- Tổng quan
- Nội dung
- Tiêu chuẩn liên quan
- Lược đồ
- Tải về
Tiêu chuẩn TCXD 81:1981 Nước dùng trong xây dựng - Các phương pháp phân tích hóa học
| Số hiệu: | TCXD 81:1981 | Loại văn bản: | Tiêu chuẩn XDVN |
| Cơ quan ban hành: | Đang cập nhật | Lĩnh vực: | Xây dựng |
| Trích yếu: | Nước dùng trong xây dựng - Các phương pháp phân tích hóa học | ||
|
Ngày ban hành:
Ngày ban hành là ngày, tháng, năm văn bản được thông qua hoặc ký ban hành.
|
1981 |
Hiệu lực:
|
Đã biết
|
| Người ký: | Đang cập nhật |
Tình trạng hiệu lực:
Cho biết trạng thái hiệu lực của văn bản đang tra cứu: Chưa áp dụng, Còn hiệu lực, Hết hiệu lực, Hết hiệu lực 1 phần; Đã sửa đổi, Đính chính hay Không còn phù hợp,...
|
Đã biết
|
TÓM TẮT TIÊU CHUẨN XDVN TCXD 81:1981
Nội dung tóm tắt đang được cập nhật, Quý khách vui lòng quay lại sau!
TIÊU CHUẨN XÂY DỰNG
TCXD 81:1981
NƯỚC DÙNG TRONG XÂY DỰNG -CÁC PHƯƠNG PHÁP PHÂN TÍCH HÓA HỌC
Used water in building - Methods for chemical analysis
Nguyên tắc chung
Tiêu chuẩn này quy định những yêu cầu về kĩ thuật lấy mẫu, bảo quản mẫu, vận chuyển mẫu, các phương pháp phân tích hóa học nước thông thường dùng trong xây dựng, để kiểm tra và đánh giá chất lượng nước trước khi sử dụng.
Tiêu chuẩn này không áp dụng đối với nước cấp sinh hoạt, nước cấp công nghiệp, nước thải sinh hoạt, nước thải công nghiệp và nước dùng vào những mục đích đặc biệt khác.
1. Lấy mẫu nước, bảo quản mẫu nước và vận chuyển mẫu nước

1.1. Mẫu nước dựng bằng can nhựa, bình, chai hoặc lọ thủy tinh nút mài hoặc nút cao su. Bình, chai hoặc lọ thủy tinh để đựng mẫu nước rửa bằng hỗn hợp bicromat (hòa tan 5g kali bicromat trong 50ml axít sunfuric đặt trên bếp cách thủy), sau đó rửa nhiều lần bằng nước sạch và cuối cùng rửa bằng nước cất. Nếu dùng can nhựa thì đầu tiên rửa bằng axít clohydric loãng sau đó rửa bằng nước sạch và nước cất. Khi lấy mẫu tráng dụng cụ đựng mẫu 2- 3 lần bằng nước mẫu. Nút cao su rửa sạch bằng nước cất và nhúng vào parafin nóng chảy.
1.2. Khi lấy nước phải lấy đầy bình, không để có không khỉ giữa mức nước trong bình và nút bình. Sau khi lấy nước, đậy bình và gắn kín bằng parafin.
1.3. Lượng nước để phân tích một mẫu toàn phần tối thiểu phải lấy 31.
1.4. Thời gian từ khi lấy mẫu đến khi phân tích không được quá 24 giờ. Khi mẫu nước được bảo quản bằng hóa chất thích hợp hoặc để trong tủ lạnh, thời gian này có thể kéo dài 2 - 3 ngày.
1.5. Không lấy mẫu nước ở nơi bị nhiễm bẩn tạm thời (do vôi, xi măng, dầu mỡ v.v...) hoặc nơi nước tiếp xúc với công trình mới xây dựng.
1.6. Một năm phải kiểm tra nguồn nước ít nhất hai kì vào mùa khô và mùa mưa.
1.7. Dụng cụ lấy mẫu nước.
Dụng cụ lấy mẫu nước có cấu tạo khác nhau và phụ thuộc vào nguồn nước.

1.7.1. Hình 1 - giới thiệu dụng cụ lấy mẫu nước bao gồm bình thủy tinh a có dung tích tối thiểu 31, cọc gỗ b dài 2 - 3m, ống cao su c và ống thủy tinh dư. Bình thủy tinh nhấn chìm trong nước ở độ sâu cần lấy mẫu, hút nước trong bình ra bằng ống thủy tinh C sau đó kéo nhanh bình lên, đậy ngay bằng nút cao su
1.7.2. Dụng cụ của Veresagin - hình 2. Bình thủy tinh ba cổ có nút cao su, qua các nút cao su lắp hai ống thủy tinh 2 và 4 và ở 3 giữa lắp một nhiệt kế l. ống thủy tinh 4 nối với ống cao su 5. Bình thủy tinh phải rửa sạch bằng hỗn hợp bicromat. Khi lấy mẫu thả ống cao su 5 có gia trọng 7 xuống độ sâu cần lấy mẫu, nối đầu trên của ống cao su với ống thủy tinh 4 và mở kẹp 3 và 6. Dùng bơm (hoặc miệng nếu độ sâu không quá 0,50m) hút hết không khí trong bình bằng ống thủy tinh 2 và để cho nước vào đầy bình sau đó đóng kẹp 3 và 6 lại. Tháo ống cao su 5 ra và đổ nước từ bình lấy mẫu sang bình đựng mẫu.
1.8. Phương pháp lấy mẫu nước.
1.8.1 Lấy nước ở vòi: Dùng ống cao su nối vào miệng vòi, mở vòi cho nước chảy khoảng 15 phút, cho ống cao su vào trong bình, dầu ống cao su phải chạm dáy bình. Để cho nước trong bình thay đổi thể tích vài lần sau đó dậy ngay bằng nút cao su tráng parafin.
1.8.2. Lấy nước ở máy bơm: Dùng phễu hứng nước ở miệng xả của máy bơm, chuôi phễu phải chạm đáy bình.
1.8.3. Lấy nước ở lỗ khoan và giếng: Dùng dây hoặc sào dài có buộc gia trọng thả bình xuống, nút bình buộc vào một sợi dây khác, khi bình đã chìm đến độ sâu cần lấy thì kéo nút bình ra để nước vào đầy bình, kéo bình lên và đậy nút.
1.8.4. Lấy nước ở sông: Nếu sông nhỏ và nông lấy trực tiếp bằng bình đựng mẫu ở chỗ nước chảy nhanh nhất. Nhấn chìm miệng bình xuống độ sâu 50cm kể từ mặt nước, giữ cho nước không bị vẩn đục và để nước vào đầy bình. Nếu sông lớn cần lấy hai mẫu ở gần hai bờ và một mẫu ở giữa dòng ở những độ sâu khác nhau, lấy bằng tay hoặc bằng dụng cụ lấy mẫu. Khi lấy trực tiếp bằng tay thì lấy ở độ sâu 50cm kể từ mặt nước, nếu lấy bằng dụng cụ lấy mẫu thì lấy ở độ sâu trung bình.
1.8.5. Lấy nước ở hồ, ao: Nếu hồ, ao sâu lấy mẫu ở độ sâu l - 1,5m kể từ mặt nước bằng dụng cụ lấy mẫu như hình 2 hoặc hình l. Mẫu lấy ở gần bờ và ở giữa hồ, ao. Nếu hồ, ao nông thì lấy mẫu cách mặt nước 50cm. Khi lấy mẫu không làm nước vẩn đục.
1.1.2. Lấy nước ngầm: Lấy mẫu sau khi đã bơm liên tục ít nhất 15 phút. Thời gian bơm phụ thuộc vào dung tích của giếng, sao cho mẫu nước lấy không phải là nước tù đọng Không được lấy mẫu nước ngầm bằng bơm khí nén.
1.9 Lấy mẫu nước để phân tích những chỉ tiêu đặc biệt.
1.9.1 Cacbonic ăn mòn. Để đánh giá tính ăn mòn của nước đối với bê tông, ngoài mẫu nước dể phân tích toàn phần phải lấy một mẫu riêng để phân tích cacbonic ăn mòn. Lấy đầy nước vào bình có dung tích 11, thêm 4: 5g canxi cacbonat. Đậy chặt nút bình và để 5 ngày, mỗi ngày lắc mạnh 2: 3 lần, mỗi lần 5 . 10 phút. Nếu trong nước có cacbonic ăn mòn thì lượng ion bicacbonat sẽ tăng so với mẫu nước không thêm canxi cacbonat.
1.9.2 Tinh cặn nitrit, nitrat, amoniac. Khi tinh cặn, nitrit, nitrat không kịp phân tích trong vòng 24 giờ kể từ khi lấy mẫu thì phải lấy mẫu riêng, mỗi lít nước mẫu thêm 1ml axit sunfuric đặc hoặc 2ml clorofooc.
1.9.3 Hydro sunfua và các sunfua. Khi hydro sunfua và các sunfua không thể phân tích ngay sau khi lấy mẫu thì phải bảo quản mẫu (l lít nước mẫu thêm 10ml dung dịch cadmi axetat hoặc kẽm axetat 10% ...) và cũng chỉ tiến hành phân tích trong vòng 24 giờ kể từ khi lấy mẫu.
1.10 Vận chuyển mẫu nước.
Có thể vận chuyển mẫu nước bằng các loại phương tiện giao thông. Phải có biện pháp chống va chạm làm vỡ bình đựng mẫu. Xe chở mẫu nước phải có mui che để tránh mưa nắng.
Mẫu nước gửi đến phòng thí nghiệm để phân tích phải có nhãn ghi rõ:
- Tên nguồn nước;
- Ngày, giờ lấy mẫu;
- Điểm lấy mẫu;
- Đặc điểm thời tiết khi lấy mẫu;
- Nhiệt độ không khí, nhiệt độ nước;
- Yêu cầu phân tích;
- Người lấy mẫu.
2 Các phương pháp phân tích
2.1 Điều kiện chung.
2.1.1 Thứ tự phân tích các chỉ tiêu của một mẫu nước quy định như sau: các chất khí độ oxy hóa, độ pH, nitrit, nitrat, amoniac v.v...
2.1.2 Đối với những chỉ tiêu có quy định hai cách thực hiện hoặc hai cách so mẫu (so mẫu bằng máy chuyên dùng và so mẫu bằng gam mẫu), nếu có đủ trang thiết kĩ thuật và các điều kiện khác thì phải dùng cách thứ nhất. Cách sau chỉ được dùng khi cách thứ nhất không có điều kiện thực hiện.
2.1.3 Khi xác định các chỉ tiêu bằng phương pháp kết tủa và khi các chất kiểm nghiệm chỉ tồn tại dưới dạng hòa tan, nước kiểm nghiệm phải lọc sơ bộ. Khi xác định các chất khí không được lọc nước kiểm nghiệm.
2.1.4 Khi làm loãng mẫu nước kiểm nghiệm, khi thêm nước cho đến vạch của bình định mức, khi pha hóa chất chỉ được dùng nước cất. Nếu trong phương pháp phân tích không ghi rõ là dùng nước cất thì đối với các trường hợp trên cũng chỉ được dùng nước cất.
2.1.5 Quy định làm loãng hóa chất bằng nước cất hoặc trộn một hóa chất với một hoá chất khác ghi trong ngoặc đơn sau tên hóa chất bằng số nối với nhau bằng dấu cộng (+). Số đầu chi đơn vị hóa chất làm loãng hoặc hóa chất thứ nhất, số sau chỉ đơn vị nước cất hoặc hóa chất thứ hai. Thí dụ axit clohydric loãng (l + 99), nghĩa là 1đơn vị axit clohydric làm loãng với 99 đơn vị nước cất.
2.1.6 Trong tiêu chuẩn này, mức độ tinh khiết của các hóa chất sử dụng được kí hiệu bằng tiếng Việt. Sự tương ứng giữa kí hiệu tiếng Việt và kí hiệu tiếng nước ngoài xem tiêu chuẩn “Hóa chất. Phân nhóm và kí hiệu mức độ tinh khiết" TCVN 1058/71"
2.2 Độ pH.
2.2.1 Đo độ pH bằng phương pháp điện thế.
Đo độ pH bằng phương pháp điện thế cho độ chính xác cao và có thể đo được tất cả các khoảng pH từ l đến 14. Thiết bị đo độ pH là các máy d.l pH. Cách đo theo hướng dẫn sử dụng kèm theo máy.
2.2.2 Đo độ pH bằng chỉ thị màu hỗn hợp.
Mỗi chỉ thị màu có khoảng pH chuyển màu hẹp từ l - 2 độ pH. Khi dùng hỗn hợp các chỉ thị mầu, khoảng pH chuyển mầu sẽ rộng hơn.
2.2.2.1 Hóa chất
Metila đỏ - dung dịch 0,2% . Bromotimola xanh - dung dịch 0,1% .
Chỉ thị màu hỗn hợp - trộn 1 phần thể tích dung dịch metila đỏ với 2 phần thể tích bromotimola xanh. Chỉ thị mầu hỗn hợp này có khoảng pH chuyển màu từ 4 - 8 đơn vị pH.
Dinatrihidrofotfat - dung dịch 0,2M. Axit nitric - dung dịch 0,1M.
Dung dịch đệm fotfat xitrat có pH từ 3,0 - 8,0pH chuẩn bị theo bảng 1
Bảng 1
| pH | Dung dịch dinatrihidrofotfat 0,2M ml) | Axít nitric 0,1M (ml) |
| 3,0 3,2 3,4 3,6 3,8 4,0 4,2 4,4 4,6 4,8 5,0 5,2 5,4 5,6 5,8 6,0 6,2 6,4 6,6 6,8 7,0 7,2 7,4 7,6 7,8 8,0 | 20,5 24,7 28,5 32,2 35,5 38,5 41,4 44,1 46,7 49,3 51,5 53,6 55,7 58,0 60,4 63,1 66,1 69,2 71,7 77,2 82,3 86,9 90,8 93,6 95,7 97,2 | 79,5 75,3 71,5 67,8 64,5 61,5 58,6 55,9 53,3 50,7 48,5 46,4 44,3 42,0 39,6 36,9 33,9 30,8 27,3 22,8 17,7 13,1 9,2 6,4 4,3 2,8 |
2.2.2.2 Pha thang màu tiêu chuẩn.
Lấy mỗi dung dịch đệm 10ml đổ vào từng ống nghiệm riêng, thêm vào mối ống nghiệm 0,6ml (5 - 7 giọt) chỉ thị màu hỗn hợp, lắc đều và để cho hiện màu.
