• Tổng quan
  • Nội dung
  • VB gốc
  • Tiếng Anh
  • Hiệu lực
  • VB liên quan
  • Lược đồ
  • Nội dung hợp nhất 

    Tính năng này chỉ có tại LuatVietnam.vn. Nội dung hợp nhất tổng hợp lại tất cả các quy định còn hiệu lực của văn bản gốc và các văn bản sửa đổi, bổ sung, đính chính... trên một trang. Việc hợp nhất văn bản gốc và những văn bản, Thông tư, Nghị định hướng dẫn khác không làm thay đổi thứ tự điều khoản, nội dung.

    Khách hàng chỉ cần xem Nội dung hợp nhất là có thể nắm bắt toàn bộ quy định hiện hành đang áp dụng, cho dù văn bản gốc đã qua nhiều lần chỉnh sửa, bổ sung.

    =>> Xem hướng dẫn chi tiết cách sử dụng Nội dung hợp nhất

  • Tải về
Lưu
Đây là tiện ích dành cho tài khoản Tiêu chuẩn hoặc Nâng cao Vui lòng Đăng nhập tài khoản để xem chi tiết.
Theo dõi VB
Đây là tiện ích dành cho tài khoản Tiêu chuẩn hoặc Nâng cao Vui lòng Đăng nhập tài khoản để xem chi tiết.
Ghi chú
Báo lỗi
In

Văn bản hợp nhất 62/VBHN-BNNMT 2025 quy định kỹ thuật cho 11 công tác điều tra địa chất khoáng sản biển và hải đảo

Ngày cập nhật: Thứ Tư, 03/09/2025 11:00 (GMT+7)
Số hiệu: 62/VBHN-BNNMT Ngày ký xác thực: 29/08/2025
Loại văn bản: Văn bản hợp nhất Cơ quan hợp nhất: Bộ Nông nghiệp và Môi trường
Ngày đăng công báo:
Đang cập nhật
Người ký:
Lê Minh Ngân
Trích yếu: Thông tư quy định kỹ thuật cho 11 công tác điều tra địa chất khoáng sản biển và hải đảo
Số công báo:
Số công báo là mã số ấn phẩm được đăng chính thức trên ấn phẩm thông tin của Nhà nước. Mã số này do Chính phủ thống nhất quản lý.
Đang cập nhật
Ngày hết hiệu lực:
Ngày hết hiệu lực là ngày, tháng, năm văn bản chính thức không còn hiệu lực (áp dụng).
Đang cập nhật

TÓM TẮT VĂN BẢN HỢP NHẤT 62/VBHN-BNNMT

Văn bản hợp nhất 62/VBHN-BNNMT năm 2025: Quy định quan trọng cho công tác điều tra địa chất khoáng sản biển và hải đảo

Văn bản hợp nhất 62/VBHN-BNNMT được Bộ Nông nghiệp và Môi trường ban hành vào ngày 29 tháng 8 năm 2025, có hiệu lực từ ngày 01 tháng 7 năm 2025. Văn bản này hiện hợp nhất các quy định từ Thông tư số 25/2010/TT-BTNMT và Thông tư số 15/2025/TT-BNNMT, liên quan đến kỹ thuật thực hiện 11 công tác điều tra địa chất khoáng sản biển và hải đảo. Những quy định này ảnh hưởng trực tiếp đến các tổ chức, cá nhân tiến hành các công tác điều tra địa chất, có sử dụng ngân sách nhà nước.

Phạm vi và đối tượng áp dụng:

  • Văn bản này áp dụng cho 11 dạng công tác điều tra địa chất, bao gồm các phương pháp đo địa chấn, khoan mẫu, và lấy mẫu trầm tích dưới biển.
  • Đối tượng áp dụng là các cá nhân, tổ chức tham gia thực hiện các công tác nêu trên, đặc biệt những đơn vị nhận ngân sách từ Nhà nước.

Quy định về công tác thi công:

  • Văn bản yêu cầu thực hiện quy trình chuẩn bị công tác điều tra, bao gồm: thu thập tài liệu, thiết kế tuyến khảo sát, và thực thi tại thực địa.
  • Kiểm tra và nghiệm thu kết quả tại hiện trường là bước bắt buộc trước khi tiến hành các bước tiếp theo.

Quy định kỹ thuật cho từng công tác điều tra:

  • Đối với công tác đo địa chấn nông phân giải cao, các thiết bị như Air-Gun, máy thu tín hiệu phải được lắp đặt an toàn và chính xác, đảm bảo thu thập dữ liệu chính xác.
  • Quy trình vận hành và kiểm tra thiết bị cần được tuân thủ nghiêm ngặt để đảm bảo an toàn cho người thao tác.
  • Các công tác khác như đo từ trên biển và khoan máy bãi triều cũng có các quy định riêng nhằm đảm bảo chất lượng kết quả nghiên cứu và an toàn cho người lao động.

Phân công trách nhiệm và nghiệm thu kết quả:

  • Bộ trưởng, Thủ trưởng cơ quan ngang Bộ, và các tổ chức, cá nhân có liên quan đều có trách nhiệm thi hành theo quy định này và phải tiến hành nghiệm thu sản phẩm cuối cùng, bao gồm việc giao nộp dữ liệu và các báo cáo.

Như vậy, Văn bản hợp nhất 62/VBHN-BNNMT năm 2025 không chỉ quy định cụ thể các kỹ thuật điều tra địa chất khoáng sản mà còn hình thành khuôn khổ pháp lý rõ ràng nhằm đảm bảo hiệu quả và an toàn trong quá trình điều tra, khảo sát tài nguyên biển và hải đảo.

Tải văn bản hợp nhất 62/VBHN-BNNMT

Tải văn bản tiếng Việt (.pdf) Văn bản hợp nhất 62/VBHN-BNNMT PDF (Bản có dấu đỏ)

Đây là tiện ích dành cho tài khoản thành viên. Vui lòng Đăng nhập để xem chi tiết. Nếu chưa có tài khoản, Đăng ký tại đây!

Tải văn bản tiếng Việt (.doc) Văn bản hợp nhất 62/VBHN-BNNMT DOC (Bản Word)

Đây là tiện ích dành cho tài khoản thành viên. Vui lòng Đăng nhập để xem chi tiết. Nếu chưa có tài khoản, Đăng ký tại đây!

Tình trạng hiệu lực: Đã biết
Tình trạng hiệu lực: Đã biết

 

CỘNG HÒA XÃ HỘI CHỦ NGHĨA VIỆT NAM
Độc lập - Tự do - Hạnh phúc
______________________

 

 

THÔNG TƯ

Quy định kỹ thuật cho 11 công tác điều tra địa chất khoáng sản biển và hải đảo

 

Thông tư số 25/2010/TT-BTNMT ngày 27 tháng 10 năm 2010 của Bộ trưởng Bộ Tài nguyên và Môi trường quy định kỹ thuật cho 11 công tác điều tra địa chất khoáng sản biển và hải đảo, có hiệu lực kể từ ngày 01 tháng 01 năm 2011, được sửa đổi, bổ sung bởi:

Thông tư số 15/2025/TT-BNNMT ngày 19 tháng 6 năm 2025 của Bộ trưởng Bộ Nông nghiệp và Môi trường quy định phân quyền, phân cấp, phân định thẩm quyền và sửa đổi, bổ sung một số điều của các thông tư trong lĩnh vực biển và hải đảo, có hiệu lực từ ngày 01 tháng 7 năm 2025.

Căn cứ Nghị định số 25/2008/NĐ-CP ngày 04 tháng 3 năm 2008 của Chính phủ quy định chức năng, nhiệm vụ, quyền hạn và cơ cấu tổ chức của Bộ Tài nguyên và Môi trường;

Căn cứ Nghị định số 25/2009/NĐ-CP ngày 06 tháng 3 năm 2009 của Chính phủ về quản lý tổng hợp tài nguyên và bảo vệ môi trường biển, hải đảo;

Xét đề nghị của Tổng cục trưởng Tổng cục Biển và Hải đảo Việt Nam, Vụ trưởng Khoa học và Công nghệ và Vụ trưởng Vụ Pháp chế [1] ,

QUY ĐỊNH:

 

Điều 1. Ban hành kèm theo Thông tư này Quy định kỹ thuật cho 11 công tác điều tra địa chất khoáng sản biển và hải đảo.

Điều 2. [2] Thông tư này có hiệu lực thi hành kể từ ngày 01 tháng 01 năm 2011.

Điều 3. Bộ trưởng, Thủ trưởng cơ quan ngang Bộ, cơ quan thuộc Chính phủ, Chủ tịch Ủy ban nhân dân các tỉnh, thành phố ven biển trực thuộc Trung ương, Cục trưởng Cục Biển và Hải đảo Việt Nam [3] , Thủ trưởng các đơn vị thuộc Bộ và các tổ chức, cá nhân có liên quan chịu trách nhiệm thi hành Thông tư này./.

 

BỘ NÔNG NGHIỆP VÀ MÔI TRƯỜNG
___________

Số: 62/VBHN-BNNMT

XÁC THỰC VĂN BẢN HỢP NHẤT

 

Hà Nội, ngày 29 tháng 8 năm 2025

 

Nơi nhận:
- Văn phòng Chính phủ (để đăng công báo);
- Các Bộ, cơ quan ngang Bộ, cơ quan thuộc Chính phủ;
- UBND tỉnh, thành phố trực thuộc trung ương;
- Các Sở NN&MT tỉnh, thành phố trực thuộc trung ương;
- Cục Kiểm tra văn bản và Quản lý xử lý vi phạm hành chính, Bộ Tư pháp;
- Bộ trưởng (để báo cáo);
- Cổng TTĐT Chính phủ (để đăng tải);
- Cơ sở dữ liệu quốc gia về văn bản pháp luật (để đăng tải);
- Các đơn vị trực thuộc Bộ NN&MT;
- Cổng thông tin điện tử Bộ NN&MT;
- Lưu: VT, PC, BHĐ.

KT. BỘ TRƯỞNG
THỨ TRƯỞNG




Lê Minh Ngân

 

QUY ĐỊNH KỸ THUẬT

CHO 11 CÔNG TÁC ĐIỀU TRA ĐỊA CHẤT KHOÁNG SẢN BIỂN VÀ HẢI ĐẢO
(Ban hành kèm theo Thông tư số 25/2010/TT-BTNMT ngày 27 tháng 10 năm 2010 của Bộ trưởng Bộ Tài nguyên và Môi trường)

 

Chương I

NHỮNG QUY ĐỊNH CHUNG

 

1. Phạm vi điều chỉnh

Thông tư này áp dụng cho mười một 11 dạng công tác điều tra địa chất - khoáng sản biển và hải đảo, bao gồm:

a) Đo địa chấn nông phân giải cao bằng nguồn phát Air-Gun;

b) Đo từ trên biển bằng máy Sea-Spy và các máy tương đương;

c) Khoan máy bãi triều;

d) Khoan biển bằng giàn khoan tự chế;

đ) Khoan biển ven bờ bằng phương pháp khoan thổi;

e) Lặn lấy mẫu trầm tích biển nông;

g) Lấy mẫu trầm tích biển bằng ống phóng rung;

h) Lấy mẫu trầm tích nguyên dạng bằng thiết bị Box-Core.

i) Rửa muối mẫu trầm tích biển phục vụ gia công, phân tích quang phổ Plasma;

k) Phân tích mẫu bằng phương pháp đồng vị phóng xạ C14;

l) Phân tích mẫu bằng phương pháp sắc khí khối phổ và cộng kết điện tử.

2. Đối tượng áp dụng

Thông tư này áp dụng đối với tổ chức, cá nhân thực hiện các dạng công tác nêu trên trong điều tra địa chất - khoáng sản, tài nguyên - môi trường biển và hải đảo có sử dụng nguồn ngân sách Nhà nước.

3. Giải thích từ ngữ

a) Air-gun là nguồn phát tạo ra dao động đàn hồi bằng cách phát ra tiếng nổ không khí có áp suất 100 - 4.000 Lb/inch 2 vào môi trường nước biển.

b) Đo Deviaxia là đo giá trị trường từ tại 1 điểm theo các hướng tàu chạy khác nhau, nhằm xác định hiệu ứng hướng tàu chạy để liên kết số liệu đo đạc trường từ của khu vực nghiên cứu.

c) Hiệu chỉnh Deviaxia là việc làm để loại trừ ảnh hưởng hiệu ứng hướng tàu chạy lên giá trị trường từ trên các tuyến đo theo hướng khác nhau của vùng nghiên cứu

d) Biến thiên từ là biến thiên theo thời gian của trường địa từ.

đ) Hiệu chỉnh biến thiên từ là việc làm loại trừ các biến thiên theo thời gian của các số liệu đo trường địa từ trong khảo sát từ biển.

e) Liên kết tài liệu từ là việc đưa các kết quả đo vẽ từ biển về một mức thống nhất. Có 2 dạng liên kết:

- Liên kết nội là liên kết các tài liệu đo đạc trên các tuyến của một vùng về một mức từ trường thống nhất;

- Liên kết ngoại là liên kết đưa tài liệu đo từ của các vùng khác nhau ở các thời gian khác nhau về một mức thống nhất nhằm lập bản đồ tổng quan.

g) Giàn khoan tự chế (hay giàn khoan trên phao) là các phao nổi liên kết với nhau bằng hệ thống khung, đai chằng; trên đó lắp đặt các thiết bị phục vụ công tác khoan như: neo, giá neo, tời neo, máy phát điện, máy khoan, máy định vị, đo sâu, ca bin điều khiển và các hoạt động khác.

h) Khoan thổi là việc khoan lấy mẫu trầm tích không nguyên dạng bằng cách dùng hỗn hợp khí nén và nước ở áp suất cao để phá mẫu trầm tích và đẩy lên trên mặt.

i) Ống hút piston tay là dụng cụ lấy mẫu trầm tích biển dạng piston.

k) Tim lặn là túi lưới đựng các thiết bị phục vụ cho thợ lặn dưới biển và đựng các đồ vật, mẫu lấy được để kéo lên mặt biển.

l) Sắc khí khối phổ và cộng kết điện tử là phương pháp phân tích với độ nhạy cao được sử dụng trong nghiên cứu thành phần vật chất.

m) Ống phóng rung là thiết bị lấy mẫu trầm tích đáy biển bằng cơ chế rung.

n) Box-Core là thiết bị lấy mẫu trầm tích đáy biển nguyên dạng (các lớp trầm tích được giữ nguyên trật tự lớp và không bị biến dạng).

4. Nội dung công tác

4.1. Đối với công tác thi công ngoài trời, gồm các bước sau:

a) Chuẩn bị thi công: thu thập tài liệu liên quan đến vùng khảo sát, thiết kế tuyến khảo sát, điểm lấy mẫu;

b) Thi công tại thực địa;

c) Kiểm tra, nghiệm thu kết quả tại thực địa;

d) Văn phòng thực địa;

đ) Văn phòng sau thực địa.

4.2. Đối với công tác gia công, phân tích mẫu gồm các bước sau:

a) Công tác chuẩn bị:

- Chuẩn bị nhân lực;

- Chuẩn bị máy móc thiết bị;

- Chuẩn bị vật tư, hoá chất dùng trong quá trình phân tích;

- Chuẩn bị mẫu phân tích.

b) Gia công, phân tích mẫu

c) Công tác văn phòng:

- Tính toán và kiểm tra kết quả;

- Giao nộp kết quả.

Chương II

QUY ĐỊNH KỸ THUẬT

 

1. QUY ĐỊNH KỸ THUẬT ĐO ĐỊA CHẤN NÔNG PHÂN GIẢI CAO BẰNG NGUỒN PHÁT AIR-GUN

1.1. Kỹ thuật thi công tại thực địa

1.1.1. Lắp đặt thiết bị

a) Hệ thống điều khiển, thu thập, xử lý số liệu, máy ghi băng được lắp trong buồng kín có diện tích khoảng 12-15m 2 , có điều hoà nhiệt độ để đảm bảo nhiệt độ, độ ẩm trong phòng phù hợp với điều kiện làm việc của thiết bị;

b) Lắp đặt hệ thống máy thu với giải đầu thu hydrophone và máy in băng địa chấn;

c) Lắp đặt Air-Gun với hệ thống máy nén khí, phần nguồn phát lắp đặt ở vị trí riêng biệt, thông thoáng ít người qua lại;

d) Hệ thống cáp điện, cáp tín hiệu thu-phát được nối thành mạng giữa các tổ hợp thiết bị, đảm bảo tín hiệu thông suốt;

đ) Phần cáp thu - phát tín hiệu được rải trên sàn tàu phía sau cùng trong diện tích khoảng 10m 2 và được che chắn không để người dẫm lên hoặc các vật nặng đè lên. Hệ thống cáp tín hiệu này được thả xuống biển và kéo theo đuôi tàu khi tiến hành khảo sát;

e) Lắp đặt máy phát điện lên boong tàu: gia cố chân đế máy phát điện bằng ốc cỡ lớn siết lên sàn tàu hoặc hàn trực tiếp lên sàn tàu, ở vị trí an toàn, ít người qua lại, không bị ảnh hưởng của nước mưa, sóng biển, đảm bảo khi sóng to, tàu lắc máy phát điện không bị trượt, văng gây nguy cho người lao động trên tàu. Hệ thống điện cấp cho các thiết bị phải bố trí lắp đặt đảm bảo an toàn, chống cháy nổ trên tàu;

g) Lắp đặt tời máy và các thiết bị hỗ trợ khác.

1.1.2. Thả thiết bị phát - thu tín hiệu

Sau khi gia cố nguồn phát Air-Gun và đầu thu hydrophone chắc chắn ở vị trí phía sau đuôi tàu:

a) Tiến hành thả nguồn phát Air-Gun (súng hơi) xuống mặt nước và cố định chắc chắn bằng dây chịu lực ở phía đuôi tàu;

b) Thả đầu thu hydrophone xuống mặt nước và cố định bằng dây chịu lực;

c) Sau khi các thiết bị thu phát được thả xuống mặt biển an toàn, tiến hành bật máy chuẩn bị cho công tác đo thử các thông số cần khảo sát.

1.1.3. Đo chọn các thông số

1.1.3.1. Đo chọn các thông số (tần số phát, tần số thu, vị trí đầu phát, đầu thu, hệ số khuyếch đại tổng, tốc độ kéo giấy in băng, tốc độ chạy tàu...) sao cho tài liệu địa chấn thu được phản ánh rõ các cấu trúc, đặc điểm của các đối tượng đến độ sâu nghiên cứu và đảm bảo giải quyết được các mục tiêu, nhiệm vụ địa chất đặt ra. Việc đo chọn thông số được tiến hành trên một đoạn tuyến trong vùng khảo sát.

1.1.3.2. Máy địa chấn nông phân giải cao được kết nối đồng bộ với các thiết bị định vị dẫn đường, đo sâu và các thiết bị khác làm cơ sở cho việc xử lý phân tích và hiệu chỉnh tài liệu sau này.

1.1.3.3. Quy định vận hành đo, lựa chọn các thông số:

1.1.3.3.1. Bước 1:

a) Chạy máy phát điện, kiểm tra sự ổn định của nguồn điện ở mức 220V;

b) Cấp điện vào hệ thống dẫn đến các thiết bị sử dụng điện.

1.1.3.3.2. Bước 2: khởi động máy nén khí, theo dõi đồng hồ áp suất trên bình nén khí đảm bảo đủ áp suất trong bình.

1.1.3.3.3. Bước 3:

a) Bơm khí cho nguồn phát Air-Gun;

b) Khởi động các thiết bị trong tổ hợp của phương pháp, để các thiết bị này làm việc trong chế độ không tải trong khoảng 10-15 phút nhằm đạt đến sự ổn định của thiết bị.

1.1.3.3.4. Bước 4: tiến hành đo đạc, lựa chọn các thông số khảo sát thu thập số liệu trên một đoạn tuyến đo địa vật lý.

1.1.4. Tiến hành đo đạc khi vào tuyến

1.1.4.1. Điều kiện thi công: sóng dưới cấp 5, vận tốc tàu khảo sát chạy ổn định trong khoảng 6km/giờ.

1.1.4.2. Các bước thi công trên tuyến

a) Các bước vận hành thiết bị giống như quy định vận hành đo chọn các thông số ở mục 1.1.3.3;

b) Trong quá trình khảo sát, khi có sự thay đổi về điều kiện địa chất, điều kiện sóng gió, độ sâu đáy biển và các trường hợp khác phải điều chỉnh các thông số kỹ thuật, chọn thông số phù hợp nhất với điều kiện thực tế khảo sát trên tuyến đo;

c) Kết thúc mỗi ngày khảo sát, thiết bị tiếp xúc trực tiếp với nước mặn phải được rửa bằng nước ngọt.

1.2. Kiểm tra, tính toán, xử lý tài liệu

a) Kiểm tra, tiếp nhận tài liệu, bảo quản các tài liệu đo đạc thực địa cùng với tài liệu định vị dẫn đường, đo sâu, nhân bản băng ghi địa chấn để lưu giữ và xử lý phân tích ở thực địa. Số liệu đo đạc sau mỗi ngày làm việc được lưu giữ trong đĩa CD;

b) Xử lý và phân tích sơ bộ tài liệu địa chấn ở thực địa kết hợp với tài liệu đo sonar quét sườn, từ biển, trọng lực nhận biết sơ bộ đặc điểm địa chất, trầm tích đáy biển để kịp thời điều chỉnh các thông số kỹ thuật đo của thiết bị cho hợp lý;

c) So sánh, đối chiếu kết quả đánh giá sơ bộ với các kết quả tổng hợp tài liệu trong vùng nghiên cứu;

d) Đánh giá sự đồng bộ của tài liệu địa chấn nông phân giải cao với tài liệu liên quan khác.

1.3. Văn phòng thực địa

a) Ghi chép, đánh dấu chú giải trên băng ghi địa chấn và nhật ký khảo sát theo tuyến đo một cách chi tiết đảm bảo dễ nhận biết, quản lý tài liệu và theo dõi khối lượng cũng như tiến độ thi công;

b) Lưu giữ số liệu ra đĩa CD;

c) Xác định khu vực cần bố trí các tuyến đo bổ sung đồng thời trên cơ sở các phân tích sơ bộ định hướng cho các công tác thi công ngày tiếp theo.

1.4. Văn phòng sau thực địa và nghiệm thu, giao nộp kết quả

1.4.1. Văn phòng sau thực địa

a) Xử lý phân tích tài liệu địa chấn nông phân giải cao, thành lập các bản đồ;

b) Các quy định xử lý, liên kết và phân tích các số liệu địa chấn nông phân giải cao tuỳ từng yêu cầu và điều kiện cụ thể có thể được áp dụng theo các quy trình, quy phạm đã được ban hành;

c) Tổng hợp khối lượng thi công thực địa, đánh giá sự tăng giảm khối lượng thực hiện so với thiết kế;

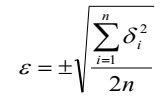
d) Đánh giá sai số: trước khi xử lý phân tích tài liệu, trên các băng ghi phải xác định vị trí, số hiệu các điểm dọc theo tuyến đo, xác định vị trí giao cắt giữa các tuyến dọc tuyến ngang và giữa các tuyến thường với tuyến kiểm tra:

- Công việc đánh giá sai số được thực hiện bằng việc so sánh các giá trị độ sâu của các ranh giới phản xạ tương ứng trên băng địa chấn giữa các tuyến dọc các tuyến ngang và tuyến kiểm tra tại các điểm giao cắt. Đánh giá định lượng bằng việc tính sai số trung bình bình phương đến một số ranh giới phản xạ.

- Sai số đo đạc được tính theo công thức:

 

Trong đó:

- δi là giá trị chênh lệch độ sâu tại điểm thứ i giữa hai lần đo;

- n là số điểm cắt tham gia tính sai số.

đ) Lập báo cáo kết quả công tác khảo sát thực địa.

1.4.2. Nghiệm thu và sản phẩm giao nộp:

a) Dữ liệu dạng số phải được ghi vào ổ cứng máy tính theo chương trình đo đạc;

b) Dữ liệu ghi trên băng đo tương tự phản ánh rõ cấu trúc, đặc điểm các đối tượng đến độ sâu cần khảo sát và giải quyết được nhiệm vụ địa chất do đề án đã xác định;

c) Công tác nghiệm thu và giao nộp sản phẩm tuân thủ theo các quy định hiện hành.

2. QUY ĐỊNH KỸ THUẬT ĐO TỪ TRÊN BIỂN BẰNG MÁY SEA-SPY VÀ CÁC MÁY TƯƠNG ĐƯƠNG

2.1. Kỹ thuật thi công tại thực địa

2.1.1. Lắp đặt thiết bị

a) Hệ thống điều khiển, thu thập, xử lý số liệu được lắp trong buồng kín có diện tích khoảng 12-15m2, có điều hoà nhiệt độ để đảm bảo nhiệt độ, độ ẩm trong phòng phù hợp với điều kiện làm việc thiết bị;

b) Lắp cáp tín hiệu thu với đầu thu tín hiệu;

c) Gia cố, gắn cố định tời cáp thu tín hiệu với sàn tàu ở phía đuôi tàu, buộc phao nổi cho cáp thu, phao định vị cho đầu thu. Đảm bảo khi thả cáp thu xuống mặt nước, kéo sau đuôi tàu được an toàn;

d) Đo và đánh dấu chiều dài cáp thu để thuận lợi cho việc xác định chiều dài thả cáp trong quá trình thi công;

đ) Đấu đầu cáp thu tín hiệu với bộ xử lý và thu thập số liệu;

e) Đấu bộ phận thu thập tín hiệu với máy tính;

g) Hệ thống cáp điện, cáp tín hiệu thu - phát được nối thành mạng giữa các tổ hợp thiết bị, đảm bảo tín hiệu thông suốt;

h) Phần cáp thu - phát tín hiệu được rải trên sàn tàu phía sau cùng và được che chắn không để người dẫm lên hoặc các vật nặng đè lên. Hệ thống cáp tín hiệu này được thả xuống biển và kéo theo đuôi tàu khi tiến hành khảo sát;

i) Lắp đặt máy phát điện lên boong tàu: gia cố chân đế máy phát điện bằng ốc cỡ lớn siết lên sàn tàu hoặc hàn trực tiếp lên sàn tàu, ở vị trí an toàn, ít người qua lại, không bị ảnh hưởng của nước mưa, sóng biển, đảm bảo khi sóng to, tàu lắc máy phát điện không bị trượt, văng gây nguy hiểm cho người lao động trên tàu. Hệ thống điện cấp cho các thiết bị được bố trí lắp đặt đảm bảo an toàn, chống cháy nổ trên tàu;

k) Lựa chọn điểm đặt trạm đo biến thiên từ trên bờ, lắp đặt máy của trạm biến thiên (theo quy định tạm thời của công tác đo vẽ lập bản đồ địa chất và tìm kiếm khoáng sản tỷ lệ 1:500.000).

2.1.2. Đo thử máy và thiết bị

2.1.2.1. Bước 1: chạy thử máy phát điện ở chế độ không tải và chế độ có tải;

2.1.2.2. Bước 2: chạy thử thiết bị định vị dẫn đường GPS ở chế độ tĩnh (không chạy tàu);

2.1.2.3. Bước 3: lựa chọn dải đo (datum) của máy đo trường từ (máy từ biển, máy đo biến thiên từ) phù hợp với giá trị trường bình thường của vùng nghiên cứu;

2.1.2.4. Bước 4: đo Deviaxia để xác định ảnh hưởng của hướng đo (hướng tàu chạy):

a) Lựa chọn vùng đo Deviaxia thoả mãn điều kiện:

- Vùng có địa hình đáy biển tương đối bằng phẳng;

- Trường từ tuyến tính với gradient trường từ nhỏ.

b) Tiến hành đo trường từ theo 8 hướng với 4 tuyến cắt qua điểm trung tâm, trên mỗi tuyến có đo đi và đo theo chiều ngược lại, cuối cùng đo lặp lại hướng tuyến đo đầu tiên;

c) Tài liệu đo Deviaxia phải được hiệu chỉnh biến thiên từ, tốt nhất chọn đo vào thời điểm có biến thiên từ nhỏ nhất.

d) Các chuyến đo kỹ thuật (nêu ở bước 3 và bước 4) được tiến hành cho mỗi mùa khảo sát thực địa; khi sửa chữa thay thế máy từ và khi thay đổi tàu khảo sát.

2.1.3. Thi công tại thực địa

a) Bước 1: trước khi vào vùng khảo sát (khoảng 1km) thả đầu thu máy từ biển phía sau tàu;

b) Bước 2: khởi động máy phát điện;

c) Bước 3: khởi động máy từ hoạt động và phân công người theo dõi thường xuyên. Kiểm tra lại các tham số đo đạc của máy từ (datum, chu kỳ đo), sự đồng bộ số liệu đo từ và số liệu định vị GPS;

d) Bước 4: khi tới vị trí tuyến thiết kế, tiến hành đo đạc khảo sát thu thập số liệu. Trong quá trình đo đạc thu thập số liệu từ biển, phải thường xuyên theo dõi tình trạng hoạt động của máy cùng việc chọn chế độ hiển thị dữ liệu đo đạc đồng thời ở dạng dữ liệu số và đồ thị - tiện cho việc phát hiện và theo dõi dị thường từ trong các tuyến đo;

đ) Bước 5: nhóm trực theo dõi máy từ phải ghi nhật ký đầy đủ các thông tin về hành trình đo đạc khảo sát: ngày tháng; tuyến đo; thời gian bắt đầu; thời gian kết thúc tuyến; chiều dài tuyến đo, vị trí đặc điểm dị thường. Những ghi chú đặc biệt khác như đặc điểm địa hình đáy biển; đặc điểm ảnh sonar quét sườn, các nguồn nhiễu có trên tuyến khảo sát (các phương tiện tàu thuyền, các nguồn nhiễu khác) cần đặc biệt quan tâm tại những vị trí ghi nhận được các dị thường từ;

e) Bước 6: theo dõi thường xuyên bộ phận kéo thả đầu thu và cảnh giới về mức độ an toàn của thiết bị được thả sau tàu. Khi có sự cố xảy ra phải kịp thời thông báo cho người có trách nhiệm biết để xử lý;

g) Bước 8: khi chuyển hướng tuyến đo đột ngột, cho tàu giảm tốc độ và tiến hành kéo vớt thiết bị lên. Sau khi hướng tàu chạy đã ổn định, bắt đầu thả lại thiết bị xuống biển sau đuôi tàu;

h) Bước 9: kết thúc ngày làm việc cho tàu giảm tốc độ, tắt máy đo từ và nhanh chóng kéo vớt thiết bị lên, sau đó tắt máy phát điện.

Đo từ biển được tiến hành đồng thời với đo biến thiên từ tại các trạm cố định trên bờ hoặc trên đảo, chú ý đặt trạm đo biến thiên từ ở những nơi không có biểu hiện hiệu ứng bờ. Khi diện tích vùng khảo sát lớn phải xác định số lượng trạm đo biến thiên thích hợp.

2.1.4. Kiểm tra, đánh giá, xử lý tài liệu

Công tác kiểm tra, đánh giá, xử lý tài liệu thực địa được thực hiện cuối mỗi tuyến khảo sát hoặc sau khi kết thúc khảo sát một số tuyến, để:

a) Đánh giá chất lượng tài liệu đo biến thiên từ và quy luật biến thiên từ của vùng nghiên cứu so với quy luật chung của khu vực;

b) Kiểm tra đánh giá chất lượng tài liệu đo từ biển: dựa trên việc kiểm tra chất lượng các file số liệu đo từ biển, mức độ đồng bộ giữa số liệu từ và số liệu định vị GPS, mức độ biến đổi trường từ ghi nhận được trong vùng nghiên cứu ứng với các đối tượng địa chất có mặt trong vùng;

c) Kiểm tra, tiếp nhận, đánh giá chất lượng tài liệu, bảo quản các tài liệu đo đạc ngoài thực địa cùng với tài liệu định vị dẫn đường để lưu giữ và xử lý phân tích ở thực địa. Số liệu sau mỗi ngày làm việc phải được lưu giữ trong đĩa CD;

d) Xử lý và phân tích sơ bộ tài liệu ở thực địa để nhận biết khái quát đặc điểm địa chất nhằm kịp thời điều chỉnh các thông số kỹ thuật đo của thiết bị cho hợp lý;

đ) So sánh, đối chiếu kết quả đánh giá sơ bộ với các kết quả tổng hợp tài liệu trong vùng nghiên cứu;

e) Đánh giá sự đồng bộ của tài liệu đo từ biển với tài liệu liên quan khác.

2.1.5. Văn phòng thực địa

a) Ghi chép nhật ký hành trình, thời gian ra - vào tuyến đo, điều kiện thời tiết;

b) Kiểm tra dữ liệu trong đĩa CD;

c) Xác định khu vực cần bố trí các tuyến đo bổ sung trên cơ sở các phân tích sơ bộ định hướng cho các công tác thi công ngày tiếp theo;

d) Tiếp nhận, bảo quản các tài liệu, xử lý thực địa các số liệu từ (số liệu đo từ biển, số liệu đo biến thiên từ), giải đoán sơ bộ để điều chỉnh và đưa ra các giải pháp kỹ thuật để có được các số liệu địa vật lý, định hướng cụ thể cho các công việc tiếp theo.

