- Tổng quan
- Nội dung
- VB gốc
- Tiếng Anh
- Hiệu lực
- VB liên quan
- Lược đồ
-
Nội dung hợp nhất
Tính năng này chỉ có tại LuatVietnam.vn. Nội dung hợp nhất tổng hợp lại tất cả các quy định còn hiệu lực của văn bản gốc và các văn bản sửa đổi, bổ sung, đính chính... trên một trang. Việc hợp nhất văn bản gốc và những văn bản, Thông tư, Nghị định hướng dẫn khác không làm thay đổi thứ tự điều khoản, nội dung.
Khách hàng chỉ cần xem Nội dung hợp nhất là có thể nắm bắt toàn bộ quy định hiện hành đang áp dụng, cho dù văn bản gốc đã qua nhiều lần chỉnh sửa, bổ sung.
- Tải về
Thông tư 09/2021/TT-BTTTT Thiết bị Ra đa hoạt động trong băng tần từ 76 GHz đến 77 GHz dùng cho phương tiện vận tải trên mặt đất
| Cơ quan ban hành: | Bộ Thông tin và Truyền thông |
Số công báo:
Số công báo là mã số ấn phẩm được đăng chính thức trên ấn phẩm thông tin của Nhà nước. Mã số này do Chính phủ thống nhất quản lý.
|
Đã biết
|
| Số hiệu: | 09/2021/TT-BTTTT | Ngày đăng công báo: |
Đã biết
|
| Loại văn bản: | Thông tư | Người ký: | Nguyễn Mạnh Hùng |
|
Ngày ban hành:
Ngày ban hành là ngày, tháng, năm văn bản được thông qua hoặc ký ban hành.
|
20/10/2021 |
Ngày hết hiệu lực:
Ngày hết hiệu lực là ngày, tháng, năm văn bản chính thức không còn hiệu lực (áp dụng).
|
Đang cập nhật |
|
Áp dụng:
Ngày áp dụng là ngày, tháng, năm văn bản chính thức có hiệu lực (áp dụng).
|
Đã biết
|
Tình trạng hiệu lực:
Cho biết trạng thái hiệu lực của văn bản đang tra cứu: Chưa áp dụng, Còn hiệu lực, Hết hiệu lực, Hết hiệu lực 1 phần; Đã sửa đổi, Đính chính hay Không còn phù hợp,...
|
Đã biết
|
| Lĩnh vực: | Thông tin-Truyền thông |
TÓM TẮT THÔNG TƯ 09/2021/TT-BTTTT
Ngày 20/10/2021, Bộ Thông tin và Truyền thông đã ra Thông tư 09/2021/TT-BTTTT về việc ban hành "Quy chuẩn kỹ thuật quốc gia về thiết bị ra đa hoạt động trong dải tần 76 GHz đến 77 GHz dùng cho phương tiện vận tải mặt đất".
Theo đó, thông tin về thiết bị sau có thể cần thiết để thực hiện các phép đo và phải được nhà sản xuất cung cấp như: Các điều kiện môi trường và tiêu chuẩn hài hòa có liên quan; Điện áp định danh cung cấp cho thiết bị vô tuyến độc lập; Loại công nghệ, điều chế được dùng cho thiết bị; Chế độ nguồn cao và thấp; Chu kỳ công suất của thiết bị; Dải tần số hoạt động của thiết bị; Phân cực ăng ten;…
Bên cạnh đó, phép đo phải được thực hiện trong điều kiện đo kiểm bình thường; đối với một số yêu cầu, có thể cần phải sử dụng phép đo trong các điều kiện khắc nghiệt. Các điều kiện nhiệt độ và độ ẩm bình thường cho việc đo kiểm phải là sự kết hợp phù hợp giữa nhiệt độ và độ ẩm trong phạm vi sau: Nhiệt độ + 15oC đến + 35oC; Độ ẩm tương đối là 20% đến 75%.
Thông tư có hiệu lực từ ngày 01/7/2022.
Xem chi tiết Thông tư 09/2021/TT-BTTTT có hiệu lực kể từ ngày 01/07/2022
Tải Thông tư 09/2021/TT-BTTTT
|
BỘ THÔNG TIN VÀ TRUYỀN THÔNG ___________ Số: 09/2021/TT-BTTTT |
CỘNG HÒA XÃ HỘI CHỦ NGHĨA VIỆT NAM Độc lập - Tự do - Hạnh phúc ________________________ Hà Nội, ngày 20 tháng 10 năm 2021 |
THÔNG TƯ
Ban hành “Quy chuẩn kỹ thuật quốc gia về thiết bị ra đa hoạt động trong dải tần 76 GHz đến 77 GHz dùng cho phương tiện vận tải mặt đất”
_______________
Căn cứ Luật Tiêu chuẩn và Quy chuẩn kỹ thuật ngày 29 tháng 6 năm 2006;
Căn cứ Luật Viễn thông ngày 23 tháng 11 năm 2009;
Căn cứ Luật Tần số vô tuyến điện ngày 23 tháng 11 năm 2009;
Căn cứ Nghị định số 127/2007/NĐ-CP ngày 01 tháng 8 năm 2007 của Chính phủ quy định chi tiết và hướng dẫn thi hành một số điều của Luật Tiêu chuẩn và Quy chuẩn kỹ thuật;
Căn cứ Nghị định số 78/2018/NĐ-CP ngày 16 tháng 5 năm 2018 của Chính phủ sửa đổi, bổ sung một số điều của Nghị định số 127/2007/NĐ-CP ngày 01 tháng 8 năm 2007 của Chính phủ quy định chi tiết thi hành một số điều Luật Tiêu chuẩn và Quy chuẩn kỹ thuật;
Căn cứ Nghị định số 17/2017/NĐ-CP ngày 17 tháng 02 năm 2017 của Chính phủ quy định chức năng, nhiệm vụ, quyền hạn và cơ cấu tổ chức của Bộ Thông tin và Truyền thông;
Theo đề nghị của Vụ trưởng Vụ Khoa học và Công nghệ,
Bộ trưởng Bộ Thông tin và Truyền thông ban hành Thông tư quy định Quy chuẩn kỹ thuật quốc gia về thiết bị ra đa hoạt động trong dải tần 76 GHz đến 77 GHz dùng cho phương tiện vận tải mặt đất.
Điều 1. Ban hành kèm theo Thông tư này Quy chuẩn kỹ thuật quốc gia về thiết bị ra đa hoạt động trong dải tần 76 GHz đến 77 GHz dùng cho phương tiện vận tải mặt đất (QCVN 124:2021/BTTTT).
Điều 2. Thông tư này có hiệu lực thi hành kể từ ngày 01 tháng 7 năm 2022.
Điều 3. Chánh Văn phòng, Vụ trưởng Vụ Khoa học và Công nghệ, Thủ trưởng các cơ quan, đơn vị thuộc Bộ Thông tin và Truyền thông, Giám đốc Sở Thông tin và Truyền thông các tỉnh, thành phố trực thuộc Trung ương và các tổ chức, cá nhân có liên quan chịu trách nhiệm thi hành Thông tư này./.
|
Nơi nhận: - Thủ tướng Chính phủ, các Phó Thủ tướng Chính phủ (để b/c); - Các Bộ, cơ quan ngang Bộ, cơ quan thuộc Chính phủ; - HĐND, UBND các tỉnh, thành phố trực thuộc TW; - Văn phòng TW Đảng và các Ban của Đảng; - Văn phòng Quốc hội; - Văn phòng Chủ tịch nước; - Tòa án Nhân dân tối cao; - Viện Kiểm sát Nhân dân tối cao; - Sở TTTT các tỉnh, thành phố trực thuộc TW; - Cục Kiểm tra văn bản QPPL (Bộ Tư pháp); - Công báo, Cổng Thông tin điện tử Chính phủ; - Bộ TTTT: Bộ trưởng và các Thứ trưởng, các cơ quan, thuộc Bộ, Cổng thông tin điện tử của Bộ; - Lưu: VT, KHCN (250) |
BỘ TRƯỞNG
Nguyễn Mạnh Hùng |

