- Tổng quan
- Nội dung
- VB gốc
- Tiếng Anh
- Hiệu lực
- VB liên quan
- Lược đồ
-
Nội dung hợp nhất
Tính năng này chỉ có tại LuatVietnam.vn. Nội dung hợp nhất tổng hợp lại tất cả các quy định còn hiệu lực của văn bản gốc và các văn bản sửa đổi, bổ sung, đính chính... trên một trang. Việc hợp nhất văn bản gốc và những văn bản, Thông tư, Nghị định hướng dẫn khác không làm thay đổi thứ tự điều khoản, nội dung.
Khách hàng chỉ cần xem Nội dung hợp nhất là có thể nắm bắt toàn bộ quy định hiện hành đang áp dụng, cho dù văn bản gốc đã qua nhiều lần chỉnh sửa, bổ sung.
- Tải về
Thông tư 22/2022/TT-BTNMT Quy chuẩn kỹ thuật quốc gia về quan trắc thủy văn
| Cơ quan ban hành: | Bộ Tài nguyên và Môi trường |
Số công báo:
Số công báo là mã số ấn phẩm được đăng chính thức trên ấn phẩm thông tin của Nhà nước. Mã số này do Chính phủ thống nhất quản lý.
|
Đang cập nhật |
| Số hiệu: | 22/2022/TT-BTNMT | Ngày đăng công báo: | Đang cập nhật |
| Loại văn bản: | Thông tư | Người ký: | Lê Công Thành |
|
Ngày ban hành:
Ngày ban hành là ngày, tháng, năm văn bản được thông qua hoặc ký ban hành.
|
20/12/2022 |
Ngày hết hiệu lực:
Ngày hết hiệu lực là ngày, tháng, năm văn bản chính thức không còn hiệu lực (áp dụng).
|
Đang cập nhật |
|
Áp dụng:
Ngày áp dụng là ngày, tháng, năm văn bản chính thức có hiệu lực (áp dụng).
|
Đã biết
|
Tình trạng hiệu lực:
Cho biết trạng thái hiệu lực của văn bản đang tra cứu: Chưa áp dụng, Còn hiệu lực, Hết hiệu lực, Hết hiệu lực 1 phần; Đã sửa đổi, Đính chính hay Không còn phù hợp,...
|
Đã biết
|
| Lĩnh vực: | Tài nguyên-Môi trường |
TÓM TẮT THÔNG TƯ 22/2022/TT-BTNMT
Ngày 20/12/2022, Bộ Tài nguyên và Môi trường đã ra Thông tư 22/2022/TT-BTNMT về việc ban hành Quy chuẩn kỹ thuật quốc gia về quan trắc thủy văn.
Theo đó, chế độ quan trắc mực nước phải bảo đảm phản ánh được quá trình diễn biến mực nước một cách đầy đủ, khách quan và phải có tính khả thi; đồng thời phải bảo đảm phản ánh được quá trình diễn biến mực nước một cách đầy đủ, khách quan và phải có tính khả thi. Đối với công trình đặt máy hoặc máy tự ghi mực nước bị hư hỏng (đồng hồ, nguồn điện, ắc quy, bộ nhớ, ống dẫn khí, các linh kiện khác,... của máy hoạt động không liên tục) ảnh hưởng đến độ chính xác của số liệu, thì phải ngừng hoạt động.
Bên cạnh đó, chế độ đo mực nước tự động như sau: Trong mùa lũ, tối thiểu 5 phút một lần đo; Trong mùa cạn, tối thiểu 10 phút một lần đo; Cách 15 ngày quan trắc mực nước để kiểm tra máy đo mực nước tự động một lần, áp dụng cho những trạm có công trình ổn định và máy đo hoạt động bình thường, giá trị mực nước đo kiểm tra và của máy sai khác không quá ± 2 centimét. Quan trắc mực nước để kiểm tra máy đo mực nước tự động ngay khi phát hiện công trình hoặc máy đo hoạt động không ổn định, số liệu mực nước đo bằng máy có sai số đột biến.
Thông tư này có hiệu lực từ ngày 20/06/2023.
Xem chi tiết Thông tư 22/2022/TT-BTNMT có hiệu lực kể từ ngày 20/06/2023
Tải Thông tư 22/2022/TT-BTNMT
|
BỘ TÀI NGUYÊN VÀ MÔI TRƯỜNG _______ Số: 22/2022/TT-BTNMT
|
CỘNG HÒA XÃ HỘI CHỦ NGHĨA VIỆT NAM Độc lập - Tự do - Hạnh phúc _____________________ Hà Nội, ngày 20 tháng 12 năm 2022 |
THÔNG TƯ
Ban hành Quy chuẩn kỹ thuật quốc gia về quan trắc thủy văn
____________
Căn cứ Luật Tiêu chuẩn và quy chuẩn kỹ thuật ngày 29 tháng 6 năm 2006;
Căn cứ Luật khí tượng thủy văn ngày 23 tháng 11 năm 2015;
Căn cứ Nghị định số 127/2007/NĐ-CP ngày 01 tháng 8 năm 2007 của Chính phủ quy định chi tiết thi hành một số điều của Luật Tiêu chuẩn và quy chuẩn kỹ thuật; Nghị định số 78/2018/NĐ-CP ngày 16 tháng 5 năm 2018 của Chính phủ về sửa đổi, bổ sung một số điều của Nghị định số 127/2007/NĐ-CP ngày 01 tháng 8 năm 2007 của Chính phủ quy định chi tiết thi hành một số điều của Luật Tiêu chuẩn và quy chuẩn kỹ thuật;
Căn cứ Nghị định số 38/2016/NĐ-CP ngày 15 tháng 5 năm 2016 của Chính phủ quy định chi tiết một số điều của Luật khí tượng thủy văn; Nghị định số 48/2020/NĐ-CP ngày 15 tháng 4 năm 2020 của Chính phủ sửa đổi, bổ sung một số điều của nghị định số 38/2016/NĐ-CP ngày 15 tháng 5 năm 2016 của Chính phủ quy định chi tiết một số điều của Luật khí tượng thủy văn;
Căn cứ Nghị định số 68/2022/NĐ-CP ngày 22 tháng 9 năm 2022 của Chính phủ quy định chức năng, nhiệm vụ, quyền hạn và cơ cấu tổ chức của Bộ Tài nguyên và Môi trường;
Theo đề nghị của Tổng cục trưởng Tổng cục Khí tượng Thủy văn, Vụ trưởng Vụ Khoa học và Công nghệ và Vụ trưởng Vụ Pháp chế;
Bộ trưởng Bộ Tài nguyên và Môi trường ban hành Thông tư Quy chuẩn kỹ thuật quốc gia về quan trắc thủy văn.
Điều 1. Ban hành kèm theo Thông tư này QCVN 47:2022/BTNMT - Quy chuẩn kỹ thuật quốc gia về quan trắc thủy văn.
Điều 2. Thông tư này có hiệu lực thi hành kể từ ngày 20 tháng 6 năm 2023 và thay thế Thông tư số 26/2012/TT-BTNMT ngày 28 tháng 12 năm 2012 của Bộ trưởng Bộ Tài nguyên và Môi trường ban hành QCVN 47:2012/BTNMT - Quy chuẩn kỹ thuật quốc gia về quan trắc thủy văn.
Điều 3. Tổng cục trưởng Tổng cục Khí tượng Thủy văn, Thủ trưởng các đơn vị trực thuộc Bộ Tài nguyên và Môi trường, Giám đốc Sở Tài nguyên và Môi trường các tỉnh, thành phố trực thuộc Trung ương và các tổ chức, cá nhân liên quan có trách nhiệm thi hành Thông tư này./.
|
Nơi nhận: |
KT. BỘ TRƯỞNG THỨ TRƯỞNG
Lê Công Thành
|