2.1.6. Văn phòng sau thực địa và nghiệm thu, giao nộp kết quả

2.1.6.1. Văn phòng sau thực địa

a) Xử lý tài liệu liên kết (nội, ngoại), cân bằng mạng lưới và phân tích các số liệu từ biển tuỳ từng yêu cầu và điều kiện cụ thể áp dụng theo các quy định đã được ban hành của công tác thăm dò từ mặt đất, công tác bay đo từ hàng không. Các bản đồ trường từ được thành lập gồm bản đồ trường từ tổng T, bản đồ trường dị thường từ ∆Ta;

b) Tổng hợp khối lượng thi công thực địa, đánh giá sự tăng giảm khối lượng thực hiện so với thiết kế;

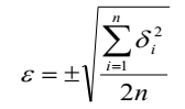
c) Đánh giá sai số: chất lượng tài liệu đo từ biển được đánh giá bằng sai số bình phương trung bình:

Trong đó:

- δi là giá trị chênh lệch tại điểm thứ i giữa hai lần đo;

- n là số điểm giao cắt giữa tuyến ngang và tuyến dọc, tuyến cắt chéo tham gia tính sai số.

d) Phương pháp tính toán, xử lý sai số được thực hiện theo quy định kỹ thuật về thăm dò từ mặt đất;

đ) Lập báo cáo kết quả thi công thực địa.

2.1.6.2. Nghiệm thu và giao nộp kết quả thực địa

a) Sản phẩm giao nộp gồm: file dữ liệu, sơ đồ tuyến đo, đồ thị, mặt cắt, các bản đồ và báo cáo. Tất cả dữ liệu được ghi vào đĩa CD.

b) Công tác nghiệm thu và giao nộp kết quả tuân thủ theo các quy định hiện

hành.

3. QUY ĐỊNH KỸ THUẬT KHOAN MÁY BÃI TRIỀU

3.1. Kỹ thuật thi công tại thực địa

3.1.1. Công tác chuẩn bị hiện trường

3.1.1.1. Xác định vị trí các lỗ khoan bãi triều:

3.1.1.1.1. Bước 1: xác định vị trí lỗ khoan theo thiết kế bằng máy định vị vệ tinh GPS độ sai số cho phép từ 2-5m.

3.1.1.1.2. Bước 2: xác định các điều kiện cần thiết để thi công khoan:

a) Lựa chọn, thiết kế mặt bằng thi công khoan: xác định vị trí lỗ khoan nằm trong vùng ảnh hưởng của thủy triều khi thiết kế nền khoan phải đảm bảo khi triều lên sàn khoan ngập không quá 50cm;

b) Điều kiện địa chất: xác định vị trí có đặc điểm địa chất đảm bảo thực hiện mục tiêu kỹ thuật của công tác khoan, gồm: đặc điểm địa tầng, chiều dày lớp phủ đệ tứ, cấu trúc địa chất;

c) Điều kiện giao thông: xác định vị trí thuận tiện để vận chuyển máy khoan, các vật tư phục vụ và mẫu thu thập được;

d) Trường hợp vị trí thiết kế của lỗ khoan không đáp ứng được các điều kiện cần thiết để tiến hành công tác khoan thì kỹ thuật tổ khoan phải thực hiện các bước sau:

- Tiến hành lập biên bản thay đổi vị trí khoan;

- Báo cáo chủ nhiệm đề án và cơ quan chủ trì về việc thay đổi vị trí khoan;

- Xác định vị trí lỗ khoan mới có điều kiện phù hợp để thực hiện công tác khoan (các tiêu chí xác định đảm bảo như trên);

- Lập biên bản xác định vị trí lỗ khoan theo thực tế;

- Báo cáo, xin phép chủ nhiệm đề án và cơ quan chủ trì về việc khoan tại vị trí mới;

- Biên bản thi công khoan tại vị trí thực tế;

3.1.1.1.3. Bước 3: đánh dấu vị trí lỗ khoan, làm đường, gia cố các khóa để cột chặt đế máy, gia cố nền đối với các khu vực đất yếu. Vật liệu gia cố gồm xi măng, cát sỏi, đá, nước được trộn đúng tỷ lệ, rải đều tạo nền khoan. Cấu tạo của nền khoan phải đảm bảo các yêu cầu sau đây:

a) Nền khoan chắc chắn, ổn định đảm bảo cho việc tiến hành công tác khoan trong suốt thời gian khoan;

b) Mặt nền khoan bằng phẳng, chắc chắn, thoát nước tốt;

c) Khi làm nền khoan phải tính đến các yếu tố ảnh hưởng của nền khoan với các nhân tố địa hình, địa chất, thủy văn, các hoạt động kinh tế, quốc phòng hoặc các công trình ở gần đó.

Bảng 1. Kích thước nền khoan đối với mỗi loại thiết bị

STT

Loại thiết bị

Kích thước (m)

Nền khoan

Sàn khoan

1

Bộ khoan tay

4 x 4

5 x 5

2

Máy khoan XY-100

4 x 6

5 x 7 x 1

3

Máy khoan XJ-100, GX-1T

4 x 6

5 x7 x 0,12

4

Máy khoan XU-300, CKB-4, CBA- 500

6 x 8

7 x 10

5

Máy khoan tư hành Ytb-50, ZUΦ - 150

6 x 10

7 x 10

6

Máy khoan bYKC-30, Ykb 12/25

3 x 3

4 x 4

3.1.1.2. Dựng tháp, lắp đặt hệ thống khoan

3.1.1.2.1. Các thao tác lắp đặt gồm:

a) Dựng tháp khoan: giáp nối tháp khoan, lắp ròng rọc, dựng tháp khoan, căn chỉnh tháp khoan vào đúng vị trí nền khoan;

b) Lắp đặt bệ máy khoan: dùng pa-lăng xích nâng bệ máy vào vị trí nền khoan;

c) Lắp đặt đầu nổ: dùng pa-lăng xích lắp đầu nổ vào bệ máy khoán, xiết chặt đai ốc đảm bảo máy không bị lệch;

d) Lắp bộ số và tời khoan;

đ) Lắp bộ đầu khoan.

3.1.1.2.2. Khi lắp máy khoan lên bệ cần đảm bảo các yêu cầu sau:

a) Lau chùi sạch các bộ phận của máy;

b) Kiểm tra và cho đầy đủ dầu mỡ vào các ổ và cơ cấu chuyển động cần bôi trơn theo đúng hướng dẫn kỹ thuật của từng loại máy;

c) Lắp đầy đủ các chi tiết của máy;

d) Xiết chặt các đinh ốc liên kết, nếu liên kết bằng hai đinh ốc trở lên phải vặn đều các ốc đối xứng nhau cho đến khi chặt.

3.1.1.2.3. Khi lắp hệ thống bơm dung dịch khoan cần chú ý các điểm sau:

a) Lắp đồng hồ đo áp lực dung dịch khoan;

b) Đặt đầu hút dung dịch dưới bề mặt từ 0,3 - 0,4 mét và không để rác làm tắc đầu hút;

c) Ống hút và ống đẩy của máy bơm phải chịu dược áp lực hút và áp lực đẩy tương ứng với loại máy bơm (không vượt quá công suất của máy).

3.1.1.2.4. Sau khi lắp đặt xong máy khoan cần tiến hành kiểm tra:

a) Độ chắc chắn và độ chính xác của các bộ phận máy;

b) Mức độ bôi trơn các bộ phận của thiết bị;

c) Trạng thái hoạt động của các cơ cấu truyền lực giữa các bộ phận máy như dây curoa, bánh răng, trục các-đăng cần phát hiện và loại trừ các vật lạ giữa các cấu kiện chuyển động;

d) Tình trạng dây cáp ở ròng rọc đỉnh tháp và dọc theo chân tháp;

đ) Tình trạng của phanh hãm, sự hoạt động bình thường của cần gạt hãm, má phanh (đĩa phanh có dầu, mỡ, nước phải lau khô);

e) Trạng thái kỹ thuật của máy nổ;

g) Tình trạng của các bộ phận bảo vệ an toàn;

h) Độ chính xác của trục khoan;

i) Đưa cần gạt điều khiển (hộp số) về vị trí 0 (chế độ không làm việc);

k) Sau khi kiểm tra và xử lý các sai lệch của máy xong mới cho máy chạy thử.

3.1.1.3. Chuẩn bị dung dịch khoan:

a) Xung quanh vị trí lỗ khoan tìm vị trí thích hợp để đào hố dung dịch, tiến hành đào hai hố phục vụ chứa dung dịch khoan: hố lắng là hố chứa dung dịch từ lỗ khoan chảy ra và một hố dùng để chứa dung dịch cấp cho lỗ khoan;

b) Các hố dung dịch này là phải được lót bạt chống thấm cẩn thận để tránh lẫn vật chất thô khác gây tắc bơm.

c) Tiến hành phối liệu dung dịch và trộn dung dịch để cho vào hố dung dịch chuẩn bị cho công tác thi công khoan.

3.1.2. Thi công khoan

3.1.2.1.Khoan mở lỗ, hạ ống vách

a) Khoan mở lỗ: khoan mở lỗ là công tác tạo lỗ định hướng để quá trình khoan được thực hiện một cách thuận lợi;

b) Khi khoan mở lỗ ở vùng ngập nước hoặc khoan vào những địa tầng không ổn định phải kết hợp công việc khoan lấy mẫu với việc hạ ống vách dẫn hướng vào tầng đất mềm bở khoảng 7-10m bằng cách đóng ống chống xuống nền sau đó lắp ống bù vào phía trên đầu ống để ngăn nước biển. Công việc đặt các ống này phải được chú ý đặc biệt để đảm bảo hướng của lỗ khoan;

c) Khi khoan mở lỗ lúc triều kiệt và tầng trầm tích ổn định: tiến hành khoan lấy mẫu bình thường đến độ sâu cần hạ ống vách, giáp nối ống vách dùng tời và thủy lực ép ống vách xuống.

d) Trước khi hạ ống vách phải đảm bảo các yêu cầu sau:

- Chuẩn bị đủ số lượng ống vách cần thiết;

- Kiểm tra quy cách ống vách: độ thẳng, đầu gen và đường kính ống;

- Phần gen đầu ống vách phải được cọ sạch bằng bàn chải sắt và được bôi trơn bằng mỡ;

- Sắp xếp các loại ống, ghi thứ tự các ống vách hạ xuống lỗ khoan. Khi hạ ống vách phải theo thứ tự đã ghi và hạ các ống vách mới và dài trước, ống vách cũ và ngắn hạ sau.

đ) Trong quá trình hạ ống vách cần phải tuân thủ các yêu cầu sau đây:

- Vặn chặt các ống vách với nhau, ống nào không vặn được hết gen thì không được hạ xuống lỗ khoan;

- Bảo vệ đầu gen, không được dùng vật rắn gõ vào đầu gen;

- Dùng quang treo, cáp và tời để hạ ống vách, không dùng dây thừng buộc trực tiếp vào ống vách để hạ;

- Dùng kẹp gỗ xiết chặt để giữ ống vách ở trên miệng lỗ khoan.

e) Trường hợp hạ ống vách khó khăn hoặc không hạ được đến độ sâu đã khoan, cần dùng biện pháp xoay hoặc kết hợp xoay và chất tải lên ống vách. Nếu xoay ống vách bằng kẹp gỗ phải xoay theo chiều kim đồng hồ và kết hợp vừa xoay vừa lắc để đề phòng nhả gen.

3.1.3. Kỹ thuật chống ống

Khi chống ống vách phải chú ý buộc chặt ống vách bằng cáp tời, ống vách dựng vuông góc với nền. Nếu trong quá trình chống ống mà gặp lớp bùn, phải đóng ống vách qua tầng bùn từ 3- 5m.

3.1.4. Kỹ thuật gia cố vách lỗ khoan

3.1.4.1. Gia cố vách lỗ khoan bằng ống vách

a) Những trường hợp khi gia cố vách lỗ khoan phải dùng ống vách:

- Khoan vào các tầng đất đá bở rời, bị tan rã khi sử dụng dung dịch sét;

- Dung dịch sét không đủ khả năng bảo vệ vách lỗ khoan;

- Khi khoan vào các thành tạo có độ rỗng lớn (sạn sỏi) gây mất lượng dung dịch sét lớn.

b) Căn cứ vào đặc điểm địa tầng của lỗ khoan, độ sâu lỗ khoan, phải lấy các loại mẫu đất, đá, đường kính ống lọc (nếu là khoan bơm hút nước) để lựa chọn số tầng ống vách và đường kính cuối cùng của ống vách.

c) Đối với các đoạn ống vách nằm tự do trong môi trường lỏng hoặc khí để dẫn hướng có chiều dài vượt quá chiều dài tự do cho phép phải có biện pháp chống cong và bảo đảm độ bền chống uốn bằng cách giảm chiều dài tự do, tăng thêm liên kết, đặt trong ống vách lớn hơn.

d) Nên dùng ống vách có đầu nối trong hoặc nối trực tiếp không có gờ ngoài, chỉ dùng các ống vách có đầu nối ngoài làm ống dẫn hướng (trong nước và trong không khí) hoặc để hạ trong lớp đất xốp, mềm yếu. Khi sử dụng loại ống vách này phải tính toán đầy đủ đến khả năng nhổ sau này.

3.1.4.2. Gia cố vách lỗ khoan bằng dung dịch sét (bentonit)

Trong suốt quá trình khoan đều dùng dung dịch sét để giữ thành lỗ khoan. Dung dịch được hòa trộn đúng tỷ lệ đảm bảo các tiêu chuẩn kỹ thuật ghi ở bảng 2.

Bảng 2. Thông số của dung dịch sét

Thông số của dung dịch sét

Đơn vị

Chỉ tiêu

-Trọng lượng thể tích đơn vị γ

g/cm 3

1,05 - 1,30

- Độ nhớt quy ước N

séc

20 - 25

- Hàm lượng cát C

%

Không lớn hơn 4

- Độ keo K

%

Không lớn hơn 5

- Độ ổn định B

g/cm 3

0,02

3.1.5. Kỹ thuật nâng dụng cụ khoan khi triều lên:

a) Khi triều lên ngang mặt sàn nền khoan phải dừng khoan và tiến hành nâng thiết bị tránh ngập nước; thiết bị khoan phải nâng cao hơn mức triều cao nhất.

b) Các thiết bị, dụng cụ được dùng để nâng dụng cụ khoan phải đồng bộ, được sắp xếp ngăn nắp, đảm bảo dễ thấy, dễ lấy.

c) Trước khi nâng dụng cụ khoan thực hiện những việc sau đây:

- Ngừng hoạt động hoặc ngừng quay cột dụng cụ khoan;

- Đo chiều dài cần khoan còn lại trên miệng lỗ khoan và tính độ sâu mũi khoan;

- Kiểm tra tời, dây cáp và các hệ thống móc nối của nó.

d) Các điểm cần lưu ý khi nâng dụng cụ khoan:

- Dùng quang treo hoặc măng xông móc vào đầu cần khoan cùng với dây cáp và tời để nâng dụng cụ khoan;

- Không được dùng tay trực tiếp nâng dụng cụ khoan. Không thả hoặc rút cờlê để cột dụng cụ khoan rơi tự do xuống đáy lỗ khoan;

- Khi giữ cột dụng cụ khoan ở miệng lỗ khoan để tháo lắp, không được dùng cờlê cần khoan mà phải dùng cờlê đuôi cá;

- Khi nâng - hạ cột dụng cụ khoan phải kéo hoặc hạ tời nhẹ nhàng, đều đặn, không được tăng hoặc giảm tốc độ một cách đột ngột. Khi dùng tời phải hãm từ từ, không được phanh đột ngột để tránh hiện tượng giật cáp, gây đứt cáp, gẫy phanh, phá tời, tụt mẫu.

3.1.6. Kỹ thuật khoan khi triều lên

Trong điều kiện thủy triều lên cao và thời gian kéo dài, phải tiến hành khoan trong điều kiện ngập nước để đảm bảo tiến độ chung.

Khi thiết kế sàn khoan bằng bê tông phải tham khảo bảng thủy triều sao cho mực nước triều cao nhất không vượt quá 50 cm so với nền sàn khoan.

Dùng tời nâng thiết bị khoan lên khỏi mặt sàn khoan bê tông, dùng gỗ hộp kích thước 15cm x 15cm x 200cm tạo sàn khoan bằng cách xếp song song cách nhau 10-30cm, lớp gỗ bên trên xếp vuông góc với lớp gỗ bên dưới đảm bảo đủ lực đỡ toàn bộ thiết bị khoan. Dùng vam sắt khóa các thanh gỗ để đảm bảo độ liên kết và sàn khoan không rung lắc khi vận hành máy khoan.

Nối dài ống chống, ống vách sao cho đầu ống vách cao hơn mực nước triều đảm bảo không để nước triều tràn vào lỗ khoan.

Sau khi hoàn thiện việc kê sàn gỗ, nâng thiết bị khoan và nâng ống chống lên độ cao mới, tiếp tục thi công khoan như quy định tại mục 3.1.2.

Việc thi công khoan khi triều lên chỉ là giải pháp tạm thời và trở lại hoạt động khoan bình thường khi nước rút.

3.1.7. Kỹ thuật lấy mẫu lõi khoan, mô tả và bảo quản mẫu

3.1.7.1. Kỹ thuật lấy mẫu lõi khoan:

a) Khi lấy mẫu lõi khoan yêu cầu phải kiểm tra một số điểm sau:

- Tùy từng loại đất đá mà lấy mẫu nguyên dạng hay không nguyên dạng; sử dụng dụng cụ lấy mẫu phù hợp;

- Đảm bảo lấy mẫu liên tục từ trên xuống dưới.

b) Khi khoan lấy mẫu tiếp, phải làm vệ sinh sạch mùn khoan dư thừa đến đúng độ sâu đã khoan của lần trước mới được phép khoan lấy mẫu (nếu độ sâu đã khoan có sự chênh lệch với cần khoan khi hạ xuống);

c) Dừng khoan, xác định độ sâu đổi tầng khi phát hiện có sự thay đổi địa tầng (thay đổi thành phần, tính chất trạng thái, nguồn gốc thành tạo);

d) Khi dừng khoan để nâng cần khoan phải đo phần cần khoan còn lại từ miệng lỗ để tính độ sâu lỗ khoan thực tế;

đ) Lấy ống khoan lên, bơm mẫu ra khay;

e) Sau khi xếp mẫu lõi khoan, khay mẫu được di chuyển vào vị trí an toàn phục vụ việc mô tả và bảo quản mẫu tiếp theo.

3.1.7.2. Mô tả và bảo quản mẫu lõi khoan

a) Tiến hành mô tả mẫu với đầy đủ các thông số yêu cầu. Các thông số cần mô tả trong nhật ký và trong thiết đồ lỗ khoan thực tế gồm:

- Số thứ tự lần khoan;

- Độ sâu khoan: khoan từ độ sâu đến độ sâu tính bằng (m);

- Chiều dài mẫu thu được, tỷ lệ lấy mẫu;

- Loại trầm tích (cát, bùn, sét, cát bùn); màu sắc; tỷ lệ % cát, bột, vụn sinh vật (màu sắc, kích thước, tính chất bảo tồn), mùn thực vật (xác định thân hay lá thực vật, màu sắc, tính chất phân hủy, bề dày); độ mài tròn-chọn lọc của cát, sỏi; tính chất phân lớp và thế nằm của trầm tích; sơ bộ xác định thành phần khoáng vật của cát, sạn, sỏi; xác định đá, laterit; tính chất cơ lý (dẻo, mềm, dẻo cứng, cứng); xác định ranh giới địa chất, các bề mặt phong hóa; dự đoán nguồn gốc và tuổi dự kiến.

b) Chụp ảnh mẫu thu được.

c) Sau khi mô tả xong, tiến hành bọc mẫu bằng túi nilon, xếp vào khay mẫu theo thứ tự từ trên xuống dưới, từ trái qua phải (tránh nhầm lẫn đầu cuối của đoạn mẫu), sau đó đánh số đoạn mẫu từ nhỏ đến lớn theo số tự nhiên.

d) Dùng thẻ gỗ viết các thông số: ký hiệu lỗ khoan, số lần khoan, độ sâu khoan thu được đặt vào cuối của lần khoan trong khay mẫu.

đ) Mẫu khoan được đựng trong khay khoan có nắp đậy để tránh ảnh hưởng của ánh sáng và nhiệt độ.

3.1.8. Các công tác sau khi khoan

3.1.8.1. Nhổ ống chống (ống vách)

Trước khi nhổ ống vách cần lưu ý một số vấn đề sau:

a) Bảo vệ đầu gen, không được dùng vật rắn gõ vào đầu gen;

b) Dùng quang treo, cáp và tời để nhổ ống vách, không được dùng dây thừng buộc trực tiếp vào ống vách để hạ hoặc nhổ ống vách;

c) Căn cứ vào sức nâng của tời mà định số lượng ống vách cẩu mỗi lần, không được cẩu quá sức nâng của tời;

d) Tuỳ theo trọng lượng của cột ống vách, lực ma sát dọc ống vách mà chọn một trong các biện pháp sau đây để nhổ ống vách:

- Phối hợp giữa lắc kẹp gỗ và dùng tời kéo ống vách lên;

- Dùng kích đến khi thấy nhẹ thì dùng tời kéo ống vách lên;

- Khi đã dùng các biện pháp trên mà vẫn không nhổ được thì dùng biện pháp đóng tạ ngược hoặc kết hợp kích và đóng tạ ngược để nhổ ống vách. Việc lựa chọn biện pháp nào để nhổ ống vách cũng phải dựa trên cơ sở tính toán về lực.

e) Nếu nhổ ống vách bằng tời, phải đảm bảo lực nhổ không vượt quá sức nâng cho phép của tời, cáp và sức chịu của giá khoan.

g) Khi nhổ ống vách bằng kích phải đảm bảo:

- Kích phải được kê trên các gối kê bằng phẳng, chắc chắn;

- Kích từ từ và đều để cho hai trục của kích lên bằng nhau.

h) Sau khi đã rút các ống vách lên khỏi lỗ khoan, rửa sạch, bôi mỡ vào gen để tăng độ bền của ống vách.

3.1.8.2. Tháo dỡ máy móc và vận chuyển

3.1.8.2.1. Yêu cầu chung cho việc tháo dỡ máy móc:

a) Khi tháo dỡ thiết bị máy móc phải được phun rửa sạch bằng nước ngọt và sắp xếp gọn gàng;

b) Không dùng búa lớn để tháo các bộ phận hoặc chi tiết máy, phải dùng đúng cỡ khóa để tránh bị trờn trượt bulông;

c) Đối với các bộ phận, chi tiết máy nhỏ dễ rơi (đinh ốc, miếng đệm, chốt, ống dẫn dầu các chi tiết khác) khi đã được tháo ra phải bảo quản cẩn thận;

d) Đối với các bộ phận chi tiết máy dễ bị hư hỏng, đứt gãy phải có biện pháp bảo vệ, che chắn;

d) Đối với các loại ống lộ ra ngoài như ống dẫn dầu ống xả phải che đậy đề phòng các vật nhỏ, bụi bẩn rơi vào;

đ) Tháo dỡ máy theo từng khối thiết bị như: các thiết bị truyền lực, bộ tời khoan, bộ hộp số, bộ đầu khoan, đầu nổ, đế khoan.

3.1.8.2.2. Đối với từng loại máy khoan:

a) Đối các máy khoan không thuộc dạng tự hành khi tháo dọn máy móc dụng cụ khoan cần theo trình tự sau:

- Xếp dọn dụng cụ khoan;

- Tháo thân máy khoan, máy bơm, máy nổ, khung đỡ;

- Tháo và hạ giá khoan.

b) Đối với các máy khoan tự hành khi kết thúc một lỗ khoan và chuyển sang vị trí khác phải thực hiện các yêu cầu sau:

- Tắt máy khoan và kéo tay gạt sang vị trí trung bình;

- Nếu khoan với dung dịch sét, cần rửa sạch máy khoan;

- Tắt máy bơm, sau đó tắt máy nổ;

- Thu dọn dụng cụ khoan;

- Hạ giá khoan;

- Nâng bệ đỡ sau của khung;

- Nâng kích đỡ.

c) Hạ tháp khoan:

- Đối với các loại giá khoan rời không gắn liền với máy khoan, nhất thiết phải tháo dỡ từ trên xuống dưới. Các thanh giằng liên kết ở hai chân cố định chỉ được tháo ra sau khi giá khoan đã được hạ xuống mặt đất;

- Đối với giá khoan của máy khoan tự hành, trước khi hạ giá khoan phải tháo đế tựa ở hai chân giá, kéo tay gạt sang vị trí hạ sau đó mới được hạ giá khoan.

3.1.8.2.3. Thu dọn dụng cụ khoan:

a) Xếp đặt riêng biệt các loại dụng cụ, ống vách, cần khoan;

b) Phân loại chất lượng dụng cụ cần sửa chữa, thay thế.

c) Kết hợp làm công tác bảo dưỡng và bảo vệ dụng cụ như lau chùi, tra mỡ vào các đầu ren, lắp các đầu bảo vệ vào ống vách.

3.1.8.2.4. Công tác vận chuyển:

a) Trước và sau khi vận chuyển máy móc, dụng cụ khoan đến công trình mới, phải tiến hành kiểm kê toàn bộ tài sản. Nếu dụng cụ thiếu, hỏng phải lập báo cáo gửi về đơn vị chủ quản để có phương án bảo dưỡng, mua sắm mới;

b) Trong quá trình vận chuyển phải đảm bảo các quy định về an toàn lao động.

3.1.8.3. Lấp lỗ khoan bãi triều

a) Dùng loại đất tương đương với loại đất của từng lớp đất trong lỗ khoan để lấp, riêng đối với phần lỗ khoan qua đá, dùng đất sét hoặc đất sét pha nặng để lấp;

b) Khi lấp bằng đất dính, phải đập nhỏ hoặc viên đất thành hòn có kích thước bằng 1/2 ~ 1/3 đường kính lỗ khoan;

c) Thả dần vật liệu vào lỗ khoan theo từng mét rồi kích ống vách lên từng mét cho đến khi lấp hết lỗ (tránh làm tắc lỗ khoan);

d) Lập biên bản sau khi lấp lỗ khoan, chôn cột vào hố khoan đánh dấu vị trí lỗ khoan (các thông số ghi trên cột: số hiệu lỗ khoan, tọa độ, ngày kết thúc).

3.2. Kiểm tra, theo dõi khoan

a) Cán bộ kỹ thuật thường xuyên kiểm tra, theo dõi kỹ thuật thi công khoan, tỷ lệ lấy mẫu khoan, độ sâu khoan, ghi chép mô tả mẫu lõi khoan, lập cột địa tầng lỗ khoan, sắp xếp mẫu khoan;

b) Sau khi kết thúc công tác khoan tại hiện trường, lập biên bản kết thúc lỗ khoan và biên bản nghiệm thu công trình khoan máy theo các quy định hiện hành.

3.3. Văn phòng thực địa

Công tác văn phòng thực địa được tiến hành trong một khoảng thời gian nhất định, gồm:

a) Sắp xếp các mẫu thu được vào khay đựng mẫu, viết nhãn mẫu cho từng lần khoan;

b) Hoàn thiện nhật ký khoan, tính toán tỷ lệ lấy mẫu;

c) Hoàn thiện cột địa tầng lỗ khoan.

3.4. Văn phòng sau thực địa và nghiệm thu, giao nộp kết quả

3.4.1. Văn phòng sau thực địa

a) Hoàn thành tài liệu thực địa gồm: nhật ký, bản đồ thực tế, thiết đồ khoan cho từng lỗ khoan, lập danh sách mẫu;

b) Hoàn chỉnh các tài liệu liên quan đến việc đình khoan, mở khoan, nghiệm thu thực địa.

3.4.2. Nghiệm thu và giao nộp kết quả thực địa

Sản phẩm giao nộp: nhật ký khoan, nhật ký địa chất (sổ mô tả lỗ khoan của kỹ thuật theo dõi khoan) thiết đồ lỗ khoan, mẫu lõi khoan đến độ sâu thực tế khoan được và các tài liệu liên quan khác.

Công tác nghiệm thu và giao nộp sản phẩm tuân thủ theo các quy định hiện hành.

4. QUY ĐỊNH KỸ THUẬT KHOAN BIỂN BẰNG GIÀN KHOAN TỰ CHẾ

4.1. Kỹ thuật thi công tại thực địa

4.1.1. Công tác chuẩn bị hiện trường

4.1.1.1. Lắp đặt giàn khoan, thiết bị khoan:

a) Lắp đặt giàn khoan:

- Kích thước mỗi phao: 2 x 6 x 1m, dùng 2 phao ghép lại bằng các thanh ghi, và ốc hãm chữ U. Khoảng cách các thanh ghi sao cho vừa đảm bảo độ ổn định của giàn khoan và đảm bảo máy khoan được đặt và bắt vào các thanh ghi, khoảng cách 2 phao cách nhau 0,9- 1m.

Hình 1. Sơ đồ lắp ghép phao nổi (nâng giàn khoan)

Ghi chú: 1- Khối liên kết các phao, 2- Thanh giằng, 3- Phao nổi, 4- Vị trí đặt máy khoan, 5- Vị trí lắp động cơ, 6- Tời neo, 7- Tháp khoan, 8- Phòng điều khiển, 9- Mặt cắt đứng theo chiều AB

- Tời neo: được bắt chặt vào 4 góc phao, sử dụng hệ thống bánh răng có cá trượt để cố định cáp neo.

- Hệ tuần hoàn:

b) Dung tích thùng chứa: 2 thùng × 12m 3 .

c) Máy bơm.

- Neo: sử dụng cho giàn khoan trên phao 6 neo  70kg, cáp neo dài 150m, 4 neo bố trí ở 4 góc, 2 neo bố trí ở 2 đầu gian khoan (theo chiều dòng chảy lúc triều lên và lúc triều xuống), neo được thả và kéo bằng tàu nhỏ.

- Lắp đặt hệ thống neo, tời neo, giá neo;

- Lắp đặt hệ thống chiếu sáng, thiết bị cứu sinh, cứu hỏa, an toàn lao động;

- Lắp đặt máy phát điện.

d) Lắp đặt thiết bị khoan, bao gồm:

- Dựng tháp khoan: sau khi giáp nối tháp khoan chắc chắn, lắp ròng rọc, dựng tháp khoan, căn chỉnh tháp khoan vào đúng vị trí nền khoan;

- Lắp đặt bệ máy khoan: dùng pa-lăng xích nâng bệ máy vào vị trí nền khoan;

- Lắp đặt đầu nổ: dùng pa-lăng xích lắp đầu nổ vào bệ máy khoan, xiết chặt đai ốc đảm bảo máy không bị lệch;

- Lắp bộ số và tời khoan;

- Lắp bộ đầu khoan;

- Lắp đặt hệ thống bơm dung dịch.

Hình 2. Sơ đồ lắp ghép giàn khoan (nhìn ngang)

đ) Công tác lắp đặt giàn khoan, thiết bị khoan cần:

- Lau chùi sạch các bộ phận, chi tiết của giàn khoan, thiết bị khoan;

- Tra dầu mỡ vào các ổ và cơ cấu chuyển động cần bôi trơn theo đúng hướng dẫn kỹ thuật của từng loại thiết bị;

- Lắp đầy đủ các chi tiết, bộ phận của giàn, thiết bị;

- Xiết chặt các đinh ốc liên kết, nếu liên kết bằng hai đinh ốc trở lên phải vặn đều các ốc đối xứng nhau cho đến khi chặt;

Hình 3. Sơ đồ lắp ghép sàn khoan (nhìn từ trên xuống)

 

- Sau khi lắp đặt xong, kiểm tra tính đồng bộ của hệ thống: tính cân bằng của hệ thống nổi, độ chắc chắn và độ chính xác của các bộ phận máy; độ bôi trơn các bộ phận của thiết bị; trạng thái hoạt động của các cơ cấu truyền lực giữa các bộ phận máy, cần phát hiện và loại trừ các vật lạ giữa các cấu kiện chuyển động.

4.1.1.2. Dẫn đường đưa giàn khoan vào vị trí thi công, neo cố định giàn khoan, xác định tọa độ, độ sâu đáy biển.

a) Sử dụng tàu lai dắt đưa giàn khoan vào khu vực thi công, công tác dẫn đường sử dụng định vị GPS có sai số từ 2-5m;

b) Sử dụng tàu dẫn đường đi đến đúng vị trí khoan (đã thiết kế), sau đó thả phao tiêu để đánh dấu vị trí;

c) Thả neo để giữ giàn khoan ở khu vực gần vị trí khoan;

d) Sử dụng tàu nhỏ để thả 4 neo đến các vị trí đã thiết kế: tại các vị trí thả neo phải thả phao tiêu (có đèn vào ban đêm) để báo hiệu cho các phương tiện hàng hải lưu thông trong khu vực;

đ) Sử dụng tời căn chỉnh dây neo để đưa giàn khoan vào đúng vị trí thiết kế;

e) Ghi chép tọa độ, độ sâu vị trí khoan;

g) Kiểm tra độ ổn định của hệ thống giàn trước khi tiến hành khoan: phải neo giàn tại vị trí khoan khoảng ½ ngày để kiểm tra độ ổn định của giàn, thường xuyên sử dụng định vị vệ tinh kiểm tra sự dịch chuyển của giàn; xác định các neo có độ bám đáy không tốt để có biện pháp khắc phục phù hợp, căn chỉnh dây neo, thả lại neo, thả thêm neo để tăng độ bám đáy.

Trường hợp vị trí lỗ khoan thiết kế không đáp ứng được các yêu cầu cần thiết để tiến hành khoan, phải tiến hành các thủ tục thay đổi vị trí khoan như mục 3.1.1.1.

4.1.2. Thi công khoan

4.1.2.1. Lựa chọn phương pháp khoan

a) Lựa chọn phương pháp khoan đảm bảo các yêu cầu sau đây:

- Phát hiện chính xác địa tầng, lấy được các loại mẫu đất, đá;

- Đạt năng suất khoan cao, hao phí vật tư ít và tiến độ thi công nhanh;

- Đảm bảo kỹ thuật và an toàn lao động.

b) Trong quá trình khoan phải theo dõi liên tục hiệu quả của phương pháp khoan đã dùng để kịp thời điều chỉnh hoặc thay đổi phương pháp khoan đạt yêu cầu đã đề ra.