CỘNG HÒA XÃ HỘI CHỦ NGHĨA VIỆT NAM
QCVN 124:2021/BTTTT
QUY CHUẨN KỸ THUẬT QUỐC GIAVỀ THIẾT BI RA ĐA HOẠT ĐỘNG TRONG DẢI TẦN76 GHz ĐẾN 77 GHz DÙNG CHO PHƯƠNG TIỆNVẬN TẢI MẶT ĐẤT
National technical regulation on Radar equipment operating in the frequency range 76 GHz to 77 GHz for ground based vehicle
HÀ NỘI - 2021
Mục lục
1. QUY ĐỊNH CHUNG
1.1. Phạm vi điều chỉnh
1.2. Đối tượng áp dụng
1.3. Tài liệu viện dẫn
1.4. Giải thích từ ngữ
1.5. Ký hiệu
1.6. Chữ viết tắt
2. QUY ĐỊNH KỸ THUẬT
2.1. Điều kiện môi trường
2.2. Quy định chung
2.3. Các yêu cầu cho máy phát
2.3.1. Dải tần số hoạt động
2.3.2. Công suất trung bình
2.3.3. Công suất đỉnh
2.3.4. Phát xạ không mong muốn trong miền ngoài băng
2.3.5. Phát xạ không mong muốn trong miền giả
2.4. Các yêu cầu cho máy thu
2.4.1. Phát xạ giả máy thu
2.4.2. Tín hiệu trong băng, ngoài băng, điều khiển từ xa của máy thu
3. PHƯƠNG PHÁP ĐO
3.1. Đo kiểm cho máy phát
3.1.1. Dải tần số hoạt động
3.1.2. Công suất trung bình
3.1.3. Công suất đỉnh
3.1.4. Phát xạ không mong muốn trong miền ngoài băng
3.1.5. Phát xạ không mong muốn trong miền giả
3.2. Đo kiểm cho máy thu
3.2.1. Phát xạ giả máy thu
3.2.2. Tín hiệu trong băng, ngoài băng, điều khiển từ xa của máy thu
4. QUY ĐỊNH VỀ QUẢN LÝ
5. TRÁCH NHIỆM CỦA TỔ CHỨC, CÁ NHÂN
6. TỔ CHỨC THỰC HIỆN
Phụ lục A (Quy định) Điều kiện chung
Phụ lục B (Quy định) Thiết lập bài đo và quy trình đo
Phụ lục C (Quy định) Những khu vực đo kiểm và cách bố trí chung cho các phép đo liên quan đến việc sử dụng các trường bức xạ
Phụ lục D (Quy định) Phương pháp đo kiểm tiêu chuẩn
Phụ lục E (Quy định ) Tính toán đường truyền Rx
Phụ lục F (Quy định) Máy thu đo
Phụ lục G (Quy định) Mã HS của thiết bị ra đa hoạt động trong dải tần 76 GHz đến77 GHz dùng cho phương tiện vận tải mặt đất
Thư mục tài liệu tham khảo
Lời nói đầu
QCVN 124:2021/BTTTT do Cục Viễn thông biên soạn, Vụ Khoa học và Công nghệ trình duyệt, Bộ Khoa học và Công nghệ thẩm định, Bộ trưởng Bộ Thông tin và Truyền thông ban hành kèm theo Thông tư số 09/2021/TT-BTTTT ngày 20 tháng 10 năm 2021.
QUY CHUẨN KỸ THUẬT QUỐC GIA VỀ THIẾT BỊ RA ĐA HOẠT ĐỘNG TRONG DẢI TẦN 76 GHz ĐẾN 77 GHz DÙNG CHO PHƯƠNG TIỆN VẬN TẢI MẶT ĐẤT
National technical regulation on Radar equipment operating in the frequency range 76 GHz to 77 GHz for ground based vehicle
1. QUYĐỊNH CHUNG
1.1. Phạm vi điều chỉnh
Quy chuẩn này quy định chi tiết các đặc tính kỹ thuật và phương pháp đo kiểm cho thiết bị ra đa sử dụng ăng ten tích hợp hoạt động trong dải tần từ 76 GHz đến 77 GHz dùng cho phương tiện vận tải mặt đất. Quy chuẩn này áp dụng cho thiết bị phát và thu-phát tích hợp.
Quy chuẩn này cũng quy định các yêu cầu đối với thiết bị vô tuyến cự ly ngắn dùng cho phương tiện vận tải mặt đất, ví dụ: Hệ thống điều khiển hành trình chủ động, hệ thống cảnh báo va chạm, hệ thống phát hiện điểm mù, hỗ trợ đỗ xe, hỗ trợ dự phòng và các ứng dụng khác trong tương lai.
Quy chuẩn này không quy định tất cả các đặc tính có thể được yêu cầu bởi người dùng, và quy chuẩn cũng không thể hiện đầy đủ hiệu suất tối ưu mà thiết bị có thể đạt được.
Trong trường hợp có sự khác biệt (ví dụ liên quan đến các điều kiện đặc biệt, định nghĩa, viết tắt) giữa quy chuẩn này và quy chuẩn khác, các quy định trong quy chuẩn này được ưu tiên áp dụng.
Các loại thiết bị ra đa này có khả năng hoạt động ở tất cả hoặc một phần của dải tần số được đưa ra trong Bảng 1.
Bảng 1 - Dải tần số hoạt động của thiết bị
|
Dải tần số hoạt động |
|
|
Phát |
76 GHz đến 77 GHz |
|
Thu |
76 GHz đến 77 GHz |
Mã số HS của thiết bị ra đa hoạt động trong dải tần 76 GHz đến 77 GHz dùng cho phương tiện vận tải mặt đất áp dụng theo Phụ lục G.
1.2. Đối tượng áp dụng
Quy chuẩn này được áp dụng cho các tổ chức, cá nhân Việt Nam và nước ngoài có hoạt động sản xuất, kinh doanh các thiết bị thuộc phạm vi điều chỉnh của quy chuẩn này trên lãnh thổ Việt Nam.
1.3. Tài liệu viện dẫn
CEPT/ERC Recommendation 70-03: "Relating to the use of Short Range Devices (SRD)"
EC Decision 2013/752/EU: "Commission implementing Decision of 11 December 2013 amending Decision 2006/771/EC on harmonisation of the radio spectrum for use by short-range devices and repealing Decision 2005/928/EC".
CEPT/ERC/REC 74-01: "Unwanted emissions in the spurious domain".
CISPR 16-1-1 (2006), CISPR 16-1-4 (2010) and CISPR 16-1-5 (2014): "Specification for radio disturbance and immunity measuring apparatus and methods; Part 1: Radio disturbance and immunity measuring apparatus".
ETSI TR 100 028 (V1.4.1) (all parts): "Electromagnetic compatibility and Radio Spectrum Matters (ERM); Uncertainties in the measurement of mobile radio equipment characteristics".
ETSI TR 102 273 (V1.2.1) (all parts): "Electromagnetic compatibility and Radio Spectrum Matters (ERM); Improvement on Radiated Methods of Measurement (using test site) and evaluation of the corresponding measurement uncertainties".
Recommendation ITU-R SM.329-12 (2012): "Unwanted emissions in the spurious domain".
Recommendation ITU-R SM.328-11 (2006): "Spectra and Bandwidth of Emissions".
1.4. Giải thích từ ngữ
1.4.1. Chu kỳ ăng ten (antenna cycle)
Chu kỳ ăng ten là một lần quét hoàn thành của chùm tia theo không gian cho trước của một ăng ten quét bằng cơ hoặc điện.
1.4.2. Hệ số phụ tải ăng ten quét (antenna scan duty factor)
Hệ số phụ tải ăng ten quét là tỷ lệ góc cố định của chùm tia ăng ten (được đo tại điểm 3 dB) so với tổng góc cố định được quét bởi ăng ten.
1.4.3. Thời gian trung bình (averaging time)
Thời gian trung bình là khoảng thời gian đã được cài đặt sẵn cho phép đo trung bình.
1.4.4. Hướng trục ăng ten (boresight)
Hướng trục ăng ten là hướng đạt được độ lợi tối đa của một ăng ten định hướng.
CHÚ THÍCH: EUT có thể có các hướng trục khác nhau đối với các ăng ten phát và ăng ten thu.
1.4.5. Máy thu cùng vị trí (co-located receiver)
Máy thu cùng vị trí là máy thu được đặt trong cùng một hộp thiết bị với máy phát.
1.4.6. Chu kỳ thời gian (cycle time)
Chu kỳ thời gian là độ dài thời gian giữa các mô hình truyền định kỳ của hệ thống.
CHÚ THÍCH: Trong trường hợp mô hình ngẫu nhiên, giá trị sử dụng mặc định là 1 phút.
1.4.7. Chu kỳ hoạt động (duty cycle)
Chu kỳ hoạt động được tính bằng công thức: Σ(Ton)/t_o. Trong đó: Ton là thời gian ON của một lần truyền và t_o là khoảng thời gian quan sát. Ton được đo trong một băng thông quan sát (BW_o).
1.4.8. Thiết bị cần đo kiểm (Equipment Under Test (EUT))
Thiết bị cần đo kiểm là thiết bị ra đa cảm biến bao gồm ăng ten tích hợp cùng với bất kỳ thành phần ăng ten bên ngoài nào có ảnh hưởng hoặc ảnh hưởng đến hiệu suất của nó.
1.4.9. Công suất bức xạ đẳng hướng tương đương (equivalent isotropically radiated power (e.i.r.p.))
Công suất bức xạ đẳng hướng tương đương là thành phần của công suất đưa tới ăng ten và độ lợi của ăng ten theo một hướng nhất định so với ăng ten đẳng hướng (độc lập hoặc đẳng hướng).
CHÚ THÍCH: e.i.r.p. có thể được sử dụng cho công suất đỉnh hoặc công suất trung bình và mật độ phổ công suất đỉnh hoặc mật độ phổ công suất trung bình. Nếu không có chú thích khác, e.i.r.p. đề cập đến công suất trung bình.
1.4.10. Đo trường xa (far field measurement)
Đo trường xa là phép đo ở khoảng cách từ ăng ten đủ để đảm bảo rằng từ trường điện gần đúng với sóng phẳng.
1.4.11. Thời gian chiếu xạ (illumination time)
Thời gian chiếu xạ (đối với thiết bị có ăng ten quét) là thời gian mà một điểm nhất định trong trường xa nằm trong phạm vi chùm chính của ăng ten.
1.4.12. Công suất lớn nhất (maximum power)
Công suất lớn nhất là công suất trung bình lớn nhất liên quan đến góc phương vị và góc ngẩng (thường được đo ở hướng trục của ăng ten).
1.4.13. Công suất trung bình (mean power)
Công suất trung bình là công suất trong một khoảng thời gian đủ dài so với tần số thấp nhất nằm trong đường bao điều chế.
CHÚ THÍCH: Đối với các hệ thống xung, công suất trung bình bằng công suất đường bao đỉnh (xem Quy định vô tuyến của ITU [i.2], RR 1.157) nhân với hệ số phụ tải. Đối với hệ thống CW mà không có thời gian ngắt, công suất trung bình bằng công suất truyền mà không cần điều chế.
1.4.14. Tần số hoạt động (tần số trung tâm) (operating frequency (operating centre frequency))
Tần số hoạt động là tần số danh định hoạt động của thiết bị.
CHÚ THÍCH: Thiết bị có thể hoạt động tại một hoặc nhiều tần số khác nhau.
1.4.15. Dải tần số hoạt động (operating frequency range)
Dải tần số hoạt động là dải mà thiết bị có thể được điều chỉnh thông qua chuyển mạch hoặc lập trình lại hoặc điều chỉnh dao động.
CHÚ THÍCH 1: Đối với các hệ thống dùng xung hoặc dịch pha mà không có sóng mang điều chỉnh thêm, dải tần số hoạt động được cố định trên một đường truyền duy nhất.
CHÚ THÍCH 2: Đối với các hệ thống điều chế tần số tương tự hoặc rời rạc (FSK, FMCW), dải tần số hoạt động bao gồm dải từ tần số nhỏ nhất tới tần số cao nhất được điều chỉnh trên tất cả tần số sóng mang của thiết bị.
1.4.16. Công suất đỉnh (peak power)
Công suất đỉnh là công suất tức thời cao nhất của EUT.
1.4.17. Dải tần cho phép (permitted frequency range)
Dải tần cho phép là các dải tần số trong đó thiết bị được phép hoạt động.
1.4.18. Đường bao công suất (power envelope)
Đường bao công suất là công suất được cấp tới ăng ten của máy phát trong suốt quá trình truyền sóng, được lấy tại đỉnh của đường bao điều chế dưới điều kiện hoạt động bình thường.
1.4.19. Mật độ phổ công suất (power spectral density)
Mật độ phổ công suất là tỷ lệ công suất trên băng thông đo vô tuyến sử dụng.
1.4.20. Ra đa xung (pulse radar)
Ra đa xung là ra đa xác định khoảng cách (phạm vi) dựa theo thời gian truyền của các ra đa xung ngắn và chúng không được điều chế tần số.
1.4.21. Mặt cắt ngang ra đa (Radar Cross Section (RCS))
Mặt cắt ngang ra đa là diện tích mặt cắt ngang của một quả cầu phản xạ sẽ tạo ra cường độ phản xạ tới đối tượng được chiếu đến.
1.4.22. Ăng ten quét (có thể điều khiển) (scanning (steerable) antenna)
Ăng ten quét là ăng ten định hướng có thể di chuyển chùm tia của nó dọc theo đường không gian được xác định trước.
CHÚ THÍCH: Quét có thể được thực hiện bằng các phương tiện cơ học, điện tử hoặc kết hợp. Độ rộng dải ăng ten có thể không đổi hoặc thay đổi theo góc lái, phụ thuộc vào phương pháp lái.
1.4.23. Hài bậc 2 (thứ 2) (second (2nd) harmonic)
Hài bậc 2 là hài có tần số tương ứng gấp đôi tần số cơ bản (ví dụ: 48 GHz cho thiết bị 24 GHz).
1.4.24. Phương tiện vận tải mặt đất (ground based vehicle)
Phương tiện vận tải mặt đất bao gồm nhưng không giới hạn ở xe chở khách, xe buýt, xe tải, phương tiện đường sắt, xe điện, tàu thuyền, phương tiện xây dựng và máy bay khi chờ bay.
1.4.25. Băng thông chiếm dụng (occupied bandwidth)
Băng thông chiếm dụng là độ rộng của băng tần số mà công suất trung bình được phát xạ tại các tần số thấp hơn cận dưới và cao hơn cận trên của băng tần đó bằng số phần trăm cho trước β/2 của tổng công suất trung bình của phát xạ đó.
Nếu không có quy định khác kèm theo, giá trị β/2 được chọn là 0,5 %.
1.4.26. Ăng ten tích hợp (integral antenna)
Ăng ten tích hợp là ăng ten được thiết kế nối với thiết bị mà không sử dụng đầu nối tiêu chuẩn và được coi như một phần của thiết bị.
1.5. Ký hiệu
|
λ |
Bước sóng |
|
|
B |
Băng thông (xung) |
|
|
d |
Đường kính lớn nhất của khẩu độ ăng ten |
|
|
dB |
Đềxiben |
|
|
dFF |
Khoảng cách trường xa |
|
|
D |
Hệ số phụ tải ăng ten quét |
|
|
E |
Cường độ điện trường |
|
|
fc |
Tần số sóng mang |
|
|
fH |
Tần số cao nhất |
|
|
fL |
Tần số thấp nhất |
|
|
F |
Băng thông tần số cho phép |
|
|
F1 |
Biên thấp giữa miền OOB và miền giả |
|
|
F2 |
Biên cao giữa miền OOB và miền giả |
|
|
BW_o |
Băng thông quan sát |
|
|
PCORR |
Công suất đo được hiệu chỉnh liên quan đến RBW |
|
|
Pmeasured |
Công suất đo được |
|
|
RBW |
Băng thông phân giải |
|
|
RBWref |
Băng thông phân giải tham chiếu |
|
|
RBWmeasuredBăng thông phân giải được sử dụng cho các phép đo |
||
|
t_o |
Thời gian quan sát |
|
|
1.6. Chữ viết tắt |
|
|
|
AC |
Alternating Current |
Dòng xoay chiều |
|
BW |
Bandwidth |
Băng thông |
|
CEPT |
European Conference of Postal and Telecommunications administrations |
Hiệp hội các nhà quản lý bưu chính và viễn thông châu Âu |
|
CISPR |
Comité International Special des Perturbations Radioélectriques |
Ủy ban quốc tế đặc biệt về nhiễu vô tuyến điện |
|
CW |
Continuous Wave |
Sóng liên tục |
|
DC |
Direct Current |
Dòng một chiều |
|
e.i.r.p. |
equivalent isotropically radiated power |
Công suất bức xạ đẳng hướng tương đương |
|
e.r.p. |
equivalent radiated power |
Công suất bức xạ tương đương |
|
EC |
European Commission |
Ủy ban châu Âu |
|
ECC |
Electronic Communications Committee |
Ủy ban điện tử viễn thông |
|
EMC |
Electro Magnetic Compatibility |
Tương thích điện từ trường |
|
ERC |
European Radiocommunication Committee |
Ủy ban vô tuyến châu Âu |
|
EUT |
Equipment Under Test |
Thiết bị cần đo kiểm |
|
FFT |
Fast Fourier Transform |
Biến đổi Fourier nhanh |
|
FMCW |
Frequency Modulation Continuous Wave |
Điều chế tần số sóng liên tục |
|
FSK |
Frequency Shift Keying |
Khóa dịch tần |
|
IF |
Intermediate Frequency |
Tần số trung tần |
|
LNA |
Low Noise Amplifier |
Bộ khuếch đại nhiễu thấp |
|
OBW |
Occupied Bandwidth |
Băng thông chiếm dụng |
|
OOB |
Out-Of-Band |
Ngoài băng |
|
PSD |
Power Spectral Density |
Mật độ phổ công suất |
|
RBW |
Resolution Bandwidth |
Băng thông phân giải |
|
RCS |
Radar Cross Section |
Mặt cắt ngang ra đa |
|
RE-D |
Radio Equipment Directive |
Chỉ thị về thiết bị vô tuyến tại EU |
|
RF |
Radio Frequency |
Tần số vô tuyến |
|
RMS |
Root Mean Square |
Giá trị hiệu dụng |
|
RR |
ITU-R Radio Regulations |
Tiêu chuẩn vô tuyến ITU-R |
|
Rx |
Receiver (Receive) |
Máy thu |
|
SNR |
Signal to Noise Ratio |
Tỷ lệ tín hiệu trên nhiễu |
|
SRD |
Short Range Device |
Thiết bị vô tuyến cự ly ngắn |
|
Tx |
Transmitter |
Máy phát |
|
VBW |
Video Bandwidth |
Băng thông video |
|
VSWR |
Voltage standing Wave Ratio |
Tỷ lệ sóng đứng theo điện áp |
2. QUY ĐỊNH KỸ THUẬT
2.1. Điều kiện môi trường
Các yêu cầu kỹ thuật trong quy chuẩn này áp dụng để vận hành thiết bị trong các điều kiện môi trường theo công bố của nhà sản xuất.
Thiết bị phải tuân thủ tất cả các yêu cầu kỹ thuật của quy chuẩn này trong suốt thời gian hoạt động trong giới hạn biên độ của điều kiện môi trường đã được công bố.
Các điều kiện đo kiểm bình thường và khắc nghiệt được xác định trong A.4.3 và A.4.4 của Phụ lục A.
2.2. Quy định chung
2.2.1. Thông tin chung
Trong phần này, đưa ra các xem xét chung cho việc đo kiểm ra đa dùng cho các ứng dụng phương tiện vận tải mặt đất trong dải tần 76 GHz - 77 GHz.
Các bài đo bao gồm đo cho các thiết bị phát và các thiết bị thu-phát tích hợp.
Tất cả các băng tần hoạt động của thiết bị (xem 2.3.1) phải được nhà sản xuất thiết bị công bố.
Khi thiết bị có nhiều băng thông hoạt động, phải chọn đủ số lượng băng thông hoạt động để đo kiểm, bao gồm các giới hạn thấp hơn và cao hơn của tần số hoạt động, băng thông tối thiểu và tối đa.
EUT với ăng ten quét/điều khiển là EUT có giản đồ hướng tính ăng ten phát có thể điều chỉnh bằng điện hoặc bằng cơ.
2.2.2. Tiêu chí hiệu suất mong muốn
Tiêu chí hiệu suất mong muốn là khi chỉ ra được các thuộc tính của EUT với mục tiêu nhất định ở một khoảng cách nhất định. Kiểu EUT được xem xét ở đây thường được điều chỉnh cho các ứng dụng cụ thể nên không có tiêu chí hiệu suất mong muốn riêng lẻ nào có thể được xác định ở đây.
Do đó:
• Các thuộc tính có liên quan (ví dụ: sự hiện diện, phạm vi, tốc độ tương đối, góc phương vị) sẽ được công bố bởi nhà sản xuất;
•Kiểu loại và RCS của mục tiêu và khoảng cách sẽ được công bố bởi nhà sản xuất.
2.2.3. Ăng ten cố định và ăng ten quét
Áp dụng theo các quy định A.3.5 của Phụ lục A.
2.3. Các yêu cầu cho máy phát
Các yêu cầu dưới đây áp dụng cho tất cả EUT.
2.3.1. Dải tần số hoạt động
2.3.1.1. Định nghĩa
Là dải tần số phát của thiết bị. Dải tần số hoạt động của thiết bị được xác định bởi tần số thấp nhất (fL) và tần số cao nhất (FH) khi được bao bởi đường bao công suất.
2.3.1.2. Giới hạn
Giới hạn trên và giới hạn dưới của dải tần số hoạt động phải đáp ứng các điều kiện sau:
• Fh ≤77GHz.
• fL≥ 76 GHz.
2.3.1.3. Phương pháp đo kiểm
Phương pháp đo được quy định tại 3.1.1.
2.3.2. Công suất trung bình
2.3.2.1. Định nghĩa
Công suất e.i.r.p. trung bình của EUT, tại một tần số cụ thể là kết quả của công suất trung bình được cấp tới ăng ten nhân với độ lợi của ăng ten theo một hướng nhất định so với ăng ten đẳng hướng, được đo trong các điều kiện cụ thể.
Công suất e.i.r.p. trung bình lớn nhất là công suất bức xạ trung bình ở mức lớn nhất (thường là theo hướng đạt được độ lợi tối đa của ăng ten) trong các điều kiện đo cụ thể.
Công suất này sẽ được đo trong các dải tần số hoạt động (xem 2.3.1). Giá trị được tính theo đơn vị dBm.
2.3.2.2. Giới hạn
Công suất trung bình không được lớn hơn giới hạn nêu tại Bảng 2.
Bảng 2 - Công suất trung bình
|
|
Các EUT khác ngoài ra đa xung |
Ra đa xung |
|
Công suất e.i.r.p. trung bình |
50 dBm |
23,5 dBm |
|
CHÚ THÍCH: Trong phép đo này, thời gian trung bình đo không được lớn hơn 100 ms. Nếu kết quả đo kiểm thay đổi theo chu kỳ thời gian của EUT, giá trị tối đa sẽ được lấy làm kết quả. |
||
Đối với ăng ten quét theo hướng cố định sẽ được đo bằng chức năng quét hạn chế (A.3.5 của Phụ lục A), công suất trung bình được tính từ kết quả đo Pmeasured như chỉ ra trong Bảng 3 dưới đây.
Bảng 3 - Tính toán công suất trung bình (ăng ten quét theo hướng cố định)
|
|
Các EUT khác ngoài ra đa xung |
Ra đa xung |
||
|
Thời gian chiếu xạ t (xem chú thích 1) |
t ≤ 100 ms |
t > 100 ms |
t≤100 ms |
t > 100 ms |
|
Công suất e.i.r.p. trung bình (xem chú thích 2) |
Pmeasured + 10 log(D) |
Pmeasured |
Pmeasured + 10 log(D) |
Pmeasured |
|
CHÚ THÍCH 1: t là thời gian chiếu xạ được định nghĩa tại 1.4.11. CHÚ THÍCH 2: D là hệ số phụ tải ăng ten quét được định nghĩa tại 1.4.2. Vì D nhỏ hơn 1 (tức là 100 %), giá trị log (D) là âm và dẫn đến kết quả cho giá trị giảm. |
||||
2.3.2.3. Phương pháp đo kiểm
Phương pháp đo được quy định tại 3.1.2.
2.3.3. Công suất đỉnh
2.3.3.1. Định nghĩa
Công suất e.i.r.p. đỉnh là công suất bức xạ tức thời cao nhất của thiết bị. Nó được đo trong phạm vi dải tần cho phép hoạt động.
2.3.3.2. Giới hạn
Công suất đỉnh của EUT với chùm tia cố định hoặc ăng ten quét không được lớn hơn 55 dBm.
2.3.3.3. Phương pháp đo kiểm
Phương pháp đo được quy định tại 3.1.3
2.3.4. Phát xạ không mong muốn trong miền ngoài băng
2.3.4.1. Định nghĩa
Phát xạ ngoài băng là phát xạ trên một hay nhiều tần số ngoài độ rộng băng thông cần thiết, là kết quả của quá trình điều chế, nhưng không bao gồm các phát xạ giả.
Các kết quả đo của fH và fL (xem 3.1.1) được sử dụng để xác định băng thông hoạt động của thiết bị.
Giá trị băng thông hoạt động (fH - fL) được sử dụng để xác định miền phát xạ ngoài băng và miền phát xạ giả.
Phát xạ giả là phát xạ trên một hay nhiều tần số nằm ngoài độ rộng băng tần cần thiết và giá trị của nó có thể giảm mà không ảnh hưởng đến việc truyền dẫn thông tin. Phát xạ giả bao gồm phát xạ hài, phát xạ ký sinh, các thành phần xuyên điều chế và các thành phần chuyển đổi tần số, nhưng không bao gồm phát xạ ngoài băng.
Theo khuyến nghị của CEPT/ERC 74-01 và khuyến nghị ITU-R SM.329-12, ranh giới giữa miền phát xạ ngoài băng và miền phát xạ giả là ± 250 % băng thông cần thiết tính từ tần số phát xạ trung tâm. Phát xạ ngoài băng và phát xạ giả được xác định dựa trên phép đo giá trị của mật độ phổ công suất trung bình trong điều kiện hoạt động bình thường.

