- Tổng quan
- Nội dung
- Tiêu chuẩn liên quan
- Lược đồ
- Tải về
Tiêu chuẩn Việt Nam TCVN 5573:1991 Tiêu chuẩn thiết kế gạch đỏ và gạch đỏ cốt thép
| Số hiệu: | TCVN 5573:1991 | Loại văn bản: | Tiêu chuẩn Việt Nam |
| Cơ quan ban hành: | Đang cập nhật | Lĩnh vực: | Xây dựng |
|
Ngày ban hành:
Ngày ban hành là ngày, tháng, năm văn bản được thông qua hoặc ký ban hành.
|
1991 |
Hiệu lực:
|
Đang cập nhật |
| Người ký: | Đang cập nhật |
Tình trạng hiệu lực:
Cho biết trạng thái hiệu lực của văn bản đang tra cứu: Chưa áp dụng, Còn hiệu lực, Hết hiệu lực, Hết hiệu lực 1 phần; Đã sửa đổi, Đính chính hay Không còn phù hợp,...
|
Đã biết
|
TÓM TẮT TIÊU CHUẨN VIỆT NAM TCVN 5573:1991
Nội dung tóm tắt đang được cập nhật, Quý khách vui lòng quay lại sau!
TIÊU CHUẨN VIỆT NAM
TCVN 5573:1991
Nhóm H
KẾT CẤU GẠCH ĐỎ VÀ GẠCH ĐỎ CỐT THÉP – TIÊU CHUẨN THIẾT KẾ
Masonry and reinforced masonry structures - Design standard
1. Quy định chung
1.1. Tiêu chuẩn này áp dụng để thiết kế xây dựng mới, thiết kế xây dựng sửa chữa và cải tạo các ngôi nhà và công trình làm bằng kết cấu gạch đỏ và gạch đỏ cốt thép.
1.2. Khi thiết kế kết cấu gạch đỏ và gạch đỏ cốt thép cho các loại kết cấu đặc biệt hoặc ở những nơi có điều kiện sử dụng đặc biệt, ngoài việc thực theo các yêu cầu của tiêu chuẩn này, cần xét đến những yêu cầu bổ sung phù hợp với các quy định khác trong các tiêu chuẩn khác Nhà nước hiện hành.
1.3. Khi thiết kế kết cấu gạch đỏ và gạch đỏ cốt thép phải đảm bảo các yêu cầu tiết kiệm xi măng, thép cũng như phải chú ý sử dụng các vật liệu địa phương.
1.4. Nên sử dụng vật liệu nhẹ (bêtông tổ ong, bêtông nhẹ, gạch rỗng v. v...) để làm tường ngăn và tường chịu lực, cũng như các loại vật liệu cách nhiệt có hiệu quả để làm tường ngoài.
Chú thích: Các thuật ngữ tường tự chịu lực, tường không chịu lực, tường ngoài tham khảo phụ lục 2 của tiêu chuẩn này.
1.5. Kết cấu gạch đỏ và gạch đỏ có cốt thép, trong trường hợp cần thiết phải có lớp bảo vệ cốt thép cần thiết để chống lại các tỏc dụng cơ học và khớ quyển cũng như tỏc dụng của mụi trường xõm thực.
Phải chú ý chống rỉ cho các cấu kiện và các liờn kết bằng kim loại ở trong nhà và công trình.
1.6. Độ bền và độ ổn định của kết cấu gạch đỏ và gạch đỏ cốt thép cũng như các cấu kiện của chúng phải được đảm bảo khi sử dụng cũng như cả khi vận chuyển và xây lắp.
1.7. Khi thiết kế các kết cấu phải chú ý đến phương pháp sản xuất vật liệu và thi công sao cho phù hợp với điều kiện địa phương, trong các bản vẽ thi công phải chỉ dẫn :
a) Mỏc thiết kế của các loại vật liệu bờ tụng, gạch, vữa dựng trong khối xây dựng cũng như dựng trong mối nối.
b) Các loại cốt thép và các yêu cầu khi thi công.
2. Vật liệu
2.1. Gạch đỏ, vữa dựng trong kết cấu gạch đỏ và gạch đỏ có cốt thép cũng như bêtông dựng để sản xuất gạch, và các blốc cỡ lớn... phải thoả món các yêu cầu kĩ thuật của các tiêu chuẩn và những hướng dẫn tương ứng.
Được phộp sử dụng các loại mỏc theo cường độ chịu nộn sau:
a) Mỏc gạch đỏ: 4, 7,10, 15, 25, 35, 50, 75, 100, 125, 150, 200, 250, 300, 400, 500, 600, 800 và 1000.
b) Mỏc bêtông:
- Bêtông nặng: M 50, M75, M100, M 200, M 300, M 350, M 400, M 460, M 800
- Bêtông nhẹ: M 15, M 25, M 35, M 50, M 75, M 100, M 150, M 200, M 250, M 300, M 350, M 400.
Đối với các loại bêtông dựng để giữ nhiệt độ có thể dựng mỏc M 7, M 10.
c) Mỏc vữa: 4,10, 25, 50, 75, 100, 150, 200.
2.2. Tuỳ theo khối lượng riờng ở trạng thỏi khụ, vữa được chia thành : vữa nặng, khi g ³ 150 kg/ m3 và vữa nhẹ khi g ³ 1500 kg/ m3.
2.3. Cốt thép dựng trong kết cấu gạch đỏ nên dựng:
- Thép thanh nhúm CI, CII hoặc thép nhập tương ứng nhúm AI, AII của Liờn Xụ.
- Sợi thép các bon thấp loại thụng thường.
Đối với các chi tiết đặt sẵn, hoặc các chi tiết nối khi sử dụng các loại thép bản, thép tấm, thép hỡnh phải thoả món các yêu cầu của tiêu chuẩn thiết kế kết cấu bêtông cốt thép và tiêu chuẩn kết cấu thép.
3. Những đặc trưng tớnh toỏn cường độ tớnh toỏn
3.1. Cường độ chịu nộn của khối xây dựng bằng gạch đỏ các loại được lấy theo các bảng từ 1 đến 8.
3.2. Cường độ chịu nộn của khối xây dựng bằng gạch xili cỏt rỗng, với độ rỗng dưới 25% được lấy theo bảng 1 với hệ số như sau:
0,8 đối với vữa cường độ 0 và bằng 2daN/ cm2 (KG/ cm2) ;
0,85 ; 0,9 và 1 – tương ứng với mỏc vữa 4 ; 10 ; 25 và lớn hơn.
3.3. Cường độ chịu nộn tớnh toỏn của khối xây dựng khi chiều cao hàng xây từ 150mm đến 200mm được xỏc định bằng cách lấy trung bỡnh cộng các giỏ trị trong bảng 1 và 4 ; cũn khi chiều cao từ 300 đến 500mm lấy theo nội suy giữa các trị số của bảng 3 và 4.
3.4. Cường độ chịu nộn của khối xây ghi trong bảng 1 đến 7 cần được nhõn với hệ số điều kiện làm việc của khối xây mkx bằng:
a) 0,8 - đối với cột và múng tường giữa hai ụ cửa có diện tớch tiết diện dưới 0,3m2
b) 0,6 - đối với cấu kiện tiết diện trũn xây bằng gạch thường (không cong) và không có lưới thép.
c) 1,1 - đối với blỗc lớn, gạch bêtông nặng và đỏ thiờn nhiờn (g ³ 1800kg/ m3)
0,9 - đối với khối xây bằng blốc và gạch bêtông xili cỏt có mỏc tớnh theo cường độ lớn hơn 300.
0,8 - đối với khối xây bằng blỗc và gạch bêtông lỗ rỗng lớn.
0,7 - đối với khối xây bằng blốc và gạch bêtông tổ ong.
3.5. Cường độ chịu nộn tớnh toỏn của khối xây bằng blốc bờ tụng rỗng được xỏc định theo thớ nghiệm. Trong trường hợp không có số liệu thớ nghiệm có thể lấy theo bảng 3 với hệ số 0,9 ; 0,5 và 0,25 khi độ rỗng blốc tương ứng nhỏ hơn hoặc bằng 5% , 25% và 45%.
Đối với những độ rỗng trung gian thỡ các hệ số này cần được xỏc định theo phương pháp nội suy.
3.6. Cường độ chịu nộn tớnh toỏn của khối xây bằng gạch mộc và gạch cay lấy theo bảng 6 với hệ:
0,7 - đối với khối xây của tường ngoài ở khu vực khớ hậu khụ rỏo;
0,5 - cũng như trờn, nhưng ở khu vực khác;
0,8 - đối với khối xây của tường trong.
Gạch mộc và gạch cay chỉ cho phộp sử dụng làm tường nhà có niờn hạn sử dụng không lớn hơn 25 năm.
3.7. Cường độ chịu nộn tớnh toỏn của khối xây bằng đỏ thiờn nhiờn đẽo nhẵn phẳng đỏy được xỏc định bằng cách nhận các trị số của cường độ tớnh toỏn ghi trong các bảng 3,4 và 6 với hệ số;
0,8 - đối với khối xây bằng đỏ đẽo nhẵn vừa (lồi lừm đến 10mm);
0,7 - đối với khối xây bằng đỏ đẽo thụ (lồi lừm đến 20mm)
Bảng 1 – Cường độ chịu nộn tớnh toỏn (R) của khối xây bằng gạch các loại
và gạch gồm có lỗ rỗng thẳng đứng rộng tới 12mm có chiều cao hàng xây
50 đến 150mm, được xây bằng vữa nặng.
Mỏc gạch hoặc đỏ | Tị số R theo daN/cm2 (KG/cm2) | |||||||||
Khi mỏc vữa | Khi cường độ vữa | |||||||||
200 | 150 | 100 | 75 | 50 | 25 | 10 | 4 | 2 | Bằng không
| |
300 250 200 150 125 100 75 50 35
|
39 36 32 26 - - - - - |
36 33 30 24 22 20 - - -
|
33 30 27 22 20 18 15 - -
|
30 28 25 20 19 17 14 11 9 |
28 25 22 18 17 15 13 10 8 |
25 22 28 25 14 13 11 09 7
|
22 19 16 13 12 10 9 7 6 |
18 16 14 12 11 9 7 6 4,5 |
17 15 13 10 9 8 6 5 4 |
15 13 10 8 7 6 5 3,5 2,5 |
Chú thích : Cường độ tớnh toỏn của khối xây dựng mỏc vữa từ 4 đến 50 cần phải giảm bớt bằng cách nhõn với các hệ số sau : 0,85 – Khi xây bằng vữa xi măng cứng (không cho thờm vụi hoặc đất sột) hoặc xây bằng vữa nhẹ và vữa vụi có tuổi dưới 3 thỏng. 0,9 – Khi xây bằng vữa xi măng (không vụi) có thờm chất hoỏ dẻo hữu cơ.
| ||||||||||
Bảng 2 – Cường độ chịu nộn tớnh toỏn Rr
của khối xây gạch rung dựng vữa nặng
Mỏc gạch | Trị số Rt theo daN/ cm2 khi mỏc vữa | ||||
200 | 150 | 100 | 75 | 50 | |
300 250 200 150 125 100 75 |
56 52 48 40 36 31 - |
53 49 45 37 33 29 25 |
48 44 40 33 30 27 23 |
45 41 36 31 29 26 22 |
42 37 33 27 25 23 20 |
Chú thích: 1. Cường độ chịu nộn tớnh toỏn của khối xây gạch rung bằng bàn rung lấy theo bảng 2 được nhõn thờm với hệ số 1,05 2. Cường độ chịu nộn của khối xây gạch rung có chiều dày lớn hơn 30 cm lấy được theo bảng 2 nhõn với hệ số 0,85 3. Cường độ tớnh toỏn ghi trong bảng 2 dựng cho những tấm khối xây có chiều rộng không nhỏ hơn 40 cm. Đối với tường tự chịu lực cho phộ p dựng các tấm có chiều rộng từ 22 cm đến 33 cm. Trong trường hợp này cường độ tớnh toỏn lấy theo bảng 2 nhõn với hệ số 0,8.
| |||||
Bảng 3 – Cường độ chịu nộn tớnh toỏn R của khối xây bằng các blốc bờ tụng cỡ lớn và
blốc đỏ thiờn nhiờn cưa hoặc đẽo nhẵn khi chiều cao của hàng cõy
từ 50 đến 100mm
Mỏc bờ tụng hoặc đỏ | Trị số R theo daN/cm2 (KG/cm2) | |||||||
Khi mỏc vữa | Khi cường độ vữa bằng không | |||||||
200 | 150 | 100 | 75 | 50 | 25 | 10 | ||
1000 800 600 500 400 300 250 200 150 100 75 50 35 25 |
179 152 128 111 93 75 67 54 46 - - - - - |
175 148 124 107 90 72 64 52 44 33 - - - - |
171 144 120 103 87 69 61 50 42 31 23 17 - - |
168 141 117 101 84 67 59 49 41 29 22 16 - - |
165 138 114 98 82 65 57 4739 27 21 15 11 9 |
158 133 109 93 77 62 54 43 37 26 20 14 10 8 |
145 123 99 87 74 57 49 40 34 24 18 12 9 7 |
113 84 73 63 53 44 38 30 24 17 13 8,5 6 5 |
Chú thích : Cường độ chịu nộn tớnh toỏn của khối xây bằng blốc lớn có chiều cao mỗi hàng xây lớn hơn 1000mm lấy theo bảng 3 nhõn với hệ số 1,1. | ||||||||
Bảng 4 – Cường độ chịu nộn tớnh toỏn R của khối xây bằng gạch bờ tụng đặc và
đỏ thiờn nhiờn cưa hoặc đẽo nhẵn với chiều cao hàng xây từ 200 đến 300 cm.
Mỏc gạch đỏ | Trị số R theo daN/ cm2 ( KG/ cm2) | |||||||||
Khi mỏc vữa | Khi cường độ vữa | |||||||||
200 | 150 | 100 | 75 | 50 | 25 | 10 | 4 | 2 | Bằng không | |
1000 800 600 500 400 300 200 150 100 75 50 35 25 15 | 130 110 90 78 65 58 40 33 25 - - - - - | 125 105 85 73 60 49 38 31 24 - - - - - | 120 100 80 69 58 47 36 29 23 19 15 - - - | 115 95 78 67 55 45 35 28 22 18 14 - - - | 110 90 75 64 53 43 33 26 20 17 13 10 8 - | 105 85 70 60 50 40 30 24 18 15 12 9,5 7,5 5,0 | 95 80 60 53 45 37 28 22 17 14 10 8,5 6,5 4,5 | 85 70 55 48 40 33 25 20 15 132 9 7 5,5 3,8 | 83 68 53 46 38 31 23 18 13 11 8 6 5 3,5 | 80 65 50 43 35 28 20 15 10 8 6 4,5 3,5 2,5 |
Chú thích: 1. Cường độ tớnh toỏn của khối xây bằng gạch bờ tụng xỉ đặc phải nhõn với hệ số 0,8 2. Cường độ tớnh toỏn khối xây dựng bằng các loại gạch đỏ nờu ở bảng này phải nhõn với hệ số : 1,3 với khối xây bằng gạch bờ tụng và đỏ thiờn nhiờn có mỏc từ 150 trở lờn bề mặt phẳng và chiều dày mạch vữa không quỏ 5mm. | ||||||||||
Bảng 5 – Cường độ chịu nộn tớnh toỏn R của khối xây bằng gạch bêtông rỗng khi chiều cao hàng xây từ 200 đến 300mm.
Mỏc gạch đỏ | Trị số R theo daN/ cm2 (KG/ cm2) | |||||||
Khi mỏc vữa | Khi cường độ vữa | |||||||
100 | 75 | 50 | 25 | 10 | 4 | 2 | 0 | |
150 125 100 75 50 35 25 |
27 24 20 16 12 - - |
26 23 18 15 11,5 10 - |
24 21 17 14 11 9 7 |
22 19 16 13 10 8 6,5 |
20 17 14 11 9 7 5,5 |
18 16 13 10 8 6 5 |
17 14 11 9 7 5,5 4,5 |
13 11 9 7 5 4 3 |
Chú thích: Cường độ tớnh toỏn của khối xây bằng gạch bờ tụng xỉ phải nhõn với hệ số 0,8.
| ||||||||
Bảng 6 – Cường độ chịu nộn tớnh toỏn R của khối xây bằng đỏ thiờn nhiờn Cường độ thấp có hỡnh dạng đều đặn (cưa và đẽo nhẵn)
Loại khối xây | Mỏc gạch đỏ | Trị số R daN/ cm2 (KG/ cm2) | ||||
Khi mỏc vữa | Khi cường độ vữa | |||||
25 | 10 | 4 | 2 | 0 | ||
1. Bằng đỏ thiờn nhiờn khi chiều cao hàng xây dưới 150mm
2. Bằng đỏ thiờn nhiờn khi độ cao hàng xây từ 200 đến 300mm.
| 25 15 10 7 10 7 4 | 6 4 3 3,5 3,8 2,8 - | 4,5 3,5 2,5 2,0 3,3 2,5 1,5 | 3,5 2,5 2,0 1,0 2,8 2,3 1,4 | 3 2 1,8 1,5 2,5 2,0 1,2 | 2,0 1,3 1,0 0,7 2,0 1,2 0,8 |
Bảng 7- Cường độ chịu nộn tớnh toỏn R của khối xây bằng đỏ hộc đập thụ
Mỏc hộc đỏ | Trị số R daN/ cm2 (KG cm2) | |||||||
Khi mỏc vữa | Khi cường độ vữa | |||||||
|
| 100 | 75 | 50 | 25 | 10 | 4 | 0 | |
1000 800 600 500 400 300 200 150 100 50 35 25 | 25 22 20 18 15 13 11 9 7,5 - - - | 22 20 17 15 13 11,5 10 8 7 - - - | 18 16 14 13 11 9,5 8 7 6 4,5 3,6 3 | 12 10 9 8,5 8 7 6 5,5 5 3,5 2,9 2,5 | 8 7 6,5 6,0 5,5 5 4,5 4 3,5 2,5 2,2 2 | 5 4,5 4 3,8 3,3 3 2,8 2,5 2,3 2 1,8 1,5 | 4 3,3 3 2,7 2,3 2 1,8 1,7 1,5 1,3 1,2 1 | 3,3 2,8 2 1,8 1,5 1,2 0,8 0,7 0,5 0,3 0,2 0,2 |
Chú thích : 1. Cường độ tớnh toỏn ghi ở bảng 7 ứng với các cột các mỏc vữa lớn hơn hoặc bằng 4 được dựng trong khối xây ở tuổi 3 thỏng trong đú mỏc vữa xỏc định ở tuổi 28 ngày. Cũn khi khối xây ở tuổi 28 ngày thỡ cần phải nhõn với hệ số 0,8. 2. Đối với khối xây bằng đỏ hộc phẳng đỏy cường độ tớnh toỏn được nhõn với hệ số 1,5. 3. Cường độ tớnh toỏn của khối xây múng bằng đỏ hộc có lấp đất bốn phớa, được tăng thờm: 1daN/cm2- khi khối xây được lấp đất theo từng lớp 2daN/cm2 (KG/cm) khi khối xây tỡ vào thành hố múng là đất nguyờn thổ hoặc sau khi lấp đất, hố múng đó được lốn chặt một thời gian dài ( khi xây thờm tầng nhà).
| ||||||||
Bảng 8 – Cường độ chịu nộn tớnh toỏn R của bờ tụng đỏ hộc ( không đầm)
Loại bờ tụng đỏ hộc | Trị số R theo daN/cm2, (KG/cm2, khi mỏc bờ tụng | |||||
M 200 | M 150 | M 100 | M 75 | M 50 | M 35 | |
Với đỏ hốc đập thụ Mỏc 200 và lớn hơn M 100 Mỏc 50 hay vơi gạch vỡ |
40 - - |
35 - - |
30 - - |
25 22 20 |
20 18 17 |
17 15 13
|
Chú thích: Đối với bờ tụng đỏ hộc có dầm, cường độ chịu nộn tớnh toỏn được nhõn với 1,15 | ||||||
3.8. Cường độ tớnh toỏn của khối xây gạch đỏ chịu kộo dọc trục Rk, chịu kộo khi uốn Rku, chịu cắt Rc và ứng suất kộo chớnh khi uốn Rkc khi khối xây bị phỏ hoại theo mạch vữa hoặc phỏ hoại qua gạch hoặc đỏ được lấy theo bảng 9: 10 và 11.
Bảng 9- Cường độ tớnh toỏn Rk, Rku, Rc,, Rkc của khối xây bằng gạch đỏ đặc với vữa xi măng vụi hoặc vữa vụi khi khối xây bị phỏ hoại theo mạch vữa ngang hay đứng.
Loại trạng thỏi ứng suất | Trị số R theo daN/ cm2 (KG/ cm2) | ||||
Khi mỏc vữa | Khi cường độ vữa | ||||
50 | 25 | 10 | 4 | 2 | |
Kộo dọc trục Rk 1. Theo mạch không giằng đối với mọi loại khối xây (Lực dớnh pháp tuyến, hỡnh 1) 2. Theo mạch giằng (cài răng lược, hỡnh 2) a) Đối với khối xây gạch đỏ có hỡnh đều đặn b) Đối với khối xây đỏ hộc
Kộo khi uốn Rku 1. Theo mạch không giằng đối với mọi loại khối xây và mạch nghiờng bậc thang (ứng suất kộo chớnh khi uốn Rkc) 2. Theo mạch giằng (hỡnh 3) a) Đối với khối xây bằng gạch đỏ có hỡnh đều đặn b) Đối với khối xây đỏ hộc
Cắt Rc 1. Theo mạch không giằng đối với mọi loại khối xây (lực dớnh tiếp tuyến) 2. Theo mạch giằng và đối với khối xây đỏ hộc |
0,8
1,6 1,2
1,2
2,5
1,8
1,6 2,4 |
0,5
1,1 0,8
0,8
1,6
1,2
1,1 1,6 |
0,3
0,5 0,4
0,4
0,8
0,6
0,5 0,8 |
0.1
0.2 0.2
0,2
0,4
0,3
0,2 0,4 |
0,05
0,10 0,10
0,10
0,2
0,15
0,1 0,2 |
Chú thích: 1. Cường độ tớnh toỏn của khối xây ghi ở bảng 9 cần được nhõn với hệ số: 1,4 - Đối với khối xây gạch rung bằng bàn rung khi tớnh với tổ hợp tải trọng đặc biệt. 1,25 - Đối với khối xây gạch rung được chế tạo bằng gạch đất sột ộp dẻo 0,75 - Đối với khối xây không rung, xây bằng vữa ximăng cứng không có chất phụ gia vụi hoặc đất sột. 0,7 - đối với khối xây bằng gạch xilicỏt thụng thường, cũn khối xây bằng gạch xilicỏt được sản xuất bằng các loại cỏt nhỏ được lấy theo số liệu thực nghiệm. Khi tớnh theo trạng thỏi mở rộng khe nứt theo công thức (44) cường độ tớnh toỏn Rku của khối xây bằng mọi loại gạch xilicỏt được lấy theo bảng 9 (không có hệ số). 2. Khi tỉ số chiều sõu liờn kết cài răng lược với chiều cao một hàng xây của khối xây bằng gạch đỏ có hỡnh đều đặn nhỏ hơn 1 thỡ cường độ tớnh toỏn Rk và Rku theo mạch giằng được lấy bằng các trị số ghi ở bảng 9 nhõn với tỉ số đú.
| |||||
Bảng 10 – Cường độ tớnh toỏn của bêtông đỏ hộc chịu kộo dọc trục Rk,
ứng xuất kộo chớnh Rkc và kộo uốn Rku
Trạng thỏi ứng xuất | Trị số R theo daN/ cm2 (KG/ cm2) khi mỏc gạch đỏ | ||||||||
200 | 150 | 100 | 75 | 50 | 35 | 25 | 15 | 10 | |
Kộo dọc trục Rk Kộo khi uốn Rku và ứng suất kộo chớnh Rkc Cắt Rc | 2,5
4 10 | 2
3 8 | 1,8
2,5 6,5 | 1,3
2 5,5 | 1
1,6 4 | 0,8
1,2 3 | 0,6
1 2 | 0,5
0,7 1,4 | 0,3
0,5 0,9 |
Chú thích : 1. Cường độ tớnh toỏn Rk, Rku, Rkc được tớnh với toàn bộ tiết diện đứt của khối xây 2. Cường độ tớnh toỏn chịu cắt theo mạch giằng chỉ được tớnh với diện tớch tiết diện gạch hay đỏ trong tiết diện ( diện tớch gạch đỏ thực của tiết diện) mà không kể diện tớch gạch vữa đứng.
| |||||||||
Bảng 11 – Cường độ tớnh toỏn của bờ tụng đỏ hộc chịu kộo dọc trục Rk,
ứng suất kộo chớnh Rkc và kộo uốn Rku
Trạng thỏi ứng suất | Trị số R theo daN/ cm2 ( KG/ cm2) khi mỏc bêtông | |||||
M 200 | M 150 | M 100 | M 75 | M 50 | M 35 | |
Kộo dọc trục Rk và ứng suất kộo chớnh Rkc Kộo uốn Rku |
2 2,7 |
1,8 2,5 |
1,6 2,3 |
1,4 2,0 |
1,2 1,8 |
1,0 1,6 |
3.9. Cường độ tớnh toỏn của cốt thép Rt lấy theo tiêu chuẩn kết cấu bờ tụng và bờ tụng cốt thép nhõn với hệ số tiêu chuẩn làm việc gt, ở bảng 12 của tiêu chuẩn này.
Bảng 12 – Hệ số làm việc của cốt thép gt
Loại cốt thép trong kết cấu | Nhúm thép | ||
CI (AI) | CII (AII) | Sợi thép | |
Lưới thép Cốt thép dọc trong khối xây – Chịu kộo – Chịu nộn – Cốt xiờn và cốt dai Mỏc và liờn kết – Mỏc vữa ³ 25 – Mỏc vữa £ 10 | 0,75
1 0,85 0,8
0,9 0,5 | -
1 0,7 0,8
0,9 0,5 | 0,6
1 0,6 0,6
0,8 0,6 |
Chú thích: Cường độ tớnh toỏn của các loại cốt thép khác không lấy cao hơn cường độ tớnh toỏn của loại thép CII, (AII ) hoặc sợi thép thụng thường tương ứng. | |||
Mụ đun đàn hồi và mụ đun biến dạng của khối xây khi tải trọng tỏc dụng ngắn hạn và tỏc dụng dài hạn. Các đặc trưng đàn hồi của khối xây biến dạng co ngút, hệ số nở dài và hệ số ma sỏt.
3.10. Mụ đun đàn hồi ( mụ đun biến dạng ban đầu ) của khối xây E0 khi tải trọng tỏc dụng ngắn hạn được xỏc định theo công thức:

1) Đối với khối xây không có cốt thép:
2) Đối với khối xây có cốt thép:
Trong các công thức (1) và (2):
a và at- đặc trưng đàn hồi của khối xây không có cốt thép và có cốt thép, lấy theo điều 3.11.
Rbt- cường độ chịu nộn trung bỡnh (giới hạn trung bỡnh của cường độ) của khối xây, được xỏc định theo công thức:

Trong đó:
k- là hệ số lấy theo bảng 13
R- cường độ chịu nộn tớnh toỏn của khối xây, lấy theo bảng 1 đến 8 có kể tới các hệ số trình bày trong phần chú thích của các bảng trờn và ở các điều 3.2 đến 3.7.
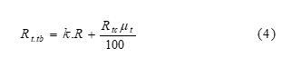
Rt.tb- cường độ chịu nộn trung bỡnh (giới hạn trung bỡnh của cường độ) của khối xây có cốt thép, xây bằng gạch đỏ có chiều cao một hàng xây không lớn hơn 150mm, được xỏc định theo công thức:
1) Đối với khối xây có cốt thép dọc:
2) Đối với khối xây có cốt thép lưới:
mt – Hàm lượng cốt thép
Đối với khối xây có cốt thép dọc
Trong đú :
At và Akx tương ứng là diện tớch tiết diện của cốt thép và khối xây.
Đối với khối xây có cốt thép lưới m được xỏc định theo điều 4. 21.
Rtc – cường độ chịu nộn tiêu chuẩn của cốt thép trong khối xây có cốt thép.
Đối với thép thanh loại CI, và CII lấy theo tiêu chuẩn thiết kế kết cấu bờ tụng và bờ tụng cốt thép, cũn đối với các sợi thép thụng thường cũng lấy theo tiêu chuẩn trờn với hệ số điều kiện làm việc 0,6.
Bảng 13
Loại khối xây | Hệ số k |
1. Khối xây các loại gạch đỏ bằng blốc lớn đỏ hộc, bờ tụng đỏ hộc và gạch rung. 2. Khối xây blốc lớn và nhỏ bằng bờ tụng tổ ong | 2,0 2,25 |
3.11. Trị số đặc trưng đàn hồi của khỗi xây không có cốt thép a lấy theo bảng 14
Trị số đặc trưng đàn hồi của khối xây có cốt thép at lấy bằng :
Đối với cột thép lưới:

Đối với cốt thép - dọc lấy theo bảng 14 như đối với khối xây không cốt thép.
3.12. Mụ đun biến dạng E của khối xây phải lấy như sau:
a) Khi tớnh toỏn kết cấu theo cường độ khối xây để xỏc định nội lực trong khối xây ở trạng thỏi giới hạn chịu nộn với điều kiện biến dạng của khối xây được xỏc định bằng cách cho cựng làm việc với các bộ phận của kết cấu làm bằng các vật liệu khác (thớ dụ: để xỏc định nội lực trong dõy căng của vũm, trong các lớp của tiết diện chịu nộn nhiều lớp; để xỏc định nội lực do biến dạng nhiệt độ gõy ra; tớnh toỏn khối xây trờn dầm tường hoặc dưới các giằng phõn phối lực) E tớnh theo công thức:

b) Khi xỏc định biến dạng của khối xây do lực dọc hoặc lực ngang, xỏc định nội lực trong các hệ khung siờu tỉnh mà ở đú các phần kết cấu bằng khối xây cũng làm việc với các phần làm bằng vật liệu khác; xỏc định chu kỡ dao động hoặc độ cứng của kết cấu v. v... , E tớnh theo công thức :

Trong đú E0 là mụ đun đàn hồi được xỏc định theo công thức (1) và (2).
Bảng 14- Trị số đặc trưng đàn hồi
Loại khối xây | Đặc trưng đàn hồi a | ||||
Khi mỏc vữa | Khi cường độ vữa | ||||
23 đến 200 | 10 | 4 | 2 | 0 | |
1. Bằng các khối lớn cản xuất từ BT nặng và BT có lỗ rỗng lớn với cốt liệu nặng và bằng đỏ thiờn nhiờn nặng (g ³ 1800 kg/m3) 2. Bằng đỏ thiờn nhiờn gạch bờ tụng nặng và đỏ hộc. 3. Bằng các khối lớn làm từ bờ tụng cốt liệu rỗng và bờ tụng lỗ rỗng lớn với cốt liệu nhẹ, bờ tụng xilicỏt và bằng đỏ thiờn nhiờn nhẹ. 4. Bằng khối lớn làm từ bờ tụng tổ ong 5. Bằng gạch bờ tụng tổ ong. 6. Bằng gạch gốm 7. Bằng gạch đất xét ộp dẻo đặc và có lỗ rỗng, gạch bờ tụng với cốt liệu rỗng và đỏ thiờn nhiờn nhẹ 8. Gạch xilicỏt 9. Gạch đất sột ộp lửa khụ thường và có lỗ rỗng. |
1500
1500
1000
500 500 1200 1000 750 500 |
1000
1000
750
500 350 1000 750 500 500 |
750
750
500
350 200 750 500 350 350 |
750
500
500
350 200 500 350 350 350 |
500
350
350
350 200 350 200 200 200 |
Chú thích : 1. Kki xỏc định hệ số uốn dọc với độ mảnh l0/i £ 28 hay l0 /h £ 8 (xem điều 42)cho phộp lấy giỏ trị đặc trưng đàn hồi a cho khối xây bằng mọi loại gạch như cho khối xây bằng gạch ộp dẻo. 2. Trị số đặc trưng đàn hồi a từ mục 7 đến mục 9 cũng dựng cho các tấm lớn và khối gạch rung 3. Đặc trưng đàn hồi của bờ tụng đỏ hộc được lấy bõừng a = 2000 4. Đối với khối xây vừa nhẹ đặc trưng đàn hồi a lấy theo bảng 14 với hệ số 0,7 5. Đặc trưng đàn hồi của khối xây bằng đỏ thiờn nhiờn được xỏc định trờn cơ sở thớ nghiệm . | |||||
3.13. Biến dạng tương đối của khối xây có kể đến từ biến được xỏc định theo công thức:
Trong đó: 
s - ứng suất dựng để xỏc định e
n - Hệ số xét đến ảnh hưởng của từng biến đổi với khối xây.
n = 1,8 - Đối với khối xây bằng gạch gốm có lỗ rỗng thẳng đứng.
n = 2,2 - đối với khối xây bằng gạch đất sột ộp dẻo và ộp nửa khụ.
n = 2,8 - đối với khối xây bằng khối lớn hoặc bằng gạch bêtông nặng.
n = 3,0 - đối với khối xây bằng gạch xilicỏt đặc rỗng cũng như bằng gạch được chế tạo từ bờ tụng cốt liệu rỗng và blốc lớn xilicỏt .
n = 4,0 - đối với khối xây bằng blốc lớn và nhỏ chế tạo từ bêtông tổ ong có chung áp.
3.14. Đối với tải trọng tỏc dụng dài hạn, mụ đun đàn hồi của khối xây E0 có kể đến từ biến, cần giảm đi bằng cách chia cho hệ số từ biến v
3.15. Mụ đun đàn hồi và biến dạng của khối xây bằng đỏ thiờn nhiờn cho phộp lấy trờn cơ sở thớ nghiệm.
3.16. Biến dạng co ngút của khối xây bằng:
3.10-4 đối với khối xây bằng gạch đỏ, blốc lớn và nhỏ được xây bằng chất kết dớnh xilicỏt hay xi măng.
8.10-4 - đối với khối xây bằng gạch và blốc bờ tụng tổ ong
Cũn đối với khối xây bằng gạch đất sột và gạch gốm thỡ không cần kể đến biến dạng co ngút.
3.17. Mụ đun chống trượt của khối xây lấy bằng G = 0,4 E0 với E0 là mụ đun đàn hồi khi nộn.
3.18. Trị số hệ số nở dài của khối xây khi nhiệt độ thay đổi 10 được lấy theo bảng 15.
Bảng 15 – Hệ số nở dài của khối xây at
Vật liệu của khối xây | t |
1. Gạch đất sột và gạch gốm 2. Gạch xilicỏt, gạch và blốc bờ tụng đỏ hộc 3. Đỏ thiờn nhiờn, gạch và blốc bờ tụng tổ ong. | 0,000005 0,00001 0,000008 |
Chú thích: Hệ sụ nở dài đối với khối xây bằng các loại vật liệu khác cho phộp lấy theo các số liệu thớ nghiệm. | |
3.19. Hệ số ma sỏt lấy theo bảng 16
Bảng 16 – Hệ số ma sỏt m
Vật liệu | Trạng thỏi bề mặt ma sỏt | |
Khụ | ẩm | |
1. Khối xây trờn khối xây hay bờ tụng 2. Gỗ trờn khối xây hay trờn bờ tụng 3. Tháp trờn khối xây hay trờn bờ tụng 4. Khối xây và bờ tụng trờn cỏt hay trờn sỏi 5. Như trờn, trờn ỏ sột 6. Như trờn, trờn đất sột | 0,7 0,6 0,45 0,6 0,55 0,50 | 0,6 0,6 0,35 0,5 0,4 0,3 |
4. Tớnh toỏn các cấu kiện của kết cấu gạch đỏ và gạch đỏ cốt thép theo trạng thỏi giới hạn thứ nhất (theo khả năng chịu lực)
Kết cấu gạch đỏ - Cấu kiện chịu nộn đỳng tõm
4.1. Tớnh toỏn các cấu kiện của kết cấu gạch đỏ và gạch đỏ không có cốt thép chịu nộn đỳng tõm theo công thức:

Trong đú :
N – Lực dọc tớnh toỏn
R – Cường độ chịu nộn tớnh toỏn của khối xây, xỏc định theo bảng 1 đến 8;
j - Hệ số uốn dọc, xỏc định theo điều 4.2 ;
A – Diện tớch tiết diện của cấu kiện ;
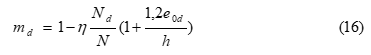
md – Hệ số xét đến ảnh hưởng của tải trọng tỏc dụng dài hạn (từ biến) làm giảm khả năng chịu lực của các cấu kiện: với cấu kiện có cạnh nhỏ nhất h dưới 30cm (hay là có bỏn kớnh quỏn tớnh nhỏ nhất của tiết diện ngang bất kỡ i nhỏ hơn 8,7cm) , xỏc định md theo công thức (16) với e0.d = 0
Khi h ³ 30 cm (hoặc i ³ 8,7cm) hệ số md lấy bằng 1
4.2. Hệ số uốn dọc j dựng để xét đến sự giảm khả năng chịu lực của các cấu kiện chịu nộn.
Đối với cấu kiện có tiết diện không đổi theo chiều dài, j được xỏc định theo bảng 17 tuỳ thuộc vào độ mảnh của cấu kiện.


