- Tổng quan
- Nội dung
- Tiêu chuẩn liên quan
- Lược đồ
- Tải về
Tiêu chuẩn XDVN TCXD 171:1989 Bê tông nặng - Phương pháp không phá hoại để xác định cường độ nén
| Số hiệu: | TCXD 171:1989 | Loại văn bản: | Tiêu chuẩn XDVN |
| Cơ quan ban hành: | Đang cập nhật | Lĩnh vực: | Xây dựng |
| Trích yếu: | Bê tông nặng - Phương pháp không phá hoại sử dụng kết hợp máy đo siêu âm và súng bật nẩy để xác định cường độ nén | ||
|
Ngày ban hành:
Ngày ban hành là ngày, tháng, năm văn bản được thông qua hoặc ký ban hành.
|
1989 |
Hiệu lực:
|
Đang cập nhật |
| Người ký: | Đang cập nhật |
Tình trạng hiệu lực:
Cho biết trạng thái hiệu lực của văn bản đang tra cứu: Chưa áp dụng, Còn hiệu lực, Hết hiệu lực, Hết hiệu lực 1 phần; Đã sửa đổi, Đính chính hay Không còn phù hợp,...
|
Đã biết
|
TÓM TẮT TIÊU CHUẨN XDVN TCXD 171:1989
Nội dung tóm tắt đang được cập nhật, Quý khách vui lòng quay lại sau!
Tải tiêu chuẩn Việt Nam TCXD 171:1989
TIÊU CHUẨN XÂY DỰNG
TCXD 171:1989
BÊ TÔNG NẶNG - PHƯƠNG PHÁP KHÔNG PHÁ HOẠI SỬ DỤNG KẾT HỢP MÁY ĐO SIÊU ÂM VÀ SÚNG BẬT NẨY ĐỂ XÁC ĐỊNH CƯỜNG ĐỘ NÉN
Heavy concrete - Non_destructive testing by using combination of ultrasonic equipment and hammer gun for determination of compressive strength
Tiêu chuẩn này hướng dẫn xác định cường độ nén của bê tông bằng phương pháp sử dụng kết hợp máy đo siêu âm và súng thử bê tông loại bật nẩy.
Tiêu chuẩn này áp dụng cho các loại cấu kiện, kết cấu bê tông của công trình xây dựng dân dụng và công nghiệp trong trường hợp:
- Không xây dựng được biểu đồ chuẩn dùng để xác định cường độ nén của bê tông bằng phương pháp không phá hoại.
- Không có mẫu khoan lấy từ các loại cấu kiện, kết cấu xây dựng để xác định cường độ bê tông.
1 Quy định chung
1.1. Phương pháp xác định cường độ nén của tiêu chuẩn này dựa trên mối tương quan giữa cường độ nén của bê tông (R) với hai số đo đặc trưng của phương pháp không phá hoại là vận tốc xuyên (v) của siêu âm và độ cứng bề mặt của bê tông qua trị số (n) đo được trên súng thử bê tông loại bật nẩy (quan hệ R-v, n). Ngoài ra, còn sử dụng những số liệu kĩ thuật có liên quan đến thành phần bê tông.
1.2. Cường độ nén của bê tông được xác định bằng biểu đồ hoặc bảng ra thông qua vận tốc siêu âm và trị số bật nẩy đo được trên bê tông cần thử. Giá trị này bằng cường độ nén của một loại bê tông quy ước gọi là bê tông tiêu chuẩn dùng để xây dựng biểu đồ 1, bảng 7. Một số thành phần đặc trưng của bê tông tiêu chuẩn được quy định như sau:
- Xi măng poóc lăng PC30
- Hàm lượng xi măng 350 kg/m³
- Cốt liệu lớn: Đá dăm với Dmax = 40mm
- Cốt liệu nhỏ: Cát vàng có Mn từ 2,0 đến 3,0
1.3. Nếu bê tông cần thử có thành phần khác với bê tông tiêu chuẩn thì cường độ nén của bê tông được hiệu chỉnh bằng các hệ số ảnh hưởng.
1.4. Để xác định được cường độ nén của bê tông cần thử, phải có những số liệu kĩ thuật liên quan đến thành phần bê tông thử loại xi măng, hàm lượng xi măng sử dụng cho 1m3 bê tông, loại cốt liệu lớn và đường kính lớn nhất của nó (Dmax).
1.5. Trong trường hợp có mẫu lưu, cần sử dụng kết hợp mẫu lưu để xác định cường độ nén của bê tông. Số mẫu lưu sử dụng không ít hơn 6 mẫu.
1.6. Khi không có đầy đủ những số liệu kĩ thuật liên quan đến thành phần bê tông cần thử thì kết quả thu được chỉ mang tính chất định tính.
1.7. Không sử dụng phương pháp này để xác định cường độ nén của bê tông trong những trường hợp sau:
- Bê tông có mác nhỏ hơn 100 và lớn 350;
- Bê tông sử dụng các loại cốt liệu có đường kính lớn hơn 70mm;
- Bê tông bị nứt, rỗ hoặc có các khuyết tật;
- Bê tông bị phân tầng hoặc là hỗn hợp của nhiều loại bê tông khác nhau;
- Bê tông có chiều dày theo phương thí nghiệm nhỏ hơn 100mm.
2 Thiết bị và phương pháp đo
2.1. Thiết bị sử dụng để xác định vận tốc siêu âm.
2.1.1. Để xác định vận tốc siêu âm, cần tiến hành đo hai đại lượng khoảng cách truyền xung siêu âm và thời gian truyền xung siêu âm
2.1.2. Vận tốc siêu âm (v) được xác định theo công thức:
![]()
Trong đó:
l - Khoảng cách truyền xung siêu âm hay là khoảng cách giữa hai đầu thu và phát của máy (mm);
t - Thời gian truyền của xung siêu âm ( Ps )
2.1.2.1. Đo thời gian truyền xung siêu âm bằng các máy đo siêu âm. Sai số đo không vượt quá giá trị ' tính theo công thức:
![]()
Trong đó: t - Thời gian truyền của xung siêu âm.
2.1.2.2. Đo thời gian truyền xung siêu âm bằng các dụng cụ đo chiều dài. Sai số đo không vượt quá 0,5% độ dài cần đo.
2.1.3. Những máy đo siêu âm sử dụng để xác định vận tốc siêu âm là những thiết bị chuyên dùng được quy định trong tiêu chuẩn TCXD 84: 14. Máy đo siêu âm phải được kiểm tra trước khi sử dụng bằng một hệ thống mẫu chuẩn. Những nguyên tắc về sử dụng, bảo dưỡng, kiểm tra và hiệu chỉnh máy phải tuân theo tiêu chuẩn TCXD 84 : 14.
2.2. Thiết bị sử dụng để xác định độ cứng bề mặt của bê tông.
2.2.1. Thiết bị sử dụng để xác định độ cứng bề mặt của bê tông là súng thử bê tông loại bật nẩy thông dụng (N) với năng lượng va đập từ 0,225 + 3KGm.
2.2.2. Súng phải được kiểm tra trên đo chuẩn trước khi sử dụng và phải đảm bảo được những tính năng đã ghi trong catalô của máy. Những nguyên tắc về sử dụng, bảo quản, kiểm tra và hiệu chỉnh súng phải tuân theo tiêu chuẩn TCXD 03: 1985.
2.3. Phương pháp đo
2.3.1. Bề mặt bê tông cần thử phải phẳng, nhẵn, không ướt, không có khuyết tật, nứt, rỗ.
Nếu trên bề mặt bê tông có lớp vữa trát hoặc lớp trang trí thì trước khi đo phải được đập bỏ và mài phẳng vùng sẽ kiểm tra.
2.3.2. Vùng kiểm tra trên bề mặt bê tông phải có diện tích không nhỏ hơn 400cm².
Trong mỗi vùng, tiến hành do ít nhất 4 điểm siêu âm và 10 điểm bằng súng, theo thứ tự do siêu âm trước, đo bằng súng sau. Nên tránh đo theo phương đổ bê tông.
2.3.3. Công tác chuẩn bị và tiến hành đo siêu âm phải tuân theo tiêu chuẩn TCXD 84: 14. Vận tốc siêu âm của một vùng (
) là giá trị trung bình của vận tốc siêu âm tại các điểm đo trong vùng đó (Vi). Thời gian truyền của xung siêu âm tại một điểm đo trong vùng so với giá trị trung bình không được vượt quá ± 5%. Những điểm đo không thoả mãn điều kiện này phải loại bỏ trước khi tính vận tốc siêu âm trung bình của vùng thử.
2.3.4. Công tác chuẩn bị và tiến hành đo bằng súng thử bê tông loại bật nẩy phải tuân theo tiêu chuẩn TCXD 03: 1985. Khi thí nghiệm, trục súng phải nằm theo phương ngang (góc a =0°) và vuông góc với bề mặt của cấu kiện. Nếu phương của súng tạo với phương ngang một góc a thì trị số bật nẩy đo được trên súng phải hiệu chỉnh theo công thức.
n = n1 Δn (3)
Trong đó:
n - Trị số bật nẩy của điểm kiểm tra;
n1 - Trị số bật nẩy đo được trên súng;
Δn - Hệ số hiệu chỉnh phụ thuộc vào góc a và lấy theo catalô của súng (kí hiệu của góc a lấy theo biểu đồ dán trên súng) hoặc lấy theo bảng 1.
Hệ số hiệu chỉnh trị số bật nẩy.
Bảng 1
| Trị số bật nẩy đo được trên súng (n1) | Δ n | |||
| a = + 90° | a = + 45° | a = 45° | a = - 90° | |
| 10 20 30 40 | - - 5,5 - 5,5 - 4,0 | - - 3,5 - 3,0 - 2,5 | + 2,5 + 2,5 + 2,0 + 2,0 | + 3,5 + 3,5 + 3,5 + 3,5 |
Trị số bật nẩy của một vùng kiểm tra (
) là giá trị trung bình của các điểm đo trong vùng (ni) sau khi đã loại bỏ những điểm có giá trị chênh lệch quá 4 vạch so với giá trị trung bình của tất cả các điểm đo trong vùng thí nghiệm.
2.3.5. Kết quả đo bằng máy siêu âm và súng được ghi theo bảng 2.
Số liệu đo được bằng máy siêu âm và súng bật nẩy.
Bảng 2
| Kí hiệu cấu kiện kiểm tra | Thứ tự vùng kiểm tra | Đo bằng máy đo siêu âm | Đo bằng súng |
| ||||
| li | ti | vi |
| ni |
| |||
|
|
|
|
|
|
|
|
|
|
3 Xác định cường độ bê tông của cấu kiện và kết cấu xây dựng
3.1. Xác định cường độ bê tông của cấu kiện và kết cấu xây dựng được tiến hành theo 5 bước sau đây:
3.1.1. Xem xét bề mặt của cấu kiện, kết cấu để phát hiện các khuyết tật (nứt, rỗ, trơ cốt thép) của bê tông.
3.1.2. Xác định những số liệu kĩ thuật có liên quan đến thành phần bê tông dùng để chế tạo cấu kiện, kết cấu xây dựng: Loại xi măng, hàm lượng xi măng (kg/m³), loại cốt liệu lớn và đường kính lớn nhất của cốt liệu (Dmax).
3.1.3. Lập phương án thí nghiệm, chọn số lượng cấu kiện, kết cấu cần kiểm tra và số vùng kiểm tra trên cấu kiện và kết cấu đó theo tiêu chuẩn TCXD 03: 1985
3.1.4. Chuẩn bị và tiến hành đo bằng máy đo siêu âm và súng bật nẩy theo chỉ dẫn ở chương 2.
3.1.5. Tính toán cường độ bê tông từ các số liệu đo.
3.2. Cường độ nén của cấu kiện, kết cấu bê tông (R) là giá trị trung bình của cường độ bê tông ở các vùng kiểm tra.

