- Tổng quan
- Nội dung
- VB gốc
- Tiếng Anh
- Hiệu lực
- VB liên quan
- Lược đồ
-
Nội dung hợp nhất
Tính năng này chỉ có tại LuatVietnam.vn. Nội dung hợp nhất tổng hợp lại tất cả các quy định còn hiệu lực của văn bản gốc và các văn bản sửa đổi, bổ sung, đính chính... trên một trang. Việc hợp nhất văn bản gốc và những văn bản, Thông tư, Nghị định hướng dẫn khác không làm thay đổi thứ tự điều khoản, nội dung.
Khách hàng chỉ cần xem Nội dung hợp nhất là có thể nắm bắt toàn bộ quy định hiện hành đang áp dụng, cho dù văn bản gốc đã qua nhiều lần chỉnh sửa, bổ sung.
- Tải về
Thông tư 07/2019/TT-BTTTT Quy chuẩn kỹ thuật quốc gia về chất lượng dịch vụ điện thoại
| Cơ quan ban hành: | Bộ Thông tin và Truyền thông |
Số công báo:
Số công báo là mã số ấn phẩm được đăng chính thức trên ấn phẩm thông tin của Nhà nước. Mã số này do Chính phủ thống nhất quản lý.
|
Đã biết
|
| Số hiệu: | 07/2019/TT-BTTTT | Ngày đăng công báo: |
Đã biết
|
| Loại văn bản: | Thông tư | Người ký: | Nguyễn Mạnh Hùng |
|
Ngày ban hành:
Ngày ban hành là ngày, tháng, năm văn bản được thông qua hoặc ký ban hành.
|
16/08/2019 |
Ngày hết hiệu lực:
Ngày hết hiệu lực là ngày, tháng, năm văn bản chính thức không còn hiệu lực (áp dụng).
|
Đang cập nhật |
|
Áp dụng:
Ngày áp dụng là ngày, tháng, năm văn bản chính thức có hiệu lực (áp dụng).
|
Đã biết
|
Tình trạng hiệu lực:
Cho biết trạng thái hiệu lực của văn bản đang tra cứu: Chưa áp dụng, Còn hiệu lực, Hết hiệu lực, Hết hiệu lực 1 phần; Đã sửa đổi, Đính chính hay Không còn phù hợp,...
|
Đã biết
|
| Lĩnh vực: | Thông tin-Truyền thông |
TÓM TẮT THÔNG TƯ 07/2019/TT-BTTTT
Ngày 16/8/2019, Bộ Thông tin và Truyền thông đã ra Thông tư 07/2019/TT-BTTTT về việc ban hành "Quy chuẩn kỹ thuật quốc gia về chất lượng dịch vụ điện thoại trên mạng viễn thông cố định mặt đất".
Quy chuẩn này quy định mức giới hạn các chỉ tiêu chất lượng đối với dịch vụ điện thoại trên mạng viễn thông cố định mặt đất theo phương thức quay số trực tiếp. Chỉ tiêu chất lượng kỹ thuật cụ thể như sau:
Thứ nhất, tỷ lệ cuộc gọi thiết lập không thành công được quy định đối với liên lạc nội tỉnh, thành phố <5%, liên lạc liên tỉnh <6%. Các phương pháp xác định bao gồm: Phương pháp sử dụng thiết bị đo (Tổng số cuộc gọi lấy mẫu cần thiết tối thiểu là 1.500 cuộc gọi đối với từng chỉ tiêu trên); Phương pháp mô phỏng (số cuộc gọi mô phỏng không được vượt quá 32 cuộc gọi đối với Tổng đài điện thoại nội hạt trung tâm…)
Thứ hai, tỷ lệ cuộc gọi bị ghi cước sai ≤ 0,1%. Trong đó, tổng số cuộc gọi lấy mẫu cần thiết tối thiểu là 10.000 cuộc gọi, việc xác định có thể áp dụng một trong hai hoặc kết hợp cả hai phương pháp mô phỏng và giám sát báo hiệu.
Thông tư này có hiệu lực từ ngày 01/3/2020.
