thử nghiệm tiêu chuẩn và dữ liệu phải được ghi lại đối với tamb = 25 °C. Nếu người yêu cầu thử nghiệm đòi hỏi nhiệt độ làm việc khác, các kết quả đo phải được ghi lại ở nhiệt độ cho trước hoặc hệ số chuyển đổi vận hành phải được cung cấp bởi bảng hoặc đồ thị cho các nhiệt độ này. Đối với tile OLED và panel OLED không có bộ điều khiển đi kèm, người yêu cầu thử nghiệm phải cung cấp các quy định kỹ thuật cần thiết cho thiết bị phụ trợ cần sử dụng.
6 Đo các đại lượng quang
6.1 Khái quát chung
Tiêu chuẩn này đề cập đến việc đo lường các đại lượng trắc quang sau đây:
- quang thông tổng,
- hiệu suất sáng,
- phân bố cường độ sáng, và
- độ chói.
Phương pháp trắc quang tuyệt đối được yêu cầu đối với tất cả các thiết bị LED.
6.2 Đo quang thông tổng
Hướng dẫn chung về các phép đo quang thông tổng được nêu trong CIE 84-1989.
Quang thông của một nguồn sáng có thể được xác định theo các phương pháp khác nhau. Phương pháp có thể được lựa chọn tùy theo các đại lượng đo lường khác (màu, phân bố cường độ sáng) cần được đo như thế nào hoặc tùy thuộc kích thước hình học của DUT. Có thể sử dụng các phương pháp:
- Phương pháp A : Phép đo với quả cầu tích phân (với đầu đo quang hoặc quang phổ bức xạ kế).
Về lý thuyết quả cầu, xem CIE 84-1989, 6.2.
- Phương pháp B : Tính toán từ phân bố cường độ sáng.
Về nguyên lý tính toán, xem CIE 84-1989, Điều 4.
Cường độ sáng có thể được xác định từ độ chói tích hợp, xem CIE 70-1987, 2.2.
- Phương pháp C : tính toán từ phân bố độ rọi và khoảng cách trắc quang.
Về nguyên lý tính toán, xem CIE 84-1989, Điều 5.
Phương pháp A thích hợp để đo bóng đèn LED và môđun LED. Quang thông của đèn điện LED phải được xác định bằng phép tích phân thích hợp từ dữ liệu phân bổ cường độ sáng hoặc dữ liệu phân bố độ rọi (phương pháp B hoặc phương pháp C). Nếu đèn điện LED đủ nhỏ so với quả cầu thì phương pháp A cũng có thể áp dụng. Đối với phép đo quang thông từng phần (xem 6.3): áp dụng phương pháp B hoặc cũng có thể sử dụng phương pháp C với công thức tính phù hợp.
Có hai vị trí có thể lắp đặt DUT trong quả cầu tích phân:
- Cấu hình 4π: Đối với tất cả các loại thiết bị LED, đặc biệt với thiết bị có phân bố đa hướng, DUT thường được lắp tại tâm quả cầu ở tư thế hoạt động quy định. Nếu có thể, DUT được định hướng sao cho lượng ánh sáng trực tiếp chiếu lên tấm chắn sáng là nhỏ nhất. Các nguồn sáng dạng thẳng phải được bố trí sao cho trục của chúng trùng với đường thẳng nối giữa đầu thu và tâm quả cầu. Quả cầu được hiệu chuẩn với bóng đèn chuẩn quang thông được đặt tại cùng vị trí như của DUT.
- Cấu hình 2π: Đối với các nguồn sáng LED có kiểu phân bổ bán cầu hoặc định hướng, không phát sáng về phía sau, DUT có thể được lắp đặt tại một vị trí trên thành quả cầu và phải bảo đảm đúng tư thế hoạt động quy định của DUT. Có thể sử dụng một tấm chắn nhỏ để ngăn nguồn sáng chiếu trực tiếp lên đầu thu. Trong trường hợp này quả cầu được hiệu chuẩn với bóng đèn chuẩn quang thông có phân bổ kiểu bán cầu được đặt tại cùng vị trí như của DUT.
CHÚ THÍCH 1: Ví dụ về cấu hình 4π và 2π của quả cầu tích phân được giới thiệu ở CIE 127:2007, Hình 9.
Một hệ số hiệu chỉnh sự tự hấp thụ phải được áp dụng bằng phương pháp sử dụng bóng đèn phụ trợ (CIE 84-1989) trừ khi DUT và chuẩn quang thông tương tự về kích thước và tính chất phản xạ và chứng minh được rằng có thể bỏ qua việc hiệu chỉnh đối với sự kết hợp của bóng đèn chuẩn sử dụng và loại DUT được đo. Đối với các quang phổ bức xạ kế, việc đo với bóng đèn phụ trợ và hiệu chỉnh tự hấp thụ được thực hiện đo theo phổ.
CHÚ THÍCH 2: Nếu đo nhiều DUT của cùng một model, có thể sử dụng cùng hệ số hiệu chỉnh sự tự hấp thụ đối với bóng đèn chuẩn cụ thể.
Sự khác biệt về phân bố cường độ sáng theo góc của DUT và chuẩn quang thông tham chiếu phải được đánh giá và, nếu có khác biệt đáng kể thì phải hiệu chỉnh các sai số có liên quan.
Đối với bóng đèn OLED, phương pháp A là phù hợp nhất.
Đối với tile OLED, panel OLED, đèn điện OLED và môđun OLED, quang thông phải được xác định bằng phép tích phân thích hợp từ dữ liệu phân bố cường độ sáng hoặc dữ liệu phân bố độ rọi (Phương pháp B hoặc phương pháp C). Cho phép áp dụng phương pháp A Nếu tile OLED, panel OLED, đèn điện OLED hoặc môđun OLED là đủ nhỏ so với quả cầu (xem 4.5.2). Nếu không có quy định khác, panel OLED được đo theo cách sao cho tính cả ánh sáng phát ra từ các mép. Đối với panel OLED được thiết kế để phát ánh sáng từ cả hai phía và đối với các OLED không phẳng, phải sử dụng cấu hình 4π.
6.3 Quang thông từng phần
Đối với góc hình nón α xác định, quang thông từng phần được tính là tổng của các dữ liệu phân bố cường độ /(θi,φi), với các khoảng quét ∆θ và ∆φ.
Nếu có một điểm đo θk nằm chính xác trên α/2 (ví dụ như α/2=45° và θi = ..., 40°, 45°, 50°,...), tổng được tính theo công thức
|
| (4) |
trong đó
|
| (5) |
n là số lượng góc φ và k là số lượng góc θ.
Nếu α/2 nằm chính giữa hai điểm góc θ đo được, tức là α/2 = θi + ∆θ/2 (ví dụ như α/2=45° và θi = ..., 40°, 45°, 50°,...)
|
| (6) |
trong đó
|
| (7) |
Nếu quang kế góc không được hiệu chuẩn theo thang đo tuyệt đối thì tỷ số giữa quang thông tổng và quang thông từng phần có thể xác định được bằng quang kế góc, quang thông tổng có thể được đo bằng quả cầu tích phân, còn quang thông từng phần có thể được tính bằng cách nhân quang thông tổng với tỷ số đó.
Khi đo quang thông từng phần với góc hình nón từ 90° trở lên, phép đo phải được thực hiện với các khoảng góc quét bằng 5° hoặc nhỏ hơn đối với các góc θ (các góc γ trong hệ tọa độ C, γ) và khoảng góc quét bằng 45° hoặc nhỏ hơn đối với các góc φ (các góc C trong hệ tọa độ C,y). có thể cần các khoảng góc quét nhỏ hơn đối với DUT trong một số ứng dụng nhất định (ví dụ đèn điện chiếu sáng đường phố).
6.4 Hiệu suất sáng
Hiệu suất sáng ηv, tính bằng lm/W, được xác định bằng tỷ số giữa quang thông Φ của thiết bị LED và công suất điện Ptot, bao gồm tất cả các thành phần cần thiết để thiết bị LED hoạt động.
| ηv = Φ/Ptot | (8) |
Quang thông của sản phẩm LED được đo theo 6.2. Công suất điện được đo theo 4.3.2 hoặc do người yêu cầu thử nghiệm quy định đối với các thiết bị LED không tích hợp hoặc nửa tích hợp.
CHÚ THÍCH: Cụm từ "hiệu suất sáng" trong tài liệu này được dùng với nghĩa là hiệu suất sáng của một nguồn sáng theo định nghĩa trong Từ vựng kỹ thuật điện quốc tế (ILV).
6.5 Phân bố cường độ sáng và cách trình bày dữ liệu
Nếu không có quy định khác, phải sử dụng hệ tọa độ CIE C; γ (xem CIE 121-1996) (xem 5.3).
Khoảng góc giữa các số đọc cường độ trong các mặt phẳng thẳng đứng và khoảng cách góc giữa các mặt phẳng thẳng đứng liền kề phải sao cho phân bố cường độ sáng có thể được thể hiện chính xác và cũng cho phép nội suy các giá trị cường độ trong quá trình xử lý sau đó (tính toán chiếu sáng) với độ chính xác chấp nhận được, số lượng các mặt phẳng cũng cần được xác định bởi bản chất của dạng phân bố có liên quan đến tính đối xứng hay bất thường và đến các kết quả cuối cùng được kỳ vọng của thử nghiệm. Hướng dẫn về phép trắc quang góc của đèn điện trong các ứng dụng cụ thể có thể sẵn có trong các Báo cáo Kỹ thuật thích hợp của CIE cho các ứng dụng chiếu sáng.
Phép đo phân bố cường độ sáng thường được thực hiện với các quang kế góc. Điều khoản áp dụng quang kế góc: xem 4.5.3. Đối với loại quang kế góc, xem thêm CIE 121-1996.
6.5.1 Bóng đèn LED và môđun LED
Phân bổ cường độ sáng của các thiết bị này phải được thể hiện bằng candela (cd).
6.5.2 Đèn điện LED
Phân bố cường độ sáng của các thiết bị này phải được thể hiện bằng candela (cd).
CHÚ THÍCH 1: Đối với các chương trình tính toán chiếu sáng đòi hỏi dữ liệu phân bổ cường độ sáng đo bằng đơn vị cd/klm thì các giá trị cường độ sáng theo tỷ lệ, Ichuẩn hóa theo quang thông có thể được tính bằng công thức
| Ichuẩn hóa theo quang thông = Iđo x (1 000 / Φđèn) | (9) |
trong đó Φđèn là quang thông tổng (tính bằng lumen) của đèn điện LED và Iđo là cường độ sáng đo được (tính bằng candela). Quang thông tổng đầu ra của bóng đèn LED phải được công bố.
CHÚ THÍCH 2: Có thể xác định LOR cho đèn điện LED bằng cách sử dụng một nguồn sáng thay thế được (ví dụ Bóng đèn LED) trong một số trường hợp. Việc sử dụng LOR không được khuyến khích đối với đèn điện LED có nguồn sáng LED không thay thế được. Đối với các đèn điện LED có nguồn sáng LED không thay thể được, chỉ có thể đo quang thông tổng của đèn điện, trong trường hợp đó, LOR là 100% và không có nghĩa.
6.6 Cường độ chùm tia trung tâm và góc chùm tia
Phân bố cường độ sáng phải được đo như trong 6.5. Xem Điều 6 và Điều 7 của IEC/TR 61341:2010 để có hướng dẫn cách xác định cường độ chùm tia trung tâm và các góc chùm tia dựa trên phân bố cường độ sáng.
CHÚ THÍCH: Khi đo phân bố cường độ sáng bằng quang kế góc, hướng (0, 0) thường được chọn là hướng của trục phát quang theo thiết kế (trục tham chiếu cơ) của nguồn sáng, là trục đi qua tâm trắc quang và vuông góc với mặt phẳng phát sáng, trừ khi nhà sản xuất có quy định khác. Trong IEC/TR 61341, cường độ tia trung tâm được xác định theo hướng của trục quang của chùm sáng quan sát được (trục mà phân bố cường độ sáng bao quanh đối xứng lớn nhất) và góc chùm tia được đo xung quanh trục chùm tia quan sát được. Trục tham chiếu cơ có thể được sử dụng để đo nhưng khi đánh giá thì phải thực hiện xung quanh trục chùm tia quan sát được. Phương pháp xác định trục chùm tia này được mô tả trong Điều 6 của IEC/TR 61341. Trục tham chiếu cơ và trục chùm tia quan sát được có thể không trùng nhau và sự khác biệt này phải được xem xét khi đánh giá góc chùm tia.