2.2.2.3 Tiến hành thí nghiệm
Lấy 10ml nước kiểm nghiệm đổ vào ống nghiệm, thêm 0,6ml (5 - 7 giọt) chỉ thị màu hỗn hợp, lắc đều, để cho hiện màu và đem so màu với thang màu tiêu chuẩn.
2.2.3 Đo độ pH bằng giấy thử vạn năng
Đo độ pH bằng giấy thử vạn năng đơn giản, nhanh nhưng độ chính xác thấp hơn phương pháp dùng máy đo pH và dùng chỉ thị màu hỗn hợp.
Lấy một mẩu giấy chỉ thị màu nhúng vào nước kiểm nghiệm, để thấm ướt đều, lấy ra để se khô và so mầu với ô mầu in trên hộp đựng giấy.
2.3 Độ kiềm
2.3.1 Phạm vi áp dụng
Phương pháp áp dụng để xác định độ kiềm của tất cả các loại nước.
2.3.2 Bản chất của phương pháp
Các chất có trong nước làm cho nước có tính kiềm là những chất tham gia phản ứng với các axít mạnh. Độ kiềm của nước tương ứng với lượng axít clohydric dùng để trung hòa các chất trên. Nước có độ pH dưới 4,5 thì độ kiềm bằng không. Các cacbonat và hydroxyt tan trong nước làm cho độ pH của nước lớn hơn 8,3, khi đó một phần độ kiềm toàn phần tương ứng với lượng axít cần thiết để giảm độ pH đến 8,3 gọi là độ kiềm tự do. Độ kiềm tương ứng với lượng axít cần thiết để giảm độ pH đến 4,5 gọi là độ kiềm toàn phần.
2.3.3 Hóa chất
+ Axít clohydric, dung dịch 0,1N.
+ Fenolftalein, dung dịch 0,5% .
+ Metyl da cam, dung dịch 0,1% .
2.3.4 Tiến hành thí nghiệm
- Độ kiềm tự do: Nếu nước kiểm nghiệm có độ pH lớn hơn 8,3 thì xác định độ kiềm tự do. Lấy 100ml nước kiểm nghiệm đổ vào bình nón dung tích 250ml, thêm 2 - 3 giọt dung dịch fenolftalein và chuẩn độ bằng dung dịch axít clohydric 0,1N đến khi mất màu.
- Độ kiềm toàn phần: Lấy 100ml nước kiểm nghiệm đổ vào bình nón dung tích 250ml, thêm 2 - 3 giọt dung dịch metal da cam và chuẩn độ bằng dung dịch axit clohydric 0,1N đến khi chuyển từ màu vàng sang màu da cam.
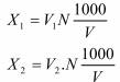
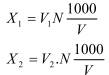
2.3.5 Tính kết quả
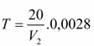
Độ kiềm tự do Xl (mgdl/l) và độ kiềm toàn phần X2 (mgdl/l) tính bằng công thức:

Trong đó:
V1 - thể tích dung dịch axít clohydric 0,1N dùng khi chuẩn độ với chỉ thị mầu fenolftalein, tính bằng ml;
V2 - thể tích dung dịch axít clohydric 0,1N dùng khi chuẩn độ với chỉ thị mầu metyl da cam, tính bằng ml;
N - nồng độ đương lượng của axít clohydric;
V - thể tích nước kiểm nghiệm, tính bằng ml
2.4 Cacbonic tự do
2.4.1 Phạm vi áp dụng
Phương pháp áp dụng để xác định cacbonic tự do của tất cả các loại nước.
2.4.2 Bản chất của phương pháp
Phương pháp dựa trên sự chuẩn độ cacbonic tự do bằng natri hydroxyt với chỉ thị màu fenolftalein.
2.4.3 Dụng cụ thí nghiệm
Dụng cụ để xác định cacbonic tự do (hình 3) là một hình cầu a dung tích 250ml có nút cao su hai lỗ. Một lỗ lắp buyret b có ống cao su giữa kín c, một lỗ lắp ống thủy tinh uốn vuông góc có khóa d. Khi chuẩn độ khóa d đóng lại.
2.4.4 Hóa chất
+ Natri hydroxit, dung dịch 0,lN.
+ Fenolftalein, dung dịch cồn l% .
2.4.5 Tiến hành thí nghiệm
Lấy 100 - 200ml nước kiểm nghiệm (thể tích nước lấy kiểm nghiệm phụ thuộc vào hàm lượng cacboníc tự do) đổ vào bình chuẩn độ, thêm 0,3 - 0,5g Kali natri tatrat nghiền nhỏ (nếu nước kiểm nghiệm có sắt và khi phân tích nước có độ cứng cao), 0,2ml dung dịch fenolftalein và vừa lắc vừa chuẩn độ bằng dung dịch natri hydroxyt 0,lN đến khi có màu hồng bền vững. Để tránh mất mát cacbonic khi đổ nước vào bình chuẩn độ phải làm thật nhanh và đóng ngay nút bình.
Làm thí nghiệm hai lần. Thể tích nước kiểm nghiệm lần thứ hai bằng thể tích nước lấy kiểm nghiệm lần thứ nhất, thêm lượng dung dịch natri hydroxit 0,1N đúng bằng lượng natri hydroxit dùng để chuẩn độ lần thứ nhất, 0,3 - 0,5g kali natri tatrat, 0,2ml dung dịch fenolftalein và chuẩn độ tiếp bằng dung dịch natri hydroxyt 0,1 N đến khi có màu hồng bền vững. Lấy kết quả trung bình của hai lần chuẩn độ:
2.4.6 Tính kết quả

Hàm lượng cacbonic tự do (mg/l) tính bằng công thức:
![]()
Trong đó:
Vt - thể tích dung dịch natri hydroxyt 0,1N dùng khi chuẩn độ tính bằng ml;
N - nồng độ đương lượng của dung dịch natri hydroxyt,;
0,044 - miligam đương lượng của CO2;
V - thể tích nước kiểm nghiệm, tính bằng ml.
2.5 Cacbonic ăn mòn
2.5.1 Phạm vi áp dụng
Phương pháp áp dụng để xác định cacbonic ăn mòn của tất cả các loại nước.
2.5.2 Bản chất của phương pháp
Phương pháp dựa trên phản ứng giữa cacbonic và canxi cacbonat tạo thành bicacbonat (HCO3) tương đương với lượng cacbonic ăn mòn. Bicacbonat được chuẩn độ bằng axít clohydric với chỉ thị màu metyl da cam và so sánh với lượng bicacbonat trong mẫu nước không thêm canxi cacbonat.
2.5.3 Hóa chất.
+ Axít clohydric, dung dịch 0,lN.
+ Metyl da cam, dung dịch 0,1% .
2.5.4 Tiến hành thí nghiệm.
Lấy 100ml nước bão hòa canxi cacbonat (mẫu lấy riêng để phân tích cacbonic ăn mòn) đổ vào bình nón dung tích 250ml, thêm 2 - 3 giọt dung dịch metyl da cam và chuẩn độ bằng dung dịch axít clohydric 0,lN đến khi chuyển từ màu vàng sang màu đỏ da cam.
2.5.5 Tính kết quả.
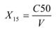
Hàm lượng cacbonic ăn mòn (mg/l) tính bằng công thức:
![]()
Trong đó:
V - thể tích dung dịch axít clohydric 0,lN dùng khi chuẩn độ mẫu nước bão hoà canxi cacbonát, tính bằng ml;
Vl - thể tích dung dịch axít clohydric 0,1N dùng khi chuẩn độ độ kiềm toàn phần tính bằng ml;
N - nồng độ đương lượng của axít clohydric;0,022 - miligam đương lượng của CO2;
V - thể tích nước kiểm nghiệm tính bằng ml
2.6 Độ cứng cacbonat.
2.6.1 Phạm vi áp dụng.
Phương pháp áp dụng để xác định hàm lượng canxi bicacbonat và magiê bicacbonat khi trong nước không chứa các bicacbonat và cacbonat khác trừ bicacbonat và cacbonat của các kim loại kiềm.
2.6.2 Bản chất của phương pháp
Khi chuẩn độ độ kiềm toàn phần, các muối bicacbonat của canxi và magiê và bicacbonát và cacbonat của kim loại kiềm tham gia phản ứng, lượng bicacbonat và cacbonat của kim loại kiềm (các muối này không tham gia trong thành phần độ cứng) xác định bằng mẫu nước cùng thể tích với mẫu nước xác định độ kiềm toàn phần ở điều kiện đun sôi. Khi đun sôi, các muối Ca(HCO3)2 Và Mg(HCO3)2 kết tủa dưới dạng CaCO3 và MgCO3. Nước lọc chứa cacbonat của kim loại kiềm chuẩn độ bằng axít clohydric với chỉ thị màu metyl da cam.
2.6.3 Hóa chất
+ Axít clohydric, dung dịch 0,lN.
+Metyl da cam, dung dịch 0,1% .
2.6.4 Tiến hành thí nghiệm
Lấy 100ml nước kiểm nghiệm đổ vào bình nón dung tích 250ml bỏ vài hạt "đá sỏi” đun đến khi còn 1/3 thể tích ban đầu. Tủa canxi cacbonat và magiê cacbonat, đem lọc, rửa tủa vài lần bằng nước cất đun sôi để nguội cho đủ 100ml nước lọc. Thêm 2 - 3 giọt dung dịch metyl da cam vàn nước lọc thu được và chuẩn độ bằng dung dịch axít clohydric 0,1N đến khi chuyển từ màu vàng sang màu đỏ da cam.
2.6.5 Tính kết quả.
Độ cứng cacbonat tính theo độ Đức (l độ Đức = 10 mg/l CaO tính bằng công thức:

Trong đó:
V1 - Thể tích dung dịch axít clohydric dùng khi chuẩn độ kiềm toàn phần, tính bằng ml;
V2- Thể tích dung dịch axít clohydric dùng khi chuẩn độ cacbonat và bicacbonat kim loại kiềm, tính bằng ml;
N - Nồng độ đương lượng của axít clohydric;
0,02804 - miligam đương lượng của CaO;
V - Thể tích nước kiểm nghiệm, tính bằng ml;
Chú thích: Độ cứng của nước còn biểu diễn bằng miligam đương lượng bằng độ Pháp và độ Anh. Tính đổi đơn vị độ cứng theo bảng 2, trong 2 gren là đơn vị khối lượng Anh bằng 0,0647989g và ga lông là đơn vị thể tích Anh bằng 4,5459631.
Bảng 2 - Tính độ cứng
| Đơn vị độ cứng | mg- dl/l | Độ Đức 10mg CaO/l | Độ Pháp CaCO3/l | Độ Anh gren CaCO3/1 galông |
| 1 mg- đl/l 1 Độ Đức 1 Độ Pháp 1 Độ Anh | 1 0,357 0,2 0,286 | 2,8 1 0,56 0,8 | 5,0 1,79 1 1,43 | 3,5 1,25 0,7 1 |
2.7 Độ cứng toàn phần
2.7.1 Phạm vi áp dụng
Phương pháp áp dụng để xác định độ cứng toàn phần của tất cả các loại nước.
2.7.2 Bản chất của phương pháp
Các ion canxi và magiê khi pH - 10 tạo với eriocrom đen -T hợp chất phức làm cho dung dịch có màu đỏ thẫm. Khi chuẩn dộ bằng komplexon III, do phức của canxi và magiê với Komplexon III bền hơn nên ion canxi và magiê tách khỏi hợp chất phức tạo thành ban đầu để kết hợp với Komplexon III, anion của chất chỉ thị màu được giải phóng và tại điểm đương lượng dung dịch chuyển từ màu đỏ thẫm sang màu xanh đặc trưng.
2.7.3 Hóa chất
Konplexon III, dung dịch 0,05M: hòa tan 18,613g komplexon III bằng nước cất hai lần đun sôi để nguội sau đó lọc và thêm nước cát cho đủ 1l.
Độ chuẩn của dung dịch komplexon III xác định như sau: hòa tan 5,005g canxi cacbonat loại tinh khiết phân tích (t.k.p.t) đã sấy khô ở 1050C trong bình định mức dung tích 1l bằng axít clohydric loãng (l + l), axít clobydric cho vào từ từ đến khi ngừng tạo thành bọt khí cacbonic. Đun sôi vài phút, để nguội, thêm nước cất cho đủ 1l và lắc đều. Lấy 20ml dung dịch canxi clorua vừa điều chế làm loãng đến 100ml bằng nước cất, thêm dung dịch natri hydroxyt 10% đến pH = 12 (thử bằng giấy chỉ thị) và chuẩn độ bằng dung dịch komplexon III với chỉ thị màu murexit. Chuẩn độ ba lần và lấy kết quả trung bình.
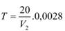
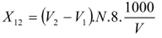
Độ chuẩn của dung dịch komplexon III theo CaO tính bằng g/ml theo công thức:
![]()
Trong đó:
0,0028 - độ chuẩn dung dịch canxi clorua, tính theo g CaO;
V2 - thể tích dung dịch komplexon III dùng khi chuẩn độ 20ml dung dịch canxi clorua, tính bằng ml.
Độ chuẩn của dung dịch komplexon III mỗi tuần xác định lại một lần.
+ Canxi cacbonat bột, loại tinh khiết phân tích
+ Natri hydroxyt, dung dịch 10%
+ Murexit, hỗn hợp với natn clorua theo tỉ lệ (1 +50) đựng trong lọ thủy tinh mầu nâu.
+ Eriocrom đen-T, hỗn hợp với natri clorua theo tỉ lệ (1 + 50).
+ Dung dịch đệm pH = 10; hòa tan 65g amoni clorua (NH4Cl) loại tinh khiết phân tích trong bình định mức dung tích 1l bằng nước cất. Thêm 350ml dung dịch amoniac 25% và pha bằng nước cất cho đủ 1l.
2.7.4 Tiến hành thí nghiệm
Lấy 100ml nước kiểm nghiệm nếu nước có độ cứng toàn phần đến 15 độ Đức.
50ml nếu nước có độ cứng toàn phần đến 30 độ Đức.
