• Tổng quan
  • Nội dung
  • VB gốc
  • Tiếng Anh
  • Hiệu lực
  • VB liên quan
  • Lược đồ
  • Nội dung hợp nhất 

    Tính năng này chỉ có tại LuatVietnam.vn. Nội dung hợp nhất tổng hợp lại tất cả các quy định còn hiệu lực của văn bản gốc và các văn bản sửa đổi, bổ sung, đính chính... trên một trang. Việc hợp nhất văn bản gốc và những văn bản, Thông tư, Nghị định hướng dẫn khác không làm thay đổi thứ tự điều khoản, nội dung.

    Khách hàng chỉ cần xem Nội dung hợp nhất là có thể nắm bắt toàn bộ quy định hiện hành đang áp dụng, cho dù văn bản gốc đã qua nhiều lần chỉnh sửa, bổ sung.

    =>> Xem hướng dẫn chi tiết cách sử dụng Nội dung hợp nhất

  • Tải về
Lưu
Đây là tiện ích dành cho tài khoản Tiêu chuẩn hoặc Nâng cao Vui lòng Đăng nhập tài khoản để xem chi tiết.
Theo dõi VB
Đây là tiện ích dành cho tài khoản Tiêu chuẩn hoặc Nâng cao Vui lòng Đăng nhập tài khoản để xem chi tiết.
Ghi chú
Báo lỗi
In

Văn bản hợp nhất 75/VBHN-BNNMT 2025 quy định kỹ thuật đo vẽ bản đồ địa hình đáy biển tỷ lệ 1:5000

Ngày cập nhật: Thứ Tư, 03/09/2025 11:25 (GMT+7)
Số hiệu: 75/VBHN-BNNMT Ngày ký xác thực: 29/08/2025
Loại văn bản: Văn bản hợp nhất Cơ quan hợp nhất: Bộ Nông nghiệp và Môi trường
Ngày đăng công báo:
Đang cập nhật
Người ký:
Lê Minh Ngân
Trích yếu: Thông tư quy định kỹ thuật đo vẽ bản đồ địa hình đáy biển tỷ lệ 1:5000
Số công báo:
Số công báo là mã số ấn phẩm được đăng chính thức trên ấn phẩm thông tin của Nhà nước. Mã số này do Chính phủ thống nhất quản lý.
Đang cập nhật
Ngày hết hiệu lực:
Ngày hết hiệu lực là ngày, tháng, năm văn bản chính thức không còn hiệu lực (áp dụng).
Đang cập nhật

TÓM TẮT VĂN BẢN HỢP NHẤT 75/VBHN-BNNMT

Quy định kỹ thuật đo vẽ bản đồ địa hình đáy biển tỷ lệ 1:5000

Ngày 22 tháng 12 năm 2017, Bộ Tài nguyên và Môi trường đã ban hành Thông tư 63/2017/TT-BTNMT quy định kỹ thuật đo vẽ bản đồ địa hình đáy biển tỷ lệ 1:5000, có hiệu lực từ ngày 15 tháng 02 năm 2018. Thông tư này được sửa đổi bổ sung bởi Thông tư 15/2025/TT-BNNMT do Bộ Nông nghiệp và Môi trường ban hành ngày 19 tháng 6 năm 2025, có hiệu lực từ ngày 01 tháng 7 năm 2025.

Đối tượng áp dụng của Thông tư này là các tổ chức, cá nhân có hoạt động đo vẽ bản đồ địa hình đáy biển tỷ lệ 1:5000 trên vùng biển Việt Nam, với độ sâu đo vẽ giới hạn đến 100m.

Yêu cầu kỹ thuật và phương pháp đo vẽ

Bản đồ địa hình đáy biển tỷ lệ 1:5000 sẽ được thành lập theo hệ tọa độ VN-2000 và sử dụng các công nghệ định vị toàn cầu. Các yêu cầu kỹ thuật cụ thể bao gồm:

  1. Đo trực tiếp tại hiện trường bằng máy SBES hoặc MBES.
  2. Đo sâu bằng sào trong các khu vực có độ sâu nhỏ hơn 3m.
  3. Biên vẽ từ các tài liệu có sẵn đã được công bố.
  4. Thực hiện kiểm tra các thiết bị đo để đảm bảo độ chính xác.

Nội dung bản đồ địa hình đáy biển

Bản đồ phải thể hiện chi tiết các yếu tố như địa hình đáy biển, chất đáy, đường bờ, các loại bãi cạn, đường triều, các công trình nhân tạo và vật thể tự nhiên dưới đáy biển. Mức độ thể hiện cũng yêu cầu ghi chú về các yếu tố liên quan, với yêu cầu cao về độ chính xác trong việc ghi chú độ sâu ở các điểm ghi chú.

Độ chính xác yêu cầu

Các quy định về độ chính xác cụ thể như sau:

  • Sai số trung phương độ cao không vượt quá ±0,10m.
  • Sai số vị trí không vượt quá ±3m cho các điểm ghi chú.

Ngoài ra, Thông tư cũng quy định các tiêu chuẩn cụ thể cho các thiết bị đo, bao gồm độ chính xác của máy GPS, SBES và MBES.

Thông tư 75/VBHN-BNNMT năm 2025 là văn bản hợp nhất quan trọng trong quy định về kỹ thuật đo vẽ bản đồ địa hình đáy biển tại Việt Nam, nhằm phục vụ tốt hơn cho công tác quản lý tài nguyên, bảo vệ môi trường biển và ứng phó với các vấn đề liên quan đến biển và hải đảo.

Tải văn bản hợp nhất 75/VBHN-BNNMT

Tải văn bản tiếng Việt (.pdf) Văn bản hợp nhất 75/VBHN-BNNMT PDF (Bản có dấu đỏ)

Đây là tiện ích dành cho tài khoản thành viên. Vui lòng Đăng nhập để xem chi tiết. Nếu chưa có tài khoản, Đăng ký tại đây!

Tải văn bản tiếng Việt (.doc) Văn bản hợp nhất 75/VBHN-BNNMT DOC (Bản Word)

Đây là tiện ích dành cho tài khoản thành viên. Vui lòng Đăng nhập để xem chi tiết. Nếu chưa có tài khoản, Đăng ký tại đây!

Tình trạng hiệu lực: Đã biết
Tình trạng hiệu lực: Đã biết

 

CỘNG HÒA XÃ HỘI CHỦ NGHĨA VIỆT NAM
Độc lập - Tự do - Hạnh phúc
_______________________

 

 

THÔNG TƯ

Quy định kỹ thuật đo vẽ bản đồ địa hình đáy biển tỷ lệ 1:5000

 

Thông tư số 63/2017/TT-BTNMT ngày 22 tháng 12 năm 2017 của Bộ trưởng Bộ Tài nguyên và Môi trường quy định kỹ thuật đo vẽ bản đồ địa hình đáy biển tỷ lệ 1:5.000, có hiệu lực kể từ ngày 15 tháng 02 năm 2018, được sửa đổi, bổ sung bởi:

Thông tư số 15/2025/TT-BNNMT ngày 19 tháng 6 năm 2025 của Bộ trưởng Bộ Nông nghiệp và Môi trường quy định phân quyền, phân cấp, phân định thẩm quyền và sửa đổi, bổ sung một số điều của các thông tư trong lĩnh vực biển và hải đảo, có hiệu lực kể từ ngày 01 tháng 7 năm 2025.

Căn cứ Luật biển Việt Nam ngày 21 tháng 6 năm 2012;

Căn cứ Luật tài nguyên, môi trường và hải đảo ngày 25 tháng 6 năm 2015;

Căn cứ Nghị định số 40/2016/NĐ-CP ngày 15 tháng 5 năm 2016 của Chính phủ quy định chi tiết thi hành một số điều của Luật tài nguyên, môi trường biển và hải đảo;

Căn cứ Nghị định số 45/2015/NĐ-CP ngày 06 tháng 5 năm 2015 của Chính phủ về hoạt động đo đạc và bản đồ;

Căn cứ Nghị định số 36/2017/NĐ-CP ngày 04 tháng 4 năm 2017 của Chính phủ quy định chức năng, nhiệm vụ, quyền hạn và cơ cấu tổ chức của Bộ Tài nguyên và Môi trường;

Theo đề nghị của Tổng cục trưởng Tổng cục Biển và Hải đảo Việt Nam, Vụ trưởng Vụ Khoa học và Công nghệ, Vụ trưởng Vụ Pháp chế;

Bộ trưởng Bộ Tài nguyên và Môi trường ban hành Thông tư Quy định kỹ thuật đo vẽ bản đồ địa hình đáy biển tỷ lệ 1:5000 1 .

 

Chương I

QUY ĐỊNH CHUNG

 

Điều 1. Phạm vi điều chỉnh

Thông tư này quy định các yêu cầu kỹ thuật trong đo vẽ trực tiếp, biên vẽ từ các nguồn tư liệu đã có (được cơ quan nhà nước có thẩm quyền công bố hoặc được cơ quan có thẩm quyền xuất bản) để phục vụ việc thành lập bản đồ địa hình đáy biển tỷ lệ 1:5000 trên vùng biển Việt Nam. Độ sâu khu vực đo vẽ giới hạn đến 100m nước (tính theo mặt chuẩn độ cao trong Hệ tọa độ VN-2000).

Điều 2. Đối tượng áp dụng

Thông tư này áp dụng đối với các tổ chức, cá nhân có hoạt động đo vẽ bản đồ địa hình đáy biển tỷ lệ 1:5000.

Điều 3. Giải thích từ ngữ

Trong Thông tư này, các từ ngữ sau đây được hiểu như sau:

1. Lưới khống chế cơ sở là lưới khống chế tọa độ, độ cao, được phát triển từ lưới tọa độ, độ cao quốc gia phục vụ lập lưới khống chế đo vẽ và lập các trạm tĩnh khi cần thiết.

2. Lưới khống chế đo vẽ là lưới khống chế tọa độ, độ cao được phát triển từ lưới khống chế cơ sở, từ cặp điểm kiểm tra thiết bị đo biển gần nhất phục vụ cho đo sâu bằng sào.

3. Điểm kiểm tra thiết bị đo biển là điểm dùng để kiểm nghiệm các máy, thiết bị đo biển ở khu vực đo vẽ. Điểm kiểm tra thiết bị đo biển được đo nối tọa độ, độ cao từ các điểm thuộc lưới tọa độ, lưới độ cao quốc gia.

4. Điểm nghiệm triều là điểm có gắn thước đo mực nước. Điểm “0” của điểm nghiệm triều được đo nối độ cao từ các điểm kiểm tra thiết bị đo biển gần nhất, từ các điểm độ cao nghiệm triều gần nhất hoặc từ các điểm thuộc lưới độ cao quốc gia gần nhất. Điểm “0” của điểm nghiệm triều là điểm trùng với vạch “0” của thước đo mực nước.

5. Điểm độ cao nghiệm triều là điểm được đo nối độ cao từ các điểm độ cao quốc gia và được sử dụng làm điểm quá độ để đo nối thủy chuẩn kỹ thuật vào điểm “0” của điểm nghiệm triều.

6. Công nghệ GNSS (Global Navigation Satellite System), công nghệ DGNSS (Difference Global Navigation Satellite System) là các công nghệ định vị, dẫn đường bằng hệ thống vệ tinh toàn cầu.

7. Trạm DGPS (Difference Global Positioning System): Trạm mặt đất cố định nằm trong Hệ thống định vị toàn cầu vi sai.

8. SBES (Single Beam Echo-sounder): Máy đo sâu hồi âm đơn tia.

9. MBES (Multi Beam Echo-sounder): Máy đo sâu hồi âm đa tia.

10. Khu vực đo sâu bằng máy là khu vực biển có độ sâu khoảng từ 3m trở lên và sử dụng các SBES, MBES để đo sâu địa hình đáy biển. Khu vực đo sâu bằng sào là khu vực biển có độ sâu <3m.

11. Đo sâu địa hình đáy biển bằng SBES là đo theo tuyến, trên mỗi tuyến đo chỉ thu được một hàng điểm độ sâu.

12. Đo sâu địa hình đáy biển bằng MBES đo theo dải là tàu chạy theo tuyến và dữ liệu độ sâu thu được là một dải dữ liệu độ sâu, độ rộng của dải dữ liệu độ sâu này tùy thuộc vào khả năng của từng loại máy đo sâu hồi âm đa tia và độ sâu trung bình của tia trung tâm.

13. Quét địa hình đáy biển bằng MBES là quét kín bề mặt địa hình đáy biển.

14. Công nghệ Real Time Kinematic (RTK) là công nghệ GNSS đo động thời gian thực: xác định được cả tọa độ và độ cao (hoặc độ sâu) của điểm cần đo.

15. Ký hiệu 1:5000 là tập hợp các ký hiệu biểu thị trên bản đồ địa hình tỷ lệ 1:5000 và bản đồ địa hình đáy biển tỷ lệ 1:5000 (ban hành kèm theo Quyết định số 1125/ĐĐBĐ ngày 19 tháng 11 năm 1994 của Tổng cục trưởng Tổng cục Địa chính).

16. Lưu trữ các số liệu, dữ liệu trên DVD là việc lưu trữ để phục vụ công tác giao nhận sản phẩm, các tài liệu liên quan đến sản phẩm giữa đơn vị thi công và đơn vị lưu trữ theo quy định.

17. TKKT - DT: Thiết kế kỹ thuật - Dự toán.

Điều 4. Các quy định kỹ thuật chung trong đo vẽ, thành lập bản đồ địa hình đáy biển tỷ lệ 1:5000

1. Bản đồ địa hình đáy biển tỷ lệ 1:5000 là bản đồ địa hình tỷ lệ lớn, là phần tiếp nối (kéo dài) của bản đồ địa hình tỷ lệ 1:5000 phần đất liền.

2. Bản đồ địa hình đáy biển tỷ lệ 1:5000 được thành lập trong hệ quy chiếu và phép chia mảnh thống nhất với bản đồ địa hình tỷ lệ 1:5000 phần đất liền.

3. Bản đồ địa hình đáy biển tỷ lệ 1:5000 thuộc hệ thống bản đồ địa hình quốc gia, phục vụ an ninh, quốc phòng và công tác nghiên cứu biển; làm cơ sở dữ liệu để biên vẽ bản đồ địa hình đáy biển các tỷ lệ nhỏ hơn, xây dựng hệ thống thông tin địa lý, biên tập các bản đồ chuyên đề.

4. Bản đồ địa hình đáy biển tỷ lệ 1:5000 được đo vẽ trực tiếp ở thực địa hoặc được biên vẽ từ bản đồ địa hình đáy biển tỷ lệ lớn hơn và được thành lập bằng công nghệ bản đồ số.

5. Bản đồ gốc số địa hình đáy biển tỷ lệ 1:5000 được lưu trữ theo các tệp dữ liệu, phân chia theo nhóm, lớp theo quy định kỹ thuật hiện hành. Bản đồ gốc số được lưu trữ trên đĩa DVD.

6. Mỗi mảnh bản đồ địa hình đáy biển tỷ lệ 1:5000 có một lý lịch bản đồ. Lý lịch bản đồ được lập dưới dạng số. Tệp lý lịch bản đồ được lưu trên đĩa DVD cùng với bản đồ gốc số.

7. Đối với mảnh bản đồ địa hình đáy biển tỷ lệ 1:5000 có phần đất liền, phần đảo phải thể hiện theo nguyên tắc sau:

a) Trường hợp phần đất liền, phần đảo đã có bản đồ xuất bản ở tỷ lệ 1:5000 thì phần địa hình đáy biển mới đo vẽ phải được ghép nối với bản đồ của phần đất liền, phần đảo đó;

b) Trường hợp phần đất liền, phần đảo không có bản đồ xuất bản ở tỷ lệ 1:5000 nhưng có bản đồ xuất bản ở tỷ lệ lớn hơn tỷ lệ 1:5000 thì phải biên vẽ bản đồ tỷ lệ lớn hơn đó về tỷ lệ 1:5000 và ghép nối với phần địa hình đáy biển mới được đo vẽ;

c) Trường hợp phần đất liền, phần đảo chưa có bản đồ địa hình tỷ lệ 1:5000 thì phải thực hiện đo vẽ phần đất liền và phần đảo đó. Việc đo vẽ phần đất liền và phần đảo thực hiện theo quy định kỹ thuật hiện hành trong đo vẽ bản đồ địa hình tỷ lệ 1:5000 phần đất liền;

d) Trường hợp không đo vẽ được phần đất liền, phần đảo thì được sử dụng các loại bản đồ, hải đồ có tỷ lệ nhỏ hơn tỷ lệ 1:5000 để biên tập phần nội dung địa hình, địa vật trên phần đất liền, trên phần đảo. Trường hợp này phải được nêu cụ thể trong TKKT - DT.

8. Phần địa hình đáy biển được đo vẽ trực tiếp bằng các phương pháp sau:

a) Phần địa hình đáy biển được đo vẽ trực tiếp ở thực địa bằng cách sử dụng các SBES, MBES với đầy đủ các máy phụ trợ tạo thành hệ thống thiết bị SBES, MBES và công nghệ định vị, dẫn đường bằng hệ thống vệ tinh toàn cầu;

b) Phần diện tích biển sát bờ, chân đảo, bãi cạn lúc chìm lúc nổi, bãi ngầm không thể đo vẽ trực tiếp bằng SBES, MBES thì phải đo sâu bằng sào: sử dụng máy toàn đạc điện tử, GNSS RTK để đo vẽ chi tiết địa hình, địa vật hoặc sử dụng thiết bị GNSS để xác định vị trí điểm đo sâu và độ sâu được xác định bằng sào đo sâu.

9. Biên tự do của bản đồ địa hình đáy biển tỷ lệ 1:5000 phải đo vẽ chờm ra ngoài khung một dải không nhỏ hơn 1cm trên bản đồ. Phần đo vẽ chờm ra ngoài khung chỉ thể hiện trên bản đồ gốc số mà không thể hiện trên bản đồ khi xuất bản.

10. Cơ sở để thi công, kiểm tra, nghiệm thu việc đo vẽ trực tiếp, biên vẽ từ các nguồn tư liệu đã có để phục vụ việc thành lập bản đồ địa hình đáy biển tỷ lệ 1:5000 là các tiêu chuẩn, quy chuẩn, quy định kỹ thuật và TKKT - DT đã được cấp có thẩm quyền phê duyệt. Trước khi lập TKKT - DT phải khảo sát thực địa, thu thập tư liệu, tài liệu, thông tin liên quan.

11. Các máy móc, thiết bị sử dụng trong đo vẽ bản đồ địa hình đáy biển tỷ lệ 1:5000 phải đáp ứng yêu cầu độ chính xác của bản đồ và được kiểm tra, kiểm nghiệm hoặc kiểm định theo quy định hiện hành. Các tài liệu kiểm nghiệm hoặc kiểm định máy, thiết bị phải được nộp kèm sản phẩm.

12. Khi đo sâu bằng SBES, chỉ được phép tiến hành đo sâu khi độ cao của sóng không vượt quá 0,3m. Khi độ cao sóng lớn hơn 0,3m phải sử dụng máy cải chính sóng (máy cảm biến sóng).

13. Khi đo sâu bằng MBES bắt buộc phải trang bị máy cải chính sóng, máy la bàn và máy đo tốc độ âm bề mặt.

 

Chương II

CƠ SỞ TOÁN HỌC, ĐỘ CHÍNH XÁC VÀ NỘI DUNG CỦA BẢN
ĐỒ ĐỊA HÌNH ĐÁY BIỂN TỶ LỆ 1:5000

 

Điều 5. Cơ sở toán học

1. Bản đồ địa hình đáy biển tỷ lệ 1:5000 được thành lập trong hệ tọa độ VN-2000, hệ độ cao quốc gia, múi chiếu 3 0 , với kinh tuyến trục: 102 0 , 105 0 , 108 0 , 111 0 , 114 0 , 117 0 .

2. Cơ sở khống chế mặt phẳng và độ cao bảo đảm việc thành lập bản đồ địa hình đáy biển tỷ lệ 1:5000 bao gồm lưới tọa độ quốc gia hạng I, II, III và lưới độ cao quốc gia hạng I, II, III, IV.

3. Trên mảnh bản đồ gốc số và bản đồ in trên giấy phải biểu thị lưới ki lô mét trong hệ tọa độ vuông góc phẳng dạng lưới chữ thập theo quy định của Ký hiệu 1:5000.

4. Việc chia mảnh, đánh số phiên hiệu mảnh bản đồ thực hiện theo quy định tại Thông tư số 973/2001/TT-TCĐC ngày 20 tháng 6 năm 2001 của Tổng cục Địa chính về hướng dẫn áp dụng hệ quy chiếu và hệ tọa độ quốc gia VN-2000.

5. Quy cách trình bày khung bản đồ thực hiện theo mẫu trình bày khung và nội dung ngoài khung theo Ký hiệu 1:5000. Trường hợp đo vẽ vượt khung phải quy định cụ thể trong TKKT - DT.

6. Bản đồ gốc số phải thể hiện đầy đủ các nội dung theo quy định của Ký hiệu 1:5000; phải ghi rõ tài liệu sử dụng, phương pháp thành lập và tên cơ quan thành lập bản đồ gốc số.

7. Tên gọi của mảnh bản đồ được quy định như sau:

a) Khi đã có bản đồ địa hình tỷ lệ 1:5000 phần đất liền, phần đảo thì lấy theo tên gọi của bản đồ địa hình tỷ lệ 1:5000 đã xuất bản;

b) Khi chưa có bản đồ địa hình tỷ lệ 1:5000 phần đất liền, phần đảo thì ưu tiên lấy tên điểm dân cư, tên địa danh có trên mảnh bản đồ làm tên của mảnh bản đồ. Trường hợp một đảo nằm trên nhiều mảnh bản đồ thì tên đảo được lấy làm tên của mảnh bản đồ có phần diện tích lớn nhất của đảo đó, các mảnh bản đồ có phần diện tích của đảo đó nhỏ hơn thì lựa chọn các tên khác làm tên của mảnh bản đồ. Trường hợp mảnh chỉ toàn diện tích biển thì chỉ cần ghi phiên hiệu của mảnh bản đồ.

8. Bản đồ gốc số lưu trong đĩa DVD ghi đầy đủ các nội dung như bản đồ gốc in trên giấy.

Điều 6. Độ chính xác của bản đồ

1. Sai số trung phương độ cao điểm “0” điểm nghiệm triều so với độ cao điểm kiểm tra thiết bị đo biển gần nhất, điểm độ cao nghiệm triều gần nhất không vượt quá ±0,10m. Độ cao điểm “0” của điểm nghiệm triều được đo nối thuỷ chuẩn hình học với độ chính xác của thuỷ chuẩn kỹ thuật từ các điểm kiểm tra thiết bị đo biển gần nhất hoặc từ các điểm độ cao nghiệm triều gần nhất.

