- Tổng quan
- Nội dung
- Tiêu chuẩn liên quan
- Lược đồ
- Tải về
Tiêu chuẩn TCVN 2703:2020 Nhiên liệu động cơ đánh lửa - Xác định trị số octan nghiên cứu
| Số hiệu: | TCVN 2703:2020 | Loại văn bản: | Tiêu chuẩn Việt Nam |
| Cơ quan ban hành: | Bộ Khoa học và Công nghệ | Lĩnh vực: | Công nghiệp |
| Trích yếu: | ASTM D 2699-19 Nhiên liệu động cơ đánh lửa - Xác định trị số octan nghiên cứu | ||
|
Ngày ban hành:
Ngày ban hành là ngày, tháng, năm văn bản được thông qua hoặc ký ban hành.
|
31/12/2020 |
Hiệu lực:
|
Đã biết
|
| Người ký: | Đang cập nhật |
Tình trạng hiệu lực:
Cho biết trạng thái hiệu lực của văn bản đang tra cứu: Chưa áp dụng, Còn hiệu lực, Hết hiệu lực, Hết hiệu lực 1 phần; Đã sửa đổi, Đính chính hay Không còn phù hợp,...
|
Đã biết
|
TÓM TẮT TIÊU CHUẨN VIỆT NAM TCVN 2703:2020
Nội dung tóm tắt đang được cập nhật, Quý khách vui lòng quay lại sau!
Tải tiêu chuẩn Việt Nam TCVN 2703:2020
TIÊU CHUẨN QUỐC GIA
TCVN 2703:2020
ASTM D 2699-19
NHIÊN LIỆU ĐỘNG CƠ ĐÁNH LỬA - XÁC ĐỊNH TRỊ SỐ OCTAN NGHIÊN CỨU
Standard test method for research octane number of spark-ignition engine fuel
Lời nói đầu
TCVN 2703:2020 thay thế TCVN 2703:2013.
TCVN 2703:2020 được xây dựng trên cơ sở chấp nhận hoàn toàn tương đương với ASTM D 2699-19 Standard Test Method for Research Octane Number of Spark-Ignition Engine Fuel (không bao gồm Phụ lục A. 2, X. 1 và X.2), với sự cho phép của ASTM quốc tế, 100 Barr Harbor Drive, West Conshohocken, PA 19428, USA. Tiêu chuẩn ASTM D 2699-12 thuộc bản quyền ASTM quốc tế.
TCVN 2703:2020 do Tiểu ban kỹ thuật tiêu chuẩn quốc gia TCVN/TC28/SC2 Nhiên liệu lỏng - Phương pháp thử biên soạn, Tổng cục Tiêu chuẩn Đo lường Chất lượng đề nghị, Bộ Khoa học và Công nghệ công bố.
Lời giới thiệu
TCVN 2703:2020 được xây dựng trên cơ sở chấp nhận ASTM D 2699-19 Standard Test Method for Research Octane Number of Spark-Ignition Engine Fuel, không bao gồm 7.1.1; Phụ lục A.2 Hướng dẫn lắp đặt thiết bị; Phụ lục X.1 Thiết bị phụ và Phụ lục X.2 Thiết bị và quy trình pha trộn nhiên liệu thể tích chuẩn; với lý do sau: Nội dung chính của tiêu chuẩn này là quy trình xác định trị số octan nghiên cứu cho nhiên liệu động cơ đánh lửa, trong đó thiết bị thử áp dụng cho phương pháp được nhập khẩu đồng bộ và lắp sẵn nguyên chiếc, do vậy các nội dung nêu trong 7.1.1, Phụ lục A.2, Phụ lục X.1 và Phụ lục X.2 không cần đề cập trong nội dung của tiêu chuẩn này. Tham khảo thêm ASTM D 2699-19.
TCVN 2703:2020 có những thay đổi về biên tập cho phép như sau:
| ASTM D 2699-19 | TCVN 2703:2020 | ASTM D 2699-19 | TCVN 2703:2020 |
| Phụ lục A1 (quy định) | Phụ lục A (quy định) | A1.4 | A.4 |
| A1.1 | A.1 | A1.4.1 | A.4.1 |
| A1.1.1 | A.1.1 | A1.4.1.1 | A.4.1.1 |
| A1.2 | A.2 | A1.4.1.2 | A.4.1.2 |
| A1.2.1 | A.2.1 | A1.4.1.3 | A.4.1.3 |
| A1.2.1.1 | A.2.1.1 | A1.4.1.4 | A.4.1.4 |
| A1.3 | A.3 | A1.4.1.5 | A.4.1.5 |
| A1.3.1 | A.3.1 | A1.4.1.6 | A.4.1.6 |
| A1.3.1.1 | A.3.1.1 | Phụ lục A3 (quy định) | Phụ lục B (quy định) |
| A1.3.1.2 | A.3.1.2 | A3.1 | B.1 |
| A1.3.1.3 | A.3.1.3 | Bảng A3.1 | Bảng B.1 |
| A1.3.1.4 | A.3.1.4 | Bảng A3.2 | Bảng B.2 |
| A1.3.1.5 | A.3.1.5 | Bảng A3.3 | Bảng B.3 |
| A1.3.1.6 | A.3.1.6 | Bảng A3.4 | Bảng B.4 |
| A1.3.1.7 | A.3.1.7 | Phụ lục A4 (quy định) | Phụ lục C (quy định) |
| A1.3.1.8 | A.3.1.8 | A4.1 | C.1 |
| A1.3.1.9 | A.3.1.9 | Bảng A4.1 | Bảng C.1 |
| A1.3.1.10 | A.3.1.10 | Bảng A4.2 | Bảng C.2 |
| A1.3.1.11 | A.3.1.11 | Bảng A4.3 | Bảng C.3 |
| A1.3.1.12 | A.3.1.12 | Bảng A4.4 | Bảng C.4 |
| A1.3.1.13 | A.3.1.13 | Bảng A4.5 | Bảng C.5 |
| A1.3.1.14 | A.3.1.14 |
|
|
| A1.3.1.15 | A.3.1.15 |
|
|
NHIÊN LIỆU ĐỘNG CƠ ĐÁNH LỬA - XÁC ĐỊNH TRỊ SỐ OCTAN NGHIÊN CỨU
Standard test method for research octane number of spark-ignition engine fuel
1 Phạm vi áp dụng
1.1 Tiêu chuẩn này quy định phương pháp thử phòng thử nghiệm bao gồm xác định định lượng chỉ số gõ (còn gọi là chỉ số kích nổ) dưới dạng trị số octan nghiên cứu (sau đây gọi tắt là RON) của các nhiên liệu động cơ đánh lửa dạng lỏng, bao gồm cả các nhiên liệu chứa tới 25 % thể tích etanol (% theo thể tích). Tuy nhiên, phương pháp này có thể không áp dụng đối với nhiên liệu và các nhiên liệu thành phần chứa chủ yếu là các hợp chất oxygenat. Mẫu nhiên liệu được thử nghiệm trên một động cơ tiêu chuẩn là động cơ 4 thì một xy lanh CFR có tỷ số nén thay đổi và có chế hoà khí hoạt động trong các điều kiện vận hành xác định. Thang đo trị số octan được xác định theo tỷ lệ thể tích của các hỗn hợp nhiên liệu chuẩn gốc (viết tắt là PRF). Cường độ gõ (viết tắt là Ki) của nhiên liệu mẫu được so sánh với một hoặc nhiều hỗn hợp nhiên liệu chuẩn gốc. Trị số octan (O.N) của nhiên liệu chuẩn gốc phù hợp với K.l của nhiên liệu mẫu chính là trị số octan nghiên cứu (RON) cần xác định của mẫu.
1.2 Thang đo trị số octan có dải đo từ 0 đến 120 trị số octan, nhưng phương pháp này đo được từ 40 đến 120 đơn vị trị số octan nghiên cứu (RON). Nhiên liệu thương phẩm thông dụng được sản xuất cho các động cơ đánh lửa có trị số octan nghiên cứu từ 88 đến 101. Việc thử nghiệm các hỗn hợp xăng gốc hoặc các nguyên liệu theo dòng chế biến (process stream materials) có thể tạo ra các trị số ở các mức độ khác nhau trên toàn bộ phạm vi đo của trị số octan nghiên cứu.
1.3 Các giá trị của điều kiện vận hành dùng theo hệ đơn vị SI là giá trị tiêu chuẩn. Các giá trị trong ngoặc là theo đơn vị inch-pound. Các kích thước của động cơ CFR vẫn được chuẩn hoá theo đơn vị inch-pound, vì đã có nhiều loại thiết bị, dụng cụ đắt tiền được chế tạo sử dụng cho thiết bị CFR này.
1.4 Đối với mục đích xác định đánh giá sự phù hợp với tất cả các giới hạn trong tiêu chuẩn này, giá trị quan sát hoặc giá trị tính toán phải được làm tròn đến số nguyên gần nhất trong con số cuối cùng bên phải sử dụng biểu thị giới hạn quy định, theo phương pháp làm tròn phù hợp với ASTM E 29.
1.5 Tiêu chuẩn này không đề cập đến các quy tắc an toàn liên quan đến việc áp dụng tiêu chuẩn. Người sử dụng tiêu chuẩn này phải có trách nhiệm thiết lập các quy định thích hợp về an toàn và sức khoẻ, đồng thời phải xác định khả năng áp dụng các giới hạn quy định trước khi sử dụng. Xem các Điều 8, 14.4.1, 15.5.1, 16.6.1 và Phụ lục A.
2 Tài liệu viện dẫn
Các tài liệu viện dẫn sau là cần thiết khi áp dụng tiêu chuẩn này. Đối với các tài liệu viện dẫn ghi năm công bố thì áp dụng bản được nêu. Đối với các tài liệu viện dẫn không ghi năm công bố thì áp dụng phiên bản mới nhất, bao gồm cả các bản sửa đổi, bổ sung (nếu có).
TCVN 2117 (ASTM D 1193) Nước thuốc thử - Yêu cầu kỹ thuật
TCVN 3182 (ASTM D 6304) Sản phẩm dầu mỏ, dầu bôi trơn và phụ gia - Xác định nước bằng chuẩn độ điện lượng Karl Fischer
TCVN 6022 (ISO 3171) Chất lỏng dầu mỏ - Lấy mẫu tự động trong đường ống
TCVN 6777 (ASTM D 4057) Dầu mỏ và sản phẩm dầu mỏ - Phương pháp lấy mẫu thủ công
ASTM D 2268 Test method for analysis of high-purity n-heptane and isooctan by capillary gas chromatography (Phương pháp phân tích n-heptan và isooctan có độ tinh khiết cao bằng sắc ký khí mao quản)
ASTM D 2700 Test method for motor octance number of spark ignition engine fuel (Phương pháp xác định trị số octan môtơ (MON) của nhiên liệu động cơ đánh lửa)
ASTM D 2885 Test method for determination of octan number of spark-ignition engine fuel by on-line direct comparision technique (Phương pháp xác định trị số octan của nhiên liệu động cơ đánh lửa bằng kỹ thuật so sánh trực tuyến)
ASTM D 3703 Test method for hydroperoxide number of aviation turbine fuels, gasoline and diesel fuel (Phương pháp xác định trị số hydro peroxit của nhiên liệu tuốc bin hàng không, xăng và nhiên liệu điêzen)
ASTM D 4175 Terminology relating to petroleum, petroleum products, and lubricants (Thuật ngữ liên quan đến dầu mỏ, sản phẩm dầu mỏ và chất bôi trơn)
ASTM D 4814 Specification for automotive spark-ignition engine fuel (Yêu cầu kỹ thuật đối với nhiên liệu động cơ đánh lửa của ôtô)
ASTM D 5842 Practice for sampling and handling of fuels for volatility measurement (Phương pháp lấy mẫu và bảo quản các loại nhiên liệu dùng để đo độ bay hơi)
ASTM D 6299 Practice for applying statistical quality assurance and control charting techniques to evaluate analytical measurement system performance (Phương pháp kỹ thuật thống kê về đảm bảo chất lượng và sơ đồ kiểm soát để đánh giá hiệu suất hệ thống thiết bị đo lường phân tích)
ASTM D 7504 Test method for trace impurities in monocyclic aromatic hydrocarbons by gas chromatography and effective carbon number (Phương pháp xác định tạp chất dạng vết trong hydrocacbon thơm đơn vòng bằng sắc ký khí và số cacbon hiệu quả)
ASTM E 29 Practice for using significant digits in test data to determine comformance with specification (Thực hành sử dụng số có nghĩa trong dữ liệu thử nghiệm để xác định sự phù hợp với yêu cầu kỹ thuật)
ASTM E 344 Terminology relating to thermometry and hydrometry (Các thuật ngữ liên quan đến phép đo nhiệt độ và phép đo khối lượng riêng chất lỏng bằng tỷ trọng kế).
ASTM E 456 Terminology relating to quality and statistics (Các thuật ngữ liên quan đến chất lượng và kỹ thuật thống kê).
ASTM E 542 Practice for calibration of laboratory volumetric apparatus (Phương pháp hiệu chuẩn các dụng cụ thể tích trong phòng thử nghiệm)
ASTM E 1064 Test method for water in organic liquids by coulometric Karl Fischer (Phương pháp xác định nước trong chất lỏng hữu cơ bằng phép đo chuẩn độ điện lượng Karl Fischer)
ANSI C-39.1 Requirements for electrical analog indicating instruments (Các yêu cầu đối với các thiết bị đo điện hiển thị analog)
IP 224/02 Determination of low lead content of light petroleum distilates by dithizone extraction and colorimetric method (Phương pháp xác định hàm lượng chì thấp của sản phẩm chưng cất dầu mỏ nhẹ bằng phương pháp chiết xuất bằng dithizone và so màu)
3 Thuật ngữ, định nghĩa
3.1 Định nghĩa các thuật ngữ
3.1.1
Giá trị chuẩn chấp nhận (accepted reference value)
Giá trị chuẩn đồng thuận dùng để so sánh, giá trị này được rút ra từ: (1) giá trị lý thuyết hay giá trị được xác lập dựa trên các nguyên tắc khoa học, (2) giá trị ấn định hoặc giá trị được chứng nhận, dựa trên các thực nghiệm của một số tổ chức quốc gia hoặc quốc tế, (3) giá trị được nhất trí hoặc được chứng nhận dựa trên các hợp tác thực nghiệm dưới sự bảo trợ của một nhóm nhà khoa học hoặc kỹ sư.
[ASTM E 456]
3.1.1.1 Giải thích: Trong phạm vi của phương pháp này, giá trị chuẩn chấp nhận ở đây được hiểu là dùng cho trị số octan nghiên cứu của các mẫu chuẩn riêng biệt, được xác định bằng thực nghiệm trong các điều kiện tái lập của nhóm trao đổi của quốc gia hoặc tổ chức trao đổi thử nghiệm được công nhận.
3.1.2
Nhiên liệu kiểm tra, dùng cho thử nghiệm kiểm tra chất lượng (check fuels, for quality control testing) Nhiên liệu dùng cho động cơ đánh lửa có các đặc tính được lựa chọn, có trị số octan chuẩn chấp nhận (O.N.arv) dựa theo phương pháp thử nghiệm chéo trong các điều kiện của độ tái lập.
3.1.3
Chiều cao xylanh, cho động cơ CFR (cylinder height, for the CFR engine)
Vị trí thẳng đứng tương đối của xylanh động cơ so với pittông tại điểm chết trên (tdc) hay bề mặt đỉnh của hộp cacte.
3.1.3.1
Số đọc của đồng hồ hiện số, cho động cơ CFR (dial indicator reading, for the CFR engine)
Chỉ báo bằng số của chiều cao xylanh đo bằng đơn vị 1/1000 inch được chỉ số hoá để cài đặt cơ bản tại áp suất nén khi động cơ hoạt động.
3.1.3.2
Số đọc của bộ đếm hiển thị số, cho động cơ CFR (digital counter reading, for the CFR engine)
Số chỉ chiều cao của xylanh, được chỉ số hoá ở mức cài đặt cơ bản tại áp suất nén quy định khi động cơ hoạt động.
3.1.4
Đồng hồ đo kích nổ, tín hiệu analog, cho thử nghiệm độ gõ (detonation meter, analog, for knock testing)
Thiết bị biến đổi tín hiệu analog nhận tín hiệu điện từ bộ cảm biến tiếng nổ và cung cấp tín hiệu đầu ra cho bộ hiển thị.
3.1.4.1 Giải thích: Trong phạm vi của phương pháp thử này, hiện tại có ba thế hệ thiết bị đã được phát triển làm đồng hồ đo kích nổ. Đó là các đồng hồ đo kích nổ 501T (1969), 501C (1979) và SSD7000 (2017) (năm phát hành trong ngoặc đơn.
3.1.5
Đồng hồ đo kích nổ, tín hiệu số, cho thử nghiệm độ gõ (detonation meter, digital, for knock testing) Thiết bị biến đổi tín hiệu số nhận tín hiệu điện từ bộ cảm biến tiếng nổ và cung cấp tín hiệu đầu ra cho bộ hiển thị.
3.1.6
Bộ cảm biến tiếng nổ, cho thử nghiệm độ gõ (detonation pickup, for knock testing)
Bộ cảm ứng từ tính, được lắp trong xylanh động cơ và chịu áp suất của buồng đốt để cung cấp tín hiệu điện, tỷ lệ với tốc độ thay đổi áp suất của xylanh.
3.1.7
Mức nhiên liệu thay đổi, cho thử nghiệm độ gõ (dynamic fuel level, for knock testing)
Quy trình thử nghiệm trong đó xác định tỷ lệ nhiên liệu - không khí để đạt cường độ gõ cực đại đối với các nhiên liệu chuẩn và mẫu bằng cách dùng kỹ thuật hạ mức nhiên liệu để mức nhiên liệu trong bộ chế hòa khí chuyển từ điều kiện có tỷ lệ hỗn hợp cao hoặc giàu nhiên liệu sang điều kiện có tỷ lệ hỗn hợp thấp hoặc nghèo nhiên liệu với tốc độ không đổi, nhờ đó cường độ gõ tăng lên đến điểm cực đại và sau đó giảm dần, do vậy có thể quan sát được số đọc cực đại của đồng hồ đo độ gõ.
3.1.8
Mức nhiên liệu cân bằng, cho thử nghiệm độ gõ (equilibrium fuel level, for knock testing)
Quy trình thử nghiệm trong đó xác định tỷ lệ nhiên liệu - không khí để đạt cường độ gõ cực đại đối với các nhiên liệu chuẩn và mẫu bằng cách tiến hành tăng tỷ lệ không khí - nhiên liệu theo bước với lượng tăng cố định, thực hiện quan sát cường độ gõ cân bằng cho từng bước tăng và lựa chọn mức nhiên liệu có số đọc cường độ gõ cực đại.
3.1.9
Đốt, đối với động cơ CFR (firing, for the CFR engine)
Vận hành động cơ CFR bằng nhiên liệu và đánh lửa.
3.1.10
Tỷ lệ nhiên liệu - không khí cho cường độ gõ cực đại, cho thử nghiệm độ gõ (fuel-air ratio for maximum knock intensity, for knock testing)
Tỷ lệ của nhiên liệu với không khí tạo ra cường độ gõ cực đại cho mỗi loại nhiên liệu trong thiết bị thử nghiệm độ gõ với điều kiện tỷ lệ này xuất hiện trong những giới hạn xác định của mức nhiên liệu trong bộ chế hoà khí.
3.1.11
Các bảng chỉ dẫn, cho thử nghiệm độ gõ (guide tables, for knock testing)
Tương quan giữa chiều cao xylanh (tỷ số nén) và trị số octan ở cường độ gõ tiêu chuẩn ứng với các hỗn hợp nhiên liệu chuẩn gốc được thử nghiệm trong điều kiện áp suất chuẩn hoặc áp suất khí quyển xác định.
3.1.12
Tiếng gõ, trong động cơ đánh lửa (knock, in a spark-ignition engine)
Sự đốt cháy bất thường, thường sinh ra tiếng động có thể nghe thấy, được gây ra bởi sự tự đánh lửa của hỗn hợp không khí/nhiên liệu.
[ASTM D 4175]
3.1.13
Cường độ gõ, cho thử nghiệm độ gõ (knock intensity, for knock testing)
Số đo mức độ tiếng gõ.
3.1.14
Đồng hồ đo độ gõ loại analog, cho thử nghiệm độ gõ (knockmeter, analog, for knock testing) Đồng hồ chỉ vạch tín hiệu analog chia từ 0 đến 100 hiển thị tín hiệu cường độ gõ do đồng hồ đo kích nổ tín hiệu analog cung cấp.
3.1.15
Đồng hồ đo độ gõ, tín hiệu số, cho thử nghiệm độ gõ (knockmeter, digital, for knock testing) Đồng hồ chỉ vạch tín hiệu số chia từ 0 đến 999 hiển thị cường độ gõ do đồng hồ đo kích nổ tín hiệu số cung cấp.
3.1.16
Vận hành bằng mô tơ, cho động cơ CFR (motoring, for the CFR engine)
Sự vận hành của động cơ không cần nhiên liệu với bộ phận đánh lửa tắt.
3.1.17
Trị số octan, cho nhiên liệu động cơ đánh lửa (octane number, for spark-ignition engine fuel)
Bất cứ chỉ báo nào trong các loại chỉ báo bằng số thể hiện khả năng chống kích nổ thu được bằng cách so sánh với các nhiên liệu chuẩn trong phép thử nghiệm trên động cơ hoặc xe đã chuẩn hóa.
[ASTM D 4175]
3.1.17.1
Trị số octan nghiên cứu, cho nhiên liệu động cơ đánh lửa (research octane number, for spark- ignition engine fuel)
Giá trị được số hóa thể hiện khả năng chống kích nổ của nhiên liệu mẫu đo tính được bằng cách so sánh với cường độ gõ với hỗn hợp các nhiên liệu chuẩn gốc khi cả hai được thử nghiệm bằng một động cơ chuẩn CFR trong các điều kiện thử nghiệm xác định của phương pháp thử này.
3.1.18
Oxygenat (oxygenate)
Hợp chất hữu cơ chứa oxy, có thể được sử dụng như nhiên liệu hay thành phần nhiên liệu, ví dụ các loại rượu hay ete
[ASTM D 4175]
3.1.19
Nhiên liệu chuẩn gốc, cho thử nghiệm độ gõ, isooctan, n-heptan (primary reference fuels, for knock testing, isooctan, n-heptan)
Hỗn hợp tỷ lệ thể tích của isooctan, n-heptan, hỗn hợp tỷ lệ thể tích của isooctan và n-heptan hoặc các hỗn hợp tetraetyl chì trong isooctan, tất cả cùng tạo thành thang đo trị số octan.
3.1.19.1
Hỗn hợp nhiên liệu chuẩn gốc có octan dưới 100 (primary reference fuel blends below 100 octane) Phần trăm thể tích của isooctan trong một hỗn hợp với n-heptan tạo nên trị số octan của hỗn hợp này, isooctan được quy ước có trị số octan là 100 và n-heptan có trị số octan là 0.
3.1.19.2
Hỗn hợp nhiên liệu chuẩn gốc có trị số octan trên 100 (primary reference fuel blends above 100 octane)
Số mililít tetraetyl chì trên galon U.S. (3,8 L) trong isooctan tạo nên trị số octan lớn hơn 100 phù hợp với tương quan xác định bằng kinh nghiệm.
3.1.20
Mẫu kiểm soát chất lượng (QC) [quality control sample (QC)]
Mẫu để sử dụng trong các chương trình đảm bảo chất lượng và kiểm soát độ chụm và độ ổn định của hệ thống đo. Mau là một chất bền và đồng nhất có các tính chất lý học hoặc hóa học hoặc cả hai tương tự như các tính chất của mẫu điển hình được thử nghiệm bởi hệ thống phân tích. Mẫu phải được bảo quản đúng cách để đảm bảo tính nguyên vẹn và phải sẵn có với số lượng đủ để thử nghiệm lặp lại và trong thời gian dài [ASTM D 6299]
3.1.21
Các điều kiện của độ lặp lại (repeatability conditions)
Các điều kiện mà tại đó các kết quả thử nghiệm độc lập nhận được khi thử theo cùng một phương pháp, cho các nhiên liệu thử như nhau, trong cùng một phòng thử nghiệm, do cùng một thử nghiệm viên, tiến hành thử trên cùng một thiết bị trong những khoảng thời gian ngắn [ASTM E 456]
3.1.21.1 Giải thích: Trong phạm vi của phép thử này, khoảng thời gian ngắn giữa hai lần đánh giá trên một mẫu nhiên liệu được hiểu là không nhỏ hơn thời gian để nhận được một lần đánh giá về một mẫu nhiên liệu khác, nhưng không lâu đến mức để thấy được bất kỳ một sự thay đổi đáng kể nào của mẫu nhiên liệu,của thiết bị thử nghiệm hay của môi trường.
3.1.22
Các điều kiện của độ tái lập (reproducibility conditions)
Các điều kiện mà tại đó các kết quả thử nghiệm nhận được khi thử theo cùng một phương pháp cho các nhiên liệu thử như nhau, trong các phòng thử nghiệm khác nhau, với những thử nghiệm viên khác nhau, tiến hành thử trên các thiết bị khác nhau
[ASTM E 456]
3.1.23
Dải đo, trong phép đo độ gõ (spread, in knock measurement)
Độ nhạy của đồng hồ đo kích nổ tín hiệu analog biểu thị bằng số vạch chia của đồng hồ đo độ gõ ứng với một đơn vị trị số octan. (Đồng hồ đo kích nổ tín hiệu số không cần thiết phải điều chỉnh dải đo này).
3.1.24
Cường độ gõ tiêu chuẩn, cho thử nghiệm độ gõ (Standard knock intensity, for knock testing) Mức độ gõ được thiết lập khi một hỗn hợp nhiên liệu chuẩn gốc có trị số octan cụ thể được dùng ở tỷ lệ nhiên liệu - không khí ứng với cường độ gõ lớn nhất trong thiết bị kiểm tra độ gõ, với chiều cao xylanh (số đọc của bộ đếm kỹ thuật số hoặc đồng hồ chỉ báo quay số) được đặt tại giá trị như nêu trong bảng chỉ dẫn.
3.1.25
Nhiên liệu toluen chuẩn hóa, cho thử nghiệm độ gõ (toluene standardization fuels, for knock testing) Các hỗn hợp theo tỷ lệ thể tích của hai hoặc nhiều loại nhiên liệu như sau: toluen cấp chất lượng nhiên liệu chuẩn, n-heptan, isooctan. Các hỗn hợp đó phải có các dung sai cho trước được xác định bằng thử nghiệm liên phòng trong các điều kiện của độ tái lập đối với O.NARV.