25ml nếu nước có độ cứng toàn phần trên 30 độ Đức đổ vào bình nón dung dịch
250ml, pha nước cất cho đủ 100ml. Khử độ kiềm của nước kiểm nghiệm bằng axit clohydric 0,lN (lượng axít tiêu thụ khi chuẩn độ độ kiềm toàn phần), thêm 5ml dung dịch đệm 0,l - 0,2g eriocrom đen- T và chuẩn độ bằng dung dịch komplexon III đến khi chuyển từ màu đỏ sang màu xanh.
2.7.5 Tính kết quả:
Độ cứng toàn phần (độ Đức) tính bằng công thức:
![]()
Trong đó:
V1- thể tích dung dịch komplexon III dùng khi chuẩn độ, tính bằng ml;
T - độ chuẩn của dung dịch komplexon III theo CaO tính bằng g/ml;
V - thể tích nước kiểm nghiệm, tính bằng ml.
2.8 Độ cứng không cacbonat
Độ cứng không cacbonat (độ Đức) tính bằng công thức:
X7= X6 - X5
Trong đó:
X6 - độ cứng toàn phần, tính theo độ Đức;
X5 - độ cứng cacbonat, tính theo độ Đức.
2.9 Bicacbonat (HCO-3) và cacbonat (CO2-)
Hàm lượng ion bicacbonat và cacbonat xác định bằng cách tính toán dựa vào độ kiềm toàn phần và độ kiềm tự do theo bảng 3.
Bảng 3 - Tính toán hàm lượng ion bicacbonat và cacbonat
| Tỉ số giữa độ kiểm tự do và độ kiểm toàn phần | Bicacbonat (HCO3- ) | Cacbonat (CO2-3 ) | ||
| mg- dl/l | mg/l | mg-dl/l | mg/l | |
| 1 | 2 | 3 | 4 | 5 |
| X1 =0 2X1 <X2 2X1= X2 2X1 > X2 X1= X2 | X2 X2- 2X1 0 0 0 | X2.61 (X2-2X1).61 0 0 0 | 0 2X1 2X1 2(X2-X1) 0 | 0 2X1.30 2X1.30 2(X2-X1).30 0 |
Trong đó: .
X1 - độ kiềm tự do, tính bằng mg – dl/l (xem mục 2.3);
X2 - độ kiềm toàn phần, tính bằng mg – dl/l (xem mục 2.3);
61 - đương lượng của HCO3-;
30 - đương lượng của CO2-3;
Tiêu chuẩn xây dựng TCXD 81 : 1981
2.10 Canxi (Ca2+)
2.10.1 Phạm vi áp dụng
Phương pháp áp dụng để xác định ion canxi, trong nước chứa các cation thường gặp như Mg2+, K+, Na+ và khi nồng độ Fe3+, Al3+, Mn2+ , Cu2+ thấp (Sắt dưới 20 mg/l, nhôm dưới 5 mg/l, mangan dưới 10 mg/l, đồng dưới 2 mg/l).
2.10.2 Bản chất của phương pháp.
Trong môi trường kiềm (pH =12) ion canxi tạo với murexit hợp chất phức làm dung dịch có mầu đỏ thẫm. Khi chuẩn độ bằng komplexon III, do hợp chất phức giữa canxi và Komplenxon III bền hợp chất phức giữa canxi và murexit nên ion canxi tách khỏi hợp chất phức tạo thành ban đầu để kết hợp với Komplenxon III và tại điểm đương lượng dung dịch chuyển sang mầu xanh tím đặc trưng, mầu của anion murexit được giải phóng.
2.10.3 Hoá chất
+ Komplenxon III, dung dịch 0,05M. Cách pha xem mục 2.7.3.
+ Natri hydroxit, dung dịch 10%
+ Murexit,hỗn hợp với natri clorua theo tỉ lệ (1+50) đựng trong lọ thuỷ tinh mầu nâu.
2.10.4 Tiến hành thí nghiệm
Lấy 100ml nước kiểm nghiệm nếu hàm lượng canxi đến 300mg/l.
50ml nếu hàm lượng canxi trên 300 đến 500mg/l;
25ml nếu hàm lượng canxi trên 500mg/l đổ vào bình nón dung tích 250ml, pha bằng nước cất cho đủ 100ml. Thêm dung dịch natri hydroxit 10% đến pH= 10 (kiểm tra bằng giấy chỉ thị), 0,02g murexit và vừa khuấy liên tục vừa chuẩn độ bằng dung dịch komplenxon III đến khi dung dịch chuyển từ màu đỏ sang màu xanh tím.
Chú thích: Nếu nước kiểm nghiệm có độ kiềm toàn phần lớn hơn 6mg dl/l thì trung hoà nước kiểm nghiệm bằng lượng axit clohydric 0,1N tiêu thụ khi chuẩn độ kiềm toàn phần, đun sôi 1 phút, để nguội sau đó tiến hành xác định canxi.
2.10.5 Tính kết quả
Hàm lượng ion canxi (Ca2+), mg/l; tính bằng công thức:
Trong đó:
![]()
V1 – thể tích dung dịch komplenxon III dùng chỉ chuẩn độ, tính bằng ml;
T - độ chuẩn của dung dịch komplenxon III tính bằng g/ml theo canxi (Ca2+),
( Trong đó: V2 là thể tích dung dịch komplenxon III dùng
.0,0020 chuẩn độ 20ml dung dịch canxi clorua, tính bằng ml theo mục 2.7.3);
V – thể tích nước kiểm nghiệm, tính bằng ml.
2.11 Magiê (Mg2+)
2.11.1 Phạm vi áp dụng
Phương pháp áp dụng để xác định hàm lượng ion magiê trong nước thiên nhiên có nồng độ Fe3+, Al3+, Mn2+, Cu2+ thấp (theo mục 2.10.1)
2.11.2 Bản chất của phương pháp
ở pH = 10 ion canxi và magiê tạo với eriocrom đen –T hợp chất phức làm cho dung dịch có màu đỏ thẫm. Khi chuẩn độ bằng komplenxon III, ion canxi và magiê tách khỏi hợp chất phức ban đầu tạo với komplenxon III hợp chất phức bền hơn và tại điểm đương lượng dung dịch chuyển sang màu xanh, màu của anion chất chỉ thị màu ở pH – 10. Ion canxi không cho điểm chuyển màu rõ ràng nên ở điều kiện trên chỉ có thể được xác định khi đồng thời có ion magiê. Vì vậy ion magiê được xác định bằng hiệu giữa lần chuẩn độ này với lần chuẩn độ ion canxi ở pH = 12.
2.11.3 Hóa chất
Komplexon III, dung dịch 0,05M. Cách pha xem mục 2.7.3.
Độ chuẩn của dung dịch komplexon III theo magiê (Mg2+) Xác định như sau: hòa tan 6,0180g magiê sunfat khan trong ll nước cất. Lấy 20ml dụng dịch này đổ vào bình nón dung tích 250ml, pha nước cất đến gần 100ml, thêm 3 - 5ml dung dịch đệm amoniac đến pH = 10 và chuẩn độ bằng dung dịch komplexon III với chỉ thị màu eriocrom đen- T. Chuẩn độ ba lần và lấy kết quả trung bình.
Độ chuẩn của dung dịch komplexon III theo magiê (Mg2+) tính bằng công thức:
![]()
Trong đó:
0,0012 - độ chuẩn của dung dịch magiê sunfat tính theo g Mg;
V3 - thể tích dung dịch komplexon III dùng khi chuẩn độ 20ml dung dịch magiê sunfat, tính bằng ml.
- Magiê sunfat, bột khan, loại tinh khiết phân tích.
- Dung dịch đệm pH = 10. Cách pha xem mục 2.7.3.
- Eriocrom đen- T, hỗn hợp với natri clorua theo tỉ lệ (1 + 50).
- Trictanolaminhidroclorua, tinh thể, loại tinh khiết phân tích.
- Hidroxilaminhidroclorua, tinh thể, loại tinh khiết phân tích.
2.11.4 Tiến hành thí nghiệm.
Lấy 100ml nước kiểm nghiệm nếu tổng hàm lượng canxi và magiê đến 300 mg/l;
50ml nếu tổng hàm lượng canxi và magiê trên 300 đến 800 mg/l;
25ml nếu tổng hàm lượng canxi và magiê trên 800 mg/l (lượng nước lấy kiểm nghiệm phải bằng lượng nước lấy kiểm nghiệm canxi) đổ vào bình nón dung tích
250ml, pha bằng nước cắt cho đủ 100ml. Nếu nước kiểm nghiệm có nồng độ Fe3+, Al3+,Mn2+ cao, thêm 0,5g trictanolaminhidroclorua và 0,1g
hidroxiaminhidroclorua. Thêm dung dịch đệm đến pH = 10 và đun nóng đến 40 - 500C. Dùng buyxet chuẩn độ cho vào một lượng dung dịch komplexon III 0,05M gần bằng lượng komplexon III dùng chuẩn độ canxi sau đó thêm 0,02g eriocrom đen- T và chuẩn độ tiếp bằng dung dịch komplexon III 0,05M đến khi dung dịch chuyển từ màu đỏ thẫm sang màu xanh. ở điều kiện này đã chuẩn độ tổng hàm lượng canxi và magiê.
2.11.5 Tính kết quả
Hàm lượng ion magiê (Mg2+), mg/l; tính bằng công thức:
![]()
Trong đó:
V - thể tích dung dịch komplexon III 0,05M dùng khi chuẩn độ tổng hàm lượng canxi và magiê, tính bằng ml;
V1 - thể tích dung dịch komplexon III 0,05M dùng khi chuẩn độ carlxi, tính bằng ml (mục 2.10.4);
T - độ chuẩn của dung dịch komplexon III tính bằng g/cm3 theo magiê (Mg2+);
v - thể tích nước kiểm nghiệm tính bằng ml.
2.12 Clorua (Cl-)
2.12.1 Phạm vi áp dụng
Phương pháp áp dụng để xác định ion clorua trong nước với hàm lượng lớn hơn 2 mg/l. Với độ chính xác 1 - 3 mg/l có thể xác định ion clorua với hàm lượng đến 100mg/l. Để xác định chính xác hàm lượng ion clorua với nồng độ dưới 10 mg/l lấy 250 - 300ml nước kiểm nghiệm cho bay hơi còn 100ml sau đó tiến hành xác định.
Các ion Hg2+, Pb2+, H2S, H2S, Fe3+ với hàm lượng trên 10 mg/l và phốt phát với hàm lượng trên 25 mg/l cản trở xác định clorua.
2.12.2 Bản chất của phương pháp
Xác định ion clorua dựa trên sự tạo tủa bạc clorua bằng bạc nitrat. Khi ion clorua tác dụng hết, tại điểm đương lượng dung dịch sẽ có màu đỏ do kết tủa bạc cromát các phản ứng xảy ra ở pH = 6,5 y 10
2.12.3 Hóa chất
Bạc nitrat, dung dịch 0,05N. Hoà tan 8,4945g AgNO3 loại tinh khiết phân tích trong bình định mức dung tích ll bằng nước cất và pha cho đủ 1l.
Kali cromat, dung dịch 5% .
2.12.4 Tiến hành thí nghiệm
Lấy 100ml nước kiểm nghiệm đã lọc đồ vào bình nón dung tích 250ml, thêm lml dung dịch Kali cromat 5% và chuẩn độ bằng dung dịch bạc nátral 0,05N đến khi kết tủa có màu đỏ da cam bền vững. Nếu hàm lượng clorua nhỏ thì chuẩn độ đến khi xuất hiện vẫn đục màu nâu đỏ. Làm thí nghiệm hai lần và lấy kết quả trung bình.
Chú thích: Muốn loại trừ H2S và HS- lấy một lượng nước kiểm nghiệm nhất định, axit hoá bằng axít nitric loãng (1 + 5), đun sôi 8 - 10 phút, điều chỉnh đến độ pH ban đầu và tiến hành xác định. Các chất hữu cơ loại trừ bằng làm bay hơi nước kiểm nghiểm đến khô, nung ở- 2000C và hòa tan cặn bằng nước cất đến thể tích ban đầu, sau đó tiến hành xác định. Khi nước kiểm nghiệm có độ pH dưới 6 thì trung hòa bằng natri bicacbonat, khi nước kiểm nghiệm có độ pH trên 10 thì trung hòa axít nitric loãng (1 + 5).
2.12.5 Tính kết quả:
Hàm lượng ion clorua (C/-), mg/l; tính bằng công thức:
![]()
Trong đó:
V1 - thể tích dung dịch bạc nitrat 0,05N dùng khi chuẩn độ, tính bằng ml;
N - nồng độ đương lượng của dung dịch bạc nitrat;
0,03546 - miligam đương lượng của clo;
V - thể tích nước kiểm nghiệm, tính bằng ml.
2.13 Sunfat (SO4-)
2.13.1 Phạm vi áp dụng
Phương pháp áp dụng để xác định mọi hàm lượng ion sunfat trong nước.
Nước có nhiều tạp chát cơ học, hàm lượng silicat và sắt cao cản trở xác định sunfat.
2.13.2 Bản chất của phương pháp
Trong môi trường axít clohydric yểu ion sunfat kết tủa dưới dạng bari sunfat
(BaSO4) bằng dung dịch bari clorua (BaCl2)
2.13.3 Hóa chất
+ Axít clohydric loãng (1 + 1).
+ Axít clohydric loãng (1 + 99).
+ Bari clorua, dung dịch 10% .
Bạc nitrat, dung dịch: hòa tan lg AgNO3 loại tinh khiết phân tích bằng nước cất, thêm 5ml axít nitric đặc và pha nước cất cho đủ 100ml.
Metyl da cam, dung dịch 1% .
2.13.4 Tiến hành thí nghiệm
Lấy 500ml nước kiểm nghiệm đã lọc nếu hàm lượng SO2- đến 50 ml
250ml nếu hàm lượng SO2-4 trên 50 đến 200 mg/l;
200ml nếu hàm lượng SO2-4 trên 200 đến 500 mg/l;
50 ml nếu hàm lượng SO2-4 trên 500 mg/l, đổ vào cốc đốt, cho bay hơi (hoặc làm loãng) đến 100ml, thêm 3 - 4 giọt metyl da cam và dung dịch axít clohydric (1 + 1) đến khi dung dịch có mầu hồng. Đun sôi, vừa khuấy vừa nhỏ dần từng giọt (10ml) dung dịch bari clorua 10%. Đun sôi thêm 5 phút, đậy cốc bằng mặt kính đồng hồ và đặt trên bếp cách thủy 2 - 4 giờ để bari sunfat kết tủa hết; lọc bằng giấy lọc không tro, rửa tủa trên giấy lọc bằng axít clohydric loãng (1 + 99) nóng, sau đó rửa bằng nước cất nóng đến khi hết ion clorua trong nước rửa (nước rửa không kết tủa khi thêm bạc nitrat). Giấy lọc chứa tủa bari sunfat để vào chén nung đã biết trọng lượng, sấy khô ở 1050C, đốt cháy và nung ở 8000C, trong thời gian 30 - 40 phút, ổn nhiệt trong bình hút ẩm và cân đến khi có trọng lượng không đổi.
