- Tổng quan
- Nội dung
- VB gốc
- Tiếng Anh
- Hiệu lực
- VB liên quan
- Lược đồ
-
Nội dung hợp nhất
Tính năng này chỉ có tại LuatVietnam.vn. Nội dung hợp nhất tổng hợp lại tất cả các quy định còn hiệu lực của văn bản gốc và các văn bản sửa đổi, bổ sung, đính chính... trên một trang. Việc hợp nhất văn bản gốc và những văn bản, Thông tư, Nghị định hướng dẫn khác không làm thay đổi thứ tự điều khoản, nội dung.
Khách hàng chỉ cần xem Nội dung hợp nhất là có thể nắm bắt toàn bộ quy định hiện hành đang áp dụng, cho dù văn bản gốc đã qua nhiều lần chỉnh sửa, bổ sung.
- Tải về
Nghị quyết 13/2016/NQ-HĐND phân cấp nguồn thu, nhiệm vụ chi giữa các cấp ngân sách
| Cơ quan ban hành: | Hội đồng nhân dân Thành phố Hà Nội |
Số công báo:
Số công báo là mã số ấn phẩm được đăng chính thức trên ấn phẩm thông tin của Nhà nước. Mã số này do Chính phủ thống nhất quản lý.
|
Đã biết
|
| Số hiệu: | 13/2016/NQ-HĐND | Ngày đăng công báo: | Đang cập nhật |
| Loại văn bản: | Nghị quyết | Người ký: | Nguyễn Thị Bích Ngọc |
|
Ngày ban hành:
Ngày ban hành là ngày, tháng, năm văn bản được thông qua hoặc ký ban hành.
|
05/12/2016 |
Ngày hết hiệu lực:
Ngày hết hiệu lực là ngày, tháng, năm văn bản chính thức không còn hiệu lực (áp dụng).
|
Đang cập nhật |
|
Áp dụng:
Ngày áp dụng là ngày, tháng, năm văn bản chính thức có hiệu lực (áp dụng).
|
Đã biết
|
Tình trạng hiệu lực:
Cho biết trạng thái hiệu lực của văn bản đang tra cứu: Chưa áp dụng, Còn hiệu lực, Hết hiệu lực, Hết hiệu lực 1 phần; Đã sửa đổi, Đính chính hay Không còn phù hợp,...
|
Đã biết
|
| Lĩnh vực: | Tài chính-Ngân hàng |
TÓM TẮT NGHỊ QUYẾT 13/2016/NQ-HĐND
Phân cấp nguồn thu và nhiệm vụ chi ngân sách Hà Nội giai đoạn 2017-2020
Ngày 05/12/2016, Hội đồng nhân dân Thành phố Hà Nội đã thông qua Nghị quyết 13/2016/NQ-HĐND về việc phân cấp nguồn thu, nhiệm vụ chi giữa các cấp ngân sách; tỷ lệ phần trăm phân chia nguồn thu giữa các cấp ngân sách và định mức phân bổ chi ngân sách Thành phố Hà Nội giai đoạn 2017-2020. Nghị quyết này có hiệu lực từ ngày 01/01/2017.
Nghị quyết này áp dụng cho các cấp ngân sách của Thành phố Hà Nội, bao gồm ngân sách cấp thành phố, quận, huyện và thị xã. Mục tiêu là xác định rõ ràng nguồn thu và nhiệm vụ chi của từng cấp ngân sách, đảm bảo sự phân bổ hợp lý và hiệu quả trong giai đoạn 2017-2020.
Phân cấp nguồn thu và nhiệm vụ chi
Nghị quyết quy định chi tiết về việc phân cấp nguồn thu và nhiệm vụ chi giữa các cấp ngân sách của thành phố Hà Nội. Các quy định cụ thể được nêu trong Phụ lục số 01 kèm theo Nghị quyết.
Định mức phân bổ chi ngân sách
Định mức phân bổ chi ngân sách cho giai đoạn 2017-2020 được quy định rõ ràng trong Phụ lục số 02 của Nghị quyết. Điều này nhằm đảm bảo việc sử dụng ngân sách được thực hiện một cách hiệu quả và phù hợp với nhu cầu phát triển của thành phố.
