- Tổng quan
- Nội dung
- VB gốc
- Tiếng Anh
- Hiệu lực
- VB liên quan
- Lược đồ
-
Nội dung hợp nhất
Tính năng này chỉ có tại LuatVietnam.vn. Nội dung hợp nhất tổng hợp lại tất cả các quy định còn hiệu lực của văn bản gốc và các văn bản sửa đổi, bổ sung, đính chính... trên một trang. Việc hợp nhất văn bản gốc và những văn bản, Thông tư, Nghị định hướng dẫn khác không làm thay đổi thứ tự điều khoản, nội dung.
Khách hàng chỉ cần xem Nội dung hợp nhất là có thể nắm bắt toàn bộ quy định hiện hành đang áp dụng, cho dù văn bản gốc đã qua nhiều lần chỉnh sửa, bổ sung.
- Tải về
Quyết định 51/2008/QĐ-BCT của Bộ Công Thương về việc ban hành Quy chuẩn kỹ thuật quốc gia về an toàn trong bảo quản, vận chuyển, sử dụng và tiêu hủy vật liệu nổ công nghiệp
| Cơ quan ban hành: | Bộ Công Thương |
Số công báo:
Số công báo là mã số ấn phẩm được đăng chính thức trên ấn phẩm thông tin của Nhà nước. Mã số này do Chính phủ thống nhất quản lý.
|
Đã biết
|
| Số hiệu: | 51/2008/QĐ-BCT | Ngày đăng công báo: |
Đã biết
|
| Loại văn bản: | Quyết định | Người ký: | Vũ Huy Hoàng |
|
Ngày ban hành:
Ngày ban hành là ngày, tháng, năm văn bản được thông qua hoặc ký ban hành.
|
30/12/2008 |
Ngày hết hiệu lực:
Ngày hết hiệu lực là ngày, tháng, năm văn bản chính thức không còn hiệu lực (áp dụng).
|
Đã biết
|
|
Áp dụng:
Ngày áp dụng là ngày, tháng, năm văn bản chính thức có hiệu lực (áp dụng).
|
Đã biết
|
Tình trạng hiệu lực:
Cho biết trạng thái hiệu lực của văn bản đang tra cứu: Chưa áp dụng, Còn hiệu lực, Hết hiệu lực, Hết hiệu lực 1 phần; Đã sửa đổi, Đính chính hay Không còn phù hợp,...
|
Đã biết
|
| Lĩnh vực: | Công nghiệp, Hóa chất - Vật liệu nổ công nghiệp |
TÓM TẮT QUYẾT ĐỊNH 51/2008/QĐ-BCT
Nội dung tóm tắt đang được cập nhật, Quý khách vui lòng quay lại sau!
Tải Quyết định 51/2008/QĐ-BCT
|
BỘ CÔNG THƯƠNG Số: 51/2008/QĐ-BCT |
CỘNG HOÀ XÃ HỘI CHỦ NGHĨA VIỆT NAM Hà Nội, ngày 30 tháng 12 năm 2008 |
QUYẾT ĐỊNH
BAN HÀNH QUY CHUẨN KỸ THUẬT QUỐC GIA VỀ AN TOÀN TRONG BẢO QUẢN, VẬN CHUYỂN, SỬ DỤNG VÀ TIÊU HỦY VẬT LIỆU NỔ CÔNG NGHIỆP
________________
BỘ TRƯỞNG BỘ CÔNG THƯƠNG
Căn cứ Nghị định số 189/2007/NĐ-CP ngày 27 tháng 12 năm 2007 của Chính phủ quy định chức năng, nhiệm vụ, quyền hạn và cơ cấu tổ chức của Bộ Công Thương;
Căn cứ Luật Tiêu chuẩn và Quy chuẩn kỹ thuật ngày 29 tháng 6 năm 2006;
Căn cứ Nghị định số 127/2007/NĐ-CP ngày 01 tháng 8 năm 2007 của Chính phủ Quy định chi tiết thi hành một số điều của Luật Tiêu chuẩn và Quy chuẩn kỹ thuật;
Căn cứ Thông tư số 23/2007/TT-BKHCN ngày 28 tháng 9 năm 2007 của Bộ Khoa học và Công nghệ hướng dẫn xây dựng, thẩm định và ban hành quy chuẩn kỹ thuật;
Theo đề nghị của Cục trưởng Cục Kỹ thuật an toàn và Môi trường công nghiệp,
QUYẾT ĐỊNH:
Điều 1. Ban hành kèm theo Quyết định này QCVN 02:2008/BCT - Quy chuẩn kỹ thuật quốc gia về an toàn trong bảo quản, vận chuyển, sử dụng và tiêu hủy VLNCN.
Điều 2. Quyết định này có hiệu lực sau 15 ngày, kể từ ngày đăng Công báo và áp dụng trong phạm vi cả nước.
Điều 3. Chánh Văn phòng Bộ, Chánh Thanh tra Bộ, các Vụ trưởng, Cục trưởng thuộc Bộ, Giám đốc Sở Công Thương tỉnh, thành phố trực thuộc Trung ương và các tổ chức, cá nhân có liên quan chịu trách nhiệm thi hành Quyết định này./.
|
Nơi nhận: |
BỘ TRƯỞNG |

