- Tổng quan
- Nội dung
- VB gốc
- Tiếng Anh
- Hiệu lực
- VB liên quan
- Lược đồ
-
Nội dung hợp nhất
Tính năng này chỉ có tại LuatVietnam.vn. Nội dung hợp nhất tổng hợp lại tất cả các quy định còn hiệu lực của văn bản gốc và các văn bản sửa đổi, bổ sung, đính chính... trên một trang. Việc hợp nhất văn bản gốc và những văn bản, Thông tư, Nghị định hướng dẫn khác không làm thay đổi thứ tự điều khoản, nội dung.
Khách hàng chỉ cần xem Nội dung hợp nhất là có thể nắm bắt toàn bộ quy định hiện hành đang áp dụng, cho dù văn bản gốc đã qua nhiều lần chỉnh sửa, bổ sung.
- Tải về
Thông tư 26/2016/TT-BTNMT về phân cấp vùng rủi ro ô nhiễm môi trường biển
| Cơ quan ban hành: | Bộ Tài nguyên và Môi trường |
Số công báo:
Số công báo là mã số ấn phẩm được đăng chính thức trên ấn phẩm thông tin của Nhà nước. Mã số này do Chính phủ thống nhất quản lý.
|
Đã biết
|
| Số hiệu: | 26/2016/TT-BTNMT | Ngày đăng công báo: |
Đã biết
|
| Loại văn bản: | Thông tư | Người ký: | Nguyễn Linh Ngọc |
|
Ngày ban hành:
Ngày ban hành là ngày, tháng, năm văn bản được thông qua hoặc ký ban hành.
|
29/09/2016 |
Ngày hết hiệu lực:
Ngày hết hiệu lực là ngày, tháng, năm văn bản chính thức không còn hiệu lực (áp dụng).
|
Đang cập nhật |
|
Áp dụng:
Ngày áp dụng là ngày, tháng, năm văn bản chính thức có hiệu lực (áp dụng).
|
Đã biết
|
Tình trạng hiệu lực:
Cho biết trạng thái hiệu lực của văn bản đang tra cứu: Chưa áp dụng, Còn hiệu lực, Hết hiệu lực, Hết hiệu lực 1 phần; Đã sửa đổi, Đính chính hay Không còn phù hợp,...
|
Đã biết
|
| Lĩnh vực: | Tài nguyên-Môi trường |
TÓM TẮT THÔNG TƯ 26/2016/TT-BTNMT
Bộ Tài nguyên và Môi trường đã ban hành Thông tư số 26/2016/TT-BTNMT ngày 29/09/2016 quy định chi tiết tiêu chí phân cấp vùng rủi ro ô nhiễm môi trường biển và hải đảo và hướng dẫn phân vùng rủi ro ô nhiễm môi trường biển và hải đảo.
Trong đó, đáng chú ý là quy định về nguyên tắc phân cấp vùng rủi ro ô nhiễm và phân vùng rủi ro ô nhiễm môi trường biển và hải đảo. Cụ thể việc phân cấp và phân vùng được thực hiện trên từng ô bờ, ô ven bờ, ô biển; căn cứ vào các thông tin, số liệu đo đạc, quan trắc các thành phần môi trường và sử dụng các công cụ tính toán, mô phỏng quá trình phát thải, lan truyền, biến đổi, chuyển hóa chất gây ô nhiễm trong môi trường biển và hải đảo đối với phân cấp vùng rủi ro ô nhiễm môi trường biển và hải đảo hoặc căn cứ vào kết quả tính toán, xác định giá trị của các chỉ số tương ứng với các tiêu chí phân cấp vùng rủi ro ô nhiễm môi trường biển và hải đảo đối với từng ô và được thể hiện trên bản đồ theo quy định (với phân vùng rủi ro ô nhiễm môi trường biển và hải đảo).
Về việc xác định cấp rủi ro ô nhiễm môi trường biển và hải đảo, Thông tư quy định, cấp rủi ro ô nhiễm môi trường biển và hải đảo của từng ô bờ, ô ven bờ, ô biển được xác định theo giá trị của các chỉ số tương ứng với các tiêu chí phân cấp vùng rủi ro ô nhiễm môi trường biển và hải đảo của mỗi ô theo quy định. Theo đó, màu xanh được áp dụng với cấp rủi ro ô nhiễm thấp; màu vàng với cấp rủi ro ô nhiễm trung bình; màu cam với cấp rủi ro ô nhiễm cao và màu đỏ với cấp rủi ro ô nhiễm rất cao.
Thông tư này có hiệu lực thi hành kể từ ngày 15/11/2016.