3.2 Các chữ viết tắt
3.2.1 ARV (accepted reference value) = Giá trị chuẩn chấp nhận.
3.2.2 CFR (cooperative fuel research) = Nghiên cứu nhiên liệu phối hợp.
3.2.3 C.R (compression ratio) = Tỷ số nén.
3.2.4 IAT (intake air temperature) = Nhiệt độ của không khí vào.
3.2.5 K.l (knock intensity) = Cường độ gõ.
3.2.6 O.A (octane analyzer) = Máy phân tích octan.
3.2.7 O.N (octane number) = Trị số octan.
3.2.8 PRF (primary reference fuel) = Nhiên liệu chuẩn gốc.
3.2.9 RTD (resistance thermometer device E 344 platinum type) = Nhiệt kế điện trở bạch kim E 344.
3.2.10 TSF (toluene standardization fuel) = Nhiên liệu toluen chuẩn hóa.
4 Tóm tắt phương pháp
4.1 Trị số octan nghiên cứu của nhiên liệu động cơ đánh lửa, được xác định khi sử dụng động cơ thử nghiệm tiêu chuẩn và các điều kiện vận hành chuẩn để so sánh đặc tính gõ của nó với đặc tính gõ của những hỗn hợp nhiên liệu chuẩn gốc có trị số octan (O.N) biết trước. Tỷ số nén và tỷ lệ hỗn hợp nhiên liệu - không khí được điều chỉnh để đạt được cường độ gõ chuẩn cho nhiên liệu mẫu, đo bằng thiết bị đo kích nổ điện tử đặc biệt. Mối quan hệ giữa tỷ số nén (C.R) của động cơ với trị số octan (O.N) theo phương pháp này được thể hiện tại Bảng hướng dẫn tiêu chuẩn về cường độ gõ (K.l). Tỷ lệ hỗn hợp nhiên liệu - không khí cho nhiên liệu mẫu và từng hỗn hợp nhiên liệu chuẩn gốc được điều chỉnh để đạt được cường độ gõ cực đại cho mỗi loại nhiên liệu.
4.1.1 Tỷ lệ hỗn hợp nhiên liệu - không khí cho cường độ gõ (K.l) cực đại có thể đạt được bằng cách (1) thay đổi theo từng bước tăng dần trong hỗn hợp, quan sát giá trị cường độ gõ cân bằng (K.l.) cho mỗi bước, và sau đó lựa chọn điều kiện để đạt chỉ số cực đại; hoặc (2) bằng cách đưa K.l. lên cực đại khi thay đổi thành phần hỗn hợp từ giàu - xuống - nghèo hoặc ngược lại theo một tốc độ không đổi.
4.2 Quy trình chặn trên - dưới
Động cơ được hiệu chuẩn để hoạt động tại điều kiện cường độ gõ (K.l) chuẩn theo bảng hướng dẫn. Tỷ lệ của hỗn hợp nhiên liệu - không khí của mẫu nhiên liệu được điều chỉnh để đạt được K.l. cực đại, và sau đó chiều cao xylanh được điều chỉnh để sao cho đạt được K.l. tiêu chuẩn. Không thay đổi chiều cao của xylanh, lựa chọn hai hỗn hợp nhiên liệu chuẩn gốc (PRF) sao cho tại tỷ lệ hỗn hợp nhiên liệu-không khí của chúng, K.l. đạt cực đại, một mẫu nhiên liệu chuẩn gốc gây tiếng gõ động cơ mạnh hơn (K.l. cao hơn so với nhiên liệu mẫu) và mẫu nhiên liệu chuẩn gốc khác gây tiếng gõ động cơ yếu hơn (K.l. thấp hơn so với nhiên liệu mẫu), cần thực hiện lần thứ hai các phép đo K.I. cho nhiên liệu mẫu và các hỗn hợp nhiên liệu chuẩn gốc (PRF), trị số octan của nhiên liệu mẫu được tính bằng cách nội suy theo tỷ lệ chênh lệch của các số đọc K.l. trung bình. Điều kiện cuối cùng đòi hỏi là chiều cao xylanh đã được sử dụng phải nằm trong giới hạn quy định, xung quanh giá trị trong bảng hướng dẫn đối với các trị số octan đã được tính toán. Phương pháp chặn trên dưới có thể được xác định bằng cách sử dụng mức nhiên liệu cân bằng hoặc thay đổi tỷ lệ hỗn hợp nhiên liệu - không khí động lực học.
4.3 Quy trình tỷ số nén (C.R)
Việc hiệu chuẩn được thực hiện để thiết lập K.l. tiêu chuẩn sử dụng chiều cao xylanh đã được xác định trong bảng hướng dẫn cho trị số octan của nhiên liệu chuẩn gốc đã lựa chọn. Tỷ lệ hỗn hợp nhiên liệu - không khí của nhiên liệu mẫu được điều chỉnh để đạt được K.l. cực đại trong điều kiện cân bằng; chiều cao xylanh được điều chỉnh sao cho đạt được K.l. tiêu chuẩn. Việc hiệu chuẩn và xác định tỷ số nén của nhiên liệu mẫu được lặp lại lần thứ hai để khẳng định các điều kiện chính xác, số đọc chiều cao trung bình của xylanh đối với nhiên liệu mẫu khi đã được bù trừ chênh lệch áp suất, được chuyển trực tiếp thành trị số octan bằng bảng hướng dẫn. Điều kiện cuối cùng cho việc đặt tỷ số nén là trị số octan của nhiên liệu mẫu nằm trong các giới hạn cho trước xung quanh trị số octan của nhiên liệu chuẩn gốc được dùng để hiệu chuẩn động cơ theo điều kiện cường độ gõ tiêu chuẩn trong bảng hướng dẫn.
5 Ý nghĩa và sử dụng
5.1 Trị số octan nghiên cứu tương ứng với tính năng chống gõ của động cơ ôtô đánh lửa ở điều kiện hoạt động bình thường.
5.2 Trị số octan nghiên cứu được các nhà sản xuất động cơ, các nhà máy lọc dầu, các nhà kinh doanh và trong thương mại sử dụng như là một thông số kỹ thuật hàng đầu liên quan tính phù hợp của nhiên liệu với động cơ.
5.2.1 Mối tương quan thực nghiệm cho phép tính toán đặc tính chống gõ của nhiên liệu dựa trên phương trình tổng quát sau:
| O.N trên đường = [k1 × RON) + (k2 X MON) + k3 | (1) |
Các giá trị k1, k2 và k3 khác nhau tùy loại xe, mật độ xe và dựa trên các phép xác định O.N trên đường.
5.2.2 Trị số octan nghiên cứu (RON) cùng với trị số octan môtơ (MON) xác định chỉ số chống gõ của các nhiên liệu động cơ đánh lửa, theo tiêu chuẩn quy định. Chỉ số chống gõ của một nhiên liệu gần bằng O.N trên đường đối với nhiều xe cộ tham khảo trong các sổ tay hướng dẫn sử dụng xe:
| Chỉ số chống gõ = 0,5 RON + 0,5 MON + 0 | (2) |
Hoặc được viết ở dạng thông dụng hơn:
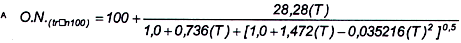
|
| (3) |
5.2.3 RON còn được sử dụng độc lập hoặc trong mối tương quan với các yếu tố khác để xác định O.N trên đường của nhiên liệu động cơ đánh lửa.
5.3 RON được sử dụng để xác định đặc tính chống gõ các nhiên liệu động cơ đánh lửa có chứa các hợp chất chứa oxygenat.
5.4 RON là một chỉ tiêu quan trọng khi xét các chỉ tiêu kỹ thuật đối với các nhiên liệu động cơ đánh lửa sử dụng trong các ứng dụng của động cơ tĩnh tại và động cơ không thuộc động cơ ôtô.
6 Các yếu tố gây nhiễu
6.1 CẢNH BÁO - Tránh để cho mẫu bị ánh nắng mặt trời hoặc bức xạ UV của đèn huỳnh quang chiếu vào nhằm giảm thiểu các phản ứng hoá học xảy ra ảnh hưởng đến việc xác định trị số octan.
6.1.1 Các nhiên liệu bị tia UV có bước sóng ngắn hơn 550 nm chiếu vào trong một thời gian ngắn, có thể gây ảnh hưởng rõ rệt đến trị số octan.
6.2 Một số khí đốt và khói thải có thể có tại những khu vực đặt thiết bị thử nghiệm độ gõ, có thể ảnh hưởng đáng kể tới kết quả kiểm tra RON.
6.2.1 Chất làm mát halogen hoá trong máy điều hoà không khí và thiết bị làm lạnh có thể làm tăng tiếng gõ. Các dung môi loại halogen có thể có ảnh hưởng tương tự. Nếu hơi từ những chất này lọt vào trong buồng đốt của động cơ CFR, RON của các nhiên liệu mẫu có thể bị giảm.
6.3 Khi hiệu điện thế hay tần số dòng điện không ổn định, có thể làm thay đổi các điều kiện hoạt động của động cơ CFR hoặc tính năng thiết bị đo độ gõ và do đó gây ảnh hưởng tới trị số octan nghiên cứu của nhiên liệu.
6.3.1 Phát xạ điện từ có thể gây ra nhiễu đồng hồ đo độ gõ tín hiệu analog, do đó ảnh hưởng đến RON thu được đối với các mẫu nhiên liệu.
7 Thiết bị, dụng cụ
7.1 Thiết bị động cơ
Phương pháp này sử dụng động cơ CFR một xylanh, gồm những bộ phận tiêu chuẩn như sau: hộp số, một hệ thống ống kẹp/ xylanh để tạo tỷ số nén thay đổi liên tục có thể điều chỉnh với hoạt động của động cơ, một hệ thống áo làm mát tuần hoàn bằng ống si phông nhiệt, một hệ thống nhiều bình cấp nhiên liệu có van chọn lọc để cung cấp nhiên liệu theo một đường phun và venturi của bộ chế hòa khí, hệ thống hút khí với thiết bị kiểm soát nhiệt độ và độ ẩm, các thiết bị kiểm soát điện và một ống xả phù hợp. Bánh đà của động cơ được nối truyền lực với động cơ điện hấp thụ năng lượng đặc biệt, dùng để khởi động động cơ và cũng là phương tiện hấp thụ năng lượng ở tốc độ không đổi khi quá trình cháy xảy ra (quá trình cháy của động cơ). Xem Hình 1. Cường độ gõ được đo bằng các thiết bị đo và thiết bị cảm biến kích nổ điện tử. Xem Hình 1 và Bảng 1.
7.2 Dụng cụ, thiết bị phụ trợ
Một số thiết bị và thành phần phụ trợ được phát triển để tích hợp với thiết bị động cơ cơ bản thành một hệ thống đo trị số octan hoàn chỉnh trong phòng thử nghiệm hoặc trực tuyến. Chúng bao gồm giao diện máy vi tính và hệ thống phần mềm cũng như phần cứng thông thường, các đường ống dẫn, các dây buộc, các thiết bị điện và điện tử.
CHÚ THÍCH : Đối với danh mục các thiết bị và phụ trợ, tham khảo Phụ lục X1 của ASTM 2699-19. Đa số các thiết bị và phụ trợ đều có thể có sẵn từ nhiều nguồn cung cấp. Trong một số trường hợp, việc lựa chọn các kích thước cụ thể hoặc các tiêu chí yêu cầu kỹ thuật cụ thể là quan trọng để đạt được các điều kiện đúng cho thiết bị thử độ gõ và tất cả chúng đều bao gồm trong Phụ lục X1 của ASTM 2699-19 khi áp dụng.

CHÚ DẪN
| A- Ống chống ẩm không khí | F - Hộp cacte CFR - 48 |
| B - Thiết bị làm nóng không khí vào | G - Thiết bị lọc dầu |
| C - Bộ ngưng chất làm mát | H - Đồng hồ đo kích nổ |
| D - Bộ chế hòa khí bốn ngăn | J - đồng hồ đo độ gõ tín hiệu analog |
| E - Mô tơ thay đổi tỷ số nén (C.R) | K - Bộ đếm hiển thị số của tỷ số nén (C.R) |
|
| L - Đồng hồ đo kích nổ tín hiệu số |
Hình 1 - Thiết bị động cơ thử trị số octan nghiên cứu
Bảng 1 - Các đặc tính kỹ thuật và thông tin của thiết bị
| Hạng mục | Mô tả |
| Động cơ thử nghiệm | Động cơ CFR F-1 cho phương pháp trị số octan nghiên cứu được đúc bằng gang, hộp cacte được nối với bánh đà bằng dây cuaroa, được vận hành bằng động cơ điện với tốc độ không đổi |
| Loại xylanh | Bằng gang đúc với bề mặt đốt phẳng bằng hợp kim và hệ thống làm mát bao quanh |
| Tỷ số nén | Được điều chỉnh tỷ lệ từ 4:1 đến 18:1 bằng bộ truyền động bánh vít và trục vít trong bạc kẹp xylanh |
| Đường kính xylanh, in. | 3,250 (tiêu chuẩn) |
| Khoảng chạy của piston, in. | 4,50 |
| Độ dịch chuyển, in. khối | 37,33 |
| Cơ chế van | Hệ thống cò mổ được mở ra theo sự thay đổi của tỷ số nén với khe hở van cố định |
| Van nạp | Bề mặt bằng stelit, độ che phủ 180° |
| Van xả | Bề mặt bằng stelit, dạng đơn giản không cần che phủ |
| Piston | Bằng gang, mặt trên phẳng |
| Vòng đệm piston |
|
| - Vòng đệm trên | 1 chiếc, bằng crom hoặc sắt, cạnh thẳng |
| - Vòng đệm khác | 3 chiếc, bằng sắt, cạnh thẳng |
| - Kiểm soát dầu | 1 chiếc bằng gang, dạng một mảnh và có rãnh (dạng 85) |
| Phần trên trục cam,° | 5 |
| Hệ thống nhiên liệu |
|
| - Bộ chế hòa khí | Loại có một vòi phun và có bộ kiểm soát dòng nhiên liệu cho phép điều chỉnh tỷ lệ nhiên liệu - không khí |
| - Đường kính ống khuyếch tán, in. | 9/16, áp dụng cho tất cả các độ cao của vị trí đặt máy |
| Bộ phận đánh lửa | Kích nổ bằng điện thông qua buzi |
| Góc đánh lửa,° | Cố định góc 13° so với trước điểm chết trên |
| Độ ẩm không khí vào | Được điều chỉnh trong khoảng giới hạn quy định |
7.3 Thiết bị pha nhiên liệu chuẩn hoá và nhiên liệu chuẩn
Phương pháp này đòi hỏi pha trộn lặp lại nhiều lần các tỷ lệ thể tích của các nhiên liệu chuẩn và các nhiên liệu toluen chuẩn hoá (TSF). Bên cạnh đó, việc pha theo thể tích tetraetyl chì loãng vào trong isooctan cũng có thể được thực hiện tại chỗ để xác định trị số octan lớn hơn 100. Việc pha chế phải được thực hiện chính xác vì sai số đo trị số octan tỷ lệ với sai số trong pha chế.
7.3.1 Pha trộn các nhiên liệu chuẩn theo thể tích
Từ lâu việc pha trộn theo thể tích đã được dùng để chuẩn bị các nhiên liệu chuẩn và các nhiên liệu toluen chuẩn hoá. Để pha trộn theo thể tích, một bộ các buret hoặc các dụng cụ đong thể tích chính xác được dùng để đong và lượng các nhiên liệu của mẻ trộn đã định được cho vào bình chứa thích hợp và trộn kỹ trước khi đưa vào hệ thống nhiên liệu động cơ.
7.3.1.1 Các buret đã hiệu chuẩn hoặc các dụng cụ đong đã hiệu chuẩn có dung tích từ 200 mL đến 500 mL có dung sai thể tích lớn nhất nằm trong khoảng ± 0,2 % sẽ được sử dụng cho việc chuẩn bị các hỗn hợp nhiên liệu chuẩn và so sánh. Việc hiệu chuẩn được tiến hành theo ASTM E 542.
7.3.1.2 Các buret đã được hiệu chuẩn sẽ được lắp một van phân phối và đầu rót để kiểm soát chính xác lượng pha chế. Đầu rót sẽ được thiết kế sao cho khi khóa, lượng mẫu phóng ra không vượt quá 0,5 mL.
7.3.1.3 Tốc độ rót mẫu từ hệ thống phân phối không vượt quá 400 mL/min.
7.3.1.4 Một bộ buret sử dụng để đong các nhiên liệu tiêu chuẩn hóa và nhiên liệu chuẩn sẽ được lắp đặt theo một cách phù hợp và chất lỏng được cung cấp cho chúng phải sao cho tất cả các nhiên liệu thành phần của mỗi mẻ hoặc hỗn hợp nhiên liệu đều phải được phân phối ở cùng một nhiệt độ.
7.3.2 Pha trộn theo thể tích tetraeltyl chì
Một buret đã được hiệu chuẩn, một hệ thống pipet, hay thiết bị pha chế chất lỏng khác có dung tích không lớn hơn 4,0 mL và dung sai thể tích cho phép được kiểm soát chặt chẽ được sử dụng để pha tetraetyl chì loãng vào các lượng pha 400 mL isooctan. Việc hiệu chuẩn thiết bị pha chế được tiến hành theo ASTM E 542.
7.3.3 Pha trộn các nhiên liệu chuẩn theo khối lượng
Việc dùng các hệ thống pha trộn cho phép chuẩn bị các hỗn hợp có thể tích xác định bằng cách đo khối lượng dựa trên khối lượng riêng của các thành phần riêng biệt là được cho phép trong tiêu chuẩn này, miễn là hệ thống đáp ứng yêu cầu về giới hạn sai số pha trộn lớn nhất là 0,2 %.
7.3.3.1 Thực hiện tính toán khối lượng tương đương với thể tích đã xác định của các thành phần trong hỗn hợp pha chế dựa trên khối lượng riêng của chúng tại 15,56 °C (60 °F).
7.4 Thiết bị phụ trợ
7.4.1 Các dụng cụ bảo dưỡng đặc biệt
Một số các dụng cụ và các thiết bị đo chuyên dụng cần phải được sử dụng để cho việc bảo dưỡng động cơ và các thiết bị thử nghiệm dễ dàng, thuận tiện và hiệu quả hơn. Các danh mục và các mô tả về chúng đều có sẵn từ các nhà sản xuất thiết bị động cơ thử nghiệm và các tổ chức hỗ trợ kỹ thuật và dịch vụ kỹ thuật cho phương pháp này.
7.4.2 Tủ hút thông gió
Tốt nhất là tiến hành pha trộn các nhiên liệu chuẩn và so sánh, tetraetyl chì loãng và các mẫu thử nghiệm có các thành phần hydrocabon khác nhau ở nơi thông khí tốt hay tại các tủ hút của phòng thử nghiệm nơi đảm bảo sự lưu thông của không khí đủ để người vận hành thiết bị không hít phải hơi độc hại.
7.4.2.1 Các tủ hút thông dụng trong phòng thử nghiệm thường là hiệu quả cho việc pha trộn các hỗn hợp nhiên liệu hydrocabon.
7.4.2.2 Tủ hút đạt các yêu cầu cho việc pha chế các chất độc hại sẽ được sử dụng tại các phòng thử nghiệm được lựa chọn để pha chế tại chỗ các hỗn hợp nhiên liệu chuẩn gốc (PRF) isooctan có chứa chì.
7.4.3 Áp kế - Đồng hồ đo áp suất có khả năng đo giá trị tuyệt đối của áp suất không khí trong phòng đặt thiết bị thử. Với độ phân giải ít nhất 0,34 kPa (0,1 in.Hg) và dài đề nghị 71 kPa đến 105 kPa (21 in.Hg đến 31 in.Hg)
8 Thuốc thử và các chất chuẩn
8.1 Chất làm mát vỏ xylanh
Nước được sử dụng để làm mát vỏ xy lanh tại các phòng thử nghiệm, nơi có nhiệt độ sôi của nước đạt 100 °C ± 1,5 °C (212 °F ± 3 °F). Nước có pha thêm một lượng phù hợp chất chống đông gốc glycol thương phẩm để đạt yêu cầu về nhiệt độ sôi cần được sử dụng ở các nơi khi độ cao so với mặt nước biển của phòng thử nghiệm đòi hỏi phải điều chỉnh nhiệt độ sôi cho đạt yêu cầu. Trong thành phần chất làm mát nên có thêm một phụ gia xử lý nước đa năng thương phẩm để giảm thiểu ăn mòn và cặn vô cơ vì chúng có thể làm thay đổi sự truyền nhiệt và ảnh hưởng tới các kết quả đo được. (CẢNH BÁO - Etylen glycol được sử dụng làm chất chống đông là một chất độc và có thể có hại và gây tử vong nếu hít hoặc nuốt phải. Xem Phụ lục A).
8.1.1 Nước là nước tinh khiết phù hợp với loại IV quy định trong TCVN 2117 (ASTM D 1193).
8.2 Dầu bôi trơn cacte động cơ
Sử dụng dầu có độ nhớt SAE 30 đáp ứng phân loại sử dụng hiện nay của API cho các động cơ đánh lửa. Nó có chứa phụ gia tẩy rửa và có độ nhớt động học từ 9,3 mm2/s đến 12,5 mm2/s (cSt) tại 100 °C (212 °F) và chỉ số độ nhớt không thấp hơn 85. Không được sử dụng dầu chứa các phụ gia làm tăng chỉ số độ nhớt. Dầu đa cấp cũng sẽ không được sử dụng. (CẢNH BÁO - Dầu bôi trơn là chất dễ bắt cháy và hơi của nó là độc hại. Xem Phụ lục A).
8.3 Các nhiên liệu chuẩn gốc (PRF), isooctan và n-heptan được phân loại như là nhiên liệu chuẩn và đáp ứng quy định kỹ thuật sau:
(CẢNH BÁO - Nhiên liệu chuẩn gốc dễ bắt cháy và hơi của nó độc. Hơi có thể gây cháy. Xem Phụ lục A).
8.3.1 Isooctan (2,2,4-trimetylpentan) có độ tinh khiết không nhỏ hơn 99,75 % thể tích, có chứa không lớn hơn 0,10 % thể tích n-heptan và không lớn hơn 0,5 mg/L (0,002g/gal U.S) chì. (CẢNH BÁO - Isooctan dễ bắt lửa và hơi của nó độc. Hơi có thể gây cháy. Xem Phụ lục A).
8.3.2 n-heptan có độ tinh khiết không nhỏ hơn 99,75 % thể tích, có chứa không lớn hơn 0,10 % thể tích isooctan và không lớn hơn 0,5 mg/L (0,002 g/gal U.S) chì. (CẢNH BÁO - n-heptan dễ bắt lửa và hơi của nó độc. Hơi có thể cháy. Xem Phụ lục A).
8.3.3 Hỗn hợp nhiên liệu chuẩn gốc octan 80 (PRF - octan 80), được pha từ nhiên liệu chuẩn isooctan và n-heptan, có chứa 80 % ± 0,1 % thể tích isooctan. (CẢNH BÁO - Hỗn hợp nhiên liệu chuẩn gốc (PRF) - octan 80 dễ bắt lửa và hơi của nó độc. Hơi có thể gây cháy. Xem Phụ lục A).
8.3.4 Tham khảo Phụ lục B đối với các trị số octan của các hỗn hợp nhiên liệu chuẩn gốc có octan 80 và n-heptan hoặc isooctan (Bảng B.2).
8.4 Tetraetyl chì loãng, được pha chế bằng cách hòa tan hợp chất chống gõ là hỗn hợp hàng không chứa etraetyl chì trong một hỗn hợp hydrocacbon bao gồm 70 % thể tích xylen và 30 % thể tích n-heptan (CẢNH BÁO - Hỗn hợp pha loãng tetraetyl chì là độc và dễ bắt lửa. Tetraetyl chì có thể gây hại hoặc chết người nếu hít vào, nuốt, hoặc ngấm qua da. Có thể gây cháy. Xem Phụ lục A).
8.4.1 Chất lỏng chứa 18,23 % ± 0,05 % tetraetyl chì (tính theo khối lượng) và có khối lượng riêng tại 15,6/15,6 °C (60/60 °F) là từ 0,957 đến 0,967. Thành phần đặc trưng của chất lỏng, không bao gồm tetraetyl chì, như sau:
| Thành phần | Nồng độ đặc trưng, % khối lượng |
| Etylen dibromua (chất chống muội) | 10,6 |
| Chất pha loãng: |
|
| xylen | 52,5 |
| n-heptan | 17,8 |
| Phẩm màu, chất chống oxy hoá, chất trơ | 0,87 |
8.4.2 Thêm dung dịch tetraetyl chì loãng, định lượng theo mililít, vào 400 mL isooctan để chuẩn bị các nhiên liệu chuẩn gốc sử dụng cho các trường hợp trị số octan lớn hơn 100. Thành phần của dung dịch pha loãng sẽ chứa hàm lượng chì 0,56 g chì/L (2,0 mL chì/gal U.S) khi pha 2,0 mL tetraetyl chì loãng vào 400 mL isooctan.
8.4.3 Xem O.N của hỗn hợp của tetraetyl chì và isooctan trong Phụ lục B (Bảng B.3).
8.4.4 Cách khác là dùng hỗn hợp tetraetyl chì loãng để pha chế nhiên liệu chuẩn gốc (PRF) từ isooctan gồm 6,0 ml TEL cho 1 galon isooctan (xem Bảng B.4)
8.5 Toluen, cấp nhiên liệu chuẩn độ tinh khiết phải không nhỏ hơn 99,5 % thể tích. Lượng peroxit không lớn hơn 5 mg/kg (ppm). Hàm lượng nước không lớn hơn 200 mg/kg. (CẢNH BÁO - Toluen dễ bắt cháy và hơi của nó có hại. Hơi có thể gây cháy. Xem Phụ lục A).
CHÚ THÍCH 1: Kinh nghiệm chỉ ra rằng toluen trong không khí ẩm rất dễ hút ẩm. Các phương pháp thử ASTM D 6304 hoặc ASTM E 1064 có thể được sử dụng để đo hàm lượng nước trong toluen. Các cách để quản lý hoặc kiểm soát mức ẩm trong toluen bao gồm lắp một lọc không khí/ một dụng cụ làm khô nội tuyến ngay trên van thông hơi của phuy đựng, lắp một đường thổi ni tơ phía trên phuy đựng hoặc sử dụng một cốc làm khô có chứa chất hút ẩm...v.v.
8.5.1 Chất chống oxy hoá được nhà cung cấp cho thêm vào để đảm bảo độ ổn định oxy hoá tốt trong một thời gian dài, được xác định theo, kinh nghiệm với sự trợ giúp của nhà cung cấp các chất chống oxy hoá.
8.6 Các nhiên liệu kiểm tra là các nhiên liệu dùng cho động cơ đánh lửa đặc trưng có trị số octan được lựa chọn, tính bay hơi thấp và ổn định tốt trong thời gian dài. (CẢNH BÁO - Nhiên liệu kiểm tra dễ bắt lửa và hơi của nó độc. Hơi có thể gây chớp cháy. Xem Phụ lục A).
9 Lấy mẫu
9.1 Lấy mẫu theo TCVN 6777 (ASTM D 4057), TCVN 6022 (ISO 3171), hoặc ASTM D 5842.
9.2 Nhiệt độ của mẫu - Các mẫu trong bình sẽ được làm lạnh tới nhiệt độ từ 2 °C đến 10 °C (35 °F đến 55 °F), trước khi bình được mở.
9.3 Bảo vệ mẫu khỏi nguồn ánh sáng - Lấy và bảo quản các nhiên liệu mẫu trong bình chứa loại mở đục, như bình thủy tinh nâu đen, bình bằng kim loại hoặc bình nhựa trơ về mặt hoá học để giảm thiểu các tia UV chiếu vào mẫu từ các nguồn như ánh sáng mặt trời hoặc các đèn huỳnh quang.
10 Lắp đặt thiết bị và động cơ và các điều kiện vận hành tiêu chuẩn
10.1 Lắp đặt động cơ và thiết bị - Việc lắp đặt động cơ và thiết bị đòi hỏi vị trí có nền móng phù hợp và cơ sở hạ tầng đầy đủ. Công việc này yêu cầu phải có hỗ trợ về kỹ thuật và công nghệ, người sử dụng phải có trách nhiệm tuân theo các quy định của quốc gia và địa phương và các yêu cầu về lắp đặt.