6.7 Đo độ chói
Đối với các mặt phẳng chiếu sáng tương đối đồng đều, các phép đo sau đây có thể được áp dụng:
a) Đo độ chói trung bình của toàn bộ đèn điện theo một hướng cho trước, hoặc theo các hướng khác nhau: Phương pháp này thường được sử dụng, ví dụ, để đánh giá độ chói lóa, Trong phương pháp này, cường độ sáng (phân bố cường độ sáng) được đo, thông thường với một quang kế góc, và độ chói trung bình được tính bằng cách lấy cường độ sáng chia cho hình chiếu diện tích sáng.
b) Đo "độ chói của các vùng có diện tích nhỏ": Phương pháp này thường được sử dụng để đánh giá độ không đồng đều về mặt không gian của độ chói của các đèn điện lớn dùng trong nhà, để có thông tin chi tiết, xem CIE 121, 6.5.3. Độ chói trung bình của các vùng nhỏ xác định trong phạm vi diện tích sáng của đèn điện (chỉ quy định cỡ và hình dạng; thực hiện bằng tấm che có lỗ khoét) được đo theo (các) hướng cho trước. Các vùng này được phân bố trên bề mặt phát sáng của đèn điện và độ chói trung bình được xác định với từng vùng. Giá trị lớn nhất và nhỏ nhất của các độ chói trung bình này sẽ được ghi lại. Phép đo có thể được thực hiện với quang kế góc đặt theo một hướng định trước, sử dụng tấm che vật lý (physical mask) như trên, di chuyển xung quanh vùng phát sáng của đèn điện (sử dụng nguyên lý như mô tả trong phương pháp a) hoặc với một thiết bị đo độ chói để đo độ chói trung bình của các vùng phát sáng ở các vị trí khác nhau.
c) Đo độ chói trung bình của môđun OLED, panel OLED và tile OLED
Theo quy ước, đo độ chói trung bình của môđun OLED, panel OLED và tile OLED phải được thực hiện vuông góc với bề mặt phát ánh sáng của thiết bị cần thử nghiệm (DUT). Để triệt tiêu ảnh hưởng có thể có của vùng giáp ranh, có thể yêu cầu các vùng loại trừ tiếp giáp với các mép hoặc các điểm đặc trưng khác.
Vị trí lắp đặt phải theo 4.2.5 và 5.3.1 trừ khi có đòi hỏi khác từ người yêu cầu thử nghiệm. Có thể cần định vị panel theo hướng khác trong các phép đo để duy trì khoảng cách đủ giữa panel OLED hoặc tile OLED và thiết bị đo quang. Vị trí đo này phải được ghi lại và nếu việc thay đổi vị trí này của DUT gây ảnh hưởng đáng kể đến đầu ra (ví dụ thay đổi độ chói hoặc nhiệt độ bề mặt theo thời gian sau khi thay đổi) thì các kết quả đo phải được hiệu chỉnh về điều kiện tiêu chuẩn. Có thể yêu cầu việc khống chế nhiệt độ.
Cần thận trọng trong bố trí thử nghiệm để đảm bảo rằng ảnh sáng tạp tán phát ra từ DUT và phản xạ từ các đối tượng khác ngược về DUT là nhỏ nhất. Hướng dẫn chung về che chắn chống ánh sáng tạp tán được cho trong Phụ lục B.
Các phép đo có thể được thực hiện bằng cách sử dụng thiết bị đo độ chói điểm (thiết bị đo độ chói điểm) hoặc thiết bị đo ảnh độ chói (ILMD).
Nếu sử dụng thiết bị đo độ chói điểm, đo độ chói trung bình, Lav, phải đạt được từ trung bình số học của tất cả các giá trị độ chói trong lưới quy định. Cỡ lưới và số lượng điểm đo phải được chọn theo tiêu chuẩn liên quan hoặc quy định kỹ thuật của khu vực. Cỡ điểm phải thích hợp với khoảng cách giữa các điểm trong lưới. Mặc định, phải sử dụng lưới hai chiều gồm các điểm đo cách đều nhau 5x5; tuy nhiên có thể cần nhiều điểm đo hơn trong trường hợp tính không đồng nhất cao, số lượng các điểm của lưới và hình dạng hình học của chúng liên quan đến thiết bị đo phải được ghi lại.
Nếu sử dụng ILMD, độ chói trung bình phải được tính từ trung bình của các phép đo độ chói của toàn bộ bề mặt ánh sáng ra, ngoại trừ vùng được loại trừ tiếp giáp với các mép hoặc các điểm đặc trưng khác, nếu có quy định. Trường đo phải được chọn sao cho có số lượng pixel đủ để lấy mẫu vùng đo trên DUT. Vùng đo được sử dụng để xác định độ chói phải được ghi lại.
Khoảng cách thử nghiệm (khoảng cách từ thiết bị đo đến nguồn sáng OLED) phải được chọn sao cho ảnh hưởng của việc thay đổi độ chói như là hàm của hướng từng phép đo độ chói quang qua bề mặt ánh sáng ra là không đáng kể.
Khoảng cách thử nghiệm sao cho ảnh hưởng của hướng phát xạ là không đáng kể, các phép đo này có thể được thực hiện theo cấu hình ở đó ILMD hoặc thiết bị đo độ chói điểm được duy trì ở vị trí cố định trên trục chuẩn của DUT và, trong trường hợp thiết bị đo độ chói điểm, được xoay để đo tất cả các điểm trong lưới đo yêu cầu (phương pháp điểm thuận lợi).
Nếu không thể thực hiện các phép đo ở khoảng cách đủ so với kích thước và đặc tính phát xạ của DUT, hướng của ILMD hoặc thiết bị đo độ chói điểm phải được giữ không đổi và được di chuyển bên trong một mặt phẳng vuông góc với hướng đo để đạt được tất cả các điểm đo yêu cầu (phương pháp điểm vuông góc). Trong một số trường hợp, cho phép sử dụng kết hợp hai phương pháp, ví dụ để chia bề mặt của panel thành các vùng nhỏ hơn và sử dụng phương pháp điểm thuận lợi đối với từng vùng.
d) Đo độ đồng đều của độ chói bề mặt của OLED
Độ đồng đều độ chói của bề mặt có thể rút ra từ các giá trị độ chói đạt được bằng cách sử dụng phương pháp c), mặc dù trong một số trường hợp cho phép sử dụng các lưới khác.
CHÚ THÍCH: Có các tiêu chí khác nhau có thể sử dụng để đánh giá độ đồng đều độ chói của bề mặt. Độ đồng đều độ chói dựa trên các thương số của các giá trị độ chói đo được trên bề mặt đó. Các lưới cần sử dụng và các tỷ số áp dụng được xác định bởi người yêu cầu thử nghiệm hoặc theo tiêu chuẩn quốc gia hoặc quy định kỹ thuật địa phương.
Nếu các nguồn sáng LED và đèn điện LED không có chụp khuếch tán ánh sáng và được coi là tổng các nguồn điểm (vì vậy nhìn thấy như một tập hợp các vùng sáng và không sáng bên trong một đường bao), thì không sử dụng được phương pháp a) ở trên để xác định độ chói trung bình từ cường độ sáng theo hướng nhìn và hình chiếu diện tích phát sáng (đường bao ngoài của diện tích phát sáng). Đối với các thiết bị LED như vậy, chỉ các phép đo độ chói của các vùng phát sáng nhỏ ở trong diện tích phát sáng là thích hợp. Phép đo như vậy có thể được thực hiện với một thiết bị đo độ chói hoặc một thiết bị đo ảnh độ chói (ILMD).
CHÚ THÍCH: Diện tích chiếu sáng có thể được tính toán trong khi tính tổng diện tích hình ảnh của tất cả các điểm ảnh nếu ILMD được hiệu chuẩn theo không gian của hình ảnh. Thuật toán để phân chia giữa diện tích phát sáng và nền phải được xác định tùy theo ứng dụng (ví dụ ngưỡng cố định, ngưỡng thích ứng).
7 Đo các đại lượng màu
7.1 Phép đo màu
7.1.1 Khía cạnh chung
Các đại lượng đo màu sau đây được đề cập trong tiêu chuẩn này:
- tọa độ màu
- nhiệt độ màu tương quan
- khoảng cách từ quỹ tích Plank
- chỉ số hoàn màu
- sự đồng đều màu theo góc
Tính toán các đại lượng đo màu phải xét đến ISO 11664-1:2007(E)/CIE S 014-1/E:2007, ISO 11664- 2:2007(E)/CIE S 014-2/E:2006 và ISO 11664-3:2012(E)/CIE S 014-3/E:2011. Các đại lượng màu này được đo bằng quang phổ kế bức xạ. Thiết bị đo kích thích ba màu thường không đủ chính xác với các phép đo màu tuyệt đối nhưng có thể được sử dụng để đánh giá sự thay đổi màu theo các hướng khác nhau.
Các chỉ số hoàn màu đòi hỏi các dữ liệu phổ.
Các đại lượng đo màu của bóng đèn LED, môđun LED và đèn điện LED có thể không đồng đều theo góc.
Các phép đo màu hoặc quang phổ có thể được thực hiện sử dụng một trong các cách sau:
a) theo một hướng xác định;
b) là phân bổ theo hướng sử dụng thiết bị đo màu theo góc hoặc quang kế phổ bức xạ góc;
c) là các giá trị được lấy trung bình theo không gian (tức là từ tổng thông lượng bức xạ phổ), sử dụng quả cầu tích phân hoặc lấy trung bình các dữ liệu đo bức xạ phổ góc hoặc dữ liệu đo màu góc.
Các đại lượng màu được lấy trung bình theo không gian được sử dụng với tất cả các bóng đèn LED, khối sáng LED và đèn điện LED trừ khi nhà sản xuất hoặc người yêu cầu thử nghiệm có quy định khác.
Các đại lượng màu được lấy trung bình theo không gian có thể đạt được bằng sử dụng một trong các phương pháp sau:
1) Các phép đo cầu đo quang phổ cung cấp các đại lượng màu được lấy trung bình theo không gian tính được từ tổng thông lượng bức xạ theo phổ;
2) Nếu có sẵn dữ liệu đo quang phổ theo góc thì tổng thông lượng bức xạ theo phổ được tính dựa trên việc tính các đại lượng màu được lấy trung bình theo không gian;
3) Nếu có sẵn dữ liệu đo màu theo góc của X(θ,φ), Y(θ,φ) và Z(θ,φ) thì các giá trị kích thích ba màu được tích phân theo không gian X, Y, Z được tính theo công thức
|
| (10) |
|
| (11) |
|
| (12) |
Tọa độ màu, nhiệt độ màu tương quan và các đại lượng đo màu khác được tính từ các giá trị kích thích ba màu X, Y, Z. Nếu có số liệu cho các giá trị tọa độ màu X, Y và cường độ sáng ở mỗi góc thì có thể chuyển đổi về X, Y, Z để áp dụng phương pháp này.
Các chỉ số hoàn màu chỉ có thể nhận được phương pháp 1 hoặc 2.
Các tọa độ màu (x, y) và/hoặc (u', v') được tính theo CIE 15.
7.1.2 Nhiệt độ màu tương quan (nguồn sáng LED trắng)
Màu có thể được biểu diễn bằng nhiệt độ màu tương quan (Tcp) và tham số Duv. Nhiệt độ màu tương quan được tính theo CIE 15. Duv là khoảng cách có dấu từ quỹ tích Plank trên biểu đồ CIE
, giá trị này có dấu dương khi ở trên và dấu âm khi ở dưới quỹ tích Plank.
7.1.3 Chỉ số hoàn màu (nguồn sáng LED trắng)
Các chỉ số hoàn màu được tính theo CIE 13.3.
7.1.4 Độ đồng đều màu theo góc
Độ đồng đều màu theo góc được đo bằng độ lệch chuẩn lớn nhất của tọa độ màu (u', v') của thiết bị LED phát ra từ các hướng khác nhau, so với tọa độ màu trung bình theo không gian (u'a, v'a), theo công thức
![]()
Các tọa độ màu (u', v') được đo bằng thiết bị đo màu theo góc hoặc phổ kế bức xạ góc ở các khoảng góc thẳng đứng 10° hoặc nhỏ hơn (nên chọn giá trị 2,5°) và khoảng góc theo chiều ngang là 90° hoặc nhỏ hơn (nên chọn giá trị 22,5°). Đối với các đèn có bộ phận phản xạ, bước tăng góc phải là 1/10 của góc chùm tia hoặc nhỏ hơn (đường kính góc của nón phát ra nhiều hơn 1/2 cường độ đỉnh) nhưng không lớn hơn 10°. Bỏ qua dữ liệu đo được ở các điểm góc mà cường độ chói nhỏ hơn 10 % cường độ đỉnh trong tính toán (trừ khi có quy định khác trong tiêu chuẩn sản phẩm liên quan).
Tọa độ màu trung bình (u'a, v'a) trong công thức này được tính từ các điểm đo bằng máy đo màu theo góc được mô tả ở trên sử dụng quy trình tính toán trong 7.1.1 điểm 3), mà không sử dụng hệ thống đo khác (ví dụ phổ kế bức xạ cầu). Nếu sử dụng dữ liệu từ một hệ thống đo khác thi có thể có một số sai số vì các điểm có cường độ sáng thấp có thể được đưa vào các kết quả khác. Thêm nữa, độ chính xác tuyệt đối của phép đo màu đối với độ đồng đều màu theo góc là không quan trọng như Đối với phép đo màu của DUT mô tả trong 7.1.1.