Tỷ lệ phần trăm phân chia nguồn thu
Nghị quyết cũng xác định tỷ lệ phần trăm phân chia nguồn thu giữa các cấp ngân sách của thành phố Hà Nội trong giai đoạn 2017-2020. Các tỷ lệ cụ thể được quy định trong Phụ lục số 03 kèm theo Nghị quyết.
Nghị quyết này giao cho Ủy ban nhân dân Thành phố Hà Nội tổ chức thực hiện và điều chỉnh các quy định chưa phù hợp, đồng thời giám sát việc thực hiện thông qua Thường trực HĐND Thành phố và các Ban HĐND Thành phố.
Xem chi tiết Nghị quyết 13/2016/NQ-HĐND có hiệu lực kể từ ngày 01/01/2017
Tải Nghị quyết 13/2016/NQ-HĐND
|
HỘI ĐỒNG NHÂN DÂN Số: 13/2016/NQ-HĐND |
CỘNG HÒA XÃ HỘI CHỦ NGHĨA VIỆT NAM Hà Nội, ngày 05 tháng 12 năm 2016 |
-------------------------
HỘI ĐỒNG NHÂN DÂN THÀNH PHỐ HÀ NỘI
KHÓA XV, KỲ HỌP THỨ 3
(Từ ngày 05/12 đến ngày 08/12/2016)
Căn cứ Luật Tổ chức chính quyền địa phương ngày 19 tháng 6 năm 2015;
Căn cứ Luật Ngân sách Nhà nước ngày 25 tháng 6 năm 2015;
Căn cứ Quyết định số 40/2015/QĐ-TTg ngày 14/9/2015 của Thủ tướng Chính phủ về ban hành nguyên tắc, tiêu chí và định mức phân bổ vốn đầu tư phát triển bằng nguồn ngân sách Nhà nước giai đoạn 2016-2020;
Căn cứ Quyết định số 46/2016/QĐ-TTg ngày 19/10/2016 của Thủ tướng Chính phủ về việc ban hành định mức phân bổ dự toán chi thường xuyên ngân sách năm 2017;
Xét Tờ trình số 138/TTr-UBND ngày 22/11/2016 về phân cấp nguồn thu, nhiệm vụ chi, tỷ lệ phần trăm phân chia nguồn thu giữa các cấp ngân sách thành phố Hà Nội và Tờ trình số 139/TTr-UBND ngày 22/11/2016 về định mức phân bổ chi ngân sách thành phố Hà Nội năm 2017-2020 của UBND Thành phố; Báo cáo thẩm tra số 72/BC-HĐND ngày 29/11/2016 của Ban Kinh tế và Ngân sách Hội đồng nhân dân Thành phố, báo cáo giải trình, tiếp thu số 220/BC-UBND ngày 05/12/2016 của UBND Thành phố và ý kiến thảo luận của các đại biểu HĐND Thành phố tại kỳ họp.
QUYẾT NGHỊ:
Điều 1. Quy định về các nội dung sau:
1. Phân cấp nguồn thu, nhiệm vụ chi giữa các cấp ngân sách thành phố Hà Nội (quy định cụ thể tại Phụ lục số 01 kèm theo Nghị quyết này).
2. Định mức phân bổ chi ngân sách thành phố Hà Nội giai đoạn 2017-2020 (quy định cụ thể tại Phụ lục số 02 kèm theo Nghị quyết này).
3. Tỷ lệ phần trăm (%) phân chia nguồn thu giữa các cấp ngân sách thành phố Hà Nội giai đoạn 2017-2020 (quy định cụ thể tại Phụ lục số 03 kèm theo Nghị quyết này).
Điều 2. Giao Ủy ban nhân dân Thành phố
1. Tổ chức thực hiện Nghị quyết. Rà soát, điều chỉnh các quy định của Thành phố chưa phù hợp với Nghị quyết này.
2. Bố trí nguồn kinh phí cho một số quận hoàn thành các nội dung công việc đã được Thành phố giao thuộc nhiệm vụ chi Thành phố.
3. Tập hợp các vấn đề phát sinh cần điều chỉnh trong quá trình thực hiện, thống nhất với Thường trực HĐND Thành phố xử lý và báo cáo với HĐND Thành phố tại kỳ họp gần nhất.