Xem chi tiết Thông tư 07/2019/TT-BTTTT có hiệu lực kể từ ngày 01/03/2020
Tải Thông tư 07/2019/TT-BTTTT
|
BỘ THÔNG TIN VÀ TRUYỀN THÔNG ------------ Số: 07/2019/TT-BTTTT |
CỘNG HÒA XÃ HỘI CHỦ NGHĨA VIỆT NAM Hà Nội, ngày 16 tháng 8 năm 2019 |
Căn cứ Luật Tiêu chuẩn và Quy chuẩn kỹ thuật ngày 29 tháng 6 năm 2006;
Căn cứ Luật Viễn thông ngày 23 tháng 11 năm 2009;
Căn cứ Luật Tần số vô tuyến điện ngày 23 tháng 11 năm 2009;
Căn cứ Nghị định số 127/2007/NĐ-CP ngày 01 tháng 8 năm 2007 của Chính phủ quy định chi tiết và hướng dẫn thi hành một số điều của Luật Tiêu chuẩn và Quy chuẩn kỹ thuật;
Căn cứ Nghị định số 78/2018/NĐ-CP ngày 16 tháng 5 năm 2018 của Chính phủ sửa đổi, bổ sung một số điều của Nghị định số 127/2007/NĐ-CP ngày 01 tháng 8 năm 2007 của Chính phủ quy định chi tiết thi hành một số điều Luật tiêu chuẩn và quy chuẩn kỹ thuật;
Căn cứ Nghị định số 17/2017/NĐ-CP ngày 17 tháng 02 năm 2017 của Chính phủ quy định chức năng, nhiệm vụ, quyền hạn và cơ cấu tổ chức của Bộ Thông tin và Truyền thông;
Theo đề nghị của Vụ trưởng Vụ Khoa học và Công nghệ,
Bộ trưởng Bộ Thông tin và Truyền thông ban hành Thông tư quy định Quy chuẩn kỹ thuật quốc gia về chất lượng dịch vụ điện thoại trên mạng viễn thông cố định mặt đất.
Điều 1. Ban hành kèm theo Thông tư này Quy chuẩn kỹ thuật quốc gia về chất lượng dịch vụ điện thoại trên mạng viễn thông cố định mặt đất (QCVN 35:2019/BTTTT).
Điều 2. Hiệu lực thi hành
1. Thông tư này có hiệu lực thi hành kể từ ngày 01 tháng 03 năm 2020.
2. Quy chuẩn kỹ thuật quốc gia về chất lượng dịch vụ điện thoại trên mạng viễn thông cố định mặt đất, Ký hiệu QCVN 35:2011/BTTTT quy định tại Khoản 2 Điều 1 Thông tư số 11/2011/TT-BTTTT ngày 26 tháng 5 năm 2011 của Bộ trưởng Bộ Thông tin và Truyền thông ban hành Quy chuẩn kỹ thuật quốc gia về viễn thông hết hiệu lực thi hành kể từ ngày 01 tháng 03 năm 2020.
Điều 3. Chánh Văn phòng, Vụ trưởng Vụ Khoa học và Công nghệ, Thủ trưởng các cơ quan, đơn vị thuộc Bộ Thông tin và Truyền thông, Giám đốc Sở Thông tin và Truyền thông các tỉnh, thành phố trực thuộc Trung ương và các tổ chức, cá nhân có liên quan chịu trách nhiệm thi hành Thông tư này./.
|
Nơi nhận: - Các Bộ, cơ quan ngang Bộ, cơ quan thuộc Chính phủ; - UBND và Sở TTTT các tỉnh, thành phố trực thuộc - Cục Kiểm tra văn bản QPPL (Bộ Tư pháp); - Công báo, Cổng TTĐT Chính phủ; - Bộ TTTT: Bộ trưởng và các Thứ trưởng, Các cơ quan, đơn vị thuộc Bộ, Cổng thông tin điện tử Bộ; - Lưu: VT, KHCN (250).