CHÚ THÍCH: Hướng dẫn chung về quy định kỹ thuật khác nhau về màu đối với các nguồn sáng được giới thiệu trong CIE TN 001:2014.
7.1.5 Độ đồng đều màu theo mặt phẳng
Với OLED, hướng đo và góc khối phải được chọn theo cách để ảnh hưởng của sự thay đổi màu như là hàm của của hướng phát xạ là không đáng kể. Đối với các phép đo độ đồng đều màu theo mặt phẳng, sử dụng lưới thử nghiệm tương tự như với độ đồng đều độ chói (xem 6.7 d)).
8 Độ không bao đảm đo
Độ không bảo đảm đo phải được đánh giá theo TCVN 7870 (ISO/IEC Guide 98-3) và các bổ sung của tiêu chuẩn này. Độ không bảo đảm đo cũng được hướng dẫn trong CIE 198.
Đối với tất cả các đại lượng đo được thì độ không bảo đảm đo mở rộng phải được nêu rõ và trình bày với độ tin cậy 95 %. Độ không bảo đảm đo mở rộng phải được công bố với nhiều nhất 2 chữ số có nghĩa.
Đối với mục đích thử nghiệm, mỗi báo cáo thử nghiệm phải ghi rõ các giá trị độ không bảo đảm đo của một sản phẩm điển hình thuộc loại tương tự có phân bổ phổ và phân bổ cường độ sáng tương tự như với DUT (xem chú thích 1). Trong trường hợp này loại sản phẩm sử dụng trong bảng dự tính độ không đảm bảo đo phải được công bố trong báo cáo thử nghiệm (xem chú thích 2). Các phòng thí nghiệm phải có bảng dự tính độ không bảo đảm đo cho loại sản phẩm tương đương và bảo đảm luôn có sẵn theo yêu cầu. Nếu bảng dự tính độ không bảo đảm đo được xây dựng cho một dải các sản phẩm (ví dụ CCT từ 2700 K đến 4000 K), phải công bố giá trị độ không bảo đảm đo lớn nhất trong dải.
CHÚ THÍCH 1: Trong tình huống này, các sản phẩm có thể coi là loại tương tự nếu các tính chất dưới đây là giống với DUT: loại bột huỳnh quang hoặc loại RGB(A); dạng hình học tương tự (loại compact hoặc loại ống đối với bóng đèn); phân bố cường độ sáng tương tự; đa hướng hoặc định hướng (góc chùm tia trong khoảng từ + 50 % và - 25 % giá trị của DUT); CCT trong khoảng ± 15 % giá trị CCT của DUT.
CHÚ THÍCH 2: Một ví dụ công bố trong báo cáo thử nghiệm: “ Độ không bảo đảm đo được công bố trong báo cáo thử nghiệm này là cho một loại sản phẩm tương tự: bóng đèn LED loại phủ chất huỳnh quang (compact), định hướng (góc chùm tia 60°), CCT 3500K." Nếu loại DUT không phù hợp với phân loại được liệt kê trong Chú thích 1, thì loại sản phẩm phải được mô tả cụ thể.
CHÚ THÍCH 3: Khi hiệu chỉnh các kết quả đo, việc hiệu chỉnh phải luôn sử dụng các đặc tính của DUT (hoặc sản phẩm cùng mô hình), và không phải sản phẩm loại tương tự.
Vì lý do thực tế, có thể không thường xuyên phải đánh giá hoặc đo lường ảnh hưởng lặp lại giữa các hoạt động khởi động nguội khác nhau của DUT; tuy nhiên thông tin này phải được biết từ các khảo sát điển hình và phải được đưa vào đánh giá độ không bảo đảm đo. Điều này cần được nhắc tới trong bảng dự tính độ không bảo đảm đo, trong đó thông số này phải được đánh giá từ dữ liệu đặc trưng về kiểu loại hoặc từ số liệu đo riêng của DUT.
Đối với phân bố cường độ sáng, độ không bảo đảm đo phải được báo cáo ít nhất ở một hướng đại diện cho trước, tại đó cường độ chói khá đồng đều. Độ không đảm bảo đo của giá trị đặt theo góc (bao gồm việc sắp đặt DUT trong thiết bị đo góc) hoặc phép đo phải được báo cáo riêng rẽ.
Đối với phân bố độ chói, độ không bảo đảm đo phải được báo cáo ít nhất ở một điểm đại diện, tại đó phân bổ độ sáng khá đồng đều.
8.1 Hướng dẫn về bảng dự tính độ không bảo đảm đo
Các thành phần chung của độ không bảo đảm đối với phép đo thiết bị LED và OLED được liệt kê dưới đây.
8.1.1 Các tham số chung của tất cả các phép đo
Tối thiểu phải xem xét các thành phần sau:
• Giá trị đặt của nhiệt độ và độ không bảo đảm của phép đo nhiệt độ
• Giá trị đặt về điện và độ không bảo đảm của phép đo điện (nguồn điện, thiết bị đo điện)
• Dao động ánh sáng phát ra của DUT (nếu đáng kể)
• Chuẩn hiệu chuẩn (chứng chỉ hiệu chuẩn)
• Hoạt động của chuẩn hiệu chuẩn (luyện, phép đo điện, quá trình hiệu chuẩn)
• Độ tuyến tính của dụng cụ đo
• Độ tái lập và lặp lại (nếu có thể áp dụng thì giá trị mặc định của thiết bị và loại thiết bị nói chung có thể được sử dụng nếu không được đánh giá đối với DUT cụ thể)
Đối với tất cả các phép đo không chỉ các thành phần đóng góp từ hệ thống và quy trình đo mà còn các thành phần đóng góp từ đặc tính riêng của DUT (hoặc loại tương tự) phải được tính đến.
8.1.2 Quang thông
Để bổ sung cho 8.1.1, ít nhất các thành phần đóng góp sau đây phải được xét đến (nếu phù hợp):
Phép đo (tùy thuộc phương pháp)
a) Quang kế góc
• Độ bằng phẳng của gương vả hiệu ứng phân cực
• Đặc tính phản xạ theo phổ của các gương
• Ánh sáng tạp tán (trong không gian)
• Độ chính xác vị trí
• Phù hợp phổ (đầu thu + gương, phân bố công suất phổ khác nhau của chuẩn hiệu chuẩn và DUT)
• Diện tích tiếp nhận của đầu thu
• Đáp ứng côsin (tích phân độ rọi)
• Độ không bảo đảm của khoảng cách trắc quang nếu đầu đo quang được hiệu chuẩn để đo độ rọi.
• Độ không bảo đảm của độ phản xạ của gương nếu được sử dụng, nếu đầu đo quang được hiệu chuẩn để đo độ rọi.
b) Quang kế cầu
• Sự tự hấp thụ
• Diễn biến nhiệt
• Độ không đồng đều theo không gian đáp ứng của quả cầu
• Độ phản xạ của quả cầu (ảnh hưởng tới phù hợp phổ)
• Phù hợp phổ (đầu thu + gương, phân bố công suất phổ khác nhau của chuẩn hiệu chuẩn và DUT)
• Độ lặp lại cơ khí khi đóng mở quả cầu
• Độ ổn định đáp ứng của quả cầu trong giai đoạn giữa các lần hiệu chuẩn lại
• Đáp ứng côsin của đầu đo quang
• Hiệu ứng huỳnh quang từ lớp phủ trong quả cầu
c) Phổ kế bức xạ cầu
• Sự tự hấp thụ
• Diễn biến nhiệt
• Độ không đồng đều theo không gian đáp ứng của quả cầu
• Độ phản xạ của quả cầu
• Độ chính xác bước sóng
• Ánh sáng tạp tán của máy đo phổ bức xạ
• Băng thông của máy đo phổ bức xạ
• Đáp ứng cô sin của máy đo phổ bức xạ
• Độ lặp lại cơ khí khi đóng mở quả cầu
• Độ ổn định đáp ứng của quả cầu trong giai đoạn giữa các lần hiệu chuẩn lại
• Hiệu ứng huỳnh quang từ lớp phủ trong quả cầu
d) Phổ kế bức xạ góc
• Độ bằng phẳng của gương và hiệu ứng phân cực
• Đặc tính phản xạ theo phổ của các gương
• Ánh sáng tạp tán (trong không gian)
• Độ chính xác vị trí
• Phù hợp phổ (đầu thu + gương, phân bổ công suất phổ khác nhau của chuẩn hiệu chuẩn và DUT)
• Diện tích tiếp nhận của đầu thu
• Đáp ứng cosin (tích hợp độ rọi)
• Độ chính xác bước sóng
• Ánh sáng tạp tán của máy đo phổ bức xạ
• Băng thông của máy đo phổ bức xạ
• Độ không bảo đảm của khoảng cách trắc quang nếu máy đo phổ bức xạ được hiệu chuẩn với chuẩn bức xạ theo phổ
• Độ không bảo đảm của phổ phản xạ của gương nếu được sử dụng, nếu máy đo phổ bức xạ được hiệu chuẩn với chuẩn bức xạ theo phổ
8.1.3 Cường độ sáng và độ chói
Các thông số tương tự như trong 8.1.2 cần được xem xét.
8.1.4 Đại lượng màu
Các đại lượng này bao gồm tọa độ màu, nhiệt độ màu tương quan, chỉ số hoàn màu. Để bổ sung cho 8.1.2 ít nhất các thành phần đóng góp sau phải được xem xét:
• Các tương quan do độ không bảo đảm đo nhiệt độ màu của nguồn hiệu chuẩn
• Ánh sáng tạp tán của máy đo phổ bức xạ
• Băng thông (ảnh hưởng, hiệu chỉnh)
• Độ chính xác bước sóng
• Dải động trong toàn dải phổ (dải nhạy sáng)
8.1.5 Công suất điện
Để bổ sung cho 8.1.1 ít nhất các thành phần đóng góp sau phải được xem xét:
• Độ rộng dải đo của máy đo công suất AC (ảnh hưởng, hiệu chỉnh)
• Trở kháng đầu vào của máy đo công suất AC
8.1.6 Hiệu suất sáng
Tương quan giữa việc đo giá trị quang thông và công suất điện phải được tính tới để giảm độ không bảo đảm đo liên quan. Ví dụ, nếu dòng điện cấp ảnh hưởng đến cả quang thông phát ra và công suất điện của một DUT theo cùng chiều và cùng độ nhạy, thì độ không bảo đảm trong hiệu suất sáng cho thành phần này phải được loại bỏ.
9 Trình bày kết quả thử nghiệm
9.1 Báo cáo thử nghiệm
Danh sách dưới đây nhằm mục đích hướng dẫn về các thông tin cần có trong báo cáo thử nghiệm về các phép đo trắc quang/đo màu của thiết bị LED.
Báo cáo thử nghiệm phải nêu khoảng dung sai và yêu cầu cụ thể bất kỳ mà phòng thí nghiệm không đáp ứng được, với các điều kiện thực tế đã sử dụng và, nếu có thể, báo cáo về việc kết quả được hiệu chỉnh cho phù hợp với các điều kiện thử nghiệm tiêu chuẩn
9.1.1 Thông tin chung
Các thông tin sau đây cần được cung cấp:
• Phòng thí nghiệm, địa chỉ, số báo cáo và ngày;
• Thông tin về người yêu cầu thử nghiệm;
• (Các) ngày thử nghiệm và loại thử nghiệm: tiêu đề mô tả cần chỉ ra những gì đã được đo;
• Thông tin về tài liệu kèm theo;
9.1.2 Thông tin về (các) thiết bị được thử nghiệm
a) Đối với LED Mô tả về DUT:
• Số hiệu nhận biết của DUT
• Nếu thuộc đối tượng áp dụng: tên nhà sản xuất, chủng loại, số hiệu model, giá trị danh định của các đại lượng điện, giá trị danh định của quang thông, CCT, CRI, các kích thước và vùng phát sáng liên quan của DUT
• Mô tả về DUT bao gồm các thành phần quang như khúc xạ, phản xạ, v.v., và có thể bao gồm cả ảnh chụp DUT
• Thông tin cần thiết khác (ví dụ phương pháp chọn mẫu nếu là thử nghiệm điển hình)
• Đối với các môđun LED: nhiệt độ làm việc tối đa danh định tp,n và mô tả về tản nhiệt bổ sung nếu được sử dụng
• Đối với đèn điện: nhiệt độ môi trường xung quanh làm việc tối đa danh định tq,n nếu được công bố
• Đối với các đèn điện LED sử dụng các nguồn LED thay thế được: số lượng bóng đèn LED hoặc môđun LED, và nếu có thể, mô tả về các bóng đèn LED hoặc môđun LED kết hợp như tên nhà sản xuất, chủng loại, số hiệu model, đặc tính danh định về điện, nhiệt độ làm việc tối đa danh định, quang thông danh định, CCT danh định và CRI danh định.