10.1.1 Sự vận hành chính xác của động cơ CFR đòi hỏi việc lắp ráp một số các bộ phận của động cơ và điều chỉnh một loạt các biến số của động cơ phù hợp với quy định kỹ thuật đã được mô tả. Trong đó, một số cài đặt được thiết lập theo các yêu cầu kỹ thuật của từng bộ phận máy, một số cài đặt khác được thiết lập tại thời điểm lắp máy hoặc sau khi đại tu. Và vẫn còn một số cài đặt điều chỉnh khác chính là các điều kiện chạy động cơ, chúng phải được quan sát hoặc xác định bởi người vận hành trong quá trình thử nghiệm.
10.2 Các điều kiện dựa vào quy định kỹ thuật của từng bộ phận
10.2.1 Tốc độ động cơ, 600 r/min ± 6 r/min, động cơ khi đốt cháy có sự thay đổi lớn nhất là 6 r/min trong một lần đo. Tốc độ của động cơ, trong khi đang đốt cháy không được lớn hơn 3 r/min so với khi vận hành động cơ không có sự đốt cháy.
10.2.2 Ký hiệu bánh đà tại điểm chết trên (tdc) - Với piston tại vị trí cao nhất của hành trình trong xylanh, đặt dấu con trỏ bánh đà thẳng hàng với dấu điểm 0° trên bánh đà theo hướng dẫn của nhà sản xuất.
10.2.3 Thời gian đóng mở van - Động cơ sử dụng một chu trình 4 kỳ với 2 vòng quay trục khuỷu cho một chu kỳ cháy hoàn toàn. Có hai hoạt động van quan trọng là các hoạt động xảy ra gần điểm chết trên: van nạp mở và van xả đóng lại.
10.2.3.1 Van nạp mở góc 10,0° ± 2,5° sau điểm chết trên (atdc) và đóng lại tại 34° sau điểm chết dưới (abdc) trong một vòng quay của trục khuỷu và bánh đà.
10.2.3.2 Van xả mở ở góc 40° trước điểm chết dưới (bbdc) ở vòng quay thứ hai của trục khuỷu và bánh đà, và đóng tại 15,0° ± 2,5° sau điểm chết trên (atdc) trong vòng chuyển động kế tiếp của trục khuỷu và bánh đà.
10.2.4 Độ nâng van - Đường viền thùy cam hút và xả khác nhau về hình dạng, sẽ có độ nâng đường viền từ 6,248 mm đến 6,350 mm (0,246 in. đến 0,250 in.) từ đường tròn gốc tới đỉnh của thùy. Kết quả là van được nâng lên khoảng 6,045 mm ± 0,05 mm (0,238 in. ± 0,002 in)
10.2.5 Gờ van nạp nhiên liệu - Van nạp nhiên liệu có một gờ che hay phần nhô lên 180° ngay ở trong mặt van để định hướng hỗn hợp nhiên liệu - không khí đi vào và làm tăng chuyển động hỗn loạn trong buồng đốt. Trên thân van này được khoan lỗ để đặt chốt hãm, nó được giữ trong rãnh của ống dẫn định hướng, ngăn không cho van bị quay và do vậy giữ được hướng của sự xoay. Van được lắp trong xylanh, với chốt hãm được đặt thẳng theo ống dẫn hướng van, sao cho gờ van hướng về phía buzi trong buồng đốt và van xoay theo hướng ngược chiều kim đồng hồ nếu quan sát từ đỉnh xylanh.
10.2.6 Venturi chế hoà khí - Đường kính 14,3 mm (9/16 in.) không phụ thuộc vào áp suất của môi trường.
10.3 Cài đặt các thông số hệ thống và các điều kiện hoạt động
10.3.1 Hướng xoay của động cơ - Chiều xoay của trục khuỷu theo chiều kim đồng hồ nếu quan sát từ phía trước của động cơ.
10.3.2 Các khe hở của van
10.3.2.1 Khi động cơ vận hành và nóng - Khe hở cho cả van nạp và van xả sẽ được đặt trong khoảng 0,20 mm ± 0,025 mm (0,008 in. ± 0,001 in.), được đo trong các điều kiện hoạt động chuẩn khi động cơ chạy ở các điều kiện cân bằng trên nhiên liệu chuẩn gốc có trị số octan là 90.
10.3.3 Áp suất dầu, 172 kPa đến 207 kPa (25 psi đến 30 psi).
10.3.4 Nhiệt độ của dầu, 57 °C ± 8 °C (135°F ±15 °F).
10.3.5 Nhiệt độ chất làm mát vỏ xylanh, 100 °C ± 1,5 °C (212 °F ± 3 °F) ổn định trong khoảng ± 0,5 °C (± 1 °F), trong thời gian lấy kết quả CR hoặc KI dùng để xác định trị số octan cho mỗi nhiên liệu.
10.3.6 Nhiệt độ không khí đầu vào, 52 °C ± 1 °C (125 °F ± 2 °F) được quy định cho động cơ hoạt động tại áp suất khí quyển chuẩn 101,0 kPa (29,92 in. Hg). Các nhiệt độ không khí đầu vào ở các điều kiện áp suất khí quyển khác nhau được liệt kê trong Phụ lục C (các Bảng C.4 và Bảng C.5). Nếu thay đổi nhiệt độ không khí đầu vào để đảm bảo tính phù hợp của động cơ trong quá trình sử dụng thì nhiệt độ lựa chọn sẽ trong khoảng ± 22 °C (± 40 °F) của nhiệt độ được liệt kê trong Phụ lục C (các Bảng C.4 và Bảng C.5) ứng với áp suất khí quyển và nhiệt độ này sẽ được duy trì trong khoảng ± 1 °C (± 2 °F), trong thời gian lấy kết quả CR hoặc KI dùng để xác định trị số octan cho mỗi nhiên liệu.
10.3.6.1 Nhiệt độ không khí đầu vào cần thiết để đánh giá động cơ trong mỗi khoảng trị số octan của nhiên liệu chuẩn toluen cũng sẽ được sử dụng để đo tất cả các mẫu nhiên liệu trong khoảng trị số octan đó trong một chu kỳ vận hành động cơ.
10.3.6.2 Hệ thống đo nhiệt độ dùng để thiết lập nhiệt độ không khí nạp vào trong phép thử này phải có cùng đặc tính chì thị nhiệt độ và độ chính xác như loại nhiệt kế ASTM E1 kiểu 83C (83F) được lắp đặt tại lỗ cam miễn sao tuân thủ cách lắp do nhà sản xuất quy định.
10.3.6.3 Để đảm bảo nhiệt độ hiển thị đúng, hệ thống đo nhiệt độ phải được lắp đặt theo hướng dẫn được cung cấp cho ứng dụng cụ thể này.
10.3.7 Độ ẩm của không khí đầu vào, 0,00356 kg nước/1 kg không khí khô đến 0,00712 kg nước/1 kg không khí khô (25 grain đến 50 grain nước trên một Ib).
CHÚ THÍCH 2: Yêu cầu độ ẩm dựa trên tháp băng gốc (the original ice tower). Nếu thiết bị điều hoà không khí được sử dụng mà không cung cấp được không khí theo yêu cầu kỹ thuật, do độ ẩm tương đối của môi trường quả cao hay quá thấp, thì nhà sản xuất thiết bị nên tư vấn đưa ra khoảng làm việc hiệu quả nhất.
10.3.8 Mức chất làm mát vỏ xylanh
10.3.8.1 Khi động cơ dừng và nguội - Rót nước/chất làm mát đã được xử lý vào vỏ ngưng tụ làm mát của xylanh tới mức có thể quan sát thấy ở đáy kính quan sát bộ ngưng tụ sẽ cho phép kiểm soát được hoạt động của động cơ và độ nóng trong quá trình vận hành.
10.3.8.2 Khi động cơ chạy và nóng - Mức chất làm mát trong kính quan sát bộ ngưng tụ sẽ trong khoảng ± 1 cm (± 0,4 in.) của mức đánh dấu LEVEL HOT (MỨC NÓNG) của bộ phận này.
10.3.9 Mức dầu bôi trơn động cơ trong cacte
10.3.9.1 Khi động cơ dừng và nguội - Dầu sẽ được thêm vào cacte sao cho mức dầu gần với đỉnh của kính quan sát sẽ cho phép kiểm soát được hoạt động của động cơ và độ nóng khi vận hành.
10.3.9.2 Khi động cơ chạy và nóng - Mức dầu sẽ xấp xỉ ở giữa của kính quan sát dầu trong cacte.
10.3.10 Áp suất trong cacte - Đo bằng cảm biến áp suất hoặc áp kế nối với miệng lỗ vào trong cacte thông qua lỗ giảm chấn để giảm tối đa những xung động khi máy chạy, áp suất phải thấp hơn 0 (chân không) và thường thì ở mức từ 25 mm đến 150 mm (1 in. đến 6 in.) nước thấp hơn áp suất khí quyển. Độ chân không không được vượt quá 255 mm (10 in.) nước.
10.3.11 Áp suất ngược của ống xả - Đo bằng áp kế nối với miệng lỗ của bình chứa khí xả hoặc ống xả chính qua lỗ giảm chấn để giảm tối đa các xung động, áp suất tĩnh càng thấp càng tốt, nhưng không tạo ra chân không và cũng không vượt quá 255 mm (10 in.) nước so với áp suất khí quyển.
10.3.12 Sự cộng hưởng hệ thống thông hơi cacte và hệ thống xả - Các hệ thống ống thông hơi cacte và ống xả phải có thể tích trong và chiều dài đủ để không xảy ra sự cộng hưởng khí.
10.3.13 Độ căng dây curoa - Dây curoa nối bánh đà với động cơ phải đủ căng, sau khi đã chạy rà động cơ, sao cho khi tắt động cơ, treo một quả cân nặng 2,25 kg (5-lb) vào điểm giữa bánh đà và puli của động cơ thì dây curoa sẽ có độ võng khoảng 12,5 mm (0,5 in.).
10.3.14 Điều chỉnh cơ cấu điều chỉnh khe hở nhiệt xúp páp
10.3.14.1 Lắp đặt cơ bản trục giữ giàn cò mổ - Đối với các ứng dụng bộ truyền động xupap tiếp xúc, mỗi trục giữ cò mổ phải được vặn ren vào xylanh sao cho khoảng cách giữa bề mặt nhẵn của xylanh và mặt dưới của chạc ba phải là 31 mm (17/32 IN.). Đối với các ứng dụng bộ truyền động xupap đóng, mỗi trục giữ cò mổ phải được vặn ren vào xylanh sao cho khoảng cách giữa bề mặt nhẵn phía trên của khay van và mặt dưới của chạc phải là 19 mm (3/4 in.)
10.3.14.2 Lắp đặt cơ bản giàn cò mổ - Với xylanh đã được đặt ở vị trí mà khoảng cách giữa mặt dưới của xylanh và đỉnh của ống kẹp khoảng 16 mm (5/8 in.), đặt giàn cò mổ nằm ngang trước khi vặn chặt ốc để gắn chặt hệ thống giá đỡ vào ống kẹp.
10.3.14.3 Lắp đặt cơ bản cò mổ - Khi động cơ ở điểm chết trên (TDC) trong chu kỳ nén và giàn cò mổ được đặt ở vị trí lắp đặt cơ bản, đặt ốc điều chỉnh xupap gần với điểm giữa mỗi cò mổ. Sau đó điều chỉnh chiều dài của các thanh đẩy sao cho các cò mổ ở vị trí nằm ngang.
10.3.15 Đặt thời điểm đánh lửa - Đặt 13° trước điểm chết trên không cần chú ý đến chiều cao của xylanh.
10.3.15.1 Bộ hiển thị thời gian đánh lửa bằng số được trang bị cùng với động cơ CFR, hoặc thước đo độ đánh lửa được cung cấp, phải theo đúng trình tự làm việc và được hiệu chuẩn sao cho thời gian đánh lửa được hiển thị đúng so với trục khuỷu của động cơ.
10.3.15.2 Đặt thanh điều chỉnh thời gian đánh lửa cơ bản - Nếu động cơ CFR được trang bị hệ thống thanh điều chỉnh đánh lửa, ốc kẹp trên thanh điều khiển phải lỏng sao cho nối liên kết không có tác dụng.
10.3.15.3 Đặt khe hở giữa bộ chuyển đổi cơ bản thời gian đánh lửa và cánh quay rôto - 0,08 mm đến 0,13 mm (0,003 in. đến 0,005 in.).
10.3.16 Buzi, Champion D16 hoặc tương đương.
10.3.16.1 Khe hở, 0,51 mm ± 0,13mm (0,020 in ± 0,005 in).
10.3.17 Đặt chiều cao xylanh cơ bản - Làm nóng động cơ thật cẩn thận trong các điều kiện vận hành tiêu chuẩn thật cơ bản. Tắt máy và kiểm tra để đảm bảo đánh lửa đã tắt và nhiên liệu không vào buồng đốt. Lắp lên động cơ hệ thống áp kế cơ học đã được hiệu chuẩn để đo áp suất nén. Vận hành động cơ bằng mô tơ và điều chỉnh chiều cao xylanh sao cho thiết bị tạo ra một áp suất nén cơ bản tương ứng với áp suất khí quyển tại thời điểm đó như mô tả trên đồ thị tại Hình 2.

Hình 2 - Áp suất nén thực tế để đặt chiều cao xylanh
10.3.17.1 Chỉ số hoá thiết bị đo chiều cao xylanh đến một giá trị phù hợp, không được bù từ áp suất khí quyển, cụ thể như sau:
| Số đọc trên bộ đếm hiển thị số: | 930 |
| Số đọc hiển thị trên đồng hồ số: | 0,352 in. |
10.3.18 Tỷ lệ nhiên liệu-không khí - Tỷ lệ nhiên liệu không khí (tỷ lệ hỗn hợp) cho mỗi nhiên liệu mẫu và nhiên liệu chuẩn gốc trong một phép đo trị số octan sẽ được đặt sao cho cường độ gõ là cực đại.
10.3.18.1 Tỷ lệ nhiên liệu - không khí là một hàm số của mức nhiên liệu hiệu quả trong bộ phun thẳng đứng của hệ thống chế hoà khí chuẩn và được thể hiện như là mức nhiên liệu trong ống quan sát thủy tinh của bộ chế hoà khí.
10.3.18.2 Mức nhiên liệu để đạt được K.l cực đại nằm trong khoảng từ 0,7 in. đến 1,7 in. so với đường tâm của venturi. Nếu cần thiết, thay đổi kích cỡ ống phun nằm ngang của bộ chế hoà khí (hay thiết bị vòi phun giới hạn tương đương) để đáp ứng được yêu cầu về mức nhiên liệu.
10.3.18.3 Quy trình chặn trên - dưới mức cân bằng thay đổi đòi hỏi bình chứa hạ thấp để có thể biến đổi tỷ lệ nhiên liệu - không khí với tốc độ không đổi từ hỗn hợp giàu tới hỗn hợp nghèo. Mặt cắt ngang của bình chứa xác định tốc độ mà tại đó mức nhiên liệu giảm. Trong vùng mức nhiên liệu (cho cường độ gõ cực đại) trong vòi phun của bộ chế hoà khí giữa 0,7 in. và 1,7 in. so với đường trung tâm của ống khuyếch tán của bộ chế hòa khí, thì mặt cắt ngang của bình chứa sẽ là hằng số và không nhỏ hơn 3830 mm2 (5,9 in2).
10.3.19 Làm mát bộ chế hoà khí - Cho tuần hoàn chất làm mát qua những đường làm mát của bộ chế hoà khí trong khi có dấu hiệu xuất hiện sự bay hơi sớm trong các đường dẫn nhiên liệu. Sự thoát hơi các hydrocacbon từ mẫu nhiên liệu có thể là nguyên nhân gây ra sự hoạt động không ổn định của động cơ và thay đổi thất thường của K.l và thông thường được phát hiện bởi sự hình thành các bọt khí hay sự dao động không bình thường của mức nhiên liệu trong ống quan sát thủy tinh.
10.3.19.1 Chất làm mát - Nước hay một hỗn hợp nước/chất chống đông.
10.3.19.2 Nhiệt độ chất làm mát - Chất làm mát lòng được đưa tới bộ trao đổi nhiệt bộ chế hoà khí, chất làm mát phải đủ lạnh để ngăn sự bay hơi quá mức nhưng không thấp hơn 0,6 °C hay không cao hơn 10 °C (50 °F).
10.3.20 Thiết bị tín hiệu analog
10.3.20.1 Các giới hạn đo số đọc của đồng hồ đo độ gõ tín hiệu analog - Dải số đọc chỉ số K.l trên đồng hồ đo độ gõ tín hiệu analog từ 20 đến 80. Cường độ gõ sẽ không tuyến tính khi thấp hơn 20 và cao hơn 80.
10.3.20.2 Đặt dải đồng hồ đo kích nổ tín hiệu analog và hằng số thời gian - Thay đổi các thông số này để dải đồng hồ đo cực đại tương xứng với sự ổn định tín hiệu K.l hợp lý.
10.3.20.3 Điều chỉnh điểm ZERO của kim đồng hồ đo độ gõ tín hiệu analog bằng cơ học - Khi công tắc điện của đồng hồ đo kích nổ ở vị trí OFF (tắt), và công tắc đồng hồ ở vị trí ZERO, đặt kim đồng hồ đo độ gõ tới vị trí ZERO bằng cách vặn ốc điều chỉnh trên mặt của đồng hồ.
10.3.20.4 Điều chỉnh điểm ZERO của đồng hồ đo kích nổ tín hiệu analog - Khi công tắc điện của đồng hồ kích nổ ở vị trí ON (mở), công tắc của đồng hồ ở vị trí ZERO, công tắc thời gian cố định ở vị trí 3, số đọc của đồng hồ và dải khống chế nằm ở vị trí hoạt động danh nghĩa của chúng, đưa kim của đồng hồ đo độ gõ đến vị trí ZERO bằng núm điều chỉnh điểm "không" của đồng hồ kích nổ 501T và 501C (núm này nằm ở bên trái công tắc đồng hồ và đậy bằng nắp chụp) hoặc nhấn núm zero trên SSD7000.
10.3.21 Thiết bị tín hiệu số
10.3.21.1 Các giới hạn hiển thị của đồng hồ đo độ gõ dạng tín hiệu số - Dải vận hành cho các số đọc cường độ gõ (K.l) trên đồng hồ đo dạng tín hiệu số phải từ 0 K.l đến 999 KI và tuyến tính trong toàn dải này.
10.3.21.2 Đặt dải đồng hồ đo kích nổ tín hiệu số và hằng số thời gian - Kinh nghiệm cho thấy các biến số có thể đưa về bên trải của hằng số, và sử dụng giá trị mặc định. Giá trị mặc định của dải đo đồng hồ đo kích nổ tín hiệu số có thể để ở số 0 và giá trị của hằng số thời gian đồng hồ đo kích nổ có thể để ở số 25.
CHÚ THÍCH 3: Đồng hồ đo độ gõ tín hiệu số không có hiệu chỉnh zero do sử dụng thiết bị phần mềm.
11 Các đặc tính thay đổi của phép thử
11.1 Mối tương quan giữa chiều cao xylanh và trị số octan - Chiều cao xylanh, phép đo tỷ số nén có tác động quan trọng tới nhiên liệu và đặc tính gõ của chúng. Mỗi nhiên liệu đều có tỷ số nén tới hạn, tại đó tiếng gõ bắt đầu xảy ra. Khi tỷ số nén được tăng lên trên mức tới hạn, mức độ gõ tăng lên. Phương pháp nghiên cứu này so sánh các nhiên liệu mẫu với hỗn hợp nhiên liệu chuẩn gốc (PRF) tại một mức gõ được coi là cường độ gõ chuẩn. Các bảng hướng dẫn chiều cao của xylanh tương ứng với trị số octan được xác định trên thực tế khi sử dụng các hỗn hợp chuẩn gốc (PRF). Các bảng này dựa vào khái niệm K.l tại tất cả giá trị trị số octan là không đổi, như xác định bằng thiết bị đo độ độ gõ. Hình 3 đã minh hoạ mối tương quan không tuyến tính nhẹ giữa RON và chiều cao xylanh được thể hiện ở số đọc của bộ đếm số. Các Bảng hướng dẫn riêng số đọc của bộ đếm số và số đọc của bộ hiển thị số nằm trong Phụ lục C (từ Bảng C.1 đến Bảng C.3).
11.2 Bù trừ áp suất khí quyển của chiều cao xylanh - Các giá trị trị số octan xác định bằng phương pháp kiểm tra này được quy về áp suất khí quyển chuẩn 760 mm thủy ngân (29,92 in.). Những thay đổi áp suất khí quyển tác động tới mức độ gõ vì khối lượng riêng của không khí tiêu thụ trong động cơ biến đổi. Để bù trừ cho áp suất khí quyển thực tế khác với áp suất khí quyển chuẩn, chiều cao của xylanh được bù để cho cường độ gõ sẽ bằng với cường độ gõ của động cơ tại áp suất khí quyển chuẩn. Đối với trường hợp áp suất khí quyển thực tế thấp hơn áp suất khí quyển chuẩn, chiều cao của xylanh được thay đổi để tăng tỷ số nén của động cơ và do đó tăng mức độ gõ. Đối với trường hợp áp suất khí quyển thực tế cao hơn áp suất khí quyển chuẩn, chiều cao của xylanh sẽ được điều chỉnh để tỷ số nén thấp hơn. Sự thay đổi số đọc của bộ đếm số hay bộ hiển thị số để bù trừ áp suất khí quyển được liệt kê trong Phụ lục C (Bảng C.4 và Bảng C.5).

Hình 3 - Đường đặc trưng của trị số octan nghiên cứu theo số đọc của bộ đếm hiển thị số
11.2.1 Các ứng dụng của bộ đếm hiển thị số - Bộ đếm số có hai bộ hiển thị. Bộ đếm trên được nối trực tiếp với trục vít để xoay bánh vít nâng lên hoặc hạ xuống xylanh trong ống kẹp. Nó là chỉ số của bộ đếm hiển thị số chưa được bù. Bộ đếm dưới có thể không nối với bộ đếm trên để bù chỉ số đọc của nó và do vậy tạo nên sự chênh lệch hay sự bù cho áp suất thực tế. Với cách đặt khác, hai bộ đếm có thể nối với nhau để cùng xoay bộ đếm dưới và thể hiện chiều cao của xylanh đã được bù trừ theo áp suất khí quyển chuẩn.
11.2.1.1 Số đọc của bộ đếm hiển thị số giảm khi tăng chiều cao xylanh và ngược lại.
11.2.1.2 Để đặt chỉ số cho bộ đếm số, đặt núm điều chỉnh đến bất kỳ số nào khác 1, thay đổi chiều cao xylanh theo đúng với chỉ dẫn bù trừ cho áp suất thực tế đã cho trong Phụ lục C (Bảng C.4 và Bảng C.5) sao cho bộ đếm hiển thị số ở dưới được bù một lượng từ bộ đếm hiển thị số ở trên.
11.2.1.3 Đối với các áp suất khí quyển thấp hơn 760 mm Hg (29,92 in.), bộ đếm hiển thị dưới sẽ nhỏ hơn bộ đếm trên. Đối với các áp suất cao hơn 760 mm Hg (29,92 in.), bộ hiển thị ở dưới sẽ lớn hơn bộ đếm trên.
11.2.1.4 Sau khi điều chỉnh đến các chỉ số của bộ đếm thích hợp, đặt lại núm điều chỉnh ở vị trí 1 sao cho chỉ số của hai bộ đếm thay đổi khi thay đổi chiều cao xylanh. Kiểm tra sự thay đổi hợp lý của áp suất khí quyển thực tế khi thay đổi chiều cao xylanh .
11.2.1.5 Bộ đếm số dưới thể hiện số đo chiều cao của xylanh tại áp suất khí quyển chuẩn và được sử dụng cho tất cả các so sánh với các giá trị trong bảng hướng dẫn.
11.2.2 Ứng dụng của bộ hiển thị số - Bộ hiển thị số được lắp trong giá treo bên cạnh của ống kẹp sao cho trục chuyển động tiếp xúc được với vít, được đặt trong một giá đỡ được gắn với xylanh. Khi xylanh được nâng lên hay hạ xuống, bộ hiển thị xuất hiện số đo chiều cao xylanh đến một phần nghìn inch. Khi đã đặt chỉ số, bộ hiển thị số thể hiện số đo chiều cao của xylanh khi động cơ đang hoạt động trong điều kiện áp suất khí quyển chuẩn. Nếu áp suất khí quyển khác 760 mm Hg (29,92 in.), hiệu chuẩn số đọc thực tế sao cho số đọc được bù về áp suất khí quyển chuẩn. Số đọc được bù trừ của bộ hiển thị số được sử dụng bất cứ khi nào trong khi đang đo nhiên liệu mẫu hay khi hiệu chuẩn động cơ bằng các dung dịch chuẩn đầu.
11.2.2.1 Số đọc của bộ hiển thị số giảm khi chiều cao xylanh giảm và tăng khi chiều cao xylanh tăng.
11.3 Hiệu chuẩn động cơ theo chiều cao xylanh trong bảng hướng dẫn - Hiệu chuẩn động cơ để có cường độ gõ chuẩn tương ứng với giá trị ON của các mẫu nhiên liệu cần thử nghiệm.
11.3.1 Chuẩn bị một hỗn hợp nhiên liệu chuẩn gốc (PRF) có O.N xác định trước và đưa vào động cơ để thử nghiệm.
11.3.2 Đặt chiều cao xylanh theo giá trị thích hợp trong bảng hướng dẫn (đã được bù trừ áp suất khí quyển) cho O.N của hỗn hợp nhiên liệu chuẩn gốc (PRF).
11.3.3 Xác định mức nhiên liệu cho cường độ gõ cực đại.
11.3.4 Điều chỉnh số của đồng hồ đo kích nổ sao cho số đọc độ gõ nằm trong khoảng 50 vạch ± 2 vạch.
11.4 Đặc tính tỷ số nhiên liệu-không khí - Với động cơ đang vận hành tại một chiều cao xylanh gây ra tiếng gõ, sự thay đổi hỗn hợp nhiên liệu - không khí có một ảnh hưởng đặc trưng, điển hình cho tất cả các loại nhiên liệu. Đặc tính gõ cực đại được minh hoạ trong Hình 4. Phương pháp thử nghiệm này định rõ mỗi nhiên liệu mẫu và nhiên liệu chuẩn gốc sẽ được vận hành tại điều kiện của hỗn hợp để tạo cường độ gõ cực đại. Bộ chế hoà khí của động cơ CFR dùng vòi phun thẳng đứng đơn, một phương tiện đơn giản để kiểm soát tỷ lệ nhiên liệu - không khí bằng ống quan sát mức nhiên liệu trong vòi phun thẳng đứng. Xem Hình 5 minh hoạ các mối quan hệ của các bộ phận. Các mức nhiên liệu thấp liên quan đến các hỗn hợp nhiên liệu nghèo và các mức nhiên liệu cao hơn liên quan đến các hỗn hợp nhiên liệu giàu. Thay đổi mức nhiên liệu để xác định mức tạo ra điều kiện gõ cực đại. Để duy trì nhiên liệu bay hơi tốt, một vòi phun miệng hẹp hay vòi phun nằm ngang được sử dụng sao cho điều kiện gõ cực đại xảy ra đối với các mức nhiên liệu nằm trong khoảng từ 0,7 in. đến 1,7 in. theo đường tâm venturi của bộ chế hoà khí. Những người vận hành có thể sử dụng nhiều cách khác nhau để thực hiện việc thay đổi hỗn hợp nhiên liệu.