CỘNG HÒA XÃ HỘI CHỦ NGHĨA VIỆT NAM
QCVN 47: 2022/BTNMT
QUY CHUẨN KỸ THUẬT QUỐC GIA VỀ QUAN TRẮC THỦY VĂN
National technical regulation on Hydrological Observation
HÀ NỘI – 2022
LỜI NÓI ĐẦU
QCVN 47:2022/BTNMT do Tổng cục Khí tượng Thủy văn sửa đổi, Vụ Khoa học và Công nghệ, Vụ Pháp chế trình duyệt, Bộ Khoa học và Công nghệ thẩm định, Bộ trưởng Bộ Tài nguyên và Môi trường ban hành theo Thông tư số 22/2022/TT-BTNMT ngày 20 tháng 12 năm 2022
QUY CHUẨN KỸ THUẬT QUỐC GIA VỀ QUAN TRẮC THỦY VĂN
National technical regulation on Hydrological Observation
I. QUY ĐỊNH CHUNG
1.1. Phạm vi điều chỉnh
Quy chuẩn kỹ thuật quốc gia này quy định kỹ thuật quan trắc các yếu tố thủy văn.
1.2. Đối tượng áp dụng
Quy chuẩn kỹ thuật quốc gia này áp dụng đối với các cơ quan quản lý, tổ chức, cá nhân có liên quan đến việc quan trắc các yếu tố thủy văn trên lãnh thổ Việt Nam.
1.3. Giải thích từ ngữ
Trong Quy chuẩn này sử dụng toàn bộ thuật ngữ định nghĩa quy định tại Điều 5, TCVN 12904:2020 Yếu tố khí tượng thủy văn - Thuật ngữ và định nghĩa; Điều 2, TCVN 12636-2:2019 Quan trắc khí tượng thủy văn - Phần 2: Quan trắc mực nước và nhiệt độ nước sông; Điều 3, TCVN 12636-8:2020 Quan trắc khí tượng thủy văn - Phần 8: Quan trắc lưu lượng nước sông vùng không ảnh hưởng thủy triều; Điều 3, TCVN 12636-9:2020 Quan trắc khí tượng thủy văn - Phần 9: Quan trắc lưu lượng nước sông vùng ảnh hưởng thủy triều và các thuật ngữ sau:
1.3.1. Các yếu tố thủy văn: là các yếu tố được quy định quan trắc theo quy chuẩn này, bao gồm mực nước, nhiệt độ nước, lưu lượng nước và lưu lượng chất lơ lửng.
1.3.2. Hàm lượng chất lơ lửng đại biểu tương ứng: là hàm lượng chất lơ lửng của mẫu nước được lấy tại thủy trực đại biểu trong thời gian đo lưu lượng chất lơ lửng trên toàn mặt cắt ngang.
1.3.3. Hàm lượng chất lơ lửng mặt cắt ngang: là hàm lượng chất lơ lửng được đo và tính theo quy định cho toàn mặt cắt ngang.
1.3.4. Độ đục nước sông: là sự giảm độ trong của nước sông do sự có mặt của các chất không tan.
1.3.5. Mùa cạn: là thời kỳ gồm các tháng liên tục có lưu lượng nước bình quân tháng (trong nhiều năm) nhỏ hơn hoặc bằng lưu lượng nước bình quân năm (của nhiều năm).
1.3.6. Mùa lũ: là thời kỳ gồm các tháng liên tục có lưu lượng nước bình quân tháng (trong nhiều năm) lớn hơn lưu lượng nước bình quân năm (của nhiều năm).
1.4. Ghi giá trị yếu tố đo và quy tròn về số có nghĩa
Ghi giá trị yếu tố đo phải đủ số có nghĩa theo quy định. Quy tròn về số có nghĩa thực hiện như sau: nếu số kế tiếp số có nghĩa nhỏ hơn 5 thì bỏ đi, nếu lớn hơn hoặc bằng 5 thì tăng số có nghĩa lên 1 đơn vị. Chi tiết ghi giá trị yếu tố đo và và quy tròn về số có nghĩa của yếu tố thủy văn quy định tại Phụ lục D, Quy chuẩn này.
II. QUY ĐỊNH KỸ THUẬT
2.1. Quan trắc mực nước
2.1.1. Quy định về ký kiệu và đơn vị đo
a) Ký hiệu mực nước: H;
b) Đơn vị đo mực nước: centimét (cm);
c) Độ chính xác giá trị mực nước: ±1 cm.
2.1.2. Quy định về vị trí quan trắc
Thực hiện theo quy định tại Điều 5.1 trong TCVN 12635-2:2019 Công trình quan trắc khí tượng thủy văn - Phần 2: Vị trí, công trình quan trắc đối với trạm thủy văn.
2.1.3. Quy định về công trình quan trắc
Thực hiện theo quy định tại Điều 5.2 trong TCVN 12635-2:2019 Công trình quan trắc khí tượng thủy văn - Phần 2: Vị trí, công trình quan trắc đối với trạm thủy văn.
2.1.4. Quy định về dụng cụ và thiết bị quan trắc
a) Dụng cụ và thiết bị quan trắc phải an toàn, dễ sử dụng, bảo đảm đúng tính năng kỹ thuật, có độ chính xác khi đo đến 1 cm;
b) Đo được mực nước từ thấp nhất đến mực nước cao nhất tại vị trí quan trắc;
c) Có tài liệu hướng dẫn kỹ thuật;
d) Thiết bị đo phải được kiểm định, hiệu chuẩn theo quy định của pháp luật về đo lường. Trong toàn bộ thời gian quy định của chu kỳ kiểm định, đặc tính kỹ thuật đo lường của thiết bị đo phải được duy trì trong suốt quá trình sử dụng;
e) Dụng cụ và thiết bị quan trắc phải được bảo quản, bảo dưỡng theo các quy định hiện hành.
2.1.5. Quy định về kỹ thuật quan trắc
Kỹ thuật quan trắc mực nước thực hiện theo quy định tại Mục 1, Phụ lục A, Quy chuẩn này.
2.2. Quan trắc nhiệt độ nước sông
2.2.1. Quy định về ký kiệu và đơn vị đo
a) Ký hiệu nhiệt độ nước: Tn;
b) Đơn vị đo nhiệt độ nước: Độ C (0C);
c) Độ chính xác giá trị nhiệt độ nước: ± 0,10C.
2.2.2. Quy định về vị trí quan trắc
Thực hiện theo quy định tại Điều 6 trong TCVN 12635-2:2019 Công trình quan trắc khí tượng thủy văn - Phần 2: Vị trí, công trình quan trắc đối với trạm thủy văn.
2.2.3. Quy định về thiết bị quan trắc
a) Thiết bị quan trắc nhiệt độ nước sông phải an toàn, dễ sử dụng, bảo đảm đúng tính năng kỹ thuật, có độ chính xác khi đo đến 0,10C;
b) Đo được nhiệt độ từ thấp nhất đến nhiệt độ cao nhất tại vị trí quan trắc;
c) Có tài liệu hướng dẫn kỹ thuật;
d) Có bộ phận hạn chế và loại trừ tác động do tiếp xúc với không khí hoặc các vật trôi, nổi trên sông;
e) Thiết bị đo phải được kiểm định, hiệu chuẩn theo quy định của pháp luật về đo lường. Trong toàn bộ thời gian quy định của chu kỳ kiểm định, đặc tính kỹ thuật đo lường của thiết bị đo phải được duy trì trong suốt quá trình sử dụng;
f) Thiết bị đo phải được bảo quản, bảo dưỡng theo các quy định hiện hành.
2.2.4. Quy định về kỹ thuật quan trắc
Kỹ thuật quan trắc nhiệt độ nước thực hiện theo quy định tại Mục 2, Phụ lục A, Quy chuẩn này.
2.3. Quan trắc lưu lượng nước
2.3.1. Quy định về ký kiệu và đơn vị đo
a) Ký hiệu lưu lượng nước: Q;
b) Đơn vị đo lưu lượng nước: mét khối/giây (m3/s).
Chi tiết ký hiệu, đơn vị đo và lấy số có nghĩa của các yếu tố trong quan trắc lưu lượng nước quy định tại Phụ lục D, Quy chuẩn này.
2.3.2. Quy định về vị trí quan trắc
Thực hiện theo quy định tại Điều 7.1 trong TCVN 12635-2:2019 Công trình quan trắc khí tượng thủy văn - Phần 2: Vị trí, công trình quan trắc đối với trạm thủy văn.
2.3.3. Quy định về công trình quan trắc
Thực hiện theo quy định tại Điều 7.2 trong TCVN 12635-2:2019 Công trình quan trắc khí tượng thủy văn - Phần 2: Vị trí, công trình quan trắc đối với trạm thủy văn.
2.3.4. Quy định về thiết bị và phương tiện quan trắc
a) Thiết bị đo đảm bảo đo được yếu tố đo, đúng tính năng kỹ thuật của thiết bị;
b) Có tài liệu hướng dẫn kỹ thuật;
c) Thiết bị đo phải được kiểm định, hiệu chuẩn theo quy định của pháp luật về đo lường. Trong toàn bộ thời gian quy định của chu kỳ kiểm định, đặc tính kỹ thuật đo lường của thiết bị đo phải được duy trì trong suốt quá trình sử dụng;
d) Thiết bị và phương tiện đo lưu lượng nước phải được bảo quản, bảo dưỡng theo các quy định hiện hành;
e) Phương tiện quan trắc lưu lượng nước phải đảm bảo an toàn tuyệt đối cho người và không ảnh hưởng đến tính năng hoạt động của thiết bị đo;
f) Thiết bị và phương tiện quan trắc phải được bảo quản, bảo dưỡng theo các quy định hiện hành.
2.3.5. Quy định về kỹ thuật quan trắc
Kỹ thuật quan trắc lưu lượng nước thực hiện theo quy định tại Phụ lục B, Quy chuẩn này.
2.4. Quan trắc lưu lượng chất lơ lửng
2.4.1. Quy định về ký hiệu và đơn vị đo
a) Ký hiệu lưu lượng chất lơ lửng: R;
b) Đơn vị đo lưu lượng chất lơ lửng: gam/giây (g/s) hoặc kilogam/giây (kg/s).
Chi tiết ký hiệu, đơn vị đo và lấy số có nghĩa của các yếu tố trong quan trắc lưu lượng chất lơ lửng quy định tại Phụ lục D, Quy chuẩn này.
2.4.2. Quy định về vị trí quan trắc
Vị trí quan trắc lưu lượng chất lơ lửng thực hiện theo quy định tại điểm 2.3.2, Phần II, Quy chuẩn này.
2.4.3. Quy định về công trình quan trắc
Công trình quan trắc lưu lượng chất lơ lửng thực hiện theo quy định tại điểm 2.3.3, Phần II, Quy chuẩn này.
2.4.4. Quy định về thiết bị quan trắc
2.4.4.1. Thiết bị lấy mẫu nước
a) Thiết bị lấy mẫu kiểu chai
- Thiết bị kiểu chai có thể dùng để lấy mẫu nước theo phương pháp tích sâu hoặc tích điểm;
- Dung tích chai từ 1 l, 2 l, 5 l, nên có vạch chia đến 0,2 l;
- Dùng thiết bị lấy mẫu nước kiểu chai lắp trên sào khi tốc độ dòng nước nhỏ hơn hoặc bằng 1,50 m/s và độ sâu thủy trực nằm trong khoảng từ 1,0 m đến 2,0 m;
- Dùng thiết bị lấy mẫu nước kiểu chai lắp trong cá sắt khi tốc độ dòng nước lớn hơn 1,50 m/s và độ sâu thủy trực lớn hơn 2,0 m.
b) Thiết bị lấy mẫu nước kiểu ngang
- Chỉ dùng lấy mẫu theo phương pháp tích điểm;
- Thiết bị phải đảm bảo lấy đủ thể tích theo quy định;
- Không bị biến dạng trong quá trình sử dụng.
2.4.4.2. Dụng cụ đựng mẫu
a) Không hấp thu hoặc sinh ra các chất lơ lửng;
b) Dung tích đựng mẫu nước lớn hơn thể tích mẫu nước từ 10 % đến 20 %.
2.4.4.3. Ống đo thể tích mẫu nước
a) Trong suốt, hình trụ có vạch chia chính xác đến 20 ml;
b) Thể tích đo được từ 1 l đến 2 l.
2.4.4.4. Thiết bị đo trực tiếp hàm lượng chất lơ lửng
a) Phạm vi đo từ 0 g/m3 đến 20 000 g/m3;
b) Sai số tối đa ± 2 % kết quả đo;
c) Phải có đầy đủ hướng dẫn kỹ thuật;
d) Thiết bị đo phải được kiểm định, hiệu chuẩn theo quy định của pháp luật về đo lường. Trong toàn bộ thời gian quy định của chu kỳ kiểm định, đặc tính kỹ thuật đo lường của thiết bị đo phải được duy trì trong suốt quá trình sử dụng.
2.4.5. Quy định về kỹ thuật quan trắc
Kỹ thuật quan trắc lưu lượng chất lơ lửng thực hiện theo quy định tại Phụ lục C, Quy chuẩn này.
III. QUY ĐỊNH VỀ QUẢN LÝ
3.1. Phương thức đánh giá sự phù hợp
Sử dụng Phương thức 1: Thử nghiệm mẫu điển hình để đánh giá sự phù hợp. Nội dung và trình tự thực hiện các hoạt động chính trong Phương thức 1 thực hiện theo mục I Phụ lục II ban hành kèm theo Thông tư số 28/2012/TT-BKHCN ngày 12 tháng 12 năm 2012 của Bộ trưởng Bộ Khoa học và Công nghệ quy định về công bố hợp chuẩn, công bố hợp quy và phương thức đánh giá sự phù hợp với tiêu chuẩn, quy chuẩn kỹ thuật.
3.2. Quy định về công bố hợp quy
Sản phẩm cần được công bố hợp quy là số liệu quan trắc thủy văn. Việc công bố hợp quy dựa trên kết quả tự đánh giá sự phù hợp của tổ chức, cá nhân công bố hợp quy.
3.3. Trách nghiệm công bố hợp quy
Các tổ chức, doanh nghiệp, cá nhân cung cấp có trách nhiệm công bố hợp quy đối với các số liệu quan trắc thủy văn do mình đo đạc.
3.4. Việc công bố hợp quy thực hiện theo Thông tư số 28/2012/TT-BKHCN ngày 12 tháng 2 năm 2012 của Bộ Khoa học và Công nghệ và Thông tư số 02/2017/TT- BKHCN ngày 31 tháng 3 năm 2017 của Bộ trưởng Bộ Khoa học và Công nghệ sửa đổi, bổ sung một số điều của Thông tư số 28/2012/TT-BKHCN ngày 12 tháng 12 năm 2012.
3.5. Các cơ quan quản lý Nhà nước về khí tượng thủy văn có trách nhiệm tổ chức kiểm tra sự tuân thủ Quy chuẩn này trên địa bàn theo quy định của pháp luật.
3.6. Mọi số liệu quan trắc thủy văn được thẩm định sau thời điểm Quy chuẩn này có hiệu lực phải tuân thủ các quy định trong Quy chuẩn này.
IV. TRÁCH NHIỆM CỦA TỔ CHỨC, CÁ NHÂN
Bộ, cơ quan ngang Bộ, cơ quan thuộc Chính phủ, Ủy ban nhân dân các tỉnh, thành phố trực thuộc Trung ương và các tổ chức, cá nhân có liên quan chịu trách nhiệm thi hành Quy chuẩn kỹ thuật này.
V. TỔ CHỨC THỰC HIỆN
Tổng cục trưởng Tổng cục Khí tượng Thủy văn, Thủ trưởng các đơn vị trực thuộc Bộ Tài nguyên và Môi trường, Giám đốc Sở Tài nguyên và Môi trường các tỉnh, thành phố trực thuộc Trung ương chịu trách nhiệm tổ chức phổ biến, đôn đốc, kiểm tra, áp dụng Quy chuẩn này cho các đối tượng có liên quan.
Phụ lục A
(Quy định)
QUY ĐỊNH KỸ THUẬT QUAN TRẮC MỰC NƯỚC VÀ NHIỆT ĐỘ NƯỚC SÔNG
1. Quan trắc mực nước
1.1. Chế độ quan trắc
1.1.1. Nguyên tắc lựa chọn chế độ quan trắc
a) Chế độ quan trắc mực nước phải bảo đảm phản ánh được quá trình diễn biến mực nước một cách đầy đủ, khách quan và phải có tính khả thi;
b) Tùy theo mức độ diễn biến mực nước trong ngày mà áp dụng một trong các chế độ quan trắc mực nước quy định tại điểm 1.1.2, Phụ lục A, Quy chuẩn này;
c) Đối với quan trắc mực nước thủ công, quan trắc viên phải thường xuyên theo dõi diến biến mực nước. Sau mỗi lần quan trắc phải vẽ tiếp đường quá trình mực nước giờ, khi thấy chế độ đang quan trắc không còn phù hợp với diễn biến mực nước, thì phải chuyển chế độ quan trắc cho phù hợp;
d) Căn cứ vào chất lượng hoạt động, tính năng của máy, công trình đặt máy, yêu cầu khai thác số liệu để chọn một trong các chế độ quan trắc để kiểm tra máy tự ghi mực nước quy định tại điểm 1.1.3, Phụ lục A, Quy chuẩn này.
1.1.2. Chế độ quan trắc mực nước thủ công
a) Chế độ 1: Mỗi ngày quan trắc 2 lần vào 07 giờ và 19 giờ, được áp dụng trong mùa cạn ở các sông vùng không ảnh hưởng thủy triều, thời kỳ biên độ mực nước trong ngày nhỏ hơn hoặc bằng 5 cm;
b) Chế độ 2: Mỗi ngày quan trắc 4 lần vào 01 giờ, 07 giờ, 13 giờ và 19 giờ, được áp dụng trong thời kỳ biên độ mực nước trong ngày lớn hơn 5 cm nhưng nhỏ hơn hoặc bằng 10 cm như vào đầu và cuối mùa cạn ở các sông thuộc vùng không ảnh hưởng thủy triều;
c) Chế độ 3: Mỗi ngày quan trắc 8 lần vào 01 giờ, 04 giờ, 07 giờ, 10 giờ, 13 giờ, 16 giờ, 19 giờ và 22 giờ, được áp dụng trong thời kỳ mực nước biến đổi rõ rệt trong ngày, như thời kỳ đầu mùa lũ ở các sông vừa và lớn thuộc vùng không ảnh hưởng thủy triều;
d) Chế độ 4: Mỗi ngày quan trắc 12 lần vào 01 giờ, 03 giờ, 05 giờ, 07 giờ, 09 giờ, 11 giờ, 13 giờ, 15 giờ, 17 giờ, 19 giờ, 21 giờ và 23 giờ, được áp dụng trong thời kỳ mực nước biến đổi lớn trong ngày, như mùa lũ ở các sông vừa và lớn, những nơi chịu ảnh hưởng nhật triều có biên độ nhỏ hơn hoặc bằng 100 cm;
e) Chế độ 5: Mỗi ngày quan trắc 12 lần vào 01 giờ, 03 giờ, 05 giờ, 07 giờ, 09 giờ, 11 giờ, 13 giờ, 15 giờ, 17 giờ, 19 giờ, 21 giờ và 23 giờ. Ngoài ra, trước và sau chân, đỉnh (triều hoặc lũ) mỗi giờ quan trắc 1 lần, được áp dụng ở những tuyến quan trắc chịu ảnh hưởng nhật triều có biên độ triều lớn hơn 100 cm và những ngày có lũ lớn ở sông vừa và lớn;
f) Chế độ 6: Mỗi ngày quan trắc 24 lần vào 0 giờ, 01 giờ, 02 giờ, 03 giờ,..., và 23 giờ, được áp dụng trong thời kỳ lũ của các sông, suối nhỏ, ở các tuyến quan trắc chịu ảnh hưởng nhật triều và ảnh hưởng khá lớn của bán nhật triều;
g) Chế độ 7: Mỗi ngày quan trắc 24 lần vào 0 giờ, 01 giờ, 02 giờ, 03 giờ,., và 23 giờ. Ngoài ra, tại chân, đỉnh (triều hoặc lũ) cứ cách 5, 10, 15 hoặc 30 phút quan trắc thêm 1 lần. Khoảng thời gian quan trắc được xác định theo sự biến đổi mực nước, nhằm quan trắc chính xác trị số mực nước và thời gian xuất hiện của mực nước chân, đỉnh được áp dụng tại những nơi mực nước chịu ảnh hưởng triều mạnh và tại các sông, suối nhỏ trong thời kỳ lũ;
h) Chế độ 8: Cách 5 phút, 10 phút, 15 phút hoặc 20 phút quan trắc 1 lần từ khi lũ lên đến hết trận lũ. Tại chân, đỉnh lũ quan trắc dầy hơn, sườn lũ lên quan trắc dầy hơn sườn lũ xuống. Khoảng cách thời gian quan trắc được xác định theo sự biến đổi của cường suất mực nước và thời gian kéo dài của trận lũ. Cường suất mực nước biến đổi càng lớn, thời gian lũ càng ngắn, thì khoảng thời gian quan trắc càng ngắn để đảm bảo quan trắc chính xác trị số mực nước chân, đỉnh lũ và các điểm chuyển tiếp của trận lũ. Cần nắm vững đặc điểm lưu vực, đặc điểm trận mưa (cường độ mưa, trung tâm mưa…) để bố trí thời gian quan trắc.
1.1.3. Chế độ quan trắc mực nước để kiểm tra máy tự ghi mực nước
a) Quan trắc 1 lần vào 07 giờ của các ngày 5, 15, 25 hàng tháng, áp dụng ở những nơi không xây dựng nhà trạm, có công trình ổn định, máy hoạt động tốt, bảo đảm liên tục và chính xác, máy tự ghi sử dụng loại giản đồ nhiều ngày;
b) Quan trắc 1 lần một ngày vào 07 giờ, áp dụng cho những trạm có công trình và máy hoạt động tốt, bảo đảm chắc chắn, không có sự cố xảy ra trong thời gian hoạt động;
c) Quan trắc 2 lần một ngày vào 07 giờ và 19 giờ, áp dụng cho những trạm có công trình ổn định, máy hoạt động đều;
d) Quan trắc 4 lần một ngày vào 01 giờ, 07 giờ, 13 giờ và 19 giờ, áp dụng cho những trạm có công trình mới được xây dựng hoặc máy mới được sửa chữa.
1.1.4. Chế độ quan trắc mực nước khi công trình đặt máy hoặc máy tự ghi mực nước bị hư hỏng
Đối với công trình đặt máy hoặc máy tự ghi mực nước bị hư hỏng (đồng hồ, nguồn điện, ắc quy, bộ nhớ, ống dẫn khí, các linh kiện khác,... của máy hoạt động không liên tục) ảnh hưởng đến độ chính xác của số liệu, thì phải ngừng hoạt động. Trong thời gian ngừng hoạt động, phải quan trắc mực nước trực tiếp trên hệ thống tuyến cọc, thủy chí theo các chế độ quy định tại điểm 1.1.2, Phụ lục A, Quy chuẩn này.
1.1.5. Chế độ đo mực nước tự động
a) Trong mùa lũ, tối thiểu 5 phút một lần đo;
b) Trong mùa cạn, tối thiểu 10 phút một lần đo;
c) Cách 15 ngày quan trắc mực nước để kiểm tra máy đo mực nước tự động một lần, áp dụng cho những trạm có công trình ổn định và máy đo hoạt động bình thường, giá trị mực nước đo kiểm tra và của máy sai khác không quá ± 2 centimét;
d) Quan trắc mực nước để kiểm tra máy đo mực nước tự động ngay khi phát hiện công trình hoặc máy đo hoạt động không ổn định, số liệu mực nước đo bằng máy có sai số đột biến.
1.2. Phương pháp quan trắc mực nước
1.2.1. Quan trắc mực nước bằng tuyến cọc
a) Trình tự quan trắc
- Chuẩn bị: dụng cụ, vật tư, thiết bị phục vụ quan trắc, di chuyển đến vị trí quan trắc;
- Xác định số đọc mực nước, xác định số đọc mực nước kiểm tra nếu phải chuyển quan trắc sang cọc khác, quan sát các yếu tố phụ, ghi các số liệu vào sổ quan trắc;
- Tính giá trị mực nước theo số đọc và độ cao đầu cọc, thủy chí và so sánh kết quả với lần đo trước;
- Vệ sinh, bảo dưỡng, sửa chữa nhỏ công trình, thiết bị đo;
- Mã hoá số liệu, điện báo (nếu được giao);
- Thống kê các giá trị đặc trưng, sao chép số liệu.
b) Phương pháp quan trắc
- Thời điểm quan trắc lệch không quá 3 phút so với thời điểm quy định;
- Độ chính xác thời gian quan trắc: Quan trắc bằng máy tự ghi mực nước hoặc quan trắc tự động: Đồng hồ của máy sai khác đồng hồ chuẩn không quá ± 2 phút/24 giờ;
- Thước đo nước cầm tay phải đặt trên đầu cọc, ngập nước từ 5 cm trở lên (kể cả khi có sóng). Vạch số hướng về người quan trắc, bề mỏng của thước xuôi chiều hướng nước chảy;
- Khi không có sóng, mặt nước nằm tại vạch khắc nào, thì trị số của vạch khắc đó là số đọc. Nếu mặt nước nằm trong khoảng hai vạch, thì phải quy tròn giá trị số đọc theo quy định tại điều 4, Phần I, Quy chuẩn này;
- Khi mặt nước có sóng phải quan trắc trước một khoảng thời gian, để sao cho thời gian trung bình của lần đo, đúng vào thời điểm quy định đo. Đọc mực nước tại hai đợt sóng, mỗi đợt phải đọc vạch cao nhất của đỉnh sóng và vạch thấp nhất của chân sóng (số đọc chân sóng phải lớn hơn hoặc bằng 5 cm); giá trị số đọc được tính trung bình của cả hai đợt đọc;
- Kết quả quan trắc được ghi vào sổ quan trắc rõ ràng tại chỗ, ngay sau khi xác định được giá trị số đọc;
- Trường hợp mực nước xuống trong khi cọc phía dưới không có, cho phép đọc số đọc nhỏ hơn 5 cm. Nếu mực nước xuống quá đầu cọc, cho phép đọc số đọc “âm”. Thời gian áp dụng dài nhất hai ngày. Phương pháp đọc số đọc “âm”:
+ Đáy thước chạm mặt nước;
+ Chiếu ngang đầu cọc, đọc số đọc trên thước;
+ Trị số mực nước của lần đo ghi dấu “-” phía trước.
- Trường hợp quan trắc mực nước giữa hai cọc hoặc hai thủy chí kề nhau:
+ Quan trắc kiểm tra áp dụng đối với các cọc tạm, cọc làm lại chưa ổn định, tuyến cọc hoặc thủy chí bị tác động mạnh bởi lũ lớn, tàu thuyền đâm,..., nghi có dấu hiệu lún;
+ Khi chuyển quan trắc từ cọc này sang cọc khác, phải cùng lúc đọc được số đọc ở cọc (thủy chí) đang quan trắc và cọc sắp quan trắc. Trong một ngày có nhiều lần chuyển quan trắc cùng một cọc thì chỉ cần quan trắc kiểm tra một lần. Quy định về phương pháp quan trắc như quy định quan trắc trên tuyến cọc và thủy chí;
+ Ghi trị số mực nước: Ghi theo dạng phân số, tử số ghi số liệu ở cọc đã và đang quan trắc, mẫu số ghi số liệu ở cọc sắp quan trắc. Ghi đầy đủ “Số hiệu cọc”, “Độ cao đầu cọc”, “Số đọc”. Trong trường hợp mực nước quan trắc ở hai cọc không khớp nhau, phải tìm nguyên nhân và hiệu chỉnh giá trị mực nước;
+ Trị số mực nước của lần đo là trị số mực nước của cọc đã và đang quan trắc.
1.2.2. Quan trắc mực nước trên tuyến thủy chí
Trình tự quan trắc và phương pháp quan trắc mực nước trên tuyến thủy chí thực hiện theo quy định tại điểm 1.2.1, Phụ lục A, Quy chuẩn này.
1.2.3. Quan trắc mực nước để kiểm tra máy tự ghi mực nước
a) Trình tự quan trắc
- Chuẩn bị: dụng cụ, vật tư, thiết bị phục vụ quan trắc, di chuyển đến vị trí quan trắc;
- Đúng giờ quy định, đối chiếu đồng hồ của máy tự ghi với đồng hồ chuẩn (theo giờ chuẩn quốc tế múi giờ Việt Nam GMT+7), đánh dấu thời gian kiểm tra trên giản đồ;
- Kiểm tra, đánh mốc giản đổ;
- Xác định số đọc mực nước, xác định số đọc mực nước kiểm tra nếu phải chuyển quan trắc sang cọc khác, quan sát các yếu tố phụ, ghi các số liệu vào sổ quan trắc;
- Tính giá trị mực nước theo số đọc và độ cao đầu cọc (thủy chí) và so sánh kết quả với lần đo trước;
- Vệ sinh, bảo dưỡng, sửa chữa nhỏ công trình, thiết bị đo.
b) Phương pháp quan trắc
- Độ chính xác thời gian quan trắc: Đồng hồ của máy sai khác đồng hồ chuẩn không quá ± 2 phút/24 giờ;
- Đánh dấu thời gian quan trắc kiểm tra trên giản đồ tự ghi mực nước: Vạch một đoạn dài 1 cm và ngắt quãng (khoảng 0,5 mm) trong thời gian kiểm tra;
- Quan trắc mực nước trên tuyến cọc hoặc thủy chí theo quy định tại điểm 1.2.1 và 1.2.2, kết hợp quan sát các yếu tố phụ theo quy định tại điều 3, Phụ lục A, Quy chuẩn này;
- Ghi kết quả quan trắc kiểm tra vào sổ quan trắc và ghi lên giản đồ tự ghi mực nước. Ghi thời gian quan trắc vào bên trái và giá trị mực nước vào bên phải của đường vạch thời gian kiểm tra trên giản đồ tự ghi mực nước;
- Kiểm tra hoạt động của máy sau khi quan trắc kiểm tra mực nước: Kiểm tra hệ thống dây truyền, kiểm tra hệ thống bánh xe chuyển động, kiểm tra hoạt động của bút tự ghi. Nếu có sự cố cần xác định nguyên nhân, ghi kết luận phân tích và thời gian xảy ra sự cố để xử lý tài liệu sau này.
1.2.4. Quan trắc mực nước khi thay giản đồ
a) Trình tự quan trắc
- Thực hiện theo quy định tại đoạn a, điểm 1.2.3, Phụ lục A, Quy chuẩn này.
b) Phương pháp quan trắc
- Quan trắc theo quy định tại đoạn b, điểm 1.2.3, Phụ lục A, Quy chuẩn này;
- Giản đồ mới phải ghi đầy đủ nội dung: Ngày, tháng, năm, tên sông, tên trạm;
- Lắp giản đồ mới phải bảo đảm đường kẻ ở chỗ nối hai mép giấy trùng khớp nhau. Khi di chuyển phao hay ngòi bút, đường ghi không bị cản trở và chạy song song với đường kẻ của một trục tọa độ, giấy được cuộn chặt và phẳng;
- Đặt ngòi bút đúng vị trí tọa độ mực nước và thời gian theo đồng hồ chuẩn.
1.2.5. Quan trắc mực nước tự động
a) Độ chính xác thời gian đo: Đồng hồ của máy sai khác đồng hồ chuẩn không quá ± 2 phút/24 giờ;
b) Số liệu đo tuân theo quy định tại điều 4, phần I, Quy chuẩn này;
c) Số liệu được lưu giữ, hiển thị tại trạm và truyền về cơ quan quản lý.
2. Quy định quan trắc nhiệt độ nước sông
2.1. Chế độ quan trắc
Quan trắc nhiệt độ nước sông tối thiểu mỗi ngày hai lần vào 7 giờ, 19 giờ. Ngoài ra, tùy theo nhu cầu sử dụng số liệu, chế độ quan trắc có thể nhiều hơn.
2.2. Phương pháp quan trắc
2.2.1. Quan trắc thủ công
a) Trình tự quan trắc
- Chuẩn bị dụng cụ, vật tư;
- Đặt giá đỡ nhiệt kế;
- Ngâm nhiệt kế vào nước trên giá đỡ;
- Xác định số đọc trên thiết bị;
- Ghi chép số đọc vào sổ quan trắc tại hiện trường;
- Tính giá trị nhiệt độ nước theo trị số hiệu chỉnh;
- Đối chiếu kết quả với lần đo trước;
- Vệ sinh tuyến đo.
b) Phương pháp quan trắc
- Thời điểm quan trắc lệch không quá 5 phút so với thời điểm quy định;
- Thời gian nhiệt kế đặt chìm trong nước tối thiểu 3 phút;
- Ngâm nhiệt kế xuống nước ở độ sâu khoảng 0,5 mét theo chiều thẳng đứng, không để nhiệt kế chạm đáy sông hoặc các vật thể khác. Trường hợp sông, suối nhỏ, độ sâu nhỏ hơn 0,5 mét thì ngâm nhiệt kế theo chiều xiên ngang;
- Thời gian xác định nhiệt độ nước tính từ khi nhấc nhiệt kế lên khỏi mặt nước tối đa 05 giây;
- Kết quả quan trắc được ghi chép rõ ràng vào sổ quan trắc tại chỗ, ngay sau khi xác định được giá trị nhiệt độ; ghi giá trị số đọc nhiệt độ trên nhiệt kế và giá trị nhiệt độ nước chính xác đến 0,10C.
2.2.2. Quan trắc tự động
a) Số liệu đo được tuân theo quy định tại điều 4, phần I, Quy chuẩn này;
b) Số liệu được lưu giữ, hiển thị tại trạm và truyền về cơ quan quản lý.
c) Độ chính xác thời gian đo: Đồng hồ của máy sai khác đồng hồ chuẩn không quá ±2 phút/24 giờ.
3. Quy định quan sát yếu tố phụ
3.1. Quan sát hướng nước chảy
a) Chế độ quan sát: Quan sát hướng nước chảy cùng lúc với quan trắc mực nước khi quan trắc thủ công;
b) Hướng nước chảy xác định theo hướng dòng sông;
c) Ký hiệu hướng nước chảy như sau:
- Chảy xuôi (chảy từ thượng nguồn ra cửa sông) ghi ký hiệu là ↓;
- Chảy ngược (chảy từ cửa sông lên thượng nguồn) ghi ký hiệu là ↑;
- Chảy quẩn ghi ký hiệu qu.
3.2. Quan sát gió
a) Chế độ quan sát: Quan sát hướng gió và sức gió cùng lúc với quan trắc mực nước khi quan trắc thủ công;
b) Hướng gió và sức gió được xác định bằng cách ước lượng, so sánh với hướng dòng sông và các hiện vật xung quanh (cây cối, nhà cửa xung quanh,…). Cách ghi quy định tại Bảng 1.
Bảng 1. Cách ghi hướng và cấp gió