4.1.2.2. Khoan mở lỗ

Khoan mở lỗ là tạo lỗ định hướng trong quá trình khoan. Đối với việc khoan mở lỗ ở vùng ngập nước phải kết hợp công việc khoan với việc hạ ống vách dẫn hướng vào tầng đất mềm bở khoảng 1,5m đến 2m bằng cách đóng ống chống xuống nền. Sau đó lắp ống bù vào phía trên đầu ống để ngăn nước biển. Công việc đặt các ống này phải được chú ý đặc biệt để đảm bảo hướng của lỗ khoan.

4.1.2.3. Các phương pháp khoan

a) Khoan đóng: để lấy mẫu sét khá rắn và dẻo, cố kết khá vững chắc. Đây là phương pháp đóng ống mẫu xuống địa tầng để lấy mẫu nguyên dạng. Lần đóng giới hạn trong khoảng 0,45m/lần.

b) Khoan nén: là dùng áp lực dụng cụ khoan để nén ống mẫu xuống địa tầng để lấy mẫu. Khoan nén để lấy mẫu sét dẻo. Lần tối ưu là 0,4m/lần.

Bảng 3. Đường kính khoan đối với một số loại đất đá

Tính chất đất đá

Đường kính khoan

 

93

112

132

151

 

Áp lực đáy (kg/cm2)

Đất đá cấp IV -VII

360-800

360-800

480-900

480-900

Đất đá cấp IV -VII, xen kẽ có mài mòn

960-1200

960-1200

1200-1800

1200-1800

Đất đá mài mòn

960-1600

960-1600

1200-1800

 

Đất đá mài mòn nứt nẻ

1200-1300

1800-2000

1800-2000

 

 

Vận tốc quay (vòng/phút)

Đất đá cấp IV - VII

250-350

200-280

160-230

130-180

Đất đá cấp IV - VII, xen kẽ có mài mòn

230-330

180-250

140-200

110-160

Đất đá mài mòn

150-250

110-130

90-160

80-130

Đất đá mài mòn có nứt nẻ

150-250

110-170

90-140

70-120

 

Lưu lượng nước rửa (lít/phút)

Tất cả đất đá

90-110

110-130

115-160

150-180

c) Khoan xoay: là khoan bằng ống mẫu nguyên dạng để lấy mẫu sét, cát, đá.

4.1.2.4. Kỹ thuật gia cố vách lỗ khoan, chống mất nước và ngăn nước trong lỗ khoan

a) Gia cố vách lỗ khoan bằng dung dịch sét (bentonit): khi khoan thăm dò dùng dung dịch sét (bentonít) để giữ thành lỗ khoan.

b) Gia cố vách lỗ khoan bằng ống vách trong những trường hợp sau đây:

- Khoan vào các tầng đất đá bở rời, bị tan rã khi sử dụng dung dịch sét;

- Dung dịch sét không đủ khả năng bảo vệ vách lỗ khoan;

- Ngăn cách các lớp chứa nước để nghiên cứu địa chất thủy văn, tính nứt nẻ và tính thấm của các tầng đất đá bằng phương pháp thí nghiệm ngoài trời;

Bảng 4. Các thông số của dung dịch sét

Thông số của dung dịch sét

Đơn vị

Chỉ tiêu

- Trọng lượng thể tích đơn vị γ

g/cm 3

1,05 - 1,30

- Độ nhớt quy ước N

séc

20 - 25

- Hàm lượng cát C

%

Không lớn hơn 4

- Độ keo K

%

Không lớn hơn 5

- Độ ổn định B

g/cm 3

0,02

Căn cứ vào đặc điểm địa tầng của lỗ khoan, độ sâu lỗ khoan, yêu cầu lấy các loại mẫu đất, đá, đường kính ống lọc (nếu là khoan bơm hút nước) để lựa chọn số tầng ống vách và đường kính cuối cùng của ống vách.

c) Đối với các đoạn ống vách nằm tự do trong môi trường lỏng hoặc khi để dẫn hướng có chiều dài vượt quá chiều dài tự do cho phép thì có biện pháp chống cong và bảo đảm độ bền chống uốn bằng cách giảm chiều dài tự do, tăng thêm liên kết, đặt trong ống vách lớn hơn.

d) Nếu khoan ở trong khu vực có nước chảy mạnh hoặc có sóng to thì phải xét đến ảnh hưởng của lực ngang có thể xảy ra đối với đoạn ống tự do và có biện pháp xử lý thích đáng.

Bảng 5. Chiều sâu đặt ống vách trong đất

Loại ống

vách

Đất dính cứng hoặc dẻo cứng Đất rời chặt, sỏi, cuội (ứng với ma sát vách ống là 4T/m2)

Đất dính dẻo chảy hoặc chảy. Đất rời, xốp, bở bão hoà nước (ứng với ma sát vách ống 2T/m2)

Ø146

< 16m

< 30m

Ø127

< 19m

< 38m

Ø108

< 22m

< 44m

Ø 91

< 26m

< 52m

Ø 75

< 32m

< 64m

đ) Nên dùng ống vách có đầu nối trong hoặc nối trực tiếp không có gờ ngoài, chỉ dùng các ống vách có đầu nối ngoài làm ống dẫn hướng (trong nước và trong không khí) hoặc để hạ trong lớp đất xốp, mềm yếu. Khi sử dụng loại ống vách này phải tính toán đầy đủ đến khả năng nhổ sau này.

Bảng 6. Chiều dài tự do cho phép của ống vách kê

- Ở các sơ đồ trên chỉ tính với trường hợp ống vách đủ chịu lực nén do tải trọng bản thân;

- Các sơ đồ ở bảng 6 ứng với các trường hợp liên kết sau:

Sơ đồ A - Phần chân ống vách được ngàm chặt trong đất, đá cứng sâu trên 2m và đầu trên của ống ở trạng thái tự do không có liên kết giữ.

Sơ đồ B - Phần dưới của ống được đặt trong các loại đất xốp mềm hoặc trong đất đá cứng nhưng không sâu tới 2m. Đầu trên của ống có liên kết chống chuyển vị ngang.

Sơ đồ C - Phần dưới ống được ngàm chặt như sơ đồ A. Đầu trên của ống có liên kết như sơ đồ B.

e) Chống mất nước trong lỗ khoan: Khi khoan có bơm rửa bằng dung dịch sét, nếu phát hiện thấy có hiện tượng mất nước thì chọn một trong những phương pháp dưới đây để chống sự mất nước trong lỗ khoan, nhưng không ảnh hưởng đến mục đích và yêu cầu thăm dò:

- Nhồi đất sét để trám vết nứt hoặc lỗ hổng;

- Hạ ống vách.

g) Khi mất nước ở gần đáy lỗ khoan và tầng bị mất nước mỏng thì nhồi đất sét hoặc vữa xi măng xuống đáy lỗ khoan.

h) Nếu mất nước từng phần, dùng dung dịch sét đặc để khoan. Khi mất nước toàn phần dùng ống vách. Chỉ trong trường hợp đặc biệt có yêu cầu trong đề cương khoan hoặc khoan vào tầng đá nứt nẻ nhiều và ở khu vực khoan có nhiều lỗ khoan mới dùng vữa xi măng để ngăn nước hoặc chống mất nước.

4.1.2.5. Kỹ thuật nâng và hạ dụng cụ khoan

a) Các thiết bị, dụng cụ được dùng để nâng hạ dụng cụ khoan phải đồng bộ và được sắp xếp ngăn nắp, đảm bảo dễ thấy, dễ lấy;

b) Trước khi nâng hạ dụng cụ khoan phải làm những việc sau đây;

c) Ngừng hoạt động hoặc ngừng quay cột dụng cụ khoan;

d) Đo chiều dài cần khoan còn lại trên miệng lỗ khoan và tính độ sâu mũi khoan;

đ) Kiểm tra tời, dây cáp và các hệ thống móc nối của nó.

Trường hợp khoan máy có bơm rửa, sau khi ngừng quay cột dụng cụ khoan phải tiếp tục bơm nước, rửa sạch mẫu dư trong lỗ khoan, khi lấy mẫu thì tiến hành chèn và cắt mẫu rồi mới nâng dụng cụ khoan lên.

e) Khi nâng hạ dụng cụ khoan phải dùng quang treo hoặc măng xông móc vào đầu cần khoan cùng với dây cáp và tời.

g) Không dùng tay trực tiếp nâng hạ dụng cụ khoan, không thả hoặc rút cờlê để cột dụng cụ khoan rơi tự do xuống đáy lỗ khoan.

h) Khi giữ cột dụng cụ khoan ở miệng lỗ khoan để tháo lắp, không dùng cờlê cần khoan mà phải dùng cờlê đuôi cá.

i) Khi nâng hạ cột dụng cụ khoan phải kéo hoặc hạ tời từ từ, không được tăng hoặc giảm tốc độ một cách đột ngột. Khi dùng tời phải hãm từ từ, không phanh đột ngột để tránh hiện tượng giật cáp, gây đứt cáp, gẫy phanh, phá tời.

4.1.2.6. Kỹ thuật hạ và nhổ ống vách

a) Trước khi hạ ống vách:

- Đo và kiểm tra độ sâu và đường kính lỗ khoan;

- Rửa sạch mùn khoan;

- Đối với những lỗ khoan sâu cần kiểm tra độ cong của lỗ khoan và xác định độ sâu chuyển đường kính lỗ khoan;

- Chuẩn bị đủ số lượng ống vách cần thiết. Kiểm tra quy cách ống vách, độ thẳng đầu ren và đường kính;

- Phần ren đầu ống vách phải được cọ sạch bằng bàn chải sắt và được bôi trơn bằng mỡ;

- Sắp xếp các loại ống, ghi thứ tự các ống vách sẽ hạ xuống lỗ khoan. Khi hạ ống vách phải theo thứ tự đã ghi và chú ý hạ các ống vách mới và dài trước, ống vách cũ và ngắn hạ sau.

b) Trong quá trình hạ hay nhổ ống vách phải:

- Vặn chặt các ống vách với nhau, ống nào không vặn được hết ren thì không được hạ xuống lỗ khoan;

- Bảo vệ đầu ren, không được dùng vật rắn gõ vào đầu ren;

- Dùng quang treo, cáp và tời khi nhổ hay hạ ống vách, không dùng dây thừng buộc trực tiếp vào ống vách để hạ hoặc nhổ ống vách;

- Căn cứ vào sức nâng của tời mà định số lượng ống vách cẩu mỗi lần, không được cẩu quá sức nâng của tời;

- Dùng kẹp gỗ xiết chặt để giữ ống vách ở trên miệng lỗ khoan.

c) Trường hợp hạ ống vách khó khăn hoặc không hạ đến độ sâu đã khoan thì phải dùng biện pháp xoay hoặc kết hợp xoay và chất tải lên ống vách. Nếu xoay ống vách bằng kẹp gỗ phải xoay theo chiều kim đồng hồ và kết hợp vừa xoay vừa lắc để đề phòng nhả ren.

d) Khi hạ ống vách trong bất kỳ trường hợp nào đều không được dùng búa tạ để đóng ống vách xuống lỗ khoan.

đ) Khi hạ nhiều lớp ống vách, nếu có trường hợp xoay lớp ống trong mà lớp ống ngoài cũng xoay thì có thể áp dụng một trong các biện pháp xử lý sau đây:

- Giữ chặt lớp ống ngoài và kéo lớp ống trong lên một đoạn (có thể đóng ngược nhẹ). Sau đó tiếp tục hạ lớp ống trong bằng cách xoay lắc;

- Chất tải và xoay lắc lớp ống ngoài cho di động một khoảng nhỏ;

- Kéo một hoặc cả hai lớp ống vách lên;

e) Khi nhổ ống vách nếu trong lỗ khoan có nhiều tầng ống vách phải nhổ tầng ống vách có đường kính nhỏ trước, to sau.

g) Tuỳ theo trọng lượng của cột ống vách, lực ma sát dọc ống vách mà chọn dùng một trong các biện pháp sau đây để nhổ ống vách:

- Phối hợp giữa lắc kẹp gỗ và dùng tời kéo ống vách lên;

- Lúc đầu dùng kích đến khi thấy nhẹ thì dùng tời kéo ống vách lên;

- Khi đã dùng các biện pháp trên mà vẫn không nhổ được thì dùng biện pháp đóng tạ ngược hoặc kết hợp kích và đóng tạ ngược để nhổ ống vách.

Khi khoan ở những nơi có nước thủy triều lên xuống thì lợi dụng lúc nước thủy triều lên mà kích ống vách. Trong trường hợp này phải thường xuyên theo dõi độ chìm của phao khoan. Nếu độ chìm của phao khoan vượt quá mớn nước an toàn thì phải tháo kẹp ngang.

h) Việc lựa chọn biện pháp để nhổ ống vách phải dựa trên cơ sở tính toán về lực.

Nếu nhổ ống vách bằng tời, phải đảm bảo lực nhổ không vượt quá sức nâng cho phép của tời, cáp và sức chịu của giá khoan. Khi nhổ ống vách bằng kích phải tuân thủ các yêu cầu sau:

- Kích phải được kê trên các gối kê bằng phẳng, chắc chắn;

- Kích từ từ và đều để cho hai trục của kích lên bằng nhau;

- Nếu chân cột ống vách đã được trám xi măng để thực hiện công tác cách nước thì trước khi nhổ ống vách phải cắt rời đoạn ống vách đó;

- Sau khi đã rút các ống vách lên khỏi lỗ khoan, phải rửa sạch sẽ, bôi mỡ vào ren để tăng độ bền của ống vách.

4.1.2.7. Lấy mẫu đất, đá

a) Trong quá trình khoan, căn cứ vào đặc điểm địa tầng cũng như các yêu cầu đã được quy định trong đề cương khoan để quyết định lấy các loại mẫu đất, đá, nước.

b) Công tác lấy mẫu đất, đá, nước phải đảm bảo các yêu cầu chung sau đây:

- Sử dụng đúng phương pháp lấy mẫu và dụng cụ lấy mẫu đối với các loại đất, đá;

- Lấy mẫu liên tục từ trên xuống dưới;

- Dừng khoan, xác định độ sâu đổi tầng và lấy mẫu khi phát hiện có sự thay đổi địa tầng (thay đổi thành phần, tính chất trạng thái, nguồn gốc thành tạo...);

- Ghi chép đầy đủ về tình hình lấy mẫu vào nhật ký khoan và phiếu mẫu;

- Thực hiện đầy đủ các yêu cầu đóng gói, bảo quản, vận chuyển và giao nhận mẫu.

4.2. Kiểm tra, theo dõi khoan

a) Cán bộ kỹ thuật thường xuyên kiểm tra, theo dõi kỹ thuật thi công khoan, tỷ lệ lấy mẫu khoan, độ sâu khoan, ghi chép mô tả mẫu lõi khoan, lập cột địa tầng lỗ khoan, sắp xếp mẫu khoan;

b) Sau khi kết thúc công tác khoan tại hiện trường, lập biên bản kết thúc lỗ khoan và biên bản nghiệm thu công trình khoan máy theo các quy định hiện hành.

4.3. Văn phòng thực địa

Công tác văn phòng thực địa được tiến hành trong một khoảng thời gian nhất định, gồm:

a) Sắp xếp các mẫu thu được vào khay đựng mẫu, viết nhãn mẫu cho từng lần khoan;

b) Hoàn thiện nhật ký khoan, tính toán tỷ lệ lấy mẫu;

c) Hoàn thiện cột địa tầng lỗ khoan.

4.4. Văn phòng sau thực địa và nghiệm thu, giao nộp kết quả

4.4.1. Văn phòng sau thực địa

a) Hoàn thành tài liệu thực địa gồm: nhật ký, bản đồ thực tế, thiết đồ khoan cho từng lỗ khoan, lập danh sách mẫu;

b) Hoàn chỉnh các tài liệu liên quan đến việc đình khoan, mở khoan, nghiệm thu thực địa.

4.4.2. Nghiệm thu và giao nộp kết quả thực địa

Sản phẩm giao nộp: nhật ký khoan, nhật ký địa chất (sổ mô tả lỗ khoan của kỹ thuật theo dõi khoan) thiết đồ lỗ khoan, mẫu lõi khoan đến độ sâu thực tế khoan được và các tài liệu liên quan khác.

Công tác nghiệm thu và giao nộp sản phẩm tuân thủ theo các Quy định hiện hành.

5. QUY ĐỊNH KỸ THUẬT KHOAN BIỂN VEN BỜ BẰNG PHƯƠNG PHÁP KHOAN THỔI

5.1. Kỹ thuật thi công tại thực địa

5.1.1. Lắp đặt thiết bị khoan thổi

a) Làm sàn khoan: tạo ra một sàn khoan bằng gỗ nhô ra khỏi đuôi tàu 1,5m (kích thước chiều ngang 2,5m) đỡ bằng 5-6 xà gỗ kéo dài dọc theo tàu. Các xà gỗ được gắn với phần đuôi tàu bằng đai ốc, đinh, dây buộc và được giằng với nhau bằng các thanh xà gỗ ngang ở 2 đầu đảm bảo tạo hệ khung vững chắc, chịu lực đồng đều và an toàn cho thi công khoan;

b) Dựng tháp khoan: 2 chân tháp nằm dọc theo 2 cây xà gỗ phía ngoài đuôi tàu, một chân tháp nẳm vào chính giữa, phần đuôi tàu. Đóng đinh cố định vị trí 2 chân tháp khoan phía ngoài xuống sàn khoan. Treo pa-lăng xích vào bát khoan;

c) Điều chỉnh tháp khoan: Xác định chiều cao của tháp khoan đến mặt sàn: khoảng 2,7-2,8m. Điều chỉnh tháp khoan (chân, độ cao của chân tháp) để ống nối rơi vào tâm khe hở đã để sẵn (sử dụng dây dọi, dây xích pa-lăng và cần khoan);

d) Vận hành kiểm tra máy bơm nước: Sử dụng ở nơi có nguồn cung cấp nước. Kiểm tra máy bơm (bộ lọc gió, van dầu, dầu nhớt, xăng) để đảm bảo tình trạng an toàn; kiểm tra hoạt động của máy bơm nước: hút và bơm nước ra bình thường;

đ) Vận hành kiểm tra máy bơm hơi: kiểm tra máy bơm (bộ lọc gió, van dầu, dầu nhớt, xăng) để đảm bảo tình trạng an toàn; vận hành thử và kiểm tra đồng hồ báo áp suất của bình nén, kim đồng hồ tăng và khi áp suất đạt 6 KgN/cm 2 van an toàn xả hơi là đạt yêu cầu;

e) Kiểm tra kết nối giữa các máy bơm với dây dẫn: hơi khí nén và nước thoát ra đều tại đầu phun là đạt yêu cầu;

g) Sắp đặt cần khoan: cần khoan gồm 2 loại có độ dài khác nhau: loại dài 1m và loại dài 2m. Sắp xếp riêng 2 loại cần khoan này dọc theo mạn tàu để tiện khi sử dụng, thao tác. Đầu nối ngoài nằm về phía cuối tàu, đầu nối trong nằm phía mũi tàu để tiện thao tác khi lấy cần và nối cần.

5.1.2. Định vị vị trí khoan

a) Dùng máy định vị GPS cầm tay để xác định tọa độ chính xác vị trí khoan (đặt máy tại nơi thả cần khoan) theo yêu cầu của công tác trắc địa;

b) Sử dụng thuyền nhỏ đưa neo phụ (neo lái) ra cách ngang đuôi tàu về 2 phía khoảng 30-50m (tùy thuộc vào độ sâu của nước biển, độ sâu nhỏ thì khoảng cách phải tăng lên) để thả neo;

c) Điều chỉnh các dây neo phụ căng vừa đủ để tàu ổn định vị trí;

d) Sai số định vị vị trí lỗ khoan cho phép so với thiết kế ±30m.

5.1.3. Thả nối cần khoan

a) Dùng kìm cá sấu để thả lưỡi khoan + cần khoan đầu tiên, dùng vinca để giữ cần không rơi xuống biển;

b) Dùng cần loại 2m để nối vào cần đã thả lần trước: một người giữ vinca, một người dùng kìm cá sấu để hãm đấu nối ngoài, hai người dựng cần thẳng và xoay để ăn ren; khi đã ăn ren tương đối chặt, một người giữ cần khoan thẳng, người kia dùng kìm cá sấu quay cần khoan phía trên để đảm bảo nối chặt giữa 2 đoạn cần khoan;

c) Dùng kìm cá sấu để nâng cần khoan lên, người giữ vinca, rút vinca ra và đặt lên phía trên của đầu nối ngoài cần dưới;

d) Dùng kìm cá sấu hạ cần khoan xuống từ từ, khi còn 50cm cuối cùng một người sử dụng kìm cá sấu cặp vào đầu trong của ống nối và hạ xuống đến vinca đỡ nhẹ nhàng (giữ cố định vinca định hướng cho cần khoan);

đ) Tiếp tục dùng cần khoan 2m thao tác nối cần, thả cần như các bước ở trên cho đến khi đầu lưỡi khoan và hệ cần khoan chạm đáy biển;

e) Xác định độ sâu thực tế bằng cách dựa vào số cần khoan, lưỡi khoan và khoảng cách từ sàn khoan xuống mặt biển, độ cao cần khoan còn lại so với sàn khoan.

5.1.4. Vận hành máy bơm hơi, bơm nước, kiểm tra kết nối giữa dây dẫn và thiết bị cung cấp nước khí

Công tác này được tiến hành đồng thời trong quá trình thả và nối cần khoan.

5.1.5. Thao tác khoan

a) Trong suốt quá trình khoan, lấy mẫu, luôn đảm bảo giữ ổn định hướng của cần khoan, an toàn cho thiết bị và người thi công;

b) Dùng kìm cá sấu quay cần khoan để lưỡi khoan cắt và ăn vào trầm tích đáy;

c) Đặt đầu bò vào trong đầu trên của ống chống; sau đó luồn đầu phun (lưỡi khí+nước) qua đầu bò vào trong lòng cần khoan;

d) Thả đầu phun và dây xuống chạm sát đáy biển;

đ) Điều khiển máy bơm nước và bơm hơi mở van, van nước và van hơi mở vừa phải;

e) Dùng túi vải (hoặc xô nhựa tùy đối tượng lấy mẫu theo yêu cầu) thay nhau hứng hỗn hợp nước + khí + trầm tích từ đầu ra của đầu bò; trong quá trình này công nhân khoan vẫn dùng kìm cá sấu để xoay cần khoan để lưỡi khoan cắt vào trầm tích đáy;

g) Liên tục kéo thả dây dẫn hơi + nước để tạo áp lực và tránh đầu phun bị kẹt trong trầm tích; mẫu ra được hứng trong túi vải hoặc xô nhựa được chuyển ra cho bộ phận lấy mẫu xử lý;

h) Khi khoan hết phải kéo dây lên đồng thời đóng van bơm hơi và van bơm nước; mở van xả thứ 2 trước khi đóng van xả cung cấp nước cho đầu phun.

i) Bộ phận lấy mẫu ép nước ra khỏi túi vải, sau đó trút mẫu vào trong các túi nylon. Nhãn mẫu được ghi theo số hiệu lỗ khoan/độ sâu khoan theo mét;

k) Thực hiện lặp lại các bước trên cho đến khi kết thúc khoan. Trong quá trình khoan, phải theo dõi thành phần trầm tích phun lên trong quá trình thả kéo dây để báo cho đội trưởng (kỹ sư địa chất) biết vị trí, lượng bùn sét gặp để xử lý lấy mẫu lại khi cần thiết;

l) Kết thúc khoan khi thiết bị lấy mẫu không đạt yêu cầu kỹ thuật đề ra do (bùn quá dày hoặc gặp sét cứng, sạn sỏi). Phải kéo dây và đầu phun lên đồng thời khóa van máy bơm, tắt công tắc máy bơm. Duy trì máy bơm nước để rửa sàn các đầu nối, cần khoan để làm sạch và tháo cần dễ dàng.

Trong quá trình khoan, cần liên tục theo dõi màu của hỗn hợp khí+nước+trầm tích để mô tả, ghi vào nhật ký. Luôn theo dõi gió, dòng chảy, mức độ thay đổi vị trí của tàu, sàn khoansovới hệ cần khoan để kịp thời xử lý khi có sự cố.

...

Hình 4. Nguyên lý hoạt động của phương pháp khoan thổi

5.1.6. Lấy tháo cần khoan

5.1.6.1. Trong trường hợp bình thường:

a) Kéo đầu phun ra khỏi cần khoan và đầu bò; tháo đầu bò ra khỏi đầu cần khoan; sử dụng đầu phun để dùng nước làm vệ sinh sàn khoan;

b) Dùng ống nối kéo (phần trên hàn liền tạo móc nối);

c) Hạ xích kéo của pa-lăng đến khi móc được vào đầu nối ống kéo; kéo xích pa-lăng để nâng hệ cần khoan lên tới khi toàn bộ 1 cần qua khỏi mặt đỡ vinca; giữ vinca rút vinca ra khỏi cần khoan phía trên và đặt xuống dưới đầu ống nối ngoài của cần khoan phía dưới;

d) Hạ xích kéo pa-lăng để tháo móc xích kéo khỏi đầu ống kéo; dùng nước bơm để rửa sạch cần khoan phía trên và sạch bùn cát tại vị trí nối cần khoan;

đ) Giữ cần khoan phía trên, dùng kìm cá sấu để tháo cần khoan phía trên khỏi hệ cần phía dưới;

e) Tháo đầu ống nối kéo khỏi cần khoan vừa được tháo, xếp cần khoan vào vị trí quy định;

g) Nắp đầu ống nối kéo vào hệ cần khoan phía dưới, thực hiện lại các bước nêu trên đến khi lấy toàn bộ hệ cần khoan, lưỡi khoan lên tàu;

h) Làm vệ sinh toàn bộ sàn khoan, khu vực làm việc, rửa nước ngọt sơ bộ cho máy bơm nước và máy bơm hơi.

5.1.6.2.Trường hợp bất thường, có sự cố:

a) Xử lý tình huống khi đổi gió, đổi dòng, cày neo làm tàu bị dạt, hệ cần khoan bị nghiêng và có khả năng bị bẻ gãy, phải thu toàn bộ hệ cần khoan, lưỡi khoan lên khỏi mặt đáy biển.

b) Đình khoan khi có sự cố:

- Rút dây dẫn và đầu phun khỏi hệ cần, khóa van bơm hơi, tháo đầu bò;

- Sử dụng kìm cá sấu để nâng toàn bộ hệ cần khoan lên (vừa xoay vừa nâng) cho đến khi 2 đoạn cần 1m vượt khỏi mặt đỡ vinca (giữ vinca chắc và xử lý khi đoạn cần phía trên vướt lên khỏi mặt sàn);

- Chuyển vinca xuống phía dưới đoạn nối ngoài của hệ cần phía dưới; thao tác gỡ đồng thời 2 cần phía trên khỏi hệ cần phía dưới;

- Tiếp tục dùng 4 kìm cá sấu để nâng hệ cần khoan lên như bước 2 và bước 3; Khi gặp cần 2m thì tháo từng cần một;

- Có thể tiếp tục dùng vinca để nâng/tháo hệ cần khoan hoặc sử dụng Pa-lăng xích kéo để đưa toàn bộ hệ cần khoan lên trên tàu một cách tuần tự;

- Tháo các đoạn gồm 2 ống 1m ra, sắp xếp cần khoan, làm vệ sinh sàn khoan, các thiết bị khác.

5.1.7. Kết thúc thi công

Nhổ neo để di chuyển đến vị trí lỗ khoan tiếp theo hoặc đến vị trí nơi yên sóng hoặc di chuyển vào bờ.

5.2. Kiểm tra, nghiệm thu kết quả tại thực địa

Trong quá trình khoan, đội trưởng kỹ thuật theo dõi khoan, kiểm tra chất lượng từng công đoạn vận hành thiết bị khoan, kiểm tra thu thập tài liệu, ghi chép nhật ký khoan, nhật ký địa chất, mẫu khoan.

5.3. Văn phòng thực địa

a) Chỉnh lý lại nhật ký (xem mẫu, hoàn thiện mô tả, các hình vẽ trong nhật ký);

b) Kiểm tra hiện trạng mẫu: kiểm tra nhãn mẫu các loại;

c) Sắp xếp mẫu theo thứ tự, lập cột địa tầng các lỗ khoan; dự kiến mẫu gửi các loại;

d) Liên kết các lỗ khoan, sơ bộ đánh giá kết quả đợt khảo sát;

đ) Trao đổi, rút kinh nghiệm cho quá trình tổ chức thi công; kiểm tra máy móc, thiết bị, mua thêm lương thực, thực phẩm;

e) Làm vệ sinh, rửa ngọt các thiết bị khoan, tra dầu, mỡ.

5.4. Văn phòng sau thực địa và nghiệm thu, giao nộp kết quả

5.4.1. Văn phòng sau thực địa

a) Thành lập bản đồ tài liệu thực tế;

b) Lập sổ mẫu gửi phân tích các loại: độ hạt, vật liệu xây dựng, trọng sa;

c) Báo cáo kết quả thực hiện công tác khoan biển theo công nghệ khoan thổi.

5.4.2. Nghiệm thu và giao nộp kết quả thực địa

Công tác nghiệm thu và giao nộp sản phẩm tuân thủ theo các Quy định hiện hành. Sản phẩm giao nộp: nhật ký khoan, nhật ký địa chất, thiết đồ lỗ khoan, mẫu lõi khoan thu được.

6. QUY ĐỊNH KỸ THUẬT LẶN LẤY MẪU TRẦM TÍCH BIỂN NÔNG

6.1. Kỹ thuật thi công tại thực địa

6.1.1. Định vị vị trí lặn

a) Nhập tọa độ vị trí lặn vào máy định vị dẫn đường của tàu;

b) Lập hành trình khảo sát theo ngày; điều chỉnh hành trình cho phù hợp với dòng chảy, hướng gió, hướng sóng đảm bảo điều kiện tốt nhất cho đội khảo sát;

c) Tính toán hướng và vận tốc gió, dòng chảy, sóng để xác định vị trí thả neo sao cho khi sau khi tàu ăn neo, điều chỉnh tàu vào vị trí thiết kế. Sai số định vị vị trí cho phép ± 50m.

6.1.2. Thả tim lặn

Sau khi tàu ăn neo, ổn định vị trí, thợ lặn phụ hỗ trợ lặn thả tim lặn xuống đáy biển.

6.1.3. Lặn sử dụng thiết bị lấy mẫu

a) Trong quá trình chờ thả tim lặn, thợ lặn khởi động, mang thiết bị lặn, đeo đai chì, kiểm tra áp suất bình khí nén hoặc dây dẫn khí và chuẩn bị thiết bị lấy mẫu mang theo người;

b) Đội trưởng khảo sát hoặc kỹ sư trắc địa thông báo độ sâu đáy biển, số lượng mẫu cần lấy hoặc những điểm cần lưu ý khi khảo sát dưới đáy biển;

c) Thợ lặn lần lượt mang dụng cụ lấy mẫu lặn xuống đáy biển;

d) Lấy mẫu mặt: thợ lặn dùng xẻng chuyên dụng để lấy mẫu mặt (đến độ sâu khoảng 20cm) cho vào bao (khoảng 20-30kg) dùng dây buộc lại và cột vào tim lặn.

6.1.4. Lấy mẫu trầm tích đáy biển theo độ sâu

6.1.4.1. Sử dụng ống hút piston tay:

a) Nhóm thợ lặn hỗ trợ nhau để vừa kéo piston vừa đè ống hút xuống theo chiều đứng (đối với ống hút dài có thể một người ngồi giữ đè ống xuống, người còn lại đứng trên vai để kéo piston);

b) Kéo piston lên đến gần cuối ống nhưng vẫn đảm bảo piston còn nằm trong ống hút;

c) Dùng kẹp hãm để nhấc ống hút lên, bọc đầu còn lại của ống hút để mẫu không rơi ra ngoài trong quá trình di chuyển lên trên tàu;

d) Lặp lại quá trình này để lấy ống thứ hai hoặc cho đến khi lấy đủ số lượng ống hút theo yêu cầu (trong trường hợp có yêu cầu cụ thể của đội trưởng);

6.1.4.2. Sử dụng thiết bị đóng:

a) Dùng sức để ấn ống lấy mẫu xuống theo chiều thẳng đứng tối đa có thể;

b) Chụp đầu đóng vào đầu còn lại của ống lấy mẫu;

c) Dùng búa đóng để ống lấy mẫu đi xuống vào trầm tích đáy biển theo chiều thẳng đứng (đối với ống dài thợ lặn có thể đứng lên vai nhau);

d) Đóng cho đến khi ngập ống hoặc không thể đóng được nữa (gặp sét cứng chắc, laterit);

đ) Dùng chụp cao su hoặc túi nylon bịt kín đầu ống lấy mẫu;

e) Dùng thiết bị kẹp hãm nhấc ống lấy mẫu lên khỏi trầm tích đáy biển;

g) Bọc đầu còn lại của ống lấy mẫu để mẫu không rơi ra ngoài trong quá trình di chuyển lên trên tàu;

h) Lặp lại quá trình này để lấy ống thứ hai hoặc cho đến khi lấy đủ số lượng ống hút theo yêu cầu (trong trường hợp có yêu cầu cụ thể của đội trưởng);

i) Buộc các ống mẫu này vào dây kéo tim lặn;

k) Thợ lặn tháo dây đai làm bằng chì cho vào trong túi lưới;

l) Thợ lặn bám theo dây tim lặn, bơi từ từ lên mặt biển để giảm áp suất;

Sau khi thợ lặn lên tàu, những thợ lặn phụ hỗ trợ lặn sẽ kéo dây tim neo để lấy các thiết bị và mẫu. Kiểm tra mẫu, mô tả do đội khảo sát tiến hành. Các thợ phụ lặn hỗ trợ cần theo dõi tình trạng sức khỏe của thợ lặn chính.