Xem chi tiết Thông tư 26/2016/TT-BTNMT có hiệu lực kể từ ngày 15/11/2016
Tải Thông tư 26/2016/TT-BTNMT
|
BỘ TÀI NGUYÊN VÀ Số: 26/2016/TT-BTNMT |
CỘNG HÒA XÃ HỘI CHỦ NGHĨA VIỆT NAM Hà Nội, ngày 29 tháng 9 năm 2016 |
Căn cứ Luật tài nguyên, môi trường biển và hải đảo ngày 25 tháng 6 năm 2015;
Căn cứ Nghị định số 21/2013/NĐ-CP ngày 04 tháng 3 năm 2013 của Chính phủ quy định chức năng, nhiệm vụ, quyền hạn và cơ cấu tổ chức của Bộ Tài nguyên và Môi trường;
Theo đề nghị của Tổng cục trưởng Tổng cục Biển và Hải đảo Việt Nam và Vụ trưởng Vụ Pháp chế;
Bộ trưởng Bộ Tài nguyên và Môi trường ban hành Thông tư quy định chi tiết tiêu chí phân cấp vùng rủi ro ô nhiễm môi trường biển và hải đảo và hướng dẫn phân vùng rủi ro ô nhiễm môi trường biển và hải đảo.
Chương I
QUY ĐỊNH CHUNG
Điều 1. Phạm vi điều chỉnh, đối tượng áp dụng
1. Thông tư này quy định chi tiết tiêu chí phân cấp vùng rủi ro ô nhiễm môi trường biển và hải đảo và hướng dẫn phân vùng rủi ro ô nhiễm môi trường biển và hải đảo.
2. Thông tư này áp dụng đối với các cơ quan, tổ chức, cá nhân có liên quan đến phân cấp vùng rủi ro ô nhiễm môi trường biển và hải đảo, phân vùng rủi ro ô nhiễm môi trường biển và hải đảo.
Điều 2. Giải thích từ ngữ
Trong Thông tư này, các từ ngữ dưới đây được hiểu như sau:
1. Tiêu chí là tính chất, dấu hiệu làm căn cứ đo lường, tính toán, đánh giá để phân cấp vùng rủi ro ô nhiễm môi trường biển và hải đảo.
2. Ô bờ là các ô nằm trong phạm vi từ đường mực nước triều cao trung bình nhiều năm đến đường mép nước biển thấp nhất trung bình trong nhiều năm.
3. Ô ven bờ là các ô nằm trong phạm vi vùng biển ven bờ.
4. Ô biển là các ô nằm ngoài vùng biển ven bờ.
5. Chỉ số rủi ro môi trường (RQ) là tỷ lệ giữa nồng độ dự tính hoặc nồng độ được tính toán từ các thông tin, số liệu đo đạc, quan trắc của chất gây ô nhiễm có trong môi trường biển và hải đảo với nồng độ giới hạn của chất gây ô nhiễm trong môi trường biển và hải đảo được cơ quan có thẩm quyền quy định hoặc cho phép sử dụng.
6. Bản đồ phân vùng rủi ro ô nhiễm môi trường biển và hải đảo là bản đồ thể hiện cấp vùng rủi ro ô nhiễm môi trường biển và hải đảo theo từng ô bờ, ô ven bờ hoặc ô biển.
Điều 3. Nguyên tắc phân cấp vùng rủi ro ô nhiễm và phân vùng rủi ro ô nhiễm môi trường biển và hải đảo
1. Việc phân cấp vùng rủi ro ô nhiễm và phân vùng rủi ro ô nhiễm môi trường biển và hải đảo được thực hiện trên từng ô bờ, ô ven bờ, ô biển.
2. Việc phân cấp vùng rủi ro ô nhiễm môi trường biển và hải đảo phải căn cứ vào các thông tin, số liệu đo đạc, quan trắc các thành phần môi trường và sử dụng các công cụ tính toán, mô phỏng quá trình phát thải, lan truyền, biến đổi, chuyển hóa chất gây ô nhiễm trong môi trường biển và hải đảo.
3. Việc phân vùng rủi ro ô nhiễm môi trường biển và hải đảo phải căn cứ vào kết quả tính toán, xác định giá trị của các chỉ số tương ứng với các tiêu chí phân cấp vùng rủi ro ô nhiễm môi trường biển và hải đảo đối với từng ô và được thể hiện trên bản đồ theo quy định của pháp luật về thành lập bản đồ chuyên đề.
Điều 4. Phân chia các ô để phân cấp vùng rủi ro và phân vùng rủi ro ô nhiễm môi trường biển và hải đảo
1. Vùng biển và hải đảo Việt Nam được phân chia thành các ô bờ, ô ven bờ và ô biển; các ô có hình chữ nhật.
2. Việc xác định ô bờ phải căn cứ vào đặc điểm, điều kiện tự nhiên, địa chất, địa mạo của đường bờ, các hệ sinh thái vùng đất ven biển, các hoạt động kinh tế - xã hội ở vùng đất ven biển; chiều dài cạnh lớn của ô không lớn hơn khoảng cách từ đường mực nước triều cao trung bình nhiều năm đến đường mép nước biển thấp nhất trung bình trong nhiều năm.