|
BỘ TRƯỞNG
(Đã ký)
Nguyễn Mạnh Hùng
|
CỘNG HÒA XÃ HỘI CHỦ NGHĨA VIỆT NAM
QCVN 35:2019/BTTTT
QUY CHUẨN KỸ THUẬT QUỐC GIA
VỀ CHẤT LƯỢNG DỊCH VỤ ĐIỆN THOẠI
TRÊN MẠNG VIỄN THÔNG CỐ ĐỊNH MẶT ĐẤT
National technical regulation
on quality of telephone service on the Fixed Public
Telecommunications Network
HÀ NỘI -2019
Mục lục
1. QUY ĐỊNH CHUNG
1.1. Phạm vi điều chỉnh
1.2. Đối tượng áp dụng
1.3. Giải thích từ ngữ
1.4. Ký hiệu, chữ viết tắt
2. QUY ĐỊNH KỸ THUẬT
2.1. Chỉ tiêu chất lượng kỹ thuật
2.1.1. Tỷ lệ cuộc gọi thiết lập không thành công
2.1.2 Độ chính xác ghi cước
2.1.3. Tỷ lệ cuộc gọi bị tính cước, lập hóa đơn sai
2.2. Chỉ tiêu chất lượng phục vụ
2.2.1. Độ khả dụng của dịch vu
2.2.2. Sự cố đường dây thuê bao
2.2.3. Thời gian chờ sửa chữa sự cố đường dây thuê bao
2.2.4. Thời gian thiết lập dịch vụ
2.2.5. Khiếu nại của khách hàng về chất lượng dịch vụ
2.2.6. Hồi âm khiếu nại của khách hàng
2.2.7. Dịch vụ trợ giúp khách hàng
3. QUY ĐỊNH VỀ QUẢN LÝ
4. TRÁCH NHIỆM CỦA TỔ CHỨC, CÁ NHÂN
5. TỔ CHỨC THỰC HIỆN
Lời nói đầu
QCVN 35:2019/BTTTT thay thế QCVN 35:2011/BTTTT.
QCVN 35:2019/BTTTT do Cục Viễn thông biên soạn, Vụ Khoa học và Công nghệ thẩm định và trình duyệt, Bộ Thông tin và Truyền thông ban hành kèm theo Thông tư số /2019/TT-BTTTT ngày ... tháng ....năm 2019.
QUY CHUẨN KỸ THUẬT QUỐC GIA
VỀ CHẤT LƯỢNG DỊCH VỤ ĐIỆN THOẠI
TRÊN MẠNG VIỄN THÔNG CỐ ĐỊNH MẶT ĐẤT
National technical regulation
on quality of telephone service on the Fixed Public
Telecommunications Network
1. QUY ĐỊNH CHUNG
1.1. Phạm vi điều chỉnh
Quy chuẩn này quy định mức giới hạn các chỉ tiêu chất lượng đối với dịch vụ điện thoại trên mạng viễn thông cố định mặt đất theo phương thức quay số trực tiếp.
1.2. Đối tượng áp dụng
Quy chuẩn này áp dụng đối với Cơ quan quản lý nhà nước và doanh nghiệp viễn thông cung cấp dịch vụ điện thoại trên mạng viễn thông cố định mặt đất (sau đây gọi tắt DNCCDV) để thực hiện quản lý chất lượng dịch vụ này theo quy định của Nhà nước và của Bộ Thông tin và Truyền thông.
Quy chuẩn này cũng là cơ sở để người sử dụng giám sát chất lượng dịch vụ điện thoại trên mạng viễn thông cố định mặt đất của các doanh nghiệp.
1.3. Giải thích từ ngữ
1.3.1. Khách hàng
Khách hàng (người sử dụng dịch vụ) là các cá nhân, tổ chức Việt Nam hoặc nước ngoài sử dụng dịch vụ điện thoại trên mạng viễn thông cố định mặt đất.
1.3.2. Chất lượng dịch vụ
Kết quả tổng hợp của các chỉ tiêu thể hiện mức độ hài lòng của người sử dụng dịch vụ đối với dịch vụ đó.
1.3.3. Cuộc gọi thiết lập không thành công
Cuộc gọi mà sau khi quay số, thuê bao chủ gọi không nhận được tín hiệu phản hồi về trạng thái của thuê bao bị gọi.