Mô tả các thiết bị phụ trợ (bộ điều khiển LED, nguồn điện) cho các thiết bị nửa tích hợp hoặc không tích hợp:
• Tên nhà sản xuất, chủng loại, kiểu (số sê ri nếu có)
• Các đặc tính danh định về điện,
b) Đối với OLED
Mô tả về DUT:
• Số hiệu nhận biết của DUT;
• Nếu thuộc đối tượng áp dụng: tên nhà sản xuất, chủng loại, số hiệu model, giá trị danh định của các đại lượng điện, giá trị danh định của quang thông, CCT, CRI, các kích thước và vùng phát sáng liên quan của DUT;
• Mô tả về DUT bao gồm các thành phần quang như khúc xạ, phản xạ, v.v., và có thể bao gồm cả ảnh chụp DUT;
• Thông tin cần thiết khác (ví dụ phương pháp chọn mẫu nếu là thử nghiệm điển hình, vị trí lắp đặt nếu không theo điều kiện tiêu chuẩn và có hiệu chỉnh bất kỳ);
• Đối với đèn điện OLED: nhiệt độ môi trường xung quanh làm việc tối đa danh định, tq,n, nếu được công bố;
• Đối với các đèn điện OLED sử dụng các nguồn OLED thay thế được: số lượng bóng đèn OLED, tile OLED hoặc panel OLED, và nếu thuộc đối tượng áp dụng, mô tả về các bóng đèn OLED, tile OLED hoặc panel OLED kết hợp như tên nhà sản xuất, chủng loại, số hiệu model, đặc tính danh định về điện, nhiệt độ làm việc tối đa danh định, quang thông danh định, CCT danh định và CRI danh định.
Mô tả các thiết bị phụ trợ (bộ điều khiển OLED, nguồn điện) cho các thiết bị nửa tích hợp hoặc không tích hợp:
• Tên nhà sản xuất, chủng loại, kiểu (số sê ri nếu có)
• Các đặc tính danh định về điện.
9.1.3 Thông tin về quy trình thử nghiệm
Cần cung cấp các thông tin dưới đây:
• Mô tả sơ lược về quy trình và thiết bị trắc quang được sử dụng
- đối với quang kế góc; loại và khoảng cách trắc quang;
- đối với quả cầu: đường kính, cấu hình 4π hoặc 2π ;
- quang kế cầu hoặc phổ kế bức xạ cầu;
- quang kế góc hoặc phổ bức xạ kế góc
• Tham chiếu đến các điều kiện thử nghiệm tiêu chuẩn của tiêu chuẩn này hoặc đến các điều kiện vận hành cụ thể
• Vị trí vận hành của DUT
• Đối với phân bổ cường độ của đèn điện, tư thế và độ nghiêng của DUT trong khi đo (xem CIE 121- 1996), vị trí tương đối trong hệ tọa độ, tâm trắc quang của DUT
• Nhiệt độ môi trường thử nghiệm, điện áp và tần số thử nghiệm
• Luyện và thời gian ổn định
• Truy xuất và tham chiếu đến các chứng chỉ hiệu chuẩn của (các) chuẩn cho các đại lượng trắc quang vào đo màu (đo phổ bức xạ) nếu có thể.
Khi yêu cầu, cần cung cấp rõ ràng thông tin xác định về tất cả các thiết bị đo đạc đã được sử dụng.
9.1.4 Dữ liệu trắc quang và/hoặc đo màu
Các dữ liệu về trắc quang và/hoặc đo màu được cung cấp trong báo cáo thử nghiệm liên quan đến các thiết bị được thử nghiệm cụ thể. Báo cáo cần bao gồm các số đo hữu dụng liên quan như điện, nhiệt độ bề mặt và môi trường.
Cần báo cáo về độ không bảo đảm đo được đánh giá theo quy định tại Điều 8.
Nếu các giá trị độ không bảo đảm đo được công bố cho một sản phẩm điển hình của loại tương tự, bảo cáo thử nghiệm cần công bố loại sản phẩm được sử dụng trong bảng dự tính độ không bảo đảm đo (xem Điều 8).
Phụ lục A
(tham khảo)
Hướng dẫn áp dụng tiêu chuẩn
Tiêu chuẩn này được thiết kế sao cho các phòng thí nghiệm tuân thủ các phương pháp của tiêu chuẩn sẽ có thể thực hiện chính xác và tái lập các thử nghiệm quang và màu trên các sản phẩm chiếu sáng LED và OLED.
Để đạt được điều này, DUT được thử nghiệm theo các điều kiện thử nghiệm tiêu chuẩn.Từng điều kiện thử nghiệm tiêu chuẩn gồm giá trị đặt và khoảng dung sai (xem dưới đây). Một cách lý tưởng là thực hiện phép đo một cách chính xác ở giá trị đặt, nhưng thường không thể và do đó, điều kiện thử nghiệm cần nằm trong phạm vi khoảng dung sai. Tuy nhiên, đối với thông lệ tốt nhất, khi có thể và khả thi, các kết quả đo được hiệu chỉnh về giá trị đặt của điều kiện thử nghiệm tiêu chuẩn. Nếu đáp ứng khoảng dung sai, hiệu chỉnh theo điều kiện thử nghiệm tiêu chuẩn thường không bắt buộc nhưng được khuyến cáo thực hiện.
VÍ DỤ 1: Trong quá trình thử nghiệm, nhiệt độ môi trường là 25,5 °C thay vì 25,0 °C, và độ không đảm bảo đo của phép đo nhiệt độ môi trường là 0,2 °C. Điều này đáp ứng yêu cầu về dung sai, và có thể quyết định là không cần thực hiện hiệu chỉnh và thay vào đó cộng bảng dự tính độ không đảm bảo đo một thành phần không đảm bảo là 0,7°C Đối với nhiệt độ (0,5 °C là độ lệch và 0,2 °C là độ không đảm bảo đo khi hiệu chuẩn nhiệt kế). Tuy nhiên, nếu độ không đảm bảo đo cần được giảm xuống thì có thể thực hiện thử nghiệm bổ sung nhỏ để hiệu chỉnh kết quả từ giá trị đo được 25,5 °C đến giá trị 25,0 °C.
Nếu các điều kiện thử nghiệm bất kỳ nằm ngoài khoảng dung sai tương ứng thì thử nghiệm hiệu chỉnh bổ sung phải được thực hiện để hiệu chỉnh giá trị đến điều kiện thử nghiệm tiêu chuẩn.
VÍ DỤ 2: Thử nghiệm quả cầu tích phân cần được thực hiện với điện áp nguồn 230 V xoay chiều nhưng do độ phân giải của việc điều chỉnh nguồn cung cấp, điện áp không thể được điều chỉnh giữa 229,4 V và 230,6 V, và độ không đảm bảo đo của phép đo điện áp là 0,2 %. Trường hợp này không đáp ứng khoảng dung sai. Trong trường hợp này, thử nghiệm có thể được thực hiện ở cả 229,4 V và 230,6 V và khi đó kết quả ở điện áp 230,0 V có thể được xác định bằng cách nội suy.
Phụ lục D đưa ra ví dụ về ước lượng độ không đảm bảo đo với các thành phần độ không đảm bảo đo có nhiều khả năng xảy ra khi thực hiện phép đo quang trên các sản phẩm LED.
Theo nhu cầu thử nghiệm hàng ngày, việc hiệu chỉnh thường không được thực hiện nếu đáp ứng các điều kiện thử nghiệm tiêu chuẩn hoặc chỉ một số hiệu chỉnh, ví dụ hiệu chỉnh sự không tương thích phổ và hiệu chỉnh nhiệt độ môi trường. Nhưng đối với mục đích hiệu chuẩn hoặc thử nghiệm thiết lập các giá trị danh định (xem Phụ lục E) phòng thí nghiệm có thể chọn để thực hiện nhiều lần và thực hiện nhiều hiệu chỉnh để giảm độ không đảm bảo đo và do đó tăng độ tin cậy trong các kết quả thử nghiệm.
Quan trọng là có tài liệu để đánh giá sự thay đổi bất kỳ đến các thành phần của độ không đảm bảo. Điều này có thể ở dạng chứng chỉ hiệu chuẩn, các tờ tính toán hoặc bằng chứng thực nghiệm khác.
Phòng thí nghiệm có thể muốn sử dụng bảng dự tính độ không đảm bảo đo chung cho tất cả các thử nghiệm của họ, có tính đến thiết bị sử dụng để hiệu chuẩn hệ thống và thực hiện các phép đo, và sử dụng chúng như bảng dự tính độ không đảm bảo đo mặc định. Khi đó đối với từng kiểu sản phẩm khác nhau, tờ tính toán riêng có thể được tạo ra dựa trên tờ tính toán mặc định này, và có tính đến các giá trị thử nghiệm cụ thể như độ ổn định của DUT và sai số không tương thích phổ hoặc các giá trị kiểu cụ thể.
CHÚ THÍCH: Bảng dự tính độ không đảm bảo đo mặc định bao trùm tất cả các thử nghiệm thường có độ không đảm bảo đo cao hơn bảng dự tính độ không đảm bảo đo của thử nghiệm cụ thể vì các khoảng dung sai sẽ cần dự phòng cho các điều kiện trường hợp xấu nhất, khi đó bảng dự tính độ không đảm bảo đo của thử nghiệm cụ thể sẽ có khoảng DUT cụ thể.
Tiêu chuẩn cũng cho phép sử dụng kỹ thuật đo mới trong đó các yêu cầu cụ thể vẫn đang được xem xét. Trong trường hợp này, bên cạnh việc nghiên cứu cẩn thận phương pháp và độ không đảm bảo liên quan, việc kiểm tra tính hợp lệ của phương pháp cần được thực hiện bằng cách so sánh với các thử nghiệm sử dụng các phương pháp đã đươc chấp nhận. Trên thực tế, đối với tất cả các phương pháp thử nghiệm, mới hoặc đã biết, việc kiểm tra tính hợp lệ bằng cách so sánh liên phòng giữa các phòng thí nghiệm được khuyến cáo vì chúng giúp cho các phòng thí nghiệm phát hiện ra những sai số hệ thống chưa biết, ví dụ hệ số hiệu chuẩn không đúng được đưa vào phần mềm của phép đo.
Khoảng dung sai
Trong tiêu chuẩn này, thuật ngữ “khoảng dung sai” được đưa vào như được định nghĩa trong ISO/IEC Guide 98-4 Vai trò của độ không đảm bảo trong đánh giá sự phù hợp. Khoảng dung sai là dải chấp nhận được của giá trị đủng của tham số (không phải dải số đọc của thiết bị đo). Do đó, để đảm bảo yêu cầu này được đáp ứng, độ không đảm bảo đo của tham số cần được tính đến.

Hình A.1 - Khoảng dung sai và khoảng chấp nhận
Để đảm bảo rằng giá trị đúng của tham số nằm trong phạm vi khoảng dung sai ở mức tin cậy 95 %, phạm vi chấp nhận cho các số đọc của thiết bị đo khi đo tham số phải nằm trong dài nhỏ hơn khoảng dung sai, giảm đi bởi độ không đảm bảo đo mở rộng (với khoảng mức tin cậy 95 %) của phép đo tham số hoặc cả hai giới hạn dung sai. Dải chấp nhận này đối với các số đọc của thiết bị đo được gọi là “khoảng chấp nhận”, như được minh họa trên Hình A.1.
Ví dụ, trong tiêu chuẩn này, khoảng dung sai của nhiệt độ môi trường là ±1.2 °C, và nếu độ không đảm bảo đo mở rộng của phép đo nhiệt kế (k = 2) là 0,2 °C, khoảng chấp nhận là ± 1,0 °C. Do đó, số đọc của nhiệt kế phải nằm trong phạm vi ±1,0 °C so với giá trị đặt.
Trong một số phương pháp thử nghiệm khác được công bố trước đây, dung sai được cung cấp và sử dụng như khoảng chấp nhận mặc dù không được mô tả rõ ràng, nhưng tại thời điểm đó, độ không đảm bảo đo của thiết bị đo để đo tham số dung sai cũng được quy định. Ví dụ, “dung sai của nhiệt độ môi trường là ±1,0 °C” và “độ không đảm bảo đo của nhiệt kế < 0,2°C”. Yêu cầu này về cơ bản là giống và tương thích với khoảng dung sai ±1,2 °C, được quy định trong tiêu chuẩn này với giả thiết là sự góp phần của độ không đảm bảo đo của phép đo các tham số là không đáng kể.
Phụ lục B
(tham khảo)
Ánh sáng tạp tán - Che chắn ánh sáng tạp tán trong quang kế góc
Ánh sáng tạp tán (trong quang kế góc) là ánh sáng tới cửa sổ lối vào của đầu đo quang không phải trực tiếp từ nguồn hoặc thông qua phản xạ dự kiến được đo. Ánh sáng này có thể do phản xạ từ các vách, sàn, trần hoặc các bộ phận khác của DUT hoặc thiết bị hoặc do các nguồn sáng khác.