CỘNG HÒA XÃ HỘI CHỦ NGHĨA VIỆT NAM
QCVN 02 : 2008/BCT
QUY CHUẨN KỸ THUẬT QUỐC GIA
VỀ AN TOÀN TRONG BẢO QUẢN, VẬN CHUYỂN, SỬ DỤNG VÀ TIÊU HỦY VẬT LIỆU NỔ CÔNG NGHIỆP
National technical regulation on safety in the storage, transportation, use and disposal of industrial explosive materials
HÀ NỘI - 2008
Lời nói đầu
QCVN 02:2008/BCT được chuyển đổi từ TCVN 4586:97.
QCVN 02:2008/BCT do Tổ soát xét, sửa đổi TCVN 4586:1997 thành lập theo Quyết định số 2134/QĐ-KTAT ngày 23 tháng 6 năm 2005 của Bộ trưởng Bộ Công nghiệp (nay là Bộ Công Thương) biên soạn, Cục Kỹ thuật an toàn và Môi trường công nghiệp trình duyệt và được ban hành kèm theo Quyết định số 51/2008/QĐ-BCT ngày 30 tháng 12 năm 2008 của Bộ trưởng Bộ Công Thương.
MỤC LỤC
Quyết định của Bộ Công Thương
Lời nói đầu
Chương I. Quy định chung
Điều 1. Phạm vi điều chỉnh
Điều 2. Đối tượng áp dụng
Điều 3. Thuật ngữ, định nghĩa
Điều 4. Các yêu cầu chung
Chương II. Quy định kỹ thuật an toàn
Mục 1. Bảo quản vật liệu nổ công nghiệp
Điều 5. Qui định chung về bảo quản VLNCN
Điều 6. Qui định về kho VLNCN
Điều 7. Bảo quản VLNCN tại nơi nổ mìn, khi chưa tiến hành nổ mìn
Mục 2. Vận chuyển vật liệu nổ công nghiệp
Điều 8. Qui đinh chung về vận chuyển VLNCN
Điều 9. Vận chuyển VLNCN bằng đường sắt và đường thủy
Điều 10. Vận chuyển VLNCN bằng ô tô, xe thồ, xe súc vật kéo
Điều 11. Vận chuyển VLNCN bằng máy bay
Điều 12. Vận chuyển VLNCN trong khu vực kho
Điều 13. Vận chuyển nội bộ VLNCN đến nơi sử dụng trên mặt đất
Điều 14. Vận chuyển nội bộ VLNCN đến nơi sử dụng trong hầm lò
Mục 3. Kiểm tra, thử, hủy vật liệu nổ công nghiệp
Điều 15. Kiểm tra và thử VLNCN
Điều 16. Hủy vật liệu nổ công nghiệp
Mục 4. Sử dụng vật liệu nổ công nghiệp
Điều 17. Những qui định chung khi tiến hành công tác nổ mìn
Điều 18. Quy định về chuẩn bị ngòi mìn, ngòi mìn kiểm tra, ngòi mìn mồi
Điều 19. Qui định an toàn khi áp dụng các phương pháp nổ mìn khác nhau
Điều 20. Qui định về cơ giới hoá việc nạp VLNCN
Điều 21. Qui định về nổ mìn trong hầm lò
Điều 22. Qui định về nổ mìn trên mặt đất
Điều 23. Nổ mìn trong giếng khoan dầu khí
Mục 5. Quy định về giám sát các ảnh hưởng nổ mìn
Điều 24. Quy định chung
Điều 25. Giám sát chấn động
Điều 26. Giám sát ảnh hưởng tác động sóng không khí
Điều 27. Thiết bị giám sát
Điều 28. Báo cáo kết quả giám sát
Chương II. Tổ chức thực hiện
Điều 29. Trách nhiệm thực hiện
Điều 30. Tài liệu viện dẫn
Phụ lục A. Phân loại vật liệu nổ công nghiệp
A1. Phân loại VLNCN theo tính chất nguy hiểm nổ
A2. Phân loại theo nhóm thuốc nổ tương thích
A.2.1. Bảng nhóm VLNCN tương thích
A2.2. Nhóm VLNCN tương thích được phép bảo quản, vận chuyển chung
A3. Phân loại VLNCN theo điều kiện sử dụng (tham khảo)
A4. Nhóm VLNCN đại diện
A5. Mã phân loại VLNCN
Phụ Lục B. Khoảng cách an toàn đối với các nguồn thu phát sóng điện từ tần số radio khi bảo quản, vận chuyển và sử dụng kíp điện
B1. Khoảng cách an toàn đối với các đài phát sóng AM thương mại
B2. Khoảng cách đối với các máy phát đến 50 MHz
B3. Khoảng cách đối với các đài phát vô tuyến VHF và FM
B4. Khoảng cách đối với các máy phát vô tuyến UHF
B5. Chỉ dẫn áp dụng đối với các loại trạm phát radio
B6. Khoảng cách đối với các máy phát di động nghiệp dư và dân dụng
Phụ lục C. Điều kiện, chương trình huấn luyện những người tiếp xúc với VLNCN.
C.1. Điều kiện và yêu cầu về thời hạn huấn luyện đối với những người tiếp xúc thường xuyên với VLNCN
C.1.1. Đối với công nhân làm công tác nổ mìn (thợ mìn)
C.1.2. Thủ kho VLNCN
C.1.3. Lái xe, áp tải VLNCN (người vận chuyển)
C.1.4. Nhân viên làm công tác phân tích thí nghiệm VLNCN
C.1.5. Người làm công việc phục vụ công tác nổ mìn
Mẫu số 1. Mẫu giấy chứng nhận thợ mìn
Mẫu số 2. Mẫu giấy chứng nhận thủ kho vật liệu nổ công nghiệp
Mẫu số 3. Mẫu giấy chứng nhận người vận chuyển
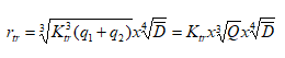
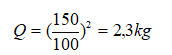
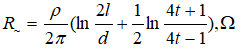
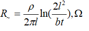
Phụ lục D. Hướng dẫn tính khoảng cách an toàn khi nổ mìn và bảo quản vật liệu nổ công nghiệp
D.1. Tính khoảng cách an toàn về chấn động khi nổ mìn
D.2. Tính các khoảng cách an toàn về truyền nổ
D.3. Khoảng cách an toàn về tác động của sóng không khí
D.4. Tính bán kính vùng nguy hiểm có mảnh đất đá văng xa khi nổ mìn
Phụ lục E. Hướng dẫn về thủ tục xuất, nhập kho vật liệu nổ công nghiệp
E.1. Các đơn vị sản xuất cung ứng và sử dụng VLNCN
E.2. Khi VLNCN đã được vận chuyển đến kho
E.3. Trường hợp nổ mìn các lỗ khoan nhỏ
E.4. Thống kê xuất nhập, phiếu lĩnh trả vật liệu nổ
E.5. Những người có trách nhiệm ký các lệnh xuất VLNCN, phiếu lệnh
E.6. Việc xuất VLNCN ra khỏi kho
E.7. Kế toán đơn vị
E.8. Định kỳ mỗi tháng một lần lãnh đạo đơn vị
Mẫu số 1. Sổ thống kê nhập và xuất VLNCN
Mẫu số 2. Sổ thống kê cấp phát VLNCN (áp dụng cho kho tiêu thụ)
Mẫu số 3. Lệnh xuất VLNCN
Mẫu số 4. Phiếu lệnh
Mẫu số 5. Phiếu trả VLNCN sau khi nổ
Phụ lục G. Lý lịch kho vật liệu nổ công nghiệp
G.1. Kho vật liệu nổ công nghiệp
G.2. Loại kho
G.3. Số lượng nhà kho
G.4. Vật liệu xây dựng nhà kho
G.5. Các biện pháp an toàn khu vực kho
G.6. Hàng rào
G.7. Chiếu sáng
G.8. Thông tin tín hiệu
G.9. Bảo vệ kho
G.10. Các dụng cụ khác
G.11. Liệt kê các phòng phụ của kho
G.12. Đường liên hệ với ga tàu, bến cảng
G.13. Kho hầm lò
G.14. Thời gian xây dựng
G.15. Đối với kho nổi
G.16. Ngày lập lý lịch
Phụ lục H. Qui định về xây dựng kho, sắp xếp VLNCN ở kho. Chế độ phòng cháy chữa cháy và bảo vệ mỗi trường
H.1. Kho và sắp xếp bảo quản VLNCN trong kho
H.2. Các yêu cầu đối với kho VLNCN lưu động
H.3. Kho VLNCN ngắn hạn là bãi trống
H.4. Kho hầm lò và kho ngầm
Phụ lục I. Qui định về chống sét cho kho vật liệu nổ công nghiệp
I.1. Qui định chung
I.2. Các phương pháp chống sét cho kho VLNCN
I.3. Chống sét đánh thẳng
I.4. Cấu tạo cột đỡ, bộ phận thu sét và nối đất
I.5. Bộ phận tiếp đất
I. 6. Chống sét cho tàu thuyền chở VLNCN
I.7. Thiết kế, nghiệm thu công trình chống sét kho vật liệu nổ công nghiệp
I.8. Kiểm tra công trình chống sét cho kho vật liệu nổ công nghiệp
Mẫu số 1. Bảng thống kê tình trạng chống sét ở kho VLNCN
Phụ lục K. Qui định về vận chuyển chung thuốc nổ và kíp nổ trên cùng xe ô tô vận tải
K.1. Quy định chung
K.2. Cấu tạo của hòm chuyên dụng đựng kíp và khoang chứa kíp
K.3. Quy định về sản xuất, kiểm định hòm đựng kíp chuyên dụng
Phụ lục L. Qui định về kiểm tra, thử và hủy vật liệu nổ công nghiệp
L.1 Qui định chung
L.2 Kiểm tra và thử thuốc nổ
L.3 Kiểm tra và thử ống nổ điện
L.4 Kiểm tra và thử ống nổ thường
L.5 Kiểm tra và thử dây cháy chậm
L.6 Kiểm tra và thử dây nổ
L.7 Đối với VLNCN loại mới sản xuất trong nước hay nhập ngoại lần đầu
Mẫu số 1. Sổ thống kê những lần thử VLNCN ở kho
Mẫu số 2. Biên bản thử VLNCN
Phụ lục M. Qui định về chế độ bảo vệ các kho vật liệu nổ công nghiệp
M.1 Qui định chung
M.2 Trách nhiệm của trạm gác bảo vệ kho VLNCN
M.3 Trang bị vũ khí của bảo vệ
M.4 Chế độ ra vào kho
M.5 Kiểm tra việc canh gác bảo vệ kho VLNCN
Phụ lục N. Mẫu sổ đăng ký: Sổ đăng ký các phát mìn câm và thời gian xử lý
Phụ lục O. Tài liệu viện dẫn, tham khảo
AN TOÀN TRONG BẢO QUẢN, VẬN CHUYỂN, SỬ DỤNG VÀ TIÊU HỦY VẬT LIỆU NỔ CÔNG NGHIỆP
National technical regulation on safety in the storage, transportation, use and disposal of industrial explosive materials
Chương I
QUY ĐỊNH CHUNG
Điều 1. Phạm vi điều chỉnh
Quy chuẩn này qui định các yêu cầu an toàn và phòng chống thất thoát trong bảo quản, vận chuyển, sử dụng, tiêu huỷ vật liệu nổ công nghiệp (VLNCN).
Điều 2. Đối tượng áp dụng
Quy chuẩn áp dụng cho các tổ chức, cá nhân có hoạt động liên quan tới vật liệu nổ công nghiệp trên lãnh thổ Việt Nam
Điều 3. Thuật ngữ, định nghĩa
Thuật ngữ dùng trong Quy chuẩn này được hiểu như sau:.
1. Thuốc nổ: Là hoá chất hoặc hỗn hợp hoá chất được sản xuất, sử dụng nhằm tạo ra phản ứng nổ dưới tác động của các kích thích cơ, nhiệt, hoá hoặc điện.
2. Phụ kiện nổ: là các loại kíp nổ, dây nổ, dây cháy chậm, mồi nổ, các vật phẩm chứa thuốc nổ có tác dụng tạo kích thích ban đầu làm nổ khối thuốc nổ hoặc các loại thiết bị chuyên dùng có chứa thuốc nổ.
3. Vật liệu nổ công nghiệp (VLNCN): bao gồm thuốc nổ và các phụ kiện nổ sử dụng cho mục đích dân dụng.
a) Dây cháy chậm là vật phẩm gồm lõi thuốc đen mịn bao quanh bằng lớp vải dệt có tẩm chất chống thấm, khi đốt sẽ cháy bên trong với tốc độ ổn định. Dây cháy chậm dùng để truyền tia lửa kích nổ kíp nổ thường (kíp đốt).
b) Dây nổ là vật phẩm gồm lõi thuốc nổ mạnh bao quanh bằng sợi tết có phủ lớp nhựa tổng hợp ngoài cùng. Dây nổ dùng để truyền sóng nổ để kích nổ trực tiếp các lượng thuốc nổ có độ nhạy cao.
c) Dây dẫn nổ hay còn gọi là dây dẫn tín hiệu nổ hoặc dây phi điện là loại dây truyền sóng nổ năng lượng thấp từ nguồn tạo xung khởi nổ đến kíp nổ khác.
d) Kíp nổ là vật phẩm gồm một ống kim loại hoặc nhựa chứa thuốc nổ sơ cấp, dưới tác động cơ, hóa, nhiệt hoặc điện, kíp nổ sẽ nổ và tạo ra năng lượng đủ lớn để làm nổ các lượng thuốc nổ khác. Kíp nổ có thể tác động tức thời hoặc tác động chậm sau thời gian định trước (vi sai hoặc chậm)
đ) Mồi nổ là lượng thuốc nổ trung gian có tác dụng tăng cường công nổ truyền đến từ kíp hoặc dây nổ.
4. Thuốc nổ, phụ kiện nổ chế tạo từ thuốc phóng, thuốc nổ thu hồi, chưa qua chế biến và kiểm tra chất lượng sản phẩm, chưa được các cơ quan Nhà nước có thẩm quyền cho phép sử dụng hoặc các hoá chất, bán thành phẩm để chế biến thành thuốc nổ mà tự nó không gây ra cháy nổ trong quá trình sản xuất, vận chuyển và bảo quản riêng rẽ không được coi là VLNCN
5. Bảo quản VLNCN: Là hoạt động cất giữ vật liệu nổ công nghiệp trong kho, trong quá trình vận chuyển đến nơi sử dụng hoặc tại nơi sử dụng.
6. Sử dụng VLNCN: Là quá trình làm nổ vật liệu nổ công nghiệp theo quy trình công nghệ đã được xác định.
7. Huỷ VLNCN: Là quá trình phá bỏ hoặc làm mất khả năng tạo ra phản ứng nổ của vật liệu nổ công nghiệp theo quy trình công nghệ đã được xác định.
8. Vận chuyển VLNCN: là hoạt động vận chuyển VLNCN từ địa điểm này đến địa điểm khác.
Vận chuyển nội bộ là vận chuyển vật liệu nổ công nghiệp bên trong ranh giới mỏ, công trường hoặc cơ sở sản xuất, bảo quản vật liệu nổ công nghiệp trên các đường không giao cắt với đường thủy, đường bộ công cộng.
9. Thử vật liệu nổ công nghiệp: Là việc xác định tính năng kỹ thuật của VLNCN theo đăng ký của nhà sản xuất, nhập khẩu. Hiện trường, điều kiện thử nổ phải tuân theo quy định tại Quy chuẩn này và TCVN 6174:97.
10. Phương pháp kích nổ: Là cách tiến hành làm nổ khối thuốc nổ và được phân thành các phương pháp chính sau đây:
- Kích nổ dùng dây cháy chậm - kíp nổ đốt;
- Kích nổ bằng kíp điện;
- Kích nổ bằng dây nổ - kíp;
- Kích nổ bằng kíp nổ phi điện;
- Kích nổ bằng kíp cơ.
11. Chỉ huy nổ mìn: Là người đủ điều kiện về trình độ và kinh nghiệm theo quy định pháp luật quản lý VLNCN, chịu trách nhiệm hướng dẫn, điều hành, giám sát toàn bộ công việc bảo quản, vận chuyển, sử dụng VLNCN tại khu vực nổ mìn và thực hiện các biện pháp xử lý, ngăn chặn cần thiết để đảm bảo quá trình nổ mìn an toàn, hiệu quả, không xảy ra thất thoát VLNCN.
12. Danh mục VLNCN Việt Nam: Là bản liệt kê các loại VLNCN được phép lưu thông, sử dụng ở Việt Nam, do cơ quan có thẩm quyền ban hành theo quy định pháp luật về chất lượng sản phẩm, hàng hoá. Nội dung bản danh mục phải bao gồm các thông tin về phân loại, quy cách bao gói, chỉ tiêu chất lượng và nguồn gốc VLNCN.
13. Khoảng cách an toàn: Là khoảng cách cần thiết nhỏ nhất, theo mọi hướng tính từ vị trí nổ mìn hoặc từ nhà xưởng, kho, phương tiện chứa vật liệu nổ công nghiệp đến các đối tượng cần bảo vệ (người, nhà ở, công trình hoặc kho, đường giao thông công cộng, phương tiện chứa vật liệu nổ công nghiệp khác...), sao cho các đối tượng đó không bị ảnh hưởng quá mức cho phép về chấn động, sóng không khí, đá văng theo quy định của tiêu chuẩn, quy chuẩn hiện hành khi nổ mìn hoặc khi có sự cố cháy, nổ phương tiện, kho chứa vật liệu nổ công nghiệp.
14. Giám sát ảnh hưởng nổ mìn: Là việc sử dụng các phương tiện, thiết bị để đo, phân tích và đánh giá mức độ chấn động, mức độ tác động sóng không khí do nổ mìn gây ra nhằm bảo đảm các mức đó nằm trong giới hạn cho phép quy định tại Mục 5, Quy chuẩn này.
15. Nổ mìn lỗ khoan lớn: Là việc làm nổ các phát mìn ngầm có đường kính ≥ 100 mm.
Điều 4. Các yêu cầu chung
1. Quy định về danh mục VLNCN
a) Chỉ được phép sử dụng các loại VLNCN trong danh mục VLNCN Việt Nam. Cấm người sử dụng tự ý thay đổi thành phần VLNCN.
b) Việc đưa các loại thuốc nổ, phụ kiện nổ vào danh mục VLNCN của Việt Nam phải tuân theo quy định tại TCVN 6174:1997 Vật liệu nổ công nghiệp – Yêu cầu an toàn về sản xuất, thử nổ và nghiệm thu và các quy định pháp luật liên quan về VLNCN và chất lượng sản phẩm, hàng hoá.
2. Tổ chức, cá nhân có kế hoạch nghiên cứu sản xuất, chế thử vật liệu nổ phải có đề án nghiên cứu đề nghị cơ quan Nhà nước có thẩm quyền cho phép nghiên cứu sản xuất, chế thử vật liệu nổ theo các qui định hiện hành.
3. Cơ sở sản xuất, bảo quản VLNCN phải được đầu tư, xây dựng và nghiệm thu theo đúng các thủ tục pháp luật về đầu tư xây dựng công trình, bảo vệ môi trường, an toàn và phòng cháy, chữa cháy.
Tổ chức, cá nhân sản xuất, bảo quản, vận chuyển, sử dụng VLNCN chỉ được hoạt động sau khi có giấy phép của cơ quan có thẩm quyền theo quy định pháp luật về quản lý VLNCN, an ninh, an toàn và phòng cháy chữa cháy.
Phương tiện, bao bì, thùng chứa vận chuyển VLNCN phải đủ điều kiện theo quy định của Quy chuẩn này và pháp luật về vận chuyển hàng nguy hiểm
4. Phân loại VLNCN.
VLNCN được được phân loại tuỳ theo mức độ nguy hiểm và yêu cầu an toàn trong bảo quản, vận chuyển, sử dụng. Phân loại chi tiết về VLNCN quy định tại Phụ lục A, Quy chuẩn này.
5. Qui định về màu sắc và ghi nhãn trên bao bì
a) VLNCN dạng thỏi, bao bì, túi đựng VLNCN phải có nhãn hàng hóa theo quy định pháp luật hiện hành về nhãn hàng hóa nguy hiểm khi đưa vào lưu thông, sử dụng.
Bao gói VLNCN an toàn sử dụng trong các mỏ hầm lò có khí, bụi nổ phải dùng vỏ bọc hoặc các dải bọc mầu vàng để phân biệt với các loại VLNCN khác.
Chú thích:
- Nếu thuốc nổ nhập ngoại có qui đinh màu sắc khác với qui định trên đây thì được giữ nguyên màu sắc của thuốc nổ đó nhưng phải thông báo cho người bảo quản, vận chuyển, sử dụng biết;
- Cho phép nhồi thuốc nổ thành thỏi vào vỏ bằng giấy có màu sắc tự nhiên của giấy nhưng phải dán hoặc kẻ vạch chéo có màu sắc đúng với qui định đối với các loại thuốc nổ đó như qui định tại điểm a, khoản này.
b) Trên mỗi thùng thuốc nổ phải có nhãn hiệu của nhà máy sản xuất ghi rõ mã hiệu nhà máy, tên chất nổ, số thứ tự đợt sản xuất, khối lượng mỗi thùng, ngày tháng năm sản xuất, hạn sử dụng.
c) Trên mỗi thùng và hộp đựng kíp phải có nhãn ghi rõ ký hiệu nhà máy chế tạo, số thứ tự đợt sản xuất số thứ tự hòm, ngày tháng năm chế tạo, số lượng kíp, các thông số về điện trở kíp, số và thời gian chậm (vi sai), hạn sử dụng.
6. Các biện pháp kỹ thuật an toàn chung trong bảo quản, vận chuyển, sử dụng VLNCN
a) Kho, phương tiện bảo quản, vận chuyển VLNCN phải được thiết kế, xây dựng phù hợp với yêu cầu an toàn trong bảo quản, vận chuyển của từng nhóm VLNCN. Trường hợp bảo quản, vận chuyển trong cùng một kho hoặc phương tiện nhiều nhóm VLNCN có yêu cầu bảo quản, vận chuyển khác nhau, nhóm VLNCN có yêu cầu bảo quản, vận chuyển với mức độ an toàn cao nhất được chọn để làm cơ sở cho việc áp dụng các biện pháp an toàn khi thiết kế, xây dựng kho hoặc phương tiện chứa, vận chuyển VLNCN. Nguyên tắc chọn nhóm đại diện tuân theo Bảng A4, Phụ lục A, Quy chuẩn này.
b) Cho phép bảo quản, vận chuyển chung các loại VLNCN cùng nhóm tương thích theo quy định tại Bảng A2.2 Phụ lục A, Quy chuẩn này.
Việc vận chuyển chung các loại VLNCN khác nhóm trên cùng một phương tiện vận chuyển phải tuân theo quy định tại Điều 8, Mục 2, Chương II, Quy chuẩn này.
c) Phải thực hiện các biện pháp an toàn cần thiết khi bảo quản, vận chuyển, sử dụng những loại VLNCN nhậy nổ với các nguồn năng lượng điện, cảm ứng điện và tĩnh điện gây ra từ các nguồn thu, phát sóng điện từ tần số radio, dông sét, đường dây điện cao áp hoặc dòng điện lạc. Các biện pháp bao gồm:
- Ngừng hoàn toàn công tác nạp, nổ mìn khi phát hiện có bão, sấm chớp;
- Nối ngắn mạch dây kíp điện hoặc đường dây dẫn của mạng nổ mìn điện;
- Tiếp đất các thiết bị cơ giới nạp thuốc nổ xuống lỗ khoan;
- Để VLNCN trong các hòm có vỏ bọc kim loại và được lót bằng các loại vật liệu mềm không phát sinh tia lửa, tĩnh điện;
- Kiểm tra và loại trừ sự thâm nhập của dòng điện lạc, dòng cảm ứng điện từ trường vào mạng nổ mìn điện;
- Duy trì khoảng cách với các nguồn thu, phát sóng điện từ tần số radio (RF) theo quy định tại Phụ lục B, Quy chuẩn này;
- Đặt biển báo cấm sử dụng thiết bị thu, phát sóng điện từ tần số radio cầm tay trên đường vào, cách nơi có VLNCN 50m; ở những nơi không thực hiện được quy định này, phải có biện pháp cấm sử dụng thiết bị thu, phát sóng điện từ tần số radio trong phạm vi khoảng cách quy định tại Phụ lục B, Quy chuẩn này.
d) Việc sử dụng VLNCN trong các mỏ hầm lò phải đảm bảo các yêu cầu an toàn về khí, bụi nổ và an toàn về khí độc. Trong hầm lò chưa được thông gió, chỉ được sử dụng loại VLNCN không sinh ra quá 0,15 m3 khí độc khi nổ 1kg VLNCN
đ) VLNCN bị mất phẩm chất hoặc VLNCN thu hồi không còn khả năng tái chế, sử dụng lại phải được tiêu hủy theo quy định tại Mục 3, Chương II Quy chuẩn này.
e) Khi xảy ra cháy kho chứa, phương tiện vận chuyển VLNCN hoặc cháy VLNCN trong lỗ mìn, phải sơ tán toàn bộ những người không có trách nhiệm chữa cháy đến nơi an toàn và tổ chức canh gác và/hoặc thiết lập cảnh báo để ngăn ngừa người xâm nhập khu vực nguy hiểm. Trường hợp không còn khả năng kiểm soát ngọn lửa và ngọn lửa sắp lan đến khối VLNCN, phải dừng ngay toàn bộ công việc chữa cháy và sơ tán mọi người đến nơi an toàn.
7. Qui định khi tiếp xúc với VLNCN
a) Tổ chức có sử dụng VLNCN để nổ mìn phải bổ nhiệm người chỉ huy nổ mìn đủ điều kiện theo quy định.
b) Thợ mìn, thủ kho, người vận chuyển, bốc dỡ và người phục vụ công tác nổ mìn phải là người có đủ năng lực pháp lý, được đào tạo theo qui định của pháp luật về giáo dục, dạy nghề và được huấn luyện theo nội dung quy định tại Phụ lục C của Quy chuẩn này trước khi trực tiếp làm việc với VLNCN.
c) Không để VLNCN bị va đập, xô đẩy hoặc chịu nhiệt độ cao quá mức quy định của nhà sản xuất. Không đẩy, ném, kéo lê hòm có chứa VLNCN. Không được kéo căng hoặc cắt ngắn dây dẫn của kíp điện, kíp phi điện. Cấm dùng bất cứ vật gì chọc vào kíp nổ và cấm sửa chữa kíp điện, kíp phi điện thành kíp nổ thường;
d) Không được hút thuốc hoặc dùng ngọn lửa trần cách chỗ để VLNCN gần hơn 100 m. Không được mang theo người các loại dụng cụ mà khi sử dụng có phát ra tia lửa (diêm, bật lửa) hoặc các loại thiết bị, phương tiện thu, phát sóng điện từ tần số radio (điện thoại di động, máy thu phát FM). Chỉ người được phân công đốt dây cháy chậm mới được mang theo dụng cụ lấy lửa khi làm nhiệm vụ.
đ) Dụng cụ dùng để đóng, mở các hòm VLNCN phải làm bằng vật liệu khi sử dụng không phát ra tia lửa. Không được đi giày có đế đóng bằng đinh sắt hoặc đóng cá sắt khi tiếp xúc với thuốc đen.
e) Những người áp tải hoặc bảo vệ VLNCN trong quá trình bảo quản, vận chuyển được phép trang bị và sử dụng vũ khí hoặc công cụ hỗ trợ theo quy định pháp luật hiện hành.
8. Khoảng cách an toàn
a) Để bảo vệ nhà, công trình không bị phá hủy do chấn động nổ mìn gây ra, phải tính toán khối lượng các phát mìn và phương pháp nổ mìn cho phù hợp với khoảng cách từ chỗ nổ đến công trình cần bảo vệ. Việc xác định khoảng cách an toàn tiến hành theo phụ lục D của Quy chuẩn này.
b) Khi bố trí các nhà kho riêng biệt hoặc các bãi chứa VLNCN ngoài trời, thì khoảng cách giữa chúng phải đảm bảo sao cho nếu xảy ra nổ ở một nhà hoặc một khối thuốc nổ thì không truyền nổ sang các nhà hoặc khối thuốc nổ khác. Khoảng cách an toàn tính theo phụ lục D của Quy chuẩn này.
Khoảng cách an toàn về truyền nổ phải chọn trị số lớn nhất trong số các trị số tính được theo các phép tính khoảng cách truyền nổ, nhưng không được nhỏ hơn khoảng cách tính theo tiêu chuẩn phòng cháy chữa cháy.
c) Để bảo vệ cho người không bị chấn thương, công trình nhà cửa không bị hư hại do tác động của sóng không khí khi nổ mìn gây ra, khoảng cách từ chỗ nổ mìn đến đối tượng cần được bảo vệ phải được tính theo phụ lục D của Quy chuẩn này.
d) Khoảng cách an toàn đảm bảo cho người tránh khỏi các mảnh đất đá văng ra được xác định theo thiết kế hoặc hộ chiếu nổ mìn, ở khu đất trống khoảng cách nói trên không được nhỏ hơn trị số ghi ở bảng 1.
Khoảng cách an toàn đối với người phải chọn trị số lớn nhất trong hai loại khoảng cách an toàn về sóng không khí và văng đất đá do nổ mìn gây ra.
Bảng 1:
|
Dạng và phương pháp nổ mìn |
Bán kính nhỏ nhất của vùng nguy hiểm (mét) |
|---|---|
|
I. Nổ mìn trong đất đá ở lộ thiên 1. Nổ mìn ốp 2. Nổ mìn lỗ khoan nhỏ có tạo túi 3. Nổ mìn lỗ khoan nhỏ 4. Nổ mìn buồng nhỏ (hình ống) |
Không nhỏ hơn 300 (1) Không nhỏ hơn 200 (2) Không nhỏ hơn 200 Không nhỏ hơn 200 (2) |
|
5. Nổ mìn lỗ khoan lớn 6. Nổ mìn lỗ khoan lớn có tạo túi II. Nổ mìn phá đá tảng trong đường hầm III. Nổ mìn đào góc cây IV. Nổ mìn đào vành đai ngăn cháy rừng V. Nổ mìn đắp đường trên đồng lầy VI. Nổ mìn đào đáy sông hồ(4) (sông, hồ vẫn có nước 1. Nổ trong môi trường đất 2. Nổ trong đất có đá - Nổ mìn trong lỗ khoan nhỏ - Nổ mìn ốp đến 100 kg - Nổ mìn ốp trên 100 kg VII. Nổ mìn phá kim loại 1 Nổ mìn ở ngoài bãi trống 2 Nổ mìn trong buồng bọc thép 3. Nổ mìn trong phạm vi mặt bằng xí nghiệp 4. Nổ mìn phá các khối nóng 5. Nổ mìn để rèn dập các chi tiết của sản phẩm VIII. Nổ mìn phá đổ nhà và công trình IX. Nổ mìn phá móng nhà X Nổ mìn tạo túi các lỗ nhỏ XI. Nổ mìn tạo túi các lỗ khoan lớn XII. Nổ mìn khoan các lỗ khoan dầu khí XllI Nổ mìn trong công tác thăm dò địa chất 1. Nổ mìn trong giếng nhỏ và trên mặt đất 2. Nổ mìn trong lỗ khoan lớn. XIV Nổ mìn trên mặt bằng thi công xây dựng XV Nổ mìn buồng |
Theo thiết kế hoặc hộ chiếu nhưng ≥ 200 (3) Theo thiết kế, nhưng ≥ 300 Không nhỏ hơn 400 Không nhỏ hơn 200 Không nhỏ hơn 50 Không nhỏ hơn 100
Không nhỏ hơn 50 Không nhỏ hơn 200 Không nhỏ hơn 300
Không nhỏ hơn 1500 Không nhỏ hơn 30 Theo thiết kế (5) Theo thiết kế nhưng ≥ 30 Theo thiết kế nhưng ≥ 25 Theo thiết kế Theo thiết kế Không nhỏ hơn 50 Không nhỏ hơn 100 Theo thiết kế nhưng ≥10 (6)
Theo thiết kế nhưng ≥ 100 Theo thiết kế nhưng ≥ 30 Theo thiết kế (5) Theo thiết kế |
Chú thích:
1) Tổng khối lượng các phát mìn ốp nổ đồng thời (bằng dây nổ hoặc kíp điện nổ tức thời) không được vượt quá 20 kg.
2) Khi nổ ở sườn núi, đồi thì bán kính vùng nguy hiểm theo hướng văng xuống phía dưới không được nhỏ hơn 300 m
3) Bán kính vùng nguy hiểm nêu trong bảng áp dụng trường hợp nổ trong lỗ khoan lớn có nút lỗ;
4) Để đề phòng các tàu thuyền đi vào vùng nguy hiểm khi nổ mìn đào đáy sông hồ phải để phao tín hiệu ở phía thượng lưu và hạ lưu cách ranh giới vùng nguy hiếm ít nhất là 200 m. Trường hợp sông hồ có các bè tre, gỗ đi lại thì phao tín hiệu phía thượng lưu phải đặt cách giới hạn vùng nguy hiểm ít nhất là 500 m. Về mùa nước lũ phao tín hiệu ở phía thượng lưu phải đặt cách ranh giới vùng nguy hiểm là 1500 m:
5) Trong bản thiết kế nổ mìn (đặc biệt là khi nổ mìn trong vùng có dân cư và trong mặt bằng thi công xây dựng) phải có một phần riêng đề cập đến các biện pháp nhằm đảm bảo an toàn cho người;
6) Bán kính vùng nguy hiểm có thể giảm xuống 10 m sau khi hạ thiết bị xuống lỗ khoan hoặc giếng khoan đến độ sâu hơn 50 m;
7) Nổ mìn bằng thuốc và phương tiện nổ hiện đại (POWERGEL, kíp nổ không dùng điện . . . ) bán kính vùng nguy hiểm tuân theo thiết kế.
Chương II
QUY ĐỊNH VỀ AN TOÀN
MỤC 1. BẢO QUẢN VẬT LIỆU NỔ CÔNG NGHIỆP
Điều 5. Qui định chung về bảo quản VLNCN
1. Việc bảo quản VLNCN phải đảm bảo an toàn, chống mất cắp, giữ được chất lượng, nhập vào xuất ra thuận tiện, nhanh chóng.
2. VLNCN phải được bảo quản trong các kho, phương tiện chứa đựng phù hợp với yêu cầu của Quy chuẩn này. Kho, phương tiện chứa VLNCN chỉ được sử dụng sau khi được cơ quan có thẩm quyền cho phép.
Cấm bảo quản VLNCN không có bao bì hoặc trong bao bì bị hỏng. Cấm dùng các chất có phản ứng sinh nhiệt với nước, không khí để chống ẩm cho VLNCN.
3. Các cơ quan dùng VLNCN để nghiên cứu khoa học, học tập, không được giữ nhiều hơn 20 kg thuốc nổ, 500 chiếc kíp cùng với lượng dây cháy chậm, dây nổ tương ứng. Lượng VLNCN này phải được bảo quản trong kho lưu động đặt ở một gian riêng, cấu tạo kho lưu động trong nhà quy định tại Điều H2, Phụ lục H, Quy chuẩn này.
Gian để chứa VLNCN phải có tường và trần làm bằng vật liệu chống cháy, không được bố trí các gian có người làm việc thường xuyên tiếp giáp (trên, dưới và hai bên) với gian có chứa VLNCN. Cửa gian có chứa VLNCN phải có khả năng chống cháy với giới hạn chịu lửa ít nhất là 45 phút.
4. Thống kê, xuất, nhập VLNCN phải thực hiện theo đúng qui định của phụ lục E của Quy chuẩn này.
5. Việc thanh tra, kiểm tra kho VLNCN phải thực hiện đúng quy định pháp luật về thanh tra, kiểm tra.
Việc chụp ảnh, khảo sát hoặc đo đạc địa hình khu vực kho VLNCN phải được cơ quan công an cấp tỉnh, thành phố nơi có kho cho phép. Ảnh và tài liệu thu thập phải được quản lý, sử dụng theo quy định hiện hành.
6. Khi đơn vị, doanh nghiệp không còn nhu cầu sử dụng VLNCN nữa thì số VLNCN còn lại ở kho phải chuyển giao lại cho đơn vị được phép cung ứng VLNCN. Việc chuyển giao này phải làm đúng các thủ tục hiện hành và thông báo bằng văn bản đến cơ quan quản lý VLNCN địa phương và cơ quan Công an cấp tỉnh nơi đơn vị đặt kho VLNCN.
Trường hợp không chuyển giao được do VLNCN quá hạn hoặc việc chuyển giao không đảm bảo các điều kiện an toàn, đơn vị được phép tiêu hủy theo quy định tại Điều 16, Quy chuẩn này.
Điều 6. Qui định về kho VLNCN
1. Kho VLNCN là nơi bảo quản VLNCN. Kho VLNCN có thể gồm một hoặc nhiều nhà kho chứa, một số công trình phụ trợ bố trí xung quanh ranh giới kho.
2. Theo mức độ che phủ, kho VLNCN có thể là kho nổi, nửa ngầm, ngầm hoặc hầm lò.
- Kho nổi: là kho đặt trên mặt đất, không có lớp che phủ sát với tường kho bằng đất hoặc các loại vật liệu tương đương;
- Kho ngầm: là kho có lớp che phủ hoàn toàn và sát với tường kho bằng đất hoặc các loại vật liệu tương đương, với chiều dày lớp phủ từ 1 m trở lên. Kho ngầm có chiều dày lớp phủ từ 15 m trở lên, gồm các buồng chứa VLNCN và các buồng phụ trợ nối thông với nhau bằng các đường lò được gọi là kho hầm lò;
- Kho nửa ngầm: là kho có phần nóc hoặc cửa kho hoặc phần bất kỳ của kho không được che phủ sát với tường kho bằng đất hoặc các loại vật liệu tương đương; chiều dày lớp phủ như quy định của kho ngầm.
3. Theo kết cấu xây dựng, các kho VLNCN được chia ra:
- Kho cố định là kho có cấu trúc vững chắc không di chuyển được;
- Kho lưu động là kho có thể di chuyển được bao gồm các hòm, thùng chứa, Côngtenơ hoặc các kết cấu tương đương;
Quy định cụ thể về các loại kho theo Phụ lục H Quy chuẩn này.
4. Theo nhiệm vụ, các kho VLNCN được chia ra hai loại:
- Kho dự trữ: Kho dự trữ gồm kho dự trữ quốc gia và kho dự trữ lưu thông. Kho dự trữ quốc gia có nhiệm vụ dự trữ VLNCN theo quy định pháp luật hiện hành về dự trữ quốc gia. Kho dự trữ lưu thông có nhiệm vụ cung cấp VLNCN cho các kho tiêu thụ, trong các kho này chỉ được mở hòm VLNCN ở nơi quy định bên ngoài ụ bảo vệ nhà kho hoặc cách kho ít nhất 50 m. Kho dự trữ nhất thiết phải là kho cố định.
- Kho tiêu thụ: có nhiệm vụ cấp phát VLNCN cho nơi sử dụng. Kho tiêu thụ có thể là kho cố định hoặc lưu động .
5. Cho phép xây dựng kho tiêu thụ tiếp giáp với khu vực kho dự trữ, nhưng phải có lối vào riêng và phải đảm bảo các qui định đối với từng loại kho. Tổng lượng VLNCN của hai kho không được vượt quá sức chứa cho phép qui định tại khoản 13 và khoản 14 Điều này.
6. Khi sửa chữa nhà kho hoặc thiết bị trong nhà kho, phải chuyển VLNCN sang chứa ở nhà kho khác hoặc xếp trên bãi trống tạm trong khu vực kho, phải theo các qui định an toàn về bảo quản VLNCN trên bãi trống tại phụ lục H của Quy chuẩn này.
7. Tổ chức, cá nhân có kho VLNCN phải làm thủ tục đăng ký kho với cơ quan chức năng quản lý về VLNCN và công an địa phương nơi kho chứa VLNCN được đưa vào sử dụng
8. Cụm kho VLNCN phải được trang bị điện thoại giữa các trạm gác. Hệ thống điện thoại này được nối với tổng đài gần nhất để đảm bảo liên lạc với lãnh đạo đơn vị có kho, cơ quan PCCC, công an địa phương, các kho hầm lò phải đặt điện thoại trong phòng cấp phát VLNCN, liên lạc hai chiều với tổng đài của mỏ.
9. Các nhà kho kiểu nổi, nửa ngầm đều phải có bảo vệ chống sét theo đúng các qui định tại phụ lục L của Quy chuẩn này. Các nhà kho chứa không quá 150 kg chất nổ thì không nhất thiết phải có bảo vệ chống sét nếu đảm bảo khoảng cách an toàn theo quy định tại khoản 8, Điều 4 Quy chuẩn này và phải sơ tán người liên quan đến nơi an toàn trong trường hợp có dông bão.
10. Tất cả các kho VLNCN đều phải có lực lượng bảo vệ chuyên nghiệp có vũ trang, canh gác suốt ngày đêm. Riêng nhân viên bảo vệ kho hầm lò chỉ được dùng vũ khí thô sơ, phải thực hiện đúng các qui định bảo vệ kho theo phụ lục M của Quy chuẩn này.
11. Các kho bảo quản VLNCN phải có cửa kín và luôn được được khoá chắc chắn trừ khi cấp phát. Sau giờ cấp phát hàng ngày, cửa phải được cặp chì hoặc niêm phong. Các kìm cặp chì, dấu niêm phong do người thủ kho giữ và phải có mẫu lưu tại trụ sở chính của tổ chức sở hữu kho. Việc niêm phong, kẹp chì không áp dụng với các hộp đựng phụ kiện nổ
12. Các kho VLNCN cố định hoặc lưu động, đều phải có lý lịch kho lập theo mẫu qui định ở phụ lục G của Quy chuẩn này.
13. Sức chứa lớn nhất của mỗi nhà kho cố định không lớn hơn giới hạn sau :
- Nếu chứa thuốc nổ nhóm A: 60 tấn;
- Nếu chứa thuốc nổ nhóm khác, trừ nhóm S: 120 tấn
Nếu chứa thuốc nổ nhóm S: Không hạn chế.
Sức chứa lớn nhất của toàn bộ cụm kho dự trữ không được vượt quá 3000 tấn.
Sức chứa lớn nhất của toàn bộ kho tiêu thụ cố định kiểu nổi không vượt quá 720 tấn thuốc nổ, 500 000 chiếc kíp, 300 000 m dây nổ, không hạn chế lượng dây cháy chậm.
14. Sức chứa lớn nhất của mỗi kho lưu động không vượt quá 30 tấn, sức chứa lớn nhất của toàn bộ cụm kho lưu động không được vượt quá 75 tấn thuốc nổ, 100.000 chiếc kíp, 50.000 m dây nổ, không hạn chế lượng dây cháy chậm.
15. Việc bảo quản VLNCN trong cùng một kho chứa phải thỏa mãn các điều kiện sau:
a) Trong một nhà kho hoặc trong một buồng chứa, được phép bảo quản chung các nhóm VLNCN tương thích. Bảng các nhóm VLNCN tương thích quy định tại Phụ lục A, Quy chuẩn này;
b) Cấm bảo quản chung kíp và thuốc nổ trong một buồng hoặc hòm, thùng chứa. VLNCN thuộc các nhóm không tương thích phải bảo quản trong các phòng khác nhau của nhà kho được ngăn cách bằng bức tường dày không nhỏ hơn 25 cm và có giới hạn chịu lửa ít nhất là 60 phút hoặc ngăn cách bằng vách có vật liệu tương đương;
c) Nếu bảo quản VLNCN không tương thích trong các buồng, phòng sát nhau của một nhà kho, khối lượng VLNCN trong mỗi buồng hoặc phòng chứa không lớn hơn giới hạn sau:
- Không được nhiều hơn 10.000 chiếc kíp nổ hoặc 1.000 viên đạn khoan; .
- Các hòm kíp, đạn khoan phải đặt trên giá và đặt gần tường phía ngoài (tường đối điện với tường ngăn cách buồng chứa thuốc nổ) ;
- Khối lượng chung cửa tất cả các loại thuốc nổ không được quá 3 tấn.
16. Trong các kho tiêu thụ (cả cố định hoặc lưu động) chỉ được cậy mở hoặc đóng lại các hòm chứa VLNCN làm bằng gỗ ở nơi cách kho ít nhất 15 m. Việc cấp phát VLNCN chỉ được tiến hành trong buồng đệm của nhà kho hoặc trong buồng riêng dùng cho mục đích này. Nếu chỉ có một buồng thì khi cấp phát thuốc nổ không được phép để kíp ở trong buồng và ngược lại.
Trong buồng cấp phát kíp phải có bàn, mặt bàn phải có gờ xung quanh và mặt bàn được lót bằng tấm cao su dày 3 mm hoặc lót bằng vật liệu tương đương có tác dụng giảm chần và không phát sinh tĩnh điện. Phải có riêng một bàn để cắt dây nổ, dây cháy chậm.
Ở các kho lưu động không có buồng đệm, việc cấp phát kíp nổ rời phải thực hiện tại nơi cách xa kho từ 15 m trở lên.
17. Trên các đường vào nơi bảo quản VLNCN phải đặt biển báo “Nguy hiểm - Cấm lửa” tại vị trí cách kho ít nhất 50 m.
18. Kho bảo quản VLNCN phải đặt cách xa đường điện cao áp trên không ít nhất 30 m, theo chiều thẳng đứng tính từ điểm bất kỳ của nhà kho và phải có thỏa thuận với tổ chức, cá nhân quản lý, sở hữu công trình truyền tải điện trong trường hợp không đảm bảo khoảng cách an toàn theo quy định tại khoản 4, Điều 8 Quy chuẩn này.
Trường hợp đặc biệt không thể thỏa mãn điều kiện trên, phải có biện pháp che chắn chống cảm ứng, tránh đường điện cháy, đứt rơi vào kho và phải được cơ quan có thẩm quyền cho phép.
Đường cáp cao áp đi ngầm trong khu vực kho phải theo quy định tại Phụ lục I, Quy chuẩn này và quy định hiện hành về hành lang an toàn lưới điện cao áp.
19. Trong kho chứa VLNCN, các phương tiện chuyển, bốc dỡ VLNCN sử dụng động cơ đốt trong phải có cơ cấu dập tàn lửa từ ống xả và phải có chi tiết che kín các bề mặt nóng, nhiệt độ cao. Phương tiện chuyển, bốc dỡ sử dụng nguồn điện ắc quy, hệ thống điện phải thuộc loại phòng nổ. Hết ca làm việc, các phương tiện vận chuyển, bốc dỡ phải đưa về nơi để riêng cách xa các nhà kho ít nhất 50 m.
20. Các thiết bị đốt điện hoặc đốt nhiên liệu hóa thạch phải đặt cách xa nhà kho ít nhất 50 m, thiết bị đốt nhiên liệu hóa thạch, gỗ phải có bộ phận thu tàn lửa từ ống xả.
21. Nhiệt độ trong kho hoặc trong côngtenơ chứa VLNCN phải đảm bảo không vượt quá 350C.
22. Đèn chiếu sáng trong kho hoặc côngtenơ chứa VLNCN phải thuộc loại phòng nổ. Các loại đèn chiếu sáng cố định phải được lắp sao cho bề mặt nóng của đèn không tiếp xúc với VLNCN, các mảnh nóng không rơi vào VLNCN trong kho khi đèn bị vỡ.
23. Trong kho VLNCN, trừ các phương tiện dập cháy, cấm để các loại dụng cụ, phương tiện bằng kim loại.
24. Những yêu cầu cụ thể đối với từng loại kho và sắp xếp VLNCN trong kho được qui định trong phụ lục H của Quy chuẩn này.
Điều 7. Bảo quản VLNCN tại nơi nổ mìn, khi chưa tiến hành nổ mìn
1. Ở trên mặt đất
a) Từ khi đưa VLNCN đến nơi sẽ tiến hành nổ, VLNCN phải được bảo quản, canh gác, bảo vệ cho đến lúc nạp mìn xong. Người bảo vệ phải là thợ mìn hoặc công nhân đã được hướng dẫn về công tác an toàn trong bảo quản VLNCN.
b) Nếu khối lượng VLNCN cần bảo quản để sử dụng cho nhu cầu một ngày đêm thì phải để ngoài vùng nguy hiểm theo quy định tại khoản 7, Điều 17 Quy chuẩn này. Trường hợp này, cho phép chứa VLNCN ở trong hầm thiên nhiên hoặc nhân tạo, trong thùng xe ô tô, xe thô sơ, toa xe hoặc xà lan. Nơi chứa cố định hoặc di động kể trên phải cách xa khu dân cư, các công trình công nghiệp một khoảng cách theo qui định ở Khoản 8, Điều 4 của Quy chuẩn này và phải được canh gác, bảo vệ suốt ngày đêm.
Cho phép để VLNCN với khối lượng dùng cho một ca làm việc ở trong giới hạn của vùng nguy hiểm, nhưng phải ở nơi khô ráo, canh gác bảo vệ trong suốt ca làm việc và không được để kíp nổ hoặc bao mìn mồi ở đó.
c) Khi nổ mìn trong phạm vi thành phố hoặc trong các công trình công nghiệp, cho phép bảo quản VLNCN (với nhu cầu 1 ca làm việc) ở trong hoặc gần chỗ nổ mìn, nhưng phải xin phép cơ quan công an cấp tỉnh, thành phố. Khi đó VLNCN phải để trong các phòng được cách ly, các phòng này phải được bảo vệ, cấm những người không có liên quan ở trong phòng này. Nếu xét thấy khi nổ mìn sẽ nguy hiểm đối với các phòng chứa VLNCN thì phải đưa VLNCN ra ngoài giới hạn của vùng nguy hiểm trước lúc nổ mìn.
2. Trong hầm lò
a) Khi nổ mìn các lỗ khoan nhỏ, VLNCN trước khi nạp phải được bảo quản trong các hòm, thùng chứa theo quy định tại Điều H.2, Phụ lục H Quy chuẩn này. Hòm chứa VLNCN phải đặt ở vị trí an toàn, cách gương lò ít nhất 30 mét hoặc đặt trong các khám dưới sự quản lý trực tiếp của thợ mìn hoặc người có trách nhiệm mang xách VLNCN. Cấm để chung kíp nổ và thuốc nổ trong một túi hoặc một hòm chứa.
b) Khi đào giếng mỏ, lò bằng hoặc các công trình ngầm, cho phép bảo quản VLNCN với nhu cầu dùng cho 1 ca ở vị trí cao không bị ngập nước, có khoảng cách không gần hơn 50 m đến miệng giếng, cửa lò, cửa tuy nen và các nhà cửa công trình trên mặt đất. VLNCN phải được che đậy tránh nước dột từ nóc lò, kíp nổ phải để cách ly với thuốc nổ.
3. Trên giàn hoặc tàu khoan dầu khí
a) Chỉ được bảo quản VLNCN trong kho lưu động trên các giàn hoặc tầu khoan dầu khí với số lượng vừa đủ cho giếng đang sử dụng. VLNCN dự trữ khác phải được bảo quản tại kho cố định trong đất liền.
b) Kho lưu động trên giàn hoặc tàu khoan dầu khí phải đặt riêng biệt, cách xa nơi chứa nhiên liệu, các đường ống nhiên liệu, hệ thống máy phát, hệ thống nâng hạ giàn, chân đế giàn, khu nhà ở cách khu vực lắp thiết bị nổ mìn hoặc các hoạt động phát sinh nguồn nhiệt, tia lửa ít nhất 15 m; cửa kho phải luôn khoá chắc chắn trừ trường hợp cấp phát VLNCN.
c) Các kho lưu động sử dụng trên giàn hoặc tàu khoan phải có cơ cấu thả nhanh kho lưu động cùng VLNCN xuống biển trong trường hợp khẩn cấp như cháy giàn, mất kiểm soát áp suất miệng giếng.
d) Kho kíp và kho thuốc nổ phải đặt cách nhau ít nhất 1 m trừ trường hợp kíp nổ được bảo quản trong thùng chứa kíp chuyên dùng theo quy định tại Phụ lục K Quy chuẩn này. Tại khu vực kho VLNCN phải có dụng cụ PCCC theo quy định.
MỤC 2. VẬN CHUYỂN VẬT LIỆU NỔ CÔNG NGHIỆP
Điều 8. Qui đinh chung về vận chuyển VLNCN
1. Việc bốc dỡ VLNCN ở các bến cảng, ga tàu, các địa điểm nằm ngoài phạm vi hàng rào kho chứa, phải đăng ký và được cơ quan có thẩm quyền cho phép. Nơi bốc dỡ phải có biển báo xác định giới hạn ngăn cách. Những người không có liên quan đến việc bốc dỡ không được ở trong khu vực đã ngăn cách. Trong quá trình bốc dỡ phải có lực lượng bảo vệ nơi bốc dỡ, lực lượng bảo vệ được trang bị theo quy định tại mục M3 Phụ lục M của Quy chuẩn này.
2. Nếu bốc dỡ VLNCN vào ban đêm thì nơi bốc dỡ phải được chiếu sáng đầy đủ. Cấm dùng ngọn lửa trần để chiếu sáng, chỉ được phép dùng bóng đèn điện để chiếu sáng. Khi dùng nguồn điện lưới, cho phép dùng cầu dao kiểu thông thường, nhưng phải đặt cách nơi bốc dỡ ít nhất 25 m.
3. VLNCN được vận chuyển từ nhà máy sản xuất đến kho phải để trong bao bì nguyên của nhà máy sản xuất. Khi nạp mìn bằng cơ giới, cho phép vận chuyển thuốc nổ rời trong các máy nạp từ nơi sản xuất hoặc kho tiêu thụ đến nơi nổ mìn.
Trong trường hợp các bao, hòm VLNCN đã mở để lấy mẫu đem thử thì trước khi vận chuyển phải đóng gói, niêm phong lại các bao hòm đó; trên bao, hòm phải ghi số lượng còn lại. Khi bốc dỡ, vận chuyển nếu hòm bị vỡ phải xếp VLNCN vào hòm nguyên.
4. Chỉ được phép sử dụng các phương tiện đã qui định trong Quy chuẩn này để vận chuyển VLNCN.
Cấm vận chuyển VLNCN cùng với chất dễ cháy và/hoặc cùng với các loại hàng hoá khác; chỉ được phép vận chuyển thuốc nổ cùng với phụ kiện nổ trong cùng một toa tàu hoả, một khoang tàu thủy, ô tô, xe súc vật kéo nếu thỏa mãn các điều kiện quy định tại khoản 3, Điều 10 và Phụ lục H, Quy chuẩn này.
5. Phương tiện vận chuyển đang chứa VLNCN phải có đầy đủ biểu trưng, ký, báo hiệu nguy hiểm theo quy định hiện hành về vận chuyển hàng nguy hiểm.
6. Cho phép được bốc chuyển VLNCN từ phương tiện này sang phương tiện khác (do phương tiện đang có VLNCN bị hư hỏng, cần sửa chữa cấp bách), nhưng phải thực hiện theo qui định ở khoản 1 và 2 của Điều này.
7. Khi vận chuyển kíp nổ không còn nguyên bao bì ngoài thì các hộp, gói kíp phải đặt trong hòm kín có chèn lót ở bên trong bằng các loại vật liệu mềm không phát sinh tia lửa do ma sát và tĩnh điện, kể cả trường hợp kíp nổ được chứa trong hòm đựng kíp nổ chuyên dùng.
8. Những bến bãi bốc dỡ và trên các phương tiện vận chuyển VLNCN phải được trang bị phương tiện chữa cháy theo quy định.
9. Cấm vận chuyển kíp điện hoặc các phụ kiện nổ điện trên các phương tiện vận chuyển có trang bị thiết bị thu phát sóng điện từ tần số radio hoặc các thiết bị tương tự trừ trường hợp kíp điện được bảo quản trong bao bì nguyên của nhà sản xuất và để trong hòm chứa bằng kim loại đậy kín có lót đệm mềm.
10. Cấm các thao tác có khả năng phát sinh tia lửa ở gần phương tiện vận chuyển đang chứa VLNCN. Việc sửa chữa phương tiện vận chuyển chỉ được tiến hành sau khi đã bốc dỡ toàn bộ VLNCN khỏi phương tiện vận chuyển và bảo quản tại nơi quy định.
11. Lái xe, người bảo vệ, công nhân xếp dỡ phải được học tập các qui định về an toàn khi tham gia vận chuyển bốc dỡ VLNCN. Những người lái xe, áp tải VLNCN phải làm thủ tục đăng ký tại cơ quan công an tỉnh, thành phố.
Điều 9. Vận chuyển VLNCN bằng đường sắt và đường thủy
1. Qui định chung
a) Trước khi dùng toa tàu, khoang tàu, xà lan, thuyền để chở VLNCN, phải kiểm tra kỹ để phát hiện các hư hỏng của sàn tàu, vỏ tàu, khoang tàu, thùng toa và cửa. Nếu phát hiện thấy dấu vết của chất kiềm, a xít, dầu mỡ, sản phẩm dầu hoả, vôi sống thì phải tẩy rửa sạch các chất đó và làm thông thoáng nơi sẽ chứa VLNCN. Phải dọn sạch rác và các hàng hoá khác trước khi xếp VLNCN vào phương tiện vận chuyển.
b) Chỉ được phép bốc dỡ, chuyển VLNCN từ phương tiện này sang phương tiện khác theo thứ tự từng chiếc một.
c) Khi xếp các hòm, bao VLNCN lên toa tàu, khoang tàu hoặc thuyền phải xếp đều trên toàn bộ diện tích sàn chứa. Phải chằng buộc chặt các hòm, bao để không bị xô đẩy, va đập vào nhau khi phương tiện di chuyển.
d) Khi xếp các hòm, bao VLNCN thành nhiều lớp, phải đảm bảo khi xếp lớp trên, người xếp không được trực tiếp dẫm lên lớp dưới. Nếu không xếp đầy toa tàu, khoang chứa thì phải có biện pháp chống sập đổ các khối VLNCN.
đ) Nếu phải bốc dỡ một phần VLNCN xuống các ga, bến trung gian, phải chằng buộc lại các bao, hòm VLNCN không để sập đổ các bao hòm khi phương tiện tiếp tục vận chuyển. Diện tích còn lại của toa tàu hoặc khoang tàu sau khi đã dỡ bớt, chỉ được phép xếp thêm VLNCN cùng nhóm.
e) Khi VLNCN được vận chuyển đến ga hoặc bến thì người trưởng ga hoặc trưởng bến có trách nhiệm:
- Thông báo cho chủ hàng VLNCN đến tiếp nhận và tổ chức bốc dỡ kịp thời;
- Tổ chức bảo vệ đến khi bốc dỡ xong;
- Trước khi mở cửa toa tàu, khoang tàu phải kiểm tra bên ngoài xem có còn nguyên vẹn không. Khi mở khoá hoặc kẹp chì các cửa phải có mặt nhân viên áp tải. Sau khi mở cửa nếu phát hiện thấy các bao, hòm VLNCN bị hư hỏng hoặc thiếu thì phải lập biên bản, đồng thời đưa các bao, hòm hư hỏng đó ra cách chỗ bốc dỡ 50 m để đóng gói lại.
g) Nơi bốc dỡ và chỗ đỗ của tàu chở VLNCN phải:
- Cách xa nhà ở, nhà công nghiệp, kho hàng hoá, chỗ đang bốc dỡ và bảo quản những hàng hoá khác ít nhất 100 m, cách xa đường ga chính ít nhất là 50 m;
- Cách bến tàu và cảng bốc dỡ và bảo quản các hàng hoá khác, các công trình công nghiệp và dân dụng ít nhất 250 m. Các tàu thủy chở VLNCN phải đỗ cách lạch tàu ít nhất là 25 m.
Khi không có điều kiện như qui định trên thì phải ngừng các việc hoạt động bốc dỡ khác.
Trong trường hợp không có nhà riêng để bảo quản VLNCN tại nhà ga, bến cảng, cho phép xếp VLNCN thành từng khối trên bờ hoặc cách xa đường sắt tốt thiểu là 25 m với thời hạn lưu không quá 5 ngày đêm.
VLNCN phải xếp trên các bục kê, che bạt kín, phải bố trí lực lượng bảo vệ có vũ trang canh gác suốt ngày đêm. Nơi xếp VLNCN phải có các phương tiện PCCC.
h) Cấm dùng phương tiện có động cơ chạy bằng than củi để chở VLNCN.
2. Vận chuyển VLNCN bằng đường sắt
a) Trên các công trường xây dựng đường sắt, nếu xếp VLNCN trong các toa không kín như toa xe goòng, ô tô ray, xe kiếm tra đường ray.. phải có bảo vệ, thợ mìn đi kèm với VLNCN. Trên phương tiện vận chuyển phải có dụng cụ chữa cháy (bình dập cháy, thùng có cát, nước, xô, xẻng).
b) Khi xếp dỡ VLNCN trên các đường sắt chung, chỉ được phép xếp dỡ hai toa đồng thời, phải áp dụng biện pháp khoá ghi vào đường này để tránh các đoàn tàu khác đi vào. Những toa đã xếp VLNCN phải đưa ra chỗ đỗ qui định theo yêu cầu của điểm g, khoản 1 Điều này và phải cách xa chỗ đang xếp dỡ ít nhất 100 m.
c) Đối với thuốc nổ nhóm D, S (dây nổ, dây cháy chậm) thì cho phép chứa đủ trọng tải của toa xe. Đối với VLNCN nhóm A, B hoặc kíp nổ thì chỉ được phép chứa không quá 2/3 trọng tải của toa xe.
d) Các toa xe chứa VLNCN chưa được móc nối với đoàn tàu phải được chèn hãm chắc để không bị trôi và phải có tín hiệu bảo vệ (biển hình tròn màu đỏ, đèn tín hiệu đỏ) đặt ở 2 phía đầu của nhóm toa xe này. Tín hiệu đặt ở mép ray bên phải và cách toa xe chứa VLNCN 50 m. Nếu đoàn tàu chứa VLNCN đã đứng chiếm toàn bộ đoạn đường hoặc đã đứng cách cột giới hạn gần hơn 50 m thì biển tín hiệu cũng được đặt ở mép ray bên phải và đối điện với cột giới hạn.
đ) Khi lập đoàn tàu chở VLNCN, phải xếp các toa có VLNCN ở cách đầu máy 2 toa, cách toa chở người ít nhất 4 toa. Toa xe chở kíp phải cách toa xe chứa chất nổ một khoảng cách ít nhất 6 toa xe và nằm ở cuối đoàn tàu. 6 toa xe cách ly chở hàng khác không nguy hiểm. Nếu 6 toa này chở gỗ cây, sắt, đường ray, thì các toa xe loại này phải có thành chắn ở hai đầu.
e) Khi dồn đoàn tàu chở VLNCN phải hết sức thận trọng, tránh xô đẩy, dừng đột ngột cấm thả trôi tự do các toa có chứa VLNCN . Tốc độ chuyển động khi dồn toa không được quá 10 km/h. Cấm dùng sức người để dồn đẩy toa chứa VLNCN trên các đoạn đường dốc. Khi đường không dốc thì được phép đẩy tay trên một đoạn dài bằng chiều dài một toa xe hoặc trên chiều dài của nhà kho, nhưng phải có giám sát của người phụ trách bốc dỡ hàng.
g) Khi kiểm tra bên ngoài toa xe VLNCN vào ban đêm phải dùng đèn điện, ắc qui, đèn xăng an toàn để soi. Cấm dùng đèn có ngọn lửa trần.
3. Vận chuyển VLNCN bằng đường thủy
a) Cho phép dùng tàu thủy chở hàng, ca nô, xà lan, thuyền để chở VLNCN, cấm dùng bè, mảng, thuyền nan, mủng để vận chuyển VLNCN. Những phương tiện vận tải thủy dùng để vận chuyển VLNCN phải đảm bảo hoạt động tốt và được cơ quan có thẩm quyền Nhà nước về đăng kiểm, kiểm tra và cấp giấy phép lưu hành.
b) Thuyền trưởng, thuyền viên vận chuyển VLNCN phải hiểu biết tính chất VLNCN và các điều kiện vận chuyển chúng bằng đường thủy, các biện pháp phòng ngừa, giải quyết sự cố trên đường vận chuyển.
c) Tàu thủy vận chuyển VLNCN phải đảm bảo yêu cầu:
- Không có dây dẫn điện trong các khoang chứa VLNCN;
- Sàn khoang chứa phải bằng phẳng, cửa xuống khoang có thể đóng kín, chặt;
- Tường của khoang chứa VLNCN nằm kề sát với buồng máy, các ống dẫn hơi phải có lớp cách nhiệt;
- Tàu phải có các tín hiệu và ký báo hiệu nguy hiểm theo qui định hiện hành.
- Trong các khoang chứa VLNCN cho phép lắp đặt cảm biến báo cháy. Hệ thống thiết bị báo cháy phải được thẩm duyệt thiết kế và nghiệm thu cho phép sử dụng.
d) Khi vận chuyển VLNCN bằng thuyền gắn máy, phải có bộ phận thu tàn lửa ở ống xả và có tấm chắn ngăn cách buồng để máy và buồng để chứa VLNCN.
đ) Trên mũi và đuôi của phương tiện thủy vận chuyển VLNCN phải có biển chữ ghi: "Nguy hiểm", chữ phải cao ít nhất 20 cm, ban đêm phải thay bằng đèn đỏ.
e) Khi xếp VLNCN vào trong khoang của phương tiện vận chuyển, phải sử dụng dung tích của phương tiện, phân bố tải trọng một cách hợp lý. Giữa các hòm với nhau, giữa các hòm và thành của phương tiện không được để hở, phải dùng dây mềm, chắc chằng buộc chống xê dịch. Dụng cụ để chằng buộc phải làm bằng vật liệu không phát lửa khi va chạm.
g) Cấm phương tiện thủy đang vận chuyển VLNCN kéo theo các phương tiện khác.
h) Khi sử dụng máy trục để nâng hạ VLNCN (trong khi xếp dỡ) không được phép nâng hạ một khối lượng quá 50% tải trọng nâng của máy trục đó. Máy trục dùng động cơ đốt trong thì ống xả phải có cơ cấu dập tàn lửa.
i) Khi bốc dỡ VLNCN bằng máy trục thì phương tiện này phải đảm bảo không phát ra tia lửa trong quá trình làm việc. Cấm sử dụng dây cáp thép, lưới kim loại làm các phương tiện kẹp giữ để bốc dỡ VLNCN.
k) Khi vận chuyển VLNCN trên sông hồ mà gặp sương mù thì phải cho phương tiện vận chuyển cặp bờ, cách chỗ có các công trình, dân cư trên bờ ít nhất 250 m và cách luống lạch ít nhất 25 m.
l) Khi vận chuyển VLNCN bằng thuyền, phải để VLNCN nguyên trong bao bì của nhà máy chế tạo hoặc để trong kho lưu động. Các hòm phải được chằng buộc và phủ bạt kín. Những người áp tải phải thường xuyên quan sát.
m) Cấm chuyên chở hành khách, các hàng hoá khác cùng với VLNCN trên cùng một thuyền và phà qua sông.
n) Cho phép dùng đèn điện cố định, hoặc đèn ắc qui mỏ để chiếu sáng các khoang chứa hàng khi bốc dỡ VLNCN. Công tắc đèn phải bố trí ngoài khoang chứa.
o) Trên phương tiện thủy vận chuyển VLNCN, chỉ được phép hút thuốc, sử dụng ngọn lửa trần tại những chỗ cách biệt do thuyền trưởng qui định
p) Tàu thủy vận chuyển VLNCN phải có bảo vệ chống sét, các cột cao của tàu được dùng làm cột gắn kim thu sét.
Điều 10. Vận chuyển VLNCN bằng ô tô, xe thồ, xe súc vật kéo
1. Qui định chung
a) Chỉ được phép vận chuyển VLNCN bằng phương tiện ô tô, xe thồ, xe súc vật kéo khi có người áp tải đi theo. Người áp tải có thể là thợ mìn, thủ kho VLNCN hoặc nhân viên bảo vệ. Cấm người điều khiển phương tiện kiêm áp tải.
b) Cấm vận chuyển VLNCN bằng:
- Ô tô chạy bằng gaz;
- Ô tô buýt công cộng, xe ray điện, ôtô chạy điện;
- Ô tô tự đổ ;
- Rơ moóc do ô tô kéo khi vận chuyển kíp, thuốc đen, thuốc nổ có chứa ni tro este lỏng.
Chú thích - Trong trường hợp ở những địa hình không có đường ôtô cho phép dùng máy kéo để kéo một rơmoóc chứa VLNCN nhóm 1.5D để trong các bao bì còn nguyên vẹn, thùng rơmoóc phải còn tốt. Có thể dùng máy kéo để kéo máy nạp mìn.
c) Trên đường đi (thường đi theo đoàn), cấm dừng xe có chở VLNCN khi chưa có lệnh của người trưởng đoàn. Trường hợp xe có sự cố, người áp tải phải có mặt tại chỗ xảy ra sự cố cho tới khi giải quyết xong sự cố
d) Khi xe đi thành đoàn (2 xe trở lên) phải có ít nhất hai người áp tải. Người trưởng đoàn (thường là người áp tải thứ nhất) phải luôn ở trong cabin xe đi đầu tiên. Người áp tải thứ hai ngồi trong cabin của xe cuối cùng
đ) Trên đường vận chuyển khi cần đỗ để nghỉ ngơi, chỉ được dừng ở ngoài vùng dân cư, cách xa đường giao thông công cộng ít nhất 100 m, cách nhà, công trình ít nhất 200 m. Khi dừng phải tắt động cơ, tháo súc vật kéo ra khỏi càng xe và có biện pháp chèn chống trôi, trượt xe. Khi không có điều kiện dừng xe xa đường, cho phép dừng ở lề đường nhưng phải xa vùng dân cư ít nhất 200 m.
Cấm các phương tiện đang vận chuyển VLNCN đỗ trong ga ra, dừng trong thành phố và trong vùng dân cư.
e) Khi đi trên đường, các xe vận chuyển VLNCN đều phải có tín hiệu riêng theo qui định pháp luật về vận chuyển hàng nguy hiểm.
g) Khi đi trên đường, nếu gặp đám cháy thì phương tiện vận chuyển VLNCN không được đi qua gần hơn 200 m kể từ đám cháy và 50 m kể từ ngọn đuốc. Trong trường hợp sửa chữa đường có sử dụng lửa (đun chảy nhựa đường), trước khi qua đoạn đường này phải đỗ xe ở chỗ có khoảng cách theo qui định tại khoản này, dập tắt lửa xong mới cho xe đi qua.
h) Trên các phương tiện vận tải (ô tô, xe súc vật kéo) cấm chuyên chở các hàng hoá khác cùng với VLNCN, chỉ được chở cùng với VLNCN các máy nổ mìn, dụng cụ phục vụ nổ mìn, nhưng chúng phải để trong hòm và buộc chắc để tránh va đập vào hòm chứa VLNCN.
i) Khi vận chuyển thuốc nổ nhóm 1.1D, 1.5D, dây cháy chậm, cho phép ô tô chạy với tốc độ theo qui định của luật giao thông đường bộ, xe súc vật kéo được cho con vật kéo chạy nước kiệu. Khi chở các loại VLNCN còn lại, nếu tầm nhìn tốt, tốc độ xe ô tô chở VLNCN không quá 40 km/h. Khi trời mưa hoặc có sương mù tốc độ của xe giảm đi một nửa; nếu vận chuyển VLNCN bằng xe súc vật kéo chỉ được cho con vật đi bước một.
k) Nếu đi thành đoàn xe, khoảng cách các xe chở VLNCN khi chạy trên đường được qui định như sau :
Khi đi trên đường bằng và lúc dừng:
- 10 m đối với xe súc vật kéo;
- 20 m đối với xe thồ;
- 50m đối với xe ô tô;
khi xuống hoặc lên dốc:
- 50 m đối với xe súc vật kéo;
- 100 m đối với xe thồ;
- 300 m đối với xe ô tô;
Cấm ô tô, xe thồ, xe súc vật kéo vận chuyển VLNCN dừng, đỗ trên đường dốc. Trường hợp sự cố ở trên các đoạn đường dốc phải chèn và tìm cách khắc phục ngay.
2. Vận chuyển VLNCN bằng ôtô
a) Chỉ được phép dùng ô tô chuyên dùng cho mục đích chở VLNCN, ô tô chở VLNCN phải thỏa mãn các yêu cầu sau:
- Thùng là bệ gỗ, nếu không là bệ gỗ phải lót gỗ dày ít nhất 13 mm hoặc lót tấm mềm toàn bộ sàn xe và thành trong của thùng xe;
- Tình trạng kỹ thuật của xe ôtô phải tốt, phải có khung mui và có cửa khoá chắc chắn;
- Không lắp dây dẫn điện và đèn chiếu sáng trong khoang chứa VLNCN;
- Có bình dập lửa, phương tiện chống lầy, chống trượt cho xe;
- Trước khi xếp VLNCN lên ô tô phải dọn sạch thùng và các hoá chất khác.
b) Cho phép chất đủ tải trọng ô tô đối với VLNCN nhóm D, S. Trường hợp vận chuyển kíp, thuốc nổ có nitrô este lỏng và thuốc đen thì chỉ được xếp không quá 2/3 tải trọng và không được xếp cao quá hai lớp hòm VLNCN. Các hòm, bao phải đặt nằm sát và chồng khít lên nhau nhưng không được cao vượt quá chiều cao của thành xe ô tô.
c) Trước khi xe tô chở VLNCN xuất hành, người phụ trách đoàn xe phải ghi vào lệnh đi đường: "ô tô đã được kiểm tra, đảm bảo hoạt động tốt có thể dùng để chở VLNCN”, ký xác nhận.
d) Không được chở người trên thùng xe ô tô đã xếp VLNCN.
đ) Chỉ được cho từng ô tô một vào chỗ xếp dỡ. Những ô tô khác đang chờ và những ô tô đã có VLNCN phải đỗ cách xa chỗ bốc dỡ ít nhất 100 m.
e) Cho phép dùng ô tô để vận chuyển VLNCN đến nơi nổ mìn trong khu vực thành phố hoặc điểm dân cư, xe ô tô phải có thùng kín. Lái xe tô phải có Giấy phép lái xe hạng B2 trở lên.
3. Vận chuyển chung kíp và thuốc nổ trên cùng xe ô tô
Cho phép vận chuyển chung thuốc nổ và kíp nổ trên cùng một xe ô tô với các điều kiện sau:
a) Xe ôtô, có đủ điều kiện vận chuyển VLNCN quy định tại khoản 2, Điều này
b) Chỉ vận chuyển chung các loại thuốc nổ và kíp nổ theo quy định tại Phụ lục K, Quy chuẩn này.
c) Khối lượng không quá 1500 kg thuốc nổ, 6000 kíp và 6000m dây .
d) Kíp nổ phải được chứa trong thùng chứa kíp chuyên dụng hoặc được ngăn cách với thuốc nổ bằng các biện pháp theo quy định tại Phụ lục K Quy chuẩn này
4. Vận chuyển VLNCN bằng xe thồ, xe súc vật kéo
a) Khi vận chuyển VLNCN nhóm 1.1A, 1.1D, 1.4B (thuốc nổ nhậy, kíp nổ) phải dùng loại xe có giảm xóc. Hòm VLNCN phải đặt trên sàn có lót đệm mềm.
b) Khối lượng VLNCN được vận chuyển trên một phương tiện không được vượt quá:
Xe thồ:
- 60 kg đối với nhóm 1.1, 1.2, 1.4;
- 80 kg đối với nhóm 1.5 và dây cháy chậm
Xe súc vật kéo:
- Đối với nhóm 1.1, 1.2, 1.4 (trừ kíp nổ) là hai lớp hòm theo chiều cao; giữa hai lớp với nhau, giữa hòm và sàn xe phải có lớp đệm mềm;
- Đối với nhóm 1.5, dây cháy chậm là 500 kg nếu có một con vật kéo và 800 kg nếu có hai con vật kéo;
Súc vật thồ:
- 1/2 sức thồ đối với VLNCN nhóm 1.1, 1.2, 1.4;
- 2/3 sức thồ đối với VLNCN nhóm 1.5, dây cháy chậm.
Khối lượng VLNCN nói trên đây bao gồm cả khối lượng của bao bì. Khi xếp các hòm lên xe không được xếp các hòm nhô ra ngoài xe.
Điều 11. Vận chuyển VLNCN bằng máy bay
Vận chuyển VLNCN bằng máy bay phải được cơ quan có thẩm quyền cho phép theo qui định pháp luật về hàng không dân dụng và pháp luật liên quan về vận chuyển hàng nguy hiểm.
Điều 12. Vận chuyển VLNCN trong khu vực kho
1. Cho phép dùng ô tô để vận chuyển trong khu vực kho (đảo chuyển VLNCN) đến tận cửa các kho. Ô tô phải là loại có thùng bằng gỗ, có trang bị bình dập cháy, khi dừng hoặc đỗ xe phải tắt máy.
2. Trong kho VLNCN và trong các nhà kho bảo quản VLNCN được phép dùng xe động cơ chạy điện ắc qui, có trang thiết bị điện thuộc loại phòng nổ để cơ giới hoá việc bốc xếp thuốc nổ nhóm 1.1D, 1.5D.
Điều 13. Vận chuyển nội bộ VLNCN đến nơi sử dụng trên mặt đất
1. Trong ranh giới vận chuyển nội bộ, cho phép sử dụng xe cải tiến, gánh, mang vác VLNCN từ kho tiêu thụ đến nơi sử dụng. Việc vận chuyển nội bộ VLNCN không phải có giấy phép vận chuyển của cơ quan có thẩm quyền.
2. Khi đưa VLNCN phải để trong hòm, trong các túi kín, tránh rơi vãi. Chất nổ và phụ kiện nổ phải để trong các túi hoặc bao bì riêng. Kíp nổ đốt phải để trong hộp gỗ được chèn lót chặt.
Cho phép dùng các thùng cứng để chở thuốc nổ chứa nitrat amôn dạng bột.
3. Người thợ mìn vừa là người đưa vật liệu nổ đến nơi sử dụng, vừa là người trông coi từ khi lĩnh vật liệu nổ ra khỏi kho cho tới khi nạp vào lỗ mìn.
Chỉ thợ mìn mới được xách kíp nổ và các bao mìn mồi. Khi mang mìn mồi, khối lượng tổng cộng không được quá 10 kg. Các bao mìn mồi phải đặt trong hòm có nắp đậy, tay xách. Mặt trong hòm phải có lớp lót bằng vật liệu mềm. Các bao mìn mồi phải xếp đứng thành một hàng.
4. Khi dùng xe cải tiến để đưa VLNCN đến nơi sử dụng, cho phép chở khối lượng không lớn hơn 1/2 tải trọng xe. Xe phải có ván chắc ở hai đầu và vật liệu nổ phải chằng buộc chắc chắn. Khi đưa VLNCN bằng cách gánh, cho phép gánh đến 40 kg. Nếu đường trơn, qua dốc, suối, khối lượng gánh phải giảm 1/4. Dụng cụ gánh phải chắc chắn.
5. Khi mang xách đồng thời thuốc nổ và phương tiện nổ, một thợ mìn có thể mang tổng cộng không quá 12 kg. Thuốc nổ, phương tiện nổ không được để chung trong một hòm. Nếu chỉ mang thuốc nổ, một thợ mìn mang không quá 20 kg. Nếu thuốc nổ để ở nguyên bao kiện của nhà máy sản xuất, cho phép mỗi người mang không quá 40 kg nhưng chỉ với đoạn đường dài không quá 300 m và độ dốc nhỏ hơn 300.
Điều 14. Vận chuyển nội bộ VLNCN đến nơi sử dụng trong hầm lò
1. Cho phép đưa VLNCN đến nơi sử dụng trong hầm lò bằng các phương tiện chạy trên đường ray và thủ công. Cho phép dùng goòng, thùng, thùng cũi để đưa VLNCN xuống giếng mỏ, chỉ được phép kéo goòng, thùng cũi chở VLNCN. Cấm dùng Skíp (goòng tự lật) để đưa VLNCN .
2. Cấm vận chuyển VLNCN trong giếng mỏ vào thời gian công nhân lên xuống trong giếng đó. Khi bốc dỡ xếp chuyển VLNCN trong giếng mỏ, chỉ cho phép thợ mìn, người bốc dỡ, người phát tín hiệu điều khiển thùng trục, nhân viên kiểm tra việc bảo quản và chuyển VLNCN trong hầm lò có mặt ở sân ga giếng mỏ, trong nhà trên mặt giếng. Khi đưa VLNCN trong các toa xe từ giếng mỏ đến kho ít nhất phải có hai người.
Chỉ cho phép người thợ mìn mang xách VLNCN trên các thùng, cũi toa xe có VLNCN.
3. Chỉ sau khi người trực ca chỉ huy sản xuất của mỏ báo tin cho thợ điều khiển trục tải mỏ, người phụ trách tín hiệu ở đầu giếng biết về việc đưa VLNCN ở trong giếng, việc đưa VLNCN ở trong giếng mới được thực hiện.
Các hòm, túi đựng VLNCN không được xếp cao quá 2/3 chiều cao của thùng cũi và phải thấp hơn chiều cao của cửa thùng cũi. Các hòm thuốc nổ thuộc nhóm 1.1 chỉ được xếp thành một lớp ở trong thùng cũi.
Khi dùng toa xe goòng để đưa VLNCN xuống giếng, không được xếp các hòm VLNCN cao quá thành toa xe. Các kíp nổ phải đưa xuống giếng trong một chuyến riêng (không có thuốc nổ) và chỉ được xếp một lớp hòm trong toa xe hoặc trong thùng cũi.
4. Khi thợ mìn mang VLNCN ngồi trong các toa xe chở người đi xuống đường lò nghiêng thì mỗi ghế ngồi chỉ được bố trí một thợ mìn hoặc một công nhân mang xách VLNCN, không có các loại công nhân khác.
5. Cho phép một số thợ mìn có đeo túi đựng VLNCN được lên hoặc xuống trong thùng cũi với tính toán 1m2 sàn thùng cũi cho một người. Khi đó mỗi người không được mang quá khối lượng VLNCN đã qui định tại , khoản 5, Điều 13 của Quy chuẩn này. Khi đến giếng, những thợ mìn có mang VLNCN được quyền xuống giếng trước.
6. Tốc độ của cáp trục khi vận chuyển VLNCN trong giếng đứng, giếng nghiêng, lò bằng không được vượt quá 5 m/s. Công nhân điều khiển thiết bị trục phải đảm bảo cho thiết bị không bị xóc, giật đột ngột khi khởi hành, khi dừng và trong quá trình chạy .
7. Trong lúc đưa VLNCN, thợ mìn và người khuân vác phải mang theo đèn ắc qui phòng nổ hoạt động tốt.
8. Khi dùng tàu điện để kéo các toa goòng có chứa VLNCN phải thực hiện các điều kiện sau:
a) Cho phép xếp VLNCN lên toa xe ở trong các lò nối, và trong các đường lò của kho tiêu thụ hầm lò;
b) Cho phép dùng tàu điện ắc qui, tàu điện cần vẹt để kéo đoàn goòng chở VLNCN trong các lò bằng. Khi dùng tàu điện cần vẹt phải để phương tiện nổ trong các goòng có nắp gỗ đậy kín, goòng chở VLNCN phải cách tàu điện cần vẹt một khoảng cách không nhỏ hơn chiều dài cần tiếp điện;
c) Trong một đoàn tàu nếu chở cả thuốc nổ và phương tiện nổ thì phải xếp trong các toa khác nhau và cách nhau bằng các goòng rỗng, đảm bảo khoảng cách giữa các goòng chở thuốc nổ và goòng chở phương tiện nổ và khoảng cách giữa các toa này với đầu tàu không nhỏ hơn 3 m. Đoàn tàu chở VLNCN không được chở gì khác nữa;
d) Khi đưa chuyển VLNCN nhóm 1.1 và 1.4 bằng goòng, phía trong goòng phải lát gỗ hoặc dùng các goòng có thùng bằng gỗ. Các hòm VLNCN phải đặt trên đệm mềm và chỉ được xếp một lớp. Đối với VLNCN nhóm khác cho phép dùng các goòng thông thường và được xếp chồng các hòm cao bằng thành của goòng. Khi đưa chuyển các bao túi VLNCN thì chỉ được xếp một lớp trên sàn của goòng;
đ) Ở phía trước và phía sau đoàn tàu chở VLNCN phải có đèn tín hiệu riêng. Phải phổ biến cho tất cả mọi người làm việc trong hầm lò biết tín hiệu này;
e) Khi gặp đoàn tàu đang chở VLNCN, các đoàn tàu khác, người đi ngược chiều phải dừng lại để đoàn tàu chở VLNCN đi qua;
g) Nhất thiết phải có thợ mìn hoặc người cấp phát đi hộ tống đoàn tàu chở VLNCN. Ngoài thợ lái tàu, thợ mìn, nhân viên cấp phát và những người có liên quan khác không được có bất kỳ người nào khác trên đoàn tàu này. Những người được phép đi trên đoàn tàu phải ngồi trong một goòng chở người móc ở cuối đoàn tàu;
h) Trong lò nghiêng để đưa VLNCN từ mức này sang mức khác cho phép dùng goòng như sử dụng ở lò bằng:
i) Cấm để goòng có VLNCN tự trôi theo độ dốc.
9. Khi đưa VLNCN xuống gương giếng đang đào, trong gương không được có bất cứ ai ngoài người có liên quan tới việc nạp và nổ các phát mìn. Khi đào các hào và giếng loại nhỏ có sử dụng tời quay tay, việc đưa VLNCN lên xuống phải đảm bảo các yêu cầu:
a) Phải có hai người cùng quay tời;
b) Tốc độ của cáp kéo không quá 1 m/s;
c) Thiết bị tời phải có tín hiệu và cơ cấu hãm hoạt động tốt. Móc kéo phải có bộ phận bảo hiểm để tránh tuột;
d) Không được nâng hoặc hạ chất nổ và kíp nổ trong cùng một chuyến.
MỤC 3. KIỂM TRA, THỬ, HỦY VẬT LIỆU NỔ CÔNG NGHIỆP
Điều 15. Kiểm tra và thử VLNCN
1. Khi nhập VLNCN vào kho dự trữ bảo quản, phải định kỳ tiến hành kiểm tra và thử nổ nhằm xác định chất lượng của VLNCN. Ở các kho tiêu thụ chỉ cần định kỳ xem xét bên ngoài và kiểm tra điện trở của kíp điện.
VLNCN nhập trực tiếp từ nhà máy sản xuất mà có đủ chứng chỉ chất lượng, bao bì còn nguyên và đang trong thời hạn bảo hành thì không cần phải thử.
Việc thử VLNCN phải do thợ mìn, nhân viên thí nghiệm thực hiện dưới sự chỉ huy của trưởng kho. Việc kiểm tra và thử phải theo đúng qui định ở phụ lục L của Quy chuẩn này.
2. VLNCN đã quá thời hạn bảo hành mà chưa được kiểm tra, thử nổ đánh giá lại chất lượng thì không được đưa sử dụng. VLNCN nhập về kho tiêu thụ trong tình trạng bao bì không tốt thì phải xem xét bên ngoài và thử sự truyền nổ của chất nổ.
3. Việc thử định kỳ VLNCN tiến hành theo thời hạn sau.
a) Thuốc nổ có chứa nitro este lỏng và chất nổ an toàn: vào cuối thời hạn bảo hành và 3 tháng 1 lần sau thời gian bảo hành;
b) Các loại thuốc nổ khác: vào cuối thời hạn bảo hành và 6 tháng một lần sau thời hạn bảo hành;
c) Các phương tiện nổ: vào cuối thời hạn bảo hành;
d) Tất cả các loại VLNCN không phụ thuộc vào thời hạn bảo hành, nếu khi xem xét bên ngoài thấy có nghi ngờ về chất lượng (khô cứng, chảy nước, rách bao gói) hoặc khi nổ mìn cho kết quả không đặt yêu cầu (mìn câm, nổ không hoàn toàn) thì phải thử.
Điều 16. Hủy vật liệu nổ công nghiệp
1. Qui định chung
a) VLNCN sau khi kiểm tra và thử nếu xác định đã mất phẩm chất mà không có khả năng hoặc điều kiện tái chế thì phải tiến hành hủy. Đơn vị tổ chức huỷ phải có giấy phép sản xuất, sử dụng VLNCN theo quy định
Người chỉ đạo và người tham gia trực tiếp việc hủy VLNCN phải được huấn luyện về phương pháp hủy và biện pháp an toàn, bảo vệ môi trường khi hủy. Việc huỷ VLNCN phải theo hướng dẫn của nhà sản xuất (nếu có). Trường hợp không rõ về loại VLNCN cần huỷ hoặc không nắm được phương pháp huỷ, đơn vị tổ chức huỷ VLNCN phải liên hệ với nhà cung ứng VLNCN để được hướng dẫn hoặc hỗ trợ dịch vụ huỷ VLNCN.
b) Việc hủy VLNCN phải theo lệnh viết của phó giám đốc kỹ thuật đơn vị hoặc người có thẩm quyền tương đương và dưới sự chỉ đạo trực tiếp của phó giám đốc kỹ thuật đơn vị hoặc của người được uỷ nhiệm bằng lệnh viết, với sự có mặt của thủ kho, trưởng phòng bảo vệ, trưởng phòng an toàn của đơn vị. Phải lập biên bản cho mỗi lần hủy, trong biên bản ghi rõ:
- Tên và số lượng VLNCN phải hủy;
- Nguyên nhân phải hủy;
- Phương pháp hủy;
- Biện pháp an toàn;
- Địa điểm, thời gian tiến hành hủy;
- Kết quả huỷ, kiến nghị nếu có;
- Họ tên chức vụ của những người tiến hành cuộc hủy.
Biên bản được lập thành hai bản để giao cho kho VLNCN và phòng theo dõi tài sản của đơn vị lưu giữ (thường là phòng kế toán tài vụ).
c) Trường hợp địa điểm huỷ nằm trong ranh giới mỏ, công trường thuộc quyền quản lý hoặc sở hữu của tổ chức, cá nhân huỷ VLNCN, trước khi hủy phải thông báo cho cơ quan quản lý VLNCN, PCCC địa phương.
Nếu huỷ bằng phương pháp đốt hoặc nổ tại địa điểm khác không thuộc quyền sở hữu hoặc quản lý của tổ chức, cá nhân huỷ VLNCN. Tổ chức, cá nhân huỷ VLNCN phải có giấy phép của cơ quan có thẩm quyền như khi tiến hành nổ mìn.
d) Nếu chỉ hủy các mẩu dây cháy chậm, mẩu dây nổ, chất nổ rơi vãi thu gom vào cuối ca làm việc, có khối lượng không lớn hơn 0,5 kg thì chỉ cần có lệnh của quản đốc với sự có mặt của cán bộ an toàn của đơn vị, không cần phải lập biên bản, nhưng phải ghi chép vào sổ theo dõi.
đ) Được phép hủy VLNCN bằng cách làm nổ, đốt cháy, hòa tan hoặc pha loãng tuỳ theo tính chất của từng loại. Việc hủy VLNCN bằng hóa chất chỉ được thực hiện tại nơi sản xuất VLNCN.
e) Địa điểm hủy VLNCN bằng cách nổ hoặc đốt có thể thực hiện ở khai thường mỏ lộ thiên hoặc bãi trống nhưng phải ở xa công trình dân cư một khoảng cách theo quy định của khoản 8, Điều 4 Quy chuẩn này, xung quanh khu vực hủy phải dọn sạch vật liệu dễ cháy. Phạm vi cần dọn sạch do người chỉ huy hủy VLNCN quyết định
g) Khi hủy VLNCN bằng cách nổ hoặc đốt thì người khởi nổ (thợ mìn) hoặc đốt và những người giám sát phải ở trong hầm trú ẩn chắc chắn, bố trí ở chỗ cách chỗ hủy một khoảng cách an toàn xác định theo giới hạn vùng nguy hiểm tại Khoản 8, Điều 4 của Quy chuẩn này.
Khi không có nơi ẩn nấp an toàn thì người khởi nổ hoặc đốt phải ra ngoài giới hạn của vùng nguy hiểm.
h) Những bao bì, thùng hộp đựng VLNCN còn dùng được phải làm sạch thuốc nổ còn dính trước khi đem dùng. Bao bì có chứa nitro este lỏng thì ngoài việc làm sạch thuốc nổ còn phải kiểm tra kỹ xem thuốc nổ có thấm vào bao bì không. Nếu có dấu hiệu thấm thì bao bì đó phải được đốt hủy. Nếu không có thì được phép sử dụng sau khi đã rửa sạch mặt trong của thùng bằng nước kiềm.
i) Trừ các trường hợp khẩn cấp, cấm huỷ VLNCN bằng cách nhận chìm trong nước ở hồ, ao, sông ngòi hoặc biển. Việc chôn lấp VLNCN trong đất phải tuân theo quy định hiện hành về chôn lấp chất thải rắn.
2. Hủy VLNCN bằng cách làm nổ
a) Cho phép hủy bằng cách làm nổ các loại kíp, dây nổ, đạn khoan và các loại thuốc nổ khi chúng vẫn còn khả năng nổ được hoàn toàn. Khi đó phải áp dụng các biện pháp an toàn như khi nổ mìn.
b) Khối lượng VLNCN được phép hủy trong mỗi loạt nổ hủy và chỗ hủy được qui định trong từng trường hợp tuỳ theo điều kiện cụ thể và phải tuân theo qui định về khoảng cách an toàn tại Khoản 8, Điều 4 của Quy chuẩn này.
c) Khi hủy VLNCN bằng cách nổ thành nhiều lần thì VLNCN chờ hủy lần sau phải được để ở chỗ cách chổ hủy và cách nơi trú ẩn của người một khoảng cách an toàn theo Khoản 8, Điều 4 của Quy chuẩn này.
d) Việc khởi nổ để hủy VLNCN phải tiến hành bằng điện, chỉ trong trường hợp đặc biệt mới dùng dây cháy chậm. Chất nổ ở dạng bao thỏi được phép hủy nguyên bao gói. Khi nổ kíp, các kíp để nguyên trong hộp và được đặt ở đáy hố đào trong đất.
đ) Các bao mìn mồi (thuốc nổ và kíp điện) dùng để khởi nổ phải là loại có chất lượng tốt.
e) Khi khả năng truyền nổ của thuốc nổ cần hủy đã giảm, phải đặt thuốc nổ được hủy trong hố rồi lấp đất kín. Các bao mìn mồi phải đặt trực tiếp lên phía trên của thuốc nổ cần hủy.
3. Hủy VLNCN bằng cách đốt cháy
a) Chỉ được phép hủy VLNCN bằng cách đốt cháy khi chúng không còn khả năng chuyển từ phản ứng cháy sang nổ. Hủy kíp bằng phương pháp đốt chỉ được thực hiện trong các thiết bị chuyên dùng cho việc đốt hủy kíp. Cấm đốt VLNCN khi để nguyên hòm. Trước mỗi lần đốt hủy thuốc nổ phải xem xét cẩn thận để đảm bảo không có kíp ở trong các thỏi thuốc nổ đem đốt. Cấm đốt hủy cùng lúc các nhóm VLNCN không tương thích.
b) Khi hủy, thuốc nổ, dây cháy chậm hoặc dây nổ được đặt trực tiếp lên trên nguồn cháy (đống củi). Mỗi đống lửa không được đốt quá 10 kg VLNCN. Các thỏi chất nổ được xếp thành một lớp trên nguồn cháy sao cho thỏi nọ không tiếp xúc với thỏi kia.
c) Hủy thuốc nổ đen bằng cách đốt như sau: thuốc nổ được rải thành các dải rộng không quá 30 cm, chiều dày không quá 10 cm và khoảng cách giữa các dải không nhỏ hơn 5 m. Cho phép đốt đồng thời không nhiều hơn 3 dải. Các hòm, hộp, giấy không sử dụng lại được phải đem đốt hủy riêng.
d) Khối lượng VLNCN được phép đốt hủy đồng thời; nơi đốt và khoảng cách từ nơi đốt đến chỗ để VLNCN chờ đốt hủy và đến nơi trú ẩn phải theo qui định của Khoản 8, Điều 4 của Quy chuẩn này.
đ) Khối lượng chất làm nguồn cháy của mỗi đống phải đủ để trong thời gian đốt VLNCN không phải bổ sung thêm. Được phép dùng dây cháy chậm hoặc những vật liệu dễ cháy (phôi bào, giấy, củi khô chẻ nhỏ, ..) xếp rải thành đường dẫn lửa có chiều dài không nhỏ hơn 5 m đặt ở cuối chiều gió.
e) Chỉ được châm lửa đốt sau khi kết thúc toàn bộ công việc chuẩn bị và mọi người đã rút ra địa điểm an toàn. Sau khi dây cháy chậm hoặc đường dẫn lửa cháy thì thợ mìn phải lập tức dời đến nơi trú ẩn.
g) Sau khi đốt hủy phải đợi tắt hết lửa, khói, thợ mìn mới được trở lại chỗ đốt.
h) Sau mỗi lần đốt phải kiểm tra bằng cách dùng xẻng gỗ bới lớp tro tàn, để tìm và thu gom, không để sót VLNCN chưa cháy hết.
i) Chỉ được hủy bằng cách đốt VLNCN vào lúc thời tiết khô ráo.
4. Hủy VLNCN bằng cách hoà tan trong nước
Chỉ được phép hủy VLNCN bằng cách hoà tan trong nước đối với các loại chất nổ chứa nitrat amôn không chịu nước và thuốc nổ đen. Cho phép hoà tan thuốc nổ trong thùng hoặc bể nước. Những chất không hoà tan đọng lại, phải được thu gom và hủy bằng cách đốt. Trường hợp muốn sử dụng lại dung dịch hoà tan hoặc chất không hoà tan phải được phép của cơ quan quản lý trực tiếp và phải tuân theo các qui định hiện hành có liên quan.
MỤC 4. SỬ DỤNG VẬT LIỆU NỔ CÔNG NGHIỆP
Điều 17. Những qui định chung khi tiến hành công tác nổ mìn
1. Việc nổ mìn trong phạm vi ảnh hưởng đến khu vực dân cư, khu vực có các di tích lịch sử văn hóa, công trình an ninh quốc phòng, công trình quan trọng quốc gia chỉ được tiến hành theo thiết kế được lập cho từng đợt nổ.
Các bản thiết kế phải được cơ quan có thẩm quyền phê duyệt theo quy định pháp luật về quản lý VLNCN.
2. Việc nổ mìn các lỗ khoan lớn, nhỏ, nổ mìn ốp phải tiến hành theo hộ chiếu nổ mìn. Hộ chiếu phải được phó giám đốc kỹ thuật hoặc cấp tương đương của đơn vị duyệt.
3. Hộ chiếu khoan nổ mìn trong hầm lò được lập cho mỗi đường lò dựa trên cơ sở các số liệu thí nghiệm được coi là hộ chiếu mẫu và nổ chung cho các đợt nổ thường xuyên.
Khi có những thay đổi về điều kiện mỏ địa chất và các điều kiện khác trong gương nổ thì quản đốc (hoặc phó quản đốc trực ca - được quản đốc uỷ nhiệm) của công trường (phân xưởng) được phép và có trách nhiệm điều chỉnh lại hộ chiếu khoan nổ mìn đã được duyệt. Việc điều chỉnh phải thể hiện trong báo cáo đánh giá kết quả nổ mìn của hộ chiếu.
4. Cho phép sử dụng Hộ chiếu khoan nổ mìn mẫu của một đường lò cho các đường lò khác có kích thước, điều kiện mỏ địa chất tương tự như nhau. Tất cả cán bộ quản lý kỹ thuật của đơn vị cũng như công nhân làm công tác khoan nổ mìn đều phải nghiên cứu bản hộ chiếu này và ký nhận khi thực hiện.
5. Hộ chiếu khoan nổ mìn ngoài các thông số, chỉ tiêu về công nghệ còn phải bao gồm các nội dung sau:
a) Sơ đồ bố trí lỗ khoan, số lượng và chiều sâu lỗ khoan, lượng chất nổ nạp vào mỗi lỗ khoan, tên thuốc nổ và phương tiện nổ, số lượng các đợt nổ và trình tự khởi nổ, vật liệu nút bua lỗ mìn, chiều dài nút bua.
b) Bán kính vùng nguy hiểm của đợt nổ tính theo tầm văng xa của các mảnh vỡ nguy hiểm đối với người theo quy định tại khoản 8, Điều 4 Quy chuẩn này;
c) Vị trí ẩn nấp của người chỉ huy, người khởi nổ và thợ mìn trong thời gian nổ. Vị trí đảm bảo an toàn cho các thiết bị;
d) Thời gian cần thiết để thông gió gương lò (đối với hầm lò) ;
đ) Địa điểm đặt các trạm gác bảo vệ.
6. Cho phép nổ mìn không có hộ chiếu trong các trường hợp sau:
a) Nổ các phát mìn để hiệu chỉnh chu vi gương lò theo hộ chiếu đào chống lò. Nổ để hạ nền lò mở rộng tiết diện lò khi chống xén;
b) Nổ để giải quyết các tảng đá treo trên gương tầng;
c) Nổ để giải quyết sự cố trong quá trình khoan (nổ làm khô lỗ khoan, nổ chống trượt, cứu giắt ty choòng);
d) Nổ để thủ tiêu các phát mìn câm.
Trong các trường hợp trên phải có lệnh chi tiết bằng văn bản của quản đốc công trường (hay phó giám đốc trực ca), kèm theo các biện pháp an toàn phù hợp với các yêu cầu của Quy chuẩn này.
Cấm giao nhiệm vụ cho thợ mìn nổ ở những chỗ đang có những vi phạm tiêu chuẩn an toàn.
7. Trước khi bắt đầu công tác nổ mìn, phải qui định ngay giới hạn của vùng nguy hiểm. Ở trên mặt đất phải cắm cờ đỏ để phân định giới hạn này.
8. Phải đặt các trạm gác hoặc biển báo nguy hiểm “Đang nổ mìn - Cấm vào" ở giới hạn vùng nguy hiểm sao cho các ngả đường đi đến bãi mìn (bao gồm đường ô tô, đường mòn, đường lò) đều phải được quan sát thường xuyên của người gác mìn.
a) Ở trên lộ thiên thì phải đảm bảo trạm gác này có thể nhìn thấy hoặc liên lạc thông suốt được với trạm gác kề bên. Những người gác mìn được lựa chọn trong số nhân viên bảo vệ chuyên nghiệp, thợ mìn hoặc công nhân đã được huấn luyện những nội dung về công việc này. Người gác mìn phải ký nhận sau khi được giao nhiệm vụ.
b) Ở trong hầm lò, trước khi bắt đầu nạp mìn chỉ cần đặt biển báo đề phòng tại các trạm gác dự kiến, trước khi khởi nổ phải có người gác mìn tại trạm gác đỏ.
Các vị trí gác mìn, nằm trên các đường lò có khí sinh ra do nổ mìn thì có thể thay người gác bằng một biển báo có ghi dòng chữ: “Đang nổ mìn - Cấm vào". Sau khi kết thúc nổ mìn đường lò đã được thông gió , kiểm tra đảm bảo an toàn mới được cất biển báo đi.
9. Khi tiến hành nổ mìn, phải dùng tín hiệu để báo lệnh nổ mìn, dùng tín hiệu âm thanh, nếu nổ mìn vào ban ngày ở trên mặt đất, trong hầm lò. Nếu nổ mìn lúc tối trời ở trên mặt đất phải dùng các tín hiệu âm thanh và ánh sáng. Tín hiệu phải đủ lớn để đảm bảo tất cả các vị trí gác đều nghe, nhìn thấy rõ ràng. Cấm dùng các tín hiệu bằng mồm (gọi, hú).
a) Đối với hầm lò và công trình ngầm: Tín hiệu âm thanh do thợ mìn hoặc nhóm trưởng thợ mìn phát theo trình tự sau đây:
- Tín hiệu thứ nhất: Tín hiệu đề phòng, bằng một hồi còi dài. Theo tín hiệu này, tất cả mọi người không liên quan đến việc nạp, nổ mìn phải rút ra khỏi giới hạn vùng nguy hiểm hoặc đến chỗ an toàn dưới sự chỉ dẫn, giám sát của người chỉ huy đợt nổ.
Trong thời gian nạp mìn, chỉ cho phép những người có trách nhiệm kiểm tra mới được vào chỗ nạp mìn.
Sau khi nạp xong, đã đưa tất cả những người nạp mìn ra ngoài vùng nguy hiểm, người chỉ huy nổ mìn phải đo khí CH4, nếu nồng độ < 1% mới được lắp ráp mạng lưới nổ mìn và sau đó từ vị trí an toàn kiểm tra mạng nổ;
- Tín hiệu thứ hai: Tín hiệu khởi nổ, bằng hai hồi còi dài. Theo tín hiệu này, thợ mìn bắt đầu đốt dây cháy chậm của ngòi mìn rồi rút ra hầm trú ẩn hoặc ra nơi an toàn, còn khi nổ mìn bằng điện hoặc phương pháp khác thì đóng mạch điện hoặc phát hiệu để khởi nổ;
- Tín hiệu thứ ba: Tín hiệu báo yên, bằng ba hồi còi ngắn. Tín hiệu này được phát ra khi đã kiểm tra bãi nổ, báo công việc nổ đã kết thúc và đảm bảo an toàn.
Nếu kết quả nổ trong lò không đạt kết quả theo yêu cầu mà phải nổ lại ngay, cho phép hợp nhất tín hiệu thứ nhất và thứ hai bằng cách liên tục thổi còi. Sau khi nổ xong phải phát tín hiệu báo yên.
b) Đối với lộ thiên: Tín hiệu âm thanh do thợ mìn hoặc nhóm trưởng thợ mìn phát theo trình tự sau đây:
- Tín hiệu thứ nhất: Tín hiệu nạp mìn, bằng một hồi còi dài hoặc bằng một phát mìn tín hiệu, súng tín hiệu. Theo tín hiệu này, tất cả mọi người không liên quan đến việc nạp, nổ mìn phải rút ra khỏi giới hạn vùng nguy hiểm hoặc đến chỗ an toàn dưới sự chỉ dẫn, giám sát của người chỉ huy đợt nổ.
Trong thời gian nạp mìn, chỉ cho phép những người có trách nhiệm kiểm tra mới được vào chỗ nạp mìn.
Khi nổ mìn buồng, nổ mìn lỗ khoan lớn mà việc nạp phải thực hiện trong một thời gian dài thì cho phép chưa phải đưa tất cả mọi người không có liên quan với công tác nổ mìn ra khỏi giới hạn vùng nguy hiểm trước lúc bắt đầu lắp ráp mạng nổ với điều kiện là khoảng cách giữa người, thiết bị và phát mìn gần nhất không nhỏ hơn 50 m.
Sau khi nạp xong, đã đưa tất cả những người nạp mìn và thiết bị ra ngoài vùng nguy hiểm, thợ mìn mới được lắp ráp mạng lưới nổ mìn, sau đó từ vị trí an toàn kiểm tra mạng nổ và chỉ khi nhận được thông báo an toàn từ tất cả các vị trí cảnh giới (trạm gác) thì mới được đấu nối tín hiệu khởi nổ vào mạng nổ;
- Tín hiệu thứ hai: Tín hiệu khởi nổ, bằng hai tín hiệu âm thanh liên tiếp. Theo tín hiệu này, thợ mìn bắt đầu đốt dây cháy chậm của ngòi mìn rồi rút ra hầm trú ẩn hoặc ra nơi an toàn, còn khi nổ mìn bằng điện hoặc phương pháp khác thì đóng mạch điện hoặc phát hiệu để khởi nổ;
- Tín hiệu thứ ba: Tín hiệu báo yên, bằng ba tín hiệu âm thanh liên tiếp. Tín hiệu này được phát ra khi đã kiểm tra bãi nổ, báo công việc nổ đã kết thúc và đảm bảo an toàn.
Trường hợp bãi mìn có địa hình rộng, địa hình phức tạp, người chỉ huy nổ mìn có thể quy định bổ sung các tín hiệu phù hợp nhưng tối đa không vượt quá 5 loại tín hiệu.
Trường hợp nhiều đơn vị nổ mìn ở gần nhau thì phải thông báo cho nhau qui định và thời gian và hiệu lệnh nổ mìn.
Phương pháp và thời gian phát tín hiệu, ý nghĩa của các tín hiệu nổ mìn phải được thông báo cho chính quyền địa phương, mọi người của đơn vị và nhân dân ở trong vùng lân cận biết trước.
10. Chỉ sau khi được phép của người chỉ huy đợt nổ, mọi người mới được trở lại vị trí bãi nổ. Sau khi nổ mìn nếu phát hiện còn sót VLNCN không nổ thì phải thu nhặt lại và đem tiêu hủy theo quy định tại Điều 16 của Quy chuẩn này.
11. Số lượng phát mìn giao cho một thợ mìn phải thực hiện trong một ca làm việc, phải đảm bảo vừa đủ để thợ mìn đó có điều kiện thực hiện đầy đủ các tiêu chuẩn an toàn.
Số lượng phát mìn định mức này được xác định thông qua việc theo dõi bấm giờ và phải được phó giám đốc kỹ thuật của đơn vị hoặc cấp tương đương duyệt cho những điều kiện tương tự như nhau.
12. Số lượng mìn được chuẩn bị ở những khu vực khác nhau cần phải thực hiện sao cho có thể khởi nổ được trong một đợt nổ. Việc khởi nổ các phát mìn phải được tiến hành ngay sau khi đã chuẩn bị xong hoặc phải phù hợp với biểu đồ tổ chức công tác nổ mìn.
13. Trước khi nạp mìn vào các lỗ khoan phải lấy hết phôi khoan ra khỏi các lỗ khoan. Trong thời gian nạp thuốc nổ vào lỗ khoan, cho phép máy khoan làm nhiệm vụ thông lỗ trước khi đưa mìn mồi vào bãi mìn với điều kiện máy khoan và các lỗ khoan đang nạp phải cách xa nhau một khoảng lớn hơn hoặc bằng chiều dài cần khoan, nhưng trong mọi trường hợp không được nhỏ hơn 15 m.
Xe ô tô và các phương tiện vận chuyển, trộn thuốc nổ sử dụng loại động cơ đốt trong được phép vào bãi khoan để bốc, dỡ thuốc nổ trước lúc rải dây, lắp ráp mạng nổ với điều kiện ống xả của xe có bộ phận thu, dập tàn lửa.
14. Khi nạp mìn, cho phép dùng các gậy nạp bằng gỗ hoặc bằng các vật liệu khác không phát ra tia lửa khi có va chạm. Cấm đưa thêm các kíp nổ ở dạng rời từng chiếc hoặc nguyên cả hộp vào trong phát mìn.
15. Khi đưa thỏi mìn mồi vào phát mìn phải hướng đáy lõm của kíp về phần chiều dài cột thuốc.
Cho phép bố trí thỏi thuốc mồi có kíp ở đáy lỗ khoan (nạp đầu tiên) nhưng phải đảm bảo cho đáy lõm của kíp hướng về phía miệng lỗ khoan.
16. Cấm dùng dây cháy chậm ngòi mìn, dây dẫn của kíp điện hoặc dùng sợi dây nổ của bao mìn mồi để thả mìn mồi xuống lỗ khoan (trừ trường hợp khi nạp các lỗ mìn con có độ sâu đến 2 m).
Cấm dùng dây cháy chậm của ngòi mìn để buộc vào mìn mồi hoặc để cho dây cháy chậm bị thắt nút hoặc gập lại trong khi nạp mìn.
17. Khi nổ mìn để phá than có sử dụng các phát mìn liên tục hoặc phát mìn phân đoạn nạp trong lỗ khoan có chiều dài trên 5 m và có dùng bua nước thì cho phép dùng một đoạn dây nổ làm phương tiện kích nổ bổ sung. khi đó đoạn dây nổ được đặt dọc theo phát mìn và có chiều dài đảm bảo để không lộ ra khỏi miệng lỗ khoan.
18. Khi nạp phân đoạn thì mỗi đoạn của phát mìn ít nhất phải có một tâm khởi nổ (một kíp, dây nổ hoặc một bao thuốc mồi). Khi đưa thuốc mồi vào phát mìn phải thận trọng tránh gây va chạm chèn ép
19. Cấm kéo hay làm căng dây cháy chậm, dây nổ hoặc dây dẫn của kíp điện, phi điện khi chúng đã được đưa vào lỗ khoan.
Không được cuộn thành vòng các đầu dây cháy chậm hoặc dây nổ từ lỗ mìn đi ra.
20. Việc nạp bua phải hết sức thận trọng, không được chọc nén ép, ném quăng vật nút bua lên bao thuốc mồi. Cấm dùng vật liệu ở dạng cục hoặc vật liệu dễ cháy để nút bua các lỗ mìn.
21. Nếu do yêu cầu kỹ thuật cần nổ mìn không nút bua thì chỉ được áp dụng ở lộ thiên và các hầm lò không nguy hiểm về khí hoặc bụi nổ, nhưng phải được phó giám đốc kỹ thuật của mỏ xét duyệt, bán kính vùng nguy hiểm tính theo Khoản 8, Điều 4 của Quy chuẩn này.
22. Khi có bão, sấm chớp, phải dừng hoàn toàn công tác nạp, nổ mìn ở trên mặt đất, nổ mìn đào các lò giếng từ mặt đất. Trong trường hợp nổ mìn điện mà mạng điện nổ mìn đã được lắp ráp xong trước lúc có sấm chóp thì phải cho khởi nổ ngay với điềư kiện là đã thực hiện đầy đủ các qui định an toàn cho việc khởi nổ, hoặc phải tháo các dây dẫn khu vực ra khỏi mạng dây chính, đấu chập mạch mạng nổ mìn điện và quấn cách điện các đầu dây, mọi người phải rút ra ngoài giới hạn vùng nguy hiểm.
23. Cấm tiến hành công tác nổ mìn ở nơi không đủ ánh sáng, trường hợp nổ mìn ban đêm thì nơi làm việc và vùng nguy hiểm phải được chiếu sáng.
Ở lộ thiên, khi trời có sương mù dày đặc, phải áp dụng các biện pháp bổ sung để đảm bảo an toàn (tăng cường thêm trạm gác bảo vệ, tăng cường thông tin liên lạc, thông báo trên loa truyền thanh).
24. Nổ mìn ở độ cao trên 2 m khi thi công bãi mìn phải sử dụng thang có tay vịn chắc chắn hoặc dùng dây an toàn. Khi nổ các phát mìn lỗ nhỏ và mìn ốp để phá đá quá cỡ trên mặt đống đá nổ mìn, việc nạp mìn, lắp ráp mạng lưới nổ mìn, đốt mìn (nếu nổ bằng dây cháy chậm) chỉ được phép tiến hành theo thứ tự từ trên xuống dưới theo bề mặt của đống đá nổ mìn.
25. Sau khi nổ mìn nếu có những tảng đá treo, hàm ếch nguy hiểm cho người và thiết bị thì phải tìm cách loại trừ ngay những nguy hiểm đó dưới sự chỉ đạo của cán bộ phụ trách sản xuất ở khu vực đó.
Nếu không có khả năng giải quyết nhanh thì phải đặt biển báo hiệu báo cho mọi người không vào phạm vi nguy hiểm.
26. Khi phát hiện (hoặc nghi ngờ) có mìn câm, nếu ở lộ thiên thì thợ mìn phải lập tức cắm biển báo có mìn câm ở bên cạnh phát mìn bị câm. Nếu ở trong hầm lò thì ngừng ngay công việc ở gương. Trong cả hai trường hợp trên phải báo cho người chỉ huy nổ mìn hoặc cán bộ phụ trách sản xuất trực ca biết.
Các công việc liên quan trực tiếp với việc thủ tiêu mìn câm phải tiến hành theo sự hướng dẫn của người chỉ huy nổ mìn, quản đốc hoặc phó quản đốc trục ca của công ty nơi có mìn câm, cấm làm bất cứ việc gì khác không có liên quan với việc thủ tiêu mìn câm. Khi việc thủ tiêu mìn câm không kết thúc trong ca, phải bàn giao cho ca sau tiếp tục xử lý theo đúng thủ tục giao nhận đã quy định. ghi từng phát mìn câm vào "Sổ đăng ký các phát mìn câm và thời gian xử lý theo phụ lục N.
27. Khi nổ mìn điện mà bị câm, nếu tìm được hai đầu dây điện trong phát mìn lộ ra ngoài thì phải lập tức đầu chập mạch hai đầu dây đó lại.
28. Trong mọi trường hợp, cấm khoan tiếp vào đáy các lỗ mìn của loạt nổ trước dù ở trong đó có hoặc không có thuốc nổ còn sót lại.
29. Để thủ tiêu các phát mìn ốp bị câm, cho phép dùng tay thận trọng bóc lớp đất phủ trên mỏ phát mìn, đặt vào phát mìn bị câm một ngòi hoặc một thòi thuốc mồi mới, làm lại đất phủ mặt rồi khởi nổ lại theo trình tự thông thường.
30. Cho phép thủ tiêu các phát mìn lỗ nhỏ bị câm bằng cách cho nổ các phát mìn trong lỗ khoan phụ được khoan song song và cách lỗ mìn bị câm nhỏ hơn 30 cm. Khi nổ mìn tạo túi các lỗ khoan nhỏ khoảng cách này không nhỏ hơn 50 cm.
Số lượng và vị trí các lỗ khoan phụ do cán bộ trực ca sản xuất hoặc người chỉ huy công tác nổ mìn xác định. Để xác định hướng của lỗ khoan phụ, cho phép moi lấy vật liệu nút lỗ mìn câm một đoạn dài không quá 20 cm kể từ miệng lỗ.
Trong các mỏ hầm lò nguy hiểm về khí hoặc bụi nổ, nếu thấy dây dẫn kíp điện của phát mìn câm lộ ra ngoài, mà phát mìn câm đó vẫn nằm trong lỗ khoan, đường cản nhỏ nhất của phát mìn không bị giảm thì cho phép thợ mìn đứng ở nơi an toàn dùng dụng cụ chuyên dùng để kiểm tra sự kín mạch của kíp điện trong phát mìn câm đó. Nếu thấy kín mạch thì được khởi nổ lại theo trình tự thông thường.
Ở các mỏ quặng không nguy hiểm về khí hoặc bụi nổ và ở mỏ lộ thiên có áp dụng nổ mìn không nút bua thì cho phép nổ các phát mìn bị câm bằng cách đưa vào lỗ khoan một bao mìn mồi bổ sung.
31. Khi sử dụng súng bắn nước để khai thác than, quặng, cho phép thủ tiêu phát mìn trong lỗ khoan nhỏ bị câm bằng luồng nước của súng bắn nước dưới sự giám sát của cán bộ an toàn và thợ mìn. Trong lúc thủ tiêu mìn câm không được có người ở trong gương, người điều khiển súng bắn nước phải ở vị trí an toàn. Trong quá trình phun nước phải theo dõi phát hiện và thu hồi kíp điện trong phát mìn câm trôi ra.
32. Sau khi nổ phát mìn để thủ tiêu mìn câm, thợ mìn phải kiểm tra kỹ đống đá nổ để thu gom tất cả vật liệu nổ của phát mìn câm bị tung ra. Chỉ sau đó mới cho phép công nhân trở lại làm việc nhưng vẫn phải thận trọng theo dõi phát hiện vật liệu nổ còn sót lại.
Điều 18. Quy định về chuẩn bị ngòi mìn, ngòi mìn kiểm tra, ngòi mìn mồi
1. Các ngòi mìn, ngòi mìn kiểm tra phải chuẩn bị trong các phòng riêng cửa nhà chuẩn bị vật liệu nổ; phòng này phải được ngăn cách với các phòng chuẩn bị thuốc nổ bởi bức tường dày không nhỏ hơn 25 cm làm bằng vật liệu không cháy. Trong kho hầm lò thì việc chuẩn bị ngòi mìn, ngòi mìn kiểm tra được tiến hành trong các buồng chuyên dùng cho các mục đích này. Cấm chuẩn bị ngòi mìn kiểm tra trong các phòng để bảo quản hoặc cấp phát vật liệu nổ, trong phòng ở, chỗ tiến hành công tác nổ mìn. Ở những nơi chỉ nổ mìn một lần hoặc thời hạn nổ mìn không quá 6 tháng. thì cho phép chuẩn bị ngòi mìn, ngòi mìn kiểm tra trong các phòng thích hợp, trên bãi trống có mái che, trong lều.
Các thao tác khi chuẩn bị ngòi mìn phải làm trên bàn có gờ bao quanh cao hơn 3 cm, mặt bàn phủ lớp vật liệu mềm chiều dày không dưới 3 mm.
Khi nổ mìn lưu động (nổ mìn đào gốc cây,phá đá, đào lò cột,...) thì được phép chuẩn bị ngòi mìn ở ngoài trời. Chỗ đó phải ở ngoài giới hạn vùng nguy hiểm nổ mìn và cách chỗ bảo quản VLNCN không nhỏ hơn 25 m.
2. Khi chuẩn bị ngòi mìn và ngòi mìn kiểm tra, trên bàn của một thợ mìn không được để quá 100 chiếc kíp nổ và một lượng dây cháy chậm tương ứng.
Các ngòi mìn đã chuẩn bị xong phải được phân loại theo chiều dài và cuộn tròn lại, các ngòi mìn kiểm tra phải dùng dây bó lại và đặt lên giá riêng. Giá phải có gờ xung quanh và có chiều rộng không dưới 40 cm. Giá được đặt cao hơn mặt bàn từ 0,5 m đến 0,7 m. Ngòi mìn kiểm tra phải có dấu hiệu phân biệt (bằng dây buộc hoặc dây băng).
3. Khi có nhiều người cùng chuẩn bị ngòi mìn và ngòi mìn kiểm tra trên một bàn lớn thì phải dùng tấm gỗ dày không nhỏ hơn 10 cm để ngăn cách chỗ làm việc của từng người, chiều cao của tấm gỗ không nhỏ hơn 70 cm. Khoảng cách giữa các tấm ngăn với mép bàn không nhỏ hơn 1,5 m.
4. Mỗi cuộn dây cháy chậm đưa ra dùng để chuẩn bị ngòi mìn, ngòi kiểm tra phải cắt bỏ một đoạn 5 cm ở cả hai đầu. Chỉ được dùng một loại dây cháy chậm trong một đợt nổ.
5. Phải dùng dao sắc để cắt dây cháy chậm. Cho phép cắt đồng thời một số dây cháy chậm khi chúng được buộc thành chùm bằng một nhát cắt. Đầu dây cháy chậm đưa vào kíp nổ phải được cắt vuông góc với trục của dây.
Khi cắt dây cháy chậm không được để các kíp nổ trên mặt bàn. Khi đưa dây cháy chậm vào kíp nổ không được để dao cắt trên bàn.
6. Trong quá trình cắt dây cháy chậm, phải kiểm tra chất lượng của dây, cắt bỏ những đoạn dây bị hỏng vỏ, dập nát, hoặc có những khuyết tật khác.
7. Phải kiểm tra độ sạch bên trong miệng của mỗi kíp. Khi thấy có bụi bẩn thì chỉ được phép úp miệng kíp xuống, gõ nhẹ miệng kíp vào móng tay để bụi rơi ra. Cấm sử dụng bất cứ vải gì để lấy bụi hoặc làm sạch mặt trong của miệng kíp nổ.
8. Khi đưa đầu dây cháy chậm vào kíp nổ phải đưa thẳng cho tới khi sát vào mũ kíp, cấm xoáy dây.
9. Cho phép giữ chặt dây cháy chậm với kíp nổ bằng cách sau:
- Vỏ kíp bằng kim loại: chỉ được kẹp miệng kíp chặt vào dây bằng kìm chuyên dùng. Khi kẹp, cấm kẹp vào đoạn có chứa thành phần gây nổ của kíp;
- Vỏ kíp bằng giấy: cho phép dùng chỉ hoặc băng quấn quanh đầu dây cháy chậm cho vừa bằng đường kính trong của miệng kíp, đẩy thẳng vào miệng kíp; hoặc đưa đầu dây cháy chậm vào miệng kíp sau đó dùng chỉ, dây buộc để quấn thắt miệng kíp lại.
10. Để khởi nổ các phát mìn lỗ khoan nhỏ trong các hầm lò, chỉ được chuẩn bị các thỏi mìn mồi ở tại chỗ nổ mìn vào trước lúc nạp mìn với số lượng đủ để khởi nổ các phát mìn trong đợt nổ đó. Yêu cầu này không áp dụng khi nổ mìn để đào giếng.
Khi tiến hành nổ mìn trên mặt đất, bao mìn mồi được chuẩn bị ngay tại chỗ nổ mìn hoặc ở những chỗ được bố trí riêng cách chỗ nổ mìn không gần hơn 50 m.
Các bao mìn mồi có khối lượng lớn hơn 300 g dùng để khởi nổ các phát mìn trong lỗ khoan lớn và nổ mìn buồng phải chuẩn bị ở những chỗ riêng cách chỗ nạp mìn không gần hơn 50 m. Trong các hầm lò chỉ được chuẩn bị các bao mìn mới có khối lượng lớn hơn 300 g ở chỗ riêng biệt dưới sự giám sát của người chỉ huy nổ mìn.
Cho phép làm ngay cạnh lỗ khoan hoặc buồng mìn các bao mìn mồi không chứa kíp dùng để khởi nổ các phát mìn trong lỗ khoan lớn, mìn buồng (trừ khi dùng thuốc nổ nhóm 1.1A).
11. Khi chuẩn bị mìn mồi trước hết phải bóc đầu giấy ở thỏi thuốc nổ ra, dùng que gỗ hoặc tre dùi lỗ để đưa kíp hoặc dây nổ vào, sau đó gấp đầu giấy lên, dùng dây để buộc chặt vỏ giấy vào dây ngòi mìn, dây dẫn điện của kíp hoặc dây nổ. Phải đưa toàn bộ chiều dài của kíp vào trong thỏi thuốc nổ mà không phụ thuộc vào loại thuốc nổ đem dùng.
Khi nổ mìn bằng điện thì dùi lỗ để đưa kíp bằng dùi gỗ, tre mà không phải bóc đầu giấy của thỏi thuốc nổ, dùng ngay dây điện của kíp để buộc giữ kíp với thỏi chất nổ.
Khi dùng loại thuốc nổ có khả năng bốc cháy bởi tia lửa điện thì không được để dây cháy chậm của ngòi mìn tiếp xúc với thuốc nổ.
Nếu dùng thuốc nổ dạng ép, đóng bánh làm mìn mồi thì chúng phải có sẵn lỗ để tra kíp hoặc dây nổ (lỗ đã được chế sẵn từ nhà máy), cấm tuyệt đối không làm rộng, sâu thêm các lỗ đó.
Trước khi đưa kíp hoặc luồn dây nổ vào các thỏi thuốc nổ dạng bột có vỏ mềm thì phải bóp hoặc đập nhẹ bằng chày gỗ cho thuốc nổ tơi ra.
Khi nổ mìn trong các lỗ khoan có nước, phải sử dụng loại dây cháy chậm có vỏ cách nước, chỗ đưa kíp hoặc dây nổ vào thỏi thuốc nổ phải được làm cách nước.
Khi nổ mìn điện trong điều kiện có nước, phải sử dụng loại kíp điện chịu nước để chuẩn bị mìn mồi.
12. Khi nhúng vỏ bao mìn mồi vào chất cách nước thì không được để cho chất cách nước đang nóng tiếp xúc với dây nổ hoặc dây cháy chậm của bao mìn mồi đó. Chỗ đưa dây vào thỏi mìn chỉ được nhúng chất cách nước có nhiệt độ không cao quá 600C.
13. Khi khởi nổ các phát mìn bằng dây nổ thì đầu cuối sợi dây nổ đưa vào thỏi thuốc nổ phải được nút hoặc gấp lại ít nhất hai lần. Nếu vỏ của thỏi thuốc nổ làm bằng giấy hoặc vải thì được phép dùng dây nổ cuốn thành mỗi vòng xung quanh thỏi thuốc nổ để đảm bảo kích nổ tốt.
14. Nếu vỏ bao mìn mồi làm bằng kim loại thì không được phép hàn vỏ bao sau khi đã đưa thuốc nổ vào bao.
15. Chỉ được phép chuẩn bị số mìn mồi vừa đủ với số lượng các phát mìn cần nổ. Các bao mìn mồi không sử dụng phải tiêu hủy vào cuối ca làm việc bằng cách nổ theo quy định tại Điều 16 của Quy chuẩn này.
16. Cấm đưa thêm kíp nổ bổ sung vào trong các phát mìn để tăng khả năng kích nổ.
17. Khi nổ các phát mìn dài (trong lỗ khoan nhỏ hoặc lớn) cho phép nạp vào thỏi mìn mồi hai chiếc kíp điện cùng loại.
Điều 19. Qui định an toàn khi áp dụng các phương pháp nổ mìn khác nhau
1. Nổ mìn bằng dây cháy chậm
a) Cho phép đốt ngòi mìn bằng mỗi lửa âm ỉ, bằng mỗi đoạn dây cháy chậm hoặc các phương tiện chuyên dùng khác (các ống đốt). Khi chỉ khởi nổ một phát mìn cho phép dùng diêm để đốt ngòi mìn.
b) Khi đốt lần lượt một số ngòi mìn thì chiều dài dây cháy chậm của các ngòi mìn phải được tính sao cho sau khi đốt ngòi thứ nhất, người thợ mìn còn đủ thời gian để đốt xong tất cả các ngòi mìn còn lại và đi đến chỗ an toàn (ngoài phạm vi vùng nguy hiểm hoặc hầm trú ẩn) .
Khi nổ mìn ở gương lò có dùng ống đốt để đốt ngòi mìn thì chiều dài dây của ngòi mìn phải đảm bảo khởi nổ được lần lượt các phát mìn theo trình tự đã định. Trong mọi trường hợp (trừ trường hợp đã định tại điểm đ, khoản 10 Điều 22 của Quy chuẩn này), chiều dài của ngòi mìn không được nhỏ hơn 1 m và đoạn dây cháy chậm nằm ngoài miệng lỗ mìn không được ngắn hơn 25 cm.
c) Trong một lần khởi nổ có từ hai thợ mìn trở lên cùng đốt các ngòi mìn thì phải chỉ định một người làm nhóm trưởng. Nhóm trưởng phải đốt ngòi mìn kiểm tra (hoặc đoạn dây cháy chậm kiểm tra) , ra lệnh thời gian bất đầu đốt ngòi mìn, việc rút lui của cả nhóm thợ ra vị trí an toàn. Nhóm trưởng có thể ra lệnh bằng mồm hoặc tín hiệu đã được qui ước và phải phổ biến để tất cả thợ mìn biết tín hiệu này.
d) Trên mặt đất, khi phải đốt từ 5 ngòi mìn trở lên phải dùng ngòi mìn kiểm tra để kiểm tra thời gian đã tiêu hao vào việc đốt các ngòi mìn.
Dây cháy chậm của ngòi mìn kiểm tra phải ngắn hơn dây của các ngòi mìn đốt đầu tiên là 60 cm nhưng không được ngắn hơn 40 cm. Ngòi mìn kiểm tra được đốt đầu tiên.
đ) Ở trên mặt đất, ngòi mìn kiểm tra được đặt cách phát mìn đốt đầu tiên không gần hơn 5 m và không được đặt trên đường rút lui của thợ mìn ra nơi an toàn.
e) Sau khi đốt xong các ngòi mìn hoặc sau khi ngòi mìn kiểm tra đã nổ (hoặc đoạn dây cháy chậm kiểm tra đã cháy hết) thì tất cả thợ mìn phải lập tức rút ra khỏi bãi mìn đến nơi an toàn.
g) Cấm dùng ngòi mìn dài hơn 10 m. Khi ngòi mìn dài hơn 4 m thì phải dùng đúp 2 ngòi mìn, hai ngòi mìn này phái được đốt đồng thời.
h) Khi nổ mìn bằng dây cháy chậm, thợ mìn phải đếm số phát mìn đã nổ, nếu không thể đếm được(khi nổ đồng loạt nhiều phát mìn một lúc) hoặc khi có bất kỳ phát mìn nào không nổ thì thợ mìn chỉ được trở lại chỗ bãi mìn vừa nổ sau 15 phút kể từ lúc phát mìn cuối cùng nổ.
Khi nổ trên mặt đất, nếu không có mìn câm, chỉ sau khi đất đá ngừng xô đẩy trên gương tầng thì thợ mìn mới được vào trong bãi mìn, nhưng không được sớm hơn 5 phút kể từ lúc phát mìn cuối cùng nổ; còn ở trong hầm lò thì sau khi đã thông gió hết khói mìn, các thợ mìn mới được vào chỗ nổ.
i) Cấm nổ mìn bằng dây cháy chậm ở tất cả các mỏ than, mỏ quặng hầm lò có nguy hiểm về khí hoặc bụi nổ, ở trong các lò đứng, lò nghiêng có độ dốc trên 300 hoặc trong các trường hợp mà thợ mìn rút ra nơi an toàn gặp khó khăn, trở ngại.
2. Nổ mìn bằng dây nổ
a) Trước khi đưa dây nổ vào bao mìn mồi hoặc phát mìn, dây nổ phải được cắt thành từng đoạn có chiều dài theo yêu cầu.
Chỉ được phép đấu hai đoạn dây nổ với nhau hoặc dây nhánh với dây chính bằng mối ghép phẳng, hoặc bằng các phương pháp đã qui định trong bảng hướng dẫn sử dụng của nhà chế tạo.
Khi đầu ghép phẳng thì chiều dài đoạn chồng khít lên nhau không được nhỏ hơn 10 cm và mối ghép được buộc chặt vào nhau bằng băng dính hoặc dây chắc.
b) Khi đấu các kíp của ngòi mìn kíp điện hoặc rơ le vi sai vào đường dây nổ chính để khởi nổ lại dây nổ thì chúng phải được đặt sát khít với dây nổ ở đoạn cách đầu dây từ 10 đến 15 cm.
c) Khi đấu dây nhánh vào dây chính phải đấu sao cho hướng truyền nổ của dây nhánh trùng với hướng truyền nổ của dây chính.
d) Khi lắp mạng dây nổ, không được để dây nổ bị xoắn, gẫy. Khi có các dây giao nhau thì phải đặt một vật (cục đất, miếng gỗ) dày hơn 10 cm xen vào giữa chỗ giao nhau.
đ) Khi đấu đúp mạng thì phải đồng thời khởi nổ cả 2 mạng bằng một hoặc vài chiếc kíp được buộc chặt vào nhau.
e) Mạng dây nổ đấu ở ngoài trời có nhiệt độ ≥ 300 C cần được che phủ để tránh tác dụng của ánh sáng mặt trời.
3. Nổ mìn bằng kíp điện
a) Không được bảo quản, vận chuyển kíp điện ở gần các nguồn thu, phát sóng điện từ tần số radio một khoảng cách nhỏ hơn khoảng cách quy định tại Phụ lục B Quy chuẩn này, trừ trường hợp kíp điện được bao gói trong bao bì của nhà sản xuất hoặc được để trong các hòm có vỏ bọc kim loại có chèn lót đệm mềm không phát sinh tia lửa khi ma sát. Cấm sử dụng thiết bị thu, phát sóng điện từ tần số radio cầm tay (điện thoại di động, thiết bị vi sóng...) trong phạm vi bán kính 50 m của khu vực nổ mìn bằng kíp điện.
b) Tất cả các kíp điện trước khi đem sử dụng phải được đo trị số điện trở của chúng để kiểm tra sự phù hợp với giới hạn qui định của nhà chế tạo. Khi sử dụng kíp điện để nổ mìn phá đá quá cỡ thì không phải đo điện trở kíp như trên, mà chỉ cần lấy ngẫu nhiên 5% số kíp điện trong mỗi hộp để đo kiểm tra.
Việc đo điện trở của kíp phải tiến hành trên các bàn có gờ xung quanh, đặt trong buồng riêng của kho hầm lò, nhà chuẩn bị VLN, trên bãi trống có mái che. Khi đo điện trở kíp trên bàn của một thợ mìn không được có quá 10 kíp. Các kíp được đo phải đặt trong ống kim loại hoặc phía sau tấm gỗ dày không nhỏ hơn 10 cm.
Sau khi đo điện trở thì hai đầu dây dẫn của kíp phải được đấu chập lại và phải giữ ở trạng thái đó cho đến lúc đấu kíp vào mạng nổ mìn.
c) Các dụng cụ đo điện trở của kíp điện, mạng điện nổ mìn phải có dòng điện phát vào mạch đo không vượt quá 50 mA. Các dụng cụ đo này phải được kiểm định 01 lần/06 tháng, nghiệm thu theo đúng qui định của nhà chế tạo và phải thường xuyên đựợc kiểm tra, đặc biệt sau mỗi lần thay pin hoặc sửa chữa.
d) Các kíp điện mà dây dẫn có vỏ không chịu nước chỉ được dùng để nổ mìn ở lộ thiên trong điều kiện khô ráo.
Đường dây dẫn chính của mạng nổ mìn phải tốt và chỉ được dùng loại có vỏ bọc cách điện.
Chú thích - Khi nổ mìn trên mặt đất, cho phép sử dụng dây trần làm đường dây chính, khi đó dây phải được mắc trên cột có sứ cách điện.
đ) Mạng điện nổ mìn luôn luôn phải có hai dây dẫn, cấm sử dụng nước, đất, đường ống dẫn kim loại. đường ray, dây cáp.... để làm một trong hai dây dẫn trừ trường hợp nêu tại điểm o, khoản 7, Điều 22 của Quy chuẩn này.
e) Toàn bộ kíp điện sử dụng trong một mạng nổ mìn điện phải cùng loại và cùng một nhà sản xuất. Phải kiểm tra xác định trị số dòng rò điện (dòng điện lạc) khi nổ mìn ở những nơi mà mạng nổ mìn điện đi gần nguồn điện có khả năng gây ra dòng rò điện (đường điện ngầm, thiết bị điện, đường ray kim loại của tàu điện...). Nếu trị số dòng điện rò lớn hơn 50 mA trên 1 Ω điện trở đo tại khu vực đặt kíp điện đối với nổ mìn trên mặt đất hoặc 0,25 V đo giữa ống chống và giàn khoan đối với nổ mìn trên giàn khoan dầu khí, phải kiểm tra và loại trừ nguồn gây ra dòng điện rò trước khi tiến hành nạp, nổ mìn.
g) Đầu dây nối mạng phải được cạo sạch, mối nối phải chặt và phải quấn băng cách điện.
h) Khi nổ các phát mìn trong lỗ khoan có đường kính lớn và nổ mìn buồng, phải tính điện trở chung của cả mạng điện nổ mìn, sau khi lắp xong mạng điện, phải dùng dụng cụ chuyên dùng để đo điện trở. Khi trị số điện trở đo sai lệch với trị số tính toán trên 10% thì phải tìm nguyên nhân gây ra sai lệch đó. Khoảng thời gian tiếp xúc mạng điện nổ mìn vào hai cọc đầu dây của dụng cụ đo không được kéo dài quá 4 giây.
i) Chỉ sau khi đã nạp mìn và lấp bua xong tất cả các phát mìn của một đợt nổ và đã đưa những người không có liên quan tới việc lắp ráp mạng điện nổ ra nơi an toàn, mới được phép đấu nối các dây nhánh với nhau và dây nhánh với dây chính.
k) Các máy nổ mìn, cầu dao để đóng nguồn điện nổ mìn phải đặt ở vị trí an toàn. Máy và cầu dao này phải có cọc đấu dây chuyên dùng để đấu với đường dây dẫn chính của mạng điện nổ mìn. Cấm đấu đường dây dẫn chính của mạng điện nổ mìn trực tiếp vào bất cứ một nguồn điện nào không qua cầu dao chuyên dùng cho nổ mìn, đầu dây dẫn chính khi chưa đấu vào cầu dao phải cách cầu dao một khoảng ít nhất 5 m.
l) Chỉ những thợ mìn đã qua đào tạo, huấn luyện và có kinh nghiệm ít nhất một năm làm việc với phương pháp nổ mìn điện mới được phép đấu, lắp mạng điện nổ mìn.
m) Cấm đấu mạng điện nổ mìn theo hướng đi từ nguồn điện đến các phát mìn.
n) Hai đầu dây dẫn của phần mạng điện nổ mìn đã lắp ráp phải được đấu chập mạch với nhau cho tới khi đấu phần này với phần sau của mạng điện.
Khi hai đầu dây ở phía đối diện chưa được đấu chập mạch với nhau, cấm đấu 2 đầu dây dẫn của phần đã lắp ráp của mạng điện nổ mìn với đầu dây của phần tiếp theo. Đầu cuối cùng của đường dây dẫn chính của mạng điện nổ mìn phải được đấu chập mạch cho tới lúc đấu chúng vào cọc đấu dây của máy nổ mìn hoặc cầu dao điện
o) Kể từ lúc bắt đầu lắp ráp mạng nổ mìn, tất cả các thiết bị điện, dây cáp điện, mạng điện tiếp xúc và các đường điện trên không, nằm ở trong giới hạn của vùng nguy hiểm đều không được mang điện. Trong thời gian lắp ráp mạng điện nổ mìn, cho phép đường cáp chiếu sáng được mang điện với điện áp nhỏ hơn 36V, để chiếu sáng chỗ làm việc.
p) Cho phép sử dụng các máy nổ mìn, mạng điện lực, mạng điện chiếu sáng để làm nguồn điện khởi nổ. Cầu dao đấu vào mạng điện lực, mạng điện chiếu sáng phải là cầu dao chuyên dùng để nổ mìn. Cầu dao phải đặt trong hòm, tủ có khoá.
q) Chìa khoá của máy nổ mìn, khoá hộp cầu dao nói ở điểm p, khoản này phải do người chỉ huy nổ mìn giữ trong suốt thời gian từ lúc chuẩn bị nạp cho đến lúc khởi nổ. Cấm giao chìa khoá máy nổ mìn và khoá hộp cầu dao điện cho bất cứ người nào khác.
r) Khi nổ mìn điện, thợ mìn chỉ được ra khỏi hầm trú ẩn khi đã tháo hai đầu dây dẫn chính ra khỏi nguồn điện và đấu chập mạch lại với nhau, nhưng không được sớm hơn 5 phút kể từ lúc nổ mìn, đất đá hết xô đổ (nếu ở lộ thiên), hoặc sau khi đã thông gió theo qui định (nếu ở hầm lò) .
s) Khi đóng cầu dao điện, quay chìa khoá đến vị trí khởi nổ (nếu là máy nổ mìn), mà phát mìn không nổ, thì người khởi nổ phải tháo hai đầu dây dẫn chính ra khỏi cầu dao, máy nổ mìn, đấu chập hai đầu dây lại. Khoá cầu dao, cất chỉa khoá của hộp cầu dao và máy nổ mìn. Chỉ sau các công việc kể trên mới bắt đầu việc xem xét nguyên nhân mìn bị câm. Trong trường hợp này phải chờ ít nhất 10 phút tuỳ theo kiểu kíp điện được sử dụng, mới được phép đi vào bãi mìn để xem xét
t) Khi khởi nổ cường độ dòng điện gây nổ phóng vào mỗi kíp không được nhỏ hơn 1 A. Khi số lượng kíp được nổ đồng loạt đến 100 chiếc, không nhỏ hơn 1,3 A khi số lượng kíp nổ đồng thời 300 chiếc và không nhỏ hơn 2,5 A khi khởi nổ bằng dòng điện xoay chiều.
u) Tất cả các máy nổ mìn trước khi đưa ra sử dụng phải được kiểm tra ở điện áp xung lâu dài (chỉ đối với mỏ nguy hiểm về khí hoặc bụi nổ), dòng điện xung tăng cường và phải được kiểm định theo tiêu chuẩn hiện hành.
4. Nổ mìn bằng phương tiện nổ phi điện
a) Chỉ được thi công và tiến hành nổ theo đúng thiết kế (hộ chiếu) đã được duyệt. Trong mạng nổ nhiều hàng, mạng dây chính phải được thiết kế sao cho sóng nổ truyền đến các lỗ mìn từ hai hướng.
b) Không sử dụng các dây phi điện có sự thay đổi mầu sắc hoặc có sự khác nhau về màu sắc trên cùng một dây. Không được kéo căng, vặn xoắn, làm mài mòn rạn vỡ, cắt ngắn hoặc làm dập dây phi điện. Dây dẫn chính chưa sử dụng phải được bịt kín tránh ẩm, bụi lọt vào.
c) Chỉ được rải ngòi nổ phi điện trên mặt sau khi đã đã hoàn thành công việc nạp thuốc và lấp bua.
d) Dây phi điện phải được cố định chắc chắn trên hộp đấu. Phải đấu ghép mạng nổ và khởi nổ theo hướng dẫn của nhà chế tạo. Cho phép dùng kíp đốt, kíp điện, dây nổ để khởi nổ kíp phi điện nhưng phải áp chặt kíp hoặc dây nổ với ống phi điện bằng băng dính hoặc dây buộc mềm.
đ) Hạt nổ kích thích gây nổ, dụng cụ gây lực cơ học (súng, cối dập) phải để nguyên trong hộp do người chỉ huy công tác nổ mìn giữ.
e) Chỉ sau khi đã thi công bãi mìn xong, người và thiết bị đã di chuyển tới nơi an toàn, đã nhận tín hiệu của các trạm gác, người chỉ huy nổ mìn rời bãi mìn đến nơi an toàn tiến hành lắp hạt nổ tác động khởi nổ.
Điều 20. Qui định về cơ giới hoá việc nạp VLNCN
1. Chỉ được sử dụng các thiết bị, phương tiện đã được cơ quan Nhà nước có thẩm quyền cho phép dùng để cơ giới hoá việc nạp chất nổ vào lỗ khoan.
2. Cho phép cơ giới hoá việc nạp thuốc nổ nhóm 1.1D, 1.5D ở dạng đóng bao, dạng lẫn nước và dạng hạt (tơi) nhưng trong thành phần của thuốc nổ không chứa nitroeste, hecxôgen hoặc ten.
3. Khi nạp, chuyển thuốc nổ bằng không khí nén phải dùng đường ống chế tạo bằng vật liệu bán dẫn điện có điện trở sao cho hạn chế được dòng dò điện đến mức an toàn đồng thời vẫn đảm bảo khả năng tiêu tán được tĩnh điện sinh ra trong quá trình nạp chuyển. Giá trị điện trở của toàn bộ ống nạp, chuyển thuốc nổ không được vượt quá 2.106 Ω và không nhỏ hơn 3.500 Ω trên một mét đường ống.
Toàn bộ hệ thống nạp (thiết bị nạp và đường ống) phải được tiếp đất.
Chú thích:
a ) Đường ống của hệ thống nạp phải được tráng một lớp có điện trở không đổi trên toàn bộ chiều dài, chống được dầu mỡ và phải là loại ống mềm .
b) Không được sử dụng ống này vào mục đích khác. Đường ống của hệ thống nạp phải có dấu hiệu để phân biệt.
c) Khi lắp ráp không được để ống cong tạo thành góc nhỏ hơn 1100.
4. Để tránh các vật cứng (cục đá, vật kim loại) lọt vào thiết bị nạp và đường ống dẫn, tại phần cấp điện cần đặt tấm lưới kim loại (loại không phát sinh ra tia lửa khi va đập) có kích thước lỗ không lớn hơn 8 mm x 8 mm nếu lưới có lỗ tròn thì đường kính lỗ không lớn hơn 10 mm.
5. Khi nạp chất nổ dạng rời, không được để bụi thuốc nổ bay lan toả ra môi trường xung quanh, bề mặt các chi tiết của thiết bị nạp không được nóng quá 600C.
6. Tốc độ di chuyển của thuốc nổ ở dạng bao, thỏi ở trong lỗ khoan lớn không được lớn hơn 0,6 m/s. Nếu nạp mìn bằng cơ giới thì tốc độ di chuyển của thuốc nổ trong lỗ không phải theo qui định của điều này mà phụ thuộc vào tính năng của thiết bị đó.
7. Trong mọi trường hợp, chỉ được phép dùng phương pháp thủ công để đưa các bao mìn mồi vào lỗ khoan.
8. Ngay sau khi kết thúc việc nạp mìn phải làm vệ sinh sạch sẽ thiết bị nạp và đường ống dẫn không được để chất nổ còn sót lại.
9. Cấm sửa chữa máy nạp ngay tại chỗ nạp mìn hoặc trong lúc máy nạp đang chứa VLNCN. Khi sửa chữa thiết bị nạp thì vật liệu, chi tiết thay thế phải theo đúng yêu cầu kỹ thuật của nhà chế tạo. Bất kể sự thay đổi nào trong kết cấu của máy nạp đều phải được phép bằng văn bản của cơ quan đã cho phép sử dụng máy.
10. Người vận hành máy nạp mìn phải là thợ mìn được huấn luyện phương pháp cơ giới hoá nạp mìn và qui trình vận hành an toàn các máy nạp, khi kiểm tra phải đạt kết quả và được cấp giấy chứng nhận.
Điều 21. Qui định về nổ mìn trong hầm lò
1. Nổ mìn trong lò bằng và lò nghiêng (có góc dốc đến 300)
a) Trước khi bắt đầu nạp mìn, theo hiệu lệnh của thợ mìn, tất cả mọi người trong khu vực gương lò phải rút ra nơi an toàn. Chỗ an toàn phải được thông gió bình thường, tránh được đất đá văng, được chống đỡ chắc chắn. Khi nổ mìn ở trong lò chợ dài trên 30 m độ dốc đến 200, cho phép mọi người không phải rút khỏi lò chợ nhưng phải đến chỗ cách nơi nổ mìn không gần hơn 30 m về hướng ngược với chiều đi của khí độc sinh ra khi nổ mìn. Trong trường hợp dộ dốc của lò chợ từ 200 đến 300 cho phép áp dụng Điều qui định trên nhưng trong một đợt nổ không được dùng quá 3 kg thuốc nổ và phải có biện pháp ngăn vật liệu tự xô xuống phía dưới khi nổ mìn.
b) Việc nổ mìn ở các gương lò sắp thông nhau và các lò nối phải tuân theo các qui định sau:
- Kể từ lúc hai gương lò còn cách nhau 20 m thì trước khi nạp mìn ở một trong hai gương, tất cả mọi người phải rút ra khỏi hai gương đến chỗ an toàn, đặt trạm gác cấm người vào gương lò nổ mìn và gương đối điện theo qui định.Kể từ khoảng cách này cho tới lúc hai gương thông nhau, việc nổ mìn ở mỗi gương phải tiến hành vào các thời điểm khác nhau. Khi đó phải xác định chính xác khoảng cách còn lại giữa hai gương;
- Lúc 2 gương còn cách nhau 7 m, chỉ được tiến hành công tác ở một gương và nhất thiết phải khoan một lỗ khoan thăm dò có chiều sâu lớn hơn chiều sâu của lỗ khoan 1 m trở lên;
- Khi nổ mìn ở lò nối, phải đo chính xác khoảng cách còn lại của trụ than, quặng. Khi chiều dày của trụ còn lại 7 m thì tất cả mọi người ở chỗ lò sẽ nối thông nhau và gương độc đạo của lò này đều phải rút ra nơi an toàn, phải đặt các trạm gác ở giới hạn nguy hiểm. Trong các hầm lò có nguy hiểm về khí hoặc bụi nổ, ngoài các qui định trên còn phải tiến hành đo khí, thông gió cho các lò này;
- Khi nổ mìn ở gương của một trong hai lò đào song song và cách nhau 20 m thì mọi người ở gương thứ hai phải rút ra nơi an toàn.
Trong các trường hợp nêu trên, chỉ được phép khởi nổ sau khi đã nhận được thông báo rằng mọi người đã rút hết khỏi gương lò đối điện và đã đặt trạm gác bảo vệ. Chỉ sau khi nổ mìn xong và được lệnh của người trực tiếp nổ mìn mới được phép bỏ trạm gác ở gương lò đối diện.
c) Cấm nổ mìn ở địa điểm cách kho VLNCN hầm lò dưới 30 m; nếu trong kho hầm lò có người đang làm việc thì khoảng cách này không dưới 100 m. Khoảng cách nêu trên đây được tính từ chỗ nổ đến hầm chứa VLNCN gần nhất.
d) Cấm nổ mìn nếu trong khoảng 20 m kể từ chỗ nổ đi ra ngoài còn có đất đá chưa xúc hết, các toa xe, đồ vật chiếm trên 1/3 tiết diện ngang của lò làm cản trở việc thông gió và lối rút ra nơi an toàn của thợ mìn.
đ) Cấm nạp và nổ mìn trong gương lò mà có khoảng chưa chống lớn hơn qui định trong thiết kế chống lò hoặc khi vì chống ở gương đã bị hư hỏng.
e) Khi nổ mìn trong lò bằng và lò nghiêng (có độ dốc đến 300) để khấu than, quặng, nổ mìn để đào lò chuẩn bị hoặc đào các công trình ngầm (tuy nen, hầm chuyên dùng...) được phép áp dụng tất cả các phương pháp nổ mìn đã được qui định. Khi nổ mìn bằng dây cháy chậm không được nổ quá 16 phát trong một đợt. Khi dùng ống đốt thì số lượng ống đốt không vượt quá 10 ống trong một đợi cho 1 gương.
Trong những trường hợp riêng, được khởi nổ vừa bằng ống đốt vừa bằng ngòi mìn riêng lẻ nhưng với tổng số các loại không vượt quá 16, trong đó không quá 6 ống đốt cho 1 gương lò. Khi cần khởi nổ trên 16 phát mìn trong một đợi nổ mà không dùng ống đốt thì chỉ được khởi nổ bằng điện hoặc bằng dây nổ.
g) Khi nổ mìn bằng dây cháy chậm ở trong các lò chợ dài trên 50 m, chiều cao khấu trên 1,8 m có nóc, nền ổn định và có độ dốc dưới 200 thì không hạn chế số lượng phát mìn được nổ đồng thời. Trình tự đốt các phát mìn của thợ mìn phải có chiều ngược với chiều đi của hướng gió.
h) Trong các lò nghiêng có độ dốc trên 300 thì chỉ được nổ mìn bằng dây nổ hoặc bằng điện. Việc khởi nổ các phát mìn phải tiến hành từ nơi an toàn.
i) Khi nổ mìn bằng dây cháy chậm thì cho phép 1 thợ mìn đốt các ngòi mìn. Nếu đào lò có gương rộng trên 5 m cho phép 2 thợ mìn cùng đốt nhưng phải tuân theo điểm c, khoản 1 Điều 19 và điểm e, khoản này.
k) Lượng không khí sạch đưa vào mỗi gương lò có nổ mìn phải đảm bảo để sau khi thông gió không quá 30 phút thì lượng khí độc sinh ra do nổ mìn tại đường lò người đi vào gương làm việc giảm xuống còn không quá 0,006% (tính theo thể tích) khi tính chuyển đổi sang cacbon oxit qui ước. Việc kiểm tra hàm lượng khí độc nêu trên phải tiến hành 1 tháng/1lần và mỗi khi tăng lượng chất nổ cho một lần nổ trong gương.
l) Việc thông gió cho gương vừa nổ mìn phải đảm bảo sau 2 giờ, kể từ khi đưa người vào làm việc thì hàm lượng không khí (ô xi, cacboníc, cacbon oxit) và nhiệt độ phải theo qui định của qui phạm an toàn khai thác hầm lò.
m) Khi nổ mìn để phá đá quá cỡ, thông tắc cho các lò tháo quặng phải tiến hành theo qui định riêng, được lãnh đạo đơn vị phê duyệt.
2. Nổ mìn trong lò giếng đứng
a) Khi đào và đào sâu thêm giếng đứng, chỉ được nổ mìn bằng điện hoặc bằng dây nổ. Người khởi nổ các phát mìn phải ở trên mặt đất hoặc ở mức đang khai thác trong các lò có gió sạch đi qua.
b) Chỉ được phép chuẩn bị mìn mồi ở trên mặt đất ở cách các nhà cửa. công trình, đường giao thông một khoảng cách tính theo Khoản 8, Điều 4 của Quy chuẩn này và cách miệng giếng mỏ lớn hơn 50 m.
Khi đào sâu thêm giếng mỏ cho phép chuẩn bị mìn mồi ở trong một cúp riêng của một trong các mức đang khai thác của mỏ.
c) Phải dùng thùng trục để đưa các bao mìn mồi xuống giếng.- Các bao mìn mồi phải xếp trong các hòm đựng chuyên dùng. Cấm dùng thùng trục kiểu tự lật, kiểu thùng dỡ hàng qua đáy. Tốc độ chuyển động của thùng trục không được vượt quá 1 m/s; khi sử dụng thùng trục có đường định hướng thì không được vượt quá 2 m/s.
d) Trong thùng trục đưa các bao mìn mồi xuống giếng, không được để thuốc nổ, không được có người, trừ người thợ mìn mang xách mìn mồi. Số lượng mìn mồi chỉ cần đủ cho đợt nổ đó.
đ) Khi đưa VLNCN xuống giếng đang đào sâu thêm, trong giếng không được có bất kỳ ai ngoài thợ thi công nổ mìn và thợ vận hành bơm nước.
e) Mạng điện nổ mìn trong gương giếng đứng phải được lắp ráp theo kiểu anten. Các cọc để đặt dây anten phải đủ chiều cao để anten không bị ngập khi nước thoát ra. Đường dây chính của mạng điện nổ mìn phải dùng loại cáp điện mềm có vỏ bọc chịu nước. Cấm dùng các kíp điện có dây dẫn ngắn hơn 2,5 m và có vỏ cách điện không chịu nước. Chỉ được lắp ráp mạng điện nổ mìn sau khi tất cả công nhân đã rời khỏi giếng mỏ.
g) Trong thời gian đưa thuốc nổ xuống giếng và trong lúc nạp mìn chỉ cho phép người dẫn hướng thùng trục có mặt trên sàn công tác. Trong thời gian nạp mìn cấm làm bất cứ việc gì trên sàn công tác.
h) Sau khi nạp và lắp ráp mạng điện nổ mìn, khi rút lên mặt đất, người thợ mìn mở tất cả các cửa nắp đậy miệng giếng tại sàn công tác và đưa mọi người trong nhà tháp giếng ra ngoài, trừ người có trách nhiệm ở lại để khởi nổ.
3. Nổ mìn trong hầm lò than có khí hoặc bụi nổ
a) Trong hầm lò than có nguy hiểm về khí hoặc bụi nổ được tiến hành công tác nổ mìn với các điều kiện sau:
- Các gương lò phải được thông gió liên tục bằng luồng gió sạch, số lượng và tốc độ không khí phải phù hợp với qui định trong "Qui phạm an toàn trong các hầm lò than và diệp thạch", nếu là gương độc đạo phải đo khí trong khoảng 3 m tính từ gương trở ra;
- Sử dụng thuốc nổ an toàn dạng thỏi, hoặc thuốc nổ có vỏ bọc an toàn và các phương tiện nổ không phát lửa đã được cơ quan Nhà nước có thẩm quyền cho phép;
- Kíp điện, máy nổ mìn, dụng cụ để đo điện trở của mạng nổ mìn phải là loại an toàn nổ được cơ quan Nhà nước có thẩm quyền cho phép;
- Không cấp đồng thời các VLNCN loại an toàn và không an toàn cho một thợ mìn.
b) Trong các mỏ hầm lò có nguy hiểm về khí, việc nổ mìn ở các gương lò chuẩn bị mà gió thải từ đó sẽ đi qua gương khấu than, phải tiến hành vào thời gian giao ca hoặc trong ca chuẩn bị sản xuất, lúc đó mọi người phải ra khỏi gương khấu than đến chỗ có gió sạch đi qua và cách chỗ nổ mìn không ít hơn 200 m. Yêu cầu này không phải áp dụng khi dùng phương tiện nổ là loại không bốc lửa.
c) Trong các mỏ hầm lò nguy hiểm về khí cấp 3 hoặc siêu cấp, công tác nổ mìn ở trong than và trong đá sẽ do phó giám đốc kỹ thuật của cấp trên trực tiếp qui định cụ thể riêng cho từng mỏ, nhưng không được trái với những qui định trong Quy chuẩn này.
Ở các mỏ nói trên khi khấu các trụ than phía trên lò dọc vỉa thông gió đồng thời với việc khai thác ở lò chợ của phân tầng dưới, thì việc nổ mìn đào các lò chuẩn bị để khấu trụ than chỉ được tiến hành vào thời gian ngừng mọi công việc ở lò chợ và mọi người phải rời đến nơi an toàn.
d) Trong các hầm lò có nguy hiểm về khí ở tất cả các cấp hoặc bụi nổ, cho phép dùng kíp vi sai cùng với kíp nổ tức thời để nổ mìn trong các gương than, gương vừa đá vừa than với các điều kiện sau:
- Thời gian chậm tối đa của các kíp điện vi sai có tính đến độ chậm sai số không được phép vượt quá 135 ms;
- Các gương than của lò chuẩn bị được đào bằng gương hẹp thì toàn bộ các phát mìn phải được khởi nổ trong một đợt;
- Các lò chuẩn bị than được đào bằng gương rộng mà không đánh rạch bằng máy thì tất cả các phát mìn phải được khởi nổ trong một đợt. Khi chiều rộng của gương trên 5 m cho phép chia phát mìn ra thành 2 đợt (chia đợt nổ theo chiều rộng gương) nhưng các lỗ khoan của đợt nổ thứ hai chỉ được nạp mìn sau khi đã nổ xong đợt một và xúc dọn hết than trong gương;
- Các lò chuẩn bị đào trong than có cắt đá vách hoặc đá trụ thì việc nổ các phát mìn trong than, trong đá có thể chia thành hai đợt riêng hoặc nổ đồng thời. Trường hợp chia thành hai đợt nổ thì phải theo hộ chiếu nổ, phó giám đốc kỹ thuật mỏ ký. Chỉ nạp và nổ các phát mìn sau khi đã thông gió gương lò, xúc dọn than ở gương, đo khí, rải bụi trơ ở gương và các đoạn lò dẫn đến gương (nếu là mỏ có nguy hiểm về bụi nổ) và thực hiện các biện pháp đảm bảo an toàn cho những công việc tiếp sau ở gương;
- Cấm chia thành ba đợt nổ trở lên;
- Các trường hợp đã nêu trên thì các lỗ mìn đã nạp đều phải nổ đồng thời. Ngoài ra chỉ được khởi nổ các phát mìn khi ở cách gương trong vòng 10 m không có các đống than đã nổ. Trước mỗi lần nổ phải đo khí, phun nước làm ẩm bụi hoặc rải bụi trơ (nếu là mỏ nguy hiểm về bụi ở gương) một đoạn khoảng 20 m từ chỗ nổ mìn trở ra.
đ) Các gương lò chỉ đào trong đá ở mỏ nguy hiểm về khí hoặc bụi nổ, khi hàm lượng khí mê tan ở trong gương nhỏ hơn 1% và khi hoàn toàn không có bụi than thì có thể dùng kíp điện tức thời, kíp điện vi sai để nổ mìn. khi đó thời gian chậm tối đa của kíp điện vi sai (có tính cả độ chậm sai số không vượt quá 195 ms).
Không được nổ quá hai đợt trong một gương nổ.
e) Cấm dùng các kíp nổ chậm trong các gương lò than và gương lò than có lẫn đá ở các mỏ hầm lò có nguy hiểm về khí hoặc bụi nổ.
g) Các gương lò chỉ đào trong đá ở các mỏ nguy hiểm về khí hoặc bụi nổ, nếu hoàn toàn không có khí mê tan và bụi than thì cho phép dùng kíp điện nổ tức thời, kíp điện vi sai với độ chậm bất kỳ và kíp điện nổ chậm có độ chậm không quá 10s và không hạn chế các đợt nổ.
h) Cho phép dùng một lượng nhỏ thuốc nổ an toàn để phá rời các vì chống gỗ khi đánh sập đá vách của các gương khấu than. Loại thuốc nổ an toàn này phải đảm bảo khi thí nghiệm nổ một lượng chất nổ bất kỳ ở trạng thái treo tự do không làm bốc cháy hỗn hợp không khí - mê tan - bụi than. Độ nhạy của loại thuốc nổ đối với tác động cơ học không được vượt quá độ nhạy của loại amônít an toàn không chứa nitro este lỏng.
i) Khi đào giếng đứng từ mặt đất ở mỏ nguy hiểm về khí hoặc bụi nổ, nếu hàm lượng khí mê tan ở trong gương nhỏ hơn 1% cho phép sử dụng thuốc nổ không an toàn và kíp nổ chậm nhưng phải thực hiện các qui định sau:
- Trước khi nổ mìn phải đo hàm lượng khí mê tan ở gương giếng;
- Trước khi khởi nổ phải làm ngập nước mặt gương với chiều cao cột nước không nhỏ hơn 20 cm tính từ điểm cao nhất của mặt gương:
- Việc khởi nổ phải tiến hành từ trên mặt đất. Trong phạm vi 50 m tính từ miệng giếng không được có người.
k) Khi đào lò giếng từ mặt đất, có thể dùng dòng điện xoay chiều hoặc một chiều làm nguồn điện khởi nổ với các điều kiện sau:
- Trong gương của giếng mỏ không có khí metan hoặc bụi than;
- Khi gương của giếng mỏ còn cách vỉa than hoặc vỉa than kẹp 5 m, cũng như ở trong khoảng cách 20 m, sau khi gương giếng đã cắt qua trụ vỉa than thì không được phép dùng dòng điện xoay chiều để nổ mìn;
Trị số dòng điện phát vào mạng lưới nổ phải phù hợp với điểm t, khoản 3 Điều 19 của Quy chuẩn này.
l) Khi đào sâu giếng mỏ đi trong đá ở những mỏ hầm lò có nguy hiểm về khí hoặc bụi nổ, đi từ mức đang khai thác cũng như khi đã đào lò bằng, lò nghiêng ở những mỏ đang khai thác hoặc đang xây dựng, cho phép dùng thuốc nổ không an toàn và kíp điện nổ chậm với các điều kiện sau:
- Các hầm lò phải được thông gió bằng luồng không khí sạch;
- Gương lò chỉ hoàn toàn đào trong đá;
- Gương lò không thoát khí metan:
- Phải đo khí metan trước một lần nạp và trước mỗi lần khởi nổ.
Khi gương này tới cách vỉa than 5 m và trong phạm vi 20 m sau vỉa than phải dùng chất nổ an toàn và kíp điện nổ tức thời, hoặc kíp điện vi sai.
m) Trong một đợt nổ, chỉ được dùng kíp nổ điện cùng loại do một nhà máy sản xuất.
n) Trong các hầm lò than, cấm sử dụng các loại thuốc nổ khác nhau để nạp vào một lỗ khoan. Phát mìn liên tục chỉ được phép dùng một bao mìn mồi có lắp kíp điện.
o) Chiều sâu của lỗ khoan nhỏ trong than và trong đá không được nhỏ hơn 0.6 mét. Khi trong gương lò có một số mặt tự do thì khoảng cách từ một điểm bất kỳ của phát mìn đến bề mặt tự do gần nhất (đường cản ngắn nhất) không được nhỏ hơn 50 cm trong than và 30 cm trong đá.
Cấm nổ các phát mìn không có bua nút lỗ.
Khi nổ mìn trong than và đá, chiều dài nút bua qui định như sau:
- Bằng 1/2 chiều sâu lỗ khoan khi chiều sâu lỗ khoan từ 0,6 m đến 1 m;
- Không nhỏ hơn 0,5 m khi chiều sâu lỗ khoan lớn hơn 1 m;
- Không nhỏ hơn 1m khi dùng các lỗ khoan lớn;
- Không được nhỏ hơn 30 cm khi nổ các phát mìn lỗ khoan nhỏ để phá các tảng đá lớn.
p) Nếu phát mìn gồm nhiều thỏi thuốc nổ thì các thỏi thuốc nổ phải được đẩy cùng một lúc vào lỗ khoan còn thỏi mìn mồi được đưa riêng.
q) Khoảng cách nhỏ nhất giữa các phát mìn khi nổ mìn lỗ khoan nhỏ được qui định như sau.
- Không nhỏ hơn 0,6 m khi nổ trong than;
- Không nhỏ hơn 0,3 m khi nổ trong đá có độ cứng f từ 7 trở lên theo thang phân loại của Protođiaconov;
- Không nhỏ hơn 0,45 m khi nổ trong đá có độ cứng f nhỏ hơn 7.
r) Trong các hầm lò than và trong các mỏ hầm lò có nguy hiểm về bụi lưu huỳnh, khi đào các lò chuẩn bị, họng sáo trong than hoặc vừa than vừa đá thuộc các vỉa có độ thoát khí tương đối hơn 10 m3/tấn sản lượng ngày đêm, cũng như ở các vỉa có nguy hiểm về bụi nổ, khi nổ mìn phải áp dụng các biện pháp an toàn bổ sung như dùng các túi nước treo, nút lỗ mìn bằng bua nước. Các biện pháp này phải thể hiện trong hộ chiếu nổ mìn và được lãnh đạo đơn vị ký duyệt.
s) Cấm nổ mìn ốp trong hầm lò. Khi xử lý sự cố tắc trong các lò tháo than, đá cho phép nổ một lượng thuốc nổ an toàn cần thiết nhưng với điều kiện tại đó không có khí mê tan hoặc dùng loại VLNCN an toàn cao đã được cơ quan Nhà nước có thẩm quyền cho phép sử dụng.
t) Khi nổ mìn bằng điện
- Các dụng cụ để kiểm tra - đo lường mạng điện nổ mìn phải là loại chuyên dùng cho các mỏ hầm lò nguy hiểm về khí hoặc bụi nổ;
- Việc đo kiểm tra kín mạch của mạng điện nổ mìn phải được tiến hành ở nơi đặt máy nổ mìn để khởi nổ, chỗ đó phải an toàn và có luồng gió sạch đi qua.
Điều 22. Qui định về nổ mìn trên mặt đất
1. Qui định chung
a) Trước khi tiến hành nổ mìn lần đầu ở địa điểm đã được phép, đơn vị nổ mìn phải thông báo cho chính quyền, công an địa phương và cho mọi người sống hoặc làm việc ở trong vùng nguy hiểm của khu vực nổ mìn và vùng giáp ranh (vùng có bán kính gấp hai lần bán kính vùng nguy hiểm) biết về địa điểm, thời gian nổ mìn lần đầu, hàng ngày; về giới hạn của vùng nguy hiểm về các tín hiệu, ý nghĩa của các tín hiệu dùng khi nổ mìn.
b) Khi nổ mìn ở những địa điểm giáp ranh khu dân cư, công trình văn hoá lịch sử, công trình quan trọng quốc gia và các công trình khác không thuộc quyền sở hữu của tổ chức, cá nhân sử dụng VLNCN, Tổ chức, cá nhân sử dụng VLNCN phải thỏa thuận với tổ chức, cá nhân quản lý, sở hữu các công trình đó. Nếu là đường sắt phải thỏa thuận với điều độ tuyến đường hoặc trưởng ga có đoạn đường sắt đó về thời gian nổ mìn và thời gian ngừng tàu qua đó. Nếu là đường thủy thì phải thỏa thuận với trưởng bến gần nhất về thời gian nổ.
Các tổ chức, cá nhân có công trình nằm trong vùng nguy hiểm phải được thông báo bằng văn bản chậm nhất trước một ngày đêm về thời gian và địa điểm nổ mìn.
c) Trước khi nổ mìn phải có thiết kế hoặc phương án nổ mìn. Tính toán nổ mìn trong thiết kế (hướng nổ, chỉ số nổ, đường cản, các hệ số tính toán...), phải tính sao cho hạn chế đến mức thấp nhất các thiệt hại do chấn động, sóng không khí hoặc các mảnh đá văng do nổ mìn gây ra cho các công trình nằm trong vùng nguy hiểm. Nếu không thực hiện được yêu cầu này thì phải thỏa thuận với tổ chức, cá nhân quản lý, sở hữu công trình đó về các biện pháp bảo vệ, che chắn hoặc phương án khắc phục các thiệt hại do nổ mìn (nếu có) gây ra. Thoả thuận phải được thực hiện ít nhất 30 ngày trước khi tiến hành nổ mìn, nội dung bản thoả thuận phải nêu rõ hiện trạng công trình, các hư hỏng sẵn có, nguồn nước cũng như các vật kiến trúc khác có thể bị ảnh hưởng do nổ mìn.
d) Khi nổ mìn lỗ khoan lớn, nổ mìn buồng cho phép sử dụng thêm một số công nhân khác tham gia việc nạp mìn, nhưng họ phải được huấn luyện, sát hạch về những qui định an toàn cần thiết, khi làm việc phải có sự giám sát của thợ mìn.
đ) Trong mọi trường hợp người khởi nổ các đợt nổ phải ở vị trí an toàn (ngoài vùng nguy hiểm, hầm, buồng trú ẩn). Hầm trú ẩn tự nhiên hoặc buồng trú ẩn nhân tạo có vị trí, qui cách, kết cấu phải được qui định (trong bản thiết kế hoặc hộ chiếu nổ mìn).
e) Trạm khởi nổ phải đặt ngoài giới hạn vùng nguy hiểm hoặc trong hầm chắc chắn. Khi nổ mìn văng xa thì trạm khởi nổ phải đặt ngoài giới hạn văng xa của đất đá theo tính toán về phía ngược với chiều gió.
g) Kể từ lúc kéo dây của mạng nổ mìn vào trạm khởi nổ thì trạm phải được bảo vệ. Chỉ người thợ mìn được giao nhiệm vụ khởi nổ mới được vào trạm khởi nổ.
h) Không khống chế số lượng phát mìn được nổ trong một đợt, nhưng khi nổ các phát mìn lỗ nhỏ bằng dây cháy chậm, thì số lượng ngòi mìn do một thợ đốt được xác định bằng thời gian cháy của ngòi mìn kiểm tra.
i) Trong khi nạp, nếu một phần thuốc nổ đã nạp vào lỗ khoan bị đất đá lở lấp mất, cần nạp tiếp và cho nổ cùng đợt. Vị trí các phát mìn này cần phải đánh dấu và khi xúc đất đá ở đó phải có thợ mìn giám sát cho đến khi khẳng định rằng thuốc nổ trong lỗ khoan đã nổ hết. Nếu phát hiện thấy thuốc nổ còn sót lại phải thu gom và đem hủy.
k) Nếu các phát mìn nằm ở nơi khó nhận biết (trong bụi rậm) thì khi nổ bằng dây cháy chậm, phải đặt các dấu hiệu dễ nhận ở các phát mìn đó.
2. Nổ mìn ốp
Khi cần nổ một số phát mìn ốp trong một đợt nổ bằng dây cháy chậm thì khoảng cách giữa các phát mìn phải đảm bảo sao cho khi phát này nổ sẽ không làm tung phát kia. Nếu không làm được như vậy thì phải khởi nổ đồng thời các phát mìn bằng các kíp điện hoặc bằng dây nổ. Vật liệu đắp lên phát mìn phải bằng vật liệu dẻo, phải áp kín hoàn toàn. Chiều dày đất đắp không nhỏ hơn chiều dày lớp thuốc nổ. Cấm dùng đá dăm hoặc vật liệu rắn khác để phủ lên lớp thuốc nổ.
3. Nổ mìn lỗ khoan lớn
a) Phải dọn sạch các cục đất đá, rác và các vật liệu khác trong vòng bán kính không nhỏ hơn 0,7 m tính từ mép lỗ khoan. Khi đất đá không ổn định thì phải có biện pháp bảo vệ miệng lỗ khoan khỏi bị sụt lở.
b) Khi cần khởi nổ đồng thời một số phát mìn lỗ khoan lớn thì phải khởi nổ bằng kíp điện, kíp phi điện hoặc bằng dây nổ. Khi lỗ khoan sâu trên 15 m thì mạng nổ phải là mạng dây đúp.
Khi đưa các bao thuốc nổ có vỏ bọc cách nước và các bao mìn mồi xuống lỗ khoan, phải buộc dây chắc chắn rồi dòng xuống (dây buộc có nút dễ tháo). Không được để dây nổ, dây phi điện hoặc dây điện bị kéo căng.
c) Cho phép dùng các phương tiện cơ giới để nạp mìn, nhưng phải thực hiện qui định tại Điều 20 của Quy chuẩn này.
Khi dùng thuốc nổ nhóm 1.1 D, 1.5 D mà không dùng kíp khởi nổ, cho phép dùng ô tô tự đổ để nạp bua vào các lỗ khoan, khi đó ô tô phải có bình dập lửa, ống xả của ô tô phải trang bị bộ phận dập tắt tàn lửa. Phải có biện pháp để các phụ kiện, dây nối mạng nổ không bị xe ô tô đè ép, kéo căng.
Đối với ôtô chuyên dùng để trộn các thành phần nguyên liệu và nạp thẳng xuống lỗ mìn, cho phép vận chuyển các thành phần không phải là chất nổ trong các ngăn riêng của xe nhưng xe phải đủ điều kiện hoạt động và có đủ thiết bị phòng cháy
d) Cho phép thủ tiêu các phát mìn câm trong lỗ khoan lớn bằng các cách sau:
- Cho khởi nổ lại phát mìn câm nếu nguyên nhân gây câm là do mạng nổ trên mặt đất bị hỏng với điều kiện trị số đường cản nhỏ nhất của phát mìn câm không bị giảm do tác dụng nổ phá của phát mìn bên cạnh;
- Khi áp dụng phương pháp nổ không có kíp và chất nổ là loại chứa nitrat amôn thì cho phép dùng máy xúc để xúc đất đá ở cạnh phát mìn câm;
- Cho nổ một phát mìn trong lỗ khoan lớn được khoan song song và cách lỗ mìn câm không gần hơn 3 m. Vị trí lỗ khoan do người chỉ huy nổ mìn xác định;
- Cho phép xúc dọn đất đá bằng thủ công tại chỗ có lỗ mìn câm để làm lộ đầu phát mìn câm ra. Khi không thể xúc đất đá bằng thủ công, cho phép khoan và nổ các lỗ mìn có đường kính nhỏ được bố trí cách trục tâm của lỗ mìn câm một khoảng cách lớn hơn 1 m. Số lỗ, hướng, chiều sâu của các lỗ khoan do người chỉ huy nổ mìn quyết định.
4. Nổ mìn tạo túi ở đáy lỗ khoan hoặc làm khô lỗ
a) Chỉ được phép nổ phát mìn để tạo túi hoặc làm khô nước trong lỗ khoan khi các lỗ khoan kề sát xung quanh chưa nạp chất nổ.
b) Không được ném bao mìn mồi vào lỗ khoan khi nổ tạo túi hoặc nổ làm khô nước. Khi chiều sâu lỗ khoan trên 10 m phải khởi nổ bằng dây nổ hoặc bằng kíp điện.
c) Sau khi nổ tạo túi hoặc làm khô lỗ khoan phải đợt ít nhất 15 phút nếu dùng thuốc nổ nhóm 1.1D, 1.5D và 30 phút nếu dùng thuốc nổ các nhóm khác mới được nạp thuốc nổ lần sau.
5. Nổ mìn buồng
a) Vị trí thực tế của các lò đã được đào để nổ mìn buồng (bao gồm cả bản thân buồng mìn) phải được vẽ lên bản đồ địa hình, mặt cắt của khu vực nổ mìn. Số liệu đo đạc để vẽ là số đo bằng máy.
b) Tiết diện trong của lò đào thông từ mặt đất tới buồng mìn không được nhỏ hơn 1,2 m2 (1,2 m x 1,0 m) , nếu lò đào thông vào buồng mìn là lò giếng thì phải có tiết diện nhỏ nhất là 1 m2.Trước khi bắt đầu nạp thuốc nổ, phải kiểm tra, củng cố toàn bộ đường lò để đảm bảo an toàn trong suốt quá trình nạp.
c) Trong phạm vi bán kính 0,7 m kể từ cửa lò, phải dọn sạch đất đá, vật dụng khác. Cách cửa lò hoặc miệng giếng không nhỏ hơn 3 m phải tạo mặt bằng để xếp VLNCN trước khi nạp.
d) Khi đưa VLNCN xuống giếng dẫn vào buồng mìn thì không được ném phải dùng tời hoặc dây bện để thả xuống. Tốc độ đưa VLNCN xuống giếng không được lớn hơn 1 m/s. Khi nạp chất nổ nhóm 1.1D, 1.5D dạng rời, cho phép nạp theo đường ống hoặc lỗ khoan lớn thẳng xuống buồng mìn. Đường ống phải chế tạo bằng vật liệu, không phát sinh tia lửa khi bị va chạm hoặc ma sát.
đ) Khi xếp thuốc nổ vào buồng mìn, người chỉ huy đợt nổ phải luôn có mặt tại hiện trường để hướng dẫn, kiểm tra và thi công đúng với thiết kế.
e) Trong khi nạp thuốc nổ, không được có các dây dẫn điện ở trong các buồng mìn, nếu chiếu sáng bằng điện thì phải dùng đèn chiếu từ đường lò bên cạnh chiếu sang (cho phép dùng đèn điện dòng xoay chiều điện áp 220 V), nhưng chỉ được dùng trước lúc đưa mìn mồi đã có lắp kíp điện vào buồng mìn.
Trước lúc đưa mìn mồi có lắp kíp điện vào lò phải cắt điện, tháo cắt tất cả mạng điện chiếu sáng. Việc chiếu sáng sau khi cắt điện phải bằng một trong các loại đèn ắc qui mỏ, đèn pin.
g) Khi nổ mìn buồng nhất thiết phải sử dụng các bao mìn mồi. Nếu trong buồng nạp có nước thì phải dùng loại VLNCN chịu nước (hoặc được bao gói chống nước). Các bao mìn mồi phải được đặt trong hộp vỏ cứng bền chắc.
h) Nếu việc nạp mìn kéo dài quá một ngày đêm mà bao mìn mồi làm bằng thuốc nổ có chứa nitrat amôn, kíp điện có vỏ bằng kim loại hoặc vỏ giấy thì phải sơn vỏ kíp một lớp vecni hoặc quét nhựa cao su để tránh vỏ kíp bị rỉ, hoặc vỏ giấy của kíp bị ẩm.
i) Nếu giếng sâu chưa đến 15 m; có thể dùng thang dây hoặc thang tre cho người lên xuống giếng.
Nếu giếng sâu hơn 15 m thì dùng tời trục chở người, tời trục phải có phanh hãm đảm bảo an toàn.
k) Nếu trong giếng có đặt máy bơm điện thì phải cắt điện, đưa động cơ điện, dây điện lên khỏi giếng trước lúc đưa bao mìn mồi có lắp kíp điện xuống giếng.
l) Các dây dẫn điện của mạng điện nổ và dây nổ trong đường lò và trên mặt đất phải được bảo vệ tránh hư hỏng. Mạng nổ phải là mạng lưới đúp.
m) Việc đo kiểm tra điện trở của mạng điện nổ mìn phải tiến hành hai lần: lần đầu vào lúc nạp xong thuốc nổ, lấn thứ hai vào lúc nạp xong bua. Khi đó mọi người phải ở vị trí an toàn.
n) Sau khi nổ mìn ít nhất 15 phút (thời gian cụ thể được qui định trong thiết kế nổ mìn) người chỉ huy đợt nổ mới được vào kiểm tra bãi nổ.
o) Khi phát hiện thấy có phát mìn câm phải lập tức bố trí người bảo vệ vùng có mìn câm. Không cho người không có liên quan vào vùng nguy hiểm của phát mìn câm đó.
Cho phép xử lý phát mìn buồng bị câm bằng cách đào dỡ lớp bua ra, nạp một bao mìn mồi mới vào phát mìn câm, lấp bua, tiến hành khởi nổ lại theo trình tự thông thường đã qui định, nhưng đường cản nhỏ nhất của phát mìn câm không bị giảm đi so với trị số ban đầu trước khi nổ.
Nếu kiểm tra thấy trị số đường cản nhỏ nhất của phát mìn câm đã bị giảm đáng kể mà nếu khởi nổ lại phát mìn câm này có thể gây nguy hiểm do đá văng xa hơn tính toán ban đầu thì không được nổ lại phát mìn câm đó. Khi đó cho phép moi dỡ lớp bua và moi dỡ dần thuốc nổ ra.
Trong trường hợp cần thiết phải đào các đường lò bổ sung để thủ tiêu các phát mìn buồng bị câm thì công việc này phải thực hiện theo thiết kế riêng được phó giám đốc kỹ thuật của đơn vị duyệt.
Toàn bộ công việc có liên quan tới việc xử lý mìn buồng câm phải thực hiện dưới sự giám sát của chỉ huy nổ mìn.
6. Nổ mìn thăm dò địa chấn ở đất liền
a) khi nổ đồng thời một số lỗ khoan, có đường kính lớn trong đất đá không ổn định cho phép nạp mìn vào lỗ khoan ngay sau khi khoan xong lỗ khoan đó. Khoảng cách giữa các lỗ khoan được xác định trong thiết kế hoặc hộ chiếu nổ mìn, trong thiết kế có tính tới chiều sâu lỗ khoan, lượng thuốc nổ sẽ nạp trong lỗ khoan. Các lỗ khoan đã nạp phải được thợ mìn trông nom bảo vệ thường xuyên. Trong thời gian nạp tất cả mọi người không có liên quan đến việc nạp mìn phải rút ra ngoài giới hạn vùng nguy hiểm.
b) Chỉ cho phép những người của đội mìn có mặt ở trong trạm. Nếu trạm khởi nổ đặt trên ôtô (máy kéo, rơ moóc) thì cho phép người lái phương tiện ngồi trong buồng lái.
c) Trạm khởi nổ phải ở cách chỗ nổ một khoảng cách theo qui định tại Khoản 8, Điều 4 của Quy chuẩn này, trạm phải được bảo vệ thường xuyên. Cấm để các vật dụng không có liên quan tới việc nổ mìn ở trong trạm
d) Trong trạm khởi nổ cho phép đặt các trạm vô tuyến đã được phép dùng để thăm dò địa chấn, nhưng phải đặt trong một ngăn riêng. Các trạm vô tuyến có công suất lớn, kiểu thông thường cùng với máy phát điện phải đặt ở ngoài giới hạn vùng nguy hiểm theo Phụ lục B của Quy chuẩn này.
đ) Trước lúc trạm vô tuyến bắt đầu làm việc, phải kiểm tra xem xét để không có hiện tượng rò điện
e) Cấm đưa đường dây điện mạng nổ mìn vào buồng đặt trạm vô tuyến.
g) Lượng VLNCN để ở chỗ công tác không được vượt quá yêu cầu dùng trong một ca của đội thăm dò.
Cho phép để ở chỗ công tác lượng VLNCN dùng trong 3 ngày đêm nhưng với điều kiện là VLNCN phải để ở ngoài giới hạn vùng nguy hiểm và được bảo vệ suốt ngày đêm.
h) Cấm sử dụng các dây dẫn (dây của mạng nổ mìn, dây điện thoại...) có vỏ bọc cách điện đã bị hư hỏng, dây đấu vào máy không có phích cắm chuyên dùng.
i) Để khởi nổ các phát mìn, chỉ cho phép dùng các máy nổ mìn chuyên dùng. Cấm dùng nguồn điện khác để khởi nổ.
k) Sau khi chuẩn bị xong các phát mìn thì dây dẫn của kíp điện phải quấn chặt xung quanh phát mìn.
l) Đường dây dẫn mạng điện nổ mìn phải là loại dây mềm có hai lõi và gồm hai phần, chúng được nối với nhau sau khi đã đưa phát mìn xuống lỗ khoan.
m) Khi tiến hành công tác nổ mìn, thăm dò địa chấn chỉ được phép dùng một đường dây nổ mìn chính. Ở cả hai đầu phải có dấu hiệu để phân biệt với các đường dây khác.
n) Phải dùng dây hoặc sào có móc làm bằng vật liệu không phát sinh tia lửa để đưa các phát mìn xuống lỗ khoan, không được quẳng vứt làm va đập các phát mìn, phải theo qui định tại khoản 16, Điều 17 của Quy chuẩn này. Không được để dây dẫn chính bị căng khi đưa phát mìn xuống lỗ.
Trước khi đưa phát mìn xuống lỗ khoan, phải dùng dưỡng để kiểm tra toàn bộ chiều sâu lỗ khoan. Đường kính của dưỡng đo phải lớn hơn đường kính phát mìn.
Khi nạp phát mìn xuống lỗ khoan mà bị kẹt thì phải lựa chiều kéo lên và chỉ sau khi thông lỗ và kiểm tra lại phát mìn mới được nạp lại. Trong khi thông lỗ phải ngắt phát mìn ra khỏi đường dây dẫn chính và đưa đến chỗ an toàn. Trường hợp không lấy phát mìn lên được thì phải thủ tiêu phát mìn này theo quy định tại điểm r, khoản này.
o) Cấm quấn dây dẫn chính xung quanh kíp điện, chỉ trừ trường hợp sử dụng một kíp điện riêng lẻ đặt trên mặt đất để đánh dấu thời điểm nổ.
p) Những công việc có liên quan tới việc nổ phát mìn treo trong không khí, đặt trên mặt đất hoặc trong hồ chứa nước phải tiến hành theo thiết kế được duyệt theo qui định hiện hành.
Việc nổ mìn trong hồ chứa nước phải có sự thỏa thuận của cơ quan bảo vệ thủy sản hoặc tổ chức, cá nhân quản lý hồ chứa nước đó.
q) Cấm:
- Người đi đến lỗ khoan trước 5 phút kể từ lúc phát mìn trong lỗ khoan nổ;
- Người xuống giếng hoặc hào sâu hơn 3 m trước lúc thông gió hoàn toàn; không được sớm hơn 30 phút sau khi nổ mìn;
- Khoan tiếp vào lỗ khoan sau khi nổ hoặc khi có mìn câm trong lỗ đó.
r) Thủ tiêu các phát mìn câm tiến hành bằng các cách sau:
- Cẩn thận lấy phát mìn ra khỏi lỗ và đem hủy bằng cách nổ ở chỗ an toàn;
- Nếu không lấy được phát mìn ra thì nạp thêm phát mìn vào lỗ khoan và cho nổ theo qui định;
- Các phát mìn bị câm do ẩm ướt phải được thủ tiêu theo quy định tại Điều 16 của Quy chuẩn này.
7. Nổ mìn thăm dò địa chấn trên sông biển
a) Nổ mìn thăm dò địa chấn trên biển phải thỏa thuận với cơ quan quản lý bến cảng ở gần khu vực đó và cơ quan bảo vệ hải sản, trừ việc thăm dò được tiến hành bằng phương pháp kích thích sóng địa chấn.
b) Thành viên ở trên tàu thăm dò địa chấn, thành viên của đội thăm dò địa chấn đều phải được huấn luyện về các quy định an toàn khi tiếp xúc với VLNCN. Chứng chỉ phải ghi rõ "Cho phép tiến hành công tác nổ mìn trên biển”.
c) Cấm tiến hành công tác nổ mìn thăm dò địa chấn trong lúc có sương mù, lúc trời tranh tối tranh sáng, ban đêm (trừ trường hợp sử dụng đường dây chính kiểu nổi) và khi có sóng trên cấp 4.
d) Các tàu thuyền dùng trong công tác thăm dò địa chấn có sử dụng nổ mìn phải đăng ký tại cơ quan đăng kiểm theo qui định hiện hành.
đ) Cho phép tàu đặt trạm địa chấn kéo theo trạm khởi nổ đặt trên các thuyền có mái chèo hoặc các loại tàu khác. trên mỗi trạm khởi nổ phải có phao cấp cứu cá nhân đủ cho số người có mặt trên trạm.
e) Khoảng cách an toàn (Rat) tính theo tác động của sóng va đập đối với trạm khởi nổ khi sử dụng thuốc nổ rắn và lỏng, tính theo công thức:

trong đó q là khối lượng của phát mìn, tính bằng kilogam.
Trong mọi trường hợp Rat không được nhỏ hơn 50 m. Khi làm việc trên biển khoảng cách từ tàu đặt trạm địa chấn đến chỗ nổ không được nhỏ hơn 150 m.
g) Trong thời gian trạm khởi nổ nổi làm việc, chỉ cho phép các tàu thuyền khác đến trạm nổ theo tín hiệu của người thợ mìn. Người thợ mìn chỉ được phát tín hiệu này trong lúc trạm nổ không nổ mìn hoặc không làm các công việc khác có liên quan tới VLNCN.
h) Chỉ được phép chuyển tải VLNCN trên các tàu khi sóng nhỏ hơn cấp 4 và khi đã neo buộc các tàu lại với nhau.
i) Khi tiến hành nổ mìn để thăm dò địa chấn cấm tất cả những người không có liên quan tới công việc của trạm nổ có mặt trên trạm nổ.
k) Trong thời gian làm việc phải đảm bảo liên lạc thông suốt giữa trạm địa chấn và trạm khởi nổ.
l) Các thiết bị dùng để nổ mìn phải được bảo vệ để tránh nước ngấm vào, VLNCN phải được bảo quản ở ngăn riêng đặc biệt.
m) Trạm khởi nổ không được di chuyển khỏi vị trí khi phát mìn chưa chìm đến độ sâu qui định.
Không được kéo lê phát mìn theo đáy sông, hồ, biển.
n) Chỉ được phép tiến hành kiểm tra mạng điện nổ mìn, nối đường dây chính với nguồn điện và khởi nổ sau khi trạm khởi nổ đã đến vị trí an toàn tính theo tác động của sóng va đập nhưng không nhỏ hơn 50 m.
o) Khi sử dụng đường dây nổ mìn loại nổi phải thực hiện các qui định sau:
- Cả hai bên mạn tàu đặt trạm địa chấn phải có cầu thao tác để tiến hành lắp kíp vào phát mìn, nối phát mìn với vòng tiếp xúc và đưa phát mìn xuống nước. Dùng các máng đặc biệt từ cầu để phát mìn trượt xuống nước được dễ dàng;
- Đường dây chính mạng nổ mìn và đường dây của máy ghi địa chấn phải luôn cách nhau không dưới 10 m;
- Trên cầu thao tác chỉ được để một phát mìn;
- Phải dùng đường dây điện riêng để cấp điện cho đường dây chính nổ mìn, khoảng thời gian đóng điện không quá 10 giây;
- Đường dây chính nổ mìn phải có công tắc nổ đặt ở trên cầu thao tác;
- Đường dây chính nổ mìn cần được kiểm tra tính toán lại sau 10 ngày làm việc. Số liệu kiểm tra ghi vào sổ công tác của đội.
Chú thích - Khi sử dụng đường dây chính nổ mìn kiểu nổi cho phép dùng tuyến nổ mìn chỉ có một dây
p) Khi sử dụng sự kích nổ bằng chất khí hoặc năng lượng của khí nén để làm nguồn kích thích dao động đàn hồi thì khoảng cách an toàn sẽ được qui định trong một qui trình riêng.
8. Nổ mìn ở dưới nước (phá đá, phá công trình)
a) Khi tiến hành nổ mìn ở dưới nước mà phải đưa người xuống nước, thì thợ mìn phải là người đã được đào tạo thợ lặn và đã qua kỳ kiểm tra sát hạch đạt kết quả. Người thợ mìn này đã có thâm niên công tác trên 1 năm.
b) Khi chở các phát mìn bằng thuyền thì đội công tác của mỗi thuyền không quá 5 người. Nguời đội trưởng cầm lái, hai người chèo thuyền, một người thợ mìn, một người đánh dấu vị trí.
Không được để quá 20 phát mìn ở trên thuyền (khối lượng chung không quá 40 kg thuốc nổ) và phải đặt ở phía lái thuyền. Việc xếp đặt các phát mìn trên thuyền do người thợ mìn đảm nhận.
Thuyền chở VLNCN không được chở các loại hàng hóa khác.
Tất cả các thành viên trên thuyền phải được trang bị phao cấp cứu cá nhân.
c) Khi nổ mìn bằng dây cháy chậm, chiều dài dây cháy chậm của mỗi phát mìn không được nhỏ hơn 1m và mỗi lần nổ không được nổ quá 10 phát mìn.
d) Có thể nổ mìn bằng dây cháy chậm để phá các tàu chìm, phá kết cấu của cầu nếu chiều sâu của nước đòi hỏi dây cháy chậm không dài quá 3 m, tính cả phần nhô cao trên mặt nước.
Nếu phát mìn do thợ lặn đặt thì chỉ được khởi nổ phát mìn đó sau khi người thợ lặn đã lên và đến nơi an toàn ở trên mặt đất. Nếu đồng thời có một số thợ lặn đặt mìn thì cấm nổ mìn bằng dây cháy chậm.
đ) Khi nổ mìn điện ở dưới nước thì mạng điện nổ mìn phải lắp ở trên bờ và sau đó mới xếp toàn bộ từng nhánh riêng lên thuyền đưa đến địa điểm nổ để lắp.
Ở những chỗ nước chảy mạnh, để mạng điện khỏi bị đứt, bị căng phải dùng dây chắc để nối các phát mìn với nhau.
e) Khi dùng xuồng để làm việc, có thể lắp mạng điện nổ mìn ngay trên xuồng với điều kiện là chỉ lắp một mạng dây chính.
Chỉ được phép kiểm tra mạng điện, đấu mạng điện với nguồn (máy nổ mìn) và khởi nổ sau khi người thợ lặn đã lên xuồng, xuồng đã đến nơi an toàn, cách chỗ nổ mìn không ít hơn 100 m.
g) Khối lượng riêng của phát mìn không được nhỏ hơn 1,3 kg/dm3 để nó có thể tự chìm xuống nước. Mỗi phát mìn phải được nối với một phao riêng.
Trường hợp khối lượng chất nổ của phát mìn nhỏ hơn 20 kg cho phép đặt vật nặng vào trong cùng một bao với thuốc nổ. Nếu phát mìn lớn hơn 20 kg thì vật nặng để ở ngoài và được buộc chặt vào phát mìn.
Nếu dùng thuốc nổ không chịu nước phải có vỏ bọc chống nước.
h) Khi nổ mìn ở đáy của hồ, sông, biển, vị trí đặt phát mìn phải được đánh dấu bằng phao nổi.
Khi nổ phát mìn treo lơ lửng trong nước thì mỗi phát mìn phải được buộc vào phao nổi. Để treo các phát mìn đặt sâu không quá 3 m cho phép dùng phao cao su.
Cấm dùng dây mạng nổ mìn để treo phát mìn vào phao.
i) Khi nổ các phát mìn ở dưới nước thì không được có người ở dưới nước trong vòng bán kính theo qui định sau:
- Khối lượng thuốc nổ nhỏ hơn 1 kg thì bán kính nhỏ nhất là 100 m;
- Khối lượng thuốc nổ từ 1 đến 10 kg thì bán kính nhỏ nhất là 500 m;
- Khối lượng thuốc nổ từ 10 đến 50 kg thì bán kính nhỏ nhất là 1000 m;
- Khối lượng thuốc nổ trên 50 kg thì bán kính nhỏ nhất là 2000 m.
Khi nổ trên 10 kg thuốc nổ ở những đoạn sông gấp khúc thì khoảng cách trên có thể giảm đi 1/2.
Trước khi nổ mìn phải đặt người gác, treo tín hiệu. Tín hiệu này phải đặt cách chỗ nổ mìn 1,8 km về phía thượng lưu và 1 km về phía hạ lưu. Cấm tàu thuyền qua lại vùng nguy hiểm. Việc cấm này phải thỏa thuận trước với cơ quan quản lý đường sông.
9. Nổ mìn để phá vỡ kim loại và kết cấu kim loại
a) Cho phép nổ mìn để phá vỡ kim loại và các kết cấu kim loại tại một mặt bằng dành riêng: nổ trong buồng bọc thép, trên bãi trống, nơi có kết cấucấu kim loại cần phá nhưng phải có thiết kế được phó giám đốc kỹ thuật cơ quan quản lý cấp trên duyệt.
b) Cho phép bảo quản số lượng VLNCN dùng trong ngày ở mặt bằng làm việc, nhưng phải đặt trong các chỗ sâu trong đất có mái che, chắc chắn và ở cách chỗ nổ không nhỏ hơn 200 m.
c) Khi đồng thời nổ một số phát mìn thì phải khởi nổ bằng điện hoặc dây nổ.
Khi khởi nổ bằng điện thì phần dây điện đi từ buồng bọc thép ra ngoài không được để tiếp xúc với phần kim loại của buồng thép. Phải dùng dây dẫn có vỏ bọc cách điện và những chỗ nối phải được quấn cách điện cẩn thận. Khi làm việc ở trong buồng bọc thép cho phép dùng nguồn điện có điện áp không lớn hơn 12 vôn để chiếu sáng. Trước khi nạp mìn phải cắt điện tháo dỡ đưa ra khỏi buồng thép hệ thống chiếu sáng này.
Những việc tiếp theo cần chiếu sáng phải dùng đèn ác qui mỏ hoặc đèn pin, đèn xăng an toàn.
d) Xung quanh buồng bọc thép ở khoảng cách không nhỏ hơn 30 m phải có hàng rào.
Khối lượng và kết cấu nắp buồng bọc thép phải đảm bảo không bị bật ra hoặc bị phá hủy khi mìn nổ. Trước khi đưa buồng thép vào vận hành và sau mỗi lần sửa chữa phải thử độ bền chắc của buồng bằng cách cho nổ ở trong đó một lượng chất nổ gấp đôi thiết kế cho phép.
Phải dùng cần cẩu để tháo hoặc lắp buồng bọc thép.
đ) Sau mỗi lần nổ mìn, buồng bọc thép phải được thông gió hết khí độc rồi mới cho người vào làm việc.
e) Nếu dùng ô xy để khoan kim loại thì trước khi nạp mìn phải dùng nước làm mát lỗ khoan đến nhiệt độ không lớn hơn 80oC, phải dọn sạch phôi do khoan bằng ô xy tạo ra.
g) Vật liệu nút bua phải là loại dễ lấy được ra khi phát mìn bị câm. Nếu có mìn câm phải thận trọng lấy hết phần bua ra rồi đưa một bao mìn mồi và cho nổ lại theo qui định.
h) Chỉ được phép nạp mìn lần thứ hai sau khi đã làm mát thành lỗ khoan đến nhiệt độ không quá 80oC.
i) Đường đi từ chỗ nổ mìn, đến nơi an toàn phải gọn gàng, sạch sẽ. Chỗ trú ẩn của người thợ mìn được qui định trong thiết kế nhưng không được gần hơn 100 m, nếu nổ mìn trong buồng bọc thép thì khoảng cách không được gần hơn 30 m.
10. Nổ mìn để phá vỡ khối nóng
a) Khi nổ mìn để phá vỡ khối nóng chỉ được dùng dây cháy chậm hoặc dây nổ.
b) Cấm nạp mìn vào các lỗ khoan khi nhiệt độ đáy lỗ khoan cao hơn 200oC.
Khi nhiệt độ lỗ khoan từ 80 đến 200oC phát mìn phải đặt trong vỏ cách nhiệt hoặc dùng loại thuốc nổ chịu nhiệt đã được phép đưa vào sử dụng. Để nổ mìn trong các khối nóng có nhiệt độ đo ở phần đáy lỗ khoan cao hơn 40oC chỉ được dùng chất nổ nhóm 1.5D.
Việc sử dụng thuốc nổ chịu nhiệt phải tuân theo quy chuẩn này và hướng dẫn của nhà sản xuất.
c) Khi nổ mìn để phá vỡ các "bướu' trong lò luyện kim thì chỗ nổ mìn phải đặt rào chắn làm bằng các cây gỗ xếp khít nhau. Dàn giáo thi công nổ mìn phải chắc chắn và có tay vịn.
Mỗi lần nổ mìn để phá "bướu' trong lò luyện kim đều phải lập thiết kế theo Điều 17 của Quy chuẩn này.
d) Chỉ được phép nổ mìn để phá vỡ các khối nóng sau khi đã thực hiện xong việc làm sạch không khí (lò không có khí độc) đã thử vỏ cách nhiệt của bao chất nổ bằng cách đưa vào lỗ khoan một vỏ bao, làm bằng amiăng trong đó đặt một ngòi mìn (không có thuốc nổ) nếu kíp nổ bị nổ trước 5 phút thì phải tăng chiều dày của vỏ bao.
đ) Khi đo nhiệt độ ở đáy lỗ khoan thấp hơn 80oC thì cho phép không phải dùng vỏ bao cách nhiệt, riêng bao mìn mồi phải bọc giấy cẩn thận.
Thời gian nạp mìn không được kéo dài quá 4 phút.
Khi nhiệt độ cao hơn 800C thì toàn bộ phát mìn (kể cả bao mìn mồi) được đặt trong một vỏ cách nhiệt đã thử để đảm bảo sao cho thuốc nổ chỉ bắt đầu bị đốt nóng qua thành lỗ khoan sau khoảng thời gian không nhỏ hơn 4 phút, kể từ khi nạp mìn.. Việc nổ được tiến hành bằng dây cháy chậm có độ dài không dưới 60cm. Cấm xoắn, vặn dây cháy chậm.
Nếu không thực hiện được điều này, phải dùng loại thuốc nổ chịu nhiệt đã được phép đưa vào sử dụng.
e) Khi nhiệt độ đo ở đáy lỗ khoan thấp hơn 80oC cho phép nạp và nổ đồng thời không quá 5 phát mìn. Nếu nhiệt độ từ 80 đến 200oC thì không được quá 2 phát.
g) Trong bất kể trường hợp nào, thời gian liên tục nạp và nổ một nhóm các phát mìn không được quá 4 phút, trừ trường hợp sử dụng thuốc nổ chịu nhiệt có quy định riêng.
Nếu như đến 4 phút mà thợ mìn không kịp nạp hết các lỗ khoan thì người chỉ huy phải ra lệnh ngừng nạp, mọi người phải rút ra vị trí an toàn và cho nổ ngay. Việc nạp và nút lỗ mìn phải do hai thợ mìn làm với sự có mặt của người chỉ huy công tác nổ mìn.
h) Khi nổ mìn bằng dây nổ nhất thiết phải dùng dây đúp và dùng hai ngòi mìn, phần dây nổ nằm ngoài thỏi thuốc nổ nhưng trong lỗ khoan phải được bọc vỏ cách nhiệt bằng amiăng dầy không nhỏ hơn 6 mm.
i) Khi nổ mìn để phá xỉ trong các buồng kín mà nhiệt độ đo ở đáy lỗ khoan thấp hơn 200oC, chỉ được nạp và nổ một phát mìn do hai người thợ mìn cùng làm (một người đưa phát mìn vào lò và sẽ đốt hai ngòi mìn, người thứ hai lấp cát nút lỗ). Phát mìn phải để trong vỏ cách nhiệt và có hai ngòi mìn.
k) Để nút lỗ mìn, chỉ cho phép dùng cát đã sàng và đã sấy khô. Cấm nén ép vào các vật liệt nút lỗ.
l) Cấm dùng phương pháp nổ mìn ốp để phá các khối nóng.
m) Ở phía trên các "bướu" trong lò cao phải đặt một tấm che chắc chắn làm bằng các dầm chịu tải, trên đó đặt các tấm tôn dày hơn 20 mm, hoặc xếp kín chéo nhau hai lượt gỗ tròn có đường kính lớn hơn 18 mm. Tất cả các lỗ gió, lỗ tháo xỉ phải được đậy kín bằng các tấm kim loại dày hơn 10 mm. Các máy làm lạnh kiểu đứng được bảo vệ bằng cách dựng hàng gỗ xếp khít nhau (đường kính lớn hơn 20 cm) hoặc các thanh tà vẹt liên kết với nhau bằng các móc sắt.
Lối tới chỗ "bướu" cần nổ phá không được nhỏ hơn 0,8 m x 1,5 m. Lối đi lại của người trong lò không được nhỏ hơn 0,75 m x 0,6 m. Lối đi lại không được có chướng ngạt vật. Phải đặt cầu ra vào lò để công nhân lên xuống dễ dàng.
Lối đi từ lò ra phải được che kín phía trên bằng gỗ tròn hoặc gỗ xẻ. Mái che này phải rộng hơn cửa lò 2 m để tránh mảnh kim loại rơi.
n) Để chiếu sáng khi nạp mìn phải dùng đèn ác qui mỏ, hoặc dùng đèn pha chiếu sáng qua lỗ gió hoặc đèn điện cầm tay điện áp 12 vôn, cáp cấp điện cho đèn là cáp 3 lõi, tay cầm của đèn làm bằng chất cách điện, bóng đèn có lưới bảo vệ.
o) Khi nổ mìn để phá các khối nóng có nhiệt độ từ 80 đến 2000C nếu có mìn câm thì chỉ cho phép người chỉ huy nổ mìn tới chỗ có phát mìn câm để kiểm tra sau ít nhất 1 h kể từ lúc đốt dây và với điều kiện là sau thời gian này khi quan sát qua lỗ gió không thấy hiện tượng nitrat amôn bị phân hủy mạnh.
khi nổ mìn phá các khối nóng có nhiệt độ thấp hơn 60oC cho phép đi đến chỗ mìn câm sau 15 phút.
Chỉ được phép thủ tiêu mìn câm bằng cách dùng nước phun rửa sạch vật liệu nút lỗ và thuốc nổ trong lỗ khoan nhưng chỉ thực hiện khi nhiệt độ khối nóng dưới 1000C.
p) Sau mỗi đợt nổ mìn:
- Chỉ tới chỗ nổ mìn sau khi lò đã được thông gió theo qui định (hoàn toàn hết khí độc);
- Chỉ được tới chỗ làm việc sau khi người lãnh đạo công tác xử lý "bướu" và người lãnh đạo công tác nổ mìn đã kiểm tra tình trạng của các phương tiện bảo vệ.
q) Cấm nổ mìn ở trong lò trong thời gian các lò bên cạnh đang ra sản phẩm (thép, xỉ).
11. Nổ mìn để rèn dập kim loại
a) Việc gia công kim loại bằng cách nổ trong môi trường nước phải được tiến hành trong các thiết bị riêng hoặc trong các bể nước được bố trí trong phòng hoặc trên mặi bằng lộ thiên.
Khi bố trí bể nước trên mặt bằng lộ thiên thì khu vực làm việc phải có tường bao quanh cao hơn 2 m có trang bị hệ thống tín hiệu âm thanh, ánh sáng.
Việc rèn dập kim loại bằng cách nổ trong môi trường nước phải thực hiện theo thiết kế nổ mìn, có sự thỏa thuận với cơ quan đã thiết kế thiết bị, bể nước. Thiết kế nổ mìn phải được phó giám đốc kỹ thuật của đơn vị duyệt.
b) Chỉ dùng phương pháp nổ mìn bằng điện hoặc dây nổ để rèn dập kim loại. Nếu điều kiện làm việc phải nâng khuôn thiết bị lên chiều cao trên 2 m thì phải nổ bằng dây nổ.
c) Nổ mìn trong môi trường nước, phải dùng kíp loại chịu nước có dây dẫn dài hơn 3 m để đảm bảo nối kíp với đường dây chính mà không phải nối dài thêm dây.
d) Mạng điện nổ mìn phải có hai dây dẫn tới nguồn điện, dây dẫn không được để chạm vào các vật dụng bằng kim loại.
đ) Số lượng VLNCN dùng trong ca phải để trong lều, hoặc trong phòng riêng bố trí trên mặt bằng công tác. nhưng không được trái với khoản 1, Điều 7 của Quy chuẩn này.
e) Trình tự nổ mìn để gia công kim loại như sau:
- Đặt phát mìn ở phía trên phôi;
- Cho đầy nước vào khuôn dập (khuôn dập đã có phôi và phát mìn);
- Đưa khuôn dập vào bể nước (đã có đầy nước hoặc sau khi đưa khuôn dập xả đầy nước).
g) Việc đưa nước vào bể do người thợ mìn và người giúp việc thực hiện. Cấm những người khác có mặt cạnh bề nước.
h) Việc thủ tiêu các phát mìn câm làm theo qui định tại điểm o, khoản 10 Điều 22 của Quy chuẩn này.
i) Nổ mìn để rèn dập kim loại phải do thợ mìn thực hiện có sự chỉ đạo trực tiếp của người chỉ huy nổ mìn.
12. Nổ mìn để phá công trình
a) Mỗi lần nổ mìn để phá công trình đều phải tiến hành theo thiết kế. Thiết kế này ngoài các vấn đề chung còn phải có các nội dung sau:
- Phải ghi trên bản đồ địa hình vị trí của công trình sẽ bị nổ mìn phá, giới hạn của khu vực mà gạch, đá có thể bay tới, hướng đổ của công trình;
- Sơ đồ các công trình ngầm và trên không gần công trình bị phá;
- Biện pháp xử lý trong trường hợp đã nổ mìn mà công trình không sập đổ hoàn toàn, hoặc mìn bị câm;
- Các biện pháp đảm bảo an toàn cho người và các công trình xung quanh.
b) Cấm dùng phương pháp nổ mìn ốp để phá dỡ công trình nằm trong vùng dân cư.
c) Cho phép chuẩn bị mìn mồi, đóng bao thuốc nổ trong một phòng riêng của công trình định phá đổ. Phòng này được chiếu sáng tự nhiên hoặc dùng đèn điện chiếu hắt từ ngoài cửa sổ vào phòng.
d) Cấm nổ mìn bằng dây cháy chậm để phá dỡ các công trình.
Khi khởi nổ các phát mìn bằng điện thì tất cả các dây dẫn điện trong công trình đó phải được cắt điện kể từ lúc bắt đầu nạp mìn. Mạng nổ mìn phải dùng mạng đúp.
đ) Nếu trong quá trình khoan lỗ mìn mà phát hiện thấy ống khói, khoảng rỗng thì không được nạp và nổ lỗ mìn đó.
e) Phải đặt các tấm chắc chắn che kín hoàn toàn chiều cao công trình sẽ bị phá hủy do nổ mìn.
Chân của tấm chắn đặt cách tường các công trình không nhỏ hơn 0,5 m, còn phía trên của tấm chắn thì dựa vào công trình.
g) Khi nổ mìn để phá dỡ công trình gần các đối tượng mà khi công trình đổ có thể gây chấn động nguy hiểm cho đối tượng đó thì phải tạo lớp đệm (có thể xếp gỗ) để hạn chế chấn động.
h) Khi thu dọn công trình đã bị phá đổ, nhất thiết phải có mặt người thợ mìn giám sát tại chỗ.
Yêu cầu này không bắt buộc khi dùng thuốc nổ nhóm 1.1D, 1.5D và không dùng kíp nổ.
i) Khi nổ mìn để phá vỡ nền móng và các khối đá xây chắc và ở gần các nồi hơi, ống dẫn đang có áp lực thì trước khi nổ mìn phải hạ áp suất trong các thiết bị này xuống dưới 1 Bar. Trong trường hợp không thể giảm áp suất trong nồi hơi và ống dẫn thì các thiết bị này phải được che đậy bằng các tấm chắn. Đối với các máy, thiết bị có độ phức tạp lớn, trong thời gian nổ mìn phải ngừng làm việc.
k) Phần sẽ bị phá hủy trong nhà máy, phân xưởng khi nổ mìn phải được che bằng các bao cắt, tấm chắn hoặc lưới kim loại đặt cách riêng lỗ khoan không nhỏ hơn 0,5 m, còn xung quanh các máy, thiết bị, cửa thì che bằng các bó cành cây hoặc tấm chắn. Lượng thuốc nổ tính toán sao cho chỉ đủ mức làm tơi vỡ phần định phá vỡ.
13. Nổ mìn để đào gốc cây và làm đổ cây
a) Trong khu rừng có nhiều chỗ nổ mìn để đào gốc cây thì người thợ mìn phải cách người thợ mìn khác một khoảng cách không nhỏ hơn 500 m. Phải biết rõ nơi làm việc, hướng di chuyển của đơn vị bạn. Nếu là thợ hoặc đội nổ mìn thuộc cùng đơn vị thì có thể bố trí cách nhau ít nhất 300 m nhưng phải thông nhất hướng di chuyển và nơi trú ẩn.
b) Khi bố trí công việc nổ mìn, người đội trưởng phải nói rõ các điều sau:
- Hướng đốt mìn và đường rút của một thợ mìn;
- Truyền đạt tín hiệu chung cho các thợ mìn;
- Đốt ngòi mìn kiểm tra;
- Kiểm tra sau khi nổ mìn.
c) Khi nổ mìn để đào gốc cây ở gần nhà thì chỉ được làm ở cách nhà không gần hơn 25 m.
d) Việc thủ tiêu các phát mìn câm tiến hành như sau:
- Khi phát mìn đặt trong đất dưới gốc cây thì thận trọng dùng tay lấy lớp đất nút lỗ mìn ra, đặt tiếp bao mìn mồi mới vào lỗ, lấp nút và nổ theo qui định;
- Nếu lỗ khoan được khoan vào gốc cây thì phải khoan một lỗ khoan khác song song và cách lỗ cũ một khoảng cách không nhỏ hơn 10 cm. Nạp thuốc, cho nổ theo qui định.
đ) Khi nổ mìn để làm đổ cây ở gần nhà thì chỉ được làm cách nhà một khoảng cách không gần hơn 30 m. Vị trí đặt phát mìn do người chỉ huy quyết định sao cho khi nổ mìn, cây không đổ về phía nhà.
Điều 23. Nổ mìn trong giếng khoan dầu khí
1. Quy định chung
a) Đơn vị thực hiện dịch vụ bắn nổ phải thiết lập phương án, bản đánh giá rủi ro và quy trình làm việc an toàn được lãnh đạo đơn vị phê duyệt. Người phụ trách công tác bắn nổ mìn (chỉ huy nổ mìn) phải thống nhất chi tiết với lãnh đạo giàn về các bước tiến hành, các phương án xử lý tình huống bất thường, các yêu cầu về vị trí triển khai công việc bắn nổ và các công tác an toàn liên quan. Phải có lệnh của đại diện giàn cho phép thực hiện công việc nổ mìn.
b) Chỉ huy nổ mìn phải thực hiện các thủ tục sau:
- Phổ biến cho các thành viên trong đội dịch vụ nổ mìn về thao tác nổ mìn phải thực hiện, các nguy cơ về nổ, khí độc và các biện pháp an toàn, trách nhiệm của từng người khi thao tác nổ mìn;
- Thiết lập khu vực lắp, dỡ thiết bị bắn mìn và khu vực để VLNCN tạm thời trước khi tháo lắp. Khu vực này phải cách các khu vực hoạt động khác ít nhất 15 m, khoảng cách này có thể nhỏ hơn nếu khu vực tháo lắp thiết bị bắn nổ được bao kín bằng các cấu trúc chịu được sự phá hủy khi nổ của VLNCN đem ra sử dụng;
- Chỉ định khu vực sơ tán trong các trường hợp khẩn cấp, khu vực sử dụng ngọn lửa trần, hút thuốc cách xa khu vực lắp dỡ, để VLNCN ít nhất 25 m;
- Đặt báo hiệu “Nổ mìn – Nguy hiểm”, căng dây cảnh báo xung quanh khu vực đã chỉ định và các yêu cầu cấm sử dụng thiết bị thu, phát sóng điện từ tần số radio cầm tay.
c) Chỉ được để tại khu vực đã thiết lập lượng VLNCN đủ dùng cho một đợt bắn nổ trong ngày. Trước khi lắp bộ phận kích nổ, kíp nổ hoặc phụ kiện nổ không được để trong khu vực tháo, lắp cùng với thiết bị bắn nổ đã nạp mìn. Chỉ được mở bao gói các VLNCN cần dùng ngay cho việc lắp thiết bị bắn nổ.
d) VLNCN thừa sau khi lắp phải được bao gói lại và để trong thùng chứa riêng, các mảnh dây nổ, thuốc nổ rơi vãi thu dọn phải đóng gói để trong thùng chứa khác với các loại rác thải bao bì rỗng, dây dẫn…. Ngay sau khi kết thúc quá trình lắp thiết bị bắn nổ, toàn bộ phế thải, VLNCN thừa phải được di chuyển ra khỏi khu vực tháo lắp đến nơi bảo quản; phế thải phải được vận chuyển về đất liền để tiêu hủy theo quy định.
đ) Thiết bị điều khiển bắn mìn dùng điện (máy bắn mìn) ở trạm đo phải có mạch an toàn để thực hiện việc ngắt toàn bộ các đường cấp và nối chung vào vỏ cáp thông qua điện trở có trị số 5000 Ω. Máy bắn mìn phải có khóa an toàn do chỉ huy nổ mìn quản lý nhằm ngăn ngừa sự đóng mạch điện bất thường ngoài ý muốn. Các đường cấp điện phải có giàn đỡ bảo vệ khỏi thiệt hại do các hoạt động trên giàn gây ra.
e) Hệ thống tiếp địa phải bảo đảm nối chắc chắn máy bắn mìn với các chi tiết ống chống, bộ thiết bị đầu giếng, giàn… thông qua cáp đồng và mỏ kẹp chữ “C”.
g) Kíp điện dùng trong nổ mìn dầu khí phải có điện trở sợi đốt lớn hơn 50 Ω và dòng an toàn (dòng không gây nổ kíp) không thấp hơn 200 mA hoặc thuộc loại kích nổ điện áp cao. Các dụng cụ đo, kiểm tra mạng nổ, kíp điện phải tuân theo yêu cầu quy định tại khoản 3, Điều 19 Quy chuẩn này hoặc phù hợp với hướng dẫn của nhà sản xuất nếu hướng dẫn này đưa ra các yêu cầu an toàn cao hơn. Kíp điện đã tháo khỏi bao gói phải luôn đặt trong ống bảo vệ khi đo kiểm tra và trước khi đấu lắp vào thiết bị bắn nổ.
Bộ tụ phóng điện của máy nổ mìn phải được trang bị điện trở tiêu áp xuống dưới 50 % ngưỡng điện áp kích nổ trong vòng 60 giây.
h) Các phụ kiện kích nổ kiểu cơ hoặc thủy lực phải được thử nghiệm chịu được ở các điều kiện nhiệt độ và áp suất tương tự điều kiện thực tế của giếng khoan.
i) Phải có hệ thống thông tin liên lạc phù hợp giữa khu vực để máy bắn mìn và khu vực thao tác tháo, lắp thiết bị bắn nổ, các khu vực liên quan trên giàn khoan.
k) Đối với giếng khoan có áp suất, phải thực hiện đo và cân bằng, kiểm soát áp suất trước khi lắp thiết bị bắn nổ đã nạp mìn vào bộ phận thả mìn. Trong quá trình bắn nổ mìn, nếu xuất hiện có sự bất thường về áp suất trong giếng cần tiến hành điều chỉnh và kiểm soát áp suất trước khi tiến hành tiếp tục công việc. Những người không liên quan phải ra khỏi khu vực nguy hiểm một khoảng cách ít nhất 25 m.
Các thiết bị thả trong giếng khoan phải được thiết kế để có thể thông, giảm áp bên trong thiết bị khi kéo ra khỏi giếng khoan.
2. Nổ mìn bằng cáp điện
a) Thông báo và đặt biển báo “Nguy hiểm nổ mìn - Tắt thiết bị thu phát Radio”. Phải có biển báo khu vực nguy hiểm và hàng rào cách ly.
Tạm ngừng hoạt động các trạm thu, phát sóng trong vùng nguy hiểm. Phải ngắt nguồn điện của thiết bị thu phát sóng để tránh kích hoạt khi có cuộc gọi đến.
Tàu chở hàng và các loại tàu khác, máy bay trực thăng không được phép đến giàn trong khi bắn nổ, không tiến hành công việc nếu trong vùng nguy hiểm có các trạm thu, phát sóng cao tần, trong khi có bão, sấm chớp, mưa to và phải báo cáo với lãnh đạo đơn vị, người đại diện giàn.
b) Thực hiện chống dòng rò điện bằng các biện pháp sau:
- Ngưng việc hàn cắt bằng điện, cách ly điện động cơ đỉnh giàn và thiết bị chống ăn mòn giàn (nếu có);
- Kiểm tra và tiếp đất cho các thiết bị: máy phát điện, trạm đo…;
- Kiểm tra điện thế xoay chiều và một chiều giữa hệ thống ống chống và giàn khoan điện thế cho phép phải nhỏ hơn 0.25 V (kiểm tra bằng vôn kế trước khi lắp, cực dương phải gắn vào giàn khoan);
- Tiến hành tiếp đất từ ống chống tới giàn và trạm đo;
- Thực hiện kiểm tra hệ thống mạng bắn nổ, kíp nổ bằng dụng cụ quy định, khi kiểm tra phải đảm bảo không có VLNCN gần khu vực thử;
- Thông qua mạch an toàn, ngắt toàn bộ các nguồn điện 1 chiều và xoay chiều từ máy bắn mìn ở trạm đo đến giàn, tháo khoá an toàn (khóa chính) của trạm đo và người chỉ huy nổ mìn phải cầm giữ chìa khóa của trạm đo;
- Thông báo cho toàn giàn và ngừng các công việc nguy hiểm theo giấy phép làm việc, đưa những người không có phận sự ra khỏi khu vực nguy hiểm.
c) Lắp, đấu nối thiết bị bắn mìn theo trình tự sau:
- Tiến hành kiểm tra lại điện thế giữa ống chống, giàn khoan đảm bảo ≤ 0,25V;
- Kiểm tra lại chìa khóa an toàn đã quản lý đúng quy định bên ngoài trạm đo;
- Nối đầu cáp điện và các thiết bị phụ trợ với thiết bị bắn nổ;
- Tháo kíp khỏi bao gói, kiểm tra bảo đảm hai đầu dây dẫn đã nối ngắn mạch với nhau;
- Đặt kíp vào ống bảo vệ và chuyển đến khu vực lắp thiết bị bắn mìn;
- Kiểm tra bảo đảm điện áp bằng 0 giữa các đầu cáp nối kíp trên thiết bị bắn mìn;
- Nối lần lượt các đầu dây kíp nổ với các đầu cáp trên thiết bị bắn mìn, kíp nổ vẫn phải nằm trong ống bảo vệ, dây nối tiếp địa phải được đấu trước;
- Rút kíp khỏi ống bảo vệ và kết nối kíp với dây nổ hoặc thiết bị truyền nổ khác;
- Lắp hoàn chỉnh thiết bị bắn nổ mìn, đảm bảo cách điện, cách nước và chịu được áp suất, nhiệt độ trong giếng khoan.
d) Thả thiết bị bắn mìn và thực hiện khởi nổ
- Thả dần thiết bị bắn mìn với tốc độ theo hướng dẫn của nhà sản xuất. Chỉ được cấp lại nguồn điện khi thiết bị bắn mìn đã ở độ sâu 60m dưới đáy biển hoặc mặt đất. Khi súng được thả xuống đạt được độ sâu thiết kế phải kiểm tra và so sánh với độ sâu chuẩn đảm bảo chính xác thì mới cho nổ mìn;
Chú thích: Khi thả thiết bị bắn mìn trong nước biển, có thể cấp lại nguồn điện ở độ sâu dưới mực nước biển 60 m nếu hậu quả rủi ro tại độ sâu này đã được đánh giá có thể chấp nhận được và phải được sự chấp thuận của người đại diện giàn khoan.
- Trước khi kích nổ, chỉ huy nổ mìn phải kiểm tra toàn bộ các điều kiện để đảm bảo khởi nổ an toàn thiết bị bắn mìn;
- Chỉ huy nổ mìn thông báo cho toàn giàn và phát lệnh khởi nổ.
đ) Thu hồi thiết bị bắn mìn và xử lý mìn câm.
- Sau khi nổ, khi thiết bị bắn mìn được kéo lên tới 60m dưới mặt đất hoặc đáy biển, phải lập lại các trình tự ngắt nguồn điện, tắt thiết bị thu phát sóng radio như khi thiết bị bắn mìn thả xuống giếng khoan. Không được kéo thiết bị bắn mìn ra khỏi giếng trong thời gian có bão, sấm chớp cũng như khi máy bay trực thăng, tầu thuyền đến giàn;
- Kiểm tra và xả áp suất dư trong thiết bị bắn mìn (nếu có) theo hướng dẫn của nhà sản xuất trước khi đưa ra khỏi miệng giếng;
- Nếu mìn không nổ phải tháo kíp nổ ra khỏi dây nổ hoặc thiết bị truyền nổ và đặt kíp vào trong ống bảo vệ trước khi tháo dây nối ra khỏi mạng nổ mìn. Tiến hành nối ngắn mạch hai đầu dây kíp, rút kíp khỏi ống an toàn và chuyển đến nơi bảo quản theo quy định;
- Tháo mìn câm ra khỏi thiết bị bắn mìn để vào thùng chứa riêng và chuyển đến nơi bảo quản, tiêu huỷ theo quy định.
Chú ý 1: Các lưu ý đặc biệt phải được thực hiện khi thu hồi thiết bị chứa thuốc nổ HMX (cyclo-1,3,5,7-tetramethylene 2,4,6,8-tetranitramine; Octogen) đã ở nhiệt độ > 1500C trong lòng giếng, thiết bị chứa HMX phải được thiết kế đặc biệt để tránh bị biến dạng, nới lỏng khi chịu nhiệt độ > 1500C.
Các thao tác thu hồi thiết bị chứa thuốc nổ HMX đã ở nhiệt độ > 1500C trong lòng giếng phải thực hiện cực kỳ thận trọng và phải được sự thỏa thuận của đại diện giàn, kíp nổ phải được tháo ngay lập tức còn thiết bị bắn mìn phải đặt ở khu vực an toàn ít nhất 24 giờ. Việc tháo mìn ra khỏi thiết bị bắn mìn chỉ được thực hiện tại cơ sở của đơn vị dịch vụ nổ mìn theo hướng dẫn của nhà chế tạo và dưới sự giám sát kỹ thuật viên chuyên ngành.
Chú ý 2: Phải kiểm tra nhiệt độ ngoài vỏ thiết bị bắn mìn đối với mìn câm trong giếng khoan có nhiệt độ cao > 1500C, đề phòng thuốc nổ đang cháy ngầm trong thiết bị bắn mìn khi kéo ra. Nếu thấy vỏ thiết bị bắn mìn nóng bất thường thì phải sơ tán ngay mọi người ra khỏi khu vực nguy hiểm, thông báo cho lãnh đạo giàn và chờ ít nhất 24 tiếng sau mới được tiếp tục công việc.
3) Nổ mìn bằng cần khoan (TCP)
a) Đơn vị thực hiện bắn nổ phải chuẩn bị các phương tiện, vật liệu nổ các điều kiện an toàn tuyệt đối cho công việc bắn nổ, việc kiểm tra bao gồm:
- Xây dựng sơ đồ cụ thể cho việc lắp ráp các thiết bị bắn nổ, kiểm tra tình trạng cơ khí của toàn bộ các chi tiết của thiết bị bắn nổ mìn. Thống nhất phương án với các bộ phận liên quan;
- Kiểm tra chi tiết các đầu tác động kích nổ cơ thủy lực gồm: buồng chứa kíp, kim hoả, các loại chốt, bi hãm và các loại vòng đệm. Cần đập kíp(xà beng) phải có kích thước phù hợp với bộ hạn chế, phía đầu phải lắp tấm đánh dấu bằng đồng, đuôi cần đập phải có cấu tạo phù hợp với thiết bị chụp quả nặng;
- Đầu tác động kích nổ cơ thủy lực phải được thử áp với áp lực gấp 1,2 lần áp lực lớn nhất trong lòng giếng;
- Ống an toàn (spacer) lắp giữa phần đạn nổ trên cùng và đầu tác động kích nổ phải có độ dài ít nhất 3m để đảm bảo định vị bộ mìn dưới mặt giàn khoan.
b) Lắp thiết bị bắn nổ kiểu tác động kích nổ bằng kíp điện
- Thực hiện việc loại trừ dòng rò điện như trình tự lắp thiết bị bắn nổ bằng cáp điện;
- Đưa những người không có phận sự ra khỏi khu vực nguy hiểm cho đến khi lắp xong thiết bị bắn nổ và thiết bị bắn nổ đã hạ xuống 60 m dưới mặt đất hoặc đáy biển. Không được có người ở các vị trí nằm thấp hơn mặt sàn và trong tầm bắn của thiết bị bắn nổ;
- Tháo kíp khỏi bao gói, bảo đảm hai đầu dây dẫn đã nối ngắn mạch;
- Đặt kíp vào ống bảo vệ;
- Kiểm tra bảo đảm điện áp bằng 0 giữa các cọc đấu dây kíp trên thiết bị bắn mìn;
- Gắn kíp nổ vào buồng chứa kíp, lắp cơ cấu bảo vệ và chuyển đến lắp thiết bị bắn nổ;
- Lắp thiết bị bắn nổ bên trên ống an toàn.
c) Lắp thiết bị bắn nổ kiểu tác động cơ thủy lực
Thực hiện tương tự nhưng không phải tiến hành loại trừ dòng rò điện.
d) Thả thiết bị bắn mìn và thực hiện khởi nổ
- Việc thả, bắn mìn bằng cần khai thác phải được kết hợp đồng bộ giữa các bộ phận của Địa vật lý giếng khoan, khai thác, khoan và sửa giếng tuân thủ theo các chương mục đã được lập trong phương án;
- Tốc độ thả thiết bị bắn mìn TCP theo hướng dẫn của nhà sản xuất nhưng không quá 1500m/h.
Khi thiết bị bắn mìn TCP đã tới chiều sâu dự kiến, tiến hành thả máy đo xạ tự nhiên, máy CCL để điều chỉnh độ sâu chính xác cho thiết bị bắn mìn TCP;
- Khi thiết bị bắn mìn đã nằm đúng vị trí như đã xác lập trong phương án, bộ phận khoan khai thác tiến hành lắp hệ thống van miệng giếng.
Chỉ huy nổ mìn thông báo cho toàn giàn và tiến hành cho nổ mìn bằng cách thả cần đập hoặc nén ép bằng áp suất.
đ) Thu hồi thiết bị bắn mìn và xử lý mìn câm.
- Phải kiểm tra, xác nhận chắc chắn tình trạng thiết bị bắn mìn đã nổ hoàn toàn;
- Thiết bị bắn mìn kích nổ bằng cần đập phải đảm bảo thu hồi cần đập trước khi kéo lên;
- Lưu ý đặc biệt và thao tác thận trọng đối với thiết bị bắn nổ chứa HMX đã ở trong giếng có nhiệt độ > 1500C;
- Đưa người không liên quan ra khỏi khu vực nguy hiểm khi thiết bị bắn mìn đã kéo lên đến 60 m dưới mặt đất hoặc dưới đáy biển;
- Thực hiện xả áp suất dư trong thiết bị;
- Tháo ngay cơ cấu bắn nổ, dỡ thiết bị bắn nổ.
Trường hợp mìn không nổ phải lập phương án kéo lên gồm 3 bên là Địa vật lí giếng khoan, chủ đầu tư, đại diện của giàn và các bên liên quan. Xử lý mìn câm tương tự như bắn mìn bằng cáp điện
Sau khi kết thúc công việc bắn nổ mìn, lập biên bản nổ vụ nổ, Biên bản phải có đầy đủ chữ kí của các thành phần gồm: chữ kí người đại diện giàn; đại diện bên khoan khai thác; người phụ trách địa vật lí và chỉ huy đợt nổ mìn. Tiến hành làm vệ sinh khu vực làm việc, thu dọn thiết bị và vật liệu nổ, thống kê việc tiêu hao vật tư sắp xếp các loại vật liệu nổ theo đúng chủng loại vào kho di động theo quy định.
MỤC 5. QUY ĐỊNH VỀ GIÁM SÁT CÁC ẢNH HƯỞNG NỔ MÌN
Điều 24. Quy định chung
1. Khi nổ mìn ở những địa điểm gần khu dân cư, công trình văn hoá lịch sử, công trình quan trọng quốc gia và các công trình khác không thuộc quyền sở hữu của tổ chức, cá nhân sử dụng VLNCN, Tổ chức, cá nhân sử dụng VLNCN phải thực hiện việc giám sát các ảnh hưởng của chấn động và sóng không khí đối với con người, công trình trong các trường hợp sau:
a) Có khiếu nại của chủ công trình về các ảnh hưởng của chấn động và sóng không khí;
b) Hệ số tỷ lệ khoảng cách DS không đạt yêu cầu quy định tại Bảng 2
Bảng 2:
|
Khoảng cách từ vị trí nổ mìn đến công trình gần nhất |
Hệ số tỷ lệ |
|
Từ 0 đến 91,4 m |
DS ³ 22,6 |
|
Từ 92 m đến 1524 m |
DS ³ 24,9 |
|
1524 m trở lên |
DS ³ 29,4 |
Công thức xác định DS:

Trong đó
Q = Lượng thuốc nổ tức thời lớn nhất (kg) trong một đợt nổ. Các lượng thuốc nổ giãn cách trong một khoảng thời gian nhỏ hơn 8 ms được coi là nổ tức thời.
D = Khoảng cách từ vị trí nổ mìn đến công trình gần nhất
Ví dụ 1: Nổ đồng thời một nhóm ba phát mìn có tổng khối lượng là 100 kg, khoảng cách đến công trình gần nhất là 150 m, tính hệ số tỷ lệ khoảng cách DS
Giải: Áp dụng công thức trên DS = 150/10 = 15;
DS = 15 < 24,9 (Bảng 2, khoảng cách từ 92 đến 1524 m). Do DS < 24, 9 nên phải thực hiện giám sát nổ mìn.
Ví dụ 2: Khoảng cách từ vị trí nổ mìn đến công trình là 300 m, xác định lượng thuốc nổ tức thời lớn nhất để không phải thực hiện giám sát nổ mìn.
Giải: Áp dụng công thức trên: Q = (300/24,9)2
Q lớn nhất = 144 kg
Ví dụ 3: Cũng với khoảng cách đến công trình là 300 m, lượng thuốc nổ cần thực hiện là 250 kg, tìm biện pháp nổ để không phải giám sát nổ mìn
Giải: Theo ví dụ 2, Q lớn nhất là 144 kg do đó không thể nổ tức thời 250 kg thuốc nổ. Để thỏa mãn điều kiện đầu bài, cần chia 250 kg thuốc nổ thành hai nhóm và cho nổ vi sai với độ giãn cách lớn hơn 8 ms.
Trường hợp có các bằng chứng về điều kiện địa chất, địa hình tại một khu vực nổ mìn cụ thể chỉ ra việc áp dụng hệ số tỷ lệ khoảng cách theo Bảng 2 là không phù hợp, tổ chức, cá nhân sử dụng VLNCN có thể đề nghị cơ quan có thẩm quyền điều chỉnh hệ số tỷ lệ khoảng cách với điều kiện mức rung động cho phép của nền đất kết cấu công trình gần nơi nổ mìn không vượt quá quy định tại khoản 1, Điều 25 khi thực hiện 5 vụ nổ mìn riêng biệt liên tiếp với hệ số tỷ lệ khoảng cách đã được điều chỉnh.
c) Nổ thí nghiệm để lập hoặc hiệu chỉnh hộ chiếu, thiết kế nổ mìn theo yêu cầu của cơ quan có thẩm quyền quản lý nhà nước về VLNCN.
2. Người thực hiện giám sát phải được tổ chức đủ điều kiện huấn luyện, cấp chứng chỉ đã qua đào tạo về phương pháp đo, đánh giá kết quả ảnh hưởng nổ mìn và sử dụng thành thạo thiết bị, phương tiện đo.
3. Phương pháp đo, đánh giá kết quả trong hoạt động giám sát thực hiện theo TCVN 7197:2002 Rung động và chấn động cơ học - Rung động đối với các công trình xây dựng - Hướng dẫn đo rung động và đánh giá ảnh hưởng của chúng đến các công trình xây dựng, TCVN 5964 :1995 Âm học - Mô tả và đo tiếng ồn môi trường - Các đại lượng và phương pháp đo chính.
4. Việc giám sát có thể thực hiện gián đoạn theo từng vụ nổ mìn hoặc liên tục trong một thời hạn theo yêu cầu giám sát.
5. Địa điểm, phương pháp đo, tính toán đánh giá mức độ ảnh hưởng phải thể hiện trong hộ chiếu hoặc thiết kế nổ mìn
Điều 25. Giám sát chấn động
1. Giới hạn cho phép về chấn động đối với công trình.
a) Thông số để xác định, đánh giá mức chấn động là giá trị vận tốc dao động phần tử cực trị (mm/s) ở dải tần số (Hz) nhất định đo tại nền đất của công trình.
b) Trừ các trường hợp đặc biệt do cơ quan có thẩm quyền quyết định, giá trị vận tốc dao động phần tử cực trị tại nền đất của công trình không được vượt quá mức cho phép quy định tại Bảng 3
Bảng 3:
|
Khoảng cách từ vị trí nổ mìn đến công trình gần nhất |
Vận tốc dao động cực trị cho phép |
|
Từ 0 đến 91,4 m |
31,75 mm/s |
|
Từ 92 m đến 1524 m |
25,4 mm/s |
|
1524 m trở lên |
19 mm/s |
Chú thích: Vận tốc dao động phần tử cực trị được đo theo ba hướng vuông góc với nhau, giá trị lớn nhất cho phép được áp dụng với từng phép đo.
c) Cho phép áp dụng đồ thị 1 để xác định mức cho phép của vận tốc dao động phần tử cực trị ở dải tần số thấp thay cho Bảng 2.
Đồ thị 1: Mức cho phép của vận tốc dao động phần tử cực trị ở dải tần số thấp