Hình 1 - Tổng quan sự phụ thuộc OOB/phát xạ giả vào OBW
Giới hạn biên được xác định như sau:
fc= (fL+fH) /2
F1 = fc - (2,5*(fH-fL))
F2 = fc + (2,5*(fH-fL))
Phép tính này chỉ ra việc xác định biên miền phát xạ ngoài băng và phát xạ giả, nó sẽ lớn hơn/nhỏ hơn giá trị tối đa trong dải tần hoạt động cho phép.
2.3.4.2. Giới hạn
Mật độ phổ công suất bức xạ trung bình RMS được tính toán trong miền ngoài băng (giữa F1 đến fLVà fH đến F2) không được lớn hơn các giá trị nêu tại Bảng 4.
Bảng 4 - Giới hạn bức xạ trong miền ngoài băng
|
Tần số (GHz) |
Mật độ phổ công suất bức xạ trung bình RMS (dBm/MHz) |
|
F1 < f < fL |
0 |
|
fH< f ≤ F2 |
0 |
- Giá trị fL và fH là kết quả của dải tần hoạt động được đo trong 2.3.1.3.
- Giá trị F1 và F2 là kết quả tính toán tại 2.3.4.1.
2.3.4.3. Phương pháp đo kiểm
Phương pháp đo được quy định tại 3.1.4
2.3.5. Phát xạ không mong muốn trong miền giả
Quy định này áp dụng cho tất cả EUT.
2.3.5.1. Định nghĩa
Theo định nghĩa tại mục 2.3.4.1.
2.3.5.2. Giới hạn
Công suất bức xạ hiệu dụng của bất kỳ phát xạ giả nào cũng không lớn hơn các giá trị nêu tại Bảng 5.
Bảng 5 - Giá trị phát xạ giả bức xạ
|
Dải tần |
Giá trị giới hạn cho phát xạ giả |
Loại tách sóng |
|
47 MHz đến 74 MHz |
-54 dBm e.r.p. |
Giá trị tựa đỉnh |
|
87,5 MHz đến 118 MHz |
-54 dBm e.r.p. |
Giá trị tựa đỉnh |
|
174 MHz đến 230 MHz |
-54 dBm e.r.p. |
Giá trị tựa đỉnh |
|
470 MHz đến 790 MHz |
-54 dBm e.r.p. |
Giá trị tựa đỉnh |
|
Giá trị khác trong dải tần từ 30 MHz đến 1000 MHz |
-36 dBm e.r.p. |
Giá trị tựa đỉnh |
|
1 000 MHz < f < 300 000 MHz (xem chú thích) |
-30 dBm e.i.r.p. |
RMS |
|
CHÚ THÍCH: Phép đo chỉ yêu cầu thực hiện trên hài bậc 2 của tần số cơ bản (như được định nghĩa trong CEPT/ERC/REC 74-01). Trong trường hợp này, giới hạn trên của tần số mà phép đo thực hiện là 154 GHz. |
||
2.3.5.3. Phương pháp đo kiểm
Phương pháp đo được quy định tại 3.1.5.
2.4. Các yêu cầu cho máy thu
2.4.1. Phát xạ giả máy thu
Quy định đo kiểm phát xạ giả máy thu áp dụng ở tất cả các chế độ trừ chế độ phát.
CHÚ THÍCH: Mặt khác, phát xạ giả của máy thu được đo như một phần của phát xạ giả của máy phát, xem 2.3.5.
2.4.1.1. Định nghĩa
Phát xạ giả của máy thu là các phát xạ ở bất kỳ tần số nào khi thiết bị ở chế độ thu. Do đó, đo kiểm cho phát xạ giả của máy thu chỉ áp dụng khi thiết bị có thể hoạt động ở chế độ chỉ thu hoặc là một thiết bị chỉ thu.
2.4.1.2. Giới hạn
Công suất bức xạ hiệu dụng của bất kỳ phát xạ giả máy thu băng hẹp nào cũng không được lớn hơn các giá trị nêu tại Bảng 6.
Bảng 6 - Giới hạn phát xạ giả máy thu băng hẹp
|
Dải tần |
Giới hạn |
Loại tách sóng |
|
30 MHz đến 1 GHz |
-57 dBm/MHz (e.r.p.) |
Giá trị tựa đỉnh |
|
1 GHz đến 300 GHz (xem chú thích) |
-47 dBm/MHz (e.i.r.p.) |
RMS |
|
CHÚ THÍCH: Phép đo chỉ yêu cầu thực hiện trên hài bậc 2 của tần số cơ bản (như được định nghĩa trong CEPT/ERC/REC 74-01). Trong trường hợp này, giới hạn trên của tần số mà phép đo thực hiện là 154 GHz. |
||
Phát xạ giả máy thu băng rộng không được lớn hơn các giá trị nêu tại Bảng 7.
Bảng 7 - Giới hạn phát xạ giả máy thu băng rộng
|
Dải tần |
Giới hạn |
Loại tách sóng |
|
30 MHz đến 1 GHz |
-47 dBm/MHz (e.r.p.) |
Giá trị tựa đỉnh |
|
1 GHz - 300 GHz (xem chú thích) |
-37 dBm/MHz (e.i.r.p.) |
RMS |
|
CHÚ THÍCH: Phép đo chỉ yêu cầu thực hiện trên hài bậc 2 của tần số cơ bản (như được định nghĩa trongCEPT/ERC/REC 74-01). Trong trường hợp này, giới hạn trên của tần số mà phép đo thực hiện là 154 GHz. |
||
2.4.1.3. Phương pháp đo kiểm
Phương pháp đo được quy định tại 3.2.1.
2.4.2. Tín hiệu trong băng, ngoài băng, điều khiển từ xa của máy thu
Quy định này áp dụng cho tất cả EUT.
2.4.2.1. Định nghĩa
Khả năng của máy thu hoạt động như dự kiến khi các tín hiệu không mong muốn nằm trong băng tần tương ứng, ngoài băng tần và tại băng điều khiển từ xa, đang xảy ra.
2.4.2.2. Giới hạn
Với sự có mặt của các tín hiệu không mong muốn được xác định trong Bảng 8, EUT sẽ đạt được tiêu chí hiệu suất mong muốn (xem 2.2.2).
Tín hiệu không mong muốn của máy phát có thể truyền tín hiệu sóng liên tục ở các tần số cụ thể, như được nêu tại Bảng 8.
Bảng 8 - Tín hiệu không mong muốn cho các cảm biến trong dải tần 76-77 GHz
|
|
Tín hiệu trong băng |
Tín hiệu OOB |
Tín hiệu điều khiển từ xa |
|
Tần số |
Tần số trung tâm (fc) tín hiệu điều chế của EUT (xem 2.3.1) |
f = fc± F |
f = fc± 10 x F |
|
Cường độ trường tín hiệu của EUT |
55 mV/m |
173 mV/m |
173 mV/m |
|
Giá trị e.i.r.p. tại khoảng cách 10 m |
10 dBm |
20 dBm |
20 dBm |
|
F: Băng thông tần số cho phép (1 GHz) |
|||
2.4.2.3. Phương pháp đo kiểm
Phương pháp đo được quy định tại 3.2.2.
3. PHƯƠNG PHÁP ĐO
3.1. Đo kiểm cho máy phát
3.1.1. Dải tần số hoạt động
Phép đo này được thực hiện trong điều kiện đo kiểm bình thường và khắc nghiệt. Máy phân tích phổ được cài đặt ở chế độ thu đo như sau (xem Phụ lục B).
a) Tần số bắt đầu (Start frequency): Tần số thấp hơn biên dưới của dải tần số cho phép.
b) Tần số dừng (Stop frequency): Tần số cao hơn biên trên của dải tần số cho phép.
c) Băng thông phân giải (Resolution bandwidth): 1 MHz.
c) Băng thông video (Video bandwidth): ≥ 3 MHz.
d) Chế độ tách sóng (Detector mode): RMS (xem khuyến nghị ITU-R SM.328-11).
e) Chế độ hiển thị (Display mode): Mức lớn nhất (Max hold).
f) Thời gian trung bình (Averaging time): ≥ 1 ms trên điểm quét.
Khoảng 99 % OBW được sử dụng để xác định dải tần số hoạt động.
• Xác định fHfH là tần số của điểm đánh dấu phía trên từ OBW.
• Xác định fL: fLlà tần số của điểm đánh dấu phía dưới từ OBW.
• Xác định tần tần số trung tâm fc: fc= (fH + fL)/2.
Ngoài ra, các kết quả được ghi lại từ phép đo công suất trung bình được mô tả trong 3.1.2 có thể được sử dụng.
3.1.2. Công suất trung bình
Phép đo này được thực hiện trong điều kiện đo kiểm bình thường và khắc nghiệt.
Có ba phương pháp đo dùng để đo công suất trung bình. Mỗi phương pháp được áp dụng cho tất cả EUT.
3.1.2.1. Phương pháp đo bằng máy phân tích phổ
Máy phân tích phổ được cài đặt ở chế độ thu đo như sau (thiết lập đo mô tả tại Phụ lục B):
a) Tần số bắt đầu (Start frequency): Tần số thấp hơn biên dưới của dải tần số cho phép.
b) Tần số dừng (Stop frequency): Tần số cao hơn biên trên của dải tần số cho phép.
c) Băng thông phân giải (Resolution bandwidth): 1 MHz.
c) Băng thông video (Video bandwidth): VBW ≥ RBW.
d) Chế độ tách sóng (Detector mode): RMS.
e) Chế độ hiển thị (Display mode): Clear write.
f) Thời gian trung bình (Averaging time): Lớn hơn một chu kỳ thời gian của EUT.
g) Thời gian quét (Sweep time): (Thời gian trung bình) x (Số điểm quét).
Công suất kênh được sử dụng để tính công suất trung bình. Các ranh giới cho việc tính toán cần phải được xác định. Ranh giới này thường là dải tần số hoạt động.
3.1.2.2. Phương pháp đo dùng đồng hồ đo công suất trung bình
Đồng hồ đo công suất phải được kết nối với ăng ten đo. Hệ số hiệu chỉnh tần số phải được đưa vào trong phép tính. Đồng hồ đo công suất phải là đồng hồ đo công suất RMS thực sự (xem F.2 của Phụ lục F). Thời gian đo phải bằng hoặc dài hơn chu kỳ thời gian của EUT.
3.1.2.3. Phương pháp đo dùng đồng hồ đo công suất đỉnh
Đồng hồ đo công suất phải được kết nối với ăng ten đo. Hệ số hiệu chỉnh tần số phải được đưa vào trong phép tính. Đồng hồ đo công suất phải là đồng hồ đo công suất đỉnh thực sự (xem F.2 của Phụ lục F). Thời gian đo phải đủ dài so với chu kỳ thời gian của EUT.
Công suất trung bình có được bằng cách nhân công suất đỉnh đã đo được bằng đồng hồ đo với chu kỳ hoạt động của nguồn.
Công suất trung bình = (Công suất đỉnh đã đo) x (Chu kỳ hoạt động nguồn)
Trong đó: Chu kỳ hoạt động nguồn là tỷ lệ % của EUT ở trạng thái Bật trên tổng chu kỳ thời gian của EUT.
3.1.3. Công suất đỉnh
Phép đo này được thực hiện trong điều kiện đo kiểm bình thường và khắc nghiệt.
Có ba phương pháp được dùng để đo công suất đỉnh. Điều 3.1.3.1 (phương pháp đo bằng máy phân tích phổ): Các thiết lập phụ thuộc vào tốc độ quét tần số của EUT. Điều 3.1.3.2 và 3.1.3.3 (phương pháp đo bằng đồng hồ đo công suất) không phụ thuộc vào tốc độ quét tần số của EUT.
3.1.3.1. Phương pháp đo bằng máy phân tích phổ
Máy phân tích phổ được cài đặt ở chế độ thu đo như sau (xem Phụ lục B):
a) Tần số bắt đầu (Start frequency): Tần số thấp hơn biên dưới của dải tần số cho phép.
b) Tần số dừng (Stop frequency): Tần số cao hơn biên trên của dải tần số cho phép.
c) Băng thông phân giải (Resolution bandwidth): 1 MHz với tần số quét nhỏ hơn 1 000 MHz/ms.
CHÚ THÍCH: Đối với EUT có tốc độ quét tần số cao hơn, RBW phải được tăng lên cho đến khi đạt được chỉ số công suất đỉnh ổn định.
c) Băng thông video (Video bandwidth): VBW ≥ RBW.
d) Chế độ tách sóng (Detector mode): Chế độ đỉnh hoặc tự phát hiện đỉnh (Peak or auto peak detector).
e) Chế độ hiển thị (Display mode): Mức lớn nhất (Max hold).
f) Thời gian trung bình (Averaging time): Lớn hơn một chu kỳ thời gian của EUT.
g) Thời gian quét (Sweep time): (Thời gian trung bình đã đo) x (Số điểm quét).
Công suất đỉnh cần tìm là giá trị lớn nhất và được ghi lại vào kết quả đo kiểm.
3.1.3.2. Phương pháp đo bằng đồng hồ đo công suất trung bình
Đồng hồ đo công suất phải được kết nối với ăng ten đo. Hệ số hiệu chỉnh tần số phải được đưa vào phép tính. Đồng hồ đo công suất phải là đồng hồ đo công suất RMS thực sự (xem F.2 của Phụ lục F).
Thời gian đo phải đủ dài so với chu kỳ thời gian của EUT.
Công suất đỉnh thu được bằng cách chia công suất trung bình đã đo được bằng đồng hồ đo cho chu kỳ hoạt động nguồn.
Công suất đỉnh = (Công suất trung bình đã đo)/(Chu kỳ hoạt động nguồn)
Trong đó: Chu kỳ hoạt động nguồn là tỷ lệ % của EUT ở trạng thái Bật trên tổng chu kỳ thời gian của EUT.
3.1.3.3. Phương pháp đo bằng đồng hồ đo công suất đỉnh
Đồng hồ đo công suất phải được kết nối với ăng ten đo. Hệ số hiệu chỉnh tần số phải được đưa vào phép tính. Đồng hồ đo công suất phải là đồng hồ đo công suất đỉnh thực sự (xem F.2 của Phụ lục F).
3.1.4. Phát xạ không mong muốn trong miền ngoài băng
Phép đo này được thực hiện trong điều kiện đo kiểm bình thường.
Một máy phân tích phổ được sử dụng như một máy thu đo. Băng thông của máy thu đo phải theo CISPR 16. Để có được độ nhạy cần thiết, có thể cần băng thông độ phân giải hẹp hơn, điều này phải được nêu trong kết quả đo kiểm và kết quả được thu hẹp theo quy định tại A.5 của Phụ lục A.
Trong trường hợp EUT có nhiều chế độ hoạt động, chỉ có chế độ cao nhất của công suất đỉnh e.i.r.p. (xem 3.1.3) cần được đo.
Các phép đo phải được tiến hành trên các dải tần số của OOB và các miền giả được quy định trong 2.3.4.
a) Tần số bắt đầu (Start frequency): Xem 2.3.4.2
b) Tần số dừng (Stop frequency): Xem 2.3.4.2
c) Băng thông phân giải (Resolution bandwidth):
- Từ 30 MHz - 1 GHz: 100 kHz.
-Trên 1 GHz: 1 MHz.
c) Băng thông video (Video bandwidth): ≥ 3 MHz.
d) Chế độ tách sóng (Detector mode):
- Từ 30 MHz - 1 GHz: Tựa đỉnh (Quasi-peak);
- Trên 1 GHz: RMS.
e) Chế độ hiển thị (Display mode): Clear write.
f) Thời gian trung bình (Averaging time): Lớn hơn một chu kỳ thời gian của EUT.
g) Thời gian quét (Sweep time): (Thời gian trung bình) x (Số điểm quét).
CHÚ THÍCH: số lượng điểm quét phải cao hơn nhịp của máy phân tích phổ chia cho RBW.
Đường cong phổ đo được tại máy phân tích phổ được ghi lại trong phạm vi biên độ xấp xỉ 35 dB. Không yêu cầu phải thực hiện phép đo khi mật độ phổ công suất trung bình dưới -40 dBm/MHz (e.i.r.p.) ở dải tần trên 1 GHz.
Các phép đo mật độ công suất trung bình phổ dưới -40 dBm/MHz (e.i.r.p.) không được yêu cầu dải đo trên 1 GHz.
Vị trí đo kiểm được mô tả tại Phụ lục B, đáp ứng đầy đủ các yêu cầu của dải tần số cụ thể được sử dụng trong phép đo. Các băng thông của máy thu đo phải được thiết lập một giá trị thích hợp để đo chính xác phát xạ không mong muốn. Băng thông này phải được ghi lại trong kết quả đo kiểm. Đối với các tần số trên 40 GHz, sử dụng một bộ giảm tần như mô tả trong Hình 2. Bộ dao động nội được sử dụng để làm giảm tần số tín hiệu thu được với nhiễu pha tốt hơn -80 dBc/Hz tại độ lệch 100 kHz. Tần số của bộ dao động nội được lựa chọn để tín hiệu thu được sau bộ giảm tần nằm trong dải tần hoạt động của máy phân tích phổ, đồng thời duy trì một cách đầy đủ băng thông đáp ứng IF để thu được toàn bộ phổ tần của tín hiệu.
Đối với các phép đo phát xạ giả, nên sử dụng LNA (bộ khuếch đại nhiễu thấp) trước khi kết nối vào máy phân tích phổ để đạt được độ nhạy cần thiết.