Hình 4 - Tác động điển hình của tỷ lệ nhiên liệu - không khí đối với cường độ gõ
11.4.1 Ống phun nằm ngang cố định - Hệ thống thay đổi mức nhiên liệu - Việc điều chỉnh mức nhiên liệu được thực hiện bằng cách nâng lên hay hạ thấp phao theo các mức tăng dần. Sự lựa chọn một bộ phun nằm ngang có kích thước lỗ thích hợp tạo nên mức nhiên liệu mà ở đó nhiên liệu mẫu điển hình đạt tiếng gõ cực đại.
11.4.2 Mức nhiên liệu cố định - Hệ thống miệng lỗ phun thay đổi - Một bình chứa nhiên liệu, trong đó nhiên liệu được giữ tại mức cố định như được mô tả, miệng lỗ phun có thể thay đổi (van kim ren dài đặc biệt) được sử dụng thay cho bộ phun nằm ngang. Hỗn hợp nhiên liệu được thay đổi bằng sự điều chỉnh van kim. Thông thường, mức nhiên liệu không đổi được lựa chọn gần mức 1,0 phù hợp với thông số kỹ thuật cho mức nhiên liệu và đảm bảo sự bay hơi nhiên liệu tốt.
11.4.3 Hệ thống động lực học hoặc mức tự động hạ thấp - Bình chứa nhiên liệu được đổ đầy nhiên liệu hơn mức yêu cầu để đạt K.l cực đại, cung cấp nhiên liệu qua một ống có đường kính không thay đổi hoặc ống phun nằm ngang có đường kính thay đổi. Khi động cơ đốt cháy, mức nhiên liệu giảm xuống do nhiên liệu bị tiêu thụ. Mức nhiên liệu thay đổi một cách tự động tại một tỷ lệ không đổi xác định, được xác lập theo tiết diện ngang của bình chứa nhiên liệu và kết hợp với hệ thống quan sát ống thủy tinh. Cường độ gõ cực đại được ghi lại khi mức nhiên liệu đi qua mức tới hạn.
11.4.4 Máy phân tích octan - Ống phun nằm ngang cố định - Thể tích nhiên liệu thay đổi
Việc điều chỉnh tỷ lệ nhiên liệu - không khí được thực hiện bằng cách thay đổi một lượng nhiên liệu cung cấp cho vòi phun thẳng đứng. Điều này được hoàn thành bằng cách thay đổi tỷ lệ nhiên liệu cung cấp nhằm đảm bảo KI đạt cân bằng với mỗi sự thay đổi. Cường độ gõ cực đại được ghi lại khi tỷ lệ nhiên liệu - không khí đi qua vùng tới hạn, hoặc là từ nghèo thấp đến giàu cao, hoặc ngược lại.

- Lưu lượng khí không đổi đi qua venturi
- Sự tăng mức nhiên liệu của hỗn hợp nhiên liệu/không khí
- Mức nhiên liệu cho K.l lớn nhất phụ thuộc vào kích thước đầu phun ngang và mức nhiên liệu
- Mức nhiên liệu cho K.l lớn nhất phải nằm trong khoảng 0,7 và 1,7
- Kích thước lỗ phun ngang lớn hơn sẽ làm giảm mức K.l lớn nhất của nhiên liệu.
Hình 5 - Sơ đồ bộ chế hoà khí của động cơ CFR
12 Chuẩn hoá động cơ
12.1 Chuẩn bị thiết bị - Vận hành thiết bị đo độ gõ tại nhiệt độ cân bằng và đảm bảo đặt các thông số cơ bản của động cơ và thiết bị và các điều kiện vận hành chuẩn được quy định trong tiêu chuẩn này.
12.1.1 Vận hành động cơ bằng nhiên liệu trong khoảng 1 h để đảm bảo tất cả các thông số tới hạn là ổn định. Trong 10 min cuối của thời gian làm nóng động cơ, cho động cơ vận hành tại mức K.l điển hình.
12.2 Kiểm tra tính phù hợp sử dụng của thiết bị cho mỗi giai đoạn vận hành
12.2.1 Mỗi phép xác định trị số octan mẫu thử sẽ được tiến hành trên động cơ đã được kiểm tra tính phù hợp sử dụng bằng cách đo trị số octan của hỗn hợp nhiên liệu toluen chuẩn hoá TSF tương ứng.
12.2.2 Kiểm tra tính phù hợp sử dụng của động cơ bằng cách sử dụng các hỗn hợp nhiên liệu chuẩn TSF với các điều kiện sau:
12.2.2.1 Ít nhất một lần trong mỗi chu kỳ 12 h thử nghiệm.
12.2.2.2 Sau khi động cơ dừng hơn 2 h.
12.2.2.3 Sau khi thiết bị được vận hành trong các điều kiện không tiếng gõ hơn 2 h.
12.2.2.4 Sau khi áp suất khí quyển thay đổi hơn 0,68 kPa (0,2 in. Hg) so với số đọc trong lần đo trước bằng hỗn hợp nhiên liệu toluen chuẩn hoá (TSF) cho khoảng trị số octan xác định.
12.2.2.5 Tất cả các hỗn hợp TSF không được làm mát và đánh giá mà không làm mát chế hòa khí.
CHÚ THÍCH 4: Làm mát chế hòa khí đề cập đến các bộ phận của động cơ được là mát với lưu chất tuần hoàn bao gồm đường làm mát vòi phun thẳng đứng, bát chế hòa khí và buồng phao.
12.2.3 Nếu sử dụng quy trình chặn trên-dưới để xác định O.N của hỗn hợp nhiên liệu toluen chuẩn hóa (TSF) thì thiết lập cường độ gõ chuẩn (KI) sử dụng hỗn hợp nhiên liệu chuẩn gốc (PRF) có O.N gần nhất với O.NARV của hỗn hợp nhiên liệu toluen chuẩn hoá (TSF) đã lựa chọn.
12.2.4 Khi sử dụng quy trình chặn trên-dưới để xác định O.NARV của hỗn hợp nhiên liệu toluen chuẩn hóa (TSF) thì đặt chiều cao xylanh đã được bù trừ áp suất khí quyển theo bảng hướng dẫn đối với O.NARV của hỗn hợp TSF đã lựa chọn.
12.2.5 Nếu sử dụng quy trình tỷ số nén để xác định O.N của hỗn hợp nhiên liệu toluen chuẩn hoá (TSF) thì đầu tiên thiết lập cường độ gõ chuẩn (KI) sử dụng hỗn hợp nhiên liệu chuẩn gốc (PRF) có O.N gần nhất với O.NARV của hỗn hợp TSF đã lựa chọn.
12.3 Quy trình kiểm tra tính phù hợp sử dụng trong khoảng trị số octan từ 80,2 đến 100,0
12.3.1 Lựa chọn nhiên liệu toluen chuẩn hoá (TSF) tương ứng từ Bảng 2 áp dụng đối với các giá trị octan của các nhiên liệu mẫu đã kiểm tra hoặc sẽ kiểm tra trong quá trình vận hành.
12.3.2 Xác định trị số octan của hỗn hợp nhiên liệu toluen chuẩn hoá (TSF), sử dụng nhiệt độ không khí đầu vào (IAT) tiêu chuẩn trên cơ sở áp suất khí quyển.
12.3.2.1 Có thể chấp nhận phép thử tính phù hợp sử dụng cho một chu kỳ vận hành mới và điều chỉnh nhiệt độ không khí vào bằng như với chu kỳ vận hành trước, chấp nhận có sự khác biệt nhỏ về áp suất khí quyển của hai chu kỳ, nếu hai điều kiện dưới đây được đáp ứng:
(1) Việc chuẩn hoá động cơ trong suốt chu kỳ vận hành cuối cùng yêu cầu điều chỉnh nhiệt độ không khí vào cho phép thử cuối cùng về tính sử dụng phù hợp.
(2) Không được tiến hành bảo dưỡng trong thời gian giữa các phép thử tính sử dụng phù hợp.
12.3.3 Nếu giá trị đo O.N của hỗn hợp nhiên liệu toluen chuẩn hoá (TSF) nằm trong khoảng sai số đo trong Bảng 2 cho hỗn hợp TSF này thì động cơ được coi là phù hợp cho việc sử dụng để đo các nhiên liệu mẫu trong khoảng trị số octan áp dụng. Không cần phải thay đổi nhiệt độ không khí đầu vào.
12.3.4 Nếu giá trị đo của hỗn hợp nhiên liệu toluen chuẩn hoá (TSF) lớn hơn 0,1 O.N so với giá trị chuẩn chấp nhận (O.NARV) trong Bảng 2, thì cho phép có những sự điều chỉnh nhẹ đối với nhiệt độ không khí vào để thu được O.N hiệu chuẩn cho hỗn hợp nhiên liệu TSF này.
12.3.5 Nếu giá trị đo được của hỗn hợp nhiên liệu toluen chuẩn hoá (TSF) toluen nằm ngoài khoảng sai số cho phép trong Bảng 2, điều chỉnh nhiệt độ không khí vào trong giới hạn quy định để thu được trị số octan chuẩn chấp nhận (O.NARV) cho hỗn hợp nhiên liệu TSF này.
12.3.5.1 Nhiệt độ không khí đầu vào thay đổi sẽ không lớn hơn ± 22 °C (± 40 °F) so với nhiệt độ không khí đầu vào chuẩn được xác định cho áp suất khí quyển ở thời điểm đo.
CHÚ THÍCH 5: Khi sử dụng đồng hồ đo kích nổ tín hiệu analog, sự thay đổi từ 0,1 đến 0,2 O.N, hỗn hợp nhiên liệu toluen chuẩn hoá (TSF) đòi hỏi điều chỉnh nhiệt độ không khí vào khoảng 5,5 °C (10 °F). Sự tăng nhiệt độ sẽ dẫn đến giảm O.N. Sự thay đổi O.N theo nhiệt độ không khí đầu vào có khác nhau không đáng kể theo mức O.N và sẽ lớn hơn ở O.N cao hơn.
CHÚ THÍCH 6: Khi sử dụng đồng hồ đo kích nổ tín hiệu số, sự thay đổi từ 0,3 đến 0,4 O.N, hỗn hợp nhiên liệu toluen chuẩn hoá (TSF) đòi hỏi điều chỉnh nhiệt độ không khí vào khoảng 4,5 °C (8 °F). Sự tăng nhiệt độ sẽ dẫn đến giảm O.N. Sự thay đổi O.N theo nhiệt độ không khí đầu vào có khác nhau không đáng kể theo mức O.N và sẽ lớn hơn ở O.N cao hơn.
12.3.5.2 Nếu giá trị đo của hỗn hợp nhiên liệu toluen chuẩn hoá (TSF) khi điều chỉnh nhiệt độ nằm trong khoảng ± 0,1 O.N giá trị chuẩn chấp nhận trong Bảng 2, thì động cơ được coi là phù hợp để đo giá trị của các nhiên liệu mẫu trong khoảng trị số octan đó.
12.3.5.3 Nếu giá trị đo của hỗn hợp nhiên liệu toluen chuẩn hoá (TSF) khi điều chỉnh nhiệt độ lớn hơn ± 0,1 O.N giá trị chuẩn chấp nhận trong Bảng 2, thì động cơ sẽ không phù hợp để đo nhiên liệu mẫu trong khoảng trị số octan đó cho đến khi nguyên nhân được xác định và hiệu chỉnh lại.
12.4 Quy trình kiểm tra tính phù hợp để sử dụng trong khoảng O.N dưới 80,2 và trên 100,1
12.4.1 Lựa chọn nhiên liệu chuẩn toluen TSF tương ứng từ Bảng 3 để áp dụng cho các giá trị octan của các nhiên liệu mẫu đã kiểm tra hoặc sẽ kiểm tra trong quá trình vận hành.
12.4.2 Các giá trị dung sai của Bảng 3 được xác định bằng cách nhân độ lệch chuẩn của các số liệu thiết lập trị số octan chuẩn chấp nhận (O.NARV) của hỗn hợp TSF và hệ số giới hạn dung sai thống kê K đối với các phân bố chuẩn. Sử dụng giá trị độ lệch chuẩn đối với bộ dữ liệu của nhiên liệu toluen chuẩn hoá có O.N bằng 100 hoặc lớn hơn và hệ số giới hạn dung sai K = 15, được đánh giá trong thời gian dài, thì mười chín trong hai mươi trường hợp, ít nhất 87 % động cơ có thể đo hỗn hợp TSF trong các khoảng dung sai, được liệt kê ở Bảng 3.
12.4.3 Nếu đo hỗn hợp nhiên liệu toluen chuẩn hoá (TSF) sử dụng nhiệt độ không khí đầu vào ấn định cho áp suất khí quyển thì việc điều chỉnh nhiệt độ là không được phép đối với các mức trị số octan này.
12.4.4 Nếu trị số octan xác định được của hỗn hợp nhiên liệu toluen chuẩn hoá (TSF) trong khoảng dung sai đo, thì động cơ phù hợp cho việc sử dụng để đo các nhiên liệu mẫu có O.N trong khoảng áp dụng đối với nhiên liệu chuẩn TSF này.
12.4.5 Nếu giá trị đo được của hỗn hợp TSF nằm ngoài khoảng dung sai cho phép, thực hiện sự kiểm tra tổng quát để xác định nguyên nhân và hiệu chỉnh cần thiết, cần lưu ý một vài động cơ có thể có những sai số ngoài khoảng cho phép ở một hay nhiều mức octan dưới các điều kiện vận hành chuẩn. Kiểm soát các số liệu báo cáo và biểu đồ của các giá trị đo của hỗn hợp nhiên liệu toluen chuẩn hoá (TSF) này có thể giúp xác định được đặc tính hoạt động của thiết bị.
Bảng 2 - Trị số octan của nhiên liệu toluen chuẩn hoá (TSF), khoảng dung sai không điều chỉnh của phép đo và khoảng đo trị số octan của mẫu nhiên liệu
| RON chuẩn chấp nhận của hỗn hợp TSF | Khoảng dung sai không điều chỉnh | Thành phần hỗn hợp TSF, % thể tích | Dải đo RON của nhiên liệu mẫu | ||
| Toluen | Isooctan | Heptan | |||
| 85,2 | ±0,3 | 66 | 0 | 34 | 80,2 - 87,4 |
| 89,3 | ±0,3 | 70 | 0 | 30 | 87,1 - 91,5 |
| 93,4 | ± 0,3 | 74 | 0 | 26 | 91,2 - 95,3 |
| 96,9 | ±0,3 | 74 | 5 | 21 | 95,0 - 98,5 |
| 99,8 | ±0,3 | 74 | 10 | 16 | 98,2 - 100,0 |
Bảng 3 - Trị số octan của nhiên liệu toluen chuẩn hoá (TSF), khoảng dung sai và khoảng đo trị số octan của mẫu nhiên liệu
| RON chuẩn chấp nhận của hỗn hợp TSF | Khoảng dung sai | Thành phần hỗn hợp TSF, % thể tích | Khoảng đo RON của nhiên liệu mẫu | ||
| Toluen | Isooctan | Heptan | |||
| 65,1 | ± 0,6 | 50 | 0 | 50 | Dưới 70,3 |
| 75,6 | ± 0,5 | 58 | 0 | 42 | 70,1 - 80,5 |
| ... | ... | ... | ... | ... | ... |
| 103,3 | ± 0,9 | 74 | 15 | 11 | 100,0 - 105,7 |
| 107,6 | ± 1,4 | 74 | 20 | 6 | 105,2 - 110,6 |
| 113,0 | ±1,7 | 74 | 26 | 0 | Trên 110,3 |
13 Kiểm tra tính năng của động cơ
13.1 Nhiên liệu kiểm tra
13.1.1 Trong khi việc chuẩn hoá động cơ chỉ phụ thuộc vào việc xác định hỗn hợp nhiên liệu toluen chuẩn hoá (TSF) thì việc sử dụng các nhiên liệu kiểm tra để đánh giá có thể được thực hiện để xác định tính chính xác (thiếu độ chệch) của động cơ.
13.1.1.1 Thử nghiệm một hay nhiều loại nhiên liệu kiểm tra.
13.1.1.2 So sánh giá trị octan đo được với trị số octan chuẩn chấp nhận (O.NARV) của nhiên liệu kiểm tra.
13.1.1.3 Thiết lập biểu đồ kiểm soát chất lượng và trình bày dữ liệu giữa giá trị đánh giá và ARV theo ASTM D 6299.
13.1.1.4 Nếu phát hiện tình huống nằm ngoài kiểm soát thống kê, thì kiểm tra vận hành hệ thống động cơ đối với nguyên nhân không ngẫu nhiên.
13.2 Kiểm soát chất lượng (Thử nghiệm QC) - Người sử dụng cần thực hiện thường xuyên chương trình kiểm soát chất lượng thống kê để giám sát động cơ nằm trong toàn bộ thời gian kiểm soát thống kê.
13.2.1 Phương pháp thử này đề xuất đánh giá hợp lệ hệ thống động cơ bằng đánh giá mẫu kiểm soát chất lượng (QC).
13.2.2 Mẫu QC là nhiên liệu động cơ đánh lửa điển hình có trị số octan nghiên cứu nằm trong dải vận hành thông thường của động cơ.
13.2.2.1 Người sử dụng được khuyến khích đánh giá dải vận hành thông thường và xác định mức độ cần thiết phải sử dụng các mẫu QC trên cơ sở dải đo RON của các mẫu đo đặc trưng.
13.2.3 Sử dụng biểu đồ kiểm soát thích hợp hoặc kỹ thuật thống kê tương đương khác để đánh giá giá trị RON. Các biểu đồ kiểm soát thường được sử dụng cho ứng dụng này là dải riêng lẻ và di động (l/MR) [Individuals and Moving Range (l/MR)].
13.2.4 Thiết lập biểu đồ kiểm soát và trình bày theo ASTM D 6299.
13.2.5 Nếu phát hiện tình huống nằm ngoài kiểm soát thống kê, thì kiểm tra vận hành hệ thống động cơ đối với nguyên nhân không ngẫu nhiên.
QUY TRÌNH A
14 Quy trình chặn trên - dưới - Mức nhiên liệu cân bằng
14.1 Kiểm tra tất cả các điều kiện vận hành của động cơ đảm bảo sự phù hợp và cân bằng khi động cơ chạy bằng một nhiên liệu điển hình tại cường độ gõ chuẩn.
14.2 Tiến hành thử nghiệm tính phù hợp của động cơ bằng cách sử dụng một nhiên liệu toluen chuẩn hoá (TSF) có dải đo trị số octan phù hợp với trị số octan dự kiến của mẫu nhiên liệu sẽ xác định. Nếu thay đổi nhiệt độ của TSF, thì phải xác định chính xác nhiệt độ không khí đầu vào Thực hiện phép đo theo cách mô tả dưới đây cho một nhiên liệu mẫu, trừ trường hợp đo hỗn hợp nhiên liệu chuẩn TSF không làm nguội bộ chế hoà khí.
14.3 Xác định cường độ gõ chuẩn bằng cách hiệu chuẩn động cơ khi sử dụng nhiên liệu chuẩn gốc (PRF) có O.N gần với nhiên liệu mẫu được đo.
14.3.1 Đặt chiều cao xylanh theo giá trị áp suất khí quyển đã được bù trừ cho trị số octan của nhiên liệu chuẩn gốc (PRF) được chọn.
14.3.2 Khi sử dụng đồng hồ đo độ gõ, tín hiệu analog, xác định mức nhiên liệu đối với cường độ gõ cực đại và sau đó điều chỉnh đồng hồ đo kích nổ, xoay núm điều chỉnh “METER READING” để số đọc của đồng hồ đo độ gõ là 50 vạch ± 2 vạch. Nếu cần thiết không điều chỉnh đồng hồ đo kích nổ tín hiệu số.
14.3.3 Khi sử dụng đồng hồ đo độ gõ, tín hiệu analog, kiểm tra độ nhạy (SPREAD) của đồng hồ đo kích nổ được đặt ở mức cực đại mà vẫn đảm bảo độ ổn định của đồng hồ đo độ gõ. Nếu cần, không điều chỉnh đồng hồ đo kích nổ tín hiệu số.
14.3.4 Khoảng đo của đồng hồ kích nổ tín hiệu analog được đặt từ khoảng 12 vạch đến 15 vạch KI cho một trị số octan ở mức trị số octan 90 sẽ tạo ra một khoảng đặt tối ưu đặc trưng và phù hợp cho khoảng O.N từ 80 đến 103 mà không cần phải đặt lại.
14.4 Nhiên liệu mẫu
14.4.1 Đổ nhiên liệu mẫu vào bộ chế hòa khí, làm sạch hệ thống dẫn nhiên liệu, kính quan sát và bình chứa nhiên liệu có phao (nếu có) bằng cách đóng mở van tháo nhiên liệu ở kính quan sát một vài lần và quan sát khi không thấy bọt khí trong ống nhựa trong giữa bình chứa nhiên liệu và ổng quan sát. (CẢNH BÁO - Nhiên liệu mẫu rất dễ cháy và hơi của nó độc nếu hít phải. Hơi có thể gây cháy. Xem chi tiết ở Phụ lục A).
14.4.2 Vận hành động cơ trên nhiên liệu mẫu.
14.4.3 Điều chỉnh chiều cao xylanh sơ bộ.
14.4.3.1 Điều chỉnh chiều cao xylanh để đọc số đọc của đồng hồ đo độ gõ nằm ở giữa thang đọc đối với đồng hồ đo kích nổ tín hiệu analog.
14.4.3.2 Không cần thiết phải điều chỉnh chiều cao xylanh để đọc số đọc của đồng hồ đo độ gõ nằm ở giữa thang đọc đối với đồng hồ đo kích nổ tín hiệu số.
CHÚ THÍCH 7: Đồng hồ đo kích nổ tín hiệu số sẽ biểu thị khi biên độ dao động của điện thế nằm trong khoảng 0,05 V và 0,2 V tại cường độ gõ tiêu chuẩn.
14.4.4 Xác định mức nhiên liệu cho cường độ gõ đạt cực đại. Cách thực hiện là đầu tiên hạ thấp mức nhiên liệu (hệ thống chứa nhiên liệu) và sau đó nâng lên từng mức nhỏ một (mức 0,1 theo vạch ghi trên ống thủy tinh hoặc ít hơn) đến khi số đọc của đồng hồ đo độ gõ cực đại đạt được và bắt đầu hạ xuống. Đặt lại bình chứa nhiên liệu ở mức sao cho số đọc của đồng hồ đo độ gõ đạt cực đại.
14.4.5 Điều chỉnh chiều cao xylanh lần thứ hai.
14.4.5.1 Đối với đồng hồ đo kích nổ tín hiệu analog, điều chỉnh chiều cao xylanh để đọc số đọc của đồng hồ đo độ gõ là 50 vạch ± 2 vạch. (Nếu cần thiết không điều chỉnh đồng hồ đo kích nổ tín hiệu số.)
14.4.5.2 Đối với đồng hồ đo kích nổ tín hiệu analog, khi thử hỗn hợp TSF (chỉ số được thực hiện theo bảng hướng dẫn thiết lập chiều cao xylanh cho ARV của hỗn hợp) thì được phép điều chỉnh các cài đặt đồng hồ đo kích nổ để nhận được số đọc đồng hồ đo độ gõ là 50 vạch ± 2 vạch. (Nếu cần thiết không điều chỉnh đồng hồ đo kích nổ tín hiệu số.)
14.4.6 Ghi lại số đọc của đồng hồ đo độ gõ. (Đối với bảng điều khiển tín hiệu số, tham khảo lệnh tính toán thích hợp trong hướng dẫn vận hành của nhà sản xuất để ghi lại số đọc của đồng hồ đo độ gõ.).
14.4.7 Quan sát số đọc chiều cao xylanh đã được bù về áp suất khí quyển chuẩn sử dụng bảng hướng dẫn phù hợp, xác định O.N dự kiến của mẫu nhiên liệu cần đo.
14.5 Nhiên liệu chuẩn số 1
14.5.1 Chuẩn bị một mẫu hỗn hợp mới của nhiên liệu chuẩn gốc (PRF) có O.N gần với O.N của mẫu nhiên liệu.
14.5.2 Đổ nhiên liệu chuẩn số 1 vào động cơ và làm sạch đường dẫn nhiên liệu như cách thực hiện đối với nhiên liệu mẫu đã hướng dẫn cho nhiên liệu mẫu.
14.5.3 Mở van nhiên liệu để chạy động cơ bằng nhiên liệu chuẩn số 1 và thực hiện các bước chỉnh như yêu cầu để xác định mức nhiên liệu cho cường độ gõ lớn nhất.
14.5.4 Ghi số đọc đồng hồ đo độ gõ ở điều kiện cân bằng của nhiên liệu chuẩn số 1.
14.6 Nhiên liệu chuẩn số 2
14.6.1 Lựa chọn một mẫu hỗn hợp nhiên liệu chuẩn gốc (PRF) khác có số đọc của đồng hồ đo độ gõ sao cho số đọc của mẫu nhiên liệu cần đo nằm trong khoảng các số đọc của hai mẫu nhiên liệu chuẩn đã chọn.
14.6.2 Khoảng chênh lệch lớn nhất có thể chấp nhận được giữa hai nhiên liệu chuẩn phụ thuộc vào O.N của nhiên liệu mẫu cần đo. Xem Bảng 4.
Bảng 4 - Các khoảng cho phép của hai nhiên liệu chuẩn gốc (PRF)
| Dải O.N của nhiên liệu mẫu | Khoảng cho phép của hai nhiên liệu chuẩn gốc (PRF) |
| 40 đến 72 | Khoảng chênh lệch O.N cực đại cho phép là 4,0 |
| 72 đến 80 | Khoảng chênh lệch O.N cực đại cho phép là 2,4 |
| 80 đến 100 | Khoảng chênh lệch O.N cực đại cho phép là 2,0 |
| 100,0 đến 100,7 | Chỉ sử dụng các hỗn hợp nhiên liệu chuẩn gốc (PRF) có O.N 100,0 và 100,7 |
| 100,7 đến 101,3 | Chỉ sử dụng các hỗn hợp nhiên liệu chuẩn gốc (PRF) có O.N 100,7 và 101,3 |
| 101,3 đến 102,5 | Chỉ sử dụng các hỗn hợp nhiên liệu chuẩn gốc (PRF) có O.N 101,3 và 102,5 |
| 102,5 đến 103,5 | Chỉ sử dụng các hỗn hợp nhiên liệu chuẩn gốc (PRF) có O.N 102,5 và 103,5 |
| 103,5 đến 108,6 | Sử dụng các hỗn hợp nhiên liệu chuẩn gốc (PRF) pha với 0,2 mL TEL/gal |
| 108,6 đến 115,5 | Sử dụng các hỗn hợp nhiên liệu chuẩn gốc (PRF) pha với 0,5 mL TEL/gal |
| 115,5 đến 120,3 | Sử dụng các hỗn hợp nhiên liệu chuẩn gốc (PRF) pha với 1,0 mL TEL/gal |
14.6.3 Chuẩn bị mẫu mới cho nhiên liệu chuẩn số 2.
14.6.4 Đổ nhiên liệu chuẩn số 2 vào động cơ và làm sạch đường dẫn nhiên liệu như cách thực hiện đối với nhiên liệu mẫu đã hướng dẫn cho nhiên liệu mẫu.
14.6.5 Mở van nhiên liệu để chạy động cơ bằng nhiên liệu mẫu chuẩn số 2 và thực hiện các bước chỉnh theo yêu cầu để xác định mức nhiên liệu cho cường độ gõ cao nhất.
14.6.6 Nếu số đọc độ gõ của nhiên liệu mẫu nằm trong khoảng các số đọc của hai hỗn hợp nhiên liệu chuẩn gốc (PRF) đã lựa chọn, thì tiếp tục thử nghiệm. Nếu không, thì tìm hỗn hợp nhiên liệu chuẩn gốc (PRF) khác cho đến khi yêu cầu về chặn trên-dưới được thoả mãn.