6.1.5. Hoạt động của đội khảo sát

a) Xác định tọa độ trạm lặn khảo sát lấy mẫu (theo quy định của công tác trắc địa biển);

b) Xác định độ sâu đáy biển tại thời điểm khảo sát bằng thiết bị đo sâu hồi âm (theo quy định của công tác trắc địa biển);

c) Thời gian bắt đầu khảo sát;

d) Đánh giá sơ bộ về điều kiện thời tiết, hải văn;

đ) Sau khi mẫu được đưa lên tàu, tiến hành mô tả mẫu mặt, chia mẫu mặt vào các túi, ghi nhãn mẫu, đãi mẫu trọng sa tầng mặt;

e) Cắt bỏ các đoạn ống thừa không có mẫu tránh mẫu bị xáo trộn, không giữ nguyên cấu tạo;

g) Bọc kín các đầu ống mẫu, đánh dấu chiều của ống mẫu, ghi số hiệu trạm khảo sát cho toàn bộ các ống. Đồng thời, làm nhãn mẫu và dùng bao keo trong để bọc cuốn quanh ống mẫu;

h) Rửa đầu piston khỏi bùn cát bám và luồn vào ống lấy mẫu để chuẩn bị cho lần lấy mẫu tiếp theo;

i) Lấy mẫu ra để quan sát, mô tả. Mẫu này sau khi quan sát, mô tả sẽ được đưa vào bảo quản trong các túi nylon (nếu có sự thay đổi rõ ràng về thành phần trầm tích, màu sắc) hoặc đổ vào trong một túi (nếu đồng nhất từ trên xuống dưới); những quan sát này phải được ghi vào nhật ký. Các mô tả đòi hỏi phải có các thông tin về thành phần trầm tích, phần trăm cấp hạt vụn, hàm lượng vụn sinh vật hoặt các hợp phần khác (mùn thực vật, laterit, mảnh đá), mức độ chọn lọc, mài tròn, thành tạo địa chất (tuổi, nguồn gốc), biểu hiện sa khoáng, cấu tạo trầm tích (nếu quan sát được bằng mắt thường);

k) Dự kiến mẫu gửi các loại;

l) Yêu cầu thợ lặn thông báo nếu có khác biệt về mặt địa hình (cồn ngầm), trầm tích đáy (cuội, sỏi, tập trung vụn vỏ sinh vật theo đới);

n) Kiểm tra trầm tích trong ống hút, đối chiếu với mẫu mặt cũng như cấu tạo phân lớp (đặc biệt là đối với bùn sét) để phát hiện những trường hợp lấy mẫu không theo chiều thẳng đứng;

m) Trong quá trình thực hiện, tùy vào tình hình thực tế, có thể đan dày mạng lưới khảo sát để nâng cao chất lượng điều tra;

o) Trong thơi gian neo tàu nghỉ qua đêm trên biển phải có đèn hiệu báo, trực gác tàu, bơm nước.

6.2. Kiểm tra, theo dõi lặn tại thực địa

Đội trưởng kỹ thuật theo dõi, kiểm tra từng công đoạn lặn. Thu thập tài liệu, ghi chép mô tả nhật ký lặn, mẫu lặn.

6.3. Văn phòng thực địa

Công tác văn phòng ngoài thực địa được thực hiện sau mỗi chuyến khảo sát, bao gồm:

a) Hoàn thiện nhật ký;

b) Hoàn thiện, bảo quản, sắp xếp mẫu vật;

c) Lập thiết đồ ống hút piston;

d) Vẽ sơ đồ tài liệu thực tế.

6.4. Văn phòng sau thực địa và nghiệm thu, giao nộp sản phẩm

6.4.1. Văn phòng sau thực địa

a) Hoàn thành tài liệu thực địa gồm: nhật ký, bản đồ tài liệu thực tế, thiết đồ ống hút piston, lập danh sách mẫu,

b) Hoàn thiện các tài liệu trên và lập báo cáo thực địa.

6.4.2. Nghiệm thu và giao nộp kết quả thực địa

Công tác nghiệm thu, giao nộp sản phẩm tuân thủ theo các Quy định hiện hành.

Sản phẩm giao nộp: nhật ký lặn, thiết đồ ống phóng piston tay, mẫu trầm tích tầng mặt, mẫu ống phóng piston tay, bản đồ tài liệu thực tế.

7. QUY ĐỊNH KỸ THUẬT LẤY MẪU BẰNG ỐNG PHÓNG RUNG

7.1. Kỹ thuật thi công tại thực địa

7.1.1. Điều kiện thi công

Gió cấp 4 trở xuống (độ cao sóng dưới 0,5m), vận tốc dòng chảy (dưới 0,5m/s).

7.1.2. Lắp đặt thiết bị

a) Tiến hành chuyển thiết bị vào vị trí cần cẩu trên boong tàu;

b) Lắp đặt bộ phóng rung trên sàn tàu;

c) Lắp đặt thiết bị nâng (cẩu chữ A, cẩu thủy lực) trên tàu, độ cao của thiết bị nâng so với mặt sàn thi công (boong tàu) không nhỏ hơn 7m. Dây cáp làm bằng thép (10 mm) cùng với thiết bị nâng có công suất ít nhất là 2 tấn làm nhiệm vụ nâng nâng thiết bị từ boong tàu hay kéo thiết bị từ đáy biển trong suốt quá trình vận hành;

d) Lắp đặt các bộ phận của bộ ống phóng rung và di chuyển ra vị trí thi công (boong tàu);

đ) Khởi động máy phát và đấu nối với hệ thống rung của thiết bị;

e) Nối thiết bị ống phóng rung với hệ thống dây cáp và được nâng bằng cẩu thủy lực;

g) Tiến hành kiểm tra kỹ thuật và vận hành thử các thiết bị;

h) Lắp đặt các thiết bị đồng bộ và kiểm tra độ an toàn trong quá trình vận hành; tiến hành hoạt động thử trước khi thi công.

7.1.3. Quy trình thi công lấy mẫu

a) Hệ thống cẩu nâng thiết bị lên khỏi mặt sàn thi công, di chuyển ra ngoài boong tàu, thả thiết bị di chuyển xuống đáy biển;

b) Khi thiết bị chạm đáy biển hệ thống rung bắt đầu hoạt động. Ống mẫu di chuyển sâu vào lớp trầm tích dưới đáy biển và mẫu vật được lưu lại trong ống mẫu. Bộ phận giữ ống mẫu được gắn vào phần cuối của ống mẫu, giữ cho trầm tích nằm bên trong khi thiết bị đạt được độ sâu lấy mẫu cực đại hay không thể lấy thêm mẫu từ đáy biển được nữa;

c) Trong quá trình rung lấy mẫu, trầm tích được lấy liên tục, đúng vị trí mẫu của nền đáy biển;

d) Khi đã lấy được mẫu, kéo toàn bộ thiết bị lên di chuyển vào sàn tàu. Lấy ống mẫu ra, ghi số hiệu, mô tả và chụp ảnh;

đ) Với trầm tích cát mẫu lấy được có độ sâu trung bình khoảng 6m, với bùn sét thì độ sâu đạt được có thể lớn hơn, với cuội sỏi tương đối rắn chắc hay sét cứng độ sâu lấy mẫu có thể nhỏ hơn;

e) Mẫu lõi được giữ lại trong ống mẫu nhôm sử dụng một lần, có thể cắt thành những đoạn ngắn để vận chuyển hay cắt theo chiều dọc để phân tích tại chỗ. Những lõi mẫu chẻ đôi được bảo quản bằng cách bọc kín và cho vào ống nhựa.

7.2. Kiểm tra theo dõi lấy mẫu bằng ống phóng rung

Trong quá trình lấy mẫu, đội trưởng thường xuyên kiểm tra theo dõi chất lượng từng công đoạn vận hành thiết bị. Thu thập tài liệu, ghi chép mô tả nhật ký lấy mẫu bằng ống phóng rung.

7.3. Văn phòng thực địa

Văn phòng thực địa được thực hiện cuối ngày khảo sát để:

a) Chỉnh lý lại nhật ký xem mẫu, hoàn thiện mô tả, các hình vẽ trong nhật ký;

b) Kiểm tra hiện trạng mẫu: kiểm tra nhãn mẫu các loại;

c) Sắp xếp mẫu theo thứ tự, lập cột địa tầng tổng hợp ống phóng rung;

d) Sơ bộ đánh giá kết quả lấy mẫu;

đ) Trao đổi, rút kinh nghiệm cho quá trình tổ chức thi công; kiểm tra máy móc, thiết bị, mua thêm lương thực, thực phẩm;

e) Làm vệ sinh, rửa ngọt các thiết bị, tra dầu, mỡ.

7.4. Văn phòng sau thực địa và nghiệm thu, giao nộp kết quả

7.4.1. Văn phòng sau thực địa

a) Tiến hành hiệu chỉnh cột địa tầng tổng hợp cho các mẫu ống phóng rung. Trên cột địa tầng phân các tập trầm tích theo tuổi và nguồn gốc, mô tả thành phần vật chất và các yếu tố và môi trường;

b) Sản phẩm giao nộp gồm các cột địa tầng tổng hợp ống phóng rung, nhật ký ghi chép ngoài thực địa, báo cáo kết quả thực địa, sơ đồ tài liệu thực tế, báo cáo kết quả lấy mẫu bằng ống phóng rung.

7.4.2. Nghiệm thu và giao nộp kết quả thực địa

Công tác nghiệm thu và giao nộp kết quả tuân thủ theo các Quy định hiện hành.

Sản phẩm giao nộp gồm: nhật kí lấy mẫu ống phóng rung, thiết đồ ống phóng rung, mẫu ống phóng rung.

8. QUY ĐỊNH KỸ THUẬT LẤY MẪU TRẦM TÍCH NGUYÊN DẠNG BẰNG THIẾT BỊ BOX-CORE

8.1. Kỹ thuật thi công tại thực địa

8.1.1. Điều kiện thi công

Gió cấp 4 trở xuống (độ cao sóng dưới 0,5m), vận tốc dòng chảy (dưới 0,5m/s).

8.1.2. Lắp đặt thiết bị

a) Tiến hành chuyển thiết bị Box-Core vào vị trí cần cẩu trên boong tàu;

b) Lắp đặt bộ thiết bị Box-Core trên sàn tàu,

c) Lắp đặt thiết bị nâng (cẩu chữ A, cẩu thủy lực), độ cao của thiết bị nâng so với mặt sàn thi công (boong tàu) không nhỏ hơn 7m. Dây cáp làm bằng thép (10 mm) cùng với thiết bị nâng có công suất ít nhất là 2 tấn làm nhiệm vụ nâng nâng thiết bị từ boong tàu hay từ đáy biển trong suốt quá trình vận hành;

d) Lắp đặt các bộ phận của thiết bị Box-Core và di chuyển ra vị trí thi công (boong tàu);

đ) Nối thiết bị Box-Core với hệ thống dây cáp và được nâng bằng cẩu thủy lực;

e) Lắp đặt các thiết bị đồng bộ theo đúng như hướng dẫn kỹ thuật, kiểm tra độ an toàn trong quá trình vận hành. Trước khi thi công cần vận hành thử thiết bị.

8.1.3. Thi công lấy mẫu

a) Hệ thống cẩu nâng thiết bị Box-Core lên khỏi mặt sàn thi công, di chuyển ra ngoài boong tàu, thả thiết bị di chuyển xuống đáy biển;

b) Trong suốt quá trình đi xuống và lấy mẫu, đỉnh của ống mẫu luôn mở cho phép nước chảy qua, đồng thời nó cũng tạo nên áp lực lên bề mặt trầm tích;

c) Khởi động bộ phận chống rung thủy lực khi ống mẫu xuyên qua trầm tích đáy biển để giữ cho mẫu trầm tích không bị xáo trộn;

d) Khi ống mẫu đã đạt được độ sâu lớn nhất, hệ thống ống mẫu tự động đóng;

đ) Phần nắp có hình xẻng đi vào vị trí vuông góc, đóng chặt đáy của ống mẫu, bảo vệ mẫu nguyên dạng trong ống;

e) Trong quá trình thu hồi thiết bị lấy mẫu Box-Core khỏi đáy biển, phần phía trên của ống mẫu được đậy chặt bằng nắp với miếng đệm cao su mềm;

g) Khi đã lấy được mẫu, kéo toàn bộ thiết bị lên di chuyển vào sàn tàu. Lấy cột mẫu ra, ghi số hiệu, mô tả và chụp ảnh;

h) Bảo quản mẫu nguyên dạng trong ống mẫu bằng nhựa PVC trong hoặc ống nhôm, hoặc có thể cắt thành những đoạn ngắn theo chiều dọc để phân tích tại chỗ hoặc vận chuyển. Những lõi mẫu chẻ đôi được bảo quản bằng cách bọc kín và cho vào ống nhựa.

8.2. Kiểm tra theo dõi lấy mẫu bằng Box-Core

Trong quá trình lấy mẫu, đội trưởng thường xuyên kiểm tra theo dõi chất lượng từng công đoạn vận hành thiết bị. Thu thập tài liệu, ghi chép mô tả nhật ký lấy mẫu bằng Box-Core.

8.3. Văn phòng thực địa

Văn phòng thực địa được thực hiện cuối ngày khảo sát để:

a) Chỉnh lý lại nhật ký (xem mẫu, hoàn thiện mô tả, các hình vẽ trong nhật ký);

b) Kiểm tra hiện trạng mẫu: kiểm tra nhãn mẫu các loại mẫu, sắp xếp mẫu theo thứ tự;

c) Sơ bộ đánh giá kết quả lấy mẫu;

d) Trao đổi, rút kinh nghiệm cho quá trình tổ chức thi công; kiểm tra máy móc, thiết bị, mua thêm lương thực, thực phẩm…;

đ) Làm vệ sinh, rửa ngọt các thiết bị, tra dầu, mỡ.

8.4. Văn phòng sau thực địa và nghiệm thu, giao nộp kết quả

8.4.1. Văn phòng sau thực địa

a) Tiến hành hiệu chỉnh cột địa tầng tổng hợp cho các mẫu nguyên dạng thu được. Trên cột địa tầng phân các tập trầm tích theo tuổi và nguồn gốc, mô tả thành phần vật chất và các yếu tố và môi trường;

b) Sản phẩm giao nộp gồm các cột địa tầng tổng hợp, nhật ký ghi chép ngoài thực địa, báo cáo kết quả thực địa, sơ đồ tài liệu thực tế, báo cáo chung của công tác lấy mẫu nguyên dạng bằng thiết bị Box-Core.

8.4.2. Nghiệm thu và giao nộp kết quả thực địa

Công tác nghiệm thu và giao nộp kết quả tuân thủ theo các Quy định hiện hành.

Yêu cầu về sản phẩm giao nộp: mẫu lấy được phải đảm bảo tính nguyên dạng theo tính chất ban đầu của đối tượng. Nội dung giao nộp: nhật kí thi công, mẫu thu được ngoài thực địa.

9. QUY ĐỊNH KỸ THUẬT RỬA MUỐI MẪU TRẦM TÍCH BIỂN PHỤC VỤ PHÂN TÍCH QUANG PHỔ PLASMA

9.1. Quy định kỹ thuật gia công mẫu

9.1.1. Những yêu cầu chung

Theo tiêu chuẩn 01-1GCM/94 của Cục Địa chất và Khoáng sản Việt Nam.

9.1.2. Quy trình kỹ thuật rửa muối trước khi gia công

9.1.2.1. Rửa muối bằng ống tách thẩm:

a) Quy trình rửa muối mẫu trầm tích biển trước khi gia công như sau:

- Mẫu được đưa vào rửa có khối lượng: 1,5- 2kg;

- Dùng thìa xúc mẫu vào ống tách thẩm;

- Cho nước cất chảy qua ống tách thẩm trong khoảng 2-3 giờ cho đến khi hết muối. Yêu cầu về nước lọc mẫu: nước sạch đã qua xử lý được sử dụng trong phòng phân tích, thí nghiệm.

- Đổ ra khay và sấy khô ở điều kiện nhiệt độ <30°C;

- Mẫu khô được tiến hành chia đối đỉnh làm hai phần: một phần lưu và một phần đưa đi gia công phân tích.

b) Trường hợp không có ống tách thẩm có thể rửa muối bằng cách thông thường (tuy nhiên quy trình này phải đảm bảo không gây ảnh hưởng đến chất lượng mẫu phân tích tiếp theo) quy trình này chỉ thay đổi ống tách thẩm bằng giấy lọc hoặc phễu lọc:

- Hòa nước vào mẫu;

- Lọc mẫu bằng phễu thủy tinh có màng lọc (hoặc phễu có để giấy lọc);

- Lọc mẫu khoảng 10-15 lần. Sau đó kiểm tra bằng AgNO3 (nồng độ 36,89g/l) cho đến lúc hết kết tủa trắng là mẫu đã được làm sạch muối.

Sơ đồ 1: Quy trình rửa muối trong mẫu trầm tích biển

9.2. Công tác văn phòng

9.2.1. Đóng gói gia công mẫu: Sau khi gia công mẫu đến cỡ hạt phân tích và giản lược đến khối lượng còn lại khoảng 500g được đóng gói bằng giấy chuyên dụng hoặc đựng trong túi nilon hay lọ polyetylen. Mỗi mẫu đều phải có nhãn trên đó ghi ký hiệu mẫu và tên phiếu mẫu. Các mẫu của cùng một phiếu mẫu được đặt chung vào một túi nilon to, trong đó có phiếu mẫu ghi đầy đủ các thông số sau:

a) Đơn vị gửi mẫu;

b) Nơi lấy mẫu;

c) Loại mẫu;

d) Số lượng mẫu;

đ) Yêu cầu gia công mẫu phân tích nghiền đến cỡ hạt ≤ 0,074mm.;

e) Ngày gửi mẫu;

g) Ngày trả kết quả.

9.2.1. Kiểm tra và giao nộp sản phẩm:

a) Công tác kiểm tra bao gồm: kiểm tra chất lượng sản phẩm (kiểm tra lượng muối còn trong mẫu trầm tích), đối chiếu khối lượng phân tích được giao, quy cách đóng gói mẫu, thông tin trên phiếu mẫu;

b) Sản phẩm giao nộp: mẫu sau khi được gia công, đóng gói trong túi nilon hoặc lọ polyetilen ghi đầy đủ thông tin.

10. QUY ĐỊNH KỸ THUẬT PHÂN TÍCH MẪU BẰNG PHƯƠNG PHÁP ĐỒNG VỊ PHÓNG XẠ C14

10.1. Quy định phân tích mẫu

10.1.1. Bước 1. Nhận mẫu, vào sổ, sấy mẫu;

10.1.2. Bước 2. Xử lý tạp chất bằng phương pháp cơ học: sàng, lọc, tuyển nước;

10.1.3. Bước 3. Xử lý hóa học: xử lý mẫu bằng dung dịch axit 4% ở nhiệt độ 80°C:

a) Theo dõi mẫu khi axit ăn mòn tạp chất (khoảng 24h);

b) Rửa sạch, sấy khô;

c) Kiểm tra dư lượng tạp chất trên kính hiển vi;

d) Tẩy bằng dung dịch kiềm 10% ở nhiệt độ 80°C trong 24h;

đ) Sấy khô, cân mẫu xem lượng hao hụt (khoảng 20h);

e) Xử lý tiếp bằng dung dịch axit 1%.

11.1.4. Bước 4. Đưa mẫu vào phân tích hàm lượng C14

a) Tách CO 2

b) Phương pháp Cabit:

CO 2 +Li →LiC 2 (nhiệt độ 850°C, trong 20h).

Sau đó thủy phân: LiC 2 + H 2 O → LiOH + CO 2

c) Thủy phân tạo C 2 H 2

d) Trime hóa: C 2 H 2 → C 6 H 6

đ) Tạo mẫu: C 6 H 6 + chất phát sáng (PPO + POPOP). Sau đó mẫu đo được đưa vào ống thủy tinh chuyên dụng, bảo quản lạnh.

e) Mẫu được đưa vào máy phân tích Tri-cab để phân tích hàm lượng C14.

g) Công tác đo đạc và xử lý số liệu được thực hiện trên hệ đo nhấp nháy lỏng siêu sạch (nhãn hiệu Tricarb - 2770TR/SL do hãng Canberra, Mỹ sản xuất). Đây là hệ thiết bị hiện đại, có hiệu suất ghi cao và phông nhiễu cực thấp. Thiết bị này áp dụng các công nghệ tiên tiến sau:

- Sử dụng chất BGO (Bi 4 Ge 3 O 12 ) làm detector (chất dò, chất khám phá) chống phông (ngăn chặn một cách có hiệu quả các tia vũ trụ tác dụng vào detector nhấp nháy lỏng);

- Sử dụng kỹ thuật phân giải thời gian để phân biệt xung thực với các xung nhiễu trong chất nhấp nháy lỏng;

- Điều khiển và xử lý kết quả đo bằng các bộ phần mềm đã được kiểm chứng qua nhiều năm thực hiện trong các phòng thí nghiệm trên thế giới cho phép xác định được nhanh chóng và chính xác các kết quả đo.

h) Phương pháp xác định tuổi tuyệt đối bằng C14 trên hệ tổng hợp Benzen và đo nhấp nháy lỏng thực hiện theo quy trình công nghệ sau:

Hình 1. Sơ đồ công nghệ tổng hợp Benzen

Hệ thống thiết bị này hoàn toàn có thể xác định được niên đại của các mẫu vật với sai số theo độ tuổi như bảng 7.

Bảng 7. Sai số phân tích theo khoảng niên đại

Thứ tự

Khoảng niên đại

Sai số tuyệt đối

1

100-1000

30-40 năm

2

1000- 2000

30-50 năm

3

2000-5000

50-70 năm

4

5000-10000

70-150 năm

5

10000-50000

150-1500 năm

Ngoài ra, hệ thống thiết bị này hoàn toàn có thể đáp ứng được các nhu cầu đo hoạt độ phóng xạ của các hạt nhân 14 C; 3 H; 90 Sr, 90 Sr/ 90 Y, 226 Ra, 222 Rn. Tổng bức xạ a và b trong các nghiên cứu khoa học và môi trường với sai số tương đối <10%.

10.2. Công tác văn phòng

10.2.1. Cách tính kết quả và luận giải, đánh giá kết quả

a) Kết quả phân tích được tính theo phương pháp đo hoạt độ phóng xạ nhỏ.

b) Tuổi carbon phóng xạ được tính theo công thức:

Trong đó:

T 1/2 : Chu kỳ bán rã của C14;

K NBS : hệ số mẫu chuẩn quốc tế;

G STD : số đếm trong 1 đơn vị thời gian của mẫu chuẩn;

G SA : số đếm trong 1 đơn vị thời gian của mẫu phân tích;

B: số đếm trong 1 đơn vị thời gian mẫu phông;

M STD , M SA : khối lượng mẫu chuẩn và mẫu phân tích;

δ 13 C: hệ số hiệu chỉnh hiệu ứng Fractionation.

Khoảng sai số của phân tích: <10%.

10.2.2. Kiểm tra và giao nộp kết quả

a) Kiểm tra: đối chiếu khối lượng phân tích được giao, kiểm tra kết quả phân tích nội bộ không sai khác quá 5% giữa các lần phân tích;

b) Sản phẩm giao nộp: Các kết quả phân tích phải in trên giấy và có đầy đủ chữ ký của người phân tích, người kiểm tra và xác nhận của cơ quan chủ quản.

11. QUY ĐỊNH KỸ THUẬT PHÂN TÍCH MẪU BẰNG PHƯƠNG PHÁP SẮC KHÍ KHỐI PHỔ VÀ CỘNG KẾT ĐIỆN TỬ

Phương pháp sắc khí khối phổ và cộng kết điện tử được sử dụng để phân tích xác định các chỉ thị đánh dấu có liên quan đến các chất ô nhiễm có nguồn gốc nhân sinh như Polychlorinated biphenyl (PCBs), Polycyclic anomatic hydrocarbons (PAHs), các gốc trừ sâu gốc clo và toxaphene.

11.1. Chuẩn bị mẫu phân tích

a) Sổ gia công mẫu ghi đầy đủ: ngày tháng, đơn vị phân tích, đơn vị gửi phân tích, tên đề án, đề tài, loại mẫu, số hiệu, khối lượng đầu, quy trình gia công, khối lượng mẫu phân tích, khối lượng mẫu lưu, người phân tích,

b) Phơi mẫu khô tự nhiên: lấy mẫu ra sàng có lót giấy và để khô tự nhiên trong bóng râm, trong khoảng 7 ngày.

c) Gia công mẫu: theo quy định T.C.N số 01-1 GCM/94 của Cục Địa chất và Khoáng sản Việt Nam về gia công mẫu cho phân tích thành phần nguyên tố bằng các phương pháp hóa học và quang phổ, thành phần khoáng vật bằng các phương pháp rơngen và nhiệt.

d) Cân mẫu trên cân phân tích điện tử có độ chính xác 0,1mg để đưa đi phân

tích.

11.2. Quy định phân tích mẫu

11.2.1. Phá mẫu chuẩn bị phân tích

a) Chiết Soclex: cho mẫu vào bình chiết Soclex, đổ dung môi để khi chiết ngập quá bộ phận chứa mẫu, sau đó đun chiết trong khoảng 1giờ, các chất cần tách chiết sẽ bị hòa tan trong dung môi và bay hơi khi gặp bình sinh hàn sẽ được ngưng tụ lại. Bình chiết Soclex là bình kín đảm bảo dung môi và chất cần tách chiết không bị thất thoát ra ngoài. Quy trình chiết được mô tả như hình 2.

Hình 5. Bình chiết Soclex

b) Cất cô quay chân không: phần sau khi được tách chiết Soclex được cất chân không. Bình cất được quay đều trên một thiết bị sinh nhiệt để đảm bảo nhiệt phân bố đều và được hút bằng một máy hút chân không để làm giảm nhiệt độ bay hơi, nhiệt độ cất khoảng từ 50-60°C, cất trong khoảng 0,5h.

Hình 6. Bình cất cô quay chân không

c) Làm sạch mẫu: tách nước và cặn ra khỏi chất phân tích, sử dụng bình chiết với dung môi thích hợp tách chiết nhiều lần trong khoảng 1- 3h.

11.2.2. Đo trên máy GC-MS và GC-ECD

a) Khởi động máy: chạy máy chỉ có dung môi trong khoảng 1 giờ (mỗi chất cần phân tích có một loại dung môi riêng) để đảm bảo thông máy, rửa sạch cặn;

b) Đo chuẩn: cho máy chạy dung dịch chuẩn (mỗi chất phân tích ứng với một dung dịch chuẩn xác định) với các mức hàm lượng khác nhau để dựng đường chuẩn, thông thường lấy khoảng 6 mức hàm lượng để dựng đường chuẩn, thời gian khoảng 1h/l đường chuẩn;

c) Đo mẫu: cho máy chạy phần chất cần phân tích sau khi được tách chiết và làm sạch, kết quả đo được thể hiện trên từng pic, mỗi pic ứng với một chất nhất định, thời gian 1h/1 mẫu;

d) Dựng đường chuẩn, tính kết quả, in ấn kết quả phân tích, thời gian 0,5h;

đ) Chạy lại máy để rửa máy trong khoảng 1h, lau chùi, bảo quản máy sau khi phân tích.

11.3. Công tác văn phòng

11.3.1. Tính toán và giao nộp kết quả

Kết quả được tính theo phương pháp đồ thị chuẩn (hình 4), dựa vào kết quả thu được từ việc chạy mẫu chuẩn tính được diện tích các pic tương ứng với các mức hàm lượng khác nhau. Sau đó xây dựng nên đường chuẩn với trục Ox- ứng với giá trị đo, trục Oy - ứng với mức hàm lượng.

Hình 7. Đồ thị tính kết quả phân tích

Dựa vào đường chuẩn xác định được mức hàm lượng của chất cần phân tích.

Về lý thuyết các điểm khi xây dựng đường chuẩn phải nằm trên một đường thẳng, nhưng trong thực tế do có những sai số khó tránh khỏi, chúng có chênh lệch ít nhiều do đó số lượng mẫu phải hạn chế. Khi phát hiện sai lệch quá mức cho phép phải dừng lại và lập lại đường chuẩn mới. Để tính một mẫu mất khoảng 0,5h.

11.3.2. Kiểm tra, sản phẩm giao nộp

a) Kiểm tra: đối chiếu khối lượng phân tích được giao, kiểm tra kết quả phân tích nội bộ;

b) Sản phẩm giao nộp: các kết quả phân tích in trên giấy có đầy đủ chữ kí của người phân tích, người kiểm tra và xác nhận của cơ quan chủ quản.

Chương III

XỬ LÝ SỰ CỐ VÀ CÁC QUY ĐỊNH AN TOÀN LAO ĐỘNG

 

1. Xử lý sự cố

Dự kiến các sự cố có thể xảy ra trong quá trình thực hiện công việc, các sự cố có thể do điều kiện khách quan hoặc do chủ quan của người thực hiện. Từ đó có biện pháp chủ động đề phòng, đề xuất phương hướng giải quyết khi có sự cố xảy ra.

1.1. Đối với nhóm công tác thi công ngoài trời, các sự cố xảy ra là:

a) Đối với công tác lặn: sự cố xảy ra thường do thợ lặn thực hiện giảm áp không tốt. Khi có sự cố xảy ra, thợ lặn phụ và nhóm hỗ trợ trên thuyền nhanh chóng làm công tác ứng cứu theo quy định đối với công tác lặn.

b) Đối với nhóm công tác khoan:

- Với công tác khoan máy bãi triều: sự cố thường xảy ra do kẹt cần khoan, đứt gãy dụng cụ khoan. Để khắc phục sự cố kẹt cần khoan có thể áp dụng biện pháp khoan ngược và sau đó dùng tời kéo các thiết bị lên. Trong trường hợp đứt gãy dụng khoan, tùy theo điều kiện cụ thể có thể dùng taro các loại, móc cáp, kìm cặp hoặc ống chụp đưa xuống lỗ khoan để kéo dụng cụ lên;

- Với khoan biển bằng giàn khoan tự chế: các sự cố kẹt, đứt gãy dụng cụ khoan sẽ được khắc phục như đối với công tác khoan bãi triều. Ngoài ra, các sự cố khác có thể xảy ra là giàn khoan bị nghiêng hoặc bị trôi do neo bám không chắc. Để khắc phục sự cố cần điều chỉnh tải trọng trên giàn khoan, theo dõi mực nước thủy triều để điều chỉnh dây neo các hướng cho phù hợp;

- Với công tác khoan thổi: các sự cố có thể xảy ra là kẹt, gãy cần khoan, nếu sàn khoan đặt trên thuyền có thể xảy ra tình huống cần khoan bị cong, gãy do thuyền bị trôi. Để đề phòng và khắc phục các tình huống có thể xảy ra có thể áp dụng các biện pháp như với công tác khoan bãi triều và khoan trên giàn khoan tự chế.

Nhóm công tác khoan gặp các sự cố như công tác khoan máy trên bờ, do vậy công tác khắc phục sự cố tham khảo quy định khắc phục sự cố của công tác khoan máy.

c) Đối với nhóm công tác địa vật lý: các sự cố thường xảy ra là thiết bị đo bị mất hoặc hỏng do vướng phải lưới của ngư dân, vật cản hoặc chân vịt của tàu. Để phòng tránh sự cố cần có các thiết bị đảm bảo an toàn cho thiết bị như phao gắn trên các thiết bị thu phát, phân công theo dõi các chướng ngại vật trong phạm vi khảo sát. Khi tàu khảo sát giảm tốc độ hoặc chuyển hướng cần nhanh chóng thu hồi thiết bị không để thiết bị đo bị chìm hoặc cuốn vào chân vịt của tàu.

Đối với phương tiện tham gia điều tra, khảo sát: trường hợp gặp điều kiện thời tiết xấu như: dông, bão, áp thấp nhiệt đới, sóng to, gió lớn không đảm bảo an toàn cho tàu thuyền, thiết bị và con người cần tìm nơi trú, tránh an toàn. Trường hợp gặp sự cố như cháy, nổ, thủng, phải được ứng cứu, xử lý tại chỗ.

Nếu không thể khắc phục được phải thông báo ngay cho cơ quan chức năng qua sóng radio.

Đối với người tham gia điều tra, khảo sát: khi xảy ra tai nạn lao động trên biển, cần sơ cứu kịp thời; trường hợp nặng phải chuyển ngay nạn nhân lên bờ và đưa đến cơ sở y tế gần nhất.

1.2. Đối với nhóm công tác gia công phân tích mẫu, các sự cố xảy ra là sự cố cháy nổ do hóa chất rò rỉ, rơi vãi, bỏng do tiếp xúc với hóa chất. Khi có sự cố bỏng do hóa chất cần thực hiện ngay công tác sơ cứu được quy định tại nội quy phòng phân tích và đưa đến cơ sở y tế gần nhất.

2. Các quy định an toàn lao động

2.1. Trước khi tham gia đội khảo sát thực địa trên biển phải tổ chức lớp học an toàn lao động trên biển:

a) Lớp học phổ biến những kiến thức an toàn làm việc trên biển;

b) Phổ biến những nội quy, quy định làm việc;

c) Phổ biến mức độ nguy hiểm cũng như điều kiện an toàn đối với các thiết bị máy móc.

2.2. Đối với các công tác khoan máy bãi triều, khoan biển bằng giàn khoan tự chế, khoan thổi khi chuẩn bị hiện trường thi công khoan cần có bảng nội quy làm việc và các biển báo những vị trí nguy hiểm, để đảm bảo an toàn lao động khi làm việc.

