- Tổng quan
- Nội dung
- Tiêu chuẩn liên quan
- Lược đồ
- Tải về
Tiêu chuẩn Việt Nam TCVN 6170-6:1999 Công trình biển cố định - Kết cấu - Phần 6
| Số hiệu: | TCVN 6170-6:1999 | Loại văn bản: | Tiêu chuẩn Việt Nam |
| Cơ quan ban hành: | Bộ Khoa học, Công nghệ và Môi trường | Lĩnh vực: | Xây dựng |
|
Ngày ban hành:
Ngày ban hành là ngày, tháng, năm văn bản được thông qua hoặc ký ban hành.
|
1999 |
Hiệu lực:
|
Đang cập nhật |
| Người ký: | Đang cập nhật |
Tình trạng hiệu lực:
Cho biết trạng thái hiệu lực của văn bản đang tra cứu: Chưa áp dụng, Còn hiệu lực, Hết hiệu lực, Hết hiệu lực 1 phần; Đã sửa đổi, Đính chính hay Không còn phù hợp,...
|
Đã biết
|
TÓM TẮT TIÊU CHUẨN VIỆT NAM TCVN 6170-6:1999
Nội dung tóm tắt đang được cập nhật, Quý khách vui lòng quay lại sau!
Tải tiêu chuẩn Việt Nam TCVN 6170-6:1999
TIÊU CHUẨN VIỆT NAM
TCVN 6170-6:1999
CÔNG TRÌNH BIỂN CỐ ĐỊNH - KẾT CẤU - PHẦN 6: THIẾT KẾ KẾT CẤU BÊ TÔNG CỐT THÉP
Fixed offshore platforms - Structures - Part 6: Design of concrete structures
Lời nói đầu
TCVN 6170-5:1999 tương đương với Qui phạm công trình biển cố định của Nauy - Phần 7:1993.
TCVN 6170-6: 1999 tương đương với Qui phạm công trình biển cố định của Nauy - Phần 8: 1993.
TCVN 6170-7:1999 tương đương với Qui phạm công trình biển cố định của Nauy - Phần 9:1993.
TCVN 6170-8: 1999 tương đương với Qui phạm công trình biển cố định của Nauy - Phần 10: 1993.
TCVN 6170: 1999 do Tiểu ban kỹ thuật tiêu chuẩn TCVN/TC 67/SC7 "Công trình ngoài khơi" biên soạn, dựa trên kết quả đề tài nghiên cứu khoa học KT 03-20 thuộc Chương trình điều tra nghiên cứu biển, Trung tâm Khoa học tự nhiên và Công nghệ Quốc gia chủ trì. Tổng cục Tiêu chuẩn Đo lường Chất lượng đề nghị, Bộ Khoa học, Công nghệ và Môi trường ban hành.
CÔNG TRÌNH BIỂN CỐ ĐỊNH - KẾT CẤU - PHẦN 6: THIẾT KẾ KẾT CẤU BÊ TÔNG CỐT THÉP
Fixed offshore platforms - Structures - Part 6: Design of concrete structures
1 Phạm vi áp dụng
Tiêu chuẩn này áp dụng để tính toán thiết kế kết cấu bê tông cốt thép và bê tông ứng suất trước theo phương pháp hệ số riêng phần trong công trình biển cố định.
Các loại kết cấu bê tông khác và việc áp dụng các phương pháp thiết kế khác sẽ được xem xét riêng.
2 Tiêu chuẩn trích dẫn
TCVN 3105:1993 Hỗn hợp bê tông nặng và bê tông nặng - Lấy mẫu, chế tạo và bảo dưỡng mẫu thử.
TCVN 6170-1:1996 Công trình biển cố định - Phần 1: Quy định chung.
TCVN 6170-3:1998 Công trình biển cố định - Phần 3: Tải trọng thiết kế.
TCVN 6170-4:1998 Công trình biển cố định - Phần 4: Thiết kế kết cấu thép.
TCVN 6170-7:1999 Công trình biển cố định - Kết cấu - Phần 7: Thiết kế móng.
3 Quy định chung
3.1 Thiết kế
3.1.1 Các nguyên tắc thiết kế chung theo TCVN 6170-1: 1996, các loại tải trọng thiết kế theo TCVN 6170-3: 1998.
3.1.2 Khi các khuyết tật về hình học ảnh hưởng đáng kể đến khả năng chịu tải của công trình, người thiết kế phải quy định rõ các sai số trong xây dựng và đưa vào tính toán với những giới hạn bất lợi nhất của chúng. Trong quá trình xây dựng, nếu những sai số này bị vượt quá thì phải xem xét kỹ ảnh hưởng của sự vượt này.
3.2 Các giả thiết
3.2.1 Các phương pháp thiết kế nêu trong tiêu chuẩn này dựa trên giả thiết là các giá trị tính toán đối với hiệu ứng tải trọng và sức bền được tính riêng rẽ. Trong những trường hợp cẩn phân tích phi tuyến tổng hợp thì phải chỉnh lại những yêu cầu thiết kế này để bảo đảm đạt mức độ an toàn tương đương.
3.3 Các ký hiệu
3.3.1 Những ký hiệu sau đây được dùng trong tiêu chuẩn này:
b - chiều rộng của tiết diện;
h - chiều cao toàn bộ của tiết diện;
d - chiều cao hiệu dụng của tiết diện;
e - độ lệch tâm;
ϕ - đường kính của cốt thép;
c - chiều dày lớp bê tông bảo vệ cốt thép;
x - chiều sâu vùng chịu nén;
Ac - diện tích toàn phần của tiết diện bê tông;
As - diện tích cốt thép dọc;
Asv - diện tích cốt thép ngang;
ρ - hệ số cốt thép =
lc - mômen quán tính của tiết diện bê tông đối với trục chính;
Wc - mômen chống uốn đàn hồi của tiết diện bê tông;
fsk - cường độ đặc trưng của cốt thép;
fsr - cường độ thiết kế của cốt thép;
fsy - giới hạn chảy của cốt thép;
f0,2 - giới hạn chảy qui ước của cốt thép ứng với biến dạng dư bằng 0,2%;
∆σs - chênh lệch của ứng suất trong cốt thép ứng suất trước so với ứng suất khi biến dạng trong bê tông bằng không;
fck - cường độ chịu nén đặc trưng của mẫu bê tông khối lập phương (28 ngày);
fcck - cường độ chịu nén đặc trưng của mẫu bê tông hình trụ (28 ngày);
fcn - cường độ chịu nén danh nghĩa của bê tông;
fcr - cường độ chịu nén tính toán của bê tông =
ftk - cường độ chịu kéo đặc trưng của bê tông;
ftn - cường độ chịu kéo danh nghĩa của bê tông;
ftr - cường độ chịu kéo tính toán của bê tông = ;
g m - hệ số vật liệu;
P - lực tạo ứng suất trước;
ɛcn - giá trị danh nghĩa của ɛc;
ɛcu - giới hạn biến dạng tối đa của bê tông khi chịu nén trong trạng thái giới hạn cực đại;
ɛc - biến dạng nén của bê tông khi chịu tải ngắn hạn;
ɛco - biến dạng nén của bê tông tại điểm đạt ứng suất cực đại;
Ecn - môđun đàn hồi của bê tông (xem hình 1);
Eck - môđun đàn hồi đặc trưng của bê tông chịu tải ngắn hạn;
Esk - môđun đàn hồi đặc trưng của cốt thép thường,
c - bê tông, chịu nén;
s - cốt thép;
v - chịu cắt;
t - chịu kéo.
Các ký hiệu khác sẽ được định nghĩa khi xuất hiện trong tiêu chuẩn này.
(Nếu không có quy định khác, trong các công thức phải dùng các đơn vị phù hợp với ký hiệu nêu trên).
3.4 Cường độ đặc trưng
3.4.1 Cường độ đặc trưng phải được xác định trên cơ sở số liệu tin cậy và kỹ thuật thống kê thích hợp dựa vào các phương pháp thử vật liệu được thừa nhận.
3.4.2 Giá trị đặc trưng của cường độ (hoặc sức bền) thường phải dựa trên phân vị 5 % hoặc 95 % của kết quả thử, tùy theo phân vị nào là bất lợi nhất.
Cường độ (hoặc sức bền) mỏi đặc trưng thưởng phải dựa trên phân vị 2,5 % của kết quả thử.
3.4.3 Trường hợp sức bền cao làm giảm độ an toàn kết cấu thì sức bền đặc trưng phải được xác định sao cho nó bị vượt với một xác suất thấp.
3.4.4 Giá trị đăc trưng của sức bền ứng với giới hạn chảy thiết kế phải được lấy nhỏ hơn:
- giới hạn chảy trên nhỏ nhất;
- giới hạn chảy ứng với biến dạng dư 0,2 %;
- 0,85 lần độ bền kéo nhỏ nhất của vật liệu.
4 Thiết kế theo phương pháp hệ số riêng phần
4.1 Qui định chung
4.1.1 Trong phương pháp này, mức độ an toàn nhận được bằng cách áp dụng các hệ số riêng phần đối với các giá trị đặc trưng của tải trọng và của sức bền, xem TCVN 6170 -1:1996.
4.1.2 Các hệ số riêng phần dùng để tính các hiệu ứng tải trọng được nêu trong TCVN 6170-3:1998, còn các hệ số riêng phần về vật liệu dùng để tính sức bền được nêu trong bảng 2.
5 Các thông số thiết kế đối với bê tông
5.1 Cường độ chịu nén đặc trưng
5.1.1 Mác của bê tông phải được xác định theo cường độ chịu nén đặc trưng thấp hơn (fck) của các mẫu thí nghiệm khối lập phương chịu tải ngắn hạn đơn trục.
5.1.2 Cường độ chịu nén đặc trưng (fck hoặc fcck) được xác định bằng thống kê ứng với phân vị 5% (hoặc 95%) đối với các mẫu thí nghiệm đã được chế tạo, bảo dưỡng và thí nghiệm theo TCVN 3105:1993). Tuổi bê tông khi thử thông thường là 28 ngày.