14.6.7 Ghi lại số đọc của đồng hồ đo độ gõ khi ở vị trí cân bằng cho nhiên liệu chuẩn số 2.
14.7 Đo lại các số đọc
14.7.1 Lặp lại các bước cần thiết để thu được các số đọc lặp lại trên đồng hồ đo độ gõ của nhiên liệu mẫu, nhiên liệu chuẩn số 2, và cuối cùng là nhiên liệu chuẩn số 1. Đối với mỗi loại nhiên liệu, cần phải chắc chắn rằng mức nhiên liệu sử dụng là mức để thu được K.l cực đại và cho phép động cơ đạt được chế độ vận hành cân bằng trước khi ghi các số đọc trên đồng hồ đo độ gõ. Sơ đồ việc luân chuyển nhiên liệu để thực hiện việc đo độ gõ thể hiện trên Hình 6.
14.7.2 Tham khảo Điều 18 cho quy trình tính toán và nội suy chi tiết.
14.7.3 Hai số đọc của đồng hồ đo độ gõ cho nhiên liệu mẫu và hai số đọc cho mỗi loại hỗn hợp nhiên liệu chuẩn gốc (PRF) tạo thành một kết quả đo miễn là: 1) chênh lệch về các kết quả tính toán từ các số đọc lần thứ nhất và lần thứ hai không lớn hơn 0,3 O.N.
14.7.4 Nếu các số đọc độ gõ lần thứ nhất và lần thứ hai không đạt được yêu cầu trên, thì phải thực hiện lần xác định lần thứ 3. Thứ tự chuyển đổi nhiên liệu của lần này là: nhiên liệu mẫu, nhiên liệu chuẩn gốc (PRF) số 1 và cuối cùng là nhiên liệu chuẩn gốc (PRF) số 2. Các số đọc của đồng hồ đo độ gõ trong lần đo thứ hai và lần đo thứ 3 tạo thành một kết quả đo miễn là chênh lệch về các kết quả tính toán từ các số đọc lần thứ hai và lần thứ ba không lớn hơn 0,3 O.N.

Hình 6 - Số đọc của mẫu và nhiên liệu chuẩn
14.8 Kiểm tra sự phù hợp so với bảng hướng dẫn
14.8.1 Kiểm tra chiều cao của xylanh đã được bù trừ áp suất khí quyển sử dụng cho việc đo O.N có nằm trong các giới hạn của giá trị của chiều cao xylanh cho O.N của nhiên liệu mẫu trong bảng hướng dẫn hay không. Tại tất cả các mức O.N, số đọc của bộ đếm hiển thị số sẽ nằm trong khoảng ± 20 so với giá trị của bảng hướng dẫn. Số đọc của bộ hiển thị số sẽ nằm trong khoảng ± 0,014 in. so với giá trị của bảng hướng dẫn.
14.8.2 Nếu chiều cao xylanh để xác định O.N nhiên liệu mẫu vượt ra ngoài khoảng giới hạn trong bảng hướng dẫn, lặp lại việc xác định O.N sau khi điều chỉnh đồng hồ kích nổ để đạt được cường độ gõ chuẩn sử dụng hỗn hợp nhiên liệu chuẩn gốc (PRF) có O.N gần sát với O.N của nhiên liệu mẫu.
14.9 Những chỉ dẫn đặc biệt cho các phép xác định nhiên liệu mẫu có O.N trên 100
14.9.1 Những đặc tính gõ trở nên thất thường và không ổn định tại các mức O.N trên 100 do nhiều lý do. Cần quan tâm vào việc đặt và điều chỉnh tất cả các thông số yêu cầu để đảm bảo O.N xác định là đại diện cho chất lượng mẫu.
14.9.2 Khi sử dụng đồng hồ đo độ gõ tín hiệu analog, nếu O.N của mẫu nhiên liệu mẫu trên 100, cần phải lập cường độ gõ chuẩn sử dụng isooctan pha thêm hỗn hợp chì-nhiên liệu chuẩn gốc (TEL PRF) trước khi tiếp tục thử nhiên liệu mẫu. Có thể cần nhiều lần thử nghiệm để lựa chọn hỗn hợp nhiên liệu chuẩn gốc (PRF) có chì tương ứng (một trong hai lần để chọn nhiên liệu chuẩn để kẹp mẫu) và chiều cao xylanh phù hợp. Cũng cần điều chỉnh "METER READING" của đồng hồ đo kích nổ để đạt được số đọc độ gõ khoảng 50 vạch. Nếu O.N trong khoảng 100,0 và 100,7, sử dụng isooctan pha thêm 0,05 mL hỗn hợp chì-nhiên liệu chuẩn gốc (TEL PRF) để thiết lập cường độ gõ chuẩn. Đối với mức O.N cao hơn, có thể sử dụng hỗn hợp nhiên liệu chuẩn gốc (PRF) có chì đặc biệt dùng cho trường hợp này.
14.9.2.1 Khi sử dụng đồng hồ đo độ gõ tín hiệu số, nếu O.N của nhiên liệu mẫu trên 100, cần phải lập cường độ gõ chuẩn sử dụng isooctan pha thêm hỗn hợp chì-nhiên liệu chuẩn gốc (TEL PRF) trước khi tiếp tục thử nhiên liệu mẫu. Có thể cần nhiều lần thử nghiệm để lựa chọn hỗn hợp nhiên liệu chuẩn gốc (PRF) có chì tương ứng (1 trong 2 lần để chọn nhiên liệu chuẩn để kẹp mẫu) và chiều cao xylanh phù hợp. Nếu O.N trong khoảng 100,0 và 100,7 sử dụng isooctan pha thêm 0,05 mL hỗn hợp chì- nhiên liệu chuẩn gốc (TEL PRF) để thiết lập cường độ gõ chuẩn. Đối với mức O.N cao hơn, có thể sử dụng hỗn hợp nhiên liệu chuẩn gốc (PRF) có chì đặc biệt dùng cho trường hợp này.
14.9.3 Tham khảo Bảng 4 khi lựa chọn các hỗn hợp nhiên liệu chuẩn gốc (PRF) cho các nhiên liệu mẫu có O.N trên 100. Chỉ sử dụng các cặp nhiên liệu chuẩn gốc (PRF) đặc biệt cho nhiên liệu mẫu có O.N trong khoảng 100,0 đến 100,7; 100,7 đến 101,3; 101,3 đến 102,5, và 102,5 đến 103,5.
14.9.4 Khi sử dụng đồng hồ đo kích nổ tín hiệu analog, kiểm tra độ nhạy đồng hồ đo kích nổ được duy trì ở mức càng lớn càng tốt mặc dù thực tế là số đọc của đồng hồ đo độ gõ khác nhau rất lớn và luôn chọn ở một giá trị trung bình. (Nếu cần thiết không điều chỉnh đồng hồ đo kích nổ tín hiệu số).
14.10 Trong trường hợp có tranh chấp giữa các kết quả từ các quy trình khác nhau trong phương pháp này, phải sử dụng Quy trình A làm quy trình trọng tài. Việc chỉ định Quy trình A là trọng tài không phải là một xác nhận hay công nhận ngầm là quy trình này về mặt kỹ thuật tốt hơn các quy trình khác.
QUY TRÌNH B
15 Quy trình chặn trên - dưới - Mức nhiên liệu thay đổi
15.1 Phạm vi xác định trị số octan
Quy trình này áp dụng cho việc xác định O.N trong khoảng từ 80 đến 100.
15.2 Kiểm tra tất cả các điều kiện vận hành của động cơ phù hợp và cân bằng với hoạt động của động cơ trên một nhiên liệu điển hình ở cường độ gõ chuẩn tương ứng.
15.3 Tiến hành việc kiểm tra tính phù hợp của động cơ dùng nhiên liệu toluen chuẩn hoá (TSF) cho khoảng O.N dự đoán của nhiên liệu mẫu sẽ đo. Nếu thay đổi nhiệt độ của nhiên liệu chuẩn TSF, tiến hành việc xác định nhiệt độ không khí đầu vào theo yêu cầu. Thực hiện phép đo theo cùng một cách được mô tả ở dưới đây cho một nhiên liệu mẫu, trừ trường hợp hỗn hợp TSF được đo mà không làm nguội bộ chế hoà khí.
15.4 Thiết lập cường độ gõ chuẩn bằng cách hiệu chuẩn động cơ khi sử dụng hỗn hợp nhiên liệu chuẩn gốc (PRF) có O.N gần với nhiên liệu mẫu được đo.
15.4.1 Đặt chiều cao xylanh về giá trị đã được bù trừ áp suất khí quyển đối với O.N của điểm giữa chặn trên - dưới nhiên liệu chuẩn gốc (PRF)
15.4.2 Khi sử dụng đồng hồ đo độ gõ, tín hiệu analog, xác định mức nhiên liệu đối với cường độ gõ cực đại và sau đó điều chỉnh đồng hồ đo kích nổ, xoay núm điều chỉnh “METER READING” để số đọc của đồng hồ đo độ gõ là 50 vạch ± 2 vạch. (Nếu cần thiết không điều chỉnh đồng hồ đo kích nổ tín hiệu số).
15.4.3 Khi sử dụng đồng hồ đo độ gõ, tín hiệu analog, kiểm tra độ nhạy (SPREAD) của đồng hồ đo kích nổ được đặt ở mức cực đại mà vẫn đảm bảo độ ổn định của đồng hồ đo độ gõ. (Nếu cần, không điều chỉnh đồng hồ đo kích nổ tín hiệu số).
15.4.4 Khi sử dụng đồng hồ đo kích nổ tín hiệu analog, khoảng đo của đồng hồ kích nổ được đặt từ khoảng 12 vạch đến 15 vạch Kl cho một trị số octan ở mức O.N là 90 sẽ tạo ra một khoảng đặt tối ưu và phù hợp cho O.N từ 80 đến 100 mà không cần phải đặt lại.
15.5 Nhiên liệu mẫu
15.5.1 Đổ mẫu vào bình chứa nhiên liệu, làm sạch hệ thống dẫn nhiên liệu, ống kính quan sát và bình đựng nhiên liệu bằng cách đóng mở van xả nhiên liệu ở ống kính quan sát vài lần và quan sát đến khi không thấy bọt khí trong ống nhựa giữa bình chứa nhiên liệu và ống quan sát. Dừng nhiên liệu trong ống quan sát ở mức 0,4 in. Thực nghiệm cho thấy cường độ gõ cực đại đạt được ở gần một mức nhiên liệu xác định, điền đầy đến mức 0,3 trên mức điển hình là chấp nhận được. (CẢNH BÁO - Nhiên liệu mẫu rất dễ bay hơi và hơi của nó là độc nếu hít phải. Hơi có thể gây cháy. Xem Phụ lục A).
15.5.2 Mở van nhiên liệu lựa chọn để chạy động cơ bằng nhiên liệu mẫu và theo dõi mức nhiên liệu giảm dần trong ống quan sát.
15.5.3 Khi áp dụng kỹ thuật giâm dần mức nhiên liệu này, thì dừng quá trình bằng cách chuyển sang một nhiên liệu khác khi cường độ gõ vượt qua giá trị cực đại và giảm đi khoảng 10 vạch. Theo dõi chặt từng quá trình giảm nhiên liệu để đảm bảo động cơ luôn được cung cấp nhiên liệu và các điều kiện gõ chiếm ưu thế ở thời gian kích nổ để duy trì điều kiện nhiệt độ vận hành.
15.5.4 Khi sử dụng đồng hồ đo kích nổ tín hiệu analog, nếu số đọc cường độ gõ nằm ngoài khoảng 30 đến 70, điều chỉnh chiều cao xylanh để đưa động cơ gần với điều kiện cường độ gõ chuẩn.
CHÚ THÍCH 8: Sự thành thạo trong việc điều chỉnh ban đầu chiều cao của xylanh đạt được nhờ kinh nghiệm.
15.5.5 Khi sử dụng đồng hồ đo kích nổ tín hiệu số, nếu biên độ dao động của điện áp thay đổi ngoài khoảng 0,05 đến 0,35, điều chỉnh chiều cao xylanh để đưa động cơ gần với điều kiện cường độ gõ chuẩn.
15.5.6 Đổ đầy lại nhiên liệu vào bình đến mức nhiên liệu của chế độ chạy giàu cho mỗi bước lặp lại tiếp theo của quá trình thử-sai-thử.
15.5.7 Khi sử dụng đồng hồ đo kích nổ tín hiệu analog, sau khi chiều cao xylanh đã được xác định, có thể cần phải điều chỉnh lần cuối để đảm bảo rằng (1) mức nhiên liệu trong ống quan sát để đạt cường độ gõ cực đại nằm trong khoảng tới hạn từ 0,7 in. đến 1,7 in. và (2) số đọc cường độ gõ cực đại nằm trong khoảng từ 30 vạch đến 70 vạch. (Khi sử dụng đồng hồ đo kích nổ tín hiệu số, điều kiện 2 là không cần thiết).
15.5.8 Ghi lại số đọc cường độ gõ cực đại, hoặc nếu sử dụng bộ ghi thì đánh dấu nhận dạng mẫu và gạch dưới số đọc lớn nhất.
15.5.9 Quan sát số đọc chiều cao xylanh, đã được bù trừ về áp suất khí quyển chuẩn, và sử dụng bảng tra thích hợp, xác định O.N ước lượng của nhiên liệu mẫu.
15.6 Nhiên liệu chuẩn số 1
15.6.1 Chuẩn bị một mẫu hỗn hợp mới nhiên liệu chuẩn gốc (PRF) có O.N gần sát với O.N của mẫu.
15.6.2 Đổ nhiên liệu chuẩn số 1 vào một trong các bình chứa mới (chưa sử dụng), thận trọng làm sạch đường dẫn nhiên liệu, ống quan sát, bình chứa nhiên liệu theo cách như đã hướng dẫn cho nhiên liệu mẫu.
15.6.3 Mở van lựa chọn nhiên liệu để chạy động cơ bằng nhiên liệu chuẩn số 1 và ghi lại hoặc đánh dấu lại trên băng ghi để xác định cường độ gõ cực đại khi mức nhiên liệu giảm dần. Cần chú ý quan sát mức nhiên liệu trong khoảng từ 0,7 in. đến 1,7 in. khi cường độ gõ đạt cực đại.
15.7 Nhiên liệu chuẩn số 2
15.7.1 Lựa chọn một hỗn hợp nhiên liệu chuẩn gốc (PRF) khác có cường độ gõ cực đại ước tính sao cho các số đọc của hai nhiên liệu chuẩn này chặn trên-dưới số đọc của nhiên liệu mẫu.
15.7.2 Khoảng chênh lệch lớn nhất có thể chấp nhận O.N của hai nhiên liệu chuẩn phụ thuộc vào O.N của nhiên liệu mẫu cần xác định. Xem Bảng 4.
15.7.3 Chuẩn bị mẫu hỗn hợp mới nhiên liệu chuẩn gốc (PRF) đã chọn.
15.7.4 Đổ nhiên liệu chuẩn số 2 vào một trong các bình chứa nhiên liệu chưa sử dụng và làm sạch đường dẫn nhiên liệu, ống quan sát, bình chứa nhiên liệu, như cách thực hiện đối với nhiên liệu mẫu.
15.7.5 Mở van nhiên liệu để chạy động cơ bằng nhiên liệu chuẩn số 2, ghi lại hoặc đánh dấu trên băng ghi số đọc để chỉ ra cường độ gõ lớn nhất xảy ra khi mức nhiên liệu giảm dần. Thận trọng quan sát cường độ gõ lớn nhất xảy ra khi mức nhiên liệu nằm trong khoảng 0,7 in. đến 1,7 in.
15.7.6 Nếu số đọc K.l cực đại của nhiên liệu mẫu nằm trong giới hạn bởi số đọc của hai hỗn hợp nhiên liệu chuẩn gốc (PRF), thì tiếp tục quá trình xác định O.N; ngược lại, thử một hỗn hợp nhiên liệu chuẩn gốc khác cho đến khi đạt yêu cầu về khoảng giới hạn.
15.8 Đo các số đọc lặp lại
15.8.1 Thực hiện các bước cần thiết để thu được các số đọc cường độ gõ lặp lại trên nhiên liệu mẫu, nhiên liệu chuẩn số 2, và cuối cùng là nhiên liệu chuẩn số 1. Việc thay đổi nhiên liệu trong quá trình đo O.N được minh hoạ ở Hình 6.
15.8.2 Xem Điều 18 đối với quy trình nội suy và tính toán chi tiết.
15.8.3 Hai số đọc cường độ gõ cực đại của nhiên liệu mẫu và hai số đọc cho mỗi loại hỗn hợp nhiên liệu chuẩn gốc (PRF) sẽ tạo thành một số O.N miễn là: (1) Sự chênh lệch về kết quả tính từ các số đọc dãy thứ nhất và thứ hai không lớn hơn 0,3 ON, và (2) số đọc cường độ gõ của nhiên liệu mẫu nằm trong khoảng từ 30 đến 70. (Điều kiện (2) không áp dụng cho đồng hồ đo kích nổ tín hiệu số).
15.8.4 Nếu dãy số đọc cường độ gõ thứ nhất và thứ hai không đạt được yêu cầu trên, thì phải thực hiện lần xác định lần thứ 3. Thứ tự chuyển đổi nhiên liệu để xác định lần này là: nhiên liệu mẫu cần đo, tiếp đến là nhiên liệu chuẩn số 1 và cuối cùng là nhiên liệu chuẩn số 2. Số đọc cường độ gõ cực đại lần hai và lần ba sẽ cho một số O.N miễn là sự chêch lệch giữa O.N tính toán của lần hai và lần ba không lớn hơn 0,3 O.N, và trung bình cộng của hai số đọc cường độ gõ của hai nhiên liệu mẫu cuối nằm trong khoảng từ 30 đến 70.
15.9 Kiểm tra sự phù hợp với bảng hướng dẫn
15.9.1 Kiểm tra chiều cao của xylanh dùng cho quá trình xác định kích nổ, sau khi được bù trừ áp suất khí quyển, nằm trong các giới hạn chiều cao xylanh cho nhiên liệu mẫu được đưa ra trong bảng hướng dẫn. Tại tất cả các mức octan, số đọc của bộ đếm hiển thị số sẽ nằm trong khoảng ± 20 so với giá trị của bảng hướng dẫn. Số đọc của bộ hiển thị số sẽ nằm trong khoảng ± 0,014 in. so với giá trị của bảng hướng dẫn.
15.9.2 Nếu chiều cao xylanh dùng để xác định O.N nhiên liệu mẫu nằm ngoài khoảng giới hạn của bảng hướng dẫn, lặp lại việc xác định O.N sau khi điều chỉnh đồng hồ kích nổ để đạt được cường độ gõ chuẩn sử dụng hỗn hợp nhiên liệu chuẩn gốc (PRF) có O.N gần với O.N của nhiên liệu mẫu.
QUY TRÌNH C
16 Tỷ số nén
16.1 Đo chiều cao xylanh - Chỉ sử dụng quy trình này nếu động cơ CFR được trang bị bộ đếm hiển thị số đo chiều cao xylanh nhằm tăng cường sự phân giải của phép đo biến số chính này.
16.2 Phạm vi áp dụng trị số octan - Quy trình này sẽ chỉ áp dụng cho khoảng xác định trị số octan từ 80 đến 100.
16.3 Kiểm tra các điều kiện vận hành của động cơ đảm bảo sự phù hợp và cân bằng khi động cơ chạy trên một nhiên liệu điển hình tại cường độ gõ tương đối chuẩn.
16.4 Kiểm tra sự phù hợp sử dụng của thiết bị bằng một hỗn hợp nhiên liệu toluen chuẩn hoá (TSF) đối với khoảng trị số octan mà ON dự đoán của nhiên liệu mẫu nằm trong đó. Nếu thay đổi nhiệt độ của hỗn hợp TSF, thì phải xác định chính xác nhiệt độ không khí đầu vào theo yêu cầu. Thực hiện phép đo theo cùng một cách được mô tả cho một nhiên liệu mẫu ở dưới đây, ngoại trừ trường hợp hỗn hợp nhiên liệu toluen chuẩn hoá (TSF) được đo mà không làm mát bộ chế hoà khí.
16.5 Thiết lập cường độ gõ chuẩn bằng cách hiệu chuẩn động cơ sử dụng hỗn hợp nhiên liệu chuẩn gốc (PRF) có O.N gần với nhiên liệu mẫu được đo.
16.5.1 Đặt chiều cao xylanh theo giá trị đã bù trừ áp suất khí quyển đối với O.N của nhiên liệu chuẩn gốc (PRF) lựa chọn.
16.5.2 Xác định mức nhiên liệu cho cường độ gõ cực đại, điều chỉnh đồng hồ kích nổ, xoay núm điều chỉnh "METER READING" để được số đọc của đồng hồ đo độ gõ ở 50 vạch ± 2 vạch, và ghi lại giá trị này.
16.5.3 Kiểm tra về SPREAD (độ nhạy) của đồng hồ đo kích nổ được đặt ở vị trí cực đại phù hợp với độ ổn định của đồng hồ đo độ gõ.
16.5.4 Độ hiển thị của đồng hồ kích nổ ở từ khoảng 12 đến 15 vạch K.l trên một trị số octan khi thiết lập cho mức O.N 90 sẽ phù hợp với các khoảng O.N từ 80 đến 100 mà không cần phải đặt lại.
16.6 Nhiên liệu mẫu
16.6.1 Đổ mẫu vào chế hoà khí, làm sạch hệ thống dẫn nhiên liệu, ống quan sát và bể chứa có phao và sau đó đóng và mở van tháo nhiên liệu ở ống kính quan sát một vài lần và quan sát đến khi không thấy bọt khí trong ống nhựa giữa bình chứa nhiên liệu và ống quan sát. (CẢNH BÁO - Nhiên liệu mẫu rất dễ bay hơi và hơi độc nếu hít phải. Hơi có thể gây cháy. Xem chi tiết ở Phụ lục A).
16.6.2 Vận hành động cơ bằng nhiên liệu mẫu. Nếu tiếng gõ của động cơ thay đổi nhiều và kết quả là số đọc của đồng hồ đo độ gõ rất thấp hoặc rất cao, điều chỉnh chiều cao của xylanh theo chiều phù hợp để thiết lập lại số đọc của đồng hồ đo độ gõ nằm ở giữa thang đo. Sự dịch chuyển trong mức trị số octan có thể phải lập lại cường độ gõ chuẩn với một hỗn hợp nhiên liệu chuẩn gốc (PRF) khác mà trị số octan của nó được xác định từ bảng hướng dẫn đối với chiều cao xylanh vừa xác định.
16.6.3 Điều chỉnh chiều cao xylanh để số đọc của đồng hồ đo độ gõ nằm giữa thang đo cho nhiên liệu mẫu.
16.6.4 Xác định mức nhiên liệu cho cường độ gõ cực đại. Cách thực hiện là đặt mức nhiên liệu thấp đầu tiên (cơ cấu phao) và sau đó tăng từng lượng nhỏ (ở mức 0,1 độ chia ống quan sát hoặc ít hơn) cho đến khi số đọc của đồng hồ đo độ gõ đạt cực đại và bắt đầu giảm xuống. Chỉnh lại mức nhiên liệu để có số đọc cực đại của đồng hồ đo độ gõ.
16.6.5 Điều chỉnh chiều cao xylanh sao cho số đọc của đồng hồ đo độ gõ là cực đại nằm trong khoảng ± 2 vạch so với số đọc cường độ gõ chuẩn đã được ghi lại đối với hỗn hợp nhiên liệu chuẩn gốc (PRF) đã sử dụng.
16.6.6 Để cho thiết bị đạt cân bằng, và nếu cần thiết điều chỉnh nhẹ chiều cao xylanh để đạt được chỉ số cường độ gõ chuẩn. Không nên kéo thời gian đo quá 5 min kể từ khi thực hiện xong việc đặt mức nhiên liệu.
16.6.7 Phá vỡ sự cân bằng của động cơ bằng cách mở van xả của ống quan sát trong giây lát để giảm mức nhiên liệu và bất cứ bọt khí nào bị giữ lại cũng được loại bỏ. Sau khi đóng van xả, quan sát số đọc của đồng hồ đo độ gõ quay lại giá trị ban đầu. Nếu số đọc của đồng hồ này không lặp lại trong khoảng ± 1 vạch, điều chỉnh lại chiều cao xylanh để thu được giá trị cường độ gõ chuẩn cho hỗn hợp nhiên liệu chuẩn gốc (PRF) và khi đạt được cân bằng, lặp lại việc thay đổi mức nhiên liệu, kiểm tra độ lặp lại các số đọc.
16.6.8 Đọc và ghi số đọc của bộ đếm hiển thị số đã được bù trừ.
16.6.9 Chuyển số đọc của bộ đếm số đã được bù trừ thành trị số octan, sử dụng bảng hướng dẫn phù hợp.
16.7 Đo lặp lại các số đọc
16.7.1 Kiểm tra cường độ gõ chuẩn bằng cách vận hành máy với hỗn hợp nhiên liệu chuẩn gốc (PRF) tại số đọc bộ đếm số đã được bù trừ cho trị số octan của hỗn hợp này. Nếu số đọc của đồng hồ đo độ gõ nằm trong khoảng ± 3 vạch so với số đọc ban đầu, ghi lại giá trị này và chuyển sang chạy máy bằng nhiên liệu mẫu. Nếu số đọc của đồng hồ đo độ gõ nằm ngoài khoảng giới hạn ± 3 vạch, phải đặt lại cường độ gõ chuẩn trước khi tiến hành đo lại O.N của nhiên liệu mẫu.
16.7.2 Kiểm tra nhiên liệu mẫu bằng cách điều chỉnh chiều cao của xylanh sao cho số đọc của đồng hồ đo độ gõ nằm trong khoảng ± 2 vạch so với số đọc cường độ gõ chuẩn đã được ghi cho hỗn hợp nhiên liệu chuẩn gốc (PRF) và chuyển đổi số đọc của bộ đếm số đã được bù trừ thành trị số octan sử dụng bảng hướng dẫn phù hợp.
16.7.3 Trung bình cộng kết quả của hai lần đo nhiên liệu mẫu là trị số octan của mẫu với điều kiện là sự chênh lệch của chúng không lớn hơn 0,3 O.N.
16.8 Kiểm tra sự phù hợp của khoảng giới hạn nhiên liệu chuẩn gốc (PRF)
16.8.1 Trị số octan trung bình của nhiên liệu mẫu được chấp nhận nếu không khác hơn giá trị cho trong Bảng 5 so với O.N nhiên liệu chuẩn gốc (PRF) được dùng để thiết lập cường độ gõ chuẩn.
16.8.2 Khi sự khác nhau O.N của nhiên liệu mẫu và nhiên liệu chuẩn gốc (PRF) vượt quá giới hạn trong Bảng 5, Kiểm tra lại cường độ gõ chuẩn sử dụng nhiên liệu chuẩn gốc (PRF) mới có O.N nằm trong giới hạn đã được chỉ định. Nếu số đọc đồng hồ đo độ gõ của PRF mới ở chiều cao xylanh dùng cho O.N này nằm trong khoảng 50 vạch ± 1 vạch, thì phép đo trước có thể được chấp nhận. Nếu không, thì phải thực hiện bước chuẩn mới cho động cơ, sử dụng PRF lựa chọn và lặp lại việc đo trên nhiên liệu mẫu.
16.9 Thử nhiên liệu mẫu có O.N tương tự
16.9.1 Nếu O.N của nhiều nhiên liệu mẫu là tương tự thì chấp nhận xác định cường độ gõ chuẩn, sử dụng nhiên liệu chuẩn gốc (PRF) tương ứng, tiến hành đo từng nhiên liệu mẫu và sau đó kiểm tra cường độ gõ chuẩn đối với PRF nằm trong khoảng ± 1 vạch so với giá trị ban đầu.