3. Việc xác định ô ven bờ phải căn cứ vào chế độ động lực, các hệ sinh thái vùng biển ven bờ, các hoạt động kinh tế - xã hội ở vùng bờ; chiều dài cạnh lớn của ô không lớn hơn 06 hải lý.
4. Việc xác định ô biển phải căn cứ vào đặc điểm, tính chất về chế độ hải văn, các hoạt động khai thác, sử dụng tài nguyên biển và hải đảo; chiều dài cạnh lớn của ô không lớn hơn 12 hải lý.
Chương II
TIÊU CHÍ PHÂN CẤP VÙNG RỦI RO Ô NHIỄM MÔI TRƯỜNG BIỂN VÀ HẢI ĐẢO
Điều 5. Tiêu chí phân cấp vùng rủi ro ô nhiễm
1. Tiêu chí phân cấp vùng rủi ro ô nhiễm môi trường biển và hải đảo, bao gồm:
a) Tiêu chí về mức độ ô nhiễm hoặc nguy cơ ô nhiễm môi trường biển và hải đảo, chỉ số tương ứng là Imđ;
b) Tiêu chí về phạm vi ảnh hưởng, chỉ số tương ứng là Iah;
c) Tiêu chí về mức độ nhạy cảm môi trường; khả năng gây thiệt hại đến sức khỏe con người, các hệ sinh thái biển, hải đảo, các hoạt động khai thác, sử dụng tài nguyên biển và hải đảo, chỉ số tương ứng là Ith.
Giá trị chỉ số Iô được tính toán theo công thức sau đây:

|
Giá trị chỉ số Iô |
Cấp rủi ro ô nhiễm |
|
Iô <1,5 |
Rủi ro ô nhiễm thấp |
|
1,5 ≤ Iô <2,5 |
Rủi ro ô nhiễm trung bình |
|
2,5 ≤ Iô <3,5 |
Rủi ro ô nhiễm cao |
|
Iô ≥ 3,5 |
Rủi ro ô nhiễm rất cao |
|
Tiêu chí |
Chỉ số rủi ro môi trường |
Chỉ số Imđ |
|
Mức độ hoặc nguy cơ ô nhiễm môi trường rất cao |
RQtb > 1,5 |
4,0 |
|
Mức độ hoặc nguy cơ ô nhiễm môi trường cao |
1,25 <tb ≤ 1,5 |
3,0 |
|
Mức độ hoặc nguy cơ ô nhiễm môi trường trung bình |
1 <tb ≤ 1,25 |
2,0 |
|
Mức độ hoặc nguy cơ ô nhiễm môi trường thấp |
RQtb ≤ 1 |
1,0 |
| Tiêu chí | Mức độ ảnh hưởng | Chỉ số Iah |
| Phạm vi ảnh hưởng rất cao | Ô nhiễm tại ô tính toán và ảnh hưởng đến 03 ô lân cận trở lên | 4,0 |
| Phạm vi ảnh hưởng cao | Ô nhiễm tại ô tính toán và ảnh hưởng đến 02 ô lân cận | 3,0 |
| Phạm vi ảnh hưởng trung bình | Ô nhiễm tại ô tính toán và ảnh hưởng đến 01 ô lân cận | 2,0 |
| Phạm vi ảnh hưởng thấp | Ô nhiễm giới hạn trong ô tính toán | 1,0 |
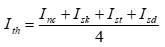
Điều 8. Tiêu chí về mức độ nhạy cảm môi trường; khả năng gây thiệt hại đến sức khỏe con người, các hệ sinh thái biển, hải đảo, các hoạt động khai thác, sử dụng tài nguyên biển và hải đảo
1. Chỉ số về mức độ nhạy cảm môi trường; khả năng gây thiệt hại đến sức khỏe con người, các hệ sinh thái biển, hải đảo, các hoạt động khai thác, sử dụng tài nguyên biển và hải đảo (Ith) căn cứ vào các chỉ số của các tiêu chí thành phần đối với ô tính toán, bao gồm:
a) Tiêu chí về mức độ nhạy cảm môi trường, chỉ số tương ứng là Inc;
b) Tiêu chí về khả năng gây thiệt hại đến sức khỏe con người, chỉ số tương ứng là Isk;
c) Tiêu chí về khả năng gây thiệt hại đến các hệ sinh thái biển, hải đảo, chỉ số tương ứng là Ist;
Giá trị chỉ số Ith được tính toán theo công thức sau đây:

2. Tiêu chí về mức độ nhạy cảm môi trường (Inc)
| Tiêu chí về mức độ nhạy cảm môi trường theo loại hình, tính chất đường bờ | Chỉ số Inc |
| Đầm nước mặn, nước lợ, rừng ngập mặn | 4,0 |
| Cửa sông, vũng vịnh | 3,5 |
| Bãi triều bùn, đường bờ có than bùn | 3,0 |
| Bãi triều cát, cồn cát, đường bờ có bãi cát có kích thước hạt từ vừa đến mịn | 2,5 |
| Bãi triều cát lẫn sỏi, cồn cát lẫn sỏi | 2,0 |