Những tiêu chuẩn thí nghiệm vật liệu được chấp nhận như vậy phải được cơ quan có thẩm quyền phê duyệt.
5.1.3 Khi xác định cường độ đặc trưng và mối quan hệ ứng suất - biến dạng tương ứng của bê tông dùng trong phân tích thiết kế phải chú ý đặc biệt đến những yếu tố cơ bản có ảnh hưởng bất lợi đến khả năng chịu lực của vật liệu trong công trình.
Chú thích - Do khó xác định được sự thống kê chính xác của cường độ đặc trưng, cường độ để thiết kế thường được lấy bằng các giá trị danh nghĩa quy định thiên về an toàn.
5.1.4 Thay cho các phương pháp chính xác hơn, đối với bê tông không chịu tải mỏi thì cường độ chịu nén đặc trưng có thể lấy bằng một giá trị danh nghĩa (fcn) được xác định như sau:
fcn = k. fck
trong đó: k là hệ số chuyển đổi chung giữa cường độ mẫu thí nghiệm tiêu chuẩn với cường độ trong kết cấu.
Hệ số “k” phải bao hàm được tất cả các thông số liên quan.
Chú thích - Hệ số k có thể bao gồm các thành phần phản ánh về:
- chuyển đổi về cường độ một trục "thực" (loại bỏ ảnh hưởng hạn chế biến dạng tại các vùng đầu mút của mẫu thí nghiệm gây ra do các tấm đặt tải của thiết bị thử tiếp xúc với mẫu);
- chuyển đổi về cường độ tại hiện trường ở thời điểm bê tông đông cứng và đối với điều kiện thí nghiệm phù hợp với độ đông cứng khi xác định fck;
- ảnh hưởng của tốc độ đặt tải thực tế khác vối tốc độ đặt tải khi xác định fck;
- ảnh hưởng của những ứng suất cao được duy trì liên tục trong khoảng vài ngày và lâu hơn, ảnh hưởng này phải được xem xét liên quan tới từng thành phần ở trên;
- ảnh hưởng bất lợi của tải lặp ở những mức ứng suất cao;
- ảnh hưởng của tuổi bê tông tại thời điểm xuất hiện tổ hợp tải trọng tới hạn có liên quan tới việc xác định fck:
- ảnh hưởng của các trạng thái ứng suất đa trục do hiệu ứng tải trọng hoặc sự hạn chế cơ học liên quan tới cường độ một trục;
- ảnh hưởng bất lợi của áp lực lỗ rỗng bên trong do môi trường áp lực cao của chất lỏng hoặc chất khí;
- ảnh hưởng bất lợi của nhiệt độ cao, ví dụ: hỏa hoạn;
- ảnh hưởng bất lợi khác có thể được xem là quan trọng đối với từng trường hợp riêng biệt.
Một vài yếu tố của hộ số chuyển đổi, về nguyên tắc, có thể là khác nhau đối với các trạng thái giới hạn khác nhau cũng như đối với các tổ hợp tải trọng khác nhau trong cùng một trạng thái giới hạn.
5.1.5 Nếu hệ số chuyển đổi (k) này bao gồm các thành phần phản ảnh sáu điểm đầu tiên đã liệt kê trong chú thích ở điều 5.1.4 thì có thể dùng các giá trị đặc trưng cho trong bảng 1 để thiết kế.
5.2 Cường độ chịu kéo đặc trưng
5.2.1 Cường độ chịu kéo đặc trưng thường được lấy bằng các giá trị danh nghĩa quy định (ftn). Những giá tri này có thể được xác định theo cường độ chịu nén phù hợp thực tế được chấp nhận. Khi thiết kế có thể sử dụng những giá trị cho trong bảng 1.
5.3 Mối quan hệ ứng suất - biến dạng
5.3.1 Đường cong quan hệ ứng suất - biến dạng của bê tông chịu nén phải được chọn sao cho dự báo được các đặc trưng của chúng trong các trạng thái giới hạn thích hợp, phù hợp với kết quả của các thử nghiệm phổ thông. Quan hệ tổng quát thể hiện trên hình 1 có thể được dùng để thay thế những số liệu như vậy.

Hình 1 - Đồ thị ứng suất - biến dạng tổng quát để tính toán cường độ chịu nén của bê tông nhẹ và bê tông thường
Chú thích - Nén được coi là âm, do đó các giá trị của ɛ và σ là âm đối với bê tông chịu nén.
Đối với bê tông thường, khi fck ≤ 65 N/mm2 thì có thể giả thiết là:
Ecn = kE(fcn)0,3
trong đó: kE= 10 000 (N/mm2)0,7.
ɛco = ɛ1 - kcfcn
trong đó: ɛ1 = - 1,9‰ và kɛ = 0,004‰ (N/mm2).
Đối với những mác bê tông lớn hơn C65 và những bê tông nhẹ thì các giá trị của Ecn và ɛco phải được xác định bằng thí nghiệm. Bê tông chịu kéo phải được coi là không chịu ứng suất nếu không có quy định khác.
5.3.2 Đối với bê tông đặc chắc thường có mác giữa C25 và C55 thì có thể dùng đồ thị ứng suất biến dạng được đơn giản hóa sau:

Hình 2 - Đồ thị ứng suất - biến dạng đơn giản hóa đối với bê tông đặc chắc thường chịu nén có mác giữa C25 và C55
![]()
ɛco= - 2‰ là biến dạng tại điểm ứng suất lớn nhất.
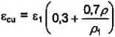
5.3.3 Đối với bê tông nhẹ (LWA) có mác giữa LC15 và LC45, thì có thể áp dụng đồ thị ứng suất - biến dạng gãy khúc đơn giản hóa để tính sức chịu tải.
Giới hạn biến dạng lớn nhất đối với bê tông LWA khi chịu nén là:
![]()
trong đó: ɛ1= - 3,5‰ và ρ1= 2 400 kg/m3.

Hình 3 - Đồ thị ứng suất - biến dạng đơn giản hóa đối với các mác bê tông nhẹ LC15 đến LC45
5.3.4 Để tính toán sức chịu tải dọc trục và mômen uốn có thể áp dụng các dạng phân phối ứng suất khác nhau đã nêu ở các điều 5.3.1. 5.3.2 và 5.3.3. miễn là chúng không làm tăng sức chịu tải của tiết diện.
5.4 Đường cong mỏi
5.4.1 Đường cong mỏi (đường cong S-N) của bê tông phải tính đến tất cả các thông số sau:
- chất lượng bê tông;
- hiệu ứng tải trọng chiếm ưu thế (lực dọc trục, mômen uốn, lực cắt, lực liên kết hoặc các tổ hợp thích hợp của chúng);
- trạng thái ứng suất (chu trình khi nén thuần túy hoặc nén/kéo);
- môi trường xung quanh (không khí, ngập nước).
5.5 Các thông số đàn hồi
5.5.1 Khi tính biến dạng và nội lực do tải trọng ngắn hạn trong trạng thái giới hạn khả năng làm việc thì mối quan hệ giữa môđun E của bê tông, Eck, và cường độ nén mẫu hình trụ, fcck, nếu không có quy định khác có thể lấy như sau:
Eck= 9 500 (fcck)0,3 (N/mm2)
Công thức này áp dụng cho các mác bê tông giữa C25 và C85.
Khi các vật liệu dùng trong công trình đã được xác định thì môđun đàn hồi thực của chúng phải được xác định bằng thí nghiệm theo các phương pháp được chấp nhận và nếu cần thiết thì kiểm tra, hiệu chỉnh thiết kế. Môđun E thực ở thời điểm chịu tải ban đầu cũng phải được xem xét.
Đối với bê tông nhẹ thì môđun E được giảm bằng cách nhân Eck với hệ số trong đó ρ1 = 2 400 kg/m3.
Bảng 1 - Mác bê tông và cường độ của kết cấu, N/mm2
| Giá trị đặc trưng | Mác bê tông, MPa 2) | |||||||||
| - | C25 | C35 | C45 | C55 | C65 | C75 | C85 | C95 | C105 | |
| Cường độ chịu nén mẫu lập phương, fck | 15 | 25 | 35 | 45 | 55 | 65 | 75 | 85 | - | - |
| Cường độ chịu nén mẫu hình trụ, fcck | 12 | 20 | 28 | 36 | 44 | 54 | 64 | 74 | 84 | 94 |
| Cường độ chịu nén danh nghĩa của kết cấu, fcn | 11,2 | 16,8 | 22,4 | 28,0 | 33,6 | 39,2 | 44,8 | 50,4 | 56,0 | 61,6 |
| Cường độ chịu kéo, ftk1) | 1,55 | 2,10 | 2,55 | 2,95 | 3,30 | 3,60 | 4,00 | 4,30 | 4,60 | 4,9 |
| Cường độ chịu kéo danh nghĩa của kết cấu, ftn | 1,00 | 1,40 | 1,70 | 2,00 | 2,25 | 2,50 | 2,60 | 2,70 | 270 | 2,7 |
| 1) Cường độ chịu kéo ghi trong bảng dùng cho bê tông chịu kéo đúng tâm. 2) Mác bê tông được biểu thị bằng cường độ chịu nén đặc trưng của khối lập phương (100 mm)3 và được ký hiệu bằng “C” đối với bê tông thường và "LC” đối với bê tông nhẹ. | ||||||||||
Chú thích - Các giá trị cường độ cho trong bảng 1 cũng dùng cho bê tông nhẹ có xét đến các giới hạn sau:
• fck ≤ fck2, trong đó: fck2= 105 N/mm2 và ρ2= 2 200 kg/m3.
• Cường độ chịu kéo của cấu kiện ftn phải được nhân với hệ số , trong đó ρ1= 2 400 kg/m3 nếu không có cường độ chịu kéo đã được xác định bằng thí nghiệm.