2. Sai số trung phương vị trí mặt phẳng của điểm ghi chú độ sâu, điểm ghi chú chất đáy so với tọa độ điểm tại trạm định vị DGPS ven biển hoặc điểm kiểm tra thiết bị đo biển gần nhất không được vượt quá ±3m (tương ứng ±0,6mm trên bản đồ).

3. Sai số trung phương vị trí mặt phẳng khi đo vẽ các địa vật nổi cố định trên biển so với điểm kiểm tra thiết bị đo biển gần nhất không được vượt quá ±3,5m (tương ứng ±0,7mm trên bản đồ). Đối với địa vật có độ di động thì sai số trên được cộng thêm phạm vi di động. Đối với các địa vật chìm cố định dưới biển sai số cho phép là ±7,5m (tương ứng ±1,5mm trên bản đồ).

4. Sai số trung phương độ sâu của điểm ghi chú độ sâu sau khi đã quy đổi về hệ độ cao quốc gia so với độ cao của điểm nghiệm triều gần nhất không vượt quá:

±0,30m khi độ sâu đến 50m;

±0,45m khi độ sâu từ trên 50m đến 100m.

5. Sai số trung phương độ sâu đường đẳng sâu so với độ cao của điểm nghiệm triều gần nhất không vượt quá:

±0,40m khi độ sâu đến 50m;

±0,50m khi độ sâu từ trên 50m đến 100m.

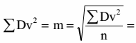
6. Sai số trung phương độ sâu được xác định bằng công thức:

Trong đó:

- Khi sử dụng SBES, Δ là số chênh độ sâu tại giao điểm giữa tuyến đo sâu và tuyến đo sâu kiểm tra; độ sâu tại giao điểm này được nội suy từ 2 điểm độ sâu gần nhất trước và sau giao điểm trên tuyến đo sâu, tuyến đo sâu kiểm tra; n là số lượng giao điểm;

- Khi sử dụng MBES, Δ là số chênh độ sâu của điểm nằm trong diện tích phủ giữa hai dải quét liền kề; độ sâu của các điểm nằm trong diện tích phủ được xuất ra theo mắt lưới ô vuông có cạnh dài từ 5-10m ở thực địa; n là số lượng điểm trong mắt lưới ô vuông.

7. Chênh lệch độ sâu giữa điểm đo sâu và điểm đo sâu kiểm tra không vượt quá 1,5 lần so với quy định tại Khoản 4 Điều này và không mang tính hệ thống.

8. Giá trị số chênh cao giới hạn của các điểm đo sâu và điểm đo sâu kiểm tra không vượt quá 02 lần so với quy định tại Khoản 7 Điều này và tổng số điểm kiểm tra có số chênh từ 1,7 đến 2,0 lần so với quy định không được vượt quá 10% tổng số điểm đo sâu kiểm tra.

9. Sai số tiếp biên phần địa hình đáy biển trên bản đồ địa hình đáy biển tỷ lệ 1:5000 (khác khu vực đo vẽ) được phép lớn hơn tối đa là 1,3 lần so với các quy định tiếp biên bản đồ địa hình tỷ lệ 1:5000 phần đất liền.

10. Độ chính xác các yếu tố địa hình, địa vật phần đất liền hoặc phần đảo của mảnh bản đồ địa hình đáy biển tỷ lệ 1:5000 thực hiện theo quy định kỹ thuật hiện hành về đo vẽ và thành lập bản đồ địa hình tỷ lệ 1:5000 phần đất liền.

11. Các quy định về số hóa diện tích phần đất liền, phần đảo từ bản đồ, hải đồ cũ theo quy định kỹ thuật hiện hành.

12. Độ chính xác của biên vẽ diện tích phần đất liền, phần đảo, phần biển từ tài liệu đã có sẵn trên khu vực cần thành lập bản đồ địa hình đáy biển tỷ lệ 1:5000 phải đảm bảo độ chính xác của bản đồ địa hình tỷ lệ 1:5000.

Điều 7. Nội dung của bản đồ địa hình đáy biển

1. Nội dung bản đồ địa hình đáy biển tỷ lệ 1:5000 đối với phần trên đất liền và phần trên đảo tuân thủ quy định kỹ thuật hiện hành trong đo vẽ và thành lập bản đồ địa hình tỷ lệ 1:5000 phần đất liền và Ký hiệu 1:5000. Khoảng cao đều cơ bản của đường bình độ, số điểm ghi chú độ cao phần đất liền, phần đảo lấy theo bản đồ địa hình tỷ lệ 1:5000 đã có trên khu vực đo vẽ. Trường hợp không có bản đồ địa hình tỷ lệ 1:5000 thì phải nêu cụ thể việc sử dụng các bản đồ địa hình, hải đồ tỷ lệ nhỏ hơn hoặc lớn hơn để biên tập nội dung địa hình, địa vật phần diện tích trên phần đất liền, trên phần đảo trong TKKT - DT.

2. Nội dung bản đồ địa hình đáy biển tỷ lệ 1:5000 đối với phần biển bao gồm các yếu tố sau:

a) Địa hình đáy biển;

b) Chất đáy;

c) Đường bờ và đường mép nước; đường triều cường, triều kiệt (nếu có);

d) Các loại bãi cạn lúc chìm lúc nổi, bãi ngầm;

đ) Các địa vật, công trình nhân tạo trên biển;

e) Các địa vật, công trình nhân tạo tại đáy biển;

g) Các địa vật tự nhiên tại đáy biển;

h) Các yếu tố hàng hải, hải văn;

i) Các vùng nguy hiểm hàng hải, vùng cấm;

k) Thực vật;

l) Ghi chú địa danh và các ghi chú cần thiết khác;

m) Các đường phân chia trên biển;

n) Các điểm kiểm tra thiết bị đo biển;

o) Khung và ghi chú ngoài khung.

3. Các yếu tố nội dung khác (nếu có) trên phần biển được thể hiện trên bản đồ bằng ký hiệu tương ứng và phải được nêu cụ thể trong TKKT - DT theo những nguyên tắc sau:

a) Các địa vật có kích thước thể hiện được theo tỷ lệ bản đồ và các địa vật hình tuyến có độ rộng từ 3m trở lên (ở thực địa) phải vẽ theo tỷ lệ bản đồ; trường hợp địa vật có ký hiệu qui ước nếu kích thước địa vật vẽ theo tỷ lệ bản đồ có diện tích lớn hơn diện tích của ký hiệu qui ước trên bản đồ từ 2,0 lần trở lên thì phải vẽ thêm ký hiệu qui ước vào bên trong kích thước của địa vật đó, tâm của ký hiệu qui ước phải trùng với tâm của địa vật;

b) Các địa vật có kích thước không thể hiện được theo tỷ lệ bản đồ hoặc có diện tích vẽ theo tỷ lệ bản đồ nhỏ hơn 2,0 lần diện tích của ký hiệu qui ước trên bản đồ thì chỉ dùng ký hiệu qui ước để thể hiện, tâm của ký hiệu qui ước phải trùng với tâm của địa vật. Các địa vật hình tuyến có độ rộng nhỏ hơn 2,5m thể hiện trên bản đồ bằng ký hiệu vẽ theo nửa tỷ lệ, trục của ký hiệu hình tuyến phải trùng với trục của địa vật hình tuyến đó;

c) Các địa vật có kích thước vẽ được theo tỷ lệ bản đồ nhưng không có ký hiệu qui ước thì thể hiện đồ hình bằng ký hiệu tương ứng và dùng ghi chú để thể hiện loại địa vật và tên riêng của địa vật đó (nếu có);

d) Các yếu tố nội dung bản đồ có diện tích lớn thì thể hiện bằng chấm ranh giới theo diện tích phân bố trên thực tế kèm theo ký hiệu qui ước và ghi chú ngoài khung bản đồ. Nếu các yếu tố nội dung khác cần biểu thị trên bản đồ địa hình đáy biển tỷ lệ 1:5000 mà chưa có trong Ký hiệu 1:5000, thì sử dụng các ký hiệu được bổ sung theo quy định tại Phụ lục 1 ban hành kèm theo Thông tư này.

Điều 8. Mức độ thể hiện địa hình đáy biển

1. Khoảng sâu đều cơ bản của đường đẳng sâu:

a) Vùng biển có độ dốc <2 0 , khoảng sâu đều là 0,5m;

b) Vùng biển có độ dốc từ 2 0 đến 6 0 , khoảng sâu đều là 1,0m;

c) Vùng biển có độ dốc trên 6 0 , khoảng sâu đều là 2,5m;

d) Trên một khu vực đo vẽ chỉ thể hiện địa hình đáy biển bằng một khoảng sâu đều cơ bản. Trường hợp đặc biệt được phép sử dụng hai khoảng sâu đều cơ bản, song phải được quy định cụ thể trong TKKT - DT.

2. Khi các đường đẳng sâu cơ bản chưa mô tả hết được đặc trưng của địa hình đáy biển, hoặc khi khoảng cách giữa hai đường đẳng sâu cơ bản lớn hơn 5cm trên bản đồ thì phải thể hiện đường đẳng sâu nửa khoảng sâu đều cơ bản.

3. Địa hình đáy biển được thể hiện bằng các đường đẳng sâu và các điểm ghi chú độ sâu. Mật độ điểm ghi chú độ sâu trung bình từ 20 điểm đến 25 điểm trên 1dm 2 bản đồ. Đối với vùng địa hình đáy biển bằng phẳng thì mật độ điểm ghi chú độ sâu không ít hơn 25 điểm trên 1dm 2 bản đồ và phải phân bố đều. Ở những nơi địa hình phức tạp, đường đẳng sâu không thể hiện rõ được địa hình có thể tăng mật độ điểm ghi chú độ sâu lên từ 1,3 đến 1,5 lần nhưng phải đảm bảo cho việc nhận biết địa hình được dễ dàng và phù hợp với việc thể hiện đường đẳng sâu trên bản đồ.

4. Điểm ghi chú độ sâu thể hiện trên bản đồ ghi chú đến 0,1m.

5. Đối với các bãi đá, bãi san hô lớn, các thảm thực vật mà địa hình quá phức tạp, không có khả năng đo vẽ trực tiếp để thể hiện dáng địa hình thì các đường đẳng sâu được phép dừng tại ranh giới bãi, ranh giới thảm thực vật.

6. Đối với khu vực có địa hình thay đổi đột ngột, có độ dốc lớn không thể hiện được bằng đường đẳng sâu thì dùng ký hiệu để thể hiện, các đường đẳng sâu được phép dừng tại vị trí ký hiệu đó.

7. Trên mỗi mảnh bản đồ phải thể hiện vị trí sâu nhất đo được trên diện tích phần biển của mảnh bản đồ đó.

 

Chương III

LƯỚI KHỐNG CHẾ CƠ SỞ VÀ LƯỚI KHỐNG CHẾ ĐO VẼ

 

Điều 9. Lưới khống chế cơ sở

1. Lưới khống chế cơ sở trong đo vẽ bản đồ địa hình đáy biển bao gồm các điểm khống chế để phát triển lưới khống chế đo vẽ phục vụ đo sâu bằng sào và trạm tĩnh (trạm gốc, trạm Base) khi sử dụng công nghệ RTK.

2. Mật độ điểm khống chế cơ sở phụ thuộc vào diện tích cần đo sâu bằng sào và mức độ che khuất của thực phủ, mức độ xây dựng của khu vực lân cận. Trong mọi trường hợp, mật độ điểm khống chế cơ sở phải đảm bảo từ 3km 2 đến 5km 2 có một điểm. Khi sử dụng công nghệ RTK để đo sâu bằng máy đo sâu hồi âm thì khoảng cách từ trạm tĩnh đến điểm đo không vượt quá 10km.

3. Các điểm khống chế cơ sở được chọn ở vị trí có nền đất ổn định, được đóng cọc (có đinh mũ) hoặc đánh dấu trên các vật kiến trúc ở thực địa và phải tồn tại trong suốt quá trình thi công, kiểm tra, nghiệm thu các cấp. Quy định về đánh số hiệu điểm, tên điểm phải được trình bày cụ thể trong TKKT - DT.

4. Các quy định về xây dựng lưới khống chế cơ sở, phương pháp bố trí lưới khống chế cơ sở, các quy định về đo và tính toán bình sai, các mẫu sổ đo tuân theo quy định kỹ thuật hiện hành.

5. Tất cả các tệp số liệu đo, sổ đo, sơ đồ đo nối, kết quả tính toán bình sai…liên quan đến lưới khống chế cơ sở phải được nộp kèm thành quả.

Điều 10. Lưới khống chế đo vẽ

1. Lưới khống chế đo vẽ được thành lập nhằm tăng dày điểm khống chế phục vụ cho việc đo vẽ địa hình, địa vật ở khu vực đo sâu bằng sào. Lưới khống chế đo vẽ chỉ xây dựng 1 cấp.

2. Các điểm thuộc lưới khống chế đo vẽ được chọn ở vị trí có nền đất ổn định, được đóng cọc (có đinh mũ) ở thực địa và phải tồn tại trong suốt quá trình thi công, kiểm tra, nghiệm thu các cấp. Quy định về đánh số hiệu điểm, tên điểm phải được trình bày cụ thể trong TKKT - DT.

3. Các quy định về xây dựng lưới khống chế đo vẽ, phương pháp bố trí lưới khống chế đo vẽ, các quy định về đo và tính toán bình sai, các mẫu sổ đo tuân theo quy định kỹ thuật hiện hành.

4. Tất cả các tệp số liệu đo, sổ đo, sơ đồ đo nối, kết quả tính toán bình sai…liên quan đến lưới khống chế đo vẽ phải được nộp kèm thành quả.

 

Chương IV

ĐIỂM KIỂM TRA THIẾT BỊ ĐO BIỂN, ĐIỂM NGHIỆM TRIỀU
VÀ ĐIỂM ĐỘ CAO NGHIỆM TRIỀU

 

Điều 11. Điểm kiểm tra thiết bị đo biển

1. Điểm kiểm tra thiết bị đo biển được chọn điểm, chôn mốc và xây tường vây bảo vệ ở thực địa theo Quy chuẩn kỹ thuật quốc gia về xây dựng lưới tọa độ. Trường hợp khó khăn thì được phép gắn mốc vào các vật kiến trúc cố định, ổn định ở thực địa. Điểm kiểm tra thiết bị đo biển thường được thiết kế thành từng cặp (hai) điểm ở gần khu vực bố trí điểm nghiệm triều. Khoảng cách giữa hai điểm phải lớn hơn 100m ở thực địa.

2. Vị trí cặp điểm kiểm tra thiết bị đo biển phải đảm bảo thông hướng với nhau, thuận tiện cho việc kiểm nghiệm thiết bị đo biển. Tên điểm, số hiệu điểm kiểm tra thiết bị đo biển được quy định cụ thể trong TKKT - DT.

3. Điểm kiểm tra thiết bị đo biển được đo nối tọa độ, độ cao bằng công nghệ GNSS tĩnh theo Quy chuẩn kỹ thuật quốc gia về xây dựng lưới tọa độ, Quy chuẩn kỹ thuật quốc gia về xây dựng lưới độ cao. Việc đo nối tọa độ, độ cao quốc gia vào điểm kiểm tra thiết bị đo biển và tính toán bình sai tọa độ, độ cao phải được nêu cụ thể trong TKKT - DT.

Điều 12. Điểm nghiệm triều

1. Điểm nghiệm triều được bố trí ở nơi kín gió, ít chịu ảnh hưởng của sóng biển, nước dâng do lũ hoặc gió và thuận tiện trong cả quá trình quan trắc mực nước. Quy cách của điểm nghiệm triều phải được nêu cụ thể trong TKKT - DT. Thước đo mực nước có vạch chia đến cm, độ dài thước không được vượt quá 4m (khi dùng mia địa hình) và không vượt quá 5m (khi dùng thước tráng men).

2. Mật độ điểm nghiệm triều phụ thuộc vào diện tích đo vẽ bản đồ địa hình đáy biển tỷ lệ 1:5000 của từng khu vực đo vẽ. Mật độ điểm nghiệm triều đảm bảo nguyên tắc mỗi điểm nghiệm triều có thể phục vụ cho cải chính kết quả đo sâu trên một khu vực biển có bán kính tối đa là 12,5 km; đối với khu vực biển cần đo vẽ có biên độ dao động của thủy triều nhỏ thì cho phép một điểm nghiệm triều phục vụ cải chính kết quả đo sâu cho một khu vực biển có bán kính tối đa là 15km; đối với những khu vực biển cần đo vẽ có sự dao động thủy triều phức tạp, thì phải tăng mật độ điểm nghiệm triều. Trong TKKT - DT phải nêu cụ thể số lượng điểm nghiệm triều, vị trí điểm và phương án sử dụng kết quả quan trắc mực nước để cải chính cho từng mảnh bản đồ.

3. Khu vực biển có mức độ dao động thủy triều lớn, cần phải bố trí số vị trí đặt thước đo mực nước từ 02 vị trí trở lên và phải được nêu rõ trong TKKT - DT.

4. Độ cao điểm “0” của điểm nghiệm triều được đo nối bằng đo cao hình học với độ chính xác của thủy chuẩn kỹ thuật từ cặp điểm kiểm tra thiết bị đo biển gần nhất hoặc từ cặp điểm độ cao nghiệm triều gần nhất theo hình thức tuyến đơn (tuyến phù hợp).

Được đo đi và đo về từ 01 điểm kiểm tra thiết bị đo biển hoặc từ 01 điểm độ cao nghiệm triều gần nhất trong trường hợp đặc biệt.

5. Các quy định trong đo nối thủy chuẩn kỹ thuật vào điểm “0” của điểm nghiệm triều tuân thủ quy định kỹ thuật hiện hành. Kết quả tính toán thủy chuẩn kỹ thuật phải đóng thành tập nộp kèm thành quả.

Điều 13. Điểm độ cao nghiệm triều

1. Điểm nghiệm triều bố trí ở ngoài đảo cần phải thiết kế 02 điểm độ cao nghiệm triều (khoảng cách giữa 02 điểm độ cao nghiệm triều càng lớn càng tốt nhưng phải thuận lợi cho việc đo nối độ cao thủy chuẩn kỹ thuật sau này).

2. Các điểm nghiệm triều trong bờ (khi không bố trí các điểm kiểm tra thiết bị đo biển ở gần) thì chỉ cần bố trí 01 điểm độ cao nghiệm triều.

3. Điểm độ cao nghiệm triều được đánh dấu trên địa vật kiến trúc ổn định hoặc được đóng cọc chắc chắn ở thực địa (chỉ tồn tại ở thực địa trong suốt thời gian thi công và kiểm tra, nghiệm thu các cấp).

4. Độ cao của điểm độ cao nghiệm triều được xác định bằng công nghệ GNSS tĩnh từ ít nhất 02 điểm thuộc lưới độ cao quốc gia. Các điểm độ cao quốc gia được dùng đo nối độ cao vào điểm độ cao nghiệm triều cố gắng lựa chọn sao cho đồ hình đo nối có dạng tam giác đều. Đối với điểm độ cao nghiệm triều trong bờ, khi thuận tiện, có thể thiết kế đo nối độ cao bằng đo cao hình học từ hai điểm thuộc lưới độ cao quốc gia gần nhất.

5. Các quy định về đo và tính độ cao của điểm độ cao nghiệm triều tuân thủ theo Quy chuẩn kỹ thuật quốc gia về xây dựng lưới tọa độ, Quy chuẩn kỹ thuật quốc gia về xây dựng lưới độ cao và phải được nêu cụ thể trong TKKT - DT. Thành quả đo và tính điểm độ cao nghiệm triều phải được nộp kèm thành quả.

Điều 14. Triều ký tự động

1. Đối với khu vực đo vẽ sử dụng thiết bị triều ký tự động để xác định mức độ biến thiên hàng ngày của thủy triều thì trong TKKT - DT phải quy định chi tiết các nội dung liên quan đến phương án kỹ thuật sử dụng triều ký tự động.

2. Độ chính xác ghi mực nước của triều ký tự động phải ≤ ±5cm.

 

Chương V

THIẾT BỊ ĐO BIỂN VÀ KIỂM NGHIỆM THIẾT BỊ ĐO BIỂN

 

Điều 15. Thiết bị đo biển

1. Máy GPS/GNSS hoặc RTK: độ chính xác mặt bằng ≤ ±3m, độ chính xác độ cao (khi xác định độ cao bằng công nghệ RTK) ≤ ±0,10m.

2. SBES: độ phân giải đo sâu ≤±3cm, độ chính xác đo sâu ≤ ±(10cm+0,1% h). Trong đó: h là độ sâu tính bằng m.

3. MBES: độ phân giải đo sâu ≤±3cm, độ chính xác đo sâu ≤ ±(10cm+0,1% h). Trong đó: h là độ sâu tính bằng m. Góc tia đảm bảo được vệt quét tại đáy biển phân biệt được vật có kích thước ≥2,5m.

4. Máy cảm biến sóng: độ chính xác đo sóng ≤±5cm, dải đo sóng ≥5m, độ chính xác góc nghiêng ≤ ±0,25 0 , dải đo góc nghiêng ±30 0 .

5. Máy đo tốc độ âm thanh: khoảng đo từ 1350m/s đến 1900m/s, độ chính xác ±0,25m/s.

6. Máy đo tốc độ âm thanh bề mặt (khi sử dụng MBES);

7. La bàn: độ chính xác đo hướng ±0,2 0 .

8. Máy tính chuyên dụng: cấu hình tối thiểu phải thỏa mãn các yêu cầu của phần mềm khảo sát, có đủ số cổng để kết nối thiết bị.

9. Phần mềm chuyên dụng.

10. Các thiết bị phụ trợ liên quan:

a) Máy định vị vệ tinh dùng đo GNSS tĩnh;

b) Máy định vị vệ tinh dùng đo GNSS động;

c) Bộ thiết bị RTK dùng đo GNSS động thời gian thực;

d) Máy và mia thủy chuẩn;

đ) Máy toàn đạc điện tử;

e) Sào đo sâu.