| Bãi triều sỏi, bãi triều đá | 1,5 |
| Bãi đá, vách đá hoặc các loại hình, tính chất đường bờ khác | 1,0 |
| Tiêu chí về mức độ nhạy cảm môi trường theo mức độ phát tán, trao đổi vật chất gây ô nhiễm | Chỉ số Inc |
| Mức độ phát tán, trao đổi vật chất gây ô nhiễm thấp | 4,0 |
| Mức độ phát tán, trao đổi vật chất gây ô nhiễm trung bình | 3,0 |
| Mức độ phát tán, trao đổi vật chất gây ô nhiễm cao | 2,0 |
| Mức độ phát tán, trao đổi vật gây chất ô nhiễm rất cao | 1,0 |
c) Tiêu chí về mức độ nhạy cảm môi trường đối với các ô biển
Chỉ số tương ứng với tiêu chí về mức độ nhạy cảm của ô biển có giá trị là 1,0.
3. Tiêu chí về khả năng gây thiệt hại đến sức khỏe con người (Isk)
| Tiêu chí về khả năng gây thiệt hại đến sức khỏe con người theo khu vực, loại hình hoạt động có khả năng gây ra ô nhiễm môi trường | Chỉ số Isk |
| Các khu kinh tế, khu công nghiệp, khu chế xuất; khu vực có hoạt động nạo vét, san lấp, lấn biển phát sinh chất thải nguy hại | 4,0 |
| Khu vực cửa sông; khu vực bãi tắm; khu đô thị, khu dân cư tập trung; khu vực cảng biển, cảng cá và cảng, bến thủy nội địa nằm trong vùng nước cảng biển; khu vực có hoạt động khai thác khoáng sản | 3,0 |
| Khu vực có hoạt động chế biến thủy sản; khu vực nuôi trồng thủy sản có nguy cơ ô nhiễm chất dinh dưỡng | 2,0 |
| Các khu vực, loại hình hoạt động khác trong ô bờ | 1,0 |
| Tiêu chí về khả năng gây thiệt hại đến sức khỏe con người theo khu vực, loại hình hoạt động có khả năng gây ra ô nhiễm môi trường | Chỉ số Isk |
| Khu vực cảng biển, cảng cá và cảng, bến thủy nội địa nằm trong vùng nước cảng biển; khu vực có hoạt động nuôi trồng thủy sản có nguy cơ ô nhiễm chất dinh dưỡng; khu vực có hoạt động nhận chìm | 4,0 |
| Khu vực có hoạt động du lịch, thể thao, giải trí | 3,0 |
| Khu vực có hoạt động nạo vét, san lấp, lấn biển, khai thác khoáng sản | 2,0 |
| Các khu vực, loại hình hoạt động khác trong ô ven bờ | 1,0 |
| Tiêu chí về khả năng gây thiệt hại đến sức khỏe con người theo khu vực, loại hình hoạt động có khả năng gây ra ô nhiễm môi trường | Chỉ số Isk |
| Tuyến hàng hải; khu cảng dầu khí ngoài khơi; khu vực có hoạt động nhận chìm chất nạo vét, bùn thải | 4,0 |
| Khu vực có các hoạt động khai thác, sử dụng tài nguyên biển có nguy cơ gây ra sự cố tràn dầu, hóa chất độc; khu vực có hoạt động nhận chìm các chất thải từ thủy sản hoặc các chất thải phát sinh từ hoạt động chế biến thủy sản | 3,0 |
| Khu vực có hoạt động nhận chìm carbon dioxide (CO2), các chất hữu cơ có nguồn gốc tự nhiên, các chất địa chất trơ và chất vô cơ | 2,0 |
| Các khu vực, loại hình hoạt động khác trong ô biển | 1,0 |
4. Tiêu chí về khả năng gây thiệt hại đến các hệ sinh thái biển, hải đảo (Ist)
| Tiêu chí về khả năng gây thiệt hại đến các hệ sinh thái biển, hải đảo theo đặc điểm các hệ sinh thái, chức năng dịch vụ hệ sinh thái | Chỉ số Ist |
| Khu vực có hệ sinh thái vùng triều, hệ sinh thái rừng ngập mặn và hệ sinh thái thảm cỏ biển; khu bảo tồn biển, khu di sản thế giới, khu dự trữ sinh quyển, vườn quốc gia; vùng đất ngập nước có hệ sinh thái đặc thù, đa dạng sinh học cao, có chức năng duy trì nguồn nước và cân bằng sinh thái, có tầm quan trọng quốc tế, quốc gia; khu vực có rừng đặc dụng; khu vực có giá trị đặc biệt cho nghiên cứu khoa học | 4,0 |