Đối với bê tông thường cường độ cao có mác cao hơn C85 cũng như đối với tất cả các mác của bê tông nhẹ thì các yêu cầu đối với cường độ mẫu hình trụ đặc trưng nên được chứng minh bằng thí nghiệm theo phương pháp được chấp nhận. Điều này cũng áp dụng cho cả việc kiểm tra chế tạo bê tông được thực hiện bằng thí nghiệm cường độ lập phương.
Đối với bê tông chịu tải trọng va đập hoặc dao động nhanh thì môđun đàn hồi tính toán cần được tăng đến 15% tùy thuộc vào mức độ biến dạng.
Đối với nhiệt độ ngắn hạn trong khoảng 100°C và 200°C (khi hỏa hoạn) thì môđun đàn hồi đặc trưng ban đầu Eck phải giảm đi 10%.
Đối với nhiệt độ trên 200°C thì các đặc trưng biến dạng bao gồm từ biến và biến dạng nhiệt phải được xác định riêng.
5.5.2 Sự thay đổi môđun đàn hồi (Ec) theo mức độ biến dạng có thể được xét đến khi cần thiết.
5.5.3 Hệ số Poisson có thể lấy bằng 0,2.
5.5.4 ảnh hưởng của từ biến, co ngót và hiệu ứng nhiệt phải được xét đến khi cần thiết.
5.6 Các hệ số vật liệu
5.6.1 Các hệ số vật liệu (gm) đối với bê tông cốt thép được quy định trong bảng 2. Những hệ số vật liệu này được sử dụng nếu:
- thí nghiệm tại hiện trường về cường độ chịu nén cho thấy hệ số biến sai nhỏ hơn 0,1;
- chất lượng bê tông thỏa mãn và đồng đều trong kết cấu.
Nếu không thỏa mãn điều kiện trên thì các hệ số vật liệu này phải được lấy tăng lên để đảm bảo mức độ an toàn quy định.
Bảng 2 - Hệ số vật liệu (gm) đối với bê tông
| Trường hợp | Trạng thái giới hạn | |||
| ULS | PLS | FLS | SLS | |
| a | 1,40 | 1,2 | 1,2 | 1,0 |
| b | 1,25 | 1,0 | 1,1 | 1,0 |
| Trường hợp a: Thiết kế với các hệ số này cho phép sai số thi công về kích thước tiết diện và bố trí cốt thép mà không làm giảm sức bền tính toán quá 10%. Nếu các sai số đã nêu dẫn tới sự suy giảm lớn hơn thì khi tính toán sức bền phải xét đến sự suy giảm vượt quá 10% này. Thay vào đó, các hệ số vật liệu có thể được lấy theo trường hợp b. Trường hợp b: Với các hệ số này, thiết kế phải dựa trên số liệu kích thước bao gồm cả các sai số đã nêu ở những giới hạn bất lợi nhất của chúng. Sự không hoàn hảo về kết cấu, sai số về vị trí cốt thép hoặc bất kỳ sai lệch hình học nào khác so với bản vẽ đã được phê duyệt cho thi công phải được đánh giá và xem xét trong tính toán thiết kế. | ||||
5.6.2 Hệ số vật liệu gm= 1,0 phải được dùng thay cho các giá trị trong bảng 2 nếu điều này bất lợi hơn.
6 Các thông số thiết kế đối với cốt thép
6.1 Cường độ chịu kéo đặc trưng
6.1.1 Cường độ đăc trưng của cốt thép (fsk) có giai đoạn chảy ổn định rõ rệt được xác định bằng giới hạn chảy không đổi thấp hơn.
6.1.2 Đối với thép không có giai đoạn chảy ổn định rõ rệt thì cường độ đặc trưng được xác định bằng ứng suất qui ước 0,2% (nghĩa là ứng suất ứng với 0,2% biến dạng dư).
6.1.3 Giá trị đặc trưng phải được xác định bằng thống kê theo điều 3.4 dựa trên các phương pháp thí nghiệm vật liệu được phê duyệt.
6.2 Cường độ chịu nén đặc trưng
6.2.1 Đặc tính về cường độ của cốt thép khi nén thông thường lấy giống đặc tính về cường độ khi kéo.
6.3 Mối quan hệ ứng suất - biến dạng
6.3.1 Đối với tải trọng không gây mỏi thì các cường độ đặc trưng của cốt thép trong kết cấu cũng như mối quan hệ ứng suất - biến dạng tương ứng phải được lấy bằng kết quả thu được từ những mẫu thí nghiệm tiêu chuẩn đối với loại thép thực tế (xem 6.1).
Mối quan hệ ứng suất - biến dạng có thể áp dụng theo hình 4. Để xác định sức bền dẻo thì ứng suất - biến dạng dẻo lý tưởng thường được dùng vượt quá biến dạng mà tại đó đạt được cường độ đặc trưng.

Hình 4 - Mối quan hệ ứng suất - biến dạng đối với cốt thép đã xác định sức bền
6.3.2 Đường cong mỏi (đường cong S-N) của cốt thép phải tính đến tất cả thông số sau:
- chất lượng thép;
- loại và kích thước của cốt thép (thép thanh trơn hoặc gai, thép bó, thép sợi);
- các chi tiết cốt thép (uốn, hàn);
- ứng suất do tải trọng thường xuyên và lực kéo trước gây ra.
6.4 Nhiệt độ
Hiệu ứng bất lợi do nhiệt độ quá cao (ví dụ trong khi hỏa hoạn) phải được xét đến khi cần thiết.
6.5 Các thông số đàn hồi
6.5.1 Môđun đàn hồi, Esk, đối với cốt thép thường có thể lấy bằng 2,0x105N/mm2.
6.5.2 Đối với cốt thép ứng suất trước, các giá trị thiết kế của môđun đàn hồi, các tính chất chùng và ma sát phải phù hợp được nhà sản xuất bảo đảm.
6.6 Các hệ số vật liệu
6.6.1 Hệ số vật liệu đối với cốt thép có thể lấy ở bảng 3.
Bảng 3 - Hệ số vật liệu (gm) đối với cốt thép
| Trường hợp | Trạng thái giới hạn | |||
| ULS | PLS | FLS | SLS | |
| a | 1,25 | 1,10 | 1,10 | 1,00 |
| b | 1,15 | 1,00 | 1,00 | 1,00 |
| Trường hợp a: Thiết kế với các hệ số này cho phép sai số thi công về kích thước tiết diện và bố trí cốt thép mà không làm giảm sức bền tính toán quá 10%. Nếu các sai số đã nêu dẫn tới sự suy giảm lớn hơn thì khi tinh toán sức bền phải xét đến sự suy giảm vượt quá 10% này. Thay vào đó, các hệ số vật liệu có thể được lấy theo trường hợp b. Trường hợp b: Với các hệ số này, thiết kế phải dựa trên số liệu kích thước bao gồm cả các sai số đã nêu ở những giới hạn bất lợi nhất của chúng. | ||||
6.6.2 Hệ số vật liệu gm= 1,0 phải được dùng thay cho các giá trị trong bảng 3 nếu điều này bất lợi hơn.
7 Các phương pháp thiết kế
7.1 Quy định chung
7.1.1 Việc tính toán hiệu ứng tải trọng thông thường phải được dựa trên lý thuyết đàn hồi tuyến tính. Các đặc tính về độ cứng có thể được xác định từ tiết diện bê tông đồng nhất.
Nếu có vết nứt, từ biến và các hiện tượng khác dẫn đến sự phân bố lại đáng kể hiệu ứng tải trọng thì phải xét đến sự phân bố lại này.
7.1.2 Trong các trạng thái giới hạn ULS và PLS thì hiệu ứng tải trọng có thể được xác định bằng kỹ thuật phân tích thiết kế theo lý thuyết dẻo.
Những kết cấu như vậy phải bao gồm các cấu kiện có khả năng phát triển sức bền dẻo đã xác định và duy trì sức bền này trong khi biến dạng cần để tạo thành một cơ cấu. Phải có tài liệu đầy đủ về sức bền dẻo này.
7.1.3 Các sai số hình học (những sai lệch từ thiết kế) và ảnh hưởng phi tuyến hình học do chuyển vị ở các cấu kiện mảnh chịu nén, nếu có, thì phải được đưa vào trong tính toán hiệu ứng tải trọng.
7.1.4 Hiệu ứng tải trọng do các biến dạng cưỡng bức phải được xét, nếu có (xem TCVN 6710-3: 1998). Những biến dạng như vậy có thể gồm các hiệu ứng gây ra do:
- từ biến và co ngót trong bê tông;
- lực ban đầu và sự chùng trong cốt thép ứng suất trước;
- những thay đổi trong hệ kết cấu lúc xây dựng;
- những thay đổi nhiệt độ do môi trường hoặc sự thủy hóa bê tông;
- tổ hợp các nguyên nhân ở trên.
7.1.5 Nếu không có các tài liệu khác, áp suất do chất lỏng và chất khí, ngoài tốc động trên bề mặt cấu kiện ra cũng còn được giả định tác động bên trong trên toàn bộ tiết diện hoặc trong các vết nứt, tùy theo trường hợp nào là bất lợi nhất.
7.2 Lý thuyết đường chảy dẻo
7.2.1 Lý thuyết đường chảy dẻo được chọn có thể được dùng làm cơ sở để thiết kế trong các trạng thái giới hạn ULS và PLS nếu thỏa mãn các điều kiện sau:
a) sức chịu tải sẽ bị chi phối do dạng phá hủy dẻo;
b) bỏ qua các hiệu ứng bậc hai;
c) các khớp dẻo dọc theo đường chảy dẻo cho phép có thể quay được.
Việc tuân thủ các yêu cầu nêu trên phải được kiểm tra bằng các phương pháp được chấp nhận và được cơ quan có thẩm quyền phê duyệt.
8 Trạng thái giới hạn cực đại (ULS)
8.1 Quy định chung
8.1.1 Các hệ số tải trọng và các tổ hợp tải trọng đối với điều kiện thiết kế theo ULS được quy định trong TCVN 6710 - 3:1998.