1.3.4. Sự cố
Hư hỏng của một hoặc một số phần tử của mạng viễn thông cố định mặt đất (ngoại trừ các hư hỏng đường dây thuê bao) dẫn đến việc gián đoạn đường liên lạc của một hoặc một số thuê bao.
1.3.5. Đường dây thuê bao
Đường truyền dẫn hữu tuyến hoặc vô tuyến kết nối tổng đài nội hạt của DNCCDV (tính từ điểm đấu nối tại giá phối dây của tổng đài nội hạt) với thiết bị đầu cuối thuê bao một đường của người sử dụng (tính đến điểm kết cuối của mạng viễn thông cố định mặt đất).
1.3.6. Độ dài đàm thoại thực của cuộc gọi
Khoảng thời gian đàm thoại giữa chủ gọi và bị gọi, trong đó: thời điểm bắt đầu đàm thoại được tính từ lúc bị gọi nhấc máy; thời điểm kết thúc cuộc gọi được tính từ lúc một trong hai bên chủ gọi hoặc bị gọi đặt máy hoặc do mạng tự kết thúc cuộc gọi.
1.3.7. Phương pháp xác định
Phương pháp xác định là các phương pháp đánh giá chất lượng dịch vụ với mức lấy mẫu tối thiểu được quy định để Cơ quan quản lý nhà nước và DNCCDV áp dụng trong việc đo kiểm chất lượng dịch vụ.
Mỗi chỉ tiêu chất lượng được quy định một hay nhiều phương pháp xác định khác nhau. Trong trường hợp chỉ tiêu chất lượng dịch vụ được xác định bằng nhiều phương pháp khác nhau quy định tại Quy chuẩn này thì chỉ tiêu chất lượng được đánh giá là phù hợp khi kết quả đánh giá bởi mỗi phương pháp đều phù hợp với mức chỉ tiêu quy định.
1.4. Ký hiệu, chữ viết tắt
d Ngày
h Giờ
s Giây
ITU Liên minh viễn thông thế giới
2. QUY ĐỊNH KỸ THUẬT
2.1. Chỉ tiêu chất lượng kỹ thuật
2.1.1. Tỷ lệ cuộc gọi thiết lập không thành công
2.1.1.1. Định nghĩa
Tỷ lệ cuộc gọi thiết lập không thành công là tỷ lệ (%) giữa số cuộc gọi thiết lập không thành công trên tổng số cuộc gọi.
2.1.1.2. Chỉ tiêu
Tỷ lệ cuộc gọi thiết lập không thành công được quy định đối với:
- Liên lạc nội tỉnh, thành phố: < 5%
- Liên lạc liên tỉnh: < 6%
2.1.1.3. Phương pháp xác định
- Các phương pháp sử dụng thiết bị đo: Tổng số cuộc gọi lấy mẫu cần thiết tối thiểu là 1500 cuộc gọi đối với từng chỉ tiêu nêu trên. Việc xác định có thể áp dụng một trong hai hoặc kết hợp cả hai phương pháp sau:
+ Phương pháp mô phỏng: Các cuộc gọi mô phỏng phải thực hiện vào các giờ khác nhau trong ngày; số cuộc gọi mô phỏng đồng thời không được vượt quá 32 cuộc gọi đối với Tổng đài điện thoại nội hạt trung tâm (Host) và không quá 16 cuộc gọi đối với các tổng đài khác; khoảng cách giữa hai cuộc gọi liên tiếp xuất phát từ cùng một thuê bao chủ gọi không nhỏ hơn 10s.
+ Phương pháp giám sát báo hiệu: Các cuộc gọi lấy mẫu phải vào các giờ khác nhau trong ngày (bao gồm cả giờ cao điểm và thấp điểm); điểm đấu nối máy đo giám sát báo hiệu tại các tổng đài Host hoặc Tổng đài điện thoại chuyển tiếp nội hạt (Local Tandem); việc giám sát được thực hiện trên các luồng báo hiệu hoạt động bình thường hàng ngày và bảo đảm không làm ảnh hưởng đến hoạt động bình thường của mạng
- Phương pháp giám sát bằng tính năng sẵn có của mạng: số lượng cuộc gọi lấy mẫu tối thiểu là toàn bộ cuộc gọi trong 7d liên tiếp.