3.3. Quan sát sóng
a) Chế độ quan sát: Quan sát sóng cùng lúc với quan trắc mực nước khi quan trắc thủ công;
b) Căn cứ vào mức độ biểu hiện của các hiện tượng do sóng gây ra để xác định cấp sóng, cụ thể như sau:
- Sóng cấp không (không có sóng) ghi ký hiệu: 0;
- Sóng cấp một (sóng lăn tăn) ghi ký hiệu: I;
- Sóng cấp hai (sóng vừa, đầu sóng xuất hiện bọt trắng), ghi ký hiệu: II;
- Sóng cấp ba (sóng lớn, thuyền nhỏ không đi được, thuyền lớn tròng trành), ghi ký hiệu: III.
3.4. Quan sát diễn biến lòng sông
a) Chế độ quan sát:
- Quan sát diễn biến lòng sông, cây, cỏ mọc trong sông, bồi xói bờ sông, sự hoạt động của các công trình thủy lợi, của con người, 10 ngày quan sát một lần cùng lúc với quan trắc mực nước thủ công vào các ngày 5, 15 và 25 hàng tháng;
- Khi đo mực nước tự động, quan sát diễn biến lòng sông, cây, cỏ mọc trong sông, bồi xói bờ sông, sự hoạt động của các công trình thủy lợi, của con người, tối thiểu 2 lần trong năm vào thời điểm giữa mùa cạn và cuối mùa lũ.
b) Quan sát dựa trên các hiện tượng diễn biến lòng sông, bờ sông như cây cỏ, rong rêu phát triển nhiều, xói lở, bồi lấp, trên cả đoạn sông, các nội dung quan sát như sau:
- Vị trí, phạm vi, mức độ và quá trình diễn biến xói lở, bồi lấp, mức độ cây, cỏ phát triển;
- Thời gian xuất hiện, chiều dài, chiều rộng, vùng sạt lở, độ cao của bãi nổi;
- Thời gian xuất hiện thay đổi chủ lưu, phân bố tốc độ dòng chảy, kể cả nước vật;
- Phạm vi sinh trưởng, mức độ rậm rạp của thực vật (thưa, dầy….), độ cao, mức độ ảnh hưởng đến dòng chảy của mỗi loại;
- Tình hình hoạt động của các công trình thủy lợi, các hoạt động khác của con người như:
+ Quy mô, thời gian tiến hành xây dựng, thời gian hoàn thành, các công trình thủy lợi, thủy điện, cầu, cống; vận tải thủy; đê; kè; nạo vét lòng sông;
+ Thời gian đóng, mở cống hoặc đắp, phá phai cọn, lấy nước, tiêu nước, mức độ ảnh hưởng đến chế độ dòng chảy.
Phụ lục B
(Quy định)
QUY ĐỊNH KỸ THUẬT QUAN TRẮC LƯU LƯỢNG NƯỚC
1. Quy định kỹ thuật quan trắc lưu lượng nước vùng sông không ảnh hưởng thủy triều
1.1. Chế độ quan trắc
1.1.1. Nguyên tắc bố trí chế độ quan trắc
a) Tuỳ theo chế độ dòng chảy, chế độ thủy lực tại vị trí quan trắc và nhu cầu sử dụng số liệu mà bố trí chế độ quan trắc cho phù hợp đảm bảo phản ánh được diễn biến lưu lượng nước tại vị trí đo.
b) Có hai hình thức quan trắc lưu lượng nước là quan trắc thường xuyên và quan trắc kiểm tra.
- Quan trắc thường xuyên là đo nhiều năm liên tục. Chế độ quan trắc lưu lượng nước theo hình thức quan trắc thường xuyên đảm bảo nguyên tắc:
+ Việc bố trí chế độ quan trắc lưu lượng nước theo cấp mực nước, theo thời gian, theo đặc trưng con lũ hay theo quá trình diễn biến đặc biệt của thủy lực phải căn cứ vào mục đích, yêu cầu quan trắc và thời gian hoạt động của trạm;
+ Số lần đo lưu lượng trong năm đủ để khống chế được tính đại biểu, các điểm đặc trưng của diễn biến tương quan mực nước và lưu lượng nước Q = f(H) từ thấp tới cao;
+ Số lần đo lưu lượng trong năm đủ để xác định tương quan mực nước và lưu lượng nước Q = f(H) theo chế độ ảnh hưởng thủy lực kể cả các trường hợp đặc biệt như vỡ đê, tràn bãi,...;
- Quan trắc kiểm tra là mỗi năm hoặc một số năm đo một số lần đo lưu lượng theo một số cấp mực nước hoặc một số con lũ nhất định để kiểm tra sự thay đổi của quan hệ mực nước và lưu lượng nước Q = f(H).
1.1.2. Chế độ quan trắc
Chế độ quan trắc lưu lượng nước đối với trạm mới hoạt động dưới 3 năm, trạm hoạt động trên 3 năm và trạm hoạt động trên 5 năm thực hiện theo quy định tại điều 7.2, trong TCVN 12636-8:2020 Quan trắc khí tượng thủy văn - Phần 8: Quan trắc lưu lượng nước sông vùng không ảnh hưởng thủy triều.
1.2. Phương pháp quan trắc lưu lượng nước
1.2.1. Nguyên tắc lựa chọn phương pháp quan trắc
a) Việc lựa chọn phương pháp quan trắc lưu lượng nước phải căn cứ vào mục đích, yêu cầu đặt trạm và tình hình cụ thể tại từng thời điểm, từng vị trí quan trắc;
b) Có thể sử dụng riêng biệt hoặc kết hợp nhiều phương pháp để quan trắc lưu lượng nước nhưng phải đảm bảo nguyên tắc chính xác, tiết kiệm.
1.2.2. Phương pháp đo mặt cắt và tốc độ nước
1.2.2.1. Trình tự quan trắc
a) Chuẩn bị phương tiện, lắp đặt máy, thiết bị đo;
b) Đo mực nước, quan sát trạng thái mặt sông, định vị thủy trực đo sâu;
c) Xác định khoảng cách mép nước bờ phải, trái;
d) Đo độ sâu thủy trực đo sâu, thủy trực đo tốc độ, tính toán độ sâu, phân bố điểm đo tốc độ trên thủy trực;
e) Đo tốc độ nước, ghi kết quả vào sổ quan trắc;
f) Tính lưu lượng nước, lựa chọn giá trị đặc trưng;
g) Điện báo, mã hóa số liệu, chuyển tin (nếu được giao);
h) Chấm điểm trên biểu đồ tương quan Q = f(H), F = f(H), V = f(H), phân tích tương quan để xác định chế độ đo;
i) Bảo dưỡng phương tiện, máy, thiết bị đo.
1.2.2.2. Đo mặt cắt
1.2.2.2.1. Nguyên tắc đo mặt cắt
a) Phải quan trắc mực nước vào lúc bắt đầu và kết thúc đo mặt cắt và xác định khoảng cách từ mốc khởi điểm đến hai mép nước;
b) Khi tốc độ nước ≤ 1,00 m/s thì đo mặt cắt cùng lúc với đo tốc độ nước;
c) Khi tốc độ nước > 1,00 m/s hoặc cường suất mực nước ≥ 0,50 m/h thì đo mặt cắt trước hoặc sau khi đo tốc độ nước;
d) Khi đo sâu bằng sào hoặc cáp tời thì tại mỗi thủy trực đo độ sâu, phải đo sâu tối thiểu hai lần. Giá trị lần đo sau so với lần đo trước không chênh nhau quá ± 5 %. Độ sâu tính toán là trung bình cộng độ sâu của các lần đo đó.
1.2.2.2.2. Bố trí thủy trực đo sâu
a) Thủy trực đo sâu phải đảm bảo khống chế được sự chuyển tiếp của địa hình lòng sông;
b) Khi lòng sông ổn định, vị trí thủy trực đo sâu phải cố định;
c) Khi lòng sông không ổn định dựa vào kết quả thực đo bố trí thêm thủy trực phụ đo độ sâu;
d) Khoảng cách giữa các thủy trực đo sâu nên bố trí bằng nhau (trừ khoảng cách của hai thủy trực sát bờ);
e) Số lượng thủy trực đo độ sâu ít nhất phải bằng hoặc lớn hơn thủy trực đo tốc độ và thỏa mãn yêu cầu sau:
- Đối với trạm mới hoạt động dưới 3 năm, số đường thủy trực đo độ sâu tối thiểu như Bảng 1;
- Đối với những trạm đã hoạt động từ 3 năm trở lên, số lượng thủy trực đo độ sâu có thể giảm, nhưng tối thiểu không được giảm quá nửa số thủy trực ở Bảng 1.
Bảng 1. Số lượng thủy trực đo độ sâu tối thiểu của trạm mới hoạt động dưới 3 năm
|
Độ rộng mặt nước (m) |
B<10 |
10≤ B≤ 20 |
20<B≤ 50 |
50<B≤100 |
100<B≤300 |
300<B≤1000 |
B>1000 |
|
Số lượng thủy trực đo sâu |
5 đến 10 |
11 đến 15 |
16 đến 20 |
21 đến 30 |
31 đến 40 |
41 đến 50 |
51 đến 60 |
1.2.2.2.3. Xác định vị trí thủy trực đo sâu
a) Khi B ≤ 600 m, dùng cáp căng ngang sông để xác định vị trí thủy trực đo độ sâu;
b) Khi B > 600 m, có thể xác định vị trí thủy trực đo độ sâu bằng máy đo góc hoặc xác định dựa trên nguyên tắc ba điểm thẳng hàng bằng hệ thống tiêu được xây dựng sẵn như Hình 1 hay lợi dụng các vật đặc biệt trên bờ sông như công trình kiến trúc, cây cổ thụ để xác định vị trí thủy trực;
c) Khi độ sâu dòng chảy nhỏ, có thể lội để đo, vị trí thủy trực đo độ sâu được xác định được căn cứ vào mốc cố định gần bờ nhất.