2. Việc đo chấn động phải thực hiện ở công trình gần nhất với vị trí nổ mìn. Điểm đặt, số lượng điểm đo, phương pháp đặt thiết bị đo thực hiện theo TCVN 7197:2002 và theo hướng dẫn của nhà chế tạo. Điểm đặt cho kết quả tin cậy là các điểm đặt bên trong công trình có bề mặt đối diện với khu vực nổ mìn.
Trường hợp điểm đặt thiết bị đo ở trên mặt đất bên ngoài công trình, điểm đặt phải nằm trong phạm vi mặt công trình hướng về nơi nổ mìn, khoảng cách từ điểm đặt thiết bị đo đến vị trí nổ mìn không nhỏ hơn 20% khoảng cách từ vị trí nổ mìn đến công trình. Mức rung động của công trình được ngoại suy từ kết quả đo tại điểm đặt thiết bị theo TCVN 7197:2002 hoặc theo công thức sau:
V = V0.(D0/D).1,5
Trong đó:
V0 là vận tốc dao động phần tử đo tại điểm đặt thiết bị;
D0 là khoảng cách từ vị trí đặt thiết bị đo đến vị trí nổ mìn;
D là khoảng cách từ vị trí nổ mìn đến công trình;
V là vận tốc dao động phần tử của kết cấu công trình
3. Số lần đo giám sát phải thực hiện ít nhất với 5 vụ nổ mìn riêng biệt liên tiếp.
Điều 26. Giám sát ảnh hưởng tác động sóng không khí
1. Giới hạn cho phép của tác động sóng không khí đối với con người và công trình
a) Thông số giám sát ảnh hưởng tác động sóng không khí đối với con người và kết cấu công trình là mức tăng áp suất không khí (áp suất dư) do sóng không khí nổ mìn lan truyền ở dải tần số nhỏ hơn 20 Hz gây ra tại vị trí giám sát. Đơn vị đo là Pascal (Pa) hoặc đêxiben – dB (Lin).
Đối với các khu vực nhạy cảm (bệnh viện, trường học, khu tôn giáo...) trong trường hợp cần thiết, việc đo giám sát bổ sung mức áp suất âm (mức ồn) ở dải tần số thấp hơn 200 Hz sẽ được thực hiện theo yêu cầu của cơ quan có thẩm quyền.
b) Mức quá áp không khí và mức áp suất âm tại công trình không được vượt quá mức cho phép quy định tại Bảng 4
Bảng 4:
|
Khi giới hạn tần số dưới của hệ thống đo Hz (± 3dB) |
Mức tối đa cho phép dB(L) |
|
0,1 Hz hoặc thấp hơn - dải tần số đáp ứng phẳng. |
134 Đỉnh |
|
2,0 Hz hoặc thấp hơn - dải tần số đáp ứng phẳng |
133 Đỉnh |
|
6,0 Hz hoặc thấp hơn - dải tần số đáp ứng phẳng |
129 Đỉnh |
|
Dải tần số đặc tính C - Đặc tính thời gian “S”.* |
105 dB (C) Đỉnh |
|
* Giám sát theo yêu cầu của cơ quan có thẩm quyền |
|
2. Vị trí, điểm đặt thiết bị, huớng giám sát tác động sóng không khí tuân theo TCVN 5964:1995.
Điều 27. Thiết bị giám sát
1. Thiết bị giám sát chấn động và ảnh hưởng sóng không khí phải đạt yêu cầu tối thiểu sau đây:
- Đo và ghi lưu trữ hoặc in kết quả giám sát;
- Dải đặc tính tần số từ 2 đến 200 Hz;
- Thang đo vận tốc phần tử tối thiểu từ 0,5 đến 110 mm/s;
- Thang đo mức âm từ 100 đến 142 dB;
- Giới hạn dưới tần số đo âm: 0,1; 0,2 hoặc 6 HZ;
- Giới hạn trên tần số đo âm (đáp ứng phẳng) tối thiểu 200 Hz;
- Có tính năng tự kiểm tra, hiệu chỉnh sai số đầu đo cảm biến.
2. Thiết bị giám sát phải được hiệu chuẩn theo quy định của nhà chế tạo nhưng tối thiểu phải một năm một lần và sau mỗi lần sửa chữa. Cách thức hiệu chuẩn theo hướng dẫn của nhà chế tạo. Chỉ những tổ chức, cá nhân đủ năng lực, điều kiện được hiệu chuẩn thiết bị giám sát.
Việc kiểm tra, hiệu chỉnh sai số đầu đo cảm biến trước và sau mỗi lần đo do người sử dụng thực hiện theo hướng dẫn của nhà chế tạo.
Điều 28. Báo cáo kết quả giám sát
1. Báo cáo kết quả giám sát phù hợp với mục đích giám sát nhưng phải gồm các nội dung sau:
a) Đối tượng giám sát
- Loại công trình, vị trí địa điểm đo, ngày giờ đo;
- Hệ số tỷ lệ khoảng cách;
- Tên người thực hiện giám sát;
b) Kỹ thuật đo
- Loại thiết bị, phương pháp đo, ngày tháng thực hiện hiệu chuẩn;
- Loại đầu đo và kết quả kiểm tra, hiệu chỉnh thiết bị trước khi đo;
- Dải tần số, tỷ lệ lấy mẫu và thời gian ghi;
- Vị trí và cách cố định đầu đo.
c) Điều kiện thời tiết, địa hình và các yếu tố ảnh hưởng, biện pháp loại trừ hiệu chỉnh
d) Kết quả đo chấn động và tác động sóng không khí:
- Số liệu, biểu đồ về thời gian rung động, vận tốc dao động phần tử, tần số dao động theo ba phương vuông góc với nhau và trị số vận tốc dao động phần tử cực trị của từng phương. Mức áp suất âm đỉnh đo được;
- Phương pháp phân tích sử dụng để đánh giá kết quả đo được;
- Đồ thị vận tốc - tần số dao động để so sánh kết quả giám sát với mức cho phép theo quy định tại điểm c khoản 1, Điều 25 Quy chuẩn này.
đ) Giải thích kết quả giám sát và kết luận.
2. Trường hợp thực hiện nhiều lần đo giám sát cùng một đối tượng, người thực hiện giám sát phải lập thêm báo cáo kết quả giám sát tổng hợp các chi tiết về kết quả đo ghi tại điểm d, khoản 1 Điều 28 Quy chuẩn này.
3. Kết quả đo giám sát phải được lưu trữ ít nhất năm năm tại nơi thực hiện giám sát.
Chương III
TỔ CHỨC THỰC HIỆN
Điều 29. Trách nhiệm thực hiện
1. Cục Kỹ thuật an toàn và Môi trường công nghiệp thuộc Bộ Công Thương có trách nhiệm phối hợp với cơ quan liên quan hướng dẫn thực hiện thống nhất Quy chuẩn trong cả nước và kiểm tra qua trình thực hiên.
2. Sở Công Thương các tỉnh, thành phố có trách nhiệm phối hợp với cơ quan liên quan hướng dẫn, thanh tra, kiểm tra việc thực hiện Quy chuẩn này đối với các tổ chức, cá nhân tham gia hoạt động VLNCN thuộc phạm vi quản lý theo quy định.
3. Tổ chức, cá nhân làm công việc có liên quan tới VLNCN tuỳ theo chức trách, nhiệm vụ, cương vị công tác phải thi hành đầy đủ những quy định trong bản quy chuẩn này.
Những ai vì thiếu tinh thần trách nhiệm, cố ý không chấp hành các qui định của quy chuẩn này để gây ra tai nạn, sự cố thì tuỳ theo trách nhiệm, cương vị công tác và mức độ thiệt hại mà sẽ bị xử lý hành chính hoặc truy cứu trách nhiệm hình sự theo pháp luật hiện hành.
4. Trường hợp các tiêu chuẩn, quy định của Quy chuẩn này có sự thay đổi, bổ sung hoặc thay thế thì việc thực hiện theo quy định tại văn bản mới.
5. Trường hợp Việt Nam tham gia ký kết các hiệp định song phương hoặc đa phương mà có những điều khoản khác với quy định trong Quy chuẩn này hoặc có thay đổi, bổ sung thì thực hiện theo điều khoản của hiệp định song phương hoặc đa phương đó.
Điều 30. Tài liệu tham khảo
Tài liệu tham khảo theo Phụ lục O, Quy chuẩn này. Các văn bản viện dẫn trong phụ lục là văn bản pháp quy hiện hành, khi có văn bản mới thay thì thực hiện thực hiện theo văn bản đó.
PHỤ LỤC A
PHÂN LOẠI VẬT LIỆU NỔ CÔNG NGHIỆP
A1. Phân loại VLNCN theo tính chất nguy hiểm nổ
|
Loại |
Phân nhóm nguy hiểm |
Đặc tính nguy hiểm |
NHÃN |
|
1 |
1.1(Division 1.1) |
Thuốc nổ có tính nổ mạnh (hiệu ứng nổ xảy ra tức thời với hầu như toàn bộ lượng thuốc nổ). Ví dụ : dynamite, thuốc đen, azit chì, một số loại watergels, kíp nổ mạnh, mồi nổ, nitroglycerin khử nhậy, các loại mìn. |
|
|
1 |
1.2(Division 1.2) |
Chất, hỗn hợp và sản phẩm có đặc tính thuốc phóng nhưng nổ yếu. Ví dụ; Các loại đạn rocket, pháo sáng |
|
|
1 |
1.3(Division 1.3) |
Chất, hỗn hợp, sản phẩm có tính nổ yếu, phóng yếu hoặc cả hai nhưng có tính cháy. Ví dụ: Thuốc nổ không khói, pháo hoa, đạn : a) Cháy kèm theo tăng mạnh về bức xạ nhiệt hoặc b) Quá trình cháy theo lớp, có khả năng nổ yếu hoặc phóng yếu hoặc cả hai |
|
|
1 |
1.4(Division 1.4) |
Sản phẩm có rủi ro không đáng kể về nổ trong quá trình vận chuyển, tác dụng nổ bị hạn chế đáng kể trong vỏ, bao bì và không có nguy cơ văng mảnh khi nổ. Cháy bên ngoài không làm kích nổ toàn bộ lượng thuốc trong sản phẩm. Ví dụ: Một số loại kíp phi điện, dây nổ, pháo đốt dân dụng, đạn cỡ nhỏ. |
|
|
1 |
1.5(Division 1.5) |
Chất hoặc hỗn hợp rất kém nhạy nổ nhưng có tính nổ mạnh, ít có nguy cơ chuyển cháy thành nổ ở điều kiện bình thường. Ví dụ: Thuốc nổ ANFO, nhũ tương, watergels độ nhạy thấp. |
|
|
1 |
6 (Division 1.6) |
Chất hoặc hỗn hợp cực kỳ kém nhạy và không có nguy hiểm nổ |
|
Chú thích: Phân nhóm nguy hiểm do nhà sản xuất ấn định và phải ghi trên nhãn bao bì VLNCN
A2. Phân loại theo nhóm thuốc nổ tương thích
A.2.1 Bảng nhóm VLNCN tương thích
|
Nhóm tương thích |
Loại VLNCN |
Mã phân loại |
|
A |
Chất nổ sơ cấp |
1.1A |
|
B |
Phụ kiện chứa thuốc nổ sơ cấp không kèm theo cơ cấu bảo vệ (cơ cấu an toàn). Ví dụ: mồi, kíp nổ mạnh |
1.1B, 1.2B, 1.4B |
|
C |
Thuốc nổ đẩy, thuốc cháy hoặc sản phẩm chứa chúng |
1.1C, 1.2C,1.3C, 1.4C |
|
D |
Thuốc nổ thứ cấp, thuốc đen hoặc sản phẩm chứa thuốc nổ thứ cấp nhưng không lắp cơ cấu kích nổ, không có lượng thuốc phóng; sản phẩm chứa thuốc nổ sơ cấp có kèm theo cơ cấu bảo vệ |
1.1D, 1.2D, 1.4D, 1.5D |
|
E |
Phụ kiện chứa thuốc nổ thứ cấp không lắp cơ cấu kích nổ nhưng có lượng thuốc phóng. |
1.1E, 1.2E,1.4E |
|
G |
Hoá chất làm pháo hoa, pháo hoa hoặc các sản phẩm chứa cả chất nổ và các chất tạo hiệu ứng ánh sáng, khói |
1.1G, 1.2G, 1.3G, 1.4G |
|
S |
Chất, sản phẩm được đóng gói hoặc thiết kế sao cho những ảnh hưởng nguy hiểm phát sinh từ sự cố bị hạn chế bên trong bao gói trừ trường hợp bao gói đã bị phá hủy do cháy . |
1.4S |
Chú thích:
- Mỗi loại VLNCN sẽ được ấn định một mã phân loại. Mã phân loại bao gồm một chữ số chỉ ra phân nhóm nguy hiểm (Bảng A1) và tiếp theo là một chữ cái chỉ ra nhóm tương thích (Bảng A2). Ví dụ: Phân nhóm nguy hiểm của kíp đốt số 8 là 1.1, mã tương thích là B do vậy mã phân loại của kíp đốt số 8 là 1.1B; tương tự ANFO thuộc phân nhóm 1.5, nhóm tương thích D do vậy mã phân loại của ANFO là 1.5 D.
- Mã phân loại do nhà sản xuất ấn định và phải ghi trên nhãn bao bì VLNCN.
A2.2 Nhóm VLNCN tương thích được phép bảo quản, vận chuyển chung
|
NHÓM |
A |
B |
C |
D |
E |
G |
S |
|
A |
X |
|
|
|
|
|
|
|
B |
|
X |
|
(1) |
|
|
X (1,2) |
|
C |
|
|
X |
X |
X |
X (3) |
X (1,2) |
|
D |
|
|
X |
X |
X |
X (3) |
X (1,2) |
|
E |
|
|
X |
X |
X |
X (3) |
X (1,2) |
|
G |
|
|
X (3) |
X (3) |
X (3) |
X |
X (1,2) |
|
S |
|
X |
X (3) |
X (3) |
X (3) |
X (3) |
X |
Chú thích:
- Dấu X chỉ ra các nhóm có thể cùng bảo quản, vận chuyển
- Ghi chú 1: Cho phép vận chuyển, bảo quản chung nếu thỏa mãn yêu cầu Phụ lục K.
- Ghi chú 2: Pháo hoa thuộc nhóm 1.4S không được vận chuyển, bảo quản chung với thuốc nổ nhóm 1.1, 1.2.
- Ghi chú 3: Sản phẩm chứa thuốc nổ tương thích nhóm G (trừ pháo hoa có quy định vận chuyển, bảo quản riêng) có thể xếp dỡ, vận chuyển, bảo quản cùng với chỉ một trong các loại sản phẩm chứa thuốc nổ nhóm C, D hoặc E
A3. Phân loại VLNCN theo điều kiện sử dụng (tham khảo)
|
Phân loại |
nhóm |
Dạng VLNCN và điều kiện sử dụng |
Mầu dải phân biệt |
|
1 |
2 |
3 |
4 |
|
I |
- |
VLNCN không an toàn, chuyên nổ trên mặt đất |
Trắng |
|
II |
- |
VLNCN không an toàn, chuyên nổ trên mặt đất và trong các gương đường lò không có khí và bụi nổ |
đỏ |
|
III |
- |
VLNCN an toàn, để nổ trong các gương đường lò đào trong đá có khí cháy nhưng không có bụi nổ |
Xanh đậm |
|
IV |
- |
VLNCN an toàn để nổ trong các trường hợp: - Đào các đường lò trong than hoặc đá nguy hiểm về bụi nổ và không có khí cháy; - Đào các đường lò trong than hoặc đá nguy hiểm về bụi nổ và không có khí cháy (trừ các đường lò có độ thoát khí cháy cao). |
Vàng |
|
V |
- |
VLNCN an toàn, để nổ trong các đường lò đào trong than hoặc đá có độ thoát khí cháy cao khi loại trừ được khả năng hình thành các lỗ mìn tiếp xúc với hỗn hợp khí cháy thoát ra từ các khe nứt trong địa khối |
Vàng |
|
VI |
- |
VLNCN an toàn để nổ trong các trường hợp: - Đào các đường lò trong than hoặc đá có độ thoát khí cháy cao có khả năng hình thành các lỗ mìn tiếp xúc với hỗn hợp khí cháy thoát ra từ các khe nứt trong địa khối; - Đào các đường lò thượng dốc trên 100 có gương đào than lẫn đá, chiều dài trên 20m không có khoan thăm dò sơ bộ và thông gió bằng hạ áp chung toàn mỏ. |
Vàng |
|
VII |
- |
VLNCN an toàn và phụ kiện nổ loại V-VI, để nổ trong các trường hợp đặc biệt: - Tạo màn nước dập bụi; - Phá cột chống gỗ khi phá hoả đá vách; - Xử lý đá treo trong các thượng tháo than; - Phá đá quá cỡ trong các đường lò có khả năng nguy hiểm về khí và bụi nổ |
Vàng |
|
Loại đặc biệt |
- |
VLNCN an toàn và không an toàn cùng với phụ kiện nổ kèm theo chúng, để tiến hành các vụ nổ đặc biệt (trừ các gương lò đường nguy hiểm về khí và bụi nổ) |
- |
|
- |
1 |
VLNCN không an toàn để nổ trên mặt đất trong các trường hợp: - Cắt kim loại; - Nổ mìn tập trung; - Nổ mìn tạo biên tạo tầng khai thác mỏ lộ thiên; - Nổ mìn phá băng; - Nổ mìn phá đá quá cỡ; - Nổ mìn trong các lỗ khoan thăm dò, địa chấn; - Nổ mìn chặt cây rừng và các công tác nổ mìn đặc biệt khác. |
Trắng |
|
- |
2 |
VLNCN không an toàn để nổ mìn tạo biên , phá đá quá cỡ trong các gương đường lò không nguy hiểm về khí và bụi nổ |
Đỏ |
|
- |
3 |
VLNCN không an toàn để nổ trong các lỗ khoan thăm dò địa chất, thăm dò dầu khí |
Đen |
|
- |
4 |
VLNCN để nổ trong các mỏ khai thác lưu huỳnh, mỏ dầu nguy hiểm về bụi nổ lưu huỳnh, khí H2 và khí H2S. |
Xanh lá cây |
A4. Nhóm VLNCN đại diện
|
Phân nhóm nguy hiểm |
1.1 |
1.2 |
1.3 |
1.4 |
1.5 |
1.6 |
|
1.1 |
1.1 |
1.1 |
1.1 |
1.1 |
1.1 |
1.1 |
|
1.2 |
1.1 |
1.2 |
1.1 |
1.2 |
1.1 |
1.2 |
|
1.3 |
1.1 |
1.1 |
1.3 |
1.3 |
1.1 |
1.3 |
|
1.4 |
1.1 |
1.2 |
1.3 |
1.4 |
1.5 |
1.6 |
|
1.5 |
1.1 |
1.1 |
1.1 |
1.5 |
1.5 |
1.5 |
|
1.6 |
1.1 |
1.2 |
1.3 |
1.6 |
1.5 |
1.6 |
Chú thích:
- Nhóm đại diện được xác định bằng cách tra tên nhóm ở ô giao cắt hàng và cột của hai loại VLNCN
- Nếu có từ ba loại VLNCN trở lên, việc chọn nhóm đại diện thực hiện trước hết với hai loại bất kỳ để chọn ra nhóm đại diện, sau đó tiếp tục chọn giữa nhóm đại diện vừa xác định với loại còn lại và cứ tiếp tục như vậy cho đến hết.
A5. Mã phân loại VLNCN
|
STT |
Tên VLNCN |
Số UN |
Mã phân loại |
|---|---|---|---|
|
1 |
Diazonitrophenol, ẩm hàm lượng nước hoặc hỗn hợp nước, rượu không nhỏ hơn 40% khối lượng (Kn) |
0074 |
1.1A |
|
2 |
Guanyl nitroaminoguanyltetrazen (hàm lượng nước trên 30%) (Kn) |
0113 |
1.1A |
|
3 |
Azit chì, ẩm hàm lượng nước hoặc hỗn hợp nước, rượu không ít hơn 20% khối lượng (Kn) |
0129 |
1.1A |
|
4 |
Styphnat chì (trinitroresocinat chì), ẩm hàm lượng nước hoặc hỗn hợp nước, rượu không ít hơn 20% khối lượng (Kn) |
0130 |
1.1A |
|
5 |
Amoni Picrat (Kn), dạng khô hoặc ẩm dưới 10% nước theo khối lượng |
0004 |
1.1D |
|
6 |
Thuốc nổ đen, dạng hạt hoặc bột thô |
0027 |
1.1D |
|
7 |
Xyclotrimetylentrinitramin (cyclonit, hexogen, RDX), ẩm không ít hơn 15% nước theo khối lượng (Kn) |
0072 |
1.1D |
|
8 |
Dietylenglycol dinitrat, khử nhậy với không ít hơn 25% nước chậm bay hơi - chất trơ không hòa tan theo trọng lượng (Kn) |
0075 |
1.1D |
|
9 |
Dinotrophenol, khô hoặc ẩm với không quá 15% nước theo trọng lượng |
0076 |
1.1D |
|
10 |
Hexanitrodiphenylamin (dipicrilamin, hexyl) |
0079 |
1.1D |
|
11 |
Hexolit (hexotol), khô hoặc ẩm với không quá 15% nước theo trọng lượng |
0118 |
1.1D |
|
12 |
Manitol hexanitrat, ẩm hàm lượng nước hoặc hỗn hợp nước, rượu không nhỏ hơn 40% theo khối lượng (Kn) |
0133 |
1.1D |
|
13 |
Nitroglyxerin, khử nhậy với không ít hơn 40% nước chậm bay hơi-chất trơ không hòa tan theo trọng lượng (Kn) |
0143 |
1.1D |
|
14 |
Nitro Urê |
0147 |
1.1D |
|
15 |
Pentaerythrit tetranitrat (pentaerythritiol tetranitrat, PETN), làm ẩm với không ít hơn 25% nước hoặc khử nhậy với không ít hơn 15% chất trơ theo trọng lượng |
0150 |
1.1D |
|
16 |
Pentolit, khô hoặc ẩm không quá 15% nước theo trọng lượng |
0151 |
1.1D |
|
17 |
Trinitroanilin (Picramide) |
0153 |
1.1D |
|
18 |
Trinitrophenol (axit Picric), khô hoặc ẩm không quá 30% nước theo trọng lượng |
0154 |
1.1D |
|
19 |
Trinitroclobenzen (clo picryl)) |
0155 |
1.1D |
|
20 |
Tetranitroanilin |
0207 |
1.1D |
|
21 |
Trinitrophenylmethylnitramin (tetryl) |
0208 |
1.1D |
|
22 |
Trinotrotoluen (TNT, Tolit), khô hoặc ẩm không quá 30% nước theo trọng lượng |
0209 |
1.1D |
|
23 |
Trinitroanisol |
0213 |
1.1D |
|
24 |
Trinitrobenzen, khô hoặc ẩm không quá 30% nước theo trọng lượng |
0214 |
1.1D |
|
25 |
Axit trinitrobenzen, khô hoặc ẩm không quá 30% nước theo trọng lượng |
0215 |
1.1D |
|
26 |
Trinitro - m - cresol |
0216 |
1.1D |
|
27 |
Trinitronaphtalen |
0217 |
1.1D |
|
28 |
Trinitrophenetol |
0218 |
1.1D |
|
29 |
Trinitroresorcinol (axit styphnic), khô hoặc ẩm không quá 20% nước hoặc hỗn hợp rượu và nước, theo trọng lượng |
0219 |
1.1D |
|
30 |
Amônium nitrat (trên 98,5% khối lượng, chứa hơn 0,2% chất dễ cháy bao gồm chất hữu cơ bất kỳ có chứa cacbon) |
0222 |
1.1D |
|
31 |
Cyclotetramethylen tetramin (HMX, Octogen), ẩm không ít hơn 15% nước theo trọng lượng |
0226 |
1.1D |
|
32 |
Octolit (Octol), khô hoặc ẩm không quá 15% nước theo trọng lượng |
0266 |
1.1D |
|
33 |
Nitroguanidin (picrite), khô hoặc ẩm không quá 20% nước theo trọng lượng |
0282 |
1.1D |
|
34 |
Nitroxenlulo, khô hoặc ẩm không quá 25% nước hoặc rượu theo trọng lượng |
0340 |
1.1D |
|
35 |
Nitrôbenzotriazol |
0385 |
1.1D |
|
36 |
Axit trinitrobenzensulphonic |
0386 |
1.1D |
|
37 |
Dinitroglycoluril (DINGU) |
0489 |
1.1D |
|
38 |
Nitrotriazolon (NTO) |
0490 |
1.1D |
|
39 |
Octonal |
0496 |
1.1D |
|
40 |
Thuốc nổ dạng Amonit |
0082 |
1.1D |
|
41 |
Thuốc nổ dạng Huyền phù |
0241 |
1.1D |
|
42 |
Thuốc nổ dạng nhũ tương |
0332 |
1.5D |
|
43 |
Thuốc nổ ANFO |
0331 |
1.5D |
|
44 |
Thuốc nổ dạng hỗn hợp kết hợp loại Nhũ tương/huyền phù với ANFO |
0332 |
1.5D |
|
45 |
Kíp nổ phi điện lắp sẵn phụ kiện kích nổ (dây nổ, ngòi hoặc ống truyền xung.) |
0360 0361 0500 |
1.1B, 1.4B 1.4S |
|
46 |
Kíp nổ điện |
0030 0255 |
1.1B, 1.4B |
|
47 |
Kíp nổ phi điện |
0029 0267 0455 |
1.1B, 1.4B, 1.4S |
|
48 |
Kíp nổ đốt |
0029 0267 |
1.1B 1.4B |
|
49 |
Kíp nổ điện an toàn |
0456 |
1.4S |
|
50 |
Dây nổ |
0065 0289 0290 |
1.1D 1.4D 1.4D |
|
51 |
Dây cháy chậm |
0105 |
1.4S |
|
52 |
Mồi nổ |
0042, 0283 |
1.1D, 1.2D |
|
53 |
Hạt nổ |
0257 0367 0325 |
1.4B 1.4S 1.4G |
|
54 |
Dây dẫn nổ |
0104 |
1.4S |
|
55 |
Mồi truyền tín hiệu phi điện |
0312 |
1.4G |
|
56 |
Các loại đạn khoan |
0277, 0278 |
1.3C, 1.4 C |
|
57 |
Các loại thuốc nổ định hình |
0271, 0272, 0237, 0288, 0440, 0441 |
1.1C, 1.3C 1.4D,1.1D 1.4D, 1.4S |
|
58 |
Các loại súng đục lỗ lắp sẵn thuốc nổ không có kíp nổ |
0124, 0494 |
1.1D, 1.4D |
|
59 |
Các loại đạn tạo áp |
0275, 0276 |
1.3C, 1.4C |
PHỤ LỤC B
KHOẢNG CÁCH AN TOÀN ĐỐI VỚI CÁC NGUỒN THU PHÁT SÓNG ĐIỆN TỪ TẦN SỐ RADIO KHI BẢO QUẢN, VẬN CHUYỂN VÀ SỬ DỤNG KÍP ĐIỆN
B1. Khoảng cách an toàn đối với các đài phát sóng AM thương mại
|
Công suất phát trên anten (W) |
Khoảng cách tối thiểu (m) |
|
Đến 4.000 |
244 |
|
5.000 |
274 |
|
10.000 |
396 |
|
25.000 |
610 |
|
50.000 |
884 |
|
100.000 |
1250 |
|
500.000 |
2774 |
B2. Khoảng cách đối với các máy phát đến 50 MHz
|
Công suất phát trên anten (W) |
Khoảng cách tối thiểu (m) |
|
100 |
244 |
|
500 |
518 |
|
1.000 |
762 |
|
5.000 |
1676 |
|
50.000 |
5182 |
|
500.000 |
16764 |
B3. Khoảng cách đối với các đài phát vô tuyến VHF và FM
|
Công suất bức xạ hiệu dụng (W) |
Khoảng cách tối thiểu (m) |
||
|
Kênh 2 - 6 |
Sóng FM |
Kênh 7 - 13 |
|
|
Đến 1.000 |
305 |
244 |
183 |
|
10.000 |
549 |
427 |
305 |
|
100.000a |
975 |
792 |
579 |
|
316.000b |
1311 |
1036 |
762 |
|
1.000.000 |
1768 |
1402 |
1006 |
|
10.000.000 |
3109 |
2469 |
1798 |
B4. Khoảng cách đối với các máy phát vô tuyến UHF
|
Công suất bức xạ hiệu dụng (W) |
Khoảng cách tối thiểu (m) |
|
Đến 10.000 |
183 |
|
1.000.000 |
610 |
|
5.000.000a |
914 |
|
100.000.000 |
1829 |
B5. Chỉ dẫn áp dụng đối với các loại trạm phát radio
|
Loại |
Tần số (MHz) |
Chiều dài sóng (m) |
Công suất máy phát (W) |
Bảng áp dụng |
|
Thương mại - Đài tiêu chuẩn (AM) - Điều biến tần số (FM) - TV (Kênh 2-6) - TV (Kênh 7-13) - TV (Kênh 14-83) |
0,535-1,605 88-108 54-88 174-216 470-890 |
554,74-187,45 3,41-2,77 5,55-3,41 1,71-1,37 0,64-0,34 |
50.000 550.000 100.000 316.000 5.000.000 |
B1 B3 B3 B3 B4 |
|
Nghiệp dư - Dải sóng160 m - Dải sóng 80 m - Dải sóng 40 m - Dải sóng 20 m - Dải sóng 15 m Dải sóng dân dụng - Dải sóng 10 m + Di động + Cố định - Dải sóng 6 m - Dải sóng 2 m - Dải sóng 11/4 m |
1,8-2,0 3,5-4,0 7,0-7,3 14,0-14,4 21,10-21,25 26,96-27,23
28,0-29,7 28,0-29,7 50,0-54,0 144-148 220-225 |
166,12-149,35 85,34-74,98 42,67-41,15 21,34-20,79 14,11-14,02 11,16-10,97
10,70-10,06 10,70-10,06 6,00-5,55 2,07-2,03 1,36-1,33 |
1.000 1.000 1.000 1.000 1.000 5
1.000 1.000 1.000 1.000 1.000 |
B2 B2 B2 B2 B2 B6
B6 B2 B6 B6 B6 |
|
Điện đàm ô tô - Đài phát cố định VHF - Đài phát di động VHF - Đài phát cố định UHF - Đài phát cố định UHF - Đài phát di động UHF |
150-160 159 450-470 470-512 459 |
0,61-0,57 0,58 0,21 - 0,20 0,20 - 0,18 0,20 |
100 30 175 60 35 |
B6 B6 B6 B6 B6 |
|
Điện thoại di động (420-30.000 MHz ) |
825-890 |
0,11-0,10 |
3 |
B6 |
|
Liên lạc hai chiều - Đài trung tâm HF - Máy di động - Đài trung tâm VHF - Máy di động - Đài trung tâm UHF - Máy di động - Dải LF (hàng không) - Dải HF (hàng không) - Dải VHF (hàng không) - Dải UHF (hàng không) - Vô tuyến điện báo |
25-50 25-50 148-174 148-174 450-470 450-470 0,2-0,4 4-23 118,0-135,9 225-500 6-23 |
11,89 - 6,10 11,89 - 6,10 2,01 - 1,71 2,01 - 1,71 0,67 - 0,64 0,67 - 0,64 1524,00-762,00 76,20 - 13,41 2,53 - 2,19 1,34 - 0,61 15240 |
500 500 600 180 180 180 2.000 50.000 50 100 50.000 |
B2 B6 B6 B6 B6 B6 B1 B2 30 m 15 m B2 |
B6. Khoảng cách đối với các máy phát di động nghiệp dư và dân dụng
(Khoảng cách tối thiểu [m])
|
Công suất phát trên anten |
MF |
HF |
VHF |
VHF |
UHF |
|
5 |
9 |
21 |
18 |
6 |
3 |
|
10 |
12 |
30 |
24 |
9 |
6 |
|
50 |
27 |
70 |
55 |
21 |
12 |
|
100 |
37 |
98 |
79 |
30 |
18 |
|
180 |
52 |
131 |
107 |
40 |
24 |
|
250 |
61 |
152 |
125 |
49 |
27 |
|
500 |
85 |
216 |
177 |
67 |
37 |
|
600 |
91 |
238 |
195 |
73 |
43 |
|
1.000 |
122 |
308 |
250 |
94 |
55 |
|
10,000 |
378 |
975 |
792 |
302 |
171 |
PHỤ LỤC C
(Qui định)
ĐIỀU KIỆN, CHƯƠNG TRÌNH HUẤN LUYỆN NHỮNG NGƯỜI TIẾP XÚC VỚI VLNCN
C.1 Điều kiện và yêu cầu về thời hạn huấn luyện đối với những người tiếp xúc thường xuyên với VLNCN
Chỉ những người có năng lực pháp lý và đủ 18 tuổi trở lên được tham gia các hoạt động trực tiếp liên quan đến VLNCN;
Mọi người làm công tác trực tiếp liên quan đến VLNCN, ngoài chứng chỉ đào tạo theo yêu cầu của từng công việc, phải được huấn luyện về các tính chất, đặc điểm VLNCN đem dùng, các biện pháp an toàn khi tiếp xúc với VLNCN. Sau khi huấn luyện, người đạt yêu cầu được cơ quan quản lý VLNCN tổ chức sát hạch, cấp giấy chứng nhận;
Khi có sự thay đổi về quy định pháp luật hoặc nội dung công việc liên quan trực tiếp đến VLNCN, người làm công tác trực tiếp với VLNCN phải được huấn luyện lại, huấn luyện bổ sung;
Yêu cầu huấn luyện cụ thể của từng công việc theo quy định sau:
C.1.1 Đối với công nhân làm công tác nổ mìn (thợ mìn)
C.1.1.1. Điều kiện về trình độ và kinh nghiệm
Đã qua đào tạo chuyên môn tại cơ sở đào tạo đủ điều kiện theo quy định pháp luật và có kinh nghiệm ít nhất 03 tháng làm công tác phục vụ nổ mìn dưới sự chỉ đạo và giám sát của chỉ huy nổ mìn hoặc thợ mìn đã được cấp chứng nhận huấn luyện.
C.1.1.2 Thời hạn huấn luyện và yêu cầu huấn luyện khi thay đổi về nội dung công tác nổ mìn
a) Việc huấn luyện kiểm tra định kỳ kiến thức của thợ mìn được tổ chức 2 năm một lần;
b) Những thợ mìn không đạt yêu cầu trong đợt kiểm tra định kỳ, hoặc đột xuất sẽ bị mất quyền sử dụng giấy chứng nhận. Sau 2 tháng, những người này được phép dự kiểm tra lại, nếu không đạt sẽ thu hồi giấy chứng nhận;
c) Sau khi nghỉ làm công việc nổ mìn trên một năm người thợ mìn phải kiểm tra lại kiến thức nếu đạt mới giao làm công tác nổ mìn trở lại;
d) Khi thợ mìn chuyển từ loại công việc nổ mìn này sang loại công việc nổ mìn khác hoặc sử dụng loại VLNCN mới cũng phải huấn luyện như trên. Người đó phải được học bổ sung và kiểm tra, sát hạch về nội dung của loại nổ mìn mới, nếu đạt mới được bố trí tiếp tục làm thợ mìn. Khi chuyển thợ mìn đến các mỏ hầm lò có khí hoặc bụi nổ thì sau khi kiểm tra, người thợ mìn này phải được sự hướng dẫn kèm cặp của thợ mìn có kinh nghiệm trong thời gian 15 ngày;
đ) Nếu trong quá trình làm việc thợ mìn vi phạm các qui định an toàn, nhưng mức độ không nghiêm trọng và không gây hậu quả thì phải học kiểm tra và sát hạch lại. Trong thời gian chờ học và kiểm tra người thợ mìn không được làm công tác nổ mìn. Trường hợp vi phạm nghiệm trọng gây tai nạn, sự cố thì phải xử lý và bị thu hồi giấy chứng nhận
C.1.1.3 Hạng thợ mìn và nội dung huấn luyện
a) Tuỳ theo tính chất công việc, thợ mìn được xếp thành các hạng sau:
- Hạng A: Là hạng thợ mìn được thực hiện toàn bộ các dạng nổ mìn;
- Hạng B: Là hạng thợ mìn được thực hiện toàn bộ các dạng nổ mìn khai thác, thi công công trình trên mặt đất;
- Hạng C: Là hạng thợ mìn được thực hiện toàn bộ các dạng nổ mìn khai thác, thi công công trình dưới mặt đất;
- Hạng D: Là hạng thợ mìn được thực hiện các dạng nổ mìn dưới nước;
- Hạng Đ: Là hạng thợ nổ mìn các dạng đặc biệt như nổ mìn gia công kim loại, nổ mìn phá hủy công trình gần khu dân cư, nổ mìn trong thử nghiệm VLNCN, nổ mìn ở vùng đất đá có nhiệt độ cao và các dạng nổ mìn khác theo thực tế yêu cầu;
Thợ mìn hạng A phải trải qua ít nhất 5 năm làm công tác nổ mìn và phải qua huấn luyện các nội dung bổ sung của hạng thợ mìn còn lại; thợ mìn hạng D phải có chứng chỉ thợ lặn và có kinh nghiệm ít nhất 01 năm.
b) Nội dung huấn luyện
Thợ mìn, trước khi thực hiện công việc phải qua lớp huấn luyện 15 ngày với nội dung sau đây.
- Về lý thuyết gồm có các phần :
+ Các quy định pháp luật về quản lý VLNCN;
+ Khái niệm về công tác nổ mìn. Mục đích và tác dụng của công tác nổ mìn;
+ Khái niệm về nổ, nổ vật lý, nổ hóa học;
+ Vật liệu nổ dùng trong công nghiệp
* Phân loại VLNCN;
* Thành phần tính chất cơ bản của một số thuốc nổ thường dùng;
* Cấu tạo và tính chất của một số phương tiện nổ;
* Những yêu cầu khi tiếp xúc với VLNCN.
+ Các phương pháp nổ mìn
* Nổ mìn bằng dây cháy chậm: phương pháp kiểm tra, đánh giá chất lượng dây cháy chậm, kíp nổ thường, cách làm kíp nổ, các dụng cụ và phương pháp đốt dây cháy chậm;
* Nổ mìn bằng dây nổ: phương pháp kiểm tra. đánh giá chất lượng dây nổ, các phương pháp dấu dây nổ ;
* Nổ mìn bằng điện: so sánh ưu khuyết điểm khi nổ mìn bằng điện và nổ bằng dây nổ, dây cháy chậm; nguyên tắc tính toán mạng điện nổ mìn; các yêu cầu kỹ thuật đối với dây dẫn, kíp điện, các phương pháp kiểm tra; các loại nguồn điện để nổ mìn, yêu cầu đối với chúng; trình tự nổ mìn bằng điện;
* Nổ mìn bằng phương pháp phi điện: phương pháp đấu ráp mạng nổ, kiểm tra, đánh giá chất lượng dây nổ, khởi nổ;
* Các biện pháp an toàn khi nổ mìn bằng dây cháy chậm, dây nổ, bằng điện, phi điện.
+ Ảnh hưởng của nổ mìn đối với môi trường, con người, nguyên tắc tính toán lượng thuốc nổ, các kiểu nạp mìn, cách tính khoảng cách an toàn khi nổ mìn;
+ Kiểm tra thử nghiệm vật liệu nổ, các phương pháp kiểm tra thử vật liệu nổ, đánh giá chất lượng vật liệu nổ, các biện pháp an toàn khi kiểm tra đánh giá vật liệu nổ
+ Các qui định về tiêu hủy vật liệu nổ, các phương pháp tiêu hủy và phạm vi áp dụng, các biện pháp an toàn kèm theo;
+ Vận chuyển vật liệu nổ từ kho tới nơi sử dụng ;
+ Các biện pháp tổ chức chỉ huy nổ một bãi nổ gồm các khâu: đuổi người nạp mìn, di chuyển người, thiết bị, các tín hiệu và các phương pháp xử lý mìn câm.
- Về thực hành, thợ mìn phải thực hành thành thạo một số công việc sau:
+ Biết đọc hộ chiếu nổ mìn;
+ Làm ngòi mìn, mìn mồi (đưa dây vào kíp nổ thường, đưa dây nổ, kíp vào khối mìn mồi):
+ Biết bảo quản vật liệu nổ tại nơi nổ mìn.
+ Biết và thành thạo công việc nạp mìn, nạp bua, đầu nối mạng điện nổ mìn;
+ Biết thứ tự công việc, các biện pháp an toàn khi xử lý mìn câm;
+ Biết phương pháp nổ, trình tự công việc, tín hiệu nổ, trách nhiệm của thành viên đội mìn.
- Các nội dung bổ sung khi tiến hành nổ mìn theo các dạng khác nhau :
+ Nổ mìn trên mặt đất (nổ mìn để đạt mục đích văng xa, làm tơi, các biện pháp tổ chức và an toàn kèm theo);
+ Nổ mìn trong các mỏ hầm lò không nguy hiểm về khí hoặc bụi nổ: các vật liệu nổ được phép sử dụng, các biện pháp an toàn.
+ Nổ mìn trong các mỏ hầm lò có khí nổ hoặc bụi nổ: các vật liệu nổ được phép sử dụng, các biện pháp đảm bảo cho bầu không khí mỏ không bị bốc cháy do nổ mìn gây ra và các biện pháp an toàn
+ Nổ mìn khi phá dỡ các công trình, nhà cửa: Các biện pháp chuẩn bị trước khi nổ mìn phá dỡ, các loại kết cấu đặc biệt cần lưu ý và biện pháp xử lý, thủ tục kỹ thuật an toàn khi nạp, nổ mìn phá dỡ công trình.
+ Nổ mìn dưới nước: Nguyên lý, các khía cạnh khác biệt của quá trình nổ mìn dưới nước, sự lan truyền của chấn động và các biện pháp kỹ thuật an toàn khi nổ mìn ở nơi sát nước hoặc trong nước.
+ Nổ mìn các dạng đặc biệt khác.
- Người đã được cấp chứng nhận\ chứng chỉ nổ mìn hợp lệ của nước ngoài phải huấn luyện bổ sung kiến thức pháp luật về VLNCN của Việt Nam; các điều kiện, kiến thức theo thực tế khi vận chuyển, bảo quản, sử dụng VLNCN.
C.1.1.4 Người đã huấn luyện phải được cơ quan có thẩm quyền quản lý VLNCN sát hạch, nếu đạt yêu cầu mới được cấp giấy chứng nhận thợ mìn, thợ mìn đã huấn luyện bổ sung các hạng nổ mìn khác được ghi hạng bổ sung trong giấy chứng nhận.
C.1.1.5 Giấy chứng nhận theo mẫu 1 của phụ lục này.
C.1.2 Thủ kho VLNCN
C.1.2.1 Điều kiện về trình độ
Người thủ kho VLNCN phải có sức khoẻ tốt và có trình độ văn hoá tối thiểu tốt nghiệp phổ thông trung học.
C.1.2.2 Thời hạn huấn luyện và yêu cầu huấn luyện khi thay đổi về nội dung công việc bảo quản VLNCN.
a) Việc huấn luyện kiểm tra định kỳ kiến thức của thủ kho được tổ chức 5 năm một lần;
b) Huấn luyện lại khi thủ kho có vi phạm trong công tác bảo quản VLNCN;
c) Huấn luyện bổ sung khi có loại VLNCN mới được đưa vào sử dụng.
C.1.2.3. Nôi dung huấn luyện
Thủ kho VLNCN phải qua mỗi lớp học 10 ngày với những nội dung sau đây.
a) Các quy định pháp luật về quản lý VLNCN;
b) Thành phần, tính chất, phân loại và yêu cầu về chất lượng VLNCN. Các biện pháp đảm bảo chất lượng, các qui định về thử và kiểm tra. Những qui định khi tiếp xúc với VLNCN, yêu cầu về bao bì, bao gói VLNCN.
c) Cấu tạo, tính chất của các loại phương tiện nổ, yêu cầu khi tiếp xúc với chúng các yêu cầu về chất lượng, bảo quản, bao bì.
c) Các kho vật liệu nổ:
- Phân loại kho VLNCN
- Khoảng cách an toàn giữa kho với các công trình dân sự, dân cư và giữa các kho với nhau, các yêu cầu về trang thiết bị bảo vệ (chống sét, chống cháy, chống ngập lụt, hệ thống chiếu sáng thông tin, bảo vệ) ;
- Cách sắp xếp vật liệu nổ trong kho.
d) Các qui định về bốc xếp, vận chuyển trong phạm vi kho.
đ) Công tác xuất nhập, thống kê VLNCN.
e) Chế độ kiểm tra, thử các loại VLNCN.
g) Tiêu hủy VLNCN, phương pháp, trình tự, biện pháp an toàn khi tiêu hủy VLNCN.
h) Chế độ trách nhiệm của thủ kho VLNCN.
C.1.2.4. Người đã huấn luyện phải được cơ quan có thẩm quyền quản lý VLNCN sát hạch, nếu đạt yêu cầu mới được cấp giấy chứng nhận thủ kho VLNCN. Giấy chứng nhận theo mẫu 2 của phụ lục này.
C.1.3 Lái xe, áp tải VLNCN (người vận chuyển)
C.1.3.1 Điều kiện về trình độ
Người lái xe, công nhân vận chuyển, bốc dỡ, áp tải VLNCN phải có sức khỏe tốt và có trình độ văn hoá tối thiểu tốt nghiệp phổ thông trung học. Lái xe phải có thêm giấy phép điều khiển phương tiện tham gia giao thông theo quy định hiện hành của Nhà nước.
C.1.3.2 Thời hạn huấn luyện và yêu cầu huấn luyện khi thay đổi về nội dung công việc vận chuyển VLNCN.
a) Việc huấn luyện kiểm tra định kỳ kiến thức của người vận chuyển được tổ chức 2 năm một lần;
b) Huấn luyện lại khi người vận chuyển có vi phạm trong công tác bảo quản VLNCN;
c) Huấn luyện bổ sung khi có loại VLNCN mới được đưa vào sử dụng hoặc thay đổi về loại phương tiện vận chuyển.
C.1.3.3. Nôi dung huấn luyện
a) Các văn bản quy phạm pháp luật liên quan đến vận chuyển VLNCN;
b) Tính chất, thành phần và phân loại VLNCN;
c) Các dấu hiệu, biểu trưng và ký hiệu nguy hiểm của bao gói, thùng chứa và phương tiện vận chuyểnVLNCN;
d) Các loại bao gói, thùng chứa VLNCN, phương tiện vận chuyển và phương pháp vận chuyển đối với các nhóm VLNCN khác nhau;
đ) Các biện pháp phòng ngừa cháy, nổ và khắc phục thích hợp đối với mỗi nhóm VLNCN;
e) Các biện pháp khẩn cấp cần thực hiện khi xảy ra tai nạn, sự cố (cấp cứu, an toàn trên đường, các kiến thức cơ bản về sử dụng các dụng cụ bảo vệ).
C.1.3.4. Người đã huấn luyện phải được cơ quan có thẩm quyền quản lý VLNCN sát hạch, nếu đạt yêu cầu mới được cấp giấy chứng nhận vận chuyển VLNCN. Giấy chứng nhận theo mẫu 3 của phụ lục này.
C.1.4 Nhân viên làm công tác phân tích thí nghiệm VLNCN phải có chuyên môn tương xứng với chức trách công việc, đã được học và kiểm tra các qui định về an toàn có liên quan tới VLNCN.
C.1.5 Người làm công việc phục vụ công tác nổ mìn (vận chuyển, bảo quản VLNCN trong khu vực nổ mìn, người canh gác hoặc thực hiện các việc nạp mìn, đấu mạng nổ dươcí sự chỉ đạo và giám sát trực tiếp của chỉ huy nổ mìn), công nhân vận chuyển, bốc dỡ phải được chỉ huy nổ mìn trực tiếp huấn luyện về các tính chất, đặc điểm VLNCN đem dùng, các biện pháp an toàn trước khi tiếp xúc với VLNCN. Khi có sự thay đổi về nội dung công việc hoặc loại VLNCN mới cũng phải được huấn luyện lại như trên. Sau khi huấn luyện người được huấn luyện phải ký nhận vào sổ;
MẪU GIẤY CHỨNG NHẬN THỢ MÌN
Mẫu số 1
Mặt ngoài: Kích thước: 190mm x 130mm
|
|
(1)......................................... (2).........................................
GIẤY CHỨNG NHẬN THỢ MÌN
|
(1) Tên Bộ, ngành, cơ quan quản lý đơn vị tổ chức huấn luyện (Ví dụ: Bộ, Ủy ban nhân dân tỉnh..)
(2) Tên đơn vị tổ chức huấn luyện (Ví dụ: Cục, Sở… )
Mặt trong: Kích thước: 190mm x 130mm
|
GIẤY CHỨNG NHẬN THỢ MÌN
|
Từ ngày:…………….. đến ngày: ……………… Đã thi kiểm tra đạt kết quả loại: ……………….. Được công nhận là thợ mìn hạng:……… …...ngày….tháng....năm….... Cơ quan huấn luyện
Ký tên đóng dấu
Đã qua lớp huấn luyện bổ sung do:………. ………….mở về nội dung:………………. Đạt kết quả loại:…………………… Được phép làm công tác nổ mìn hạng:…… …...ngày….tháng....năm….... Cơ quan huấn luyện
Ký tên đóng dấu |
||
|
|
Họ và tên:……………….… Ngày sinh:……………….… Trú quán:………………….. ……………………………….. Trình độ văn hoá:…………
Số:……….. |
||
|
Giấy chứng nhận này có giá trị 02 năm từ ngày……tháng….năm… đến ngày….tháng …năm…. |
|||
Chú thích: Khi giấy chứng nhận hết hạn người có giấy chứng nhận phải được huấn luyện và kiểm tra lại để được cấp giấy mới
MẪU GIẤY CHỨNG NHẬN THỦ KHO VẬT LIỆU NỔ CÔNG NGHIỆP
Mẫu số 2
Mặt ngoài: Kích thước: 190mm x 130mm
|
|
(1)......................................... (2).........................................
GIẤY CHỨNG NHẬN THỦ KHO VLNCN
|
(1) Tên Bộ, ngành, cơ quan quản lý đơn vị tổ chức huấn luyện (Ví dụ: Bộ, Ủy ban nhân dân tỉnh..)
(2) Tên đơn vị tổ chức huấn luyện (Ví dụ: : Cục, Sở)
Mặt trong: Kích thước: 190mm x 130mm
|
GIẤY CHỨNG NHẬN THỦ KHO VẬT LIỆU NỔ CÔNG NGHIỆP |
Từ ngày:…………….. đến ngày: ……………… Đã thi kiểm tra đạt kết quả loại: ……………….. Được công nhận là thủ kho VLNCN …...ngày….tháng....năm….... Cơ quan huấn luyện
Ký tên đóng dấu
Đã qua lớp huấn luyện bổ sung VLNCN loại ………………do.……………………………..mở Đạt kết quả loại:………………………………. Được công nhận là thủ kho VLNCN …...ngày….tháng....năm….... Cơ quan huấn luyện
Ký tên đóng dấu |
||
|
|
Họ và tên:…… Ngày sinh:………………... Trú quán:……… Trình độ văn hoá:……
Số:……….. |
||
|
Giấy chứng nhận này có giá trị 05 năm từ ngày……tháng….năm… đến ngày….tháng …năm… |
|||
Chú thích: Khi giấy chứng nhận hết hạn người có giấy chứng nhận phải được huấn luyện và kiểm tra lại để được cấp giấy mới
MẪU GIẤY CHỨNG NHẬN NGƯỜI VẬN CHUYỂN
Mẫu số 3
Mặt ngoài: Kích thước: 190mm x 130mm
|
|
(1)......................................... (2).........................................
GIẤY CHỨNG NHẬN NGƯỜI VẬN CHUYỂN VLNCN
|
(1) Tên Bộ, ngành, cơ quan quản lý đơn vị tổ chức huấn luyện (Ví dụ: Bộ, Ủy ban nhân dân tỉnh..)
(2) Tên đơn vị tổ chức huấn luyện (Ví dụ: : Cục, Sở)
Mặt trong: Kích thước: 190mm x 130mm
|
GIẤY CHỨNG NHẬN NGƯỜI VẬN CHUYỂN VLNCN |
Từ ngày:…………….đến ngày: ……………… Đã thi kiểm tra đạt kết quả loại: ……………….. Được công nhận là người vận chuyển VLNCN …...ngày….tháng....năm….... Cơ quan huấn luyện
Ký tên đóng dấu
Đã qua lớp huấn luyện bổ sung VLNCN loại ………………do.………………………..mở Đạt kết quả loại:……………………………. Được công nhận là người vận chuyển VLNCN …...ngày….tháng....năm….... Cơ quan huấn luyện
Ký tên đóng dấu |
||
|
|
Họ và tên:……………….…… Ngày sinh:……………….…... Trú quán:…………………….. ……………………………….. Trình độ văn hoá:……………
Số:……….. |
||
|
Giấy chứng nhận này có giá trị 02 năm từ ngày……tháng….năm… đến ngày….tháng …năm…. |
|||
Chú thích: Khi giấy chứng nhận hết hạn người có giấy chứng nhận phải được huấn luyện và kiểm tra lại để được cấp giấy mới
PHỤ LỤC D
(Qui định)
HƯỚNG DẪN TÍNH KHOẢNG CÁCH AN TOÀN KHI NỔ MÌN VÀ BẢO QUẢN VẬT LIỆU NỔ CÔNG NGHIỆP
D.1 Tính khoảng cách an toàn về chấn động khi nổ mìn .
D.1.1 Tính khoảng cách an toàn về chấn động đối với nhà và công trình do nổ một phát mìn tập trung theo công thức sau :

trong đó
rc là khoảng cách an toàn, tính bằng mét,
Kc là hệ số phụ thuộc vào tính chất đất nền của công trình cần bảo vệ, tra bảng D.1 ;
là hệ số phụ thuộc vào chỉ số tác động nổ n, tra bảng D.2;
Q là khối lượng toàn bộ của phát mìn, tính bằng kilogam.
Bảng D.1 - Hệ số Kc để tính khoảng cách an toàn về chấn động
|
Loại đất nền của công trình cần bảo vệ |
Trị số Kc |
|
1. Đá nguyên 2. Đá bị phá hủy 3. Đá lẫn sợi và đá dăm 4. Đất cát 5. Đất sét 6. Đất lấp và đất mặt thực vật 7. Đất bão hoà nước (đất nhão và than bùn) |
3 5 7 8 9 15 20 |
Chú thích - Khi đặt phát mìn ở trong nước hoặc trong đất bão hoà nước thì trị số Kc phải tăng lên 1,5 đến 2 lần.
Bảng D.2 - Hệ số để tính khoảng cách an toàn về chấn động
|
Điều kiện nổ |
Trị số |
|
1. Khi phá ngầm và khi n ≤ 0,5 2. Chỉ số tác động nổ n = 1 n = 2 n = 3 |
1,2
1 .0 0.8 0.6 |
Chú thích- Khi nổ ở trên mặt đất không tính đến tác động của chấn động
D.1.2 Khi đồng thời nổ một nhóm các phát mìn nếu khoảng cách từng phát mìn đến đối tượng bảo vệ không chênh lệch quá 10% có thể tính khoảng cách an toàn về chấn động theo công thức (1), trong đó Q là tổng khối lượng chất nổ trong nhóm.
Nếu khoảng từ từng phát mìn đến đối tượng cần bảo vệ chênh lệch nhau quá 10% thì khoảng cách an toàn về chấn động tính theo công thức (2) .