Điều 3. Điều khoản thi hành
1. Giao Thường trực HĐND Thành phố, các Ban HĐND Thành phố, các tổ đại biểu và đại biểu HĐND Thành phố giám sát việc thực hiện Nghị quyết.
2. Nghị quyết này đã được Hội đồng nhân dân thành phố Hà Nội khóa XV kỳ họp thứ 3 thông qua ngày 05/12/2016. Quy định tại Khoản 1 Điều 1 của Nghị Quyết này có hiệu lực thi hành từ ngày 01/01/2017. Quy định tại Khoản 2 và Khoản 3 Điều 1 của Nghị Quyết này có hiệu lực thi hành từ ngày 01/01/2017 và được áp dụng cho giai đoạn 2017-2020./.
|
Nơi nhận: |
CHỦ TỊCH |
PHỤ LỤC SỐ 01
PHÂN CẤP NGUỒN THU, NHIỆM VỤ CHI GIỮA CÁC CẤP NGÂN SÁCH THÀNH PHỐ HÀ NỘI
(Kèm theo Nghị quyết số 13/2016/NQ-HĐND ngày 05/12/2016 của HĐND Thành phố)
A. NGUỒN THU, NHIỆM VỤ CHI CỦA NGÂN SÁCH CẤP THÀNH PHỐ.
I. Nguồn thu của ngân sách cấp Thành phố gồm:
1. Các khoản thu ngân sách cấp Thành phố được hưởng 100%:
1.1. Thuế tài nguyên từ doanh nghiệp Nhà nước; doanh nghiệp có vốn đầu tư nước ngoài (không kể thuế tài nguyên thu từ hoạt động thăm dò, khai thác dầu khí);
1.2. Lệ phí môn bài thu từ DNNN; DN có vốn đầu tư nước ngoài; các cơ sở kinh tế của cơ quan hành chính, sự nghiệp, Đảng, Đoàn thể, lực lượng vũ trang Thành phố.;
1.3. Tiền sử dụng đất các dự án di dời theo Quyết định số 09/2007/QĐ-TTg của Thủ tướng Chính phủ (trừ thu tiền sử dụng đất gắn với tài sản trên đất do các cơ quan, tổ chức, đơn vị thuộc Trung ương quản lý). Tiền sử dụng đất theo các cơ chế đặc thù1.
1.4. Tiền cho thuê đất, mặt nước của các doanh nghiệp có vốn đầu tư nước ngoài (không kể tiền thuê đất, mặt nước từ hoạt động thăm dò, khai thác dầu khí);
1.5. Tiền cho thuê và bán nhà ở thuộc sở hữu Nhà nước.
1.6. Thu từ hoạt động xổ số kiến thiết, kể cả hoạt động xổ số điện toán.
1.7. Các khoản thu hồi vốn của ngân sách địa phương đầu tư tại các tổ chức kinh tế; thu cổ tức, lợi nhuận được chia tại công ty cổ phần, công ty trách nhiệm hữu hạn hai thành viên trở lên có vốn góp của Nhà nước do UBND Thành phố đại diện chủ sở hữu; thu phần lợi nhuận sau thuế còn lại sau khi trích lập các quỹ của doanh nghiệp nhà nước do UBND Thành phố đại diện chủ sở hữu;
1.8. Thu từ quỹ dự trữ tài chính của Thành phố;
1.9. Thu từ bán tài sản thuộc Thành phố quản lý;
1.10. Viện trợ không hoàn lại của các tổ chức quốc tế, các tổ chức khác, các cá nhân ở nước ngoài trực tiếp cho Thành phố theo quy định của pháp luật;
1.11. Phí bảo vệ môi trường (đối với nước thải, đối với khí thải, đối với khai thác khoáng sản);
1.12. Các khoản phí, lệ phí (phần nộp ngân sách theo quy định), do các cơ quan, đơn vị thuộc Thành phố thu, nộp (không kể Lệ phí môn bài, Lệ phí trước bạ, Phí bảo vệ môi trường);
1.13. Các khoản thu từ xử phạt vi phạm hành chính, phạt, tịch thu khác của ngân sách địa phương theo quy định của pháp luật do cơ quan Thành phố quyết định, nộp ngân sách;
1.14. Thu từ tài sản được xác lập quyền sở hữu Nhà nước do cơ quan, đơn vị thuộc Thành phố xử lý;
1.15. Thu từ tiền cấp quyền khai thác khoáng sản phần ngân sách địa phương được hưởng theo quy định của pháp luật;
1.16. Tiền bảo vệ, phát triển đất trồng lúa;
1.17. Thu đền bù thiệt hại khi Nhà nước thu hồi đất đối với đất do Thành phố quản lý;
1.18. Huy động đóng góp theo quy định của pháp luật và đóng góp tự nguyện từ các tổ chức, cá nhân cho ngân sách cấp Thành phố;