Trong đó:
k - Số vùng kiểm tra trên cấu kiện, kết cấu;
Ri - Cường độ nén của vùng kiểm tra thứ i;
Ri - Được xác định theo công thức:
Ri = C0. R0 (daN/cm²) (5)
R0 - Cường độ nén của vùng kiểm tra thứ i được xác định bằng biểu đồ 1 hoặc tra bảng 7 tương ứng với vận tốc siêu âm
trị số bật nẩy
đo được trong vùng đó;
C0 - Hệ số ảnh hưởng dùng để xét đến sự khác nhau giữa thành phần của bê tông vùng thử và bê tông tiêu chuẩn.
C0 được xác định theo công thức:
C0 = C1. C2. C3. C4 (6)
Trong đó:
C1 - Hệ số ảnh hưởng của mác xi măng sử dụng để chế tạo cấu kiện kết cấu xây dựng, lấy theo bảng 3;
C2 - Hệ số ảnh hưởng của hàm lượng xi măng sử dụng cho 1m³ bê tông, lấy theo bảng 4;
C3 - Hệ số ảnh hưởng của loại cốt liệu lớn sử dụng để chế tạo cấu kiện, kết cấu, lấy theo bảng 5.
C4 - Hệ số ảnh hưởng của đường kính lớn nhất của cốt liệu sử dụng để chế tạo cấu kiện, kết cấu xây dựng, lấy theo bảng 6.
Bảng 3 - Hệ số ảnh hưởng của loại xi măng C1
| Mác xi măng | C1 |
| P300 P400 | 1,00 1,04 |
Chú thích:
Những đơn vị có đầy đủ điều kiện và thiết bị thí nghiệm nến sử dụng loại xi măng khác, có thể tự xác định được hệ số C1 bằng thực nghiệm.
Bảng 4 - Hệ số ảnh hưởng của hàm lượng xi măng C2
| Hàm lượng xi măng (kg/m³) | C2 |
| 250 300 350 400 450 | 0,88 0,94 1,0 1,06 1,12 |
Bảng 5 - Hệ số ảnh hưởng của loại cốt liệu lớn C3
| Loại cốt liệu lớn | C3 | |
| v ≤ 4400 (m/s) | v > 4400 (m/s) | |
| Đá dăm Sỏi | 1,00 1,41 | 1,00 1,38 |
Chú thích:
Những đơn vị có đầy đủ điều kiện và thiết bị thí nghiệm nến sử dụng loại cốt liệu lớn khác có thể tự xác định được hệ số C4 bằng thực nghiệm.
Bảng 6 - Hệ số ảnh hưởng của đường kính lớn nhất của cốt liệu
| Đường kính lớn nhất của cốt liệu (mm) | C4 |
| 20 40 70 | 1,03 1,00 0,98 |