| Khu vực có các loài sinh vật biển ở những giai đoạn hoạt động đặc biệt như làm tổ, sinh sản, nghỉ ngơi, lột xác | 3,0 |
| Khu vực có các loài sinh vật biển trong giai đoạn ấu sinh; khu vực là tuyến đường di trú quan trọng của sinh vật biển và các loài chim di cư; khu vực có điều kiện tự nhiên đặc thù cho các loài sinh vật biển sinh sống | 2,0 |
| Các khu vực khác | 1,0 |
| Tiêu chí về khả năng gây thiệt hại đến các hệ sinh thái biển, hải đảo theo đặc điểm các hệ sinh thái, chức năng dịch vụ hệ sinh thái | Chỉ số Ist |
| Khu vực có hệ sinh thái thảm cỏ biển, rạn san hô; khu bảo tồn biển, khu di sản thế giới, khu dự trữ sinh quyển, vườn quốc gia; vùng đất ngập nước có hệ sinh thái đặc thù, đa dạng sinh học cao, có chức năng duy trì nguồn nước và cân bằng sinh thái, có tầm quan trọng quốc tế, quốc gia; khu vực có giá trị đặc biệt cho nghiên cứu khoa học | 4,0 |
| Khu vực có các loài sinh vật biển nhạy cảm với ô nhiễm môi trường | 3,0 |
| Khu vực có các loài sinh vật biển ở những giai đoạn hoạt động đặc biệt như làm tổ, sinh sản, nghỉ ngơi, lột xác | 2,0 |
| Các khu vực khác | 1,0 |
c) Tiêu chí về khả năng gây thiệt hại đến các hệ sinh thái biển, hải đảo đối với các ô biển
Chỉ số tương ứng với tiêu chí về khả năng gây thiệt hại đến các hệ sinh thái biển, hải đảo của ô biển có giá trị là 1,0.
5. Tiêu chí về khả năng gây thiệt hại đến các hoạt động khai thác, sử dụng tài nguyên biển và hải đảo (Isd)
| Tiêu chí về khả năng gây thiệt hại đến các hoạt động khai thác, sử dụng tài nguyên biển và hải đảo | Chỉ số Isd |
| Khu vực dễ bị tổn thương do thiên tai, biến đổi khí hậu, nước biển dâng mức độ rất cao | 4,0 |
| Khu vực dễ bị tổn thương do thiên tai, biến đổi khí hậu, nước biển dâng mức độ cao | 3,0 |
| Khu vực dễ bị tổn thương do thiên tai, biến đổi khí hậu, nước biển dâng mức độ trung bình | 2,0 |
| Các khu vực khác | 1,0 |
b) Tiêu chí về khả năng gây thiệt hại đến các hoạt động khai thác, sử dụng tài nguyên biển và hải đảo đối với các ô biển
Chỉ số tương ứng với tiêu chí về khả năng gây thiệt hại đến các hoạt động khai thác, sử dụng tài nguyên biển và hải đảo của ô biển có giá trị là 1,0.
Chương III
HƯỚNG DẪN PHÂN VÙNG RỦI RO Ô NHIỄM MÔI TRƯỜNG BIỂN VÀ HẢI ĐẢO
Điều 9. Quy trình phân vùng rủi ro ô nhiễm môi trường biển và hải đảo
Phân vùng rủi ro ô nhiễm môi trường biển và hải đảo gồm các hoạt động quy định tại Khoản 1 Điều 48 Luật tài nguyên, môi trường biển và hải đảo, được thực hiện theo các bước sau đây:
1. Tính toán, xác định giá trị chỉ số phân cấp vùng rủi ro ô nhiễm môi trường biển và hải đảo (Iô).
2. Đánh giá, xác định cấp rủi ro ô nhiễm môi trường biển và hải đảo.
3. Lập bản đồ phân vùng rủi ro ô nhiễm môi trường biển và hải đảo.
Điều 10. Tính toán, xác định giá trị chỉ số phân cấp vùng rủi ro ô nhiễm môi trường biển và hải đảo
1. Việc phân cấp vùng rủi ro ô nhiễm môi trường biển và hải đảo phải căn cứ vào kết quả tính toán, xác định giá trị chỉ số phân cấp vùng rủi ro ô nhiễm môi trường biển và hải đảo (Iô) dựa trên kết quả quan trắc, điều tra, thu thập, cập nhật, theo dõi, giám sát, tổng hợp, xử lý thông tin, dữ liệu về môi trường biển và hải đảo.