2.1.2. Độ chính xác ghi cước
2.1.2.1. Tỷ lệ cuộc gọi bị ghi cước sai
2.1.2.1.1. Định nghĩa
Tỷ lệ cuộc gọi bị ghi cước sai là tỷ lệ (%) giữa số cuộc gọi bị ghi cước sai trên tổng sổ cuộc gọi.
Cuộc gọi bị ghi cước sai bao gồm:
- Cuộc gọi ghi cước nhưng không có thực,
- Cuộc gọi có thực nhưng không ghi cước;
- Cuộc gọi ghi sai số chủ gọi và/hoặc số bị gọi;
- Cuộc gọi mà giá trị tuyệt đối của hiệu số giữa độ dài cuộc gọi ghi cước và độ dài đàm thoại thực lớn hơn 1s;
- Cuộc gọi được ghi cước có thời gian bắt đầu sai quá 9s về giá trị tuyệt đối so với thời điểm thực lấy theo đồng hồ chuẩn quốc gia.
2.1.2.1.2. Chỉ tiêu
Tỷ lệ cuộc gọi bị ghi cước sai ≤ 0,1%.
2.1.2.1.2. .3. Phương pháp xác định
Tổng số cuộc gọi lấy mẫu cần thiết tối thiểu là 10000 cuộc gọi. Việc xác định có thể áp dụng một trong hai hoặc kết hợp cả hai phương pháp sau:
- Phương pháp mô phỏng: Các cuộc gọi mô phỏng phải thực hiện vào các giờ khác nhau trong ngày; số cuộc gọi mô phỏng đồng thời không được vượt quá 32 cuộc gọi đối với Tổng đài điện thoại nội hạt trung tâm (Host) và không quá 16 cuộc gọi đối với các tổng đài khác; khoảng cách giữa hai cuộc gọi liên tiếp xuất phát từ cùng một thuê bao chủ gọi không nhỏ hơn 10s; số cuộc gọi mô phỏng có độ dài từ 1s đến 60s tối thiểu là 60% của tổng số cuộc gọi mô phỏng.
- Phương pháp giám sát báo hiệu: Các cuộc gọi lấy mẫu phải vào các giờ khác nhau trong ngày; điểm đấu nối máy đo giám sát báo hiệu tại các tổng đài Host hoặc Tổng đài điện thoại chuyển tiếp nội hạt việc giám sát được thực hiện trên các luồng báo hiệu hoạt động bình thường hàng ngày và bảo đảm không làm ảnh hưởng đến hoạt động bình thường của mạng.
2.1.2.2. Tỷ lệ thời gian đàm thoại bị ghi cước sai
2.1.2.2.1. Định nghĩa
Tỷ lệ thời gian đàm thoại bị ghi cước sai là tỷ lệ (%) giữa tổng giá trị tuyệt đối thời gian đàm thoại của các cuộc gọi bị ghi cước sai trên tổng thời gian đàm thoại của các cuộc gọi.
2.1.2.2.2. Chỉ tiêu
Tỷ lệ thời gian đàm thoại bị ghi cước sai ≤ 0,1%.
2.1.2.2.3. Phương pháp xác định
Phương pháp xác định tương tự như đối với chỉ tiêu Tỷ lệ cuộc gọi bị ghi cước sai (xem 2 1.3.1.3).
2.1.3. Tỷ lệ cuộc gọi bị tính cước, lập hóa đơn sai
2.1.3.1. Tỷ lệ cuộc gọi bị tính cước sai
2.1.3.1.1. Định nghĩa
Tỷ lệ cuộc gọi bị tính cước sai là tỷ lệ (%) giữa số cuộc gọi bị tính cước sai trên tổng sổ cuộc gọi.
Cuộc gọi bị tính cước sai bao gồm:
- Cuộc gọi không có trong số liệu ghi cước nhưng bị tính cước;
- Cuộc gọi có trong số liệu ghi cước nhưng không được tính cước;
- Cuộc gọi sai số chủ gọi và/hoặc số bị gọi so với số liệu ghi cước;
- Cuộc gọi sai về thời gian bắt đầu và/hoặc thời gian kết thúc và/hoặc độ dài đàm thoại so với số liệu ghi cước;
- Cuộc gọi mà tiền cước bị tính sai.