2.13.5 Tính kết quả
Hàm lượng ion sunfat (SO2-4), mg/l; tính bằng công thức:
![]()
Trong đó
G - khối lượng tủa bari sunfat, tính bằng g;
0,4115 - hệ số tính đổi khối lượng bari sunfat thành SO4 - l
V - thể tích nước kiểm nghiệm, tính bằng ml,
2.14 Độ oxy hóa
2.14.1 Phạm vi áp dụng
Phương pháp áp dụng để xác định độ oxy hóa của nước có hàm lượng clorua không quá 300 mg/l.
2.14.2 Bản chất của phương pháp
Trong môi trường axít sunfuric, Kali pecmanganat oxy hóa những chất có tác dụng khử trong nước. Sau khi đun sôi thêm axít oxalic để khử Kali pecmangunat không tác dụng hết. Lượng axit oxalic thừa, chuẩn độ bằng dung dịch Kali pecmanganat.
2.14.3 Hóa chất
+ Kali pecmangunat, dung dịch 0,01N.
+ Axít sunfuric loãng (1 + 3).
+ Axít oxalich, dung dịch 0,01N.
2.14.4 Tiến hành thí nghiệm
Lấy 100ml nước kiểm nghiệm đổ vào bình nón dung tích 250ml, thêm 5ml axít sunfuric loãng (l + 3), dùng buyret chuẩn độ thêm đúng 10ml dũng dịch Kali pecmanganat 0,01N. Đun sôi 10 phút. Nếu khi đun sôi mầu hồng của dung dịch không bền thì làm lại thí nghiệm với thể tích nước kiểm nghiệm ít hơn và pha loãng đến 100ml.
Thêm vào dung dịch nóng đúng 10ml dung dịch axít oxalic 0,01N và chuẩn độ ngay bằng dung dịch Kali pecmanganat 0,01N đến khi xuất hiện mầu hồng bền vững.
Nhiệt độ dung dịch khi chuẩn độ không được xuống dưới 500C.
Đồng thời làm mẫu chứng. Thay nước kiểm nghiệm bằng nước cất và lần lượt làm như trên.
Chú thích: Nếu nước kiểm nghiệm có hàm lượng ion clorua trên 300 mg/l thì phải làm loãng. Nếu nước kiểm nghiệm chứa các chất vô cơ bị Kali pecmanganat oxy hóa (H2S,
Fe2+, NO -) thì các chất này được xác định riêng và khi tính kết quả độ oxy hóa phải trừ đi lượng oxy tương ứng như sau:
- 1mg H2S tương ứng 0,47mg O2;
- 1mg NO2 tương ứng 0,35mg O2;
- 1mg Fe2+ tương ứng 0,14mg O2
2.14.5 Tính kết quả
Độ oxy hóa mg (O2/l) tính bằng công thức:
![]()
Trong đó:
V2 - thể tích dung dịch Kali pecmanganat 0,01N dùng khi chuẩn độ mẫu nước kiểm nghiệm, bằng ml;
V1 - thể tích dung dịch Kali pecmanganat 0,01N dùng khi chuẩn độ mẫu chứng, tính bằng ml:
N - nồng độ đương lượng của dung dịch Kali pecmanganat;
8 - đương lượng của oxy;
V - thể tích nước kiểm nghiệm, tính bằng ml
2.15 Hydro sunfua và các sunfua
2.15.1 Phạm vi áp dụng
Phương pháp áp dụng để xác định hydro và sunfua và các dạng ion sunfua trong nước với hàm lượng l: 10 mg/l.
2.15.2 Bản chất của phương pháp
Phương pháp dựa trên sự chuẩn độ trực tiếp hydro sunfua và các dạng ion sufua bằng dung dịch iot.
2.15.3 Hóa chất
+ Iot dung dịch 0,01N.
+ Hồ tinh bột, dung dịch 0,5% .
+ Axít axetic đặc.
2.15.4 Tiến hành thí nghiệm
Lấy 200ml nước kiểm nghiệm đã lọc đồ vào bình "chuẩn độ iot" dung tích 500ml, thêm 3 + 4 giọt axít axetic, 2 - 3 giọt dung dịch hồ tinh bột và chuẩn độ bằng dung dịch iot 0,01N đến khi có màu xanh nhạt.
Thí nghiệm được lập lại theo thứ tự sau:
Đổ vào bình chuẩn độ lượng dung dịch iot 0,01N đúng bằng lượng dung dịch dùng chuẩn độ lấn thứ nhất sau đó đổ vào bình 200ml nước kiểm nghiệm, thêm vài giọt dung dịch hồ tinh bột 0,5% và chuẩn độ tiếp bằng dung dịch iot 0,01N đến khi có màu xanh nhạt.
Lấy kết quả trung bình của hai lần chuẩn độ.
2.15.5 Tính kết quả
Hàm lượng hydro sunfua và các ion sunfua (mg/l) tính bằng công thức:
![]()
Trong đó:
V1 thể tích dung dịch iot 0,010N dùng khi chuẩn, độ tính bằng ml;
N - Nồng độ đương lượng của dung dịch iot;
0,017 – miligam đương lượng của H2S ,
V - thể tích nước kiểm nghiệm, tính bằng ml.
2.16 Nitrit (NO-2 ) .
2.16.1 Phạm vi áp dụng
Phương pháp áp dụng để xác định nitrit trong nước không chứa các chất oxy hóa và chất khử mạnh. Nước đục và nước màu, các ion Fe3+, Hg2+ , Ag+, Bi2+, pb2+, Au3+, cloplatinat, metavanađat cản trở xác định nitrlt. Cu2+ làm kết quả thấp hơn thực tế.
Các ảnh hưởng trên được loại trừ khi làm loãng nước kiểm nghiệm.
2.16.2 Bản chất phương pháp
Phương pháp dựa trên tác dụng diazo hóa trong môi trường axit của nitrit với hỗn hợp axit sunfanilic và - naftilamin tạo thành thuốc nhuộm màu hồng.
2.16.3 Hóa chất
- Axít sunfanilic, dung dịch 0,6%; hòa tan 6,0g axit sunfanilic loại tinh khiết phân tích, vào 750ml nước cất đun sôi, thêm 250ml axit axetic băng- Naftilamin, dung dịch 0,6%: hòa tan l,2g - naftilamin, loại tinh khiết phân tích bằng nước cất, thêm 250ml axit axetic bằng và pha nước cất cho đủ 250ml. Dung dịch dùng trong 2 - 3 tháng.
- Natrinitrit, dung dịch I: hòa tan 0,1497g NaNO2 loại tinh khiết phân tích đã sấy khô ở 1050C bằng nước cất và pha cho đủ 1l. Thêm lml clorofooc, bảo quản I nhiệt độ thấp và dùng trong 1 tháng, 1l dung dịch I chứa 0,100ml NO2-
Dung dịch II: lấy 100ml dung dịch I làm loãng đến ll bằng nước cất lml dung dịch này chứa 0,010mg NO2. Dung dịch chỉ pha trước khi sử dụng.
Dung dịch III: lấy 50ml dung dịch II làm loãng đến ll bằng nước cất, 1ml dung dịch này chứa 0,0005mg NO2. Dung dịch chỉ pha trước khi sử dụng.
2.16.4 Dựng đồ thị chuẩn
Lấy 0; 0,5; 1; 1,5; 2; 2,5; 3ml dung dịch II làm loãng đến 50ml bằng nước cất. Dẫy dung dịch nhận được có nồng độ tương ứng 0; 0,1; 0,2; 0,3; 0,4; 0,5; 0,6 mg/l NO2. Từng dung dịch lần lượt làm như đối với mẫu nước kiểm nghiệm ở phần tiến hành thí nghiệm. Đo cường độ màu của từng dung dịch bằng máy đo mầu quang điện.
Từ mật độ quang của các dung dịch đo được dựng đồ thị chuẩn. Trên trục dọc ghi mật độ quang, trên trục ngang ghi nồng độ dung dịch tương ứng (mg/l).
2.16.5 Pha thang màu tiêu chuẩn
Lấy 0; 0,2; 0,5; 1,00; 1,500; 2,00; 2,50; ml dung dịch III đổ vào bình trụ netle dung tích 50ml, làm loãng bằng nước cất đến 50ml. Từng dung dịch lần lượt làm như đối với mẫu nước ở phần tiến hành thí nghiệm. Dãy dung dịch nhận được có nồng độ tương ứng 0,000; 0,002; 0,003; 0,01; 0,015; 0,020; 0,025 mg/l NO II
2.16.6 Tiến hành thí nghiệm
Lấy 50ml nước kiểm nghiệm, nếu lượng nước lấy ít hơn thì làm loãng đến 50ml bằng nước cắt đổ vào bình nón. Thêm 1ml dung dịch axít sunfanilic và lắc đều. Để yên năm phút sau đó thêm lml dung dịch a-naftilamin và lắc đều. Sau 40 phút kể từ khi thêm dung dịch a-naftilamin đo cường độ mẫu của dung dịch bằng máy đo màu quang điện, dùng kính lọc mầu xanh lá cây (O = 520mm, cuvet dày 1 - 5cm, hoặc so mầu bằng mắt thường với thang mẫu tiêu chuẩn.
Chú thích: Nếu sau khi lọc nước kiểm nghiệm vẩn đục và nước nhiều bản có các chất keo lơ lửng thì làm như sau: lấy 100ml nước thêm 0,50g than hoạt tính, 1ml dung dịch 12,5% KAl(SO4)2 12H2O và dung dịch amoniac đến pH = 5,8. Khuấy đều, để cặn kết tủa hết và nước lắng trong, sau đó lọc qua giây lọc bằng xanh. Lấy một phần nước lọc để xác định nitrit. Nếu trong nước có các chất cản trở (xem mục 1.16.1) thì làm loãng nước kiểm nghiệm. Nếu nước kiểm nghiệm có mầu thì đo mật độ quang và trừ đi khi tính kết quả.
2.16.7 Tính kết quả
Hàm lượng ion nitrit (NO2), mg/l; tính bằng công thức:
![]()
Trong đó:
C - nồng độ ion nitrit đọc trên đồ thị chuẩn hoặc trên thang màu tiêu chuẩn, tính bằng mg/l
V - thể tích nước lấy kiểm nghiệm, tính bằng ml
50 - thể tích làm loãng nước kiểm nghiệm, tính bằng ml.
2.17 Nitrat (NO3)
2.17.1 Phạm vi áp dụng.
Phương pháp áp dụng để xác định nitrat với hàm lượng đến l mg/l trong nước có hàm lượng clorua không quá 200 mg/l, sắt không quá 5 mg/l, nitrit không quá 2 mg/l.
2.17.2 Bản chất của phương pháp.
Phương pháp dựa trên phản ứng giữa nitrat và natri xalixilat trong môi trường axit sunfuric tạo thành muối của axit nitroxalixilic màu vàng.
2.17.3 Hóa chất.
+ Natri xalixilat, dung dịch 0,5% .
+Axit sunfuric đặc.
+ Natri hydroxyt, dung dịch 10N: hòa tan 400g NaOH loại tinh khiết phân tích bằng nước cất, sau khi nguội pha đủ 1l.
Kali nitrat, dung dịch I: hòa tan 0,1631g KNO3 loại tinh khiết phân tích đã sấy khô ở 1050C bằng nước cất trong bình định mức, thêm lml clorofooc và pha cho đủ 1l.
Như vậy 1ml dung dịch I chứa 0,100mg NO3
Dung dịch II: lấy 10ml dung dịch I làm loãng đến 100ml bằng nước cất, 1ml dung dịch II chứa 0,010mg NO3. Dung dịch chỉ pha trước khi sử dụng.
|
2.17.4 Dựng đồ thị chuẩn lấy 0, 0,5; 1; 2; 5; 10ml dung dịch II làm loãng đến 10ml bằng nước cất, cho bay hơi trong chén sứ trên bếp cách thủy đến khô và từng dung dịch lần lượt làm như đối với nước kiểm nghiệm ở phần tiến hành thí nghiệm. Dãy dung dịch nhận được có nồng độ tương ứng 0; 0,1; 0,2; 0,4; 1,0; 2,0 mg/l NO -. Đo cường độ màu của từng dung dịch bằng máy đo màu quang điện.
Từ mật độ quang của các dung dịch đo được dựng đồ thị chuẩn. Trên trục dọc ghi mật độ quang, trên trục ngang ghi nồng độ dung dịch tương ứng (mg/l).
2.17.5 Pha thang màu tiêu chuẩn.
Lấy 0; 0,2; 0,5 , 1,0; 2,0; 4,0; 6,0; 8,0; 10,0ml dung dịch III làm loãng đến 10ml bằng nước cất, cho bay hơi trong chén sứ trên bếp cách thủy đến khô và lấn lượt làm như đối với nước kiểm nghiệm ở phần tiến hành thí nghiệm. Các dung dịch màu làm loãng bằng nước cất cho đủ 50ml trong bình trụ netle. Dãy dung dịch nhận được có nồng độ tương ứng 0; 0,04; 0,1; 0,2; 0,4; 0,8; 1,2; 1,6; 2,0 mg/l NO3.
2.17.6 Tiến hành thí nghiệm.
Lấy 10ml nước kiểm nghiệm, thêm lml dung dịch natri xalixilat và cho bay hơi trong chén sứ trên bếp cách thủy đến khô. Sau khi để nguội thêm 1l axít sunfuric. Dùng đũa thủy tinh khuấy đều theo thành và đáy chén cho cặn tan nèt, để 10 phút.