2. Việc tính toán, xác định giá trị chỉ số phân cấp vùng rủi ro ô nhiễm môi trường biển và hải đảo thực hiện như sau:
a) Phân chia ô để tính toán, xác định cấp rủi ro ô nhiễm môi trường biển và hải đảo theo quy định tại Điều 4 Thông tư này;
b) Tính toán xác định giá trị các chỉ số Imđ, Iah, Ith theo quy định tại Điều 6, Điều 7 và Điều 8 Thông tư này;
c) Tính toán xác định giá trị chỉ số Iô theo quy định tại Khoản 2 Điều 5 Thông tư này.
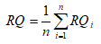
Điều 11. Tính toán, xác định giá trị chỉ số về mức độ ô nhiễm hoặc nguy cơ ô nhiễm môi trường biển và hải đảo
1. Chỉ số mức độ ô nhiễm hoặc nguy cơ ô nhiễm môi trường biển và hải đảo phải được xác định trên cơ sở giá trị chỉ số rủi ro môi trường trung bình (RQtb) của từng ô tính toán.
2. Giá trị chỉ số rủi ro môi trường trung bình (RQtb) của từng ô tính toán được tính bằng giá trị trung bình của giá trị các chỉ số rủi ro môi trường (RQi) tại các điểm thuộc ô đó theo công thức sau đây:

Trong đó:
RQi: giá trị chỉ số rủi ro môi trường tại điểm i thuộc ô;
n: số điểm đánh giá chất lượng môi trường của ô, quy định tại Khoản 3 Điều này.
3. Số lượng điểm và phân bố các điểm trong ô tính toán được thực hiện theo quy định của pháp luật về đo đạc, quan trắc, đánh giá chất lượng môi trường (từ 20 đến 25 điểm/1dm2 bản đồ).

Trong đó:
PEC: nồng độ dự tính của chất gây ô nhiễm j trong môi trường được xác định trên cơ sở áp dụng mô hình mô phỏng lan truyền, biến đổi, chuyển hóa chất gây ô nhiễm trong môi trường biển và hải đảo;
MEC: nồng độ chất gây ô nhiễm j trong môi trường, tính toán từ số liệu quan trắc, đo đạc, bảo đảm theo đúng các Tiêu chuẩn Việt Nam, Quy chuẩn kỹ thuật quốc gia hiện hành đối với đánh giá chất lượng môi trường thành phần và loại hình ô nhiễm;
PNEC: nồng độ giới hạn chất gây ô nhiễm j trong môi trường theo tiêu chuẩn, quy chuẩn hiện hành;
m: tổng số các chất gây ô nhiễm đang xem xét, đánh giá;
Wj: trọng số để tính hệ số rủi ro môi trường đối với chất gây ô nhiễm hoặc yếu tố gây ô nhiễm j, được quy định theo bảng sau đây:
|
STT |
Chất gây ô nhiễm hoặc yếu tố gây ô nhiễm |
Trọng số |
|
1 |
Các chất độc |
2,0 |
|
- |
Kim loại nặng, đặc biệt là trong các hợp chất carbon (arsen, cadminum, colbalt, đồng, chì, thủy ngân, magie, thiếc, selenium, kẽm, uranium) |
2,0 |
|
- |
Chất thải công nghiệp có chứa polychlorinated biphenyls |
2,0 |
|
- |
Các hợp chất độc gốc carbon, thuốc diệt cỏ, thuốc trừ sâu |
2,0 |
|
2 |
Chất gây ô nhiễm hoặc yếu tố gây ô nhiễm dinh dưỡng |
1,7 |
|
- |
NH4+, NO3-, NO2-, tổng P, pH, chlorophyll, độ dẫn điện và độ đục |
1,7 |
|
3 |
Chất hoặc yếu tố làm suy giảm ôxy trong nước biển |
1,5 |
|
- |
BOD, COD, DO |
1,5 |
|
- |
Các chất thải gốc carbon, các vật chất carbon hòa tan |
1,5 |
|
- |
Nhiệt độ nước thải vào môi trường biển |
1,5 |
|
4 |
Vi khuẩn, virus mang mầm bệnh, sinh vật ngoại lai |
1,3 |
|
5 |
Rác thải trôi nổi |
1,1 |
|
6 |
Tiếng ồn và các chất hoặc yếu tố khác |
1,0 |
5. Trường hợp dự tính nồng độ chất gây ô nhiễm (PEC) thì áp dụng mô hình mô phỏng quá trình phát thải, lan truyền, biến đổi, chuyển hóa chất gây ô nhiễm trong môi trường biển và hải đảo theo quy định tại Điều 12 Thông tư này.