Hình 2 - Sơ đồ thiết lập đo kiểm của bức xạ ngoài băng và phát xạ giả
3.1.5. Phát xạ không mong muốn trong miền giả
Xem quy định tại 3.1.4 (trong đó: Tần số bắt đầu (Start frequency) và Tần số dừng (Stop frequency) áp dụng theo 2.3.5.2 khi cài đặt máy phân tích phổ để thực hiện đo kiểm chỉ tiêu này).
3.2. Đo kiểm cho máy thu
3.2.1. Phát xạ giả máy thu
Phép đo này được thực hiện trong điều kiện đo kiểm bình thường.
3.2.1.1. Quy định chung
Các phép đo phát xạ giả riêng biệt không cần phải được thực hiện cho EUT nơi máy thu được đặt cùng vị trí và hoạt động đồng thời với máy phát. Trong trường hợp này, các quy định tại 3.1.4 sẽ áp dụng cho phát xạ giả và phát ngoài băng.
Trong tất cả các trường hợp khác, sẽ áp dụng như sau:
a) Vị trí đo kiểm như được mô tả tại Phụ lục B, đáp ứng các yêu cầu của dải tần số cụ thể được sử dụng trong phép đo. Ăng ten đo kiểm phải được định hướng ban đầu để phân cực dọc và được kết nối với máy thu đo. Máy thu đo phải là máy phân tích phổ với thiết lập như quy định trong 3.1.4.
Máy thu đo phải được đặt trên giá đỡ ở vị trí chuẩn của nó.
b) Tần số của máy thu đo phải được điều chỉnh trong phạm vi tần số được xác định trong tiêu chuẩn hài hòa liên quan. Tần số của từng thành phần của phát giả phải được lưu ý. Nêu vị trí đo kiểm bị nhiễu bởi bức xạ đến từ bên ngoài, việc tìm kiếm giá trị định tính này có thể được thực hiện trong phòng được được che chắn với khoảng cách giảm giữa máy phát và ăng ten đo.
c) Tại mỗi tần số mà tại đó một thành phần đã được phát hiện, máy thu đo phải được điều chỉnh và ăng ten đo phải được nâng hoặc hạ qua phạm vi độ cao quy định cho đến khi phát hiện thấy mức tín hiệu tối đa trên máy thu đo.
d) Máy thu phải được xoay tối đa 360 ° theo trục dọc, để thu được tối tín hiệu tối đa.
e) Các ăng ten đo kiểm được nâng lên hoặc hạ xuống một lần nữa trong phạm vi độ cao quy định cho đến khi thu được mức tối đa. Mức này sẽ được ghi lại.
f) Ăng ten thay thế sẽ thay thế ăng ten thu ở cùng vị trí và theo chiều phân cực dọc. Nó sẽ được kết nối với máy phát tín hiệu.
g) Tại mỗi tần số có thành phần được phát hiện, bộ tạo tín hiệu, ăng ten thay thế và máy thu đo phải được điều chỉnh. Ăng ten thử phải được nâng lên hoặc hạ xuống trong phạm vi độ cao quy định cho đến khi thu được mức tín hiệu tối đa trên máy thu đo. Giá trị của bộ tạo tín hiệu đưa ra giá trị tín hiệu tương tự trên máy thu đo như ở bước e). Sau khi điều chỉnh độ lợi của ăng ten thay thế và suy hao do cáp, giá trị này là thành phần bức xạ giả tại tần số này.
h) Tần số và giá trị của từng phát xạ giả được đo và băng thông của máy thu đo sẽ được ghi lại trong kết quả đo kiểm.
i) Các phép đo tại b) đến h) phải được lặp lại với ăng ten đo kiểm được định hướng theo phân cực ngang.
3.2.1.2. Đo kiểm
Để đo phát xạ giả máy phân tích phổ được cài đặt ở chế độ thu đo như sau:
a) Băng thông phân giải (Resolution bandwidth): 100 kHz.
c) Băng thông video (Video bandwidth): 100 kHz.
d) Chế độ tách sóng (Detector mode): Chế độ đỉnh dương (positive peak).
e) Giá trị trung bình (Averaging): Tắt (off).
f) Bề rộng (Span): 100 MHz.
g) Thời gian quét (Sweep time): 1 s.
h) Biên độ (Amplitude): Điều chỉnh ở giữa của vùng biên độ.
Để đo các phát xạ vượt quá mức 6 dB dưới giới hạn quy định, băng thông độ phân giải sẽ được chuyển sang 30 kHz và độ rộng được điều chỉnh tương ứng. Nếu mức không thay đổi quá 2 dB, đó là phát xạ băng hẹp; giá trị quan sát phải được ghi lại trong kết quả đo kiểm. Nếu mức thay đổi lớn hơn 2 dB, phát xạ là phát xạ băng rộng và giá trị quan sát được phải ghi lại trong kết quả đo kiểm.
Nếu áp dụng phương pháp đo phát xạ băng rộng, phải được ghi lại trong kết quả đo kiểm.
CHÚ THÍCH: Phổ chính của thiết bị được đo có thể bão hòa các mạch đầu vào của máy phân tích phổ và do đó gây ra tín hiệu bóng ma "phát xạ giả". Bóng ma "phát xạ giả" có thể được phân biệt với tín hiệu thực bằng cách tăng suy hao đầu vào thêm 10 dB. Nếu tín hiệu giả biến mất, đó là một bóng ma "phát xạ giả" và nên được bỏ qua.
3.2.2. Tín hiệu trong băng, ngoài băng, điều khiển từ xa của máy thu
Phép đo này được thực hiện trong điều kiện đo kiểm bình thường.
3.2.2.1. Giới thiệu
Mục này trình bày phương pháp đo lường để kiểm tra khả năng EUT để xử lý các tín hiệu không mong muốn khi hoạt động ở chế độ bình thường.
3.2.2.2. Thiết lập phép đo
Loại mục tiêu (RCS), vị trí và khoảng cách liên quan đến EUT được xác định trong tiêu chuẩn hài hòa liên quan. Nguồn tín hiệu không mong muốn được đặt trong độ rộng 3 dB tại tần số hoạt động trung tâm của RX. Xem 3.2.2.4 để biết thông số tín hiệu không mong muốn.
Các tiêu chí mong muốn thực hiện được đưa ra trong tiêu chuẩn hài hòa liên quan.
3.2.2.3. Quy trình đo kiểm
• Mục tiêu và nguồn tín hiệu không mong muốn phải được quy định như được định nghĩa trong 3.2.2.2.
• EUT sẽ được BẬT. Sự hoàn thành của tiêu chí hiệu suất mong muốn có liên quan sẽ được xác minh.
• Máy phát tín hiệu không mong muốn phải được BẬT ở mức thấp hơn 20 dB dưới mức tín hiệu không mong muốn được quy định mức tín hiệu trong 3.2.2.4.
• Để mô phỏng các trường hợp sử dụng thực tế, mức tín hiệu không mong muốn sẽ được tăng lên theo các bước 5 dB cho đến khi tiêu chí hiệu suất mong muốn không được đáp ứng hoặc mức tín hiệu không mong muốn được chỉ ra trong 3.2.2.4 đạt được. Tín hiệu không mong muốn phải được giữ ở mỗi bước nguồn trong ít nhất 5 giây. Quy trình đo phải được thực hiện lại cho từng chế độ tần số máy phát tín hiệu không mong muốn, như được định nghĩa trong 3.2.2.4.
3.2.2.4. Đặc điểm kỹ thuật tín hiệu không mong muốn
Bộ phát tín hiệu không mong muốn có thể truyền tín hiệu ở các tần số cụ thể, như được mô tả trong các tiêu chuẩn hài hòa liên quan.
4. QUY ĐỊNH VỀ QUẢN LÝ
4.1. Thiết bị ra đa hoạt động trong dải tần 76 GHz đến 77 GHz thuộc phạm vi điều chỉnh quy định tại điều 1.1 phải tuân thủ các quy định trong quy chuẩn này.
4.2. Việc đo kiểm đối với yêu cầu kỹ thuật của quy chuẩn này để thực hiện về công bố hợp quy phải thực hiện theo các quy định hiện hành. Các tổ chức, cá nhân được phép sử dụng kết quả đo kiểm/thử nghiệm của phòng thử nghiệm trong nước được chỉ định, hoặc phòng thử nghiệm ngoài nước được thừa nhận, hoặc các phòng thử nghiệm trong nước và ngoài nước được công nhận phù hợp với tiêu chuẩn ISO/IEC 17025, hoặc kết quả đo kiểm/thử nghiệm của nhà sản xuất.
5. TRÁCH NHIỆM CỦA TỔ CHỨC, CÁ NHÂN
Các tổ chức, cá nhân liên quan có trách nhiệm thực hiện công bố hợp quy các thiết bị thuộc phạm vi điều chỉnh của quy chuẩn này và chịu sự kiểm tra của cơ quan quản lý nhà nước theo các quy định hiện hành.
6. TỔ CHỨC THỰC HIỆN
6.1. Cục Viễn thông, Cục Tần số vô tuyến điện và các Sở Thông tin và Truyền thông có trách nhiệm tổ chức triển khai hướng dẫn và quản lý các thiết bị thuộc phạm vi điều chỉnh theo quy chuẩn này.
6.2. Trong trường hợp các quy định nêu tại quy chuẩn này có sự thay đổi, bổ sung hoặc được thay thế thì thực hiện theo quy định tại văn bản mới.
6.3. Trong quá trình triển khai thực hiện quy chuẩn này, nếu có vấn đề phát sinh,vướng mắc, các tổ chức và cá nhân có liên quan phản ánh bằng văn bản về Bộ Thông tin và Truyền thông (Vụ Khoa học và Công nghệ) để được hướng dẫn, giải quyết./.
Phụ lục A
(Quy định)
Điều kiện chung
A.1. Tổng quan
Trong phần này đưa ra tất cả các quy định chung cho việc đo kiểm thiết bị ra đa cự ly ngắn. Những quy định và yêu cầu này liên quan đến việc sắp xếp thiết bị cần đo kiểm (xem A.2), yêu cầu đối với EUT (xem A.3), các điều kiện đo kiểm chung (xem A.4), băng thông tham chiếu cho các phép đo (xem A.5), việc giải thích kết quả đo kiểm (xem A.6) và kết quả đo kiểm (xem A.7).
A.2. Thông tin về thiết bị
Thông tin về thiết bị sau đây có thể cần thiết để thực hiện các phép đo và phải được nhà sản xuất cung cấp, như:
• Các điều kiện môi trường và tiêu chuẩn hài hòa có liên quan;
• Điện áp danh định cung cấp cho thiết bị vô tuyến độc lập hoặc điện áp danh định cung cấp cho thiết bị chính hoặc thiết bị kết hợp trong trường hợp thiết bị vô tuyến được gắn vào;
• Loại công nghệ/điều chế được dùng cho thiết bị (ví dụ: xung, xung Doppler, FMCW, V.V.);
• Đối với tất cả các sơ đồ điều chế, các thông số điều chế cần được cung cấp: ví dụ: thời gian điều chế, thời gian quét xung, băng thông điều chế;
• Chế độ nguồn cao và thấp;
• Chu kỳ công suất của thiết bị;
• Dải tần số hoạt động của thiết bị (xem 3.1.1);
• Hướng cài đặt thông thường của EUT;
• Phân cực ăng ten cho cả ăng ten phát và ăng ten thu;
• Hướng phát xạ của ăng ten, cũng như độ rộng của ăng ten, các điểm 3 dB ngang và dọc cho cả ăng ten phát và thu;
• Chi tiết của bất kỳ chuyển mạch ăng ten hoặc quét bằng điện hoặc bằng cơ. Khi có các tính năng như vậy, thông tin về việc chúng có thể bị vô hiệu hóa cho mục đích đo kiểm hay không cũng cần được làm rõ;
• Dải nhiệt độ mong muốn, bao gồm thời gian khởi động cần thiết của EUT (xem A.4.4.1.2.);
• Thông tin về chức năng của thiết bị để thiết lập các tiêu chí hiệu suất mong muốn (xem 3.2.2).
A.3. Yêu cầu đối với EUT
A.3.1. Phiên bản và cấu hình EUT
Việc đo kiểm có thể được thực hiện trên thiết bị đang sản xuất hoặc trên các phiên bản tương đương của thiết bị.
CHÚ THÍCH: Nhà sản xuất có trách nhiệm đảm bảo rằng thiết bị được đưa vào sử dụng đáp ứng các yêu cầu có liên quan của pháp luật hiện hành, bao gồm cả RE-D.
Nếu một thiết bị có các tính năng tùy chọn được coi là không ảnh hưởng trực tiếp đến các thông số RF thì các phép đo chỉ cần thực hiện trên thiết bị được cấu hình với sự kết hợp các tính năng trong trường hợp tồi nhất và được công bố bởi nhà sản xuất.
A.3.2. Trình bày
Nhà sản xuất sẽ cung cấp mọi phương tiện cần thiết để vận hành EUT trong suốt quá trình đo kiểm.
A.q3.3. Nhiều băng thông hoạt động
Tất cả các băng thông hoạt động của thiết bị phải được nhà sản xuất thiết bị công bố (xem A.2).
Khi thiết bị có nhiều băng thông hoạt động, phải chọn đủ số lượng băng thông hoạt động để đo kiểm, bao gồm các giới hạn thấp hơn và cao hơn của tần số hoạt động, băng thông tối thiểu và tối đa.
A.3.4. Yêu cầu về điều chế trong quá trình đo kiểm
Điều chế EUT trong quá trình đo kiểm phải đảm bảo cho việc sử dụng bình thường của thiết bị. Nhà sản xuất phải sử dụng phương thức hoạt động của thiết bị để máy phát hoạt động cao nhất, phù hợp với yêu cầu đo mức truyền công suất cao nhất sẽ có trong hoạt động và phải đảm bảo rằng:
• Đường truyền liên tục trong suốt thời gian đo;
• Trình tự truyền có thể được lặp lại chính xác. Đối với các máy phát có nhiều sơ đồ đa điều chế kết hợp, cần phải kiểm tra từng sơ đồ.
A.3.5. Yêu cầu trong trường hợp EUT sử dụng ăng ten quét
A.3.5.1. Phân loại
Đối với phạm vi của quy chuẩn này, EUT được chia thành ba loại theo kiểu của ăng ten phát:
• Chùm cố định: Trong loại EUT này, mẫu bức xạ ăng ten là không đổi và hướng phát được cố định tương ứng với vỏ của EUT.
• Mô hình không đổi: Trong loại EUT này, mẫu bức xạ của ăng ten là không đổi và hướng phát xạ thay đổi theo thời gian. Việc hướng phát xạ quét làm thay đổi tốc độ góc cố định.
• Mô hình thay đổi: Loại EUT này bao gồm tất cả những loại không phải là loại mô hình cố định hoặc mô hình không đổi. Mẫu bức xạ ăng ten thay đổi theo thời gian và/hoặc hướng hoặc quá trình quét ở tốc độ thay đổi. Đối với các mục đích của phân loại trên, khi cố định và không đổi trong vòng 1 độ hoặc 1 % thì coi là hoạt động bình thường.
CHÚ THÍCH 1: Việc phân loại chỉ phụ thuộc vào kiểu của ăng ten phát.
CHÚ THÍCH 2: Nói chung, ăng ten quét bằng cơ sẽ là mô hình không đổi và ăng ten quét bằng điện sẽ là mô hình thay đổi.
CHÚ THÍCH 3: Mặc dù các thuật ngữ chùm và mô hình được sử dụng ít, các xem xét và phân loại áp dụng giống nhau cho EUT với nhiều chùm.
A.3.5.2. Đo chùm tia cố định EUT
Không có xem xét đặc biệt nào được áp dụng. Các phép đo phải được thực hiện trên hướng đạt được độ lợi tối đa của ăng ten trừ khi có quy định khác.
A.3.5.3. Đo mô hình không đổi EUT
Việc quét có thể bị cản trở và các phép đo được thực hiện trên chùm phát xạ trừ khi có quy định khác. Các tham số của EUT hoạt động ở chế độ bình thường có thể được tính toán dựa trên kiến thức về ăng ten. Nhà sản xuất phải công bố các thông số liên quan của ăng ten.
A.3.5.4. Đo mô hình thay đổi của EUT
Các phép đo phải được thực hiện với ăng ten quét. Có thể cần phải thực hiện một tập hợp các phép đo trên toàn bộ hình cầu hoặc nửa hình cầu. Đối với các phép đo năng lượng bức xạ (ví dụ: công suất đỉnh, công suất trung bình, chu kỳ hoạt động), hướng được chọn là hướng cho kết quả có giá trị cao nhất.
A.4. Điều kiện đo kiểm
A.4.1. Giới thiệu
Phép đo phải được thực hiện trong điều kiện đo kiểm bình thường. Đối với một số yêu cầu, có thể cần phải sử dụng phép đo trong các điều kiện khắc nghiệt.
Các điều kiện và quy trình đo kiểm phải được thực hiện theo quy định trong các mục A.4.2. đến A.4 4.
A.4.2. Nguồn điện
Trong quá trình đo kiểm, nguồn điện của thiết bị phải được thay thế bằng nguồn điện đo kiểm có khả năng tạo ra điện áp đo kiểm thông thường theo quy định tại A.4.3.2 và điện áp đo kiểm khắc nghiệt như quy định tại A.4.4.2. Trở kháng bên trong của nguồn điện đo kiểm phải đủ thấp để ảnh hưởng của nó đến kết quả đo kiểm là không đáng kể. Đối với mục đích đo kiểm, điện áp của nguồn điện phải được đo tại các đầu vào của thiết bị.
Đối với thiết bị hoạt động bằng pin, pin có thể được tháo ra và nguồn năng lượng đo kiểm được áp dụng càng gần các cực của pin càng tốt.
Trong các phép đo, điện áp nguồn phải được duy trì trong phạm vi sai số ±1 % so với điện áp ở đầu mỗi phép thử. Giá trị của dung sai này rất quan trọng đối với các phép đo công suất; sử dụng dung sai nhỏ hơn sẽ cung cấp các giá trị độ không đảm bảo đo tốt hơn.
A.4.3. Điều kiện đo kiểm bình thường
A.4.3.1. Nhiệt độ và độ ẩm bình thường
Các điều kiện nhiệt độ và độ ẩm bình thường cho việc đo kiểm phải là sự kết hợp phù hợp giữa nhiệt độ và độ ẩm trong các phạm vi sau:
Nhiệt độ:+15 °C đến +35 °C;
Độ ẩm tương đối: 20 % đến 75 %.
Khi không thể thực hiện các phép đo trong các điều kiện này, thì cần nêu rõ nhiệt độ môi trường và độ ẩm tương đối trong các phép đo và kết quả này phải được ghi lại trong kết quả đo kiểm.
Các giá trị thực tế trong các phép đo phải được ghi lại trong kết quả đo kiểm.
A.4.3.2. Nguồn điện bình thường
A.4.3.2.1. Điện áp nguồn
Điện áp nguồn nối với thiết bị đo cần kiểm phải là điện áp danh định. Trong phạm vi của quy chuẩn này, điện áp danh định là điện áp mà thiết bị được thiết kế để hoạt động.
Tần số nguồn điện áp đo kiểm tương ứng với điện áp xoay chiều AC phải nằm trong khoảng 49 Hz đến 51 Hz.
A.4.3.2.2. Nguồn năng lượng pin axit chì được sử dụng trên xe
Khi thiết bị vô tuyến được thiết kế để hoạt động như bình thường từ nguồn năng lượng pin axit chì được sử dụng trên xe, thì điện áp đo kiểm bình thường phải bằng 1,1 lần điện áp danh định của pin (6 V, 12 V, V.V.).
A.4.3.2.3. Các nguồn năng lượng khác
Trường hợp thiết bị cần đo kiểm sử dụng nguồn điện khác hoặc các loại pin (sơ cấp hoặc thứ cấp), điện áp nguồn đo kiểm danh định được công bố bởi nhà sản xuất. Việc này phải được ghi lại trong kết quả đo kiểm.
A.4.4. Điều kiện đo kiểm khắc nghiệt
A.4.4.1. Nhiệt độ khắc nghiệt
A.4.4.1.1. Quy trình đo kiểm ở nhiệt độ khắc nghiệt
Trước khi thực hiện các phép đo, thiết bị phải đạt được sự cân bằng nhiệt trong phòng đo kiểm. Thiết bị không được tắt trong thời gian ổn định nhiệt độ.
Nếu cân bằng nhiệt không được kiểm tra bằng các phép đo, thời gian ổn định nhiệt độ ít nhất là một giờ, hoặc khoảng thời gian đó có thể được quyết định bởi phòng đo đã được công nhận. Trình tự các phép đo phải được lựa chọn, và độ ẩm trong phòng thử phải được kiểm soát để không xảy ra hiện tượng ngưng tụ quá mức.
A.4.4.1.2. Phạm vi nhiệt độ khắc nghiệt
Đối với các phép đo ở nhiệt độ khắc nghiệt, các phép đo phải được thực hiện theo các quy trình quy định tại Phụ lục B, ở nhiệt độ trên và dưới của một trong các dải sau theo công bố của nhà sản xuất:
Nhiệt độ loại I: -10 °C đến +55 °C.
Nhiệt độ loại II: -20 °C đến +60 °C.
Nhiệt độ loại III: -40 °C đến +70 °C.
Nhà sản xuất có thể chỉ định phạm vi nhiệt độ rộng hơn mức tối thiểu ở trên. Kết quả đo kiểm phải nêu dải nhiệt độ đã được sử dụng.
A.4.4.2. Điện áp nguồn đo kiểm khắc nghiệt
A.4.4.2.1. Điện áp chính
Các điện áp đo kiểm khắc nghiệt đối với thiết bị được kết nối với nguồn chính AC phải là điện áp danh định với dung sai ± 10 %.
A.4.4.2.2. Các nguồn điện khác
Đối với thiết bị sử dụng các nguồn điện khác, hoặc có khả năng hoạt động từ nhiều nguồn điện khác nhau, điện áp đo kiểm khắc nghiệt phải là điện áp được công bố bởi nhà sản xuất. Chúng phải được ghi lại trong kết quả đo kiểm.
A.5. Băng thông tham chiếu của máy thu đo
Nói chung, băng thông phân giải của máy thu đo (RBW) phải bằng băng thông tham chiếu (RBWref)được nêu trong Bảng A.1.
Bảng A.1 - Băng thông tham chiếu của máy thu đo
|
Dải tần (f) |
Băng thông phân dải của máy thu đo (RBWref) |
|
30 MHz ≤ f ≤ 1 000 MHz |
100 kHz |
|
f > 1 000 MHz |
1 MHz |
|
CHÚ THÍCH: Dải tần số và giá trị RBWreftương ứng có được từ CISPR 16. |
|
Để cải thiện độ chính xác, độ nhạy và hiệu quả của phép đo, RBW có thể khác với RBWref.Khi RBWmeasured < RBWref,kết quả sẽ được tích hợp trên RBWrefchẳng hạn theo công thức (1)