Hình 1. Xác định vị trí thủy trực đo độ sâu bằng hệ thống tiêu
1.2.2.2.4. Chế độ đo mặt cắt ngang
a) Khi lòng sông ổn định từng mùa hoặc lâu dài, trong thời kỳ ổn định cứ 5 đến 10 lần đo tốc độ nước phải đo mặt cắt ngang một lần, mùa cạn hai lần đo sâu liên tiếp không cách nhau quá 3 tháng;
b) Khi lòng sông thường biến đổi, 2 đến 3 lần đo tốc độ nước phải đo mặt cắt ngang một lần;
c) Khi xuất hiện các hoạt động kinh tế xã hội hay các tác động của tự nhiên như xây dựng các công trình thủy lợi, đào, xới,... hay xuất hiện lũ lớn làm thay đổi mặt cắt thì cần tổ chức đo đạc lại toàn bộ mặt cắt đến mực nước lớn nhất.
1.2.2.2.5. Phương pháp đo mặt cắt ngang
a) Dùng sào
- Khi độ sâu nhỏ hơn 3 m, dùng sào hoặc thước sắt để đo độ sâu;
- Nếu lòng sông có bùn, cát thì sào hoặc thước sắt phải có đế, dưới đế là đinh sắt nhọn.
b) Dùng cáp tời
- Khi độ sâu ≥3 m, việc đo độ sâu thực hiện bằng bằng cá sắt, dùng tời để thả;
- Khi tốc độ dòng nước lớn, làm góc chệch dây cáp ≥ 10o phải tăng trọng lượng cá sắt để giảm góc chệch dây cáp. Nếu tăng thêm trọng lượng cá sắt mà vẫn không giảm được góc chệch, phải hiệu chỉnh độ sâu theo góc chệch dây cáp nêu tại Bảng 2.
Bảng 2. Trị số hiệu chỉnh độ sâu theo góc chệch dây cáp mang cá sắt
|
Độ sâu (m) |
Góc chệch dây cáp |
|||||
|
10o |
15o |
20o |
25o |
30o |
35o |
|
|
2,00 |
0,02 |
0,04 |
0,07 |
0,10 |
0,14 |
0,18 |
|
3,00 |
0,03 |
0,05 |
0,09 |
0,13 |
0,19 |
0,25 |
|
4,00 |
0,03 |
0,07 |
0,11 |
0,17 |
0,24 |
0,33 |
|
5,0 |
0,04 |
0,08 |
0,13 |
0,21 |
0,29 |
0,40 |
|
6,0 |
0,04 |
0,09 |
0,15 |
0,24 |
0,35 |
0,47 |
|
7,0 |
0,05 |
0,10 |
0,18 |
0,28 |
0,40 |
0,54 |
|
8,0 |
0,05 |
0,12 |
0,20 |
0,31 |
0,45 |
0,61 |
|
9,0 |
0,06 |
0,13 |
0,23 |
0,35 |
0,50 |
0,68 |
|
10,0 |
0,07 |
0,14 |
0,25 |
0,39 |
0,56 |
0,76 |
|
11,0 |
0,07 |
0,15 |
0,27 |
0,42 |
0,61 |
0,83 |
|
12,0 |
0,08 |
0,17 |
0,29 |
0,46 |
0,66 |
0,90 |
|
13,0 |
0,08 |
0,18 |
0,32 |
0,49 |
0,71 |
0,97 |
|
14,0 |
0,09 |
0,19 |
0,34 |
0,53 |
0,77 |
1,04 |
|
15,0 |
0,09 |
0,20 |
0,36 |
0,57 |
0,82 |
1,11 |
|
16,0 |
0,10 |
0,22 |
0,39 |
0,60 |
0,87 |
1,18 |
|
17,0 |
0,10 |
0,23 |
0,41 |
0,63 |
0,92 |
1,25 |
|
18,0 |
0,11 |
0,24 |
0,43 |
0,67 |
0,97 |
1,32 |
c) Dùng máy tự động
- Phải quan trắc mực nước vào lúc bắt đầu và kết thúc đo mặt cắt;
- Đo độ rộng sông;
- Đo khoảng cách từ vị trí thiết bị đo độ sâu bắt đầu đo, kết thúc đo đến mép nước (bờ trái, bờ phải);
- Phải xác định độ ngập nước của thiết bị đo độ sâu để hiệu chỉnh chính xác độ sâu;
- Phải đảm bảo đường chạy tàu trùng với mặt cắt ngang;
- Khi dùng thiết bị hồi âm đo độ sâu, phải bố trí đo vào lúc ít phương tiện đường thủy qua lại tuyến quan trắc.
1.2.2.2.6. Đo độ rộng sông
a) Đo độ rộng sông bằng cách đo khoảng cách từ mốc khởi điểm đến hai mép nước (bờ trái, bờ phải) bằng máy hoặc thước dây, được tính bằng hiệu số giữa khoảng cách từ mốc khởi điểm đến hai mép nước. Mỗi mặt cắt phải đo tối thiểu hai lần, chênh lệch kết quả hai lần đo ≤ 1 %;
b) Nếu mặt cắt ướt có nước tù, cần xác định khoảng cách khởi điểm đến ranh giới nước tù và độ sâu tại ranh giới nước tù.
1.2.2.3. Đo tốc độ nước
1.2.2.3.1. Nguyên tắc đo tốc độ nước
a) Phải quan trắc mực nước vào lúc bắt đầu và kết thúc đo tốc độ nước;
b) Phải đo độ dốc mặt nước;
c) Phải đo sâu mặt ngang;
d) Quan sát hiện tượng thời tiết, hướng gió, sức gió và những hiện tượng có liên quan khác và ghi vào sổ đo lưu lượng nước;
e) Khi gần bờ có nước tù, phải xác định khoảng cách khởi điểm đến ranh giới nước tù và độ sâu tại ranh giới nước tù.
1.2.2.3.2. Thủy trực đo tốc độ
Thực hiện theo quy định tại điều 6.3.3.2, trong TCVN 12636-8:2020 Quan trắc khí tượng thủy văn - Phần 8: Quan trắc lưu lượng nước sông vùng không ảnh hưởng thủy triều.
1.2.2.3.3. Thủy trực đại biểu đo tốc độ
Thực hiện theo quy định tại điều 6.3.3.3, trong TCVN 12636-8:2020 Quan trắc khí tượng thủy văn - Phần 8: Quan trắc lưu lượng nước sông vùng không ảnh hưởng thủy triều.
1.2.2.3.4. Phương pháp đo tốc độ nước
1.2.2.3.4.1. Đo tốc độ dòng nước bằng lưu tốc kế
a) Yêu cầu đo tốc độ nước bằng lưu tốc kế
Đảm bảo các nguyên tắc chung đo tốc độ nước quy định tại điểm 1.2.2.3.1, Phụ lục B, Quy chuẩn này, ngoài ra phải đảm bảo các nguyên tắc sau:
- Phải xác định độ sâu tại thủy trực đo tốc độ nước;
- Đo khoảng cách từ mép nước (mép trái, mép phải) đến mốc khởi điểm;
- Trước khi đo đạc phải kiểm tra công trình, phương tiện và thiết bị đo để đảm bảo đo đạc an toàn, chính xác;
- Lưu tốc kế chỉ được dùng trong phạm vi cho phép, tuỳ theo tốc độ mà dùng loại lưu tốc kế và loại cánh quạt cho thích hợp;
- Khi mực nước biến đổi nhanh (mực nước lúc bắt đầu và kết thúc lần đo chênh nhau lớn hơn 20 cm), ngoài việc quan trắc mực nước vào lúc bắt đầu và kết thúc đo, phải quan trắc mực nước tại thời điểm đo tốc độ nước ở điểm 0,6 h của mỗi thủy trực đo tốc độ nước.
b) Bố trí điểm đo trên thủy trực đo tốc độ
- Bố trí điểm đo theo độ sâu thủy trực, độ sâu thủy trực kí hiệu là h, đơn vị là mét (m):
+ Khi độ sâu thủy trực nhỏ hơn 1,00m, đo tốc độ bằng phương pháp 1 điểm tại điểm 0,2h hoặc 0,6h;
+ Khi độ sâu thủy trực từ 1,00 đến 3,00m đo bằng phương pháp 2 điểm hoặc 3 điểm;
Nếu đo bằng phương pháp 2 điểm thì đo tại 0,2h và 0,6h.
Nếu đo bằng phương pháp 3 điểm thì đo tại 0,2h; 0,6h và 0,8h.
+ Khi độ sâu thủy trực lớn hơn 3,00m thì đo tốc độ bằng phương pháp 5 điểm tại các điểm mặt (0,0h); 0,2h; 0,6h; 0,8h và điểm đáy.
- Bố trí điểm đo theo mục đích nghiên cứu: Đo để tìm hiểu phân bố tốc độ theo mặt ngang tại một trạm mới hoạt động hoặc đo để nghiên cứu giảm điểm đo trên thủy trực. Khi đó phải đo tốc độ theo phương pháp nhiều điểm và việc bố trí điểm đo không phụ thuộc vào độ sâu thủy trực nhưng khoảng cách giữa các điểm đo không được nhỏ hơn 1,5 lần đường kính cánh quạt hoặc cốc quay của lưu tốc kế không được chạm đáy sông.
c) Phương pháp đo
- Thời gian đo tốc độ bằng lưu tốc kế tại một điểm không được nhỏ hơn 100 giây;
- Lưu tốc kế gắn trên sào thì chân sào cần lắp bàn đế và khi đo phải giữ cho sào thẳng đứng;
- Nếu dùng cáp để treo cá phải đo góc lệch dây cáp, tăng trọng lượng cá sắt hoặc thay đổi dây cáp để giảm góc lệch dây cáp. Nếu góc lệch lớn hơn 10o khi tính toán phải hiệu chỉnh;
- Khi thả lưu tốc kế xuống nước, đầu tời phải nhô ra xa mạn thuyền ít nhất 0,50m;
- Không được va chạm mạnh vào cánh quạt hoặc cốc quay của lưu tốc kế;
- Mùa kiệt khi tốc độ dòng nước quá nhỏ, ở tuyến chính không thể đo được bằng lưu tốc kế thì chọn tuyến phụ để đo tốc độ. Khi đo tốc độ ở tuyến phụ vẫn phải đo mực nước ở tuyến chính. Chọn tuyến phụ phải đảm bảo không có lưu lượng nước gia nhập hoặc xuất lưu;
- Mùa lũ khi tốc độ dòng nước lên xuống nhanh, có thể đo tốc độ dòng nước theo phương án đo đơn giản. Xây dựng phương án đo đơn giản theo quy định tại Phụ lục B trong TCVN 12636-8:2020 Quan trắc khí tượng thủy văn - Phần 8: Quan trắc lưu lượng nước sông vùng không ảnh hưởng thủy triều.
1.2.2.3.4.2. Đo tốc độ dòng nước bằng phao nổi
Thực hiện theo quy định tại điều 6.3.3.4.2 trong TCVN 12636-8:2020 Quan trắc khí tượng thủy văn - Phần 8: Quan trắc lưu lượng nước sông vùng không ảnh hưởng thủy triều.
1.2.2.3.4.3. Đo tốc độ dòng nước bằng phao chìm
Thực hiện theo quy định tại điều 6.3.3.4.3 trong TCVN 12636-8:2020 Quan trắc khí tượng thủy văn - Phần 8: Quan trắc lưu lượng nước sông vùng không ảnh hưởng thủy triều.
1.2.2.4. Tính lưu lượng nước khi đo bằng lưu tốc kế
1.2.2.4.1. Tính diện tích mặt cắt ngang
Thực hiện theo quy định tại điều 6.3.4.1 trong TCVN 12636-8:2020 Quan trắc khí tượng thủy văn - Phần 8: Quan trắc lưu lượng nước sông vùng không ảnh hưởng thủy triều.
1.2.2.4.2. Tính tốc độ nước đo bằng lưu tốc kế
a) Tính tốc độ điểm đo:
- Tốc độ dòng nước của từng điểm đo trên các thủy trực theo công thức:

Trong đó:
n: Số vòng quay của cánh quạt trong 1 giây;
R: Tổng số vòng quay;
s: thời gian đo tại 1 điểm, đơn vị: giây (s);
V: Tốc độ điểm đo, đơn vị mét/giây (m/s);
a: Hệ số, thay đổi tuỳ theo lưu tốc kế;
b: Tốc độ ban đầu của lưu tốc kế.
- Nếu hướng nước chảy tại thủy trực không vuông góc với mặt cắt ngang thì phải hiệu chỉnh tốc độ đo. Phải tính đổi tốc độ ở điểm đo thành tốc độ vuông góc với mặt cắt theo công thức sau như sau:
Vhc = V x cosα (2)
Vhc là tốc độ nước tại điểm đo trên thủy trực đã hiệu chỉnh;
V là tốc độ nước thực đo tại điểm đo trên thủy trực;
α là góc tạo bởi hướng chảy và hướng vuông góc với mặt cắt ngang sông.
b) Tính tốc độ trung bình thủy trực
Gọi V0,0h, V0,1h, V0,2h,...V0,9h, V1,0h là tốc độ tại điểm mặt; 0,1h; 0,2h; ...;0,9h; đáy thì tốc độ trung bình thủy trực tính như sau:
- Khi đo 1 điểm trên thủy trực:
Đo tại điểm 0,2h: Vtb = K.V0,2h. Trong đó K lấy trong khoảng 0,78 ÷ 0.84;
Đo tại điểm 0,6h: Vtb = V0,6h;

c) Tính tốc độ trung bình bộ phận
- Tốc độ trung bình của bộ phận sát bờ bình thường (không có nước tù) hoặc của bộ phận sát bờ dốc đứng (Vb). Công thức tính tốc độ như sau:
Vb = K x Vtb (8)
Trong đó: K là hệ số kinh nghiệm: K lấy từ 0,80 đến 0,90. Tại mỗi trạm đo cần kiểm nghiệm thực tế để xác định hệ số K cho chính xác. Nếu chưa kiểm nghiệm được có thể dùng hệ số K = 0,85.
- Tốc độ trung bình bộ phận sát ranh giới nước tù (bộ phận nằm giữa một bên là nước chảy, một bên là ranh giới nước tù), công thức tính như sau:

Vtù là tốc độ trung bình bộ phận sát ranh giới nước tù (m/s);
Vtb là tốc độ trung bình thủy trực sát ranh giới nước tù (m/s).
- Tốc độ trung bình của bộ phận nằm giữa hai đường thủy trực đo tốc độ bằng trung bình cộng tốc độ trung bình hai đường thủy trực ấy.

Trong đó:
V là tốc độ trung bình giữa hai thủy trực n và n+1 (m/s);
Vtbn là tốc độ trung bình thủy trực thứ n (m/s);
Vtbn+1 là tốc độ trung bình thủy trực thứ n+1 (m/s).
d) Tốc độ trung bình mặt cắt ngang
- Tốc độ trung bình mặt cắt ngang tính theo công thức sau:

Trong đó:
Vmc là tốc độ trung bình mặt cắt (m/s);
Q là lưu lượng nước mặt cắt (m3/s);
F là diện tích mặt cắt (m2).
- Nếu mặt cắt có nước tù và chỉ sử dụng bộ phận diện tích nước chảy thì tốc độ trung bình bộ phận có nước chảy của mặt cắt được tính như sau:

Trong đó:
Vmcch là tốc độ trung bình bộ phận có nước chảy của mặt cắt;
Fch là diện tích bộ phận nước chảy, F là diện tích mặt cắt ngang; Fch được tính theo công thức: Fch= F - Ft;
Ft là diện tích bộ phận nước tù.
- Nếu diện tích bộ phận nước tù có quan hệ chặt và ổn định với mực nước thì có thể lập bảng tính sẵn mực nước với diện tích nước chảy của mặt cắt để thuận tiện cho việc tính Vmcch.
1.2.2.4.3. Tính lưu lượng nước
a) Từ diện tích và tốc độ dòng nước, tính lưu lượng nước theo công thức sau:
Q = F x V (13)
Q là lưu lượng nước (m3/s);
F là diện tích mặt cắt (m2);
V là tốc độ trung bình toàn mặt cắt ngang (m/s).
b) Lưu lượng nước bộ phận
Lưu lượng nước bộ phận bằng tốc độ trung bình bộ phận nhân với diện tích bộ phận.
q = Vbp x fbp (14)
Trong đó:
q là lưu lượng nước bộ phận (m3/s);
Vbp là tốc độ trung bình bộ phận tính lưu lượng nước (m/s); fbp là diện tích bộ phận tính lưu lượng nước (m2).
c) Lưu lượng nước toàn mặt cắt ngang
Lưu lượng nước toàn mặt cắt ngang bằng tổng đại số các lưu lượng nước bộ phận trong mặt cắt.

Trong đó:
Q là lưu lượng nước mặt cắt ngang (m3/s);
qi là lưu lượng nước bộ phận thứ i (m3/s);
Vi là tốc độ nước trung bình bộ phận thứ i (m/s);
fi là diện tích bộ phận thứ i (m2);
V1,V2, ..., Vn là tốc độ nước trung bình bộ phận thứ 1, 2, ..., n (m/s);
f1, f2, ..., fn là diện tích bộ phận thứ 1, 2, ..., n (m2).
1.2.3. Phương pháp đo thể tích
1.2.3.1. Điều kiện áp dụng
Phương pháp đo thể tích được áp dụng ở các sông, suối nhỏ, nơi không có nước tù, nơi có thể cải tạo được mặt cắt để thu được dòng nước vào máng, lưu lượng nước tối đa 20 l/s.
1.2.3.2. Phương pháp đo
a) Trình tự đo
- Đo mực nước;
- Xác định thời gian đo;
- Đo thể tích nước;
- Tính toán lưu lượng nước;
- Bảo dưỡng phương tiện và thiết bị đo.
b) Phương pháp đo
- Phải đo mực nước tại vị trí đo lúc bắt đầu và kết thúc đo lưu lượng nước;
- Xác định thời gian đo:
+ Ghi thời điểm bắt đầu và thời điểm kết thúc đo chính xác đến giây;
+ Thời gian đo được tính bằng hiệu số giữa thời điểm kết thúc đo và thời điểm bắt đầu đo.
- Đo thể tích nước: Phải đảm bảo thu được toàn bộ lượng nước chảy qua mặt cắt từ thời điểm bắt đầu đến thời điểm kết thúc đo; dụng cụ chứa nước phải đảm bảo an toàn, thuận tiện để xác định thể tích nước, không chứa nước đầy quá để tránh bị tràn khi thao tác;
- Quan sát, ghi chép các hiện tượng thời tiết, tình hình dòng chảy, các hiện tượng ảnh hưởng đến dòng chảy như bờ sông, đáy sông, thực vật phát triển trong lòng sông, bờ sông.
1.2.3.3. Tính lưu lượng nước
Lưu lượng nước đo bằng phương pháp thể tích được tính như sau:

Trong đó:
Q là lưu lượng nước (l/s);
W là thể tích nước (l);
Δt là thời gian đo (s);
Δt = t2 – t1
t2 là thời điểm kết thúc đo;
t1 là thời điểm bắt đầu đo.
1.2.4. Đo lưu lượng nước bằng thiết bị đo theo nguyên lý siêu âm Doppler (ADCP)
1.2.4.1. Lựa chọn mặt cắt đo
a) Mặt cắt đo lưu lượng nước bằng ADCP nên lựa chọn nơi đáy sông tương đối bằng phẳng và ít thực vật sinh sống, không có từ trường cục bộ gây ra như gần các kết cấu thép, đường cáp ngầm, tàu thuyền đắm, để tránh bị ảnh hưởng làm sai lệch dữ liệu đo;
b) Hình dạng mặt cắt nên lựa chọn là hình parabol, hình thang hoặc hình chữ nhật, nên tránh những nơi có hình bất đối xứng;
c) Đảm bảo độ sâu để vận hành thuyền và thiết bị hoạt động bình thường.
1.2.4.2. Phương pháp đo
a) Trình tự đo
- Chuẩn bị phương tiện, lắp đặt máy, thiết bị đo;
- Đo mực nước, quan sát trạng thái mặt sông, định vị thủy trực đo sâu;
- Xác định khoảng cách mép nước bờ phải, trái;
- Đo lưu lượng nước;
- Điện báo, mã hóa số liệu, chuyển tin (nếu được giao);
- Chấm điểm trên biểu đồ tương quan Q = f(H), F = f(H), V = f(H), phân tích tương quan để xác định chế độ đo;
- Bảo dưỡng phương tiện, máy, thiết bị đo.
b) Phương pháp đo
- Trước khi đo phải dự kiến xác định độ sâu, tốc độ tối đa và hình dạng lòng sông bên trái và bên phải và các chướng ngại vật (nếu có) để chuẩn bị phương án đo và cài đặt cấu hình máy;
- Phải quan trắc mực nước vào lúc bắt đầu và kết thúc đo, định vị vị trí xuất phát và kết thúc đo;
- Thiết bị ADCP phải được gắn cố định, chắc chắn vào phương tiện, tránh xa vật có từ tính như sắt, thép, đảm bảo không bị nhô lên khỏi mặt nước trong quá trình đo;
- Cài đặt thiết bị theo hướng dẫn của nhà sản xuất, các thông số phù hợp với từng vị trí đo theo hướng dẫn đối với từng loại thiết bị. Trường hợp có các kết nối khác, cần thực hiện tuân thủ đúng như các hướng dẫn đã được thiết lập. Đảm bảo kết nối của máy tính với thiết bị, hoạt động thông suốt;
- Trước khi đo chính thức phải tiến hành đo thử để hiệu chỉnh thiết bị theo quy định;
- Phải để thiết bị ổn định 1 đến 2 giây mới bắt đầu tiến hành thu thập số liệu, trong quá trình di chuyển, thiết bị đo nên trùng với mặt cắt ngang sông, hạn chế mức độ tròng trành của thuyền, tốc độ di chuyển đều và nên nhỏ hơn tốc độ nước, tránh di chuyển thiết bị đến vùng nước nông (độ sâu nhỏ hơn 1,00 m). Trước khi kết thúc đo cần giảm tốc độ di chuyển và giữ vị trí thuyền cố định từ 1 giây đến 2 giây để đảm bảo thiết bị thu thập được hết tín hiệu;
- Phải đo tối thiểu 2 lần liên tiếp và kiểm tra, đánh giá xem dữ liệu có bất thường hay không, nếu có phải tiến hành xem xét lại toàn bộ các bước và thực hiện đo lại (Kết quả đo diện tích mặt cắt và lưu lượng nước giữa lần đo trước và sau, chênh nhau không quá ± 5 % thì được coi là đảm bảo chất lượng tốt);
- Phải ghi nhật ký đo đạc, tình hình thời tiết, diễn biến dòng chảy và các hiện tượng khác trong đoạn sông đo đạc.
1.2.5. Đo lưu lượng nước bằng thiết bị tự động được lắp đặt cố định
Phương pháp đo lưu lượng nước bằng thiết bị tự động được lắp đặt cố định tại thủy trực đại biểu, thực hiện như phương án đo đơn giản quy định tại Phụ lục B trong TCVN 12636-8:2020 Quan trắc khí tượng thủy văn - Phần 8: Quan trắc lưu lượng nước sông vùng không ảnh hưởng thủy triều. Khi đo lưu lượng nước bằng các thiết bị lắp đặt cố định, ngoài các yêu cầu như phương án đo đơn giản và yêu cầu về kỹ thuật được khuyến cáo đối với từng loại máy, thiết bị, cần đáp ứng các yêu cầu sau:
a) Vị trí lắp đặt thiết bị phải thuận tiện, an toàn cho người và thiết bị khi vận hành, bảo dưỡng, sửa chữa, nên chọn ở vùng chủ lưu;
b) Thiết bị phải lắp đặt cố định, chắc chắn, đảm bảo đo được ở vùng chủ lưu và xác định được lưu lượng nước toàn mặt cắt ngang theo mục đích, yêu cầu;
c) Kết quả đo lưu lượng nước bằng thiết bị tự động được lắp đặt cố định phải được đánh giá, bằng cách so sánh với lưu lượng nước thực tế toàn mặt cắt ngang tối thiểu 30 lần đo, phân bố đều trên các cấp mực nước (thấp, trung bình, cao), đảm bảo 90% số lần so sánh không chênh nhau quá ± 10% giá trị thực tế là đạt yêu cầu.
2. Quy định kỹ thuật quan trắc lưu lượng nước vùng sông ảnh hưởng thủy triều
2.1. Chế độ quan trắc
Thực hiện theo quy định tại Phụ lục A trong TCVN 12636-9:2020 Quan trắc khí tượng thủy văn - Phần 9: Quan trắc lưu lượng nước sông vùng ảnh hưởng thủy triều.
2.2. Phương pháp quan trắc
2.2.1. Phương pháp đo mặt cắt và tốc độ nước
2.2.1.1. Trình tự quan trắc
Thực hiện theo quy định tại điểm 1.2.2.1, Phụ lục B, Quy chuẩn này;
2.2.1.2. Đo mặt cắt
Thực hiện theo quy định tại điều 6 trong TCVN 12636-9:2020 Quan trắc khí tượng thủy văn - Phần 9: Quan trắc lưu lượng nước sông vùng ảnh hưởng thủy triều.
2.2.1.3. Đo tốc độ nước
2.2.1.3.1. Nguyên tắc đo tốc độ nước
a) Phải quan trắc mực nước vào lúc bắt đầu và kết thúc đo tốc độ nước;
b) Phải đo mặt cắt ngang;
c) Khi gần bờ có nước tù, cần xác định khoảng cách khởi điểm đến ranh giới nước tù và độ sâu tại ranh giới nước tù và phải xác định độ sâu tại thủy trực đo tốc độ;
d) Khi ảnh hưởng triều mạnh:
- Đo tốc độ nước trên thủy trực phải có thiết bị xác định hướng chảy theo độ sâu;
- Khi đo tốc độ nước trên nhiều thủy trực (từ 2 thủy trực trở lên), phải đo đồng thời cùng thời gian;
e) Khi đo thiết bị đo phải đảm bảo không được nhô khỏi mặt nước hoặc chạm đáy sông.
2.2.1.3.2. Đo tốc độ nước chi tiết toàn mặt cắt ngang
Thực hiện theo quy định tại điều 7.1.4 trong TCVN 12636-9:2020 Quan trắc khí tượng thủy văn - Phần 9: Quan trắc lưu lượng nước sông vùng ảnh hưởng thủy triều.
2.2.1.3.3. Đo tốc độ nước theo phương pháp đường đại biểu
Thực hiện theo quy định tại điều 7.1.2 trong TCVN 12636-9:2020 Quan trắc khí tượng thủy văn - Phần 9: Quan trắc lưu lượng nước sông vùng ảnh hưởng thủy triều.
2.2.1.4. Quan trắc hướng chảy
Thực hiện theo quy định tại điều 7.1.5 trong TCVN 12636-9:2020 Quan trắc khí tượng thủy văn - Phần 9: Quan trắc lưu lượng nước sông vùng ảnh hưởng thủy triều.
2.2.1.4. Tính lưu lượng nước
2.2.1.4.1. Tính lưu lượng nước khi đo tốc độ chi tiết toàn mặt ngang
2.2.1.4.1.1. Tính tốc độ nước
a) Tính tốc độ điểm đo
Tốc độ điểm đo tính theo quy định tại đoạn a, điểm 1.2.2.4.2, Phụ lục B, Quy chuẩn này.
b) Tính tốc độ trung bình thủy trực
Tốc độ trung bình thủy trực tính theo quy định tại đoạn b, điểm 1.2.2.4.2, Phụ lục B, Quy chuẩn này.
c) Tính tốc độ trung bình bộ phận
Tốc độ trung bình bộ phận tính theo quy định tại đoạn c, điểm 1.2.2.4.2 Phụ lục B, Quy chuẩn này.
d) Tính tốc độ trung bình mặt cắt ngang
Tốc độ trung bình mặt cắt nganh tính theo quy định tại đoạn d, điểm 1.2.2.4.2, Phụ lục B, Quy chuẩn này.
2.2.1.4.1.2. Tính lưu lượng nước
Tính lưu lượng nước bộ phận, lưu lượng nước mặt cắt ngang theo quy định tại điểm 1.2.2.4.3, Phụ lục B, Quy chuẩn này.
2.2.1.4.2. Tính lưu lượng nước khi đo tốc độ theo phương pháp đường đại biểu
2.2.1.4.2.1. Tính tốc độ trung bình đường thủy trực đại biểu
a) Khi thủy trực đại biểu chỉ có một đường thì tốc độ trung bình đường thủy trực đại biểu chính là tốc độ trung bình của đường thủy trực đó;
b) Khi thủy trực đại biểu gồm 2 đường thì tốc độ trung bình thủy trực đại biểu tính bằng trung bình cộng tốc độ của 2 đường thủy trực đó;
c) Tính tốc độ trung bình một đường thủy trực theo quy định tại đoạn b, điểm 1.2.2.4.2, Phụ lục B, Quy chuẩn này.
2.2.1.4.2.2. Lập bảng tính sẵn tương quan Vmc = f(Vđb) hoặc Vmcch = f(Vđb)
a) Nếu đo tốc độ nước đại biểu liên tục trong thời gian dài và sử dụng cùng một tương quan Vmc = f(Vđb) hoặc Vmcch = f(Vđb) thì lập bảng tính sẵn giá trị tương quan Vmc = f(Vđb) hoặc Vmcch = f(Vđb);
b) Căn cứ phạm vi sử dụng tốc độ của tương quan Vmc = f(Vđb) để lập bảng.
2.2.1.4.2.3. Tính tốc độ trung bình mặt cắt ngang
Lấy tốc độ trung bình đường thủy trực đại biểu thay vào phương trình tương quan Vmc = f(Vđb) hoặc tra trong bảng tính sẵn giá trị tương quan Vmc = f(Vđb) hoặc tra trên đồ thị tương quan Vmc = f(Vđb) được tốc độ trung bình mặt cắt.
2.2.1.4.2.4. Tính diện tích mặt cắt ngang
Lấy mực nước tương ứng với thời điểm đo tốc độ ở đường thủy trực đại biểu tra trong bảng tính sẵn tương quan F = f(H) được diện tích mặt cắt.
2.2.1.4.2.5. Tính lưu lượng nước
Q = F x Vmc (17)
hoặc Q = Fch x Vmcch (18)
Trong đó:
F là diện tích mặt cắt ngang (m2);
Vmc là tốc độ trung bình mặt cắt ngang (m/s);
Fch là diện tích mặt cắt ngang có nước chảy (m2);
Vmcch là tốc độ trung bình mặt cắt ngang có nước chảy (m/s).
2.2.2. Đo lưu lượng nước bằng thiết bị đo theo nguyên lý siêu âm Doppler (ADCP)
Thực hiện theo quy định tại 7.2.1 trong TCVN 12636-9:2020 Quan trắc khí tượng thủy văn - Phần 9: Quan trắc lưu lượng nước sông vùng ảnh hưởng thủy triều.
2.2.3. Đo lưu lượng nước bằng thiết bị tự động được lắp đặt cố định
Thực hiện theo quy định tại 7.2.2 trong TCVN 12636-9:2020 Quan trắc khí tượng thủy văn - Phần 9: Quan trắc lưu lượng nước sông vùng ảnh hưởng thủy triều.
Phụ lục C
(Quy định)
QUY ĐỊNH KỸ THUẬT QUAN TRẮC LƯU LƯỢNG CHẤT LƠ LỬNG
1. Đo lưu lượng chất lơ lửng
1.1. Đo lưu lượng chất lơ lửng đồng thời với đo lưu lượng nước
1.1.1. Điều kiện áp dụng và nguyên tắc chung đo lưu lượng chất lơ lửng đồng thời với đo lưu lượng nước
a) Điều kiện áp dụng
- Đo lưu lượng chất lơ lửng cùng thời gian với đo lưu lượng nước mặt cắt ngang;
- Phương tiện đo và dụng cụ đựng mẫu đầy đủ, hoạt động tốt;
b) Nguyên tắc chung
- Quan trắc mực nước vào thời gian khi bắt đầu đo, kết thúc đo. Đo mực nước khi quan trắc ở điểm 0,6h mỗi thủy trực nếu nước lên, xuống nhanh;
- Phương pháp lấy mẫu tại các thủy trực phải như nhau nếu xử lý mẫu hỗn hợp toàn mặt ngang.
1.1.2. Trình tự quan trắc
a) Chuẩn bị phương tiện, dụng cụ lấy mẫu, thiết bị đo;
b) Đo mực nước, quan sát trạng thái mặt sông, định vị thủy trực đo sâu;
c) Xác định khoảng cách mép nước bờ phải, trái;
d) Đo độ sâu thủy trực đo sâu, thủy trực đo tốc độ;
e) Tính toán độ sâu, phân bố độ sâu thả máy lấy mẫu trên thủy trực;
f) Lấy mẫu nước, xác định dung tích mẫu nước, ghi kết quả;
g) Lọc mẫu nước: Ghi chép, xác định dung tích và số hiệu giấy lọc mẫu, lọc mẫu;
h) Tính hàm lượng chất lơ lửng thực đo;
i) Tính toán lưu lượng chất chất lơ lửng thực đo.
1.1.3. Chế độ đo lưu lượng chất lơ lửng
1.1.3.1. Đối với vùng sông không ảnh hưởng thủy triều và vùng sông ảnh hưởng thủy triều trong thời kỳ triều yếu
1.1.3.1.1. Chế độ đo chi tiết
a) Áp dụng đối với trạm mới đo lưu lượng chất lơ lửng, trong 3 năm đầu phải đo chi tiết lưu lượng chất lơ lửng mặt cắt ngang, nhằm xác định phân bố chất lơ lửng trong mặt cắt ngang để quyết định số đường thủy trực đo hàm lượng chất lơ lửng khi đo bình thường, đo đơn giản và phục vụ yêu cầu nghiên cứu khoa học.
b) Đo chi tiết lưu lượng chất lơ lửng mặt cắt ngang được thực hiện đồng thời khi đo chi tiết lưu lượng nước.
c) Số lần đo:
- Mùa lũ đo từ 25 đến 30 lần, tập trung nhiều vào đầu mùa lũ, con lũ lớn nhất năm, những con lũ đột xuất có hàm lượng chất lơ lửng lớn;
- Mùa cạn đo từ 8 đến 10 lần, khoảng thời gian giữa hai lần đo liên tiếp không quá 30 ngày.
d) Phải bố trí ít nhất 20% số lần đo chi tiết theo phương pháp đo tích điểm.
1.1.3.1.2. Chế độ đo bình thường
a) Khi đã đo chi tiết lưu lượng chất lơ lửng mặt cắt ngang được 3 năm trở lên, nghiên cứu chuyển từ đo chi tiết sang đo bình thường như sau:
- Từ số liệu lưu lượng chất lơ lửng trong 3 năm đầu, chọn trong các thủy trực đo chi tiết một số thủy trực làm thủy trực bình thường, dùng số liệu đo trên các thủy trực đó tính lưu lượng chất lơ lửng đo bình thường (Rbt);
- Xây dựng tương quan giữa lưu lượng chất lơ lửng đo chi tiết (Rct) với lưu lượng chất lơ lửng đo bình thường (Rbt). Vẽ các đường bao ± 5% và ± 10% của tương quan Rct = f(Rbt) như Hình 1, nếu tương quan Rct = f(Rbt) đạt yêu cầu sau:
+ 75% số điểm trở lên nằm trong phạm vi đường bao ± 5%;
+ 95% số điểm trở lên nằm trong phạm vi đường bao ± 10%;
+ Sai số hệ thống không quá ± 1% thì phương pháp đo bình thường đã chọn đạt yêu cầu.
- Trường hợp có nhiều phương án bố trí thủy trực đo bình thường đạt yêu cầu trên, chọn phương án có sai số nhỏ nhất, hoặc phương án đo đạc thuận lợi nhất;
- Nếu không đạt yêu cầu trên, phải xem xét, điều chỉnh lại việc chọn thủy trực hoặc tăng thêm số thủy trực được chọn để bảo đảm yêu cầu.