2.1.3.1.2. Chỉ tiêu
Tỷ lệ cuộc gọi bị tính cước sai ≤ 0,01%.
2.1.3.1.3. Phương pháp xác định
So sánh tối thiểu 10000 cuộc gọi được tính cước với số liệu ghi cước.
2.1.3.2. Tỷ lệ cuộc gọi bị lập hóa đơn sai
2.1.3.2.1. Định nghĩa
Tỷ lệ cuộc gọi bị lập hóa đơn sai là tỷ lệ (%) giữa số cuộc gọi bị lập hóa đơn sai trên tổng số cuộc gọi.
Cuộc gọi bị lập hóa đơn sai bao gồm:
- Cuộc gọi có trong số liệu tính cước nhưng không được lập hóa đơn;
- Cuộc gọi không có trong số liệu tính cước nhưng cỏ trong hóa đơn;
- Cuộc gọi sai số chủ gọi và/hoặc số bị gọi so với số liệu tính cước,
- Cuộc gọi sai về thời gian bắt đầu và/hoặc thời gian kết thúc và/hoặc độ dài đàm thoại so với số liệu tính cước;
- Cuộc gọi mà tiền cước trên hóa đơn bị ghi sai so với số liệu tính cước.
2.1.3.2.2. Chỉ tiêu
Tỷ lệ cuộc gọi bị lập hóa đơn sai ≤ 0,01%.
2.1.3.2.3. Phương pháp xác định
So sánh tối thiểu 10000 cuộc gọi được lập hóa đơn với số liệu tính cước.
2.2. Chỉ tiêu chất lượng phục vụ
2.2.1. Độ khả dụng của dịch vụ
2.2.1.1. Định nghĩa
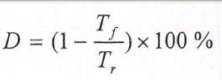
Độ khả dụng của dịch vụ (D) là tỷ lệ thời gian trong đó mạng viễn thông cố định mặt đất sẵn sàng cung cấp dịch vụ cho khách hàng và được tính theo công thức sau:

trong đó: Tr: Thời gian xác định độ khả dụng của dịch vụ;
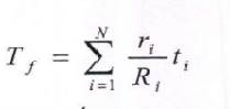
Tf: Thời gian sự cố thuộc trách nhiệm DNCCDV và được tính theo công thức:

N : Tổng số lần xảy ra sự cố trong thời gian xác định độ khả dụng;
Ri: Tổng số thuê bao tại thời điểm xảy ra sự cố thứ i;
ri : Số thuê bao bị mất liên lạc trong sự cố thứ i;
ti : Thời gian sự cố thứ i.
2.2.1.2. Chỉ tiêu
D ≥ 99,5%
2.2.1.3. Phương pháp xác định
Thống kê toàn bộ sự cố trong thời gian xác định độ khả dụng. Thời gian xác định độ khả dụng tối thiểu là 3 tháng liên tiếp.
2.2.2. Sự cố đường dây thuê bao
2.2.2.1. Định nghĩa
Sự cố đường dây thuê bao là những hỏng hóc đường dây thuê bao làm cho dịch vụ điện thoại trên mạng viễn thông cố định mặt đất không thực hiện được. Không kể đến sự cố do thiết bị đầu cuối của khách hàng và/hoặc các nguyên nhân bất khả kháng gây ra (bao gồm: báo, lũ lụt, động đất, phá hoại, địch họa, hoả hoạn và trường hợp ngoài tầm kiểm soát của DNCCDV) mà chỉ do mạng lưới viễn thông của DNCCDV gây ra.
Số lần sự cố đường dây thuê bao (F) là tổng số sự cố tính trên 100 thuê bao trong khoảng thời gian 3 tháng và được tính theo công thức sau:

trong đó: fi : số sự cố đường dây thuê bao trong tháng thứ i;
Ri: Tổng sổ thuê bao trong tháng thứ i;
2.2.2.2. Chỉ tiêu
F ≤ 5,2.