Điều 16. Kiểm nghiệm thiết bị đo biển

1. Tất cả các máy nêu từ Khoản 1 đến Khoản 7 và các máy, mia nêu tại Điểm a, b, c, d , đ Khoản 10 Điều 15 Thông tư này đều phải được kiểm nghiệm hoặc được cơ quan cấp phép kiểm định thiết bị đo đạc thực hiện đầy đủ các hạng mục theo quy định của từng loại máy trước khi sử dụng. Kết quả kiểm nghiệm của từng loại máy phải nhỏ hơn sai số quy định tại Điều 15 Thông tư này mới được đưa máy vào sử dụng.

2. Các máy nêu từ Khoản 1 đến Khoản 7 Điều 15 Thông tư này được kiểm nghiệm theo quy định tại Thông tư số 27/2011/TT-BTNMT ngày 20 tháng 7 năm 2011 của Bộ Tài nguyên và Môi trường quy định về kiểm nghiệm và hiệu chỉnh một số thiết bị đo đạc bản đồ biển.

3. Các máy, mia quy định tại Điểm a, b, c, d, đ Khoản 10 Điều 15 Thông tư này được kiểm nghiệm hoặc kiểm định theo quy định của nhà sản xuất theo hướng dẫn sử dụng của từng loại máy.

4. Quy định về lắp đặt hệ thống thiết bị đo biển:

a) Đầu biến âm có thể lắp ở mũi tàu, cạnh thân tàu hay chính giữa thân tàu tùy thuộc vào từng loại SBES, MBES và tàu chuyên dụng hay tàu thuê; trong quá trình kiểm nghiệm, quá trình đo sâu phải thường xuyên kiểm tra bề mặt của đầu biến âm để tránh các vật bám, dính gây nhiễu loạn tín hiệu;

b) Khi sử dụng MBES: máy xác định tốc độ âm bề mặt bắt buộc phải được lắp đặt bên cạnh đầu biến âm;

c) Trường hợp tâm ăng ten máy định vị không trùng với tâm của bộ biến âm (theo phương dây dọi) thì phải xác định giá trị lệch tâm để nhập vào phần mềm khi đo sâu bằng SBES, MBES. Khi xác định giá trị lệch tâm phải chọn thời điểm lặng sóng, tàu phải được cột - neo chắc chắn.

5. Sau khi lắp đặt các máy thành một hệ thống thiết bị đo biển trên tàu phải tiến hành kiểm nghiệm sự hoạt động của hệ thống thiết bị đo biển. Việc kiểm nghiệm hệ thống thiết bị đo biển thực hiện theo quy định tại Thông tư số 27/2011/TT-BTNMT ngày 20 tháng 7 năm 2011 của Bộ Tài nguyên và Môi trường quy định về kiểm nghiệm và hiệu chỉnh một số thiết bị đo đạc bản đồ biển.

6. Các quy định khác về kiểm nghiệm máy, thiết bị đo biển:

a) Các SBES, MBES, máy xác định tốc độ âm, máy định vị vệ tinh (đo GNSS động) phải kiểm nghiệm thêm một lần ngay sau khi kết thúc đo sâu. Kết quả kiểm nghiệm này phải đóng kèm thành quả theo trình tự thời gian kiểm nghiệm trong cùng một sổ kiểm nghiệm đối với từng máy;

b) Nếu thời gian ngừng thi công kéo dài, dẫn tới việc phải tháo dỡ máy móc, thiết bị khỏi tàu thì trước khi tiếp tục thi công phải tiến hành kiểm nghiệm lại toàn bộ các máy và hệ thống thiết bị theo quy định tại Khoản 1, Khoản 2 Điều này;

c) Việc kiểm nghiệm các máy, mia và hệ thống thiết bị đo biển phải được ghi vào sổ kiểm nghiệm tại thực địa của từng hạng mục kiểm nghiệm theo quy định; kết quả tính toán phải chính xác, điền viết đầy đủ vào sổ kiểm nghiệm của từng loại máy. Mẫu sổ kiểm nghiệm các SBES, MBES, máy xác định tốc độ âm, kiểm nghiệm hệ thống thiết bị đo biển theo quy định tại Phụ lục 2 ban hành kèm theo Thông tư này;

d) Việc kiểm nghiệm hệ thống MBES phải tiến hành trong khu vực đo vẽ, nếu khu vực đo vẽ không đảm bảo quy định về kiểm nghiệm và hiệu chỉnh một số thiết bị đo đạc bản đồ biển thì phải chọn khu vực kiểm nghiệm ở gần khu đo vẽ nhất;

đ) Các máy có sử dụng phần mềm để kiểm nghiệm thì phải nộp kèm tệp số liệu gốc theo định dạng của phần mềm sử dụng;

e) Tất cả các sổ kiểm nghiệm phải được thủ trưởng đơn vị thi công ký xác nhận và đóng dấu của đơn vị.

 

Chương VI

QUY ĐỊNH ĐO VẼ NỘI DUNG BẢN ĐỒ ĐỊA HÌNH ĐÁY BIỂN

 

Điều 17. Quan trắc mực nước phục vụ cải chính kết quả đo sâu

1. Thời điểm quan trắc mực nước phải diễn ra trước thời điểm bắt đầu đo sâu, đo sâu kiểm tra và thời điểm kết thúc quan trắc mực nước phải sau thời điểm kết thúc đo sâu, đo sâu kiểm tra của mỗi ngày đo, mỗi đợt đo.

2. Cứ 10 phút phải đọc số trên thước đo mực nước một lần vào các thời điểm chẵn giờ, chẵn 10 phút. Mỗi thời điểm đọc số trên thước đo mực nước phải đọc số 2 lần, số đọc đến cm. Số đọc trên thước đo mực nước phải được ghi vào sổ quan trắc mực nước. Mẫu sổ quan trắc mực nước theo quy định tại Phụ lục 3 ban hành kèm Thông tư này.

3. Trường hợp phải chuyển việc đọc số từ thước đo mực nước này sang thước đo mực nước khác (của cùng một điểm nghiệm triều) thì phải đọc số trên cả 2 thước ít nhất 01 lần vào cùng thời điểm, độ lệch giữa 2 thước đo mực nước tính ra không được vượt quá 1cm.

4. Sử dụng phần mềm Excel để vẽ đồ thị biểu diễn sự biến thiên mực nước hàng ngày. Đồ thị biểu diễn sự biến thiên mực nước hàng ngày được đóng thành tập, phải được thủ trưởng đơn vị thi công ký xác nhận và đóng dấu của đơn vị, nộp kèm thành quả.

Điều 18. Quan trắc mực nước phục vụ tính triều cường, triều kiệt

Đối với các dự án, nhiệm vụ chuyên môn có nhu cầu biểu thị đường triều cường, triều kiệt trên bản đồ địa hình đáy biển tỷ lệ 1:5000 thì phải tiến hành quan trắc mực nước tại các điểm nghiệm triều liên tục 24/24 giờ trong vòng ít nhất 30 ngày/đêm liên tục. Các quy định về thời điểm đọc số trên thước đo mực nước, số lần đọc mực nước, độ chính xác theo quy định tại Điều 17 Thông tư này.

Điều 19. Xác định vị trí điểm đo sâu khi đo sâu bằng SBES, MBES

1. Vị trí điểm đo sâu được xác định bằng định vị vệ tinh toàn cầu (GNSS, DGNSS) có cải chính vi sai từ tín hiệu của các trạm DGPS ven biển.

2. Vị trí điểm đo sâu được xác định bằng định vị vệ tinh toàn cầu (GNSS, DGNSS) có cải chính vi sai từ tín hiệu thuê bao vệ tinh (đối với các khu vực không thu được tín hiệu của các trạm DGPS ven biển).

3. Vị trí điểm đo sâu được xác định bằng GNSS RTK.

Trong TKKT - DT phải trình bày cụ thể phương án xác định vị trí điểm đo sâu.

Điều 20. Đo sâu địa hình đáy biển bằng SBES

1. Thiết kế tuyến đo sâu, tuyến đo sâu kiểm tra:

a) Các tuyến đo sâu thiết kế theo hướng Đông - Tây hoặc theo hướng song song với hướng dốc của địa hình đáy biển, khoảng cách giữa 2 tuyến đo sâu liên tiếp ở thực địa là 50m. Khoảng cách giữa 2 điểm xác định độ sâu liên tiếp trên cùng một tuyến đo sâu là 10m ở thực địa;

b) Các tuyến đo sâu kiểm tra thiết kế theo hướng vuông góc với tuyến đo sâu. Khoảng cách giữa 2 tuyến đo sâu kiểm tra liên tiếp ở thực địa là 400m. Khi thi công phải đảm bảo nguyên tắc tổng chiều dài các tuyến đo sâu kiểm tra không được nhỏ hơn 10% tổng chiều dài các tuyến đo sâu. Các tuyến đo sâu kiểm tra phải phân bố tương đối đều trên khu vực đo vẽ. Khoảng cách giữa 2 điểm xác định độ sâu liên tiếp trên cùng một tuyến đo sâu kiểm tra không quá 10m ở thực địa;

c) Thiết kế tuyến đo sâu, tuyến đo sâu kiểm tra trên hệ tọa độ VN-2000 hoặc WGS-84 phục vụ cho việc dẫn đường. Nếu thiết kế trên hệ tọa độ VN-2000 thì phải nhập 07 tham số chuyển đổi hệ tọa độ theo Quyết định số 05/2007/QĐ-BTNMT ngày 27 tháng 02 năm 2007 của Bộ trưởng Bộ Tài nguyên và Môi trường về sử dụng hệ thống tham số tính chuyển giữa Hệ tọa độ quốc tế WGS-84 và Hệ tọa độ quốc gia VN-2000 vào phần mềm dẫn đường;

d) Số hiệu các tuyến đo sâu được đánh số từ 01 cho đến hết ở mỗi khu vực đo vẽ theo chiều tăng dần từ Bắc xuống Nam;

đ) Số hiệu các tuyến đo sâu kiểm tra được đánh số từ 01 cho đến hết ở mỗi khu vực đo vẽ theo chiều tăng dần từ Đông sang Tây.

2. Đo sâu và đo sâu kiểm tra:

a) Sử dụng SBES có độ chính xác ≤ ±((10cm+0,1% h); h là độ sâu tính bằng m) trở lên và phần mềm khảo sát địa hình đáy biển chuyên dụng để tiến hành đo sâu, đo sâu kiểm tra;

b) Đầu biến âm của SBES được lắp vào vị trí thích hợp trên tàu, đảm bảo yêu cầu kỹ thuật và an toàn trong suốt quá trình đo sâu địa hình đáy biển. Trước khi đo sâu trong ngày phải xác định độ ngập đầu biến âm với độ chính xác ± 1cm và nhập vào máy đo sâu, sau khi kết thúc ngày đo phải kiểm tra lại độ ngập của đầu biến âm. Đối với các chuyến đo (kéo dài nhiều ngày đêm) phải thường xuyên kiểm tra độ ngập của đầu biến âm. Khi có thay đổi trọng tải của tàu (tăng, giảm khối lượng dầu, khối lượng nước ngọt) dẫn tới thay đổi độ ngập đầu biến âm thì phải xác định lại độ ngập của đầu biến âm. Nếu sai lệch độ ngập của đầu biến âm giữa 2 lần đo liên tiếp vượt quá ±3cm thì phải hiệu chỉnh độ lệch này vào số liệu đo sâu bằng cách nội suy theo thời gian;

c) Tùy theo phạm vi đo vẽ, độ sâu của khu vực đo vẽ, trong TKKT - DT phải quy định sử dụng tốc độ âm nhập vào máy đo sâu theo một trong hai phương án sau:

- Dùng máy xác định tốc độ âm ở vị trí sâu nhất của từng khu vực đo vẽ để hiệu chỉnh cho kết quả đo sâu của tất cả các mảnh bản đồ trong khu vực đó;

- Dùng máy xác định tốc độ âm đo được ở vị trí sâu nhất của mảnh bản đồ để hiệu chỉnh kết quả đo sâu của riêng mảnh bản đồ đó.

- Tốc độ âm nhập vào máy đo sâu làm tròn đến m/s. Tùy thuộc phần mềm sử dụng mà quy định nhập tốc độ âm vào phần mềm ở dạng phù hợp.

d) Thời gian trên hệ thống thiết bị đo biển phải đồng bộ với thời gian của đồng hồ dùng để quan trắc mực nước tại điểm nghiệm triều;

đ) Trước khi thực hiện, đơn vị thi công phải liên hệ với đơn vị chủ quản quản lý và vận hành các trạm DGPS ven biển để đảm bảo được tín hiệu cải chính hoặc ký hợp đồng thuê bao tín hiệu vệ tinh khi sử dụng máy GNSS động để xác định vị trí điểm đo sâu;

e) Trong quá trình thi công, do ảnh hưởng của các yếu tố sóng biển, gió... các tuyến đo sâu chỉ được phép lệch so với tuyến đã thiết kế không quá ±10m ở thực địa, tuyến đo kiểm tra cắt tuyến đo sâu một góc dao động không quá ±30 0 so với góc thiết kế (90 0 ). Trường hợp lệch quá quy định trên, phải đo bổ sung để đảm bảo đủ số liệu;

g) Trường hợp tàu đo sâu không thể vào sát được bờ biển, bờ đảo hoặc mật độ điểm đo sâu chưa đủ để thể hiện hết địa hình ven bờ biển, ven chân đảo thì phải tận dụng lúc triều cường đo bổ sung 01 hoặc nhiều tuyến đo sâu chạy dọc theo chân bờ biển, chạy vòng quanh chân đảo;

h) Trong quá trình đo sâu, đo sâu kiểm tra nếu phát hiện các đảo chìm, các chướng ngại vật dưới đáy biển, nguy hiểm hàng hải, đá ngầm thì phải tiến hành đo rà soát hải văn và phải ghi chép, mô tả rõ ràng vào sổ công tác để nội nghiệp biểu thị và ghi chú thuyết minh;

i) Khoảng cách giữa các tuyến đo rà soát hải văn từ 05 đến 10m ở thực địa (khu vực có các chướng ngại vật, đá ngầm, nguy hiểm hàng hải: khoảng cách các tuyến là 5m; khu vực các bãi ngầm, dị thường địa hình thì khoảng cách các tuyến là 10m). Mật độ điểm xác định độ sâu liên tiếp trên các tuyến đo rà soát hải văn không được vượt quá 5m ở thực địa;

k) Kết quả đo sâu, đo sâu kiểm tra, đo rà soát hải văn phải ghi vào sổ đo sâu và phải được lưu giữ dưới dạng tệp số liệu gốc theo định dạng của phần mềm đã sử dụng trên đĩa DVD. Mẫu sổ đo sâu theo quy định tại Phụ lục 3 ban hành kèm theo Thông tư này.

3. Đánh giá độ chính xác đo sâu:

a) Sử dụng phương pháp nội suy tuyến tính tại vị trí giao nhau giữa 2 cặp điểm gần nhất của tuyến đo sâu và tuyến đo sâu kiểm tra để tìm ra 2 giá trị độ sâu tương ứng, so sánh 2 giá trị này. Số chênh độ sâu giữa đo sâu và đo sâu kiểm tra tính theo công thức Δ=h đs - h kt .

Trong đó:

- h đs là độ sâu (thu được từ kết quả nội suy tuyến tính của giao điểm giữa tuyến đo sâu và tuyến đo sâu kiểm tra) khi đo sâu;

- h kt là độ sâu (thu được từ kết quả nội suy tuyến tính của giao điểm giữa tuyến đo sâu và tuyến đo sâu kiểm tra) khi đo sâu kiểm tra.

b) Các hạn sai được thực hiện theo quy định tại Điều 6 Thông tư này.

Điều 21. Đo sâu địa hình đáy biển bằng MBES

1. Thiết kế tuyến quét địa hình đáy biển:

a) Địa hình đáy biển phải được quét kín diện tích (100%) bề mặt địa hình;

b) Hướng của tuyến quét địa hình phải song song với hướng của đường đẳng sâu (vuông góc với hướng dốc của địa hình đáy biển khu vực cần đo vẽ); số lượng tuyến quét địa hình phụ thuộc vào độ sâu của khu vực đo vẽ và góc mở của từng máy (phải nêu cụ thể trong TKKT - DT);

c) Độ phủ giữa 2 dải quét liền kề không nhỏ hơn 5% độ rộng của dải quét nhỏ hơn trong 2 dải quét đó. Khi đó không phải thiết kế tuyến quét kiểm tra;

d) Khi 2 tuyến quét liền kề không phủ lên nhau (độ phủ 0% hoặc độ phủ nhỏ hơn 5%) thì phải thiết kế tuyến quét kiểm tra. Hướng của tuyến quét kiểm tra phải vuông góc với hướng của tuyến quét. Tổng chiều dài của các tuyến quét kiểm tra không được nhỏ hơn 5% tổng chiều dài các tuyến quét và phải được phân bố đều trên khu vực;

đ) Độ rộng của vệt quét phải căn cứ vào độ sâu trung bình, chất đáy của khu vực quét, hồ sơ kỹ thuật của MBES để chọn góc mở tối ưu nhất;

e) Thiết kế tuyến quét, tuyến quét kiểm tra trên hệ tọa độ VN-2000 hoặc chuyển toàn bộ thiết kế tuyến quét, tuyến quét kiểm tra sang hệ tọa độ WGS-84, nhập vào phần mềm dẫn đường tạo thành các đường chạy (theo tia trung tâm) phục vụ cho việc dẫn đường khi quét bề mặt địa hình đáy biển sao cho không bị hở diện tích và đảm bảo độ phủ theo quy định tại Khoản 1 Điều này. Nếu thiết kế trên hệ tọa độ VN-2000 thì phải nhập 07 tham số chuyển đổi hệ tọa độ theo Quyết định số 05/2007/QĐ-BTNMT ngày 27 tháng 02 năm 2007 của Bộ trưởng Bộ Tài nguyên và Môi trường về sử dụng hệ thống tham số tính chuyển giữa Hệ tọa độ quốc tế WGS-84 và Hệ tọa độ quốc gia VN-2000 vào phần mềm dẫn đường;

g) Số hiệu tuyến quét, số hiệu tuyến quét kiểm tra của các dải quét được đánh số từ 01 cho đến hết đối với từng loại tuyến trong cùng một khu vực đo vẽ và phải được quy định chi tiết trong TKKT - DT;

h) Đối với các khu vực ven các đảo lớn, khu vực có nhiều đảo, địa hình phức tạp thì trong TKKT - DT phải nêu cụ thể các quy định về hướng tuyến quét, độ rộng dải quét…dựa trên các quy định tại các Điểm b, c, d, đ Khoản này.

2. Quét địa hình đáy biển:

a) Sử dụng các MBES có độ chính xác ≤ ±((10cm+0,1% h); h là độ sâu tính bằng m) trở lên và phần mềm khảo sát địa hình đáy biển chuyên dụng để quét địa hình đáy biển;

b) Sử dụng máy đo tốc độ âm đặt tại đầu biến âm (SVP-SV Profiler hoặc tương đương) và kết nối với MBES, máy tính chuyên dụng, máy cải chính sóng…thành 01 hệ thống thiết bị đồng bộ để quét địa hình đáy biển;

c) Khi quét địa hình đáy biển phải tùy tình hình thực tế độ sâu của tia trung tâm để điều khiển tàu chạy sao cho đảm bảo nguyên tắc quét kín 100% bề mặt địa hình đáy biển và đảm bảo độ phủ giữa 2 tuyến liền kề theo quy định tại Điểm c Khoản 1 Điều này;

d) Trong quá trình quét địa hình đáy biển nếu phát hiện các đảo chìm, các chướng ngại vật dưới đáy biển, nguy hiểm hàng hải, cây ngập nước, đá ngầm phải ghi chép thuyết minh trong sổ quét địa hình đáy biển, nêu trong các báo cáo, mô tả rõ ràng vào sổ công tác để nội nghiệp biểu thị và ghi chú thuyết minh. Mẫu sổ quét địa hình đáy biển theo quy định tại Phụ lục 3 ban hành kèm theo Thông tư này.

đ) Các quy định về xác định tốc độ âm, thời gian đồng bộ trên hệ thống thiết bị đo biển, tín hiệu cải chính phân sai, góc cắt giữa tuyến quét và tuyến quét kiểm tra, khi hở diện tích quét chân bờ biển, chân các đảo theo quy định tại các Điểm c, d, đ, e, g Khoản 2 Điều 20 Thông tư này;

e) Kết quả quét bề mặt địa hình dạng số phải được lưu giữ dưới dạng tệp số liệu gốc theo định dạng của phần mềm sử dụng trên đĩa DVD.

3. Đánh giá độ chính xác quét địa hình đáy biển:

a) Việc đánh giá kết quả quét địa hình đáy biển căn cứ vào số liệu thu được trên phần diện tích phủ nhau giữa 2 dải quét liền kề hoặc số liệu thu được trên phần diện tích chồng nhau giữa dải quét và dải quét kiểm tra;

b) Khối lượng điểm đưa vào đánh giá độ chính xác theo quy định tại Khoản 6 Điều 6 Thông tư này. Trong TKKT - DT phải quy định cụ thể chiều dài cạnh ô vuông của các mắt lưới khi xuất điểm để đánh giá độ chính xác;

c) Các hạn sai được thực hiện theo quy định tại Điều 6 Thông tư này.

4. Sử dụng MBES để đo sâu theo theo dải:

a) Khoảng cách giữa 2 hàng điểm rìa của 2 dải dữ liệu độ sâu liền kề khi đo sâu theo dải bằng MBES không được cách nhau quá 1cm trên bản đồ (tương ứng với 50m ở thực địa);

b) Hướng tuyến (tính theo tia trung tâm) đo sâu theo dải phải song song với hướng của đường đẳng sâu, hướng tuyến đo kiểm tra theo dải phải vuông góc với hướng tuyến đo sâu. Tổng chiều dài tuyến đo sâu kiểm tra theo dải không được ít hơn 10% tổng chiều dài tuyến đo sâu theo dải và phải được phân bố đều trên khu vực;

c) Việc thực hiện đo sâu, đo sâu kiểm tra, đánh giá độ chính xác phải theo các quy định tại Khoản 1, 2, 3 Điều này và phải được nêu cụ thể trong TKKT - DT.