Đổ nước cất vào chén, khuấy đều và đổ sang bình đựng nước dung tích 50ml. Tráng chén nhiều lần bằng nước cất, nước tráng đổ vào bình đựng nước. Thêm 7ml dung dịch natri hydroxyt 10N, pha nước cất đến vạch và lắc đều. Sau 10 phút kể từ khi thêm dung dịch natri hydroxyt, màu của dung dịch không được thay đổi. Do cường độ màu của dung dịch bằng máy đo màu quang điện, dùng kính lọc màu tím (O = 410mm) cuvet dày 1 - 5cm hoặc so màu bằng mắt thường với thang màu tiêu chuẩn.
Chú thích: Nếu nước kiểm nghiệm có hàm lượng clorua cao, lấy 100ml nước thêm lượng dung dịch bạc sunfat tương đương với hàm lượng clorua đã biết (4,40g Ag2SO4 loại tinh khiết phân tích hòa tan trong 11 nước cất; 1ml dung dịch tương ứng 1mg Cl-), lọc kết tủa bạc clorua, nước lọc dùng xác định nitrat. Nếu hàm lượng sắt lớn, thêm vào nước kiểm nghiệm 8 - 10 giọt kali - natri tatrat 20%. Nếu hàm lượng ion nitrit lơn hơn 2mgl, lấy 20ml nước kiểm nghiệm thêm 0,05g amoni sunfat, cho bay hơi đến khô trên bếp cách thủy, hòa tan cặn, lọc lấy nước trong để xác định nitrat.
2.17.7 Tính kết quả
Hàm lượng ion nitrat (NO3), mg/l; tính bằng công thức:
![]()
Trong đó:
C - nồng độ ion nitrat, đọc trên đồ thị chuẩn hoặc trên thang màu tiêu chuẩn, tính bằng mg/l;
V - thể tích nước lấy kiểm nghiệm, tính bằng ml;
50 - thể tích nước kiểm nghiệm đã hiện màu, tính bằng ml,
2.18 Amoniac và amoni
2.18.1 Phạm vi áp dụng
Phương pháp áp dụng để xác định amoniac và ion amoni trong nước không chứa các amin, clo, cloamin, axeton, rượu và các chất hữu cơ tác dụng với thuốc thử Netle. Nước có độ đục, hàm lượng sắt và sunfua cao cản trở xác định amoniac và amom.
2.18.2 Bản chất của phương pháp
Amomac và ion amoni tác dụng với Kali iođua thủy ngân (thuốc thử Netle) trong môi trường kiềm tạo thành tủa màu vàng nâu.
2.18.3 Hóa chất
+ Nước cất không chứa amomac.
+ Thuốc thử netle: Hòa tan 100g.
Hg2I loại tinh khiết phân tích và 70g K.I. loại tinh khiết phân tích và trộn với dung dịch natri hydroxyt. Dung dịch natri hidroxyt pha như sau: hòa tan 160g NaOH loại tinh khiết phân tích trong 500ml nước cất. Hỗn hợp dung dịch pha nước cất cho đủ 1l. Sử dụng phần dung dịch trong, sau khi để lắng ít nhất 4 giờ.
Natri kali tatrat, dung dịch 50%: hòa tan 50g KNC4H4O6.4H2O loại tinh khiết phân tích bằng nước cất, làm loãng đến 100ml, thêm 0,2 - 0,5ml thuốc thử Netle. Dung dịch sử dụng sau khi để lắng trong.
Komplexon III, dung dịch 50%: hòa tan 10g natri hidroxyt loại tinh khiết phân tích vào 60ml nước cất, sau đó hòa tan 50g komplexon III vào dung dịch natri hidroxyt vừa pha. Thêm nước cất cho đủ 100ml.
+ Natri hidroxyt, dung dịch 15% .
+ Amoni clorua.
Dung dịch l: hòa tan 0,2965g NH4Cl loại tinh khiết phân tích bằng nước cất và pha cho đủ ll. Như vậy lml dung dịch này chứa 0,100mg NH4 Dung dịch chì pha trước khi sử dụng.
Dung dịch II: lấy 50ml dung dịch I làm loãng đến ll bằng nước cất. Như vậy 1ml dung dịch này chứa 0,005mg NH4. Dung dịch chỉ pha trước khi sử dụng.
2.18.4 Dựng đồ thị chuẩn
Lấy 0; 0,5; l,0; 2,0; 4,0; 6,0; 8,0; 10; ... 40ml dung dịch II làm loãng đến 50ml bằng nước cất và từng dung dịch lần lượt làm như đối với nước kiểm nghiệm ở phần tiến hành thí nghiệm. Dãy dung dịch nhận được có nồng độ tương ứng 0;0,05; 0,10; 0,20; 0,40; 0,60; 0,80; 1,00; ...; 4,00 mg/l NH4+ Đo cường độ màu của từng dung dịch bằng máy đo màu quang điện.
Từ mật độ quang của các dung dịch đo được dựng đồ thị chuẩn. Trên trục dọc ghi mật độ quang, trên trục ngung ghi nồng độ dung dịch tương ứng (mg/l).
2.18.5 Pha thang màu tiêu chuẩn
Lấy 0; 0,5; 1,0; 2,0; 4,0; 6,0; 8,0; 10,0; ...; 20ml dung dịch II làm loãng đến 50ml bằng nước cất trong bình trụ Netle. Từng dung dịch lần lượt làm như đối với nước kiểm nghiệm ở phần tiến hành thí nghiệm. Dãy dung dịch nhận được có nồng độ tương ứng 0; 0,05; 0,10; 0,20; 0.40; 0,60; 0,80; 1,00; ...; 2,00 mg/l NH4+.
2.18.6 Tiến hành thí nghiệm.
Lấy 50ml nước kiểm nghiệm, thêm 1 - 2 giọt dung dịch Komplexon III hoặc dung dịch natri kali tatrat và lắc đều. Nếu nước có độ cứng cao, thêm 0,5 - 1ml, dung dịch natri Kali tatrat hoặc dung dịch komplexon III. Thêm 1ml thuốc thử Netle và lắc đều. Sau 10 phút đo cường độ màu của dung dịch bằng máy đo màu quang điện, dùng kính lọc màu tím (O = 400: 425mm), cuvet dầy l - 5cm hoặc so màu bằng mắt thường với thang màu tiêu chuẩn. Sau 30 phút kể từ khi hiện màu, màu của dung dịch không được thay đổi. Khi đo cường độ màu bằng máy đo màu quang điện, nếu nồng độ ion amoni lớn hơn 6 mg/l thì phải làm loãng rồi mới đo.
2.18.7 Tính kết quả
Hàm lượng ion amoni (NH4+), mg/l; tính bằng công thức:
![]()
Trong đó:
C - nồng độ ion amoni đọc trên đồ thị chuẩn hoặc trên thang màu tiêu chuẩn, tính bằng mg/l;
V - thể tích nước kiểm nghiệm, tính bằng ml;
50 - thể tích làm loãng nước kiểm nghiệm, tính bằng ml.
2.19 Tính cặn sấy khô ở 1050C
2.19.1 Tiến hành thí nghiệm
Lấy 200ml nước kiểm nghiệm đã lọc, cho bay hơi dần trong chén sứ đã sấy ở 1050C và cân đến trọng lượng không đổi trên bếp cách thủy đến khô. Chén sứ chứa cặn khô sấy 2 giờ ở 1050C, ổn nhiệt trong bình hút ẩm và cân nhanh đến trọng lượng không đổi
2.19.2 Tính kết quả
Tính cặn sấy khô ở 1500C (mg/l) tính bằng công thức:
![]()
Trong đó:
G - khối lượng cặn khô sấy ở 1050C, tính bằng g;
V - thể tích nước kiểm nghiệm, tính bằng ml.
2.20 Hàm lượng cặn không tan sấy khô ở 1050C
2.20.1 Tiến hành thí nghiệm
Lấy 200ml nước kiểm nghiệm lọc bằng giấy lọc đã sấy ở 1050C và cân đến trọng lượng không đổi. Giấy lọc chứa cặn sấy 2 giờ ở 1050C, ổn nhiệt trong bình hút ẩm và cân đến trọng lượng không đổi.
2.20.2 Tính kết quả
Hàm lượng cặn không tan sấy khô ở 1050C (mg/l) tính bằng công thức:
![]()
Trong đó:
G - khối lượng cặn khô sấy ở 1050C, tính bằng g;
V- thể tích nước kiểm nghiệm, tính bằng ml.
2.21 Hàm lượng cặn không tan cháy ở 6000C ,
2.21.1 Tiến hành thí nghiệm
Giấy lọc chứa cặn không tan sấy khô ở 1050C (mục 2.20) bỏ vào chén sứ đã biết trọng lượng và đem nung ở 6000C trong l giờ, ổn nhiệt trong bình hút ẩm và cân đến trọng lượng không đổi.
2.21.2 Tính kết quả
Hàm lượng cặn không tan cháy ở 6000C (mg/l) tính bằng công thức:
![]()
Trong đó:
G - Hiệu khối lượng cặn không tan sấy khô ở 1050C và cặn còn lại sau khi nung ở 6000C, tính bằng g;
V - thể tích nước kiểm nghiệm, tính bằng ml.
chú thích: Các đơn vị đo lòng kí hiệu trong tiêu chuẩn này dựa theo bảng đơn vị đo lườ ng hợp pháp hiện hành.
CONSTRUCTION STANDARD
TCXD 81:1981
Water used for construction - Methods for chemical analysis
General principles
This Standard deals with the techniques for taking, preserving, transporting samples, the methods for chemical analysis of ordinary water used for constructed serving assessment of water quality before use.
This standard does not apply to household water, water for industry, domestic sewage, industrial sewage, and water used for other special purposes.
1. Water sampling, preservation and transport of water samples.

1.1. Water shall be sampled with a plastic can, bottle, or jar with a flat stopper or a rubber stopper. The glass bottle or jar used for storing the water sample must be rinsed with a bichromate (5 g of potassium bichromate mixed with 50 ml of sulfuric acid on a double boiler, then rinsed again with clean water and then distilled water. If a plastic can is used, it must be rinsed with dilute hydrochloric acid, then rinsed again with clean water and distilled water. After the sample is taken, the sample container shall be rinsed two or three times with the sampled water. The rubber stopper must be rinsed with distilled water and dipped into melted paraffin.
1.2. The bottle must be completely filled with water without any air between the water and the stopper. After the sample is taken, the bottle shall be closed and sealed with paraffin.
1.3. The minimum amount of water sample for analysis is 31.
1.4. The period of time between the sampling and the analysis must not exceed 24 hours. If the water sample is preserved with appropriate chemicals or in a freezer, this period may be 2 - 3 days.
1.5. Do not sample water that is temporarily contaminated (by lime, cement, oil, etc.) or in contact with a new construction.
1.6. The water source must be checked at least twice a year during the dry season and the rainy season.
1.7. Sampling instruments.
The shapes of the water sampling instruments vary according to the sources of water.

1.7.1. Figure 1 - Water sampling instruments including a glass bottle (a) with a minimum capacity of 31, a wooden stick (b) with a length of 2 m - 3 m, a rubber pipe (c) and a glass pipe (d). The bottle glass is immersed in the water to a wanted depth. Water in the bottle is sucked through the glass pipe (c). The bottle is then taken out and closed with the rubber stopper.
1.7.2. Veresagin’s instrument - Figure 2: A glass bottle with rubber stoppers to which two glass pipes (No. 2 and 4) are attached. A thermometer is installed at the middle of glass pipe No. 3. Glass pipe No. 4 is connected with rubber pipe No. 5. The glass bottle must be rinsed with the bichromate mixture. When sampling, rubber pipe No. 5 with a weight (No. 7) is immersed to a wanted depth. The upper end of the rubber pipe is connected to glass pipe No. 4. Clamps No. 3 and 6 are loosened. Remove air from the bottle through glass pipe No. 2 with a pump or mouth (if the depth does not exceed 0.5m) until the bottle is filled with water. Clamps No. 3 and 6 are then tightened. Remove rubber pipe No. 5 and pour water from the bottle to the container.
1.8. Water sampling method.
1.8.1. Sampling at the tap: Connect a rubber pipe to the tap. Leave water flowing for 15 minutes then put the rubber pipe in a bottle in such a way that its end touches the bottom of the bottle. Leave the water in the bottle to change its volume for several times, then close the water with a paraffin-rinsed rubber stopper.
1.8.2. Sampling at the pump: Use a funnel to take water from the spout of the pump (the tip of the funnel must touch the bottom of the bottle).
1.8.3. Sampling at a borehole or a well: Use a weighed rope or a long stick to drop the bottle. The stopper is tied to another string. When the bottle reaches the wanted depth, pull the string to remove the stopper, then pull the bottle up and put the stopper back on.
1.8.4. Taking samples from a river: If the river is small, the sample shall be taken directly with a container where the flow is fastest. Immerse the bottle to a depth of 50 cm from the surface. Keep the water from being muddy and leave the bottle to be filled with water. If the river is large, it is necessary to take samples from both banks and at the middle of the stream at various depths, whether by hand or instrumentally. Samples shall be taken at a depth of 50 cm by hand, or the average depth instrumentally.
1.8.5. Taking samples from a pond or lake if the depth of the pond or lake is depth, samples shall be taken at a depth of 1 - 1.5 m with the instruments in Figure 2 or Figure 1. Samples shall be taken near the banks and at the middle or the pond or lake. If the pond or lake is shallow, samples shall be taken at a depth of 50 cm from the surface. Do not let the water muddle when taking samples.
1.1.2. Sampling underground water: Samples shall be taken after at least 15 minutes of continuous pumping. The pumping times depends on the capacity of the well, as long as the samples are not taken from stagnant water. Do not sample underground water with a compressed-air pump.
1.9. Taking samples to analyze special criteria.
1.9.1. Corrosive carbon dioxide In order to assess the corrosiveness of water to concrete, a separate sample must be taken to analyze corrosive carbon dioxide apart from the samples for overall analysis. A bottle with a capacity of 1 liter shall be filled with water and 4: 5g of calcium carbonate. Close the bottle tightly and leave it for 5 days. Violently shake the bottle 2 - 3 times for 5 - 10 minutes each time every day. If corrosive carbon dioxide is present in the water, the amount of bicarbonate ions will increase compared to the samples of water without calcium carbonate added to.
1.9.2. Nitrite, nitrate, ammonium crystalline residues
When nitrite or nitrate residues cannot be analyzed within 24 hours as from the sampling, add 1 ml of concentrated sulfuric acid or 2 ml of chloroform to every liter of water.