Các hệ số vật liệu được quy định trong điều 5.6 đối với bê tông và điều 6.6 đối với cốt thép.
8.1.2 Nói chung những yêu cầu này có thể áp dụng cho các cấu kiện có tỷ số giữa chiều cao hữu hiệu của cấu kiện và khoảng cách giữa các điểm có mômen uốn bằng không, nhỏ hơn 0,5. Nếu tỷ số này lớn hơn 0,5 thì áp dụng các giả thiết liên quan tới các loại cấu kiện khác như các dầm cao, các dầm hẫng.v.v...
8.2 Lực dọc trục và mômen uốn
8.2.1 Lực dọc trục và mômen uốn trong ULS có thể được xác định dựa trên các giả thiết sau:
- tiết diện phẳng sẽ giữ nguyên phẳng;
- bỏ qua độ bền kéo trong bê tông;
- mối quan hệ ứng suất - biến dạng đối với bê tông cũng như cốt thép được lấy tương ứng theo điều 8.3 và điều 9.3;
- cốt thép và phần bê tông xung quanh cốt thép có cùng biến dạng.
Phương pháp lựa chọn để xác định lực và mômen có thể áp dụng cho trường hợp đang xét.
8.2.2 Tải trọng nén dọc trục cho phép cực đại không được vượt quá 0,85 (fcrAc + fsrAs)
8.3 Sức bền chống mất ổn định kết cấu
8.3.1 Nói chung khi xét sự mất ổn định kết cấu thì chấp nhận phương pháp phân tích đơn giản, nếu nó chứng minh đầy đủ bằng văn bản là đối với biến dạng thích hợp, hiệu ứng tải trọng thiết kế sẽ không vượt quá sức bền thiết kế tương ứng về sự mất ổn định kết cấu.
8.3.2 ở những nơi mà hiệu ứng thứ cấp là đáng kể thì phải xem xét đầy đủ hiệu ứng này.
Việc thiết kế các cấu kiện cạnh nhau cần phải xem xét đến các hiệu ứng bậc hai có thể có được truyền qua tại các liên kết.
8.3.3 Phải xem xét ảnh hưởng của các sai lệch hình học và các đặc tính phi tuyến của vật liệu khi cần thiết.
8.3.4 Chuyển vị phải được tính bằng cách dùng mối quan hệ mômen - độ cong thực, ở những nơi thích hợp phải xem xét ảnh hưởng của từ biến và nứt.
Trong trạng thái bị biến dạng thì phải có sự tương thích hoàn toàn giữa biến dạng và chuyển vị, cũng như giữa nội lực và tải trọng.
8.3.5 Nếu các bộ phận quan trọng của công trình chịu uốn hoặc kéo dọc trục và có sự phân bố lại lực do vết nứt thì có thể cần phân tích phi tuyến một cách chi tiết (phi tuyến về hình học và vật liệu) về bê tông cốt thép.
8.4 Sức bền chống cắt ngang (ngoài mặt phẳng)
8.4.1 Có thể dùng các phương pháp khác nhau để xác định sức bền chống cắt:
- nguyên lý cộng sức bền thành phần;
- kiểm tra sức chống cắt bằng cách kiểm tra khả năng chịu cắt của diện tích nhỏ hơn;
- phương pháp ma sát;
- các mô hình giải tích dùng tiêu chuẩn phá hủy đối với trạng thái ứng suất hai trục trong vùng chịu nén.
Phương pháp phân tích được chọn phải phù hợp với mục đích sử dụng.
8.4.2 Tại những chỗ giao nhau giữa các bộ phận kết cấu, nơi có hiện tượng tập trung ứng suất đáng kể và nơi việc truyền lực cắt là chủ yếu đối với toàn bộ công trình thì diện tích cốt thép ngang (Asv) phải chọn sao cho:
Chú thích:
1) Nguyên lý cộng sức bền thành phần để xác định sức bền chống cắt tổng được nêu dưới đây - Phương pháp này là đúng đối với các lực cắt tổ hợp với mômen uốn và lực dọc trục nhỏ. Khi xảy ra đồng thời mômen uốn và lực dọc trục lớn thì phương pháp này có thể cho kết quả không chính xác, và do đó phải cẩn thận khi sử dụng. Những công thức đã cho chỉ là giới hạn cho dầm và các phần tử vỏ chịu tải và được đỡ sao cho các cốt thép phụ được neo chắc chắn chịu được các lực kéo bất kỳ tác dụng vuông gốc với mặt phẳng của phần tử.
Các thành phần của sức bền chống cắt. Sức bền chống cắt tổng (Vr) được biểu diễn bằng tổng của các thành phần sau:
Vr= Vcr + Vpr + Vsr
trong đó
Vcr là sức bền chống cắt do bê tông và cốt thép dọc;
Vpr là sức bền chống cắt do lực kéo trước hoặc lực dọc trục;
Vsr là sức bền chống cắt do cốt thép chịu cắt.
Sức bền chống cắt tổng không được lớn hơn so với:
| Mác bê tông | C25 | C35 | C45 | C55 | C65 | C75 | C85 |
| k | 3,2 | 3,7 | 4,0 | 4,4 | 4,8 | 5,5 | 6,1 |
Khi kiểm tra độ bền lớn nhất thì không phải xét đến hiệu ứng nhịp ngắn (theo 8.4.2, chú thích 2).
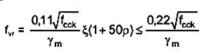
Thành phần Vcr: Sức bền chống cắt của bê tông và cốt thép dọc chính được biểu diễn bằng:
Vcr= fvr.b.d
trong đó

x = 1,6 - d (d tính bằng m). x không được lấy nhỏ hơn 1,0.
, nhưng không lớn hơn 0,02
Thành phần Vpr: Sức bền chống cắt do lực nén dọc trục hoặc lực kéo trước là:
trong đó
MO là mômen do lực dọc trục và lực kéo trước gây ra ứng suất bê tông bằng không tại thớ xa nhất;
Vfd và Mfd là các hiệu ứng tải trọng thiết kế tại tiết diện xét;
Mo và Mfd phải được tính đối với trục chính của tiết diện đồng nhất, xem hình 5.
Nfd và Pfd không được dùng các giá trị vượt quá:
| a) Lực kéo trước, Pfd |
|
| b) Lực dọc trục. Ntd |
|
Hình 5 - Nguyên tắc đánh giá Mo
Thành phần Vsr: Sức bền chống cắt do cốt thép ngang được biểu diễn bằng:
Vsr= fsrAsv
Góc giữa cốt thép chịu cắt với cốt thép dọc và khoảng cách giữa các cốt đai phải được xét đến khi tính Asv. Góc này không nhỏ hơn 45˚.
Tổng Vcr + Vpr không được vượt quá
Lượng giảm sức bền chống cắt do lực kéo dọc trục được biểu diễn:
Nếu tổng Vcr + Vpr đạt giá trị âm thì không được dùng trong tính toán.
Khi tính Vpr phải xem xét cẩn thận ảnh hưởng của các tải do biến dạng đến Mfd, Vfd và Nfd.
2) Hiệu ứng nhịp ngắn: Hiệu ứng vòm liên quan tới các tải trọng trực tiếp gần gối tựa có thể được tính bằng các phương pháp được chấp nhận.
Đối với áp lực chất lỏng có thể tác động trong các vết nứt phải bỏ qua hiệu ứng nhịp ngắn.
8.4.3 Trạng thái ứng suất đa trục
Phải xem xét ảnh hưởng của trạng thái ứng suất đa trục đến cường độ bê tông.
8.5 Sức bền chống cắt mảng (trong mặt phẳng)
8.5.1 Sức bền chống các lực cắt màng trong tấm và vỏ phải được xác định bằng các phương pháp được chấp nhận dựa trên trạng thái cân bằng. Bỏ qua cường độ chịu kéo của bê tông.
Chú thích:
Trường hợp chỉ có các lực màng:
Khi một phần tử tấm chỉ chịu các lực trong mặt phẳng (hình 6) và cốt thép được bố trí đối xứng qua mặt trung gian thì cốt thép có thể thiết kế như mô tả dưới đây khi ít nhất một lực màng chính là kéo. Bê tông được xem như chịu ứng suất nén (σc) tại góc θ với trục x (theo nghĩa tương ứng với dấu của Nxy). Các cốt thép ngang và dọc được thiết Kế để chịu các lực Fx và Fy, trong đó:
Fx = Nx + |Nxy|cotgθ
Fy = Ny + |Nxy|tgθ
(Đơn vị của F là lực/đơn vị dài) có hiệu lực đối với các giá trị dương của Fx và Fy và khi lấy ứng suất kéo mang dấu dương.
Có thể chọn góc θ này tùy ý đối với mỗi trường hợp chịu tải cũng như mỗi phần tử tấm có chú ý thỏa đáng đến những yêu cầu của điều 9.4.5 Iiên quan đến bố trí cốt thép tối thiểu.
Đối với Nx < - | Nxy | cotgθ thì không cần bố trí cốt thép theo hướng x. Khi đó, Fy và σc được cho bởi:

Đối với Ny < - | Nxy | tgθ thì không cần bố trí cốt thép theo hướng y. Khi đó, Fx và σc được cho bởi:

Cuối cùng, có thể xảy ra trường hợp cả Nx và Ny đều âm và NxNy > N2xy. Khi đó không cần bố trí cốt thép và các lực màng chính có thể được tính theo các công thức thông dụng.

Hình 6 - Phần tử tấm chịu các lực màng
Tổ hợp các lực màng và mômen uốn:
Trong trường hợp một phần tử tấm chịu các tổ hợp mômen và lực màng hoặc chỉ chịu mômen thì phần tử tấm này có thể được xem như một kết cấu nhiều lớp, gồm hai lớp bên ngoài và một vùng giữa. Các lực và mômen tác dụng có thể được phân tích thành các lực "màng" tương đương về mặt tĩnh học ở trên các lớp bên ngoài như thể hiện trên hình 7. Do đó, mỗi một lớp được thiết kế tương ứng với những nguyên tắc chung "chỉ có các lực màng" đã nêu.