Điều 22. Đo sâu địa hình đáy biển bằng sào đo sâu

1. Sử dụng lưới khống chế cơ sở theo quy định tại Điều 9 và lưới khống chế đo vẽ theo quy định tại Điều 10 Thông tư này để làm điểm trạm đo. Khoảng cách từ trạm đo tới điểm đo vẽ chi tiết không vượt quá 500m (khi sử dụng máy toàn đạc điện tử có sai số đo góc ≤±30” và sai số đo cạnh ≤±0,10m), không vượt quá 300m (khi sử dụng máy kinh vĩ quang học). Vị trí điểm được xác định theo phương pháp toàn đạc, độ sâu của điểm được xác định theo phương pháp đo cao lượng giác (đo ở 01 vị trí bàn độ). Trung bình khoảng 20 điểm đo thì phải kiểm tra lại hướng chuẩn. Kết quả đo được ghi đầy đủ vào sổ đo chi tiết. Mẫu sổ đo điểm chi tiết theo quy định kỹ thuật hiện hành.

2. Mật độ điểm đo sâu bằng sào trung bình không được nhỏ hơn 40 điểm/0,1km 2 trên thực địa; ở những nơi địa hình đơn giản, không bị chia cắt thì mật độ điểm đo sâu bằng sào có thể giảm xuống 30 điểm/0,1km 2 trên thực địa; ở những nơi địa hình phức tạp, bị chia cắt thì mật độ điểm đo sâu bằng sào phải tăng lên đến 60 điểm/0,1km 2 trên thực địa.

3. Trường hợp đo vẽ chi tiết địa hình đáy biển ở các khu vực cần đo sâu bằng sào bằng phương pháp toàn đạc mà sử dụng lưới khống chế đo vẽ đã xác định độ cao kỹ thuật theo quy định thì không cần quan trắc mực nước.

4. Trong điều kiện cho phép, có thể dùng máy GNSS động để xác định vị trí điểm đo sâu bằng sào theo cách xác định thời điểm định vị bằng tay (manual logging) và ghi lưu tọa độ thành tệp riêng theo định dạng của phần mềm sử dụng; độ sâu của điểm được xác định bằng sào đo sâu có vạch chia nhỏ nhất đến cm và ghi vào sổ đo sào. Trường hợp này phải quan trắc mực nước theo quy định tại Điều 17 Thông tư này. Mẫu sổ đo sâu bằng sào (khi xác định vị trí điểm bằng máy GNSS) theo quy định tại Phụ lục 3 ban hành kèm theo Thông tư này.

5. Số hiệu điểm đo sâu bằng sào đo sâu được đánh số từ 01 cho đến hết trên cùng một khu vực đo vẽ. Khi phạm vi đo sâu bằng sào lớn, trong TKKT - DT có thể phân chia thành các khu vực đo vẽ nhỏ để quy định việc đánh số thứ tự điểm đo sâu bằng sào.

6. Trên khu vực đo sâu bằng sào, không phải đo sâu kiểm tra.

Điều 23. Đo vẽ chi tiết bằng công nghệ RTK

1. Phải sử dụng thiết bị RTK do các hãng chuyên dụng chế tạo và đã được kiểm nghiệm để thi công. Bộ thiết bị đo bao gồm các máy thu tín hiệu vệ tinh GNSS/ DGNSS loại thu được trị đo Code và trị đo Phase, 1 tần số hoặc đa tần số, có sai số đo cạnh ≤±(10mm + 1mm x D) (D là chiều dài cạnh đo tính bằng km) và thiết bị có chức năng đo GNSS/DGNSS động thời gian thực.

2. Đối với mỗi trạm đo, sử dụng một trạm Base (trạm Base theo quy định tại Điều 9 Thông tư này), có điều kiện thông thoáng bầu trời cho phép thu được tín hiệu của tất cả các vệ tinh (trong góc ngưỡng 15 0 ) có tại mọi thời điểm đo tại khu vực trạm Base và các máy di động (Rover) tiếp cận các điểm cần đo mới.

3. Khoảng cách từ trạm Base đến điểm đo không được vượt quá 10km.

4. Cài đặt chính xác số liệu tọa độ, độ cao của trạm Base theo đúng các hướng dẫn kỹ thuật của từng hệ thống. Cài đặt tọa độ đúng với hệ tọa độ sử dụng theo quy định của từng TKKT-DT đã được phê duyệt. Hệ tọa độ đã được cài đặt trong hệ thống phải được đặc biệt lưu ý trong khi cài đặt hệ tọa độ trong các phần mềm khảo sát. Các tham số tính chuyển từ Hệ tọa độ WGS-84 về Hệ tọa độ quốc gia VN-2000 theo quy định tại Quyết định số 05/2007/QĐ-BTNMT ngày 27 tháng 02 năm 2007 của Bộ trưởng Bộ Tài nguyên và Môi trường về sử dụng hệ thống tham số tính chuyển giữa Hệ tọa độ quốc tế WGS-84 và Hệ tọa độ quốc gia VN-2000.

5. Chiều cao ăng ten của trạm Base được đo chính xác đến 02mm. Chiều cao ăng ten của máy Rover được đo chính xác đến 05mm.

6. Tín hiệu radio được kiểm tra trước và trong quá trình đo. Sai số định vị tức thời phải được theo dõi liên tục trong quá trình đo để đảm bảo chất lượng số liệu đạt chuẩn RTK. Theo dõi độ mạnh yếu tín hiệu thu trên máy Rover để hiệu chỉnh tín hiệu radio ở trạm Base.

7. Việc đo vẽ chi tiết được thực hiện theo một trong hai phương án sau:

a) Trường hợp sử dụng tàu để di chuyển, người đo sào sẽ ngồi trực tiếp trên tàu, sào đo sẽ được gióng trùng khớp với vị trí ăng ten của máy Rover để tiến hành cắm sào tại các điểm đo khi tàu di chuyển. Sào đo được cắm xuống mặt đáy biển theo phương thẳng đứng, ghi lại số liệu độ cao tương ứng với ăng ten máy Rover để cho số liệu đo sâu chính xác, đồng thời số liệu sẽ được xác định tọa độ và độ sâu tại điểm đó. Thời gian cho mỗi điểm đo chi tiết để đảm bảo chính xác có thể dừng đo từ 2 - 5 giây tùy theo chế độ cài đặt;

b) Trường hợp không thể sử dụng tàu để di chuyển mà phải di chuyển bộ, khi đó ăng ten máy Rover sẽ được tháo lắp trực tiếp trên sào đo, số liệu đo tại các điểm sẽ được ghi lại trực tiếp vào máy Rover, độ cao được xác định theo chiều cao của sào đo. Sào đo được cắm xuống mặt đáy biển theo phương thẳng đứng, ghi lại số liệu độ cao tương ứng với ăng ten định vị máy Rover. Thời gian cho mỗi điểm đo chi tiết để đảm bảo chính xác có thể dừng đo từ 2 - 5 giây tùy theo chế độ cài đặt.

Khi xác định độ cao (độ sâu) bằng thiết bị RTK mà máy Rover cắm trực tiếp xuống mặt đáy biển thì không phải quan trắc mực nước.

Mẫu sổ đo theo công nghệ RTK theo quy định tại Phụ lục 3 ban hành kèm theo Thông tư này.

Điều 24. Lấy mẫu chất đáy

1. Đối với các khu vực biển có độ sâu đến 30m: khu vực đo sâu bằng máy đo sâu hồi âm, mật độ điểm lấy mẫu chất đáy phân bố đều trên diện tích đo vẽ, cứ 01km 2 ở thực địa lấy 08 điểm; khu vực đo sâu bằng sào đo sâu phải tăng mật độ lấy mẫu lên 02 lần (16 điểm/km 2 ). Trong TKKT-DT phải trình bày cụ thể khoảng cách giữa các tuyến lấy mẫu chất đáy khu vực đo sâu bằng máy.

2. Đối với các khu vực biển có độ sâu từ 30m đến 100m: Việc lấy mẫu chất đáy tùy thuộc vào yêu cầu cụ thể mà quy định mật độ điểm lấy mẫu chất đáy trong TKKT - DT.

3. Mẫu chất đáy bề mặt được lấy bằng gầu chuyên dụng (khu vực biển sâu đến 30m), bằng ống phóng trọng lực, ống phóng van đẩy, ống phóng rung…(khu vực biển sâu từ 30m đến 100m). Mẫu chất đáy có bề dày lớp mặt từ 20 đến 25cm. Mẫu chất đáy được phân loại ngay ở thực địa: cát, bùn, bùn pha cát, đá sỏi… và ghi vào sổ lấy mẫu chất đáy, không phải lưu lại mẫu. Mẫu sổ lấy mẫu chất đáy theo quy định tại Phụ lục 3 ban hành kèm theo Thông tư này.

4. Đối với các khu vực bãi đá ngầm, bãi san hô sẽ không lấy mẫu bằng gầu chuyên dụng được thì phải điều tra, thu thập thông tin phạm vi các khu vưc này trong quá trình đo sâu và sử dụng một trong các phương án: phần mềm xử lý Backscater của hệ thống máy đo sâu hồi âm; thiết bị camera (máy quay) ngầm; thiết bị side scan Sonar (quét sườn Sonar) để biểu thị chất đáy bề mặt theo ranh giới của các bãi này.

5. Các quy định về xác định vị trí của điểm lấy mẫu chất đáy giống quy định về xác định vị trí điểm đo sâu:

a) Tọa độ của các điểm lấy mẫu chất đáy khu vực đo sâu bằng SBES, MBES được ghi thành tệp số liệu với định dạng của phần mềm sử dụng;

b) Tọa độ của các điểm lấy mẫu chất đáy khu vực đo sào khi xác định bằng toàn đạc điện tử phải được ghi trong sổ đo điểm chi tiết;

c) Tọa độ của các điểm lấy mẫu chất đáy khu vực đo sâu bằng sào khi xác định vị trí bằng GNSS/DGNSS thì được ghi thành tệp số liệu với định dạng của phần mềm sử dụng;

d) Tọa độ của các điểm lấy mẫu chất đáy khi xác định bằng công nghệ RTK thì được ghi thành tệp số liệu theo định dạng của phần mềm sử dụng.

Điều 25. Các quy định đo vẽ khác

1. Đường bờ nước (là giới hạn lòng chứa nước cao nhất của mặt nước) và đường mép nước (được xác định tại thời điểm đo vẽ) được xác định theo quy định kỹ thuật đo vẽ và thành lập bản đồ địa hình tỷ lệ 1: 5000 phần đất liền. Phạm vi đo vẽ phần biển được tính từ đường mép nước trở xuống:

a) Đối với khu vực đo vẽ đã có bản đồ địa hình tỷ lệ 1:5000 (hoặc tỷ lệ lớn hơn) thì đường mép nước được lấy theo bản đồ địa hình trên phần đất liền đã xuất bản (hoặc được biên vẽ từ bản đồ địa hình tỷ lệ lớn hơn);

b) Đối với khu vực đo vẽ đã có bản đồ địa hình tỷ lệ 1:10 000, hoặc tỷ lệ nhỏ hơn thì phải xác định phương án thể hiện đường mép nước. Tùy từng khu vực cụ thể, trên cơ sở các bản đồ, hải đồ đã có sẵn phải nêu rõ giải pháp xác định và biểu thị đường mép nước trong TKKT - DT;

c) Cá biệt, những khu vực không thể xác định chính xác đường mép nước tại thời điểm đo vẽ thì đường mép nước được quy định là đường đẳng sâu “0” m căn cứ theo kết quả đo vẽ địa hình đáy biển.

2. Bãi cạn lúc chìm lúc nổi, bãi ngầm được quy định như sau:

a) Các bãi có diện tích nhỏ hơn 15mm 2 trên bản đồ thì không phải thể hiện; các bãi có diện tích từ 15mm 2 trở lên trên bản đồ thì phải thể hiện ranh giới bãi và ký hiệu loại bãi; các bãi có diện tích từ 200mm 2 trở lên trên bản đồ phải thể hiện điểm cao nhất của bãi bằng ghi chú độ cao hoặc độ sâu tại vị trí tương ứng;

b) Các bãi ngầm và phần ngập nước của các bãi cạn lúc chìm lúc nổi nếu thể hiện được bằng đường đẳng sâu thì phải vẽ đường đẳng sâu và ghi chú độ sâu; phần nổi trên mặt nước của các bãi nếu thể hiện được bằng đường bình độ thì phải vẽ đường bình độ theo quy định đối với bản đồ địa hình tỷ lệ 1:5000 trên đất liền và ghi chú độ cao.

3. Các địa vật, công trình nhân tạo trên biển:

a) Các công trình kỹ thuật gồm các giàn khoan, nhà giàn, cầu cảng, vách bờ xây công trình, kè đá ven biển, âu thuyền tránh bão;

b) Các công trình xây dựng trên biển gồm các trạm nghiên cứu biển, phao luồng tàu, đăng tiêu, chập tiêu;

c) Các vùng nuôi hải sản trên biển gồm đầm, phá, khoang, lồng, bè nuôi hải sản cố định trên biển; vùng đăng, chắn đánh bắt cá cố định trên biển. Các vùng nuôi hải sản trên biển thể hiện trên bản đồ theo nguyên tắc:

- Đối với các khoang, lồng, bè nuôi hải sản cố định đứng đơn lẻ được thể hiện trên bản đồ theo tỷ lệ hoặc bằng ký hiệu, phụ thuộc vào độ lớn theo quy định tại Điều 7 Thông tư này;

- Đối với các khoang, lồng, bè nuôi hải sản tập trung, tạo thành các khu vực, thì thể hiện trên bản đồ theo nguyên tắc vẽ ranh giới ngoài cùng của toàn bộ khu vực và lựa chọn để thể hiện ghi chú tên loại hải sản chính; ranh giới ngoài cùng lấy theo hồ sơ được cấp phép giao các khu vực biển nhất định cho các tổ chức, cá nhân sử dụng tài nguyên biển;

- Đối với các khoang, lồng, bè nuôi hải sản không được cấp phép thì thể hiện trên bản đồ theo phạm vi đo vẽ thực tế ở thực địa và lựa chọn để thể hiện ghi chú tên loại hải sản chính;

- Đối với đầm, phá có nuôi hải sản phải khoanh vẽ khu vực nuôi hải sản và ghi chú tên loại hải sản chính;

- Đối với các khu vực đăng, chắn đánh bắt hải sản cố định thì không thể hiện chi tiết số lượng, chủng loại phương tiện đánh bắt chỉ thể hiện ký hiệu và đường bao khu vực.

d) Các công trình, địa vật nhân tạo trên biển thể hiện theo quy định tại Điều 7 Thông tư này. Các công trình, địa vật có tên riêng thì phải ghi chú tên.

4. Các địa vật, công trình nhân tạo tại đáy biển phải thể hiện trên bản đồ, gồm xác tàu đắm, ống dẫn dầu, ống dẫn khí, cáp tải điện, cáp viễn thông:

a) Nếu có thông tin chi tiết, xác tàu đắm được thể hiện bằng ký hiệu, đặt tại vị trí có xác tàu tại đáy biển, trường hợp khu vực tàu đắm thuộc đối tượng nguy hiểm hàng hải thì phải khoanh bao khu vực nguy hiểm và thể hiện theo quy định kèm ghi chú. Nếu xác tàu đắm được khảo sát bằng hệ thống quét sườn Sonar thì hình dáng tàu được thể hiện theo tỷ lệ, ký hiệu tàu đắm được vẽ tại vị trí tâm tàu;

b) Các đường ống dẫn dầu, ống dẫn khí, cáp tải điện, cáp viễn thông được thể hiện bằng các ký hiệu hình tuyến tương ứng, bảo đảm đúng vị trí; trường hợp không có điều kiện đo vẽ thực địa thì phải căn cứ theo tài liệu thiết kế và bản vẽ hoàn công được lưu trữ tại các cơ quan liên quan để thể hiện lên bản đồ.

5. Các địa vật tự nhiên tại đáy biển:

a) Các địa vật tự nhiên trên biển và tại đáy biển gồm các mỏm đá, khối đá đứng độc lập hoặc tạo thành cụm, khối nổi trên mặt nước hoặc chìm dưới nước;

b) Các địa vật tự nhiên trên biển và tại đáy biển phải được thể hiện trên bản đồ bằng ký hiệu. Khi thể hiện các mỏm đá, khối đá ngoài ký hiệu cần ghi chú rõ độ cao hoặc độ sâu, điểm cao nhất của mỏm đá; trường hợp các mỏm đá có tên riêng thì phải ghi chú tên; trường hợp địa vật thuộc đối tượng nguy hiểm hàng hải thì phải khoanh bao khu vực nguy hiểm và thể hiện theo quy định tại Khoản 7 Điều này.

6. Các yếu tố hàng hải, hải văn:

a) Các yếu tố hàng hải, hải văn phải thể hiện trên bản đồ gồm luồng tàu thuyền ra vào cảng, luồng tàu thuyền ra vào khu vực cửa sông, phao tiêu, đèn biển, phao luồng, đèn luồng, phao neo thuyền, bến cảng, nơi neo đậu tàu thuyền tránh bão, trạm quan trắc hải văn, các thước đo mực nước thuỷ triều hoặc triều ký tự động;

b) Luồng tàu thuyền ra vào cảng, luồng tàu thuyền ra vào khu vực cửa sông thể hiện bằng ranh giới luồng, mật độ điểm ghi chú độ sâu tại khu vực thuộc ranh giới luồng và luồng phải lớn hơn 1,5 lần theo quy định tại Điều 8 Thông tư này, phải ghi chú tên luồng (nếu có), ghi chú trọng tải tàu thuyền lớn nhất có thể ra vào luồng;

c) Các bến cảng, nơi neo đậu tàu thuyền tránh bão, các trạm quan trắc hải văn, đèn biển, phao tiêu, phao luồng, đèn luồng, phao neo thuyền thể hiện bằng ký hiệu tương ứng trên bản đồ và phải ghi chú tên nếu có tên riêng; đối với nơi neo đậu tàu thuyền tránh bão thì mật độ điểm ghi chú độ sâu phải bảo đảm mật độ lớn hơn 1,5 lần theo quy định tại Điều 8 Thông tư này.

7. Vùng nguy hiểm hàng hải, vùng cấm:

a) Trên bản đồ phải thể hiện ranh giới vùng nguy hiểm hàng hải và các vùng cấm theo quy định của pháp luật về hàng hải;

b) Vùng nguy hiểm hàng hải gồm các khu vực nước xoáy, bãi đá ngầm, xác tàu đắm, các địa vật ngầm hoặc nổi có khả năng gây nguy hiểm cho giao thông hàng hải phải thể hiện bằng khoanh bao ranh giới khu vực nguy hiểm và ghi chú chữ “nguy hiểm” tại vị trí tương ứng. Vùng cấm phải thể hiện bằng khoanh bao ranh giới vùng cấm kèm theo ghi chú chữ “vùng cấm”.

8. Thực vật:

a) Thực vật thể hiện trên bản đồ gồm các vùng cây ngập mặn trên biển, các vùng thực phủ tại đáy biển;

b) Các vùng cây ngập mặn ven biển, ven đảo thể hiện theo quy định đối với phần thực vật, quy định tại quy phạm và quy định kỹ thuật đo vẽ bản đồ địa hình tỷ lệ 1:5000 và Ký hiệu 1:5000 phần đất liền;

c) Các vùng thực vật tại đáy biển chỉ thể hiện trên bản đồ khi có đầy đủ các thông tin về phạm vi, loại thực vật thông qua công tác khảo sát thực địa, thu thập tư liệu hoặc có thiết bị phụ trợ để phát hiện trong quá trình đo sâu, lấy mẫu chất đáy và phải được quy định cụ thể trong TKKT - DT.

9. Ghi chú địa danh và các ghi chú cần thiết khác:

a) Các địa danh gồm tên biển, tên vũng, vịnh, cửa sông, tên đảo, quần đảo, mũi đất, cồn, bãi, tên các luồng, lạch, đầm, phá ven biển, tên các bến cảng, đèn biển, tên các địa vật tự nhiên và nhân tạo khác phải được thể hiện trên bản đồ bằng kiểu, cỡ chữ tương ứng. Địa danh ghi chú trên bản đồ phải là địa danh được ghi trong Thông tư của Bộ Tài nguyên và Môi trường ban hành Danh mục địa danh dân cư, sơn văn, thủy văn, kinh tế - xã hội phục vụ công tác thành lập bản đồ của từng tỉnh, thành phố trực thuộc Trung ương. Trường hợp chưa có thông tư về địa danh thì phải lấy theo tên địa danh được các cơ quan hành chính nhà nước công bố; khi một đối tượng có nhiều tên gọi khác nhau, phải nghiên cứu để xác định tên chính thức, trường hợp khó khăn phải báo cáo cơ quan quản lý nhà nước về đo đạc bản đồ quyết định;

b) Các ghi chú cần thiết khác gồm ghi chú bằng chữ để giải thích tính chất, thuộc tính của địa vật, ghi chú các tham số kỹ thuật của chúng phải được thể hiện trên bản đồ bằng ký hiệu và kiểu cỡ chữ tương ứng với từng loại địa vật;

c) Kiểu, cỡ chữ ghi chú địa danh và các ghi chú cần thiết khác lựa chọn theo quy định của Ký hiệu 1:5000 phần đất liền.

10. Các đường phân chia trên biển

a) Các đường phân chia trên biển gồm đường cơ sở lãnh hải; đường biên giới trên biển; ranh giới vùng đặc quyền kinh tế trên biển; đường phân chia ranh giới trên biển giữa các quốc gia; ranh giới thềm lục địa; đường địa giới hành chính các cấp;

b) Các đường phân chia trên biển đã có đủ cơ sở pháp lý phải được thể hiện đầy đủ trên bản đồ; các đường phân chia trên biển chưa đủ cơ sở pháp lý được thể hiện bằng đường vẽ nháp; phương pháp thể hiện phải được nêu cụ thể trong TKKT - DT.

11. Các điểm kiểm tra thiết bị đo biển phải được thể hiện chính xác trên bản đồ theo kết quả tính toán bình sai các điểm kiểm tra thiết bị đo biển bằng ký hiệu tương ứng của điểm tọa độ nhà nước và ghi chú liên quan.

12. Sử dụng máy GNSS/DGNSS hoặc máy toàn đạc điện tử để xác định ranh giới các bãi cạn lúc chìm lúc nổi, bãi ngầm, các công trình, các địa vật tự nhiên, nhân tạo ở trên biển, ở dưới đáy biển với độ chính xác theo quy định tại Điều 6 Thông tư này. Chiều cao của địa vật xác định bằng thước dây hoặc đo cao lượng giác. Vị trí của các yếu tố hàng hải, hải văn: đèn biển, phao tiêu, phao luồng, đèn luồng được xác định tại tâm của địa vật.