1.9.3. Hydrogen sulfide and sulfides. If hydrogen sulfide and sulfides cannot be analyzed right after the samples are taken, the samples must be preserved (by adding 10 ml of cadmium acetate or zinc acetate 10% to every liter of water, etc.). However, they must be analyzed within 24 hours as from the sampling.
1.10. Transport of water samples.
Water samples may be transported with various types of vehicles. Water bottles must be protected from collision and damage. The vehicle must have a roof.
Water samples being sent to laboratories for analysis must have labels specifying:
- The name of the water source;
- The sampling time;
- The sampling position;
- The weather during the sampling;
- Temperatures of air and water;
- Analysis requirements;
- The person in charge of sampling.
2. Analysis method
2.1. General conditions
2.1.1. The criteria of a sample of water shall be analyzed in this order: gases, oxidation state, pH, nitrite, nitrate, ammonium, etc.
2.1.2. If a criterion can be analyzed either with a specialized device or by weight comparison, the former method shall apply if the device and other conditions are satisfactory. The latter method may only be used if the former method is not possible.
2.1.3. When doing analysis using precipitation method, and when the tested substances are in dissolved form, the water sample must be preliminarily filtered. The water sample must not be filtered before determination of gases.
2.1.4. The water sample shall be diluted by adding water to the mark of the volumetric flask. Only distilled water may be mixed with chemicals. If the analysis method does not mention the use of distilled water, distilled water is still the only kind of water may be used.
2.1.5. When diluting a chemical with distilled water or mixing a chemical with another chemical, there will be two numbers connected with a plus (+) in a pair of round brackets. The first number indicates the amount of the diluted chemical, while the second number indicates the amount of distilled water or the second chemical. Example: “Dilute hydrochloric acid (1 + 99)” means a unit of hydrochloric acid is diluted with 99 units of distilled water.
2.1.6. In this standard, the purity of chemicals are symbolized in Vietnamese language. The corresponding foreign symbols are provided in TCVN 1058/71 “Chemicals. Classification of purity”
2.2. pH.
2.2.1. Measuring pH by potentiometric method.
The potentiometric method ensures high accuracy and is able to measure all ranges of pH from 1 to 14. The pH shall be measured in accordance with the instructions provided by the manufacturer.
2.2.2. Measuring pH with mixed indicators.
Each indicator has a short range of 1 - 2 pH value. When using mixed indicators, the color range will be widen.
2.2.2.1. Chemicals
Methyl red 0.2 % solution. Bromothymol blue 0.1% solution.
One portion of methyl red shall be mixed with two portions of bromothymol blue. This mixture of two indicators has a color range that can indicate pH values from 4 to 8.
Disodiumhydrophosphate 0.2 M. Nitric acid 0.1 M.
The phosphate-citrate buffer solution with pH value from 3.0 to 8.0 in Table 1.
Table 1
| pH | Disodiumhydrophosphate 0.2 M | Nitric acid 0.1 m |
| 3.0 3.2 3.4 3.6 3.8 4.0 4.2 4.4 4.6 4.8 5.0 5.2 5.4 5.6 5.8 6.0 6.2 6.4 6.6 6.8 7.0 7.2 7.4 7.6 7.8 8.0 | 20.5 24.7 28.5 32.2 35.5 38.5 41.4 44.1 46.7 49.3 51.5 53.6 55.7 58.0 60.4 63.1 66.1 69.2 71.7 77.2 82.3 86.9 90.8 93.6 95.7 97.2 | 79.5 75.3 71.5 67.8 64.5 61.5 58.6 55.9 53.3 50.7 48.5 46.4 44.3 42.0 39.6 36.9 33.9 30.8 27.3 22.8 17.7 13.1 9.2 6.4 4.3 2.8 |
2.2.2.2. Creating a standard colors.
Add 10 ml of buffer solution to each test tube. Add 0.6 ml (5 - 7 drops) of mixed indicators to the tube, shake it to see the color.
2.2.2.3. Running the test
Pour 10 ml of water sample to the test tube; add 0.6 ml (5 - 7 drops) of mixed indicators to the tube, shake it to see the color and compare this color to the standard colors.
2.2.3. Measuring pH with paper indicator
Paper indicator provides a simple but less accurate method than a pH meter or mixed indicators.
Dip a piece of paper indicator into the water sample and until it is evenly drenched; take it out and leave it to dry; then compare the color with the color box on the paper box.
2.3. Alkalinity
2.3.1. Scope of application
This method is meant for determination of alkalinity of every kind of water.
2.3.2. Nature of the method
The substances in the water that make the water alkaline are those that react with strong acids. The alkalinity of water is proportional to the amount of hydrochloric acid used for neutralized such substances. If pH is below 4.5, alkalinity is zero. When carbonates and hydroxides dissolve in water and increase pH to over 8.3, the part of alkalinity that is in proportion to the amount of acid necessary for reducing pH to 8.3 is called free alkalinity. The alkalinity that is in proportion to the amount of acid necessary for reducing pH to 4.5 is called total alkalinity
2.3.3. Chemicals
+ Hydrochloric acid solution, 0.1 N.
+ Phenolphthalein solution, 0.5%.
+ Methyl orange solution, 0.1%.
2.3.4. Running the test
- Free alkalinity shall be determined if pH value of the water sample is above 8.3. Pour 100 ml of water sample in a 250-ml conical flask, add 2 - 3 drops or phenolphthalein and titrate with 0.1 N hydrochloric acid until no color is seen.
- Total alkalinity: Pour 100 ml of water sample in a 250-ml conical flask, add 2 - 3 drops of methyl orange and titrate with 0.1 N hydrochloric acid until the yellow turns into orange.
2.3.5. Result calculation
Free alkalinity X1 (mgdl/l) and total alkalinity X2 (mgdl/l) is calculated as follows:

Where:
V1 - Volume of 0.1 N hydrochloric acid that reacts with phenolphthalein during titration, expressed as ml;
V2 - Volume of 0.1 N hydrochloric acid that reacts with methyl orange during titration, expressed as ml;
N - Equivalent concentration of hydrochloric acid;
V - Volume of water sample, expressed as ml
2.4. Free carbon dioxide
2.4.1. Scope of application
This method is meant for determination of free carbon dioxide in every kind of water.
2.4.2. Nature of the method
This method is based on the titration of free carbon dioxide with sodium hydroxide and phenolphthalein.
2.4.3. Testing instruments
The instrument for determination of free carbon dioxide (Figure 3) is a 250 ml sphere with a two-hole rubber stopper. One hole of burette B is connected with rubber pipe C, the other hole is connected with a bent glass pipe with valve D. Valve D is closed during the titration.
2.4.4. Chemicals
+ Sodium hydroxide solution, 0.1 N.
+ Phenolphthalein, 1% alcohol solution.
2.4.5. Running the test
Pour 100 - 200 ml of water sample (the volume of water sample depends on the content of free carbon dioxide) into the titration flask; add 0.3 - 0.5 of ground potassium sodium tartrate (if the water sample contains iron and the water hardness is found significant), 0.2 ml of phenolphthalein. Shake the flask and titrate with 0.1 N sodium hydroxide until the solution turns into a stable pink. Water must be pour quickly into the titration flask and immediate close the flask to avoid losing carbon dioxide.
The test shall be run twice. The volume of water sample in the second test is equal to the volume in the first one. Add the same amount of 0.1N sodium hydroxide as in the first titration, 0.3 - 0.5 g of potassium sodium tartrate, 0.2 ml of phenolphthalein, and keep titrating with 0.1 N sodium hydroxide until the solution turns into a stable pink. Calculate the average result after two titrations:
2.4.6. Result calculation

The concentration of free carbon dioxide (mg/l) is calculated as follows:
![]()
Where:
Vt - Volume of 0.1N sodium hydroxide used during titration, expressed as ml;
N - Equivalent concentration of sodium hydroxide;
0.044 - Miliequivalent weight of CO2;
V - Volume of water sample, expressed as ml.
2.5. Corrosive carbon dioxide
2.5.1. Scope of application
This method is meant for determination of free carbon dioxide in every kind of water.
2.5.2. Nature of the method
This method is based on the reaction between carbon dioxide and calcium carbonate, which creates an amount of bicarbonate (HCO3) that is equivalent to the amount of corrosive carbon dioxide. Bicarbonate is titrated with hydrochloric acid and methyl orange indicate, then compared to the content of bicarbonate in the water sample without
additional calcium carbonate.
2.5.3. Chemicals.
+ Hydrochloric acid, 0.1 N solution.
+ Methyl orange solution, 0.1%.
2.5.4. Running the test
Pour 100 ml of water saturated with calcium carbonate (a sample taken separately to analyze corrosive carbon dioxide) into a 250-ml conical flask, add 2 - 3 drops of methyl orange and titrate with 0.1 N hydrochloric acid until yellow turns into a reddish orange.
2.5.5. Result calculation.
The concentration of free carbon dioxide (mg/l) is calculated as follows:
![]()
Where:
V - Volume of 0.1 N hydrochloric acid that is used for titration of water saturated with calcium carbonate, expressed as ml;
V1 - Volume of 0.1 N hydrochloric acid used during titration of overall alkalinity, expressed as ml;
N - Equivalent concentration of hydrochloric acid; 0.022: Miliequivalent weight of CO2;
V - Volume of water sample, expressed as ml
2.6. Hardness of carbonate.
2.6.1. Scope of application
This method is meant for determination of content of calcium bicarbonate and magnesium bicarbonate when the water does not contain any other bicarbonate and carbonate, except for bicarbonates and carbonates of alkali metals
2.6.2. Nature of the method
When titrating the total alkalinity, bicarbonate salts of calcium and magnesium, bicarbonates and carbonates of alkali metals in the reactions, the content of such bicarbonates and carbonates (which do not contributing factors to the hardness) is determined by water sample with the same volume as the water sample used for determination of total alkalinity while boiling. While boiling Ca(HCO3)2 and Mg(HCO3)2 form precipitates in the form of CaCO3 and MgCO3. Filtered water that contains carbonates alkali metals is titrated with hydrochloric acid and methyl orange indicator.
2.6.3. Chemicals
+ 0.1 N hydrochloric acid solution.
+ Methyl orange solution, 0.1%.
2.6.4. Running the test
Pour 100 ml of water sample into a 250-ml conical flask, add some “gravel” and boil until the volume is reduced to 1/3. Filter and rinse precipitated calcium carbonate and magnesium carbonate several times with distilled water (boiled and cooled) until the volume of filtered water reaches 100 ml. Add 2 - 3 drops of methyl orange into the filtered water, then titrate with 0.1 N hydrochloric acid until the yellow turns into a reddish orange.
2.6.5. Result calculation.
The carbonate hardness is expressed as Germany degree (1 Germany degree - 10 mg/l CaO) and calculated as follows:

Where:
V1 - Volume of 0.1 N hydrochloric acid used during titration of total alkalinity, expressed as ml;
V2 - Volume of hydrochloric acid used during titration of carbonates and bicarbonates of alkali metals, expressed as ml;
N - Equivalent concentration of hydrochloric acid;
0. 02804 - Miliequivalent weight of CaO;
V - Volume of water sample, expressed as ml;
Notes: Water hardness is also expressed as miliequivalent weight. Units are converted according to Table 2, where a gren is equal to 0.0647989 g and a galon is equal to 4.5459631
Table 2 - Hardness
| Unit | mg- dl/l | German degree 10 mg CaO/l | French degree CaCO3/l | English gren CaCO3/1 galon |
| 1 mg- dl/l 1German degree 1 French degree English gren 1 galon | 1 0.357 0.2 0.286 | 2.8 1 0.56 0.8 | 5.0 1.79 1 1.43 | 3.5 1.25 0.7 1 |
2.7. Overall hardness
2.7.1. Scope of application
This method is meant for determination of overall hardness of every kind of water.
2.7.2. Nature of the method
At pH - 10, calcium ions and magnesium ions react with eriochrome black T and create a dark red solution. When titrating with komplexon III, the compound of calcium and komplexon III is more stable, thus calcium and magnesium ions are detached from the initial compounds to combine with komplexon III. Anion of the indicator is released and the color of the solution turns from dark red to a distinctive blue at the equivalence point.
2.7.3. Chemicals
Komplexon III, 0.05 M solution: dissolve 18.613 g of komplexon III in distilled water (boiled and cooled twice); then filter the solution and add more distilled water until the volume reaches 1 l.
The titer of komplexon III is determined as follows: dissolve 5.005 g of analytical grade (a.g.) calcium carbonate dried at 105 0C in dilute hydrochloric acid (1 + 1) using a 1-liter volumetric flask. Add hydrochloric acid slowly until no more carbon dioxide bubbles are seen. Boil the solution for a few minutes, leave it to cool down, add more distilled water until the volume reaches 1 l and gently shake the flask. Add distilled water to 20 ml of calcium chloride until the volume reaches 100 ml; add 10% sodium hydroxide until pH = 12 (test with paper indicator) and titrate with komplexon III with murexide indicator. Take the average value after three titrations.
The titer of komplexon III solution according to CaO is expressed as g/ml and calculated as follows:
![]()
Where:
0.0028 - titer of calcium chloride, expressed as grams of CaO;
V2 - Volume of komplexon III used for titrating 20 ml of calcium chloride, expressed as ml.
The titer of komplexon III solution shall be determined every week.
+ Powdered calcium carbonate, analytical grade.
+ Sodium hydroxide, 10% solution
+ Murexide, in a mixture with sodium chloride (1 +50) in a brown glass jar.
+ Eriochrome black T, in a mixture with sodium chloride (1 +50).
+ Buffer solution pH = 10; mix 65 g of analytical grade ammonium chloride (NH4Cl) with distilled water in a 1-liter volumetric flask. Add 350 ml of 25% ammonia solution and add more distilled water until the volume reaches 1 l.
2.7.4. Running the test
Pour 100 ml (if overall hardness reaches 15 German degrees), 50 ml (if overall hardness reaches 30 German degrees), 25 ml (if overall hardness exceeds 30 German degrees) of water sample into a 250-ml conical flask; add distilled water until the volume reaches 100 ml. Neutralize alkalinity of the water sample with 0.1 N hydrochloric acid (the amount of acid used for titration of total alkalinity); add 5 ml of buffer solution and 0.1 - 0.2 g of eriochrome black T; titrate the solution with komplexon III until the color red turns blue.
2.7.5. Result calculation:
Overall hardness (expressed as German degree) is calculated as follows:
![]()
Where:
V1- Volume of komplexon III used for titration, expressed as ml.