Hình 1. Tương quan lưu lượng chất lơ lửng đo chi tiết và đo bình thường
b) Số lần đo
- Mùa lũ từ 20 đến 25 lần, phân bố tập trung nhiều vào lũ đầu mùa, lũ lớn nhất năm, những con lũ đột xuất có hàm lượng chất lơ lửng lớn;
- Mùa cạn từ 5 đến 8 lần, ít nhất một tháng đo một lần, khoảng thời gian giữa hai lần đo liên tiếp không quá 30 ngày.
c) Các thủy trực đo bình thường lưu lượng chất lơ lửng mặt cắt ngang trùng với các thủy trực đo bình thường tốc độ mặt cắt ngang;
d) Phải bố trí ít nhất 20% số lần đo bình thường theo phương pháp đo tích điểm.
1.1.3.1.3. Chế độ đo đơn giản
a) Thủy trực đo lưu lượng chất lơ lửng khi đo đơn giản cũng là các thủy trực đo tốc độ theo phương pháp đơn giản;
b) Chế độ đo đơn giản được áp dụng khi đo lưu lượng nước sông theo phương pháp đơn giản hoặc đo xen kẽ với đo bình thường lưu lượng chất lơ lửng;
c) Xây dựng tương quan giữa lưu lượng chất lơ lửng đo chi tiết (Rct) hoặc đo bình thường (Rbt) với lưu lượng chất lơ lửng đo đơn giản (Rđg)
- Tương quan Rđg = f(Rbt) được lập theo tài liệu đo bình thường của 3 năm liền trước đó, tương quan Rđg = f(Rbt) đạt yêu cầu sau:
+ 75% số điểm trở lên nằm trong phạm vi đường bao ± 5%;
+ 95% số điểm trở lên nằm trong phạm vi đường bao ± 10%;
+ Sai số hệ thống không quá ± 1 % thì áp dụng chế độ đo đơn giản lưu lượng chất lơ lửng.
- Tương quan Rđg = f(R) được lập theo tài liệu đo bình thường của 3 năm liền trước đó, tương quan R = f(R) đạt yêu cầu sau:
+ 75% số điểm trở lên nằm trong phạm vi đường bao ± 5%;
+ 95% số điểm trở lên nằm trong phạm vi đường bao ± 10%;
+ Sai số hệ thống không quá ± 1% thì áp dụng chế độ đo đơn giản lưu lượng chất lơ lửng.
d) Phải bố trí ít nhất 20% tổng số lần đo theo phương pháp đo tích điểm.
1.1.3.1.4. Trường hợp đặc biệt
Nếu tương quan giữa hàm lượng chất lơ lửng trung bình mặt cắt ngang và hàm lượng chất lơ lửng trung bình thủy trực đại biểu (ρmc = f(ρđb)) không tốt thì phải nghiên cứu, tìm nguyên nhân, phải tăng số lần đo lưu lượng chất lơ lửng để xác định chính xác tương quan ρmc = f(ρđb). Thiết lập tương quan giữa hàm lượng chất lơ lửng trung bình mặt cắt ngang và hàm lượng chất lơ lửng trung bình thủy trực đại biểu (ρmc = f(ρđb)) theo quy định tại Phụ lục D trong TCVN 12636-10:2021 Quan trắc khí tượng thủy văn - Phần 10: Quan trắc lưu lượng chất lơ lửng vùng sông không ảnh hưởng thủy triều.
1.1.3.1.5. Giảm số lần đo lưu lượng chất lơ lửng mặt cắt ngang
a) Nếu tương quan ρmc = f(ρđb) của 3 năm trước đó tương đối ổn định qua các năm, luồng điểm của tương quan ρmc = f(ρđb) phân bố có tính hệ thống, tập trung thì giảm số lần đo lưu lượng chất lơ lửng như sau:
+ Mùa lũ đo từ 15 đến 20 lần, phân bố tập trung nhiều vào lũ đầu mùa, lũ lớn nhất năm, những con lũ đột xuất có hàm lượng chất lơ lửng lớn;
+ Mùa cạn đo 5 lần, khoảng thời gian giữa hai lần đo liên tiếp không quá 30 ngày.
b) Nếu chế độ đo không đủ cơ sở xác định chính xác tương quan ρmc = f(ρđb) thì tăng số lần đo lưu lượng chất lơ lửng mặt cắt ngang.
1.1.3.2. Đối với vùng sông ảnh hưởng thủy triều thời kỳ triều mạnh
a) Số lần đo
- Trạm đo lưu lượng chất lơ lửng từ 3 năm trở xuống, bố trí đo lưu lượng chất lơ lửng ít nhất 20 lần chảy xuôi và 15 lần chảy ngược trong mỗi đợt đo chi tiết lưu lượng nước;
- Trạm đo lưu lượng chất lơ lửng từ 3 năm trở lên, bố trí đo lưu lượng chất lơ lửng ít nhất 15 lần chảy xuôi và 10 lần chảy ngược trong mỗi đợt đo chi tiết lưu lượng nước.
b) Tăng, giảm số lần đo
- Nếu đo theo chế độ quy định đoạn a điểm này không đủ cơ sở xác định chính xác tương quan ρmc = f(ρđb) thì tăng số lần đo lưu lượng chất lơ lửng mặt cắt ngang;
- Trường hợp tương quan ρmc = f(ρđb) ít thay đổi, ổn định trong thời gian dài, cho phép giảm bớt số lần đo lưu lượng chất lơ lửng mặt cắt ngang.
1.1.4. Bố trí thủy trực đo hàm lượng chất lơ lửng
1.1.4.1. Nguyên tắc bố trí thủy trực
a) Thủy trực đo hàm lượng chất lơ lửng bố trí trùng với thủy trực đo tốc độ khi đo lưu lượng nước;
b) Việc bố trí thủy trực đo hàm lượng chất lơ lửng căn cứ vào hình dạng mặt cắt ngang, sự biến đổi của tốc độ dòng chảy và phân bố hàm lượng chất lơ lửng trong mặt cắt ngang. Vùng chủ lưu bố trí nhiều thủy trực, bãi tràn bố trí ít hơn ở lòng chính;
c) Số lượng thủy trực đo hàm lượng chất lơ lửng trên toàn mặt cắt ngang phải bằng hoặc ít hơn số thủy trực đo tốc độ.
1.1.4.2. Số lượng thủy trực đo hàm lượng chất lơ lửng
a) Vùng sông không ảnh hưởng thủy triều thực hiện theo quy định tại điều 6.1.3.2 trong TCVN 12636-10:2021 Quan trắc khí tượng thủy văn - Phần 10: Quan trắc lưu lượng chất lơ lửng vùng sông không ảnh hưởng thủy triều.
b) Vùng sông ảnh hưởng thủy triều thực hiện theo quy định tại điều 6.1.3.2 trong TCVN 12636-11:2021 Quan trắc khí tượng thủy văn - Phần 11: Quan trắc lưu lượng chất lơ lửng vùng sông ảnh hưởng thủy triều.
1.1.4.3. Định vị thủy trực trên mặt cắt ngang
Thực hiện theo quy định tại điều 6.1.3.3 trong TCVN 12636-10:2021 Quan trắc khí tượng thủy văn Phần 10: Quan trắc lưu lượng chất lơ lửng vùng sông không ảnh hưởng thủy triều.
1.1.4.4. Vị trí thủy trực lấy mẫu đại biểu
a) Thủy trực lấy mẫu đại biểu phải chọn trong số các thủy trực đang lấy mẫu chất lơ lửng mặt ngang, có tính đại biểu cho toàn mặt cắt ngang;
b) Vị trí thủy trực đại biểu đảm bảo thuận tiện, an toàn cho việc lấy mẫu đại biểu hàng ngày;
c) Vị trí thủy trực đại biểu phải có tương quan ρmn = f(ρđb) chặt chẽ theo quy định tại Phụ lục D trong TCVN 12636-10:2021 Quan trắc khí tượng thủy văn - Phần 10: Quan trắc lưu lượng chất lơ lửng vùng sông không ảnh hưởng thủy triều;
d) Năm đầu tiên đo hàm lượng chất lơ lửng chưa có số liệu để phân tích chọn thủy trực đại biểu, thủy trực đại biểu được chọn một trong các thủy trực nằm trên chủ lưu của dòng chảy hoặc ở nơi có độ sâu lớn nhất. Sau một năm đo đạc phải nghiên cứu để chọn thủy trực lấy mẫu đại biểu;
e) Trường hợp mặt cắt ngang chỉ dùng một thủy trực để quan trắc lưu lượng chất lơ lửng thì thủy trực đó chính là thủy trực lấy mẫu đại biểu;
f) Nếu trên mặt ngang chọn được 2 thủy trực đạt yêu cầu làm thủy trực đại biểu thì mẫu nước lấy ở 2 thủy trực được gộp chung, đại biểu cho mặt cắt ngang.
1.1.5. Thể tích mẫu nước
Thực hiện theo quy định tại điều 6.1.4 trong TCVN 12636-10:2021 Quan trắc khí tượng thủy văn - Phần 10: Quan trắc lưu lượng chất lơ lửng vùng sông không ảnh hưởng thủy triều.
1.1.6. Lấy mẫu nước toàn mặt cắt ngang
Thực hiện theo quy định tại điều 6.1.5.1 trong TCVN 12636-10:2021 Quan trắc khí tượng thủy văn - Phần 10: Quan trắc lưu lượng chất lơ lửng vùng sông không ảnh hưởng thủy triều.
1.1.7. Đo trực tiếp hàm lượng chất lơ lửng
1.1.7.1. Nguyên tắc chung
a) Phải kiểm định thiết bị theo hướng dẫn kỹ thuật của nhà sản xuất trước khi đưa vào sử dụng;
b) Hàm lượng chất lơ lửng, độ đục của vị trí đo phải nằm trong phạm vi cho phép đo của thiết bị;
c) Phải kiểm tra, hiệu chỉnh thông số của thiết bị cho phù hợp với vị trí đo trước khi đưa vào sử dụng vào các thời kỳ xuất hiện hàm lượng chất lơ lửng lớn nhất, nhỏ nhất và trung bình trong năm.
1.1.7.2. Kiểm tra, hiệu chỉnh thông số thiết bị đo
a) Đối với thiết bị đo trực tiếp độ đục
- Thực hiện đồng thời giữa đo trực tiếp độ đục và lấy mẫu xác định hàm lượng chất lơ lửng để kiểm tra các thông số kỹ thuật của thiết bị vào các thời kỳ xuất hiện hàm lượng chất lơ lửng lớn nhất, nhỏ nhất và trung bình trong năm;
- Tương quan giữa hàm lượng chất lơ lửng với độ đục thực đo ρđ = f(N) phải đạt yêu cầu 75% số điểm trở lên nằm trong phạm vi đường bao ± 10% so với đường trung bình và không có các điểm thiên lệch hệ thống.