1.19. Thu kết dư ngân sách cấp Thành phố;
1.20. Các khoản thu khác theo quy định của pháp luật.
2. Các khoản thu ngân sách cấp Thành phố hưởng theo tỷ lệ phần trăm (%) phân chia gồm:
2.1. Thuế giá trị gia tăng bao gồm cả thuế giá trị gia tăng của các nhà thầu phụ phát sinh từ các hoạt động dịch vụ phục vụ hoạt động thăm dò và khai thác dầu, khí (trừ thuế giá trị gia tăng thu từ hàng hóa nhập khẩu, thuế giá trị gia tăng thu từ hoạt động thăm dò, khai thác dầu, khí);
2.2. Thuế thu nhập doanh nghiệp (không kể thuế thu nhập doanh nghiệp của từ hoạt động xổ số kiến thiết, từ hoạt động thăm dò khai thác dầu khí);
2.3. Thuế thu nhập cá nhân;
2.4. Thuế tiêu thụ đặc biệt (không kể thuế tiêu thụ đặc biệt hàng nhập khẩu, thuế tiêu thụ đặc biệt từ hoạt động xổ số kiến thiết);
2.5. Thuế bảo vệ môi trường (không kể Thuế bảo vệ môi trường thu từ hàng hóa nhập khẩu);
2.6. Tiền sử dụng đất các dự án giao đất (ngoài dự án di dời theo theo Quyết định số 09/2007/QĐ-TTg). Tiền đấu giá quyền sử dụng đất đối với đất quy mô diện tích từ 5000 m2 trở lên hoặc dưới 5000 m2 tiếp giáp với đường, phố.
2.7. Lệ phí trước bạ xe máy, ô tô, tàu thuyền và tài sản khác;
3. Thu bổ sung từ ngân sách trung ương cho ngân sách cấp Thành phố;
4. Thu chuyển nguồn từ ngân sách Thành phố năm trước sang ngân sách năm sau;
II. Nhiệm vụ chi của ngân sách cấp Thành phố
1. Chi đầu tư phát triển
Ngân sách cấp Thành phố chi đầu tư xây dựng, cải tạo, nâng cấp các công trình, dự án kết cấu hạ tầng kinh tế-xã hội không có khả năng thu hồi vốn, không có khả năng xã hội hóa, hoặc chỉ xã hội hóa được một phần thuộc Thành phố quản lý. Cụ thể gồm các lĩnh vực:
1.1. Đầu tư lĩnh vực thủy lợi
Ngân sách cấp Thành phố chi đầu tư xây dựng, cải tạo nâng cấp hệ thống các công trình thủy lợi do Thành phố quản lý (công trình đầu mối; hệ thống kênh mương và công trình trên kênh…).
1.2. Đầu tư lĩnh vực đê điều
Đầu tư xây dựng mới, cải tạo nâng cấp các tuyến đê (kể cả công trình trên đê) từ cấp III trở lên trên địa bàn Thành phố.
1.3. Đầu tư lĩnh vực lâm nghiệp
Đầu tư xây dựng mới hoặc cải tạo nâng cấp cơ sở hạ tầng kỹ thuật phục vụ bảo vệ, bảo tồn, phát triển rừng đặc dụng và rừng phòng hộ.
1.4. Đầu tư lĩnh vực trồng trọt, chăn nuôi
Đầu tư xây dựng, cải tạo nâng cấp các công trình, dự án phát triển cơ sở sản xuất giống cây nông, lâm nghiệp, giống vật nuôi và giống thủy sản.