3.3. Khi không xác định được các hệ số ảnh hưởng, hệ số ảnh hưởng chung C0 lấy bằng 1 và kết quả thí nghiệm thu được chỉ mang tính chất định tính.
3.4. Trong trường hợp số mẫu lưu, để nâng cao độ chính xác của phương pháp, cần kiểm tra hệ số ảnh hưởng chung C0 theo trình tự sau:
3.4.1. Xác định hệ số ảnh hưởng chung theo công thức (6).
3.4.2. Tiến hành đo bằng siêu âm và súng trên mẫu cần lưu để xác định cường độ nén trung bình (
) của các mẫu lưu theo biểu đồ 1 hoặc bảng 7.
3.4.3. Thí nghiệm nén phá hoại các mẫu lưu trên máy nén để xác định cường độ nén trung bình (
) của các mẫu lưu.
3.4.4. Tính hệ số ảnh hưởng thực nghiệm Ct theo công thức:

3.4.5. So sánh Ct và C0 để chọn hệ số ảnh hưởng chung:
- Nếu:

Hệ số ảnh hưởng chung lấy bằng C0, Ct hoặc giá trị trung bình của C0 và Ct:
- Nếu:

Hệ số ảnh hưởng chung lấy bằng giá trị trung bình của C0 và Ct:
- Nếu:

Cần xem xét lại toàn bộ quá trình thí nghiệm và các hệ số ảnh hưởng. Nếu kết quả vẫn không thay đổi, cần loại bỏ hệ số Co và lấy hệ số ảnh hưởng chung bằng Ct.
3.5. Trong trường hợp không xác định được các hệ số ảnh hưởng nhưng có các mẫu lưu thì có thể lấy hệ số ảnh hưởng chung bằng Ct tính theo công thức 6.
3.6. Xác định độ đồng nhất, cường độ yêu cầu của cấu kiện kết cấu và công tác nghiệm thu chất lượng sản phẩm thực hiện theo tiêu chuẩn TCXD 03: 1985.
Phụ lục
Thí dụ về cách xác định cường độ nén của bê tông
Thí dụ 1:
- Xác định cường độ nén của một cấu kiện bê tông bằng phương pháp sử dụng kết hợp máy đo siêu âm và súng bật nẩy, khi biết thành phần đặc trưng của bê tông gồm: Xi măng poóc lăng P300. Hàm lượng xi măng 260kg/m3, cốt liệu lớn là đá dăm với Dmax = 40mm. Kết quả đo bằng máy đo siêu âm và súng bật nẩy trên cấu kiện ghi ở bảng 8.
Bảng 8 - Kết quả đo bằng máy đo siêu âm và súng bật nẩy trên cấu kiện
| Vùng kiểm tra | Vận tốc siêu âm trung bình | Trị số bật nẩy trung bình | Cường độ nén của vùng kiểm tra Ro (daN/cm²) |
| 1 | 2 | 3 | 4 |
| 1 2 3 4 5 6 7 8 9 10 11 12 | 3600 3566 3650 3620 3580 3598 3660 3610 3680 3546 3590 3625 | 23,0 23,1 22,5 23,5 23,2 23,0 24,0 23,8 23,0 22,7 22,9 23,4 | 108 104 113 114 108 107 124 117 120 100 106 115 |
Xác định cường độ nén của cấu kiện:
- Từ các số liệu đo bằng máy đo siêu âm và súng bật nẩy, tính vận tốc siêu âm trung bình của các vùng kiểm tra (kết quả ghi ở cột 2) và trị số bật nẩy trung bình của các vùng kiểm tra (kết quả ghi ở cột 3).
- Sử dụng biểu đồ 1 hoặc bảng 7 để xác định cường độ nén R0 của các vùng kiểm tra (kết quả ghi ở cột 4).
- Sử dụng các bảng 3,4,5 và 6 để xác định các hệ số ảnh hưởng C1, C2, C3, C4 tương ứng với thành phần đã cho của bê tông cấu kiện.
- Tính hệ số ảnh hưởng chung theo công thức (6):
C0 = 1,00.0,89.1,00.1,00 =0,89
- Cường độ nén của cấu kiện;
Thí dụ 2:
Xác định cường độ nén của một cấu kiện bê tông bằng phương pháp không phá hoại sử dụng kết hợp máy đo siêu âm và súng bật nẩy khi biết thành phần đặc trưng của bê tông và số mẫu lưu.
Thành phần đặc trưng của bê tông gồm:
- Xi măng poóc lăng P300, hàm lượng xi măng 320kg/m³.
- Loại cốt liệu lớn là đá dăm với Dmax = 40mm.
Kết quả đo bằng máy đo siêu âm và súng bật nẩy trên cấu kiện ghi ở bảng 9.
Kết quả đo bằng máy đo siêu âm và súng bật nẩy trên mẫu và kết quả nén phá hoại mẫu ghi ở bảng 10.
Bảng 9 - Kết quả đo bằng máy đo siêu âm và súng bật nẩy trên cấu kiện.
| TT vùng kiểm tra | Vận tốc siêu âm trung bình | Trị số bật nẩy trung bình (vạch) | Cường độ nén của vùng kiểm tra Ro (daN/cm²) |
| 1 2 3 4 5 6 7 8 9 10 11 12 | 3800 3846 3850 3900 3840 3942 3780 3920 3880 3883 3810 3863 | 26,0 25,0 27,0 25,2 24,8 24,9 25,5 25,3 25,8 24,7 25,5 25,2 | 162 164 180 179 161 182 156 183 178 168 161 168 |