16.9.2 Trong mọi trường hợp, cứ sau bốn lần đo nhiên liệu mẫu phải tiến hành một lần kiểm tra cường độ gõ chuẩn.
Bảng 5 - Chênh lệch O.N lớn nhất của nhiên liệu mẫu từ việc hiệu chuẩn PRF
| O.N của nhiên liệu mẫu | Chênh lệch O.N lớn nhất của nhiên liệu mẫu từ PRF |
| 80 - 90 | 2,0 |
| 90 - 100 | 1,0 |
QUY TRÌNH D
17 Quy trình chặn trên - dưới của máy phân tích octan
17.1 Phạm vi xác định máy phân tích octan
Quy trình này áp dụng việc xác định trị số octan trong khoảng từ 72 đến 108.
17.2 Kiểm tra tất cả các điều kiện vận hành của động cơ phù hợp và cân bằng với hoạt động của động cơ trên một loại nhiên liệu điển hình ở cường độ gõ chuẩn tương ứng.
17.3 Tiến hành việc kiểm tra của động cơ dùng nhiên liệu toluen chuẩn hoá (TSF) cho khoảng O.N dự đoán của nhiên liệu mẫu sẽ đo. Nếu thay đổi nhiệt độ của nhiên liệu chuẩn TSF, tiến hành việc xác định nhiệt độ không khí đầu vào theo yêu cầu. Thực hiện phép đo theo cùng một cách được mô tả dưới đây cho một nhiên liệu mẫu, trừ trường hợp hỗn hợp TSF được đo không làm nguội bộ chế hòa khí.
17.4 Nhiên liệu mẫu
17.4.1 Dải đo được tối ưu hóa bằng hệ thống điều khiển máy tính.
17.4.2 Lựa chọn hai hỗn hợp nhiên liệu đầu vào (PRF) chặn trên - dưới trị số octan dự kiến của mẫu. Một PRF có trị số octan lớn hơn trị số octan của mẫu và một PRF có trị số octan nhỏ hơn trị số octan của mẫu, sao cho các PRF chặn trên-dưới trị số octan dự kiến của mẫu.
17.4.3 Chênh lệch lớn nhất cho phép giữa hai nhiên liệu chuẩn phụ thuộc vào O.N của mẫu nhiên liệu. Xem Bảng 4.
17.5 Đặt chiều cao xylanh về giá trị đã được bù trừ áp suất khí quyển đối với O.N của các nhiên liệu đầu vào (PRFs) lựa chọn.
17.6 Đổ nhiên liệu mẫu và các hỗn hợp nhiên liệu chuẩn gốc (PRF) vào chế hòa khí, làm sạch hệ thống dẫn nhiên liệu, kính quan sát và bình chứa nhiên liệu có phao (nếu có) bằng cách đóng mở van tháo nhiên liệu ở kính quan sát một vài lần và quan sát khi không thấy bọt khí trong ống nhựa trong giữa bình chứa nhiên liệu và van nhiên liệu lựa chọn. (CẢNH BÁO - Nhiên liệu mẫu rất dễ cháy và hơi của nó rất độc hại nếu hít phải. Hơi có thể gây cháy. Xem Phụ lục A).
17.7 Xác định trị số octan
17.7.1 Đặt bơm ban đầu để xác định độ gõ lớn nhất. Máy phân tích octan OA sẽ tìm độ gõ từ việc cài đặt ban đầu này. Cẩn thận đảm bảo rằng việc cài đặt bơm sẽ tạo ra độ gõ thích hợp để có thể xác định độ gõ lớn nhất. Kinh nghiệm với OA sẽ có ích trong việc thiết lập bơm ban đầu.
17.7.1.1 Nhiên liệu phải được đo theo trình tự sau PRF, PRF và sau đó nhiên liệu mẫu.
17.7.2 Bắt đầu chuỗi xác định octan.
17.7.2.1 Kiểm tra lại đường cong hiển thị cường gõ lớn nhất, xác nhận lại cường độ gõ tăng đến cực đại và giảm dần như chỉ ra trong Hình 7, nếu các đường cong này không xác nhận được thì xác định nguyên nhân và lặp lại phép phân tích.
Xác định độ gõ lớn nhất OA

Tỷ lệ không khí - nhiên liệu
Hình 7 - Ví dụ về đường cong gõ OA
17.7.2.2 Nếu số đọc của nhiên liệu mẫu nằm trong giới hạn bởi số đọc của hai hỗn hợp nhiên liệu chuẩn gốc (PRF), thì tiếp tục bước tiếp theo của phép xác định; ngược lại, thử một hỗn hợp nhiên liệu chuẩn gốc khác cho đến khi đạt yêu cầu về khoảng giới hạn.
17.7.3 Tham khảo Điều 17 để diễn giải chi tiết và quy trình tính toán.
17.7.4 Giá trị trung bình cộng xác định trị số octan lần thứ nhất và lần thứ hai sẽ tạo nên một O.N miễn là: (1) Sự chênh lệch giữa O.N tính toán của loạt xác định trị số octan lần thứ nhất và lần thứ hai không lớn hơn 0,3 O.N và (2) Chứng minh độ ổn định của máy phân tích octan trong việc xác định cường độ gõ lớn nhất.
17.7.5 Nếu loạt xác định trị số octan thứ nhất và thứ hai không đạt được yêu cầu trên, thì phải thực hiện lại lần xác định thứ ba.
17.7.6 Giá trị trung bình cộng xác định trị số octan lần thứ hai và thứ ba của nhiên liệu mẫu sẽ tạo nên một O.N miễn là sự chênh lệch giữa O.N tính toán của loạt xác định trị số octan lần thứ hai và lần thứ ba không lớn hơn 0,3 O.N.
17.8 Kiểm tra sự phù hợp với bảng hướng dẫn
17.8.1 Kiểm tra chiều cao xylanh đã bù trừ áp suất khí quyển, đã được sử dụng cho việc xác định kích nổ là nằm trong các giới hạn chiều cao xylanh cho nhiên liệu mẫu được đưa ra trong bảng hướng dẫn. Tại tất cả các mức octan, số đọc của bộ đếm hiển thị số sẽ nằm trong khoảng ± 20 so với các giá trị bảng hướng dẫn. Số đọc của bộ hiển thị số sẽ nằm trong khoảng ± 0,014 in. so với giá trị bảng hướng dẫn.
17.8.2 Nếu chiều cao xylanh dùng để xác định O.N nhiên liệu mẫu nằm ngoài khoảng giới hạn của bảng hướng dẫn, lặp lại việc xác định O.N sau khi điều chỉnh chiều cao xylanh để đảm bảo phù hợp với giá trị bảng hướng dẫn của mức octan mẫu.
18 Tính O.N - Quy trình chặn trên - dưới
18.1 Tính số đọc trung bình của đồng hồ đo độ gõ cho nhiên liệu mẫu và cho từng hỗn hợp PRF.
18.2 Tính O.N bằng phương pháp nội suy từ những số đọc trung bình đồng hồ đo độ gõ tỷ lệ với các giá trị O.N của các nhiên liệu chuẩn gốc (PRF) theo ví dụ trên Hình 8 và công thức 4:
|
| (4) |
trong đó
| O.N.S | là trị số octan của nhiên liệu mẫu; |
| O.N.LRF | là trị số octan của nhiên liệu chuẩn gốc (PRF) chặn dưới; |
| O.N.HRF | là trị số octan của nhiên liệu chuẩn gốc (PRF) chặn trên; |
| K.I.S | là cường độ gõ (số đọc của đồng hồ đo độ gõ) của nhiên liệu mẫu; |
| K.I.LRF | là cường độ gõ của nhiên liệu chuẩn gốc (PRF) chặn dưới; |
| K.I.HRF | là cường độ gõ của nhiên liệu chuẩn gốc (PRF) chặn trên. |
SỐ ĐỌC CƯỜNG ĐỘ GÕ TRUNG BÌNH TRỊ SỐ OCTAN

CHÚ THÍCH: Các giá trị trong vòng tròn và các đường gạch ứng với các chênh lệch giữa các số đọc K.l và các giá trị O.N tương ứng.
Hình 8 - Ví dụ về tính trị số octan
19 Báo cáo thử nghiệm
19.1 Trị số octan nghiên cứu (RON) của nhiên liệu động cơ đánh lửa
19.1.1 Báo cáo quy trình chặn trên - dưới đã tính hoặc kết quả quy trình tỉ số nén là trị số octan nghiên cứu.
19.1.1.1 Đối với O.N nhỏ hơn 72,0, báo cáo giá trị số nguyên gần nhất. Khi O.N tính toán kết thúc với 0,50, làm tròn số tới số chẵn gần nhất; ví dụ làm tròn 67,50 và 68,50 thành 68.
19.1.1.2 Đối với O.N từ 72,0 - 103,5, báo cáo giá trị tới số phần chục gần nhất. Khi O.N tính toán kết thúc với chữ số 5 ở số thập phân thứ 2, thì làm tròn số thành số thập phân chẵn thứ nhất; ví dụ, làm tròn 89,55 và 89,65 thành 89,6 O.N.
19.1.1.3 Đối với O.N lớn hơn 103,5, báo cáo giá trị được làm tròn tới số nguyên gần nhất. Khi O.N tính toán kết thúc là 0,50, làm tròn tới số chẵn gần nhất; ví dụ, làm tròn 105,50 và 106,50 thành 106 O.N.
19.1.2 Báo cáo quy trình đã sử dụng để xác định O.N: quy trình chặn trên - chặn dưới với mức nhiên liệu cân bằng, quy trình chặn trên - chặn dưới với mức nhiên liệu thay đổi, hoặc tỷ số nén.
19.1.3 Báo cáo áp suất khí quyển trong phòng có động cơ ở thời điểm đo.
19.1.4 Báo cáo nhiệt độ không khí đầu vào đã sử dụng.
20 Độ chụm và độ chệch
20.1 Quy trình A, quy trình chặn trên-dưới mức nhiên liệu cân bằng và quy trình C tỷ số nén
20.1.1 RON từ 90,0 đến 100,0 - Độ chụm của phép thử này đối với RON từ 90,0 đến 100,0 dựa trên các kết quả thống kê kiểm tra liên phòng bằng quy trình chặn trên dưới mức nhiên liệu cân bằng hoặc quy trình tỷ số nén như sau:
20.1.1.1 Độ lặp lại - Sự chênh lệch giữa hai kết quả thử nhận được, trên cùng một mẫu thử, dưới các điều kiện của độ lặp lại trong một thời gian dài với thao tác bình thường và chính xác của phương pháp thử này, chỉ một trong hai mươi trường hợp được vượt 0,2 O.N.
20.1.1.2 Độ tái lập - Sự chênh lệch giữa hai kết quả thử đơn và độc lập, nhận được, trên cùng một mẫu thử, dưới các điều kiện của độ tái lập trong một thời gian dài với thao tác bình thường và chính xác của phương pháp thử này, chỉ một trong hai mươi trường hợp được vượt 0,7 O.N.
20.1.1.3 Độ chệch - Giữa đồng hồ đo kích nổ tín hiệu analog và đồng hồ đo kích nổ tín hiệu số có độ chệch đáng kể về mặt thống kê. Cường độ nhỏ hơn so với đánh giá độ lặp lại của quy trình A và C. Phương trình hồi quy như sau:
| RON đồng hồ đo kích nổ tín hiệu analog = RON đồng hồ đo kích nổ tín hiệu số - 0,17 | (5) |
20.1.1.4 Độ lặp lại nêu trên là dựa trên những kết quả O.N lặp lại thu được từ Tập đoàn Trao đổi Động cơ Quốc gia ASTM (NEG) tham gia vào chương trình hợp tác kiểm tra từ năm 1983 đến năm 1987 và 1994. Đối với O.N từ 90 đến 100, độ lệch tiêu chuẩn của độ lặp lại là 0,08 không ảnh hưởng bởi mức O.N. Giá trị giới hạn này bằng độ lệch tiêu chuẩn trung bình nhân với 2,772.
20.1.1.5 Độ tái lập nêu trên là dựa trên tổ hợp những dữ liệu của chương trình thử nghiệm mẫu theo tháng của NEG từ năm 1988 đến 1994, dữ liệu mẫu theo tháng của Viện dầu mỏ từ 1988 đến 1994 và dữ liệu mẫu theo tháng của Viện dầu mỏ Pháp từ năm 1991 đến 1994. Tổ hợp một số lượng lớn các bộ mẫu và thực tế là mỗi mẫu được kiểm tra ở trên 30 phòng thử nghiệm, cung cấp một bức tranh tổng thể về độ chụm đã đạt được. Phân tích về mặt đồ thị, độ lệch chuẩn của nhiên liệu mẫu được vẽ so với O.N. Độ sai lệch đối với mức O.N này được thể hiện theo tuyến tính. Đối với O.N từ 90 đến 100, độ lệch tiêu chuẩn của độ tái lập là 0,25 không bị ảnh hưởng bởi mức O.N. Giá trị giới hạn thu được bằng cách nhân độ lệch chuẩn trung bình với 2,772.
20.1.1.6 Các nhiên liệu mẫu có chứa oxygenat (rượu hoặc ete) với nồng độ điển hình pha trong nhiên liệu động cơ đánh lửa thương mại cũng tham gia vào chương trình trao đổi này. Độ chụm của những nhiên liệu mẫu này về mặt thống kê không khác với nhiên liệu không chứa oxygenat có O.N từ 90,0 đến 100,0.
20.1.1.7 Tính tương đương của phương pháp này khi thực hiện ở áp suất khí quyển nhỏ hơn 94,6 kPa (28,0 in.Hg) không được xác định. Độ tái lập của vùng RON từ 88,0 đến 98,0 tại các vùng cao thì, theo kết quả thử nghiệm liên phòng của nhóm vùng núi Rocky làm việc trong một thời gian dài, trong điều kiện vận hành bình thường của phương pháp thử, chỉ một trong hai mươi trường hợp được phép vượt 1,0 trị số octan.
20.1.2 Đối với RON dưới 90,0:
20.1.2.1 Độ chụm không công bố đối với RON nhỏ hơn 90,0 vì không có sẵn các dữ liệu.
20.1.3 Đối với RON trên 100,0:
20.1.3.1 Một số lượng hạn chế về dữ liệu đối với RON lớn hơn 100 đã thu được từ Tập đoàn Trao đổi Hàng không Quốc gia ASTM, Viện dầu mỏ, Viện dầu mỏ Pháp trong những năm gần đây. Độ tái lập đối với khoảng O.N từ 101,0 tới 108, trong một thời gian dài, trong điều kiện vận hành bình thường của phương pháp thử, chỉ một trong hai mươi trường hợp được phép vượt quá giá trị trong Bảng 6.
20.1.3.2 Không thể công bố độ chụm đối với O.N lớn hơn 108 vì không có sẵn các dữ liệu.
Bảng 6 - Độ tái lập của phương pháp nghiên cứu đối với RON lớn hơn 100
| Mức RON trung bình | Giới hạn độ tái lập O.N |
| 101,0 | 1,0 |
| 102,0 | 1,4 |
| 103,0 | 1,7 |
| 104 | 2,0 |
| Từ 104-108 | 3,5 |
20.2 Quy trình B, quy trình chặn trên - dưới mức nhiên liệu thay đổi
20.2.1 Dữ liệu cho quy trình chặn trên - dưới mức nhiên liệu thay đổi là hạn chế. Thông tin có sẵn bao gồm nghiên cứu thống kê thử nghiệm đơn lẻ do bảy phòng thử nghiệm, tiến hành thử trên bốn mẫu xăng và ba mẫu nhiên liệu toluen chuẩn hoá (TSF) có RON từ 90,0 đến 100,0, bằng hai quy trình chặn trên - dưới mức nhiên liệu thay đổi và quy trình chặn trên - dưới mức nhiên liệu cân bằng. Giai đoạn hai kiểm tra độ lặp lại bằng cách thử nghiệm kép quy trình chặn trên - dưới nhiên liệu thay đổi do bốn phòng thử nghiệm thực hiện trên tám mẫu nhiên liệu.
20.2.1.1 Độ lặp lại của quy trình chặn trên - dưới mức nhiên liệu thay đổi tương tự như quy trình chặn trên - dưới mức nhiên liệu cân bằng như suy ra từ phân tích thống kê của bộ dữ liệu kép.
20.2.1.2 Độ tái lập của quy trình chặn trên - dưới mức nhiên liệu thay đổi không phân biệt được từ quy trình chặn trên - dưới mức nhiên liệu cân bằng dựa trên phân tích thống kê dữ liệu hạn chế từ nghiên cứu thử nghiệm liên phòng.
20.2.1.3 Độ chệch - Giữa đồng hồ đo kích nổ tín hiệu analog và đồng hồ đo kích nổ tín hiệu số có độ chệch đáng kể về mặt thống kê. Cường độ (Độ lớn) nhỏ hơn so với đánh giá độ lặp lại của quy trình A và C. Công thức hồi quy như sau:
| RON đồng hồ đo kích nổ tín hiệu analog = RON đồng hồ đo kích nổ tín hiệu số - 0,17 | (6) |
20.3 Quy trình D, quy trình chặn trên - dưới của máy phân tích octan
20.3.1 Dữ liệu của quy trình chặn trên dưới máy phân tích octan thu được từ thử nghiệm liên phòng hạn chế, sử dụng hai loại máy phân tích octan CFR Waukesha và hệ KEAS Philip. Thông tin có sẵn bao gồm nghiên cứu thống kê thử nghiệm so sánh mười một mẫu xăng và ba hỗn hợp mẫu nhiên liệu toluen chuẩn hoá (TSF) bằng cách tiến hành đồng thời quy trình chặn trên - dưới máy phân tích octan và quy trình chặn trên - dưới mức nhiên liệu cân bằng.
20.3.1.1 Độ lặp lại của quy trình chặn trên - dưới máy phân tích octan tương tự như quy trình chặn trên - dưới mức nhiên liệu cân bằng. Các kết quả thu được khi dùng quy trình thiết bị máy phân tích octan tương đương với quy trình chặn trên - dưới cân bằng.
20.3.1.2 Độ tái lập của quy trình chặn trên - dưới máy phân tích octan tương tự như quy trình chặn trên - dưới mức nhiên liệu cân bằng. Các kết quả thu được khi dùng quy trình thiết bị máy phân tích octan tương đương với quy trình chặn trên - dưới cân bằng.
20.3.1.3 Độ chệch - Giữa quy trình chặn trên-dưới máy phân tích octan và quy trình chặn trên- dưới mức nhiên liệu cân bằng không có độ chệch đáng kể về mặt thống kê.
20.4 Các ước tính độ chụm trước đây nhận được trên các nhiên liệu có chứa hợp chất oxygenat với nồng độ etanol điển hình (lên đến 10 % thể tích). Một nghiên cứu liên phòng được thực hiện vào năm 2010 - 2011 để xác định độ chụm của các nhiên liệu chứa etanol từ 15 % thể tích đến 25 % thể tích (xem Báo cáo nghiên cứu RR:D02-1758). Mười hai nhiên liệu có nồng độ etanol từ 15 % đến 25 % thể tích được thử nghiệm bởi 12 phòng thử nghiệm; các kết quả octan nằm trong dải từ 95,0 đến 103,1 RON và tất cả bốn quy trình thử nghiệm (A, B, c và D) được sử dụng cho chương trình thử nghiệm, cho kết quả ước tính độ chụm dưới đây.
20.4.1 Độ lặp lại - Sự chênh lệch giữa hai kết quả thử nhận được, trên cùng một mẫu thử, dưới các điều kiện của độ lặp lại trong một thời gian dài với thao tác bình thường và chính xác của phương pháp thử này, chỉ một trong hai mươi trường hợp được vượt 0,3 O.N.
20.4.2 Độ tái lập - Sự chênh lệch giữa hai kết quả thử đơn và độc lập, nhận được, trên cùng một mẫu thử, dưới các điều kiện của độ tái lập trong một thời gian dài với thao tác bình thường và chính xác của phương pháp thử này, chỉ một trong hai mươi trường hợp được vượt 0,8 O.N.
20.5 Độ lệch chuẩn
20.5.1 Việc kiểm tra kết quả thử nghiệm liên phòng đối với RON được thực hiện từ năm 1930 do Tập đoàn Trao đổi Động cơ Quốc gia tiến hành thử nghiệm thường xuyên, ít nhất một lần/tháng. Những dữ liệu lịch sử cho thấy tính thay đổi (độ lệch chuẩn) của phương pháp theo O.N, được trình bày trong Hình 9. Đường cong của hình này dựa trên dữ liệu của Nhóm trao đổi quốc gia ASTM trong thời gian từ 1966 đến 1987.

Hình 9 - Sự biến thiên độ lệch chuẩn của độ tái lập so với RON
20.6 Độ chệch - Các quy trình trong phép thử này đối với RON của nhiên liệu động cơ đánh lửa không có độ chệch, vì giá trị RON chỉ có thể được xác định theo phương pháp này.
Phụ lục A
(Quy định)
Thông tin về các mối nguy hại
A.1 Giới thiệu
A.1.1 Trong quá trình thực hiện phép thử có các nguy hại đối với người, các nguy hại này đã được nêu trong nội dung của tiêu chuẩn. Loại nguy hại ghi "CẢNH BÁO" các thông tin chính được trình bày ngắn gọn. Các thông tin chi tiết liên quan cần tham khảo các bảng dữ liệu an toàn vật liệu đối với các chất đem dùng để xác định các mối nguy hại, vận chuyển, xử lý phù hợp, những cảnh báo về an toàn.
A.2 Cảnh báo: Dễ cháy. Hơi độc.
A.2.1 Các chất có thể sử dụng:
A.2.1.1 Dầu bôi trơn cacte động cơ,
A.3 Cảnh báo: Dễ cháy. Hơi độc nếu hít phải. Hơi có thể gây cháy. Tránh xa nguồn nhiệt, tia lửa và ngọn lửa.
A.3.1 Các chất có thể sử dụng:
A.3.1.1 Hỗn hợp nhiên liệu chuẩn gốc (PRF) có trị số octan 80.
A.3.1.2 Nhiên liệu kiểm tra.
A.3.1.3 Hỗn hợp nhiên liệu.
A.3.1.4 Isooctan.
A.3.1.5 Nhiên liệu chuẩn gốc (PRF) isooctan có chì.
A.3.1.6 n-heptan.
A.3.1.7 Oxygenat.
A.3.1.8 Nhiên liệu chuẩn gốc (PRF).
A.3.1.9 Hỗn hợp nhiên liệu chuẩn gốc (PRF).
A.3.1.10 Nhiên liệu chuẩn.
A.3.1.11 Nhiên liệu mẫu.
A.3.1.12 Nhiên liệu động cơ kích nổ.
A.3.1.13 Nhiên liệu toluen chuẩn hoá (TSF).
A.3.1.14 Hỗn hợp nhiên liệu toluen chuẩn hoá (TSF), và
A.3.1.15 Xylen
A.4 Cảnh báo: Độc. Gây độc hoặc chết người nếu hít hoặc nuốt phải.
A.4.1 Các hợp chất có thể sử dụng:
A.4.1.1 Hỗn hợp chống đóng băng.
A.4.1.2 Hợp chất tetraetyl chì chống kích nổ hỗn hợp hàng không.
A.4.1.3 Tetraetyl chì loãng.
A.4.1.4 Chất chống đông gốc glycol.
A.4.1.5 Chất làm mát halogen hoá, và
A.4.1.6 Dung môi halogen hoá.
Phụ lục B
(Quy định)
Bảng pha trộn nhiên liệu chuẩn
B.1 Xem Bảng B.1 đến Bảng B.4.
Bảng B.1 - Trị số octan đối với hỗn hợp nhiên liệu chuẩn gốc (PRF) có trị số octan 80 và n-heptan
| Hỗn hợp PRF 80 và n-heptanA | ||
| Trị số octan | Phần trăm PRF 80 | Phần trăm n-heptan |
| 40,0 | 50 | 50 |
| 44,0 | 55 | 45 |
| 48,0 | 60 | 40 |
| 52,0 | 65 | 35 |
| 56,0 | 70 | 30 |
| 60,0 | 75 | 25 |
| 64,0 | 80 | 20 |
| 68,0 | 85 | 15 |
| 72,0 | 90 | 10 |
| 72,8 | 91 | 9 |
| 73,6 | 92 | 8 |
| 74,4 | 93 | 7 |
| 75,2 | 94 | 6 |
| 76,0 | 95 | 5 |
| 76,8 | 96 | 4 |
| 77,6 | 97 | 3 |
| 78,4 | 98 | 2 |
| 79,2 | 99 | 1 |
| 80,0 | 100 | 0 |
| A O.N. = 0,80 (% 80 PRF). | ||
Bảng B.2 - Trị số octan đối với hỗn hợp nhiên liệu chuẩn gốc (PRF) có octan 80 và isooctan
| Hỗn hợp PRF 80 và isooctanA | ||
| Trị số octan | Phần trăm PRF 80 | Phần trăm isooctan |
| 80,0 | 100 | 0 |
| 81,0 | 95 | 5 |
| 82,0 | 90 | 10 |
| 83,0 | 85 | 15 |
| 84,0 | 80 | 20 |
| 85,0 | 75 | 25 |
| 86,0 | 70 | 30 |
| 87,0 | 65 | 35 |
| 88,0 | 60 | 40 |
| 89,0 | 55 | 45 |
| 90,0 | 50 | 50 |
| 91,0 | 45 | 55 |
| 92,0 | 40 | 60 |
| 93,0 | 35 | 65 |
| 94,0 | 30 | 70 |
| 95,0 | 25 | 75 |
| 96,0 | 20 | 80 |
| 97,0 | 15 | 85 |
| 98,0 | 10 | 90 |
| 99,0 | 5 | 95 |
| 100,0 | 0 | 100 |
| A O.N. = 0,80 (% 80 PRF) + 1,00 (% isooctan). | ||
Bảng B.3 - Trị số octan đối với hỗn hợp chì tetraetyl trong isooctanA
CHÚ THÍCH 1: Pha loãng tetraetyl chì sao cho khi cho 2,0 mL vào 400 mL isooctan tạo thành hỗn hợp có chứa 2,0 mL TEL trên 1 gal U.S.