Hay:
Đối với các tiết diện hỡnh chữ nhật và đặc trưng đàn hồi a của khối xây (lấy theo bảng 14)
Trong các công thức (11) và (12):
l0- Chiều cao tớnh toỏn của cấu kiện, được xỏc định theo chỉ dẫn ở điều 4.3 ;
i – Bỏn kớnh quỏn tớnh nhỏ nhất của tiết diện cấu kiện :
h – Cạnh nhỏ của tiết diện hỡnh chữ nhật
Bảng 17- Hệ số uốn dọc j
Độ mảnh | Hệ số uốn dọc j với độ đặc trưng đàn hồi a | |||||||
l0/h | l0/i | 1500 | 1000 | 750 | 500 | 350 | 200 | 100 |
4 6 8 10 12 14 16 18 22 26 30 34 38 42 46 50 54 | 14 21 28 35 42 49 56 63 76 90 104 118 132 146 160 173 187 | 1 0,98 0,95 0,92 0,88 0,85 0,81 0,77 0,69 0,61 0,53 0,44 0,36 0,29 0,21 0,17 0,13 | 1 0,96 0,92 0,88 0,84 0,79 0,74 0,70 0,61 0,52 0,45 0,38 0,31 0,25 0,18 0,15 0,12 | 1 0,95 0,90 0,84 0,79 0,73 0,68 0,63 0,53 0,45 0,39 0,32 0,26 0,21 0,16 0,13 0,10 | 0,98 0,91 0,85 0,79 0,72 0,66 0,59 0,53 0,43 0,36 0,32 0,26 0,21 0,17 0,13 0,10 0,08 | 0,94 0,88 0,80 0,72 0,64 0,57 0,50 0,45 0,35 0,29 0,25 0,21 0,17 0,14 0,10 0,08 0,06 | 0,9 0,81 0,70 0,60 0,51 0,43 0,37 0,32 0,24 0,20 0,17 0,14 0,12 0,09 0,07 0,05 0,04 | 0,82 0,68 0,54 0,43 0,34 0,28 0,23 - - - - - - - - - - |
Chú thích: 1. Với các trị số độ mảnh trung gian, hệ số j được lấy theo nội suy 2. Với các trị số độ mảnh lh vượt quỏ trị số giới hạn (điều 6.17 – 6.21) , hệ số j được dựng để xỏc định jn (điều 4.7) trong trường hợp tớnh toỏn cấu kiện chịu nộn lệch tõm lớn. 3. Đối với khối xây có cốt thép lưới trị số đặc trưng đàn hồi được xỏc định theo công thức (6) có thể bộ hơn 200. | ||||||||
4.3. Chiều cao tớnh toỏn của tường và cột l0 dựng để xỏc định hệ số uốn dọc j được lấy tuỳ theo điều kiện tựa của chúng lờn các gối từ nằm ngang, cụ thể là:
a) Khi tựa trờn gối khớp cố định (hỡnh 4a) l0 = H ;
b) Khi gối trờn là gối đàn hồi và gối dưới là ngàm cứng (hỡnh 4b)
- Đối với nhà một nhịp l0 = 1,5 H ;
- Đối với nhà nhiều nhịp l0 = 1,25 H ;
c) Khi kết cấu cứng tự do (hỡnh 4c) l0 = 2H ;
d) Khi kết cấu có các tiết gối được ngàm không hoàn toàn thỡ phải xét đến mức độ ngàm thực tế nhưng l0 > 0,8H, trong đú H là khoảng cách các sàn hay giữa các gối tựa nằm ngang.
Chú thích:
1. Khi có các gối tựa cứng (xem điều 6.7) và khi có các sàn bờ tụng cốt thép lắp ghộp được cắm vào tường lấy l0 = 0,9H, cũn khi có các sàn bêtông cốt thép đổ toàn khối kờ lờn tường theo 4 cạnh thỡ lấy l0 = 0,8H
2. Nếu tải trọng chỉ là trọng lượng bản thõn của cấu kiện trong phạm vi đoạn đang tớnh thỡ chiờu cao tớnh toỏn l0 cần giảm bớt bằng cách nhõn với hệ số 0,75.
4.4. Đối với tường và cột có gối khớp cố định mà chiều cao tớnh toỏn l0 = H (xem điều 4.3) thỡ khi tớnh toỏn những tiết diện nằm trong đoạn H/ 3 ở giữa, giỏ trị hệ số j và m4 được lấy không đổi và bằng trị số tớnh toỏn cho tường và cột đú, cũn khi tớnh toỏn các tiết diện nằm trong đoạn H/ 3 ở hai đầu, hệ số j và md được lấy tăng từ trị số tớnh toỏn tới một ở gối theo luật đường thẳng (hỡnh 4a)

Đối với tường và cột ngàm cứng ở phớa dưới và tựa đàn hồi ở phớa trờn, khi tớnh những tiết diện nằm ở phần dưới của tường và cột tới chiều cao 0,7H, trị số j và md lấy theo tớnh toỏn cũn khi tớnh những tiết diện cũn lại ở phần trờn của tường và cột, trị số j và md lấy tăng dần từ trị số tớnh toỏn tới 1 tại gối đàn hồi theo quy luật đường thẳng (hỡnh 4b)
Đối với tường và cột đứng tự do, khi tớnh những tiết diện ở nửa phần dưới ( tới chiều cao 0,5H) trị số j và md lấy theo tớnh tớnh toỏn, cũn nửa phần trờn lấy tăng dần từ trị số tớnh toỏn tới 1 theo luật đường thẳng ( hỡnh 4c)
4.5. Trong các tường có các ụ cửa khi tớnh mảng tường nằm giữa 2 ụ cửa, hệ số j lấy theo độ mảnh của tường.
Trong trường hợp mảng tường hẹp giữa hai ụ cửa, có chiều rộng nhỏ hơn chiều dày của tường, thỡ mảng tường sẽ được tớnh toỏn kiểm tra trong mặt phẳng của tường, khi đú chiều cao tớnh toỏn l0 của mảng tường lấy bằng chiều cao của ụ cửa.
4.6. Đối với tường và cột giật cấp, phần trờn có tiết diện ngang bộ hơn, hệ số j và md được xỏc định như sau:
a) Khi tường và cột tựa trờn gối khớp cố định, chúng được xỏc định phụ thuộc vào chiều cao tớnh toỏn l0 = H ( H- chiều cao của tường hay cột lấy theo điều 4.3) và vào tiết diện nhỏ nhất nằm trong đoạn H/ 3 ở giữa.
b) Khi ở gối trờn là khớp tựa đàn hồi hay không có gối, hệ số j và md được xỏc định phụ thuộc vào chiều cao tớnh toỏn l0 (xỏc định theo điều 4.3) và vào tiết diện ở phần gối tựa dưới, cũn khi tớnh toỏn phần tường và cột trờn có chiều cao H1 thỡ hệ số j và md được xỏc định phụ thuộc vào chiều cao tớnh toỏn l01 và vào tiết diện của phần này: l01 được xỏc định giống như l0 nhưng với H0 bằng H1.
Cấu kiện chịu nộn lệch tõm
4.7. Tớnh toỏn các cấu kiện chịu nộn lệch tõm của khối xây không có cốt thép được tiết được tiến hành theo công thức:

Đối với tiết diện chữ nhật theo công thức:

Trong đó:

Trong các công thức từ (13) đến (15)
R – Cường độ chịu nộn của khối xây
A – Diện tớch tiết diện cấu kiện
An – Diện tớch phần chịu nộn của tiết diện, được xỏc định với giả thiết là biểu đồ ứng suất nộn có dạng hỡnh chữ nhật ( hỡnh 5) và từ điều kiện trọng tõm của diện tớch phần chịu nộn trựng với điểm đặt của lực dọc tớnh toỏn N.
h – Chiều cao tiết diện trong mặt phẳng tỏc dụng mụ men uốn.
e0 - Độ lệch tõm của lực dọc tớnh toỏn N đối với trọng tõm của tiết diện .
j - Hệ sụ uốn dọc đối với toàn bộ tiết diện , được xỏc định trong mặt phẳng tỏc dụng của mụ men uốn theo bảng 17 và phụ thuộc vào chiều cao tớnh toỏn của cấu kiện l0 (xem điều 4.2; 4.3)
jn – Hệ số uốn dọc (theo bảng 1) đối với phần chịu nộn của tiết diện, được xỏc định trong mặt phẳng tỏc dụng của mụ men uốn với độ mảnh lhn hoặc lin. Khi biểu đồ mụ men uốn không đổi dấu:

H – Chiều cao thực tế của cấu kiện
hnvà in – Tương ứng là chiều cao và bỏn kớnh quỏn tớnh phần chịu nộn của tiết diện ngang trong mặt phẳng tỏc dụng mụ men uốn.
Đối với tiết diện chữ nhật hn = h – 2eo
Đối với tiết diện chữ T (khi e0 > 0,45y) có thể lấy gần đỳng An = 2(y – e0).b và hn = 2(y – e0)
Trong đó:
y – Khoảng cách từ trọng tõm tiết diện của cấu kiện đến mộp của tiết diện về phớa lệch tõm.
b – Chiều rộng cỏnh hay sườn chịu nộn của tiết diện chữ T tuỳ thuộc vào hướng lệch tõm.
Khi biểu đồ mụ men uốn đổi theo chiều cao cấu kiện (hỡnh 6) tớnh toỏn theo cường độ tiến hành tại các tiết diện có trị số mụ men uốn lớn nhất. Hệ số uốn dọc jn được xỏc định phụ thuộc vào độ mảnh:

Trong đó:
H1 và H2 – Chiều cao từng phần tớnh toỏn cấu kiện có mụ men uốn cựng dấu
Hn1, in1 và hn2, in2 – Tương ứng là chiều cao và bỏn kớnh quỏn tớnh vựng nộn của cấu kiện tại những tại những tiết diện có mụ men uốn lớn nhất ;
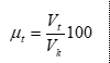
w - Hệ số xỏc định theo bảng 18;
md – Hệ số xỏc định theo công thức:

Trong đó:
Nd – Lực dọc do phần tải trọng tỏc dụng dài hạn gõy nên
h - Hệ số lấy theo bảng 19
e0d - Độ lệch tõm của tải trọng tỏc dụng dài hạn
Khi h ³ 30cm hay i ³ 8,7cm hệ số md được lấy bằng 1
Bảng 18 – Hệ số w
Loại khối xây | Trị số w với tiết diện | |
Bất kỡ | Chữ nhật | |
1. Đối với khối xây các loại (Trừ những loại núi trong điểm 2 dưới đõy 2. Bảng gạch và tấm lớn sản xuất từ bờ tụng tổ ong, bờ tụng lỗ rỗng lớn bằng đỏ thiờn nhiờn (kể cả đỏ hộc) |
1 |
1 |
Chú thích: Nếu 2y < h thỡ khi xỏc định hệ số w thay 2y bằng h. | ||
Bảng 19 – Hệ số h
Độ mảnh | Hệ số h và khối xây |
| |||
lh | li | Bằng gạch đất sột, bằng khối lớn sản xuất từ bờ tụng nặng, bằng đỏ thiờn nhiờn các loại. | Bằng gạch xilicỏt, bằng gạch đỏ sản xuất từ bờ tụng nhẹ và bờ tụng tổ ong | ||
Khi hàm lượng cốt thép dọc % | |||||
|
|
| £ 0,10 | ³ 0,30 | £ 0,1 | ³ 0,3 |
< 10 12 14 16 18 20 22 24 26 | £ 35 42 49 56 63 70 76 83 90 | 0,00 0,04 0,08 0,12 0,15 2,20 0,24 0,27 0,31 | 0,00 0,03 0,07 0,09 0,13 0,16 0,20 0,23 0,26 | 0,00 0,05 0,09 0,14 0,19 0,24 0,29 0,33 0,38 | 0,00 0,03 0,08 0,11 0,15 0,19 0,22 0,26 0,30 |
Chú thích: Đối với khối xây không có cốt thép, hệ số h lấy giống như đối với khối xây hàm lượng cốt thép bằng và nhỏ hơn 0,1%. Khi hàm lượng cốt thép lớn hơn 0,1% và nhỏ hơn 0,3% hệ số h xỏc định bằng nội suy. | |||||
4.8. Khi e0 > 0,7 y ngoài việc tớnh toỏn cấu kiện chịu nộn lệch tõm theo công thức (13), cần phải tiến hành tớnh toỏn theo sự mở rộng khe nứt ở các mạch vữa của khối xây theo chỉ dẫn của điều 5.3.
4.9. Khi tớnh toỏn các tường chịu lực và tường tự chịu lực (xem điều 6.6) có chiều dày nhỏ hơn và bằng 22cm, cần kể đến độ lệch tõm ngẫu nhiờn và phải cộng thờm với độ lệch tõm của lực dọc: Giỏ trị của độ lệch tõm ngẫu nhiờn lấy như sau:
- Đối với tường chịu lực 2cm ;
- Đối với tường tự chịu lực 1cm.
4.10. Giỏ trị lớn nhất của độ lệch tõm (có xét đến độ lệch tõm ngẫu nhiờn) trong cấu kiện chịu nộn lệch tõm không có cốt thép dọc ở vựng kộo, không được vượt quỏ:
- Đối với tổ hợp tải trọng cơ bản: 0,9y
- Đối với tổ hợp tải trọng đặc biệt: 0,95y
ở các tường có chiều dày nhỏ hơn và bằng 22cm thỡ không được vượt quỏ:
- Đối với tổ hợp cơ bản: 0,8y
- Đối với tổ hợp tải trọng đặc biệt: 0,85y
Khi đú khoảng cách từ điểm đặt của lực đến mộp tiết diện chịu nộn lớn hơn, không được nhỏ hơn 2cm đối với tường và cột hoặc chịu lực.
4.11. Những cấu kiện làm việc chịu nộn lệch tõm, cần được kiểm tra theo nộn đỳng tõm trong mặt phẳng vuụng gúc với mặt phẳng tỏc dụng của mụ men uốn khi chiều rộng b nhỏ hơn chiều cao của tiết diện.
Cấu kiện chịu nộn lệch tõm xiờn
4.12. Tớnh toỏn các cấu kiện chịu nộn lệch tõm xiờn được tiến hành theo công thức(13) Trong đó:
Diện tớch phần chịu nộn của tiết diện A lấy theo dạng hỡnh chữ nhật, có trọng tõm trựng với điểm đặt lực và hai cạnh giới hạn bởi mộp tiết diện của cấu kiện (hỡnh 7) với:
h0 =2Ch ; bn = 2Cb và An = 4ChCb
Trong đó:
Ch và Cb là khoảng cách từ điểm đặt lực N đến mộp gần nhất của tiết diện.
Trong trường hợp hỡnh dỏng tiết diện phức tạp, để đơn giản tớnh toỏn cho phộp lấy hỡnh chữ nhật của tiết diện mà không tớnh đến các phần có hỡnh dạng phức tạp, (hỡnh 8).

Các giỏ trị w, j1 và md được xỏc định với 2 trường hợp:
- Theo chiều cao tiết diện h hay bỏn kớnh quỏn tớnh ih và độ lệch tõm ch theo phương h.
- Theo chiều cao tiết diện b hay bỏn kớnh quỏn tớnh ib và độ lệch tõm cb theo phương b.
Sau khi tớnh toỏn chọn giỏ trị nhỏ nhất trong hai giỏ trị tớnh được theo công thức (13) làm khả năng chịu lực của cấu kiện .
Nếu Cb > 0,7Cb hay Ch > 0,7Ch thỡ ngoài việc tớnh toỏn theo khả năng chịu lực cũn phải tớnh toỏn theo sự mở rộng khe nứt ở phớa tương ứng theo điều 5.3.
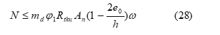
Cấu kiện chịu nộn cục bộ
4.13. Tớnh toỏn tiết diện chịu nộn (ộp) cục bộ khi tải trọng phõn bố trờn một phần diện tớch của tiết diện được tiến hành theo công thức:

Trong đó:
Ncb – Trị số tải trọng cục bộ
Rcb – Cường độ tớnh toỏn của khối xây chịu nộn (ộp) cục bộ, được xỏc định theo 4.14
Acb – Diện tớch chịu nộn (ộp) mà tải trọng truyền lờn.
d = 1,5 – 0,5y đối với khối xây bằng gạch và bằng gạch rung, cũng như khối xây bằng khối bờ tụng nặng và nhẹ
d = 1 - Đối với khối xây bằng bờ tụng có lỗ rỗng lớn và bờ tụng tổ ong.
y - Hệ số đầy của biểu đồ áp lực do tải trọng cục bộ gõy ra. Khi áp lực phõn bố đều y = 1 phõn bố hỡnh tam giỏc y = 0,5.
Nếu dưới gối của cấu kiện chịu uốn không yêu cầu đặt bản phõn bố áp lực thỡ cho phộp lấy tớch số y d = 0,75 đối với khối xây bằng vật liệu ghi ở mục 1 và 2 bảng 20 và tớch số y d = 0,5 đối với khối xây bằng vật liệu ghi ở mục 3 của bảng này.
Bảng 20 – Hệ sụ ợ1
Vật liệu xây | ợ đối với sơ đồ tải trọng | |||
Hỡnh 9 A, c, c1, e, h | Hỡnh 9 B, d, g, i | |||
Tải trọng cục bộ | Tổng tải trọng cục bộ và chớnh | Tải trọng cục bộ | Tổng tải trọng cục bộ | |
1. Gạch đỏ đặc, khối bờ tụng nặng hay bờ tụng cốt liệu rỗng có mỏc M50 và lớn hơn. 2. Gạch gốm có lỗ gạch rỗng, bờ tụng đỏ hộc. 3. Khối bờ tụng có lỗ rỗng. Khối bờ tụng đặc mỏc M35. Khối bờ tụng tổ ong và đỏ thiờn nhiờn. | 2
1,5
1,2 | 2
2
1,5 | 1
1
1 | 1,2
1,2
1 |
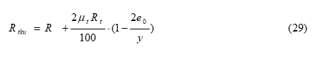
4.14. Cường độ tớnh toỏn của khối xây chịu nộn cục bộ Rct được xỏc định theo công thức:
Đồng thời ợ £ ợ1
Trong đó:
A – Diện tớch tớnh toỏn của tiết diện, được xỏc định theo điều 4.16
ợ1 – Hệ số phụ thuộc vào vật liệu của khối xây và điểm đặt tải trọng, xỏc định theo bảng 20.
Khi tớnh toỏn khối xây có lưới cốt thép chịu nộn (ộp) cục bộ cường độ tớnh toỏn của khối xây Rcb trong công thức (17) là giỏ trị lớn nhất trong hai giỏ trị Rcb xỏc định theo công thức (18) của khối xây không cốt thép hoặc Rcb = với Rak là cường độ chịu nộn tớnh toỏn của khối có lưới cốt thép, được xỏc định theo công thức (25) hoặc (26).
4.15. Khi các tải trọng cục bộ (phản lực gối tựa của dầm, xà, sàn….) và các tải trọng chớnh (trọng lượng của khối xây trờn tải trọng truyền lờn khối xây đú) tỏc dụng đồng thời, thỡ tớnh toỏn được tiến hành riờng biệt theo tải trọng cục bộ và theo tổng tải trọng cục bộ và chớnh với các giỏ trị ợ1 thích hợp tra ở bảng 20.
Chú thích: Trong trường hợp, khi mà diện tớch tiết diện chỉ đủ để chịu một mỡnh tải trọng cục bộ, mà không đủ để chịu tổng tải trọng cục bộ và chớnh, cho phộp dựng các biện pháp cấu tạo để trỏnh không cho truyền tải trọng chớnh lờn diện tớch chịu nộn cục bộ (thớ dụ tạo một khoảng rỗng hay đặt tấm đệm bờn trờn đầu dầm, xà hoặc lanh tụ).
4.16. Diện tớch tớnh toỏn của tiết diện A được xỏc định theo nguyờn tắc sau:
a) Khi tải trọng cục bộ tỏc dụng trờn toàn bộ chiều dày của tường, diện tớch tớnh toỏn của tiết diện gồm cả phần diện tớch 2 bờn kề sỏt với tiết diện của mỗi bờn có chiều dài không lớn hơn bề dày của tường (hỡnh 9a).
b) Khi tải trọng cục bộ tỏc dụng ở mộp tường trờn toàn bộ chiều dày của tường, diện tớch tớnh toỏn của tiết diện lấy bằng diện tớch nộn cục bộ, cũn khi tớnh với tổng tải trọng cục bộ và chớnh, diện tớch tớnh toỏn của tiết diện bao gồm cả phần diện tớch kề sỏt với mộp của tải trọng cục bộ có chiều dài không lớn hơn bề dày của tường (hỡnh 9b).
c) Khi tải trọng cục bộ là tải trọng ở những chỗ gối tựa của các đầu xà và dầm, diện tớch tớnh toỏn của tiết diện của tường có chiều rộng bằng chiều sõu phần gối tựa của xà hoặc dầm và chiều dài không lớn hơn khoảng cách giữa hai nhịp cạnh nhau của dầm (hỡnh 9c). Nếu khoảng cách giữa các dầm lớn hơn hai lần chiều dày tường thỡ chiều dài của phần diện tớch tớnh toỏn của tiết diện lấy bằng tổng số chiều rộng của dầm bd và hai lần chiều dày của tường h (hỡnh 9c1).
d)Khi tải trọng cục bộ tỏc dụng ở gúc tường, diện tớch tớnh toỏn của tiết diện lấy bằng diện tớch chịu nộn cục bộ, cũn khi tớnh toỏn với tổng tải trọng cục bộ và chớnh diện tớch tớnh toỏn của tiết diện lấy theo hỡnh 9d trong phạm vi tường đứt nột.