Hình 7 - Các lực và mômen tác dụng được phân tích thành các lực màng trong các lớp của kết cấu nhiều lớp
8.6 Cường độ dính kết và sự phá hủy neo
8.6.1 Khoảng cách giữa các cốt thép phải đảm bảo liên kết tốt.
8.6.2 Bố trí cốt thép trong các lớp khác nhau phải được sắp xếp thẳng hàng trong những mặt phẳng và chừa lại không gian đủ để có thể đưa đầm rung vào trong.
8.6.3 Mối nối chồng phải đảm bảo để truyền được các lực từ thanh này sang thanh khác. Khi cần thiết phải xét đến sự suy giảm cường độ của mối nối chồng đặt gần nhau.
8.6.4 Các mối nối chồng phải được rải ra. Số mối nối chồng lớn nhất xuất hiện tại một mặt phẳng tiết diện ngang cho trước, thường nhỏ hơn;
- 1/2 số thanh cốt thép;
- số thanh cốt thép của một lớp dầy đặc nhất.
Chiều dài của mối nối chồng không được lớn hơn 80 ϕ.
8.6.5 Độ bền chống phá hủy dính kết và neo phải được xác định bằng các phương pháp được chấp nhận. Phải nghiên cứu cả dính kết cục bộ và dính kết neo.
Trong những vùng mà lực kết dính giữa bê tông và cốt thép bị giảm (ví dụ ở những nơi sự đông kết bê tông do tác dụng trọng trường làm độ chặt của bê tông xung quanh cốt thép bị giảm) thì cường độ dính kết thiết kế không được lấy cao hơn 70% giá trị đối với những vùng có kết dính tốt.
Phải lưu ý đến trạng thái ứng suất trong vùng neo. Độ bền dính kết phải bảo đảm đầy đủ bằng cốt thép ngang, cốt đai, cốt xoắn, móc hoặc các neo cơ khí.
8.6.6 Những neo kéo sau phải được thiết kế đối với ứng suất tối đa của cốt chủ. Khối neo này phải được thiết kế sao cho có thể truyền các lực đến bê tông xung quanh mà không làm bê tông bị hỏng. Các hồ sơ về kiểm tra khối neo phải được phê duyệt.
8.6.7 Thiết kế các vùng neo phải theo các phương pháp đã được chấp nhận. Phải bố trí cốt thép ở những nơi cần thiết để tránh vỡ hoặc nứt rạn bê tông.
Cường độ thiết kế của cốt thép này được giới hạn đến 300 MPa.
Chú thích - Để tránh phá hủy giòn thì cường độ neo của các cốt chủ thường phải lớn hơn ít nhất 10% so với giới hạn chảy của các cốt này.
Tác dụng neo giữ có thể đạt được bằng cách:
a) phân bố ứng suất cát trên khắp bề mặt của cốt chủ;
b) hàn cốt thép ngang với cốt chủ:
c) dùng neo đặc biệt.
Đối với loại neo giữ b) và c) thì phải cung cấp đầy đủ hồ sơ về sức chịu tải của neo.
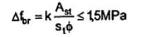
Neo giữ bằng cường độ dính kết:
Cường độ dính kết thiết kế, fbr, có thể tìm được bằng cách nhân cường độ chịu kéo thiết kế của bê tông ftr, với hệ số h. Hệ số h này bằng:
1,4 đối với thép có gai:
0,9 đối với thép không có gai;
0,5 đối với thép sợi ứng suất trước.
Cường độ chịu kéo danh nghĩa có thể lấy từ bảng 1. Hệ số vật liệu gm được lấy như đối với bê tông.
Khi bố trí cốt thép thành bó thì chu vi có thể được tính bằng một thanh cốt thép có cùng diện tích tiết diện của bó.
Giá trị giới hạn của ứng suất dính kết fbr phụ thuộc vào loại cốt thép, cường độ bê tông và vị trí của cốt thép khi đổ bê tông. Điều kiện dính kết được xem là thỏa mãn nếu:
- tất cả cốt thép được đặt trong các lớp vữa bê tông mà chiều cao của chúng theo hướng đổ bê tông không vượt quá 250 mm:
- khi đổ bê tông xong tất cả cốt thép được chôn trong các lớp vữa có độ sâu > 250 mm, hoặc nằm ở nửa dưới của lớp vữa (hoặc của ván khuôn của một cấu kiện bất kỳ trong cùng một giai đoạn đổ bê tông) hoặc là cách đỉnh ít nhất 300 mm;
- khi đổ bê tông tất cả cốt thép phải có độ nghiêng từ 45° đến 90° so với phương nằm ngang.
Đối với những điều kiện dính kết khác thì các giá trị giới hạn của fbr phải được nhân với hệ số bằng 0,7. Đối với vữa bê tông đông cứng nhanh, tương đối cứng và bê tông trong ván khuôn được đầm rung đủ thì có thể giảm hệ số hoặc không cần.
Nếu bê tông chịu ứng suất kéo vuông góc với các cốt neo chủ và tiết diện ngang không bị nứt thì cường độ chống trượt phải nhân với 0,8. Sự giảm này có thể bỏ qua nếu sử dụng giá trị giới hạn của ứng suất trượt nói trên.
Lớp bê tông bảo vệ ảnh hưởng đến độ dính kết. Đối với cốt thép trơn sự phụ thuộc này của lớp bảo vệ có thể được kể đến bằng cách nhân fbr với
trong đó: c là giá trị nhỏ nhất cứa c1, c2 và được xác định theo hình 8.
|
|
|
| a) Khoảng cách giữa các thanh neo | b) Khoảng cách giữa các chỗ nối |
Hình 8 - Lớp bảo vệ và khoảng cách giữa các cốt chủ
Đối với trường hợp bố trí cốt thép thưa trong một lớp thì fbr, phải nhân với hệ số 1.6 nếu s1 ≥ (giá trị lớn nhất trong 2 số:
9 Ф hoặc 6 c + Ф). Hệ số này là 1,0 nếu s1 ≤ (giá trị lớn nhất trong 2 số 5 Ф và 3 c + Ф). Đối với những giá trị s1 nằm giữa các giá trị trên thì có thể nội suy tuyến tính.
Khi không xét đến tác dụng của cốt đai và ở nơi mà khoảng cách giữa các thanh nhỏ hơn 12 Ф thì fbr đối với thép gai phải tăng một lượng bằng:
![]()
trong đó:
Ast là diện tích tiết diện của các cốt đai không được sử dụng. Nếu được sử dụng một phần thì Ast được giảm tương ứng;
st là khoảng cách tính từ tâm giữa các cốt đai;
Ф là đường kính cốt neo;
k là hằng số có các giá trị sau (xem hình 9):
- k= 40 MPa đối với cốt chủ nằm ở vị trí cuốn của cốt đai;
- k= 20 MPa đối với cốt chủ tiếp xúc với cốt bên ngoài khác;
- k= 0 MPa trong các trường hợp khác.

Hình 9 - Giá trị k đối với vị trí khác nhau của cốt thép
8.7 Sức bền chống xoắn
8 7.1 Sức bền chống xoắn phải được xác định theo các phương pháp đã được chấp nhận.
Chú thích - Tính toán sức bền chống xoắn:
Đối với tiết diện đặc thì lực cắt do mômen xoắn được phân bố trong một tiết diện được coi là rỗng có biên ngoài bằng biên ngoài của cốt đai và độ dày (t) bằng 0,2 lần đường kính của vòng tròn lớn nhất, có thể vẽ được trong tiết diện này. (Xem hình 10).

Hình 10 - Sơ đồ tiết diện để đơn giản tính toán sức bền chống xoắn
Sự phồn bố của ứng suất tiếp có thể xác định bằng cách dùng lý thuyết dẻo.
Khi đã tìm được ứng suất tiếp của tiết diện thì việc kiểm tra khả năng chịu cắt do xoắn có thể thực hiện theo 8.4 và 8.5.
8.8 Tải trọng do biến dạng, lực kéo trước và từ biến
8.8.1 Tải trọng do biến dạng được tạo ra bởi các biến dạng cưỡng bức trong kết cấu là những tải trọng được gọi là tải trọng biến dạng (D), (xem TCVN 6710-3:1998) và không coi là lực cân bằng.
Chú thích - Những tải trọng này có thể do:
- độ lún không đều;
- hiệu ứng nhiệt độ;
- co ngót;
- tải trọng trong các phần tử mềm được nối với các phần tử cứng, trong một số trường hợp có thể xem là tải trọng do biến dạng;
- những thay đổi trong biến dạng do hấp thụ.
8.8.2 Nếu xảy ra dạng phá hủy dẻo và bỏ qua các hiệu ứng thứ cấp thì ảnh hưởng của tải trọng biến dạng thường bỏ qua.
Chú thích - Một ví dụ điển hình của dạng phá hủy dẻo là phả hủy uốn khi khớp dẻo vẫn còn đủ khả năng xoay. Việc chứng minh khả năng xoay đủ trong nhiều trường hợp có thể được dựa trên những xem xét giản đơn.
8.8.3 Các biến dạng cưỡng bức thường có ảnh hưởng đáng kể đến sức bền chịu cắt của một tiết diện và phải được chú ý thích đáng trong thiết kế.
Chú thích - Tính các tải trọng biến dạng
Giá trị đặc trưng của tải trọng do biến dạng cưỡng bức thường được đánh giá dựa trên các giá trị cực đại và cực tiểu của các thông số quyết định độ lớn của giá trị đặc trưng đó.
Kết quả tính toán chính xác về tải trọng biến dạng do hiệu ứng nhiệt độ gây ra chỉ thu được từ phân tích phi tuyến phản ảnh các tính chất vật liệu thực tế của bê tông cốt thép. Trên thực tế, hiệu ứng do biến dạng cưỡng bức có thể tính được khi dùng mô hình đàn hồi tuyến tính và một môđun đàn hồi không đổi trên toàn bộ kết cấu. Sự suy giảm có thể có do nứt được đánh giá riêng.