Cửa sổ lối vào của đầu đo quang phải được che chắn đến mức có thể sao cho nó chỉ nhìn thấy DUT và, khi thích hợp, mặt phẳng bên dưới của tấm lắp đặt. Trong trường hợp sử dụng quang kế góc dạng gương thì cửa sổ lối vào đầu đo quang phải được che chắn để chỉ nhìn thấy hình ảnh của DUT và không nhận ánh sáng trực tiếp từ phần bất kỳ của bân thân DUT.
Tất cả các bề mặt, không phải DUT (hoặc gương) được nhìn thấy từ cửa sổ lối vào của đầu đo quang cần được sơn đen mờ, kể cả các mép của gương, cần lưu ý là nhiều sơn đen mờ có hệ số độ chói gần pháp tuyến với bề mặt cao tới 4 % và cao hơn ở các góc tới khác.
Màn che chắn cần được bố trí sao cho ánh sáng tạp tán từ DUT chỉ có thể tới cửa sổ lối vào của đầu đo quang sau hai hoặc nhiều lần phản xạ từ các bề mặt đen. Trong trường hợp không thể thì các bề mặt cần được che phủ bằng vật liệu không phản xạ, ví dụ lớp nhung đen hoặc thảm đen. Bề mặt bất kỳ như các mép của màn che song song với cửa sổ lối vào của đầu đo quang/trục của DUT cần được khoét rãnh, tạo góc hoặc vát các cạnh sắc để giảm thiểu sự phản xạ lên cửa sổ lối vào của đầu đo quang.
Mặt phẳng phía sau nhìn DUT từ đầu đo quang phải được sơn đen mờ. Mặt phẳng này có thể gồm sàn và trần. Phần còn lại của phòng có thể sơn màu sáng hơn với điều kiện cần thực hiện các biện pháp đề phòng để giảm thiểu ánh sáng tạp tán.
Đường đi có thể có của ánh sáng tạp tán không cần quan tâm gồm:
• DUT - bề mặt được sơn đen (ví dụ sàn, màn che chắn) - gương - cửa sổ lối vào của đầu đo quang;
• DUT - bề mặt được sơn đen (ví dụ sàn, màn che chắn) - DUT - gương - cửa sổ lối vào của đầu đo quang;
• DUT - gương - DUT - gương - cửa sổ lối vào của đầu đo quang.
Ánh sáng tạp tán không thể loại bỏ cần được đo và trừ đi khỏi các số đọc có tính đến sự thay đổi của ánh sáng tạp tán so với vị trí của DUT. Lượng ánh sáng tạp tán sinh ra có thể khác nhau. Ví dụ, màn chắn bất kỳ đặt cho phép đo giữa DUT và cửa sổ lối vào của đầu đo quang cũng có thể che chắn đường đi của ánh sáng qua gương đến cửa sổ lối vào của đầu đo quang.
Phụ lục C
(tham khảo)
Điều kiện thực tế phòng thí nghiệm
C.1 Hệ số hiệu chỉnh
C.1.1 Hệ số hiệu chỉnh phép đo
Các hệ số hiệu chỉnh của phép đo được áp dụng khi các điều kiện đo trong phòng thí nghiệm không đáp ứng các điều kiện thử nghiệm tiêu chuẩn hoặc khi cần giảm độ không đảm bảo đo. Các hệ số này được áp dụng trực tiếp để hiệu chỉnh đối với sự sai khác trong các điều kiện vận hành (ví dụ nhiệt độ môi trường khác nhau, nhiệt độ tính năng khác nhau và tư thể hoạt động khác nhau, v.v.).
Nếu chỉ có nhiệt độ môi trường hoặc nhiệt độ tính năng khác thì các kết quả đo phải được hiệu chỉnh (khi có yêu cầu trong Điều 4) dựa trên đặc tính phụ thuộc của nhiệt độ của DUT cụ thể và nhiệt độ thực tế. Xem thêm C.3.
Nếu vị trí lắp đặt DUT trong quả cầu tích phân hoặc quang kế góc (ví dụ di chuyển xoay xung quanh trục nằm ngang của quang kế góc) khác với tư thế hoạt động tiêu chuẩn và ảnh hưởng đến quang thông thì cần hiệu chỉnh các giá trị đo. Các kết quả đo phải được hiệu chỉnh (khi có yêu cầu trong Điều 4) dựa trên đặc tính phụ thuộc vào tư thể hoạt động của DUT cụ thể và tư thế hoạt động thực tế được sử dụng. Điều này có thể được xác định với quang kế bổ sung, với điều kiện là đầu đo quang của nó không thay đổi hướng và khoảng cách tới nguồn sáng trong quá trình di chuyển, do vậy các thay đổi quang thông do thay đổi tư thế hoạt động gây ra dòng điện quang tỷ lệ.
Các sai số khác đến các đại lượng ánh sáng cần đo có thể là do sự phân bố phổ cụ thể của DUT khác so với phân bố phổ của bóng đèn chuẩn được sử dụng khi hiệu chuẩn quang kế. Cần áp dụng hệ số hiệu chỉnh không tương thích phổ nếu đã biết phân bố phổ cụ thể. Xem C.3.5.
C.1.2 Hệ số chuyển đổi trong vận hành
Hệ số chuyển đổi trong vận hành áp dụng khi các điều kiện vận hành khác có chủ ý với các điều kiện thử nghiệm tiêu chuẩn. Các hệ số này thường rút ra từ phép đo quang tương đối và có thể liên quan đến các nhiệt độ môi trường khác nhau, nhiệt độ tính năng khác nhau tp, của các đặc tính điện khác nhau hoặc các điều kiện hoạt động khác nhau.
Các hệ số này thường được cung cấp trong các bảng hoặc đồ thị riêng rẽ trong khi các kết quả đo được ghi lại đối với điều kiện thử nghiệm tiêu chuẩn.
C.2 Hệ số độ nhạy
Sai số trong các giá trị đo được (đại lượng đầu ra) sẽ được đưa vào nếu các điều kiện thực tế phỏng thí nghiệm khác với các điều kiện thử nghiệm tiêu chuẩn. Sai số này phụ thuộc vào độ nhạy của các đại lượng đầu ra theo các tham số ảnh hưởng khác nhau.
Đại lượng đo được (ví dụ quang thông, cường độ sáng, ...) Y phụ thuộc vào số lượng lớn các tham số ảnh hưởng (gồm nhiệt độ môi trường, dòng điện) X1, X2, ... Điều này có thể được biểu diễn bằng mô hình đánh giá
| Y = f(X1,X2,...) | (C1) |
Do đó có thể định lượng ảnh hưởng của đại lượng cụ thể Xi thông qua hệ số độ nhạy Ci.
|
| (C2) |
Xem CIE 198:2011 để có thông tin thêm.
Do sự biến thiên lớn của các đặc tính của sản phẩm LED, khó cung cấp các giá trị chung. Dựa trên hiểu biết hiện này, các giá trị điển hình đối với một số hệ số độ nhạy được cho trong C.3. Tuy nhiên, nếu có thể, tính hợp lệ của các giá trị này cần được kiểm tra đối với DUT.
C.3 Hệ số độ nhạy điển hình và khoảng dung sai
Trong các điều dưới đây, các giá trị điển hình được cho đối với các sản phẩm LED. Dung sai được quy định theo cách để sự góp phần của sai số của một tham số ảnh hưởng cụ thể nhỏ hơn ± 1 %. Tuy nhiên, khi có thể, cần giảm thiểu ảnh hưởng cụ thể.
Điều C.3 này không áp dụng trực tiếp cho OLED và các dữ liệu được cung cấp không được khẳng định cho các nguồn sáng OLED. OLED là một công nghệ mới và phát triển với sự biến thiên lớn giữa các sản phẩm khác nhau và thế hệ sản phẩm khác nhau, vì vậy không đưa ra các ví dụ về độ nhạy điển hình. Việc xác định độ nhạy cần được thiết lập dựa trên việc nghiên cứu DUT cụ thể.
C.3.1 Nhiệt độ môi trường
Quang thông của bóng đèn LED có độ nhạy tương đối điển hình với nhiệt độ môi trường là - 0,5 %/°C. Do đó, đối với ảnh hưởng cụ thể nhỏ hơn 1 %, bảng nhiệt độ môi trường phải nằm trong khoảng dung sai (25,0 ± 2) °C. Khoảng dung sai khuyến cáo (25,0 ± 1,2) °C cần giảm ảnh hưởng cụ thể ở 0,6 %.
Quang thông của chip LED có khống chế nhiệt độ có độ nhạy tương đối điển hình theo nhiệt độ môi trường là 0,1 %/°C. Do đó, đối với ảnh hưởng cụ thể 1 %, nhiệt độ môi trường có thể nằm trong khoảng dung sai (25,0 ± 10) °C. Tuy nhiên, làm việc với các khoảng dung sai này có thể làm thay đổi đặc tính điện đã được ghi lại đối với điều kiện thử nghiệm 25 °C. Vì vậy, nhiệt độ môi trường khuyến cáo cần được duy trì ở khoảng dung sai (25,0 ± 1,2) °C để đảm bảo phép đo công suất đúng.
C.3.2 Phép đo môđun LED ở nhiệt độ tính năng
Như một ví dụ, hai phương pháp có thể có để đo giá trị x của đại lượng ở nhiệt độ cho trước sẽ được giải thích. Giả thiết là các vị trí của điểm thử nghiệm, nhiệt độ tính năng tp và nhiệt độ lớn nhất danh định tc được xác định và chuỗi kết quả đo của x (ví dụ quang thông) của môđun LED có cơ cấu điều khiển nhiệt độ tích hợp (tp = 65 °C) và/hoặc bảo vệ nhiệt độ. Lấy (tc = 75 °C) và được thể hiện trong Hình C.1 dưới đây:
CHÚ THÍCH: Các phép đo này có thể được thực hiện trong thời gian nung nóng trong khi ghi lại nhiệt độ tại điểm đo đối với nhiệt độ tính năng tp và giá trị tương đối (ví dụ độ chói hoặc độ rọi trong quang phổ kế).

Hình C.1 - Ví dụ về phép đo môđun LED
| Các kết quả từ việc đánh giá hệ số nhiệt độ tương đối αx,rel của đại lượng x với độ không đảm bảo đo chuẩn (tuyệt đối) kết hợp u(αx,rel) | αx,rel = -0,3%/°C = -0,003 / °C u(αx,rel) = 0,1%/° C = 0,001 / °C |
| được xác định với độ không đảm bảo đo chuẩn u(tp) của phép đo nhiệt độ | u(tp) = 1 °C |
Sử dụng mô hình đối với hiệu chỉnh nhiệt độ của CIE 198-SP1.1:2011 (Điều 1.4) có thể sử dụng công thức dưới đây để hiệu chỉnh giá trị đo được x’ tại tp,1 theo giá trị yêu cầu x tại tp,o = tmax với ∆tp = tp,1 = tp,0
Giá trị hiệu chỉnh có thể tính được sử dụng cách tiếp cận tuyến tính sau:
| x = x’(1+αx,rel ∙∆tp) | (C.3) |
Độ không đảm bảo đo chuẩn của giá trị được hiệu chỉnh có thể tính được từ
| u2(x)=u2(x')(1+αx,rel ∙ ∆tp)2+x'2+{u2(αx,rel)∆tp2 +u2(∆tp)[α2x,rel+u2(αx,rel)]} | (C4) |
Trong các hình dưới đây, mối quan hệ được thể hiện đối với trường hợp ∆tp = 0 °C (xem Hình C.2) và đối với ∆tp = -20°C (xem Hình C.3) để thể hiện sự thay đổi quân phương của khoảng độ không đảm bảo đo (mở rộng) sử dụng các chênh lệch nhiệt độ lớn đối với phép đo và dự đoán.

Hình C.2 -Phép đo đối với ∆tp = 0 °C (nhiệt độ được khống chế đối với tp = tpmax)

Hình C.3 - Phép đo đối với ∆tp = -20 °C (nhiệt độ được sử dụng trong ví dụ này tp,1 = 45 °C)
Kết quả là:
| tp,0 | tp,1 | Hiệu chỉnh | u(x) |
| 65 °C | 65 °C | 1,00 | 1,05 % |
| 65 °C | 45 °C | 0,94 | 2,2 % |
C.3.3 Chuyển động của không khí
Quang thông của thiết bị LED có hệ số độ nhạy tương đối điển hình theo chuyển động của không khí là ±5 %/(m/s). Do vậy, đối với ảnh hưởng cụ thể nhỏ hơn 1 %, chuyển động của không khí ở lân cận cơ cấu không nên vượt quá 0,2 m/s bỏ qua ảnh hưởng bất kỳ của làm mát cưỡng bức hoặc tự gia nhiệt của DUT.
C.3.4 Điện áp thử nghiệm
Quang thông của thiết bị LED thay đổi 1 % đối với sự thay đổi điện áp 1 %, do đó hệ số độ nhạy tương đối bằng 1.
CHÚ THÍCH: Bộ điều khiển LED có thể được điều khiển bằng điện áp hoặc dòng điện. Trong trường hợp này, các thăng giáng điện áp nguồn sẽ ít quan trọng.