Trong đó:
- p (i) là các mẫu đo được với RBWmeasured;
- n là số lượng mẫu trong RBWref;
- Pcorr là giá trị tương ứng tại RBWref.
Khi RBWmeasured > RBWref,kết quả cho phát xạ băng rộng sẽ được chuẩn hóa theo tỷ lệ băng thông theo công thức (2)
Pcorp = PMEASURED+10 log (RBWref/RBWmeasured) (2)
Trong đó:
- Pmeasured là giá trị đo được ở băng thông đo rộng hơn RBWmeasured;
- Pcorr là giá trị tương ứng tại RBWref.
Đối với các phát xạ rời rạc, được xác định tại một đỉnh hẹp với mức ít nhất là 6 dB trên mức trung bình bên trong băng thông đo, việc hiệu chỉnh trên không được áp dụng trong khi tích hợp trên RBWrefvẫn được dùng.
A.6. Giải thích kết quả đo kiểm và độ không đảm bảo đo cho phép đo
A.6.1. Tổng quan
Việc giải thích kết quả cho các phép đo được mô tả trong quy chuẩn này như sau:
1) Giá trị đo liên quan đến giới hạn tương ứng sẽ được sử dụng để quyết định xem thiết bị có đáp ứng các yêu cầu của quy chuẩn này hay không;
2) Giá trị độ không đảm bảo đo cho phép đo của từng thông số phải được ghi lại trong kết quả đo kiểm;
3) Giá trị của độ không đảm bảo đo phải được ghi lại ở bất cứ vị trí nào, đối với mỗi phép đo, bằng hoặc thấp hơn các số liệu trong Bảng A.2, và phải sử dụng thủ tục quy định tại A.6.3.
Đối với các phương pháp đo kiểm theo quy chuẩn này, các số liệu về độ không đảm bảo đo phải được tính toán theo hướng dẫn được cho trong ETSI TR 100 028 và sẽ tương ứng với hệ số mở rộng (hệ số bao phủ) k = 1,96 hoặc k = 2 (cung cấp mức độ tin cậy tương ứng 95 % và 95,45 % trong trường hợp phân bố đặc trưng cho độ không đảm bảo đo là bình thường (phân bố Gaussian)).
Bảng A.2 dựa trên các hệ số mở rộng như vậy.
Bảng A.2 - Độ không đảm bảo đo tối đa cho phép
|
Thông số |
Độ không đảm bảo |
|
Tần số vô tuyến |
±1 x 10-5 |
|
Tất cả các phát xạ, bức xạ |
±6 dB |
|
Nhiệt độ |
±1 °C |
|
Độ ẩm |
±5 % |
|
Điện áp DC và điện áp có tần số thấp |
±3 % |
A.6.2. Độ không đảm bảo đo tối đa được phép
Trong trường hợp độ không đảm bảo đo vượt quá giới hạn trong Bảng A.2, sẽ áp dụng các quy định của A.6.4.
A.6.3. Độ không đảm bảo đo bằng hoặc nhỏ hơn độ không đảm bảo tối đa cho phép
Việc giải thích kết quả khi so sánh các giá trị đo với các giới hạn thông số kỹ thuật sẽ như sau:
a) Khi giá trị đo không vượt quá giá trị giới hạn, thiết bị cần đo kiểm đáp ứng các yêu cầu của tiêu chuẩn hài hòa liên quan.
b) Khi giá trị đo vượt quá giá trị giới hạn, thiết bị cần đo kiểm không đáp ứng các yêu cầu của tiêu chuẩn hài hòa liên quan.
c) Độ không đảm bảo đo được tính toán bởi kỹ thuật viên đo kiểm thực hiện phép đo và phải được ghi lại trong kết quả đo kiểm.
d) Độ không đảm bảo đo được tính toán bởi kỹ thuật viên đo kiểm có thể là giá trị tối đa trong một phạm vi các giá trị đo hoặc có thể là độ không đảm bảo đo cho phép đo cụ thể chưa được đo. Phương pháp sử dụng phải được ghi lại trong kết quả đo kiểm.
A.6.4. Độ không đảm bảo đo lớn hơn độ không đảm bảo tối đa cho phép
Việc giải thích kết quả khi so sánh các giá trị đo với các giới hạn kỹ thuật phải như sau:
a) Khi giá trị đo cộng với chênh lệch giữa độ không đảm bảo đo được tính toán bởi kỹ thuật viên đo kiểm và độ không đảm bảo đo tối đa cho phép không vượt quá giá trị giới hạn, thiết bị được đo kiểm đáp ứng các yêu cầu của tiêu chuẩn hài hòa liên quan.
b) Khi giá trị đo cộng với chênh lệch giữa độ không đảm bảo đo được tính toán bởi kỹ thuật viên đo kiểm và độ không đảm bảo đo tối đa có thể chấp nhận vượt quá giá trị giới hạn, thiết bị được đo kiểm không đáp ứng các yêu cầu của tiêu chuẩn hài hòa liên quan.
c) Độ không đảm bảo đo được tính toán bởi kỹ thuật viên đo kiểm thực hiện phép đo và phải được ghi lại trong kết quả đo kiểm.
d) Độ không đảm bảo đo được tính toán bởi kỹ thuật viên đo kiểm có thể là giá trị tối đa trong một phạm vi các giá trị đo hoặc có thể là độ không đảm bảo đo cho phép đo cụ thể chưa được đo. Phương pháp sử dụng phải được ghi lại trong kết quả đo kiểm.
A.7. Kết quả đo kiểm
Kết quả đo kiểm phải có tất cả các thông tin cần thiết và có liên quan để đánh giá việc tuân thủ các yêu cầu thiết yếu được liệt kê trong Phụ lục A của tiêu chuẩn hài hòa liên quan (xem ETSI EN 301 091-1, ETSI EN 301 091-2, ETSI EN 301 091-3, ETSI EN 302 264 và ETSI EN 302 858).
Phụ lục B
(Quy định)
Thiết lập bài đo và quy trình đo
B.1. Giới thiệu
Nói chung, có sự khác biệt giữa thực hiện các phép đo dẫn và đo bức xạ RF. Tuy nhiên, đối với các EUT được đề cập trong quy chuẩn này, cần lưu ý rằng không tiến hành phép đo dẫn RF.
Trong các mục dưới đây sẽ mô tả các thiết lập chung về môi trường đo kiểm cho phép đo bức xạ của thiết bị ra đa cự ly ngắn.
B.2. Các bước đo ban đầu
Quy trình đo phải được lên kế hoạch bằng cách sử dụng thông tin do nhà sản xuất cung cấp (xem A.2 của Phụ lục A).
Các thiết lập của máy thu đo phải được chọn dựa trên mô tả tín hiệu được cung cấp, nhằm đảm bảo rằng các giá trị cao nhất của công suất đỉnh và PSD trung bình được thu lại. Điều này đặc biệt quan trọng đối với máy thu đo tần số quét (máy phân tích phổ) và tín hiệu có sự thay đổi về thời gian và/hoặc tần số và/hoặc hướng. Khuyến nghị tín hiệu ban đầu nên được quan sát với cả hai chế độ đo đỉnh và trung bình trên toàn băng thông của nó, nhằm để xác nhận mô tả và thiết lập nơi có các giá trị cao nhất. Điều này sẽ cho phép các phép đo tiếp theo được thực hiện với RF hẹp hơn. Trong trường hợp có bất kỳ nghi ngờ nào về ảnh hưởng của việc quét tần số, một phép đo tại một RF (nhịp 0) sẽ cung cấp xác nhận điều này.
B.3. Đo lường bức xạ
B.3.1. Tổng quan
Khu vực đo kiểm, ăng ten thử nghiệm và ăng ten thay thế được sử dụng cho các phép đo bức xạ phải được mô tả như trong Phụ lục C. Để được hướng dẫn sử dụng các vị trí đo bức xạ, xem B.3.2. Để được hướng dẫn về các vị trí đo tiêu chuẩn được sử dụng cho các phép đo bức xạ, xem Phụ lục D.
Tất cả các nỗ lực nên được thực hiện để chứng minh rõ ràng rằng lượng phát xạ từ máy phát EUT không vượt quá mức quy định, với máy phát trong trường xa. Trong phạm vi có thể thực hiện được, thiết bị vô tuyến được đo kiểm phải được đo ở khoảng cách được chỉ định trong B.3.2.4 và với băng thông đo cụ thể. Tuy nhiên, để có được tỷ lệ tín hiệu trên nhiễu thích hợp trong hệ thống đo, các phép đo bức xạ có thể phải được thực hiện ở khoảng cách nhỏ hơn các khoảng cách quy định trong B3.2.4 và/hoặc giảm các băng thông đo. Cấu hình đo được sửa đổi phải được chỉ ra trong kết quả đo kiểm, cùng với lời chú thích tại sao các mức tín hiệu liên quan đến phép đo ở khoảng cách sử dụng hoặc với băng thông đo được sử dụng để được phát hiện chính xác bởi thiết bị đo và tính toán chứng minh sự tuân thủ.
Trong trường hợp không thể giảm thêm băng thông đo (do các hạn chế của thiết bị đo kiểm thường có hoặc khó khăn trong việc chuyển đổi số đọc được sử dụng một băng thông đo thành các băng thông được sử dụng bởi các giới hạn được đưa ra trong tiêu chuẩn hài hòa có liên quan, khoảng cách đo cần thiết sẽ ngắn đến mức thiết bị vô tuyến không rõ ràng nằm trong trường xa), kết quả đo sẽ chỉ rõ thực tế này, khoảng cách đo và băng thông được sử dụng, khoảng cách trường gần/trường xa để thiết lập đo, phát xạ của thiết bị vô tuyến đo được, nhiễu nền có thể đạt được và dải tần có liên quan.
B.3.2. Hướng dẫn sử dụng khu vực đo kiểm bức xạ
B.3.2.1. Giới thiệu
Mục này nêu chi tiết các quy trình, sắp xếp thiết bị đo kiểm và xác minh cần được thực hiện trước khi thực hiện bất kỳ đo kiểm bức xạ nào.
B.3.2.2. Kiểm tra khu vực đo
Không nên thực hiện đo kiểm trên một khu vực không có chứng nhận xác thực hợp lệ. Các quy trình xác minh cho các loại khu vực đo khác nhau được mô tả trong Phụ lục C (tức là phòng đo kiểm không phản xạ và phòng đo kiểm không phản xạ với mặt phẳng mặt đất) được đưa ra trong các phần có liên quan của ETSI TR 102 273 hoặc tương đương.
B.3.2.3. Giá treo
Khi cần thiết, phải có giá treo có kích thước tối thiểu để gắn EUT trên bàn xoay. Giá đỡ này phải được chế tạo từ vật liệu độ dẫn thấp, hằng số điện môi tương đối thấp (tức là dưới 1,5) (các) vật liệu như polystyrene mở rộng, gỗ mềm, v.v.
B.3.2.4. Phạm vi độ dài
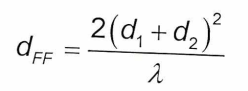
Phạm vi độ dài cho tất cả các loại phương tiện đo kiểm phải đủ để cho phép đo trong trường xa của EUT, tức là nó phải bằng hoặc cao hơn:

Trong đó:
- d1 là kích thước lớn nhất của EUT/lưỡng cực sau khi thay thế (m);
- d2 là kích thước lớn nhất của ăng ten đo kiểm (m);
- λ là bước sóng tần số đo kiểm (m).
Công thức này giữ cho sai số do hiệu ứng trường gần lớn hơn 0,25 dB trên hướng của ăng ten, có thể được yêu cầu để đo chính xác mẫu bức xạ ăng ten. Tuy nhiên, độ chính xác cao như vậy là không cần thiết cho mục đích tuân thủ.
Ngoài ra, đối với sóng mm, khoảng cách kết quả có thể lớn đến mức công suất đo được gần với mức nhạy của máy dò và/hoặc phép đo trong phòng đo trở nên không thực tế. Do đó, các khoảng cách trường xa giảm sau đây được xem xét.
|
Bảng B.1 - Kloảng cách đo trường xa |
|
|
Khoảng trường xa |
Mức công suất lỗi gần đúng (do hiệu ứng trường gần) |
|
dFF |
0,25 dB |
|
dFF/2 |
0,9 dB |
|
dFF/3 |
2 dB |
|
dFF/4 |
3,5 dB |
Cần lưu ý trong các kết quả đo kiểm những điều kiện này được đáp ứng để bất kỳ độ không đảm bảo đo bổ sung nào có thể được đưa vào kết quả.
CHÚ THÍCH 1: Đối với phòng đo không phản xạ hoàn toàn, không có phần nào của EUT, ở bất kỳ góc quay nào của bàn xoay, nằm ngoài "vùng yên tĩnh" của phòng đo ở tần số danh định của phép thử.
CHÚ THÍCH 2: "Vùng qyên tĩnh" là một thể tích trong phòng không phản xạ (không có mặt phẳng mặt đất) trong đó hiệu suất được chỉ định đã được chứng minh bằng đo kiểm, hoặc được đảm bảo bởi nhà thiết kế/nhà sản xuất. Hiệu suất được chỉ định thường là độ phản xạ của các tấm hấp thụ hoặc một tham số liên quan trực tiếp (ví dụ: tính đồng nhất tín hiệu về biên độ và pha). Tuy nhiên, cần lưu ý rằng các mức xác định của vùng yên tĩnh có xu hướng thay đổi.
B.3.2.5. Chuẩn bị địa điểm đo kiểm
Các dây cáp cho cả hai đầu của khu vực đo phải được định hướng theo chiều ngang từ khu vực đo tối thiểu là 2 m và sau đó được phép thả thẳng đứng và ra ngoài qua mặt phẳng mặt đất hoặc màn hình (nếu thích hợp) đến thiết bị đo kiểm. Các biện pháp phòng ngừa nên được thực hiện để giảm thiểu hấp thu trên các dây dẫn này (ví dụ: phủ bằng hạt ferrite hoặc tải khác). Các dây cáp định hướng và vỏ của chúng phải giống hệt với thiết lập đã được kiểm tra.
Dữ liệu hiệu chuẩn cho tất cả các hạng mục của thiết bị đo phải có sẵn và hợp lệ. Đối với phép đo, ăng ten thay thế và ăng ten đo, dữ liệu phải bao gồm độ lợi bức xạ đẳng hướng (hoặc hệ số ăng ten) cho tần số đo kiểm. Ngoài ra, phải biết VSWR của ăng ten thay thế và ăng ten đo.
Dữ liệu hiệu chuẩn trên tất cả các cáp và bộ suy giảm phải bao gồm suy hao và VSWR trong toàn bộ dải tần của các phép thử. Tất cả các số liệu suy hao và VSWR phải được ghi lại trong bảng kết quả nhật ký cho phép thử cụ thể.
Khi các hệ số/bảng hiệu chỉnh được yêu cầu, chúng phải có sẵn ngay lập tức. Đối với tất cả các mục của thiết bị đo kiểm, độ không đảm bảo đo tối đa mà chúng thể hiện phải được biết cùng với sự phân bố độ không đảm bảo đo.
Khi bắt đầu đo, nên kiểm tra hệ thống trên các hạng mục của thiết bị được sử dụng trên khu vực đo.
B.3.3. Phương pháp đo kiểm tiêu chuẩn
Hai phương pháp - phương pháp hiệu chuẩn và phương pháp thay thế - để xác định công suất bức xạ của thiết bị vô tuyến được mô tả tương ứng trong D.1 và D.2 của Phụ lục D.
Phương pháp hiệu chuẩn tiêu chuẩn cũng được mô tả trong phụ lục E.
B.4. Kiểm tra thiết bị được kết nối với máy chủ
Đối với thiết bị ra đa cần kết nối hoặc tích hợp với thiết bị chủ để cung cấp chức năng cho thiết bị ra đa, sẽ cho phép nhiều phương pháp đo kiểm thay thế khác nhau. Khi có nhiều hơn một sự kết hợp như vậy, phép đo sẽ không được lặp lại đối với sự kết hợp của thiết bị ra đa và nhiều thiết bị chủ cơ bản tương tự nhau.
Khi có nhiều hơn một kết hợp như vậy và các kết hợp không giống nhau, mỗi sự kết hợp phải được đo kiểm đối với tất cả các yêu cầu trong quy chuẩn này và tất cả các kết hợp riêng rẽ khác nhau sẽ chỉ được đo kiểm cho phát xạ giả chỉ bức xạ (xem 3.4).
CHÚ THÍCH: Để biết thêm thông tin liên quan về vấn đề trên, xem ETSI TR 102 070-2.
Phụ lục C
(Quy định)
Những khu vực đo kiểm và cách bố trí chung cho các phép đo liên quan đếnviệc sử dụng các trường bức xạ
C.1. Giới thiệu
Mục này giới thiệu khu vực đo kiểm có thể được sử dụng cho các phép đo bức xạ. Khu vực đo kiểm thường được gọi là khu vực đo kiểm trong trường tự do. Cả hai phép đo tuyệt đối và tương đối có thể được thực hiện trong các khu vực này. Phòng đo kiểm phải được kiểm định trước tại nơi thực hiện các phép đo tuyệt đối. Quy trình kiểm định chi tiết được mô tả trong ETSI TS 102 321.
C.2. Phòng đo kiểm không phản xạ
Phòng đo kiểm không phản xạ là vị trí đo kiểm hay được sử dụng để đo kiểm bức xạ theo quy chuẩn này với tần số trên 1 GHz. Tuy nhiên, phòng đo kiểm không phản xạ với mặt phẳng mặt đất như được mô tả trung C.2 có thể được sử dụng với tần số trên 1 GHz với điều kiện vật liệu không phản xạ thích hợp được đặt trên sàn phòng đo để triệt tiêu mọi tín hiệu phản xạ. Một phòng đo kiểm không phản xạ là phòng đo được bao bọc và thường được che chắn, trong đó mặt trong của các bức tường, trần và sàn được phủ một lớp vật liệu hấp thụ sóng vô tuyến, thường lớp vật liệu này là loại xốp urethane có mấu hình chóp. Thông thường, phòng gồm có một giá đỡ ăng ten ở một đầu và một bàn xoay ở đầu kia. Một phòng đo kiểm không phản xạ điển hình được mô tả trong Hình C.1

Hình C.1 - Phòng đo kiểm không phản xạ điển hình
Việc che chắn phòng đo kiểm kết hợp với việc sử dụng vật liệu hấp thụ sóng vô tuyến sẽ tạo ra một môi trường dễ kiểm soát trong quá trình đo kiểm. Loại phòng đo kiểm này cố gắng mô phỏng tốt nhất các điều kiện trong không gian tự do. Việc che chắn sẽ tạo ra được một không gian đo kiểm làm giảm bớt được nhiễu của các tín hiệu xung quanh và các hiệu ứng bên ngoài khác, trong khi đó, vật liệu hấp thụ sóng vô tuyến sẽ tối thiểu hóa được tia phản xạ không mong muốn từ tường, sàn và trần, những tia phản xạ này có thể ảnh hưởng đến phép đo.
Thực tế, có thể dễ dàng che chắn để loại bỏ được nhiễu xung quanh ở mức cao (80 dB đến 140 dB). Thông thường làm cho nhiễu xung quanh ảnh hưởng ở mức không đáng kể.
Một bàn xoay có khả năng quay xung quanh 360° trong mặt phẳng ngang và nó được sử dụng để hỗ trợ EUT ở độ cao phù hợp (ví dụ: 1 m) so với mặt phẳng mặt đất. Phòng đo phải đủ rộng để thực hiện cho phép đo trong trường xa của EUT. Thông tin thêm về các yêu cầu đo trường xa được nêu trong B.3.2.4 của Phụ lục B.
Nói chung, phòng đo kiểm không phản xạ có rất nhiều ưu điểm so với các phòng đo kiểm khác. Nó ít bị ảnh hưởng bởi nhiễu xung quanh, ít tia phản xạ từ tường, trần và sàn và không phụ thuộc vào thời tiết. Tuy nhiên, nó cũng có một vài nhược điểm là khoảng cách đo bị giới hạn và có hạn chế khi sử dụng ở tần số thấp do kích thước của các vật liệu hấp thụ hình chóp. Để cải thiện hiệu suất ở tần số thấp, thường sử dụng sự kết hợp giữa cấu trúc của gạch ferrite và chất hấp thụ bằng xốp urethane.
Tất cả các phép đo phát xạ có thể được thực hiện trong phòng đo kiểm không phản xạ mà không có hạn chế nào.
C.3. Phòng đo kiểm không phản xạ với mặt phẳng dẫn
Một phòng đo không phản xạ với mặt phẳng dẫn phải được sử dụng để đo kiểm các bức xạ trong quy chuẩn này với tần số dưới 1 GHz. Một phòng không phản xạ là phòng đo được bao bọc và thường được che chắn, trong đó mặt trong của các bức tường, trần được phủ một lớp vật liệu hấp thụ sóng vô tuyến, thường lớp vật liệu này là loại xốp urethane có mấu hình chóp. Nền phòng đo kiểm được làm từ kim loại trần (không bị bọc) và có dạng một mặt phẳng
Thông thường, phòng đo kiểm gồm có một cột ăng ten ở một đầu và một bàn xoay ở đầu kia. Một phòng đo kiểm không phản xạ điển hình với mặt phẳng dẫn được thể hiện trong Hình C.2.