 

Chương VII

THÀNH LẬP BẢN ĐỒ GỐC

 

Điều 26. Biên vẽ bản đồ từ tài liệu cũ

1. Các khu vực biển đã có bản đồ địa hình đáy biển tỷ lệ lớn hơn tỷ lệ bản đồ cần thành lập, qua đánh giá độ chính xác, tính đầy đủ, mức độ biến động địa hình, địa vật không nhiều thì không nhất thiết phải đo vẽ mới khu vực biển đó. Tiến hành biên vẽ diện tích phần biển đã có bản đồ địa hình tỷ lệ lớn về tỷ lệ 1:5000 theo nguyên tắc chung trong biên vẽ bản đồ địa hình phần đất liền.

2. Các khu vực trên phần đất liền, trên phần đảo đã có bản đồ địa hình tỷ lệ lớn hơn tỷ lệ bản đồ cần thành lập thì thực hiện việc lấy bỏ tổng hợp các yếu tố địa vật, địa hình theo nguyên tắc chung trong biên vẽ bản đồ địa hình phần đất liền.

3. Trường hợp không đo vẽ được phần đất liền, phần đảo theo quy định tại Điểm d Khoản 7 Điều 4 Thông tư này thì được biên vẽ phần địa hình, địa vật trên phần đất liền, trên phần đảo từ bản đồ địa hình, từ hải đồ tỷ lệ nhỏ hơn bản đồ cần thành lập. Trong TKKT - DT phải nêu cụ thể phương án kỹ thuật (mức độ cập nhật bổ sung sự biến động các địa vật, việc định vị diện tích các đảo, xác định đường bờ nước).

Điều 27. Biểu thị các yếu tố địa hình, địa vật trên phần đất liền, trên phần đảo

Việc biểu thị các yếu tố địa hình, địa vật trên phần đất liền, trên phần đảo tuân thủ các quy định hiện hành trong đo vẽ và thành lập bản đồ địa hình cùng tỷ lệ phần đất liền.

Điều 28. Biểu thị các yếu tố địa hình, địa vật trên phần biển

1. Việc thành lập bản đồ gốc đối với bản đồ địa hình đáy biển được thực hiện theo quy định chung đối với bản đồ địa hình phần đất liền và Quy định kỹ thuật số hoá bản đồ địa hình tỷ lệ 1:10 000, 1:25 000, 1:50 000 và 1:100 000 ban hành kèm theo Quyết định số 70/2000/QĐ-ĐC ngày 25 tháng 2 năm 2000 của Tổng cục trưởng Tổng cục Địa chính.

2. Việc ghép nối phần diện tích bản đồ địa hình đáy biển tỷ lệ 1:5000 với bản đồ địa hình trên phần đất liền hoặc trên phần đảo tỷ lệ 1:5000 được thực hiện tiếp biên theo quy định chung đối với bản đồ địa hình phần đất liền.

3. Tên và ghi chú của các yếu tố nội dung bản đồ địa hình đáy biển đã ghi trong sổ nhật ký đo được đưa vào bản đồ theo toạ độ và thể hiện bằng ký hiệu tương ứng.

4. Nội dung các nhóm, lớp của bản đồ địa hình đáy biển được điều chỉnh so với nội dung các nhóm lớp của bản đồ bản đồ địa hình phần đất liền như sau:

a) Nhóm lớp địa hình được bổ sung, sửa đổi các lớp sau:

Lớp

Code

Nội dung

Số ký hiệu

Lực nét

Tên ký hiệu, kiểu đường

Màu

Phông chữ

 

Tên phông

Số hiệu phông

Cỡ chữ (độ cao/độ rộng)

Ghi chú

32

 

Đường đẳng sâu cái

159

4

 

10

 

 

 

 

33

 

Ghi chú đường đẳng sâu cái

159

0

 

10

 

196

11/11

 

35

 

Đường đẳng sâu cơ bản

159

1

 

10

 

 

 

 

46

 

Nét chỉ dốc

 

1

 

10

 

 

 

Ln=5

38

 

Đường đẳng sâu nửa khoảng sâu đều

 

0

 

10

 

 

 

 

45

 

Chấm điểm độ sâu thường

 

DCAOTH

 

10

 

 

 

Cell

47

 

Chấm điểm độ sâu lớn nhất

 

DCKC

 

10

 

 

 

Cell

34

 

Ghi chú điểm độ sâu thường

159

0

 

10

 

214

8.0/8.0

 

47

 

Ghi chú điểm độ sâu lớn nhất

 

0

 

10

Univcdb

215

12/12

 

48

 

Ghi chú chất đáy

 

0

 

10

vnarial

180

8.0/8.0

 

b) Nhóm lớp giao thông được bổ sung các lớp sau:

Lớp

Code

Nội dung

Số ký hiệu

Lực nét

Tên ký hiệu, kiểu đường

Màu

Phông chữ

 

Tên phông

Số hiệu phông

Cỡ chữ (độ cao/độ rộng)

Ghi chú

55

 

Xác tàu đắm

 

1

TAUDAM

10

 

 

 

Cell

c) Nhóm lớp thủy hệ được bỏ các lớp sau:

- Lớp 5 (đường đẳng sâu);

- Lớp 6 (ghi chú đường đẳng sâu).

5. Độ cao đường bờ nước, đường mép nước trên bản đồ địa hình đáy biển được xác định như sau:

a) Trường hợp đường bờ nước, đường mép nước được xác định trong quá trình đo ngoại nghiệp thì độ cao các đường này lấy theo trị đo ngoại nghiệp;

b) Trường hợp đường bờ nước, đường mép nước đã được xác định trên bản đồ địa hình phần đất liền hoặc phần đảo tỷ lệ 1:5000 thì độ cao của các đường này lấy theo độ cao của bản đồ địa hình trên phần đất liền hoặc trên phần đảo.

6. Trong quá trình thành lập bản đồ gốc số, nếu gặp những đối tượng cần biểu thị trên bản đồ, nhưng chưa được nêu trong Ký hiệu 1:5000 và Thông tư này thì đơn vị thi công chủ động đề xuất ký hiệu biểu thị và phải nêu rõ trong Báo cáo tổng kết kỹ thuật và Báo cáo kiểm tra chất lượng, khối lượng công trình sản phẩm và Báo cáo nghiệm thu của cấp có thẩm quyền.

Điều 29. Lý lịch bản đồ

1. Đơn vị thi công ở ngoại nghiệp phải điền đầy đủ các thông tin có liên quan đến quá trình đo ở ngoại nghiệp vào tệp lý lịch bản đồ theo quy định.

2. Đơn vị thi công ở nội nghiệp tiếp nhận tệp lý lịch bản đồ từ đơn vị thi công ngoại nghiệp và có nhiệm vụ điền thêm đầy đủ các thông tin có liên quan đến quá trình biên vẽ, thành lập bản đồ gốc số ở nội nghiệp.

3. Mẫu lý lịch bản đồ gốc dạng số theo quy định tại Phụ lục 4 ban hành kèm theo Thông tư này.

 

Chương IX

ĐIỀU KHOẢN THI HÀNH 2

 

Điều 30. Hiệu lực thi hành

Thông tư này có hiệu lực thi hành kể từ ngày 15 tháng 02 năm 2018.

Điều 31. Tổ chức thực hiện

Cục Biển và Hải đảo Việt Nam 3 có trách nhiệm hướng dẫn và kiểm tra việc thực hiện Thông tư này.

Trong quá trình thực hiện, nếu có vướng mắc thì cơ quan, tổ chức, cá nhân phản ánh kịp thời về Bộ Nông nghiệp và Môi trường 4 để xem xét, giải quyết./.

 

BỘ NÔNG NGHIỆP VÀ MÔI TRƯỜNG
_____________

Số: 75/VBHN-BNNMT

XÁC THỰC VĂN BẢN HỢP NHẤT

 

Hà Nội, ngày 29 tháng 8 năm 2025


Nơi nhận:
- Văn phòng Chính phủ (để đăng công báo);
- Các Bộ, cơ quan ngang Bộ, cơ quan thuộc Chính phủ;
- UBND tỉnh, thành phố trực thuộc trung ương;
- Các Sở NN&MT tỉnh, thành phố trực thuộc trung ương;
- Cục Kiểm tra văn bản và Quản lý xử lý vi phạm hành chính, Bộ Tư pháp;
- Bộ trưởng (để báo cáo);
- Cổng TTĐT Chính phủ (để đăng tải);
- Cơ sở dữ liệu quốc gia về văn bản pháp luật (để đăng tải);
- Các đơn vị trực thuộc Bộ NN&MT;
- Cổng thông tin điện tử Bộ NN&MT;
- Lưu: VT, PC, BHĐ.

 

KT. BỘ TRƯỞNG
THỨ TRƯỞNG




Lê Minh Ngân

 

 

 

___________________________

1 Thông tư số 15/2025/TT-BNNMT ngày 19 tháng 6 năm 2025 của Bộ trưởng Bộ Nông nghiệp và Môi trường quy định phân quyền, phân cấp, phân định thẩm quyền và sửa đổi, bổ sung một số điều của các thông tư trong lĩnh vực biển và hải đảo có căn cứ như sau:

“Căn cứ Luật Biển Việt Nam ngày 21 tháng 6 năm 2012;

Căn cứ Luật Tài nguyên, môi trường biển và hải đảo ngày 25 tháng 6 năm 2015;

Căn cứ Luật Thủy sản ngày 21 tháng 11 năm 2017;

Căn cứ Luật Tổ chức Chính quyền địa phương năm 2025;

Căn cứ Nghị định số 11/2021/NĐ-CP ngày 10 tháng 02 năm 2021 của Chính phủ quy định việc giao các khu vực biển nhất định cho tổ chức, cá nhân khai thác, sử dụng tài nguyên biển;

Căn cứ Nghị định số 65/2025/NĐ-CP ngày 12 tháng 3 năm 2025 của Chính phủ sửa đổi, bổ sung một số điều của Nghị định số 40/2016/NĐ-CP ngày 15 tháng 5 năm 2016 của Chính phủ quy định chi tiết thi hành một số điều của Luật Tài nguyên, môi trường biển và hải đảo và Nghị định số 11/2021/NĐ-CP ngày 10 tháng 02 năm 2021 của Chính phủ quy định việc giao các khu vực biển nhất định cho tổ chức, cá nhân khai thác, sử dụng tài nguyên biển; Căn cứ Nghị định số 35/2025/NĐ-CP ngày 25 tháng 02 năm 2025 của Chính phủ quy định chức năng, nhiệm vụ, quyền hạn và cơ cấu tổ chức của Bộ Nông nghiệp và Môi trường; Căn cứ Nghị định số 136/2025/NĐ-CP ngày 12 tháng 6 năm 2025 của Chính phủ quy định phân quyền, phân cấp trong lĩnh vực nông nghiệp và môi trường;

Theo đề nghị của Cục trưởng Cục Biển và Hải đảo Việt Nam;

Bộ trưởng Bộ Nông nghiệp và Môi trường ban hành Thông tư quy định phân quyền, phân cấp, phân định thẩm quyền và sửa đổi, bổ sung một số điều của các thông tư trong lĩnh vực biển và hải đảo.”.

2 Điều 38 và Điều 39 của Thông tư số 15/2025/TT-BNNMT ngày 19 tháng 6 năm 2025 của Bộ trưởng Bộ Nông nghiệp và Môi trường quy định phân quyền, phân cấp, phân định thẩm quyền và sửa đổi, bổ sung một số điều của các thông tư trong lĩnh vực biển và hải đảo, có hiệu lực từ ngày 01 tháng 7 năm 2025 quy định như sau:

“Điều 38. Hiệu lực thi hành

Thông tư này có hiệu lực thi hành kể từ ngày 01 tháng 7 năm 2025.

Điều 39. Trách nhiệm thi hành

Bộ trưởng, Thủ trưởng cơ quan ngang bộ, thủ trưởng cơ quan thuộc Chính phủ, Chủ tịch Ủy ban nhân dân tỉnh, thành phố trực thuộc trung ương có biển và các cơ quan có liên quan chịu trách nhiệm thi hành Thông tư này.”

3 Cụm từ “Tổng cục Biển và Hải đảo Việt Nam” được thay thế bởi cụm từ “Cục Biển và Hải đảo Việt Nam” theo quy định tại khoản 1 Điều 28 của Thông tư số 15/2025/TT-BNNMT ngày 19 tháng 6 năm 2025 của Bộ trưởng Bộ Nông nghiệp và Môi trường quy định phân quyền, phân cấp, phân định thẩm quyền và sửa đổi, bổ sung một số điều của các thông tư trong lĩnh vực biển và hải đảo, có hiệu lực kể từ ngày 01 tháng 7 năm 2025.

4 Cụm từ “Bộ Tài nguyên và Môi trường” được thay thế bởi cụm từ “Bộ Nông nghiệp và Môi trường” theo quy định tại khoản 2 Điều 28 của Thông tư số 15/2025/TT-BNNMT ngày 19 tháng 6 năm 2025 của Bộ trưởng Bộ Nông nghiệp và Môi trường quy định phân quyền, phân cấp, phân định thẩm quyền và sửa đổi, bổ sung một số điều của các thông tư trong lĩnh vực biển và hải đảo, có hiệu lực kể từ ngày 01 tháng 7 năm 2025.

 

 

Phụ lục 1

(Ban hành kèm theo Thông tư số 63/TT-BTNMT ngày 22 tháng 12 năm 2017
của Bộ trưởng Bộ Tài nguyên và Môi trường)

 

Ký hiệu bản đồ địa hình đáy biển tỷ lệ 1:5 000 (Bổ sung)

 

STT

TÊN KÝ HIỆU

KÝ HIỆU

 

CÁC YẾU TỐ HÀNG HẢI VÀ CÁC ĐỊA VẬT KHÁC

 

1

Đăng, chắn đánh bắt cá ổn định

 

2

Cột mốc chủ quyền

 

3

Trạm khí tượng

 

4

Động cơ gió

5*

Đường ống dẫn dầu khí

a. Nổi

b. Ngầm

 

 

 

ĐỊA HÌNH ĐÁY BIỂN

 

6

Đường đẳng sâu

a. Đường đẳng sâu cơ bản

b. Đường đẳng sâu cái

c. Đường đẳng sâu nửa khoảng sâu đều

d. Đường đẳng sâu phụ

e. Đường đẳng sâu nháp

f. Nét chỉ dốc

g. Ghi chú đường đẳng sâu

7

Điểm độ sâu

a. Độ sâu lớn nhất (độ sâu khống chế)

b. Độ sâu thường và độ sâu đỉnh núi ngầm, đá ngầm

8

Sườn đất ngầm dốc đứng

 

 

Phụ lục 2

(Ban hành kèm theo Thông tư số 63/TT-BTNMT ngày 22 tháng 12 năm 2017
của Bộ trưởng Bộ Tài nguyên và Môi trường)

Mẫu các sổ kiểm nghiệm máy

 

Mẫu bìa ngoài

Của các loại sổ kiểm nghiệm

 

CƠ QUAN CHỦ QUẢN
ĐƠN VỊ THI CÔNG
------------------------

 

 

 

TÊN (sổ kiểm nghiệm)

Số: …….

 

 

 

Khu đo :.(tên Thiết kế kỹ thuật - Dự toán)...................

………………..................................................................

Năm đo :.........................................................................

 

 

 

 

 

 

 

NĂM 20….

 

 

Mẫu bìa trong của các loại sổ kiểm nghiệm

 

CƠ QUAN CHỦ QUẢN

ĐƠN VỊ THI CÔNG

------------------------

 

 

 

 

 

 

 

 

 

 

TÊN (sổ kiểm nghiệm)

Số: …….

 

 

 

 

Ngày...........tháng...........năm 20......

ĐƠN VỊ THI CÔNG

(Ký tên, đóng dấu)

 

 

Mẫu trang 01 của các loại sổ kiểm nghiệm

 

Mục lục

TT

Nội dung

Trang

Ghi chú

 

 

 

 

 

 

 

 

 

 

 

 

 

 

 

 

 

 

 

 

 

 

 

 

 

 

 

 

 

 

 

 

 

Trang 01.

 

 

Mẫu trang 02 của các loại sổ kiểm nghiệm

 

Người kiểm tra của đơn vị thi công : ...............................................................................

Ý kiến kiểm tra: ..............................................................................................................

..........................................................................................................................................

...........................................................................................................................................

...........................................................................................................................................

.........................................................................................................................................

...........................................................................................................................................

...........................................................................................................................................

 

 

Ngày ....... tháng .........năm 20.....
(Ký, ghi rõ họ tên)

 

 

 

Người kiểm tra của chủ đầu tư ........................................................................................

Ý kiến kiểm tra : ..............................................................................................................

...........................................................................................................................................

...........................................................................................................................................

...........................................................................................................................................

...........................................................................................................................................

...........................................................................................................................................

...........................................................................................................................................

...........................................................................................................................................

 

 

Ngày ....... tháng .........năm 20.....
(Ký, ghi rõ họ tên)

 

 

Trang 02

 

Mẫu trang 03 của các loại sổ kiểm nghiệm

 

NHỮNG VẤN ĐỀ CẦN LƯU Ý

 

TT

Trang

Tóm tắt nội dung

Ý kiến giải quyết

Người giải quyết

 

 

 

 

 

 

 

 

 

 

 

 

 

 

 

 

 

 

 

 

 

 

 

 

 

 

 

 

 

 

 

 

 

 

 

 

 

 

 

Mẫu trang 04 của Sổ kiểm nghiệm máy đo sâu hồi âm đơn tia

 

KẾT QUẢ KIỂM NGHIỆM MÁY ĐO SÂU

 

Ngày kiểm nghiệm:……………………Điều kiện thời tiết:…………………………….......

Nơi kiểm nghiệm:………….………………………………………………………………….

Loại máy:…………………….Tên máy:……….………………Số máy:………………….

Độ chính xác của máy (theo Catalog):……..………Chỉ số lệch độ sâu:……………….

Máy đo tốc độ âm loại:………….…………..…... Số máy:….……………….

1- Kiểm nghiệm chỉ số lệch độ sâu

Khoảng cách nhỏ nhất từ đĩa tới đầu biến âm (1)

 

Đo được bằng máy đo sâu từ mặt nước đến đĩa KN (2)

 

Tốc độ âm

 

Chênh (4)=(2) - (1)-(3)

 

Độ ngập cần phát biến (3)

 

Chỉ số lệch độ sâu đã cải chính

 

2- Kiểm nghiệm máy đo sâu

TT

Thời gian

Độ sâu đĩa

Tốc độ âm

Độ sâu máy đo

Độ lệch

 

 

 

 

 

 

 

 

 

 

 

 

 

 

 

 

 

 

 

 

 

 

 

 

Tổng số lần đo (n):

Độ lệch trung bình:

Kết luận:

Chỉ tiêu

Đạt

Không đạt

Độ chính xác đo sâu

 

 

Máy đạt yêu cầu

 

 

 

Người kiểm nghiệm 1

 

 

Ngày thực hiện:

Người kiểm nghiệm 2

 

 

Người kiểm tra

 

 

Duyệt

 

 

 

 

Trang 04

 

 

Mẫu trang 04 của Sổ kiểm nghiệm máy định vị

 

(Dành cho phương pháp sau khi lắp đặt trên tàu đo)

 

KẾT QUẢ KIỂM NGHIỆM MÁY ĐỊNH VỊ

 

Ngày kiểm nghiệm:……………File ghi số liệu:………………......................

Nơi kiểm nghiệm:…………………Phương pháp kiểm nghiệm:……………….........

Hệ tọa độ:…………….Kinh tuyến trục:……..Múi chiếu:………Hệ độ cao:………………...

 

Máy định vị

Máy toàn đạc điện tử

Loại máy

 

 

Tên máy

 

 

Số máy

 

 

Độ chính xác mặt bằng (hoặc đo góc)

 

 

Độ chính xác độ cao (hoặc K/c)

 

 

Chiều cao máy

 

 

Chiều cao gương

 

 

Tọa độ, độ cao điểm gốc:

 

Số hiệu điểm

Tọa độ

Độ cao h (m)

Phương vị định hướng

X (m)

Y (m)

 

Điểm trạm máy

 

 

 

 

 

Điểm định hướng

 

 

 

 

 

Kết quả kiểm nghiệm:

TT

Thời gian

Tọa độ ghi được từ máy TĐĐT

Tọa độ ghi được từ máy định vị

Ghi chú

X 1 (m)

Y 1 (m)

H 1 (m)

X 2 (m)

Y 2 (m)

h 2 (m)

 

 

 

 

 

 

 

 

 

 

 

 

 

 

 

 

 

 

 

 

 

 

 

 

 

 

 

 

 

 

 

 

 

 

 

 

 

 

 

 

 

 

 

 

 

 

Tổng số lần đo (n):

Độ lệch trung bình DX=

Độ lệch trung bình DY=

Độ lệch trung bình Dh=

Kết luận:

Chỉ tiêu

Đạt

Không đạt

Độ chính xác mặt bằng

 

 

Độ chính xác độ cao

 

 

Máy đạt yêu cầu

 

 

 

Người kiểm nghiệm 1

 

 

Ngày thực hiện:

Người kiểm nghiệm 2

 

 

Người kiểm tra

 

 

Duyệt

 

 

 

 

Trang 04

 

 

Mẫu trang 04 của Sổ kiểm nghiệm máy định vị

 

(Dành cho phương pháp kiểm nghiệm tại điểm chuẩn)

KẾT QUẢ KIỂM NGHIỆM MÁY ĐỊNH VỊ

 

Ngày kiểm nghiệm:……………………File ghi số liệu:……………………………...

Nơi kiểm nghiệm:………..………….Phương pháp kiểm nghiệm:…………………...

Loại máy:….……………………Tên máy:……….…………Số máy:………………

Độ chính xác của máy (theo Catalog):………………………………….........................

Hệ tọa độ:…………Kinh tuyến trục:………..Múi chiếu:……….Hệ độ cao:………………...