CHÚ THÍCH 2: Các thể tích thành phần pha trộn phải là ± 1 % (ví dụ 100 ± 1, 400 ± 4).
| mL TEL trên gal U.S | Trị số octan | mL TEL trên gal U.S | Trị số octan |
| 0,0 | 100,0 | 1,2 | 109,6 |
| 0,05 | 100,7 | 1,4 | 110,5 |
| 0,1 | 101,3 | 1,5 | 111,0 |
| 0,2 | 102,5 | 2,0 | 112,8 |
| 0,3 | 103,5 | 2,5 | 114,3 |
| 0,4 | 104,4 | 3,0 | 115,5 |
| 0,5 | 105,3 | 3,5 | 116,6 |
| 0,6 | 106,0 | 4,0 | 117,5 |
| 0,7 | 106,8 | 4,5 | 118,3 |
| 0,8 | 107,4 | 5,0 | 119,1 |
| 0,9 | 108,0 | 5,5 | 119,7 |
| 1,0 | 108,6 | 6,0 | 120,3 |
|
trong đó: T = mL TEL trên U.S.gal trong isooctan. | |||
Bảng B.4 - Trị số octan đối với hỗn hợp iso-octan + 6,0 mL TEL trên U.S. galA
CHÚ THÍCH: Các thể tích thành phần pha trộn phải là ± 1 % (ví dụ 120 ± 1, 476 ± 5).
| mL iso-octan + 6,0 mL TEL trên U.S. gal | mL iso-octan | mL TEL trên U.S. gal | Trị số octan |
| 0 | 480 | 0,00 | 100,0 |
| 4 | 476 | 0,05 | 100,7 |
| 8 | 472 | 0,10 | 101,3 |
| 16 | 464 | 0,20 | 102,5 |
| 24 | 456 | 0,30 | 103,5 |
| 40 | 440 | 0,50 | 105,3 |
| 56 | 424 | 0,70 | 106,7 |
| 72 | 408 | 0,90 | 108,0 |
| 80 | 400 | 1,00 | 109,6 |
| 96 | 384 | 1,20 | 110,5 |
| 112 | 368 | 1,40 | 111,0 |
| 120 | 360 | 1,50 | 111,4 |
| 128 | 352 | 1,60 | 112,1 |
| 144 | 336 | 1,80 | 112,8 |
| 160 | 320 | 2,00 | 113,4 |
| 176 | 304 | 2,20 | 114,0 |
| 192 | 288 | 2,40 | 114,3 |
| 200 | 280 | 2,50 | 114,5 |
| 208 | 272 | 2,60 | 115,0 |
| 224 | 256 | 2,80 | 115,5 |
| 240 | 240 | 3,00 | 116,0 |
| 256 | 224 | 3,20 | 116,4 |
| 272 | 208 | 3,40 | 116,6 |
| 280 | 200 | 3,50 | 116,8 |
| 288 | 192 | 3,60 | 117,2 |
| 304 | 176 | 3,80 | 117,5 |
| 320 | 160 | 4,00 | 117,9 |
| 336 | 144 | 4,20 | 118,2 |
| 352 | 128 | 4,40 | 118,3 |
| 360 | 120 | 4,50 | 118,5 |
| 368 | 112 | 4,60 | 118,8 |
| 384 | 96 | 4,80 | 119,1 |
| 400 | 80 | 5,00 | 119,3 |
| 416 | 64 | 5,20 | 119,6 |
| 432 | 48 | 5,40 | 119,7 |
| 440 | 40 | 5,50 | 119,9 |
| 448 | 32 | 5,60 | 120,1 |
| 464 | 16 | 5,80 | 120,3 |
| 480 | 0 | 6,00 |
|
|
trong đó: T = mL TEL trên U.S.gal trong isooctan. | |||
Phụ lục C
(Quy định)
Các bảng hướng dẫn cho cường độ kích nổ không đổi
C.1 Xem Bảng C.1 đến Bảng C.5.
Bảng C.1 - Bảng hướng dẫn đối với cường độ gõ tiêu chuẩn tại áp suất khí quyển tiêu chuẩn - venturi 9/16 in.
Số đọc bộ đếm hiển thị số đối với các trị số octan nghiên cứu
CHÚ THÍCH: Xem Bảng C.4 và Bảng C.5 đối với sự bù số đọc bộ đếm hiển thị số cho áp suất khí quyển khác 101,0 kPa (29,92 in. Hg).
| Trị số octan nghiên cứu | 0,0 | 0,1 | 0,2 | 0,3 | 0,4 | 0,5 | 0,6 | 0,7 | 0,8 | 0,9 |
| Số đọc bộ đếm hiển thị số | ||||||||||
| 40 | 357 | 357 | 357 | 357 | 358 | 359 | 359 | 359 | 360 | 360 |
| 41 | 361 | 361 | 361 | 362 | 362 | 363 | 363 | 363 | 364 | 364 |
| 42 | 364 | 365 | 365 | 366 | 366 | 366 | 367 | 367 | 368 | 368 |
| 43 | 368 | 369 | 369 | 370 | 370 | 370 | 371 | 371 | 372 | 372 |
| 44 | 373 | 373 | 373 | 374 | 374 | 375 | 375 | 375 | 376 | 376 |
|
|
|
|
|
|
|
|
|
|
|
|
| 45 | 377 | 377 | 378 | 378 | 379 | 379 | 380 | 380 | 381 | 382 |
| 46 | 382 | 383 | 383 | 384 | 384 | 385 | 385 | 386 | 386 | 387 |
| 47 | 387 | 388 | 388 | 389 | 389 | 389 | 390 | 390 | 390 | 390 |
| 48 | 391 | 391 | 392 | 392 | 393 | 393 | 394 | 395 | 395 | 396 |
| 49 | 396 | 397 | 397 | 398 | 399 | 399 | 400 | 400 | 401 | 402 |
|
|
|
|
|
|
|
|
|
|
|
|
| 50 | 402 | 403 | 403 | 404 | 404 | 405 | 405 | 406 | 406 | 406 |
| 51 | 407 | 408 | 408 | 409 | 410 | 410 | 411 | 411 | 412 | 412 |
| 52 | 412 | 413 | 413 | 414 | 414 | 415 | 415 | 416 | 417 | 417 |
| 53 | 418 | 418 | 419 | 419 | 420 | 420 | 421 | 422 | 422 | 423 |
| 54 | 423 | 424 | 424 | 425 | 426 | 426 | 427 | 427 | 428 | 428 |
|
|
|
|
|
|
|
|
|
|
|
|
| 55 | 429 | 429 | 430 | 430 | 431 | 432 | 432 | 433 | 433 | 434 |
| 56 | 435 | 435 | 436 | 436 | 437 | 437 | 438 | 439 | 439 | 440 |
| 57 | 440 | 441 | 441 | 442 | 442 | 443 | 443 | 444 | 444 | 445 |
| 58 | 446 | 446 | 447 | 448 | 448 | 449 | 449 | 450 | 450 | 451 |
| 59 | 451 | 452 | 453 | 453 | 454 | 454 | 455 | 455 | 456 | 457 |
| 60 | 457 | 458 | 458 | 459 | 460 | 460 | 461 | 461 | 462 | 462 |
|
|
|
|
|
|
|
|
|
|
|
|
| 61 | 463 | 464 | 465 | 465 | 466 | 467 | 467 | 468 | 469 | 470 |
| 62 | 470 | 471 | 471 | 472 | 472 | 473 | 474 | 474 | 475 | 475 |
| 63 | 476 | 477 | 478 | 478 | 478 | 479 | 479 | 480 | 481 | 481 |
| 64 | 482 | 483 | 484 | 484 | 485 | 485 | 486 | 486 | 487 | 488 |
|
|
|
|
|
|
|
|
|
|
|
|
| 65 | 488 | 489 | 490 | 491 | 491 | 492 | 492 | 493 | 494 | 495 |
| 66 | 495 | 496 | 497 | 498 | 498 | 499 | 500 | 501 | 501 | 502 |
| 67 | 502 | 503 | 503 | 504 | 505 | 506 | 507 | 508 | 508 | 509 |
| 68 | 509 | 510 | 510 | 511 | 512 | 513 | 513 | 514 | 515 | 515 |
| 69 | 516 | 517 | 517 | 518 | 519 | 519 | 520 | 520 | 521 | 522 |
|
|
|
|
|
|
|
|
|
|
|
|
| 70 | 523 | 524 | 525 | 525 | 526 | 526 | 527 | 527 | 528 | 529 |
| 71 | 530 | 531 | 532 | 532 | 533 | 533 | 534 | 534 | 535 | 536 |
| 72 | 537 | 538 | 539 | 539 | 540 | 540 | 541 | 542 | 543 | 544 |
| 73 | 545 | 546 | 546 | 547 | 548 | 548 | 549 | 550 | 551 | 552 |
| 74 | 553 | 554 | 554 | 555 | 556 | 557 | 558 | 559 | 560 | 560 |
|
|
|
|
|
|
|
|
|
|
|
|
| 75 | 561 | 562 | 563 | 564 | 565 | 566 | 567 | 567 | 568 | 569 |
| 76 | 570 | 571 | 572 | 573 | 574 | 575 | 576 | 577 | 578 | 579 |
| 77 | 580 | 581 | 581 | 582 | 583 | 584 | 585 | 586 | 587 | 588 |
| 78 | 589 | 590 | 591 | 592 | 593 | 594 | 595 | 596 | 597 | 598 |
| 79 | 599 | 600 | 601 | 602 | 603 | 604 | 605 | 606 | 607 | 608 |
|
|
|
|
|
|
|
|
|
|
|
|
| 80 | 609 | 610 | 611 | 612 | 613 | 614 | 615 | 616 | 617 | 618 |
| 81 | 619 | 620 | 621 | 622 | 623 | 624 | 625 | 626 | 627 | 628 |
| 82 | 629 | 630 | 631 | 632 | 633 | 634 | 635 | 636 | 637 | 639 |
| 83 | 640 | 641 | 642 | 643 | 644 | 645 | 646 | 647 | 648 | 649 |
| 84 | 650 | 651 | 652 | 653 | 654 | 656 | 657 | 658 | 659 | 660 |
|
|
|
|
|
|
|
|
|
|
|
|
| 85 | 661 | 663 | 664 | 666 | 667 | 668 | 669 | 670 | 671 | 672 |
| 86 | 673 | 674 | 675 | 677 | 678 | 680 | 681 | 682 | 683 | 684 |
| 87 | 685 | 687 | 688 | 689 | 691 | 692 | 694 | 695 | 697 | 698 |
| 88 | 699 | 700 | 701 | 702 | 704 | 705 | 706 | 708 | 709 | 711 |
| 89 | 712 | 713 | 715 | 716 | 718 | 719 | 721 | 722 | 723 | 725 |
|
|
|
|
|
|
|
|
|
|
|
|
| 90 | 726 | 728 | 729 | 730 | 732 | 733 | 735 | 736 | 737 | 739 |
| 91 | 740 | 742 | 743 | 744 | 746 | 747 | 749 | 750 | 752 | 753 |
| 92 | 756 | 757 | 759 | 560 | 761 | 763 | 764 | 766 | 767 | 768 |
| 93 | 770 | 772 | 774 | 776 | 778 | 780 | 781 | 783 | 784 | 785 |
| 94 | 787 | 789 | 791 | 793 | 795 | 797 | 799 | 801 | 802 | 804 |
|
|
|
|
|
|
|
|
|
|
|
|
| 95 | 805 | 807 | 809 | 811 | 812 | 814 | 816 | 818 | 820 | 822 |
| 96 | 824 | 826 | 828 | 830 | 832 | 835 | 837 | 839 | 841 | 843 |
| 97 | 845 | 847 | 849 | 852 | 854 | 856 | 858 | 860 | 862 | 864 |
| 98 | 867 | 870 | 873 | 875 | 877 | 880 | 883 | 885 | 888 | 891 |
| 99 | 893 | 895 | 898 | 900 | 903 | 906 | 909 | 912 | 915 | 917 |
|
|
|
|
|
|
|
|
|
|
|
|
| 100 | 919 | 924 | 925 | 928 | 932 | 936 | 939 | 940 | 944 | 949 |
| 101 | 950 | 953 | 957 | 960 | 964 | 967 | 969 | 973 | 976 | 980 |
| 102 | 983 | 986 | 987 | 990 | 994 | 997 | 1000 | 1003 | 1005 | 1008 |
| 103 | 1011 | 1014 | 1017 | 1019 | 1022 | 1025 | 1028 | 1031 | 1034 | 1036 |
| 104 | 1039 | 1042 | 1043 | 1045 | 1048 | 1050 | 1052 | 1055 | 1057 | 1059 |
|
|
|
|
|
|
|
|
|
|
|
|
| 105 | 1062 | 1063 | 1065 | 1067 | 1070 | 1073 | 1074 | 1076 | 1079 | 1080 |
| 106 | 1081 | 1084 | 1086 | 1087 | 1090 | 1091 | 1093 | 1094 | 1097 | 1098 |
| 107 | 1100 | 1101 | 1103 | 1104 | 1105 | 1107 | 1110 | 1111 | 1112 | 1114 |
| 108 | 1115 | 1117 | 1118 | 1120 | 1121 | 1122 | 1124 | 1125 | 1127 | 1128 |
| 109 | 1131 | 1132 | 1134 | 1135 | 1136 | 1138 | 1139 | 1141 | 1142 | 1142 |
|
|
|
|
|
|
|
|
|
|
|
|
| 110 | 1145 | 1146 | 1148 | 1148 | 1149 | 1151 | 1152 | 1153 | 1155 | 1156 |
| 111 | 1158 | 1159 | 1160 | 1162 | 1163 | 1165 | 1166 | 1167 | 1167 | 1169 |
| 112 | 1170 | 1172 | 1173 | 1175 | 1176 | 1177 | 1179 | 1180 | 1182 | 1183 |
| 113 | 1184 | 1186 | 1186 | 1187 | 1189 | 1189 | 1191 | 1193 | 1194 | 1196 |
| 114 | 1197 | 1197 | 1199 | 1200 | 1201 | 1203 | 1204 | 1026 | 1027 | 1028 |
|
|
|
|
|
|
|
|
|
|
|
|
| 115 | 1208 | 1210 | 1211 | 1213 | 1214 | 1215 | 1218 | 1220 | 1221 | 1222 |
| 116 | 1224 | 1225 | 1227 | 1228 | 1230 | 1232 | 1234 | 1235 | 1237 | 1238 |
| 117 | 1239 | 1241 | 1242 | 1244 | 1245 | 1246 | 1249 | 1251 | 1252 | 1253 |
| 118 | 1255 | 1256 | 1258 | 1259 | 1260 | 1262 | 1265 | 1266 | 1268 | 1269 |
| 119 | 1270 | 1272 | 1273 | 1275 | 1276 | 1277 | 1280 | 1282 | 1283 | 1285 |
|
|
|
|
|
|
|
|
|
|
|
|
| 120 | 1286 | 1287 | 1289 | 1290 | ... | ... | ... | ... | ... | ... |
|
| ||||||||||
Bảng C.2 - Bảng hướng dẫn đối với cường độ gõ tiêu chuẩn tại áp suất khí quyển tiêu chuẩnA - venturi 8/16 in.
Các trị số octan nghiên cứu đối với số đọc bộ đếm hiển thị số
CHÚ THÍCH: Xem Bảng C.4 và C.5 đối với sự bù số đọc bộ đếm hiển thị số cho áp suất khí quyển khác 101,0 kPa (29,92 in. Hg).
| Số đọc bộ đếm hiển thị số | 0 | 1 | 2 | 3 | 4 | 5 | 6 | 7 | 8 | 9 |
| Trị số octan nghiên cứu | ||||||||||
| 450 | 58,8 | 59,0 | 59,1 | 59,3 | 59,5 | 59,6 | 59,8 | 60,0 | 60,1 | 60,3 |
| 460 | 60,4 | 60,6 | 60,8 | 61,0 | 61,1 | 61,2 | 61,4 | 61,6 | 61,7 | 61,8 |
| 470 | 62,0 | 62,2 | 62,4 | 62,5 | 62,6 | 62,8 | 63,0 | 63,1 | 63,3 | 63,6 |
| 480 | 63,7 | 63,8 | 64,0 | 64,1 | 64,2 | 64,4 | 64,6 | 64,8 | 65,0 | 65,1 |
| 490 | 65,2 | 65,4 | 65,6 | 65,7 | 65,8 | 66,0 | 66,1 | 66,2 | 66,4 | 66,5 |
|
|
|
|
|
|
|
|
|
|
|
|
| 500 | 66,6 | 66,8 | 67,0 | 67,2 | 67,3 | 67,4 | 67,5 | 67,6 | 67,8 | 68,0 |
| 510 | 68,2 | 68,3 | 68,4 | 68,6 | 68,7 | 68,8 | 69,0 | 69,2 | 69,3 | 69,4 |
| 520 | 69,6 | 69,8 | 69,9 | 70,0 | 70,1 | 70,2 | 70,4 | 70,6 | 70,8 | 70,9 |
| 530 | 71,0 | 71,1 | 71,2 | 71,4 | 71,6 | 71,8 | 71,9 | 72,0 | 72,1 | 72,2 |
| 540 | 72,4 | 72,6 | 72,7 | 72,8 | 72,9 | 73,0 | 73,2 | 73,3 | 73,4 | 73,6 |
|
|
|
|
|
|
|
|
|
|
|
|
| 550 | 73,7 | 73,8 | 73,9 | 74,0 | 74,2 | 74,3 | 74,4 | 74,5 | 74,6 | 74,7 |
| 560 | 74,8 | 75,0 | 75,1 | 75,2 | 75,3 | 75,4 | 75,5 | 75,6 | 75,8 | 75,9 |
| 570 | 76,0 | 76,1 | 76,2 | 76,3 | 76,4 | 76,5 | 76,6 | 76,7 | 76,8 | 76,9 |
| 580 | 77,0 | 77,2 | 77,3 | 77,4 | 77,5 | 77,6 | 77,7 | 77,8 | 77,9 | 78,0 |
| 590 | 78,1 | 78,2 | 78,3 | 78,4 | 78,5 | 78,6 | 78,7 | 78,8 | 78,9 | 79,0 |
|
|
|
|
|
|
|
|
|
|
|
|
| 600 | 79,1 | 79,2 | 79,3 | 79,4 | 79,5 | 79,6 | 79,7 | 79,8 | 79,9 | 80,0 |
| 610 | 80,1 | 80,2 | 80,3 | 80,4 | 80,5 | 80,6 | 80,7 | 80,8 | 80,9 | 81,0 |
| 620 | 81,1 | 81,2 | 81,3 | 81,4 | 81,5 | 81,6 | 81,7 | 81,8 | 81,9 | 82,0 |
| 630 | 82,1 | 82,2 | 82,3 | 82,4 | 82,5 | 82,6 | 82,7 | 82,8 | 82,8 | 82,9 |
| 640 | 83,0 | 83,1 | 83,2 | 83,3 | 83,4 | 83,5 | 83,6 | 83,7 | 83,8 | 83,9 |
|
|
|
|
|
|
|
|
|
|
|
|
| 650 | 84,0 | 84,1 | 84,2 | 84,3 | 84,4 | 84,4 | 84,5 | 84,6 | 84,7 | 84,8 |
| 660 | 84,9 | 85,0 | 85,0 | 85,1 | 85,2 | 85,2 | 85,3 | 85,4 | 85,5 | 85,6 |
| 670 | 85,7 | 85,8 | 85,9 | 86,0 | 86,1 | 86,2 | 86,2 | 86,3 | 86,4 | 86,4 |
| 680 | 86,5 | 86,6 | 86,7 | 86,8 | 86,9 | 87,0 | 87,0 | 87,1 | 87,2 | 87,3 |
| 690 | 87,4 | 87,4 | 87,5 | 87,6 | 87,6 | 87,7 | 87,8 | 87,8 | 87,9 | 88,0 |
|
|
|
|
|
|
|
|
|
|
|
|
| 700 | 88,1 | 88,2 | 88,3 | 88,4 | 88,4 | 88,5 | 88,6 | 88,6 | 88,7 | 88,8 |
| 710 | 88,8 | 88,9 | 89,0 | 89,1 | 89,2 | 89,2 | 89,3 | 89,4 | 89,4 | 89,5 |
| 720 | 89,6 | 89,6 | 89,7 | 89,8 | 89,8 | 89,9 | 90,0 | 90,0 | 90,1 | 90,2 |
| 730 | 90,3 | 90,4 | 90,4 | 90,5 | 90,6 | 90,6 | 90,7 | 90,8 | 90,8 | 90,9 |
| 740 | 91,0 | 91,0 | 91,1 | 91,2 | 91,3 | 91,4 | 91,4 | 91,5 | 91,6 | 91,6 |
|
|
|
|
|
|
|
|
|
|
|
|
| 750 | 91,7 | 91,8 | 91,8 | 91,9 | 91,9 | 92,0 | 92,0 | 92,1 | 92,2 | 92,2 |
| 760 | 92,3 | 92,4 | 92,4 | 92,5 | 92,6 | 92,6 | 92,7 | 92,8 | 92,9 | 93,0 |
| 770 | 93,0 | 93,0 | 93,1 | 93,2 | 93,2 | 93,2 | 93,3 | 93,4 | 93,4 | 93,4 |
| 780 | 93,5 | 93,6 | 93,6 | 93,7 | 93,8 | 93,9 | 94,0 | 94,0 | 94,0 | 94,1 |
| 790 | 94,2 | 94,2 | 94,2 | 94,3 | 94,4 | 94,4 | 94,4 | 94,5 | 94,6 | 94,6 |
|
|
|
|
|
|
|
|
|
|
|
|
| 800 | 94,6 | 94,7 | 94,8 | 94,8 | 94,9 | 95,0 | 95,0 | 95,1 | 95,2 | 95,2 |
| 810 | 95,2 | 95,3 | 95,4 | 95,4 | 95,5 | 95,6 | 95,6 | 95,6 | 95,7 | 95,8 |
| 820 | 95,8 | 95,8 | 95,9 | 96,0 | 96,0 | 96,0 | 96,1 | 96,2 | 96,2 | 96,2 |
| 830 | 96,3 | 96,4 | 96,4 | 96,4 | 96,5 | 96,5 | 96,6 | 96,6 | 96,6 | 96,7 |
| 840 | 96,8 | 96,8 | 96,9 | 96,9 | 97,0 | 97,0 | 97,0 | 97,1 | 97,2 | 97,2 |
|
|
|
|
|
|
|
|
|
|
|
|
| 850 | 97,2 | 97,3 | 97,3 | 97,4 | 97,4 | 97,4 | 97,5 | 97,6 | 97,6 | 97,6 |
| 860 | 97,7 | 97,8 | 97,8 | 97,8 | 97,9 | 97,9 | 98,0 | 98,0 | 98,0 | 98,1 |
| 870 | 98,1 | 98,1 | 98,2 | 98,2 | 98,2 | 98,3 | 98,4 | 98,4 | 98,4 | 98,5 |
| 880 | 98,5 | 98,5 | 98,6 | 98,6 | 98,6 | 98,7 | 98,7 | 98,8 | 98,8 | 98,8 |
| 890 | 98,9 | 98,9 | 99,0 | 99,0 | 99,0 | 99,1 | 99,1 | 99,2 | 99,2 | 99,2 |
|
|
|
|
|
|
|
|
|
|
|
|
| 900 | 99,3 | 99,3 | 99,4 | 99,4 | 99,4 | 99,5 | 99,5 | 99,5 | 99,6 | 99,6 |
| 910 | 99,6 | 99,7 | 99,7 | 99,7 | 99,8 | 99,8 | 99,8 | 99,9 | 100,0 | 100,0 |
| 920 | 100,0 | 100,0 | 100,1 | 100,1 | 100,1 | 100,2 | 100,2 | 100,3 | 100,3 | 100,3 |
| 930 | 100,4 | 100,4 | 100,4 | 100,4 | 100,4 | 100,5 | 100,5 | 100,5 | 100,6 | 100,6 |
| 940 | 100,7 | 100,7 | 100,8 | 100,8 | 100,8 | 100,8 | 100,8 | 100,9 | 100,9 | 100,9 |
|
|
|
|
|
|
|
|
|
|
|
|
| 950 | 101,0 | 101,0 | 101,1 | 101,1 | 101,1 | 101,2 | 101,2 | 101,2 | 101,2 | 101,3 |
| 960 | 101,3 | 101,3 | 101,4 | 101,4 | 101,4 | 101,4 | 101,5 | 101,5 | 101,6 | 101,6 |
| 970 | 101,6 | 101,6 | 101,7 | 101,7 | 101,7 | 101,8 | 101,8 | 101,8 | 101,8 | 101,9 |
| 980 | 101,9 | 101,9 | 102,0 | 102,0 | 102,0 | 102,1 | 102,1 | 102,2 | 102,2 | 102,3 |
| 990 | 102,3 | 102,3 | 102,4 | 102,4 | 102,4 | 102,4 | 102,5 | 102,5 | 102,5 | 102,6 |
|
|
|
|
|
|
|
|
|
|
|
|
| 1000 | 102,6 | 102,6 | 102,7 | 102,7 | 102,8 | 102,8 | 102,8 | 102,9 | 102,9 | 102,9 |
| 1010 | 103,0 | 103,0 | 103,0 | 103,1 | 103,1 | 103,1 | 103,2 | 103,2 | 103,2 | 103,3 |
| 1020 | 103,3 | 103,4 | 103,4 | 103,4 | 103,5 | 103,5 | 103,5 | 103,6 | 103,6 | 103,6 |
| 1030 | 103,7 | 103,7 | 103,7 | 103,8 | 103,8 | 103,8 | 103,9 | 103,9 | 104,0 | 104,0 |
| 1040 | 104,0 | 104,1 | 104,1 | 104,2 | 104,2 | 104,3 | 104,3 | 104,4 | 104,4 | 104,4 |
|
|
|
|
|
|
|
|
|
|
|
|
| 1050 | 104,5 | 104,6 | 104,6 | 104,6 | 104,7 | 104,7 | 104,8 | 104,8 | 104,8 | 104,9 |
| 1060 | 104,9 | 105,0 | 105,0 | 105,1 | 105,2 | 105,2 | 105,2 | 105,3 | 105,3 | 105,4 |
| 1070 | 105,4 | 105,4 | 105,5 | 105,5 | 105,6 | 105,6 | 105,7 | 105,7 | 105,8 | 105,8 |
| 1080 | 105,9 | 106,0 | 106,0 | 106,1 | 106,1 | 106,2 | 106,2 | 106,3 | 106,3 | 106,4 |
| 1090 | 106,4 | 106,5 | 106,6 | 106,6 | 106,7 | 106,7 | 106,8 | 106,8 | 106,9 | 107,0 |
|
|
|
|
|
|
|
|
|
|
|
|
| 1100 | 107,0 | 107,1 | 107,2 | 107,2 | 107,3 | 107,4 | 107,4 | 107,5 | 107,5 | 107,6 |
| 1110 | 107,6 | 107,7 | 107,8 | 107,8 | 107,9 | 108,0 | 108,0 | 108,1 | 108,2 | 108,2 |
| 1120 | 108,3 | 108,4 | 108,5 | 108,6 | 108,6 | 108,7 | 108,7 | 108,8 | 108,9 | 108,9 |
| 1130 | 109,0 | 109,0 | 109,1 | 109,2 | 109,2 | 109,3 | 109,4 | 109,4 | 109,5 | 109,6 |
| 1140 | 109,6 | 109,7 | 109,8 | 109,9 | 110,0 | 110,0 | 110,1 | 110,2 | 110,2 | 110,4 |
|
|
|
|
|
|
|
|
|
|
|
|
| 1150 | 110,4 | 110,5 | 110,6 | 110,7 | 110,8 | 110,8 | 110,9 | 111,0 | 111,0 | 111,1 |
| 1160 | 111,2 | 111,2 | 111,3 | 111,4 | 111,4 | 111,5 | 111,6 | 111,7 | 111,6 | 111,9 |
| 1170 | 112,0 | 112,0 | 112,1 | 112,2 | 112,2 | 112,3 | 112,4 | 112,5 | 112,6 | 112,6 |
| 1180 | 112,7 | 112,8 | 112,8 | 112,9 | 113,0 | 113,0 | 113,2 | 113,3 | 113,4 | 113,4 |
| 1190 | 113,5 | 113,8 | 113,6 | 113,7 | 113,8 | 113,8 | 113,9 | 114,0 | 114,1 | 114,2 |
|
|
|
|
|
|
|
|
|
|
|
|
| 1200 | 114,3 | 114,4 | 114,4 | 114,5 | 114,6 | 114,8 | 114,7 | 114,8 | 114,9 | 115,0 |
| 1210 | 115,1 | 115,2 | 115,2 | 115,3 | 115,4 | 115,5 | 115,5 | 115,6 | 115,6 | 115,6 |
| 1220 | 115,7 | 115,8 | 115,8 | 116,0 | 116,0 | 116,1 | 116,2 | 116,2 | 116,3 | 116,4 |
| 1230 | 116,4 | 116,4 | 116,4 | 116,6 | 116,6 | 116,7 | 116,8 | 116,8 | 116,9 | 117,0 |
| 1240 | 117,0 | 117,1 | 117,1 | 117,2 | 117,3 | 117,4 | 117,5 | 117,5 | 117,6 | 117,6 |
|
| ||||||||||
Bảng C.3 - Bảng hướng dẫn đối với cường độ gõ tiêu chuẩn tại áp suất khí quyển tiêu chuẩnA - venturi 8/18 in.