Điều 12. Áp dụng mô hình mô phỏng quá trình phát thải, lan truyền, biến đổi, chuyển hóa chất gây ô nhiễm trong môi trường biển và hải đảo
1. Căn cứ yêu cầu tính toán, mô phỏng cụ thể, các điều kiện áp dụng mô hình và thực tiễn về các thông tin, dữ liệu đã có để phân tích, lựa chọn mô hình mô phỏng quá trình lan truyền, biến đổi, chuyển hóa chất gây ô nhiễm trong môi trường biển và hải đảo.
2. Trình tự áp dụng mô hình
a) Chuẩn bị thông tin, dữ liệu phục vụ tính toán;
b) Xử lý tài liệu địa hình để thiết lập mô hình;
c) Xây dựng miền tính, lưới tính;
d) Thiết lập các điều kiện biên;
đ) Thiết lập các điều kiện ban đầu;
e) Thiết lập các thông số mô hình cơ bản;
g) Kết nối các mô hình động thủy lực với mô hình mô phỏng quá trình lan truyền, biến đổi, chuyển hóa chất gây ô nhiễm trong môi trường biển và hải đảo;
h) Hiệu chỉnh và xác định bộ thông số cho mô hình;
i) Kiểm định và đánh giá mức độ tin cậy của các kết quả mô hình;
k) Tính toán, mô phỏng các kịch bản;
l) Lập báo cáo kết quả tính toán.
3. Đánh giá mức độ chính xác, phù hợp của mô hình
Việc đánh giá mức độ chính xác, phù hợp của mô hình phải được tiến hành khi hiệu chỉnh và xác định bộ thông số cho mô hình; việc kiểm định và đánh giá độ tin cậy của các kết quả mô hình quy định tại Điểm h và Điểm i Khoản 2 Điều này theo trình tự sau đây:
a) Đánh giá trực quan thông qua việc so sánh chuỗi số liệu thực đo và chuỗi số liệu tính toán, mô phỏng theo mô hình; so sánh sự đồng bộ giữa hai chuỗi số liệu;
b) Tính toán, xác định mức độ tương quan giữa chuỗi số liệu thực đo và chuỗi số liệu tính toán, mô phỏng theo mô hình;
c) Tính toán hệ số hiệu quả mô hình theo công thức sau đây:

Trong đó:
E: hệ số hiệu quả của mô hình;
N: độ dài chuỗi số các đặc trưng được tính toán, mô phỏng trong mô hình;
O: giá trị thực đo của đặc trưng được tính toán, mô phỏng trong mô hình;
Otb: giá trị trung bình của chuỗi số liệu thực đo;
S: giá trị tính toán, mô phỏng các đặc trưng.
d) Căn cứ kết quả đánh giá trực quan, đánh giá định lượng theo quy định tại Điểm a, b và Điểm c Khoản này, nếu chưa đạt yêu cầu thì phải thay đổi giá trị các thông số để hiệu chỉnh và xác định bộ thông số cho mô hình hoặc kiểm định và đánh giá mức độ tin cậy của các kết quả mô hình quy định tại Điểm h và Điểm i Khoản 2 Điều này;
đ) Tiến hành lấy ý kiến chuyên gia trước khi quyết định việc sử dụng mô hình trong tính toán, mô phỏng các kịch bản theo quy định tại Điểm k Khoản 2 Điều này.
Điều 13. Tính toán, xác định giá trị các chỉ số tương ứng với tiêu chí về phạm vi ảnh hưởng; mức độ nhạy cảm môi trường, khả năng gây thiệt hại đến sức khỏe con người, các hệ sinh thái biển, hải đảo, các hoạt động khai thác, sử dụng tài nguyên biển và hải đảo
1. Việc tính toán, xác định giá trị các chỉ số tương ứng với tiêu chí về phạm vi ảnh hưởng được xác định căn cứ vào việc đánh giá, tính toán mức độ ảnh hưởng do ô nhiễm môi trường của ô tính toán đối với các ô liền kề theo quy định tại Điều 7 Thông tư này.
2. Việc tính toán, xác định giá trị các chỉ số tương ứng với tiêu chí về mức độ nhạy cảm môi trường, khả năng gây thiệt hại đến sức khỏe con người, các hệ sinh thái biển và hải đảo, các hoạt động khai thác, sử dụng tài nguyên biển và hải đảo được xác định dựa trên các giá trị chỉ số tương ứng với các tiêu chí đối với từng ô, được quy định cụ thể tại Khoản 1 Điều 8 Thông tư này.