Bảng 10 - Kết quả đo bằng máy đo siêu âm và súng bật nẩy trên mẫu lưu.
| Số thứ tự tổ mẫu | Số thứ tự mẫu | Đo bằng máy đo siêu âm | Đo bằng máy đo bật nẩy | Cường độ kiểm tra Ro (daN/cm²) | Cường độ nén mẫu Rn (daN/cm²) | ||||
| Vận tốc siêu âm v (m/s) | Vận tốc siêu âm trung bình | Trị số bật nẩy n (vạch) | Trị số bật nẩy trung bình | Mẫu | Tổ mẫu | Mẫu | Tổ mẫu | ||
| 1 | 2 | 3 | 4 | 5 | 6 | 7 | 8 | 9 | 10 |
| 1 | 1 | 3920 3948 4012 4016 | 3974 | 25, 23, 25, 26, 23, 25, 25, 23, 25, 27, 22, 25, 25, 22, 24 | 24,2 | 185 | 176 | 175 | 190 |
| 2 | 3950 3910 4000 3994 | 3946 | 23, 22, 24, 22, 23, 25, 27, 24, 23, 22, 22, 24, 23, 25, 24 | 23,5 | 171 | 201 | |||
| 3 | 3890 3960 3990 3994 | 3871 | 23, 23, 24, 25, 24, 25, 22, 23, 27, 23, 22, 24, 25, 23, 24 | 23,6 | 173 | 194 | |||
| 2 | 1 | 3980 3990 3880 3830 | 3920 | 22, 24, 22, 25, 23, 26, 25, 22, 22, 23, 25, 22, 24, 21, 22 | 23,2 | 160 | 167 | 170 | 179 |
| 2 | 3790 3820 3900 3900 | 3971 | 23, 23, 25, 24, 24, 25, 22, 23, 27, 23, 22, 24, 25, 23, 24 | 23,8 | 160 | 185 | |||
| 3 | 3980 3990 3990 3960 | 3980 | 24, 23, 22, 24, 25, 22, 25, 27, 22, 22, 23, 25, 24, 22, 24 | 23,5 | 180 | 182 | |||
| 3 | 1 | 4100 3900 4200 4000 | 4000 | 22, 26, 23, 25, 26, 22, 24, 24, 25, 23, 22, 26, 25, 24 | 24,0 | 189 | 175 | 190 | 185 |
| 2 | 3980 3960 3860 3920 | 3920 | 24, 23, 21, 26, 22, 25, 23, 24, 22, 25, 23, 24, 22, 25, 23 | 23,5 | 166 | 180 | |||
| 3 | 3960 3940 3980 3920 | 3950 | 22, 24, 22, 25, 23, 25, 22, 24, 22, 21, 23, 22, 22, 25, 26 | 23,2 | 170 | 185 | |||
Xác định cường độ nén của cấu kiện theo các bước sau:
- Sử dụng các bảng 3, 4, 5, 6 để xác định các hệ số ảnh hưởng tương ứng với thành phần của bê tông cấu kiện.
- Tìm hệ số ảnh hưởng chung C0 theo công thức (C)
Co = 1,00.0,89.1,00.1,00 =0,89
- Xác định cường độ nén (Ro) của các vùng kiểm tra trên cấu kiện sử dụng biểu đồ 1 hoặc bảng 7 (kết quả ghi ở cột 4 bảng 9).
- Xác định cường độ nén (Ro) của các mẫu lưu. Sử dụng biểu đồ 1 hoặc bảng 7 (kết quả ghi ở cột 7 và 8 bảng 10).
- Tính cường độ nén trung bình của các mẫu lưu ![]()

- Nén phá hoại mẫu, cường độ nén Rn của các mẫu lưu và tổ mẫu lưu ghi ở cột 9 và 10 bảng 10.
- Tính cường độ nén trung bình
của các mẫu lưu trên máy nén:

- Tính hệ số ảnh hưởng thực nghiệm Ct theo công thức (7):
![]()
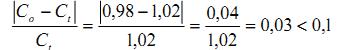
- Tính độ sai lệch giữa hệ số ảnh hưởng chung Co và hệ số ảnh hưởng thực nghiệm Ct:

- Tính hệ số ảnh hưởng dùng để tính toán C

- Cường độ nén trung bình của cấu kiện là:

Bạn chưa Đăng nhập thành viên.
Đây là tiện ích dành cho tài khoản thành viên. Vui lòng Đăng nhập để xem chi tiết. Nếu chưa có tài khoản, vui lòng Đăng ký tại đây!