1.5. Đầu tư mới các công trình công viên, vườn hoa, cây xanh, hồ nước
Đầu tư xây dựng mới công viên (bao gồm cả hồ nước trong công viên) và vườn hoa lớn, quan trọng do Thành phố quản lý.
Đầu tư trồng mới cây xanh, thảm cỏ trong các khu vực công cộng, quảng trường, trên hệ thống đường do Thành phố đầu tư.
1.6. Đầu tư lĩnh vực giao thông
a. Đầu tư xây dựng mới, cải tạo nâng cấp hệ thống đường bộ (lòng đường, lề đường, hè, giải phân cách, cầu đường bộ, hầm đường bộ, cầu đi bộ, bến phà đường bộ (nếu có) và các công trình đường bộ khác) gồm: đường cao tốc, đường quốc lộ do trung ương bàn giao về Thành phố quản lý; đường tỉnh lộ; các đường vành đai, đường trên cao; đường đô thị từ cấp đường khu vực (theo QCVN 07-4:2016/BXD) có bề rộng mặt cắt ngang đường từ 16 m trở lên; các đường chính đi qua địa bàn từ 2 đơn vị hành chính cấp huyện trở lên.
b. Đầu tư trạm thu phí, trạm kiểm tra trọng tải xe, hệ thống điều khiển giao thông bằng tín hiệu đèn trên hệ thống đường bộ thuộc thành phố quản lý.
c. Đầu tư hệ thống đường sắt đô thị.
1.7. Đầu tư công trình bến xe ô tô, bãi đỗ xe, điểm đón trả khách, trạm dừng nghỉ (không gồm các dự án xã hội hóa), gồm:
a. Đầu tư kết cấu hạ tầng phục vụ vận tải hành khách công cộng (đường dành riêng cho xe buýt; điểm đầu; điểm cuối; điểm dừng; biển báo; nhà chờ; điểm trung chuyển; bãi đỗ xe buýt; trạm điều hành; trạm bảo dưỡng sửa chữa) và các bến xe phục vụ công cộng;
b. Đầu tư toàn bộ trạm dừng nghỉ trên tuyến đường thuộc hệ thống đường thành phố quản lý;
c. Đầu tư các bãi đỗ xe công cộng cấp Thành phố quản lý theo quy hoạch.
1.8. Đầu tư công trình bãi, bến cảng thủy
Đầu tư toàn bộ các công trình hạ tầng đường thủy nội địa cấp Thành phố quản lý, cảng, bến hàng hóa, bến hành khách thuộc đường thủy nội địa địa phương, đường thủy nội địa chuyên dùng nối với đường thủy nội địa địa phương trên sông Hồng, sông Đà, sông Đuống.
1.9. Đầu tư công trình chiếu sáng công cộng
Đầu tư xây dựng, cải tạo nâng cấp hệ thống chiếu sáng công cộng (bao gồm cả chiếu sáng trang trí mỹ thuật đô thị) trên các tuyến đường bộ, trong các công viên, vườn hoa, quảng trường và các khu vực công cộng khác do Thành phố quản lý sau đầu tư.
1.10. Đầu tư công trình vệ sinh môi trường
Đầu tư xây dựng mới, cải tạo nâng cấp, mở rộng đồng bộ các khu/nhà máy xử lý chất thải, bãi chôn lấp rác thải sinh hoạt, đất thải tập trung trên địa bàn Thành phố, gồm: các khu liên hợp xử lý chất thải: Sóc Sơn; Xuân Sơn, thị xã Sơn Tây; Đồng Ké và Núi Thoong, huyện Chương Mỹ và các khu xử lý chất thải, đất thải tập trung khác của Thành phố theo quy hoạch.
Đầu tư xây dựng mới, cải tạo nâng cấp các trạm trung chuyển chất thải phục vụ công tác thu gom, vận chuyển chất thải thuộc trách nhiệm của Thành phố.
1.11. Đầu tư công trình thoát nước
Đầu tư xây dựng mới, cải tạo nâng cấp:
- Hệ thống thoát nước gắn với các khu vực, các tuyến đường do Thành phố đầu tư trên địa bàn Thành phố.