C.3.5 Sự không tương thích phổ của quang kế
Việc hiệu chỉnh giá trị trắc quang đo được liên quan đến sự không tương thích phổ của quang kế chỉ có thể nếu đáp ứng phổ tương đối của quang kế và phân bố phổ tương đối của bức xạ của DUT là đã biết (xem ISO/CIE 19476:2014 để có thêm thông tin và tính toán hệ số hiệu chỉnh sự không tương thích phổ F*(Sz (ʎ))). Sự ước lượng của độ không đảm bảo đo có thể được thực hiện dựa trên chỉ số sự không tương thích V(ʎ) chung f’1 được xác định trong ISO/CIE 19476:2014.
Dữ liệu đối với các sản phẩm LED trắng kiểu phốt pho được thể hiện trên Hình C.4. Đồ thị dựa trên 200 LED trắng có nhiệt độ màu tương quan khác nhau và 120 quang kế. Đối với từng quang kế, các giá trị lớn nhất và nhỏ nhất của hệ số hiệu chỉnh sự không tương thích phổ F* được đánh giá. Từ các dữ liệu này, hệ số độ nhạy tương đối của giá trị đo quang liên quan đến chỉ số sự không tương thích V(ʎ) lớn nhất vào khoảng 0,8. Đối với các LED này, quang kế có f’1< 1,3 % cần được sử dụng nếu các sai số cần giảm xuống nhỏ hơn 1 %.
Dữ liệu đối với các sản phẩm LED trắng kiểu RGB được thể hiện trên Hình C.5. Đồ thị dựa trên 100 sản phẩm LED trắng kiểu RGB có nhiệt độ màu tương quan khác nhau và 120 quang kế. Đối với từng quang kế, các giá trị lớn nhất và nhỏ nhất của hệ số hiệu chỉnh sự không tương thích phổ F* được đánh giá. Từ các dữ liệu này, hệ số độ nhạy tương đối của giá trị đo quang liên quan đến Chỉ số sự không tương thích V(ʎ) lớn nhất vào khoảng 1,4. Đối với các LED này, quang kế có f’1 < 0,7 % cần được sử dụng nếu các sai số cần giảm xuống nhỏ hơn 1 %.
Hình C.4 - Hệ số hiệu chỉnh sự không tương thích phổ (SWCF) đối với LED trắng kiểu phốt pho và các giá trị f’1 khác của quang kế
Hình C.5 - Hệ số hiệu chỉnh sự không tương thích phổ (SMCF) đối với LED trắng kiểu RGB và các giá trị f’1 khác của quang kế
C.3.6 Mô hình đối với phân bố cường độ sáng
Đối với DUT có phân bố cường độ khác đáng kể so với cosin (ví dụ góc chùm tia hẹp < 30°, gradien bước trong phân bố cường độ sáng hoặc kiểm soát chói lóa tới hạn), khoảng cách đo cho phép đối với ứng dụng luật bình phương nghịch đảo cần được chọn.
Chùm tia hẹp có thể được lập mô hình bằng hàm I(θ) = Io ∙ cosg (θ). Ví dụ nửa góc chùm tia là 60 khi g = 1, và bằng 15 khi g = 20. Nếu nguồn là hình tròn và có bán kính a, độ rọi tại trục quang ở khoảng cách d cho trước có thể được ước lượng bằng công thức sau:
|
| (C5) |
trong đó Ω0 = 1 sr. Sai số từ luật bình phương nghịch đảo có thể được ước lượng khi so sánh với độ rọi lý tưởng l0/d2.
Sai số từ luật bình phương nghịch đảo trong trường xa có thể được đánh giá sử dụng hàm mô hình nêu trên. Các sai số này có thể tăng đáng kể ở các góc lớn hơn so với trục quang và/hoặc đối với các nguồn sáng có góc chùm tia nhỏ hơn. Ví dụ, sai số đối với nguồn Lambertian hình tròn ở khoảng cách 5 x D nằm trong phạm vi ±1 % trong dải ± 80° so với trục quang. Đối với nguồn có góc chùm tia bằng 90°, sai số xấp xỉ -1% ở trục quang, nhưng tăng lên đến 2,5% ở cách trục quang 80°. Các sai số đối với nguồn tuyến tính Lambertian ở khoảng cách 5 x D là - 0,7 % ở trục quang và tăng lên đến xấp xỉ 2 % ở 80° so với trục quang. Đối với nguồn tuyến tính có góc chùm tia là 30°, sai số ở khoảng cách 5 x D là - 5 % ở trục quang, và tăng lên đến xấp xỉ 20 % ở 30° so với trục quang. Tăng khoảng cách đến 15 x D sẽ làm giảm các sai số này xuống thấp hơn 3 %.
Phụ lục D
(tham khảo)
Hướng dẫn tính độ không đảm bảo đo
D.1 Quy định chung
Mọi phép đo đều chịu một số độ không đảm bảo đo. Kết quả đo chỉ hoàn thành nếu đi kèm độ không đảm bảo đo. Đánh giá độ không đảm bảo đo là phức tạp và vẫn còn tiếp tục. Tuy nhiên, quan trọng là biết độ không đảm bảo đo để đánh giá chất lượng của phép đo và có thể so sánh các giá trị đo hoặc so sánh các kết quả đo giữa các phòng thí nghiệm. Phép đo các đại lượng quang, màu và điện của LED thường phụ thuộc vào nhiều tham số và đánh giá chính xác là cần thiết và mất nhiều thời gian. Có thể giảm độ không đảm bảo đo với các đặc trưng bổ sung của thiết bị đo và DUT.
Thừa nhận rằng nhiều phòng thí nghiệm khác nhau sử dụng tiêu chuẩn này, kể cả nhà chế tạo, phòng thí nghiệm, phòng thí nghiệm nghiên cứu và Viện Đo lường Quốc gia. Các phòng thí nghiệm này có dải rộng các mức kinh nghiệm trong thử nghiệm và xác định độ không đảm bảo đo và dải rộng đô tinh vi và chính xác của các thiết bị và chất lượng môi trường phòng thí nghiệm. Mục đích của phương pháp thử này là, bằng cách tuân thủ phương pháp thử, kỳ vọng là độ không đảm bảo đo hợp lý, cần thiết cho các quy định kỹ thuật và ứng dụng khác nhau, có thể đạt được bởi tất cả các phòng thí nghiệm. Tuy nhiên, phương pháp thử nghiệm này không thể bao trùm được hết tất cả các chi tiết của thiết bị đo và các lỗi có thể có mà các phòng thí nghiệm ít kinh nghiệm có thể mắc phải. Để đảm bảo độ không đảm bảo đo hợp lý, quan trọng là tất cả các phòng thí nghiệm sử dụng phương pháp này phải có hiểu biết về độ không đảm bảo đo và thực hiện đánh giá độ không đảm bảo đo của các phép đo của họ.
D.2 Bảng dự tính độ không đảm bảo đo
Bảng dự tính độ khỏng đảm bảo đo quy định mô hình và danh mục tất cả các đại lượng đề cập trong mô hình và đưa ra lượng thông tin quy định đối với mỗi đầu vào này. Tối thiểu phải quy định các đầu vào dưới đây:
• tên của đại lượng Xi, và ký hiệu của nó khi được sử dụng trong mô hình đánh giá,
• giá trị xi và độ không đảm bảo đo chuẩn kết hợp u(xi),
• hệ số độ nhạy c
• đóng góp tuyệt đối vào độ không đảm bảo đo tiêu chuẩn đầu ra ui(y),
• đóng góp tương đối vào độ không đảm bảo đo tiêu chuẩn đầu ra urel,i(y).
Điều này cho phép quan hệ của đầu vào này với mô hình và thể hiện sự góp phần riêng rẽ và quan trọng trong độ không đảm bảo đo kết hợp.
Chi tiết hơn về độ không đảm bảo đo, xem TCVN 7870 (ISO/IEC Guide 98-3) và CIE 198:2011.
CHÚ THÍCH: Đánh giá độ không đảm bảo đo của phân bố cường độ chói đầy đủ đang được xem xét.
D.3 Ví dụ về độ không đảm bảo đo
Do sự thay đổi lớn trong các sản phẩm LED và sự đa dạng của thiết bị đo được sử dụng (thậm chí các yêu cầu cụ thể được cho trong tiêu chuẩn này đối với các tham số quan trọng), độ không đảm bảo đo phụ thuộc vào nhiều yếu tố của từng phòng thí nghiệm và từng thử nghiệm riêng rẽ. Không thể có các giá trị độ không đảm bảo đo chung. Trong phụ lục này, một số ví dụ của bảng dự tính độ không đảm bảo đo của các sản phẩm chiếu sáng LED điển hình sử dụng phương pháp thử nghiệm cho trong tiêu chuẩn này được cung cấp để tham khảo.
Các giá trị độ không đảm bảo đo trong các bảng dưới đây là được ước lượng đối với điều kiện là tất cả các khoảng dung sai và yêu cầu cụ thể trong tiêu chuẩn này đều được đáp ứng. Các bảng này bao gồm các thành phần chính của độ không đảm bảo đo trong các trường hợp chung. Chúng có thể nhiều thành phần độ không đảm bảo mà có thể có ý nghĩa trong các trường hợp cụ thể.
Các giá trị trong bảng này là giá trị điển hình đối với các phòng thí nghiệm khá nhiều kinh nghiệm (các phòng thí nghiệm được công nhận hoặc mong muốn được công nhận để thử nghiệm các sản phẩm chiếu sáng LED). Độ không đảm bảo đo của các phòng thí nghiệm ít kinh nghiệm hơn có thể lớn hơn nhiều do việc cài đặt không mong muốn hoặc sai mà họ có thể sử dụng, mà không được xét đến trong các bảng này. Ngoài ra, các giá trị độ không đảm bảo đo trong bảng là cho các sản phẩm điển hình của kiểu loại cho trước và không xét đến tất cả các loại sản phẩm khác nhau. Độ không đảm bảo đo có thể lớn hơn nhiều đối với các sản phẩm có góc chùm tia rất hẹp hoặc có dạng sóng dòng điện rất nhọn (với hệ số công suất thấp) hoặc đáp ứng rất khác nhau. Do đó, các giá trị trong bảng là các ví dụ điển hình và không bao trùm các giá trị của trường hợp xấu nhất. Ngược lại, trong một số trường hợp, sự góp phần vào bảng dự tính độ không đảm bảo đo có thể bị quá ước lượng. Ngoài ra, các giá trị trong bảng này chỉ dùng cho các sản phẩm LED chiếu sáng trắng, và không có dùng cho các sản phẩm LED màu ví dụ các môđun LED đơn sắc như đỏ, xanh lá hoặc xanh lam. Các độ không đảm bảo đo này có thể được giảm bởi đặc tính đầy đủ của thiết bị đo và DUT và áp dụng các hiệu chỉnh, và/hoặc sử dụng các thiết bị có hiệu suất cao hơn (ví dụ giá trị f’1 thấp hơn đối với quang kế cầu và quang kế góc).
Để đơn giản, chỉ các đại lượng Xi của thành phần độ không đảm bảo và sự góp phần tương đối vào độ không đảm bảo tiêu chuẩn đầu ra urel,i(y) được liệt kê trong các bảng. Các giá trị này xét đến hệ số độ nhạy của các sản phẩm LED điển hình.