Điều kiện thi công khoan biển bằng giàn khoan tự chế: độ sâu nước biển ≤ 30 m, cấp sóng ≤ cấp 3, cấp gió ≤ cấp 4, neo bám đáy tốt, đảm bảo giàn khoan không bị trôi. Khi điều kiện thời tiết, sóng - gió không thuận lợi cần khẩn trương thu giàn, di chuyển vào bờ hoặc tìm nơi neo đậu an toàn.

2.3. Quy định về sử dụng thiết bị, dụng cụ bảo hộ lao động: khi thi công trên biển bắt buộc phải sử dụng các thiết bị, dụng cụ bảo hộ lao động như: quần áo, mũ, găng tay, giày dép, áo phao.

2.4. Quy định về an toàn khi vận hành, sử dụng thiết bị: vận hành máy tời, máy phát điện phải đảm bảo an toàn, tuyệt đối tuân thủ các quy định về an toàn khi vận hành thiết bị.

2.5. Đối với công tác lặn: thợ lặn phải tuân thủ tuyệt đối công tác giảm áp khi kết thúc công việc.

2.6. Quy định về thái độ, tác phong lao động trên biển: không sử dụng bia rượu, chất kích thích, hút thuốc lá trong khi làm việc trên biển.

2.7. Đối với công tác phân tích: khi tiến hành phân tích mẫu bắt buộc phải thực hiện các quy định về an toàn phòng thí nghiệm, trong đó có các quy định an toàn trong quá trình pha, trộn hoá chất, sử dụng các phương tiện bảo hộ lao động như: áo blu, khẩu trang, găng tay, kính bảo hộ.

Chương IV

ĐIỀU KHOẢN THI HÀNH [4]

 

1. Cục trưởng Cục Biển và Hải đảo Việt Nam [5] chịu trách nhiệm hướng dẫn, theo dõi, kiểm tra việc thực hiện Thông tư này.

2. Trong quá trình thực hiện, nếu có vướng mắc, các cơ quan, tổ chức, cá nhân phản ánh kịp thời về Bộ Nông nghiệp và Môi trường [6] để nghiên cứu, sửa đổi, bổ sung cho phù hợp./.

 

 

CỘNG HÒA XÃ HỘI CHỦ NGHĨA VIỆT NAM
Độc lập - Tự do - Hạnh phúc
______________________

 

 

THÔNG TƯ

Quy định kỹ thuật cho 11 công tác điều tra địa chất khoáng sản biển và hải đảo

 

Thông tư số 25/2010/TT-BTNMT ngày 27 tháng 10 năm 2010 của Bộ trưởng Bộ Tài nguyên và Môi trường quy định kỹ thuật cho 11 công tác điều tra địa chất khoáng sản biển và hải đảo, có hiệu lực kể từ ngày 01 tháng 01 năm 2011, được sửa đổi, bổ sung bởi:

Thông tư số 15/2025/TT-BNNMT ngày 19 tháng 6 năm 2025 của Bộ trưởng Bộ Nông nghiệp và Môi trường quy định phân quyền, phân cấp, phân định thẩm quyền và sửa đổi, bổ sung một số điều của các thông tư trong lĩnh vực biển và hải đảo, có hiệu lực từ ngày 01 tháng 7 năm 2025.

Căn cứ Nghị định số 25/2008/NĐ-CP ngày 04 tháng 3 năm 2008 của Chính phủ quy định chức năng, nhiệm vụ, quyền hạn và cơ cấu tổ chức của Bộ Tài nguyên và Môi trường;

Căn cứ Nghị định số 25/2009/NĐ-CP ngày 06 tháng 3 năm 2009 của Chính phủ về quản lý tổng hợp tài nguyên và bảo vệ môi trường biển, hải đảo;

Xét đề nghị của Tổng cục trưởng Tổng cục Biển và Hải đảo Việt Nam, Vụ trưởng Khoa học và Công nghệ và Vụ trưởng Vụ Pháp chế [1] ,

QUY ĐỊNH:

 

Điều 1. Ban hành kèm theo Thông tư này Quy định kỹ thuật cho 11 công tác điều tra địa chất khoáng sản biển và hải đảo.

Điều 2. [2] Thông tư này có hiệu lực thi hành kể từ ngày 01 tháng 01 năm 2011.

Điều 3. Bộ trưởng, Thủ trưởng cơ quan ngang Bộ, cơ quan thuộc Chính phủ, Chủ tịch Ủy ban nhân dân các tỉnh, thành phố ven biển trực thuộc Trung ương, Cục trưởng Cục Biển và Hải đảo Việt Nam [3] , Thủ trưởng các đơn vị thuộc Bộ và các tổ chức, cá nhân có liên quan chịu trách nhiệm thi hành Thông tư này./.

 

BỘ NÔNG NGHIỆP VÀ MÔI TRƯỜNG
___________

Số: 62/VBHN-BNNMT

XÁC THỰC VĂN BẢN HỢP NHẤT

 

Hà Nội, ngày 29 tháng 8 năm 2025

 

Nơi nhận:
- Văn phòng Chính phủ (để đăng công báo);
- Các Bộ, cơ quan ngang Bộ, cơ quan thuộc Chính phủ;
- UBND tỉnh, thành phố trực thuộc trung ương;
- Các Sở NN&MT tỉnh, thành phố trực thuộc trung ương;
- Cục Kiểm tra văn bản và Quản lý xử lý vi phạm hành chính, Bộ Tư pháp;
- Bộ trưởng (để báo cáo);
- Cổng TTĐT Chính phủ (để đăng tải);
- Cơ sở dữ liệu quốc gia về văn bản pháp luật (để đăng tải);
- Các đơn vị trực thuộc Bộ NN&MT;
- Cổng thông tin điện tử Bộ NN&MT;
- Lưu: VT, PC, BHĐ.

KT. BỘ TRƯỞNG
THỨ TRƯỞNG




Lê Minh Ngân

 

QUY ĐỊNH KỸ THUẬT

CHO 11 CÔNG TÁC ĐIỀU TRA ĐỊA CHẤT KHOÁNG SẢN BIỂN VÀ HẢI ĐẢO
(Ban hành kèm theo Thông tư số 25/2010/TT-BTNMT ngày 27 tháng 10 năm 2010 của Bộ trưởng Bộ Tài nguyên và Môi trường)

 

Chương I

NHỮNG QUY ĐỊNH CHUNG

 

1. Phạm vi điều chỉnh

Thông tư này áp dụng cho mười một 11 dạng công tác điều tra địa chất - khoáng sản biển và hải đảo, bao gồm:

a) Đo địa chấn nông phân giải cao bằng nguồn phát Air-Gun;

b) Đo từ trên biển bằng máy Sea-Spy và các máy tương đương;

c) Khoan máy bãi triều;

d) Khoan biển bằng giàn khoan tự chế;

đ) Khoan biển ven bờ bằng phương pháp khoan thổi;

e) Lặn lấy mẫu trầm tích biển nông;

g) Lấy mẫu trầm tích biển bằng ống phóng rung;

h) Lấy mẫu trầm tích nguyên dạng bằng thiết bị Box-Core.

i) Rửa muối mẫu trầm tích biển phục vụ gia công, phân tích quang phổ Plasma;

k) Phân tích mẫu bằng phương pháp đồng vị phóng xạ C14;

l) Phân tích mẫu bằng phương pháp sắc khí khối phổ và cộng kết điện tử.

2. Đối tượng áp dụng

Thông tư này áp dụng đối với tổ chức, cá nhân thực hiện các dạng công tác nêu trên trong điều tra địa chất - khoáng sản, tài nguyên - môi trường biển và hải đảo có sử dụng nguồn ngân sách Nhà nước.

3. Giải thích từ ngữ

a) Air-gun là nguồn phát tạo ra dao động đàn hồi bằng cách phát ra tiếng nổ không khí có áp suất 100 - 4.000 Lb/inch 2 vào môi trường nước biển.

b) Đo Deviaxia là đo giá trị trường từ tại 1 điểm theo các hướng tàu chạy khác nhau, nhằm xác định hiệu ứng hướng tàu chạy để liên kết số liệu đo đạc trường từ của khu vực nghiên cứu.

c) Hiệu chỉnh Deviaxia là việc làm để loại trừ ảnh hưởng hiệu ứng hướng tàu chạy lên giá trị trường từ trên các tuyến đo theo hướng khác nhau của vùng nghiên cứu

d) Biến thiên từ là biến thiên theo thời gian của trường địa từ.

đ) Hiệu chỉnh biến thiên từ là việc làm loại trừ các biến thiên theo thời gian của các số liệu đo trường địa từ trong khảo sát từ biển.

e) Liên kết tài liệu từ là việc đưa các kết quả đo vẽ từ biển về một mức thống nhất. Có 2 dạng liên kết:

- Liên kết nội là liên kết các tài liệu đo đạc trên các tuyến của một vùng về một mức từ trường thống nhất;

- Liên kết ngoại là liên kết đưa tài liệu đo từ của các vùng khác nhau ở các thời gian khác nhau về một mức thống nhất nhằm lập bản đồ tổng quan.

g) Giàn khoan tự chế (hay giàn khoan trên phao) là các phao nổi liên kết với nhau bằng hệ thống khung, đai chằng; trên đó lắp đặt các thiết bị phục vụ công tác khoan như: neo, giá neo, tời neo, máy phát điện, máy khoan, máy định vị, đo sâu, ca bin điều khiển và các hoạt động khác.

h) Khoan thổi là việc khoan lấy mẫu trầm tích không nguyên dạng bằng cách dùng hỗn hợp khí nén và nước ở áp suất cao để phá mẫu trầm tích và đẩy lên trên mặt.

i) Ống hút piston tay là dụng cụ lấy mẫu trầm tích biển dạng piston.

k) Tim lặn là túi lưới đựng các thiết bị phục vụ cho thợ lặn dưới biển và đựng các đồ vật, mẫu lấy được để kéo lên mặt biển.

l) Sắc khí khối phổ và cộng kết điện tử là phương pháp phân tích với độ nhạy cao được sử dụng trong nghiên cứu thành phần vật chất.

m) Ống phóng rung là thiết bị lấy mẫu trầm tích đáy biển bằng cơ chế rung.

n) Box-Core là thiết bị lấy mẫu trầm tích đáy biển nguyên dạng (các lớp trầm tích được giữ nguyên trật tự lớp và không bị biến dạng).

4. Nội dung công tác

4.1. Đối với công tác thi công ngoài trời, gồm các bước sau:

a) Chuẩn bị thi công: thu thập tài liệu liên quan đến vùng khảo sát, thiết kế tuyến khảo sát, điểm lấy mẫu;

b) Thi công tại thực địa;

c) Kiểm tra, nghiệm thu kết quả tại thực địa;

d) Văn phòng thực địa;

đ) Văn phòng sau thực địa.

4.2. Đối với công tác gia công, phân tích mẫu gồm các bước sau:

a) Công tác chuẩn bị:

- Chuẩn bị nhân lực;

- Chuẩn bị máy móc thiết bị;

- Chuẩn bị vật tư, hoá chất dùng trong quá trình phân tích;

- Chuẩn bị mẫu phân tích.

b) Gia công, phân tích mẫu

c) Công tác văn phòng:

- Tính toán và kiểm tra kết quả;

- Giao nộp kết quả.

Chương II

QUY ĐỊNH KỸ THUẬT

 

1. QUY ĐỊNH KỸ THUẬT ĐO ĐỊA CHẤN NÔNG PHÂN GIẢI CAO BẰNG NGUỒN PHÁT AIR-GUN

1.1. Kỹ thuật thi công tại thực địa

1.1.1. Lắp đặt thiết bị

a) Hệ thống điều khiển, thu thập, xử lý số liệu, máy ghi băng được lắp trong buồng kín có diện tích khoảng 12-15m 2 , có điều hoà nhiệt độ để đảm bảo nhiệt độ, độ ẩm trong phòng phù hợp với điều kiện làm việc của thiết bị;

b) Lắp đặt hệ thống máy thu với giải đầu thu hydrophone và máy in băng địa chấn;

c) Lắp đặt Air-Gun với hệ thống máy nén khí, phần nguồn phát lắp đặt ở vị trí riêng biệt, thông thoáng ít người qua lại;

d) Hệ thống cáp điện, cáp tín hiệu thu-phát được nối thành mạng giữa các tổ hợp thiết bị, đảm bảo tín hiệu thông suốt;

đ) Phần cáp thu - phát tín hiệu được rải trên sàn tàu phía sau cùng trong diện tích khoảng 10m 2 và được che chắn không để người dẫm lên hoặc các vật nặng đè lên. Hệ thống cáp tín hiệu này được thả xuống biển và kéo theo đuôi tàu khi tiến hành khảo sát;

e) Lắp đặt máy phát điện lên boong tàu: gia cố chân đế máy phát điện bằng ốc cỡ lớn siết lên sàn tàu hoặc hàn trực tiếp lên sàn tàu, ở vị trí an toàn, ít người qua lại, không bị ảnh hưởng của nước mưa, sóng biển, đảm bảo khi sóng to, tàu lắc máy phát điện không bị trượt, văng gây nguy cho người lao động trên tàu. Hệ thống điện cấp cho các thiết bị phải bố trí lắp đặt đảm bảo an toàn, chống cháy nổ trên tàu;

g) Lắp đặt tời máy và các thiết bị hỗ trợ khác.

1.1.2. Thả thiết bị phát - thu tín hiệu

Sau khi gia cố nguồn phát Air-Gun và đầu thu hydrophone chắc chắn ở vị trí phía sau đuôi tàu:

a) Tiến hành thả nguồn phát Air-Gun (súng hơi) xuống mặt nước và cố định chắc chắn bằng dây chịu lực ở phía đuôi tàu;

b) Thả đầu thu hydrophone xuống mặt nước và cố định bằng dây chịu lực;

c) Sau khi các thiết bị thu phát được thả xuống mặt biển an toàn, tiến hành bật máy chuẩn bị cho công tác đo thử các thông số cần khảo sát.

1.1.3. Đo chọn các thông số

1.1.3.1. Đo chọn các thông số (tần số phát, tần số thu, vị trí đầu phát, đầu thu, hệ số khuyếch đại tổng, tốc độ kéo giấy in băng, tốc độ chạy tàu...) sao cho tài liệu địa chấn thu được phản ánh rõ các cấu trúc, đặc điểm của các đối tượng đến độ sâu nghiên cứu và đảm bảo giải quyết được các mục tiêu, nhiệm vụ địa chất đặt ra. Việc đo chọn thông số được tiến hành trên một đoạn tuyến trong vùng khảo sát.

1.1.3.2. Máy địa chấn nông phân giải cao được kết nối đồng bộ với các thiết bị định vị dẫn đường, đo sâu và các thiết bị khác làm cơ sở cho việc xử lý phân tích và hiệu chỉnh tài liệu sau này.

1.1.3.3. Quy định vận hành đo, lựa chọn các thông số:

1.1.3.3.1. Bước 1:

a) Chạy máy phát điện, kiểm tra sự ổn định của nguồn điện ở mức 220V;

b) Cấp điện vào hệ thống dẫn đến các thiết bị sử dụng điện.

1.1.3.3.2. Bước 2: khởi động máy nén khí, theo dõi đồng hồ áp suất trên bình nén khí đảm bảo đủ áp suất trong bình.

1.1.3.3.3. Bước 3:

a) Bơm khí cho nguồn phát Air-Gun;

b) Khởi động các thiết bị trong tổ hợp của phương pháp, để các thiết bị này làm việc trong chế độ không tải trong khoảng 10-15 phút nhằm đạt đến sự ổn định của thiết bị.

1.1.3.3.4. Bước 4: tiến hành đo đạc, lựa chọn các thông số khảo sát thu thập số liệu trên một đoạn tuyến đo địa vật lý.

1.1.4. Tiến hành đo đạc khi vào tuyến

1.1.4.1. Điều kiện thi công: sóng dưới cấp 5, vận tốc tàu khảo sát chạy ổn định trong khoảng 6km/giờ.

1.1.4.2. Các bước thi công trên tuyến

a) Các bước vận hành thiết bị giống như quy định vận hành đo chọn các thông số ở mục 1.1.3.3;

b) Trong quá trình khảo sát, khi có sự thay đổi về điều kiện địa chất, điều kiện sóng gió, độ sâu đáy biển và các trường hợp khác phải điều chỉnh các thông số kỹ thuật, chọn thông số phù hợp nhất với điều kiện thực tế khảo sát trên tuyến đo;

c) Kết thúc mỗi ngày khảo sát, thiết bị tiếp xúc trực tiếp với nước mặn phải được rửa bằng nước ngọt.

1.2. Kiểm tra, tính toán, xử lý tài liệu

a) Kiểm tra, tiếp nhận tài liệu, bảo quản các tài liệu đo đạc thực địa cùng với tài liệu định vị dẫn đường, đo sâu, nhân bản băng ghi địa chấn để lưu giữ và xử lý phân tích ở thực địa. Số liệu đo đạc sau mỗi ngày làm việc được lưu giữ trong đĩa CD;

b) Xử lý và phân tích sơ bộ tài liệu địa chấn ở thực địa kết hợp với tài liệu đo sonar quét sườn, từ biển, trọng lực nhận biết sơ bộ đặc điểm địa chất, trầm tích đáy biển để kịp thời điều chỉnh các thông số kỹ thuật đo của thiết bị cho hợp lý;

c) So sánh, đối chiếu kết quả đánh giá sơ bộ với các kết quả tổng hợp tài liệu trong vùng nghiên cứu;

d) Đánh giá sự đồng bộ của tài liệu địa chấn nông phân giải cao với tài liệu liên quan khác.

1.3. Văn phòng thực địa

a) Ghi chép, đánh dấu chú giải trên băng ghi địa chấn và nhật ký khảo sát theo tuyến đo một cách chi tiết đảm bảo dễ nhận biết, quản lý tài liệu và theo dõi khối lượng cũng như tiến độ thi công;

b) Lưu giữ số liệu ra đĩa CD;

c) Xác định khu vực cần bố trí các tuyến đo bổ sung đồng thời trên cơ sở các phân tích sơ bộ định hướng cho các công tác thi công ngày tiếp theo.

1.4. Văn phòng sau thực địa và nghiệm thu, giao nộp kết quả

1.4.1. Văn phòng sau thực địa

a) Xử lý phân tích tài liệu địa chấn nông phân giải cao, thành lập các bản đồ;

b) Các quy định xử lý, liên kết và phân tích các số liệu địa chấn nông phân giải cao tuỳ từng yêu cầu và điều kiện cụ thể có thể được áp dụng theo các quy trình, quy phạm đã được ban hành;

c) Tổng hợp khối lượng thi công thực địa, đánh giá sự tăng giảm khối lượng thực hiện so với thiết kế;

d) Đánh giá sai số: trước khi xử lý phân tích tài liệu, trên các băng ghi phải xác định vị trí, số hiệu các điểm dọc theo tuyến đo, xác định vị trí giao cắt giữa các tuyến dọc tuyến ngang và giữa các tuyến thường với tuyến kiểm tra:

- Công việc đánh giá sai số được thực hiện bằng việc so sánh các giá trị độ sâu của các ranh giới phản xạ tương ứng trên băng địa chấn giữa các tuyến dọc các tuyến ngang và tuyến kiểm tra tại các điểm giao cắt. Đánh giá định lượng bằng việc tính sai số trung bình bình phương đến một số ranh giới phản xạ.

- Sai số đo đạc được tính theo công thức:

 

Trong đó:

- δi là giá trị chênh lệch độ sâu tại điểm thứ i giữa hai lần đo;

- n là số điểm cắt tham gia tính sai số.

đ) Lập báo cáo kết quả công tác khảo sát thực địa.

1.4.2. Nghiệm thu và sản phẩm giao nộp:

a) Dữ liệu dạng số phải được ghi vào ổ cứng máy tính theo chương trình đo đạc;

b) Dữ liệu ghi trên băng đo tương tự phản ánh rõ cấu trúc, đặc điểm các đối tượng đến độ sâu cần khảo sát và giải quyết được nhiệm vụ địa chất do đề án đã xác định;

c) Công tác nghiệm thu và giao nộp sản phẩm tuân thủ theo các quy định hiện hành.

2. QUY ĐỊNH KỸ THUẬT ĐO TỪ TRÊN BIỂN BẰNG MÁY SEA-SPY VÀ CÁC MÁY TƯƠNG ĐƯƠNG

2.1. Kỹ thuật thi công tại thực địa

2.1.1. Lắp đặt thiết bị

a) Hệ thống điều khiển, thu thập, xử lý số liệu được lắp trong buồng kín có diện tích khoảng 12-15m2, có điều hoà nhiệt độ để đảm bảo nhiệt độ, độ ẩm trong phòng phù hợp với điều kiện làm việc thiết bị;

b) Lắp cáp tín hiệu thu với đầu thu tín hiệu;

c) Gia cố, gắn cố định tời cáp thu tín hiệu với sàn tàu ở phía đuôi tàu, buộc phao nổi cho cáp thu, phao định vị cho đầu thu. Đảm bảo khi thả cáp thu xuống mặt nước, kéo sau đuôi tàu được an toàn;

d) Đo và đánh dấu chiều dài cáp thu để thuận lợi cho việc xác định chiều dài thả cáp trong quá trình thi công;

đ) Đấu đầu cáp thu tín hiệu với bộ xử lý và thu thập số liệu;

e) Đấu bộ phận thu thập tín hiệu với máy tính;

g) Hệ thống cáp điện, cáp tín hiệu thu - phát được nối thành mạng giữa các tổ hợp thiết bị, đảm bảo tín hiệu thông suốt;

h) Phần cáp thu - phát tín hiệu được rải trên sàn tàu phía sau cùng và được che chắn không để người dẫm lên hoặc các vật nặng đè lên. Hệ thống cáp tín hiệu này được thả xuống biển và kéo theo đuôi tàu khi tiến hành khảo sát;

i) Lắp đặt máy phát điện lên boong tàu: gia cố chân đế máy phát điện bằng ốc cỡ lớn siết lên sàn tàu hoặc hàn trực tiếp lên sàn tàu, ở vị trí an toàn, ít người qua lại, không bị ảnh hưởng của nước mưa, sóng biển, đảm bảo khi sóng to, tàu lắc máy phát điện không bị trượt, văng gây nguy hiểm cho người lao động trên tàu. Hệ thống điện cấp cho các thiết bị được bố trí lắp đặt đảm bảo an toàn, chống cháy nổ trên tàu;

k) Lựa chọn điểm đặt trạm đo biến thiên từ trên bờ, lắp đặt máy của trạm biến thiên (theo quy định tạm thời của công tác đo vẽ lập bản đồ địa chất và tìm kiếm khoáng sản tỷ lệ 1:500.000).

2.1.2. Đo thử máy và thiết bị

2.1.2.1. Bước 1: chạy thử máy phát điện ở chế độ không tải và chế độ có tải;

2.1.2.2. Bước 2: chạy thử thiết bị định vị dẫn đường GPS ở chế độ tĩnh (không chạy tàu);

2.1.2.3. Bước 3: lựa chọn dải đo (datum) của máy đo trường từ (máy từ biển, máy đo biến thiên từ) phù hợp với giá trị trường bình thường của vùng nghiên cứu;

2.1.2.4. Bước 4: đo Deviaxia để xác định ảnh hưởng của hướng đo (hướng tàu chạy):

a) Lựa chọn vùng đo Deviaxia thoả mãn điều kiện:

- Vùng có địa hình đáy biển tương đối bằng phẳng;

- Trường từ tuyến tính với gradient trường từ nhỏ.

b) Tiến hành đo trường từ theo 8 hướng với 4 tuyến cắt qua điểm trung tâm, trên mỗi tuyến có đo đi và đo theo chiều ngược lại, cuối cùng đo lặp lại hướng tuyến đo đầu tiên;

c) Tài liệu đo Deviaxia phải được hiệu chỉnh biến thiên từ, tốt nhất chọn đo vào thời điểm có biến thiên từ nhỏ nhất.

d) Các chuyến đo kỹ thuật (nêu ở bước 3 và bước 4) được tiến hành cho mỗi mùa khảo sát thực địa; khi sửa chữa thay thế máy từ và khi thay đổi tàu khảo sát.

2.1.3. Thi công tại thực địa

a) Bước 1: trước khi vào vùng khảo sát (khoảng 1km) thả đầu thu máy từ biển phía sau tàu;

b) Bước 2: khởi động máy phát điện;

c) Bước 3: khởi động máy từ hoạt động và phân công người theo dõi thường xuyên. Kiểm tra lại các tham số đo đạc của máy từ (datum, chu kỳ đo), sự đồng bộ số liệu đo từ và số liệu định vị GPS;

d) Bước 4: khi tới vị trí tuyến thiết kế, tiến hành đo đạc khảo sát thu thập số liệu. Trong quá trình đo đạc thu thập số liệu từ biển, phải thường xuyên theo dõi tình trạng hoạt động của máy cùng việc chọn chế độ hiển thị dữ liệu đo đạc đồng thời ở dạng dữ liệu số và đồ thị - tiện cho việc phát hiện và theo dõi dị thường từ trong các tuyến đo;

đ) Bước 5: nhóm trực theo dõi máy từ phải ghi nhật ký đầy đủ các thông tin về hành trình đo đạc khảo sát: ngày tháng; tuyến đo; thời gian bắt đầu; thời gian kết thúc tuyến; chiều dài tuyến đo, vị trí đặc điểm dị thường. Những ghi chú đặc biệt khác như đặc điểm địa hình đáy biển; đặc điểm ảnh sonar quét sườn, các nguồn nhiễu có trên tuyến khảo sát (các phương tiện tàu thuyền, các nguồn nhiễu khác) cần đặc biệt quan tâm tại những vị trí ghi nhận được các dị thường từ;

e) Bước 6: theo dõi thường xuyên bộ phận kéo thả đầu thu và cảnh giới về mức độ an toàn của thiết bị được thả sau tàu. Khi có sự cố xảy ra phải kịp thời thông báo cho người có trách nhiệm biết để xử lý;

g) Bước 8: khi chuyển hướng tuyến đo đột ngột, cho tàu giảm tốc độ và tiến hành kéo vớt thiết bị lên. Sau khi hướng tàu chạy đã ổn định, bắt đầu thả lại thiết bị xuống biển sau đuôi tàu;

h) Bước 9: kết thúc ngày làm việc cho tàu giảm tốc độ, tắt máy đo từ và nhanh chóng kéo vớt thiết bị lên, sau đó tắt máy phát điện.

Đo từ biển được tiến hành đồng thời với đo biến thiên từ tại các trạm cố định trên bờ hoặc trên đảo, chú ý đặt trạm đo biến thiên từ ở những nơi không có biểu hiện hiệu ứng bờ. Khi diện tích vùng khảo sát lớn phải xác định số lượng trạm đo biến thiên thích hợp.

2.1.4. Kiểm tra, đánh giá, xử lý tài liệu

Công tác kiểm tra, đánh giá, xử lý tài liệu thực địa được thực hiện cuối mỗi tuyến khảo sát hoặc sau khi kết thúc khảo sát một số tuyến, để:

a) Đánh giá chất lượng tài liệu đo biến thiên từ và quy luật biến thiên từ của vùng nghiên cứu so với quy luật chung của khu vực;

b) Kiểm tra đánh giá chất lượng tài liệu đo từ biển: dựa trên việc kiểm tra chất lượng các file số liệu đo từ biển, mức độ đồng bộ giữa số liệu từ và số liệu định vị GPS, mức độ biến đổi trường từ ghi nhận được trong vùng nghiên cứu ứng với các đối tượng địa chất có mặt trong vùng;

c) Kiểm tra, tiếp nhận, đánh giá chất lượng tài liệu, bảo quản các tài liệu đo đạc ngoài thực địa cùng với tài liệu định vị dẫn đường để lưu giữ và xử lý phân tích ở thực địa. Số liệu sau mỗi ngày làm việc phải được lưu giữ trong đĩa CD;

d) Xử lý và phân tích sơ bộ tài liệu ở thực địa để nhận biết khái quát đặc điểm địa chất nhằm kịp thời điều chỉnh các thông số kỹ thuật đo của thiết bị cho hợp lý;

đ) So sánh, đối chiếu kết quả đánh giá sơ bộ với các kết quả tổng hợp tài liệu trong vùng nghiên cứu;

e) Đánh giá sự đồng bộ của tài liệu đo từ biển với tài liệu liên quan khác.

2.1.5. Văn phòng thực địa

a) Ghi chép nhật ký hành trình, thời gian ra - vào tuyến đo, điều kiện thời tiết;

b) Kiểm tra dữ liệu trong đĩa CD;

c) Xác định khu vực cần bố trí các tuyến đo bổ sung trên cơ sở các phân tích sơ bộ định hướng cho các công tác thi công ngày tiếp theo;

d) Tiếp nhận, bảo quản các tài liệu, xử lý thực địa các số liệu từ (số liệu đo từ biển, số liệu đo biến thiên từ), giải đoán sơ bộ để điều chỉnh và đưa ra các giải pháp kỹ thuật để có được các số liệu địa vật lý, định hướng cụ thể cho các công việc tiếp theo.

2.1.6. Văn phòng sau thực địa và nghiệm thu, giao nộp kết quả

2.1.6.1. Văn phòng sau thực địa

a) Xử lý tài liệu liên kết (nội, ngoại), cân bằng mạng lưới và phân tích các số liệu từ biển tuỳ từng yêu cầu và điều kiện cụ thể áp dụng theo các quy định đã được ban hành của công tác thăm dò từ mặt đất, công tác bay đo từ hàng không. Các bản đồ trường từ được thành lập gồm bản đồ trường từ tổng T, bản đồ trường dị thường từ ∆Ta;

b) Tổng hợp khối lượng thi công thực địa, đánh giá sự tăng giảm khối lượng thực hiện so với thiết kế;

c) Đánh giá sai số: chất lượng tài liệu đo từ biển được đánh giá bằng sai số bình phương trung bình:

Trong đó:

- δi là giá trị chênh lệch tại điểm thứ i giữa hai lần đo;

- n là số điểm giao cắt giữa tuyến ngang và tuyến dọc, tuyến cắt chéo tham gia tính sai số.

d) Phương pháp tính toán, xử lý sai số được thực hiện theo quy định kỹ thuật về thăm dò từ mặt đất;

đ) Lập báo cáo kết quả thi công thực địa.

2.1.6.2. Nghiệm thu và giao nộp kết quả thực địa

a) Sản phẩm giao nộp gồm: file dữ liệu, sơ đồ tuyến đo, đồ thị, mặt cắt, các bản đồ và báo cáo. Tất cả dữ liệu được ghi vào đĩa CD.

b) Công tác nghiệm thu và giao nộp kết quả tuân thủ theo các quy định hiện

hành.

3. QUY ĐỊNH KỸ THUẬT KHOAN MÁY BÃI TRIỀU

3.1. Kỹ thuật thi công tại thực địa

3.1.1. Công tác chuẩn bị hiện trường

3.1.1.1. Xác định vị trí các lỗ khoan bãi triều:

3.1.1.1.1. Bước 1: xác định vị trí lỗ khoan theo thiết kế bằng máy định vị vệ tinh GPS độ sai số cho phép từ 2-5m.

3.1.1.1.2. Bước 2: xác định các điều kiện cần thiết để thi công khoan:

a) Lựa chọn, thiết kế mặt bằng thi công khoan: xác định vị trí lỗ khoan nằm trong vùng ảnh hưởng của thủy triều khi thiết kế nền khoan phải đảm bảo khi triều lên sàn khoan ngập không quá 50cm;

b) Điều kiện địa chất: xác định vị trí có đặc điểm địa chất đảm bảo thực hiện mục tiêu kỹ thuật của công tác khoan, gồm: đặc điểm địa tầng, chiều dày lớp phủ đệ tứ, cấu trúc địa chất;

c) Điều kiện giao thông: xác định vị trí thuận tiện để vận chuyển máy khoan, các vật tư phục vụ và mẫu thu thập được;

d) Trường hợp vị trí thiết kế của lỗ khoan không đáp ứng được các điều kiện cần thiết để tiến hành công tác khoan thì kỹ thuật tổ khoan phải thực hiện các bước sau:

- Tiến hành lập biên bản thay đổi vị trí khoan;

- Báo cáo chủ nhiệm đề án và cơ quan chủ trì về việc thay đổi vị trí khoan;

- Xác định vị trí lỗ khoan mới có điều kiện phù hợp để thực hiện công tác khoan (các tiêu chí xác định đảm bảo như trên);

- Lập biên bản xác định vị trí lỗ khoan theo thực tế;

- Báo cáo, xin phép chủ nhiệm đề án và cơ quan chủ trì về việc khoan tại vị trí mới;

- Biên bản thi công khoan tại vị trí thực tế;

3.1.1.1.3. Bước 3: đánh dấu vị trí lỗ khoan, làm đường, gia cố các khóa để cột chặt đế máy, gia cố nền đối với các khu vực đất yếu. Vật liệu gia cố gồm xi măng, cát sỏi, đá, nước được trộn đúng tỷ lệ, rải đều tạo nền khoan. Cấu tạo của nền khoan phải đảm bảo các yêu cầu sau đây:

a) Nền khoan chắc chắn, ổn định đảm bảo cho việc tiến hành công tác khoan trong suốt thời gian khoan;

b) Mặt nền khoan bằng phẳng, chắc chắn, thoát nước tốt;

c) Khi làm nền khoan phải tính đến các yếu tố ảnh hưởng của nền khoan với các nhân tố địa hình, địa chất, thủy văn, các hoạt động kinh tế, quốc phòng hoặc các công trình ở gần đó.