Hình C.2 - Phòng đo kiểm không phản xạ với mặt phẳng dẫn điển hình
Loại phòng đo kiểm này cố gắng mô phỏng vị trí đo kiểm ngoài trời mà đặc trưng chính của nó là có một mặt nền lý tưởng được mở rộng không giới hạn.
Cột ăng ten cung cấp có chiều cao thay đổi (từ 1 m đến 4 m) để vị trí của ăng ten đo kiểm có thể được tối ưu nhất giữa tín hiệu và ăng ten hoặc giữa EUT và ăng ten đo kiểm.
Một bàn xoay có khả năng xung quay 360 ° trong mặt phẳng ngang và nó được sử dụng để hỗ trợ EUT tại một chiều cao quy định, thường là 1,5 m so với mặt phẳng mặt đất. Phòng đo kiểm phải đủ lớn để cho phép thực hiện đo trong trường xa của EUT. Thông tin thêm về các yêu cầu đo trường xa được nêu trong B.3.2.4 của Phụ lục B.
Đầu tiên, đo kiểm phát xạ của trường điện từ "đạt đỉnh" từ EUT bằng cách nâng và hạ ăng ten thu trên cột (để thu được nhiễu giao thoa tối đa của tín hiệu trực tiếp và tín hiệu phản xạ từ EUT) và sau đó xoay bàn xoay cho đạt "đỉnh" trong mặt phẳng phương vị. Ở độ cao này của cột ăng ten đo kiểm, biên độ của tín hiệu thu được ghi lại.
Thứ hai, EUT được thay bằng ăng ten thay thế (được đặt ở vị trí tâm pha hoặc tâm âm lượng của EUT), được kết nối với bộ tạo tín hiệu. Tín hiệu một lần nữa "đạt đỉnh" và đầu ra của bộ tạo tín hiệu được điều chỉnh cho đến khi giá trị đạt được đến giá trị ghi lại trong giai đoạn một, và được đo lại trên thiết bị thu vô tuyến.
Đo kiểm độ nhạy của máy thu trên mặt phẳng mặt đất cũng liên quan đến việc "đạt đỉnh" trường điện từ bằng cách nâng và hạ ăng ten thu trên cột để thu được nhiễu giao thoa tối đa của tín hiệu trực tiếp và tín hiệu phản xạ từ EUT, lần này tâm của ăng ten sử dụng đo được đặt ở vị trí tâm pha hoặc tâm âm lượng của EUT trong quá trình đo kiểm. Một hệ số biến đổi được cấp. Ăng ten đo kiểm vẫn ở cùng độ cao như giai đoạn hai, trong đó ăng ten đo được thay thế bằng EUT. Biên độ của tín hiệu truyền bị giảm để xác định mức cường độ trường với đáp ứng cụ thể có được từ EUT.
C.4. Các điều kiện đo kiểm khắc nghiệt
C.4.1. Buồng đo kiểm nhiệt độ trong suốt với sóng vô tuyến
Một buồng nhiệt được trang bị cửa hoặc tường trong suốt với sóng vô tuyến có thể được sử dụng để thực hiện các phép đo bức xạ. Quy trình đo trong trường hợp này sẽ giống như quy trình trong các điều kiện bình thường.
EUT sẽ được đặt trên một giá đỡ trong suốt với sóng vô tuyến. Khoảng cách giữa ăng ten thử nghiệm và EUT phải phù hợp với yêu cầu tại B.3.2.4 của Phụ lục B. Hình C.3 thể hiện việc thiết lập phép đo.

Hình C.3 - Thiết lập điều kiện đo kiểm khắc nghiệt
C.4.2. Sử dụng thiết bị cố định thử nghiệm
C.4.2.1. Tổng quát
Một thiết bị cố định thử nghiệm có thể được sử dụng để tạo điều kiện cho các phép đo trong điều kiện khắc nghiệt.
C.4.2.2. Đặc điểm
Thiết bị cố định là một thiết bị vô tuyến để ghép ăng ten tích hợp của EUT với thiết bị đầu cuối RF 50 Ω tại tần số mà các phép đo cần phải thực hiện.
Các thiết bị cố định thử nghiệm phải được mô tả đầy đủ.
Ngoài ra, thiết bị cố định thử nghiệm sẽ cung cấp:
a) Kết nối với nguồn điện bên ngoài;
b) Một phương pháp để cung cấp đầu vào hoặc đầu ra từ thiết bị. Điều này có thể bao gồm khớp nối đến hoặc từ ăng ten. Thiết bị cố định thử nghiệm cũng có thể cung cấp phương tiện ghép nối phù hợp, ví dụ: Cho đầu ra là dữ liệu hoặc video.
Các thiết bị cố định thử nghiệm thường được cung cấp bởi nhà sản xuất.
Các đặc tính hiệu suất của thiết bị cố định thử nghiệm phải được phòng đo kiểm chấp thuận và phải phù hợp với các thông số cơ bản sau:
a) Suy hao ghép nối không được lớn hơn 30 dB;
b) Đặc tính băng thông thích hợp;
c) Thay đổi suy hao ghép nối trên dải tần số được sử dụng cho phép đo không được vượt quá 2 dB;
d) Mạch liên kết với ghép nối RF chứa các thiết bị không chủ động hoặc phi tuyến tính;
e) VSWR tại đầu nối 50Ω không được lớn hơn 1,5 trên dải tần số của các phép đo;
f) Suy hao ghép nối phải độc lập với vị trí của thiết bị cố định thử nghiệm và không bị ảnh hưởng bởi sự gần nhau của đồ vật xung quanh hoặc người. Suy hao ghép nối phải được tái tạo khi thiết bị được gỡ bỏ và được thay thế. Thông thường, thiết bị cố định thử nghiệm ở một vị trí cố định và cung cấp một vị trí cố định cho EUT;
g) Suy hao ghép nối không đổi khi điều kiện môi trường thay đổi.
Suy hao ghép nối của thiết bị cố định thử nghiệm có thể có mức nhiễu tối đa từ dụng cụ thử nghiệm là +10 dB. Nếu mức suy hao quá cao, một bộ LNA tuyến tính có thể được sử dụng bên ngoài thiết bị cố định thử nghiệm .

Hình C.4 - Thiết bị cố định thử nghiệm
Đầu dò trường (hoặc ăng ten nhỏ) cần được chấm dứt hoạt động hợp lý.
Các đặc tính và xác nhận sẽ được nêu trong kết quả đo kiểm.
C.4.2.3. Xác nhận thiết bị cố định thử nghiệm trong buồng nhiệt độ
Thiết bị cố định thử nghiệm được đưa vào buồng nhiệt độ (chỉ cần thiết nếu các phép đo thiết bị cố định thử nghiệm được thực hiện trong điều kiện nhiệt độ khắc nghiệt).
Bước 1
Một ăng ten phát được kết nối với một bộ tạo tín hiệu phải được đặt từ thiết bị cố định thử nghiệm ở khoảng cách trường xa không được nhỏ hơn một λ tại tần số đó. Thiết bị cố định thử nghiệm bao gồm bộ hỗ trợ cơ học cho EUT, ăng ten hoặc đầu dò trường và một bộ suy hao 50 Ω để kết thúc đầu dò trường. Thiết bị cố định thử nghiệm phải được kết nối với máy phân tích phổ thông qua đầu nối 50 Ω. Một bộ tạo tín hiệu phải được cài đặt ở tần số danh định của EUT (xem Hình C.5). Công suất đầu ra của tín hiệu không được điều chế từ bộ tạo tín hiệu phải được đặt ở một giá trị sao cho ở mức đủ cao để có thể quan sát được với máy phân tích phổ. Giá trị tham chiếu này phải được ghi lại trong kết quả đo kiểm. Bộ tạo tín hiệu sau đó được đặt tới giới hạn băng tần trên và dưới của dải tần số được ấn định của EUT. Các giá trị đo sẽ không sai lệch hơn 1 dB so với giá trị ở tần số danh định.

Hình C.5 - Xác nhận thiết bị cố định thử nghiệm không cần EUT
Bước 2
Trong quá trình xác nhận và thử nghiệm, EUT phải được gắn vào thiết bị cố định thử nghiệm ở chế độ tắt, xem Hình C.6. Các phép đo ở Bước 1 sẽ được lặp lại, lần này với EUT tại chỗ. Các giá trị đo được so sánh với các giá trị ở Bước 1 và không được thay đổi quá 2 dB. Điều này để EUT không phải là nguyên nhân gây ra suy giảm đáng kể công suất bức xạ.

Hình C.6 - Xác nhận thiết bị cố định thử nghiệm với EUT đặt tại chỗ
C.4.2.4. Sử dụng thiết bị cố định thử nghiệm để đo kiểm trong buồng nhiệt độ
Ở đây, bộ tạo tín hiệu và ăng ten phát được loại bỏ. EUT được cung cấp nguồn DC thông qua nguồn điện bên ngoài (xem hình C.7). Trong trường hợp EUT hoạt động bằng pin, được cấp bởi nguồn điện tạm thời cũng như đường tín hiệu điều khiển tạm thời, một bộ lọc ghép nối phải được thêm trực tiếp tại EUT để tránh ký sinh trùng, bức xạ điện từ.
Tại cổng 50 Ω của thiết bị cố định thử nghiệm, một máy thu đo được kết nối để ghi lại các thông số cần quan tâm.

Hình C.7 –Đo EUT thực hiện trong buồng nhiệt độ
C.5. Ăng ten thử nghiệm
C.5.1. Tổng quát
Một ăng ten thử nghiệm luôn được sử dụng trong các phương pháp thử nghiệm bức xạ. Trong các phép đo phát xạ (đó là: công suất bức xạ hiệu dụng, phát xạ giả) ăng ten thử nghiệm được sử dụng để phát hiện trường từ EUT trong một giai đoạn đo và từ ăng ten thay thế trong giai đoạn khác. Khi khu vực đo kiểm được sử dụng để đo các đặc tính của máy thu (tức là độ nhạy và các thông số miễn nhiễm khác nhau) ăng ten được sử dụng như thiết bị vô tuyến phát.
Ăng ten thử nghiệm phải được gắn trên giá đỡ có khả năng cho phép ăng ten được sử dụng theo phân cực ngang hoặc phân cực dọc, trên các vị trí mặt phẳng mặt đất (tức là các phòng đo kiểm không phản xạ với mặt phẳng mặt đất) nên cho phép bổ sung chiều cao so với tâm của nó so với mặt đất được thay đổi trong phạm vi chỉ định (thường là 1 m đến 4 m).
Trong dải tần số 30 MHz đến 1 000 MHz, ăng ten lưỡng cực (được chế tạo theo ANSI C63.5 ) thường được khuyến nghị. Đối với các tần số từ 80 MHz trở lên, các mặt lưỡng cực phải có độ dài mặt bức xạ để cộng hưởng ở tần số thử nghiệm. Đối với tần số dưới 80 MHz, khuyến nghị nên rút ngắn chiều dài mặt bức xạ. Tuy nhiên, đối với phép đo phát xạ giả, sự kết hợp giữa các ăng ten đối xứng và ăng ten mảng lưỡng cực định kỳ (thường được gọi là "logicic") có thể được sử dụng để bao phủ toàn bộ dải tần 30 MHz đến 1 000 MHz. Trên 1 000 MHz, các ống dẫn sóng hình loa được khuyến nghị dùng, độ lợi, ăng ten mảng đa hướng (log periodic antenna) có thể được sử dụng.
CHÚ THÍCH: Độ lợi của ăng ten loa thường được mô tả liên quan đến bộ bức xạ đẳng hướng.
C.5.2. Ăng ten thay thế
Ăng ten thay thế được sử dụng để thay thể EUT cho các thông số truyền (đó là: lỗi tần số, công suất bức xạ hiệu dụng, phát xạ giả và công suất kênh lân cận) đang được đo. Đối với các phép đo trong dải tần 30 MHz đến 1 000 MHz, ăng ten thay thế phải là ăng ten lưỡng cực (được chế tạo theo ANSI C63.5). Đối với các tần số từ 80 MHz trở lên, các mặt lưỡng cực phải có độ dài mặt bức xạ để cộng hưởng ở tần số thử nghiệm. Đối với tần số dưới 80 MHz, khuyến nghị nên rút ngắn chiều dài mặt bức xạ. Đối với các phép đo trên 1 000 MHz, ống dẫn sóng chuẩn độ lợi hình loa được khuyến nghị dùng.
C.5.3 Ăng ten đo
Ăng ten đo được sử dụng trong các thử nghiệm trên EUT cho các thông số thu (đó là: độ nhạy và các phép đo miễn nhiễm khác nhau) đang được đo. Mục đích là để đo cường độ điện trường trong vùng lân cận của EUT.
Đối với các phép đo trong dải tần 30 MHz đến 1 000 MHz, ăng ten đo phải là ăng ten lưỡng cực (được chế tạo theo ANSI C63.5). Đối với các tần số từ 80 MHz trở lên, các mặt lưỡng cực phải có độ dài mặt bức xạ để cộng hưởng ở tần số thử nghiệm. Đối với tần số dưới 80 MHz, khuyến nghị nên rút ngắn chiều dài mặt bức xạ. Đối với các phép đo trên 1 000 MHz, ống dẫn sóng chuẩn độ lợi hình loa được khuyến nghị. Tâm của ăng ten này nên trùng với tâm pha hoặc tâm âm lượng (như được chỉ định trong phương pháp thử) của EUT.
Phụ lục D
(Quy định)
Phương pháp đo kiểm tiêu chuẩn
D.1. Thiết lập thử nghiệm bức xạ được hiệu chuẩn bằng cách sử dụng tính toán qua liên kết Rx
Máy thu đo, ăng ten thử nghiệm và tất cả các thiết bị liên quan (ví dụ: cáp, bộ lọc, bộ khuếch đại...) phải được hiệu chuẩn theo các tiêu chuẩn đã biết ở tất cả các tần số mà các phép đo thiết bị được thực hiện. Một phương pháp hiệu chuẩn đề xuất được đưa ra trong Phụ lục E.
Nếu sử dụng phòng đo kiểm không phản xạ với mặt phẳng dẫn, mặt sàn phải được che phủ bằng vật liệu hấp thụ trong khu vực phản xạ mặt đất trực tiếp từ EUT đến ăng ten thử nghiệm.
Thiết bị phải được đặt trong phòng đo kiểm không phản xạ (xem Phụ lục C), cho phép đánh giá thiết bị hình cầu. EUT phải được đặt gần nhất với hướng hoạt động bình thường.
Ăng ten thử nghiệm phải được định hướng từ đầu cho phân cực dọc và phải được chọn để phù hợp với tần số của máy phát.
Đầu ra của ăng ten thử nghiệm phải được kết nối với máy phân tích phổ thông qua bất kỳ thiết bị nào (đầy đủ đặc trưng) được yêu cầu để hiển thị tín hiệu có thể đo được (ví dụ: bộ khuếch đại).
EUT được bật ở chế độ không điều chế (nếu có thể), và máy phân tích phổ phải được điều chỉnh theo tần số của máy phát khi đo kiểm.
Ăng ten thử nghiệm phải được nâng lên và hạ xuống trong phạm vi chiều cao được chỉ định cho đến khi mức tín hiệu tối đa xuất hiện trên máy phân tích phôt. Một cách khác là nghiêng EUT trong một phạm vi phù hợp.
EUT sau đó sẽ được xoay 360 ° trong mặt phẳng ngang, cho đến khi xuất hiện mức tín hiệu tối đa trên máy phân tích phổ. Một cách khác là xoay ăng ten thử nghiệm xung quanh EUT.
Ăng ten thử nghiệm phải được nâng lên và hạ xuống một lần nữa trong phạm vi chiều cao được chỉ định cho đến khi xuất hiện mức tín hiệu tối đa trên máy phân tích phổ. Một cách khác là nghiêng EUT trong một phạm vi phù hợp.
Phép đo phải được lặp lại với ăng ten thử nghiệm được định hướng cho phân cực ngang.
Mức tín hiệu tối đa được phát hiện bởi máy phân tích phổ phải được ghi lại và chuyển đổi thành công suất bức xạ bằng cách áp dụng các hệ số hiệu chuẩn được xác định từ trước cho cấu hình thiết bị được sử dụng.
D.2. Thiết lập thử nghiệm bức xạ được hiệu chuẩn bằng cách sử dụng phương pháp thay thế
Trên khu vực đo kiểm được nêu trong Phụ lục C, thiết bị phải được đặt ở độ cao quy định trên giá đỡ như được quy định trong Phụ lục C và ở vị trí gần nhất với việc sử dụng bình thường theo công bố của nhà sản xuất.
Ăng ten thử nghiệm phải được định hướng ban đầu cho phân cực dọc và phải được chọn để tương ứng với tần số của máy phát.
Đầu ra của ăng ten thử nghiệm phải được kết nối với máy phân tích phổ.
EUT phải được bật ở chế độ không điều chế (nếu có thể), và máy phân tích phổ phải được điều chỉnh theo tần số của máy phát khi đo kiểm.
Ăng ten thử nghiệm phải được nâng lên và hạ xuống trong phạm vi chiều cao được chỉ định cho đến khi xuất hiện mức tín hiệu tối đa trên máy phân tích phổ. Một cách khác là nghiêng EUT trong một phạm vi phù hợp.
EUT sau đó sẽ được xoay 360 ° trong mặt phẳng ngang, cho đến khi xuất hiện mức tín hiệu tối đa trên máy phân tích phổ. Một cách khác là xoay ăng ten thử nghiệm xung quanh EUT.
Ăng ten thử nghiệm phải được nâng lên và hạ xuống một lần nữa trong phạm vi chiều cao được chỉ định cho đến khi mức tín hiệu tối đa xuất hiện máy phân tích phổ. Một cách khác là nghiêng EUT trong một phạm vi phù hợp.
Mức tín hiệu tối đa thu được bởi máy phân tích phổ phải được ghi lại.
EUT phải được thay thế bằng ăng ten thay thế như được định nghĩa trong Phụ lục C.
Ăng ten thay thế phải được định hướng cho phân cực dọc và chiều dài của ăng ten thay thế phải được điều chỉnh để tương ứng với tần số của máy phát.
Ăng ten thay thế phải được kết nối với bộ tạo tín hiệu đã được hiệu chuẩn.
Nếu cần, hệ thống suy giảm đầu vào của máy phân tích phổ phải được điều chỉnh để tăng độ nhạy của máy phân tích phổ.
Ăng ten thử nghiệm phải được nâng lên và hạ xuống trong phạm vi chiều cao quy định để đảm bảo nhận được tín hiệu tối đa. Một cách khác là nghiêng ăng ten thay thế thông qua một phạm vi phù hợp. Khi một khu vực đo kiểm như trong C.2 được sử dụng, chiều cao của ăng ten sẽ không được thay đổi.
Tín hiệu đầu vào của ăng ten thay thế phải được điều chỉnh tới mức tạo ra mức phát hiện bởi máy phân tích phổ, bằng với mức công suất bức xạ của máy phát đã được đo, điều chỉnh để thay đổi cài đặt suy giảm đầu vào của máy phân tích phổ.
Giá trị đầu vào của ăng ten thay thế phải được ghi lại như mức công suất, hệ số hiệu chỉnh cho cho bất kỳ thay đổi nào của hệ thống suy giảm đầu vào của máy phân tích phổ.
Phép đo phải được lặp lại với ăng ten thử và ăng ten thay thế được định hướng cho phân cực ngang.
Công suất bức xạ của thiết bị vô tuyến đo được là giá trị lớn hơn trong hai mức thu được tại đầu vào của ăng ten thay thế và hệ số hiệu chỉnh cho độ lợi của ăng ten thay thế.
Phụ lục E
(Quy định )
Tính toán đường truyền Rx
Phụ lục này mô tả chi tiết về quy trình hiệu chuẩn để tạo thuận lợi cho các phép đo như được mô tả trong D.1 của Phụ lục D.
Việc hiệu chuẩn cài đặt các phép đo thiết lập mối quan hệ giữa đầu ra thu được và công suất phát (lấy mẫu tại vị trí của ăng ten phát) từ EUT tại khu vực đo kiểm. Điều này có thể đạt được (ở tần số cao hơn) bằng cách sử dụng ăng ten đã hiệu chuẩn với độ lợi cho trước, được cung cấp từ nguồn tín hiệu bên ngoài, thay cho EUT để xác định các biến đổi trong công suất thu được theo tần số. Các phép hiệu chuẩn được thiết lập như mô tả trong Hình E.1.