Đối với bê tông, hệ số dãn nở nhiệt (α) có thể lấy bằng 1,0.10-5 ˚C-1. Khi tải do nhiệt độ là đáng kể thì thường phải làm thí nghiệm để tìm α.
8.8.4 Phải xem xét hiệu ứng của từ biến khi cần thiết.
Chú thích - Hiệu ứng của từ biến
Việc đánh giá chính xác bằng tính toán từ biến trong kết cấu vỏ chỉ có thể thu được bằng cách tính toán trên máy tính khi dùng các chương trình phần tử hữu hạn phi tuyến. Tuy nhiên, việc đánh giá thô hiệu ứng từ biến có thể thu được nhờ các phương pháp được phát triển đầu tiên đối với các cột đơn giản. Hai phương pháp sau đây là thích hợp hơn, được gọi là "phương pháp hệ số từ biến và "phương pháp độ lệch tâm từ biến".
"Phương pháp hệ số từ biến": Phương pháp này sử dụng đồ thị ứng suất - biến dạng được cải biến cho bê tông. Trong biểu đồ này thì biến dạng ngắn hạn được nhân với (1 + φ), φ là hệ số từ biến. Xem hình 11 và hình 1.

Hình 11 - Mối quan hệ ứng suất - biến dạng đã cải biến cho bê tông
Giá trị của φ phải được xác định cẩn thận theo đúng với những nguyên lý được chấp nhận.
"Phương pháp độ lệch tâm từ biến": Trong phương pháp này hiệu ứng từ biến được tính đến bằng cách dùng một độ lệch tâm phụ thêm do từ biến gây ra. Phương pháp này được dùng phổ biến. Phải lưu ý đến hai giới hạn quan trọng của phương pháp này:
a) tổng độ lệch tâm là đủ nhỏ sao cho không bị nứt;
b) giá trị của tải trọng gây ra từ biến là đủ nhỏ để tránh tính chất phi tuyến của vật liệu khi chịu tải ngắn hạn.
8.9 Tính mềm dẻo
8.9.1 Kết cấu bê tông phải được thiết kế để có tính mềm dẻo.
Kết cấu bê tông cần phải có tính mềm dẻo để đảm bảo kết cấu này trong một phạm vi nào đó có thể chịu được các tải trọng bất thường hoặc sự cố và đảm bảo có thể chịu được sự phân bố lại của tải trọng này.
8.9.2 Đối với các cấu kiện chịu tải mômen thì phải bảo đảm điều kiện là biến dạng của thép ở phía chịu kéo của cấu kiện sẽ đạt gấp đôi biến dạng ứng với giới hạn chảy trước khi bê tông ở phía chịu nén đạt đến biến dạng nén tối đa của nó. Ở những nơi mà yêu cầu này không thể thỏa mãn do tải trọng dọc trục lớn thì tính dẻo phải được bảo đảm bằng cách dùng các cốt đai.
9 Trạng thái giới hạn khả năng làm việc (SLS)
9.1 Quy định chung
9.1.1 Sức bền thiết kế trong SLS thường liên quan đến chỉ tiêu về:
- độ lâu bền;
- giới hạn nứt;
- độ kín nước;
- giới hạn của độ võng và rung động.
9.1.2 Sự hình thành vết nứt của bê tông phải được hạn chế sao cho nó không làm giảm chức năng hoặc độ lâu bền của kết cấu. Vết nứt được kiểm tra bằng tính toán chiều rộng vết nứt.
9.1.3 Khi cần phải bảo đảm độ kín nước của các ngăn để chống rò rỉ do chênh lệch áp suất giữa bên ngoài và bên trong, tiết diện bê tông phải được thiết kế với một vùng chịu nén có biên cố định (xem điều 9.3).
9.1.4 Kết cấu bê tông phải có số lượng cốt thép tối thiểu để đảm bảo đủ khả năng phân bổ vết nứt và sức bền chống lại các hiệu ứng tải phụ chưa được tính đến trong thiết kế.
9.1.5 Các hệ số vật liệu (gm) đối với bê tông và cốt thép được cho trong điều 5.6 và điều 6.6.
9.2 Lớp bê tông bảo vệ
9.2.1 Những yếu tố chính tạo cho lớp bảo vệ có chất lượng cao là:
- bê tông đặc chắc có tính thấm thấp đối với cả clo và ôxy;
- chiều dày lớp bê tông bảo vệ phải thích hợp (nếu quá nhỏ sẽ làm cho tính thấm quá cao, còn nếu quá lớn sẽ gây ra chiều sâu vết nứt lớn).
Lớp bê tông bảo vệ phải không chứa cốt thép và phải không được nhỏ hơn:
- 40 mm trong vùng khí quyển, không bị bắn nước nghiêm trọng;
- 50 mm đối với tất cả các phần khác của kết cấu.
Ngoài ra, lớp bê tông bảo vệ không được nhỏ hơn:
- 1,5 lần kích thước danh nghĩa lớn nhất của cốt liệu;
- 1,5 lần đường kính danh nghĩa lớn nhất của cốt thép thường hoặc ứng suất trước;
- 1,5 lần đường kính tương đương của bó cốt thép;
- đường kính của ống đặt cốt thép ứng suất trước.
9.2.2 Phải chú ý đặc biệt đến lớp bảo vệ của các cấu kiện có thể phải chịu hỏa hoạn.
9.3 Tính kín nước
9.3.1 Các cấu kiện chịu sự chênh lệch áp suất thủy tĩnh giữa bên ngoài và bên trong phải được thiết kế với một vùng nén có biên cố định không nhỏ hơn giá trị nào lớn hơn trong hai giá trị sau:
- 0,25 h;
- các giá trị cho ở bảng 4.
Bảng 4 - Chiều sâu của vùng nén ứng với độ chênh áp suất
| Độ chênh áp suất, kN/m2 | Chiều sâu của vùng nén, mm |
| < 150 | 100 |
| > 150 | 200 |
Điều này áp dụng cho điều kiện thiết kế vận hành khi dùng tổ hợp b) của ULS (xem TCVN 6710-3:1998). Riêng đối với tải trọng môi trường (E) lấy hệ số tải là 0,5 thay cho 1,3.
9.3.2 Các công trình chứa dầu có áp lực dầu bên trong lớn hơn hoặc bằng áp lực nước bên ngoài (kể cả sự thay đổi áp lực do sóng) phải được thiết kế với một ứng suất nén màng nhỏ nhất bằng 0,5 MPa đối với điều kiện thiết kế vận hành khi dùng tổ hợp b) của ULS (xem TCVN 6710-3:1998). Riêng đối với tải trọng môi trường (E) lấy hệ số tải là 0,5 thay cho 1,3. Tuy nhiên điều này không áp dụng nếu có bố trí kết cấu khác để ngăn sự rò rỉ dầu, ví dụ như các vật chắn đặc biệt.
9.4 Chiều rộng vết nứt
9.4.1 Các cấu kiện chịu chủ yếu tải trọng tĩnh, không gây ra ứng suất kéo được tính toán đối với tiết diện đồng nhất thì có thể được xem như không bị nứt. Phải quy định việc bố trí cốt thép danh nghĩa phù hợp với tiêu chuẩn đã chấp nhận.
9.4.2 Chiều rộng vết nứt trong vùng dao động nước phải được hạn chế ở 0,2 mm. Trong các phần khác của kết cấu, chiều rộng vết nứt phải hạn chế ở 0,4 mm. Trong điều kiện thiết kế tạm thời, chiều rộng vết nứt đã cho ở trên có thể bằng 1,5 lần chiều rộng vết nứt hoặc 0,5 mm, lấy giá trị nhỏ hơn.
Phải chú ý đặc biệt đến tiêu chuẩn chiều rộng vết nứt đối với những kết cấu bê tông trong môi trường ăn mòn (xem điều 12.4).
9.4.3 Kiểm tra vết nứt có thể dựa trên tính toán ứng suất trong cốt thép hoặc tính toán chiều rộng vết nứt.
9.4.4 Chiều rộng vết nứt phải được tính phù hợp với các phương pháp được chấp nhận.
9.4.5 Để sự phân bố vết nứt đáp ứng yêu cầu thì diện tích cốt thép đối với mỗi mặt không được nhỏ hơn:

trong đó:
ftm là cường độ chịu kéo trung bình của bê tông;
fsp = 0,9 fsy;
w là áp lực nước trong các vết nứt;
de là chiều sâu vùng chịu kéo hiệu dụng = 1,5 c + 10 ϕ (xem 8.6);
de không được lấy nhỏ hơn 0,2 h và không lớn hơn 0,5 (h - x).
Khoảng cách lớn nhất giữa các thanh cốt thép chính là 200mm và đối với cốt thép phụ là 300 mm.
9.4.6 Cũng có thể chấp nhận việc kiểm tra nứt bê tông bằng cách dựa vào ứng suất giới hạn. Mức ứng suất cho phép trong mỗi trường hợp phải được sự đồng ý của cơ quan có thẩm quyền.
9.5 Hiệu ứng nhiệt độ
9.5.1 Phải xét đến ứng suất nhiệt do hiệu ứng nhiệt độ khi cần thiết (xem 8.8).
10 Trạng thái giới hạn mỏi (FLS)
10.1 Quy định chung
10.1.1 Khi xác định sự phân bố dài hạn của số gia ứng suất (xem TCVN 6710-3:1998). Cần phải xét đến sự biến thiên ứng suất có thể gây ra phá hủy mỏi mà kết cấu phải chịu trong suốt khoảng thời gian hoạt động.
10.1.2 Cần nghiên cứu thống kê các tải ngẫu nhiên để xác định sự phân bố dài hạn của hiệu ứng tải trọng mỏi. Có thể dùng phân tích tiền định hoặc phân tích phổ, nhưng phương pháp phân tích được chọn dùng phải được cơ quan có thẩm quyền xét chấp nhận.