Bảng 1. Kích thước nền khoan đối với mỗi loại thiết bị

STT

Loại thiết bị

Kích thước (m)

Nền khoan

Sàn khoan

1

Bộ khoan tay

4 x 4

5 x 5

2

Máy khoan XY-100

4 x 6

5 x 7 x 1

3

Máy khoan XJ-100, GX-1T

4 x 6

5 x7 x 0,12

4

Máy khoan XU-300, CKB-4, CBA- 500

6 x 8

7 x 10

5

Máy khoan tư hành Ytb-50, ZUΦ - 150

6 x 10

7 x 10

6

Máy khoan bYKC-30, Ykb 12/25

3 x 3

4 x 4

3.1.1.2. Dựng tháp, lắp đặt hệ thống khoan

3.1.1.2.1. Các thao tác lắp đặt gồm:

a) Dựng tháp khoan: giáp nối tháp khoan, lắp ròng rọc, dựng tháp khoan, căn chỉnh tháp khoan vào đúng vị trí nền khoan;

b) Lắp đặt bệ máy khoan: dùng pa-lăng xích nâng bệ máy vào vị trí nền khoan;

c) Lắp đặt đầu nổ: dùng pa-lăng xích lắp đầu nổ vào bệ máy khoán, xiết chặt đai ốc đảm bảo máy không bị lệch;

d) Lắp bộ số và tời khoan;

đ) Lắp bộ đầu khoan.

3.1.1.2.2. Khi lắp máy khoan lên bệ cần đảm bảo các yêu cầu sau:

a) Lau chùi sạch các bộ phận của máy;

b) Kiểm tra và cho đầy đủ dầu mỡ vào các ổ và cơ cấu chuyển động cần bôi trơn theo đúng hướng dẫn kỹ thuật của từng loại máy;

c) Lắp đầy đủ các chi tiết của máy;

d) Xiết chặt các đinh ốc liên kết, nếu liên kết bằng hai đinh ốc trở lên phải vặn đều các ốc đối xứng nhau cho đến khi chặt.

3.1.1.2.3. Khi lắp hệ thống bơm dung dịch khoan cần chú ý các điểm sau:

a) Lắp đồng hồ đo áp lực dung dịch khoan;

b) Đặt đầu hút dung dịch dưới bề mặt từ 0,3 - 0,4 mét và không để rác làm tắc đầu hút;

c) Ống hút và ống đẩy của máy bơm phải chịu dược áp lực hút và áp lực đẩy tương ứng với loại máy bơm (không vượt quá công suất của máy).

3.1.1.2.4. Sau khi lắp đặt xong máy khoan cần tiến hành kiểm tra:

a) Độ chắc chắn và độ chính xác của các bộ phận máy;

b) Mức độ bôi trơn các bộ phận của thiết bị;

c) Trạng thái hoạt động của các cơ cấu truyền lực giữa các bộ phận máy như dây curoa, bánh răng, trục các-đăng cần phát hiện và loại trừ các vật lạ giữa các cấu kiện chuyển động;

d) Tình trạng dây cáp ở ròng rọc đỉnh tháp và dọc theo chân tháp;

đ) Tình trạng của phanh hãm, sự hoạt động bình thường của cần gạt hãm, má phanh (đĩa phanh có dầu, mỡ, nước phải lau khô);

e) Trạng thái kỹ thuật của máy nổ;

g) Tình trạng của các bộ phận bảo vệ an toàn;

h) Độ chính xác của trục khoan;

i) Đưa cần gạt điều khiển (hộp số) về vị trí 0 (chế độ không làm việc);

k) Sau khi kiểm tra và xử lý các sai lệch của máy xong mới cho máy chạy thử.

3.1.1.3. Chuẩn bị dung dịch khoan:

a) Xung quanh vị trí lỗ khoan tìm vị trí thích hợp để đào hố dung dịch, tiến hành đào hai hố phục vụ chứa dung dịch khoan: hố lắng là hố chứa dung dịch từ lỗ khoan chảy ra và một hố dùng để chứa dung dịch cấp cho lỗ khoan;

b) Các hố dung dịch này là phải được lót bạt chống thấm cẩn thận để tránh lẫn vật chất thô khác gây tắc bơm.

c) Tiến hành phối liệu dung dịch và trộn dung dịch để cho vào hố dung dịch chuẩn bị cho công tác thi công khoan.

3.1.2. Thi công khoan

3.1.2.1.Khoan mở lỗ, hạ ống vách

a) Khoan mở lỗ: khoan mở lỗ là công tác tạo lỗ định hướng để quá trình khoan được thực hiện một cách thuận lợi;

b) Khi khoan mở lỗ ở vùng ngập nước hoặc khoan vào những địa tầng không ổn định phải kết hợp công việc khoan lấy mẫu với việc hạ ống vách dẫn hướng vào tầng đất mềm bở khoảng 7-10m bằng cách đóng ống chống xuống nền sau đó lắp ống bù vào phía trên đầu ống để ngăn nước biển. Công việc đặt các ống này phải được chú ý đặc biệt để đảm bảo hướng của lỗ khoan;

c) Khi khoan mở lỗ lúc triều kiệt và tầng trầm tích ổn định: tiến hành khoan lấy mẫu bình thường đến độ sâu cần hạ ống vách, giáp nối ống vách dùng tời và thủy lực ép ống vách xuống.

d) Trước khi hạ ống vách phải đảm bảo các yêu cầu sau:

- Chuẩn bị đủ số lượng ống vách cần thiết;

- Kiểm tra quy cách ống vách: độ thẳng, đầu gen và đường kính ống;

- Phần gen đầu ống vách phải được cọ sạch bằng bàn chải sắt và được bôi trơn bằng mỡ;

- Sắp xếp các loại ống, ghi thứ tự các ống vách hạ xuống lỗ khoan. Khi hạ ống vách phải theo thứ tự đã ghi và hạ các ống vách mới và dài trước, ống vách cũ và ngắn hạ sau.

đ) Trong quá trình hạ ống vách cần phải tuân thủ các yêu cầu sau đây:

- Vặn chặt các ống vách với nhau, ống nào không vặn được hết gen thì không được hạ xuống lỗ khoan;

- Bảo vệ đầu gen, không được dùng vật rắn gõ vào đầu gen;

- Dùng quang treo, cáp và tời để hạ ống vách, không dùng dây thừng buộc trực tiếp vào ống vách để hạ;

- Dùng kẹp gỗ xiết chặt để giữ ống vách ở trên miệng lỗ khoan.

e) Trường hợp hạ ống vách khó khăn hoặc không hạ được đến độ sâu đã khoan, cần dùng biện pháp xoay hoặc kết hợp xoay và chất tải lên ống vách. Nếu xoay ống vách bằng kẹp gỗ phải xoay theo chiều kim đồng hồ và kết hợp vừa xoay vừa lắc để đề phòng nhả gen.

3.1.3. Kỹ thuật chống ống

Khi chống ống vách phải chú ý buộc chặt ống vách bằng cáp tời, ống vách dựng vuông góc với nền. Nếu trong quá trình chống ống mà gặp lớp bùn, phải đóng ống vách qua tầng bùn từ 3- 5m.

3.1.4. Kỹ thuật gia cố vách lỗ khoan

3.1.4.1. Gia cố vách lỗ khoan bằng ống vách

a) Những trường hợp khi gia cố vách lỗ khoan phải dùng ống vách:

- Khoan vào các tầng đất đá bở rời, bị tan rã khi sử dụng dung dịch sét;

- Dung dịch sét không đủ khả năng bảo vệ vách lỗ khoan;

- Khi khoan vào các thành tạo có độ rỗng lớn (sạn sỏi) gây mất lượng dung dịch sét lớn.

b) Căn cứ vào đặc điểm địa tầng của lỗ khoan, độ sâu lỗ khoan, phải lấy các loại mẫu đất, đá, đường kính ống lọc (nếu là khoan bơm hút nước) để lựa chọn số tầng ống vách và đường kính cuối cùng của ống vách.

c) Đối với các đoạn ống vách nằm tự do trong môi trường lỏng hoặc khí để dẫn hướng có chiều dài vượt quá chiều dài tự do cho phép phải có biện pháp chống cong và bảo đảm độ bền chống uốn bằng cách giảm chiều dài tự do, tăng thêm liên kết, đặt trong ống vách lớn hơn.

d) Nên dùng ống vách có đầu nối trong hoặc nối trực tiếp không có gờ ngoài, chỉ dùng các ống vách có đầu nối ngoài làm ống dẫn hướng (trong nước và trong không khí) hoặc để hạ trong lớp đất xốp, mềm yếu. Khi sử dụng loại ống vách này phải tính toán đầy đủ đến khả năng nhổ sau này.

3.1.4.2. Gia cố vách lỗ khoan bằng dung dịch sét (bentonit)

Trong suốt quá trình khoan đều dùng dung dịch sét để giữ thành lỗ khoan. Dung dịch được hòa trộn đúng tỷ lệ đảm bảo các tiêu chuẩn kỹ thuật ghi ở bảng 2.

Bảng 2. Thông số của dung dịch sét

Thông số của dung dịch sét

Đơn vị

Chỉ tiêu

-Trọng lượng thể tích đơn vị γ

g/cm 3

1,05 - 1,30

- Độ nhớt quy ước N

séc

20 - 25

- Hàm lượng cát C

%

Không lớn hơn 4

- Độ keo K

%

Không lớn hơn 5

- Độ ổn định B

g/cm 3

0,02

3.1.5. Kỹ thuật nâng dụng cụ khoan khi triều lên:

a) Khi triều lên ngang mặt sàn nền khoan phải dừng khoan và tiến hành nâng thiết bị tránh ngập nước; thiết bị khoan phải nâng cao hơn mức triều cao nhất.

b) Các thiết bị, dụng cụ được dùng để nâng dụng cụ khoan phải đồng bộ, được sắp xếp ngăn nắp, đảm bảo dễ thấy, dễ lấy.

c) Trước khi nâng dụng cụ khoan thực hiện những việc sau đây:

- Ngừng hoạt động hoặc ngừng quay cột dụng cụ khoan;

- Đo chiều dài cần khoan còn lại trên miệng lỗ khoan và tính độ sâu mũi khoan;

- Kiểm tra tời, dây cáp và các hệ thống móc nối của nó.

d) Các điểm cần lưu ý khi nâng dụng cụ khoan:

- Dùng quang treo hoặc măng xông móc vào đầu cần khoan cùng với dây cáp và tời để nâng dụng cụ khoan;

- Không được dùng tay trực tiếp nâng dụng cụ khoan. Không thả hoặc rút cờlê để cột dụng cụ khoan rơi tự do xuống đáy lỗ khoan;

- Khi giữ cột dụng cụ khoan ở miệng lỗ khoan để tháo lắp, không được dùng cờlê cần khoan mà phải dùng cờlê đuôi cá;

- Khi nâng - hạ cột dụng cụ khoan phải kéo hoặc hạ tời nhẹ nhàng, đều đặn, không được tăng hoặc giảm tốc độ một cách đột ngột. Khi dùng tời phải hãm từ từ, không được phanh đột ngột để tránh hiện tượng giật cáp, gây đứt cáp, gẫy phanh, phá tời, tụt mẫu.

3.1.6. Kỹ thuật khoan khi triều lên

Trong điều kiện thủy triều lên cao và thời gian kéo dài, phải tiến hành khoan trong điều kiện ngập nước để đảm bảo tiến độ chung.

Khi thiết kế sàn khoan bằng bê tông phải tham khảo bảng thủy triều sao cho mực nước triều cao nhất không vượt quá 50 cm so với nền sàn khoan.

Dùng tời nâng thiết bị khoan lên khỏi mặt sàn khoan bê tông, dùng gỗ hộp kích thước 15cm x 15cm x 200cm tạo sàn khoan bằng cách xếp song song cách nhau 10-30cm, lớp gỗ bên trên xếp vuông góc với lớp gỗ bên dưới đảm bảo đủ lực đỡ toàn bộ thiết bị khoan. Dùng vam sắt khóa các thanh gỗ để đảm bảo độ liên kết và sàn khoan không rung lắc khi vận hành máy khoan.

Nối dài ống chống, ống vách sao cho đầu ống vách cao hơn mực nước triều đảm bảo không để nước triều tràn vào lỗ khoan.

Sau khi hoàn thiện việc kê sàn gỗ, nâng thiết bị khoan và nâng ống chống lên độ cao mới, tiếp tục thi công khoan như quy định tại mục 3.1.2.

Việc thi công khoan khi triều lên chỉ là giải pháp tạm thời và trở lại hoạt động khoan bình thường khi nước rút.

3.1.7. Kỹ thuật lấy mẫu lõi khoan, mô tả và bảo quản mẫu

3.1.7.1. Kỹ thuật lấy mẫu lõi khoan:

a) Khi lấy mẫu lõi khoan yêu cầu phải kiểm tra một số điểm sau:

- Tùy từng loại đất đá mà lấy mẫu nguyên dạng hay không nguyên dạng; sử dụng dụng cụ lấy mẫu phù hợp;

- Đảm bảo lấy mẫu liên tục từ trên xuống dưới.

b) Khi khoan lấy mẫu tiếp, phải làm vệ sinh sạch mùn khoan dư thừa đến đúng độ sâu đã khoan của lần trước mới được phép khoan lấy mẫu (nếu độ sâu đã khoan có sự chênh lệch với cần khoan khi hạ xuống);

c) Dừng khoan, xác định độ sâu đổi tầng khi phát hiện có sự thay đổi địa tầng (thay đổi thành phần, tính chất trạng thái, nguồn gốc thành tạo);

d) Khi dừng khoan để nâng cần khoan phải đo phần cần khoan còn lại từ miệng lỗ để tính độ sâu lỗ khoan thực tế;

đ) Lấy ống khoan lên, bơm mẫu ra khay;

e) Sau khi xếp mẫu lõi khoan, khay mẫu được di chuyển vào vị trí an toàn phục vụ việc mô tả và bảo quản mẫu tiếp theo.

3.1.7.2. Mô tả và bảo quản mẫu lõi khoan

a) Tiến hành mô tả mẫu với đầy đủ các thông số yêu cầu. Các thông số cần mô tả trong nhật ký và trong thiết đồ lỗ khoan thực tế gồm:

- Số thứ tự lần khoan;

- Độ sâu khoan: khoan từ độ sâu đến độ sâu tính bằng (m);

- Chiều dài mẫu thu được, tỷ lệ lấy mẫu;

- Loại trầm tích (cát, bùn, sét, cát bùn); màu sắc; tỷ lệ % cát, bột, vụn sinh vật (màu sắc, kích thước, tính chất bảo tồn), mùn thực vật (xác định thân hay lá thực vật, màu sắc, tính chất phân hủy, bề dày); độ mài tròn-chọn lọc của cát, sỏi; tính chất phân lớp và thế nằm của trầm tích; sơ bộ xác định thành phần khoáng vật của cát, sạn, sỏi; xác định đá, laterit; tính chất cơ lý (dẻo, mềm, dẻo cứng, cứng); xác định ranh giới địa chất, các bề mặt phong hóa; dự đoán nguồn gốc và tuổi dự kiến.

b) Chụp ảnh mẫu thu được.

c) Sau khi mô tả xong, tiến hành bọc mẫu bằng túi nilon, xếp vào khay mẫu theo thứ tự từ trên xuống dưới, từ trái qua phải (tránh nhầm lẫn đầu cuối của đoạn mẫu), sau đó đánh số đoạn mẫu từ nhỏ đến lớn theo số tự nhiên.

d) Dùng thẻ gỗ viết các thông số: ký hiệu lỗ khoan, số lần khoan, độ sâu khoan thu được đặt vào cuối của lần khoan trong khay mẫu.

đ) Mẫu khoan được đựng trong khay khoan có nắp đậy để tránh ảnh hưởng của ánh sáng và nhiệt độ.

3.1.8. Các công tác sau khi khoan

3.1.8.1. Nhổ ống chống (ống vách)

Trước khi nhổ ống vách cần lưu ý một số vấn đề sau:

a) Bảo vệ đầu gen, không được dùng vật rắn gõ vào đầu gen;

b) Dùng quang treo, cáp và tời để nhổ ống vách, không được dùng dây thừng buộc trực tiếp vào ống vách để hạ hoặc nhổ ống vách;

c) Căn cứ vào sức nâng của tời mà định số lượng ống vách cẩu mỗi lần, không được cẩu quá sức nâng của tời;

d) Tuỳ theo trọng lượng của cột ống vách, lực ma sát dọc ống vách mà chọn một trong các biện pháp sau đây để nhổ ống vách:

- Phối hợp giữa lắc kẹp gỗ và dùng tời kéo ống vách lên;

- Dùng kích đến khi thấy nhẹ thì dùng tời kéo ống vách lên;

- Khi đã dùng các biện pháp trên mà vẫn không nhổ được thì dùng biện pháp đóng tạ ngược hoặc kết hợp kích và đóng tạ ngược để nhổ ống vách. Việc lựa chọn biện pháp nào để nhổ ống vách cũng phải dựa trên cơ sở tính toán về lực.

e) Nếu nhổ ống vách bằng tời, phải đảm bảo lực nhổ không vượt quá sức nâng cho phép của tời, cáp và sức chịu của giá khoan.

g) Khi nhổ ống vách bằng kích phải đảm bảo:

- Kích phải được kê trên các gối kê bằng phẳng, chắc chắn;

- Kích từ từ và đều để cho hai trục của kích lên bằng nhau.

h) Sau khi đã rút các ống vách lên khỏi lỗ khoan, rửa sạch, bôi mỡ vào gen để tăng độ bền của ống vách.

3.1.8.2. Tháo dỡ máy móc và vận chuyển

3.1.8.2.1. Yêu cầu chung cho việc tháo dỡ máy móc:

a) Khi tháo dỡ thiết bị máy móc phải được phun rửa sạch bằng nước ngọt và sắp xếp gọn gàng;

b) Không dùng búa lớn để tháo các bộ phận hoặc chi tiết máy, phải dùng đúng cỡ khóa để tránh bị trờn trượt bulông;

c) Đối với các bộ phận, chi tiết máy nhỏ dễ rơi (đinh ốc, miếng đệm, chốt, ống dẫn dầu các chi tiết khác) khi đã được tháo ra phải bảo quản cẩn thận;

d) Đối với các bộ phận chi tiết máy dễ bị hư hỏng, đứt gãy phải có biện pháp bảo vệ, che chắn;

d) Đối với các loại ống lộ ra ngoài như ống dẫn dầu ống xả phải che đậy đề phòng các vật nhỏ, bụi bẩn rơi vào;

đ) Tháo dỡ máy theo từng khối thiết bị như: các thiết bị truyền lực, bộ tời khoan, bộ hộp số, bộ đầu khoan, đầu nổ, đế khoan.

3.1.8.2.2. Đối với từng loại máy khoan:

a) Đối các máy khoan không thuộc dạng tự hành khi tháo dọn máy móc dụng cụ khoan cần theo trình tự sau:

- Xếp dọn dụng cụ khoan;

- Tháo thân máy khoan, máy bơm, máy nổ, khung đỡ;

- Tháo và hạ giá khoan.

b) Đối với các máy khoan tự hành khi kết thúc một lỗ khoan và chuyển sang vị trí khác phải thực hiện các yêu cầu sau:

- Tắt máy khoan và kéo tay gạt sang vị trí trung bình;

- Nếu khoan với dung dịch sét, cần rửa sạch máy khoan;

- Tắt máy bơm, sau đó tắt máy nổ;

- Thu dọn dụng cụ khoan;

- Hạ giá khoan;

- Nâng bệ đỡ sau của khung;

- Nâng kích đỡ.

c) Hạ tháp khoan:

- Đối với các loại giá khoan rời không gắn liền với máy khoan, nhất thiết phải tháo dỡ từ trên xuống dưới. Các thanh giằng liên kết ở hai chân cố định chỉ được tháo ra sau khi giá khoan đã được hạ xuống mặt đất;

- Đối với giá khoan của máy khoan tự hành, trước khi hạ giá khoan phải tháo đế tựa ở hai chân giá, kéo tay gạt sang vị trí hạ sau đó mới được hạ giá khoan.

3.1.8.2.3. Thu dọn dụng cụ khoan:

a) Xếp đặt riêng biệt các loại dụng cụ, ống vách, cần khoan;

b) Phân loại chất lượng dụng cụ cần sửa chữa, thay thế.

c) Kết hợp làm công tác bảo dưỡng và bảo vệ dụng cụ như lau chùi, tra mỡ vào các đầu ren, lắp các đầu bảo vệ vào ống vách.

3.1.8.2.4. Công tác vận chuyển:

a) Trước và sau khi vận chuyển máy móc, dụng cụ khoan đến công trình mới, phải tiến hành kiểm kê toàn bộ tài sản. Nếu dụng cụ thiếu, hỏng phải lập báo cáo gửi về đơn vị chủ quản để có phương án bảo dưỡng, mua sắm mới;

b) Trong quá trình vận chuyển phải đảm bảo các quy định về an toàn lao động.

3.1.8.3. Lấp lỗ khoan bãi triều

a) Dùng loại đất tương đương với loại đất của từng lớp đất trong lỗ khoan để lấp, riêng đối với phần lỗ khoan qua đá, dùng đất sét hoặc đất sét pha nặng để lấp;

b) Khi lấp bằng đất dính, phải đập nhỏ hoặc viên đất thành hòn có kích thước bằng 1/2 ~ 1/3 đường kính lỗ khoan;

c) Thả dần vật liệu vào lỗ khoan theo từng mét rồi kích ống vách lên từng mét cho đến khi lấp hết lỗ (tránh làm tắc lỗ khoan);

d) Lập biên bản sau khi lấp lỗ khoan, chôn cột vào hố khoan đánh dấu vị trí lỗ khoan (các thông số ghi trên cột: số hiệu lỗ khoan, tọa độ, ngày kết thúc).

3.2. Kiểm tra, theo dõi khoan

a) Cán bộ kỹ thuật thường xuyên kiểm tra, theo dõi kỹ thuật thi công khoan, tỷ lệ lấy mẫu khoan, độ sâu khoan, ghi chép mô tả mẫu lõi khoan, lập cột địa tầng lỗ khoan, sắp xếp mẫu khoan;

b) Sau khi kết thúc công tác khoan tại hiện trường, lập biên bản kết thúc lỗ khoan và biên bản nghiệm thu công trình khoan máy theo các quy định hiện hành.

3.3. Văn phòng thực địa

Công tác văn phòng thực địa được tiến hành trong một khoảng thời gian nhất định, gồm:

a) Sắp xếp các mẫu thu được vào khay đựng mẫu, viết nhãn mẫu cho từng lần khoan;

b) Hoàn thiện nhật ký khoan, tính toán tỷ lệ lấy mẫu;

c) Hoàn thiện cột địa tầng lỗ khoan.

3.4. Văn phòng sau thực địa và nghiệm thu, giao nộp kết quả

3.4.1. Văn phòng sau thực địa

a) Hoàn thành tài liệu thực địa gồm: nhật ký, bản đồ thực tế, thiết đồ khoan cho từng lỗ khoan, lập danh sách mẫu;

b) Hoàn chỉnh các tài liệu liên quan đến việc đình khoan, mở khoan, nghiệm thu thực địa.

3.4.2. Nghiệm thu và giao nộp kết quả thực địa

Sản phẩm giao nộp: nhật ký khoan, nhật ký địa chất (sổ mô tả lỗ khoan của kỹ thuật theo dõi khoan) thiết đồ lỗ khoan, mẫu lõi khoan đến độ sâu thực tế khoan được và các tài liệu liên quan khác.

Công tác nghiệm thu và giao nộp sản phẩm tuân thủ theo các quy định hiện hành.

4. QUY ĐỊNH KỸ THUẬT KHOAN BIỂN BẰNG GIÀN KHOAN TỰ CHẾ

4.1. Kỹ thuật thi công tại thực địa

4.1.1. Công tác chuẩn bị hiện trường

4.1.1.1. Lắp đặt giàn khoan, thiết bị khoan:

a) Lắp đặt giàn khoan:

- Kích thước mỗi phao: 2 x 6 x 1m, dùng 2 phao ghép lại bằng các thanh ghi, và ốc hãm chữ U. Khoảng cách các thanh ghi sao cho vừa đảm bảo độ ổn định của giàn khoan và đảm bảo máy khoan được đặt và bắt vào các thanh ghi, khoảng cách 2 phao cách nhau 0,9- 1m.

Hình 1. Sơ đồ lắp ghép phao nổi (nâng giàn khoan)

Ghi chú: 1- Khối liên kết các phao, 2- Thanh giằng, 3- Phao nổi, 4- Vị trí đặt máy khoan, 5- Vị trí lắp động cơ, 6- Tời neo, 7- Tháp khoan, 8- Phòng điều khiển, 9- Mặt cắt đứng theo chiều AB

- Tời neo: được bắt chặt vào 4 góc phao, sử dụng hệ thống bánh răng có cá trượt để cố định cáp neo.

- Hệ tuần hoàn:

b) Dung tích thùng chứa: 2 thùng × 12m 3 .

c) Máy bơm.

- Neo: sử dụng cho giàn khoan trên phao 6 neo  70kg, cáp neo dài 150m, 4 neo bố trí ở 4 góc, 2 neo bố trí ở 2 đầu gian khoan (theo chiều dòng chảy lúc triều lên và lúc triều xuống), neo được thả và kéo bằng tàu nhỏ.

- Lắp đặt hệ thống neo, tời neo, giá neo;

- Lắp đặt hệ thống chiếu sáng, thiết bị cứu sinh, cứu hỏa, an toàn lao động;

- Lắp đặt máy phát điện.

d) Lắp đặt thiết bị khoan, bao gồm:

- Dựng tháp khoan: sau khi giáp nối tháp khoan chắc chắn, lắp ròng rọc, dựng tháp khoan, căn chỉnh tháp khoan vào đúng vị trí nền khoan;

- Lắp đặt bệ máy khoan: dùng pa-lăng xích nâng bệ máy vào vị trí nền khoan;

- Lắp đặt đầu nổ: dùng pa-lăng xích lắp đầu nổ vào bệ máy khoan, xiết chặt đai ốc đảm bảo máy không bị lệch;

- Lắp bộ số và tời khoan;

- Lắp bộ đầu khoan;

- Lắp đặt hệ thống bơm dung dịch.

Hình 2. Sơ đồ lắp ghép giàn khoan (nhìn ngang)

đ) Công tác lắp đặt giàn khoan, thiết bị khoan cần:

- Lau chùi sạch các bộ phận, chi tiết của giàn khoan, thiết bị khoan;

- Tra dầu mỡ vào các ổ và cơ cấu chuyển động cần bôi trơn theo đúng hướng dẫn kỹ thuật của từng loại thiết bị;

- Lắp đầy đủ các chi tiết, bộ phận của giàn, thiết bị;

- Xiết chặt các đinh ốc liên kết, nếu liên kết bằng hai đinh ốc trở lên phải vặn đều các ốc đối xứng nhau cho đến khi chặt;

Hình 3. Sơ đồ lắp ghép sàn khoan (nhìn từ trên xuống)

 

- Sau khi lắp đặt xong, kiểm tra tính đồng bộ của hệ thống: tính cân bằng của hệ thống nổi, độ chắc chắn và độ chính xác của các bộ phận máy; độ bôi trơn các bộ phận của thiết bị; trạng thái hoạt động của các cơ cấu truyền lực giữa các bộ phận máy, cần phát hiện và loại trừ các vật lạ giữa các cấu kiện chuyển động.

4.1.1.2. Dẫn đường đưa giàn khoan vào vị trí thi công, neo cố định giàn khoan, xác định tọa độ, độ sâu đáy biển.

a) Sử dụng tàu lai dắt đưa giàn khoan vào khu vực thi công, công tác dẫn đường sử dụng định vị GPS có sai số từ 2-5m;

b) Sử dụng tàu dẫn đường đi đến đúng vị trí khoan (đã thiết kế), sau đó thả phao tiêu để đánh dấu vị trí;

c) Thả neo để giữ giàn khoan ở khu vực gần vị trí khoan;

d) Sử dụng tàu nhỏ để thả 4 neo đến các vị trí đã thiết kế: tại các vị trí thả neo phải thả phao tiêu (có đèn vào ban đêm) để báo hiệu cho các phương tiện hàng hải lưu thông trong khu vực;

đ) Sử dụng tời căn chỉnh dây neo để đưa giàn khoan vào đúng vị trí thiết kế;

e) Ghi chép tọa độ, độ sâu vị trí khoan;

g) Kiểm tra độ ổn định của hệ thống giàn trước khi tiến hành khoan: phải neo giàn tại vị trí khoan khoảng ½ ngày để kiểm tra độ ổn định của giàn, thường xuyên sử dụng định vị vệ tinh kiểm tra sự dịch chuyển của giàn; xác định các neo có độ bám đáy không tốt để có biện pháp khắc phục phù hợp, căn chỉnh dây neo, thả lại neo, thả thêm neo để tăng độ bám đáy.

Trường hợp vị trí lỗ khoan thiết kế không đáp ứng được các yêu cầu cần thiết để tiến hành khoan, phải tiến hành các thủ tục thay đổi vị trí khoan như mục 3.1.1.1.

4.1.2. Thi công khoan

4.1.2.1. Lựa chọn phương pháp khoan

a) Lựa chọn phương pháp khoan đảm bảo các yêu cầu sau đây:

- Phát hiện chính xác địa tầng, lấy được các loại mẫu đất, đá;

- Đạt năng suất khoan cao, hao phí vật tư ít và tiến độ thi công nhanh;

- Đảm bảo kỹ thuật và an toàn lao động.

b) Trong quá trình khoan phải theo dõi liên tục hiệu quả của phương pháp khoan đã dùng để kịp thời điều chỉnh hoặc thay đổi phương pháp khoan đạt yêu cầu đã đề ra.

4.1.2.2. Khoan mở lỗ

Khoan mở lỗ là tạo lỗ định hướng trong quá trình khoan. Đối với việc khoan mở lỗ ở vùng ngập nước phải kết hợp công việc khoan với việc hạ ống vách dẫn hướng vào tầng đất mềm bở khoảng 1,5m đến 2m bằng cách đóng ống chống xuống nền. Sau đó lắp ống bù vào phía trên đầu ống để ngăn nước biển. Công việc đặt các ống này phải được chú ý đặc biệt để đảm bảo hướng của lỗ khoan.

4.1.2.3. Các phương pháp khoan

a) Khoan đóng: để lấy mẫu sét khá rắn và dẻo, cố kết khá vững chắc. Đây là phương pháp đóng ống mẫu xuống địa tầng để lấy mẫu nguyên dạng. Lần đóng giới hạn trong khoảng 0,45m/lần.

b) Khoan nén: là dùng áp lực dụng cụ khoan để nén ống mẫu xuống địa tầng để lấy mẫu. Khoan nén để lấy mẫu sét dẻo. Lần tối ưu là 0,4m/lần.

Bảng 3. Đường kính khoan đối với một số loại đất đá

Tính chất đất đá

Đường kính khoan

 

93

112

132

151

 

Áp lực đáy (kg/cm2)

Đất đá cấp IV -VII

360-800

360-800

480-900

480-900

Đất đá cấp IV -VII, xen kẽ có mài mòn

960-1200

960-1200

1200-1800

1200-1800

Đất đá mài mòn

960-1600

960-1600

1200-1800

 

Đất đá mài mòn nứt nẻ

1200-1300

1800-2000

1800-2000

 

 

Vận tốc quay (vòng/phút)

Đất đá cấp IV - VII

250-350

200-280

160-230

130-180

Đất đá cấp IV - VII, xen kẽ có mài mòn

230-330

180-250

140-200

110-160

Đất đá mài mòn

150-250

110-130

90-160

80-130

Đất đá mài mòn có nứt nẻ

150-250

110-170

90-140

70-120

 

Lưu lượng nước rửa (lít/phút)

Tất cả đất đá

90-110

110-130

115-160

150-180

c) Khoan xoay: là khoan bằng ống mẫu nguyên dạng để lấy mẫu sét, cát, đá.

4.1.2.4. Kỹ thuật gia cố vách lỗ khoan, chống mất nước và ngăn nước trong lỗ khoan

a) Gia cố vách lỗ khoan bằng dung dịch sét (bentonit): khi khoan thăm dò dùng dung dịch sét (bentonít) để giữ thành lỗ khoan.

b) Gia cố vách lỗ khoan bằng ống vách trong những trường hợp sau đây:

- Khoan vào các tầng đất đá bở rời, bị tan rã khi sử dụng dung dịch sét;

- Dung dịch sét không đủ khả năng bảo vệ vách lỗ khoan;

- Ngăn cách các lớp chứa nước để nghiên cứu địa chất thủy văn, tính nứt nẻ và tính thấm của các tầng đất đá bằng phương pháp thí nghiệm ngoài trời;

Bảng 4. Các thông số của dung dịch sét

Thông số của dung dịch sét

Đơn vị

Chỉ tiêu

- Trọng lượng thể tích đơn vị γ

g/cm 3

1,05 - 1,30

- Độ nhớt quy ước N

séc

20 - 25

- Hàm lượng cát C

%

Không lớn hơn 4

- Độ keo K

%

Không lớn hơn 5

- Độ ổn định B

g/cm 3

0,02

Căn cứ vào đặc điểm địa tầng của lỗ khoan, độ sâu lỗ khoan, yêu cầu lấy các loại mẫu đất, đá, đường kính ống lọc (nếu là khoan bơm hút nước) để lựa chọn số tầng ống vách và đường kính cuối cùng của ống vách.

c) Đối với các đoạn ống vách nằm tự do trong môi trường lỏng hoặc khi để dẫn hướng có chiều dài vượt quá chiều dài tự do cho phép thì có biện pháp chống cong và bảo đảm độ bền chống uốn bằng cách giảm chiều dài tự do, tăng thêm liên kết, đặt trong ống vách lớn hơn.

d) Nếu khoan ở trong khu vực có nước chảy mạnh hoặc có sóng to thì phải xét đến ảnh hưởng của lực ngang có thể xảy ra đối với đoạn ống tự do và có biện pháp xử lý thích đáng.