Điều 14. Xác định cấp rủi ro ô nhiễm môi trường biển và hải đảo
1. Cấp rủi ro ô nhiễm môi trường biển và hải đảo của từng ô bờ, ô ven bờ và ô biển được xác định theo giá trị của các chỉ số tương ứng với các tiêu chí phân cấp vùng rủi ro ô nhiễm môi trường biển và hải đảo của mỗi ô (Iô) quy định tại Khoản 2 Điều 5 Thông tư này.
|
Giá trị chỉ số Iô |
Cấp rủi ro ô nhiễm |
Thang màu sử dụng |
Mã màu |
|
Iô <1,5 |
Thấp |
Màu xanh |
R:0; G:255; B:0 |
|
1,5 ≤ Iô <2,5 |
Trung bình |
Màu vàng |
R:255; G:255; B:0 |
|
2,5 ≤ Iô <3,5 |
Cao |
Màu cam |
R:255; G:128; B:0 |
|
Iô ≥ 3,5 |
Rất cao |
Màu đỏ |
R:255; G:0; B:0 |
Điều 15. Lập bản đồ phân vùng rủi ro ô nhiễm môi trường biển và hải đảo
1. Bản đồ phân vùng rủi ro ô nhiễm môi trường biển và hải đảo được thành lập ở Hệ quy chiếu và Hệ tọa độ Quốc gia VN2000.
2. Cơ sở toán học: hệ tọa độ, lưới chiếu, điểm khống chế mặt phẳng và độ cao.
3. Nội dung nền địa lý, bao gồm:
a) Địa hình;
b) Thủy hệ;
c) Hệ sinh thái;
d) Giao thông;
đ) Dân cư, hạ tầng kinh tế - xã hội, các yếu tố địa vật liên quan;
e) Thực phủ;
g) Biên giới và địa giới.
Chi tiết các yếu tố nội dung nền địa lý tuân thủ các quy định của pháp luật hiện hành có liên quan.
4. Nội dung chuyên đề, bao gồm:
a) Mạng lưới các điểm tính toán chỉ số rủi ro môi trường (RQ);
b) Thể hiện hàm lượng của các thông số quan trắc đối với nước biển, trầm tích và sinh vật biển;
c) Phân bố các hệ sinh thái vùng triều, thảm cỏ biển, rạn san hô, rừng ngập mặn, đất ngập nước ven biển, cửa sông ven biển và các hệ sinh thái biển và hải đảo khác;
d) Phân bố các khu bảo tồn biển, khu di sản thế giới, khu dự trữ sinh quyển, vùng đất ngập nước, vườn quốc gia, rừng đặc dụng; khu vực có giá trị đặc biệt cho nghiên cứu khoa học;
đ) Phân bố các các khu kinh tế, khu công nghiệp, khu chế xuất, khu đô thị, khu dân cư tập trung; khu vực cảng biển, cảng cá và cảng, bến thủy nội địa nằm trong vùng nước cảng biển; khu cảng dầu khí ngoài khơi; các tuyến hàng hải quan trọng; các khu vực có hoạt động du lịch, thể thao, giải trí, nuôi trồng, chế biến thủy sản; khu vực có hoạt động nạo vét, san lấp, lấn biển, khai thác khoáng sản; khu vực có hoạt động nhận chìm;
e) Cấp rủi ro ô nhiễm môi trường biển và hải đảo của từng ô bờ, ô ven bờ và ô biển.
Chương IV
ĐIỀU KHOẢN THI HÀNH
Điều 16. Hiệu lực thi hành
Thông tư này có hiệu lực thi hành kể từ ngày 15 tháng 11 năm 2016.
Điều 17. Trách nhiệm thi hành
1. Tổng cục Biển và Hải đảo Việt Nam có trách nhiệm giúp Bộ Tài nguyên và Môi trường chủ trì, phối hợp với bộ, cơ quan ngang bộ có liên quan và Ủy ban nhân dân tỉnh, thành phố trực thuộc trung ương có biển phân vùng, lập bản đồ phân vùng rủi ro ô nhiễm môi trường biển và hải đảo.
2. Thủ trưởng các cơ quan, tổ chức và cá nhân có liên quan chịu trách nhiệm thi hành Thông tư này.
3. Trong quá trình thực hiện, nếu có khó khăn, vướng mắc, đề nghị các cơ quan, tổ chức, cá nhân phản ánh kịp thời về Bộ Tài nguyên và Môi trường để nghiên cứu, xem xét, giải quyết./.
|
Nơi nhận: |
KT.BỘ TRƯỞNG |
Bạn chưa Đăng nhập thành viên.
Đây là tiện ích dành cho tài khoản thành viên. Vui lòng Đăng nhập để xem chi tiết. Nếu chưa có tài khoản, vui lòng Đăng ký tại đây!
Bạn chưa Đăng nhập thành viên.
Đây là tiện ích dành cho tài khoản thành viên. Vui lòng Đăng nhập để xem chi tiết. Nếu chưa có tài khoản, vui lòng Đăng ký tại đây!