Trong đó
Qtd là khối lượng của phát mìn tương đương về tác động chấn động, tính bằng kilogam theo công thức (3) ;
nf là số lượng phát mìn có trong nhóm;
qi là khối lượng của phát mìn riêng lẻ, tính bằng kilogam;
ri là bán kính của khu vực chấn động tính theo công thức (1) đối với phát mìn ở gần đối tượng được bảo vệ nhất (xem hình D.1 ) , tính bằng mét;
ri(r2; r3) là các khoảng cách từ những phát mìn khác của nhóm đến điểm giao nhau của vòng tròn bán kính r1, với đường thẳng nối phát thuốc thứ nhất với đối tượng cần bảo vệ (xem hình D.1 ), tính bằng mét.
Các hệ số khác xem công thức (1):
Coi phát mìn tương đương đặt ở chỗ phát mìn riêng lẻ q1 gần đối tượng bảo vệ nhất.
Do Qtd > q1 nên các tính gần đúng theo công thức (2) sẽ lớn hơn K1 . Vì vậy phải tính lại bằng cách dời điểm O sang điểm O' để tính r’c (tiếp tục chuyển như vậy đến khi nhận được hai giá trị khoảng cách có độ chênh lệch không đáng kể (xem thí dụ). Khi có một số đối tượng cần bảo vệ an toàn ít chấn động đất do nổ một nhóm phát mìn thì việc tính toán khoảng cách an toàn phải thực hiện riêng cho từng đối tượng.

Công trình cần bảo vệ
Hình D.1 - Cách xác định bằng đồ thị tìm phát thuốc tương ứng
Khi biết sự phân bố các phát mìn và đối tượng cần bảo vệ, thì các đối tượng này nằm ngoài phạm vi chấn động nếu thỏa mãn điều kiện sau:

Trong đó
ri là khoảng cách từ phát mìn riêng lẻ đến các đối tượng cần bảo vệ, tính bằng mét;
các hệ số khác xem công thức (1), (2), (3).
D.1.3 Khi nổ riêng lẻ một số phát mìn thì khoảng cách an toàn phụ thuộc vào thời gian nổ chậm giữa các đợt .
a) Khi thời gian nổ chậm không nhỏ hơn 1 giây, thì việc xác định khoảng cách an toàn phải căn cứ vào khối lượng Qtd lớn nhất trong các nhóm;
b) Khi nổ mìn vi sai, tác động chấn động nổ giảm nhiều, các trị số khoảng cách an toàn do các chuyên gia giải quyết tại chỗ.
D.1.4 Các phương pháp tính nêu ở D.1.1, D.1.2 và D.1.3 ở trên chỉ áp dụng cho đối tượng cần bảo vệ là nhà bình thường (tường gạch và tương đương) ít tầng. Nếu nhà đã bị hư hỏng (nứt tường) thì khoảng cách an toàn tính được phải tăng lên ít nhất hai lần. Các phương pháp tính trên không áp dụng đối với nhà và công trình cỡ lớn như: tháp, nhà cao tầng.
Đối với các công trình kỹ thuật phức tạp, quan trọng như cầu, đài phát thanh. đập nhà máy thủy điện, việc đảm bảo an toàn về chấn động khi nổ mìn sẽ do chuyên gia giải quyết.
D.1.5 Những nơi nổ mìn nhiều lần (các mỏ lộ thiên) khoảng cách an toàn tính theo công thức (1) và (2) với một lần nổ mìn phải tăng lên ít nhất hai lần.
D.1.6 Bán kính vùng nguy hiểm về chấn động khi nổ mìn một lần tra theo bảng D.3.
Khi dùng bảng D.3 phải sử dụng hệ số hiệu chỉnh như sau:
- Cho phép mìn đặt sâu, hệ số tra theo bảng D.2;
- Cho phép mìn đặt trong nước hoặc trong đất bão hoà nước theo ghi chú của bảng D.1.
D.1.7 thí dụ tính khoảng cách an toàn về chấn động đất do nổ đồng thời các nhóm phát mìn:
Đầu bài: Nổ đồng thời một nhóm gồm ba phát mìn với chỉ số tác động nổ n á1 , ba phát mìn trên một đườngthẳng có khối lượng q1=100 tấn; q2=200 tấn; q3= 500 tấn. Khoảng cách giữa các phát mìn là 500 m. Công trình cần bảo vệ có nền là đất sét với độ ẩm tự nhiên.
Tính toán: Theo công thức (1) bán kính vùng nguy hiểm do chấn động của phát mìn q1, (gần công trình bảo vệ nhất).

Vẽ được vòng tròn bán kính r1 = 420 m là vòng chấn động của phát mìn q1
căn cứ vào tỷ lệ trên sơ đồ, suy ra các khoảng cách r2 , r3 từ các phát mìn q2, q3 đến điểm O và tìm ra r2 = 650 m , r3 = 1080 m.
Dùng công thức (3) tính được trị số phát mìn tương đương Qtd và r’c gần đúng lần thứ nhất.
|
qi (tấn) |
ri (m) |
(r1/ri)3 |
q1(r1/ri)3 |
|
100 |
420 |
1,000 |
100 |
|
200 |
650 |
0,270 |
54,0 |
|
500 |
1080 |
0,059 |
29,5 |
Q’td = 183, 5 tấn
do đó 
Trị số 515 m lớn hơn nhiều so với trị số 420 m nên cần tìm lần thứ hai bán kính chấn động đất r”c Lập bảng số mới r1 =515 m theo cách tính tỷ lệ trên bản vẽ r2=715 m và r3=1110m.
|
qi (tấn) |
ri (m) |
(r1/ri)3 |
q1(r1/ri)3 |
|
100 |
515 |
1,000 |
100,0 |
|
200 |
715 |
0,373 |
74,6 |
|
500 |
1110 |
0,1 |
50,0 |
Q"td = 224,6 tấn
do đó 
Tìm lần thứ ba với trị gần đúng bán kính chấn động với r1=550 m, r2 = 740 m và r3 =1.140 m.
|
qi (tấn) |
ri (m) |
(r1/ri)3 |
q1(r1/ri)3 |
|
100 |
550 |
1,000 |
100,0 |
|
200 |
740 |
0,412 |
80,4 |
|
500 |
1140 |
0,112 |
50,0 |
Q”’td=238,4 tấn
do đó: 
Phép tính lại lần thứ tư theo trình tự trên, tính được gần đúng bán kính an toàn chấn động r’’’ c= 567 m.
Như vậy có thể chấp nhận bán kính an toàn về chấn động đất của thí dụ này là 570 m.
Kiểm tra theo công thức (4)

Việc tính toán trên đây có thể chấp nhận được
Bảng D.3 - Trị số bán kính vùng nguy hiểm 
|
Đất nền công trình cần bảo vệ |
Trị số Kc |
Khối lượng phát mìn, kg |
|||||||||||
|
1000 |
2000 |
5000 |
104 |
25x103 |
5x104 |
75x103 |
105 |
2x105 |
75x105 |
75x104 |
106 |
||
|
1. Đá nguyên 2. Đá bị phá hủy 3. Đá lẫn sỏi, đá dăm 4. Đất cát 5. Đất sét . 6 Đất lấp, đất tầng 7 Đất bão hoà nước |
3 5
9 15
|
30 50
90 150
|
40 60
115 190
|
50 85
155 260
|
65 110
195 320
|
90 150
260 440
|
110 185
330 550
|
130 210
380 630
|
140 230
420 700
|
175 290
525 880
|
240 400
715 1200
|
270 455
820 1370
|
300 500
900 1500
|
D.2 Tính các khoảng cách an toàn về truyền nổ
D.2.1 Khoảng cách đảm bảo không truyền nổ từ khối thuốc nổ nay sang khối thuốc nổ khác được theo công thức:

trong đó
rtr - là khoảng cách an toàn về truyền nổ, tính bằng mét;
q1 , q2 , qn là khối lượng của các loại thuốc nổ có trong đống (khối) thuốc nổ. Tổng số q đúng bằng 1 khối lượng toàn bộ đống (khối) thuốc nổ (chứa trong một nhà kho) trong một đống, tính bằng kilôgam;
Ktr1; Ktr2; Ktrn là hệ số phụ thuộc vào loại thuốc nổ và điều kiện bố trí khối thuốc nổ. Trị số Ktr lấy theo bảng D.4;
: Là kích thước hiệu quả của khối thuốc nổ (chiều dài ít nhất thường bằng chiều rộng, chiều cao) tính bằng m.
|
Khối thuốc nổ chủ động |
Khối thuốc nổ bị động |
||||||||
|
Loại thuốc nổ |
Vị trí đặt khối thuốc nổ |
Amonit và thuốc nổ có dưới 40% nitroester lỏng |
Thuốc nổ có từ 40% nitroester lỏng trở lên |
TNT |
Ống nổ |
||||
|
để nối |
để ngầm |
để nối |
để ngầm |
để nối |
để ngầm |
để nối |
để ngầm |
||
|
1. Amonit và thuốc nổ có dưới 40% nitroester lỏng |
để nối để ngầm |
0,65 0,40 |
0,40 0,25 |
0,90 0,65 |
0,65 0,40 |
1,00 0,80 |
0,80 0,50 |
0,65 0,40 |
0,40 0,25 |
|
2. Thuốc nổ có từ 40% nitroester lỏng trở lên |
để nối để ngầm |
1,30 0,80 |
0,80 0,50 |
1,80 1,30 |
1,30 0,80 |
2,00 1,60 |
1,60 1,00 |
1,30 0.80 |
0.80 0.50 |
|
3. TNT |
để nối để ngầm |
1,00 0,75 |
0,75 0,50 |
1,30 1,00 |
1,00 0,70 |
1,50 1,10 |
1,10 0,65 |
1,10 0,75 |
0,75 0,54 |
|
4. ống nổ |
để nối để ngầm |
0,35 0.20 |
0,20 0,15 |
0,60 0,40 |
0,40 0,30 |
0,35 0,45 |
0,45 0,30 |
0,35 0,20 |
0,20 0,15 |
Bảng D.4 - Trị số của hệ số Ktr để tính khoảng cách an toàn về truyền nổ
D.2.2 Khi sử dụng bằng D.4 cần chú ý:
a, Trường hợp khối thuốc nổ được đặt ngầm dưới đất được coi như khối thuốc nổ được đắp ụ xung quanh:
b, Trường hợp khối thuốc nổ đặt nổi trên mặt đất được coi như khối thuốc nổ xếp từng khối lộ thiên.
D.2.3 Phải tính khoảng cách an toàn về truyền nổ đối với mỗi một khối thuốc nổ (các nhà kho, các đống) và đối với hai khối thuốc nổ lân cận nhau, ta chọn khoảng cách an toàn lớn nhất trong số khoảng cách đã tính được.
D 2.4 Nếu khối thuốc nổ bị động gồm có nhiều loại thuốc nổ khác nhau thì khi tính phải lấy hệ số Ktr đối với loại thuốc nổ có độ nhạy lớn nhất trong số các loại thuốc nổ đó.
D.2.5 Khi tính toán khoảng cách an toàn đối với kho VLNCN, kho ngầm hoặc lộ thiên thông thường cứ 1 kg thuốc nổ an toàn tương đương với:
- 1 kg thuốc nhạy nổ;
- 1 kg thuốc súng;
- 100 chiếc ống nổ:
- 10 m dây nổ.
- 10 quả đạn khoan.
D.2.6 Thí dụ về tính khoảng cách về an toàn nổ
Thí dụ 1: Tính khoảng cách an toàn về truyền nổ giữa hai nhà kho bảo quản cùng loại amônít 120 lần và 240 tấn có đắp ụ tại 2 nhà kho.
Tính toán:
Do hai nhà kho bảo quản cùng loại chất nổ amônit nên hai hệ số Ktr1 và Ktr2 bằng nhau và do đó công thức tính sẽ là:

trong đó
Q = 240 000 . kg
- kho chứa amonit nên kích thước cho phép là lớn nhất, kích thước chiều rộng của giá đỡ hoặc đống thuốc nổ là 1.6 m.
Theo bảng D.4 thì thuốc nổ để ở ngầm nên Ktr = 0,25.

Thí dụ 2 : Xác định khoảng cách an toàn về truyền nổ giữa đống 100 tấn amônit và nhà kho chứa 40 tấn TNT được đắp ụ .
- Đối với nhà kho chứa TNT được đắp ụ theo bảng D.4 ta có hệ số Ktr = 0,75 ; kích thước hữu ích lấy bằng chiều ngang của giá
= 1,6 m. Khoảng cách an toàn tính theo công thức :

Bảng D.5 – Khoảng cách truyền nổ an toàn giữa kho chứa một loại thuốc nổ
|
Điều kiện đặt khối thuốc nổ |
Khoảng cách an toàn truyền nổ (m) khi dung lượng bảo quản , kg |
|||||||||||||
|
500 |
1000 |
2000 |
5000 |
104 |
15x103 |
25x103 |
5x104 |
75x103 |
105 |
15x104 |
2x105 |
2,5x105 |
||
|
Khối thuốc nổ chủ động |
Khối thuốc nổ bị động |
|
|
|
|
|
|
|
|
|
|
|
|
|
|
Amônít và thuốc nổ để nổi Ktr=0,65 để nổi Ktr=0,40 để ngầm Ktr= 0,40 để ngầm Ktr=0,25 |
Amônít và thuốc nổ để nổi để ngầm để nổi để ngầm |
4,0 4,0 2,5 |
5,0 5,0 3,5 |
6,5 6,5 4,0 |
9,0 9,0 5,5 |
10,0 10,0 7,0 |
12 12 8 |
14 14 9 |
17 17 11 |
20 20 12,5 |
22 22 14 |
25 25 16 |
27 27 17 |
30 30 20 |
|
Thuốc nổ amônít để nổi Ktr=1,00 để nổi Ktr=0,80 để ngầm Ktr= 0,80 để ngầm Ktr=0,50 |
để nổi để ngầm để nổi để ngầm |
9,5 8,0 8,0 5,0 |
12,0 9,5 9,5 6,5 |
15,0 12,5 12,5 8,0 |
20,0 16,5 16,5 10,0 |
26,0 20,0 20,0 13,5 |
29 24 24 15 |
34 27 27 17 |
42 34 34 21 |
49 40 40 25 |
55 44 44 27 |
63 50 50 30 |
70 55 55 34 |
75 60 60 40 |
|
TNT để nổi Ktr=1,00 để nổi Ktr=0,75 để ngầm Ktr= 0,75 để ngầm Ktr=0,50 |
thuốc nổ amônít để nổi để ngầm để nổi để ngầm |
7,0 7,0 5,0 |
9,5 9,5 6,5 |
11,0 11,0 8,0 |
16,0 16,0 10,0 |
20,0 20,0 13,5 |
22 22 15 |
26 26 17 |
32 32 21 |
38 38 25 |
41 41 27 |
47 47 30 |
52 52 34 |
55 55 40 |
|
TNT để nổi Ktr=1,50 để nổi Ktr=1,10 để ngầm Ktr= 1,10 để ngầm Ktr=0,50 |
|
14,0 10,0 10,0 6,5 |
18,0 13,5 13,5 6,0 |
23,0 16,5 16,5 10,0 |
30,0 23,0 23,0 13,5 |
38,0 28,0 28,0 15,5 |
44 32 32 19 |
52 38 38 23 |
63 47 47 38 |
78 55 55 32 |
82 61 61 36 |
94 70 70 40 |
100 76 78 45 |
110 80 80 50 |
Chú thích - Tính theo công thức

Với điều kiện bảo quản kho thuốc nổ chủ động có dung tích lớn và với kích thước có ích của giá thuốc nổ là 1,6 m.
Khoảng cách truyền nổ an toàn đối với khối thuốc amônít để nổi theo bảng D.4 ta có Ktr= 0,8

Theo qui định thì ta phải chọn khoảng cách an toàn là 41 m.
Thí dụ 3: Tính khoảng cách an toàn giữa nhà kho chứa thuốc TNT 120 tấn và nhà để ống nổ chứa 500.000.kíp.
- Đối với loại TNT (chủ động) và ống nổ bị động theo bảng D.4 thì Ktr= 0,75 .

- Đối với nhà để ống nổ ta lấy 100 ống nổ tươmg đương 1 kg thuốc nổ thì:
500 000x10g=5 000 000g= 5000 kg
Theo bảng D.4 thì Ktr= 0,45

Vậy khoảng cách an toàn trong trường hợp này là 41 m.
D.3 Khoảng cách an toàn về tác động của sóng không khí
Khoảng cách để sóng không khí sinh ra do nổ mìn ở trên mặt đất, không còn đủ cường độ gây tác hại tính theo công thức :
(6)
(7)
Trong đó:
rs ,Rs là khoảng cách an toàn về tác động của sóng không khí, tính bằng mét:
Q là tổng số khối thuốc nổ, tính bằng kilogam;
ks ,Ks là hệ số phụ thuộc vào các điều kiện phân bổ vị trí độ lớn phát mìn, mức độ hư hại
Dùng công thức (7) trong các điều kiện sau đây
a) Khi khối thuốc ³10 tấn để trên mặt đất và thuộc bậc 1,2, 3 về an toàn (xem bảng D . 6) .
b) khi khối thuốc £ 20 tấn đặt ngầm và thuộc bậc 1, 2 về an toàn
Dùng công thức (6) với tất cả bậc an toàn còn lại.
Bảng D.6 - Các hệ số ks, Ks để tính khoảng cách an toàn về tác động của sóng không khí do nổ gây ra
|
Bậc an toàn |
Khả năng hư hỏng có thể gây ra do nổ |
Phát thuốc lộ thiên |
Phát thuốc ngầm bằng chiều cao phát thuốc |
Phát thuốc khi có n=3 |
||||
|
Q(tấn) |
ks |
Ks |
Q(tấn) |
ks |
Ks |
Ks |
||
|
I |
Không xảy ra hư hỏng gì
|
< 10 ³10 |
50¸150 - |
- 400 |
<20 ³20 |
20¸50 - |
- 200 |
3¸10 - |
|
II |
Hư hại ngẫu nhiên |
<10 ³10 |
10¸30 - |
- 100 |
<20 ³20 |
5¸12 - |
- 50 |
- 1¸2 |
|
III |
Phá hủy hoàn toàn kính từng phần khung, cửa vữa trát tường ngăn nhà |
< 10 ³10 |
5¸8 - |
- 30¸50 |
- - |
- 2¸4 |
- - |
- 0,5¸4 |
|
IV |
Phá hủy tường ngăn, bên trong cửa khung, nhà kho |
- |
2¸4 |
- |
- |
1¸2 |
- |
Phá hủy trong phạm vi phễu khoét |
|
V |
Phá hủy nhà gỗ, nhà gạch không chắc chắn, lật đổ đoàn tàu trên đường sắt |
- |
1,5¸2 |
- |
- |
0,5¸1 |
- |
- |
|
VI |
Đỗ các tường gạch chắc, phá hủy hoàn toàn công trình kỹ thuật, làm hư hỏng các đầu đường sắt và nền đường sắt |
- |
1,4 |
|
Phá hủy trong phạm vi phễu khoét |
|
||
Chú thích - Nếu phát thuốc nổ ở trong nước có độ sâu nhỏ hơn 1,5 chiều cao phát thuốc được coi như nổ phát thuốc lộ thiên
D.3.1 Những điều kiện cần thực hiện khi sử dụng bảng D.6
a) Khi chọn bậc an toàn và các hệ số phải kể đến toàn bộ những điều kiện của khu vực. Trong trường hợp phức tạp việc chọn bậc an toàn phải có ý kiến của người lãnh đạo công tác nổ mìn, đai diện cơ quan có tài sản bảo vệ, đại diện của thanh tra kỹ thuật an toàn nhà nước cấp tỉnh hoặc thành phố trực thuộc trung ương.
b) Khi chọn vị trí kho VLCN phải căn cứ vào ý nghĩa của công trình cần bảo vệ độ chứa của kho, khoảng cách từ kho tới công trình để quyết định bậc an toàn và hệ số. Trong trường hợp chung, khi tính toán về khoảng cách an toàn do tác động sóng không khí đối với điểm dân cư, tuyến đường sắt, đường ôtô, đường thủy, các xí nghiệp, kho chứa tài liệu dễ cháy. VLNCN thường chọn bậc an toàn là bậc III.
Đối với các nhà đứng riêng lẻ, công trình thứ yếu, đường ôtô và đường sắt ít đi lại, các công trình chắc chắn kiên cố (cầu sắt, cầu bê tông cốt thép, tháp cao bằng thép hoặc bê tông cốt thép, cầu băng tải, máy rửa than) khi đặt VLNCN trên địa hình cao hơn mặt nước thì chọn bậc an toàn là IV.
c) Đường dây tải điện thuộc loại có kết cấu chắc chắn với tác dụng của sóng không khí, nên khi tính khoảng cách an toàn và sóng không khí cần lấy bằng bán kính văng xa của đất đá
d) Đối với nhà kho bảo quản VLNCN có đắp ụ xung quanh và có bậc an toàn là bậc I và bậc II thì được coi như khối thuốc nổ lộ thiên. Nếu bậc an toàn lớn hơn II được coi như khối thuốc đặt ngầm;
đ) Việc chọn hệ số ở bằng 0.6 tuỳ thuộc vào tình trạng của công trình cần phải bảo vệ, khi tính toán khoảng cách nếu công trình càng bền vững thì hệ số càng nhỏ;
e) Khi tính khoảng cách an toàn tác động sóng không khí không cần lưu ý tới tính chất của thuốc nổ.
D.3.2 Nếu công trình cần bảo vệ nằm sau các vật cản (ở mép rừng, ở chân đồi) thì khoảng cách an toàn về tác động sóng không khí cũng tính theo công thức (6) và (7) . có thể giảm đi nhưng không quá 2 lần.
D.3.3 Khi tiến hành nổ trong thung lũng hẹp hoặc trong lối đi có tường chắn hai bên, thì khoảng cách an toàn về sóng không khí cũng tính theo công thức (6) và (7) nhưng phải tăng lên hai lần.
D.3.4 Trong vùng nổ có bán kính nhỏ hơn 1,5
ở phía đối diện với chướng ngại vật chắc chắn (tường, ụ chắn) thì khoảng cách an toàn tác động của sóng không khí tính toán theo công thức (6) và (7) nhưng phải tăng lên 2 lần.
D.3.5 Để giảm khả năng phá hoại của sóng không khí do nổ gây ra có thể dùng các biện pháp sau dây:
a) Lấp phủ phát mìn ốp bằng vật liệu. Khi lớp phủ không lớn hơn 5 lần chiều cao phát mìn và phủ kín diện tích phát mìn, thì bán kính an toàn về sóng không khi giảm đi 4 lần. Khi chiều dày lớp phủ nhỏ hơn hai lần chiều cao phát mìn, thì không giảm bán kính an toàn.
b) Bảo vệ các cửa kính bằng cách mở cửa rồi cài chặt móc (không bảo vệ được kính khỏi vỡ), hoặc tháo hẳn khung cửa có lắp kính. Có thể dùng các tấm bền vững đóng ốp các khung cửa.
C) Biện pháp có hiệu quả là xếp bao cát hoặc bao đất chồng nhau. Có thể dùng biện pháp này để gia cố các tường chịu sóng không khí khi nổ mìn gần. Khi xếp một hàng túi cát làm tường chắn thì đủ khả năng bảo vệ tường gạch xây hai viên khỏi bị đổ do tác động của sóng không khí.
D.3.6. Kích thước vùng an toàn rmin về sóng không khí đối với người theo yêu cầu công việc phải tiếp cận tốt đa tới chỗ nổ mìn, có thể tính theo công thức:
rmin = 15
(8)
Trong đó Q là khối lượng phát mìn. tính bằng kilogam.
Nếu có hầm trú ấn thì rmin có thể giảm đi 1/3. Các trường hợp khác, khoảng cách an toán tính theo công thức (8) phải tăng lên 2 lần.
D.3.7. Khi chọn địa điểm khoVLNCN, khoảng cách an toàn nhỏ nhất về sóng không khí lấy số liệu ở bảng D.7.
Bảng D.7- Trị số tương đối của khoảng cách an toàn về sóng không khí từ kho bảo quản VLNC đến các công trình khác nhau
|
Liệt kê một số công trình phải tìm kiếm khoảng cách an toàn từ kho bảo quản VLNCN tới các công trình đó |
Điều kiện bố trí các nhà kho, bãi lộ thiên bảo quản VLNCN |
Công thức tính |
Khoảng cách tối thiểu cho phép đến các công trình với khối lượng VLNCN, m |
|||||||||||
|
500 |
103 |
2x103 |
4x103 |
104 |
1,5x104 |
2,5x104 |
5x104 |
7,5x104 |
105 |
2x105 |
2,5x105 |
|||
|
Nhà và các công trình đứng riêng lẻ, đường ôtô, đường sát với lưu lượng xe ít, các công trình chịu được tác dụng sóng không khí (cầu thép, cầu bê-tông cốt thép, tháp cao tầng bằng thép hoặc bê- tông cốt thép, cầu cạn, máy rửa tay) |
+Ngầm, đắp ụ xung quanh
+Lộ thiên |
|
20
45 |
30
60 |
40
90 |
65
130 |
100
200 |
120
240 |
160
320 |
220
450 |
270
550 |
320
630 |
450
900 |
500
1000 |
|
Các điểm dân cư, tuyến đường sắt, ôtô, đường thủy lớn,các xí nghiệp, nhà máy, kho VLNCN, kho vật liệu dễ cháy, các công trình có tính Quốc gia |
+Ngầm, đắp ụ xung quanh
+Lộ thiên |
Q >10T |
45
100
|
60
160 |
90
220 |
130
320 |
200
500 |
240
740 |
320
880 |
450
1100 |
550
1250 |
630
1400 |
900
1750 |
1000
1900
|
|
Các công trình cho phép hư hại ngẫu nhiên |
+Lộ thiên +Đắp ụ xung quanh |
|
220 |
320 |
450 |
630 |
1000 |
1500 |
1750 |
2200 |
2500 |
2800 |
3500 |
3800 |
Chú thích -Khi chọn khoảng cách an toàn về sóng không khí không căn cứ vào toàn bộ dung tích của các kho, chỉ căn cứ vào kho có dung tích lớn nhất.
D.3.8. Thí dụ tính bán kính an toàn về sóng không khí do nổ mìn gây ra:
a) Tính khả năng bảo quản tối đa của một nhà bảo quản VLNCN với điều kiện cách nhà kho 500 m có một cầu cạn bê tông cốt thép, cách nhà kho 1500 m, nơi có khu dân cư. Xét hai trường hợp: nhà kho để nổi và nhà kho đắp ụ xung quanh.
Từ bảng D.7 nhà kho để nổi và cách khu dân cư 1400 m thì nhà kho chỉ chứa 100 tấn VLNCN.
Cũng từ bảng D.7 nhà kho để nổi có đắp ụ xung quanh (ngầm) và cách cầu bê tông cốt thép 450 m chỉ được chứa 200 tấn thuốc nổ. '
Vậy trong trường hợp này bảo quản tối đa 100 tấn.
b) Tìm lượng thuốc nổ tối đa của phát mìn khi nổ trên mặt đất, nếu cách chỗ nổ mìn 150 m có nhà và không thể tháo dời cửa sổ kính.

c) Phải tiến hành tiêu hủy 50 kg chất nổ ở cách làng bao nhiêu để đảm bảo sóng không khí không phá vỡ cửa kính của nhà dân.
Giả định tiêu hủy tiến hành trong hố nên bậc an toàn là 1 và ks = 50, do đó:

D.4 Tính bán kính vùng nguy hiểm có mảnh đất đá văng xa khi nổ mìn
D.4.1 Khi nổ mìn định hướng và nổ mìn văng xa bán kính nguy hiểm (khoảng cách tối thiểu đảm bảo an toàn) do mảnh đất đá văng đối với người và thiết bị, công trình phụ thuộc vào chỉ số tác động n của phát mìn và trị số đườngcản ngắn nhất w. Khi nổ một phát mìn thì trị số bán kính vùng nguy hiểm tra ở bảng D.8
- Khi tiến hành nổ ở sườn đôi có độ đốc nhỏ hơn 300 hoặc chỗ cao hơn vùng xung quanh không nhỏ hơn 30 m thì bán kính vùng nguy hiểm ở bảng D.8 phải tăng lên 1,5 lần về phía xuống dốc.
- Khi tính bán kính vùng nguy hiểm do nổ đồng thời một nhóm phát mìn, khoảng cách a giữa các phát nổ tính theo công thức:
a = 0,5 w (n + 1)
Bảng D-8 - Bán kính vùng nguy hiểm do mảnh đất đá văng xa khí nổ mìn định hường và nổ mìn văng xa
|
Đường cản ngắn nhất w, m |
Chỉ sồ tác động của phát mìn (n) |
|||||||
|
1,0 |
1 ,5 |
2,0 |
2,5 + 3 |
1 ,0 |
1 ,5 |
2,0 |
2,5 - 3 |
|
|
Bán kính vùng nguy hiểm, m |
||||||||
|
Đối với người |
Đối với thiết bị, công trình |
|||||||
|
1,5 2,0 4,0 6,0 8,0 10,0 12,0 15,0 20,0 25,0 30,0 |
200 200 300 300 400 500 500 600 700 800 800 |
300 400 500 600 600 700 700 800 800 1 000 1 000 |
350 500 700 800 800 900 900 1 000 1 200 1 500 1 700 |
400 600 800 1000 100 1000 1 200 1 200 1 500 1 800 2 000 |
100 100 150 150 200 250 250 300 350 400 400 |
150 200 250 300 300 400 400 400 400 500 500 |
250 350 500 550 600 600 700 700 800 1 000 1 000 |
300 400 550 650 700 700 800 800 1 000 1 000 1 200 |
Trong trường hợp có đường cản ngắn nhất W khác nhau và có chỉ số tác động như nhau, thì cũng dùng phương pháp trên để xác đinh bán kính vùng nguy hiểm. Trường hợp này phải lấy trị số lớn nhất trong các số đường cản ngắn nhất của phát mìn trong nhóm làm cơ sở để tính bán kính vùng nguy hiểm.
D.4.2. Khi nổ mìn định hướng và nổ mìn văng xa, nếu nổ đồng thời một loạt nhiều phát mìn có đường cản ngắn nhất và tỷ số tác động nổ khác nhau, thì bán kính vùng nguy hiểm được xác định như sau:
Phân các phát mìn thành từng nhóm, mỗi nhóm gồm các phát mìn có cùng chỉ số tác động nổ và đường cản ngắn nhất gần bằng nhau. Xác định bán kính vùng nguy hiểm của mỗi nhóm theo bảng D.8 (như D.4.1 ) . Lấy bán kính vùng nguy hiểm của cả loạt nổ là bán kính lớn nhất trong các giá trị đã tính cho từng nhóm.
D.4.3 Bán kính vung nguy hiểm đối với người không được nhỏ hơn trị số ghi ở bảng 1 Khoản 8, Điều 4 của Quy chuẩn này.
D.4.4 Khi nổ mìn làm tơi đất đá (chỉ số tác động nổ n < 1) thì bán kính vùng nguy hiểm do đất đá văng được xác định như sau .
Trong số các phát mìn của loạt nổ, chọn phát mìn có đường cản ngắn nhất- đạt giá trị lớn nhất wmax từ đó tìm được đường cản ngắn nhất qui ước theo wqư = 5/7 wmax . Căn cứ vào trị giá wqư để xác định giá trị bán kính vùng nguy hiểm theo bằng D.8.
D.4.5 khi nổ mìn các lỗ khoan lớn để làm tơi đất đá, bán kính vùng nguy hiểm do đá văng R được xác định theo công thức (9)
(9)