2.2.2.3. Phương pháp xác định
Thống kê đầy đủ số sự cố đường dây thuê bao và tổng số thuê bao theo từng tháng, trong khoảng thời gian 3 tháng liên tiếp.
2.2.3. Thời gian chờ sữa chữa sự cố đường dây thuê bao
2.2.3.1. Định nghĩa
Thời gian chờ sửa chữa sự cố đường dây thuê bao được tính từ lúc DNCCDV nhận được thông báo hư hỏng của khách hàng đến lúc sửa chữa xong. Không kể đến sự cố do thiết bị đầu cuối của khách hàng và/hoặc các nguyên nhân bất khả kháng gây ra (bao gồm: bão, lũ lụt, động đất, phá hoại, địch họa, hoả hoạn và trường hợp ngoài tầm kiểm soát của DNCCDV) mà chỉ do mạng lưới viễn thông của DNCCDV gây ra
2.2.3.3. Chỉ tiêu
- Nội thành, thị xã: ≥ 90% sự cố đường thuê bao được sửa chữa xong trong khoảng thời gian ≤ 24h
- Xã, thị trấn: ≥ 90% sự cố đường thuê bao được sửa chữa xong trong khoảng thời gian ≤ 48h.
2.2.3.3. Phương pháp xác định
Thống kê đầy đủ số liệu sửa chữa sự cố đường thuê bao trong khoảng thời gian tối thiểu là 3 tháng liên tiếp.
2.2.4. Thời gian thiết lập dịch vụ
2.2.4.1. Định nghĩa
Thời gian thiết lập dịch vụ là khoảng thời gian được tính từ lúc DNCCDV tiểp nhận đơn yêu cầu thiết lập dịch vụ điện thoại cố định của khách hàng cho tới khi khách hàng có thể sử dụng được dịch vụ.
2.2.4.2. Chỉ tiêu
- Nội thành, thị xã: ≥ 90% trong trường hợp cung cấp dịch vụ có thời gian thiết lập dịch vụ ≤ 7d.
- Xã, thị trấn: ≥ 90% trong trường hợp cung cấp dịch vụ có thời gian thiết lập dịch vụ ≤ 15d.
2.2.4.3. Phương pháp xác định
Thống kê toàn bộ trường hợp cung cấp dịch vụ điện thoại cố định và việc phát triển thuê bao trong khoảng thời gian tối thiểu là 3 tháng liên tiếp.
2.2.5. Khiếu nại của khách hàng về chất lượng dịch vụ
2.2.5.1. Định nghĩa
Khiếu nại của khách hàng về chất lượng dịch vụ là sự không hài lòng của khách hàng về chất lượng dịch vụ được báo cho DNCCDV bằng văn bản.
2.2.5.2. Chỉ tiêu
Tỷ lệ khiếu nại của khách hàng về chất lượng dịch vụ ≤ 0,25 khiếu nại/100 khách hàng/3 tháng.
2.2.5.3. Phương pháp xác định
Thống kê toàn bộ số khiếu nại của khách hàng về chất lượng dịch vụ trong khoảng thời gian 3 tháng liên tiếp.
2.2.6. Hồi âm khiếu nại của khách hàng
2.2.6.1. Định nghĩa
Hồi âm khiếu nại của khách hàng là văn bản của DNCCDV thông báo cho khách hàng có văn bản khiếu nại về việc tiếp nhận và xem xét giải quyết khiếu nại.
2.2.6.2. Chỉ tiêu
DNCCDV phải có văn bản hồi âm cho 100% khách hàng khiếu nại trong thời hạn 2d làm việc kể từ thời điểm tiếp nhận khiếu nại.
2.2.6.3. Phương pháp xác định
Thống kê toàn bộ văn bản hồi âm cho khách hàng khiếu nại về chất lượng dịch vụ trong khoảng thời gian tối thiểu là 3 tháng liên tiếp.
2.2.7. Dịch vụ trợ giúp khách hàng
2.2.7.1. Định nghĩa
Dịch vụ trợ giúp khách hàng là dịch vụ giải đáp thắc mắc, tư vấn, hướng dẫn sử dụng, tiếp nhận yêu cầu, cung cấp thông tin liên quan cho khách hàng về dịch vụ điện thoại trên mạng viễn thông cố định mặt đất.