- Hệ thống thoát nước liên khu vực (bao gồm cả các hồ trong khu vực đô thị) không gắn trực tiếp với đường theo danh mục Thành phố phê duyệt.
- Hệ thống xử lý nước thải trên địa bàn Thành phố.
1.12. Đầu tư công trình Văn hóa - Thể thao
a. Đầu tư bảo tồn các công trình, dự án bảo tàng, điện ảnh, thư viện Thành phố quản lý;
b. Đầu tư xây dựng, cải tạo, nâng cấp các Trung tâm văn hóa, Nhà văn hóa và Nhà thi đấu thể thao cấp Thành phố; Trung tâm huấn luyện và thi đấu thể thao; Cung Văn hóa thể thao thanh niên Thành phố; Nhà văn hóa học sinh, sinh viên; Cung thiếu nhi Hà Nội.
c. Đầu tư tu bổ, bảo tồn, phát huy giá trị các di tích quan trọng do Thành phố trực tiếp quản lý: Di sản thế giới Hoàng Thành Thăng Long; Khu di tích Cổ Loa; Khu di tích Văn Miếu - Quốc Tử Giám; Di tích Bác Hồ ở Vạn Phúc - Hà Đông; Di tích Nhà tù Hỏa Lò; Di tích 48 Hàng Ngang; Di tích 5D Hàm Long; Di tích 90 Thợ Nhuộm; cụm di tích Đền Bà Kiệu, hồ Hoàn Kiếm - Di tích Đền Ngọc Sơn - tượng đài Vua Lê và các di tích quốc gia đặc biệt khác (nếu có) do Thành phố quản lý sau khi được xếp hạng, công nhận.
d. Đầu tư tu bổ các di tích quốc gia đặc biệt, di tích lịch sử cách mạng kháng chiến do cấp huyện đang quản lý và các di tích quốc gia đặc biệt khác (nếu có) khi Thành phố giao cấp huyện quản lý sau khi được xếp hạng, công nhận.
e. Hỗ trợ một phần để đầu tư tu bổ, bảo tồn và phát huy giá trị các di tích quốc gia do cấp huyện đang quản lý.
g. Xây dựng mới, cải tạo nâng cấp các thiết chế văn hóa do Thành phố quản lý.
1.13. Đầu tư công trình Giáo dục - Đào tạo
Đầu tư xây dựng mới, cải tạo nâng cấp các trường công lập gồm: trường đại học Thủ đô, các trường cao đẳng; trường bồi dưỡng cán bộ giáo dục, Trường đào tạo cán bộ; các trường trung cấp chuyên nghiệp; trường trung học phổ thông; trường phổ thông có nhiều cấp học, trong đó có cấp học trung học phổ thông; trường phổ thông dân tộc nội trú có cấp trung học phổ thông; trường, lớp dành cho người khuyết tật; trường, cơ sở thực hành sư phạm.
1.14. Đầu tư công trình y tế và vệ sinh an toàn thực phẩm
Đầu tư xây dựng mới, cải tạo nâng cấp các Bệnh viện (bệnh viện đa khoa và chuyên khoa tuyến Thành phố và tuyến huyện), Trung tâm chuyên khoa, Chi cục Dân số Kế hoạch hóa gia đình, Chi cục An toàn vệ sinh thực phẩm; Trung tâm Y tế Dự phòng.
1.15. Đầu tư công trình lĩnh vực Quản lý nhà nước
a. Đầu tư xây dựng, cải tạo và nâng cấp toàn bộ hệ thống hạ tầng kỹ thuật khu trung tâm hành chính, khu liên cơ quan thuộc Thành phố quản lý; trụ sở, nơi làm việc của các cơ quan hành chính, đảng, đoàn thể cấp Thành phố;
b. Đầu tư xây mới hệ thống hạ tầng kỹ thuật khu trung tâm hành chính cấp huyện và xây mới trụ sở làm việc các cơ quan hành chính, đảng, đoàn thể quận, huyện, thị xã.