Trong đó:
d- là đường kính của phát mìn, tính bằng mét;
w'- là chiều sâu nhỏ nhất của phát mìn là đường ngắn nhất tính từ điểm phía trên của phát mìn đến mặt tự do;
C- là khoảng cách từ miệng lỗ khoan đến mép tầng, tính bằng mét;
L- là chiều dài nút lỗ, tính bằng mét;
a- là góc nghiêng của sườn tầng với mặt phẳng ngang, tính bằng độ.
Trị số bán kính vùng nguy hiểm theo công thức (9) tính được trong bảng D.9.
Bảng D.9- Trị số bán kính vùng nguy hiểm khi nổ mìn lỗ khoan lớn
|
Chiều sâu nhỏ nhất của phát mìn W’ m |
Đường kính của phát mìn, mm |
||||||||||
|
100 |
150 |
200 |
250 |
300 |
400 |
||||||
|
Bán kính vùng nguy hiềm, m |
|||||||||||
|
1 1,5 2 3 4 |
200 200 200 200 200 |
300 250 200 200 200 |
400 330 280 240 200 |
500 420 360 300 250 |
- 500 430 350 300 |
- - - 470 400 |
|||||
Chú thích - Theo qui định ở bảng 1 của Quy chuẩn này, bán kính vùng nguy hiểm không được nhỏ hơn 200 m
D.4.6. Thí dụ: tính bán kính vùng nguy hiểm của đá văng khi nổ mìn qui mô lớn:
a) Tính bán kính vùng nguy hiểm của đất đá văng xa khi nổ một nhóm phát mìn có chỉ số tác động nổ n = 2 và đường cản ngắn nhất từ 8 đến 11,4 m.
Để tính bán kính vùng nguy hiểm lấy wmax =11,4 m; làm tròn w = 12, tìm được trị số bán kính nguy hiểm của mảnh đá văng: theo bảng D.8 ở cột có n = 2 và w = 12 thì:
r = 900 m (đối với người)
r = 700 m (đối với thiết bị)
b) Tính bán kính văng của đất đá khi nổ một nhóm phát mìn để tạo hố trên mặt đất không bằng phẳng. Trong hộ chiếu nổ nhóm phát mìn đã lấy các chỉ số tác động sau đây:
Đối với phát mìn có w= 7 đến 8, n = 2,5
Đối với phát mìn có w= 9 đến 12, n = 2
- Tìm bán kính nguy hiểm đối với phát mìn có w = 12 m và n = 2. Theo bảng D.8 ứng với các thông số đã biết thì bán kính văng xa của đất đá r = 900m đối với người và 700 m đối với thiết bị.
- Tìm bán kính vùng nguy hiểm đối với phát mìn có w = 8 và n = 2,5. Theo bảng D.8 thì r = 1.000 m đối với người và r = 700 m đối với thiết bị.
Kết quả cuối cùng là :
r = 1.000 m đối với người
r = 700 m đối với thiết bị.
c) Để tiến hành nổ mìn ở lộ thiên, qui định trong thiết kế khởi nổ đồng thời một nhóm phát mìn buồng có đường cản ngắn nhất là 11 đến 16 m. Khoảng cách giữa các phát mìn và chất lượng lấp bua không có ai đặc biệt. Yêu cầu tính bán kính vùng nguy hiểm.
- Từ wmax =16 tính được đường cản ngắn nhất
làm tròn theo chiều tăng là 12.
Theo bảng D.8 đối với các thông số nêu trên thì trị số bán kính vùng nguy hiểm đối với nguời là r = 500 m, và đối với thiết bị công trình là r = 250 m
PHỤ LỤC E
(Qui định)
HƯỚNG DẪN VỀ THỦ TỤC XUẤT, NHẬP KHO VẬT LIỆU NỔ CÔNG NGHIỆP
E.1 Các đơn vị sản xuất cung ứng và sử dụng VLNCN có nhiêm vụ lập sổ xuất nhập kho lượng VLNCN ở kho, bao gồm .
a) Sổ thống kê xuất nhập vật liệu nổ theo mẫu số 1 của phụ lục này. Sổ phải đánh số trang, đóng dấu giáp lai của đơn vị. Sổ phải do thủ kho ghi chép và dùng để thống kê khối lượng VLNCN ở các kho dự trữ và kho tiêu thụ, kho của nhà máy sản xuất VLNCN. Mỗi loại VLNCN phải được thống kê trong một trang riêng của sổ. Cuối mỗi ngày thủ kho VLNCN có trách nhiệm ghi số VLNCN tồn kho của mỗi loại vào sổ thống kê:
b) Sổ thống kê cấp phát và trả vật liệu nổ dùng không hết (chỉ áp dụng đối với các kho tiêu thụ) làm theo mẫu số 2 của phụ lục này. Sổ phải đánh số trang và đóng dấu giáp lai của đơn vị.
Cuối mỗi ngày phải tổng hợp số liệu đã cấp phát và đã hoàn trả đối với từng loại VLNCN. Số lượng đã tiêu thụ thực tế trong ngày được ghi ngay vào sổ thống kê nhập và xuất theo mẫu 1 .
E.2 Khi VLNCN đã được vận chuyển đến kho, phải đưa ngay vào nhà kho bảo quản, trên cơ sở phiếu vận chuyển hay lệnh xuất VLNCN. Lệnh xuất VLNCN viết theo mẫu số 3 của phụ lục này và được dùng để quản lý việc xuất VLNCN từ kho này đến kho khác.
Lệnh xuất VLNCN do kế toán của đơn vị quản lý kho viết thành 4 bản. Lệnh này được đăng ký trong sổ riêng của phòng kế toán ghi theo thứ tự, ngày cấp phát và tên người nhận hàng.
Sau khi làm đủ thủ tục, lệnh xuất VLNCN được giao cho người nhận hàng. Người nhận hàng xuất trình lệnh này cùng với giấy giới thiệu để nhận hàng. Sau khi cấp phát VLNCN, người thủ kho lưu lại một bản lệnh xuất ở kho, người nhận hàng giữ một bản lệnh xuất, phòng kế toán giữ hai bản lệnh xuất và giấy giới thiệu lĩnh hàng để làm các thủ tục nghiệp vụ tiếp theo.
E.3 Trường hợp nổ mìn các lỗ khoan nhỏ thì quản đốc hay phó quản đốc trực ca căn cứ nhiệm vụ sản xuất của ngày, hộ chiếu nổ mìn (hộ chiếu mẫu) định mức tiêu hao vật liệu nổ để duyệt phiếu lệnh nổ mìn. Phiếu lệnh này đồng thời là phiếu xin lĩnh VLNCN và giao cho người thợ mìn hoặc tổ trưởng thợ mìn thực hiện. Lệnh này phải ghi rõ và kỹ vào phiếu lượng VLNCN đã dùng trong ca.
Trường hợp nổ mìn lỗ khoan lớn thì phó giám đốc kỹ thuật của đơn vị, căn cứ vào hộ chiếu, kết quả nghiệm thu các lỗ khoan để ký lệnh nổ mìn kiêm phiếu xuất kho VLNCN. Cuối ca làm việc phải ghi rõ số lượng đã tiêu thụ vào phiếu theo mẫu số 5. Số không dùng hết phải đem trả kho tiêu thụ ngay. Phiếu lệnh lập theo mẫu số 4 của phụ lục này và làm cơ sở để ghi chép vào sổ thống kê xuất nhập.
E.4 Thống kê xuất nhập, phiếu lĩnh trả vật liệu nổ không được viết bằng bút chì, không được tẩy xoá, làm nhoè. Muốn chữa phải gạch ngang số cũ, viết số mới bên cạnh ghi lý do chữa và có chữ ký của người chứa.
E.5 Những người có trách nhiệm ký các lệnh xuất VLNCN, phiếu lệnh, đều phải đăng ký chữ ký tại kho \/LNCN. Thủ kho vật liệu nổ chỉ cấp phát VLNCN theo các phiếu có người ký phiếu đã đăng ký chữ ký tại kho.
E.6 Việc xuất VLNCN ra khỏi kho phải thực hiện theo lệnh xuất VLNCN hay phiếu lệnh
E.7 Kế toán đơn vị có trách nhiệm thống kê VLNCN đã xuất và nhập trên cơ sở phiếu xuất nhập của thủ kho và trình lãnh đạo ký duyệt.
E.8 Định kỳ mỗi tháng một lần lãnh đạo đơn vị phải cử nguời có trách nhiệm kiểm tra việc ghi chép số xuất nhập VLNCN tại kho. Kết quả kiểm tra phải ghi vào sổ thống kê VLNCN. Khi kiểm tra phát hiện thấy thiếu, thừa VLNCN phải báo ngay cho lãnh đạo đơn vị biết và áp dụng mọi biện pháp để truy tìm nguyên nhân.
Mẫu số 1:
SỔ THỐNG KÊ NHẬP VÀ XUẤT VLNCN
|
|
Nhập vật liệu nổ |
Xuất và liệu nổ |
|||||||||||
|
Số TT |
Ngày tháng |
Số lượng còn lại của ngày |
Nhập từ đầu số chứng từ |
Ngày tháng sản xuất |
Số thứ tự đợt sản xuất |
Nhập trong ngày đêm |
Cộng nhập từ đầu tháng |
Ngày tháng |
Xuất từ đâu, theo chứng từ nào |
Số thứ tự của đợt sản xuất |
Xuất trong ngày đêm |
Cộng xuất từ đầu tháng |
ý kiến của người kiểm tra và ghi chú |
|
|
2 |
3 |
4 |
5 |
6 |
7 |
8 |
9 |
10 |
1 1 |
12 |
13 |
14 |
|
|
|
|
|
|
|
|
|
|
|
|
|
|
|
Mẫu số 2 :
SỔ THỐNG KÊ CẤP PHÁT VLNCN (ÁP DỤNG CHO KHO TIÊU THỤ)
|
Ngày phát |
Nơi sử dụng vật liệu nổ |
Họ tên người lĩnh |
Giấy xin lĩnh |
Đơn vị tính |
Số lượng đã phát |
Chữ ký của người lĩnh |
Số lượng đã sử dụng |
Số lượng trả lại kho |
Chữ ký của người trả |
Chữ ký của thủ kho |
Ghi chú |
|
1 |
2 |
3 |
4 |
5 |
e |
7 |
8 |
9 |
10 |
11 |
12 |
Mẫu số 3: (Lệnh xuất kho VLNCN thường để xuất từ kho này đến kho khác)
LỆNH XUẤT VLNCN
Tên đơn vị
Xuất kho cho: (tên kho)
Dùng để
Thông qua ông (bà):
|
Tên vật liệu nổ |
Đơn vị tính |
Số lượng yêu cầu |
Đã xuất |
||||
|
Số lượng |
Nước sản xuất |
Ngày sản xuất |
Số thứ tự đợt sản xuất |
Số thứ tự của hòm |
|||
|
1 |
2 |
3 |
4 |
5 |
6 |
7 |
8 |
|
|
|
|
|
|
|
|
|
Chú thích - Khi xuất VLNCN ở kho tiêu thụ thì không phải ghi chép ở cột 8.
|
Ngày tháng xuất :
|
Ngày ...... tháng ... năm..... Chủ đơn vị ký
|
|
Người xuất ký Người nhận ký : |
Kế toán trưởng đơn vị ký
|
Mẫu số 4: (phiếu lệnh nổ mìn kiêm phiếu lĩnh VLNCN)
đơn vị ......................
Phiếu lệnh
Phân xưởng................. Để tiến hành công tác nổ mìn ngày:
Cá nhân (Họ tên người thợ mìn làm nhiệm vụ)
|
Ngày tháng |
Các thông số của bãi mìn |
Yêu cầu về vật liệu nổ |
Đã cấp phát |
|||||||||||||||
|
Số lượng lỗ khoan |
Chiều dài lỗ khoan (m) |
Lượng thuốc nổ nạp một lỗ |
Các loại thuốc nổ |
Kíp điện vi sai |
ống nổ cái |
Dây cháy chậm |
Dây nổ,m |
Chất nổ các loại, kg |
Kíp điện vi sai theo từng đọ chậm, cái |
ống nổ cái |
Dây cháy chậm,m |
Dây nổ,m |
||||||
|
1 |
2 |
3 |
4 |
5 |
6 |
7 |
8 |
9 |
10 |
11 |
12 |
13 |
14 |
15 |
16 |
17 |
18 |
19 |
|
|
|
|
|
|
|
|
|
|
|
|
|
|
|
|
|
|
|
|
|
Đã phát ngày Người phát........(ký) Người nhận........(ký) |
Phó giám đốc kỹthuật (ký)
|
Mẫu số 5:
PHIẾU TRẢ VLNCN SAU KHI NỔ
(Lập tiếp theo mẫu số 4)
|
Ngày, tháng |
Đã nổ thử số bãi |
Đã tiêu thụ VLNCN |
||||||||||
|
số lỗ khoan |
chiều dàl lỗ khoan, m |
Khối lượng nạp, kg |
các loại thuốc nổ |
ống nổ, |
Kíp điện vi sai theo số |
Dây cháy chậm, |
Dây nổ, |
|||||
|
|
|
|
cái |
|
|
|
m |
m |
||||
|
1 |
2 |
3 |
4 |
5 |
6 |
7 |
8 |
9 |
10 |
11 |
12 |
13 |
|
Số lượng được cấp |
|
|
|
|
|
|
|
|
|
|
|
|
|
Tổng công đã tiêu thụ |
|
|
|
|
|
|
|
|
|
|
|
|
|
Số lượng trả kho |
|
|
|
|
|
|
|
|
|
|
|
|
|
Số VLNCN thừa đã trả lại kho Ngày tháng năm Người trả ký |
Kho đã nhận số VLNCN trả lạl Ngày tháng năm Người nhận ký |
PHỤ LỤC G
(Qui định)
LÝ LỊCH KHO VẬT LIỆU NỔ CÔNG NGHIỆP
G.1 Kho vật liệu nổ công nghiệp : (tên và địa điểm đặt kho)
G.2 Loại kho : (dự trữ, tiêu thụ, nổi, ngầm, cố định, lưu động)
G.3 Số lượng nhà kho :
Để bảo quản thuốc nổ : (số lượng, thứ tự nhà)
Để bảo quản phương tiện nổ :
G. 4 Vật liệu xây dựng nhà kho:
a) Nhà để bảo quản thuốc nổ
N01
N02
b) Nhà để bảo quản phương tiện nổ
N01
N02
Bảng G.1 - Đặc điểm các nhà kho
|
Các chỉ tiêu |
Đơn vị đo |
Số hiệu nhà kho |
Tổng cộng |
|||
|
số 1 |
số 2 |
số 3 |
số 4 |
|||
|
1 . Khả năng chứa giới hạn - amônít - kíp điện - ống nổ thường - dây nổ - dây cháy chậm 2. Đặc điểm bục, giá để xếp VLNCN - chiều cao giá cao nhất - chiều cao của giá thấp nhất - khoảng cách từ nóc giá cao nhất đến trần nhà - khoảng cách giữa tường và giá - chiều rộng lối đi giữa các giá - số lượng giá |
tấn chiếc chiếc m m
m m m m m cái |
|
|
|
|
|
Bảng G.1. ( kết thúc)
|
Các chỉ tiêu |
Đơn vị đo |
Số hiệu nhà kho |
Tổng cộng |
|||
|
Số 1 |
Số 2 |
Số 3 |
Số 4 |
|||
|
3. Đặc điểm bục kê khi xếp VLNCN thành đống - chiều cao bục - khoảng cách từ tường đến bục 4. Ụ bảo vệ nhà kho - chiều cao từ mái dua đến đỉnh ụ - chiều rộng đáy ụ - chiều rộng đỉnh ụ - khoảng cách tường nhà đến đá chân ụ - khoảng cách giữa mép chân ụ đất chính và cửa đập ụ ngang 5. Trang bị chống sét - số lượng cột thu lôi - chiều cao cột thu lôi - khoảng cách giữa cột thu lôi và tường nhà kho - điện trở nối đất - số lượng cột thu lôi từ lưới chống tác dụng thứ cấp của sét - khoảng cách từ vành đai lưới và tường nhà 6. Các biện pháp phòngg cháy - khoảng cách phát quang quanh nhà - số lượng bình dập cháy - số lượng bể, thùng chứa nước - số lượng thùng cát |
m
m m m m
m m
chiếc
chiếc chiếc |
|
|
|
|
|
G.5 Các biện pháp an toàn khu vực kho
- Hào chống cháy :
rộng (miệng hào): m;
sâu: m;
- Khu vực cấm xung quanh kho : rộng, m;
- Dọn cỏ cây dễ cháy : rộng, m;
- Nước chữa cháy (thiên nhiên, nhân tạo) : dung tích bể, m3
- Bơm chữa cháy : kiểu , số lượng (cái) , công suất (kw) , năng suất ( m3/h) ;
- Các trang bị khác (thùng, xô, thang sào, câu liêm, ủng . ) , cái.
G.6 Hàng rào
- Vật liệu làm hàng rào;
- Chiều cao, chiều dài, m;
- Khoảng cách từ tường nhà kho đến hàng rào, m;
- Cổng (vật liệu).
G.7 Chiếu sáng
- Điện áp dùng;
- Số lượng điểm dùng;
- Loại đèn chiếu, công suất.
G.8 Thông tin tín hiệu
- Với bảo vệ;
- Với cơ quan PCCC;
- Với văn phòng của đơn vị quản lý kho.
G.9 Bảo vệ kho
- Số trạm gác;
- Số nhân viên bảo vệ;
- Các phương tiện khác (nếu có) .
G.10 Các dụng cụ khác
- Dụng cụ đo kiểm;
- Dụng cụ khác
G.11 Liệt kê các phòng phụ của kho
G.12 Đường liên hệ với ga tàu, bến cảng
- Loại đường , khoảng cách
G.13 Kho hầm lò (nếu có)
- Loại kho:
- Vị trí đặt kho (mức cao đường lò) :
- Khoảng cách từ kho đến giếng mỏ, m;
- Khoảng cách từ buồng đến đường lò cạnh giếng, m;
- Khoảng cách từ nền kho đến mặt đất, m.
G.14 Thời gian xây dựng
- Khởi công:
- Đưa vào sử dụng.
G.15 Đối với kho nổi phải ghi rõ bản vẽ mặt bằng kho và khu tiếp giáp trong phạm vi bán kính an toàn (tính theo sóng không khí) phải vẽ các công trình, nhà đường chướng ngại vật tự nhiên, cổng kích thước khoảng cách.
- Các bản vẽ nhà kho tỷ lệ 1/200 (mặt bằng, mặt đứng, mặt cắt ngang):
- Sơ đồ bố trí tiếp đất chống sét, tiếp đất an toàn.
G.16 Ngày lập lý lịch
- Số bản lý lịch
- Nơi giữ lý lịch: tại kho......... bản
Cơ quan công an........ bản
Cơ quan quản lý kỹ thuật an toàn.............. bản
|
|
Lãnh đạo đơn vị (Ký tên đóng dấu) |
PHỤ LỤC H
(Qui định)
QUI ĐỊNH VỀ XÂY DỰNG KHO, SẮP XẾP VLNCN Ở KHO.
PHÒNG CHÁY CHỮA CHÁY VÀ BẢO VỆ MỖI TRƯỜNG
H.1 Kho và sắp xếp bảo quản VLNCN trong kho
H.1.1 Kho cố định nổi và nửa ngầm
H.1.1.1 Tất cả các kho cố định phải thỏa mãn các điều kiện sau đây:
a) Kho chứa VLNCN phải được thông gió (tự nhiên hay cưỡng bức), chống dột tốt. Tuỳ theo từng vùng, kho phải có lỗ thông hơi và các cửa sổ để thông gió tự nhiên cho tốt. Chỉ được mở cửa sổ và cửa đi để thông gió vào những lúc trời quang đãng;
b) Các nhà kho chứa VLNCN phải quay theo hướng Bắc - Nam để tránh ánh sáng mặt trời chiều trực tiếp vào trong nhà. Trường hợp địa hình phức tạp thì cũng không được bố trí lệnh hướng Bắc - Nam lớn hơn 15 độ;
c) Trong phạm vi kho phải có rãnh thoát nước, rãnh phải có độ nghiêng, kích thước phù hợp để tiêu nước nhanh;
d) Đường ra vào kho và đường đi đến từng nhà kho phải đảm bảo các tiêu chuẩn kỹ thuật, đi lại thuận lợi và phải luôn giữ sạch sẽ;
đ) Khoảng cách giữa các nhà kho và khoảng cách từ nhà kho đến các công trình ngoài phạm vi kho phải bảo đảm các yêu cầu qui định tại Khoản 8, Điều 4 của Quy chuẩn này;
e) Các kho phải có hàng rào bao quanh. Ngoài hàng rào phải có khu vực cấm các hoạt động tụ họp, đốt lửa ít nhất 50 m kể từ hàng rào. Giới hạn và qui chế sử dụng vùng cấm do cơ quan quản lý kho và cơ quan công an địa phương qui định.
H.1.1.2 Trong phạm vi kho được xây dựng các nhà và công trình sau
a) Các nhà kho chứa thuốc nổ và phương tiện nổ;
b) Phòng để mở các hòm vật liệu nổ và cắt dây nổ, dây cháy chậm
c) Các chòi gác
d) Trạm thí nghiệm và bãi thử;
đ) Kho chứa phương tiện, dụng cụ chữa cháy;
e) Các bể chứa nước;
g) Phòng thường trực.
Chỗ bảo quản các hòm cũ, phòng nghỉ của bảo vệ phải ở ngoài hàng rào của kho. Phòng nghỉ của bảo vệ phải cách hàng rào không nhỏ hơn 50 m. Chỗ chứa các hòm cũ cách hàng rào ít nhất 25 m
H.1.1.3 Hàng rào phải cách tường nhà kho gần nhất trên 40 m ở vùng núi cao, khoảng cách này có thể giảm nhưng phải được cơ quan quản lý VLNCN có thẩm quyền cho phép
- Hàng rào có thể làm bằng dây thép gai, gỗ, gạch, đá nhưng chiều cao không thấp hơn 2 m. Hàng rào phải ngăn được người và súc vật (trâu, bờ, lợn) lọt vào phạm vi kho;
- Nếu hàng rào làm bằng gỗ hoặc xây gạch đá, thì phía trên hàng rào phải cắm cọc sắt cao 0.5 m và chăng 4 sợi dây thép gai vào cọc đó;
- Cổng ra vào kho phải có cửa, cửa phải có khoá.
H.1.1.4 Trong phạm vi kho và khu vực cấm ở ngoài hàng rào phải dọn sạch các loại cây dễ cháy (cỏ khô, cây khô) nhưng để lại các cây xanh khó cháy và cho phép trồng thêm các loại cây này.
H.1.2 Yêu cầu về xây dựng kho cố định nổi và nửa ngầm
H.1.2.1 Các nhà kho của kho cố định phải xây dựng bằng vật liệu không cháy có bậc 1 chịu lửa theo TCVN 2622:95 Phòng cháy, chữa cháy cho nhà và công trình - Yêu cầu thiết kế:
- Trường hợp tường kho xây bằng vật liệu xây dựng không cháy (gạch, đá, bê tông), phải có chiều dày ít nhất 220 mm. Mặt trong tường lót bằng vật liệu không phát sinh tia lửa dày 15 mm, tường kho quét vôi hoặc sơn mầu sáng.
- Trường hợp đặc biệt được cơ quan PCCC cho phép, có thể làm bằng ván gỗ ghép hai mặt, khoảng rỗng bên trong phải có bề dày ít nhất 200 mm và được điền đầy vật liệu dạng hạt (bê tông xỉ, cát, vôi vữa trộn mạt cưa). Các tường loại này phải được lót một lớp chống cháy hoặc trát vữa cả hai mặt trong ngoài, tường kho quét vôi hoặc sơn mầu sáng.
- Mái nhà kho phải làm bằng vật liệu không cháy, có thể làm bằng mái ngói hoặc fibrô xi măng, mái nhà kho phải có trần. Nếu nhà kho có mái bê tông cốt thép thì phải có lớp cách nhiệt;
- Nền và sàn nhà phải đảm bảo luôn khô ráo. Nền phải cao hơn mặt bằng quanh kho ít nhất 20 cm. Sàn nhà phải cao hơn nền ít nhất 30 cm, sàn có thể lát gạch, gỗ, đổ bê tông. Sàn phải phẳng, không có khe hở, lỗ thủng.
H.1.2.2 Số lượng cửa ra vào nhà kho phải đảm bảo khoảng cách từ cửa đến điểm xa nhất bất kỳ của nhà kho không quá 15 m. Cửa ra vào kho phải có kích thước ít nhất 4 m x 2,2 m:
H.1.2.3 Cửa sổ nhà kho hoặc lỗ thông hơi có kích thước cạnh lớn hơn 200 mm phải có chắn song sắt tròn đường kính không nhỏ hơn 15mm, đan ô mắt vuông 150 x 150mm; chắn song sắt phải cắm sâu vào tường ít nhất 8cm. Ngoài ra, phải có lưới sắt chống chuột và chim trời. Cửa sổ, lỗ thông hơi phải có kết cấu chống mưa hắt. Tỷ lệ diện tích cửa sổ so với mặt sàn ít nhất từ 1/25 đến 1/30.
H.1.2.4 Các cửa vào nhà kho phải có hai lần cửa, mỗi cửa phải có khoá loại chống cắt. Cửa ngoài phải bọc tôn và mở ra phía ngoài. Bản lề, móc khoá phải được bắt vào cửa sao cho không tháo được khi cửa đóng và khoá.
H.1.3 Sắp xếp VLNCN trong nhà kho cố định
H.1.3.1 Các hòm chứa VLNCN nhóm A, kíp nổ đều phải đặt trên giá, mỗi tầng giá chỉ được xếp một lượt hòm. Khoảng cách từ mặt trên của hòm đến đáy dưới của tầng giá trên ít nhất là 4 cm. Chiều rộng của giá chỉ đặt đủ một hòm. Chiều cao của tầng giá trên cùng không quá 1,6 m so với mặt sàn. Có thể dùng đinh hoặc đinh vít để bắt chặt các ngăn giá, nhưng đầu đinh phải ngập sâu trong gỗ ít nhất là 5 mm. Các tấm gỗ làm mặt giá đóng cách nhau 2,5 cm.
H.1.3.2 VLNCN nhóm D, dây cháy chậm và phương tiện để đốt dây được xếp thành chồng theo kích thước sau
- Rộng không quá 2 m;
- Dài không quá 5 m;
- Cao không quá 1,8 m (tính từ nền nhà kho);
Các giá, các chồng chỉ được phép xếp các hòm VLNCN cùng loại (trọng lượng và kích thước). Giữa các giá, chồng phải để lối đi rộng ít nhất 1,3 m.
Các giá (hoặc các chồng, hòm) phải cách tường nhà kho ít nhất 20 cm. Cho phép xếp 2 gía sát nhau.
H.1.3.3 Khi sắp xếp VLNCN trong nhà kho phải đảm bảo loại nhập trước được xuất trước, nhập sau xuất sau.
H.1.4 Xây dựng ụ bảo vệ kho cố định
H.1.4.1 Khi khoảng cách giữa các nhà kho hoặc từ nhà kho đến các công trình lân cận không đảm bảo qui định tại Khoản 8, Điều 4 của Quy chuẩn này thì phải đắp ụ bảo vệ.
Chỉ được dùng đất dẻo hoặc rời để đắp ụ bảo vệ. Cấm dùng các loạt đá, sỏi vật liệu cháy được (than cám, than bùn) để đắp ụ. Kè chống sạt lở chân ụ có thể xây bằng gạch, đá nhưng chiều cao của kè này không vượt quá 1,5m so với nền kho.
H.1.4.2 Ụ phải cao hơn mái đua hoặc mái bằng của nhà kho ít nhất 1,5 m. Chiều rộng đỉnh ụ không nhỏ hơn 1 m.
Chiều rộng chân ụ xác định theo độ dốc ổn định của loại đất dùng đắp ụ.
H.1.4.3 Chân ụ bảo vệ cách tường nhà kho ít nhất 1 m và không quá 3 m, riêng phía cửa ra vào nhà kho cho phép không quá 4 m. Giữa chân ụ và tường nhà kho phải có rãnh thoát nước.
H.1.4.4 Khi đắp ụ bảo vệ phải chừa lối ra vào, phía trước lối ra vào phải đắp ụ phụ cách chân ụ chính từ 1 đến 3 m. Chiều dài ụ phụ phải đảm bảo từ bất cứ điểm nào trong nhà kho vạch một đường thẳng qua lối ra vào cũng gặp ụ phụ.
H.1.5 Chiếu sáng kho cố định
H.1.5.1 Để chiếu sáng kho cố định cho phép dùng đèn ắc qui mỏ, đèn pin hoặc dùng đèn sợi đốt, đèn huỳnh quang được cung cấp điện từ biến thế chiếu sáng có điện áp không quá 220 V. Cấm dùng đèn đèn có ngọn lửa trần, hồ quang để chiếu sáng.
H.1.5.2 Các đèn chiếu sáng nếu đặt trong nhà kho phải thuộc loại phòng nổ, đặt trong các hốc tường hoặc trần có lưới che.
H.1.5.3 Công tắc, cầu chì, ổ cắm, bảng điện phải đặt trong hộp kín ở ngoài nhà kho hoặc trong các phòng riêng. Nếu đặt ngoài nhà kho, hộp điện phải đặt cách nhà kho ít nhất 7 m, đoạn cáp cấp điện từ hộp vào nhà kho phải đi ngầm. Các thiết bị điện phục vụ cho nhà kho (trạm phân phối, mạng điện lực, hệ thống chiếu sáng) phải được trang bị bảo vệ dò và đoản mạch, cũng như tránh điện giật đối với người; tiếp địa phải phù hợp với tiêu chuẩn thiết kế.
H.1.5.4 Dây dẫn điện chiếu sáng trong các nhà kho phải dùng loại cáp có vỏ bọc cách điện không bắt lửa hoặc đặt trong ống cứng làm bằng vật liệu không bắt lửa. Cấm mắc các dây dẫn hoặc cáp điện qua phía trên các nhà kho.
H.1.5.5 Các giá đỡ cáp phải có kết cấu thích hợp để cáp không bị hư hỏng. Chỗ đưa cáp vào nhà kho phải có ống bọc.
H.1.5.6 Khi treo cáp điện dọc theo tường và trần nhà kho phải có giá đỡ cách nhau 0,8 đến 1,0 m khi đặt ngang và 2,0 m khi đặt đứng.
H.1.5.7 Nối cáp phải dùng các hộp nối phòng nổ chuyên dùng.
H.1.6 Việc bảo vệ và tín hiệu của các kho cố định thực hiện theo khoản 17, Điều 6 và phụ lục M của Quy chuẩn này.
H.1.7 Quy định về PCCC
H.1.7.1 Tất cả các kho VLNCN đều phải có phương án PCCC được cơ quan PCCC có thẩm quyền phê duyệt.
Các kho VLNCN phải được trang bị đầy đủ các phương tiện dụng cụ chữa cháy. Các bể chứa nước chứa từ 50 m3 trở lên phải có máy bơm để bơm chữa cháy.
H.1.7.2 Để ngăn ngừa cháy lan từ ngoài vào kho phải
- Dọn sạch cây cỏ trong khoảng rộng không nhỏ hơn 5 m xung quanh nhà kho;
- Làm rãnh ngăn cháy xung quanh khu vực kho (rãnh sâu 0,5 đến 1 m, chiều rộng trên bề mặt từ 1,5 đến 3 m), hoặc thường xuyên trồng cây cối một dải đất rộng 5 m ở phía ngoài hàng rào kho. Bờ dốc và đáy rãnh ngăn lửa phải thường xuyên dọn sạch cây cỏ.
H.1.7.3 Kho phải có đường ống dẫn nước hoặc bể chứa nước chữa cháy. Phải có lối đi đến bể chứa nước thuận lợi. Dung tích bể chứa nước hoặc lượng nước cấp bằng đường ống xác định theo bảng H.1 .
Bảng H.1 - Bể nước dùng cho PCCC của nhà kho
|
Loại và sức chứa của kho |
Lượng nước cấp theo đường ống dập cháy |
Dung tích bể không nhỏ hơn (m3) |
|
1. Kho tiêu thụ 2. Kho có sức chứa đến 500 tấn thuốc nổ 3. Kho có sức chứa từ 501 đến 3 000 tấn thuốc nổ |
Không nhất thiết phải làm Không nhất thiết phải làm
15 lít/giây |
50 100
Cho phép thay đường ống bằng cách cứ hai nhà kho có bể nước dung tích 50 m3 |
H.1.7 Trong kho phải treo bảng liệt kê các phương tiện dụng cụ chữa cháy, qui trình sử dụng và các biện pháp, phương án chữa cháy khi xảy ra cháy.
H.1.7.5 Khi xảy ra cháy trong khu vực kho, phải áp dụng các biện pháp khẩn cấp để dập tắt cháy, đồng thời báo ngay cho trưởng kho, cơ quan PCCC địa phương biết. Khi có nguy cơ cháy lan đến các hòm chứa VLNCN thì mọi người phải rút ra nơi an toàn (tính theo bán kính vùng nguy hiểm.
H.1.7.6 Trong khu vực kho, cấm hút thuốc lá, đốt lửa, dùng ngọn lửa trần. Người bảo vệ có trách nhiệm kiểm tra để không cho người vào kho mang theo diêm, bật lửa, súng đạn và các vật phát ra tia lửa do ma sát.
H.1.7.7 Trưởng kho và người phụ trách bảo vệ kho có trách nhiệm kiểm tra mỗi tháng một lần các phương tiện dập cháy bảo đảm đủ số lượng và luôn trong trình trạng tốt, thường xuyên kiểm tra việc thực hiện các biện pháp phòng cháy:
H.1.8 Trưởng kho có trách nhiệm kiểm tra kho một tuần một lần về tình trạng của kho, hệ thống bảo vệ, số lượng và chất lượng VLNCN bảo quản trong kho.
H.2 Kho VLNCN lưu động
H.2.1 Kho lưu động ngoài trời, khi đặt tĩnh tại phải đặt ở chỗ nền phẳng, sàn kho cách nền đất ít nhất 30 cm. Nếu đặt trên phương tiện vận chuyển hoặc giá di động phải có biện pháp neo chặt, chốt hãm hoặc tháo các bánh xe chuyển động.
Các loại kho lưu động không có mái, trần chống nóng hoặc thông hơi, khi đặt ngoài trời phải đặt ở nơi thoáng không có nắng chiếu hoặc có biện pháp che nắng chiếu trực tiếp vào kho. Mỗi ngày phải mở cửa kho ít nhất hai lần để thông khí.
Kho lưu động trong nhà phải đặt cách cửa ra vào ít nhất 3 m và không có vật cản từ vị trí đặt kho ra đến cửa, kho phải có bánh xe hoặc gắn cố định trên giá di động để dễ dàng di chuyển trong các trường hợp khẩn cấp.
H.2.2 Kho lưu động phải có kết cấu cứng vững, không bị hư hỏng, biến dạng trong quá trình di chuyển hoặc xếp tải. Các móc đỡ, tai treo dùng để nâng hạ trong quá trình di chuyển phải chế tạo đúng tiêu chuẩn thiết kế. Cấu tạo của các loại kho lưu động theo quy định dưới đây:
H.2.2.1 Kho lưu động ngoài trời phải có toàn bộ lớp vỏ ngoài bằng thép cac bon mác thấp dày ít nhất 3,2 mm hoặc bằng vật liệu kết cấu có độ bền tương đương. Mặt trong tường kho được lót bằng các vật liệu không phát sinh tia lửa với độ dày ít nhất 12 mm.
Sàn kho trải lớp ván gỗ dày 25 mm. Trần kho phải có lớp cách nhiệt, mặt ngoài kho phải sơn mầu sáng, kho có mặt ngoài sơn mầu sẫm phải để trong khu vực râm, mát hoặc có mái che. Kho lưu động ngoài trời phải chế tạo bảo đảm chống dột tốt, tại các vị trí lỗ thông hơi, cửa ra vào phải có kết cấu chống mưa hắt, thấm nước.
H.2.2.2 Kho lưu động trong nhà chứa không nhiều hơn 20 kg thuốc nổ hoặc 500 kíp nổ có thể làm bằng gỗ dày 50 mm, bọc tôn sắt bên ngoài dày 0,5 mm. Các góc phải được gia cố bằng ke sắt. Mặt trong thùng không được có bất kỳ chi tiết kim loại nào, các đầu đinh, đầu vít phải ngập sâu 5 mm dưới mặt gỗ. Nhà đặt kho phải được trang bị PCCC theo quy định và phải được canh gác, bảo vệ như kho cố định.
H.2.2.3 Kho lưu động là các loại thùng, hòm xách tay dùng để bảo quản VLNCN trong ngày tại nơi thi công phải có cấu tạo tương đương như Điều H.2.2.1 với chiều dày lớp vỏ sắt ít nhất 2,5 mm, nắp thùng phải có gờ trùm kín miệng thùng không ít hơn 2 mm.
H.2.4 Cửa kho phải chế tạo bằng vật liệu tương đương vật liệu làm vỏ kho, cửa kho mở ra ngoài và có khoá chắc chắn, chống cắt. Bản lề, móc, chốt cửa phải bằng thép và được hàn hoặc lắp sao cho không tháo được khi cửa đã đóng, khoá. Cửa kho lưu động dài trên 1,5 m phải có tối thiểu 03 bản lề và chốt cửa liên động tối thiểu ở hai vị trí trên và dưới.
H.2.5 Cửa, thành bên kho lưu động phải sơn chữ “Thuốc nổ - Cấm lửa” có mầu đỏ tương phản với mầu nền. Cỡ chữ ít nhất 7 cm chiều cao đối với kho lưu động trong nhà và kho xách tay; 15 cm đối với kho lưu động ngoài trời.
H.2.6 Các chi tiết, kết cấu kim loại lắp ráp theo phương pháp không hàn của kho lưu động ngoài trời (thân, cửa kho) phải được nối với nhau bằng dây cáp điện và tiếp đất theo quy định Phụ luc I. Quy chuẩn này.
H.2.7 Trên mặt đất, kho lưu động ngoài trời không nhất thiết phải có chiếu sáng, thông tin, hào chống cháy xung quanh hàng rào kho, nhưng phải dọn sạch cỏ dễ cháy trong phạm vi hàng rào kho. Hàng rào kho lưu động ngoài trời cách tường nhà kho ít nhất 20 m, trạm bảo vệ cách hàng rào kho không ngắn hơn 15 m.
Ngoài các yêu cầu trên đây, kho lưu động ngoài trời phải tuân theo các qui định đối với một kho cố định.
H.2.8 Được phép sử dụng các côngtenơ tàu biển, các toa tàu hoả còn tốt để làm kho lưu động nhưng phải tuân thủ đầy đủ các yêu cầu về kho lưu động quy định ở trên và phải làm sạch các chất ô nhiễm.
H.2.8.1 Kho lưu động là các toa tàu hoả được bảo quản không quá 3 tấn thuốc nổ hoặc 10 000 kíp và 1000 m dây nổ, không hạn chế số lượng dây cháy chậm. Nếu bảo quản chung với kíp nổ, phải dùng vách ngăn toa tàu làm 3 ngăn bằng nhau. Hai ngăn phía hai đầu để chứa thuốc nổ và phương tiện nổ, ngăn giữa dùng để cấp phát, cửa các ngăn phải kín và có kích thước 1,8 m x 0,9 m. Khi dồn hoặc kéo trên đường, cửa toa chứa VLNCN phải đóng và khoá.
Toa tàu hoả bảo quản VLNCN phải có tín hiệu, biển báo theo qui định tại Điều 9 của Quy chuẩn này và phải được canh gác, bảo vệ như kho cố định. Ban đêm phải treo tín hiệu ở cả 2 đầu toa tàu.
H.2.8.2 Kho lưu động chứa VLNCN đặt trên các phương tiện nổi phải thoả mãn các yêu cầu sau:
a) Kho lưu động đặt trên các phương tiện nổi được phép bảo quản đến 5 tấn thuốc nổ, 15 000 kíp, 5 000 m dây nổ nhưng trong mọi trường hợp không được quá 1/4 trọng tải của phương tiện. Không được bảo quản chung kíp với thuốc nổ trong cùng kho.
b) Phương tiện nổi có kho lưu động chứa VLNCN phải đỗ ở chỗ thích hợp và cách xa các công trình, bến cảng, khu dân cư, các kho dễ bắt lửa, chỗ đậu và luồng đi lại của các tàu thuyền khác. Khoảng cách này tính theo khoảng cách an toàn về sóng không khí qui định tại phụ lục D của Quy chuẩn này nhưng không nhỏ hơn 150 m.
Nếu đỗ gần bờ, phải làm rào ở trên bờ bằng cọc tre có chăng dây thép gai. Hàng rào cách mép nước 50 m. Các cọc cuối phải cắm xuống nước cách mép bờ ít nhất 3 m phía đối diện với bờ phải có biển cấm cách phương tiện 50 m. Phải treo biển báo "nguy hiểm" ở vị trí cao hơn mái kho VLNCN 3 m. Chữ phải rõ và có chiều cao ít nhất là 20 cm. Ban đêm có tín hiệu bằng ánh sáng.
b) Phương tiện nổi có kho lưu động chứa VLNCN phải có thu lôi chống sét theo qui định của phụ lục I của Quy chuẩn này. Nơi đặt kho lưu động chứa VLNCN trên phương tiện nổi phải cách xa các nguồn nhiệt ít nhất 8 m, việc sửa chữa có sử dụng ngọn lửa trần, hàn cắt ở gần kho chứa VLNCN chỉ được tiến hành cách kho 15 m trở lên và phải được phép của thuyền trưởng. Trong thời gian mở kho cấp phát VLNCN phải tắt các nguồn thu phát sóng điện từ tần số radio trong phạm vi bán kính 50 m. Phương tiện nổi có động cơ đốt bằng nhiên liệu rắn phải có bộ phận dập tàn lửa ở đầu ống khói.
c) VLNCN trong kho phải được xếp vững chắc, chằng buộc chắc chắn để tránh bị xô đẩy do sóng nước. Ống nổ, kíp nổ phải chứa trong các hòm gỗ, phía ngoài bọc tôn, phía trong lót đệm mềm. Các hòm này phải bắt chặt vào giá đỡ, khi hòm chứa còn rỗng, phải chèn chặt bằng vật liệu mềm để ống nổ, kíp nổ không va chạm vào nhau khi tàu bị chòng chành. Không được cấp phát VLNCN trong thời gian phương tiện nổi đang di chuyển.
d) Phương tiện nổi có kho bảo quản VLNCN phải có các phương tiện dụng cụ chữa cháy theo qui định PCCC hiện hành. Khi xảy ra cháy trên phương tiện nổi có kho bảo quản VLNCN thì phải đánh chìm ngay tất cả VLNCN nếu điểm cháy ở nơi chứa VLNCN hoặc ở nơi khác mà hết khả năng dập cháy. Kíp nổ phải được đánh chìm trước. Đánh dấu điểm đánh chìm bằng phao tiêu để vớt lên sau. Khi tàu kéo xà lan có kho bảo quản VLNCN bị cháy thì phải dừng tàu lại tách khỏi xà lan và thả neo. Các phương tiện khác đang đi lại phía xà lan phải dừng lại.
H.3 Bảo quản VLNCN trên bãi trống
H.3.1 Khi nổ mìn buồng, nổ mìn thăm dò địa chấn và các loại nổ mìn khác mà chỉ nổ 1 lần. Cho phép dùng bãi trống làm kho để bảo quản VLNCN trong thời hạn không quá 20 ngày đêm. VLNCN phải để trên các bục kê cách mặt đất 20 cm phải phủ bạt hoặc có mái che.
H.3.2 Kho bảo quản này phải cách chỗ thi công nổ mìn tính theo phụ lục D nhưng không nhỏ hơn 300 m. Khoảng cách đến các công trình khác tuỳ thuộc vào khối lượng VLNCN được bảo quản và phải tuân theo Khoản 8, Điều 4 của Quy chuẩn này.
H.3.3 Xung quanh kho bãi trống trong phạm vi 50 m phải dọn sạch các loại vật liệu có thể cháy được.
H.3.4 Phải xếp phương tiện nổ thành đống riêng, cách đống thuốc nổ một khoảng cách ít nhất 25 m.
H.4 Kho hầm lò và kho ngầm
H.4.1 Kho hầm lò
H.4.1.1 Cho phép bảo quản VLNCN trong các buồng (khám) hoặc các ngách bố trí so le nhau của các kho hầm lò nhưng phải đảm bảo khoảng cách an toàn truyền nổ giữa các buồng hoặc ngách.
H.4.1.2 Kho hầm lò gồm có các buồng chứa VLNCN và các buồng phụ khác như buồng kiểm tra kíp điện và làm ngòi mìn, buồng cấp phát vật liệu nổ, buồng để các dụng cụ chứa cháy. Các lò nối thông các buồng và lò nối thông ra ngoài.
H.4.1.3 Sức chứa tối đa của kho tiêu thụ kiểu hầm lò không được quá lượng tiêu thụ trong 3 ngày đêm đối với thuốc nổ và 10 ngày đêm đối với phương tiện nổ. Trong mỗi buồng không được chứa quá 2 tấn thuốc nổ. Trong mỗi ngách không được chứa quá 400 kg thuốc nổ hoặc 15000 kíp nổ.
H.4.1.4 Kho hầm lò phải thỏa mãn các điều kiện sau:
a) Khoảng cách từ bất cứ điểm nào của kho hầm lò đến giếng mỏ hoặc các buồng của sân ga không được nhỏ hơn 100 m đối với kho kiểu buồng và 60 m đối với kho kiểu ngách;
b) Khoảng cách từ các buồng hoặc ngách gần nhất đến đườnglò dùng làm lối đi lại thường xuyên không được nhỏ hơn 30 m đối với kho kiểu buồng và 25 m đối với kho kiểu ngách;
c) Khoảng cách từ ngách buồng kho lên mặt đất không nhỏ hơn 30 m đối với kho kiểu buồng và 15 m đối với kho kiểu ngách;
d) Những đường lò có buồng hoặc ngách chứa VLNCN không được thông thẳng trực tiếp với đường lò chính mà phải nối bằng ba đoạn lò dẫn vuông góc với nhau, những đoạn lò dẫn này phải kết thúc bằng những hốc cụt sâu 2 m và tiết diện tốt thiểu là 4 m2;
đ) Mỗi kho hầm lò phải có hai lối ra, khi đào các đường hầm hoặc tuy nen, nếu làm kho tạm chứa không quá 1 tấn thuốc nổ thì có thể chỉ làm một lối ra;
e) Kho phải được thông gió thường xuyên bằng luồng gió sạch đảm bảo luân chuyển không khí của kho 4 lần/giờ và phải nối với mạng gió chung của mỏ;
g) Khi đặt đường ray vào trong kho, phải có cơ cấu cách điện với đường ray chung của mỏ.
H.4.1.5 Tất cả các buồng ngách đường lò của kho VLNCN hầm lò phải chống bằng vật liệu không cháy. Trường hợp đất đá cứng, ổn định thì không nhất thiết phải chống đường lò này.
H.4.1.6 Ở các mỏ nguy hiểm về khí hoặc bụi nổ, các dụng cụ điện và phụ kiện đi kèm dùng trong kho VLNCN phải là loại phòng nổ.
H.4.1.7 Các kho VLNCN hầm lò phải được trang bị bình dập lửa, thùng có cát, thùng nước. Các phương tiện chữa cháy này phải bảo quản trong buồng riêng của kho.
Ở đường lò dẫn vào các buồng hoặc ngách của kho phải làm cửa chống cháy.
H.4.1.8 Phải chiều sáng bằng điện cho các đường lò và các buồng ngách của kho. Dây dẫn điện trong kho phải dùng loại cáp bọc sắt hoặc cáp cao su mềm. Nguồn điện chiếu sáng không được quá 127 V.
Khi chiếu sáng bằng đèn huỳnh quang có thể dùng điện áp tới 220 V, bóng đèn phải để trong hốc có kính che và lưới sắt bảo vệ. Để chiếu sáng cho các buồng hoặc các ngách chứa VLNCN bóng đèn điện phải đặt phía ngoài của buồng để hắt ánh sáng vào. Nếu không có hệ thống chiếu sáng cố định phải dùng đèn pin hoặc đèn ắc qui mỏ.
H.4.1.9 Phải đặt điện thoại trong buồng cấp phát VLNCN. Ở mỏ nguy hiểm về khí hoặc bụi nổ, điện thoại và phụ kiện đi kèm phải là loại phòng nổ.
H.4.1.10 ở mỏ nguy hiểm về khí hoặc bụi nổ, phải đặt dàn bụi trơ ở cả 2 đoạn lò dẫn tới kho VLNCN hầm lò. Bụi trơ trên dàn phải được thay thế theo qui định.
H.4.1.11 Trong trường hợp không xây dựng kho hầm lò ở trong mỏ thì cho phép đào một ngách riêng để cấp phát VLNCN cho thợ mìn và thu hồi số VLNCN không sử dụng hết vào cuối ca. Nếu ngách chứa 100 kg thuốc nổ thì ngách phải đặt trong lò riêng có luồng gió sạch đi qua và cách các đường lò đang hoạt động ít nhất 25 m. Sức chứa tối đa của ngách không được quá 400 kg thuốc nổ và phương tiện nổ tương đương. Việc bảo vệ ngách, bảo quản VLNCN như đối với một kho hầm lò.
H.4.1.12 Cấm xây dựng một công trình nào trên mặt đất nằm trực tiếp phía trên kho hầm lò. Các đường lò ở phía trên hoặc phía dưới kho hầm lò, phải cách kho không nhỏ hơn 30 m đối với kho kiểu buồng và 15 m đối vớt kho kiểu ngách.
H.4.2 Kho ngầm
H.4.2.1 Kho ngầm có thể xây dựng sâu trong núi, thông với mặt đất bằng lò bằng. Cho phép sử dụng các hầm lò cũ hoặc các hang động để làm kho ngầm, nếu chúng đáp ứng được các yêu cầu của kho VLNCN. Ở cửa lò phải làm hai lớp cửa mở ra phía ngoài bằng gỗ hoặc bằng tôn, cửa phía trong làm bằng song sắt.
H.4.2.2 Nếu từ cửa lò đến buồng chứa VLNCN gần nhất mà lớn hơn 15 m thì phải có hai lối ra, một lối thường dùng và một lối dự phòng. Kho phải được thông gió tốt.
H.4.2.3 Trước cửa lò phải đắp ụ bảo vệ, ụ phải cao hơn cửa lò 1,5 m, chiều dài lớn hơn 3 lần chiều rộng cửa lò. Chiều rộng định ụ tối thiểu 1 m, chiều rộng của chân ụ tính theo góc ổn định của đất đắp. Có thể dùng đất đá đào lò để đắp ụ.
H.4.2.4 Các đường lò của kho ngầm phải dốc ra ngoài có rãnh thoát nước. Rãnh phải có nắp đậy.
H.4.2.5 Các buồng, ngách của kho ngầm phải chống bằng vật liệu không cháy, các lò dẫn vào kho có thể chống bằng gỗ và quét hồ chống cháy.
H.4.2.6 Phải có hệ thống chiếu sáng cố định bằng điện dẫn vào kho. Dây dẫn phải đảm bảo yêu cầu nêu tại Điều H.5.1.8. Phụ kiện của hệ thống chiếu sáng phải là loại dùng cho mỏ hầm lò. Công tắc, cầu dao đóng tắt đèn phải đặt ngoài cửa lò. Chiếu sáng cho buồng chứa VLNCN phải dùng đèn ắc qui mỏ, đèn pin.
H.4.2.7 Khi kho ngầm có lớp đất phủ dày trên 10 m thì không phải làm hệ thống bảo vệ chống sét.
H.4.2.8 Kho ngầm phải có hàng rào, các cửa lò và trạm quạt gió phải nằm trong hàng rào. Việc làm hàng rào theo qui định tại điểm e, Điều H.1.1.1.
H.4.2.9 Cửa ra vào kho phải bố trí trạm gác. Nếu cửa này không quan sát được lối ra vào kho dự phòng và trạm quạt thì cũng phải đặt thêm trạm gác để quan sát chỗ đó.
H.5.2.10 Trong các đường lò của kho, có thể đặt đường ray để vận chuyển VLNCN.
H.4.2.11 Việc kiểm tra kíp điện và làm ngòi mìn phải làm trong buồng riêng của kho hoặc trong buồng ở ngoài mặt đất.
H.4.2.12 Ngoài các điểm qui định từ H.4.2.1 đến H.4.2.11 việc xây dựng kho ngầm phải theo các qui định của một kho nổi.
PHỤ LỤC K
(Qui định)
QUI ĐỊNH VỀ VẬN CHUYỂN CHUNG THUỐC NỔ VÀ KÍP NỔ TRÊN CÙNG XE Ô TÔ VẬN TẢI
K.1. Quy định chung
K.1.1 Chỉ được phép vận chuyển trên cùng xe ô tô thuốc nổ và các loại kíp nổ sau:
- Các loại kíp nhóm 1.4B, 1.4S; kíp nổ điện nhóm 1.1B chứa không quá 1 g thuốc nổ (bao gồm cả thuốc gợi nổ và thuốc làm chậm) và có chiều dài dây dẫn lớn hơn 1,25 m;
- Các loại thuốc nổ theo quy định tại bảng A2.2, Phụ lục A, Quy chuẩn này.
K.1.2. Kíp nổ phải được đóng gói trong bao bì theo quy cách của nhà sản xuất, trường hợp vận chuyển hộp hoặc hòm kíp dùng chưa hết, phải chèn đầy các khoảng trống trong hộp, hòm bằng các vật liệu mềm, không phát sinh tia lửa, tĩnh điện. Kíp nổ rời phải được đựng trong hộp kín theo quy định của nhà sản xuất và phải chèn lót tránh để kíp va đập trong quá trình vận chuyển.
K.1.3. Các hòm hoặc hộp kíp nổ phải để ngăn cách với thuốc nổ bằng một trong các biện pháp sau:
a) Trong thùng đựng kíp chuyên dụng đặt cùng khoang xe chứa thuốc nổ với số lượng kíp không vượt quá 1000 cái. Thùng đựng kíp phải được xếp ngoài cùng, sau khi xếp xong thuốc nổ để có thể dễ dàng tháo dỡ trong trường hợp khẩn cấp. Không được để thuốc nổ tiếp xúc với thùng dựng kíp, phải có biện pháp cố định thùng đựng kíp chống rung lắc, trôi trượt trên sàn xe và biện pháp tránh các vật rơi xuống thùng đựng kíp trong khi vận chuyển. Không được để các vật bất kỳ trên thùng đựng kíp.
b) Trong thùng đựng kíp chuyên dụng gắn cố định chắc chắn vào xe ô tô bên ngoài thùng xe chứa thuốc nổ. Thùng đựng kíp có thể gắn trên nóc buồng lái hoặc dưới gầm xe ở vị trí giữa buồng lái và bánh xe sau (xem hình K2). Thùng đựng kíp gắn dưới gầm xe không được có bất kỳ bộ phận nào nhô thấp hơn trục trước bánh xe.
c) Trong một khoang chứa riêng của thùng xe ở vị trí sát buồng lái, khoang chứa phải có cửa riêng bố trí ở phía thành bên của thùng xe để có thể xếp dỡ kíp từ phía bên ngoài xe (xem hình K1).
K.2 Cấu tạo của hòm chuyên dụng đựng kíp và khoang chứa kíp
K.2.1 Vật liệu chế tạo
K.2.1.1 Vách ngăn khoang chứa phải được chế tạo từ bốn lớp vật liệu ghép với nhau (xem hình K4.1) và được ghép theo thứ tự từ trong ra ngoài với chiều dày tối thiểu của từng lớp vật liệu như sau: 1 lớp gỗ dán dày 12 mm hoặc lớp vật liệu tương đương, 1 lớp tấm vách thạch cao dày 12 mm, 1 lớp tôn sắt các bon mác thấp dày 3 mm và cuối cùng là một lớp gỗ dán dày 6 – 7 mm.
K.2.1.2 Thùng đựng kíp chuyên dụng:
Toàn bộ vỏ và nắp thùng đựng kíp chuyên dụng phải được chế tạo từ trong ra ngoài bằng các lớp vật liệu sau: 1 lớp gỗ dán dày 12 mm hoặc lớp vật liệu tương đương, 1 lớp tấm vách thạch cao dày 12 mm và 1 lớp tôn sắt các bon mác thấp dày 1 mm bọc ngoài cùng (xem hình K4.2)
K.2.1.3 Các lớp vật liệu phải gắn chặt với nhau bằng keo dán chịu nước có thể tăng cường bằng đinh tán hoặc vít đầu chìm. Mũ đinh hoặc vít bên trong thùng phải thấp hơn bề mặt ngoài của tấm ghép ít nhất 1,5 mm, chiều dài vít không vượt quá 90% tổng chiều dày các lớp ghép.
K.2.1.4 Lớp tôn sắt các bon mác thấp phải có bề mặt kín liên tục, các mối ghép nối phải được hàn kín hoặc gối lên nhau nếu chế tạo từ các tấm tôn rời.
K.2.2 Cấu tạo
a) Toàn bộ vỏ, nắp cửa của thùng đựng kíp chuyên dụng phải được chế tạo bằng vật liệu quy định tại khoản K.2.1.
Khi lắp cố định thùng kíp chuyên dụng vào xe ô tô, không được dùng các phương pháp đinh tán, bắt vít trực tiếp vào phần vỏ tạo thành thân thùng, chỉ được bắt vít thông qua các tai đỡ hàn lên vỏ thùng.
b) Vách ngăn phía sát buồng lái và vách ngăn giữa khoang chứa kíp với khoang chứa thuốc nổ trên thùng xe chỉ được chế tạo bằng vật liệu quy định tại K.2.1, hình K4.1, vách ngăn phải có diện tích đủ để cách ly hoàn toàn toàn kíp với thuốc nổ. Vách ngăn được cố định vào thùng xe thông qua khung gỗ hoặc khung kim loại không phát sinh tia lửa. Mối ghép giữa vách ngăn với thành và sàn thùng xe phải kín.
c) Vỏ, nắp cửa phải kín sao cho kíp nổ bên trong không bị ảnh hưởng bởi thời tiết, môi trường bên ngoài khi vận chuyển.
d) Bản lề cửa, móc khoá phải hàn vào thân hòm hoặc cửa. Cửa hòm đựng kíp hoặc khoang chứa phải có khóa chống cắt.
đ) Trong khoang chứa kíp trên thùng xe cho phép đặt giá hai tầng để xếp hòm kíp, giá phải được bắt chặt xuống sàn xe, cấm cố định giá vào vách ngăn khoang chứa.
K.3 Quy định về sản xuất, kiểm định hòm đựng kíp chuyên dụng
K.3.1 Thiết kế, tính toán chế tạo thùng kíp chuyên dụng và khoang chứa kíp phải do người có trình độ đại học chuyên ngành chế tạo thực hiện. Bản vẽ thiết kế phải được lãnh đạo đơn vị phê duyệt trước khi chế tạo.
K.3.2 Thời điểm và nội dung kiểm định sản phẩm
K.3.2.1 Đối với các sản phẩm mới chế tạo trong nước
a) Khi hoàn thành phôi lớp sắt các bon mác thấp, nội dung kiểm định giới hạn trong khâu kiểm tra chất lượng mối hàn ghép các chi tiết tạo thành phôi;
b) Khi hoàn thành sản phẩm hoàn chỉnh, nội dung kiểm định bao gồm các khâu kiểm tra các chi tiết bản lề cửa, móc khóa và loại khóa sử dụng;
Kết thúc kiểm tra, người kiểm định phải đóng dấu kiểm định lên sản phẩm
c) Khi hoàn thành việc gắn cố định sản phẩm vào xe ô tô vận tải, bao gồm nội dung kiểm tra vị trí lắp, các chi tiết cố định, hãm sản phẩm không văng, trượt trong quá trình vận chuyển;
Chú thích: Các nội dung kiểm tra quy định tại điểm b, c khoản này có thể thực hiện trong cùng thời gian theo yêu cầu của đơn vị chế tạo sản phẩm.
K.3.2.2 Đối với sản phẩm nhập khẩu, tổ chức nhập khẩu phải xuất trình biên bản kiểm tra của tổ chức kiểm định nước ngoài hợp lệ.
d) Khi sửa chữa, cải tạo sản phẩm.
K.3.3 Hồ sơ, biên bản kiểm định phải lưu trữ ít nhất 10 năm tại cơ sở chế tạo và cơ sở sử dụng.


Hình K4 Vật liệu chế tạo vách ngăn khoang chứa và hòm kíp chuyên dụng


PHỤ LỤC I
(Qui định)
QUI ĐỊNH VỀ CHỐNG SÉT CHO KHO VẬT LIỆU NỔ CÔNG NGHIỆP
I.1 Qui định chung
I.1.1 Tác hại trực tiếp của sét khi sét phóng xuống đất
a) Nếu tia sét đánh trực tiếp vào công trình sẽ gây hư hỏng công trình về cơ học (đổ, vỡ), tạo nhiệt độ cao có thể làm cháy công trình và nổ vật liệu chứa trong công trình.
b) Nếu tia chớp ở xa công trình sẽ gây tác hại gián tiếp gây cảm ứng tĩnh điện và cảm ứng điện từ.
I.1.2 Sự thâm nhập điện thế cao theo đường dây dẫn trên không, đường dây thông tin, đường ống hoặc đường cáp ngầm nằm gần các dây tiếp địa của các cột thu sét cũng rất nguy hiểm. Điện thế cao thâm nhập vào nhà có thể phóng điện vào các vật ở bên trong nhà gây cháy nhà.
I.1.3 Sự phóng điện của sét còn gây nguy hiểm cho người nếu trong thời điểm phóng sét mà người chạm vào các chi tiết mang điện áp tiếp xúc hoặc đứng gần dây tiếp đất của cột thu sét (điện áp bước) .
I.1.4 Tuỳ theo mức độ nguy hiểm khi bị sét đánh vào, các toà nhà và công trình được chia làm 3 cấp: các nhà kho chứa VLNCN, các nhà để sấy, nghiền đóng bao, các nhà để chuẩn bị VLNCN đều được xếp vào cấp 1. Tất cả các nhà thuộc cấp 1 dù đặt lộ thiên hoặc bán ngầm, đều phải bảo vệ tránh được cả tác dụng trực tiếp lẫn tác dụng gián tiếp của sét.
I.1.5 Các phương tiện vận tải thủy chở VLNCN phải được trạng bị chống sét tránh cả tác dụng trực tiếp và tác dụng gián tiếp của sét.
I.1.6 Cấm đặt các thiết bị thu sét trực tiếp trên nhà kho và các nhà đã nêu trong Điều I.1.4. Cấm mắc đường dây điện trên không vào các thiết bị thu sét.
I.1.7 Các kho bảo quản VLNCN dù đặt ở địa phương nào cũng phải được bảo vệ chống sét đảm bảo độ tin cậy như nhau (không kể số ngày có sét trong năm).
I.2 Các phương pháp chống sét cho kho VLNCN
I.2.1 Phải đặt thiết bị thu sét cho các kho VLNCN. Thiết bị thu sét gồm có ba bộ phận chính: đầu thu sét, dây dẫn và phần tiếp đất.
I.2.2. Theo kiểu (cấu tạo) của phần thu sét, các thiết bị thu sét được chia thành thu sét kiểu cột và thu kiểu dây. Tuỳ theo số lượng đầu thu sét, hệ thống cột thu sét được chia thành: hệ thống một cột, hai cột và hệ thống nhiều cột thu sét.
I.2.3 Đối với các nhà kho và công trình nêu tại Điều I.1.4 phải dùng thu sét kiểu cột đặt riêng biệt để chống sét đánh thẳng. Tất cả các bộ phận thu sét, dẫn sét và bộ phận tiếp đất phải bố trí riêng biệt với công trình và các vật kim loại chôn dưới đất có liên quan tới công trình cần bảo vệ, với khoảng cách cần thiết qui định tại Điều I.3.7.
I.2.4 Mỗi cột thu sét phải có bộ phận tiếp đất riêng được làm theo qui định tại Điều I.5.3. Điện trở xung của tiếp đất của mỗi cột thu sét không được vượt quá 10 W
I.2.5 Khi các nhà kho và các nhà nêu trong Điều I.1.4 có kết cấu kim loại kích thước dài hoặc khi VLNCN chứa trong các hòm bằng kim loại, phải có biện pháp bảo vệ chống cảm ứng tĩnh điện. Có thể áp dụng một trong các biện pháp sau: tiếp đất tất cả vật, thiết bị có ở trong nhà, hoặc đặt lưới kim loại trên mái nhà có kích thước ô lưới không quá 10 m x 10 m (bằng sắt F5 đến 6 mm) rồi nối xuống đất phía ngoài nhà, cách móng nhà 0,5 đến 1,0m sâu 0,8 m và cách xa bộ phận tiếp đất của thu sét đánh thẳng 3 m. Điện trở nối đất không được quá 5 W. Để giảm điện trở có thể nối bộ phận tiếp đất với các đường ống kim loại (ống dẫn nước) chôn ngầm dưới nước.
I.2.6 Chống cảm ứng điện từ bằng cách nối tất cả các đường ống, cáp điện bọc thép dẫn đến nhà kho và các kết cấu kim loại trong nhà kho thành một mạch kín, nếu chúng được bố trí chéo nhau thì nối ở chỗ gần nhất, nếu chúng đi song song thì cứ 15 đến 20 m có một điểm nối. Các mối nối phải đảm bảo dẫn điện tốt. Nếu ở những khớp nối có nghi ngờ sự tiếp xúc không tốt thì giữa hai bộ phận được nối lại với nhau phải có một dây dẫn phụ. Dây dẫn phụ phải bằng thép, đồng có tiết diện 16 đến 25 mm2.
I.2.7 Để chống sự thâm nhập của điện thế cao vào nhà kho chứa VLNCN cần:
a) Không được đưa đường dây trên không vào thẳng nhà kho. Trường hợp thật cần thiết, khi gần vào nhà kho phải dùng một đoạn dây cáp ngầm dài ít nhất 100 m. Đoạn nối từ trên không xuống cáp ngầm phải đặt bộ phận chống sét kiểu van. ở chỗ chuyển từ đường dây trên không sang cáp phải đặt tiếp đất có điện trở không lớn hơn 5 W, các chân sứ của đường dây trên không trên 2 cột gần chỗ chuyển sang cáp cũng phải tiếp đất. Điện trả tiếp đất không được lớn hơn 10 W (Xem hình l.1);
b) Các máy điện thoại, tín hiệu nối với các đường dây trên không đều phải đặt ngoài nhà kho.
Khoảng cách từ máy đến tường nhà kho theo qui định tại Điều I.3.7; vỏ của máy phải được tiếp đất với điện trở không lớn hơn 10 W.
c) Phải dùng đường cáp ngầm để cấp điện, cáp dẫn điện vào nhà kho phải đặt xa bộ phận tiếp đất của thu sét một khoảng theo Điều I.3.7; vỏ cấp nối với bộ phận tiếp đất chống tác dụng gián tiếp của sét.

Hình I.1 Sơ đồ bảo vệ chống điện thế cao thâm nhập vào nhà kho chứa VLNCN
|
1 - Đường dây trên không 2 - Cột đỡ dây 3 - Dây tiếp đất |
4 - Van chống sét 5 - Cáp điện 6 - Kho VLNCN 7 - vật tiếp đất |
I.3 Chống sét đánh thẳng
I.3.1 Muốn bảo vệ chống sét đánh thẳng thì toàn bộ công trình phải nằm trong vùng bảo vệ của thiết bị thu sét.
I.3.2 Vùng bảo vệ của cột thu sét đơn có chiều cao h là một khối hình nón có đỉnh trùng với đỉnh của kim thu sét, đáy khối nón là đường tròn có bán kính R=1,5 h, đường sinh là các đường triết khúc giới hạn bởi 2 khối nón giao nhau (một khối nón có chiều cao h, đáy có bán kính r= 0,75 h). Tiết diện ngang của vùng được bảo vệ là đường tròn có độ cao là hx có tâm nằm ở trên trục của cột thu sét và có bán kính là rx (Xem hình I.2).
I.3.3 Vùng bảo vệ của hai cột thu sét có cùng chiều cao h, đặt cách nhau một khoảng a được biểu diễn trên hình 1.3. Hai đầu của vùng bảo vệ được vẽ như cột thu sét đơn. Phần giữa được giới hạn bởi cung tròn đi qua đỉnh của 2 cột thu sét. Tâm cung tròn nằm trên đường trung trực nối 2 đỉnh thu sét và cắt mặt đất một khoảng H = 4h (xem hình I.3.a). Tiết diện của vùng bảo vệ ở giữa được vẽ như một thu sét đơn tương đương có chiều cao bằng ho (khoảng cách nhỏ nhất từ mặt đất tới cung tròn, xem hình I.1.b).
Vậy tương ứng với độ cao bảo vệ hx ta có rox là bán kính vùng bảo vệ ở chỗ hẹp nhất.

Hình I.2 – Phạm vi bảo vệ của cột thu sét đơn.

Hình I.3 - Vùng bảo vệ của thu sét kép kiểu cột
I.3.4 Nếu hai cột thu sét có chiều cao khác nhau ta vẽ vùng bảo vệ như hình I.4. Hai đầu của vùng bản vệ vẽ như đối với 2 thu sét đơn có chiều cao h1, h2 qua đỉnh của thu sét thấp (h1) ta vạch một đường thẳng nằm ngang cắt đường sinh hình nón của cột thu sét cao (h2) tại K. Điểm K coi như đỉnh của cột thu sét tương đương h’1= h1, vùng bảo vệ của hai cột h1 và h'1 vẽ như trên đã trình bày (cột thu sét có h bằng nhau) .
I.3.5 Tương tự như vậy, ta sẽ vẽ được vùng bảo vệ của 3 hoặc 4 cột thu sét bố trí gần nhau (xem hình I.5). Vùng bảo vệ nằm trong đường bao sẽ đảm bảo an toàn hơn nằm ngoài đường bao

Hình I.4 - Vùng bảo vệ của 2 cột thu sét có chiều cao khác nhau và nằm cạnh nhau

Hình I.5 - Vùng bảo vệ của 3 cột thu sét hoặc 4 cột thu sét nằm gần nhau
I.3.6 Có thể xác định chiều cao của cột thu sét bằng biểu đồ đã tính sẵn tại hình I.6 và I.7.
Hình I.6 là biểu đồ để xác định chiều cao của cột thu sét đơn. Khi đã biết của chiều cao công trình cần bảo vệ là hx và bán kính vùng bảo vệ là rx (khoảng cách từ cột thu sét đến điểm xa nhất của công trình) .
Đánh dấu trị số hx và rx trên thang chia có ghi hx, rx hoặc rox. Chiều cao của cột thu sét sẽ là giao điểm của đường thẳng tới 2 điểm đó với thang I (khi
) hoặc thang II (khi
).
Thí dụ : cho rx = 10 m; hx = 6 m ta sẽ có hx /rx = 0,6
Theo thang chia I chiều cao cột thu sét là h = 14,1 m.
T
Thang I đối với

Thang II đối với

Hình I.6 - Đồ thị để xác định chiều cao cột thu sét đơn
Trên hình I.6 là đồ thị để xác định chiều cao của cột thu sét kép có chiều cao 2 cột thu sét bằng nhau.
Khi đã biết chiều cao bảo vệ hx bán kính vùng bảo vệ chỗ hẹp nhất rox và khoảng cách giữa hai cột thu sét là a. Căn cứ vào giá trị của hx, rox dùng đồ thị ở hình 1.6 ta xác định được giá trị của ho ,từ ho và a, ta xác định được chiều cao cột thu sét trên đồ thị hình 1.6.
Thí dụ: Cho rox = 4 m, hx = 6 m. Tìm độ cao của cột thu sét kiểu kép.
Ta có hx / rox = 1,5 [ 2,67
Từ đồ thị hình 1.6 ta tìm được ho =10,2 m và trên đồ thị hình I.7 ta tìm được h = 16,3 m.

Hình I.7 - Đồ thị để xác định chiều cao của cột thu sét kép
I.3.7 Ở thời điểm sét đánh vào thu sét, dây dẫn và tiếp đất có điện thế rất lớn. Có thể đủ để phóng điện từ các bộ phận của thu sét đến công trình cần bảo vệ. Để tránh sự phóng điện này, các bộ phận của thu sét phải đặt xa công trình một khoảng ít nhất tính theo cách sau:
Khoảng cách tối thiểu trong không khí Sk (mét) từ phần dẫn điện (xem hình l.8) đến công trình cần bảo vệ và điện thế thâm nhập (MV) xuất hiện trên phần dẫn điện, ở độ cao 1 m kể từ mặt đất, vào lúc sét đánh phụ thuộc vào điện trường xung của tiếp đất và được xác định theo đường cong trên hình I.9. Để các ô tô ra vào kho được dễ dàng, khoảng cách giữa cột thu sét và nhà kho không được nhỏ hơn 5 đến 6 m.
Khoảng cách ở trong đất Sđ (m) từ các bộ phận tiếp đất của thu sét kiểu cột đến các phần của công trình được bảo vệ hay đến các kết cấu kim loại dài có liên quan đến công trình được xác định như sau:

Trong đó
Ri là điện trở xung của tiếp đất của thu sét (W), khoảng cách này không được nhỏ hơn 3 m.
I.4 Cấu tạo cột đỡ, bộ phận thu sét và nối đất
I.4.1 Tất cả các bộ phận dẫn sét của thu sét đều phải làm bằng kim loại đen (thép) và phải tráng kẽm hoặc sơn để chống rỉ. Khi sơn phải chừa lại mặt tiếp xúc ở chỗ nối. Tiết diện đầu thu của cột thu sét không được nhỏ hơn 100 mm2 (thép tròn F12 mm; thép vuông 10 mm x 10 mm; thép tấm 35 mm x 3 mm, thép góc 20 mm x 3 mm) . Cũng có thể làm đầu thu sét bằng thép ống có F18 đến 25 mm, đầu trên của ống phải hàn một đoạn hình côn.

Hình I.8 – Sơ đồ để tính khoảng cách từ cột thu sét đến nhà cần bảo vệ

Hình I.9 - Đồ thị xác định khoảng cách tối thiểu trong không khí từ chiều dài của vật dẫn điện và điện trở tiếp đất
Tiết diện dây dẫn của cột thu sét không được nhỏ hơn 50 mm2. Các phần dẫn điện của thu sét phải nối với nhau bằng cách hàn. Trường hợp đặc biệt mới được nối bằng đinh tán hay bắt bu lông. Khi đó chỗ nối phải có ít nhất 2 đinh tán hoặc 2 bu lông. diện tích mặt tiếp xúc chỗ nối không nhỏ hơn 2 lần tiết diện của dây dẫn .
I.4.2 Đầu thu sét và dây dẫn phải đặt dọc theo cột đỡ. Không được để cong và phải dùng kẹp móc để giữ chặt. Thông thường ở các kho VLNCN người ta dùng cột gỗ để thu sét (hình I.10) .
Đầu thu sét (2) được bắt vào đầu trên của cột đỡ (1). Phần nhô lên của đầu thu sét không được cao quá 1 đến 1,5 m so với đầu cột. Đầu thu sét nối với tiếp đất bằng dây dẫn (3) và dùng các đai kẹp (5) để giữ chặt dây với cột. Kích thước của cột gỗ ghi trong bảng I.1.

Hình I.10 - Thu sét kiểu cột đặt trên cột đỡ bằng gỗ
Bảng I.1 - Kích thước của cột gỗ
|
Chiều cao cột thu sét. m |
Chiều cao các phần của cột, m |
|
|
Phần trên a |
Phần dưới b |
|
|
22 20 18 16 14 13 11 9 |
13 12 11 10 9 8 7 6 |
12,5 11,5 10,5 9,5 8,5 7,5 6,5 5,5 |
Khi tính toán sức bền của cột gỗ phải tính đến cả tải trọng cơ học và tải trọng gió.
Để chống mục cho các cột gỗ phải sơn hắc ín hoặc quét thuốc chống mục ở chân cột.
Để tăng thời gian sử dụng cột gỗ, có thể gắn cột vào chân đế bằng sắt hoặc bằng bê tông cốt thép.
I.4.3 Có thể sử dụng cột sắt hoặc cột bê tông cốt sắt làm cột đỡ. Khi đó dây dẫn dòng điện sét chính là phần sắt chế tạo cột nhưng phải nối chắc với nhau (thu sét, tiếp đất) bằng hàn.
I. 4.4 Có thể lợi dụng cây mọc ở gần kho thay cho cột đỡ nhưng phải đảm bảo khoảng cách từ bộ phận dẫn điện và tiếp đất đến công trình cần bảo vệ (qui định tại Điều I.3.7).
I.5 Bộ phận tiếp đất
I.5.1 Bộ phận tiếp đất là tất cả các vật thể bằng kim loại chôn trong đất (thép ống, thép tấm) được nối trực tiếp với dây dẫn sét.
Mỗi bộ phận tiếp đất có điện trở xung khác nhau. Điện trở xung Ri là điện trở của bộ phận tiếp đất khi có dòng điện sét đi qua. Điện trở xung khác về cơ bản so với điện trở đo được bằng phương pháp thông thường, vì dòng điện sét có trị số rất lớn và tác dụng trong khoảnh khắc làm giảm hiệu ứng điện thế trên chiều dài của bộ phận tiếp đất và làm giảm hiệu quả dẫn điện của các phần ở xa dây dẫn sét.
Dùng phương pháp đo thông thường không thể đo được điện trở xung Ri của bộ phận tiếp đất. Trị số này được xác định theo công thức:
Ri = R~ x a (W)
trong đó
Ri- Là điện trở của bộ phận tiếp đất đo bằng phương pháp thông thường;
a- Là hệ số xung ghi tại bảng 1.5.
Trị số của điện trở xung Ri phụ thuộc vào kích thước và cấu tạo của cực tiếp đất và tính chất của nền chôn cực tiếp đất.
I.5.2 Điện trở xuất của đất là điện trở của một cột đất dài 1 cm2 và có tiết diện 1 cm2. Để có số liệu thiết kế, cần đo điện trở suất của đất lúc khô ráo, khi ước tính ban đầu có thể tham khảo bảng I.2.
Bảng I.2 Điện trở suất của đất, r
|
Loại đất |
Điện trở xuất r, 104 W/cm |
|
|
Giới hạn có thể thay đổi |
Trị số ( khi độ ẩm mặt đất 10 đến 20% |
|
|
1. Cát 2. Đất cát 3. Đất thịt 4. Đất sét 5. Đất đen 6. Nước sông ngòi 7. Nước biển |
4,0 ¸ 7,0 1,5 ¸ 4,0 0,4 ¸ 1 ,5 0,08 ¸ 0,7 0,096 ¸ 5,3 10,0 0,002 ¸ 0,01 |
7,0 3,0 1,0 0,4 2,0 - - |
I.5.3 Để chống sét cho các kho VLNCN thường dùng các loại cực tiếp đất sau:
a) Các ống thép hoặc cọc sắt chôn sâu xuống đất;
b) Các thanh thép dẹt chôn ngay dưới mặt đất;
c) Các tấm thép được chôn thẳng đứng xuống đất (hoặc đính kẹp vào thành gỗ của các tàu thuyền chở VLNCN) .
Các công thức để tính điện trở tiếp đất được nêu ở bảng I.3. Sau khi lắp của tiếp đất phải dùng phương pháp đo trực tiếp để đối chiếu lại với điện trở đã tính toán.
Bảng I.3 - Các công thức để tính toán điện trở tiếp đất
|
Kiểu tiếp đất |
Công thức tính điện trở tiếp đất R~ |
|
1 Kiểu ống hoặc cọc
|
Đối với to ≥ 0,5 m r là điện trở riêng của đất l là chiều dài của ống, tính bằng centimet d là đường kính ống, tính bằng centimet t là khoảng cách từ mặt đất đến điểm giữa ống, tính bằng centimet
|
|
2. Kiểu dẹt
|
với l / 2t ≥ 2,5 m b là chiều rộng của tấm thép, tính bằng centimet; nếu sắt tròn thay b=2d; d là đường kính của sắt tròn, tính bằng centimet
|
|
3. Kiểu tấm
|
|
I.5.4 Điện cực của tiếp đất kiểu ống được dùng loại ống thép có đường kính 38 đến 51 mm hoặc cọc thép có đường kính 40 đến 50 mm, dài 2 đến 3 m. Đóng ống xuống đất sao cho đầu trên ống ngập sâu cách mặt đất 0,5 đến 0,8 m.
Tiếp đất kiểu ống hoặc cọc thường chỉ làm bằng một ống hoặc một cọc. Khi có điện trở xuất nhỏ, ống ở độ sâu 2 đến 3 m (xem hình I.11) .
Nhưng nếu do yêu cầu đặc biệt cao, có thể dùng nhiều ống hoặc cọc. Đầu trên của các ống hoặc cọc này được nối với nhau bằng một thanh thép đủ có tiết diện 40 cm x 40 cm. Khoảng cách giữa các ống không nhỏ hơn hai lần chiều dài ống. Dây dẫn được nối vào ống ở giữa. (Xem hình I.12 và I.13).

Hình I.11 - vật tiếp đất chỉ có một ống

Hình I.12 - Vật tiếp đất có 2 ống

Hình I.13 - Vật tiếp đất gồm 3 ống
I.5.5 Ở những nơi lớp đất bề mặt có điện trở xuất nhỏ hoặc ở đó đóng các điện cực kiểu ống khó khăn, có thể dùng thép dẹt rộng 30 đến 40 mm, dày 4 đến 5 mm, chôn nằm ngang, cách mặt đất 0,5 đến 0,8 m, theo hình tia dạng chữ L hay chữ T (xem hình I.14 và I.15). Cũng có thể bố trí kiểu tiếp đất theo dạng nhiều dải thép hướng tâm, mỗi dải dài 8 đến 10 m.