e) Khi tải trọng cục bộ, đặt trờn một phần chiều dài và chiều rộng của tiết diện, diện tớch tớnh toỏn của tiết diện theo hỡnh 9e. Nếu đặt như vậy nhưng ở gần mộp tường thỡ khi tớnh toỏn với tổng tải trọng cục bộ và chớnh diện tớch tớnh toỏn lấy không nhỏ hơn diện tớch được xỏc định theo hỡnh 9d khi tải trọng cục bộ đặt ở gúc tường.
g) Khi tải trọng cục bộ đặt hoàn toàn trong phạm vi phần bổ trụ, diện tớch tớnh toỏn lấy bằng diện tớch chịu nộn cục bộ cũn khi tớnh toỏn với tổng tải trọng cục bộ và chớnh diện tớch tớnh toỏn của tiết diện lấy theo hỡnh 9g trong phạm vi đường đứt nột.
h) Khi tải trọng cục bộ đặt ở phần bổ trụ và một phần tường diện tớch tớnh toỏn được lấy tăng so với diện tớch chịu nộn cục bộ chỉ khi mà hợp lực của tải trọng có điểm đặt trong cỏnh (tường) hoặc nằm trong phạm vi phần sườn (bổ trụ) với độ lệch tõm e0 > 1/6 L về phớa tường (trong đú L là chiều dài của phần diện tớch chịu nộn cục bộ, e0 là độ lệch tõm so với trục của tiết diện chịu nộn cục bộ). Trong trường hợp này, diện tớch tớnh toỏn của tiết diện gồm cả phần diện tớch tường ở hai bờn kề sỏt với bổ trụ có chiều rộng C bằng chiều sõu gối tựa lờn khối xây tường và chiều dài về mỗi phớa không lớn hơn chiều dày tường (hỡnh 9h)
i) Nếu tiết diện có hỡnh dạng phức tạp, không được phộp tớnh vào diện tớch tớnh toỏn những phần diện tớch có liờn kết yếu không đủ độ truyền áp lực (phần 1 và 2 trờn hỡnh 9i)
Chú thích: Trong mọi trường hợp, trình bày ở hỡnh 9 diện tớch tớnh toỏn của tiết diện A bao gồm cả diện tớch chịu nộn cục bộ Acb.
4.17. Khi kết cấu chịu uốn (dầm, xà...) kờ lờn mộp của khối xây mà không có bản kờ hoặc với bản xây có thể xoay cựng với đầu cấu kiện, thỡ chiều sõu phần gối tựa cần được xỏc định theo tớnh toỏn. Khi đú bản kờ chỉ đảm bảo phõn bố tải trọng theo phương vuụng gúc với cấu kiện chịu uốn.
Chỉ dẫn của mục này không áp dụng để tớnh gối các tường treo mà cần tiến hành theo chỉ dẫn của điều 4.13.
Chú thích: Những yêu cầu về cấu tạo các phần khối xây chịu tải trọng cục bộ xem chỉ dẫn ở mục 6. 35 – 6.38.
Cấu kiện chịu uốn
4.18. Tớnh toỏn cấu kiện chịu uốn không có cốt thép được tiến hành theo công thức:

Trong đó:
M – Mụ men uốn tớnh toỏn
W- Mụ men chống uốn của tiết diện khối xây khi khối xây làm việc ở giai đoạn đàn hồi .
Rku – Cường độ tớnh toỏn của khối xây chịu kộo khi uốn theo tiết diện giằng (bảng 9, 10 và 11).
Tớnh toỏn cấu kiện chịu uốn không có cốt thép với lực cắt Q được tiến hành theo công thức :

Trong đú :
Rkc- Cường độ tớnh toỏn chịu ứng suất kộo chớnh khi uốn của khối xây lấy theo bảng 9, 10 và 11.
b – Chiều rộng của tiết diện .
Z – Cỏnh tay đũn của nội ngẫu lực, đối với tiết diện chữ nhật Z = 2/3h
Chú thích: Không cho phộp thiết kế các cấu kiện của kết cấu gạch đỏ làm việc chịu uốn theo tiết diện không giằng.
Cấu kiện chịu uốn đỳng tõm
4.19. Tớnh toỏn các cấu kiện của kết cấu gạch đỏ không có cốt thép theo cường độ chịu kộo đỳng tõm được tiến hành theo công thức:

Trong đó:
N – Lực dọc trục tớnh toỏn khi kộo.
Rk – Cường độ chịu kộo tớnh toỏn của khối xây lấy theo bảng 9, 10 và 11 theo tiết diện có giằng.
Ant – Diện tớch tiết diện chịu kộo của khối xây đó trừ phần giảm yếu (diện tớch thu hẹp)
Chú thích; Không cho phộp thiết kế của cấu kiện của kết cấu gạch đỏ làm việc chịu kộo dọc trục theo tiết diện không giằng.
Cấu kiện chịu cắt
4.20. Tớnh toỏn khối xây không có cốt thép chịu cắt theo mạch vữa ngang không giằng và đối với khối xây đỏ hộc (theo mạch vữa có giằng) được tiến hành theo công thức sau:

Trong đú :
Rc – Cường độ chịu cắt tớnh toỏn (xem bảng 9)
m - Hệ số ma sỏt theo mạch của khối xây, lấy bằng 0,7 cho khối xây bằng gạch và đỏ có hỡnh đều đặn.
s0 – ứng suất nộn trung bỡnh khi tải trọng nhỏ nhất được xỏc định với hệ số vượt tải 0,9.
n – Hệ số lấy bằng 1 với khối xây bằng đỏ và gạch đặc, lấy bằng 0,5 đối với khối xây bằng gạch rỗng và đỏ có các khe rỗng thẳng đứng, cũng như đối với khối xây bằng đỏ hộc.
A – Diện tớch tớnh toỏn của tiết diện .
Tớnh toỏn khối xây chịu cắt theo tiết diện có giằng (theo gạch hay đỏ) cũng được tiến hành theo công thức (23) nhưng không kể đến ảnh hưởng của ứng suất nộn (bỏ số hạng thứ 2 của công thức 23). Cường độ tớnh toỏn của khối xây lấy theo bảng 10.
Khi chịu nộn lệch tõm với độ lệch tõm vượt ra khỏi giới hạn của lừi tiết diện (đối với tiết diện chữ nhật e0 >0,17h) diện tớch tớnh toỏn của tiết diện chỉ là diện tớch vựng nộn của tiết diện An.
Kết cấu gạch đỏ có cốt thép – Cấu kiện dựng lưới cắt ngang
4.21. Tớnh toỏn các cấu kiện có cốt thép lưới (hỡnh 10) chịu nộn đỳng tõm theo công thức:

Trong đú :
N – Lực dọc tớnh toỏn
Rtk £ 2R – Cường độ tớnh toỏn khi nộn đỳng tõm đối với khối xây có cốt thép lưới bằng gạch các loại và bằng gạch gốm có khe rỗng thẳng đứng được xỏc định theo công thức:

Khi mỏc vữa nhỏ hơn 25 (kiểm tra cường độ của khối xây trong quỏ trình thi công)
Rtk được xỏc định bởi công thức:

R1 – Cường độ tớnh toỏn về nộn của khối xây không có cốt thép ở tuổi đang xét của vữa.
R25 – Cường độ tớnh toỏn của khối xây khi mỏc vữa là 25

- Hàm lượng cốt thép theo thể tớch, đối với lưới ụ vuụng bằng thép thanh có tiết diện Att, kớch thước mắt lưới theo chiều cao bằng S, cạnh ụ vuụng là C thỡ:

Vt và Vk – thể tớch của cốt thép và khối xây
md – Hệ số xỏc định theo công thức 16
j - Hệ số uốn dọc, xỏc định theo bảng 17 với lh hay li đặc trưng đàn hồi của khối xây có cốt thép lưới at tớnh theo công thức (6)
Chú thích:
1. Hàm lượng thép của khối xây đặt cốt thép lưới khi chịu nộn đỳng tõm không vượt quỏ trị số xỏc định theo công thức:

2. Những cấu kiện đặt cốt thép lưới phải dựng vữa mỏc không nhỏ hơn 50 khi chiều cao mỗi hàng xây không lớn hơn 150mm.
Tớnh toỏn các cấu kiện chịu nộn lệch tõm có cốt thép lưới khi độ lệch tõm nhoe không vượt qua giới hạn lừi tiết diện (đối với tiết diện chữ nhật e0 £ 0,17b) theo công thức:

Hoặc: 
cho tiết diện chữ nhật

Trong đó:

Rtku £ 2R – Cường độ tớnh toỏn của khối xây có cốt thép lưới khi chịu nộn lệch tõm, được xỏc định theo công thức (29) khi mỏc vữa lớn hơn hoặc bằng 50.

Cũn khi mỏc vữa nhỏ hơn 25 (kiểm tra cường độ khối xây trong quỏ trình thi công được xỏc định theo công thức:
Gúc Ký hiệu cũn lại xem giải thích ở các điều 4.1 và 4.7
Chú thích:
1. Khi độ lệch tõm vượt ra ngoài giới hạn lừi tiết diện (tiết diện chữ nhật e0 > 0,17h) cũng như khi lh > 15 hoặc lt > 53 không nên dựng cốt thép lưới.
2. Hàm lượng thép của khối xây đặt cốt thép lưới khi chịu nộn lệch tõm không được vượt quỏ trị số xỏc định theo công thức:

Cấu kiện dựng cốt thép dọc
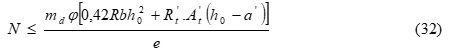
4.23. Tớnh toỏn cấu kiện gạch đỏ có cốt thép dọc chịu nộn đỳng tõm theo công thức:

Trong đó:
Atn – Diện tớch cốt thép dọc
Rt’ – Cường độ tớnh toỏn của cốt thép dọc chịu nộn lấy theo điều 3.9. Cũn các Ký hiệu khác xem điều 4.1
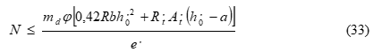
4.24. Tớnh toỏn cấu kiện tiết diện hỡnh chữ nhật có cốt thép dọc chịu nộn lệch tõm khi độ lệch nhỏ (x > 0,55h0) theo công thức:

Nếu khi độ lệch tõm không vượt ra ngoài giới hạn lừi tiết diện (tiết diện chữ nhật e0 < 0,17b) cần phải kiểm tra theo điều kiện sau:

Trong các công thức trờn:
b – Chiều rộng tiết diện hỡnh chữ nhật.
x – Chiều cao miền chịu nộn của khối xây được xỏc định từ phương trình (35)
a và a, - Tương ứng là khoảng cách từ trọng tõm cốt thép At và A't đến mộp ngoài của tiết diện gần nhất.
h – Chiều cao của tiết diện hỡnh chữ nhật
ho = h – a và h0' = h – a, chiều cao tớnh toỏn của tiết diện
At – Diện tớch cốt thép dọc nằm ở miền chịu kộo hoặc chịu nộn ớt hơn
At, - Diện tớch cốt thép dọc nằm ở miền chịu nộn.
Rt, - Cường độ tớnh toỏn của cốt thép dọc chịu nộn lấy theo điều 3.9
e và e' – Tương ứng là khoảng cách từ điểm đặt lực N đến trọng tõm cốt thép At và At,
Các Ký hiệu xem điều 4.1
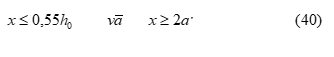
4.25. Tớnh toỏn cấu kiện tiết diện chữ nhật có cốt thép dọc chịu nộn lệch tõm lớn (x £ 0,55h0) theo công thức:

Trong đú vị trớ trục trung hoà xỏc định theo công thức:

Rt – Cường độ tớnh toỏn của cốt thép dọc chịu kộo lấy theo điều 3.9
Chú thích:
1. Trong công thức (35) lấy dấu cộng nếu lực dọc đặt ở ngoài phạm vi khoảng cách giữa trọng tõm cốt thép At và A't trường hợp ngược lại lấy dấu trừ.
2. Chiều cao miền chịu nộn x phải lớn hơn hoặc bằng 2a,
4.26. Tớnh toỏn cấu kiện tiết diện chữ nhật có cốt thép chịu uốn theo công thức:
a) Khi đặt cốt đơn:
Trong đú vị trớ trục trung hoà được xỏc định từ phương trình:

b) Khi đặt cốt thép kộp


Vị trớ trục trung hoà được xỏc định từ phương trình:
Chiều cao miền chịu nộn của khối xây trong mọi trường hợp phải thoả món điều kiện:

4.27. Tớnh toỏn với lực cắt trong các cấu kiện chịu uốn được tiến hành theo công thức:

Với tiết diện chữ nhật:

Các Ký hiệu khác xem điều 4.18 và 4.24.
Chú thích: Trong trường hợp, cường độ khối xây không đủ chịu lực cắt nhất thiết phải cấu tạo và tớnh toỏn cốt dai một cách tương tự tiêu chuẩn thiết kế kết cấu bờ tụng cốt thép.
4.28. Tớnh toỏn cấu kiện của khối xây đặt cốt thép dọc chịu kộo đỳng tõm được tiến hành theo công thức:

Kết cấu gạch đỏ được gia cố bằng bờ tụng cốt thép
(kết cấu hỗn hợp) và đai kết cấu hỗn hợp
4.29. Tớnh toỏn các cấu kiện chịu nộn đỳng tõm của kết cấu hỗn hợp (hỡnh 11) theo công thức:

Trong đó:
R – Cường độ chịu nộn tớnh toỏn của khối xây ;
Rb, Rt, -Tương ứng là cường độ chịu nộn tớnh toỏn của bờ tụng và của cốt thép dọc (lấy theo tiêu chuẩn thiết kế kết cấu bờ tụng cốt thép)
Akx, Ab, At, -Tương ứng là diện tớch tiết diện của khối xây, của bờ tụngvà của cốt thép chịu nộn.
md – Hệ số xét đến ảnh hưởng của tải trọng tỏc dụng dài hạn (xem điều 4.1)
jhh – Hệ số uốn dọc của kết cấu hỗn hợp, xỏc định theo bảng 17 với đặc trưng đàn hồi của kết cấu hỗn hợp:

E0hh – Mụ đun đàn hồi tớnh đổi của kết cấu hỗn hợp

Rhh – Là cường độ tiêu chuẩn tớnh đổi của vật liệu hỗn hợp

Trong các công thức (46) và (47):
E0 và Eb –Tương ứng là mụ đun đàn hồi của khối xây và bờ tụng.
Ikhối xây và Ib – Tương ứng là mụ men quỏn tớnh của tiết diện khối xây và bờ tụng đối với trọng tõm hỡnh học của tiết diện .
Rtb – Cường độ chịu nộn trung bỡnh của khối xây (xem điều 3.10)
Rbc – Cường độ chịu nộn tiêu chuẩn thiết kế kết cấu bờ tụng cốt thép.
Chú thích:
1. Đối với kết cấu hỗn hợp được phộp dựng bờ tụng mỏc M100 đến M200.
2. Số lượng cốt thép chịu nộn tớnh trong tớnh toỏn không được dưới 0,2%.

4.30. Tớnh toỏn các cấu kiện chịu nộn lệch tõm của kết cấu hỗn hợp khi độ lệch tõm nhỏ (Shh ³ 0,8 S0h ) theo công thức

Nếu lực H đặt giữa trọng tõm cốt thép As và At, thỡ cần phải kiểm tra bổ sung theo điều kiện sau:

Trong công thức trờn:
Sb – Mụ men tĩnh của diện tớch tiết diện hỗn hợp đối với trọng tõm cốt thép At.

- Mụ men tĩnh của diện tớch phần chịu nộn của tiết diện hỗn hợp đối với trọng tõm cốt thép At
Skn , Sbn - Mụ men tĩnh của diện tớch phần chịu nộn của tiết diện khối xây bờ tụng đối với trọng tõm cốt thép At
Skx, Sb và St – Mụ mem tĩnh của diện tớch tiết diện khối xây bờ tụng và cốt thép At, đối với trọng tõm cốt thép At
S'kx , S'b , S't – Mụ men tĩnh của diện tớch tiết diện khối xây bờ tụng và cốt thép At đối với trọng tõm cốt thép A,t
e và e' - Khoảng cách từ điểm đặt lực N đến trọng tõm cốt thép At và A,t
Vị trớ trục trung hoà được xỏc định từ phương trình (51)
4.31. Tớnh toỏn cấu kiện chịu nộn lệch tõm của kết cấu hỗn hợp có bố trớ bờ tụng ở mặt ngoài khối xây (hỡnh 11b, 11c) khi độ lệch tõm lớn (Shh £ 0,8 Sch) theo công thức:

Trong đú trục trung hũa được xỏc định từ phương trình
Trong các công thức trờn :
Akn , Abn – Diện tớch miền chịu nộn của khối xây và bờ tụng
Sknn và Sbnn – Mụ men tĩnh của miền chịu nộn của khối xây và bờ tụng đối với điểm đặt lực N
Rt – Cường độ chịu kộo của cốt thép dọc (lấy theo tiêu chuẩn thiết kế kết cấu bờ tụng cốt thép)
Các Ký hiệu khác xem điều 4.29 và 4.30
Chú thích:
1. Trong công thức (51) lấy dấu cộng nếu lực dọc đặt ở ngoài phạm vi khoảng cách giữa trọng tõm cốt thép At và A,t , trường hợp ngược lại lấy dấu trừ.
2. Với kết cấu hỗn hợp có bố trớ bờ tụng ở bờn trong khối xây, tớnh toỏn cấu kiện chịu nộn lệch tõm với độ lệch tõm lớn được tiến hành theo các công thức (50)và (51) nhưng thay hệ số 1,25 của Rn bằng 1
4.32. Tớnh toỏn các cấu kiện chịu uốn của kết cấu hỗn hợp theo công thức:

Trong đú vị trớ trục trung hoà được xỏc định theo phương trình


Trong đó:
Z – Cỏnh tay đũn của nội ngẫu lực bằng khoảng cách từ điểm đặt của hợp lực
1,05 RAkn và RbAbn tới trọng tõm cốt thép At.
Shn và Sbh - Được xỏc định theo chỉ dẫn của điều 4.30
4.33. Tớnh toỏn với lực cắt trong các cấu kiện chịu uốn của các kết cấu hỗn hợp theo chỉ dẫn của điều 4.27.
4.34. Tớnh toỏn các cấu kiện của kết cấu hỗn hợp khi chịu kộo đỳng tõm được tiến hành theo chỉ dẫn của điều 4.28.
Kết cấu được gia cố bằng đai
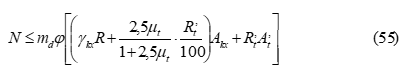
4.35. Tớnh toỏn các cấu kiện xây gạch, được gia cố bằng cácvũng đai (hỡnh 12) khi chịu nộn đỳng tõm theo các công thức:

a) Khi vũng đai bằng thép:

b) Khi vũng đai bằng bờ tụng cốt thép:

c) Khi vũng đai bằng vữa cốt thép:

Trong các công thức trờn:
mđ – Hệ số xét đến ảnh hưởng của tải trọng tỏc động dài hạn ( xem điều 4.1)
j - Hệ số uốn dọc, xỏc định theo bảng 17 (khi xỏc định trị số được lấy như đối với khối xây thụng thường, không được gia cố)
gkx – Hệ số điều kiện làm việc của khối xây, khi khối xây không bị hư hại gkx=1, cũn khi khối xây bị phỏ huỷ phần nhỏ, có rạn nứt gkx được xỏc định theo thực tế hiện trường.
gb – Hệ số điều kiện làm việc của bờ tụng, khi tải trọng truyền vào vũng đai từ hai phớa ( từ dưới lờn hoặc từ trờn xuống) lấy gb = 1. Khi tải trọng truyền vào vũng đai từ một phớa (từ dưới lờn hoặc từ trờn xuống) lấy gb = 0,7 , cũn khi tải trọng không trực tiếp truyền vào vũng đai lấy gb = 0,35
Akx - Diện tớch khối xây
Ab - Diện tớch tiết diện bờ tụng vũng đai nằm giữa các cốt đai và khối xây (không kể lớp bờ tụng bảo vệ) .
A,t - Diện tớch tiết diện cốt thép dọc (có thể là thép gúc) của vũng đai đặt trong vữa
ut - Hàm lượng cốt thép ; khi tỉ lệ các cạnh không lớn hơn 2,5 xỏc định theo công thức:

Trong đó:
Atd – Diện tớch cốt đai hoặc bản ngang
a và b – Các cạnh tiết diện của cấu kiện được gia cố (hỡnh 12)
s – Khoảng cách giữa các cốt đai (S £ 15cm) hoặc khoảng cách giữa các trục của các bản ngang (a ³ s £ b) , nhưng không lớn hơn 50cm)
R, Rb và R,t - xem điều 4.29.
5. Tớnh toỏn các cấu kiện kết cấu gạch đỏ và gạch đỏ cốt thép theo trạng thỏi giới hạn thứ hai
(Theo hỡnh thành và mở rộng khe nứt theo biến dạng)
5.1. Cần phải tớnh toỏn theo sự hỡnh thành và mở rộng khe nứt (mạch của khối xây) và theo biến dạng cho các trường hợp sau:
a) Cấu kiện gạch đỏ không có cốt thép chịu nộn lệch tõm e0 > 0,7y.
b) Cấu kiện hỗn hợp làm bởi các vật liệu có độ biến dạng khác nhau (mụ đun đàn hồi, từ biến, độ co ngút) hoặc có sự chờnh lệch khỏ lớn về ứng suất trong các cấu kiện đú.
c) Tường từ chịu lực, liờn kết với các khung nhà và chịu uốn ngang, nếu khả năng chịu lực của tường không đủ để chịu tải độc lập (không kể đến khả năng chịu tải của khung).
d) Tường lắp khung bị uốn vờnh trong mặt phẳng tường.
e) Cấu kiện chịu uốn, chịu nộn lệch tõm và chịu kộo có cốt thép dọc làm việc trong mụi trường xõm thực có hại cho cốt thép.
g) Các bể chứa đặt cốt thép dọc, khi có yêu cầu các lớp trỏt và các tấm ốp của kết cấu không thấm nước.
h) Các cấu kiện khác của nhà và công trình không cho phộp xuất hiện khe nứt hoặc là phải hạn chế sự mở rộng khe nứt theo điều kiện sử dụng.
5.2. Tớnh toỏn kết cấu gạch đỏ và gạch đỏ có cốt thép theo trạng thỏi giới hạn thứ hai cần tiến hành với tải trọng tiêu chuẩn của tổ hợp cơ bản. Riờng khi tớnh toỏn cấu kiện chịu nộn lệch tõm không có cốt thép theo sự mở rộng khe nứt với e0 > 0,7y (xem điều 5.3) cần tiến hành với tải trọng tớnh toỏn .
5.3. Tớnh toỏn theo sự mở rộng khe nứt (mạch khối xây) của cấu kiện gạch đỏ chịu nộn lệch tõm không có cốt thép khi e0 > 0,7y phải dựa trờn các giả thiết sau:
a) Khi tớnh toỏn xem biểu đồ ứng suất là đường thẳng như đối với vật liệu đàn hồi
b) Khi tớnh toỏn được tiến hành theo ứng suất kộo quy ước (ở các mộp ngoài cựng) đặc trưng cho độ mở rộng khe nứt ở vựng kộo

Trong đó:
I – Mụ men quỏn tớnh của tiết diện trong mặt phẳng tỏc dụng của mụ men uốn.
y – Khoảng cách từ trọng tõm tiết diện đến mộp chịu nộn lớn hơn.
Rku – Cường độ tớnh toỏn của khối xây chịu kộo khi uốn theo tiết diện không giằng (xem bảng 9)
gn - Hệ số điều kiện làm việc của khối xây khi tớnh toỏn theo sự mở rộng khe nứt, lấy theo bảng 21.
Những Ký hiệu cũn lại xem điều 4.7
Bảng 21 – Hệ số điều kiện làm việc của khối xây khi tớnh toỏn
theo sự mở rộng khe nứt
Đặc trưng và điều kiện làm việc của khối xây | Hệ sụ gn khi niờn hạn sử dụng (năm) | ||
100 | 50 | 25 | |
1. Khối xây không có cốt thép chịu tải trọng lệch tõm và chịu kộo. 2. Như trờn với lớp ốp trang trớ. 3. Khối xây không có cốt thép chịu tải trọng lệch tõm có lớp trỏt cách nước dựng cho kết cấu chịu áp lực thuỷ tĩnh của chất lỏng. 4. Như trờn, với lớp trỏt chống axớt hay lớp ốp được gắn kết bằng thuỷ tinh lỏng. |
1,5 1,2
1,2
0,8 |
2,0 1,2
1,5
1,0 |
3,0 -
-
1,0 |
Chú thích: Hệ số điều kiện làm việc gn khi tớnh khối xây đặt cốt thép dọc chịu nộn lệch tõm, chịu uốn, chịu kộo đỳng tõm và lệch tõm, chịu ứng suất kộo chớnh được lấy theo bảng 21 với các hệ số: k = 1,25 khi mt ³ 0,1% k = 1,00 khi mt £ 0,05% với các hàm lượng cốt thép trung gian hệ số k được tớnh nội suy theo công thức: k = 0,75 +5 mt | |||
5.4. Những kết cấu, mà trong quỏ trình sử dụng không cho phộp xuất hiện khe nứt ở lớp vữa hay các lớp phủ ngoài khác, cần phải kiểm tra theo điều kiện biến dạng của bề mặt chịu kộo.
Đối với khối xây không có cốt thép, các biến dạng này được xỏc định với tải trọng tiêu chuẩn sẽ đặt vào khối xây sau khi trỏt vữa hoặc các lớp phủ ngoài khác theo công thức (60) đến (63), và không được lớn hơn trị số biến dạng tương đối giới hạn egh cho ở bảng 22.
Bảng 22 – Biến dạng tương đối egh dựng để kiểm tra biến dạng
trờn bề mặt chịu kộo của khối xây
Loại và chức năng của lớp trỏt | egh . 10+4 |
1. Lớp trỏt bằng vữa ximăng cách nước dựng cho các kết cấu chịu áp lực thuỷ tĩnh của các chất lỏng 2. Lớp trỏt bằng vữa chống axớt dựng thuỷ tinh lỏng hoặc lớp phủ một lớp bằng các tấm đỏ mỏng (đỏ diabaz, đỏ bazan) gắn bằng chất chống axớt 3. Lớp phủ hai hoặc ba lớp bằng các tấm đỏ mỏng hỡnh chữ nhật gần bằng chất chống axớt. a) Dọc theo cạnh dài của các tấm b) Dọc theo cạnh ngắn của các tấm |
0,8
0,5
1,0 0,8 |
Chú thích: Khi đặt cốt thép dọc cho kết cấu, cũng như khi trỏt vữa lờn các lưới bọc ngoài của kết cấu không có kết cấu biến dạng giới hạn có thể tăng lờn 25%.
| |
5.5. Tớnh toỏn theo biến dạng trờn bề mặt chịu kộo của khối xây không cốt thép, cần tiến hành theo các công thức sau:
Chịu kộo dọc trục:
Chịu uốn :

Chịu nộn lệch tõm:
Chịu kộo lệch tõm:
Trong các công thức (62) đến (63)
N và M – Lực dọc và mụ men do tải trọng tiêu chuẩn tỏc dụng sau khi đó trỏt vữa hay đặt các tấm ốp lờn bề mặt của khối xây .
egh – biến dạng tương đối giới hạn lấy theo bảng 22
(h – y) – khoảng cách từ trọng tõm tiết diện khối xây đến mặt chịu kộo xa nhất của lớp phủ ngoài
I – mụ men quỏn tớnh của tiết diện
E – mụ đun biến dạng của khối xây, xỏc định theo công thức (8)
6. Những chỉ dẫn thiết kế
Những chỉ dẫn chung
6.1. Cần phải kiểm tra cường độ của tường, cột, mỏi đua và những cấu kiện khác trong giai đoạn thi công và giai đoạn sử dụng. Trong giai đoạn thi công, các cấu kiện của sàn như dầm, bảng, panen v.v… tuỳ theo tiến độ xây lắp, có thể phải tựa trờn khối xây mới xây xong.
6.2. Các cấu kiện có kớch thước lớn (như panen tường, khối xây lớn v.v… ) phải được kiểm tra bằng tớnh toỏn trong giai đoạn chế tạo, vận chuyển và dựng lắp. Trọng lượng bản thõn của cấu kiện lắp ghộp được tớnhvới hệ số động lực lấy bằng 1,8 khi vận chuyển và bằng 1,5 khi nõng cẩu, lắp ghộp; khi đó kể đến hệ số động lực thỡ không kể đến hệ số vượt tải nữa.
6.3. Yêu cầu tối thiểu về liờn kết trong khối xây đặc bằng gạch hoặc đỏ có hỡnh dạng vuụng vắn (ngoại trừ panen gạch rung) như sau:
a) Đối với khối xây bằng gạch có chiều dày đến 65mm – một hàng gạch ngang cho sỏu hàng gạch dọc; cũn đối với khối xây bằng gạch rỗng có chiều dày đến 65mm – một hàng gạch ngang cho bốn hàng gạch dọc.
b) Đối với khối xây bằng đỏ có chiều cao một lớp từ 200mm trở xuống (một hàng ngang cho ba hàng dọc).
6.4. Cần phải chống ẩm cho tường và cột. Nước mao dẫn có thể thấm vào tường từ phớa mỏng hoặc vỉa hố do vậy lớp cách nước phải nằm trờn vỉa hố hoặc nằm trờn mặt bề múng. Lớp cách nước cũng phải đặt ở phớa dưới nền tầng hầm.
Đối với bậu cửa, tường chắn mỏi hoặc những bộ phận khối xây nhụ ra phải chịu tỏc động của nước mưa thỡ phải có lớp bảo vệ bằng vữa xi măng hoặc tụn lỏ. Các bộ phận nhụ ra này cần có độ dốc thích hợp để thoỏt nước.
6.5. Khối xây không có cốt thép được chia ra bốn nhúm tuỳ theo loại khối xây và cường độ của gạch, cường độ của vữa (xem bảng 23)
Bảng 23
Loại khối xây | Nhúm khối xây | |||
I | II | III | IV | |
1. Khối xây đặc bằng gạch hoặc đỏ số hiệu 50 và lớn hơn. 2. Như trờn, số hiệu 35 và 25
3. Như trờn, số hiệu 15 ; 10 và 7 4. Như trờn, số hiệu 4 5. Khối lớn (blốc) bằng gạch hoặc đỏ (rung hoặc không rung) 6. Khối xây bằng gạch mộc 7. Khối xây bằng đỏ hộc
8. Bờ tụng đỏ hộc | Vữa số hiệu 10 và lớn hơn -
- - vữa số hiệu 25 và lớn hơn - -
Bờ tụng số hiệu M100 và lớn hơn | Vữa số hiệu 4
Vữa số hiệu 10 và lớn hơn - - -
- vữa số hiệu 50 và lớn hơn Bờ tụng số hiệu M75 và M50 | -
vữa số hiệu 4
vữa bất kỡ - -
Vữa vụi Vữa số hiệu 25 và 10 Bờ tụng số hiệu M35 | -
-
vữa bất kỡ như trờn như trờn
Vữa đất sột Vữa số hiệu 4
- |
6.6. Tường gạch được chia ra:
Tường chịu lực, chịu trọng lượng bản thõn, giú cũng như tải trọng truyền từ sàn, mỏi, cầu trục v. v …
Trong những nhà có tường ngoài chịu lực và không chịu lực, tải trọng sàn , mỏi, v.v… được truyền vào khung hoặc các tường ngang của nhà.
Chú thích: Các thuật ngữ tường chịu lực vỏch ngăn, tường không chịu lực tham khảo phụ lục 2 của tiêu chuẩn này.
6.7. Theo phương nằm ngang, tường và gạch cột tựa vào sàn mỏi và tường ngang. Những gối tựa này được chia thành những gối tựa cứng (không chuyển vị) và gối tựa đàn hồi
Những kết cấu sau đõy được xem là gối tựa cứng:
a) Tường ngang bằng gạch và bờ tụng có chiều dày không quỏ 11cm, tường bờ tụng cốt thép có chiều dày không quỏ 6cm khung ngang có nỳt cứng và những kết cấu khác được tớnh để chịu tải trọng ngang.
b) Sàn và mỏi khi khoảng cách giữa các tường (hoặc khung) ngang (như ở mục a) không vượt quỏ những gớa trị cho trong bảng 24.
c) Giàn giú, giằng giú và các giằng bờ tụng cốt thép được tớnh theo cường độ và biến dạng để chịu tải trọng ngang truyền từ tường vào.
Sàn và mỏi được coi là gối tựa đàn hồi khi khoảng cách giữa các tường (hoặc khung) ngang vượt quỏ giỏ trị cho trong bảng 24, mà không có giằng giú, như trong mục “c”.
Bảng 24
Loại sàn và mỏi | Khoảng cách giữa các tường (khung) ngang, ứng với nhúm khối xây | |||
|
| I | II | III | IV |
A. Sàn và mỏi bờ tụng cốt thép lắp ghộp toàn khối hoỏ (xem chú thích 2 và phụ lục 2) và toàn khối. B. Sàn và mỏi bằng các tấm nhỏ lắp ghộp (xem chú thích 3) có hoặc không có xà gồ hay dầm trung gian. |
54
42 |
42
36 |
30
24 | - |
Chú thích: 1. Những giỏ trị nào cho trong bảng 24 phải giảm đi trong những trường hợp sau: a) Khi áp lực tốc độ giú là 70, 85, 100 và 120 kg / m3 thỡ giảm tương ứng là15, 20, 25 và 32% b) Khi chiều cao nhà là 22 đến 32m thỡ giảm 10%, 33 đến 48m thỡ giảm 20% và trờn 48m thỡ giảm 25%. c) Đối với những nhà hẹp mà chiều rộng b nhỏ hơn hai lần chiều cao H của tầng thỡ giảm tỉ lệ với tỉ số b/2H. 2. Trong những sàn lắp ghộp có toàn khối hoỏ loại A, mối nối giữa các tấm cần phải được tăng cường để truyền được lực kộo (bằng cách hàn cốt thép với nhau, đặt cốt phụ vào kẽ nối các tấm rồi đổ bờ tụng lấp kớn các kẽ, số liệu bờ tụng đổ vào các kẽ nối không thấp hơn M100 đối với tấm bằng bờ tụng nhẹ; có thể dựng cách toàn khối hoỏ khác). 3. Trong những sàn loại B, mối nối giữa các tấm và các dầm trung gian phải được nhồi vữa một cách cẩn thận; số hiệu vữa không thấp hơn 50.
| ||||
6.8. Khi sàn và mỏi là gối tựa đàn hồi thỡ tường và cột gạch đúng vai trũ của cột khung ngang mà xà ngang là sàn và mỏi. Khi đú cột cần được ngàm cứng vào múng.
Khi tớnh nội lực trong khung ngang, độ cứng của tường hoặc cột gạch xỏc định theo mụ đun đàn hồi của khối xây E = 0,8 E0 và mụ đen quỏn tớnh của tiết diện được tớnh theo tiết diện toàn phần không kể đến sự mở rộng các khe nứt ở vựng kộo cũn sàn và mỏi thỡ được coi là xà ngang tuyệt đối cứng có liờn kết khớp với tường.
6.9. Chiều rộng của tường có bổ trụ hoặc không có bổ trụ khi tớnh toỏn lấy như sau:
a) Nếu kết cấu mỏi đảm bảo truyền đều áp lực trờn suốt chiều dài tựa thỡ lấy bằng chiều rộng của mảng tường nằm giữa các lỗ cửa cũn tường không có lỗ cửa thỡ lấy chiều rộng của phần tường nằm giữa hai trục của kết cấu nhịp.
b) Nếu áp lực ngang được chuyển từ tường lờn mỏi qua chỗ tựa của dầm hoặc giằng lờn tường thỡ tường có bổ trụ được xem như cột của khung có tiết diện không đo theo chiều cao và chiều rộng của cỏnh lấy bằng 1/3H về phớa mỗi mộp trụ nhưng không lớn hơn 6h, không lớn hơn chiều rộng của mảng tường nằm giữa các cửa sổ (H là chiều cao của tường tớnh từ cao trình ngàm, h – chiều dày tường). Khi tường không bổ trụ và có tải trọng tập trung truyền lờn tường thỡ chiều rộng 1/3H được lấy về mỗi phớa của mộp bản phõn bố lực dưới gối tựa của giàn hoặc dầm.
6.10. Tường và cột có gối tựa cứng là các sàn nờu trong điều 6.7 được tớnh như là dầm liờn tục theo phương đứng chịu tải trọng lệch tõm.
Cho phộp chia tường và cột thành những dầm một nhịp có gối tựa khớp tại vị trớ gối tựa của sàn. Khi đú tải trọng từ các tầng trờn truyền xuống được coi như đặt ở trọng tõm tiết diện tường và cột của tầng trờn tầng đang xét, cũn tải trọng trong phạm vi tầng đang xét thỡ có độ lệch tõm đối với trọng tõm tiết diện tường hoặc cột có kể đến sự thay đổi tiết diện trong phạm vi tầng ấy. Khi không cấu tạo những gối tựa đặc biệt để định vị phản lực gối tựa thỡ cho phộp lấy khoảng cách từ điểm đặt phản lực gối tựa của dầm hoặc bản đến mộp trong của tường bằng một phần ba chiều sõu cắm vào tường nhưng không lớn hơn 7cm.
Mụ men uốn do tải trọng giú gõy ra trong phạm vi mỗi tầng được xỏc định như đối với dầm có hai đầu ngàm ; ở tầng trờn cựng thỡ gối tựa trờn cựng được xem là khớp.
6.11. Khi tớnh tường chịu tỏc dụng của tải trọng thẳng đứng và tải trọng ngang, cần phải kiểm tra:
a) Những tiết diện ngang chịu nộn hoặc nộn lệch tõm.
b) Những tiết diện nghiờng chịu ứng suất kộo chớnh khi uốn trong mặt phẳng của tường.
c) Sự hỡnh thành vết nứt ở những tấm tường có nối với nhau và phải chịu những tải trọng thẳng đứng khác nhau hoặc ở những chỗ tiếp giáp của những tường có độ cứng khác nhau.
Khi tớnh toỏn tường dọc và tường ngang chịu tải trọng ngang cần phải kiểm tra sức chịu cắt ở những chỗ nối tường dọc và tường ngang theo công thức:

Trong đú :
T – Lực trượt trong phạm vi một tầng.
Q – Lực cắt tớnh toỏn ở giữa chiều cao tầng do tải trọng ngang gõy ra.
Y – Khoảng cách từ trục của tường dọc đến trục đi qua trọng tõm tiết diện ngang của tường(hỡnh 13)
A1 – Diện tớch cỏnh (phần tường dọc đưa vào trong tớnh toỏn)
I – Mụ men quỏn tớnh của tiết diện tường đối với trục đi qua trọng tõm và thẳng gúc với phương của lực cắt Q ;
h – Chiều dày tường ngang ;
H – Chiều cao tầng ;
Rc – Cường độ tớnh toỏn của khối xây khi chịu cắt trờn tiết diện giằng thẳng đứng (xem điều 4.20)
Khi xỏc định diện tớch tiết diện cỏnh A1 và mụ men quỏn tớnh của tiết diện phải xét đến những chỉ dẫn trong điều 6.9.

6.12. Tớnh toỏn tường ngang chịu ứng suất kộo chớnh theo công thức:

Khi tường có một phần tiết diện chịu kộo thỡ theo công thức

Với
Trong các công thức trờn thỡ :
Q – Lực cắt tớnh toỏn ở giữa chiều cao tầng do tải trọng ngang gõy ra
Rkc – Cường độ tớnh toỏn chịu ứng suất kộo chớnh trờn mạch vữa của khối (bảng 10)
Rt – Cường độ tớnh toỏn về trượt của khối xây có chịu lực nộn tớnh toỏn N với hệ số vượt tải 0,9.