1.16. Đầu tư công trình phục vụ tang lễ
a. Đầu tư xây dựng, cải tạo nâng cấp Các nghĩa trang cấp Thành phố, có phạm vi phục vụ từ hai đơn vị hành chính cấp huyện trở lên, gồm: Mai Dịch, Nhổn, Ngọc Hồi, Văn Điển, Yên Kỳ, Thanh Tước, Sài Đồng, Vĩnh Hằng (phần diện tích do Thành phố đầu tư và đang quản lý); nghĩa trang liệt sỹ người Trung Quốc tại Xuân Mai-Chương Mỹ; các nghĩa trang tập trung cấp Thành phố đầu tư mới theo quy hoạch.
b. Đầu tư xây dựng các cơ sở hỏa táng, các nhà tang lễ cấp Thành phố.
1.17. Đầu tư các dự án Tài nguyên - Môi trường
a. Đầu tư công trình, dự án quan trắc cảnh báo môi trường.
b. Đầu tư công trình, dự án khắc phục ô nhiễm môi trường ảnh hưởng trong phạm vi 2 xã trở lên.
c. Đầu tư các dự án đo vẽ bản đồ, chỉnh lý bản đồ.
1.18. Đầu tư các công trình kho tàng: các công trình thuộc hệ thống kho tàng; lưu trữ hồ sơ, tài liệu của Thành phố.
1.19. Đầu tư công trình lĩnh vực thông tin và truyền thông: các công trình, dự án phục vụ hoạt động xuất bản, báo chí, phát thanh, truyền hình thành phố.
1.20. Đầu tư công trình thuộc lĩnh vực khoa học công nghệ và công nghệ thông tin.
a. Đầu tư các công trình, dự án thuộc lĩnh vực khoa học công nghệ: Trung tâm ứng dụng tiến bộ khoa học và công nghệ, Trung tâm nghiên cứu chuyển giao công nghệ và giám định công nghệ, Trung tâm công nghệ sinh học và công nghệ phẩm, chi cục Tiêu chuẩn đo lường chất lượng, trạm trại thực nghiệm của thành phố quản lý.
b. Đầu tư hạ tầng công nghệ thông tin dùng chung và các hệ thống thông tin, cơ sở dữ liệu, phần mềm dùng chung cho các cơ quan quản lý nhà nước ở cả ba cấp quản lý của Thành phố (cấp Thành phố, cấp huyện, cấp xã).
1.21. Đầu tư hạ tầng kỹ thuật khu đất đấu giá quyền sử dụng đất trên địa bàn các quận (không bao gồm hạ tầng đất xen kẹt, nhỏ lẻ có diện tích nhỏ hơn 5000m2 nhưng không tiếp giáp đường, phố).
1.22. Đầu tư công trình thuộc lĩnh vực xã hội
Các công trình, dự án phục vụ mục tiêu nuôi dưỡng, điều dưỡng người có công với Cách mạng, thương bệnh binh, người già, người tàn tật; chăm sóc, điều dưỡng sức khỏe, cai nghiện và các công trình trợ giúp xã hội khác.
1.23. Đầu tư công trình cấp nước sinh hoạt
- Đầu tư xây dựng các công trình hạ tầng ngoài hàng rào và hỗ trợ khác theo chính sách nước sạch đô thị của nhà nước khi triển khai dự án cấp nước sạch tập trung tại: các quận, thị xã Sơn Tây; các khu vực có sử dụng nguồn nước sạch tập trung của Thành phố và công trình cấp nước sạch nông thôn tập trung trên địa bàn Thành phố.
- Hỗ trợ theo chính sách đầu tư nước sạch nông thôn khi triển khai các dự án cấp nước sạch nông thôn tại các huyện, thị xã Sơn Tây.
1.24. Các khoản chi đầu tư phát triển khác thuộc nhiệm vụ chi của ngân sách cấp Thành phố theo quy định của pháp luật(2).