T - Titer of komplexon III according to CaO, expressed as g/ml;
V - Volume of water sample, expressed as ml.
2.8. Hardness without carbonate.
The hardness without carbonate (expressed as Germany degree) is calculated as follows:
X7= X6 - X5
Where:
X6 - Overall hardness, expressed as German degree;
X5 - Carbonate hardness, expressed as German degree.
2.9 Bicarbonate (HCO-3) and carbonate (CO2-)
The amount of bicarbonate and carbonate ions is calculated according to total alkalinity and free alkalinity according to Table 3.
Table 3 - Calculation of concentration of bicarbonate and carbonate ions
| Ratio of free alkalinity to total alkalinity | Bicarbonate (HCO3- ) | Carbonate (CO2-3 ) | ||
| mg- dl/l | mg/l | mg-dl/l | mg/l | |
| 1 | 2 | 3 | 4 | 5 |
| X1 =0 2X1 <X2 2X1= X2 2X1 > X2 X1= X2 | X2 X2- 2X1 0 0 0 | X2.61 (X2-2X1).61 0 0 0 | 0 2X1 2X1 2(X2-X1) 0 | 0 2X1.30 2X1.30 2(X2-X1).30 0 |
Where:
X1 - Free alkalinity, expressed as mg – dl/l (see 2.3);
X2 - Total alkalinity, expressed as mg – dl/l (see 2.3);
61 - Equivalent amount of HCO3-;
30 - Equivalent amount of CO2-3;
TCXD 81 : 1981
2.10. Calcium (Ca2+)
2.10.1. Scope of application
This method is meant for determination of calcium ions in water, common cations such as Mg2+, K+, Na+ and when the concentration of Fe3+, Al3+, Mn2+ , Cu2+ is low (iron < 20 mg/l, aluminum < 5 mg/l, manganese < 10 mg/l, copper < 2 mg/l).
2.10.2. Nature of the method
In an alkaline environment (pH = 12), calcium ion reacts with murexide and create a compound that makes the solution turn into a dark red color. When titrating with komplexon III, the compound between calcium and komplexon III is more stable that the compound between calcium and murexide, thus the calcium ions are released from the initial compound and combine with komplexon III. The solution then turns into a distinctive violet-blue color at the equivalence point, which is the color of murexide anions released.
2.10.3. Chemicals
+ Komplexon III, 0.05 M solution. See preparation in 2.7.3.
+ Sodium hydroxide, 10% solution
+ Murexide, in a mixture with sodium chloride (1 +50) in a brown glass jar.
2.10.4. Running the test
Pour 100 ml (if calcium concentration reaches 300 mg/l), 50 ml (if calcium concentration reaches > 300 to 500 mg/l), 25 ml (if calcium concentration exceeds 500 mg/l) of water sample into a 250-ml conical flask; add distilled water until the volume reaches 100 ml.
Notes: If the total alkalinity of the water sample exceeds 6mg dl/l, it shall be neutralized with 0.1 N hydrochloric acid. Boil the solution for one minute, then leave it to cool down to determine calcium.
2.10.5. Result calculation
The concentration of calcium ion (Ca2+) (mg/l) is calculated as follows:
Where:
![]()
V1 – Volume of komplexon III solution, expressed as ml;
T - Titer of komplexon III according to CaO, expressed as g/ml;
(V2 is the volume of komplexon III, use
.0.0020 to titrate 20 ml of calcium chloride solution, expressed as ml, according to 2.7.3);
V - Volume of water sample, expressed as ml.
2.11. Magnesium (Mg2+)
2.11.1. Scope of application
This method is meant for determination of magnesium ion in natural water where concentration of Fe3+, Al3+, Mn2+, Cu2+ is low (according to 2.10.1)
2.11.2. Nature of the method
At pH = 10, calcium ions and magnesium ions react with eriochrome black T and create a dark red solution. When titrating with komplexon III, the calcium and magnesium ions are released from the initial compounds and combine with komplexon III to create a more stable compound. The solution turns into a blue color at the equivalence point, which is the color of the indicator anion at pH = 10. Since calcium ions do not produce an obvious change in color, the titer can only be determined in this condition if magnesium ions are also present. Therefore, the quantity of magnesium ions is the difference between this titration and the titration of calcium ions when pH = 12.
2.11.3. Chemicals
Komplexon III, 0.05 M solution. See preparation in 2.7.3.
The titer of komplexon III solution according to magnesium (Mg2+) is determined as follows: Dissolve 6.0180g of anhydrous magnesium sulfate in 1 liter of distilled water; pour 20 ml of this solution in a 250-ml conical flask; add distilled water until the volume reaches 100 ml, add 3 - 5 ml of ammonia buffer solution until pH reaches 10 and titrate with komplexon III and eriochrome black T indicator three times, then calculate the average value.
The titer of komplexon III solution according to magnesium (Mg2+) is calculated as follows:
![]()
Where:
0.0012 - titer of magnesium sulfate solution according to grams of Mg;
V3 - Volume of komplexon III used for titrating 20 ml of magnesium sulfate, expressed as ml.
- Anhydrous magnesium sulfate, analytical grade.
- Buffer solution pH = 10. See preparation in 2.7.3.
- Eriochrome black T, in a mixture with sodium chloride (1 + 50).
- Triethanolamine hydrochloride, crystals, analytical grade
- Hydroxylamine hydrochloride, crystals, analytical grade
2.11.4. Running the test
Pour 100 ml (if total calcium and magnesium concentration reaches 300 mg/l), 50 ml (if total calcium and magnesium concentration reaches 300 - 800 mg/l), 25 ml (if total calcium and magnesium concentration exceeds 800 mg/l) of water sample into a 250-ml conical flask; add distilled water until the volume reaches 100 ml. The amount of water sample must be equal to the amount of water sample for calcium test.
Add 0.5 g of triethanolamine hydrochloride and 0.1 g of Hydroxylamine hydrochloride if concentration of Fe3+, Al3+,Mn2+ in the water sample is high.
Add buffer solution until pH reaches 10 and heat the solution to 40 - 50 0C. Add an amount of 0.05 M komplexon III that is equal to the amount of komplexon III used or titrating calcium, then add 0.02 g of eriochrome black T and keep titrating with 0.05 komplexon III until the solution turns from dark red into blue. In this condition, calcium and magnesium have been titrated.
2.11.5. Result calculation
The concentration of magnesium ion (Mg2+) is expressed as mg/l and calculated as follows:
![]()
Where:
0.05M - Volume of komplexon III used for titrating 20 ml of calcium chloride, expressed as ml.
V1- Volume of 0.05 M komplexon III used for titrating calcium, expressed as ml (see 2.10.4);
T - Titer of komplexon III solution according to magnesium (Mg2+), expressed as g/cm3
v - Volume of water sample, expressed as ml
2.12. Chloride (Cl-)
2.12.1. Scope of application
This method is meant for determination of concentration of chlorine ions in water if exceeding 2 mg/l. With accuracy from 1 to 3 mg/l, up to 100mg/l of chlorine ion concentration may be determined. To accurately determine the concentration of chlorine ion that is below 10 mg/l, leave 250 - 300 ml of water sample to evaporate until the volume is 100 ml, then run the test.
Determination of chlorine is difficult if concentration of Hg2+, Pb2+, H2S, H2S, Fe3+ exceeds 10 mg/l and concentration of phosphate exceeds 25 mg/l.
2.12.2. Nature of the method
The determination of chlorine is based on precipitation of silver chloride from silver nitrate. When all chloride ions are reacted with, the solution will turn red at the equivalence point because of the precipitation of silver chromate. The reactions occur at pH = 10 y 10
2.12.3. Chemicals
Silver nitrate, 0.05 N solution. Dissolve 8.4945g of a.g. AgNO3 in distilled water using a 1-l volumetric flask and add more distilled water until the volume reaches 1 liter.
potassium chromate 5% solution;
2.12.4. Running the test
Pour 100 ml of filtered water sample in a 250-ml conical flask, add 1 ml of 5% potassium chromate and titrate with 0.05N silver nitrate until stable reddish orange precipitates are seen. If the concentration of chloride is small, titration shall be carried on until reddish brown sediment is seen. Run the test twice and calculate the average value.
Notes: To remove H2S and HS-, take an amount of water sample, acidize it with dilute nitric acid (1 + 5), boil the solution for 8 - 10 minutes, adjust until the pH reaches the initial level and then run the test. Remove organic substances by evaporate the water sample until it dry, heat it at 200 0C, dissolve the dreg in dissolved water until the solution reaches the initial volume, and then run the test. When pH of the water sample is below 6, neutralize it with sodium bicarbonate. If pH of the water sample is above 10, neutralize it with dilute nitric acid (1 + 5).
2.12.5. Result calculation:
The concentration of chloride ion (Cl-) is expressed as mg/l and calculated as follows:
![]()
Where:
V1- Volume of 0.05N silver nitrate used titration, expressed as ml;
N - Equivalent concentration of silver nitrate;
0.03546 - miliequivalent weight of chlorine;
V - Volume of water sample, expressed as ml.
2.13. Sulfate (SO4-)
2.13.1. Scope of application
This method is meant for determination of concentration of sulfate ions in water.
Determination of sulfate is obstructed by impurities, high concentration of silicate and iron.
2.13.2. Nature of the method
In dilute hydrochloric acid, sulfate ions form a precipitate in the form of barium sulfate (BaSO4) with barium chloride solution (BaCl2)
2.13.3. Chemicals
+ Dilute hydrochloric acid (1 + 1).
+ Dilute hydrochloric acid (1 + 99).
+ Barium chloride, 10% solution.
Silver nitrate solution: dissolve 1g of a.g. AgNO3 in distilled water; add 5ml of concentrated nitric acid, then add more distilled water until the volume reaches 100 ml.
+ Methyl orange, 1% solution.
2.13.4. Running the test
Pour 500 ml (if concentration of SO2-4 reaches 50 mg/l), 250 ml (if concentration of SO2-4 reaches > 50 - 200 mg/l), 250 ml (if concentration of SO2-4 reaches > 200 - 500 mg/l), or 50 ml (if concentration of SO2-4 exceeds 500 mg/l) of filtered water sample into a beaker; leave it to evaporate or dilute it until the volume reaches 100 ml; add 3 - 4 drops of methyl orange and hydrochloric acid (1 + 1) until the solution turns pink.
Boil the solution; add 10 ml of 10% barium chloride drop by drop while stirring. Boil the solution for 5 more minutes; cover the beaker with a plate of glass and put it on a double boiler for 2 - 4 hours to form barium sulfate precipitate; filter with ashless filter paper; rinse the precipitate on the filter paper with hot dilute hydrochloric acid (1 + 99), then rinse again with hot distilled water until chloride ions are no longer present in the rising water (no precipitates are formed in the rinsing water when more silver nitrate is added). Put the filter paper that contain barium sulfate precipitate in a beaker with a known weight; dry it at 1050C, burn and heat at 8000C for 30 - 40 minutes; stabilize the temperature in the desiccator and weigh it until its weight remains unchanged.
2.13.5. Result calculation
The concentration of sulfate ion (SO2-4), is expressed as mg/l and calculated as follows:
![]()
Where:
G - weight of barium sulfate precipitate, expressed as g;
0.4115 - coefficient for converting the weight of barium sulfate into SO2-4
V - Volume of water sample, expressed as ml.
2.14. Oxidization number
2.14.1. Scope of application
This method is meant for determination of oxidization number of water in which concentration of chloride does not exceed 300 mg/l.
2.14.2. Nature of the method
In sulfuric acid, potassium permanganate oxidizes the reducing agents in water. After boiling, add oxalic acid to reduce the amount of potassium permanganate that remains after reaction. Titrate the remainder of oxalic acid with potassium permanganate solution.
2.14.3. Chemicals
+ Potassium permanganate, 0.01N solution;
+ Dilute sulfuric acid (1 + 3).
+ Oxalic acid, 0.01N solution.
2.14.4. Running the test
Pour 100 ml of water sample in a 250-ml conical flask; add 5 ml of dilute sulfuric acid (l + 3); use a burette to add exactly 10 ml of 0.01N potassium permanganate. Boil the solution for 10 minutes. If the pink color of the solution is not vibrant, run the test again with less water sample and dilute it until the volume reaches 100 ml.
Add exactly 10 ml of 0.01N oxalic acid to the hot solution and titrate immediately with 0.01N potassium permanganate until the solution turns into a stable pink.
The temperature of the solution during the titration must not fall below 500C.
Make a counterpart sample by replacing water sample with distilled water and follow the steps above.
Notes: Dilute the water sample if the concentration of chloride ions exceeds 300 mg/l. If the water sample contains inorganic substances oxidized by potassium permanganate ((H2S, Fe2+, NO-), such substances must be determined separately, and a corresponding amount of oxygen must be reduced when calculating oxidization number, in particular:
- 1 mg of H2S is equivalent to 0.47mg O2;
- 1 mg of NO2 is equivalent to 0.35mg O2;
- 1 mg of Fe2+is equivalent to 0.14mg O2.
2.14.5. Result calculation
Oxidization number is calculated as follows:
![]()
Where:
V2 - volume of 0.01 N potassium permanganate solution used for titrating the water sample, expressed as ml;
V1 - volume of 0.01 N potassium permanganate solution used for titrating the counterpart sample, expressed as ml;
N - Equivalent concentration of potassium permanganate;
8 - Equivalent amount of oxygen;
V - Volume of water sample, expressed as ml
2.15. Hydrogen sulfide and sulfides
2.15.1. Scope of application
This method is meant for determination hydrogen, sulfides, and various forms of sulfide ions in water with concentration of 10 mg/l.
2.15.2. Nature of the method
This method is based on direct titration of hydrogen sulfide and various forms of sulfide ions using iodine solution.
2.15.3. Chemicals
+ Iodine, 0.01N solution.
+ Starch, 0.5% solution.
+ Concentrated acetic acid.
2.15.4. Running the test
Add 200 ml of filtered water sample into a 500-ml flask; add 3 - 4 drops of acetic acid, 2 - 3 drops of starch solution, and titrate with 0.01N iodine solution until it turns into a light blue.
The test is repeated in the following order:
Pour an amount of 0.01N iodine solution that is equal to the amount used for the first titration, then pour 200 ml of water sample into the flask and add some drops of 0.5% starch solution. Then keep titrating with 0.01N iodine solution until the solution turns into a light blue.
Calculate the average value after two titrations.