2.2.7.2. Chỉ tiêu
- Thời gian cung cấp dịch vụ trợ giúp khách hàng bằng nhân công qua điện thoại là 24h trong ngày.
- Tỷ lệ (%) cuộc gọi tới dịch vụ trợ giúp khách hàng chiếm mạch thành công, gửi yêu cầu kết nối đến điện thoại viên và nhận được tín hiệu trả lời của điện thoại viên trong vòng 60s ≥ 80 %.
2.2.7.3 Phương pháp xác định
- Mô phỏng hoặc gọi nhân công: thực hiện mô phỏng hoặc gọi nhân công tới dịch vụ trợ giúp khách hàng, số cuộc gọi thử tối thiểu là 250 cuộc gọi vào các giờ khác nhau trong ngày.
- Giám sát bằng thiết bị hoặc tính năng sẵn có của mạng: số lượng cuộc gọi lấy mẫu tối thiểu là toàn bộ cuộc gọi trong 7d liên tiếp.
3. QUY ĐỊNH VỀ QUẢN LÝ
Dịch vụ điện thoại trên mạng viễn thông cố định mặt đất thuộc phạm vi quy định tại mục 1.1 phải tuân thủ các quy định tại Quy chuẩn này.
4. TRÁCH NHIỆM CỦA TỔ CHỨC, CÁ NHÂN
4.1. Các DNCCDV phải đảm bảo chất lượng dịch vụ điện thoại trên mạng viễn thông cố định mặt đất phù hợp với Quy chuẩn này, thực hiện công bố chất lượng dịch vụ và chịu sự kiểm tra của cơ quan quản lý nhà nước theo các quy định hiện hành.
4.2. Trách nhiệm cụ thể của DNCCDV được quy định tại văn bản quy phạm pháp luật về quản lý chất lương dịch vụ viễn thông cùa Bộ Thông tin và Truyền thông (Thông tư số 08/2013/TT-BTTTT ngày 26 tháng 3 năm 2013 của Bộ trưởng Bộ Thông tin và Truyền thông quy định về quản lý chất lượng dịch vụ viễn thông và Thông tư số 11/2017/TT-BTTTT ngày 23 tháng 06 năm 2017 Sửa đổi, bổ sung một số điều của Thông tư số 08/2013/TT-BTTTT ngày 26 tháng 3 năm 2013 của Bộ trưởng Bộ Thông tin và Truyền thông).
5. TỔ CHỨC THỰC HIỆN
5.1. Cục Viễn thông và các Sở Thông tin và Truyền thông có trách nhiệm hướng dẫn, tổ chức triển khai công tác quản lý chất lượng dịch vụ điện thoại trên mạng viễn thông cố định mặt đất theo Quy chuẩn này.
5.2. Quy chuẩn này được áp dụng thay thế cho Quy chuẩn kỹ thuật quốc gia QCVN 35:2011/BTTTT "Quy chuẩn kỹ thuật quốc gia về chất lượng dịch vụ điện thoại trên mạng viễn thông cố định mặt đất".
5.3. Trong trường hợp các quy định nêu tại Quy chuẩn này có sự thay đổi, bổ sung hoặc được thay thế thì thực hiện theo quy định tại văn bản mới,
5.4. Trong quá trình triển khai thực hiện quy chuẩn này, nếu có vấn đề phát sinh, vướng mắc, các tổ chức và cá nhân có liên quan phản ánh bằng văn bản về Bô Thông tin và Truyền thông (Vụ Khoa học và Công nghệ) để được hướng dẫn, giải quyết./.
Bạn chưa Đăng nhập thành viên.
Đây là tiện ích dành cho tài khoản thành viên. Vui lòng Đăng nhập để xem chi tiết. Nếu chưa có tài khoản, vui lòng Đăng ký tại đây!
Bạn chưa Đăng nhập thành viên.
Đây là tiện ích dành cho tài khoản thành viên. Vui lòng Đăng nhập để xem chi tiết. Nếu chưa có tài khoản, vui lòng Đăng ký tại đây!