Bảng 5. Chiều sâu đặt ống vách trong đất

Loại ống

vách

Đất dính cứng hoặc dẻo cứng Đất rời chặt, sỏi, cuội (ứng với ma sát vách ống là 4T/m2)

Đất dính dẻo chảy hoặc chảy. Đất rời, xốp, bở bão hoà nước (ứng với ma sát vách ống 2T/m2)

Ø146

< 16m

< 30m

Ø127

< 19m

< 38m

Ø108

< 22m

< 44m

Ø 91

< 26m

< 52m

Ø 75

< 32m

< 64m

đ) Nên dùng ống vách có đầu nối trong hoặc nối trực tiếp không có gờ ngoài, chỉ dùng các ống vách có đầu nối ngoài làm ống dẫn hướng (trong nước và trong không khí) hoặc để hạ trong lớp đất xốp, mềm yếu. Khi sử dụng loại ống vách này phải tính toán đầy đủ đến khả năng nhổ sau này.

Bảng 6. Chiều dài tự do cho phép của ống vách kê

- Ở các sơ đồ trên chỉ tính với trường hợp ống vách đủ chịu lực nén do tải trọng bản thân;

- Các sơ đồ ở bảng 6 ứng với các trường hợp liên kết sau:

Sơ đồ A - Phần chân ống vách được ngàm chặt trong đất, đá cứng sâu trên 2m và đầu trên của ống ở trạng thái tự do không có liên kết giữ.

Sơ đồ B - Phần dưới của ống được đặt trong các loại đất xốp mềm hoặc trong đất đá cứng nhưng không sâu tới 2m. Đầu trên của ống có liên kết chống chuyển vị ngang.

Sơ đồ C - Phần dưới ống được ngàm chặt như sơ đồ A. Đầu trên của ống có liên kết như sơ đồ B.

e) Chống mất nước trong lỗ khoan: Khi khoan có bơm rửa bằng dung dịch sét, nếu phát hiện thấy có hiện tượng mất nước thì chọn một trong những phương pháp dưới đây để chống sự mất nước trong lỗ khoan, nhưng không ảnh hưởng đến mục đích và yêu cầu thăm dò:

- Nhồi đất sét để trám vết nứt hoặc lỗ hổng;

- Hạ ống vách.

g) Khi mất nước ở gần đáy lỗ khoan và tầng bị mất nước mỏng thì nhồi đất sét hoặc vữa xi măng xuống đáy lỗ khoan.

h) Nếu mất nước từng phần, dùng dung dịch sét đặc để khoan. Khi mất nước toàn phần dùng ống vách. Chỉ trong trường hợp đặc biệt có yêu cầu trong đề cương khoan hoặc khoan vào tầng đá nứt nẻ nhiều và ở khu vực khoan có nhiều lỗ khoan mới dùng vữa xi măng để ngăn nước hoặc chống mất nước.

4.1.2.5. Kỹ thuật nâng và hạ dụng cụ khoan

a) Các thiết bị, dụng cụ được dùng để nâng hạ dụng cụ khoan phải đồng bộ và được sắp xếp ngăn nắp, đảm bảo dễ thấy, dễ lấy;

b) Trước khi nâng hạ dụng cụ khoan phải làm những việc sau đây;

c) Ngừng hoạt động hoặc ngừng quay cột dụng cụ khoan;

d) Đo chiều dài cần khoan còn lại trên miệng lỗ khoan và tính độ sâu mũi khoan;

đ) Kiểm tra tời, dây cáp và các hệ thống móc nối của nó.

Trường hợp khoan máy có bơm rửa, sau khi ngừng quay cột dụng cụ khoan phải tiếp tục bơm nước, rửa sạch mẫu dư trong lỗ khoan, khi lấy mẫu thì tiến hành chèn và cắt mẫu rồi mới nâng dụng cụ khoan lên.

e) Khi nâng hạ dụng cụ khoan phải dùng quang treo hoặc măng xông móc vào đầu cần khoan cùng với dây cáp và tời.

g) Không dùng tay trực tiếp nâng hạ dụng cụ khoan, không thả hoặc rút cờlê để cột dụng cụ khoan rơi tự do xuống đáy lỗ khoan.

h) Khi giữ cột dụng cụ khoan ở miệng lỗ khoan để tháo lắp, không dùng cờlê cần khoan mà phải dùng cờlê đuôi cá.

i) Khi nâng hạ cột dụng cụ khoan phải kéo hoặc hạ tời từ từ, không được tăng hoặc giảm tốc độ một cách đột ngột. Khi dùng tời phải hãm từ từ, không phanh đột ngột để tránh hiện tượng giật cáp, gây đứt cáp, gẫy phanh, phá tời.

4.1.2.6. Kỹ thuật hạ và nhổ ống vách

a) Trước khi hạ ống vách:

- Đo và kiểm tra độ sâu và đường kính lỗ khoan;

- Rửa sạch mùn khoan;

- Đối với những lỗ khoan sâu cần kiểm tra độ cong của lỗ khoan và xác định độ sâu chuyển đường kính lỗ khoan;

- Chuẩn bị đủ số lượng ống vách cần thiết. Kiểm tra quy cách ống vách, độ thẳng đầu ren và đường kính;

- Phần ren đầu ống vách phải được cọ sạch bằng bàn chải sắt và được bôi trơn bằng mỡ;

- Sắp xếp các loại ống, ghi thứ tự các ống vách sẽ hạ xuống lỗ khoan. Khi hạ ống vách phải theo thứ tự đã ghi và chú ý hạ các ống vách mới và dài trước, ống vách cũ và ngắn hạ sau.

b) Trong quá trình hạ hay nhổ ống vách phải:

- Vặn chặt các ống vách với nhau, ống nào không vặn được hết ren thì không được hạ xuống lỗ khoan;

- Bảo vệ đầu ren, không được dùng vật rắn gõ vào đầu ren;

- Dùng quang treo, cáp và tời khi nhổ hay hạ ống vách, không dùng dây thừng buộc trực tiếp vào ống vách để hạ hoặc nhổ ống vách;

- Căn cứ vào sức nâng của tời mà định số lượng ống vách cẩu mỗi lần, không được cẩu quá sức nâng của tời;

- Dùng kẹp gỗ xiết chặt để giữ ống vách ở trên miệng lỗ khoan.

c) Trường hợp hạ ống vách khó khăn hoặc không hạ đến độ sâu đã khoan thì phải dùng biện pháp xoay hoặc kết hợp xoay và chất tải lên ống vách. Nếu xoay ống vách bằng kẹp gỗ phải xoay theo chiều kim đồng hồ và kết hợp vừa xoay vừa lắc để đề phòng nhả ren.

d) Khi hạ ống vách trong bất kỳ trường hợp nào đều không được dùng búa tạ để đóng ống vách xuống lỗ khoan.

đ) Khi hạ nhiều lớp ống vách, nếu có trường hợp xoay lớp ống trong mà lớp ống ngoài cũng xoay thì có thể áp dụng một trong các biện pháp xử lý sau đây:

- Giữ chặt lớp ống ngoài và kéo lớp ống trong lên một đoạn (có thể đóng ngược nhẹ). Sau đó tiếp tục hạ lớp ống trong bằng cách xoay lắc;

- Chất tải và xoay lắc lớp ống ngoài cho di động một khoảng nhỏ;

- Kéo một hoặc cả hai lớp ống vách lên;

e) Khi nhổ ống vách nếu trong lỗ khoan có nhiều tầng ống vách phải nhổ tầng ống vách có đường kính nhỏ trước, to sau.

g) Tuỳ theo trọng lượng của cột ống vách, lực ma sát dọc ống vách mà chọn dùng một trong các biện pháp sau đây để nhổ ống vách:

- Phối hợp giữa lắc kẹp gỗ và dùng tời kéo ống vách lên;

- Lúc đầu dùng kích đến khi thấy nhẹ thì dùng tời kéo ống vách lên;

- Khi đã dùng các biện pháp trên mà vẫn không nhổ được thì dùng biện pháp đóng tạ ngược hoặc kết hợp kích và đóng tạ ngược để nhổ ống vách.

Khi khoan ở những nơi có nước thủy triều lên xuống thì lợi dụng lúc nước thủy triều lên mà kích ống vách. Trong trường hợp này phải thường xuyên theo dõi độ chìm của phao khoan. Nếu độ chìm của phao khoan vượt quá mớn nước an toàn thì phải tháo kẹp ngang.

h) Việc lựa chọn biện pháp để nhổ ống vách phải dựa trên cơ sở tính toán về lực.

Nếu nhổ ống vách bằng tời, phải đảm bảo lực nhổ không vượt quá sức nâng cho phép của tời, cáp và sức chịu của giá khoan. Khi nhổ ống vách bằng kích phải tuân thủ các yêu cầu sau:

- Kích phải được kê trên các gối kê bằng phẳng, chắc chắn;

- Kích từ từ và đều để cho hai trục của kích lên bằng nhau;

- Nếu chân cột ống vách đã được trám xi măng để thực hiện công tác cách nước thì trước khi nhổ ống vách phải cắt rời đoạn ống vách đó;

- Sau khi đã rút các ống vách lên khỏi lỗ khoan, phải rửa sạch sẽ, bôi mỡ vào ren để tăng độ bền của ống vách.

4.1.2.7. Lấy mẫu đất, đá

a) Trong quá trình khoan, căn cứ vào đặc điểm địa tầng cũng như các yêu cầu đã được quy định trong đề cương khoan để quyết định lấy các loại mẫu đất, đá, nước.

b) Công tác lấy mẫu đất, đá, nước phải đảm bảo các yêu cầu chung sau đây:

- Sử dụng đúng phương pháp lấy mẫu và dụng cụ lấy mẫu đối với các loại đất, đá;

- Lấy mẫu liên tục từ trên xuống dưới;

- Dừng khoan, xác định độ sâu đổi tầng và lấy mẫu khi phát hiện có sự thay đổi địa tầng (thay đổi thành phần, tính chất trạng thái, nguồn gốc thành tạo...);

- Ghi chép đầy đủ về tình hình lấy mẫu vào nhật ký khoan và phiếu mẫu;

- Thực hiện đầy đủ các yêu cầu đóng gói, bảo quản, vận chuyển và giao nhận mẫu.

4.2. Kiểm tra, theo dõi khoan

a) Cán bộ kỹ thuật thường xuyên kiểm tra, theo dõi kỹ thuật thi công khoan, tỷ lệ lấy mẫu khoan, độ sâu khoan, ghi chép mô tả mẫu lõi khoan, lập cột địa tầng lỗ khoan, sắp xếp mẫu khoan;

b) Sau khi kết thúc công tác khoan tại hiện trường, lập biên bản kết thúc lỗ khoan và biên bản nghiệm thu công trình khoan máy theo các quy định hiện hành.

4.3. Văn phòng thực địa

Công tác văn phòng thực địa được tiến hành trong một khoảng thời gian nhất định, gồm:

a) Sắp xếp các mẫu thu được vào khay đựng mẫu, viết nhãn mẫu cho từng lần khoan;

b) Hoàn thiện nhật ký khoan, tính toán tỷ lệ lấy mẫu;

c) Hoàn thiện cột địa tầng lỗ khoan.

4.4. Văn phòng sau thực địa và nghiệm thu, giao nộp kết quả

4.4.1. Văn phòng sau thực địa

a) Hoàn thành tài liệu thực địa gồm: nhật ký, bản đồ thực tế, thiết đồ khoan cho từng lỗ khoan, lập danh sách mẫu;

b) Hoàn chỉnh các tài liệu liên quan đến việc đình khoan, mở khoan, nghiệm thu thực địa.

4.4.2. Nghiệm thu và giao nộp kết quả thực địa

Sản phẩm giao nộp: nhật ký khoan, nhật ký địa chất (sổ mô tả lỗ khoan của kỹ thuật theo dõi khoan) thiết đồ lỗ khoan, mẫu lõi khoan đến độ sâu thực tế khoan được và các tài liệu liên quan khác.

Công tác nghiệm thu và giao nộp sản phẩm tuân thủ theo các Quy định hiện hành.

5. QUY ĐỊNH KỸ THUẬT KHOAN BIỂN VEN BỜ BẰNG PHƯƠNG PHÁP KHOAN THỔI

5.1. Kỹ thuật thi công tại thực địa

5.1.1. Lắp đặt thiết bị khoan thổi

a) Làm sàn khoan: tạo ra một sàn khoan bằng gỗ nhô ra khỏi đuôi tàu 1,5m (kích thước chiều ngang 2,5m) đỡ bằng 5-6 xà gỗ kéo dài dọc theo tàu. Các xà gỗ được gắn với phần đuôi tàu bằng đai ốc, đinh, dây buộc và được giằng với nhau bằng các thanh xà gỗ ngang ở 2 đầu đảm bảo tạo hệ khung vững chắc, chịu lực đồng đều và an toàn cho thi công khoan;

b) Dựng tháp khoan: 2 chân tháp nằm dọc theo 2 cây xà gỗ phía ngoài đuôi tàu, một chân tháp nẳm vào chính giữa, phần đuôi tàu. Đóng đinh cố định vị trí 2 chân tháp khoan phía ngoài xuống sàn khoan. Treo pa-lăng xích vào bát khoan;

c) Điều chỉnh tháp khoan: Xác định chiều cao của tháp khoan đến mặt sàn: khoảng 2,7-2,8m. Điều chỉnh tháp khoan (chân, độ cao của chân tháp) để ống nối rơi vào tâm khe hở đã để sẵn (sử dụng dây dọi, dây xích pa-lăng và cần khoan);

d) Vận hành kiểm tra máy bơm nước: Sử dụng ở nơi có nguồn cung cấp nước. Kiểm tra máy bơm (bộ lọc gió, van dầu, dầu nhớt, xăng) để đảm bảo tình trạng an toàn; kiểm tra hoạt động của máy bơm nước: hút và bơm nước ra bình thường;

đ) Vận hành kiểm tra máy bơm hơi: kiểm tra máy bơm (bộ lọc gió, van dầu, dầu nhớt, xăng) để đảm bảo tình trạng an toàn; vận hành thử và kiểm tra đồng hồ báo áp suất của bình nén, kim đồng hồ tăng và khi áp suất đạt 6 KgN/cm 2 van an toàn xả hơi là đạt yêu cầu;

e) Kiểm tra kết nối giữa các máy bơm với dây dẫn: hơi khí nén và nước thoát ra đều tại đầu phun là đạt yêu cầu;

g) Sắp đặt cần khoan: cần khoan gồm 2 loại có độ dài khác nhau: loại dài 1m và loại dài 2m. Sắp xếp riêng 2 loại cần khoan này dọc theo mạn tàu để tiện khi sử dụng, thao tác. Đầu nối ngoài nằm về phía cuối tàu, đầu nối trong nằm phía mũi tàu để tiện thao tác khi lấy cần và nối cần.

5.1.2. Định vị vị trí khoan

a) Dùng máy định vị GPS cầm tay để xác định tọa độ chính xác vị trí khoan (đặt máy tại nơi thả cần khoan) theo yêu cầu của công tác trắc địa;

b) Sử dụng thuyền nhỏ đưa neo phụ (neo lái) ra cách ngang đuôi tàu về 2 phía khoảng 30-50m (tùy thuộc vào độ sâu của nước biển, độ sâu nhỏ thì khoảng cách phải tăng lên) để thả neo;

c) Điều chỉnh các dây neo phụ căng vừa đủ để tàu ổn định vị trí;

d) Sai số định vị vị trí lỗ khoan cho phép so với thiết kế ±30m.

5.1.3. Thả nối cần khoan

a) Dùng kìm cá sấu để thả lưỡi khoan + cần khoan đầu tiên, dùng vinca để giữ cần không rơi xuống biển;

b) Dùng cần loại 2m để nối vào cần đã thả lần trước: một người giữ vinca, một người dùng kìm cá sấu để hãm đấu nối ngoài, hai người dựng cần thẳng và xoay để ăn ren; khi đã ăn ren tương đối chặt, một người giữ cần khoan thẳng, người kia dùng kìm cá sấu quay cần khoan phía trên để đảm bảo nối chặt giữa 2 đoạn cần khoan;

c) Dùng kìm cá sấu để nâng cần khoan lên, người giữ vinca, rút vinca ra và đặt lên phía trên của đầu nối ngoài cần dưới;

d) Dùng kìm cá sấu hạ cần khoan xuống từ từ, khi còn 50cm cuối cùng một người sử dụng kìm cá sấu cặp vào đầu trong của ống nối và hạ xuống đến vinca đỡ nhẹ nhàng (giữ cố định vinca định hướng cho cần khoan);

đ) Tiếp tục dùng cần khoan 2m thao tác nối cần, thả cần như các bước ở trên cho đến khi đầu lưỡi khoan và hệ cần khoan chạm đáy biển;

e) Xác định độ sâu thực tế bằng cách dựa vào số cần khoan, lưỡi khoan và khoảng cách từ sàn khoan xuống mặt biển, độ cao cần khoan còn lại so với sàn khoan.

5.1.4. Vận hành máy bơm hơi, bơm nước, kiểm tra kết nối giữa dây dẫn và thiết bị cung cấp nước khí

Công tác này được tiến hành đồng thời trong quá trình thả và nối cần khoan.

5.1.5. Thao tác khoan

a) Trong suốt quá trình khoan, lấy mẫu, luôn đảm bảo giữ ổn định hướng của cần khoan, an toàn cho thiết bị và người thi công;

b) Dùng kìm cá sấu quay cần khoan để lưỡi khoan cắt và ăn vào trầm tích đáy;

c) Đặt đầu bò vào trong đầu trên của ống chống; sau đó luồn đầu phun (lưỡi khí+nước) qua đầu bò vào trong lòng cần khoan;

d) Thả đầu phun và dây xuống chạm sát đáy biển;

đ) Điều khiển máy bơm nước và bơm hơi mở van, van nước và van hơi mở vừa phải;

e) Dùng túi vải (hoặc xô nhựa tùy đối tượng lấy mẫu theo yêu cầu) thay nhau hứng hỗn hợp nước + khí + trầm tích từ đầu ra của đầu bò; trong quá trình này công nhân khoan vẫn dùng kìm cá sấu để xoay cần khoan để lưỡi khoan cắt vào trầm tích đáy;

g) Liên tục kéo thả dây dẫn hơi + nước để tạo áp lực và tránh đầu phun bị kẹt trong trầm tích; mẫu ra được hứng trong túi vải hoặc xô nhựa được chuyển ra cho bộ phận lấy mẫu xử lý;

h) Khi khoan hết phải kéo dây lên đồng thời đóng van bơm hơi và van bơm nước; mở van xả thứ 2 trước khi đóng van xả cung cấp nước cho đầu phun.

i) Bộ phận lấy mẫu ép nước ra khỏi túi vải, sau đó trút mẫu vào trong các túi nylon. Nhãn mẫu được ghi theo số hiệu lỗ khoan/độ sâu khoan theo mét;

k) Thực hiện lặp lại các bước trên cho đến khi kết thúc khoan. Trong quá trình khoan, phải theo dõi thành phần trầm tích phun lên trong quá trình thả kéo dây để báo cho đội trưởng (kỹ sư địa chất) biết vị trí, lượng bùn sét gặp để xử lý lấy mẫu lại khi cần thiết;

l) Kết thúc khoan khi thiết bị lấy mẫu không đạt yêu cầu kỹ thuật đề ra do (bùn quá dày hoặc gặp sét cứng, sạn sỏi). Phải kéo dây và đầu phun lên đồng thời khóa van máy bơm, tắt công tắc máy bơm. Duy trì máy bơm nước để rửa sàn các đầu nối, cần khoan để làm sạch và tháo cần dễ dàng.

Trong quá trình khoan, cần liên tục theo dõi màu của hỗn hợp khí+nước+trầm tích để mô tả, ghi vào nhật ký. Luôn theo dõi gió, dòng chảy, mức độ thay đổi vị trí của tàu, sàn khoansovới hệ cần khoan để kịp thời xử lý khi có sự cố.

...

Hình 4. Nguyên lý hoạt động của phương pháp khoan thổi

5.1.6. Lấy tháo cần khoan

5.1.6.1. Trong trường hợp bình thường:

a) Kéo đầu phun ra khỏi cần khoan và đầu bò; tháo đầu bò ra khỏi đầu cần khoan; sử dụng đầu phun để dùng nước làm vệ sinh sàn khoan;

b) Dùng ống nối kéo (phần trên hàn liền tạo móc nối);

c) Hạ xích kéo của pa-lăng đến khi móc được vào đầu nối ống kéo; kéo xích pa-lăng để nâng hệ cần khoan lên tới khi toàn bộ 1 cần qua khỏi mặt đỡ vinca; giữ vinca rút vinca ra khỏi cần khoan phía trên và đặt xuống dưới đầu ống nối ngoài của cần khoan phía dưới;

d) Hạ xích kéo pa-lăng để tháo móc xích kéo khỏi đầu ống kéo; dùng nước bơm để rửa sạch cần khoan phía trên và sạch bùn cát tại vị trí nối cần khoan;

đ) Giữ cần khoan phía trên, dùng kìm cá sấu để tháo cần khoan phía trên khỏi hệ cần phía dưới;

e) Tháo đầu ống nối kéo khỏi cần khoan vừa được tháo, xếp cần khoan vào vị trí quy định;

g) Nắp đầu ống nối kéo vào hệ cần khoan phía dưới, thực hiện lại các bước nêu trên đến khi lấy toàn bộ hệ cần khoan, lưỡi khoan lên tàu;

h) Làm vệ sinh toàn bộ sàn khoan, khu vực làm việc, rửa nước ngọt sơ bộ cho máy bơm nước và máy bơm hơi.

5.1.6.2.Trường hợp bất thường, có sự cố:

a) Xử lý tình huống khi đổi gió, đổi dòng, cày neo làm tàu bị dạt, hệ cần khoan bị nghiêng và có khả năng bị bẻ gãy, phải thu toàn bộ hệ cần khoan, lưỡi khoan lên khỏi mặt đáy biển.

b) Đình khoan khi có sự cố:

- Rút dây dẫn và đầu phun khỏi hệ cần, khóa van bơm hơi, tháo đầu bò;

- Sử dụng kìm cá sấu để nâng toàn bộ hệ cần khoan lên (vừa xoay vừa nâng) cho đến khi 2 đoạn cần 1m vượt khỏi mặt đỡ vinca (giữ vinca chắc và xử lý khi đoạn cần phía trên vướt lên khỏi mặt sàn);

- Chuyển vinca xuống phía dưới đoạn nối ngoài của hệ cần phía dưới; thao tác gỡ đồng thời 2 cần phía trên khỏi hệ cần phía dưới;

- Tiếp tục dùng 4 kìm cá sấu để nâng hệ cần khoan lên như bước 2 và bước 3; Khi gặp cần 2m thì tháo từng cần một;

- Có thể tiếp tục dùng vinca để nâng/tháo hệ cần khoan hoặc sử dụng Pa-lăng xích kéo để đưa toàn bộ hệ cần khoan lên trên tàu một cách tuần tự;

- Tháo các đoạn gồm 2 ống 1m ra, sắp xếp cần khoan, làm vệ sinh sàn khoan, các thiết bị khác.

5.1.7. Kết thúc thi công

Nhổ neo để di chuyển đến vị trí lỗ khoan tiếp theo hoặc đến vị trí nơi yên sóng hoặc di chuyển vào bờ.

5.2. Kiểm tra, nghiệm thu kết quả tại thực địa

Trong quá trình khoan, đội trưởng kỹ thuật theo dõi khoan, kiểm tra chất lượng từng công đoạn vận hành thiết bị khoan, kiểm tra thu thập tài liệu, ghi chép nhật ký khoan, nhật ký địa chất, mẫu khoan.

5.3. Văn phòng thực địa

a) Chỉnh lý lại nhật ký (xem mẫu, hoàn thiện mô tả, các hình vẽ trong nhật ký);

b) Kiểm tra hiện trạng mẫu: kiểm tra nhãn mẫu các loại;

c) Sắp xếp mẫu theo thứ tự, lập cột địa tầng các lỗ khoan; dự kiến mẫu gửi các loại;

d) Liên kết các lỗ khoan, sơ bộ đánh giá kết quả đợt khảo sát;

đ) Trao đổi, rút kinh nghiệm cho quá trình tổ chức thi công; kiểm tra máy móc, thiết bị, mua thêm lương thực, thực phẩm;

e) Làm vệ sinh, rửa ngọt các thiết bị khoan, tra dầu, mỡ.

5.4. Văn phòng sau thực địa và nghiệm thu, giao nộp kết quả

5.4.1. Văn phòng sau thực địa

a) Thành lập bản đồ tài liệu thực tế;

b) Lập sổ mẫu gửi phân tích các loại: độ hạt, vật liệu xây dựng, trọng sa;

c) Báo cáo kết quả thực hiện công tác khoan biển theo công nghệ khoan thổi.

5.4.2. Nghiệm thu và giao nộp kết quả thực địa

Công tác nghiệm thu và giao nộp sản phẩm tuân thủ theo các Quy định hiện hành. Sản phẩm giao nộp: nhật ký khoan, nhật ký địa chất, thiết đồ lỗ khoan, mẫu lõi khoan thu được.

6. QUY ĐỊNH KỸ THUẬT LẶN LẤY MẪU TRẦM TÍCH BIỂN NÔNG

6.1. Kỹ thuật thi công tại thực địa

6.1.1. Định vị vị trí lặn

a) Nhập tọa độ vị trí lặn vào máy định vị dẫn đường của tàu;

b) Lập hành trình khảo sát theo ngày; điều chỉnh hành trình cho phù hợp với dòng chảy, hướng gió, hướng sóng đảm bảo điều kiện tốt nhất cho đội khảo sát;

c) Tính toán hướng và vận tốc gió, dòng chảy, sóng để xác định vị trí thả neo sao cho khi sau khi tàu ăn neo, điều chỉnh tàu vào vị trí thiết kế. Sai số định vị vị trí cho phép ± 50m.

6.1.2. Thả tim lặn

Sau khi tàu ăn neo, ổn định vị trí, thợ lặn phụ hỗ trợ lặn thả tim lặn xuống đáy biển.

6.1.3. Lặn sử dụng thiết bị lấy mẫu

a) Trong quá trình chờ thả tim lặn, thợ lặn khởi động, mang thiết bị lặn, đeo đai chì, kiểm tra áp suất bình khí nén hoặc dây dẫn khí và chuẩn bị thiết bị lấy mẫu mang theo người;

b) Đội trưởng khảo sát hoặc kỹ sư trắc địa thông báo độ sâu đáy biển, số lượng mẫu cần lấy hoặc những điểm cần lưu ý khi khảo sát dưới đáy biển;

c) Thợ lặn lần lượt mang dụng cụ lấy mẫu lặn xuống đáy biển;

d) Lấy mẫu mặt: thợ lặn dùng xẻng chuyên dụng để lấy mẫu mặt (đến độ sâu khoảng 20cm) cho vào bao (khoảng 20-30kg) dùng dây buộc lại và cột vào tim lặn.

6.1.4. Lấy mẫu trầm tích đáy biển theo độ sâu

6.1.4.1. Sử dụng ống hút piston tay:

a) Nhóm thợ lặn hỗ trợ nhau để vừa kéo piston vừa đè ống hút xuống theo chiều đứng (đối với ống hút dài có thể một người ngồi giữ đè ống xuống, người còn lại đứng trên vai để kéo piston);

b) Kéo piston lên đến gần cuối ống nhưng vẫn đảm bảo piston còn nằm trong ống hút;

c) Dùng kẹp hãm để nhấc ống hút lên, bọc đầu còn lại của ống hút để mẫu không rơi ra ngoài trong quá trình di chuyển lên trên tàu;

d) Lặp lại quá trình này để lấy ống thứ hai hoặc cho đến khi lấy đủ số lượng ống hút theo yêu cầu (trong trường hợp có yêu cầu cụ thể của đội trưởng);

6.1.4.2. Sử dụng thiết bị đóng:

a) Dùng sức để ấn ống lấy mẫu xuống theo chiều thẳng đứng tối đa có thể;

b) Chụp đầu đóng vào đầu còn lại của ống lấy mẫu;

c) Dùng búa đóng để ống lấy mẫu đi xuống vào trầm tích đáy biển theo chiều thẳng đứng (đối với ống dài thợ lặn có thể đứng lên vai nhau);

d) Đóng cho đến khi ngập ống hoặc không thể đóng được nữa (gặp sét cứng chắc, laterit);

đ) Dùng chụp cao su hoặc túi nylon bịt kín đầu ống lấy mẫu;

e) Dùng thiết bị kẹp hãm nhấc ống lấy mẫu lên khỏi trầm tích đáy biển;

g) Bọc đầu còn lại của ống lấy mẫu để mẫu không rơi ra ngoài trong quá trình di chuyển lên trên tàu;

h) Lặp lại quá trình này để lấy ống thứ hai hoặc cho đến khi lấy đủ số lượng ống hút theo yêu cầu (trong trường hợp có yêu cầu cụ thể của đội trưởng);

i) Buộc các ống mẫu này vào dây kéo tim lặn;

k) Thợ lặn tháo dây đai làm bằng chì cho vào trong túi lưới;

l) Thợ lặn bám theo dây tim lặn, bơi từ từ lên mặt biển để giảm áp suất;

Sau khi thợ lặn lên tàu, những thợ lặn phụ hỗ trợ lặn sẽ kéo dây tim neo để lấy các thiết bị và mẫu. Kiểm tra mẫu, mô tả do đội khảo sát tiến hành. Các thợ phụ lặn hỗ trợ cần theo dõi tình trạng sức khỏe của thợ lặn chính.

6.1.5. Hoạt động của đội khảo sát

a) Xác định tọa độ trạm lặn khảo sát lấy mẫu (theo quy định của công tác trắc địa biển);

b) Xác định độ sâu đáy biển tại thời điểm khảo sát bằng thiết bị đo sâu hồi âm (theo quy định của công tác trắc địa biển);

c) Thời gian bắt đầu khảo sát;

d) Đánh giá sơ bộ về điều kiện thời tiết, hải văn;

đ) Sau khi mẫu được đưa lên tàu, tiến hành mô tả mẫu mặt, chia mẫu mặt vào các túi, ghi nhãn mẫu, đãi mẫu trọng sa tầng mặt;

e) Cắt bỏ các đoạn ống thừa không có mẫu tránh mẫu bị xáo trộn, không giữ nguyên cấu tạo;

g) Bọc kín các đầu ống mẫu, đánh dấu chiều của ống mẫu, ghi số hiệu trạm khảo sát cho toàn bộ các ống. Đồng thời, làm nhãn mẫu và dùng bao keo trong để bọc cuốn quanh ống mẫu;

h) Rửa đầu piston khỏi bùn cát bám và luồn vào ống lấy mẫu để chuẩn bị cho lần lấy mẫu tiếp theo;

i) Lấy mẫu ra để quan sát, mô tả. Mẫu này sau khi quan sát, mô tả sẽ được đưa vào bảo quản trong các túi nylon (nếu có sự thay đổi rõ ràng về thành phần trầm tích, màu sắc) hoặc đổ vào trong một túi (nếu đồng nhất từ trên xuống dưới); những quan sát này phải được ghi vào nhật ký. Các mô tả đòi hỏi phải có các thông tin về thành phần trầm tích, phần trăm cấp hạt vụn, hàm lượng vụn sinh vật hoặt các hợp phần khác (mùn thực vật, laterit, mảnh đá), mức độ chọn lọc, mài tròn, thành tạo địa chất (tuổi, nguồn gốc), biểu hiện sa khoáng, cấu tạo trầm tích (nếu quan sát được bằng mắt thường);

k) Dự kiến mẫu gửi các loại;

l) Yêu cầu thợ lặn thông báo nếu có khác biệt về mặt địa hình (cồn ngầm), trầm tích đáy (cuội, sỏi, tập trung vụn vỏ sinh vật theo đới);

n) Kiểm tra trầm tích trong ống hút, đối chiếu với mẫu mặt cũng như cấu tạo phân lớp (đặc biệt là đối với bùn sét) để phát hiện những trường hợp lấy mẫu không theo chiều thẳng đứng;

m) Trong quá trình thực hiện, tùy vào tình hình thực tế, có thể đan dày mạng lưới khảo sát để nâng cao chất lượng điều tra;

o) Trong thơi gian neo tàu nghỉ qua đêm trên biển phải có đèn hiệu báo, trực gác tàu, bơm nước.

6.2. Kiểm tra, theo dõi lặn tại thực địa

Đội trưởng kỹ thuật theo dõi, kiểm tra từng công đoạn lặn. Thu thập tài liệu, ghi chép mô tả nhật ký lặn, mẫu lặn.

6.3. Văn phòng thực địa

Công tác văn phòng ngoài thực địa được thực hiện sau mỗi chuyến khảo sát, bao gồm:

a) Hoàn thiện nhật ký;

b) Hoàn thiện, bảo quản, sắp xếp mẫu vật;

c) Lập thiết đồ ống hút piston;

d) Vẽ sơ đồ tài liệu thực tế.

6.4. Văn phòng sau thực địa và nghiệm thu, giao nộp sản phẩm

6.4.1. Văn phòng sau thực địa

a) Hoàn thành tài liệu thực địa gồm: nhật ký, bản đồ tài liệu thực tế, thiết đồ ống hút piston, lập danh sách mẫu,

b) Hoàn thiện các tài liệu trên và lập báo cáo thực địa.

6.4.2. Nghiệm thu và giao nộp kết quả thực địa

Công tác nghiệm thu, giao nộp sản phẩm tuân thủ theo các Quy định hiện hành.

Sản phẩm giao nộp: nhật ký lặn, thiết đồ ống phóng piston tay, mẫu trầm tích tầng mặt, mẫu ống phóng piston tay, bản đồ tài liệu thực tế.