10.1.3 Phải xét tới hiệu ứng của phản ứng động lực học một cách thích đáng khi xác định các số gia ứng suất. Phải chú ý đặc biệt đến việc xác định chính xác các số gia ứng suất trong kết cấu hoặc cấu kiện bị kích động trong miền cộng hưởng. Hệ số cản được giả định phải phù hợp với thiết kế.
10.1.4 Bố trí hình học của các phần tử kết cấu và cốt thép phải đảm bảo sao cho giảm thiểu khả năng phá hủy mỏi. Tính mềm dẻo phải được đảm bảo bằng cách bố trí cốt thép hợp lý trong bê tông.
10.1.5 Tính toán mỏi có thể được thực hiện khi sử dụng các phương pháp dựa trên thí nghiệm mỏi và phân tích tổn thương tích lũy, các phương pháp dựa trên cơ học phá hủy hoặc tổ hợp của các phương pháp đó. Các phương pháp này phải phù hợp và được thuyết minh đầy đủ bằng văn bản.
Chú thích
Thí nghiệm mỏi và phân tích tổn thương tích lũy:
Tuổi thọ mỏi có thể tính toán dựa trên giả thiết về tổn thương tích lũy tuyến tính (quy tắc Miner-Palmgrens). Bản chất của giả thiết này là sự phân phối dài hạn của số gia ứng suất được biểu diễn bằng một sơ đồ ứng suất gồm một số lượng hợp lý các khối số gia ứng suất có biên độ không đổi, mà mỗi khối có số chu trình ứng suất lặp thích hợp.
Chỉ tiêu mỏi dựa trên tổn thương tích lũy có dạng:
trong đó:
k là số các khối ứng suất;
ni là số chu trình ứng suất trong khối ứng suất;
Ni là số chu trình tái phá hủy ở số gia ứng suất không đổi thứ “i”;
h là tỷ số tổn thương tích lũy cho phép.
Phân tích mỏi theo cơ học phá hủy
Chỉ tiêu mỏi dựa trên cơ học phá hủy có dạng:
trong đó:
Ntot là tổng số các chu trình ứng suất
NB là số chu trình ứng suất cần thiết để khuyết tật phát triển từ kích thước ban đầu đến kích thước cuối cùng.
Phân tích mỏi dựa trên cơ học phá hủy có thể được gắn với việc rút ra khoảng thời gian giữa các lần khảo sát định kỳ một cấu kiện để đảm bảo phát hiện các vết nứt mỏi tiềm ẩn trước khi phá hủy cuối cùng.
10.1.6 Độ bền hoặc sức bền mỏi đặc trưng (đường cong S-N) của một chi tiết kết cấu phải phù hợp với vật liệu, chi tiết kết cấu, trạng thái ứng suất đang xét và môi trường xung quanh. Các đường cong S-N phải xét đến cả hiệu ứng chiều dày vật liệu.
10.1.7 Tỷ số tổn thương tích lũy cho phép (h) được dùng trong thiết kế phụ thuộc vào khả năng tiếp cận để kiểm tra và sửa chữa. Các tỷ số tổn thương tích lũy cho trong bảng 5 thường là có thể chấp nhận được.
Bảng 5 - Tỷ số tổn thương tích lũy cho phép (h)
| Không tiếp cận được để kiểm tra và sửa chữa | Bên dưới hoặc trong vùng dao động nước 1) | Vùng khí quyển |
| 0,33 | 0,5 | 1,0 |
| 1) Trong môi trường khắc nghiệt điển hình các chi tiết kết cấu gần mặt nước biển trong vùng dao động nước thì thông thường có thể xem là không tiếp cận được để kiểm tra và sửa chữa; nghĩa là tỷ số tổn thương tích lũy cho phép phải giảm xuống đến 0,33. | ||
10.1.8 Nếu phá hủy mỏi của một cấu kiện hoặc một mối nối có thể dẫn đến phá hỏng tăng dần (có nghĩa là điều kiện thiết kế theo PLS không thỏa mãn đối với cấu kiện này) thì phải xét đến việc chiết giảm các tỷ lệ tổn thương tích lũy cho phép cho trong bảng 5. Việc giảm tỷ lệ tổn thương tích lũy cho phép như vậy phải được cơ quan có thẩm quyền phê duyệt.
10.1.8 Hệ số vật liệu (gm) đối với bê tông và cốt thép đã cho trong điều 5.6, bảng 2 và điều 6.6, bảng 3 được dùng để thiết kế theo FLS.
10.2 Sức bền mỏi
10.2.1 Sức bền mỏi của kết cấu bê tông phải được xác định theo các tiêu chuẩn đã được chấp nhận.
Các đường cong Woehler được hướng dẫn trong các chú thích sau. Các đường cong Woehler khác cũng có thể sử dụng nếu được thuyết minh tính hợp lý bằng các số liệu thí nghiệm thích hợp và được cơ quan có thẩm quyền chấp nhận.
Chú thích:
1) Tuổi mọ mỏi (N) của bê tông chịu các ứng suất biến đổi có thể được tính khi dùng công thức sau:
trong đó
frd là cường độ thiết kế tương ứng với dạng phá hủy thực;
σmax là ứng suất nén lớn nhất (giá trị tuyệt đối) được tính bằng ứng suất trung bình trong mỗi khối ứng suất;
σmin là ứng suất nén nhỏ nhất (giá trị tuyệt đối) được tính như là ứng suất trung bình trong mỗi khối ứng suất; (Đối với ứng suất kéo thì σmin = 0).
Giá trị của C1 được chọn như sau:
C1 = 12,0 đối với kết cấu trong không khí;
C1 = 10,0 đối với kết cấu trong nước (dùng cho những khối ứng suất có sự biến đổi ứng suất trong vùng chịu nén);
C1 = 8.0 đối với kết cấu nằm trong nước (dùng cho những khối ứng suất có sự biến đổi ứng suất trong vùng chịu kéo - nén (σmin = 0)).
Nếu tuổi thọ mỏi (N) được xác định theo công thức trên mà lớn hơn 10x chu trình thì để xác định tuổi thọ mỏi thực N, phải nhân log10N với biểu thức sau:
[1+0,2(lgN-X)]
Thông số X được tìm từ công thức sau:
2) Tuổi thọ mỏi (N) của cốt thép chịu ứng suất biến đổi có thể được biểu diễn bằng biểu thức:
lgN = C2 - m lg∆σ
trong đó
∆σ là chênh lệch ứng suất trong cốt thép (MPa);
C2, m là các hệ số phụ thuộc vào loại cốt thép:
- đối với các thanh có đầu mút thẳng thì dùng các giá trị cho trong bảng 6:
- đối với các thanh có đầu mút uốn cong thì dùng các giá trị cho trong bảng 7;
- đối với các thanh có đầu mút uốn cong với các đường kính trung gian thì cho phép tìm C2 và m bằng nội suy tuyến tính.
Tuổi thọ mỏi nhỏ nhất tính được đối với thanh thẳng và thanh cong sẽ được dùng cho thanh cong.
Có thể coi tuổi thọ mỏi là vô hạn, nếu giá trị N tính được lớn hơn 2.108 chu trình.
10.2.2 Mỏi ăn mòn phải được xét theo các phương pháp đã được chấp nhận khi tính tuổi thọ mỏi của các kết cấu hoặc các bộ phận của một kết cấu nằm trong môi trường xâm thực.
Bảng 6
|
| Mức chênh lệch ứng suất | ||
| 400 > ∆σ > 235 | 235 > ∆σ > 65 | 65 > ∆σ > 40 | |
| C2 | 15,70 | 13,35 | 16,97 |
| m | 4,5 | 3,5 | 5,5 |
Bảng 7
|
| Tuổi thọ mỏi | Đường kính cong D |
| N < 20.108 |
| |
| C2 | 15,9 | 3 ϕ |
| m | 4,8 | 3 ϕ |
Đối với các phần tử có đường kính uốn nằm trung gian giữa 3 ϕ và phần tử thẳng thì có thể dùng các giá trị nội suy từ bảng 6 và bảng 7.
10.3 Tải trọng uốn và tải trọng dọc trục
10.3.1 Giá trị môđun đàn hồi thực tế của bê tông và cốt thép phải được giả thiết khi tính ứng suất và biến dạng. Hiệu ứng của từ biến và co ngót khô cũng phải được xét đến trong tính toán ứng suất.
Đối với bê tông chỉ chịu nén:
(Xem điều 10.2.1, chú thích 1).
Chú thích - ứng suất trong bê tông và cốt thép thông thường có thể được tính toán dựa trên giả thiết phân bố ứng suất tuyến tính trong vùng nén.
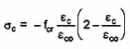
Cường độ thiết kế của bê tông tương ứng với dạng phá hủy thực, trong trường hợp tải đặt trong vùng nén, có thể được biểu diễn bằng:
frd = α frc
Hệ số α tính đến hiệu ứng gradien ứng suất cục bộ của tiết diện, α biểu thị mối quan hệ giữa ứng suất ở mép tiết diện được xác định theo phân bố ứng suất tuyến tính và ứng suất ở mép được xác định theo phân bố ứng suất thực tế.
α có thể được biểu diễn bằng: α = 1,3 - 0,3 β 1,0 < α ≤ 1,3
trong đó: β là tỷ số giữa giá trị tuyệt đối của ứng suất lớn nhất và nhỏ nhất xuất hiện đồng thời trong vùng nén cục bộ. Khoảng cách giữa các điểm được dùng trong tính toán không được lớn hơn 300 mm.
10.4 Lực cắt
10.4.1 Sức bền mỏi cắt của kết cấu bê tông được xác định khi dùng các tiêu chuẩn được chấp nhận.
Chú thích
1) Tuổi thọ mỏi của bê tông không có cốt thép chịu cắt có thể tính toán theo điều 10.2.1 chú thích 1) với những cải biến sau:
được thay thế bởi
;
và được thay thế bởi
;
trong đó
Vmax là lực cắt lớn nhất (giá trị tuyệt đối);
Vmin là lực cắt nhỏ nhất;
Vcd là khả năng chịu cắt.