Tọa độ, độ cao điểm gốc:

TT

Số hiệu điểm

Tọa độ

Độ cao h 1 (m)

Ghi chú

X 1 (m)

Y 1 (m)

 

 

 

 

 

 

Kết quả kiểm nghiệm:

TT

Thời gian

Tọa độ ghi được từ máy định vị

Độ lệch

X 2 (m)

Y 2 (m)

h 2 (m)

DX= X 1 - X 2

DY= Y 1 - Y 2

Dh= h 1 - h 2

Ds

 

 

 

 

 

 

 

 

 

 

 

 

 

 

 

 

 

 

 

 

 

 

 

 

 

 

 

 

 

 

 

 

 

 

 

 

 

 

 

 

 

 

 

 

 

 

 

 

 

 

 

 

 

 

 

Tổng số lần đo (n):

Độ lệch trung bình DX=

Độ lệch trung bình DY=

Độ lệch trung bình Dh=

Kết luận:

Chỉ tiêu

Đạt

Không đạt

Độ chính xác mặt bằng

 

 

Độ chính xác độ cao

 

 

Máy đạt yêu cầu

 

 

 

Người kiểm nghiệm 1

 

 

Ngày thực hiện:

Người kiểm nghiệm 2

 

 

Người kiểm tra

 

 

Duyệt

 

 

 

 

Trang 04

 

 

Mẫu trang 04 của Sổ kiểm nghiệm máy đo tốc độ âm

 

KẾT QUẢ KIỂM NGHIỆM MÁY ĐO TỐC ĐỘ ÂM

 

Ngày kiểm nghiệm:…………………..Điều kiện thời tiết:…………………………….......

Nơi kiểm nghiệm:……………………………………………….………….…………………

Loại máy:………………… ……Tên máy:……….………………Số máy:…………………

Độ chính xác của máy (theo Catalog):………………………………….............................

TT

Thời gian

Độ ngập máy (Dm)

Nhiệt độ (T o C)

Độ mặn (S%)

Tốc độ âm (m/s)

Độ lệch Dv (m/s)

Tính được

Ghi được

 

 

 

 

 

 

 

 

 

 

 

 

 

 

 

 

 

 

 

 

 

 

 

 

 

 

 

 

 

 

 

 

 

 

 

 

 

 

 

 

 

 

 

 

 

 

 

 

 

 

 

 

 

 

 

 

 

 

 

 

 

 

 

 

 

 

 

 

 

 

 

 

 

 

 

 

 

 

 

 

 

 

 

 

 

 

 

 

 

 

 

 

 

 

 

 

Công thức tính: V = 1449,2+4,67xT-0,0569xT 2 +0,00029xT 3 +(1,39-0,012xT)(S-35)+0,01625xD

Tổng số lần đo (n):

Độ lệch trung bình: Dv=

Kết luận:

Chỉ tiêu

Đạt

Không đạt

Độ chính xác đo tốc độ âm

 

 

Máy đạt yêu cầu

 

 

 

Người kiểm nghiệm 1

 

 

Ngày thực hiện:

Người kiểm nghiệm 2

 

 

Người kiểm tra

 

 

Duyệt

 

 

 

 

Trang 04

 

 

Hướng dẫn kiểm nghiệm và Mẫu các trang tiếp của Sổ kiểm nghiệm máy toàn đạc điện tử

 

Hướng dẫn Kiểm tra và hiệu chỉnh máy toàn đạc điện tử

 

Việc kiểm tra định kỳ và hiệu chỉnh đối với máy toàn đạc điện tử “Total station” rất quan trọng. Sau khi vận chuyển hoặc sau thời gian cất giữ đều phải tiến hành kiểm tra trước khi sử dụng. Cùng việc kiểm tra cần tiến hành theo trình tự sau:

I - Chức năng đo góc

I-1 Bọt thủy dài: Kiểm tra và hiệu chỉnh như máy kinh vĩ thông thường.

I-2 Bọt thủy tròn: Kiểm tra và hiệu chỉnh như máy kinh vĩ thông thường.

I-3 Kiểm tra sự vuông góc của dây chỉ đứng với trục ngang:

- Chọn một điểm rõ nét tại điểm A (phần trên) dây chỉ đứng.

- Dùng ốc vi động đứng vi động ống kính hướng lên trên một cách từ từ cho tới khi mục tiêu trượt tới điểm B bên dưới của dây chỉ đứng, nếu như mục tiêu vẫn còn trong khoảng giữa hai dây chỉ đứng thì không cần thiết phải hiệu chỉnh. Nếu lệch thì cần tiến hành hiệu chỉnh như sau:

- Nới nắp đậy dây chữ thập ra.

- Nhẹ nhàng nới ốc điều chỉnh đứng và ốc điều chỉnh ngang một góc quay nhất định.

- Đặt một mảnh nhựa hay một miếng gỗ nhỏ tiếp xúc với vít điều chỉnh như là một nêm.

- Nhìn qua kính mắt và gõ nhẹ vào mảnh nhựa hay gỗ đó để xoay lưới một cách nhẹ nhàng.

- Vặn chặt lại hai ốc điều chỉnh. Kiểm tra sự thẳng đứng của dây chữ thập một lần nữa và hiệu chỉnh lại nếu cần thiết. Lắp lại nắp đậy chữ thập.

I-4 Kiểm tra sai số trục nằm ngang không vuông góc với trục ngắm (2C), sai số chỉ tiêu (M 0 ):

- Cân bằng máy, chọn một điểm rõ nét ở khoảng cách ngang từ 50 - 100m.

- Ngắm vào mục tiêu ở vị trí bàn độ trái (V 1 ) và đọc số đọc góc ngang được giá trị a L , góc đứng được giá trị b L . Tiếp theo cũng ngắm vào mục tiêu đó ở vị trí bàn độ phải (V 2 ) và đọc số đọc góc ngang được giá trị a R , góc đứng được giá trị b R .

- Tính kết quả đo.

Khi kết quả đo (a R - a L ) - 180 0 và (b R + b L ) - 360 0 nhỏ hơn 20 thì không cần hiệu chỉnh. Nếu lớn hơn hoặc bằng thì tiến hành hiệu chỉnh sau:

- Đặt bàn độ ở vị trí (V 2 ), sử dụng các vít vi động ngang và đứng để điều chỉnh số đọc ở bàn độ ngang có giá trị (a R + a L )/2 + 90 0 và bàn độ đứng có giá trị (b R - b L )/2 +180 0 . Khóa bàn độ nằm và bàn độ đứng, dùng các ốc vi chỉnh của lưới chỉ để đưa lưới chỉ vào đúng mục tiêu V.

- Tiến hành kiểm tra lại. Nếu giá trị chưa đạt yêu cầu (lớn hơn 20 ) cần phải tiến hành làm lại.

I-5 Kiểm tra điểm tâm quang học: Kiểm tra và hiệu chỉnh như máy kinh vĩ thông thường.

 

 

Trang 04

 

 

I-6 Kiểm tra góc thu phát tín hiệu:

- Trên bãi phẳng chọn hai điểm A và B cách nhau một khoảng cách 100m, đặt máy tại A và gương tại B. Chỉ tiến hành sau khi đã cân bằng, định tâm và làm các thủ tục mở máy, khởi động máy.

- Bắt tâm lưới chỉ vào đúng tâm gương, khoá bàn độ nằm và khoá bàn độ đứng để cố định trục quay của máy và trục quay của ống kính.

- Đọc giá trị bàn độ đứng ở vị trí 1 (c = ZA = 89 0 50 45 ).

- Từ màn hình cơ sở ấn phím enter có tiếng kêu và lúc này trên màn hình xuất hiện (signal *), dùng ốc vi chỉnh để đưa tâm lưới chỉ lên cao tới khi nào mất tiếng kêu thì dừng lại, ấn phím CE/CA và đưa máy về trạng thái của máy kinh vĩ, đọc giá trị góc ở vị trí 2 (a = ZA = 89 0 47 00 ).

- Bắt tâm của lưới chỉ vào đúng tâm gương và thao tác như lần 1, từ màn hình cơ sở ấn phím Enter có tiếng kêu và lúc này trên màn hình xuất hiện (signal*), dùng ốc vi chỉnh để đưa tâm lưới chỉ xuống thấp tới khi nào mất tiếng kêu thì dừng lại, ấn phím CE/CA và đưa máy về trạng thái của máy kinh vĩ, đọc giá trị góc ở vị trí 3 (b = ZA = 89 0 54 20 ).

- Tính các giá trị góc  a - c  và  b - c  . Nếu giá trị góc lớn hơn giá trị cho phép của từng loại máy thì phải đưa máy về xưởng để sửa chữa.

- Thao tác tương tự như khi áp dụng cho việc vi động ngang sang phải và sang trái. Cách tính các giá trị góc thu phát tín hiệu cũng theo nguyên tắc trên.

II - Chức năng đo cạnh

II-1 Kiểm tra hằng số đo khoảng cách.

Hằng số đo khoảng cách (hằng số máy, hằng số gương) được biết trước theo lý lịch của máy. Tuy nhiên hằng số có thể thay đổi theo thời gian và như vậy cần phải xác định rõ một cách định kỳ và sau đó dùng để hiệu chỉnh vào khoảng cách đo được. Xác định hằng số đo khoảng cách được tiến hành như sau:

1 - Xác định trên bãi chuẩn:

Phương pháp xác định hằng số là kiểm tra máy trên một đường đáy chuẩn với một phạm vi lớn nhất, cỡ xấp xỉ 1000 m và 6 đến 8 vị trí ở giữa được đặt ở các giá trị bội số của đơn vị chiều dài là 10m. Việc đo đạc tốt nhất là nên tiến hành kết hợp ở cả 6 đến 8 vị trí.

Nếu hằng số lớn hơn 5mm thì đưa về xưởng để chỉnh sửa.

2 - Xác định ở thực địa:

Trên khu đất phẳng chọn hai điểm A và B cách nhau khoảng 100m, chọn điểm C ở giữa. Chú ý đảm bảo độ cao của gương bằng độ cao của máy.

- Đặt máy tại A và đo khoảng cách AB.

- Đặt máy tại C và đo khoảng cách CA, CB.

- Tính hằng số đo khoảng cách theo công thức:

là số trung bình của 10 lần đo.

Tính giá trị K 3 lần đo, nếu hằng số lớn hơn 5mm thì đưa về xưởng để chỉnh sửa.

 

 

 

Trang 05

 

 

KIỂM NGHIỆM TRỤC NẰM NGANG KHÔNG VUÔNG GÓC VỚI TRỤC NGẮM (2C)

 

Ngày ....... tháng .......... năm 201... Loại máy .................... Số máy ...................

Người kiểm nghiệm:..................................... Người ghi sổ: .........................................

TT

Số đọc bàn độ
Trái

Số đọc bàn độ
Phải

Công thức tính toán

Hạn sai cho phép

 

a L (V 1)

a R (V 2)

(a R - a L )-180 0

 

 

 

 

  20

1

 

 

 

2

 

 

 

3

 

 

 

4

 

 

 

5

 

 

 

TB

 

 

 

 

KIỂM NGHIỆM SAI SỐ CHỈ TIÊU (MO)

 

Ngày ....... tháng .......... năm 201... Loại máy .................... Số máy ........................

Người kiểm nghiệm:................................... Người ghi sổ: ..............................................

TT

Số đọc bàn độ
Trái

Số đọc bàn độ
Phải

Công thức tính toán

Hạn sai cho phép

 

b L (V 1)

b R (V 2)

(b L + b R )-360 0

 

 

 

 

 

 

  20

1

 

 

 

2

 

 

 

3

 

 

 

4

 

 

 

5

 

 

 

TB

 

 

 

 

 

Trang 06

 

 

KIỂM TRA GÓC THU PHÁT TÍN HIỆU

 

Ngày ....... tháng .......... năm 201.... Loại máy .................... Số máy ........................

Người kiểm nghiệm:.............................. Người ghi sổ: ....................................................

T.T

Số đọc phía bên Trái

Số đọc giữa
(tâm lưới chỉ)

Số đọc
phía bên Phải

Hạn sai cho phép

 

H L

H

H R

 

1

 

 

 

 2,5

2

 

 

 

 H L - H =

3

 

 

 

 H R - H  =

TB

 

 

 

 

T.T

Số đọc
phía bên dưới

Số đọc giữa
(tâm lưới chỉ)

Số đọc phía bên trên

Hạn sai cho phép

 

Z L

Z

Z R

 

1

 

 

 

 2,5

2

 

 

 

 Z L - Z  =

3

 

 

 

 Z R - Z  =

TB

 

 

 

 

 

 

 

 

 

 

 

 

 

 

 

 

 

 

 

 

 

 

 

 

 

 

Trang 07

 

 

KIỂM TRA KHOẢNG CÁCH VÀ HẰNG SỐ MÁY, GƯƠNG

(xác định ở thực địa)

 

Ngày ....... tháng .......... năm 201.....

Loại máy .................... Số máy ................Loại gương..........

Người kiểm nghiệm .........................................Người ghi sổ ................................................

No

AB

CA

CB

K=AB-(CA+CB)

Ghi chú

1

 

 

 

 

 

2

 

 

 

 

 

3

 

 

 

 

 

4

 

 

 

 

 

5

 

 

 

 

 

6

 

 

 

 

 

7

 

 

 

 

 

8

 

 

 

 

 

9

 

 

 

 

 

10

 

 

 

 

 

TB

 

 

 

 

 

 

* Lưu ý khi đo phải nhập vào máy K = 0

 

Trang 08

 

 

Mẫu trang 04 của Sổ kiểm nghiệm độ lún đầu biến âm

 

KẾT QUẢ KIỂM NGHIỆM ĐỘ LÚN ĐẦU BIẾN ÂM

 

Ngày kiểm nghiệm:………………..Điều kiện thời tiết:…………………………….......

Nơi kiểm nghiệm:……………………………………………..………….…………………

Loại máy đo:…………………….Tên máy đo:…………………Số máy:………………….

Tàu đo:………………………………………………………………………………………...

 

Tốc độ tàu

Số đọc khi tàu

Thủy triều

Độ lún

Độ lún trung bình (L TB )

Số hiệu chỉnh

Chạy xuôi (H x )

Chạy ngược (H n )

Chạy xuôi (TT x )

Chạy ngược (TT n )

Chạy xuôi (L x )

Chạy ngược (L n )

Đứng yên

 

 

 

 

 

 

 

 

 

 

 

 

 

 

 

 

 

 

 

 

 

 

 

 

 

 

 

 

 

 

 

 

 

 

 

 

 

 

 

 

 

 

 

 

 

 

 

 

 

 

 

 

 

 

 

 

 

 

 

 

 

 

 

 

 

 

 

 

 

 

 

 

 

 

 

 

 

 

 

 

 

 

 

 

 

 

 

 

 

 

Người kiểm nghiệm 1

 

Ngày thực hiện:

Người kiểm nghiệm 2

 

Người kiểm tra

 

Duyệt

 

 

 

Độ lún khi tàu chạy xuôi L xi = H 0 - H xi + TT 0 - TT xi

Độ lún khi tàu chạy ngược L ni = H 0 - H ni + TT 0 - TT ni

Độ lún trung bình: L TB = (L x + L n )/2

Trong đó:

H 0 - Số đọc kiểm lún khi tàu đứng yên

H xi - Số đọc kiểm lún khi tàu chạy xuôi với vận tốc i

H ni - Số đọc kiểm lún khi tàu chạy ngược với vận tốc i

TT 0 - Số đọc mực nước thủy triều khi tàu đứng yên

TT xi - Số đọc mực nước thủy triều khi tàu chạy xuôi với vận tốc i

TT ni - Số đọc mực nước thủy triều khi tàu chạy ngược với vận tốc i

 

 

 

 

Trang 04

 

 

Mẫu trang 04, 05…Sổ kiểm nghiệm máy thủy chuẩn

 

XÁC ĐỊNH SAI SỐ TỰ CÂN BẰNG

 

(Cự ly từ mia đến mia D = )

Loại máy:......................Số máy:...................... Ngày............ tháng ............ năm 201............

Thời tiết ......................................................... Hình ảnh .......................................................

Nhiệt độ : Đầu ....................Cuối..........................

Địa điểm: ...........................................................

Người kiểm nghiệm:........................................Người ghi sổ:......................................................

Người tính toán:.............................................Người kiểm tra:..................................................

Lần đo

Vị trí bọt nước

Số đọc thang chính (Mặt đen)

Chênh cao
(mm)

Chênh cao h trung bình (mm)

Mia sau

Mia trước

1

 

 

 

 

2

 

 

 

 

3

 

 

 

 

1

 

 

 

 

2

 

 

 

 

3

 

 

 

 

1

 

 

 

 

2

 

 

 

 

3

 

 

 

 

1

 

 

 

 

2

 

 

 

 

3

 

 

 

 

1

 

 

 

 

2

 

 

 

 

3

 

 

 

 

BẢNG TỔNG HỢP KẾT QUẢ

Cấp hạng

Cự ly (m)

Chênh cao trung bình ở mỗi vị trí bọt nước

Hiệu lớn nhất (mm)

(1)
Giữa

(2)
Trái

(3)
Phải

(4)
Trước

(5)
Sau

 

(2)-(1)

(3)-(1)

(4)-(1)

(5)-(1)

 

 

 

 

 

 

 

 

 

 

 

 

 

 

 

 

 

 

 

 

 

 

 

 

 

 

 

 

 

 

Trang 04.

 

 

KIỂM NGHIỆM VÀ HIỆU CHỈNH GÓC “I” CỦA TRỤC NGẮM

 

Máy.......................N 0 =..............................Ngày………….tháng……… ..năm 201.........

Mia A : ...............Mia B : .................... Thời gian : Bắt đầu..............Kết thúc.................

Thời tiết ................................................. Hình ảnh: ....................................................

Nhiệt độ : Đầu .......................Cuối...................... Địa điểm: ............................................

Lần đo

Trạm đo

Số đọc trên mia

Ký hiệu tính

Tính toán
D h i” B’ 2

 

1

Ký hiệu

Thước chính

Thước phụ

Chính - Phụ

 

 

b 1

 

 

 

D h

 

a 1

 

 

 

D

 

b 1 -a 1

 

 

 

I”

 

D h1 =

 

2

 

a 2

 

 

 

b 2

 

b 2

 

 

 

1,1D h

 

a 2 -b 2

 

 

 

B” 2

 

D h2 =

 

Máy.....................N 0 =.........................Ngày………….tháng………… ..năm 201...............

Mia A : ...................Mia B : .................... Thời gian : Bắt đầu.................Kết thúc..............

Thời tiết ........................................................ Hình ảnh: ................................................

Nhiệt độ : Đầu ....................Cuối.................... Địa điểm: ............................................

 

1

b 1

 

 

 

D h

 

a 1

 

 

 

D

 

b 1 -a 1

 

 

 

I”

 

D h1 =

 

2

 

a 2

 

 

 

b 2

 

b 2

 

 

 

1,1D h

 

a 2 -b 2

 

 

 

B” 2

 

D h2 =

Máy............................N 0 =....................................Ngày………….tháng……… ..năm 201...........

Mia A : ....................Mia B : ........................ Thời gian : Bắt đầu........................Kết thúc............

Thời tiết ................................................... Hình ảnh: ...................................................

Nhiệt độ : Đầu .....................Cuối.................... Địa điểm: .........................................

 

1

b 1

 

 

 

D h

 

a 1

 

 

 

D

 

b 1 -a 1

 

 

 

I"

 

D h1 =

 

 

2

a 2

 

 

 

b 2

 

b 2

 

 

 

1,1D h

 

a 2 -b 2

 

 

 

B” 2

 

D h2 =

Trang 05

 

XÁC ĐỊNH GIÁ TRỊ VẠCH KHẮC ỐNG NƯỚC DÀI BẰNG MIA

 

Loại máy:.......................Số máy:..................... Ngày............ tháng ........ năm 201...........

Người đo :................................................... Người ghi :.........................................................

Người kiểm tra : .....................................................................................................................

 

Số lần đo

 

Khoảng cách
D (m)

Số đọc trên mia theo chỉ giữa

Số đọc ở hai đầu bọt nước

 

a1 + a2

2

a1

a2

1

2

3

4

5

6

 

I

 

 

 

 

 

 

 

 

 

 

 

 

 

II

 

 

 

 

 

 

 

 

 

 

 

 

 

Lần đo thứ nhất: τ =

Lần đo thứ 2: τ =

Trung bình : τ =

 

 

 

 

 

 

 

 

 

 

 

Trang 06

 

 

XÁC ĐỊNH HỆ SỐ ĐO KHOẢNG CÁCH
ĐỐI VỚI MÁY KHÔNG LẮP BỘ ĐO CỰC NHỎ

 

Loại máy: ......................... Số máy: ................. Ngày.........tháng ....... năm 201.......

Người kiểm nghiệm: ..............................Người ghi sổ : .............................................

Người tính toán: ....................................... Người kiểm tra:.........................................

Lần đo

Số đọc trên mia

Khoảng cách l (tr-d)

Ghi chú

1

Chỉ trên

 

 

Chỉ dưới

2

Chỉ trên

 

Chỉ dưới

3

Chỉ trên

 

Chỉ dưới

 

Trung bình

 

 

 

 

 

 

 

 

 

 

 

 

 

 

 

 

 

 

 

 

Trang 07

 

 

KIỂM NGHIỆM ĐỘ CHÍNH XÁC TRỤC NGẮM KHI ĐIỀU CHỈNH TIÊU CỰ

 

Loại máy: ...................... Số máy: ............................. Ngày.........tháng ....... năm 201.......

Người kiểm nghiệm: ...................................Người ghi sổ : ...................................................

Người tính toán: ........................................... Người kiểm tra:.............................................

Số hiệu Cọc

1

2

3

4

5

6

Cự ly mia B

10m

20m

30m

40m

50m

60m

Số đọc mia

b

 

 

 

 

 

 

Của đường ngắm

a

 

 

 

 

 

 

Dưới, giữa và trên

c

 

 

 

 

 

 

I 1 = b-a

 

 

 

 

 

 

sk 1

 

 

 

 

 

 

v 1 = I 1 - sk 1

 

 

 

 

 

 

I 2 = a-c

 

 

 

 

 

 

sk 2

 

 

 

 

 

 

v 2 = I 2 - sk 2

 

 

 

 

 

 

Công thức tính toán:

Công thức kiểm tra: [v 1 ] = [v 2 ]

 

 

 

 

 

 

 

 

 

 

 

 

Trang 08

 

 

KIỂM NGHIỆM XEM THẤU KÍNH ĐIỀU CHỈNH TIÊU CỰ DI ĐỘNG SONG SONG VỚI
TRỤC NGẮM KHÔNG

 

Loại máy: ...................... Số máy: ......................... Ngày.........tháng ....... năm 201.......

Người kiểm nghiệm: .............................Người ghi sổ : ..............................................

Người tính toán: .......................................Người kiểm tra:..........................................