7. QUY ĐỊNH KỸ THUẬT LẤY MẪU BẰNG ỐNG PHÓNG RUNG

7.1. Kỹ thuật thi công tại thực địa

7.1.1. Điều kiện thi công

Gió cấp 4 trở xuống (độ cao sóng dưới 0,5m), vận tốc dòng chảy (dưới 0,5m/s).

7.1.2. Lắp đặt thiết bị

a) Tiến hành chuyển thiết bị vào vị trí cần cẩu trên boong tàu;

b) Lắp đặt bộ phóng rung trên sàn tàu;

c) Lắp đặt thiết bị nâng (cẩu chữ A, cẩu thủy lực) trên tàu, độ cao của thiết bị nâng so với mặt sàn thi công (boong tàu) không nhỏ hơn 7m. Dây cáp làm bằng thép (10 mm) cùng với thiết bị nâng có công suất ít nhất là 2 tấn làm nhiệm vụ nâng nâng thiết bị từ boong tàu hay kéo thiết bị từ đáy biển trong suốt quá trình vận hành;

d) Lắp đặt các bộ phận của bộ ống phóng rung và di chuyển ra vị trí thi công (boong tàu);

đ) Khởi động máy phát và đấu nối với hệ thống rung của thiết bị;

e) Nối thiết bị ống phóng rung với hệ thống dây cáp và được nâng bằng cẩu thủy lực;

g) Tiến hành kiểm tra kỹ thuật và vận hành thử các thiết bị;

h) Lắp đặt các thiết bị đồng bộ và kiểm tra độ an toàn trong quá trình vận hành; tiến hành hoạt động thử trước khi thi công.

7.1.3. Quy trình thi công lấy mẫu

a) Hệ thống cẩu nâng thiết bị lên khỏi mặt sàn thi công, di chuyển ra ngoài boong tàu, thả thiết bị di chuyển xuống đáy biển;

b) Khi thiết bị chạm đáy biển hệ thống rung bắt đầu hoạt động. Ống mẫu di chuyển sâu vào lớp trầm tích dưới đáy biển và mẫu vật được lưu lại trong ống mẫu. Bộ phận giữ ống mẫu được gắn vào phần cuối của ống mẫu, giữ cho trầm tích nằm bên trong khi thiết bị đạt được độ sâu lấy mẫu cực đại hay không thể lấy thêm mẫu từ đáy biển được nữa;

c) Trong quá trình rung lấy mẫu, trầm tích được lấy liên tục, đúng vị trí mẫu của nền đáy biển;

d) Khi đã lấy được mẫu, kéo toàn bộ thiết bị lên di chuyển vào sàn tàu. Lấy ống mẫu ra, ghi số hiệu, mô tả và chụp ảnh;

đ) Với trầm tích cát mẫu lấy được có độ sâu trung bình khoảng 6m, với bùn sét thì độ sâu đạt được có thể lớn hơn, với cuội sỏi tương đối rắn chắc hay sét cứng độ sâu lấy mẫu có thể nhỏ hơn;

e) Mẫu lõi được giữ lại trong ống mẫu nhôm sử dụng một lần, có thể cắt thành những đoạn ngắn để vận chuyển hay cắt theo chiều dọc để phân tích tại chỗ. Những lõi mẫu chẻ đôi được bảo quản bằng cách bọc kín và cho vào ống nhựa.

7.2. Kiểm tra theo dõi lấy mẫu bằng ống phóng rung

Trong quá trình lấy mẫu, đội trưởng thường xuyên kiểm tra theo dõi chất lượng từng công đoạn vận hành thiết bị. Thu thập tài liệu, ghi chép mô tả nhật ký lấy mẫu bằng ống phóng rung.

7.3. Văn phòng thực địa

Văn phòng thực địa được thực hiện cuối ngày khảo sát để:

a) Chỉnh lý lại nhật ký xem mẫu, hoàn thiện mô tả, các hình vẽ trong nhật ký;

b) Kiểm tra hiện trạng mẫu: kiểm tra nhãn mẫu các loại;

c) Sắp xếp mẫu theo thứ tự, lập cột địa tầng tổng hợp ống phóng rung;

d) Sơ bộ đánh giá kết quả lấy mẫu;

đ) Trao đổi, rút kinh nghiệm cho quá trình tổ chức thi công; kiểm tra máy móc, thiết bị, mua thêm lương thực, thực phẩm;

e) Làm vệ sinh, rửa ngọt các thiết bị, tra dầu, mỡ.

7.4. Văn phòng sau thực địa và nghiệm thu, giao nộp kết quả

7.4.1. Văn phòng sau thực địa

a) Tiến hành hiệu chỉnh cột địa tầng tổng hợp cho các mẫu ống phóng rung. Trên cột địa tầng phân các tập trầm tích theo tuổi và nguồn gốc, mô tả thành phần vật chất và các yếu tố và môi trường;

b) Sản phẩm giao nộp gồm các cột địa tầng tổng hợp ống phóng rung, nhật ký ghi chép ngoài thực địa, báo cáo kết quả thực địa, sơ đồ tài liệu thực tế, báo cáo kết quả lấy mẫu bằng ống phóng rung.

7.4.2. Nghiệm thu và giao nộp kết quả thực địa

Công tác nghiệm thu và giao nộp kết quả tuân thủ theo các Quy định hiện hành.

Sản phẩm giao nộp gồm: nhật kí lấy mẫu ống phóng rung, thiết đồ ống phóng rung, mẫu ống phóng rung.

8. QUY ĐỊNH KỸ THUẬT LẤY MẪU TRẦM TÍCH NGUYÊN DẠNG BẰNG THIẾT BỊ BOX-CORE

8.1. Kỹ thuật thi công tại thực địa

8.1.1. Điều kiện thi công

Gió cấp 4 trở xuống (độ cao sóng dưới 0,5m), vận tốc dòng chảy (dưới 0,5m/s).

8.1.2. Lắp đặt thiết bị

a) Tiến hành chuyển thiết bị Box-Core vào vị trí cần cẩu trên boong tàu;

b) Lắp đặt bộ thiết bị Box-Core trên sàn tàu,

c) Lắp đặt thiết bị nâng (cẩu chữ A, cẩu thủy lực), độ cao của thiết bị nâng so với mặt sàn thi công (boong tàu) không nhỏ hơn 7m. Dây cáp làm bằng thép (10 mm) cùng với thiết bị nâng có công suất ít nhất là 2 tấn làm nhiệm vụ nâng nâng thiết bị từ boong tàu hay từ đáy biển trong suốt quá trình vận hành;

d) Lắp đặt các bộ phận của thiết bị Box-Core và di chuyển ra vị trí thi công (boong tàu);

đ) Nối thiết bị Box-Core với hệ thống dây cáp và được nâng bằng cẩu thủy lực;

e) Lắp đặt các thiết bị đồng bộ theo đúng như hướng dẫn kỹ thuật, kiểm tra độ an toàn trong quá trình vận hành. Trước khi thi công cần vận hành thử thiết bị.

8.1.3. Thi công lấy mẫu

a) Hệ thống cẩu nâng thiết bị Box-Core lên khỏi mặt sàn thi công, di chuyển ra ngoài boong tàu, thả thiết bị di chuyển xuống đáy biển;

b) Trong suốt quá trình đi xuống và lấy mẫu, đỉnh của ống mẫu luôn mở cho phép nước chảy qua, đồng thời nó cũng tạo nên áp lực lên bề mặt trầm tích;

c) Khởi động bộ phận chống rung thủy lực khi ống mẫu xuyên qua trầm tích đáy biển để giữ cho mẫu trầm tích không bị xáo trộn;

d) Khi ống mẫu đã đạt được độ sâu lớn nhất, hệ thống ống mẫu tự động đóng;

đ) Phần nắp có hình xẻng đi vào vị trí vuông góc, đóng chặt đáy của ống mẫu, bảo vệ mẫu nguyên dạng trong ống;

e) Trong quá trình thu hồi thiết bị lấy mẫu Box-Core khỏi đáy biển, phần phía trên của ống mẫu được đậy chặt bằng nắp với miếng đệm cao su mềm;

g) Khi đã lấy được mẫu, kéo toàn bộ thiết bị lên di chuyển vào sàn tàu. Lấy cột mẫu ra, ghi số hiệu, mô tả và chụp ảnh;

h) Bảo quản mẫu nguyên dạng trong ống mẫu bằng nhựa PVC trong hoặc ống nhôm, hoặc có thể cắt thành những đoạn ngắn theo chiều dọc để phân tích tại chỗ hoặc vận chuyển. Những lõi mẫu chẻ đôi được bảo quản bằng cách bọc kín và cho vào ống nhựa.

8.2. Kiểm tra theo dõi lấy mẫu bằng Box-Core

Trong quá trình lấy mẫu, đội trưởng thường xuyên kiểm tra theo dõi chất lượng từng công đoạn vận hành thiết bị. Thu thập tài liệu, ghi chép mô tả nhật ký lấy mẫu bằng Box-Core.

8.3. Văn phòng thực địa

Văn phòng thực địa được thực hiện cuối ngày khảo sát để:

a) Chỉnh lý lại nhật ký (xem mẫu, hoàn thiện mô tả, các hình vẽ trong nhật ký);

b) Kiểm tra hiện trạng mẫu: kiểm tra nhãn mẫu các loại mẫu, sắp xếp mẫu theo thứ tự;

c) Sơ bộ đánh giá kết quả lấy mẫu;

d) Trao đổi, rút kinh nghiệm cho quá trình tổ chức thi công; kiểm tra máy móc, thiết bị, mua thêm lương thực, thực phẩm…;

đ) Làm vệ sinh, rửa ngọt các thiết bị, tra dầu, mỡ.

8.4. Văn phòng sau thực địa và nghiệm thu, giao nộp kết quả

8.4.1. Văn phòng sau thực địa

a) Tiến hành hiệu chỉnh cột địa tầng tổng hợp cho các mẫu nguyên dạng thu được. Trên cột địa tầng phân các tập trầm tích theo tuổi và nguồn gốc, mô tả thành phần vật chất và các yếu tố và môi trường;

b) Sản phẩm giao nộp gồm các cột địa tầng tổng hợp, nhật ký ghi chép ngoài thực địa, báo cáo kết quả thực địa, sơ đồ tài liệu thực tế, báo cáo chung của công tác lấy mẫu nguyên dạng bằng thiết bị Box-Core.

8.4.2. Nghiệm thu và giao nộp kết quả thực địa

Công tác nghiệm thu và giao nộp kết quả tuân thủ theo các Quy định hiện hành.

Yêu cầu về sản phẩm giao nộp: mẫu lấy được phải đảm bảo tính nguyên dạng theo tính chất ban đầu của đối tượng. Nội dung giao nộp: nhật kí thi công, mẫu thu được ngoài thực địa.

9. QUY ĐỊNH KỸ THUẬT RỬA MUỐI MẪU TRẦM TÍCH BIỂN PHỤC VỤ PHÂN TÍCH QUANG PHỔ PLASMA

9.1. Quy định kỹ thuật gia công mẫu

9.1.1. Những yêu cầu chung

Theo tiêu chuẩn 01-1GCM/94 của Cục Địa chất và Khoáng sản Việt Nam.

9.1.2. Quy trình kỹ thuật rửa muối trước khi gia công

9.1.2.1. Rửa muối bằng ống tách thẩm:

a) Quy trình rửa muối mẫu trầm tích biển trước khi gia công như sau:

- Mẫu được đưa vào rửa có khối lượng: 1,5- 2kg;

- Dùng thìa xúc mẫu vào ống tách thẩm;

- Cho nước cất chảy qua ống tách thẩm trong khoảng 2-3 giờ cho đến khi hết muối. Yêu cầu về nước lọc mẫu: nước sạch đã qua xử lý được sử dụng trong phòng phân tích, thí nghiệm.

- Đổ ra khay và sấy khô ở điều kiện nhiệt độ <30°C;

- Mẫu khô được tiến hành chia đối đỉnh làm hai phần: một phần lưu và một phần đưa đi gia công phân tích.

b) Trường hợp không có ống tách thẩm có thể rửa muối bằng cách thông thường (tuy nhiên quy trình này phải đảm bảo không gây ảnh hưởng đến chất lượng mẫu phân tích tiếp theo) quy trình này chỉ thay đổi ống tách thẩm bằng giấy lọc hoặc phễu lọc:

- Hòa nước vào mẫu;

- Lọc mẫu bằng phễu thủy tinh có màng lọc (hoặc phễu có để giấy lọc);

- Lọc mẫu khoảng 10-15 lần. Sau đó kiểm tra bằng AgNO3 (nồng độ 36,89g/l) cho đến lúc hết kết tủa trắng là mẫu đã được làm sạch muối.

Sơ đồ 1: Quy trình rửa muối trong mẫu trầm tích biển

9.2. Công tác văn phòng

9.2.1. Đóng gói gia công mẫu: Sau khi gia công mẫu đến cỡ hạt phân tích và giản lược đến khối lượng còn lại khoảng 500g được đóng gói bằng giấy chuyên dụng hoặc đựng trong túi nilon hay lọ polyetylen. Mỗi mẫu đều phải có nhãn trên đó ghi ký hiệu mẫu và tên phiếu mẫu. Các mẫu của cùng một phiếu mẫu được đặt chung vào một túi nilon to, trong đó có phiếu mẫu ghi đầy đủ các thông số sau:

a) Đơn vị gửi mẫu;

b) Nơi lấy mẫu;

c) Loại mẫu;

d) Số lượng mẫu;

đ) Yêu cầu gia công mẫu phân tích nghiền đến cỡ hạt ≤ 0,074mm.;

e) Ngày gửi mẫu;

g) Ngày trả kết quả.

9.2.1. Kiểm tra và giao nộp sản phẩm:

a) Công tác kiểm tra bao gồm: kiểm tra chất lượng sản phẩm (kiểm tra lượng muối còn trong mẫu trầm tích), đối chiếu khối lượng phân tích được giao, quy cách đóng gói mẫu, thông tin trên phiếu mẫu;

b) Sản phẩm giao nộp: mẫu sau khi được gia công, đóng gói trong túi nilon hoặc lọ polyetilen ghi đầy đủ thông tin.

10. QUY ĐỊNH KỸ THUẬT PHÂN TÍCH MẪU BẰNG PHƯƠNG PHÁP ĐỒNG VỊ PHÓNG XẠ C14

10.1. Quy định phân tích mẫu

10.1.1. Bước 1. Nhận mẫu, vào sổ, sấy mẫu;

10.1.2. Bước 2. Xử lý tạp chất bằng phương pháp cơ học: sàng, lọc, tuyển nước;

10.1.3. Bước 3. Xử lý hóa học: xử lý mẫu bằng dung dịch axit 4% ở nhiệt độ 80°C:

a) Theo dõi mẫu khi axit ăn mòn tạp chất (khoảng 24h);

b) Rửa sạch, sấy khô;

c) Kiểm tra dư lượng tạp chất trên kính hiển vi;

d) Tẩy bằng dung dịch kiềm 10% ở nhiệt độ 80°C trong 24h;

đ) Sấy khô, cân mẫu xem lượng hao hụt (khoảng 20h);

e) Xử lý tiếp bằng dung dịch axit 1%.

11.1.4. Bước 4. Đưa mẫu vào phân tích hàm lượng C14

a) Tách CO 2

b) Phương pháp Cabit:

CO 2 +Li →LiC 2 (nhiệt độ 850°C, trong 20h).

Sau đó thủy phân: LiC 2 + H 2 O → LiOH + CO 2

c) Thủy phân tạo C 2 H 2

d) Trime hóa: C 2 H 2 → C 6 H 6

đ) Tạo mẫu: C 6 H 6 + chất phát sáng (PPO + POPOP). Sau đó mẫu đo được đưa vào ống thủy tinh chuyên dụng, bảo quản lạnh.

e) Mẫu được đưa vào máy phân tích Tri-cab để phân tích hàm lượng C14.

g) Công tác đo đạc và xử lý số liệu được thực hiện trên hệ đo nhấp nháy lỏng siêu sạch (nhãn hiệu Tricarb - 2770TR/SL do hãng Canberra, Mỹ sản xuất). Đây là hệ thiết bị hiện đại, có hiệu suất ghi cao và phông nhiễu cực thấp. Thiết bị này áp dụng các công nghệ tiên tiến sau:

- Sử dụng chất BGO (Bi 4 Ge 3 O 12 ) làm detector (chất dò, chất khám phá) chống phông (ngăn chặn một cách có hiệu quả các tia vũ trụ tác dụng vào detector nhấp nháy lỏng);

- Sử dụng kỹ thuật phân giải thời gian để phân biệt xung thực với các xung nhiễu trong chất nhấp nháy lỏng;

- Điều khiển và xử lý kết quả đo bằng các bộ phần mềm đã được kiểm chứng qua nhiều năm thực hiện trong các phòng thí nghiệm trên thế giới cho phép xác định được nhanh chóng và chính xác các kết quả đo.

h) Phương pháp xác định tuổi tuyệt đối bằng C14 trên hệ tổng hợp Benzen và đo nhấp nháy lỏng thực hiện theo quy trình công nghệ sau:

Hình 1. Sơ đồ công nghệ tổng hợp Benzen

Hệ thống thiết bị này hoàn toàn có thể xác định được niên đại của các mẫu vật với sai số theo độ tuổi như bảng 7.

Bảng 7. Sai số phân tích theo khoảng niên đại

Thứ tự

Khoảng niên đại

Sai số tuyệt đối

1

100-1000

30-40 năm

2

1000- 2000

30-50 năm

3

2000-5000

50-70 năm

4

5000-10000

70-150 năm

5

10000-50000

150-1500 năm

Ngoài ra, hệ thống thiết bị này hoàn toàn có thể đáp ứng được các nhu cầu đo hoạt độ phóng xạ của các hạt nhân 14 C; 3 H; 90 Sr, 90 Sr/ 90 Y, 226 Ra, 222 Rn. Tổng bức xạ a và b trong các nghiên cứu khoa học và môi trường với sai số tương đối <10%.

10.2. Công tác văn phòng

10.2.1. Cách tính kết quả và luận giải, đánh giá kết quả

a) Kết quả phân tích được tính theo phương pháp đo hoạt độ phóng xạ nhỏ.

b) Tuổi carbon phóng xạ được tính theo công thức:

Trong đó:

T 1/2 : Chu kỳ bán rã của C14;

K NBS : hệ số mẫu chuẩn quốc tế;

G STD : số đếm trong 1 đơn vị thời gian của mẫu chuẩn;

G SA : số đếm trong 1 đơn vị thời gian của mẫu phân tích;

B: số đếm trong 1 đơn vị thời gian mẫu phông;

M STD , M SA : khối lượng mẫu chuẩn và mẫu phân tích;

δ 13 C: hệ số hiệu chỉnh hiệu ứng Fractionation.

Khoảng sai số của phân tích: <10%.

10.2.2. Kiểm tra và giao nộp kết quả

a) Kiểm tra: đối chiếu khối lượng phân tích được giao, kiểm tra kết quả phân tích nội bộ không sai khác quá 5% giữa các lần phân tích;

b) Sản phẩm giao nộp: Các kết quả phân tích phải in trên giấy và có đầy đủ chữ ký của người phân tích, người kiểm tra và xác nhận của cơ quan chủ quản.

11. QUY ĐỊNH KỸ THUẬT PHÂN TÍCH MẪU BẰNG PHƯƠNG PHÁP SẮC KHÍ KHỐI PHỔ VÀ CỘNG KẾT ĐIỆN TỬ

Phương pháp sắc khí khối phổ và cộng kết điện tử được sử dụng để phân tích xác định các chỉ thị đánh dấu có liên quan đến các chất ô nhiễm có nguồn gốc nhân sinh như Polychlorinated biphenyl (PCBs), Polycyclic anomatic hydrocarbons (PAHs), các gốc trừ sâu gốc clo và toxaphene.

11.1. Chuẩn bị mẫu phân tích

a) Sổ gia công mẫu ghi đầy đủ: ngày tháng, đơn vị phân tích, đơn vị gửi phân tích, tên đề án, đề tài, loại mẫu, số hiệu, khối lượng đầu, quy trình gia công, khối lượng mẫu phân tích, khối lượng mẫu lưu, người phân tích,

b) Phơi mẫu khô tự nhiên: lấy mẫu ra sàng có lót giấy và để khô tự nhiên trong bóng râm, trong khoảng 7 ngày.

c) Gia công mẫu: theo quy định T.C.N số 01-1 GCM/94 của Cục Địa chất và Khoáng sản Việt Nam về gia công mẫu cho phân tích thành phần nguyên tố bằng các phương pháp hóa học và quang phổ, thành phần khoáng vật bằng các phương pháp rơngen và nhiệt.

d) Cân mẫu trên cân phân tích điện tử có độ chính xác 0,1mg để đưa đi phân

tích.

11.2. Quy định phân tích mẫu

11.2.1. Phá mẫu chuẩn bị phân tích

a) Chiết Soclex: cho mẫu vào bình chiết Soclex, đổ dung môi để khi chiết ngập quá bộ phận chứa mẫu, sau đó đun chiết trong khoảng 1giờ, các chất cần tách chiết sẽ bị hòa tan trong dung môi và bay hơi khi gặp bình sinh hàn sẽ được ngưng tụ lại. Bình chiết Soclex là bình kín đảm bảo dung môi và chất cần tách chiết không bị thất thoát ra ngoài. Quy trình chiết được mô tả như hình 2.

Hình 5. Bình chiết Soclex

b) Cất cô quay chân không: phần sau khi được tách chiết Soclex được cất chân không. Bình cất được quay đều trên một thiết bị sinh nhiệt để đảm bảo nhiệt phân bố đều và được hút bằng một máy hút chân không để làm giảm nhiệt độ bay hơi, nhiệt độ cất khoảng từ 50-60°C, cất trong khoảng 0,5h.

Hình 6. Bình cất cô quay chân không

c) Làm sạch mẫu: tách nước và cặn ra khỏi chất phân tích, sử dụng bình chiết với dung môi thích hợp tách chiết nhiều lần trong khoảng 1- 3h.

11.2.2. Đo trên máy GC-MS và GC-ECD

a) Khởi động máy: chạy máy chỉ có dung môi trong khoảng 1 giờ (mỗi chất cần phân tích có một loại dung môi riêng) để đảm bảo thông máy, rửa sạch cặn;

b) Đo chuẩn: cho máy chạy dung dịch chuẩn (mỗi chất phân tích ứng với một dung dịch chuẩn xác định) với các mức hàm lượng khác nhau để dựng đường chuẩn, thông thường lấy khoảng 6 mức hàm lượng để dựng đường chuẩn, thời gian khoảng 1h/l đường chuẩn;

c) Đo mẫu: cho máy chạy phần chất cần phân tích sau khi được tách chiết và làm sạch, kết quả đo được thể hiện trên từng pic, mỗi pic ứng với một chất nhất định, thời gian 1h/1 mẫu;

d) Dựng đường chuẩn, tính kết quả, in ấn kết quả phân tích, thời gian 0,5h;

đ) Chạy lại máy để rửa máy trong khoảng 1h, lau chùi, bảo quản máy sau khi phân tích.

11.3. Công tác văn phòng

11.3.1. Tính toán và giao nộp kết quả

Kết quả được tính theo phương pháp đồ thị chuẩn (hình 4), dựa vào kết quả thu được từ việc chạy mẫu chuẩn tính được diện tích các pic tương ứng với các mức hàm lượng khác nhau. Sau đó xây dựng nên đường chuẩn với trục Ox- ứng với giá trị đo, trục Oy - ứng với mức hàm lượng.

Hình 7. Đồ thị tính kết quả phân tích

Dựa vào đường chuẩn xác định được mức hàm lượng của chất cần phân tích.

Về lý thuyết các điểm khi xây dựng đường chuẩn phải nằm trên một đường thẳng, nhưng trong thực tế do có những sai số khó tránh khỏi, chúng có chênh lệch ít nhiều do đó số lượng mẫu phải hạn chế. Khi phát hiện sai lệch quá mức cho phép phải dừng lại và lập lại đường chuẩn mới. Để tính một mẫu mất khoảng 0,5h.

11.3.2. Kiểm tra, sản phẩm giao nộp

a) Kiểm tra: đối chiếu khối lượng phân tích được giao, kiểm tra kết quả phân tích nội bộ;

b) Sản phẩm giao nộp: các kết quả phân tích in trên giấy có đầy đủ chữ kí của người phân tích, người kiểm tra và xác nhận của cơ quan chủ quản.

Chương III

XỬ LÝ SỰ CỐ VÀ CÁC QUY ĐỊNH AN TOÀN LAO ĐỘNG

1. Xử lý sự cố

Dự kiến các sự cố có thể xảy ra trong quá trình thực hiện công việc, các sự cố có thể do điều kiện khách quan hoặc do chủ quan của người thực hiện. Từ đó có biện pháp chủ động đề phòng, đề xuất phương hướng giải quyết khi có sự cố xảy ra.

1.1. Đối với nhóm công tác thi công ngoài trời, các sự cố xảy ra là:

a) Đối với công tác lặn: sự cố xảy ra thường do thợ lặn thực hiện giảm áp không tốt. Khi có sự cố xảy ra, thợ lặn phụ và nhóm hỗ trợ trên thuyền nhanh chóng làm công tác ứng cứu theo quy định đối với công tác lặn.

b) Đối với nhóm công tác khoan:

- Với công tác khoan máy bãi triều: sự cố thường xảy ra do kẹt cần khoan, đứt gãy dụng cụ khoan. Để khắc phục sự cố kẹt cần khoan có thể áp dụng biện pháp khoan ngược và sau đó dùng tời kéo các thiết bị lên. Trong trường hợp đứt gãy dụng khoan, tùy theo điều kiện cụ thể có thể dùng taro các loại, móc cáp, kìm cặp hoặc ống chụp đưa xuống lỗ khoan để kéo dụng cụ lên;

- Với khoan biển bằng giàn khoan tự chế: các sự cố kẹt, đứt gãy dụng cụ khoan sẽ được khắc phục như đối với công tác khoan bãi triều. Ngoài ra, các sự cố khác có thể xảy ra là giàn khoan bị nghiêng hoặc bị trôi do neo bám không chắc. Để khắc phục sự cố cần điều chỉnh tải trọng trên giàn khoan, theo dõi mực nước thủy triều để điều chỉnh dây neo các hướng cho phù hợp;

- Với công tác khoan thổi: các sự cố có thể xảy ra là kẹt, gãy cần khoan, nếu sàn khoan đặt trên thuyền có thể xảy ra tình huống cần khoan bị cong, gãy do thuyền bị trôi. Để đề phòng và khắc phục các tình huống có thể xảy ra có thể áp dụng các biện pháp như với công tác khoan bãi triều và khoan trên giàn khoan tự chế.

Nhóm công tác khoan gặp các sự cố như công tác khoan máy trên bờ, do vậy công tác khắc phục sự cố tham khảo quy định khắc phục sự cố của công tác khoan máy.

c) Đối với nhóm công tác địa vật lý: các sự cố thường xảy ra là thiết bị đo bị mất hoặc hỏng do vướng phải lưới của ngư dân, vật cản hoặc chân vịt của tàu. Để phòng tránh sự cố cần có các thiết bị đảm bảo an toàn cho thiết bị như phao gắn trên các thiết bị thu phát, phân công theo dõi các chướng ngại vật trong phạm vi khảo sát. Khi tàu khảo sát giảm tốc độ hoặc chuyển hướng cần nhanh chóng thu hồi thiết bị không để thiết bị đo bị chìm hoặc cuốn vào chân vịt của tàu.

Đối với phương tiện tham gia điều tra, khảo sát: trường hợp gặp điều kiện thời tiết xấu như: dông, bão, áp thấp nhiệt đới, sóng to, gió lớn không đảm bảo an toàn cho tàu thuyền, thiết bị và con người cần tìm nơi trú, tránh an toàn. Trường hợp gặp sự cố như cháy, nổ, thủng, phải được ứng cứu, xử lý tại chỗ.

Nếu không thể khắc phục được phải thông báo ngay cho cơ quan chức năng qua sóng radio.

Đối với người tham gia điều tra, khảo sát: khi xảy ra tai nạn lao động trên biển, cần sơ cứu kịp thời; trường hợp nặng phải chuyển ngay nạn nhân lên bờ và đưa đến cơ sở y tế gần nhất.

1.2. Đối với nhóm công tác gia công phân tích mẫu, các sự cố xảy ra là sự cố cháy nổ do hóa chất rò rỉ, rơi vãi, bỏng do tiếp xúc với hóa chất. Khi có sự cố bỏng do hóa chất cần thực hiện ngay công tác sơ cứu được quy định tại nội quy phòng phân tích và đưa đến cơ sở y tế gần nhất.

2. Các quy định an toàn lao động

2.1. Trước khi tham gia đội khảo sát thực địa trên biển phải tổ chức lớp học an toàn lao động trên biển:

a) Lớp học phổ biến những kiến thức an toàn làm việc trên biển;

b) Phổ biến những nội quy, quy định làm việc;

c) Phổ biến mức độ nguy hiểm cũng như điều kiện an toàn đối với các thiết bị máy móc.

2.2. Đối với các công tác khoan máy bãi triều, khoan biển bằng giàn khoan tự chế, khoan thổi khi chuẩn bị hiện trường thi công khoan cần có bảng nội quy làm việc và các biển báo những vị trí nguy hiểm, để đảm bảo an toàn lao động khi làm việc.

Điều kiện thi công khoan biển bằng giàn khoan tự chế: độ sâu nước biển ≤ 30 m, cấp sóng ≤ cấp 3, cấp gió ≤ cấp 4, neo bám đáy tốt, đảm bảo giàn khoan không bị trôi. Khi điều kiện thời tiết, sóng - gió không thuận lợi cần khẩn trương thu giàn, di chuyển vào bờ hoặc tìm nơi neo đậu an toàn.

2.3. Quy định về sử dụng thiết bị, dụng cụ bảo hộ lao động: khi thi công trên biển bắt buộc phải sử dụng các thiết bị, dụng cụ bảo hộ lao động như: quần áo, mũ, găng tay, giày dép, áo phao.

2.4. Quy định về an toàn khi vận hành, sử dụng thiết bị: vận hành máy tời, máy phát điện phải đảm bảo an toàn, tuyệt đối tuân thủ các quy định về an toàn khi vận hành thiết bị.

2.5. Đối với công tác lặn: thợ lặn phải tuân thủ tuyệt đối công tác giảm áp khi kết thúc công việc.

2.6. Quy định về thái độ, tác phong lao động trên biển: không sử dụng bia rượu, chất kích thích, hút thuốc lá trong khi làm việc trên biển.

2.7. Đối với công tác phân tích: khi tiến hành phân tích mẫu bắt buộc phải thực hiện các quy định về an toàn phòng thí nghiệm, trong đó có các quy định an toàn trong quá trình pha, trộn hoá chất, sử dụng các phương tiện bảo hộ lao động như: áo blu, khẩu trang, găng tay, kính bảo hộ.

Chương IV

ĐIỀU KHOẢN THI HÀNH [4]

1. Cục trưởng Cục Biển và Hải đảo Việt Nam [5] chịu trách nhiệm hướng dẫn, theo dõi, kiểm tra việc thực hiện Thông tư này.

2. Trong quá trình thực hiện, nếu có vướng mắc, các cơ quan, tổ chức, cá nhân phản ánh kịp thời về Bộ Nông nghiệp và Môi trường [6] để nghiên cứu, sửa đổi, bổ sung cho phù hợp./.

 

Bạn chưa Đăng nhập thành viên.

Đây là tiện ích dành cho tài khoản thành viên. Vui lòng Đăng nhập để xem chi tiết. Nếu chưa có tài khoản, vui lòng Đăng ký tại đây!

Văn bản hợp nhất 62/VBHN-BNNMT năm 2025 do Bộ Nông nghiệp và Môi trường ban hành hợp nhất Thông tư quy định kỹ thuật cho 11 công tác điều tra địa chất khoáng sản biển và hải đảo

Bạn chưa Đăng nhập thành viên.

Đây là tiện ích dành cho tài khoản thành viên. Vui lòng Đăng nhập để xem chi tiết. Nếu chưa có tài khoản, vui lòng Đăng ký tại đây!

* Lưu ý: Để đọc được văn bản tải trên Luatvietnam.vn, bạn cần cài phần mềm đọc file DOC, DOCX và phần mềm đọc file PDF.
Từ khóa liên quan: Thông tư 25/2010/TT-BTNMT

Văn bản liên quan Văn bản hợp nhất 62/VBHN-BNNMT

văn bản cùng lĩnh vực

image

Văn bản hợp nhất 20/VBHN-BNNMT năm 2026 do Bộ Nông nghiệp và Môi trường ban hành hợp nhất Thông tư quy định về phương pháp xác định chi phí đánh giá tiềm năng khoáng sản, thăm dò khoáng sản phải hoàn trả; mẫu văn bản trong hồ sơ xác định, phê duyệt chi phí đánh giá tiềm năng khoáng sản, thăm dò khoáng sản phải hoàn trả; mẫu văn bản trong hồ sơ xác định, phê duyệt, quyết toán tiền cấp quyền khai thác khoáng sản; mẫu văn bản trong đấu giá quyền khai thác khoáng sản

văn bản mới nhất

CHÍNH SÁCH BẢO VỆ DỮ LIỆU CÁ NHÂN
Yêu cầu hỗ trợYêu cầu hỗ trợ
Chú thích màu chỉ dẫn
Chú thích màu chỉ dẫn:
Các nội dung của VB này được VB khác thay đổi, hướng dẫn sẽ được làm nổi bật bằng các màu sắc:
Sửa đổi, bổ sung, đính chính
Thay thế
Hướng dẫn
Bãi bỏ
Bãi bỏ cụm từ
Bình luận
Click vào nội dung được bôi màu để xem chi tiết.
×