Khi tường có một phần tiết diện chịu kộo thỡ tớnh:
A2 – Diện tớch tiết diện tường ngang có kể đến (hoặc không kể đến) phần tường dọc (xem hỡnh 13)
An – Diện tớch phần chịu nộn của tiết diện tường khi tường có một phần chịu kộo ;
h – Chiều dày của tường ngang. Lấy chiều dày nhỏ nhất nếu đoạn có chiều dày đú vượt quỏ 1/ 4 lần chiều cao tầng hoặc quỏ 1/ 4 lần chiều dài tường. Khi trong tường có ống rónh thỡ phải trừ bớt chiều rộng của nú khỏi chiều dày của tường.
l - Chiều dài trờn mặt bằng của tường ngang nếu biết tiết diện bao gồm cả cỏnh là một phần tường dọc thỡ l là khoảng cách giữa trục của hai cỏnh :

- Hệ số phõn bổ không đều của ứng suất tiếp trong tiết diện. Giỏ trị v
được phộp lấy như sau:
đối với tiết diện chữ I, v = 1,55
đối với tiết diện chữ T, v = 1,35
đối với tiết diện chữ nhật (không kể sự làm việc của tường dọc), v = 1,5 ;
S0 – Mụ men tĩnh của phần tiết diện đối với trục đi qua trọng tõm tiết diện.
I – Mụ men quỏn tớnh của toàn bộ tiết diện đối với trục đi qua trọng tõm tiết diện .
6.13. Khi cường độ chống trượt của khối xây xỏc định theo công thức (65) và (66) không đủ thỡ cho phộp đặt cốt thép trong mạch vữa ngang. Cường độ tớnh toỏn về trượt của khối xây có cốt thép Rst được xỏc định theo công thức:

Trong đó :
mt – hàm lượng cốt thép xỏc định theo tiết diện thẳng đứng của tường.
6.14. Khi tớnh toỏn tường ngang chịu tải trọng ngang tỏc dụng trong mặt phẳng của nú, các lanh tụ được xem như những thanh liờn kết khớp với các mảng tường thẳng đứng.
Khi chịu tỏc dụng của tải trọng ngang, nếu cường độ của tường ngang có lỗ cửa chỉ được đảm bảo nhờ độ cứng của lanh tụ thỡ lanh tụ phải chịu một lực cắt xỏc định theo công thức:

Trong đó :
Q – lực cắt tớnh toỏn do tải trọng ngang gõy ra ở tiết diện ngang với mặt sàn kề với lanh tụ đang xét ;
H – chiều cao tầng ;
l – chiều dài của tường ngang (điều 6.12)
V – lấy theo điều 6.12
6.15. Cường độ lanh tụ được kiểm tra theo công thức (72) và (73)


Trong đó :
h – chiều cao và nhịp của lanh tụ (thụng thuỷ) ;
T – xem công thức (71)
AIt – diện tớch tiết diện ngang của lanh tụ
Rkc Rku – xem bảng (10)
Nếu cường độ của lanh tụ không đủ thỡ cần phải gia cường bằng cốt thép dọc hoặc dầm bờ tụng cốt thép. Khi đú dầm phải chịu mụ men uốn

và lực cắt T tớnh theo (71). Tớnh toỏn chiều sõu chụn dầm (lanh tụ) vào tường theo các chỉ dẫn của điều 6.41.
6.16. Trong các nhà khung bằng bờ tụng cốt thép hoặc bằng thép có chốn bằng khối xây gạch. Nếu có các cấu tạo để đảm bảo sự truyền lực đứng và ngang từ khung và khối xây chốn (khối xây lắp khung) thỡ phải kể đến khả năng tham gia chịu lực của khối xây chốn.
Đối với các tường chốn có lỗ cửa, khối xây chỉ được xét đến trong trường hợp mà ở tầm đang xét có trờn 30% tường chốn không có lỗ cửa.
Tỉ số cho phộp giữa chiều cao và chiều dày của tường và cột
6.17. Tỉ sụ giữa chiều cao và chiều dày của tường và cột không được vượt quỏ những quy định ghi trong điều 6.18 đến 6.21.
6.18. Tỉ số b = H/ h (trong đú H – chiều cao tầng, h – chiều dày tường hoặc bề rộng nhỏ nhất của cột có tiết diện chữ nhật) đối với tường không có lỗ cửa, chịu tải trọng truyền từ sàn hoặc mỏi xuống, khi chiều dài tự do của tường l £ 2,5H không vượt quỏ giỏ trị ghi trong bảng 25 (đối với khối xây bằng vật liệu hỡnh dỏng quy cách).
Đối với tường có bổ trụ và cột có tiết diện phức tạp thỡ thay h bằng chiều dày quy ước hrcd = 3,5i, i là bỏn kớnh quỏn tớnh của tiết diện. Đối với cột có tiết diện trũn hoặc đa giỏc nội tiếp vũng trũn thỡ hrcd = 0,85d.
Trong đú d - đường kớnh tiết diện cột.
Chú thích: Nếu chiều cao tầng H lớn hơn chiều dài tự do thỡ tỉ số l/h không được vượt quỏ 1,2b lấy theo bảng 25).
Bảng 25
Số liệu vữa | Tỉ sụ b đối với các nhúm khối xây (xem bảng 23) | |||
I | II | III | IV | |
50 và cao hơn 25 10 £ 4 | 25 22 20 - | 22 20 17 15 | - 17 15 14 | - - 14 13 |
6.19. Tỉ số b đối với tường và vỏch ngăn trong các trường hợp khác với những chỉ dẫn trong điều
6.18 được nhõn với hệ số điều chỉnh k cho trong bảng 26.
Bảng 26
Đặc trưng của tường và vỏch ngăn | Hệ số k |
1. Tường và vỏch ngăn không chịu tải trọng truyền từ sàn hoặc mỏi với chiều dày 22cm và lớn hơn 11cm và bộ hơn
2. Tường có lỗ cửa
3. Vỏch ngăn có lỗ cửa 4. Tường và vỏch ngăn có chiều dài tự do l từ 2,5H đến 3,5 H 5. Như trờn, Khi l > 3,5H 6. Tường bằng khối xây đỏ hộc và bờ tụng đỏ hộc | 1,2 1,8
0,9 0,9 0,8 0,8 |
Chú thích: 1. Hệ số giảm tỉ số b xỏc định bằng cách nhõn các số k riờng rẽ (trong bảng 26) với nhau không lấy nhỏ hơn hệ số k cho trong bảng 27 với cột. 2. Khi cần chiều dày của tường không chịu lực và vỏch ngăn lớn hơn 11 và nhỏ hơn 22cm thỡ hệ số k được xỏc định bằng cách nội suy. 3. Trị số Ant – diện tớch đó giảm yếu và Abr diện tớch toàn phần được xỏc định theo tiết diện ngang của tường. | |
Tỉ số b giới hạn đối với cột sẽ lấy theo bảng 25 rồi nhõn với hệ số k cho trong bảng 27
6.20. Tỉ số b cho trong bảng 25 và được nhõn với hệ số k cho trong bảng 26 đối với tường và vỏch ngăn có thể được tăng lờn 20% khi có đặt cốt thép trong mạch vữa của khối xây với hàm lượng mt ³ 0,05%.
Khi khoảng cách giữa các kết cấu bảo đảm ổn định ngang của tường l £ k b h thỡ chiều cao H của tường không bị hạn chế và được xỏc định bằng tớnh toỏn về cường độ. Khi chiều dài tự do l ³ H nhưng không lớn hơn 2H (H – chiều cao tầng) thỡ phải tuõn theo điều kiện:

Bảng 27
Cạnh nhỏ nhất của tiết diện ngang cột cm | Hệ số k đối với cột | |
Bằng gạch và đỏ có hỡnh dỏng quy cách | Bằng đỏ hộc và bờ tụng hộc | |
90 và lớn hơn từ 70 đến 89 từ 50 đến 69 nhỏ hơn 50 | 0,75 0,70 0,65 0,60 | 0,60 0,55 0,50 0,45 |
Chú thích: Tỉ số giới hạn b đối với những mảng tường hẹp mà chiều rộng nhỏ hơn chiều dày tường phải lấy như đối với cột có chiều cao bằng chiều cao của lỗ cửa.
| ||
6.21. Đối với tường vỏch ngăn và cột mà đầu trờn không có liờn kết, tỉ số b phải lấy giảm đi 30% so với các quy định trong các điều 6.18, 6.19 và 6.20.
Tường bằng panen và blốc cỡ lớn
6.22. Panen gạch phải được thiết kế bằng gạch đất sột hoặc xilicỏt có mỏc không thấp hơn 75 và vữa không thấp hơn 50.
6.23. Khi thiết kế panen phải dự kiến dựng chấn động để lấp vữa vào các mạch. Cường độ tớnh toỏn của khối xây gạch rung lấy theo bảng 2. Cho phộp thiết kế panen một lớp dựng cho tường ngoài bằng gạch gốm có lỗ để nõng cao hiệu quả về nhiệt kĩ thuật, panen có chiều dày nửa gạch, một gạch và hai gạch không rung. Cường độ tớnh toỏn của khối xây trong trường hợp này lấy theo bảng 1.
Chú thích: Trong những panen bằng gạch gốm có lỗ không dựng phương pháp rung, phải đảm bảo không trựng mạch đứng. Điều đú phải được chỉ rừ trong thiết kế.
6.24. Panen gạch dựng cho tường ngoài phải được thiết kế hai lớp hoặc ba lớp. Panen hai lớp phải có chiều dài nửa gạch hoặc lớn hơn với lớp cách nhiệt bằng tấm cách nhiệt cứng đặt ở phớa trong hoặc phớa ngoài và được bảo vệ bằng lớp vữa có cốt thép dày từ 40mm trở lờn, số hiệu vữa không thấp hơn 50.
Panen ba lớp phải có hai lớp ngoài bằng gạch với chiều dày hoặc 1/2 gạch và lớp giữa bằng tấm cách nhiệt cứng hoặc nửa cứng.
Sườn trong panen tường ngoài được đặt theo chu vi panen hoặc theo chu vi lỗ cửa với chiều dày bằng cả chiều dày tường. Chiều rộng sườn không quỏ 60mm.
Khi thiết kế panen tường ngoài phải chú ý đến yêu cầu kiến trỳc, khi đú mặt ngoài panen có thể là gạch hoặc đỏ không trỏt hoặc có lớp vữa trang trớ.
6.25. Panen tường trong một lớp có chiều dày 1/ 4 gạch, 1/ 2 gạch và 1 gạch.
Sườn panen tường trong cũng phải đặt theo chu vi panen và theo chu vi lỗ cửa.
Chú thích:
1. Chiều dày panen ở trờn là đó kể đến các lớp vữa trong và vữa ngoài
2. Panen có chiều dày 1/ 4 gạch chỉ thiết kế cho vỏch ngăn.
6.26. Panen thường bằng gạch, gạch gốm phải được tớnh toỏn về nộn lệch tõm theo những hướng dẫn ở điều 4.7 và 4.8 dưới tỏc dụng của tải trọng thẳng đứng và tải trọng giú, cũng như những nội lực xuất hiện khi vận chuyển và dựng lắp (xem điều 6.2)
Nếu không cần cốt thép mà cường độ panen vẫn đảm bảo thỡ diện tớch cốt thép dọc đặt trong sườn phải không ớt hơn 0,25cm2 cho một một dài panen theo phương ngang và theo phương đứng. Nếu cốt thép cần phải được xét đến khi tớnh khả năng chịu lực của panen thỡ việc tớnh toỏn sẽ giống như đối với kết cấu gạch đỏ có cốt thép. Khi tớnh panen có chiều dày 27cm và nhỏ hơn phải xét đến độ lệch tõm ngẫu nhiờn mà giỏ trị của nú lấy bằng 1cm với panen chịu lực có một lớp; lấy bằng 0,5cm đối với panen tự chịu lực cũng như đối với mỗi lớp riờng biệt của panen chịu lực có ba lớp; đối với panen không chịu lực và vỏch ngăn thỡ không kể đến độ lệch tõm ngẫu nhiờn.
6.27. Nối panen tường ngoài và tường trong cũng như panen tường với panen sàn nhờ những liờn kết bằng thép hàn vào các chi tiết chụn sẵn hoặc hàn vào khung của sườn. Mối nối giữa các panen phải đặt trong các rónh đặt ở gúc panen và phủ một lớp vữa có chiều dày không nhỏ hơn 10mm. Khi làm các chi tiết liờn kết bằng thép thường, cần có biện pháp chống rỉ mỏc vữa cho mối nối tường phải lấy theo tớnh toỏn nhưng không nhỏ hơn 50.
6.28. Blốc cỡ lớn dựng cho tường ngoài và tường trong phải được chế tạo từ bờ tụng xi măng và bờ tụng xilicỏt nặng, từ bờ tụng có cốt liệu nhẹ, bờ tụng tổ ong và đỏ thiờn nhiờn cũng như từ các khối xây gạch và đỏ thiờn nhiờn. Cường độ tớnh toỏn của khối xây bằng blốc cỡ lớn lấy theo bảng 3 cũn đối với blốc chế tạo bằng gạch hoặc đỏ không rung thỡ lấy theo bảng1,4 và 6.
Mỏc vữa để xây các blốc với nhau phải lấy cao hơn 1 cấp so với mỏc vữa xây blốc.
6.29. Trong những ngôi nhà xây bằng blốc cỡ lớn có từ năm tầng trở xuống và chiều cao mỗi tầng dưới 3m, liờn kết giữa các tường dọc và tường ngang phải đảm bảo như sau:
a) ở gúc tường ngoài, khối xây phải được bắt mỏ và phải có blỗc hỡnh thức thợ đặc biệt (không ớt hơn một lớp blốc hỡnh thức thợ một tầng).
b) ở chỗ nối tường ngang bờn trong với tường dọc cũng như nối tường dọc giữa với tường đầu hồi phải có tấm thép chữ T hoặc lưới cốt thép đặt trong một mạch vữa ngang ở cao trình sàn cho mỗi tầng.
Đối với nhà blỗc cỡ lớn cao hơn 5 tầng và đối với nhà có nhiều cao tầng lớn hơn 3m cần phải có liờn kết cứng giữa các tường ở các gúc cũng như ở những chỗ nối tường trong với tường ngoài. Những liờn kết này có dạng các chi tiết chụn sẵn trong blốc rồi nối lại bằng hàn thụng qua các tấm đệm.
Neo tường và cột
6.30. Tường gạch và cột cần phải được liờn kết với sàn và mỏi bằng các neo có tiết diện không ớt hơn 0,5cm2.
6.31. Khoảng cách giữa các neo của dầm, xà ngang hoặc giàn cũng như tấm đan hay panen tựa lờn tường không được lớn hơn 6m. Khi tăng khoảng cách giữa các giàn lờn 12m, thỡ phải có thờm neo phụ nối tường với mỏi. Đầu dầm nối lờn xà ngang, gối lờn tường trong hoặc cột phải được neo chắc và khi hai bờn đều có dầm tựa thỡ chúng được nối lại với nhau.
6.32. Tường tự chịu lực trong nhà khung phải được liờn kết với cột bằng các liờn kết mềm cho phộp có biến dạng thẳng đứng riờng rẽ của tường và của cột. Liờn kết đặt dọc chiều cao cột phải đảm bảo sự ổn định của tường cũng như truyền tải trọng giú từ tường sang cột khung.
6.33. Cần phải tớnh toỏn neo khi:
a) Khoảng cách giữa các neo lớn hơn 3m;
b) Có sự thay đổi không đối xứng của chiều dày cột hoặc tường;
c) Giỏ trị lực pháp tuyến N trờn mảng tường lớn hơn 1000KN (100T)
Nội lực tớnh toỏn trong neo được xỏc định theo công thức:

Trong đú :
M – Mụ men uốn do tải trọng tớnh toỏn gõy ra ở chỗ tựa của sàn hoặc mỏi lờn tường trờn chiều rộng bằng khoảng cách giữa các neo (hỡnh 14)
H – Chiều cao tầng;
N – Lực pháp tuyến tớnh toỏn trong trường hợp tiết diện ngang với cao trình neo tớnh trờn chiều rộng bằng khoảng cách giữa hai neo.
Chú thích: Những chỉ dẫn này không áp dụng cho tường bằng panen gạch rung.

6.34. Nếu chiều dày của tường hoặc vỏch ngăn được thiết kế có xét đến điều kiện tựa ở chu vi thỡ cần phải có biện pháp liờn kết với các kết cấu kề với tường hoặc vỏch ngăn ấy.
Gối tựa của các kết cấu lờn tường
6.35. Dưới gối tựa của các cấu kiện truyền tải trọng cục bộ trờn khối xây phải có lớp vữa không dày hơn 15mm và điều đú phải được chỉ ra trong thiết kế.
6.36. ở những chỗ đặt tải trọng cục bộ, khi cần phải tớnh toỏn về ộp cục bộ thỡ phải bố trớ bản đệm có chiều dày là bội số các chiều dày lớp gạch nhưng không nhỏ hơn 15cm. Đặt hai lưới cốt thép theo tớnh toỏn với sốlượng không ớt hơn 0,5% thể tớch bờ tụng.
6.37. ở những chỗ tựa của giàn, dầm sàn, dầm cầu trục v. v… lờn phần bổ trụ phải có bản đệm giằng vào tường. Chiều sõu bản đệm ăn vào tường không được nhỏ hơn 11cm (hỡnh 15) khối xây nằm trờn bản đệm phải được xây ngay sau khi làm bản đệm đú.
Không cho phộp chừa rónh trong khối xây để làm bản đệm.
6.38. Khi tải trọng cục bộ đặt sỏt mộp tường vượt quỏ 80% khả năng chịu lực của khối xây về nộn cục bộ thỡ phải đặt cốt thép cho phần khối xây ở gối tựa bằng các mộp lưới thép mà đường kớnh thanh không nhỏ hơn 3mm với kớch thước ụ lưới không lớn hơn 60 x 60mm vào ớt nhất là ba mạch vữa ngang. Khi có tải trọng cục bộ trờn trụ của tường bổ trụ thỡ phần khối xây nằm dưới bản đệm trong phạm vi 1m phải bố trớ lưới thép như trờn nhưng cách nhau ba hàng gạch. Các lưới thép phải nối phần khối xây bổ trụ với tường cơ bản và ăn sõu vào tường không ớt hơn 11cm.