Trạm

Lần đo

Cọc

đo

 

0

1

2

3

4

5

6

7

A

1

Đi

 

 

 

 

 

 

 

 

 

Về

 

 

 

 

 

 

 

 

2

Đi

 

 

 

 

 

 

 

 

 

Về

 

 

 

 

 

 

 

 

3

Đi

 

 

 

 

 

 

 

 

 

Về

 

 

 

 

 

 

 

 

4

Đi

 

 

 

 

 

 

 

 

 

Về

 

 

 

 

 

 

 

 

Số trung bình l1

 

 

 

 

 

 

 

 

 

 

 

 

 

 

 

 

 

O

Lần đo

Cọc

 

 

0

1

2

3

4

5

6

7

Cự ly

mia S

 

10m

20m

30m

40m

50m

60m

70m

1

Đi

 

 

 

 

 

 

 

 

 

Về

 

 

 

 

 

 

 

 

2

Đi

 

 

 

 

 

 

 

 

 

Về

 

 

 

 

 

 

 

 

3

Đi

 

 

 

 

 

 

 

 

 

Về

 

 

 

 

 

 

 

 

4

Đi

 

 

 

 

 

 

 

 

 

Về

 

 

 

 

 

 

 

 

Số trung bình Mi

 

 

 

 

 

 

 

 

L o  l i = H i

 

 

 

 

 

 

 

M i + H i = h i

 

 

 

 

 

 

 

Số trung bình hm

 = h i - h m

 

 

 

 

 

 

 

S.

 

 

 

 

 

 

 

(40 - s ) k

 

 

 

 

 

 

 

v =  + (40 - s) k

 

 

 

 

 

 

 

Kiểm tra lại:    =  V 

 

 

 

Trang 09

 

 

XÁC ĐỊNH HỆ SỐ PHÓNG ĐẠI CỦA ỐNG NGẮM

 

Loại máy: ...................... Số máy: ....................... Ngày.........tháng ....... năm 201........

Người kiểm nghiệm: ...............................Người ghi sổ : ..................................................

Người tính toán: ..................................... Người kiểm tra:.................................................

 

Lần đo

 

Số đọc chỉ chữ thập bằng máy

Số đọc chỉ chữ thập bằng mắt

Số đọc

Hiệu (N1)

Số đọc

Hiệu (N2)

1

 

 

 

 

2

 

 

 

 

3

 

 

 

 

 

Trung bình

 

 

 

 

Lần đo

Số đọc chỉ chữ thập bằng máy

Số đọc chỉ chữ thập bằng mắt

Số đọc

Hiệu (N1)

Số đọc

Hiệu (N2)

1

 

 

 

 

2

 

 

 

 

3

 

 

 

 

 

Trung bình

 

 

 

 

 

 

Trang 10

 

 

Mẫu trang 04, 05,…của Sổ kiểm nghiệm mia thủy chuẩn

 

KIỂM ĐỊNH KHOẢNG CHIA TRUNG BÌNH 1M TRÊN MIA GỖ

 

Mia số:........ thước kiểm tra số :........ L=..................... Ngày......tháng ........năm 201.......

Người kiểm nghiệm:............................................... Người ghi sổ:………………………..

Người tính toán:...................................................... Người kiểm tra:..................................

Những khoảng trên mia

Số đọc trên mia

Phải-Trái
(P-T)

Trung bình
(P + T)/2

Số chênh độ dài thước kiểm tra

Độ dài khoảng chia

 

Ghi chú

Trái

Phải

1

2

3

4

5

6

7

8

Mặt đen, Đo đi t o =

 

 

 

 

 

 

 

 

 

 

 

 

 

 

 

 

 

 

 

 

 

 

 

 

 

 

 

 

 

 

 

 

 

 

 

 

 

 

 

 

Đo về t o =

 

 

 

 

 

 

 

 

 

 

 

 

 

 

 

 

 

 

 

 

 

 

 

 

 

 

 

 

 

 

 

 

 

 

 

 

 

 

 

 

Độ dài trung bình 1 m mặt đen: .............................................

Mặt đỏ, Đo đi t o =

 

 

 

 

 

 

 

 

 

 

 

 

 

 

 

 

 

 

 

 

 

 

 

 

 

 

 

 

 

 

 

 

 

 

 

 

 

 

 

 

Đo về t o =

 

 

 

 

 

 

 

 

 

 

 

 

 

 

 

 

 

 

 

 

 

 

 

 

 

 

 

 

 

 

 

 

 

 

 

 

 

 

 

 

Độ dài trung bình 1 m mặt đỏ:

 

Độ dài trung bình 1 m cả bộ mia:

 

 

 

 

Trang 04

 

 

KIỂM ĐỊNH SAI SỐ CỦA CÁC KHOẢNG CHIA DM TRÊN MIA GỖ

 

Mia số:.....................Mặt mia....................... ……….Ngày........tháng ........năm 201......

Nhiệt độ: Đầu................... Cuối...................Thước kiểm tra:..............L=.................................

Người kiểm nghiệm:.....................................Người ghi sổ:....................................................

Người tính toán:.......................................Người kiểm tra:................................. ………….

Dm số

Số đọc trên thước Kiểm tra

Hiệu số
(II-I) 0.01mm

Số đọc trung bình mm

Sai số của các khoảng chia dm (mm)

Sai số ngẫu nhiên của các khoảng chia dm (mm)

Ghi chú

 

Vị trí I

 

Vị trí II

 

 

 

 

 

 

 

 

 

 

 

 

 

 

 

 

 

 

 

 

 

 

 

 

 

 

 

 

 

 

 

 

 

 

 

 

 

 

 

 

 

 

 

 

 

 

 

 

 

 

 

 

 

 

 

 

 

 

 

 

 

 

 

 

 

 

 

 

 

 

 

 

 

 

 

 

 

 

 

 

 

 

 

 

 

 

 

 

 

 

 

 

 

 

 

 

 

 

 

 

 

 

 

 

 

 

 

 

 

 

 

 

 

 

 

 

 

 

 

 

 

 

 

 

 

 

 

 

 

 

 

 

 

 

 

 

 

 

 

 

 

 

 

 

 

 

 

 

 

 

 

 

 

 

 

 

 

 

 

 

 

Sai số hệ thống vạch chia dm =

Sai số ngẫu nhiên lớn nhất của vạch chia dm m =

Sai số ngẫu nhiên cho phép m cp =

 

 

 

Trang 05

 

 

KIỂM TRA VẠCH “0” CỦA MẶT ĐEN CÓ TRÙNG VỚI MẶT ĐÁY MIA KHÔNG

 

Loại mia .................. … Số: .....................................Ngày ......... tháng ....... năm 201.....

Người kiểm nghiệm:..................................

Người ghi sổ:...........................................

 

Số đọc trên thước Giơ-ne-vơ

Mia số……..

Mia số………

Vị trí đặt thước để đọc trên mia

 

 

 

 

Hiệu số đọc

 

 

Hiệu số chênh điểm “0” hai mia

 

 

 

 

 

 

 

Trang 06

 

 

XÁC ĐỊNH CHÊNH LỆCH VẠCH “0” CỦA 2 MIA GỖ
CHÊNH LỆCH GIỮA MẶT ĐEN VÀ MẶT ĐỎ

 

Loại mia ..................…. Số: ...................................Ngày ......... tháng ....... năm 201.....

Người kiểm nghiệm:............................. Người ghi sổ:..................................................

 

Lần đo

Số Cọc

Số đọc trên mia số…….

Số đọc trên mia số…….

Số đọc trên mặt đen

Số đọc trên mặt đỏ

Số đọc chênh nhau của 2 mặt số

Số đọc trên mặt đen

Số đọc trên mặt đỏ

Số đọc chênh nhau của 2 mặt số

1

2

3

4

5

6

7

8

 

 

 

 

 

 

 

 

 

 

 

 

 

 

 

 

 

 

 

 

 

 

 

 

 

 

 

 

 

 

 

 

 

 

 

 

 

 

 

 

 

 

 

 

 

 

 

 

 

 

 

 

 

 

 

 

 

 

 

 

 

 

 

 

 

 

Số đọc chênh nhau Hiệu của

Số trung bình:

Hằng số mia số………… K = ………………

Hằng số mia số………… K = ………………

 

Trang 07

 

 

BẢNG THỐNG KÊ ĐỘ VÕNG CỦA MIA

BỘ MIA SỐ: …………………..

 

Thời gian đo

Số mia

Nhiệt độ

Địa điểm đo

Vị trí đo

Độ võng (mm)

 

 

 

 

 

 

 

 

 

 

 

 

 

 

 

 

Trang 08

 

 

PHỤ LỤC 3

(Ban hành kèm theo Thông tư số 63/TT-BTNMT ngày 22 tháng 12 năm
2017 của Bộ trưởng Bộ Tài nguyên và Môi trường)

 

Mẫu các sổ

 

CƠ QUAN CHỦ QUẢN

ĐƠN VỊ THI CÔNG

______________

 

 

(Bìa ngoài)

 

 

 

 

 

SỔ

QUAN TRẮC MỰC NƯỚC

 

Số:..........................

 

 

 

 

 

 

Khu đo:....(tên Thiết kế kỹ thuật - Dự toán)......

..........................................................................

Điểm nghiệm triều:............................................

Năm đo:..............................................................

 

 

 

 

Số liệu quan trắc được ghi chép từ trang ... đến trang ...

Người kiểm tra: .........................................................................

 

_____________________________________________

 

 

(Trang bìa trong cuối cùng của sổ)

 

 

 

 

 

Ngày ...... tháng ....... năm 20.....
ĐƠN VỊ THI CÔNG
(Ký tên, đóng dấu)

 

 

 

 

 

 

 

 

 

 

 

 

 

 

 

 

 

 

 

 

 

 

CƠ QUAN CHỦ QUẢN
ĐƠN VỊ THI CÔNG

________________

 

 

 

(Bìa trong)

 

 

 

SỔ
QUAN TRẮC MỰC NƯỚC

 

Số:..........................

 

Khu đo:...(tên Thiết kế kỹ thuật - Dự toán)..............................................................

Điểm nghiệm triều:............................................

Năm đo:..............................................................

 

 

 

Trang n (n là số chẵn)

 

 

 

 

QUY ĐỊNH VỀ GHI CHÉP VÀ TÍNH TOÁN

 

1. Sổ phải được đóng dấu giáp lai và được thủ trưởng đơn vị thi công ký, đóng dấu trước khi sử dụng.

2. Người quan trắc phải khi đầy đủ Họ và tên ở thời điểm bắt đầu và thời điểm kết thúc một ngày quan trắc. Nếu giao ca thì phải ghi sang trang kế tiếp.

3. Trường hợp ghi nhầm, được phép gạch bỏ, viết số đúng lên trên, nhưng số liệu ghi chép phải đảm bảo rõ ràng không gây nhầm lẫn (không được sửa liên hoàn số đọc)

4. Sổ quan trắc mực nước không được để trống hàng, trống cột, trang nào hỏng, thừa phải gạch bỏ ngay (có ghi chú lý do gạch bỏ) nghiêm cấm xé bỏ hoặc sao chép thành quả.

5. Cách ghi sổ:

+ Độ dài thước đo mực nước: ghi chẵn mét.

+ Vị trí quan trắc: vị trí đặt thước để quan trắc: NT1, C1, C2 …

+ Độ cao điểm “0”: ghi giá trị độ cao đầu mốc, cọc đặt thước để quan trắc, ghi đến phần cm.

+ Thời điểm quan trắc: ghi chẵn đến phần chục phút (10’, 20’).

+ Số đọc trên thước (lần 1, lần 2): ghi số đọc trên thước, ghi đến phần cm.

+ Độ cao mực nước: tính đến phần cm.

 

Người kiểm tra của đơn vị thi công : ........................................................

Ý kiến kiểm tra : .......................................................................................

...................................................................................................................

...................................................................................................................

...................................................................................................................

Ngày ....... tháng ….. năm 20....

(Ký, ghi rõ họ tên)

 

(trang kế tiếp bìa trong)

 

 

_____________________________________________

Người kiểm tra của chủ đầu tư: ................................................................

Ý kiến kiểm tra: ........................................................................................

...................................................................................................................

...................................................................................................................

...................................................................................................................

Ngày ....... tháng ….. năm 20....
  (Ký, ghi rõ họ tên)

Trang 02

 

Trang 03

 

 

Ngày quan trắc:........................................................................

Độ dài thước đo mực nước:.....................................................

Vị trí quan trắc:........................... Độ cao điểm “0”………………..

Người quan trắc:......................................................................

Số thứ tự

Thời điểm quan trắc

Số đọc trên thước

Độ cao mực nước

Lần 1

Lần 2

Trung bình

 

 

 

 

 

 

 

 

 

 

 

 

 

 

 

 

 

 

 

 

 

 

 

 

 

 

 

 

 

 

 

 

 

 

 

 

 

 

 

 

 

 

 

 

 

 

 

 

 

 

 

 

 

 

 

 

 

 

 

 

 

 

 

 

 

 

 

 

 

 

 

 

 

 

 

 

 

 

 

 

 

 

 

 

 

 

 

 

 

 

 

 

Ngày quan trắc:........................................................................

Độ dài thước đo mực nước:.....................................................

Vị trí quan trắc:........................... Độ cao điểm“0”………………..

Người quan trắc:......................................................................

Số thứ tự

Thời điểm quan trắc

Số đọc trên thước

Độ cao mực nước

Lần 1

Lần 2

Trung bình

 

 

 

 

 

 

 

 

 

 

 

 

 

 

 

 

 

 

 

 

 

 

 

 

 

 

 

 

 

 

 

 

 

 

 

 

 

 

 

 

 

 

 

 

 

 

 

 

 

 

 

 

 

 

 

 

 

 

 

 

 

 

 

 

 

 

 

 

 

 

 

 

 

 

 

 

 

 

 

 

 

 

 

 

 

 

 

 

 

 

 

 

 

 

 

 

 

Trang 4

 

Trang (n-1)

 

 

Mẫu sổ đo sâu bằng máy đo sâu hồi âm đơn tia (Khổ A4, quay ngang, đóng thành tập, in một mặt)

CƠ QUAN CHỦ QUẢN
ĐƠN VỊ THI CÔNG
---------------

 

 

 

 

(Trang bìa ngoài)

 

SỔ ĐO SÂU

(ĐO SÂU BẰNG MÁY ĐO SÂU HỒI ÂM ĐƠN TIA)

 

Số:..........

 

Khu đo:....(tên Thiết kế kỹ thuật - dự toán).....................

……….…………………………………………………….

Năm đo:........................................................................

 

 

 

 

 

QUY ĐỊNH GHI SỔ

 

 

1. Sổ phải được đóng dấu giáp lai (tối đa 5 trang một lần giáp lai) và được lãnh đạo đơn vị thi công ký, đóng dấu trước khi sử dụng.

2. Người vận hành máy đo sâu và người ghi sổ phải được ghi đầy đủ tại 2 thời điểm: Bắt đầu và kết thúc trong từng ngày đo (đợt đo).

3. Trường hợp ghi nhầm, được phép gạch bỏ, viết số hoặc nội dung đúng lên trên, nhưng số liệu ghi, tính toán phải đảm bảo rõ ràng không gây nhầm lẫn.

4. Không được bỏ trống hàng (hàng nào không ghi phải gạch bỏ). Trang nào thừa phải gạch bỏ. Nghiêm cấm xé bỏ hoặc sao chép thành quả.

5. Cách ghi sổ:

+ Hằng số máy ghi từ kết quả kiểm nghiệm máy đo sâu hồi âm.

+ Độ ngập cần phát biến: Ghi theo kết quả đo trực tiếp bằng thước (đến cm).

+ Tốc độ sóng âm trung bình: Ghi theo số liệu nhập vào phần mềm dẫn đường hoặc số liệu nhập vào máy đo sâu.

+ Cột [1] ghi số hiệu tuyến đo theo thiết kế.

+ Cột [2] ghi tên file đo.

+ Cột [3] và [4] ghi số hiệu điểm (Fix) đầu tuyến, cuối tuyến theo file đo.

+ Cột [5] và [6] ghi thời gian (đến phút) tương ứng với số hiệu điểm đầu tuyến, cuối tuyến.

+ Cột [7] ghi hướng tuyến đo theo thiết kế.

+ Cột [8] ghi chú khác.

 

 

Trang 02

 

 

Người kiểm tra của đơn vị sản xuất:..........................................

Ý kiến kiểm tra: ……………………………………………...

….............................................................................................

….............................................................................................

….............................................................................................

Ngày …. tháng .… năm 20.…
(Ký, ghi rõ họ tên)

 

 

Người kiểm tra của chủ đầu tư: …………….………..............

Ý kiến kiểm tra : ……………………………………………..

…..............................................................................................

…..............................................................................................

…..............................................................................................

Ngày …. tháng .… năm 20.…
(Ký, ghi rõ họ tên)

 

Số liệu đo được ghi từ trang ............ đến trang..........................

 

 

 

Ngày ...... tháng ....... năm 20....
ĐƠN VỊ THI CÔNG
(Ký tên, đóng dấu)

 

 

 

Trang 03

 

 

NHỮNG VẤN ĐỀ QUAN TRỌNG

 

Trang

Tóm tắt nội dung

Ý kiến giải quyết kết quả

Người giải quyết

 

 

 

 

 

 

 

 

 

 

 

 

 

 

 

 

 

 

 

Trang 04

 

 


Ngày đo:………………………………………………………………………………..

 

Sơ đồ hướng tuyến đo

Mảnh bản đồ:…………………………………………………………………………..

 

 

Loại máy đo sâu:…………………………………Số hiệu máy:………………………

 

Độ ngập cần phát biến:…………….………...………………………………………...

 

Tốc độ sóng âm trung bình:………….…..…………………………………………….

 

Người vận hành máy đo sâu……………………………………………………………..

Người ghi sổ:……………………………………………………….

 

 

 

 

Số hiệu tuyến

Tên file đo

Số hiệu điểm

Thời gian

Hướng tuyến

Ghi chú

Đầu tuyến

Cuối tuyến

Bắt đầu

Kết thúc

[1]

[2]

[3]

[4]

[5]

[6]

[7]

[8]

 

 

 

 

 

 

 

 

 

 

 

 

 

 

 

 

 

 

 

 

 

 

 

 

 

 

 

 

 

 

 

 

 

 

 

 

 

 

 

 

 

 

 

 

 

 

 

 

 

 

 

 

 

Trang 05,(06, 07,….)

 

 

Mẫu sổ đo sâu bằng máy đo sâu hồi âm đa tia (Khổ A4, quay ngang, đóng thành tập, in một mặt)

CƠ QUAN CHỦ QUẢN
ĐƠN VỊ THI CÔNG
----------------

 

 

 

 

(Trang bìa)

 

SỔ ĐO SÂU

(QUÉT ĐỊA HÌNH ĐÁY BIỂN BẰNG MÁY ĐO SÂU HỒI ÂM ĐA TIA)

 

Số:..........

 

 

Khu đo:............(Tên Thiết kế kỹ thuật - Dự toán)...

….…………………………………………………….

Năm đo:........................................................................

 

 

 

 

 

 

QUY ĐỊNH GHI SỔ

 

1. Sổ phải được đóng dấu giáp lai (5 trang một lần giáp lai) và được lãnh đạo đơn vị thi công ký, đóng dấu trước khi sử dụng.

2. Người vận hành máy đo sâu và người ghi sổ phải được ghi đầy đủ tại 2 thời điểm: Bắt đầu và kết thúc trong từng ngày đo (đợt đo).

3. Trường hợp ghi nhầm, được phép gạch bỏ, viết số hoặc nội dung đúng lên trên, nhưng số liệu ghi, tính toán phải đảm bảo rõ ràng không gây nhầm lẫn.

4. Không được bỏ trống hàng (hàng nào không ghi phải gạch bỏ). Trang nào thừa phải gạch bỏ. Nghiêm cấm xé bỏ hoặc sao chép thành quả.

5. Cách ghi sổ:

+ Số hiệu chỉnh nghiêng: dọc (Pitch)…ngang (Roll)…hướng(Yaw)…: ghi theo kết quả kiểm nghiệm hoặc số liệu nhập vào phần mềm dẫn đường.

+ Độ ngập cần phát biến: Ghi theo kết quả đo trực tiếp bằng thước (đến cm).

+ Tốc độ sóng âm trung bình: Ghi theo số liệu nhập vào phần mềm.

+ Cột [1] ghi số hiệu tuyến đo theo thiết kế (hoặc tuyến thi công).

+ Cột [2] ghi tên file đo.

+ Cột [3] và [4] ghi thời gian (đến phút) tương ứng với số hiệu điểm đầu tuyến, cuối tuyến.

+ Cột [5] ghi theo hướng lấy đường nối điểm đầu tuyến, cuối tuyến (khi chạy vòng quanh đảo thì ghi chú: quây đảo,…).

+ Cột [6] ghi chiều dài của tuyến (tính theo tia trung tâm, đến mét).

+ Cột [7] ghi chú khác.

 

 

 

 

 

 

Trang 01

 

 


Người kiểm tra của đơn vị sản xuất:..........................................

Ý kiến kiểm tra: ……………………………………………...

….............................................................................................

….............................................................................................

….............................................................................................

Ngày …. tháng .… năm 20.…
(Ký, ghi rõ họ tên)

 

 

Người kiểm tra của chủ đầu tư: …………….………..............

Ý kiến kiểm tra : ……………………………………………..

…..............................................................................................

…..............................................................................................

…..............................................................................................

Ngày …. tháng .… năm 20.…
(Ký, ghi rõ họ tên)

Số liệu đo được ghi từ trang ............ đến trang..........................

 

 

 

Ngày ...... tháng ....... năm 20....
ĐƠN VỊ THI CÔNG
(Ký tên, đóng dấu)

 

 

 

 

 

 

 

 

 

Trang 02

 

 

NHỮNG VẤN ĐỀ QUAN TRỌNG

 

Trang

Tóm tắt nội dung

Ý kiến giải quyết kết quả

Người giải quyết

 

 

 

 

 

 

 

 

 

 

 

 

 

 

 

 

 

 

Trang 03

 

 




Ngày đo:………………………………………….

Loại máy đo sâu:…………………………………Số hiệu máy:……………………………………………...

Số hiệu chỉnh nghiêng: dọc (Pitch)……………….ngang (Roll)………………hướng (Yaw)……………….

 

 

Độ ngập cần phát biến:…………….………...…..

Tốc độ sóng âm trung bình:………….…..………

Người vận hành máy đo sâu………………………………………..

Người ghi sổ:……………………………………….

Số hiệu tuyến

Tên File

Thời gian

Hướng tuyến

Chiều dài tuyến

Ghi chú

Bắt đầu

Kết thúc

[1]

[2]

[3]

[4]

[5]

[6]

[7]

 

 

 

 

 

 

 

 

 

 

 

 

 

 

 

 

 

 

 

 

 

 

 

 

 

 

 

 

 

 

 

 

 

 

 

 

 

 

 

 

 

 

 

 

 

 

 

 

 

 

 

 

Trang 04, (05,06,07….)