Bảng D.1 - Ví dụ về bảng dự tính độ không đảm bảo đo đối với phép đo quang thông của bóng đèn LED sử dụng quang kế cầu
| Tên của đại lượng Xi | Góp phần tương đối vào độ không đảm bảo chuẩn đầu ra urel,i (y) | |||
| Kiểu phốt pho a | Kiểu RGB b | |||
| Rộng c | Hẹp d | Rộng c | Hẹpd | |
| Độ không đảm bảo đo hiệu chuẩn của chuẩn quang thông thứ cấp truy xuất đến SI (trường hợp U = 2,0 %, k = 2) | 1,0% | |||
| Luyện bóng đèn chuẩn (bóng đèn vônfram chứa khí) | 0,6 % | |||
| Độ không đảm bảo đo dòng một chiều đối với bóng đèn chuẩn | 0,4 % | |||
| Nhiệt độ môi trường (và độ không đảm bảo đo của nhiệt kế) | 0,3 % | |||
| Điện áp nguồn của LED (và độ không đảm bảo đo của vôn mét) | 0,2 % | |||
| Sư không tương thích phổ của quả cầu tích phân (f’1 = 3 %) | 1,7 % | 3,5 % | ||
| Tính tuyến tính | 0,3 % | |||
| Hiệu chỉnh tự hấp thụ (độ không đảm bảo dư) e | 0,3 % | |||
| Độ không đồng nhất về không gian của quả cầu (chênh lệch về phân bố cường độ so với bóng đèn chuẩn) | 0,9 % | 1,8 % | 0,9 % | 1,8 % |
| Độ tái lặp của hệ thống quả cầu | 0,3 % | |||
| Độ ổn định của hệ thống quả cầu (giữa các lần hiệu chuẩn) | 0,3 % | |||
| Hấp thụ trường gần | 0,3 % | |||
| Độ tái lập của bóng đèn thử nghiệm (kể cả điều kiện ổn định) | 0,3 % | |||
| Độ ổn định của bóng đèn chuẩn | 0,2 % | |||
| Độ không đảm bảo đo tiêu chuẩn kết hợp tương đối | 2,4 % | 2,8 % | 3,9 % | 4,1 % |
| Độ không đảm bảo đo mở rộng tổng (k = 2) | 4,9 % | 5,7 % | 7,7 % | 8,3 % |
| a Các giá trị đối với LED trắng dựa trên công nghệ phốt pho được thể hiện trong hai cột bên trái. b Các giá trị đối với LED trắng dựa trên công nghệ RGB được thể hiện trong hai cột bên phải. c Các giá trị đối với nguồn có phân bố cường độ góc chùm tia rộng được thể hiện trong cột thứ nhất và thứ ba. d Các giá trị đối với nguồn có phân bố cường độ góc chùm tia hẹp được thể hiện trong cột thứ hai và thứ tư. e Các giá trị đối với quả cầu 1,5 m với độ phản xạ 95 % đo bóng đèn LED compact điển hình. Các giá trị này sẽ thay đổi đối với điều kiện quả cầu khác và đối với các DUT có cỡ lớn hơn. | ||||
Bảng D.2 - Ví dụ về bảng dự tính độ không đảm bảo đo đối với phép đo quang thông của bóng đèn LED sử dụng phổ kế bức xạ cầu
| Tên của đại lượng Xi | Góp phần tương đối vào độ không đảm bảo chuẩn đầu ra urel,i (y) | |
| Rộng a | Hẹp b | |
| Độ không đảm bảo đo quang thông của chuẩn thông lượng bức xạ phổ tổng truy xuất đến Viện Đo lường Quốc gia | 1,0% | |
| Luyện bóng đèn chuẩn (bóng đèn vônfram chứa khí) | 0,3 % | |
| Độ không đảm bảo đo dòng một chiều đối với bóng đèn chuẩn | 0,4 % | |
| Nhiệt độ môi trường (và độ không đảm bảo đo của nhiệt kế) | 0,3 % | |
| Điện áp nguồn của LED (và độ không đảm bảo đo của vôn mét) | 0,2 % | |
| Tính tuyến tính của phổ kế bức xạ cầu | 0,8 % | |
| Đô không đảm bảo đo về bước sóng (0,5 nm (k=2)) | 0,4 % | |
| Ánh sáng tạp tán của phổ kế bức xạ cầu (nguồn 2 700 K đến 6 500 K) | 1,0% | |
| Tính tái lập của phổ kế bức xạ cầu | 0,1 % | |
| Hiệu chỉnh tự hấp thụ (độ không đảm bảo dư) c | 0,3 % | |
| Độ không đồng nhất về không gian của quả cầu (chênh lệch về phân bố cường độ so với bóng đèn chuẩn) | 0,9 % | 1,8 % |
| Độ tái lặp của hệ thống quả cầu | 0,3 % | |
| Độ ổn định của hệ thống quả cầu (giữa các lần hiệu chuẩn) | 0,3 % | |
| Hấp thụ trường gần | 0,3 % | |
| Độ tái lập của bóng đèn thử nghiệm (kể cả điều kiện ổn định) | 0,3 % | |
| Độ ổn định của bóng đèn chuẩn | 0,2 % | |
| Độ không đảm bảo đo tiêu chuẩn kết hợp tương đối | 2,1 % | 2,6 % |
| Độ không đảm bảo đo mở rộnq tổng (k = 2) | 4,2 % | 5,2 % |
| a Các giá trị đối với nguồn có phân bố cường độ góc chùm tia rộng được thể hiện trong cột thứ nhất và thứ ba. b Các giá trị đối với nguồn có phân bố cường độ góc chùm tia hẹp được thể hiện trong cột thứ hai và thứ tư. c Các giá trị đối với quả cầu 1,5 m với độ phản xạ 95 % đo bóng đèn LED compact điển hình. Các giá trị này sẽ thay đổi đối với điều kiện quả cầu khác và đối với các DUT có cỡ lớn hơn. | ||
Bảng D.3 - Ví dụ về bảng dự tính độ không đảm bảo đo đối với phép đo quang thông của bóng đèn LED hoặc môđun LED sử dụng quang kế góc
| Tên của đại lượng Xi | Góp phần tương đối vào độ không đảm bảo chuẩn đầu ra urel,i (y) | |
| Kiểu phốt pho a | Kiểu RGB b | |
| Độ không đảm bảo đo hiệu chuẩn của chuẩn quang thông thứ cấp truy xuất đến Sl | 1,0% | |
| Luyện bóng đèn chuẩn (bóng đèn vônfram chứa khí) | 0,6 % | |
| Độ không đảm bảo đo dòng một chiều đối với bóng đèn chuẩn | 0,4 % | |
| Nhiệt độ môi trường (và độ không đảm bảo đo của nhiệt kế) | 0,3 % | |
| Điện áp nguồn của LED (và độ không đảm bảo đo của vôn mét) | 0,2 % | |
| Sự không tương thích phổ của quả cầu tích phân (f‘1 = 3 %) | 1,7 % | 3,5 % |
| Tính tuyến tính của phổ kế bức xạ cầu | 0,3 % | |
| Ánh sáng tạp tán trong không gian | 0,6 % | |
| Phân cực | 0,1 % | |
| Sự ổn định của bóng đèn thử nghiệm trong quá trình quét | 0,3 % | |
| Độ tái lập của bóng đèn thử nghiệm (kể cả điều kiện ổn định) | 0,3 % | |
| Độ ổn định của bóng đèn chuẩn | 0,2 % | |
| Độ không đảm bảo đo tiêu chuẩn kết hợp tương đối | 2,3 % | 3,8 % |
| Độ không đảm bảo đo mở rộng tổng (k = 2) | 4,6 % | 7,5 % |
| a Các giá trị đối với LED trắng dựa trên công nghệ phốt pho được thể hiện trong cột bên trái. b Các giá trị đối với LED trắng dựa trên công nghệ RGB được thể hiện trong cột bên phải. | ||
Bảng D.4 - Ví dụ về bảng dự tính độ không đảm bảo đo đối với phép đo quang thông của bóng đèn LED hoặc môdun LED sử dụng phổ kế bức xạ góc
| Tên của đại lượng Xi | Góp phần tương đối vào độ không đảm bảo chuẩn đầu ra urel,i (y) |
| Độ không đảm bảo đo hiệu chuẩn của chuẩn quang thông thứ cấp truy xuất đến SI | 1,0 % |
| Luyện bóng đèn chuẩn (bóng đèn vônfram chứa khí) | 0,6 % |
| Độ không đảm bảo đo dòng một chiều đối với bóng đèn chuẩn | 0,4 % |
| Nhiệt độ môi trường (và độ không đảm bảo đo của nhiệt kế) | 0,3 % |
| Điện áp nguồn của LED (và độ không đảm bảo đo của vôn mét) | 0,2 % |
| Tính không tuyến tính của phổ kế bức xạ góc | 0,8 % |
| Độ không đảm bảo đo về bước sóng (0,5 nm (k=2)) | 0,4 % |
| Ánh sáng tạp tán của phổ kế bức xạ góc (nguồn 2 700 K đến 6 500 k) | 1,0 % |
| Độ tái lặp của hệ thống quả góc | 0,1 % |
| Ánh sáng tạp tán trong không gian | 0,6 % |
| Phân cực | 0,1 % |
| Sự ổn định của bóng đèn thử nghiệm trong quá trình quét | 0,3 % |
| Độ tái lập của bóng đèn thử nghiệm (kể cả điều kiện ổn định) | 0,3 % |
| Độ ổn định của bóng đèn chuẩn | 0,2 % |
| Độ không đảm bảo đo tiêu chuẩn kết hợp tương đối | 2,0 % |
| Độ không đảm bảo đo mở rộng tổng (k = 2) | 3,9 % |
Bảng D.5 - Ví dụ về bảng dự tính độ không đảm bảo do đối với phép đo quang thông của bóng đèn LED hoặc môđun LED sử dụng phổ kế bức xạ cầu hoặc phổ kế bức xạ góc
(Các giá trị được thể hiện đối với các sản phẩm sử dụng LED sáng trắng công nghệ phốt pho có Tcp = 3 000 K và 6 000 K)
|
| Góp phần tuyệt đối vào độ không đảm bảo chuẩn đầu ra | ||||||||
| Tên của đại lượng Xi | ui(x) | ui(y) | ui(u’) | ui(v’) | ui(Tcρ) 3 000 K | ui(Tcρ) 6 000 K | ui(Duv) | ui(Ra) | |
| Độ không đảm bảo đo hiệu chuẩn của chuẩn quang thông thứ cấp truy xuất đến SI | 0,0014 | 0,0019 | 0,0005 | 0,0012 | 26,6 | 67,8 | 0,0005 | 0,44 | |
| Luyện bóng đèn chuẩn | 0,0001 | 0,0001 | 0,0000 | 0,0001 | 2,1 | 5,4 | 0,0000 | 0,00 | |
| Độ không đảm bảo đo về bước sóng | 0,0004 | 0,0007 | 0,0001 | 0,0004 | 6,9 | 17,5 | 0,0002 | 0,08 | |
| Độ tái lập của bóng đèn và phổ kế bức xạ | 0,0002 | 0,0003 | 0,0002 | 0,0002 | 3,7 | 9,4 | 0,0001 | 0,10 | |
| Tính không tuyến tính của phổ kế bức xạ | 0,0007 | 0,0003 | 0,0005 | 0,0002 | 11,8 | 30,2 | 0,0001 | 0,23 | |
| Thông dải của phổ kế bức xạ | 0,0001 | 0,0001 | 0,0000 | 0,0001 | 1,1 | 2,7 | 0,0000 | 0,03 | |
| Ánh sáng tạp tán của phổ kế bức xạ | 3 000 K | 0,0006 | 0,0010 | 0,0000 | 0,0005 | 5,3 |
| 0,0003 | 0,25 |
| 6 000 K | 0,0019 | 0,0029 | 0,0003 | 0,0017 |
| 101,5 | 0,0006 | 0,14 | |
| Độ không đảm bảo đo tiêu chuẩn kết hợp | 3 000 K | 0,0017 | 0,0023 | 0,0007 | 0,0014 | 30,7 |
| 0,0007 | 0,57 |
| 6 000 K | 0,0025 | 0,0036 | 0,0008 | 0,0021 |
| 127 | 0,0008 | 0,53 | |
| Độ không đảm bảo đo mở rộng tổng (k=2) | 3 000 K | 0,0035 | 0,0047 | 0,0014 | 0,0027 | 61 | - | 0,0014 | 1.1 |
| 6 000 K | 0,0050 | 0,0072 | 0,0016 | 0,0042 | - | 255 | 0,0016 | 1.1 | |
| CHÚ THÍCH: Đối với độ không đảm bảo đo của tọa độ màu do các khoảng cách từ điểm đúng trên sơ đồ màu (x,y) hoặc (u’,v’), hệ số bao phủ k=2,45 cần được sử dụng đối với độ không đảm bảo mở rộng ở các khoảng tin cậy 95 %. | |||||||||
Bảng D.6 - Ví dụ về bảng dự tính độ không đảm bảo đo đối với phép đo độ chói được lấy trung bình trên một bề mặt quy định, theo hướng cho trước của panel OLED phát ánh sáng trắng sử dụng thiết bị đo độ chói điểm
| Tên của đại lượng Xi | Góp phần tương đối vào độ không đảm bảo chuẩn đầu ra urel,i (y) (tính bằng %) |
| Độ không đảm bảo đo hiệu chuẩn của việc hiệu chuẩn thiết bị đo độ chói truy xuất đến SI | 1,0 |
| Độ trôi đáp tuyến của thiết bị đo độ chói giữa các lần hiệu chuẩn | 0,3 |
| Độ lệch phổ của thiết bị đo độ chói, f’1 = 3 % | 1,7 |
| Trường xung quanh của thiết bị đo độ chói (che chắn ánh sáng chói) a | 0,1 |
| Tiêu cự của thiết bị đo độ chói b | 0,1 |
| Tính tuyến tính của hệ thống | 0,2 |
| Phân cực | 0,1 |
| Nhiệt độ môi trường (và độ không đảm bảo đo của nhiệt ngẫu) d | 0,3 |
| Điện áp nguồn của OLED (và độ không đảm bảo đo của vôn mét) | 0,2 |
| Ánh sáng tạp tán trong không gian | 0,1 |
| Sự ổn định của OLED trong các phép đo | 0,3 |
| Độ tái lập của OLED (kể cả điều kiện ổn định) | 0,3 |
| Phép đo không bình thường | 0,3 |
| Lấy mẫu lưới e | — |
| Sự phụ thuộc của nhiệt độ vào hướng đặt f | 0,2 |
| Độ không đảm bảo đo tiêu chuẩn kết hợp tương đối | 2,1 |
| Độ không đảm bảo đo mở rộng tổng (k = 2) | 4,2 |
| a Độ không đảm bảo do ánh sáng tạp tán trong thiết bị đo độ chói gây ra do ánh sáng bên ngoài vùng đo. b Độ không đảm bảo do việc tập trung không đúng, mà có thể tạo ra ảnh hưởng bởi các đồ vật ví dụ như lưới hội tụ hoặc các cạnh nằm bên ngoài vùng đo. c Tính tuyến tính tuyệt đối từ (các) điểm hiệu chỉnh của của thiết bị đo độ chói đến phạm vi các giá trị độ chói đo được. d Như nêu trong Phụ lục C, không có các hệ số độ nhạy điển hình được cho đối với OLED, và các DUT riêng rẽ cần được nghiên cứu. Tuy nhiên, đối với bảng này, sử dụng giá trị 0,5 %/°C. e Điều này được bỏ qua nếu tuân thủ tiêu chuẩn hoặc quy chuẩn khu vực có quy định về số lượng và vị trí của các điểm đo, nếu không nó thể hiện độ không đảm bảo đo có thể có do lấy mẫu ít. f Nếu panel OLED không được làm việc ở độ cao thiết kế, bằng cách đặt hướng lên trên theo mặc định. | |
Bảng D.7 -Ví dụ về bảng dự tính độ không đảm bảo đo đối với phép đo độ đồng đều độ chói (xem 6.7 d)) theo hướng cho trước của panel OLED phát ánh sáng trắng sử dụng thiết bị đo độ chói điểm hoặc ILMD
| Tên của đại lượng Xi | Góp phần tương đối vào độ không đảm bảo chuẩn đầu ra urel,i (y) (tính bằng %) | |
| Thiết bị đo độ chói điểm | ILMD | |
| Độ lệch phổ của thiết bị đo độ chói, f’1 = 3 % a | 0,1 | 0,1 |
| Trường xung quanh (che chắn ánh sáng chói) b | 0,1 | 0,1 |
| Tiêu cự c | 0,2 | 0,2 |
| Tính tuyến tính tương đối của hệ thống d | 0,1 | 0,1 |
| Độ ổn định nhiệt độ môi trường | 0,1 | 0,1 |
| Ánh sáng tạp tán trong không gian | 0,1 | 0,1 |
| Sự ổn định của OLED trong các phép đo, kể cả ổn định nguồn cung cấp | 0,3 | - |
| Phép đo không bình thường | 0,3 | 0,3 |
| Lấy mẫu lưới e | - |
|
| Nhiệt độ theo hướng đặt f | 0,5 | 0,5 |
| Độ nhạy phụ thuộc vào không gian và hướng đối với trường phẳng sử dụng ILMO g | 0,0 | 0,3 |
| Độ không đảm bảo đo tiêu chuẩn kết hợp tương đối | 0,7 | 0,7 |
| Độ không đảm bảo đo mở rộng tổng (k = 2) | 1,4 | 1,4 |
a Đối với các phép đo độ đồng đều độ chói, đại lượng này thể hiện độ không đảm bảo đo do sự không tương thích phổ tương đối xảy ra khi có sự không đồng nhất các phổ đầu ra trên bề mặt của OLED.