Đối với các khối phản ứng chứa cả lực cắt âm lẫn dương thì tử số trong điều 10.2.1 chú thích 1) được thay thế bằng:
Nếu dấu của lực cắt thay đổi thì có thể phải kiểm tra khả năng chịu tải đối với cả lực cắt dương lẫn âm, tương ứng là Vmax và Vmin trong công thức trên.
2) Tuổi thọ mỏi của cốt thép chịu cắt phải được tính theo điều 10.2.1 chú thích 2) khi giả thiết rằng tại mọi mức tải thì cốt thép chịu cắt nhận một phần của lực cắt biểu kiến. Phần này tương ứng với sự đóng góp của cốt thép chịu cắt vào tổng khả năng chịu cắt của bê tông và cốt thép chịu cắt.
11 Trạng thái giới hạn phá hủy lũy tiến (PLS)
11.1 Quy định chung
11.1.1 Khi thiết kế theo PLS có liên quan tới tính mềm dẻo của một kết cấu bê tông thì phải được cung cấp đầy đủ tư liệu nhờ các phương pháp được chấp nhận dựa trên số liệu thí nghiệm tin cậy và tiêu biểu để có thể đạt được khả năng mềm dẻo cần thiết (xem điều 8.9).
Chú thích - Sức bền thiết kế trong PLS thường phụ thuộc vào khả năng chịu tải, tính mềm dẻo có thể cho phép tiêu hao năng lượng nhỏ các biến dạng lớn ngoài đàn hồi hoặc phụ thuộc tổ hợp của hai tính chất trên.
11.1.2 Tính mềm dẻo của một kết cấu hoặc một phần tử kết cấu được định nghĩa như là khả năng của nó chịu đựng được biến dạng tăng quá giới hạn chảy trong khi đó vẫn duy trì được khả năng chịu tải cần thiết. Do đó, tính mềm dẻo có thể được mô tả theo khả năng hấp thụ năng lượng của kết cấu hoặc các cấu kiện của nó.
Chú thích - Để phân tích tính mềm dẻo của một kết cấu bê tông thì phải xem xét các vấn đề sau:
a) Tính mềm dẻo của các cấu kiện. Các cấu kiện bê tông được thiết kế sao cho cốt thép nói chung biểu lộ được đặc tính mềm dẻo này. Khi bê tông bị vượt ứng suất (không phải cốt thép) thì sự phá hủy có thể do:
- phá hủy nén của bê tông;
- phá hủy cắt của bê tông;
- mất tác dụng neo cốt thép.
Phá hủy nén được điều khiển bằng yêu cầu hạn chế hoặc tăng cường cốt ngang đặc biệt của cốt dọc. Sự hạn chế như vậy nhằm làm tăng khả năng biến dạng cũng như cường độ chịu nén của bê tông.
Phá hủy cắt của bê tông có thể được khống chế bởi việc chú ý đến cốt thép chịu cắt thích hợp, nghĩa là phải có số lượng sao cho để phá hủy cắt xảy ra sau phá hủy nén.
Phải ngăn ngừa việc mất tác dụng đột ngột của dính kết và neo dai. Cốt đai, vành đai, nẹp đai phải tiếp tục có hiệu quả ngay cả khi lớp bê tông bảo vệ bị hư hỏng.
b) Tính mềm dẻo tổng thể của toàn kết cấu. Để đạt được khả năng hấp thụ và tiêu hao năng lượng lớn của kết cấu thì phải loại trừ được các nguyên nhân có thể gây ra phá hủy giòn. Các hướng dẫn chung sau đây được dùng để thiết kế tính mềm dẻo trong kết cấu:
- Độ cứng: Sự thay đổi của mômen quán tính của tiết diện kết cấu từ mức này đến mức khác phải từ từ, tránh sự thay đổi đột ngột:
- Cường độ: Phải làm cho sự suy giảm cường độ khi chịu tải lặp là ít nhất. Dầm nối vào trong cột phải được định kích thước sao cho các đầu dầm có khả năng chịu tải nhỏ hơn so với cột.
Điều này hạn chế sự phá hỏng đối với một vùng cục bộ và làm sự phá hỏng chung ít xảy ra nhất;
- Hệ thống tĩnh định: Nói chung cần tránh sử dụng các hệ thống tĩnh định ở trong miền tới hạn của kết cấu để phòng các trường hợp tải trọng thay đổi;
- Lựa chọn vật liệu: Phải dùng các vật liệu có tính chịu tải lặp tốt.
11.1.3 Để thiết kế theo PLS, các hệ số vật liệu (gm) đối với bê tông và cốt thép được cho tương ứng trong điều 5.6 bảng 2 và 6.6 bảng 3.
12 Những chú ý đặc biệt
12.1 Hiệu ứng của áp lực nước
12.1.1 Phải lưu ý đầy đủ đến hiệu ứng của áp lực nước trong bê tông khi cần thiết.
12.1.2 ảnh hưởng của áp lực thủy tĩnh đến cường độ bê tông phải được đánh giá khi cần thiết. (Đối vối bê tông cốt liệu nhẹ thì ảnh hưởng này có thể đáng kể).
12.1.3 Phải tính đến hiệu ứng của lực thủy tĩnh tác động trên bề mặt của vết nứt trong các mô hình phân tích được dùng để dự báo cường độ bê tông. Hiệu ứng này cũng phải được kể đến khi đánh giá hiệu ứng tải trọng thực.
12.2 Mất áp suất thấp dự kiến
12.2.1 Đối với kết cấu được thiết kế để làm việc trong điều kiện áp suất thấp đã dự định so với áp lực ngoài thì phải đánh giá điều kiện thiết kế mà tại đó áp suất thấp dự kiến này không còn nữa.
Hiệu ứng tải trọng này có thể được xếp vào loại hiệu ứng của tải trong sự cố theo TCVN 6710-3:1998. Khi đó, các tổ hợp tải trọng, các hệ số tải trọng và vật liệu được dùng theo tiêu chuẩn của PLS.
Chú thích - Khách hàng có thể quy định tiêu chuẩn nghiêm ngặt hơn đối với tình huống này (ví dụ như tăng hệ số vật liệu, hệ số tải trọng.v.v...) để tránh các chi phí tốn kém cho việc sửa chữa sau này.
12.3 Trọng lượng bê tông
12.2.1 Phải xét cả hiệu ứng dài hạn của hiện tượng hấp thụ nước khi xác định trọng lượng bê tông.
12.4 Chống ăn mòn
12.4.1 Phải bảo vệ chống ăn mòn các cốt thép thường, cốt thép ứng suất trước hoặc các cốt thép khác được đặt hoàn toàn trong kết cấu bê tông. Thường kết cấu bê tông cốt thép được coi là đảm bảo chống ăn mòn nếu sử dụng lớp bê tông bảo vệ theo điều 9.2.
12.4.2 Tất cả các loại thép không bị lộ ra ngoài bê tông hoặc vữa phải được xem xét như những kết cấu thép trần và phải được bảo vệ như đối với các công trình biển bằng thép.
12.4.3 Khi thiết kế hệ thống bảo vệ catốt đối với thép trần nằm trong nước biển và khi có tiếp xúc điện với cốt thép, nếu cần thiết cho phép thoát dòng qua cốt thép trên.
Sự thoát dòng có thể xảy ra nhờ cốt thép. Thép không có tầm quan trọng về mặt kết cấu ví dụ như các tấm sử dụng tạm thời cũng phải được xét đến.
Chú thích - Đối với các kết cấu bê tông, nên dùng phương pháp chống ăn mòn bằng anốt hy sinh cho thép trần nằm trong nước biển.
12.4.4 Đối với các hệ thống dòng ngoài thì phải chứng minh đầy đủ rằng những hiệu ứng có hại sẽ không xảy ra. Chú ý tới các khả năng sau:
- bảo vệ quá mức cục bộ của cốt thép có thể làm giảm lực liên kết giữa bê tông và cốt thép;
- sự ăn mòn bê tông hoặc thép bởi clorua hoặc axit sinh ra từ clo.
12.4.5 Nên đổ bê tông kín xung quanh các tấm đậy hoặc các chi tiết thép đặt cố định trong bê tông, các ống nối... để ngăn ngừa sự xâm nhập của nước biển vào cốt thép. Việc bịt kín nên thực hiện sau khi hoàn tất công việc hàn... Các bản quy định kỹ thuật của các vật liệu bịt kín cũng như qui trình thực hiện phải trình để cơ quan có thẩm quyền đánh giá.
12.4.6 Phải xem xét hiệu ứng dài hạn ở những nơi bê tông được sử dụng trong môi trường có tác nhân làm xấu đi chất lượng của bê tông hoặc cốt thép.
Chú thích - Các hợp chất sau đây có ảnh hưởng xấu đến bê tông hoặc cốt thép:
- clorua;
- các vi khuẩn yếm khí sinh ra HS;
- các axit;
- một số hợp chất hữu cơ.
MỤC LỤC
Lời nói đầu
TCVN 6170-5:1999 Công trình biển cố định - Kết cấu - Phần 5: Thiết kế kết cấu hợp kim nhôm
TCVN 6170-6:1999 Công trình biển cố định - Kết cấu - Phần 6: Thiết kế kết cấu bê tông cốt thép
TCVN 6170-7:1999 Công trình biển cố định - Kết cấu - Phần 7: Thiết kế móng
TCVN 6170-8:1999 Công trình biển cố định - Kết cấu - Phần 8: Hệ thống chống ăn mòn
Bạn chưa Đăng nhập thành viên.
Đây là tiện ích dành cho tài khoản thành viên. Vui lòng Đăng nhập để xem chi tiết. Nếu chưa có tài khoản, vui lòng Đăng ký tại đây!