Tớnh toỏn gối tựa của các cấu kiện trờn tường gạch
6.39. Khi có dầm, xà ngang hoặc tấm lỏt bờ tụng cốt thép tựa trờn tường và cốt gạch thỡ ngoài việc tớnh toỏn các tiết diện nằm dưới gối tựa chịu nộn lệch tõm và nộn cục bộ cũn cần phải kiểm tra tiết diện chịu nộn đỳng tõm theo khả năng chịu lực của khối xây và của các cấu kiện bờ tụng cốt thép.
Tớnh toỏn gối tựa chịu nộn đỳng tõm theo công thức:

Trong đó:
A – Tổng diện tớch tiết diện khối xây và cấu kiện bờ tụng cốt thép ở gối tựa trong phạm vi tường hoặc cột mà cấu kiện đặt lờn nú.
R – Cường độ chịu nộn tớnh toỏn của khối xây
g – Hệ số phụ thuộc vào diện tớch gối tựa của cấu kiện bờ tụng cốt thép;
p – Hệ số phụ thuộc vào loại lỗ rỗng trong cấu kiện bờ tụng cốt thép.
Hệ số g đối với tất cả các loại cấu kiện bờ tụng cốt thép (dầm, xà ngang, lanh tụ, tấm lỏt) lấy như sau:
g = 1 nếu Ab £ 0,1A
g = 0 nếu Ab ³ 0,4A
Trong đú Ab – tổng diện tớch gối tựa của bờ tụng cốt thép.
Với những giỏ trị trung gian của Ab thỡ hệ số g xỏc định theo nội suy. Nếu cấu kiện bờ tụng cốt thép (dầm, tấm lỏt, …) kờ lờn khối xây từ nhiều phớa có chiều cao như nhau và diện tớch gối tựa Ab > 0,8A thỡ trong công thức (77) cho phộp không dựng hệ số g và lấy A = Ab.
Hệ số p lấy bằng 1 với những cấu kiện đặc và tấm lỏt có lỗ rỗng trũn, bằng 0,5 đối với tấm lỏt có lỗ rỗng ụvan và có cốt đai tại khu vực gối tựa.
6.40. Trong những tấm lỏt bằng bờ tụng cốt thép, lắp ghộp có lỗ rỗng chưa lấp kớn, ngoài việc kiểm tra khả năng chịu lực núi chung của mắt gối tựa cũn cần phải kiểm tra khả năng chịu lực của tiết diện ngang cắt qua sườn tấm đan theo công thức:

Trong đó :
Rb – Cường độ chịu nộn tớnh toỏn của bờ tụng lấy theo tiêu chuẩn thiết kế cấu kiện bờ tụng và bờ tụng cốt thép ;
Ant – Diện tớch tiết diện ngang của tấm lỏt có kể đến sự giảm yếu bởi các lỗ rỗng trờn chiều dài gối tựa của tấm lỏt lờn khối xây (tổng diện tớch tiết diện sườn)
R – Cường độ chịu nộn tớnh toỏn của khối xây
Akx – Diện tớch tiết diện khối xây ở phạm vi gối tựa (không kể phần tiết diện mà tấm lỏt kờ gối ).
n = 1,25 đối với bờ tụng nặng và m=1,1 đối với bờ tụng cốt liệu rỗng.
6.41. Tớnh toỏn mối hàn của dầm công xụn vào khối xây (hỡnh 16a) được tiến hành theo công thức sau:

Trong đó:
Q – Tải trọng tớnh toỏn do trọng lượng của dầm và các tải trọng đặt vào nú;
Rcb – Cường độ tớnh toỏn của khối xây khi chịu nộn cục bộ;
a – Chiều sõu đoạn ngầm của dầm vào khối xây
b – Bề rộng cỏnh dầm;
e0 - Độ lệch tõm của lực tớnh toỏn đối với điểm giữa của đoạn ngàm:

C – Khoảng cách từ lực Q đến mặt phẳng tường

Chiều sõu cần thiết của gối tựa ngàm cần được xỏc định theo công thức:

Nếu mối ngàm đầu dầm không thoả món yêu cầu của tớnh toỏn theo công thức (79) thỡ cần tăng độ sõu của ngàm hoặc đặt tấm phõn phối lực ở bờn dưới và bờn trờn dầm công xụn.
Nếu độ lệch tõm của tải trọng đối với trọng tõm diện tớch gối ngàm lớn hơn hai lần chiều sõu mối ngàm (e > 2a) có thể không tớnh đến tớnh suất do nộn trong trường hợp này cần tớnh toỏn theo công thức sau:

Khi sử dụng các tấm kờ phõn phối lực ở dạng dầm hẹp với bề rộng không lớn hơn 1/3 chiều sõu của gối ngàm, cho phộp lấy biểu đồ ứng suất dưới tấm kờ có dạng hỡnh chữ nhật (hỡnh 16)
Lanh tụ và tường cheo
6.42. Các lanh tụ bờ tụng cốt thép được tớnh với tải trọng của sàn và áp lực do khối xây cũn mới chưa đụng cứng sinh ra, tương đương với trọng lượng của dải khối xây có chiều cao bằng 1/3 nhịp lanh tụ.
Chú thích:
1. Khi có các biện pháp đặc biệt (khấc lồi lừm trong các lanh tụ đỳc sẵn, có thép chờ …) cho phộp kể đến sự làm việc chung giữa lanh tụ và khối xây .
2. Không kể đến các tải trọmh đố lờn lanh tụ từ các dầm, tấm sàn nếu chúng đặt cao hơn lanh tụ một khoảng cách bằng nhịp lanh tụ.
6.43. Khối xây của các tường treo, xây trờn các dầm đỡ tường cần được kiểm tra về cường độ và chịu nộn cục bộ ở vựng trờn gối tựa của dầm đỡ tường. Cũng cần phải kiểm tra cường độ khối xây chịu nộn cục bộ ở dưới gối của dầm đỡ tường.Chiều dài của biểu đồ phõn bố áp lực trong mặt phẳng tiếp xỳc giữa tường và dầm đỡ tường được xỏc định tuỳ thuộc vào độ cứng của khối xây và dầm đỡ tường được xỏc định tuỳ thuộc vào độ cứng của khối xây và dầm đỡ tường. Khi đú dầm đỡ tường được thay thế bằng một dải khối xây quy ước tương đương theo điều kiện độ cứng.
Chiều cao của dải được xỏc địng theo công thức

Trong đó:
Eb – Mụ đun đàn hồi ban đầu của bờ tụng
Tred – Mụ men quỏn tớnh của tiết diện quy đổi của dầm đỡ tường, lấy theo tiêu chuẩn thiết kết cấu kiện bêtông và bờ tụng cốt thép ;
E – Mụ đun biến dạng của khối xây xỏc định theo công thức (7)
h – Bề dày của tường treo
Độ cứng của dầm đỡ tường bằng thép được tớnh bằng tớch số EsIs
Trong đó: Es và Is – mụ đun đàn hồi của thép và mụ men quỏn tớnh của tiết diện dầm đỡ bằng thép
6.44. Biểu đồ phõn phối áp lực trong khối xây trờn các gối tựa giữa các dầm đỡ tường liờn tục có thể lấy theo dạng hỡnh tam giỏc khi a £ 2s (hỡnh 17a và theo dạng hỡnh thang với đỏy nhỏ bằng a – 2s khi 2s < a £ 3s (hỡnh 17b). Giỏ trị lớn nhất của ứng suất nộn cục bộ scb (chiều cao của hỡnh tam giỏc hoặc hỡnh thang) được xỏc định từ điều kiện cõn bằng thể tớch của biểu đồ áp lực và phản lực gối tựa của dầm đỡ tường theo công thức:
Khi biểu đồ áp lực có dạng tam giỏc (a2s)

Khi biểu đồ áp lực có dạng hỡnh thang (2S < a < 3S)

Trong đó:
a – Chiều dài gối tựa (bề rộng mảnh tường)
N – Phản lực gối tựa của dầm đỡ tường do tải trọng đặt trong phạm vi nhịp dầm và chiều dài gối tựa đó trừ đi trọng lượng bản thõn dầm đỡ tường.
S = 1,57H0 – Vhiều dài đoạn biểu đồ phõn bố áp lực về mỗi phớa kể từ mộp gối tựa.
h – Chiều dày tường
Nếu a < 3S thỡ trong công thức (84) thay bằng chiều dài tớnh toỏn của gối tựa a1=3S được tạo nên bởi hai đoạn dài 1,5m về mỗi phớa của mảnh tường (hỡnh 17c) với đỏy.
6.45. Biểu đồ phõn bố áp lực trờn gối biờn của dầm đỡ liờn tục hoặc trờn gối đỡ tựa của dầm đỡ một nhịp nên lấy theo hỡnh tam giỏc (hỡnh 17d) với đỏy.

Trong đó:
S1 = 0,9H0 – Chiều dài đoạn biểu đồ phõn bố áp lực kể từ mộp gối tựa.
a1 – Chiều dài đoạn gối tựa của phần dầm đỡ nhưng không lớn hơn 1,5H (H – chiều cao của dầm đỡ tường)
ứng suất lớn nhất ở bờn trờn gối đỡ dầm :


6.46. Cường độ của khối xây tường treo khi chịu nộn cục bộ ở trờn khu vực trờn gối tựa của dầm đỡ cần được kiểm tra theo các chỉ dẫn từ điều 4.13 đến 4.16.
Tớnh toỏn về nộn cục bộ của khối xây dưới gối tựa của các dầm đỡ tường liờn tục cần tiến hành đối với phần nằm trong phạm vi gối tựa với chiều dài.
a) Không lớn hơn 3H kể từ mộp gối tựa giữa ( H – chiều cao dầm đỡ)
b) Không lớn hơn 1,5H đối với gối tựa biờn và gối tựa của dầm đỡ tường một nhịp (chiều dài gối tựa của dầm một nhịp không được nhỏ hơn H).
Nếu tiết diện tớnh toỏn nằm ở độ cao H1 so với mặt trờn của dầm đỡ tường thỡ khi xỏc định chiều dài đoạn S và S1 cần lấy chiều cao dải khổ xây Ho1 = H0 + H1
Diện tớch tớnh toỏn của tiết diện A khi tớnh tường treo chịu nộn cục bộ lấy như sau:
Trong vựng ở bờn trờn gối tựa giữa của dầm đỡ tường liờn tục lấy giống như trường hợp khối xây chịu tải trọng cục bộ đặt ở phần giữa tiết diện ; cũn trong vựng ở bờn trờn gối tựa biờn của dầm đỡ tường liờn tục hoặc ở bờn trờn gối tựa của dầm đơn giản cũng như khi tớnh khối xây ở bờn dưới gối tựa của dầm đỡ tường thỡ lấy giống như trường hợp khối xây chịu tải trọng đặt ở mộp tiết diện.
6.47. Biểu đồ phõn bố áp lực trong khối xây của tường treo khi có ụ cửa lấy theo dạng hỡnh thang, sao cho phần diện tớch tam giỏc bị bớt đi khỏi biểu đồ áp lực ở phạm vi ụ cửa sổ phải bằng diện tớch hỡnh bỡnh hành, được thờm vào trong phần cũn lại của biểu đồ (hỡnh 18). Khi ụ cửa nằm ở độ cao H1 so với dầm đỡ tường, chiều dài đoạn S tương ứng phải được lấy tăng lờn (xem 6.46).
6.48. Tớnh toỏn dầm đỡ được tiến hành với hai trường hợp chất tải:
a) Tải trọng tỏc dụng trong thời kỡ xây dựng. Khi khối xây làm bằng gạch, gạch gốm hay gạch bờ tụng thường cần lấy tải trọng là trọng lượng bản thõn của khối xây chưa khụ có chiều cao bằng 1/3 nhịp.
Khi khối xây tường bằng các tấm blốc cỡ lớn (bờ tụng hoặc gạch) chiều cao của dải khối xây có tải trọng tỏc dụng lờn dầm đỡ tường bằng 1/ 2 nhịp, nhưng không nhỏ hơn chiều cao một hàng xây. Khi có các ụ cửa, trong trường hợp chiều cao của dải khối xây từ mặt trờn dầm tường tới bệ cửa nhỏ hơn 1/ 3 nhịp, phải tớnh cả trọng lượng khối xây tường tới mặt trờn của lanh tụ bờ tụng cốt thép hoặc thép (hỡnh 19). Khi dựng lanh tụ bằng gạch cần kể đến trọng lượng của khối xây tường cao tới độ cao hơn mặt trờn của ụ cửa một khoảng bằng 1/ 3 bề rộng của ụ cửa.
b) Tải trọng tỏc dụng khi ngôi nhà đó hoàn thành. Những tải trọng này được xỏc định theo những biến đổi áp lực được trình bày ở trờn hỡnh 17, 18 và truyền lờn dầm tường qua gối tựa.
Số lượng và cách bố trớ cốt thép trong dầm dựa theo trị số mụ men uốn và lực cắt lớn nhất được xỏc định theo hai giai đoạn tớnh toỏn nờu ở trờn.


Mỏi đua và tường chõn mỏi
6.49. Tớnh toỏn phần trờn cựng của tường tại tiết diện nằm trực tiếp dưới mỏi đua được tiến hành theo hai giai đoạn hoàn thành của ngôi nhà:
a) Cho các ngôi nhà chưa hoàn thành khi chưa có mỏi và sàn tầng hầm mỏi;
b) Cho các ngôi nhà đó hoàn thành
6.50. Tớnh toỏn tường với mỏi đua cho các ngôi nhà chưa hoàn thành theo các tải trọng sau:
a) Tải trọng tớnh toỏn do trọng lượng bản thõn của mỏi đua và vỏn khuụn (đối với các mỏi đua bằng bờ tụng cốt thép đổ tại chỗ và bằng gạch cốt thép) nếu vỏn khuụn được đỡ bằng các công xụn hoặc thanh chống xiờn ngàm chặt vào khối xây.
b) Tải trọng tớnh toỏn tạm thời trờn mộp mỏi đua là 100 daN (100 kg) trờn một một dải của mỏi đua hoặc trờn một cấu kiện của mỏi đua lắp ghộp, nếu nú có chiều dài nhỏ hơn 1một.
c) Tải trọng giú tiêu chuẩn lờn mặt trong của tường
Chú thích:
1. Nếu khi thiết kế đầu mỳt của các neo giữ ổn định cho mỏi đua được ngàm chặt dưới sàn của tầng hầm, thỡ khi tớnh toỏn cần kể đến tỏc dụng của sàn này (toàn bộ hay một phần)
2. Cần phải kiểm tra ổn định của mỏi đua khi khối xây chưa khụ.
6.51. Mỏi đua và phần tường dưới mỏi đua của các ngôi nhà đó hoàn thành phải được tớnh toỏn theo các tải trọng sau:
a) Trọng lượng của tất cả các cấu kiện của nhà, kể cả những trọng lượng tạo nên mụ men lật đối với mộp ngoài của tường cũng như trọng lượng làm tăng sự ổn định của tường, khi đú trọng lượng mỏi lấy giảm đi một lượng bằng trị số lực hỳt của tải trọng giú.
b) Tải trọng tớnh toỏn đặt ở mộp mỏi đua là 150 daN (150 kg) trờn 1 một dài hoặc trờn một cấu kiện của mỏi đua lắp ghộp có chiều dài nhỏ hơn 1 một.
c) Một nửa giỏ trị của tải trọng giú tớnh toỏn
6.52. Phải nhụ ra của mỏi đua, do các hàng gạch xây nhụ ra tạo nên, không được lớn hơn nửa chiều dày của tường. Trong đú phần nhụ ra của mỗi hàng không vượt quỏ 1/ 3 chiều dài của viờn gạch hoặc đỏ.
6.53. Đối với các khối xây của mỏi đua có phần nhụ ra nhỏ hơn một nửa chiều dày của tường và không lớn hơn 20cm được sử dụng cho các loại vừa dựng cho các khối xây tường ở tầng trờn cựng. Khi phần nhụ ra của các mỏi đua gạch lớn hơn, phải dựng mỏc vữa lớn hơn hoặc bằng 50 cho các khối xây đú.
6.54. Khi mỏi đua và tầng chắn mỏi không đủ ổn định, chúng cần được neo chắc vào phần dưới của khối xây bằng các neo.
Khoảng cách giữa các neo không được nhỏ hơn 2m, nếu các đầu neo gắn bằng các rụng đen riờng biệt. Cũn khi gắn các đầu neo vào xà ngang thỡ khoảng cách giữa các neo có thể tăng tới 4m. Neo phải ngàm sõu hơn chiều dài tớnh toỏn một đoạn ớt nhất 15cm.
Khi sàn tường hầm mỏi bằng bờ tụng cốt thép thỡ đầu neo cần đặt dưới sàn này.
Khi mỏi đua được lắp ghộp bằng các cấu kiện bờ tụng cốt thép, thỡ cần phải đảm bảo sự ổn định của từng cấu kiện trong quỏ trình xây dựng .
6.55. Theo nguyờn tắc các neo phải đặt trong khối xây và cách mộp trong của tường 1/ 2 viờn gạch. Cũn nếu các neo đặt ở ngoài khối xây, thỡ chúng cần được bảo vệ bằng lớp vữa xi măng dày 3cm (kể từ mặt ngoài của neo). Khi khối xây bằng vữa mỏc 10 và thấp hơn, các neo phải đặt trong các hốc và sau đú được chốn bằng bờ tụng.
6.56. Tiết diện của neo cho phộp xỏc định theo nội lực:

Trong đó:
M – Mụ men uốn lớn nhất do tải trọng tớnh toỏn gõy ra
h0 – Khoảng cách từ mộp chịu nộn của tiết diện tường đến trục neo (chiều cao tớnh toỏn của tiết diện ).
6.57. Khối xây của tường dưới mỏi đua phải kiểm tra chịu nộn lệch tõm. Khi không có neo, cũng như khi có neo tại tiết diện ở vị trớ ngàm của chúng, độ lệch tõm không được lớn hơn 0,7y.
Trong mọi trường hợp, cần phải kiểm tra bằng tớnh toỏn tất cả các mối truyền lực (vị trớ ngàm của neo, các dầm neo…).
6.58. Tường chắn mỏi cần tớnh toỏn tại tiết diện thấp nhất theo nộn lệch tõm chịu tải trọng do trọng lượng bản thõn và tải trọng giú tớnh toỏn với hệ số động 1,4. Khi không có neo độ lệch tõm không được lớn hơn 0,7y.
6.59. Những tải trọng làm tăng ổn định của mỏi đua và tường chắn mỏi, được nhõn với hệ số vượt tải bằng 0,9.
Múng và tầng hầm
6.60. Múng, tường tầng hầm được phộp dựng gạch đất sột dẻo nung kĩ, đỏ thiờn nhiờn có quy cách hoặc ở dạng thụ, bờ tụng đỏ hộc, bờ tụng toàn khối cũng như các blốc bờ tụng cỡ lớn và nhỏ lắp ghộp.
Cường độ tớnh toỏn của khối xây múng băng và tường tầng hầm bằng blốc cỡ lớn lấy theo bảng 3.
Khi tớnh toỏn tường tầng hầm hoặc tường múng trong trường hợp mà chiều dày của chúng nhỏ hơn chiều dày của tường xây ở trờn, cần kể thờm độ lệch tõm ngẫu nhiờn c = 4cm, vào độ lệch tõm của lực dọc.
6.61. Chuyển từ một độ sõu đặt múng này đến một độ sõu đặt múng khác cần phải làm bậc. Khi đất chặt tỉ lệ chiều cao và chiều rộng của bậc không vượt quỏ 1:1 và chiều cao của bậc không quỏ 1m. Khi đất không chặt tỉ lệ chiờu cao và chiều rộng của bậc không quỏ 1:2 và chiều cao của các bậc không quỏ 0,5m.
Việc mở rộng múng đỏ hộc và múng bờ tụng đỏ hộc tới đệm múng cũng phải làm bậc. Chiều cao của bậc múng bờ tụng đỏ hộc không nhỏ hơn 30cm, cũn chiều cao của bậc múng đỏ hộc không nhỏ hơn hai hàng xây (35 đến 60cm). Chiều rộng của bậc xỏc định bằng tớnh toỏn sao cho tỉ lệ chiều cao và chiều rộng không nhỏ hơn số liệu ở bảng 28.
Bảng 28 – Tỉ lệ nhỏ nhất giữa chiều cao và chiều rộng của bậc đối với múng bờ tụng đỏ hộc và múng đỏ hộc
Mỏc vữa hoặc bờ tụng | áp lực trờn đất khi tải trọng tớnh toỏn daN/ cm2 (KG/ cm2) | |
s £ 2 | s > 2 | |
Từ 50 đến 100 Từ 10 đến 50 Từ 4 đến 10 | 1,25 1,50 1,75 | 1,50 1,75 2,00 |
Chú thích: Không cần kiểm tra các múng chịu uốn và cắt. | ||
6.62. Trong các múng và tầng hầm :
a) Bảng bờ tụng đỏ hộc, chiều dày tường lấy không nhỏ hơn 33cm và kớch thước tiết diện các cột không nhỏ hơn 40cm.
b) Bằng khỗi xây đỏ hộc, chiều dày tường lấy không nhỏ hơn 50cm và kớch thước tiết diện các cột không dưới 60cm.
6.63. Tớnh toỏn các tường ngoài của tầng hầm phải kể đến áp lực ngang của đất và các tải trọng ở trờn mặt đất. Khi không có các yêu cầu đặc biệt tải trọng tiêu chuẩn trờn mặt đất lấy bằng 1000 daN/ m2 (1000 kg/m2). Tường tầng hầm cần được tớnh toỏn như dầm có gối tựa khớp cố định.
Các yêu cấu cấu tạo đối với khối xây có cốt thép
6.64. Trong các kết cấu gạch đỏ cốt thép, được dựng 4 loại cốt sau:
a) Cốt thép ngang lưới làm bởi các lưới thép, đất trong các mạch ngang của khối xây và được dựng trong các khối xây bằng gạch đặc và rỗng (xem hỡnh 10)
b) Cốt thép dọc làm bằng các khung hàn hoặc các thanh với cốt đai, đặt trong khối xây ở các mạch vữa giữa các viờn gạch trong các khe rónh của khối xây sẽ được nhồi kớn bằng vữa hoặc bờ tụng.
c) Cốt của các kết cấu hỗn hợp bằng bờ tụng cốt thép, bờ tụng sẽ được đổ xen vào khối xây gạch đỏ trong quỏ trình thi công (hỡnh 11)
d) Cốt trong vũng đai bằng thép, bằng bờ tụng cốt thép và bằng vữa cốt thép (hỡnh 12)
Vữa dựng cho kết cấu gạch đỏ có cốt thép và kết cấu hỗn hợp phải là vữa xi măng (không vụi) và phải có mỏc lớn hơn hoặc bằng 50.
6.65. Chỉ cho phộp sử dụng lưới cốt thép đặt trong mạch vữa ngang của khối xây khi mà việc tăng mỏc gạch đỏ và vữa không đảm bảo cường độ cần thiết của khối xây và khi diện tớch tiết diện ngang của cấu kiện không được phộp tăng lờn. Thường được được dựng trong cấu kiện chịu nộn đỳng tõm và lệch tõm bộ với độ mảnh lh £ 15 hoặc li £ 53.
6.66. Cốt thép dọc và lừi bằng bờ tụng cốt thép được dựng:
a)Để chịu các lực kộo trong các cấu kiện chịu uốn, kộo và kộo lệch tõm khi trong các tiết diện xuất hiện các lực kộo vượt quỏ sức chịu kộo tớnh toỏn của khối xây.
b) Trong các cột chịu nộn đỳng tõm và lệch tõm khi độ mảnh lớn (l0 /h ³ 15) với mục đớch tăng cường tớnh ổn định và cường độ cốt.
c) Trong các tường múng và các tường ngõn với mục đớch tăng cường ổn định và cường độ của chúng khi tải trọng ngang tỏc động lờn nú.
d) Trong các tường và cột, chịu chấn động mạnh với mục đớch trỏnh cho khối xây khỏi bị nứt.
6.67. Kết cấu gia cố bằng vũng đai được dựng khi cần tăng tải trọng trờn các kết cấu có sẵn (thớ dụ khi xây cao thờm), cũng như khi khối xây không thật tốt (rạn nứt, không chỉ liờn kết) hoặc khi năng chịu lực của khối xây đó bị giảm.
Cột và mảng tường có thể gia cố bằng đai thép, đai bờ tụng cốt thép hoặc các đai vữa cốt thép (xem hỡnh 12).
Đai thép bằng các thép gúc thẳng đứng đặt trong vữa của các gúc của các cấu kiện cần được gia cố và cốt đai bằng thép bản hàn vào thép gúc. Khoảng cách giữa các đai thép không được lớn hơn cạnh nhỏ của tiết diện và không lớn hơn 50cm. Đai thép phải được bảo vệ bằng lớp trỏt vữa xi măng (không vụi).
Đai bờ tụng cốt thép làm bằng bờ tụng mỏc M100 – M200 và có bề dày 6 – 10 cm. Dựng các thanh thẳng đứng và cốt đai hàn với khoảng cách giữa các thép đai không được quỏ 15cm làm cốt thép trong vành đai.
Đai bằng vữa cốt thép cũng đặt cốt như đai bờ tụng cốt thép, nhưng cốt thép được phủ bằng lớp vữa xi măng (không vụi mỏc 50 – 100) thay cho bờ tụng.
Việc gia cố bằng các vành đai không nên dựng đối với các cấu kiện có độ mảnh lh > 15 hoặc li > 53.
Khi gia cố bằng các vũng đai cho các cột và các mảng tường có tiết diện hỡnh chữ nhật với tỉ lệ các cạnh quỏ 2,5 thỡ ngoài việc gia cố bằng đai theo chu vi, cần phải đặt ở cạnh dài những giằng ngang xuyờn qua khối xây để chia các cấu kiện được gia cố thành các hỡnh chữ nhật với tỉ lệ hai cạnh không quỏ 2,5.
6.68. Lượng cốt thép được kể đến trong tớnh toỏn cột và mảng tường không được nhỏ hơn:
0,1% đối với lưới cốt thép, cũng như đối với cốt thép dọc chịu nộn.
0,05% đối với cốt thép dọc chịu kộo.
6.69. Đường kớnh cốt thép không được nhỏ hơn 3mm, đối với lưới cốt thép và cốt dọc chịu kộo. 8cm - đối với cốt dọc chịu nộn.
Đường kớnh cốt thép trong các mạch vữa ngang của khối xây không được lớn hơn:
6mm – khi cốt thép chồng lờn nhau trong mạch vữa;
8mm – khi cốt thép không chồng lờn nhau trong mạch vữa.
Khoảng cách giữa các thanh của lưới không quỏ 12cm và không dưới 3cm.
Các mạch khối xây của các kết cấu gạch đỏ có cốt thép phải có chiều dày lớn hơn đường kớnh cốt thép ớt nhất là 4mm.
Đầu của cốt thép dọc chịu kộo phải neo vào lớp bờ tụng hoặc vữa bằng cách làm các múc và được hàn vào các thanh ngang hoặc các thanh khác.
6.70. Lưới cốt thép không được đặt thưa quỏ năm hàng gạch xây thụng thường (35cm)
Để kiểm tra việc đặt các lưới thép trong khối xây, các lưới phải được sản xuất và đặt sao cho đầu thanh kiểm tra thũ ra ngoài khối xây chừng 2 đến 3 mm (xem hỡnh 10)
6.71. Lớp bảo vệ bằng vữa xi măng cho các kết cấu gạch đỏ có cốt thép với cốt thép đặt ngoài khối xây (kể từ mộp ngoài của cốt thép chịu lực) phải không nhỏ hơn giỏ trị ở bảng 29.
Bảng 29 – Chiều dày lớp bảo vệ bằng vữa xi măng đối với các kết cấu có cốt thép
Loại kết cấu có cốt thép | Lớp bảo vệ (theo mm) cho các kết cấu được đặt | ||
Trong các phũng có độ ẩm bỡnh thường | Trong các cấu kiện đặt ngoài trời | Trong các phũng ẩm ướt trong các bể chứa trong múng v. v… | |
Dầm và cột Tường | 20 10 | 25 15 | 30 20 |
6.72. Các thép đai trong các cấu kiện có cốt thép dọc phải thỏa món các yêu cầu sau:
a) Đường kớnh thép đai không được nhỏ hơn 3mm và không lớn hơn 6mm
b) Khi bố chớ các đai bờn ngoài khối xây thỡ đai được bảo vệ bằng một lớp vữa ximăng (không vụi ) dày không dưới 1 cm.
c) Khoảng cách giữa các đai trong các cấu kiện chịu nộn không được quỏ 50 cm và không được quỏ:
15 d – khi cốt thép phõn bố bờn ngoài khối xây;
20 d – khi cốt thép phõn bố bờn trong khối xây;
(d - đường kớnh của thanh cốt thép dọc )
Trong các cấu kiện chịu uốn khoảng cách giữa các cốt thép đai không quỏ 3/4 chiều cao của dầm và không quỏ 50 cm.
6.73. Hàm hàm lượng cốt thép trong các tường đặt cốt thép ngang và dọc thẳng đứng được kể đến trong tớnh toỏn không được dưới 0,05% cho từng phương.
Khoảng cách giữa các thanh đứng cũng như giữa các thanh ngang hoặc giữa các cột dọc cũng như các đai không vượt quỏ 8h (h là chiều dày của tường ). Với cốt đai và cột dọc khoảng cách giữa chúng có thể tăng tuỳ theo sự kiểm tra bằng tớnh toỏn cường độ của tấm tường ở phần giữa các đai và cốt dọc.
6.74. Đặt cốt thép trong tường phải tuõn theo các quy định sau:
a) Cốt thép ngang của tường được bố trớ phõn bố ở các mạch của khối xây ;
b) Khi tải trọng một dấu cho phộp chỉ đặt cốt thép ở phớa tường chịu kộo mà không cần đặt cốt thép ở phớa tường chịu nộn (diện tớch cốt thép chịu nộn A,s= 0).
c) Tường có chiều dày lớn hơn 11cm, khi mụ men ngược dấu không lớn lắm cũng cho phộp chỉ đặt cốt thép chịu kộo ở giữa chiều dày tường .
d) Cốt thép thẳng đứng, đặt theo cấu tạo hoặc để chịu kộo bố trớ ở phớa ngoài của tường phải được liờn kết bằng các thép đai với khoảng cách không thưa hơn 80d và không lớn hơn 50cm.
e) Các đầu của các thanh ngang và thẳng đứng cần phải ngàm chặt vào các kết cấu tiếp giáp (tường chớnh, cột, các dầm giằng v.v… ) bằng các neo.
Khe biến dạng
6.75. Khe nhiệt độ và khe co ngút trong tường của các nhà bằng gạch phải được bố trớ ở những vị trớ có khả năng xuất hiện biờn dũng nhiệt và biến dạng co ngút một cách tập trung, vỡ những biến dạng này có thể gõy nên những vết nứt, sự đứt góy khối xây, sự lật và sự trượt của khối xây theo mạch vữa (theo các đầu của thanh cốt thép và bản thép, cũng như ở những chỗ tường bị giảm yếu đỏng kể bởi ụ cửa hoặc ụ lỗ hở) mà theo yêu cầu sử dụng là không cho phộp. Khoảng cách giữa các khe nhiệt độ và khe co ngút cần được xỏc định theo tớnh toỏn. Trong đú các trị số nhiệt độ và độ ẩm tớnh theo tiêu chuẩn kĩ thuật nhiệt xây dựng – kết cấu ngăn che – Tiêu chuẩn thiết kế TCVN 4605 : 1988
6.76. Khi thiết kế nền kết hợp bố trớ khe nhiệt độ và khe co ngút trựng với khe lỳn.
Đối với tường ngoài không có cốt thép, khoảng cách lớn nhất giữa các khe nhiệt độ không cần tớnh toỏn mà lấy theo bảng 30.
Bảng 30 – Khoảng cách lớn nhất giữa các khe nhiệt độ trong tường của các ngôi nhà
Loại khối xây | Khoảng cách |
1. Khối xây bằng gạch đất sột thường gạch gốm, đỏ thiờn nhiờn, các blốc cỡ lớn bằng bờ tụng hay bằng gạch Với mỏc vữa 50 Với mỏc vữa 25 2. Khối xây bằng gạch xilicỏt gạch bờ tụng và các blốc cỡ lớn bằng bờ tụng xilicỏt hay bằng gạch xilicỏt với Mỏc vữa ³ 50 Mỏc vữa £ 25 |
100 120
70 80 |
Chú thích: 1. Đối với công trình bằng gạch đỏ lộ thiờn phải nhõn với hệ số 0,5 2. Đối với tường bằng bờ tụng đỏ hộc lấy giống như đối với khối xây bằng bờ tụng mỏc vữa 50 với hệ số 0,5. 3. Đối với nhà tấm lớn lấy theo chỉ dẫn về thiết kế nhà tấm lớn. | |
6.77. Khe biến dạng trong tường được giằng với bờ tụng cốt thép hoặc kết cấu thép phải trựng với khe biến dạng ở các kết cấu ấy. Khi cần thiết, tuỳ thuộc vào sơ đồ kết cấu của nhà, có thể làm thờm các khe nhiệt độ phụ ở trong khối xây mà không cần làm thờm cho các kết cấu bờ tụng hay kết cấu cốt thép ở những vị trớ ấy.
6.78. Các khe lớn trong tường cần phải được bố trớ ở những nơi có thể xảy ra lỳn không đều của múng nhà và công trình.
6.79. Khi thiết kế khe nhiệt độ và khe lỳn cần có các biện pháp cấu tạo để loại trừ khả năng xờ dịch của khe.
PHỤ LỤC 1
NHỮNG YÊU CẦU ĐỐI VỚI BẢN VẼ THI CÔNG GẠCH ĐỎ VÀ GẠCH ĐỎ CỐT THÉP
Trong các bản vẽ thi công cần chỉ ra:
1. Loại gạch đỏ, vật liệu ốp và bờ tụng dựng cho khối xây cũng như vật liệu để chế tạo panen và blốc cỡ lớn cựng với những chỉ dẫn tương ứng của quy phạm hoặc về điều kiện kĩ thuật và mỏc thiết kế của chúng theo cường độ. Đối với bờ tụng cốt liệu rỗng, bờ tụng tổ ong, bờ tụng xốp cần chỉ rừ độ đặc chắc của vật liệu.
2. Mỏc thiết kế của vữa, loại chất kết dớnh trong các khối xây lắp ghộp cũng như chế tạo panen và blốc cỡ lớn.
3. Loại thép và mỏc thép làm cốt thép và chi tiết chụn sẵn
4. Cấu tạo tường và các mối nối, loại và bề dày lớp cách nhiệt nếu có
5. Những yêu cầu về kiểm tra cường độ gạch vữa đối với kết cấu chịu tải trọng lớn hơn 80% khả năng chịu lực của chúng.
Những kết cấu loại này phải được ghi chú vào trong bản vẽ.
6. Trong trường hợp cần thiết, cần chỉ dẫn trình tự thi công, thiết bị cố định tạm thời và những biện pháp khác để đảm bảo cường độ và ổn định của kết cấu khi xây dựng ; chỉ dẫn về cường độ tối thiểu của vữa (tỉ lệ % so với mỏc thiết kế) để có thể cho khối xây dựng chịu tải.
PHỤ LỤC 2
MỘT SỐ ĐỊNH NGHĨA CỦA CÁC THUẬT NGỮ SỬ DỤNG TRONG TIÊU CHUẨN
I. THUẬT NGỮ
1. Tường tự chịu lực: là tường, tường ngăn chịu tải trọng bản thõn và trọng lượng tường các tầng và tải trọng giú.
2. Tường không chịu lực (bao gồm cả tường treo): là tường chỉ chịu tải trọng do trọng lượng bản thõn và tải trọng giú trong phạm vi một tầng khi chiều cao tầng không quỏ 6m, khi chiều cao tầng lớn hơn thỡ tường đú thuộc loại tường chịu lực.
3. Vỏch ngăn: là tường ngăn chỉ chịu tải trọng do trọng lượng bản thõn và tải trọng giú (nếu có) trong phạm vi một tầng và khi chiều cao tầng không quỏ 6m, khi chiều cao tầng lớn hơn thỡ tường đú thuộc loại tường chịu lực.
4. Sàn và mỏi bờ tụng cốt thép lắp ghộp toàn khối hoỏ: là loại sàn và mỏi được lắp ghộp bằng các tấm sau đú được tăng cường bằng cách hàn cốt thép với nhau và đặt thờm cột phụ vào các kẽ nối của các tấm rồi đổ bờ tụng lấp kớn.
II. CÁC KỚ HIỆU CƠ BẢN
Ký hiệu | Giải thích | Cách xỏc định |
1 | 2 | 3 |
M N Q Ncb
T Ns R, Rr
Rk, Rku Rc, Rkc Rt, R't Rtc
Rtb’, Rttb
Rcb Rtk
Rtku Rb, Rbc Rhh Rtr Rtt | Mụ men uốn Lực dọc nộn hoặc kộo Lực cắt Lực nộn cục bộ Các nội lực có thể xỏc định theo tải trọng tải tớnh toỏn hoặc tải trọng tiêu chuẩn tuỳ thuộc vào trường hợp kiểm tra Lực cắt dựng để tớnh toỏn lanh tụ Lực dựng để tớnh toỏn về neo Cường độ chịu nộn tớnh toỏn của khối xây gạch thụng thường và của khối xây gạch nung Cường độ chịu kộo, chịu kộo khi uốn, chịu cắt và ứng suất kộo chớnh khi uốn của khối xây không có cốt thép Cường độ tớnh toỏn về kộo và nộn của cốt thép trong khối xây Cường độ chịu nộn tiêu chuẩn của cốt thép trong khối xây có cốt thép Cường độ chịu nộn trung bỡnh của khối xây không có cốt thép và có cốt thép Cường độ tớnh toỏn của khối xây về nộn cục bộ Cường độ tớnh toỏn của khối xây có lưới cốt thép và nộn đỳng tõm Cũng như trờn nhưng về nộn lệch tõm Cường độ chịu nộn tớnh toỏn và tiêu chuẩn của bờ tụng Cường độ chịu nộn tớnh toỏn của vật liệu Cường độ tớnh toỏn về trượt của khối xây không có cốt thép Cũng như trờn nhưng với khối xây có cốt thép | Theo tớnh toỏn về tĩnh học kết cấu
Theo điều 6.14 Theo điều 6.33. Theo điều 3.1 và các bảng 1 – 8 Theo điều 3.8 và các bảng 9 –11 Theo điều 3.9 và 4.29 Theo điều 3.10 Theo điều 3.10
Theo điều 4.14 Theo điều 4.21
Theo điều 4.22 Theo điều 4.29 Theo điều 4.29 Theo điều 6.12 Theo điều 6.13 |
A Akx Acb Ant Abr An At A,t Atn Att Atd Alt Ab Abn Akn | Diện tớch tiết diện cấu kiện Diện tớch khối xây Diện tớch phần chịu nộn cục bộ Diện tớch tiết diện đó trừ phần giảm yếu Diện tớch tiết diện toàn phần Diện tớch phần chịu nộn của tiết diện Diện tớch cốt thép dọc nằm ở miền chịu kộo hoặc chịu nộn ớt hơn Diện tớch cốt thép dọc nằm ở miền chịu nộn Tổng diện tớch cốt thép dọc chịu nộn Diện tớch tiết diện thanh thép Diện tớch tiết diện cốt đai hoặc bản thép đai Diện tớch tiết diện ngang của lanh tụ Diện tớch phần bờ tụng trong kết cấu hỗn hợp Diện tớch miền chịu nộn của bờ tụng và của khối xây | Tớnh toỏn theo các kớch thước đó có
Theo điều 4.7
Theo điều 4.31
|
E0E G E0hh | Mụ đun đàn hồi và mụ đun biến dạng của khối xây Mụ đun chống trượt của khối xây Mụ đun đàn hồi của kết cấu hỗn hợp | Theo điều 3.12 Theo điều 3.1 Theo điều 4.2 |
gt
a,at
n at m
md
j,j1
w, h
ợ,ợ1 mt
jh.h gkx, gb
gn
| Hệ số điều kiện làm việc của cốt thép
Đặc trưng đàn hồi của khối xây không có cốt thép và có cốt thép Hệ số xét đến ảnh hưởng của từ biến khi tớnh biến dạng Hệ số nở dài của khối xây Hệ số ma sỏt Hệ số xét đến ảnh hưởng của từ biến khi tớnh toỏn theo cường độ Hệ số uốn dọc dựng trong cấu kiện chịu nộn đỳng tõm và lệch tõm Hệ số dựng trong tớnh toỏn cấu kiện chịu nộn lệch tõm Hệ số dựng để tớnh Rcb Hàm lượng cốt thép trong khối xây có cốt thép
Hệ số uốn dọc dựng trong cấu hỗn hợp Hệ số điều kiện làm việc của khối xây của bờ tụng dựng trong kết cấu được gia cố bằng đai Hệ số điều kiện làmviệc của khối xây dựng khi tớnh toỏn theo sự mở rộng khe nứt. | Theo điều 3.9 và bảng 12 Theo điều 3.11 và bảng14 Theo điều 3.13 Theo điều 3.18 Theo điều 3.19 Theo điều 4.1
Theo điều 4.2và 4.7 Theo điều 4.7 Theo điều 4.14 Theo điều 3.10 và 4.21 Theo điều 4.29 Theo điều 4.35
Theo điều 4.53 |
Bạn chưa Đăng nhập thành viên.
Đây là tiện ích dành cho tài khoản thành viên. Vui lòng Đăng nhập để xem chi tiết. Nếu chưa có tài khoản, vui lòng Đăng ký tại đây!