b Độ không đảm bảo do ánh sáng tạp tán trong thiết bị đo độ chói gây ra do ánh sáng bên ngoài vùng đo.
c Độ không đảm bảo do việc tập trung không đúng, mà có thể tạo ra ảnh hưởng bởi các đồ vật ví dụ như lưới hội tụ hoặc các cạnh nằm bên ngoài vùng đo.
d Tính tuyến tính tuyệt đối trên phạm vi các giá trị độ chói đo được.
e Điều này được bỏ qua nếu tuân thủ tiêu chuẩn hoặc quy chuẩn khu vực có quy định về số lượng và vị trí của các điểm đo, nếu không nó thể hiện độ không đảm bảo đo có thể có do lấy mẫu ít.
f Nếu panel OLED không được làm việc ở độ cao thiết kế, bằng cách đặt hướng lên trên theo mặc định.
g Trên cơ sở độ không đảm bảo lớn nhất đo là 0,5 % trên một dải các hướng, sai số chuẩn là
.
Phụ lục E
(tham khảo)
Hướng dẫn xác định các giá trị danh định của đại lượng đo quang của đèn điện LED
CHÚ THÍCH: Phụ lục này không áp dụng cho OLED.
E.1 Giới thiệu
Dữ liệu được xuất bản đối với đèn điện LED là dữ liệu danh định được thể hiện trong các điều kiện thử nghiệm tiêu chuẩn. Dữ liệu danh định để tham chiếu đối với sự phù hợp trong các thử nghiệm điền hình (thử nghiệm sự phù hợp trên một hoặc nhiều sản phẩm LED đại diện cho loạt sản xuất). Các yêu cầu đối với sự phù hợp được gắn với tiêu chuẩn tính năng đèn điện thích hợp. Cơ sở đối với dữ liệu danh định về quang và màu là kết quả của phép đo trên đèn điện LED. Nhà chế tạo đèn điện LED cần có nhận thức về kết quả phép đo là không tự động là dữ liệu danh định của sản phẩm. Nhà chế tạo đèn điện LED cần tính đến tất cả các dung sai của các thành phần và chất lượng của bản thân quá trình lắp ráp. Nên tương quan giữa dữ liệu đo được và dữ liệu danh định của nguồn sáng LED.
CHÚ THÍCH 1: Các thành phần của đèn điện LED có thể là các nguồn sáng LED và bộ điều khiển LED những cũng có thể là các thành phần quang.
CHÚ THÍCH 2: Dữ liệu danh định được cho trong tiêu chuẩn tính năng đèn điện thích hợp. Chúng có tối thiểu quang thông và hiệu suất sáng, nhưng có thể có thêm phân bố cường độ chùm tia, CRI, CCT, v.v.
Quy trình tương tự với quy trình được mô tả ở đây đối với đèn điện LED có thể được xem xét cho các sản phẩm LED khác.
E.2 Thông số đặc trưng và dung sai của dữ liệu đèn điện LED
Trong hầu hết các đèn điện LED, nguồn sáng LED không thể tách rời khỏi đèn điện. Do đó, đèn điện LED được đo trong “phép đo quang tuyệt đối”. Dữ liệu đầu ra của phép đo đèn điện LED có thể là dữ liệu thô ở các điều kiện thử nghiệm phòng thí nghiệm và được hiệu chỉnh và ghi lại cho các điều kiện thử nghiệm tiêu chuẩn (xem Điều 4). Độ không đảm bảo đo kết hợp cũng được ghi lại.
Báo cáo gắn liền với đèn điện LED được thử nghiệm (tức là DUT) và dữ liệu có được bị ảnh hưởng bởi các thành phần cụ thể trong mẫu do sự thay đổi riêng rẽ của nguồn sáng và bộ điều khiển được sử dụng. Do đó dữ liệu về một mẫu ở các điều kiện thử nghiệm tiêu chuẩn có thể không đủ để mô tả sản phẩm về thông số đặc trưng, và các hệ số hiệu chỉnh bổ sung có thể được đưa vào.
CHÚ THÍCH 1: Độ không đảm bảo đo và dung sai của sản phẩm phải được phân biệt rõ ràng.
Nhà chế tạo đèn điện LED cần đánh giá xem các thành phần liên quan được sử dụng trong đèn điện LED được đo có đại diện cho các thành phần độc lập với đèn điện hay không, cần đặc biệt lưu ý đến các thành phần chính là nguồn sáng LED và bộ điều khiển LED các thành phần này cần được kiểm tra để xem chúng có phù hợp với dữ liệu được nhà chế tạo cung cấp hay không.
Dữ liệu của từng lần đánh giá các thành phần cần được kết nối với dữ liệu đo quang, vì sự kết hợp trong đèn điện ảnh hưởng đến các điều kiện làm việc của thành phần. Yêu cầu này đòi hỏi rằng các tham số tương tự phải được đo trong phép đo quang như đối với đánh giá các thành phần. Bằng cách so sánh dữ liệu liên quan, có thể tính được các hệ số hiệu chỉnh (hiệu suất quang hoặc điện, v.v.).
CHÚ THÍCH 2: Các tham số có thể là dòng điện nguồn sáng LED, nhiệt độ của nguồn sáng LED, bộ điều khiển nguồn sáng LED, v.v.
CHÚ THÍCH 3: Dữ liệu của các thành phần do nhà chế tạo hoặc đại lý được ủy quyền cung cấp có thể là dữ liệu danh định, dung sai, phân bố thống kê, giá trị điển hình, v.v.
CHÚ THÍCH 4: Đặc biệt thận trọng nếu dữ liệu cần được nội suy hoặc ngoại suy.
Mô hình xác định dữ liệu danh định hoặc dung sai cũng có thể tính đển các dung sai của quá trình lắp ráp (ví dụ tính năng quản lý nhiệt giữa nguồn sáng LED và các tản nhiệt).
Nếu không có hệ số hiệu chỉnh nào có thể rút ra để xác định dữ liệu danh định, dung sai phải được tăng lên.
Quy trình theo bước chi tiết phải được xây dựng bởi nhà chế tạo đèn điện LED cho từng hệ thống (xem Hình E.1).
Hình E.1 - Lưu đồ quy trình theo bước cung cấp các đại lượng đo quang danh định của dèn điện LED
Thư mục tài liệu tham khảo
[1] ANSI NEMA ANSLG C78.377-2008, Specifications for the Chromaticity of Solid state Lighting Products
[2] BERGEN, A.S.J., JENKINS, S.E. (2012), Determining the minimum test distance in the goniophotometry of LED luminaires, CIE x037:2012 Proceedings of CIE 2012 "Lighting Quality and Energy Efficiency"
[3] CIE S 017-2016, International Lighting Vocabulary
[4] CIE 063-1984, The Spectroradiometric Measurements of Light Sources
[5] CIE 179:2007, Methods for Characterising Tristimulus Colorimeters for Measuring the Colour of Light
[6] CIE TN 001:2014, Chromaticity Difference Specification for Light Sources
[7] TCVN 7590-2-13:2013 (IEC 61347-2-13:2006), Bộ điều khiển bóng đèn - Phần 2-13: Yêu cầu cụ thể đối với bộ điều khiển điện tử được cấp điện bằng nguồn một chiều hoặc xoay chiều dùng cho môđun LED
[8] IEC 62031:2012, LED modules for general Lighting - Safety specifications
[9] TCVN 9892:2013 (IEC 62384:2011), Bộ điều khiển điện tử nguồn một chiều hoặc xoay chiều dùng cho các môđun LED - Yêu cầu về tính năng
[10] IEC 62560:2011, Self-ballasted LED-lamps for general lighting services by voltage > 50 V - Safety specifications
[11] IEC TS 62972, General lighting - Organic light emitting diode (OLED) products and related equipment - Terms and definitions
[12] IEC Guide 115 (2007), Application of uncertainty of measurement to conformity assessment activities in the electro-technical sector
[13] TCVN 10886:2015 (IES LM-79-08 (2008)), Phép đo điện và quang cho các sản phẩm chiếu sáng rắn
[14] IES LM-78-07 (2007), Approved Method for Total Luminous Flux Measurement of Lamps Using an Integrating Sphere Photometer
[15] TCVN 6450:2007 (ISO/IEC Guide 2:2004), Tiêu chuẩn hoá và các hoạt động có liên quan - Thuật ngữ chung và định nghĩa
[16] ISO/IEC 17025:2005, General requirements for the competence of testing and calibration laboratories
[17] KRUGER, U. BLATTNER, P. (2013), Spectral mismatch correction factor estimation for white LED spectra based on the photometer's f, value.
[18] CIE x038:2013, Proceedings of the CIE Centenary Conference "Towards a New Century of Light", Paris, 2013.
[19] MARTINSONS, C., ZONG, Y., MILLER, C., OHNO, Y„ OLIVE, F, PICARD, N. (2013), Influence of Current and Voltage Harmonic Distortion on the Power Measurement of LED Lamps and Luminaires, CIE X038:2013 Proceedings of the CIE Centenary Conference "Towards a New Century of Light", Paris, 2013.
[1] Hệ thống Tiêu chuẩn quốc gia đã có TCVN 9894:2013 hoàn toàn tương đương với IEC/TS 62504:2011
[2] Hệ thống Tiêu chuẩn quốc gia đã có TCVN 10485-1:2015 hoàn toàn tương đương với IEC 62717-1:2014.
[3] Hệ thống Tiêu chuẩn quốc gia đã có TCVN 10885-1:2015 hoàn toàn tương đương với IEC 62722-1:2014.
[4] Hệ thống tiêu chuẩn quốc gia đã có TCVN 10885-2-1:2015 hoàn toàn tương đương với IEC 62722-2-1:2014.
Bạn chưa Đăng nhập thành viên.
Đây là tiện ích dành cho tài khoản thành viên. Vui lòng Đăng nhập để xem chi tiết. Nếu chưa có tài khoản, vui lòng Đăng ký tại đây!