2.15.5. Result calculation
The concentration of hydro sulfide and sulfide ions is expressed as mg/l and calculated as follows:
![]()
Where:
V1- Volume of 0.05N silver nitrate used titration, expressed as ml;
N - Equivalent concentration of iodine solution;
0.017 - Miliequivalent of H2S;
V - Volume of water sample, expressed as ml.
2.16. Nitrite (NO2- )
2.16.1. Scope of application
This method is meant for determination of nitrite in water that does not contain strong oxidizing and reducing agents. Determination of nitrite is obstructed by opaque and colored water, Fe3+, Hg2+ , Ag+, Bi2+, pb2+, Au3+, chlorplatinate, and metavanadate ions Cu2+ makes the result lower than actuality.
The influencing factors can be eliminated by diluting the water sample.
2.16.2. Nature of the method
The method is based on the diazotization reaction in acid between nitrite and a mixture of sulfanilic acid and - naphthylamine, which forms a pink dye.
2.16.3. Chemicals
- Sulfanilic acid, 0.6 % solution: Dissolve 6.0 g of a.g. sulfanilic acid in 750 ml of boiled distilled water; add 250 ml of acetic acid,
- Naphthylamine, 0.6% solution: Dissolve 1.2 g of a.g. naphthylamine in distilled water; add 250 ml of acetic acid and add more distilled water until the volume reaches 250 ml.
This solution can be used for 2 - 3 months.
- Sodium nitrite, solution I: Dissolve 0.1497g of a.g. NaNO2 , which has been dried at 1050C, in distilled water; then add more distilled water until the volume reaches 1 liter. Add 1 ml of chloroform. Preserve the solution at a low temperature and it can be used for one month. A liter of solution I contains 0.100ml of NO2-
Solution II: dilute 100 ml of solution I by adding distilled water until the volume reaches 1 liter. Every ml of this solution contains 0.010mg of NO2. Only prepare this solution before use.
Solution III: dilute 50 ml of solution II by adding distilled water until the volume reaches 1 liter. Every ml of this solution contains 0.0005mg NO2. Only prepare this solution before use.
2.16.4. Drawing standard graph
Use distilled water to successively dilute 0; 0.5; 1; 1.5; 2; 2.5; 3 ml of solution II until the volume reaches 50 ml. The concentration of the new solution is 0; 0.1; 0.2; 0.3; 0.4; 0.5; 0.6 mg/l NO2 respectively. Test each of them in the same way as testing the water sample. Measure color intensity of each solution using a photoelectric colorimeter
Draw a standard graph based on the measured optical density of the solutions. The vertical axis indicates optical density, the horizontal axis indicates corresponding concentration (mg/l).
2.16.5. Standardized color chart
Pour 0; 0.2; 0.5; 1.00; 1.500; 2.00; 2.50 ml of solution III in netle cylinders; successively dilute them with distilled water until the volume reaches 50 ml. Test the solutions successively in the same way as testing water sample. Respective concentrations of the new solutions are 0.000; 0.002; 0.003; 0.01; 0.015; 0.020; 0.025 mg/l NO2.
2.16.6. Running the test
Pour 50 ml of water sample into a conical flask. If the initial volume is below 50 ml, dilute it with distilled water until the volume reaches 50ml. Add 1 ml of sulfanilic acid and shake gently. Leave the solution for five minutes, then add 1 ml of a-naphthylamine and shake gently. Measure the intensity of the solution using the photoelectric colorimeter after 40 minutes from the addition of a-naphthylamine; use a green filter glass (O = 520mm, cuvet thickness = 1 - 5 cm), or compare the color with the standard color chart with bare eyes.
Notes: If the water sample is muddy after filtration, and some samples have floating colloids: Add 0.5 g of activated carbon, 1 ml of 12.5% KAl(SO4)2.12H2O and ammoniac with pH = 8 to 100 ml of water. Stir gently and leave the precipitates to deposit until the solution is transparent, then filter it through filter paper. Take part of the filtered solution to determine nitrite. Dilute the sample if obstructing substances are present in the water (see 1.16.1) If the water sample has a color, measure the optical density and remove it when calculating the result.
2.16.7. Result calculation
The concentration of nitrite ion (NO2) is expressed as mg/l and calculated as follows:
![]()
Where:
C - concentration of nitrite ions according to the standard graph or color chart, expressed as mg/l
v - volume of water sample, expressed as ml
50 - Volume of diluted water sample, expressed as ml.
2.17. Nitrate (NO3)
2.17.1. Scope of application
This method is meant for determination of nitrate with concentration of up to 1 mg/l in water where concentration of chloride does not exceed 200 mg/l, iron 5 mg/l, and nitrite 2 mg/l.
2.17.2. Nature of the method
This method is based on the reaction between nitrate and sodium salicylate in sulfuric acid, which creates a yellow salt of nitrosalicylic acid.
2.17.3. Chemicals.
+ Sodium salicylate, 0.5%.
+ Concentrated sulfuric acid.
+ Sodium hydroxide 10N: Dissolve 400g of a.g. NaOH in dissolved water. Add more distilled water until the volume reaches 1 liter when it has cooled down.
Potassium nitrate, solution I: Dissolve 0.1631g of a.g. KNO3, which has been dried at 1050C, in distilled water; then add more distilled water until the volume reaches 1 liter.
Thus 1 ml of solution I contains 0.100mg of NO3
Solution II: dilute 10 ml of solution I by adding distilled water until the volume reaches 100 ml. Every ml of solution II contains 0.010 mg of NO3. Only prepare this solution before use.
2.17.4. Drawing standard graph
Successively add distilled water to dilute 0, 0.5; 1; 2; 5; 10ml of solution II until the volume reaches 10 ml. Leave them to evaporate in ceramic bowls on double boilers until they dry out, and test each of them the same way as water sample. Respective concentrations of the new solutions are 0; 0.1; 0.2; 0.4; 1.0; 2.0 mg/l NO -. Measure color intensity of each solution using a photoelectric colorimeter
Draw a standard graph based on the measured optical density of the solutions. The vertical axis indicates optical density, the horizontal axis indicates corresponding concentration (mg/l).
2.17.5. Standardized color chart.
Successively add distilled water to dilute 0; 0.2; 0.5 , 1.0; 2.0; 4.0; 6.0; 8.0; 10.0 ml of solution III until the volume reaches 10 ml. Leave them to evaporate in ceramic bowls on double boilers until they dry out, and test each of them the same way as water sample. Add distilled water to dilute colored solutions in netle cylinders Respective concentrations of the new solutions are 0; 0.04; 0.1; 0.2; 0.4; 0.8; 1.2; 1.6; 2.0 mg/l NO3.
2.17.6. Running the test
Take 10 ml of water sample, add 1 ml sodium salicylate and leave it to evaporate in a ceramic bowl on a double boiler until it dries out. Add 1 liter of sulfuric acid when it has cooled down. Use a glass stick to stir the solution against the side and the bottom of the bowl to make sure all dregs are dissolved, then leave it for 10 minutes.
Pour distilled water into the bowl, stir gently and pour it into a 50-ml flask. Rinse the bowl many times with distilled water; pour the rinsing water into a flask. Add 7 ml of 10N sodium hydroxide, then add distilled water until the volumetric mark is reached and gently shake the flask. After 10 minutes from the addition of sodium hydroxide, the color of the solution must not change. Measure the color intensity of the solution using the photoelectric colorimeter, use a green filter glass (O = 410 mm, cuvet thickness = 1 - 5 cm), or compare the color with the standard color chart with bare eyes.
Notes: If the chloride concentration in the water sample is high, take 100 ml of water and add an amount of silver sulfate that is equivalent to the known amount of chlorine (dissolve 4.40 g of Ag2SO4 in 1 liter of distilled water; 1 ml of this solution corresponds to 1 mg of Cl-), filter out silver chloride precipitate and use the filtered solution to determine nitrate. Add 8 - 10 drops of 20% potassium sodium tatrate to the water sample if iron concentration is high. If nitrite ion concentration exceeds 2 mg/l, add 0.05g of ammonium sulfate to 20 ml of water sample leave it to evaporate in a ceramic bowl on a double boiler until it dries out; dissolve the dregs, filter the solution and use the filtered solution to determine nitrate.
2.17.7. Result calculation
Concentration of nitrite ion (NO3) is expressed as mg/l and calculated as follows:
![]()
Where:
C - nitrate ion concentration according to the standard graph or color chart, expressed as mg/l
v - volume of water sample, expressed as ml;
50 - Volume of water sample that has color, expressed as ml.
2.18. Ammonia and ammonium
2.18.1. Scope of application
This method is meant for determination of ammonia and ammonium in water that does not contain amines, chlorine, chloramine, acetone, alcohol, and other organic substances that react with Netle indicator. Determination of ammonia and ammonium is obstructed by muddy water, high concentration of iron and sulfur.
2.18.2. Nature of the method
Ammonia and ammonium ions react with potassium iodua mercury in an alkaline environment and create a brownish yellow precipitate.
2.18.3. Chemicals
+ Distilled water without ammonia.
+ Netle indicator: 100g.
Hg2I analytical grade and 70g K.I analytical grade mixed with sodium hydroxide solution. Sodium hydroxide solution is prepared as follows: dissolve 160g of a.g. NaOH in 500 ml of distilled water. Add more distilled water until the volume reaches 1 liter. Leave the solution to deposit precipitates for at least 4 hours and use only the part that is transparent.
+ Sodium potassium tartrate, 50% solution: Dissolve 50 g of a.g. KNC4H4O6.4H2O in dissolved water; dilute the solution with distilled water until the volume reaches 100 ml; add 0.2 - 0.5 ml of netle indicator. Leave the solution to deposit precipitates and use the transparent part of the solution.
Komplexon III, 50% solution: Dissolve 10 g of a.g. sodium hydroxide in 60 ml of distilled water, then add 50 g of komplexon III. Add more distilled water until the volume reaches 100 ml.
+ Sodium hydroxide, 15% solution.
+ Ammonia chloride.
Solution I: Dissolve 0.2965g of a.g. NH4Cl in distilled water to create 1 liter of solution. Every ml of this solution contains 0.100mg NH4. Only prepare this solution before use.
Solution II: dilute 50 ml of solution I with distilled water until the volume reaches 1 liter. Every ml of this solution contains 0. 005mg NH4. Only prepare this solution before use.
2.18.4. Drawing standard graph
Successively add distilled water to dilute 0; 0.5; l,0; 2.0; 4.0; 6.0; 8.0; 10; ... 40ml of solution II until the volume reaches 50 ml, and test each of them the same way as water sample. Respective concentrations of the new solutions are 0;0.05; 0.10; 0.20; 0.40; 0.60; 0.80; 1.00; ...; 4.00 mg/l NH4+. Measure the color intensity of each solution with a photoelectric colorimeter.
Draw a standard graph based on the measured optical density of the solutions. The vertical axis indicates optical density, the horizontal axis indicates corresponding concentration (mg/l).
2.18.5. Standardized color chart
Successively add distilled water to dilute 0; 0.5; 1.0; 2.0; 4.0; 6.0; 8.0; 10.0; ...; 20 ml of solution II in netle cylinders. Test the solutions successively in the same way as testing water sample. Respective concentrations of the new solutions are 0; 0.05; 0.10; 0.20; 0.40; 0.60; 0.80; 1.00; ...; 2.00 mg/l NH4+
2.18.6. Running the test
Add 1 - 2 drops of komplexon III or sodium potassium tartrate to 50 ml of water sample and shake it gently. Add 0.5 - 1 ml of 1 - 2 drops of komplexon III or sodium potassium tartrate if water hardness is high. Add 1 ml of netle indicator and share gently. Measure the color intensity of the solution using the photoelectric colorimeter after 10 minutes; use a green filter glass (O = 400: 425mm, cuvet thickness = 1 - 5 cm), or compare the color with the standard color chart with bare eyes. After 30 minutes from the appearance of the color, the color of the solution must not change. When measuring color intensity with photoelectric colorimeter, if the ammonium ion concentration is higher than 6 mg/l, the solution must be diluted before being measured.
2.18.7. Result calculation
Ammonium ion concentration (NH4+) is expressed as mg/l and calculated as follows:
![]()
Where:
C - ammonium ion concentration according to the standard graph or color chart, expressed as mg/l;
V - Volume of tested water, expressed as ml;
50 - Volume of diluted water sample, expressed as ml.
2.19. Calculation of dried dregs at 1050C
2.19.1. Running the test
Leave 200 ml of water sample to evaporate in a ceramic bowl, which has been dried at 1050C, on a double boiler until it dries out. Dry the ceramic bowl with dried dregs for 2 hours at 1050C, stabilize the temperature in a desiccator and weigh it until its weight remains unchanged.
2.19.2. Result calculation
The concentration of dregs dried at 1500C is expressed as mg/l and calculated as follows:
![]()
Where:
G - weight of dried dregs at 1050C, expressed as g;
V - Volume of water sample, expressed as ml.
2.20. Concentration of insoluble dregs dried at 1050C
2.20.1. Running the test
Filter 200 ml of water sample with filter paper, which has been dried at 1050C, then weigh it until its weight remains unchanged. Dry the filter paper with dried dregs for 2 hours at 1050C, stabilize the temperature in a desiccator and weigh it until its weight remains unchanged.
2.20.2. Result calculation
The concentration of dregs dried at 1050C is expressed as mg/l and calculated as follows:
![]()
Where:
G - weight of dried dregs at 1050C, expressed as g;
V - volume of water sample, expressed as ml
2.21. Concentration of insoluble dregs burnt at 6000C
2.21.1. Running the test
Put the filter paper that contain insoluble dregs dried at 1050C (see 2.20) in a ceramic bowl with known weight; heat it at 6000C for 1 hour; stabilize the temperature in the desiccator and weigh it until its weight remains unchanged.
2.21.2. Result calculation
The concentration of dried dregs burnt at 6000C is expressed as mg/l and calculated as follows:
![]()
Where:
G - difference of weight of insoluble dregs dried at 1050C and weight of remaining dregs after being heated at 6000C, expressed as g;
V - Volume of water sample, expressed as ml.
Notes: The units of measurement in this Standard are based on current table of measurement units.
Bạn chưa Đăng nhập thành viên.
Đây là tiện ích dành cho tài khoản thành viên. Vui lòng Đăng nhập để xem chi tiết. Nếu chưa có tài khoản, vui lòng Đăng ký tại đây!