Các trị số hiển thị đối với các trị số octan nghiên cứu
CHÚ THÍCH: Xem Bảng C.4 và Bảng C.5 đối với sự bù số đọc bộ đếm hiển thị số cho áp suất khí quyển khác 101,0 kPa (29,92 in. Hg).
| Trị số octan nghiên cứu | 0,0 | 0,1 | 0,2 | 0,3 | 0,4 | 0,5 | 0,6 | 0,7 | 0,8 | 0,9 |
| Số đọc hiển thị | ||||||||||
| 40 | 0,759 | 0,759 | 0,759 | 0,759 | 0,758 | 0,758 | 0,758 | 0,758 | 0,757 | 0,757 |
| 41 | 0,757 | 0,756 | 0,756 | 0,756 | 0,756 | 0,755 | 0,755 | 0,755 | 0,755 | 0,754 |
| 42 | 0,754 | 0,754 | 0,753 | 0,753 | 0,753 | 0,753 | 0,752 | 0,752 | 0,752 | 0,751 |
| 43 | 0,751 | 0,751 | 0,750 | 0,750 | 0,750 | 0,749 | 0,749 | 0,749 | 0,748 | 0,748 |
| 44 | 0,748 | 0,747 | 0,747 | 0,747 | 0,747 | 0,746 | 0,746 | 0,746 | 0,745 | 0,745 |
|
|
|
|
|
|
|
|
|
|
|
|
| 45 | 0,745 | 0,744 | 0,744 | 0,744 | 0,743 | 0,743 | 0,743 | 0,742 | 0,742 | 0,742 |
| 46 | 0,741 | 0,741 | 0,741 | 0,740 | 0,740 | 0,740 | 0,739 | 0739 | 0,739 | 0,738 |
| 47 | 0,738 | 0,738 | 0,737 | 0,737 | 0,737 | 0,736 | 0,736 | 0,736 | 0,735 | 0,735 |
| 48 | 0,735 | 0,734 | 0,734 | 0,733 | 0,733 | 0,733 | 0,732 | 0,732 | 0,732 | 0,731 |
| 49 | 0,731 | 0,731 | 0,730 | 0,730 | 0,729 | 0,729 | 0,729 | 0,728 | 0,728 | 0,728 |
|
|
|
|
|
|
|
|
|
|
|
|
| 50 | 0,727 | 0,727 | 0,727 | 0,726 | 0,726 | 0,725 | 0,725 | 0,725 | 0,724 | 0,724 |
| 51 | 0,724 | 0,723 | 0,723 | 0,723 | 0,722 | 0,722 | 0,721 | 0721 | 0,721 | 0,720 |
| 52 | 0,720 | 0,720 | 0,719 | 0,719 | 0,718 | 0,718 | 0,718 | 0717 | 0,717 | 0,717 |
| 53 | 0,716 | 0,716 | 0,715 | 0,715 | 0,715 | 0,714 | 0,714 | 0713 | 0,713 | 0,713 |
| 54 | 0,712 | 0,712 | 0,711 | 0,711 | 0,711 | 0,710 | 0,710 | 0710 | 0,709 | 0,709 |
|
|
|
|
|
|
|
|
|
|
|
|
| 55 | 0,708 | 0,708 | 0,707 | 0,707 | 0,707 | 0,706 | 0,706 | 0,705 | 0,705 | 0,705 |
| 56 | 0,704 | 0,704 | 0,703 | 0,703 | 0,703 | 0,702 | 0,702 | 0,702 | 0,701 | 0,701 |
| 57 | 0,700 | 0,700 | 0,699 | 0,699 | 0,699 | 0,698 | 0,698 | 0,697 | 0,697 | 0,697 |
| 58 | 0,696 | 0,696 | 0,695 | 0,695 | 0,695 | 0,694 | 0,694 | 0,693 | 0,693 | 0,692 |
| 59 | 0,692 | 0,692 | 0,691 | 0,691 | 0,690 | 0,690 | 0,689 | 0,689 | 0,689 | 0,688 |
|
|
|
|
|
|
|
|
|
|
|
|
| 60 | 0,688 | 0,687 | 0,687 | 0,687 | 0,686 | 0,686 | 0,685 | 0,685 | 0,684 | 0,684 |
| 61 | 0,683 | 0,683 | 0,682 | 0,682 | 0,681 | 0,681 | 0,681 | 0,680 | 0,680 | 0,679 |
| 62 | 0,679 | 0,678 | 0,678 | 0,677 | 0,677 | 0,677 | 0,676 | 0,676 | 0,675 | 0,675 |
| 63 | 0,674 | 0,674 | 0,673 | 0,673 | 0,673 | 0,672 | 0,672 | 0,671 | 0,671 | 0,671 |
| 64 | 0,670 | 0,670 | 0,669 | 0,669 | 0,668 | 0,668 | 0,667 | 0,667 | 0,666 | 0,666 |
|
|
|
|
|
|
|
|
|
|
|
|
| 65 | 0,666 | 0,665 | 0,665 | 0,664 | 0,664 | 0,663 | 0,663 | 0,662 | 0,662 | 0,661 |
| 66 | 0,661 | 0,660 | 0,660 | 0,659 | 0,659 | 0,658 | 0,658 | 0,657 | 0,657 | 0,656 |
| 67 | 0,656 | 0,655 | 0,655 | 0,654 | 0,654 | 0,653 | 0,653 | 0,652 | 0,652 | 0,651 |
| 68 | 0,651 | 0,650 | 0,650 | 0,649 | 0,649 | 0,648 | 0,648 | 0,647 | 0,647 | 0,647 |
| 69 | 0,646 | 0,645 | 0,645 | 0,645 | 0,644 | 0,643 | 0,643 | 0,643 | 0,642 | 0,642 |
|
|
|
|
|
|
|
|
|
|
|
|
| 70 | 0,641 | 0,641 | 0,640 | 0,640 | 0,639 | 0,639 | 0,638 | 0,638 | 0,637 | 0,637 |
| 71 | 0,636 | 0,636 | 0,635 | 0,635 | 0,634 | 0,634 | 0,633 | 0,633 | 0,632 | 0,632 |
| 72 | 0,631 | 0,631 | 0,630 | 0,630 | 0,629 | 0,629 | 0,628 | 0,627 | 0,627 | 0,626 |
| 73 | 0,626 | 0,625 | 0,625 | 0,624 | 0,623 | 0,623 | 0,622 | 0,622 | 0,621 | 0,621 |
| 74 | 0,620 | 0,619 | 0,619 | 0,618 | 0,618 | 0,617 | 0,616 | 0,616 | 0,615 | 0,615 |
|
|
|
|
|
|
|
|
|
|
|
|
| 75 | 0,614 | 0,613 | 0,613 | 0,612 | 0,611 | 0,611 | 0,610 | 0,610 | 0,609 | 0,609 |
| 76 | 0,608 | 0,607 | 0,606 | 0,606 | 0,605 | 0,605 | 0,604 | 0,603 | 0,602 | 0,602 |
| 77 | 0,601 | 0,600 | 0,600 | 0,599 | 0,598 | 0,598 | 0,597 | 0,596 | 0,596 | 0,595 |
| 78 | 0,594 | 0,594 | 0,593 | 0,592 | 0,592 | 0,591 | 0,590 | 0,590 | 0,589 | 0,588 |
| 79 | 0,587 | 0,587 | 0,586 | 0,585 | 0,584 | 0,584 | 0,583 | 0,582 | 0,581 | 0,581 |
| 80 | 0,580 | 0,579 | 0,578 | 0,578 | 0,577 | 0,576 | 0,576 | 0,575 | 0,574 | 0,574 |
|
|
|
|
|
|
|
|
|
|
|
|
| 81 | 0,573 | 0,572 | 0,571 | 0,571 | 0,570 | 0,570 | 0,569 | 0,568 | 0,567 | 0,567 |
| 82 | 0,566 | 0,565 | 0,564 | 0,564 | 0,563 | 0,562 | 0,562 | 0,561 | 0,560 | 0,559 |
| 83 | 0,558 | 0,558 | 0,557 | 0,556 | 0,555 | 0,555 | 0,554 | 0,553 | 0,552 | 0,552 |
| 84 | 0,551 | 0,550 | 0,549 | 0,549 | 0,548 | 0,547 | 0,546 | 0,546 | 0,545 | 0,544 |
|
|
|
|
|
|
|
|
|
|
|
|
| 85 | 0,543 | 0,542 | 0,541 | 0,540 | 0,539 | 0,539 | 0,538 | 0,537 | 0,536 | 0,535 |
| 86 | 0,534 | 0,534 | 0,533 | 0,532 | 0,531 | 0,530 | 0,529 | 0,528 | 0,527 | 0,527 |
| 87 | 0,526 | 0,525 | 0,524 | 0,523 | 0,522 | 0,521 | 0,520 | 0,519 | 0,518 | 0,517 |
| 88 | 0,517 | 0,516 | 0,515 | 0,514 | 0,513 | 0,512 | 0,511 | 0,510 | 0,509 | 0,508 |
| 89 | 0,507 | 0,506 | 0,505 | 0,504 | 0,503 | 0,502 | 0,501 | 0,500 | 0,499 | 0,498 |
|
|
|
|
|
|
|
|
|
|
|
|
| 90 | 0,497 | 0,496 | 0,495 | 0,494 | 0,493 | 0,492 | 0,491 | 0,490 | 0,489 | 0,488 |
| 91 | 0,487 | 0,486 | 0,485 | 0,484 | 0,483 | 0,482 | 0,481 | 0,480 | 0,479 | 0,478 |
| 92 | 0,476 | 0,475 | 0,474 | 0,473 | 0,472 | 0,471 | 0,470 | 0,469 | 0,468 | 0,467 |
| 93 | 0,466 | 0,464 | 0,463 | 0,462 | 0,460 | 0,459 | 0,458 | 0,457 | 0,456 | 0,455 |
| 94 | 0,454 | 0,452 | 0,451 | 0,450 | 0,448 | 0,447 | 0,446 | 0,444 | 0,443 | 0,442 |
|
|
|
|
|
|
|
|
|
|
|
|
| 95 | 0,441 | 0,440 | 0,438 | 0,437 | 0,436 | 0,434 | 0,433 | 0,431 | 0,430 | 0,429 |
| 96 | 0,427 | 0,426 | 0,424 | 0,423 | 0,422 | 0,420 | 0,418 | 0,417 | 0,416 | 0,414 |
| 97 | 0,413 | 0,411 | 0,410 | 0,408 | 0,406 | 0,405 | 0,403 | 0,402 | 0,400 | 0,399 |
| 98 | 0,397 | 0,395 | 0,393 | 0,392 | 0,390 | 0,388 | 0,386 | 0,384 | 0,382 | 0,380 |
| 99 | 0,379 | 0,377 | 0,375 | 0,374 | 0,372 | 0,369 | 0,367 | 0,365 | 0,363 | 0,362 |
|
|
|
|
|
|
|
|
|
|
|
|
| 100 | 0,360 | 0,357 | 0,356 | 0,354 | 0,351 | 0,348 | 0,346 | 0,345 | 0,342 | 0,339 |
| 101 | 0,338 | 0,336 | 0,333 | 0,331 | 0,328 | 0,326 | 0,325 | 0,322 | 0,320 | 0,317 |
| 102 | 0,315 | 0,313 | 0,312 | 0,310 | 0,307 | 0,305 | 0,303 | 0,301 | 0,299 | 0,297 |
| 103 | 0,295 | 0,293 | 0,291 | 0,289 | 0,287 | 0,285 | 0,283 | 0,281 | 0,279 | 0,277 |
| 104 | 0,275 | 0,273 | 0,272 | 0,271 | 0,269 | 0,267 | 0,266 | 0,264 | 0,262 | 0,261 |
|
|
|
|
|
|
|
|
|
|
|
|
| 105 | 0,259 | 0,258 | 0,257 | 0,255 | 0,253 | 0,251 | 0,250 | 0,249 | 0,247 | 0,246 |
| 106 | 0,245 | 0,243 | 0,242 | 0,241 | 0,239 | 0,238 | 0,237 | 0,236 | 0,234 | 0,233 |
| 107 | 0,232 | 0,231 | 0,230 | 0,229 | 0,228 | 0,227 | 0,225 | 0,224 | 0,223 | 0,222 |
| 108 | 0,221 | 0,220 | 0,219 | 0,218 | 0,217 | 0,216 | 0,215 | 0,214 | 0,213 | 0,212 |
| 109 | 0,210 | 0,209 | 0,208 | 0,207 | 0,206 | 0,205 | 0,204 | 0,203 | 0,202 | 0,202 |
|
|
|
|
|
|
|
|
|
|
|
|
| 110 | 0,200 | 0,199 | 0,198 | 0,198 | 0,197 | 0,196 | 0,195 | 0,194 | 0,193 | 0,192 |
| 111 | 0,191 | 0,190 | 0,189 | 0,188 | 0,187 | 0,186 | 0,185 | 0,184 | 0,184 | 0,183 |
| 112 | 0,182 | 0,181 | 0,180 | 0,179 | 0,178 | 0,177 | 0,176 | 0,175 | 0,174 | 0,173 |
| 113 | 0,172 | 0,171 | 0,171 | 0,170 | 0,169 | 0,169 | 0,167 | 0,166 | 0,165 | 0,164 |
| 114 | 0,163 | 0,163 | 0,162 | 0,161 | 0,160 | 0,159 | 0,158 | 0,157 | 0,156 | 0,155 |
|
|
|
|
|
|
|
|
|
|
|
|
| 115 | 0,155 | 0,154 | 0,153 | 0,152 | 0,151 | 0,150 | 0,148 | 0,147 | 0,146 | 0,145 |
| 116 | 0,144 | 0,143 | 0,142 | 0,141 | 0,140 | 0,138 | 0,137 | 0,136 | 0,135 | 0,134 |
| 117 | 0,133 | 0,132 | 0,131 | 0,130 | 0,129 | 0,128 | 0,126 | 0,125 | 0,124 | 0,123 |
| 118 | 0,122 | 0,121 | 0,120 | 0,119 | 0,118 | 0,117 | 0,115 | 0,114 | 0,113 | 0,112 |
| 119 | 0,111 | 0,110 | 0,109 | 0,108 | 0,107 | 0,106 | 0,104 | 0,103 | 0,102 | 0,101 |
|
|
|
|
|
|
|
|
|
|
|
|
| 120 | 0,100 | 0,099 | 0,098 | 0,097 | ... | ... | ... | ... | ... | ... |
| A Số đọc bộ đếm hiển thị số tương đương = (1,012 - số hiển thị) 1410 | ||||||||||
Bảng C.4 - Số bù trừ đối với chiều cao xylanh theo bảng hướng dẫn và sự thay đổi đối với nhiệt độ không khí đầu vào khi áp suất khí quyển dưới 29,92 in.HgA
CHÚ THÍCH 1: Nhiệt độ không khí đầu vào tính theo °C và °F.
CHÚ THÍCH 2: Bảng này được xây dựng cho áp suất khí quyển tính theo insơ và phần mười của insơ thủy ngân. Chỉ liệt kê các giá trị chuyển đổi sang kPa đối với các giá trị áp suất (in.Hg) chẵn.
CHÚ THÍCH 3: Nhiệt độ không khí đầu vào đã liệt kê cho từng áp suất khí quyển sẽ được dùng để đo O.N hoặc như một chỉ dẫn để điều chỉnh nhiệt độ.
CHÚ THÍCH 4 Để xác định số đo chiều cao xylanh cho cường độ gõ tiêu chuẩn tại áp suất khí quyển dưới 29,92 in.Hg thì:
CỘNG hiệu chỉnh bộ đếm hiển thị số đã nêu vào số đọc bộ đếm hiển thị số trong bảng.
TRỪ hiệu chỉnh số hiển thị đã nêu từ số đọc hiển thị trong bảng.
CHÚ THÍCH 5: Để chuyển đổi số đo chiều cao xylanh của động cơ đã quan sát tại áp suất khí quyển thường về áp suất bằng 29,92 in.Hg:
TRỪ hiệu chỉnh bộ đếm hiển thị số đã nêu từ số đọc bộ đếm hiển thị số của động cơ đã quan sát. CỘNG hiệu chỉnh số hiển thị đã nêu vào số đọc hiển thị của động cơ đã quan sát.
| Áp suất khí quyển in.Hg (kPa) |
| 0,0 | 0,1 | 0,2 | 0,3 | 0,4 | 0,5 | 0,6 | 0,7 | 0,8 | 0,9 |
|
| Hiệu chỉnh Bộ đếm số | 250 | 247 | 244 | 241 | 239 | 236 | 233 | 230 | 227 | 225 |
| 21,0 (71,1) | Hiển thị số | 0,178 | 0,176 | 0,174 | 0,172 | 0,170 | 0,168 | 0,166 | 0,164 | 0,162 | 0,160 |
|
| IAT, °C | 15,6 | 15,6 | 15,6 | 15,6 | 15,6 | 15,6 | 15,6 | 15,6 | 15,6 | 15,6 |
|
| IAT, °F | 60 | 60 | 60 | 60 | 60 | 60 | 60 | 60 | 60 | 60 |
|
| Bộ đếm số | 222 | 219 | 216 | 213 | 211 | 206 | 205 | 202 | 199 | 197 |
| 22,0 (74,5) | Hiển thị số | 0,158 | 0,156 | 0,154 | 0,152 | 0,150 | 0,148 | 0,146 | 0,144 | 0,142 | 0,140 |
|
| IAT, °C | 15,6 | 15,6 | 15,6 | 15,6 | 15,6 | 15,6 | 15,6 | 15,6 | 15,6 | 15,6 |
|
| IAT, °F | 60 | 60 | 60 | 60 | 60 | 60 | 60 | 60 | 60 | 60 |
|
| Bộ đếm số | 194 | 191 | 188 | 185 | 183 | 180 | 177 | 174 | 171 | 169 |
| 23,0 (77,9) | Hiển thị số | 0,138 | 0,136 | 0,134 | 0,132 | 0,130 | 0,128 | 0,126 | 0,124 | 0,122 | 0,120 |
|
| IAT, °C | 15,6 | 15,6 | 15,6 | 15,6 | 15,6 | 15,6 | 15,6 | 15,6 | 15,6 | 15,6 |
|
| IAT, °F | 60 | 60 | 60 | 60 | 60 | 60 | 60 | 60 | 60 | 60 |
|
| Bộ đếm số | 166 | 163 | 160 | 157 | 155 | 152 | 149 | 146 | 143 | 141 |
| 24,0 (81,3) | Hiển thị số | 0,118 | 0,116 | 0,114 | 0,112 | 0,110 | 0,108 | 0,106 | 0,104 | 0,102 | 0,100 |
|
| IAT, °C | 15,6 | 15,6 | 15,6 | 15,6 | 15,6 | 15,6 | 15,6 | 15,6 | 15,6 | 15,6 |
|
| IAT, °F | 60 | 60 | 60 | 60 | 60 | 60 | 60 | 60 | 60 | 60 |
|
| Bộ đếm số | 138 | 135 | 132 | 129 | 127 | 124 | 121 | 118 | 115 | 113 |
| 25,0 (84,6) | Hiển thị số | 0,098 | 0,096 | 0,094 | 0,092 | 0,090 | 0,088 | 0,086 | 0,084 | 0,082 | 0,080 |
|
| IAT, °C | 15,6 | 15,6 | 15,6 | 15,6 | 15,6 | 15,6 | 15,6 | 15,6 | 15,6 | 15,6 |
|
| IAT, °F | 60 | 60 | 60 | 60 | 60 | 60 | 60 | 60 | 60 | 60 |
|
| Bộ đếm số | 110 | 107 | 104 | 101 | 99 | 96 | 93 | 90 | 87 | 85 |
| 26,0 (88,0) | Hiển thị số | 0,078 | 0,076 | 0,074 | 0,072 | 0,070 | 0,068 | 0,066 | 0,064 | 0,062 | 0,060 |
|
| IAT, °C | 19,4 | 20,6 | 21,0 | 22,0 | 22,8 | 23,9 | 24,4 | 25,6 | 26,1 | 27,2 |
|
| IAT, °F | 67 | 69 | 70 | 72 | 73 | 75 | 76 | 78 | 79 | 81 |
|
| Bộ đếm số | 82 | 79 | 76 | 73 | 71 | 68 | 65 | 62 | 59 | 57 |
| 27,0 (91,4) | Hiển thị số | 0,058 | 0,056 | 0,054 | 0,052 | 0,050 | 0,048 | 0,046 | 0,044 | 0,042 | 0,040 |
|
| IAT, °C | 27,8 | 28,9 | 29,4 | 30,0 | 31,1 | 31,7 | 32,8 | 33,3 | 34,4 | 35,5 |
|
| IAT, °F | 82 | 84 | 85 | 86 | 88 | 89 | 91 | 92 | 94 | 95 |
|
| Bộ đếm số | 54 | 51 | 48 | 45 | 43 | 40 | 37 | 34 | 31 | 29 |
| 28,0 (94,8) | Hiển thị số | 0,038 | 0,036 | 0,034 | 0,032 | 0,030 | 0,028 | 0,026 | 0,024 | 0,022 | 0,020 |
|
| IAT, °C | 36,1 | 36,7 | 36,8 | 38,3 | 39,4 | 40,0 | 41,1 | 41,7 | 42,8 | 43,3 |
|
| IAT, °F | 97 | 98 | 100 | 101 | 103 | 104 | 106 | 107 | 109 | 110 |
|
| Bộ đếm số | 26 | 23 | 20 | 17 | 15 | 12 | 9 | 6 | 3 | 1 |
| 29,0 (98,2) | Hiển thị số | 0,018 | 0,016 | 0,014 | 0,012 | 0,010 | 0,008 | 0,006 | 0,004 | 0,002 | 0,000 |
|
| IAT, °C | 43,9 | 45,0 | 45,6 | 46,7 | 47,2 | 48,3 | 48,9 | 50,0 | 50,6 | 51,7 |
|
| IAT, °F | 111 | 113 | 114 | 116 | 117 | 119 | 120 | 122 | 123 | 125 |
| A Để đặt bộ đếm số sao cho số đọc bộ đếm phía dưới được bù đến 29,92 in.Hg, đặt vị trí của núm điều chỉnh sao cho bộ đếm phía dưới tách ra (các vị trí khác 1), thay đổi chiều cao xylanh của động cơ sao cho các số đọc bộ đếm phía trên và dưới chênh nhau bằng giá trị đã nêu trong bảng đối với áp suất khí quyển và sau đó chuyển vị trí núm điều chỉnh sang vị trí 1. Số đọc bộ đếm phía trên phải lớn hơn số đọc đã bù phía dưới đối với áp suất khí quyển nhỏ hơn 29,92 in.Hg. Số đọc bộ đếm phía trên phải nhỏ hơn số đọc đã bù phía dưới đối với áp suất lớn hơn 29,92 in.Hg. | |||||||||||
Bảng C.5 - Sự bù trừ cho chiều cao xylanh và các thay đổi nhiệt độ không khí đầu vào đối với áp suất khí quyển trên 29,92 in.HgA
CHÚ THÍCH 1: Để xác định số đo chiều cao xylanh để có cường độ gõ tiêu chuẩn tại áp suất khí quyển trên 29,92 in.Hg:
TRỪ hiệu chỉnh bộ đếm hiển thị số đã nêu từ số đọc bộ đếm hiển thị số trong bảng.
CỘNG hiệu chỉnh hiển thị đã nêu với số đọc hiển thị trong bảng.
CHÚ THÍCH 2: Để chuyển đổi số đo chiều cao xylanh của động cơ đã quan sát tại áp suất khí quyển đến áp suất bằng 29,92 in.Hg:
CỘNG hiệu chỉnh bộ đếm hiển thị số đã nêu với số đọc bộ đếm hiển thị số của động cơ đã quan sát.
TRỪ hiệu chỉnh hiển thị đã nêu từ số đọc hiển thị của động cơ đã quan sát.
| Áp suất khí quyển in.Hg (kPa) |
| 0,0 | 0,1 | 0,2 | 0,3 | 0,4 | 0,5 | 0,6 | 0,7 | 0,8 | 0,9 |
|
| Hiệu chỉnh |
|
|
|
|
|
|
|
|
|
|
|
| Bộ đếm số | 2 | 5 | 8 | 11 | 13 | 16 | 19 | 22 | 25 | 27 |
| 30,0 (101,6) | Hiển thị số | 0,002 | 0,004 | 0,006 | 0,008 | 0,010 | 0,012 | 0,014 | 0,016 | 0,018 | 0,020 |
|
| IAT, °C | 52,2 | 52,8 | 53,9 | 54,4 | 55,6 | 56,1 | 57,2 | 57,8 | 58,9 | 59,4 |
|
| IAT, °F | 126 | 127 | 129 | 130 | 132 | 133 | 135 | 136 | 138 | 139 |
| A Để đặt bộ đếm số sao cho số đọc bộ đếm phía dưới được bù đến 29,92 in.Hg, đặt vị trí của núm điều chỉnh sao cho bộ đếm phía dưới tách ra (các vị trí khác 1), thay đổi chiều cao xylanh của động cơ sao cho các số đọc bộ đếm phía trên và dưới chênh nhau bằng giá trị đã nêu trong bảng đối với áp suất khí quyển và sau đó chuyển vị trí núm điều chỉnh sang vị trí 1. Số đọc bộ đếm phía trên phải lớn hơn số đọc đã bù phía dưới đối với áp suất khí quyển nhỏ hơn 29,92 in.Hg. Số đọc bộ đếm phía trên phải nhỏ hơn số đọc đã bù phía dưới đối với áp suất lớn hơn 29,92 in.Hg | |||||||||||
Mục lục
1 Phạm vi áp dụng
2 Tài liệu viện dẫn
3 Thuật ngữ, định nghĩa
4 Tóm tắt phương pháp
5 Ý nghĩa và sử dụng
6 Các yếu tố gây nhiễu
7 Thiết bị, dụng cụ
8 Thuốc thử và các chất chuẩn
9 Lấy mẫu
10 Lắp đặt thiết bị và động cơ và các điều kiện vận hành tiêu chuẩn
11 Các đặc tính thay đổi của phép thử
12 Chuẩn hoá động cơ
13 Kiểm tra tính năng của động cơ
14 Quy trình chặn trên - dưới mức nhiên liệu cân bằng
15 Quy trình chặn trên - dưới mức nhiên liệu thay đổi
16 Tỷ số nén
17 Quy trình chặn trên-dưới của máy phân tích octan
18 Tính O.N - Quy trình chặn trên-dưới
19 Báo cáo thử nghiệm
20 Độ chụm và độ chệch
Phụ lục A (Quy định) Thông tin về các mối nguy hại
Phụ lục B (Quy định) Bảng pha trộn nhiên liệu chuẩn
Phụ lục C (Quy định) Các bảng hướng dẫn cho cường độ kích nổ không đổi
Bạn chưa Đăng nhập thành viên.
Đây là tiện ích dành cho tài khoản thành viên. Vui lòng Đăng nhập để xem chi tiết. Nếu chưa có tài khoản, vui lòng Đăng ký tại đây!