Hình E.1 - Cấu hình thiết lập hiệu chuẩn
Đối với các tần số cao hơn, thường là trên 40 GHz, có thể sử dụng bộ chuyển đổi/bộ trộn giữa ăng ten thu và bộ thu đo, như trong Hình E.2.

Hình E.2 - Cấu hình thiết lập hiệu chuẩn bao gồm bộ trộn
Việc hiệu chuẩn cài đặt cho phép đo phải được thực hiện bởi nhà sản xuất hoặc phòng thử nghiệm. Kết quả phải được phòng đo kiểm chấp thuận.
Người thực hiện đo kiểm có trách nhiệm lấy được kết quả chính xác của phép đo. Dưới đây là một ví dụ về phương pháp hiệu chuẩn chính xác đã được kiểm chứng:
a) Hiệu chuẩn tất cả các dụng cụ bằng cách sử dụng theo các cách hiệu chuẩn thông thường.
b) Tháo EUT khỏi thiết bị cố định thử nghiệm và thay thế EUT bằng ăng ten đã hiệu chuẩn. Định hướng cẩn thận ăng ten đã hiệu chuẩn trong EUT đối với ăng ten bố trí thử nghiệm. Mặt phẳng tham chiếu của ăng ten hiệu chuẩn phải trùng với mặt phẳng tham chiếu EUT. Khoảng cách giữa ăng ten hiệu chuẩn và ăng ten bố trí thử nghiệm phải dựa trên kết quả theo B.3.2.4 của Phụ lục B.
c) Kết nối bộ tạo tín hiệu với ăng ten đã hiệu chuẩn.
d) Kết nối bộ suy hao 10 dB với ăng ten bố trí thử nghiệm để cải thiện VSWR. Nếu SNR của ăng ten đo kiểm thấp thì có thể bỏ qua bộ suy hao.
e) Kết nối đồng hồ đo công suất với ăng ten bố trí thử nghiệm, bao gồm bộ suy hao 10 dB, nếu cần thì thiết lập bộ tạo tín hiệu ở mức tần số và mức công suất tương tự với giá trị dự kiến của đầu ra EUT.
f) Phải tính đến độ lợi từ cả ăng ten hiệu chuẩn và ăng ten bố trí thử nghiệm, suy hao từ bộ suy hao và tất cả các loại cáp đang sử dụng, mức tăng của LNA và mức tăng của bộ chuyển đổi/bộ trộn, nếu cần.
g) Ghi lại giá trị đọc tuyệt đối của máy đo công suất.
h) Thay thế máy đo công suất bằng máy phân tích phổ.
i) Điều chỉnh tần số và mức công suất của bộ tạo tín hiệu thành các giá trị tương tự với đầu ra EUT. Áp dụng tín hiệu này cho ăng ten đã hiệu chuẩn.
j) Hãy tính đến độ lợi từ cả ăng ten đã hiệu chuẩn và ăng ten bố trí thử nghiệm, suy hao từ bộ suy hao và tất cả các loại cáp đang sử dụng, độ lợi của LNA và độ lợi của bộ chuyển đổi/bộ trộn, nếu cần. Thay vì bộ hao bên ngoài, bộ hao tích hợp của máy phân tích phổ có thể được sử dụng.
k) Đặt máy phân tích phổ ở chế độ RMS với RBW và VBW ít nhất bằng băng thông tín hiệu đầu ra của bộ tạo tín hiệu với tốc độ quét phân tích phổ thích hợp. Ghi lại giá trị đọc tuyệt đối tín hiệu đầu vào của máy phân tích phổ.
l) Công suất tuyệt đối đã đọc được từ đồng hồ đo công suất và máy phân tích phổ không được khác nhau nhiều hơn độ không đảm bảo quy định của các thiết bị đo được sử dụng.
m) Tính tổng suy hao từ mặt phẳng tham chiếu EUT đến máy phân tích phổ như sau:
P_reading = mức công suất tuyệt đối (ví dụ: dBm) được ghi nhận từ máy đo công suất /máy phân tích phổ.
G_Tx = độ lợi ăng ten (tính bằng dB) của ăng ten đã hiệu chuẩn trong EUT
G_Rx = độ lợi ăng ten (tính bằng dB) của ăng ten bố trí thử nghiệm.
G_ATT = bộ suy hao 10 dB (0 dB, nếu không sử dụng bộ suy hao).
G_cable = là tổng suy hao (tính bằng dB) của tất cả các cáp được sử dụng trong thử nghiệm.
G_LNA = độ lợi của bộ khuếch đại nhiễu thấp (0 dB, nếu không sử dụng LNA).
G_Mix = độ lợi của bộ trộn (0 dB, nếu bộ trộn không được sử dụng)
CHÚ THÍCH: Thông thường, bộ trộn có suy hao chuyển đổi nhưng có thể bao gồm LNA để bù một số độ lợi ở đầu ra.
G_fs_loss = suy hao không gian tự do (tính bằng dB) giữa ăng ten đã hiệu chuẩn (Tx) trong EUT và ăng ten bố trí thử nghiệm (Rx).
C_ATT = suy hao được tính toán (tính bằng dB) của tất cả các suy hao được tham chiếu đến vị trí EUT.
C_ATT = G_fs_loss - G_Rx + G_cable2 - G-LNA + G_cable1 + G-ATT.
p_e.i.r.p. = mức công suất tuyệt đối (ví dụ: dBm) của EUT (e.i.r.p.).
P_e.i.r.p. = P_reading - C_ATT.
Việc hiệu chuẩn phải được thực hiện ở mức tối thiểu ba tần số trong dải tần số hoạt động.

Hoặc nếu có sử dụng bộ trộn:

Các giá trị G_cable1 và G_cable2 là âm. Tùy thuộc vào bộ trộn được chọn, nó có thể giống với G_Mix.
Khu vực đo kiểm như được mô tả trong phụ lục C, đáp ứng các yêu cầu của dải tần số quy định và các mức phát xạ được chỉ định thấp nhất không bị xáo trộn của phép đo này, sẽ được sử dụng.
Phụ lục F
(Quy định)
Máy thu đo
F.1. Nhận xét chung
Máy thu đo bao gồm máy đo công suất, máy phân tích phổ, máy phân tích tín hiệu và các dụng cụ so sánh. Nếu không có máy thu đo phù hợp để xử lý trực tiếp tần số truyền EUT, thì bộ chuyển đổi giảm tần bên ngoài được sử dụng để dịch chuyển dải tần số truyền EUT sang dải tần số phù hợp với máy thu có sẵn (xem Hình F.1). Bộ tiền khuếch đại phải được chọn sao cho biên độ của tín hiệu đo được tốt hơn trên mức độ nhạy của máy thu đo.

Hình F.1 - Sử dụng bộ chuyển đổi làm giảm tần số phía trước máy thu đo
Để xác định các giá trị e.i.r.p, đọc từ máy thu đo (có thể bao gồm bộ chuyển đổi giảm tần) phải là được hiệu chuẩn để bao gồm cả các độ lợi và suy hao, ví dụ: Độ lợi ăng ten, suy hao trong không gian tự do... số lượng yêu cầu hiệu chuẩn bằng cách sử dụng phương pháp thay thế (xem thêm Phụ lục D).
F.2. Đồng hồ đo công suất
Để đo mức công suất, đồng hồ đo công suất là một máy thu đo phù hợp. Các cảm biến đo công suất khác nhau luôn sẵn có:
a) Cảm biến công suất đỉnh thực sự.
b) Cảm biến công suất trung bình (RMS thực thực sự). Nó có thể là:
- một đồng hồ đo công suất dựa trên điện trở nhiệt; hoặc là
- một đồng hồ đo công suất dựa trên đi ốt với thời gian trung bình đủ cao. Cần phải chú ý rằng hệ số hiệu chỉnh công suất chính xác được chọn cho các tần số đầu vào
F.3. Máy phân tích phổ
Để đo các đại lượng đơn giản như băng thông chiếm dụng, máy phân tích phổ là máy thu đo phù hợp.
Thiết bị này được đặc trưng bởi các tham số sau:
• Tần suất bắt đầu;
• Tần số dừng;
• Băng thông phân giải;
• Băng thông video;
• Chế độ phát hiện (ví dụ: đỉnh, RMS, V.V.);
CHÚ THÍCH: Các phép đo trung bình RMS có thể được thực hiện trực tiếp bằng cách sử dụng máy phân tích phổ kết hợp một máy phát hiện RMS. Ngoài ra, mức RMS thực sự có thể được đo bằng máy phân tích phổ không kết hợp máy dò RMS (xem Khuyến nghị ITU-R SM.1754 để biết chi tiết).
• Chế độ hiển thị (ví dụ: Max-hold,...);
• Thời gian trung bình;
• Thời gian quét.
• Xử lý đánh dấu, ví dụ:
- Chức năng OBW 99 %: trong đường bao công suất của băng thông chiếm dụng sẽ chứa 99 % phát xạ,
- Chức năng công suất kênh, chúng tích hợp mật độ công suất RMS trên một dải tần số nhất định.
Băng thông phân giải và đáp ứng bộ lọc độ phân giải của máy phân tích phổ phải theo CISPR 16.
Để có được độ nhạy cần thiết, có thể cần băng thông đo hẹp hơn, trong những trường hợp như vậy thì sẽ phải được nêu trong kết quả đo kiểm. Băng thông phân giải của máy phân tích phổ được nêu trong Bảng F.1
Bảng F.1 - Đặc tính của máy thu đo
|
Tần số |
Băng thông máy thu đo |
|
30 MHz < f < 1 000 MHz |
100 kHz |
|
f > 1 000 MHz |
1 MHz |
F.4. Máy phân tích tín hiệu
Để đo các tham số phức tạp như tần số theo thời gian, máy phân tích tín hiệu là máy thu đo phù hợp. Máy phân tích tín hiệu là các thiết bị dựa trên FFT. Kết quả của các phép đo sử dụng máy phân tích tín hiệu là: Biểu đồ phổ, hiển thị thời gian trên trục X, tần số trên trục y và biên độ dưới dạng các chấm được mã hóa màu (xem ví dụ trong Hình F.2). Sử dụng một điểm đánh dấu, cũng có thể đọc được các mức công suất định lượng trong một thời gian nhất định và vị trí tần số.

Hình F.2 - Ví dụ về kết quả đo bằng biểu đồ phổ
Công cụ này được đặc trưng bởi các tham số sau:
• Tổng thời gian đo;
• Độ phân giải thời gian;
• Dải tần số;
• Độ phân giải tần số;
• Mức công suất tối thiểu;
• Mức công suất tối đa;
• Độ phân giải mức công suất.
Điều đó có thể được chuyển dịch sang các cài đặt sau để chuyển đổi tương tự sang số và FFT:
• Tốc độ lấy mẫu = 2 x tần số tối đa xảy ra ở đầu vào máy phân tích tín hiệu
(= đầu ra bộ chuyển đổi giảm tần số xuống nếu sử dụng bộ chuyển đổi)
• Kích thước FFT = Tốc độ lấy mẫu/độ phân giải tần số;
• Chênh lệch thời gian giữa các FFT liên tiếp = Độ phân giải thời gian;
• Số lượng các FFT = Tổng độ thời gian đo/độ phân giải thời gian.
F.5. Dao động ký
Để đo sự phụ thuộc trong miền thời gian, dao động ký là máy thu đo phù hợp.
Ví dụ, để đo chu kỳ hoạt động công suất, phương pháp đo sử dụng dao động ký được mô tả trong ETSI TR 103 366.
Để đảm bảo thu các các tín hiệu mong muốn, có thể cần một bộ tiền khuếch đại trước và/hoặc bộ phát hiện đường bao ở phía trước đầu vào của dao động ký.
Phụ lục G
(Quy định)
Mã HS của thiết bị ra đa hoạt động trong dải tần 76 GHz đến 77 GHz dùng cho phươngtiện vận tải mặt đất
|
TT |
Tên sản phẩm, hàng hóa theo QCVN |
Mã số HS |
Mô tả sản phẩm, hàng hóa |
|
01 |
Thiết bị Ra đa hoạt động trong dải tần 76 GHz đến 77 GHz dùng cho phương tiện vận tải mặt đất |
8526.10.10 8526.10.90 |
Thiết bị Ra đa cự ly ngắn dùng cho các ứng dụng trong thông tin giao thông (đường bộ hoặc đường sắt) như điều khiển hành trình, phát hiện, cảnh báo, tránh va chạm giữa phương tiện giao thông với vật thể xung quanh. |
Thư mục tài liệu tham khảo
[1] ETSI EN 303 396 V1.1.1 (2016-12) - Short Range Devices; Measurement Techniques for Automotiveand Surveillance Radar Equipment;
[2] ETSI EN 301 091-1 V2.1.1 (2017-01) - Short Range Devices; Transport and Traffic Telematics (TTT); Radar equipment operating in the 76 GHz to 77 GHz range; Harmonised standard covering the essential requirements of article 3.2 of Directive 2014/53/EU; Part 1: Ground based vehicular radar.
Bạn chưa Đăng nhập thành viên.
Đây là tiện ích dành cho tài khoản thành viên. Vui lòng Đăng nhập để xem chi tiết. Nếu chưa có tài khoản, vui lòng Đăng ký tại đây!
Bạn chưa Đăng nhập thành viên.
Đây là tiện ích dành cho tài khoản thành viên. Vui lòng Đăng nhập để xem chi tiết. Nếu chưa có tài khoản, vui lòng Đăng ký tại đây!