Hình 2 - Tương quan giữa hàm lượng chất lơ lửng với độ đục thực đo
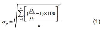
- Tính sai số σρ của đường tương quan ρđ = f(N) theo công thức:

Trong đó:
ρt là hàm lượng chất lơ lửng tra trên đường tương quan ρđ = f(N) (g/m3);
ρđ là hàm lượng chất lơ lửng xác định bằng phương pháp lấy mẫu nước (g/m3);
i là chỉ số, i = 1 + n;
n là số lần đo lưu lượng chất lơ lửng tham gia tính toán. Nếu n nhỏ hơn 30 thì trong công thức trên mẫu số tính là n - 1.
- Khi sai số điểm đo σp ≤ 10 % thì thiết bị đạt yêu cầu, có thể đưa vào đo đạc số liệu.
b) Đối với thiết bị đo trực tiếp hàm lượng chất lơ lửng
- Thực hiện đồng thời giữa đo trực tiếp hàm lượng chất lơ lửng và lấy mẫu xác định hàm lượng chất lơ lửng để kiểm tra các thông số kỹ thuật của thiết bị vào các thời kỳ xuất hiện hàm lượng chất lơ lửng lớn nhất, nhỏ nhất và trung bình trong năm;
- Tương quan giữa hàm lượng chất lơ lửng đo trực tiếp (đo bằng máy) với hàm lượng chất lơ lửng xác định bằng lấy mẫu ρm = f(ρđ) phải đạt yêu cầu 75% số điểm trở lên nằm trong phạm vi đường bao ± 10% so với đường trung bình và không có các điểm thiên lệch hệ thống.
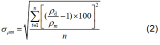
- Tính sai số ơpm của đường tương quan ρm = f(ρđ) theo công thức:

Trong đó:
ρm là hàm lượng chất lơ lửng đo bằng máy (g/m3);
ρđ là hàm lượng chất lơ lửng xác định bằng phương pháp lấy mẫu nước (g/m3);
i là chỉ số, i = 1 + n;
n là số lần đo lưu lượng chất lơ lửng tham gia tính toán. Nếu n nhỏ hơn 30 thì trong công thức trên mẫu số tính là n - 1.
- Khi sai số điểm đo σpm ≤ 10% thì thiết bị đạt yêu cầu, có thể đưa vào đo đạc số liệu.
1.1.7.3. Phương pháp đo
a) Thiết bị đo hàm lượng chất lơ lửng di động trên sông: Bố trí thủy trực đo theo quy định tại điểm 1.1.4, Phụ lục C, Quy chuẩn này;
b) Thiết bị đo hàm lượng chất lơ lửng cố định: Thiết bị đo hàm lượng chất lơ lửng phải được lắp đặt cố định tại vị trí thủy trực đại biểu, đảm bảo chắc chắn, ổn định;
c) Đưa thiết bị đến vị trí điểm đo, chờ cho thiết bị ở trạng thái ổn định, xác định hàm lượng chất lơ lửng tại điểm đo;
d) Với thiết bị đo trực tiếp độ đục: Từ giá trị độ đục (N) đo được bằng thiết bị đo độ đục tra quan hệ ρđ = f(N) được hàm lượng chất lơ lửng thực đo (ρtđ).
1.1.8. Lấy mẫu nước đại biểu tương ứng
Thực hiện theo quy định tại điều 6.1.7 trong TCVN 12636-10:2021 Quan trắc khí tượng thủy văn - Phần 10: Quan trắc lưu lượng chất lơ lửng vùng sông không ảnh hưởng thủy triều.
1.2. Đo lưu lượng chất lơ lửng không đồng thời với đo lưu lượng nước
1.2.1. Điều kiện áp dụng
a) Khi số lần đo lưu lượng chất lơ lửng vượt quá số lần đo lưu lượng nước mặt cắt ngang, số lần đo vượt được phép dùng phương pháp này;
b) Trường hợp Trạm thiếu nhân lực;
c) Phương tiện đo lưu lượng nước bị hỏng;
d) Đo lưu lượng nước bằng thiết bị tự động;
e) Đối với vùng sông ảnh hưởng thủy triều thì phương pháp này chỉ được áp dụng khi nước chảy thuần nhất trong mặt cắt ngang và chảy cùng chiều với lúc đo lưu lượng nước.
1.2.2. Nguyên tắc thực hiện
1.2.2.1. Đối với lấy mẫu nước đo hàm lượng chất lơ lửng
a) Quan trắc mực nước lúc bắt đầu đo và kết thúc đo;
b) Xác định vị trí mép nước bờ phải, bờ trái và độ rộng mặt nước;
c) Đo độ sâu tại các thủy trực lấy mẫu nước;
d) Lấy mẫu nước theo phương pháp tích sâu tại các thủy trực lấy mẫu nước và lấy mẫu nước theo phương pháp tích điểm ở điểm 0,5 h hoặc 0,6 h nếu độ sâu nhỏ hơn 1 m trong trường hợp đo lưu lượng nước thủ công. Trường hợp đo lưu lượng nước bằng thiết bị đo theo nguyên lý siêu âm Doppler (ADCP), đo bằng công trình cáp tuần hoàn hoặc đo lưu lượng nước bằng thiết bị lắp đặt cố định thì lấy mẫu nước theo phương pháp tích sâu;
e) Lấy mẫu nước đại biểu tương ứng tại thủy trực đại biểu;
f) Toàn bộ mẫu nước được gộp chung lại thành mẫu nước mặt cắt ngang để xử lý chung.
1.2.2.2. Đối với thiết bị đo trực tiếp hàm lượng chất lơ lửng
Thực hiện theo quy định tại điểm 1.1.7, Phụ lục C, Quy chuẩn này.
2. Lấy mẫu nước đại biểu hàng ngày
Thực hiện theo quy định tại điều 7 trong trong TCVN 12636-10:2021 Quan trắc khí tượng thủy văn - Phần 10: Quan trắc lưu lượng chất lơ lửng vùng sông không ảnh hưởng thủy triều. Riêng quy định về chế độ lấy mẫu nước thì áp dụng như sau:
a) Chế độ lấy mẫu nước đại biểu hàng ngày đối với vùng sông không ảnh hưởng thủy triều thực hiện theo quy định tại điều 7.5 trong TCVN 12636-10:2021 Quan trắc khí tượng thủy văn - Phần 10: Quan trắc lưu lượng chất lơ lửng vùng sông không ảnh hưởng thủy triều;
b) Chế độ lấy mẫu nước đại biểu hàng ngày đối với vùng sông ảnh hưởng thủy triều hiện theo quy định tại điều 7.5 trong TCVN 12636-11:2021 Quan trắc khí tượng thủy văn - Phần 11: Quan trắc lưu lượng chất lơ lửng vùng sông ảnh hưởng thủy triều.
3. Xử lý mẫu nước
3.1. Nguyên tắc xử lý mẫu nước
a) Xử lý mẫu nước phải kịp thời để xác định khối lượng chất lơ lửng, tránh mẫu nước bị thất thoát;
b) Mẫu nước phải được xử lý sơ bộ tại trạm lấy mẫu nước (trạm), sau đó gửi về phòng thí nghiệm để xử lý tiếp.
3.2. Xử lý mẫu nước tại trạm
Thực hiện theo quy định tại điều 8.2 trong trong TCVN 12636-10:2021 Quan trắc khí tượng thủy văn - Phần 10: Quan trắc lưu lượng chất lơ lửng vùng sông không ảnh hưởng thủy triều. Và thực hiện các quy định sau về giấy lọc mẫu:
a) Giấy lọc mẫu phải dày và dai, không hòa tan trong nước, không để các chất mịn lọt qua, đảm bảo lọc mẫu nước nhanh;
b) Giấy lọc mẫu sau khi sấy khô, khả năng hút ẩm ít;
c) Giấy lọc mẫu được cắt theo hình tròn hoặc hình lục lăng có đường kính 20 cm, cân, sấy, xác định khối lượng từng tờ, ghi thông tin giấy lọc bằng bút chì và được bảo quản, chống ẩm;
d) Giấy lọc được cân lượt đầu (chưa dùng lọc mẫu) và lượt sau (đã dùng lọc mẫu) trên cùng một cân để hạn chế sai số.
3.3. Xác định khối lượng mẫu chất lơ lửng tại phòng thí nghiệm
a) Công tác chuẩn bị:
- Mỗi tờ giấy lọc được gấp làm 4 (thực hiện đối với giấy cân lượt đầu);
- Xếp giấy vào tủ sấy, tối đa không quá 300 mẫu một lần sấy;
- Sấy silicagen và chuẩn bị bình hút ẩm.
b) Bật tủ sấy, đảm bảo nhiệt độ trong tủ sấy luôn được duy trì nhiệt độ ở 1050C ± 2oC;
c) Thời gian sấy mẫu từ 3 - 5 giờ;
d) Sau khi đã sấy khô mẫu cho vào bình chống ẩm, để nguội rồi mới tiến hành cân xác định khối lượng;
e) Cân giấy với độ chính xác tối thiểu là 0,1mg;
Lưu ý: Các thiết bị tủ sấy, cân phân tích tại phòng thí nghiệm phải được bảo dưỡng, kiểm định mỗi năm 1 lần.
4. Tính toán lưu lượng chất lơ lửng
Thực hiện theo quy định tại điều 9 trong trong TCVN 12636-10:2021 Quan trắc khí tượng thủy văn - Phần 10: Quan trắc lưu lượng chất lơ lửng vùng sông không ảnh hưởng thủy triều.
Phụ lục D
(Quy định)
KÝ HIỆU, ĐƠN VỊ ĐO VÀ LẤY SỐ CÓ NGHĨA
Bảng 1 - Ký hiệu, đơn vị đo và lấy số có nghĩa quan trắc lưu lượng nước
|
Tên |
Ký hiệu |
Đơn vị đo |
Ký hiệu đơn vị đo |
Lấy số có nghĩa |
Ví dụ |
Ghi chú |
|
Tốc độ nước |
V |
Mét trên giây |
m/s |
Lấy đến 0,01 m/s |
5,02; 11,73; 3,47; 0,20 |
|
|
Thời điểm quan trắc |
t |
Giờ, phút |
h ph |
Lấy đến 01 phút |
1 h 15; 2 h 06 |
Giờ tính từ 0 đến 23 giờ. Phút ghi 2 chữ số, nếu nhỏ hơn 10, thêm số "0" vào trước |
|
Độ sâu |
h |
mét |
m |
< 5 m, lấy đến 0,01 m |
0,71 ; 1,25 ; 4,99 |
|
|
≥ 5 m, lấy đến 0,1m |
5,0 ; 10,2 ; 12,4 |
|||||
|
Độ rộng |
B |
mét |
m |
Lấy đến 0,1 m |
1140,6; 232,8; 15,6; 4,5 |
|
|
Khoảng cách đến mốc khởi điểm |
Kc |
mét |
m |
Lấy đến 0,1 m |
1140, 6; 232,8; 15,6; 4,5 |
Khoảng cách giữa các đường thủy trực, khoảng cách từ thiết bị đo đến hai mép nước lấy theo quy định này |
|
Diện tích mặt cắt |
F |
Mét vuông |
m2 |
Lấy 3 số có nghĩa, nhưng không quá 0,01 m2 |
3450; 876; 54,0; 6,21; 0,75 |
Diện tích bộ phận, diện tích nước tù lấy theo quy định này |
|
Lưu lượng nước |
Q |
mét khối trên giây |
m3/s |
Lấy 3 số có nghĩa, nhưng không quá 0,001 m3/s |
8230; 246; 36,9; 4,92; 0,071; 0,001 |
Lưu lượng nước bộ phận lấy theo quy định này |
|
Thể tích nước |
W |
Mét khối, lít |
m3 ; L |
Lấy đến 0,1 m3 ; 0,1 L |
0,2 L ; 1,2 L ; 18,3 L; 0,2 m3 ; 15,2m3 |
|
|
Độ dốc mặt nước |
I |
10-4 |
10-4 |
Lấy 3 số có nghĩa, nhưng không quá 0,01 |
1,23. 10-4 ; 0,72 .10-4 |
|
Bảng 2. Ký hiệu, đơn vị đo và lấy số có nghĩa quan trắc lưu lượng chất lơ lửng
|
Tên |
Ký hiệu |
Đơn vị đo |
Kí hiệu đơn vị đo |
Lấy số có nghĩa |
Ví dụ |
Ghi chú |
|
Lưu lượng chất lơ lửng |
R |
Gam trên giây |
g/s |
Lấy đến 1 chữ số lẻ thập phân |
0,5 ; 4,7; 37,5 |
Dùng cho trạm có hàm lượng chất lơ lửng đặc biệt nhỏ |
|
|
Kilogam trên giây |
Kg/s |
Lấy ba số có nghĩa nhưng không quá 0,001 kg/s |
0,375 ; 3,80 ; 13,7 ; 382 |
|
|
|
Tổng lượng chất lơ lửng |
Wr |
103 tấn Hoặc 106 tấn |
|
Lấy 3 số có nghĩa |
125x 103 tấn 86,7 x 103 tấn 63,8 x 106 tấn |
|
|
Hàm lượng chất lơ lửng |
ρ |
Gam trên mét khối |
g/m3 |
Lấy đến 1 chữ số lẻ thập phân |
7,5 ; 13,8 ; 576 |
|
|
|
Kilogam trên mét khối |
Kg/m3 |
Lấy ba số có nghĩa nhưng không quá 0,001 kg/m3 |
0,354 ; 4,75 ; 25,6 |
Dùng cho trạm có hàm lượng chất lơ lửng đặc biệt lớn |
|
|
Thể tích mẫu nước |
W |
Centimet khối |
cm3 |
Lấy tới 10 cm3 |
310 ;970 ; 1680 |
|
THƯ MỤC TÀI LIỆU THAM KHẢO
[1] Luật Khí tượng thủy văn số 90/2015/QH13 được Quốc hội thông qua ngày 23/11/2015 và có hiệu lực thi hành vào 01/7/2016;
[2] Nghị định số 48/2020/NĐ-CP ngày 15 tháng 4 năm 2020 của Chính Phủ Sửa đổi, bổ sung một số điều của Nghị định số 38/NĐ-CP ngày 15 tháng 5 năm 2016 của Chính phủ quy định chi tiết một số điều của Luật khí tượng thủy văn;
[3] Thông tư số 26/2012/TT-BTNMT ngày 28 tháng 12 năm 2012 của Bộ Tài nguyên và Môi trường Ban hành Quy chuẩn quốc gia về quan trắc thủy văn (QCVN 47: 2012/BTNMT);
[4] Thông tư số 05/2016/TT-BTNMT ngày 13 tháng 05 năm 2016 của Bộ Tài nguyên và Môi trường, Quy định nội dung quan trắc khí tượng thủy văn đối với trạm thuộc mạng lưới trạm khí tượng thủy văn quốc gia;
[5] Thông tư số 70/2015/TT-BTNMT ngày 23/12/2015 của Bộ trưởng Bộ TNMT quy định kỹ thuật đối với hoạt động của các trạm KTTV tự động.
[6] 94 TCN 1-2003, Quy phạm quan trắc mực nước và nhiệt độ nước sông
[7] Quy phạm quan trắc lưu lượng nước sông lớn và sông vừa vùng sông không ảnh hưởng triều (94TCN 3-90);
[8] 94 TCN 17-99, Quy phạm quan trắc lưu lượng nước sông vùng ảnh hưởng thủy triều
[9] 94 TCN 13-96, Quy phạm quan trắc lưu lượng chất lơ lửng vùng sông không ảnh hưởng thủy triều;
[10] 94 TCN 26-2002, Quy phạm tạm thời quan trắc lưu lượng chất lơ lửng vùng sông ảnh hưởng thủy triều;
[11] WMO Technical Regulations (WMO-No. 49), Volume III - Hydrology.
Bạn chưa Đăng nhập thành viên.
Đây là tiện ích dành cho tài khoản thành viên. Vui lòng Đăng nhập để xem chi tiết. Nếu chưa có tài khoản, vui lòng Đăng ký tại đây!
Bạn chưa Đăng nhập thành viên.
Đây là tiện ích dành cho tài khoản thành viên. Vui lòng Đăng nhập để xem chi tiết. Nếu chưa có tài khoản, vui lòng Đăng ký tại đây!