Hình I.14 - Tiếp đất kiểu dẹt hình tia chữ L

Hình I.15 - Tiếp đất kiểu dẹt hình tia chữ T
I.5.6 Tiếp đất kiểu tấm thường làm bằng những thép tráng kẽm dày 4 đến 5 mm, có kích thước 0,5 m x 2 m.
Các tấm được chôn đứng sâu cách mặt đất 1 đến 1,5 m.
Nếu làm một tấm mà điện trở còn lớn hơn qui định thì phải làm nhiều tấm, chôn trong cùng một mặt phẳng và nối lại với nhau bằng thanh thép dẹt. Dây dẫn hàn vào giữa thanh thép dẹt đó.
Kiểu tiếp đất bằng tôn lá cũng được dùng để bảo vệ chống sét cho các tàu và thuyền có vỏ gỗ dùng để chở VLNCN. Các tấm tôn được gắn với vỏ tầu, thuyền ở mức thấp hơn mớn tải. Số lượng tấm tôn xác định theo điện trở xuất của nước.
I.5.7 Trị số tổng điện trở xung của các tiếp đất gồm nhiều điện cực không phải là tổng đơn giản các điện trở xung của các điện trở riêng rẽ, mà được điều chỉnh bằng hệ số xung sử dụng hi (xem bảng l.4).
Thông thường trị số này có giá trị lớn hơn do ảnh hưởng tương hỗ của các điện cực.
Bảng I.4 - Hệ số sử dụng hi đối với các tiếp đất bằng nhiều ống, bố trí thành hàng và nối với nhau bằng thanh thép
|
a/l |
Số ống, n |
hi |
Công thức tính điện trở xung của tiếp đất |
|
2 |
2 3 5 7 |
0,85 0,80 0,75 0,70 |
a là khoảng cách giữa các ống, tính bằng mét: I là chiều dài ống, tính bằng mét.
R’’i là điện trở xung của một ống tính bằng W R’i là điện trở xung của tất cả các thanh nối ống tính bằng W |
I.5.8 Tính toán điện trở xung của các tiếp đất phức tạp được tiến hành như sau:
I.5.8.1 Theo kết quả đo điện trở xuất của đất ở chỗ đặt các cực tiếp đất. Khi đánh giá phải kể đến trạng thái bề mặt của đất lúc đo (khô hay ướt), đo vào mùa mưa hay mùa khô, kiểu điện cực được dùng để đo. Để tính đến sự thay đổi điện trở xuất của đất do điều kiện kể trên, điện trở xuất tính toán lấy bằng điện trở xuất của đất đo được nhân với hệ số có giá trị trung bình từ 1,3 đến 1,4 (tức là tăng lên 30 đến 40%).
Khi không có số liệu đo đạc, tạm lấy giá trị điện trở xuất của đất trong bảng I.2.
I.5.8.2 Theo công thức ghi ở bảng I.3, xác định điện trở tính toán R~ của các điện cực (các cọc tiếp đất)
I.5.8.3 Đối với mỗi điện cực trong lưới tiếp đất chống sét đánh thẳng chọn trị số của hệ số xung theo bảng I.5. Đối với tất cả các dạng tiếp đất bảo vệ chống tác dụng gián tiếp của sét đều lấy a=1.
Bảng I.5 - Các giá trị gần đúng của hệ số xung của các tiếp đất đơn giản nhất .
|
Kiểu tiếp đất |
Giá trị hệ số xung ứng với điện trở xuất của đất, ôm x cm |
|||
|
104 |
3. 104 |
5.104 |
105 |
|
|
1 .ống dài 2 đến 3 m |
0, 8 |
0 6 |
0,4 |
0 35 |
|
2. Thép dẹt nằm ngang chiều dài 10m chiều dài 20 m chiều dài 30 m |
0,9 1,1 1,4 |
0,7 0,9 1,0 |
0,5 0,7 0,8 |
0,4 0 6 0,7 |
Chú thích: Chiều dài của thanh thép dẹt nêu trong bảng được áp dụng khi dây dẫn nối với giữa thanh thép, chiều dài này lấy bằng 1/2 chiều dài thực tế của thanh thép.
I.5.8.4 Điện trở xung Ri của mỗi điện cực là tích số của điện trở theo dòng điện tần số công nghiệp R~ với hệ số xung a.
Ri = R~ x a
I.5.8.5 Điện trở xung của toàn hệ thống tiếp đất được tính theo công thức nêu ở bảng I.4
I.5.9 Để tiện sử dụng, người ta lập bảng ghi các đặc tính kỹ thuật của các kiểu tiếp đất chủ yếu đã được tính theo các công thức nêu trên (xem bảng l.6). Các kiểu tiếp đất nêu trong bảng không hạn chế về số lượng và hình dáng của các điện cực. Trong các loại đất có điện trở xuất cao đã được nêu trong bảng I.2, số lượng các điện cực có thể phải tăng lên; lúc này phải bố trí chúng thành hàng và tính lại theo qui định tại Điều I.5.8.
Bảng I.6 Đặc tính của các kiểu tiếp đất
|
Hình vẽ |
Kiểu tiếp đất |
Điện trở xuất của đất, (/cm |
|||||||||||
|
0,5x104 |
104 |
5x104 |
105 |
||||||||||
|
Ri |
R~ |
a |
Ri |
R~ |
a |
Ri |
R~ |
a |
Ri |
R~ |
a |
||
|
I.14 |
Tiếp đất kiểu dẹt, dây dẫn nối với đầu thanh thép dài 2m |
21,0 |
22,0 |
0,95 |
35,0 |
44,0 |
0,8 |
88,0 |
220,0 |
0,4 |
154,0 |
440 |
0,35 |
|
I.11 |
Kiểu ống dài 3m Kiểu ống dài 2,5m |
12,9 14,8 |
13,65 15,6 |
0,95 0,95 |
21,8 25,0 |
27,3 31,3 |
0,8 0,8 |
54,6 62,5 |
136,5 156,0 |
0,4 0,4 |
95,5 110,3 |
273 313 |
0,35 0,35 |
|
I.15 |
Tiếp đất kiểu dẹt, dây dẫn nối với thanh thép dài:
5m 6m 8m 10m |
9,0 8,0 6,5 5,55 |
9,5 8,4 6,86 5,85 |
0,95 0,95 0,95 0,95 |
15,2 13,4 11,0 9,3 |
19,0 16,8 13,7 11,7 |
0,8 0,8 0,8 0,8 |
38,0 33,66 27,6 23,4 |
95,0 84,0 68,6 58,5 |
0,4 0,4 0,4 0,4 |
66,5 58,6 48,0 41,0 |
190 168 137 117 |
0,35 0,35 0,35 0,35 |
|
I.12 |
Tiếp đất bằng ống dài 3m nối với nhau bằng thanh thép dài 3m 6m |
5,1 4,0 |
5,8 4,5 |
0,88 0,89 |
9,6 7,9 |
11,6 9,1 |
0,83 0,87 |
25,0 20,0 |
58,0 45,0 |
0,43 0,45 |
42,5 33,6 |
116 91 |
0,37 0,37 |
|
I.13 |
Tiếp đất bằng 3 ống dài nối với nhau bằng thanh thép dài 12m, đầu nằm ở giữa |
2,75 |
2,75 |
1,0 |
5,0 |
5,7 |
0,88 |
12,7 |
27,5 |
0,46 |
21,0 |
55 |
0,38 |
I.5.10 Khi thi công xong hệ thống tiếp đất, phải đo lại điện trở thực tế của hệ thống. Nếu trị số đo cao hơn tính toán thì phải bổ sung thêm các tiếp đất phụ để đạt trị số yêu cầu.
Các phương pháp đo hiện nay chỉ đo được điện trở theo dòng điện tần số công nghiệp mà không đo được điện trở xung. Điện trở đo được R~ của các cực tiếp đất gồm nhiều ống hoặc cọc được nối với nhau bằng thanh thép có tính tới hệ số sử dụng dòng điện tần số công nghiệp có thể được tính theo công thức trong bảng I.7.
Trong thực tế, phương pháp đo điện trở tiếp đất bằng máy đo điện trở là phương pháp thường dùng hơn cả
Bảng 1.7 - Các hệ số sử dụng và công thức tính điện trở R~ của hệ thống cực tiếp đất đối với chế độ ổn định và dòng điện nhỏ
|
a/l |
số ống, n |
Hệ số sử dụng |
Công thức tính điện trở chung của hệ thống tiếp đất |
|
|
đối với ống, h1 |
đối với thanh nối trong hệ thống, h2 |
|||
|
1 |
2 3 5 |
0,85 0,8 0,7 |
0,8 0,8 0,75 |
a là khoảng cách giữa các ống ở cạnh nhau, tính bằng mét l là chiều dài của ống, tính bằng mét Hệ số qui đổi thực tế khi l / d ≥ 20 trong đó: d là đường kính của ống , mét
trong đó R1 là điện trở của một ống, W R2 là điện trở của thanh thép nối hoặc vòng nối, W h1 là hệ số sử dụng đối với ống h2 là hệ số sử dụng đối với thanh nối n là số ống |
|
2 |
10 2 3 5 10 2 3 5 |
0,6 0,9 0,85 0,8 0,75 0,95 0,9 0,85 |
0,6 0,9 0,9 0,85 0,75 0,95 0,9 0,8 |
|
I. 6 Chống sét cho tàu thuyền chở VLNCN
I.6.1 Các tàu thuyền, xà lan chứa VLNCN phải có thu sét cố định đặt trên tàu, phương tiện. Số lượng và chiều cao của thu sét phải bảo vệ được toàn bộ diện tích của boong tàu. Có thể sử dụng bất cứ cầu trục cao nào đặt trên tàu như cột buồm để làm cột giữ đầu thu sét.
Đối với các tàu có thân (vỏ) bằng gỗ thì các cột đỡ giữ đầu thu sét có thể làm bằng gỗ và dùng dây néo giữ cột bằng kim loại thay dây dẫn. Đầu thu sét hàn nối với đầu trên của các dây néo. Đầu dưới của dây néo được hàn nối với dây dẫn của vật tiếp nước (thay tiếp đất). Tiết diện của dây néo bằng 16 đến 25 mm2
Vật tiếp nước bằng tấm sắt tráng kẽm có kích thước 0,5 m x 2 m, dầy 4 đến 5 mm. Các tấm này đặt ở hai phía ngoài thành tàu và thấp hơn mức tải nhỏ nhất của tàu. Dùng hai dây dẫn tiết diện 25 mm2 để nổi vật tiếp nước với đầu thu sét.
I.6.2 Chống sét cho các tàu có vỏ bằng kim loại có thể dùng các cột buồm bằng gỗ hoặc kim loại để làm cột đỡ đầu thu sét. Nếu là cột kim loại thì chân cột hàn chắc chắn vào thân tàu, không cần đặt dây dẫn dọc theo chân cột. Nếu là gỗ thì đầu dưới dây dẫn chỉ cần hàn chắc vào thân tàu không cần làm vật tiếp nước
I.7 Thiết kế, nghiệm thu công trình chống sét kho vật liệu nổ công nghiệp
I.7.1 Trong bản thiết kế chống sét phải nêu được những đặc điểm sau đây của công trình cần bảo vệ:
a) Đặc điểm của nhà kho, vật liệu xây dựng, mái lợp, các kích thước chủ yếu (cao, rộng, dài) ;
b) Các cấu kiện bằng kim loại trong nhà kho, đường ống dẫn, cáp điện, đường dây dẫn trên không dẫn tới các nhà kho;
c) Các tài liệu về đất nền, điện trở xuất của đất và các lớp đất có điện trở xuất nhỏ nhất.
I.7.2 thiết kế kỹ thuật phải có:
a) Bản đồ mặt bằng của kho có ghi tất cả các vật và cấu trúc sát liền với kho;
b) Bản tính toán phạm vi bảo vệ khỏi bị sét đánh có chỉ dẫn và kích thước của tất cả các bộ phận chống sét;
c) Bản tính toán chống tác động gián tiếp của sét, nếu không làm phải ghi rõ lý do
d) Bản vẽ thi công của tất cả các kết cấu;
e) Bản liệt kê thiết bị , vật liệu .
I.7.3 Sau khi thi công xong, hệ thống chống sét phải được nghiệm thu theo tiêu chuẩn mới được đưa vào sử dụng. Việc nghiệm thu này phải đồng thời tiến hành với việc nghiệm thu các công trình của kho.
Khi nghiên cứu phải xem xét các tài liệu sau:
a) Thiết kế kỹ thuật của công trình chống sét đã được duyệt;
b) Toàn bộ các bản vẽ thi công và tình hình thực hiện;
c) Các biên bản nghiệm thu các công trình ở trên cao hoặc che khuất (phần trên của dây dẫn, đầu thu sét, bộ phận tiếp đất) ;
d) Các văn bản tính toán và biên bản đo điện trở của tất cả các cực tiếp đất.
Sau khi xem xét các tài liệu và kiểm tra thực tế. Hội đồng nghiệm thu lập biên bản xác nhận chất lượng của công trình chống sét và nêu tất cả các thiếu sót nếu có, định thời hạn hoàn thành việc sửa chữa thiếu sót đó;
e) Kiểm tra lại và ra quyết định đưa vào sử dụng.
I.8 Kiểm tra công trình chống sét cho kho vật liệu nổ công nghiệp
I.8.1 Có công trình chống sét nhưng bị hư hỏng hoặc các số liệu về điện trở tiếp đất không đạt thì nguy hiểm hơn là không có. Vì vậy phải có kế hoạch định kỳ kiểm tra các công trình chống sét.
I.8.2 Hàng năm, trước mùa mưa bão hoặc khi phát hiện thấy có hư hỏng phải tổ chức kiểm tra công trình chống sét. Thủ kho VLNCN phải kiểm tra bên ngoài công trình chống sét một tháng /lần và ghi vào sổ kiểm tra.
I.8.3 phó giám kỹ thuật của đơn vị ra quyết định thành lập đoàn kiểm tra gồm có:
- Trưởng phòng cơ điện hoặc người phụ trách cơ điện của đơn vị;
- Thủ kho VLNCN;
- Người lãnh đạo công tác nổ mìn.
I.8.4 Nội dung kiểm tra công trình chống sét gồm:
a) Kiểm tra bên ngoài (tình trạng các đầu thu sét, dây dẫn, chỗ hàn, chỗ nối);
b) Đo điện trở của các bộ phận tiếp đất. ghi vào một biên bản riêng (mẫu số 1);
c) Kiểm tra những thay đổi về kết cấu, việc sửa chữa các hư hỏng thiếu sót của kỳ kiểm tra trước đã phát hiện.
I.8.5 Phải xác định sự nguyên vẹn của đầu nhọn hình côn, tình trạng lớp mạ, sự chắc chắn mối nối bộ thu sét với dây dẫn điện sét, độ sạch của mặt tiếp xúc chỗ nối (có bị rỉ không). Nếu đầu thu sét bị hư hỏng, bị cháy, bị rỉ quá 30% tiết diện ngang của nó thì phải thay mới. Các lớp mạ, sơn chống rỉ bị bong, tróc phải được phục hồi. Bề mặt tiếp xúc bị rỉ phải được cạo lau sạch. Mối nốt bu tông bị lỏng phải đưa vặn chặt.
I.8.8 Kiểm tra dây dẫn điện sét không bị uống cong. Nếu dây bị rỉ, có chỗ tiết diện nhỏ hơn 50 mm2 thì phải thay thế.
I.8.7 Nếu cột đỡ bằng gỗ phải kiểm tra độ hư hỏng, mục nát. Nếu mục quá 30% tiết diện cột phải thay cột mới.
I.8.8 Đối với lưới thép chống cảm ứng tĩnh điện phải kiểm tra mức độ toàn vẹn của lưới và các dây dẫn (mối nối, độ han rỉ) nếu tiết diện đoạn nào nhỏ hơn 16 mm2 phải thay thế.
I.8.9 Đối với bộ phận chống cảm ứng điện từ phải kiểm tra sự toàn vẹn, mức độ chắc chắn của mối nối mức độ han rỉ.
I.8.10 Đo điện trở tiếp đất của công trình (chống sét đánh thẳng và chống các tác dụng gián tiếp của sét) từ trị số đo được, xác định trị số điện trở xung của tiếp đất phải đảm bảo nhỏ hơn 10 W, nếu lớn hơn phải có biện pháp xử lý. Đo, tính lại để đảm bảo đạt trị số nêu trên.
I.811 Đo điện trở tiếp đất của công trình chống sét phải dùng máy đo chuyên dùng và theo đúng bản hướng dẫn sử dụng máy.
Mẫu số 1
BẢNG THỐNG KÊ TÌNH TRẠNG CHỐNG SÉT Ở KHO VLNCN
I/ Những số liệu kỹ thuật chủ yếu về tiếp đất
|
Số hiệu nhà kho |
Số của tiếp đất trong sơ đồ |
Ngày lắp tiếp đất |
Kết cấu của tiếp đất bảo vệ Số: |
Tình trạng thời tiết |
Phương pháp đo Máy đo |
Điện trở xuất của đất r,W/cm |
Điện trở, W |
|||
|
Trước lúc đo |
Trong lúc đo |
Tính toán |
Đo được |
Điện trở xung |
||||||
|
1 |
2 |
3 |
4 |
5 |
6 |
7 |
8 |
9 |
10 |
11 |
|
|
|
|
|
|
|
|
|
|
|
|
Người lập các số liệu: ký tên
Người đo : ký tên
II/ Kết quả kiểm tra và đo
|
Số hiệu nhà kho |
Số của tiếp đất |
Ngày đo và kiểm tra |
Kết quả kiểm tra bên ngoài |
Tình trạng thời tiết |
Phương pháp đo Máy đo |
Điện trở, W |
Kết luận về tình trạng của công trình chống sét |
||
|
Trước lúc đo |
Trong lúc đo |
Đo được R~ |
Xung Ri |
||||||
|
1 |
2 |
3 |
4 |
5 |
6 |
7 |
8 |
9 |
10 |
|
|
|
|
|
|
|
|
|
|
|
Người kiểm tra, đo : ký tên
PHỤ LỤC L
(qui định)
QUI ĐỊNH VỀ KIỂM TRA, THỬ VÀ HỦY VẬT LIỆU NỔ CÔNG NGHIỆP
L.1 Qui định chung
Tuỳ theo loại chất nổ và phương tiện nổ phải tuân theo thời gian, nội dung và khối lượng kiểm tra và thử qui định tại TCVN 6174-1997.
L.1.1 Thông thường có các dạng kiểm tra và thử như sau
L.1.1.1 Thuốc nổ chứa Nitroeste lỏng
- Xem bên ngoài bao bì, bên ngoài thỏi thuốc nổ;
- Kiểm tra hiện tượng đổ mồ hôi:
- Thử khả năng truyền nổ.
L.11..2 Thuốc nổ chứa nitrat amôn
- Xem xét bên ngoài bao bì, bên ngoài thỏi thuốc nổ:
- Thử khả năng truyền nổ;
- Xác định độ ẩm.
L.1.1.3 Thuốc nổ den
- Xem xét bên ngoài bao bì và bên ngoài thỏi thuốc nổ
- Kiểm tra độ lẫn bụi, cát,
- Độ bền của các hạt chất nổ.
L.1.1.4 ống nổ và ống nổ điện
- Xem xét bên ngoài bao bì ,
- Xem bên ngoài hộp ống nổ;
- Thử khả năng nổ của ống nổ.
L.1.1. 5 Dây cháy chậm
- Xem xét bên ngoài của bao bì ;
- Xem xét bên ngoài các cuốn dây;
- Thử tốc độ cháy, cháy đều, cháy hoàn toàn;
- Thử độ chịu nước
L.1.1.6 Dây nổ
- Xem xét bên ngoài bao bì ;
- Xem xét bên ngoài cuộn dây;
- Thử nổ theo sơ đồ;
- Thử độ chịu nước.
L.1.2 Việc thử thuốc nổ bằng cách nổ phải tiến hành ở chỗ dành riêng cách nhà kho bảo quản VLNCN không gần hơn 200 m. Trong thời gian thử nổ, những người tham gia thử VLNCN phải ở cách chỗ nổ không gần hơn 50 m.
L.1.3 Kết quả kiểm tra và thử VLNCN phải ghi vào sổ lập theo mẫu số 1 và lập biên bản theo mẫu số 2 của phụ lục này.
L.2 Kiểm tra và thử thuốc nổ
L.2. 1 Kiểm tra bên ngoài hòm
L.2.1.1 Tất cả các hòm VLNCN nhập vào kho dự trữ đều phải kiểm tra bên ngoài hòm còn nguyên vẹn không. Các hòm không nguyên vẹn phải để riêng, lập biên bản về những trường hợp đó.
L. 2.1.2 Các hòm có bao bì hư hỏng, cần kiểm tra các gói, hộp đựng thuốc nổ ở trong hòm có còn nguyên vẹn không. Nếu có nghi ngờ phải kiểm tra số lượng thực tế có trong hòm với khối lượng ghi trên vỏ hòm hoặc ghi trong các tài liệu khác. Khi có sai lệch về khối lượng thì phải lập biên bản và báo cáo công an tỉnh,thành phố biết và có biện pháp truy tìm số thuốc nổ thiếu hụt.
L.2.2 Xem xét bên ngoài bao thuốc nổ
L.2.2.1 Mỗi loại thuốc nổ nhập vào kho phải lấy ra năm hộp (hoặc túi) thuốc nổ ở trong các hòm khác nhau để kiểm tra. tất cả các hòm thuốc nổ trong năm hộp (túi) này đều phải được xem xét bên ngoài.
L.2.2.2 Trên vỏ của mỗi thùng, bao thuốc nổ đều phải có nhãn ghi : tên thuốc nổ, khối lượng, năm tháng sản xuất, số loại sản xuất.
L.2.2.3 Vỏ thỏi thuốc nổ phải nguyên vẹn, không ẩm ướt, các đầu bao phải có chất cách ẩm. Khi cắt vỏ thỏi thuốc nổ thì bề mặt thỏi không tơi vụn.
L.2.2.4 Khi xem các thỏi thuốc nổ có chứa nitrôeste lỏng, phải kiểm tra lượng nitrôeste lỏng có thoát ra ngoài không (đổ mồ hôi) . Phía mặt ngoài và mặt trong của vỏ thỏi thuốc nổ không được có chất lỏng thoát ra. Nếu thấy có chất lỏng thì phải thử bằng cách nhỏ chất lỏng đó vào cốc nước; nếu giọt chất lỏng nay không tan trong nước thì đó là nitrôeste lỏng đã thoát ra. Loại thuốc nổ như vậy phải để riêng và đem hủy ngay.
L.2.3 Thử khả năng truyền nổ của thuốc nổ
L.2.3.1 Lấy 2 thỏi thuốc nổ trong đó có một thỏi có lắp ống nổ đặt trên đất bằng phẳng. Trục của hai thỏi thuốc nổ trùng nhau và cách nhau một đoạn bằng khoảng cách truyền nổ theo tiêu chuẩn qui định cho từng loại thuốc nổ. Trước khi cho nổ mọi người phải rút ra xa cách chỗ nổ tối thiểu 50 m.
L.2.3.2 Sau khi nổ, kiểm tra chỗ đặt thuốc nổ. Nếu thấy có 2 vết lõm có chiều dài lớn hơn thỏi chất nổ thì chất nổ còn truyền nổ tốt.
L.2.3.3 Sau hai lần nổ thử, nếu nổ hoàn toàn thì thuốc nổ được coi là truyền nổ tốt.
L.2.3.4 Nếu trong hai lần thử có một lần thuốc nổ không truyền nổ hoàn toàn thì phải thử lại. Lần này phải thử 3 lần, nếu vẫn không đạt yêu cầu phải lập biên bản báo lên cấp trên để có biện pháp sử dụng thích hợp.
L.2.3.5 Đốí với thuốc nổ chịu nước, trước khi nổ thử khả năng truyền nổ phải nhúng thỏi thuốc nó vào nước. Các thỏi đặt trong giá để đứng trong thùng nước có nhiệt độ của môi trường, chiều cao cột nước là 1 m (tính từ đầu dưới của thỏi thuốc nổ) sau khi ngâm 1 giờ các bao thuốc nổ được đưa thử nổ. khi thử nổ đặt hai đầu bao chất nổ tiếp xúc nhau. Các qui định còn lại thực hiện như đã qui định trên.
L.2.3.6 Trước khi thử khả năng truyền nổ của loại thuốc đã nén chặt, không phải làm tơi thuốc nổ, trừ đầu thỏi thuốc nổ sẽ nạp ống nổ.
L.2.3.7. Việc thử khả năng truyền nổ chỉ thực hiện với các loại thuốc nổ đóng thành thỏi và dạng nén ép Không thực hiện với thuốc nổ rời.
L.2.4 Xác định độ ẩm của thuốc nổ
L.2.4.l. Độ ẩm của thuốc nổ được xác định theo sự khác nhau về khối lượng trước và sau khi sấy. Các loại thuốc nổ ép không phải xác định độ ẩm.
L.2.4.2. Lấy mẫu xác định độ ẩm của lô thuốc nổ như sau: lấy ra 5 bao, mỗi bao lấy 1 thỏi thuốc nổ.
tháo các thỏi thuốc nổ và trộn đều, sau đó lấy 10g thuốc nổ cho vào cốc thủy tinh có nắp nhám.
L.2.4.3. Trong quá trình sấy các ống đựng mẫu phải để hở sấy đến khi khối lượng không đổi. Nếu thuốc nổ là amoni nitrat thì sấy trong tủ sấy bằng điện trong 4 đến 6 giờ ở nhiệt độ 60 đến 700 C.
Sau khi sấy phải đậy cốc bằng nắp (thủy tinh) nhám. Trước khi cân, các cốc có màu thuốc nổ phải để nguội đến nhiệt độ của phòng thí nghiệm.
L.2.4.4 Dùng cân phân tích có độ chính xác đến 0,0002 g để cân.
L.2.4.5 Độ ẩm tính theo công thức

trong đó:
P- là độ ẩm của mẫu, tính bằng phần trăm;
C1- là khối lượng của cốc có mẫu chất nổ trước khi sấy, tính bằng gam;
C2- là khối lượng của cốc có mẫu thuốc nổ sau khi sấy, tính bằng gam;
C3- là khối lượng của mẫu thuốc nổ (không có cốc) trước lúc sấy, tính bằng gam.
L.2.4.6 Tiến hành hai thí nghiêm song song. Độ ẩm của thuốc nổ lấy theo giá trị trung bình của hai thí nghiệm.
L.3. Kiểm tra và thử ống nổ điện
L.3.1 Xem xét bên ngoài
L.3.1.1 Trong loạt ống nổ điện nhập vào kho dự trữ lấy ra mỗi hòm, trong đó lấy ra ít nhất 100 chiếc ở 20 hộp kíp khác nhau để kiểm tra xem xét bên ngoài.
L.3.1.2 Nếu ống nổ điện có vỏ bằng kim loai thì vỏ không được sùi, rỉ, nứt hoặc bẹp. Nếu ống nổ điện có vỏ bằng giấy thì các lớp giấy không được bong hoặc dập nát, chất nổ ở đáy ống nổ không bị hở ra ngoài, cách điện của dây dẫn không bị hư hỏng.
Khi xem xét, không được bóp vào phần chứa chất nổ của kíp ống nổ.
L.3.1.3 Sau khi xem xét số ống nổ lấy làm mẫu, nếu thấy không đạt yêu cầu thì phải kiểm tra phân loại toàn bộ loạt kíp đó, những kíp không đạt yêu cầu phải hủy theo qui định.
L.3.2 Kiểm tra điện trở của ống nổ điện (chỉ làm ở kho tiêu thụ)
L.3.2.1 Khi kiểm tra phải đặt ống nổ điện trong các bộ phận bảo vệ (ống vỏ thép có lót cao su bên trong) nếu ống nổ bị nổ thì không ảnh hưởng đến nhân viên thí nghiệm.
L.3.2.2 Điện trở của ống nổ điện phải phù hợp với điện trở đã ghi trên vỏ hộp. Trường hợp có sai lệch phải phân loại toàn bộ và có biện pháp sử dụng thích hợp.
L.3.3 Thử khả năng gây nổ của ống nổ điện (chỉ làm ở kho tiêu thụ)
Trong số ống nổ điện đã kiểm tra bên ngoài đạt yêu cầu thì lấy ra 10%, nhưng ít nhất phải là 3 cái để thử khả năng gây nổ của ống nổ.
Thứ tự tiến hành như sau:
Lắp ống nổ vào đoạn dây cháy chậm, nhồi vào thỏi thuốc nổ có đường kính 31 mm ± 1 mm. Đặt các thỏi thuốc nổ có ống nổ trên mặt đất bằng phẳng thẳng hàng, cách nhau ít nhất là 1m. số lượng từ 3 thỏi trở lên. Mọi người tránh xa ít nhất 50 m rồi cho nổ. Nếu các thỏi đều nổ hoàn toàn thì loạt ống nổ đó còn tốt. Nếu có trên 2 thỏi câm hoặc nổ không hoàn toàn thị loạt ống nổ đó đã hỏng. Nếu có 1 thỏi không nổ, phải thử lại với số lượng gấp đôi lần đầu (ít nhất là 6 thỏi). Nếu vẫn còn cớ thỏi không nổ thì loạt ống nổ đó phải loại bỏ.
L.4. Kiểm tra và thử ống nổ thường
L.4.1 Xem xét bên ngoài.
L.4.1.1 Trong mỗi loạt ống nổ nhập vào kho, phải lấy ít nhất 2 hòm, mỗi hòm lấy ít nhất 200 ống để xem xét bên ngoài.
L.4..1.2 Vỏ kim loại của ống nổ không được có vết nứt hay thủng, nếu vỏ bằng giấy không được rách, sờn ở chỗ tra dây vào kíp, đáy ống không được hở thuốc nổ. Bề mặt bên trong của ống không được có vết bẩn.
L.4.1.3 Nếu ống có các khuyết tật trên thì phải lập biên bản báo cáo cơ quan cấp trên trực tiếp. Toàn bộ số ống nổ đó phải phân loại. Các ống nổ có khuyết tật phải đem hủy theo qui định.
L.4.2 Thử khả năng gây nổ của ống nổ tiến hành như khi thử khả năng gây nổ của ống điện (Điều L.3.3)
L.5.Kiểm tra và thử dây cháy chậm
L.5.l Xem xét bên ngoài
L.5.1.1.Trong mỗi đợt nhập dây phải lấy ra ít nhất 1 hòm để kiểm tra bên ngoài toàn bộ các dây ở trong hòm đó.
L.5.1.2 Kiểm tra bên ngoài dây cháy chậm nhằm xác định có hay không có các khuyết tật: gãy, nứt ở vỏ đầu dây bị xơ tướp. Khi thấy các khuyết tật trên thì toàn bộ loạt dây này phải được kiểm tra phân loại. Các cuộn dây có khuyết tật phải lập biên bản và hủy theo qui định.
L.5.1.3 Trong số dây đã được xem xét bên ngoài, nếu tốt lấy ra 2 % để đem thử các dạng khác.
L.5.2 Thử độ chịu nước của dây
L.5.2.1 Đem ngâm dây cháy chậm vào trong nước có độ sâu 1m, đầu cuộn dây trước khi ngâm phải bọc chất cách nước hai đầu. Thời gian ngâm theo qui định của nhà chế tạo hoặc theo yêu cầu sử dụng.
Tiến hành đem thử theo qui trình đốt thử.
L.5.3 Thử tốc độ cháy, cháy đều và cháy hoàn toàn
L.5.3.1 Các cuộn dây đã lấy để thử cắt bỏ 5 cm đầu cuộn dây sau đó cắt mỗi cuộn mỗi đoạn dài 60 cm đem đốt để xác định thời gian cháy. Nếu dây cháy chậm bị tắt, dù chỉ một lần hoặc tốc độ cháy nhỏ hơn tốc độ qui định của nơi chế tạo thì dây loại này phải loai bỏ. Nếu dây chịu nước sau khi ngâm nước đem đốt thử mà tắt thì kết luận loạt dây đó là loại không chịu nước, phải đem sử dụng cho nhu cầu khác
L.5.3.2 Số dây còn lại của mỗi cuộn được tháo ra đặt trên mặt đất để đốt. Khi cháy, dây phải cháy đều không phụt lửa qua vỏ dây, vỏ dây không bị cháy, lỗi không bị tắt. Nếu dây bị tắt dù chỉ một lần hoặc có các thiếu sót nêu trên thì phải thử với số lượng gấp đôi. Nếu vẫn không đạt yêu cầu thì phải lập biên bàn báo cáo cấp trên và hủy theo qui định.
L.6 Kiểm tra và thử dây nổ
L.6.1 Xem xét bên ngoài
Trong 1 loạt dây nổ nhập vào kho, lấy ra 1 hòm. Toàn bộ dây trong hòm phải được xem xét bên ngoài xem có các khuyết tật: vỏ dây bị dập, gãy, chỗ dày, chỗ mỏng. Nếu cuộn dây có khuyết tật vượt quá 10% số cuộn dây được xem xét thì loạt dây này bị loại bỏ.
L.6.2 Thử nổ theo sơ đồ qui định
L.6.2.1 Lấy 3 cuộn dây nổ. Mỗi cuộn cắt 5 đoạn, mỗi đoạn dài 1 m. còn lại 45 m được rải ra dùng làm đường dây chính. Nối 5 đoạn dây nổ cách nhau vào đường dây chính theo hướng truyền nổ của dây (đối với loại dây nổ chỉ một hướng truyền nổ); đối với dây nổ truyền nổ theo hai chiều như nhau có thể đấu vuông góc). Sơ đồ đấu dây và cách đấu phải làm như khi nổ mìn bằng dây nổ.
L.6.2.2 Các đoạn dây nổ dùng làm đường dây chính được đầu nối tiếp nhau. Kíp điện hoặc ngòi mìn được đấu vào mỗi đầu của đường dây chính. Từ khoảng cách không nhỏ hơn 50 m, tiến hành khởi nổ số dây nổ này.
L.6.2.3 Khi khởi nổ nếu có hơn 1 trong 3 sơ đồ đường dây chính lớn hơn 2 đoạn trong 5 doan dây nhánh bi câm, thì loạt dây nổ đó phải thải bỏ.
Trường hợp khi khởi nổ có một đường dây hoặc hai đoạn dây nhánh bị câm thì phải thử lại với số lượng gấp hai.
L.6.2.4 Nếu dùng dây nổ trong điều kiện có nước thì chỉ thử nổ sau khi đã ngâm dây nổ trong nước có độ sâu 1 m. Nếu dây nổ dùng trong môi trường ẩm thì thời gian ngâm là 1giờ. Nếu nổ trong nước thì thời gian ngâm là 4 giờ. Để thử loại dây nổ không thấm nước phải cắt một dây nổ dài 5 m, cách ly nước ở 2 đoạn đầu dây; sau khi ngâm nước , đoạn dây này được cắt thành 5 đoạn đều nhau. Sau đó lại đấu nối với nhau thành một đường dây và đem thử nổ, các đoạn dây phải nổ hoàn toàn.
L.6.2.5 Nếu dây nổ không chịu nước thì phải thử theo các qui định tại L.6.2.1 và L.6.2.2, sau đó được sử dụng ở chỗ khô ráo.
L.7 Đối với VLNCN loại mới sản xuất trong nước hay nhập ngoại lần đầu đưa vào bảo quản sử dụng, ngoài các nội dung phải kiểm tra thử và qui định trong phụ lục này còn phải kiểm tra và thử các thông số theo sự giới thiệu của nhà chế tạo.
Mẫu số 1:
SỔ THỐNG KÊ NHỮNG LẦN THỬ VLNCN Ở KHO
1-Thống kê những lần thử thuốc nổ
|
Ngày thử |
Tên thuốc nổ |
Tên nhà máy chế tạo |
Ngày chế tạo |
Ngày nhập kho |
Số liệu của loạt thuốc nổ |
Kết quả thử |
||||
|
Khả năng truyền nổ |
Độ ẩm |
Hiện tượng đổ mồ hôi |
||||||||
|
1 |
2 |
3 |
4 |
5 |
6 |
7 |
8 |
9 |
||
|
|
|
|
|
|
|
|
|
|
||
2 - Thống kê những lần thử ống nổ
|
Ngày thử |
ống nổ điện, ống nổ thường |
Tên nhà máy chế tạo |
Ngày chế tạo |
Số hiệu loạt chế tạo |
Ngày nhập kho |
Kết quả thử |
||
|
Số ống nổ thử |
Số ống nổ nổ |
Số ống nổ không nổ |
||||||
|
1 |
2 |
3 |
4 |
5 |
6 |
7 |
8 |
9 |
|
|
|
|
|
|
|
|
|
|
3-Thống kê thử dây nổ và dây cháy chậm
|
Ngày thử |
Nhãn hiệu dây |
Tên nhà máy chế tạo |
Số hiệu của loạt hàng |
Ngày chế tạo |
Ngày nhập kho |
Kết quả thử |
||||
|
Dây chậm |
Dây nổ |
|||||||||
|
Tốc độ cháy |
Đặc điểm cháy |
Thời gian ngâm trong nước |
Thử nổ |
Thời gian ngâm trong nước |
||||||
|
1 |
2 |
3 |
4 |
5 |
6 |
7 |
8 |
9 |
10 |
1 1 |
|
|
|
|
|
|
|
|
|
|
|
|
Mẫu số 2
BIÊN BẢN THỬ VLNCN
Ở kho: (tên đơn vi)
Chúng tôi gồm:............................ Thủ kho VLNCN
Nhân viên thử nghiệm đã tiến hành kiểm tra thử VLNCN và lập biên bản ngày:
1.Các tài liệu về VLNCN
|
Tên VLNCN |
Tên nhà máy chế tạo |
Số loạt |
Ngày sản xuất |
Ngày nhập kho |
Tbời gian bảo hành |
|
1 |
2 |
3 |
4 |
5 |
6 |
|
|
|
|
|
|
|
2. Kết quả kiểm tra bên ngoài bao bì và bên ngoài VLNCN
3.Xác định lượng chảy nước (đổ mồ hôi) đối với thuốc nổ chứa nitroeste lỏng
4.Thử truyền nổ của các thỏi thuốc nổ
|
Số tt |
Khoảng cách giữa các thỏi thuốc nổ |
Số lẩn thử |
Số lần thuốc nổ đã nổ |
Số lẩn thuốc nổ không nổ |
|
1 |
2 |
3 |
4 |
5 |
5.Xác định độ ẩm của thuốc nổ amoni nitrat
|
Số của loạt hàng |
Độ ẩm cho phép, % |
Độ ẩm xác định % |
|
1 |
2 |
3 |
|
|
|
|
6. Kiểm tra bên ngoài của ống nổ điện
7.Kiểm tra bên ngoài của ống nổ
8.Thử khả năng truyền nổ của ống
|
Số lần thử |
Số hiệu của loại ống nổ |
Số hiệu của nhóm được nổ |
Số lượng ống nổ trong 1 nhóm |
Số ống nổ đã nổ |
Số ống nổ không nổ |
|
1 |
2 |
3 |
4 |
5 |
6 |
|
|
|
|
|
|
|
9. Kiểm tra bên ngoài của dây cháy chậm
10. Thử tốc độ cháy, độ cháy đều và cháy hoàn toàn của dây cháy chậm
|
Số hiệu của loại dây cháy chậm |
Số lượng đoạn dây dài 60 cm |
Thời gian cháy 1 đoạn, giờ |
Đặc điểm cháy (đốt cả cuộn) |
|
1 |
2 |
3 |
4 |
11. Thử độ chịu nước của dây cháy chậm
|
Số của loạt dây cháy chậm |
Độ sâu ngâm vào nước, m |
Thời gian ngâm trong nước, giờ |
Tốc độ cháy, cm/s |
Đặc điểm cháy |
|
1 |
2 |
3 |
4 |
5 |
12. Kết luận về chất lượng VLNCN đã kiểm tra và thử.
|
Thủ kho |
Nhân viên thử |
PHỤ LỤC M
(Qui định)
QUI ĐỊNH VỀ CHẾ ĐỘ BẢO VỆ CÁC KHO VẬT LIỆU NỔ CÔNG NGHIỆP
M.1 Qui định chung
M.1.1 Tất cả các kho VLNCN (kho dự trữ, tiêu thụ) đều phải được bảo vệ nghiêm ngặt, phải tổ chức canh gác suốt ngày đêm.
VLNCN bảo quản trên các phương tiện thủy do các thủy thủ của phương tiện đó bảo vệ và được trang bị vũ khí
M.1 .2 Nội dung của công tác bảo vệ kho VLNCN
a) Kiểm tra việc ra vào kho theo đúng các qui định;
b) Ngăn ngừa và loại trừ kịp thời mọi âm mưu và hành động xâm nhập vào kho để lấy trộm hoặc áp dụng những biện pháp có hiệu quả khi có sự cố xảy ra trong kho.
M.l.3 Chủ đơn vị phải tổ chức lực lượng bảo vệ kho VLNCN, qui định chế độ ra vào kho, trang bị các phương tiện kỹ thuật để bảo vệ (hàng rào, chòi gác, tháp canh, chiếu sáng. thông tin, tín hiệu và các phương tiện PCCC).
M.1.4 Người làm công tác bảo vệ phải có thể lực tốt, được huấn luyện về nghiệp vụ bảo vệ sử dụng thành thạo vũ khí, được huấn luyện những kiến thức cơ bản về VLNCN theo mỗi chương trình qui định.
Biên chế đội bảo vệ kho VLNCN do chủ đơn vị quyết định sau khi đã thỏa thuận với công an cấp tỉnh và thành phố trực thuộc Trung ương.
M.1.5 Có thể dùng chó canh gác để tăng cường bảo vệ kho. Thông thường chó được nhốt hoặc xích trong trạm nhốt cố định. Số lượng trạm gác và số chó canh gác phải được công an tỉnh thành phố thỏa thuận
M.l.6 Việc trang bị, tổ chức lực lượng, phân công trách nhiệm và triển khai tác chiến, qui định về tín hiệu, hiệu lệnh, phối hợp giữa các trạm khi kho bị xâm nhập phải thực hiện theo kế hoạch đã được cơ quan bảo vệ cấp trên phê duyệt. Trách nhiệm của trạm gác bảo vệ kho VLNCN
M.2. Trách nhiệm của trạm gác bảo vệ kho VLNCN
M.2.1 Tại trạm gác, khi giao nhận ca phải kiểm tra tình trạng của phương tiện thông tin liên lạc, hệ thống tín hiệu, trang thiết bị PCCC. Kiểm tra các cửa sổ, cửa ra vào, các nhà kho, các khoá và dấu niêm phong (cặp chỉ) có đối chiếu với mẫu đã đăng ký đảm bảo tất cả còn nguyên vẹn. Khi ban giao phải có mặt của người lãnh đạo trực ca (tổ trưởng hoặc tổ phó) .
M.2.2 Kiểm tra, ghi sổ theo dõi mọi người ra vào kho. Tất cả các loại vũ khí, dụng cụ phát lửa, thiết bị thu phát sóng radio đều phải gửi lại ở trạm canh gác không được mang vào kho.
Kiểm tra các phương tiện ra vào kho và ghi sổ theo dõi, chỉ cho phương tiện vận chuyển vào, ra khỏi kho khi có đầy đủ giấy tờ hợp lệ theo quy định.
M.2.3 Nhiệm vụ của người bảo vệ
a) Không cho bất cứ ai vào kho VLNCN khi họ không có giấy tờ ra vào hợp lệ giấy phải đúng với qui định của đơn vị) ;
b) Phát hiện, ngăn chặn, dập tắt những đám cháy xảy ra trong phạm vi kho và trong vùng đất tiếp giáp với kho
c) Theo dõi để các cửa nhà kho thường xuyên được đóng và khoá (trừ lúc thủ kho đang làm việc phát, nhập hàng). Các khoá, niêm phong các nhà kho không bị hư hỏng, mất dấu
d) Theo dõi những người đã vào kho, nhắc nhở họ tuân theo các qui định nếu họ có những việc làm trái với qui định ;
e) Không cho ai chụp ảnh, đo vẽ địa hình thuộc phạm vi kho và các đường tiếp cận kho nêu họ không có giấy phép hợp lệ;
g) Không cho bất cứ ai mở các cửa nhà kho đã niêm phong khi họ không có giấy phép mở niêm phong kho và không có mặt đội trường đội bảo vệ;
h) Việc sử dụng vũ khí của trạm gác khi kho VLNCN bị đột kích phải theo đúng các qui định pháp luật hiện hành.
M.3 Trang bị vũ khí của bảo vệ
M.3.1 Lực lượng bảo vệ phải được trang bị vũ khí cần thiết đi làm nhiệm vụ. Số súng đạn cấp cho mỗi kho phải căn cứ vào yêu cầu cụ thể của từng kho, có sự thỏa thuận của cơ quan công an.
M.3.2 Vũ khí trong trạm bảo vệ phải được bảo quản trong hòm sắt hoặc tủ gỗ bọc tôn có khoá chắc chắn, chìa khoá do đội trưởng hoặc đội phó giữ. Đội trưởng giao vũ khí cho đột viên khi đầu ca và nhận lại khi cuối ca. Mỗi lần giao nhận phải ghi sổ.
M.3.3 Lãnh đạo đơn vị hoặc người được uỷ quyền phải kiểm tra số lượng và tình trạng vũ khí 3 tháng/lần. Trưởng phòng bảo vệ đơn vị kiểm tra 1 tháng/lần. Sau mỗi lần kiểm tra phải ghi nhận xét vào sổ trực trạm gác.
M.4 Chế độ ra vào kho
M.4.1 Chủ đơn vị ban hành các qui định, trưởng phòng bảo vệ tổ chức phổ biến và thực hiện các qui định sau:
- Qui định thủ tục ra vào kho cho cán bộ công nhân viên và những người liên quan
- Qui định chế độ vận chuyển trong phạm vi kho và chế độ mang VLNCN ra ngoài kho;
- Qui định các trạm kiểm soát để cho người và các phương tiện ra vào kho.
M.4.2 Giấy phép ra vào kho, giấy phép vận chuyển VLNCN ra ngoài kho do giám đốc, phó giám đốc đơn vị ký.
M.5 Kiểm tra việc canh gác bảo vệ kho VLNCN
M.5. l Cán bộ quản lý cấp trên của kho, trưởng và phó kho, các cán bộ của cơ quan công an, cơ quan kiểm tra kỹ thuật an toàn, thanh tra an toàn Nhà nước có quyền kiểm tra việc canh gác và việc thục hiện chế độ ra vào kho. Khi kiểm tra phải có mặt đội trưởng hay đội phó bảo vệ kho.
M.5.2 Sau khiểm tra phải ghi kết quả kiểm tra vào sổ nhận xét của trạm bảo vệ thông báo cho lãnh đạo đội bảo vệ biết để khắc phục ngay những thiếu sót.
M. 5.3 Giám đốc hoặc phó giám đốc đơn vị mỗi tháng kiểm tra một lần. Trưởng phòng bảo vệ đơn vị không dưới hai lần/một tuần. Đội trưởng, đội phó bảo vệ kiểm tra các trạm gác 4 đến 5 lần trong mỗi phiên trực.PHỤ LỤC N
(qui định)
MẪU SỔ ĐĂNG KÝ
SỔ ĐĂNG KÝ CÁC PHÁT MÌN CÂM VÀ THỜI GIAN XỬ LÝ
|
Số TT |
Ngày tháng năm |
Ca |
Tên chỗ nổ mìn |
Số phát đã nạp |
Số phát đã nổ |
Số phát bị câm |
Chữ ký của thợ mìn đã nạp và nổ |
Chữ ký của thợ mìn ca sau đã nhận bàn giao |
Số phát mìn câm đã được thủ tiêu |
Ngày thủ tiêu mìn câm |
Ca thủ tiêu mìn câm |
Chữ ký của người thủ tiêu mìn câm |
Chữ ký của cán bộ trực ca cho phép tiếp tục công việc |
|
1 |
2 |
3 |
4 |
5 |
6 |
7 |
8 |
9 |
10 |
11 |
12 |
13 |
14 |
|
|
|
|
|
|
|
|
|
|
|
|
|
|
|
Chú thích - Từ cột 1 đến cột 8 do người thợ mìn ghi ngay trong ca xảy ra trường hợp bị mìn câm
Từ cột 10 đến cột 13 do người thợ mìn đã thủ tiêu mìn câm ghi
PHỤ LỤC O
TÀI LIỆU THAM KHẢO
|
STT |
TÀI LIỆU THAM KHẢO |
VỊ TRÍ ÁP DỤNG |
MỤC ĐÍCH, NÔI DUNG ÁP DỤNG |
|---|---|---|---|
|
Văn bản pháp quy |
|||
|
1 |
Nghị định 59/2006/NĐ-CP của Chính phủ quy định chi tiết luật thương mại về hàng hóa, dịch vụ cấm kinh doanh, hạn chế kinh doanh và kinh doanh có điều kiện |
Chương I Quy định chung |
Căn cứ pháp lý cho hoạt động của cơ quan có thẩm quyền |
|
2 |
Nghị định 64/2005/NĐ-CP quy định về xử phạt vi phạm hành chính trong lĩnh vực quản lý vật liệu nổ công nghiệp |
nt |
nt |
|
3 |
Nghị định 35/2003/NĐ-CP của Chính phủ quy định chi tiết thi hành một số điều của Luật PCCC |
nt |
nt |
|
4 |
Nghị định 08/2001/NĐ-CP quy định về điều kiện an ninh, trật tự đối với một số ngành, nghề kinh doanh có điều kiện |
nt |
nt |
|
5 |
Nghị định 47/CP của Chính phủ về quản lý vũ khí, vật liệu nổ và công cụ hỗ trợ |
nt |
nt |
|
6 |
Nghị định 27/CP của Chính phủ về quản lý, sản xuất, cung ứng và sử dụng vật liệu nổ công nghiệp |
nt |
nt |
|
7 |
Quyết định 50/2006/QĐ-TTg của Thủ tướng Chính phủ về việc ban hành danh mục sản phẩm, hàng hóa phải kiểm tra về chất lượng |
nt |
nt |
|
8 |
Thông tư 04/2006/TT-BCN sửa đổi, bổ sung một số điều của Thông tư số 02/2005/TT-BCN, ngày 29 tháng 3 năm 2005 của Bộ Công nghiệp hướng dẫn quản lý, sản xuất, kinh doanh cung ứng và sử dụng vật liệu nổ công nghiệp |
nt |
nt |
|
9 |
Thông tư 02/2005/TT-BCN hướng dẫn quản lý, sản xuất, kinh doanh cung ứng và sử dụng vật liệu nổ công nghiệp |
nt |
nt |
|
Văn bản pháp quy kỹ thuật |
|||
|
10 |
TCVN 6174:1997 Vật liệu nổ công nghiệp. Yêu cầu an toàn về sản xuất, nghiệm thu và thử nổ |
nt |
Đánh giá sự phù hợp |
|
11 |
TCVN 6421:1998 Vật liệu nổ công nghiệp. Xác định khả năng sinh công bằng cách đo sức nén trụ chì |
nt |
nt |
|
12 |
TCVN 6422:1998 Vật liệu nổ công nghiệp. Xác định tốc độ nổ |
nt |
nt |
|
13 |
TCVN 6423:1998 Vật liệu nổ công nghiệp. Xác định khả năng sinh công bằng bom chì (phương pháp Trauzel) |
nt |
nt |
|
14 |
TCVN 6424:1998 Vật liệu nổ công nghiệp. Xác định khả năng sinh công bằng co lắc xạ thuật |
nt |
nt |
|
15 |
TCVN 6425:1998 Vật liệu nổ công nghiệp. Xác định khoảng cách truyền nổ |
nt |
nt |
|
16 |
TCVN 6570:1999 Thuốc nổ an toàn dùng trong hầm lò có khí metan. Phương pháp thử khả năng nổ an toàn |
nt |
nt |
|
17 |
TCVN 6399: 1998 Âm học- Mô tả và đo tiếng ồn môi trường – Cách lấy các dữ liệu thích hợp để sử dụng vùng đất |
nt |
nt |
|
18 |
TCVN 5500-91 Âm học. Tín hiệu âm thanh sơ tán khẩn cấp |
Mục 5, Chương II Quy định về giám sát các ảnh hưởng nổ mìn |
Quy định về các mức, chỉ tiêu chất lượng tiếng ồn, rung động và phương pháp đo làm căn cứ cho công tác giám sát ảnh hưởng nổ mìn |
|
19 |
TCVN 5949:1998 Âm học. Tiếng ồn khu vực công cộng và dân cư. Mức ồn tối đa cho phép |
nt |
nt |
|
20 |
TCVN 5965 – 1995 Âm học- Mô tả và đo tiếng ồn môi trường - Áp dụng các giới hạn tiếng ồn |
nt |
nt |
|
21 |
TCVN 5964: 1995 Âm học - Mô tả và đo tiếng ồn môi trường - Các đại lượng và phương pháp đo chính |
nt |
nt |
|
23 |
TCVN 7191:2002 Rung động và chấn động cơ học- Rung động đối với các công trình xây dựng- Hướng dẫn đo rung đ và đánh giá ảnh hưởng của chúng đến các công trình xây dựng |
nt |
nt |
|
24 |
TCVN 7210:2002 Rung động và va chạm - Rung động do phương tiện giao thông đường bộ - Giới hạn đối với khu dân cư. |
nt |
nt |
|
25 |
TCVN 6962:2001 Rung động và chấn động - Rung động do các hoạt động xây dựng và sản xuất công nghiệp - Mức tối đa cho phép đối với môi trường khu công cộng và khu dân cư |
nt |
Nt |
|
Tài liệu nước ngoài |
|||
|
26 |
The Globally Harmonized System of Classification and Labelling of Chemicals - Hệ thống hài hòa toàn cầu về phân loại và dán nhãn hóa chất của Liên hiệp Quốc |
Phụ lục A – Phân loại VLNCN |
Các nguyên tắc chung về hài hòa các quy định của quốc gia, khu vực trong phân loại, dán nhãn hóa chất |
|
27 |
United Nations Recommendations on the Transport of Dangerous Goods - Khuyến nghị của Liên hiệp quốc về vận chuyển hàng nguy hiểm |
Bảng A1, A2, A5 Phụ lục A – Phân loại VLNCN |
Quy định Phân loại VLNCN, nhóm VLNCN tương thích có thể vận chuyển bảo quản chung và mã phân loại cho các loại VLNCN thông dụng |
|
28 |
Dangerous Goods (Explosives) Regulations 2000 - Version No. 004 – Quy chuẩn hàng hóa nguy hiểm (thuốc nổ) 2000 của Australia |
Bảng A4 Phụ lục A – Phân loại VLNCN |
Nguyên tắc chọn nhóm VLNCN làm căn cứ để áp dụng các quy định an toàn trong việc vận chuyển, bảo quản chung |
|
29 |
БЕЗОПАСНОСТЬ ПРИ ВЗРЫВНЫХ РАБОТАХ - Cборник документов - 2-е издание, исправленное и дополненное 2002 – Quy phạm an toàn trong công tác nổ mìn của Liên bang Nga |
Bảng A3, Phụ lục A – Phân loại VLNCN |
Phân loại theo mục đích, điều kiện sử dụng (tham khảo) |
|
30 |
NFPA 495 - Explosive Materials Code Edition 2006 – Quy phạm vật liệu nổ của USA |
- Mục 5, Chương II Quy định về giám sát các ảnh hưởng nổ mìn - Bảng A1, A2, A5 Phụ lục A – Phân loại VLNCN - Phụ lục C - Điều kiện, chương trình huấn luyện những người tiếp xúc với VLNCN - Khoản 3, Điều 19 – Quy định an toàn khi áp dụng các phương pháp nổ mìn khác nhau - Thiết kế kho lưu động….H.2 Phụ lục H |
- nt - Phân loại thợ nổ mìn theo từng lĩnh vực sử dụng. - Quy định mức lớn nhất của dòng điện dò trong mạng nổ mìn điện. - Quy định kết cấu của kho VLNCN lưu động cỡ nhỏ. - Khoảng cách an toàn, phương pháp bảo quản vận chuyển, |
|
31 |
Safety Guide for the Prevention of Radio Frequency Radiation Hazards in the Use of Commercial Electric Detonators July 2001- Institute of Makers of Explosives - Hướng dẫn an toàn về biện pháp ngăn ngừa nguy hiểm của bức xạ điện từ tần số Radio trong sử dụng kíp nổ điện 2001 của Viện chế tạo thuốc nổ - USA |
Phụ lục B, Khoảng cách an toàn đối với các nguồn thu phát sóng điện từ tần số radio khi bảo quản, vận chuyển và sử dụng kíp điện. |
Quy định về khoảng cách an toàn cần thiết khi bảo quản, vận chuyển và sử dụng kíp |
|
32 |
Code of Federal Regulations – Title 49 Subchapter C - Hazardous materials regulations – Quy chuẩn Liên bang Mỹ - Số 49 Mục C Quy chuẩn vật liệu nguy hiểm. |
Phụ lục K, Qui định về vận chuyển chung thuốc nổ và kíp nổ trên cùng xe ô tô vận tải |
Quy định nguyên tắc bao gói kíp nổ khi vận chuyển chung với VLNCN |
|
33 |
Recommendations for the Safe Transportation of Detonators in the Same Vehicle with Certain Other Explosive Materials (February 2007) -Institute of Makers of Explosives - Khuyến nghị về vận chuyển an toàn kíp nổ với thuốc nổ trên cùng xe ô tô - bản 2007 - Viện chế tạo thuốc nổ USA |
Phụ lục K, Qui định về vận chuyển chung thuốc nổ và kíp nổ trên cùng xe ô tô vận tải |
Quy định về bao gói, loại kíp, thuốc nổ có thể vận chuyển chung trên cùng xe ô tô và cách xếp, kết cấu, vật liệu thùng chứa kíp, khoang chứa kíp trên xe ô tô. |
|
34 |
Code of Federal Regulations – Title 30 Mineral Resources – Part 15 - Subpart B--Requirements for Approval of Explosives – Quy phạm Liên bang Mỹ |
Điểm d, khoản 6 Điều 4 |
Quy định yêu cầu an toàn về khí độc khi sử dụng VLNCN ở các mỏ hầm lò |
|
35 |
Title 30 - Mineral Resources the Interior, Part 816 - Permanent program performance standards - Surface mining activities – Quy phạm Liên bang Mỹ |
- Mục 5, Chương II Quy định về giám sát các ảnh hưởng nổ mìn |
|
|
36 |
Recommended Practice for Oilfield Explosives Safety-American Petroleum Institute - RECOMMENDED PRACTICE 67 SECOND EDITION, MAY 2007 |
Điều 23, Nổ mìn trong giếng khoan dầu khí |
Quy định yêu cầu an toàn khi nổ mìn trong giếng khoan dầu khí |
13. Khi khởi nổ các phát mìn bằng dây nổ thì đầu cuối sợi dây nổ đưa vào thỏi thuốc nổ phải được nút hoặc gấp lại ít nhất hai lần. Nếu vỏ của thỏi thuốc nổ làm bằng giấy hoặc vải thì được phép dùng dây nổ cuốn thành mỗi vòng xung quanh thỏi thuốc nổ để đảm bảo kích nổ tốt.
13. Khi khởi nổ các phát mìn bằng dây nổ thì đầu cuối sợi dây nổ đưa vào thỏi thuốc nổ phải được nút hoặc gấp lại ít nhất hai lần. Nếu vỏ của thỏi thuốc nổ làm bằng giấy hoặc vải thì được phép dùng dây nổ cuốn thành mỗi vòng xung quanh thỏi thuốc nổ để đảm bảo kích nổ tốt.
Bạn chưa Đăng nhập thành viên.
Đây là tiện ích dành cho tài khoản thành viên. Vui lòng Đăng nhập để xem chi tiết. Nếu chưa có tài khoản, vui lòng Đăng ký tại đây!
Bạn chưa Đăng nhập thành viên.
Đây là tiện ích dành cho tài khoản thành viên. Vui lòng Đăng nhập để xem chi tiết. Nếu chưa có tài khoản, vui lòng Đăng ký tại đây!



