 

 

Mẫu sổ đo sâu bằng sào (Khổ A5, in 2 mặt, đóng quyển)

 

CƠ QUAN CHỦ QUẢN

ĐƠN VỊ THI CÔNG

-------------------

 

 

 

 

 

(Trang bìa ngoài)

SỔ ĐO SÂU BẰNG SÀO

(Tọa độ xác định bằng GNSS, độ sâu xác định bằng sào)

 

Số:..........................

 

 

 

 

Khu đo:..(tên Thiết kế kỹ thuật - Dự toán)........

..........................................................................

Năm đo:..................................................

 

 

 

 

 

Số liệu quan trắc được ghi chép từ trang ........ đến trang............

Người kiểm tra: .........................................................................

 

_____________________________________________________

 

 

 

 

 

Ngày ...... tháng ....... năm 20.....

ĐƠN VỊ THI CÔNG

(Ký tên, đóng dấu)

 

 

 

 

CƠ QUAN CHỦ QUẢN

ĐƠN VỊ THI CÔNG

____________

 

 

 

(Trang bìa trong)

 

 

 

SỔ ĐO SÂU BẰNG SÀO

(Tọa độ xác định bằng GNSS, độ sâu xác định bằng sào)

 

Số:..........

 

 

Khu đo:......(tên Thiết kế kỹ thuật - Dự toán).....................

Loại máy GNSS.……………………………………….

Số máy: …………..……………………………………….

Loại sào đo sâu: …………………………………………..

Năm đo……………………………………………………..

 

 

 

Trang (cuối cùng,n; n là số

 

QUY ĐỊNH VỀ GHI CHÉP VÀ TÍNH TOÁN

 

1. Sổ phải được đóng dấu giáp lai và được đơn vị sản xuất xét duyệt, đóng dấu trước khi sử dụng.

2. Người đo và người ghi sổ phải được ghi đầy đủ tại 2 thời điểm: Bắt đầu và kết thúc trong từng ngày đo.

3. Trường hợp ghi nhầm, được phép gạch bỏ, viết số hoặc nội dung đúng lên trên, nhưng số liệu ghi, tính toán phải đảm bảo rõ ràng không gây nhầm lẫn.

4. Không được bỏ trống hàng, hàng nào thừa phải gạch bỏ. Trang nào thừa phải gạch bỏ. Nghiêm cấm xé bỏ hoặc sao chép thành quả.

5. Cách ghi sổ:

a. Tên file: ghi tên file đo tọa độ theo tên file (gốc) đã đặt.

b. Hệ TĐ, KT trục, múi chiếu: ghi hệ tọa độ, kinh tuyến trục và múi chiếu sử dụng khi thi công.

c. Loại sào đo sâu: ghi tên loại sào đo sâu sử dụng như: sào đo sâu, mia thủy chuẩn 3 m …

Cột [1] ghi số thứ tự điểm đo hoặc số fix trong file đo tọa độ.

Cột [2] ghi thời gian đo.

Cột [3] và [4] ghi tọa độ B, L (file gốc chưa xử lý, phần giây lấy 4 số lẻ) hoặc tọa độ X, Y (file đã xử lý, đơn vị tính là mét, lấy đến 1 số lẻ).

Cột [5] ghi độ sâu ngập nước của loại sào đo đến cm.

Cột [6] ghi độ cao mực nước tại thời điểm đo sào đã được nội suy từ 1 hoặc 2 điểm nghiệm triều (đến cm).

Cột [7] ghi độ sâu của điểm đo sào đã hiệu chỉnh mực nước (đến cm) ([7] = [6] - [5]).

 

Người kiểm tra của đơn vị thi công : ........................................................

Ý kiến kiểm tra : .......................................................................................

...................................................................................................................

...................................................................................................................

...................................................................................................................

Ngày ....... tháng ….. năm 20....
(Ký, ghi rõ họ tên)

 

 

 

_____________________________________________

Người kiểm tra của chủ đầu tư: ................................................................

Ý kiến kiểm tra: ........................................................................................

...................................................................................................................

...................................................................................................................

...................................................................................................................

Ngày ....... tháng ….. năm 20....
  (Ký, ghi rõ họ tên)

Trang 02

 

Trang 03

 

 

Ngày đo:.....................................................................................

Tên file:..................................Mảnh bản đồ:..............................

Hệ TĐ:………………KT trục:…….……Múi chiếu:…………

Người đo ………………………………………….............

Người ghi sổ:.........................................................................

Số TT

Thời gian
(giờ, phút)

Tọa độ

Độ sâu sào (m)

Độ cao MN (m)

Độ sâu (m)

B ( o, ‘, “)
X (m)

L ( o, ‘, “)

Y (m)

[1]

[2]

[3]

[4]

[5]

[6]

[7]

 

 

 

 

 

 

 

 

 

 

 

 

 

 

 

 

 

 

 

 

 

 

 

 

 

 

 

 

 

 

 

 

 

 

 

 

 

 

 

 

 

 

 

 

 

 

 

 

 

 

 

 

 

 

 

 

 

 

 

 

 

 

 

 

 

 

 

 

 

 

 

 

 

 

 

 

 

 

 

 

 

 

 

 

 

 

 

 

 

 

 

 

 

 

 

 

 

 

 

 

NHỮNG VẤN ĐỀ QUAN TRỌNG

 

Trang

Tóm tắt nội dung

Ý kiến giải quyết kết quả

Người giải quyết

 

 

 

 

 

 

 

 

 

 

 

 

 

 

 

 

 

 

 

 

 

 

 

 

 

 

 

 

 

 

 

 

 

 

 

 

 

 

 

 

 

 

 

 

 

 

 

 

 

 

 

Trang 05

 

Trang 04

 

 

Ngày đo:.....................................................................................

Tên file:..................................Mảnh bản đồ:..............................

Hệ TĐ:………………KT trục:…….……Múi chiếu:…………

Người đo ………………………………………….............

Người ghi sổ:.........................................................................

Số TT

Thời gian (giờ, phút)

Tọa độ

Độ sâu sào (m)

Độ cao MN (m)

Độ sâu (m)

B ( o, ‘, “)
X (m)

L ( o, ‘, “)
Y (m)

[1]

[2]

[3]

[4]

[5]

[6]

[7]

 

 

 

 

 

 

 

 

 

 

 

 

 

 

 

 

 

 

 

 

 

 

 

 

 

 

 

 

 

 

 

 

 

 

 

 

 

 

 

 

 

 

 

 

 

 

 

 

 

 

 

 

 

 

 

 

 

 

 

 

 

 

 

 

 

 

 

 

 

 

 

 

 

 

 

 

 

 

 

 

 

 

 

 

 

 

 

 

 

 

 

 

 

 

 

 

 

 

 

 

Ngày đo:.....................................................................................

Tên file:..................................Mảnh bản đồ:..............................

Hệ TĐ:………………KT trục:…….……Múi chiếu:…………

Người đo ………………………………………….............

Người ghi sổ:.........................................................................

Số TT

Thời gian (giờ, phút)

Tọa độ

Độ sâu sào (m)

Độ cao MN (m)

Độ sâu (m)

B ( o, ‘, “)
X (m)

L ( o, ‘, “)
Y (m)

[1]

[2]

[3]

[4]

[5]

[6]

[7]

 

 

 

 

 

 

 

 

 

 

 

 

 

 

 

 

 

 

 

 

 

 

 

 

 

 

 

 

 

 

 

 

 

 

 

 

 

 

 

 

 

 

 

 

 

 

 

 

 

 

 

 

 

 

 

 

 

 

 

 

 

 

 

 

 

 

 

 

 

 

 

 

 

 

 

 

 

 

 

 

 

 

 

 

 

 

 

 

 

 

 

 

 

 

 

 

 

 

 

Trang 06

 

Trang 07,….

 

 

Mẫu sổ đo sâu sử dụng công nghệ RTK (khổ A5, in 2 mặt, đóng quyển)

 

CƠ QUAN CHỦ QUẢN
ĐƠN VỊ THI CÔNG
-------------

 

 

 

(trang bìa)

 

 

 

SỔ TRẠM BASE

(ĐO CHI TIẾT BẰNG CÔNG NGHỆ RTK)

 

Số:..........................

 

 

 

 

Khu đo:........(tên Thiết kế kỹ thuật - Dự toán)..

..........................................................................

Năm đo:..............................................................

 

 

 

 

Sổ này đã sử dụng . . . . . trang, từ trang .. . . . đến trang . . . . .

Tổng số trạm base. . . . . . . . . . . . . . . . . . . . . . . . . . . . . . ……..

Đo từ ngày ……. / . . . . /. . . . . . đến ngày . . . . / . . . . /. . . . . .

Người kiểm tra: ..........................................................

 

__________________________________________________

 

 

Ngày ...... tháng ....... năm 20..... ĐƠN VỊ THI CÔNG
(Ký tên, đóng dấu)

 

 

CƠ QUAN CHỦ QUẢN
ĐƠN VỊ THI CÔNG

____________

 

 

 

 

 

(trang bìa trong)

 

SỔ TRẠM BASE

(ĐO CHI TIẾT BẰNG CÔNG NGHỆ RTK)

 

Số:..........

 

 

Khu đo:...(tên Thiết kế kỹ thuật - Dự toán).....................

…………………………………………………………….

Loại máy: …..…………………………………………….

Số máy: …………..……………………………………….

Năm đo……………………………………………………

 

Trang (cuối cùng n; n là số

 

 

QUY ĐỊNH VỀ GHI CHÉP VÀ TÍNH TOÁN

 

1. Sổ phải được đóng dấu giáp lai và được lãnh đạo đơn vị thi công ký, đóng dấu trước khi sử dụng.

2. Trường hợp ghi nhầm, được phép gạch bỏ, viết số hoặc nội dung đúng lên trên, nhưng số liệu ghi, tính toán phải đảm bảo rõ ràng không gây nhầm lẫn.

3. Trang nào thừa phải gạch bỏ. Nghiêm cấm xé bỏ hoặc sao chép thành quả.

4. Cách ghi sổ:

a. Tên file: ghi tên file đo tọa độ theo tên file (gốc) đã đặt.

b. Chiều cao máy ở trạm Base: ghi đến cm

c. Chiều cao các máy rover: ghi đến cm.

____________________

 

Người kiểm tra của đơn vị thi công : ..............................................

Ý kiến kiểm tra : ..............................................................................

..........................................................................................................

..........................................................................................................

..........................................................................................................

 

Ngày ....... tháng ….. năm 20....
(Ký, ghi rõ họ tên)

 

 

 

 

_________________________________

Người kiểm tra của chủ đầu tư : ....................................................

Ý kiến kiểm tra : ............................................................................

........................................................................................................

........................................................................................................

.........................................................................................................

Ngày ....... tháng ….. năm 20....
(Ký, ghi rõ họ tên)

Trang 02

 

Trang 03

 

 

TRẠM BASE: …………………………………………………..

1. Ngày đo:........./......../.........; Từ .......giờ…....đến.........giờ........

2. Tên file:......................................................................................

3. Người ghi sổ: ………………………………….……................

4. Người di chuyển máy rover 1:...................................................

2......................................................

3…..................................................

5. Chiều cao máy (trạm Base): ………………… ;

6. Chiều cao máy rover 1:………………....;

Chiều cao máy rover 2: ………………;

Chiều cao máy rover 3:………………..;

7. Thời tiết: ………………...................................................

 

NHỮNG VẤN ĐỀ QUAN TRỌNG

 

Trang

Tóm tắt nội dung

Ý kiến giải quyết kết quả

Người giải quyết

 

 

 

 

 

 

 

 

 

 

 

 

 

 

 

 

 

 

 

 

 

 

 

 

 

 

 

 

 

 

 

 

 

 

 

 

 

Trang 05

 

Trang 04

 

 

TRẠM BASE: …………………………………………………..

1. Ngày đo:........./......../.........; Từ .......giờ…....đến.........giờ........

2. Tên file:......................................................................................

3. Người ghi sổ: ………………………………….……................

4. Người di chuyển máy rover 1:...................................................

2......................................................

3…..................................................

5. Chiều cao máy (trạm Base): ………………… ;

6. Chiều cao máy rover 1:………………....;

Chiều cao máy rover 2: ………………;

Chiều cao máy rover 3:………………..;

7. Thời tiết: ………………...................................................

 

 

 

 

TRẠM BASE: …………………………………………………..

1. Ngày đo:........./......../.........; Từ .......giờ…....đến.........giờ........

2. Tên file:......................................................................................

3. Người ghi sổ: ………………………………….……................

4. Người di chuyển máy rover 1:...................................................

2......................................................

3…..................................................

5. Chiều cao máy (trạm Base): ………………… ;

6. Chiều cao máy rover 1:………………....;

Chiều cao máy rover 2: ………………;

Chiều cao máy rover 3:………………..;

7. Thời tiết: ………………...................................................

Trang 06

 

Trang 07,….

 

 

Phụ lục 4

(Ban hành kèm theo Thông tư số 63/TT-BTNMT ngày 22 tháng 12 năm 2017
của Bộ trưởng Bộ Tài nguyên và Môi trường)

Mẫu lý lịch bản đồ gốc dạng số

 

LÝ LỊCH BẢN ĐỒ

 

Tên mảnh và phiên hiệu:

Tỷ lệ: Lưới chiếu: Múi chiếu:

Kinh tuyến trung ương: Hệ tọa độ:

Hệ độ cao:

Khoảng cao đều đường bình độ cơ bản: (nếu là mảnh bản đồ có phần đất liền, phần đảo thì ghi, nếu không có phần đất liền, phần đảo thì bỏ trống)

Khoảng sâu đều đường đẳng sâu cơ bản:

Tọa độ góc khung của bản đồ:

(x, y ghi đến mm; B, L ghi đến 0,5”; a, b, c, d ghi đến 0,1mm)

Diện tích mảnh bản đồ: (Ghi đến 0,01km 2 )

Nội dung của bản đồ số biên tập theo các nhóm, lớp của Quy định kỹ thuật số hóa bản đồ địa hình tỷ lệ:

I. PHẦN ĐẤT LIỀN

Mảnh bản đồ không có phần đất liền hoặc không có phần đảo) ghi "Không có phần đất liền".

Mảnh bản đồ có phần đất liền hoặc phần đảo: ghi một trong ba phương án như sau:

1. Phần đất liền và đảo là bản đồ số cùng tỷ lệ ghép vào phần biển:

Sao chép toàn bộ nội dung lý lịch bản đồ phần đất liền đã nghiệm thu.

2. Phần đất liền được số hóa từ bản đồ in trên giấy:

- Tên đơn vị thực hiện phần số hóa:

- Người thực hiện phần số hóa: Họ và tên

- Thời gian số hóa: (năm)

- Tài liệu dùng để số hóa:

+ Liệt kê tài liệu

Tài liệu tham khảo để số hóa:

+ Liệt kê tài liệu

- Phương pháp số hóa: tóm tắt

- Các vấn đề kỹ thuật đã giải quyết khi số hóa:

+ Liệt kê các vấn đề chính

- Tên cơ quan kiểm tra chất lượng cấp chủ đầu tư:

+ Liệt kê các nội dung liên quan đến việc kiểm tra (kiểm tra cấp đơn vị thi công, kiểm tra cấp Chủ đầu tư, tỷ lệ kiểm tra; kiểm tra theo quy chế, thông tư nào?...)

- Thời gian kiểm tra chất lượng:

- Tên cơ quan thẩm định chất lượng:

- Thời gian kiểm tra, thẩm định chất lượng:

3. Phần đất liền được đo chi tiết ngoài thực địa:

- Tên Thiết kế kỹ thuật - dự toán:

- Tên đơn vị thi công (ngoại nghiệp, nội nghiệp):

- Phương pháp thi công:

+ Ngoại nghiệp:

+ Nội nghiệp:

+ Các vấn đề kỹ thuật phát sinh so với Thiết kế kỹ thuật - dự toán; cơ quan giải quyết kỹ thuật: (nếu có)

- Thời gian thi công (ngoại nghiệp, nội nghiệp):

- Tên cơ quan kiểm tra chất lượng cấp Chủ đầu tư:

+ Liệt kê các nội dung liên quan đến việc kiểm tra (kiểm tra cấp đơn vị thi công, kiểm tra cấp Chủ đầu tư, tỷ lệ kiểm tra; kiểm tra theo quy chế, thông tư nào?...)

- Tên cơ quan thẩm định chất lượng (nghiệm thu):

- Thời gian kiểm tra, thẩm định chất lượng (nghiệm thu):

II. PHẦN BIỂN

1. NGOẠI NGHIỆP:

1.1. Những vấn đề chung:

- Thiết kế kỹ thuật - dự toán: (Tên thiết kế kỹ thuật - dự toán)

- Tên đơn vị thi công:

- Thời gian thi công:

- Tên đơn vị kiểm tra, giám sát:

- Thời gian kiểm tra, giám sát:

- Tên cơ quan kiểm tra chất lượng cấp chủ đầu tư:

- Thời gian kiểm tra cấp chủ đầu tư:

1.2. Phương pháp thi công

- Công tác nghiệm triều: (quan trắc mực nước, triều ký tự động?)

- Tên và địa danh điểm nghiệm triều:

- Đo sâu và đo sâu kiểm tra bằng máy đo sâu hồi âm: (loại máy đo sâu hồi âm đơn tia, đa tia, độ chính xác của máy đo sâu?)

- Phương pháp định vị: (loại máy máy định vị, độ chính xác của máy định vị, tín hiệu cải chính phân sai từ trạm DGPS nào? hay tín hiệu thuê bao vệ tính)

- Phương áp đo sâu: (đo sâu theo tuyến, quét địa hình đáy biển, đo sâu theo dải)

+ Liệt kê các thông số kỹ thuật: Tổng số tuyến đo, dãn cách giữa các tuyến đo, khoảng cách giữa các điểm fix liên tiếp trên cùng một tuyến đo; tổng số dải quét, độ phủ giữa 2 dải quét liền kề, số dải quét kiểm tra (nếu có)…

- Các máy, thiết bị khác, phầm mềm, tàu đo sử dụng trong thi công:

- Đo sâu bằng sào: (phương pháp xác định vị trí điểm, máy xác định vị trí điểm, đo sâu bằng sào…)

- Công tác lấy mẫu chất đáy: (Phương pháp lấy mẫu, dụng cụ lấy mẫu, mật độ lấy mẫu, máy và phương pháp xác định vị trí điểm lấy mẫu…)

1.3. Những xử lý kỹ thuật phát sinh so với Thiết kế kỹ thuật - dự toán

(Ghi rõ những thay đổi so với Thiết kế kỹ thuật - dự toán đã được duyệt và cấp giải quyết)

1.4. Công tác kiểm tra, giám sát, thẩm định, nghiệm thu sản phẩm.

(Ghi rõ tên các cấp đã kiểm tra, giám sát, thẩm định chất lượng (nghiệm thu sản phẩm) và kết quả kiểm tra, thẩm định, nghiệm thu sản phẩm; thời gian kiểm tra, thẩm định, nghiệm thu).

2. NỘI NGHIỆP:

2.1. Những vấn đề chung:

- Tên đơn vị thi công:

- Thời gian thi công:

- Máy móc và phần mềm sử dụng trong thi công:

- Tên đơn vị kiểm tra:

- Thời gian kiểm tra:

- Tên cơ quan kiểm tra chất lượng cấp chủ đầu tư:

- Thời gian kiểm tra cấp chủ đầu tư:

2.2 Phương pháp thành lập bản đồ gốc:

- Tiếp biên bản đồ:

2.3 Những xử lý kỹ thuật phát sinh so với Thiết kế kỹ thuật - dự toán:

(Ghi rõ những thay đổi so với Thiết kế kỹ thuật - dự toán đã được duyệt và cấp giải quyết).

2.4. Công tác kiểm tra, giám sát, thẩm định, nghiệm thu sản phẩm.

(Ghi rõ tên các cấp đã kiểm tra, giám sát, thẩm định chất lượng (nghiệm thu sản phẩm) và kết quả kiểm tra, thẩm định, nghiệm thu sản phẩm; thời gian kiểm tra, thẩm định, nghiệm thu).

 

Bạn chưa Đăng nhập thành viên.

Đây là tiện ích dành cho tài khoản thành viên. Vui lòng Đăng nhập để xem chi tiết. Nếu chưa có tài khoản, vui lòng Đăng ký tại đây!

Văn bản hợp nhất 75/VBHN-BNNMT năm 2025 do Bộ Nông nghiệp và Môi trường ban hành hợp nhất Thông tư quy định kỹ thuật đo vẽ bản đồ địa hình đáy biển tỷ lệ 1:5000

Bạn chưa Đăng nhập thành viên.

Đây là tiện ích dành cho tài khoản thành viên. Vui lòng Đăng nhập để xem chi tiết. Nếu chưa có tài khoản, vui lòng Đăng ký tại đây!

* Lưu ý: Để đọc được văn bản tải trên Luatvietnam.vn, bạn cần cài phần mềm đọc file DOC, DOCX và phần mềm đọc file PDF.

Văn bản liên quan Văn bản hợp nhất 75/VBHN-BNNMT

văn bản cùng lĩnh vực

image

Văn bản hợp nhất 20/VBHN-BNNMT năm 2026 do Bộ Nông nghiệp và Môi trường ban hành hợp nhất Thông tư quy định về phương pháp xác định chi phí đánh giá tiềm năng khoáng sản, thăm dò khoáng sản phải hoàn trả; mẫu văn bản trong hồ sơ xác định, phê duyệt chi phí đánh giá tiềm năng khoáng sản, thăm dò khoáng sản phải hoàn trả; mẫu văn bản trong hồ sơ xác định, phê duyệt, quyết toán tiền cấp quyền khai thác khoáng sản; mẫu văn bản trong đấu giá quyền khai thác khoáng sản

văn bản mới nhất

CHÍNH SÁCH BẢO VỆ DỮ LIỆU CÁ NHÂN
Yêu cầu hỗ trợYêu cầu hỗ trợ
Chú thích màu chỉ dẫn
Chú thích màu chỉ dẫn:
Các nội dung của VB này được VB khác thay đổi, hướng dẫn sẽ được làm nổi bật bằng các màu sắc:
Sửa đổi, bổ sung, đính chính
Thay thế
Hướng dẫn
Bãi bỏ
Bãi bỏ cụm từ
Bình luận
Click vào nội dung được bôi màu để xem chi tiết.
×