2. Chi thường xuyên
2.1. Các hoạt động sự nghiệp giáo dục, đào tạo, dạy nghề do cấp Thành phố quản lý:
- Giáo dục trung học phổ thông công lập; trường Bồi dưỡng cán bộ giáo dục; trường mầm non (do Thành phố quản lý); trường chuyên biệt và sự nghiệp giáo dục khác do Thành phố quản lý;
- Giáo dục đại học, cao đẳng, trung cấp chuyên nghiệp; bồi dưỡng lý luận chính trị; đào tạo nghề và các hình thức đào tạo khác của Thành phố;
2.2. Các hoạt động sự nghiệp khoa học công nghệ do cấp Thành phố quản lý:
- Nghiên cứu, thực hiện chương trình, đề tài khoa học cấp Thành phố; ứng dụng tiến bộ khoa học, công nghệ và các hoạt động khoa học, công nghệ khác;
- Quản lý, duy tu, bảo trì hạ tầng công nghệ thông tin dùng chung và các hệ thống thông tin, cơ sở dữ liệu, phần mềm dùng chung cho các cơ quan quản lý nhà nước ở cả ba cấp quản lý của Thành phố
2.3. Các nhiệm vụ về quốc phòng, an ninh, bảo đảm trật tự an toàn xã hội cấp thành phố.
2.4. Các hoạt động sự nghiệp y tế do cấp Thành phố quản lý gồm: Phòng bệnh, chữa bệnh và các hoạt động y tế khác;
2.5. Các hoạt động sự nghiệp văn hóa thông tin do cấp Thành phố quản lý:
- Bảo tồn bảo tàng, thư viện, biểu diễn nghệ thuật và các hoạt động văn hóa khác (các hoạt động của Trung tâm văn hóa; Nhà văn hóa; Cung Văn hóa thể thao thanh niên Thành phố; Nhà văn hóa học sinh, sinh viên; Cung thiếu nhi Hà Nội;...);
- Các hoạt động thông tin của Thành phố quản lý và các sự nghiệp văn hóa khác.
2.6. Các hoạt động sự nghiệp phát thanh truyền hình do cấp Thành phố quản lý.
2.7. Các hoạt động sự nghiệp thể dục thể thao do cấp Thành phố quản lý gồm: Bồi dưỡng, huấn luyện các huấn luyện viên, vận động viên các đội tuyển cấp Thành phố, hoạt động của các cơ sở thể dục, thể thao và hoạt động thể thao quần chúng của Thành phố;
2.8. Các hoạt động sự nghiệp bảo vệ môi trường, bao gồm:
- Quét hút; rửa đường, hè; thu gom, vận chuyển chất thải và công tác vệ sinh môi trường khác trên các đường cao tốc do Thành phố quản lý.
- Quản lý, vận hành và duy trì các khu/nhà máy xử lý chất thải, bãi chôn lấp rác thải sinh hoạt, đất thải tập trung; các trạm trung chuyển chất thải do Thành phố đầu tư.
- Sự nghiệp môi trường tại khoản 1 Điều 143 Luật Bảo vệ môi trường số 55/2014/QH13
2.9. Các hoạt động sự nghiệp kinh tế do cấp Thành phố quản lý
- Sự nghiệp giao thông vận tải: quản lý, bảo trì (bao gồm cả lắp đặt các trang thiết bị phục vụ tổ chức giao thông, bảo trì hệ thống đèn tín hiệu giao thông) hệ thống đường bộ theo phân cấp quản lý sau đầu tư của Thành phố. Quản lý tổ chức giao thông trên địa bàn Thành phố;
- Sự nghiệp nông nghiệp, thủy lợi, lâm nghiệp: Quản lý, duy tu, bảo trì các tuyến đê, các công trình thủy lợi do cấp Thành phố quản lý; các trạm trại nông nghiệp, lâm nghiệp; công tác khuyến nông, khuyến lâm, khuyến ngư; quản lý, bảo vệ, phòng chống cháy rừng, duy trì, bảo tồn rừng đặc dụng và rừng phòng hộ theo phân cấp của Thành phố;
- Công tác khuyến công, xúc tiến đầu tư, thương mại, du lịch của Thành phố;
- Sự nghiệp thị chính: Quản lý, duy tu, bảo trì, cấp điện hệ thống chiếu sáng công cộng, hệ thống thoát nước, hồ, công viên, cây xanh, thảm cỏ và các sự nghiệp thị chính khác theo phân cấp quản lý sau đầu tư của Thành phố;
- Quản lý, vận hành, duy trì, bảo trì các hệ thống xử lý nước thải do Thành phố đầu tư.
- Công tác quy hoạch; đo đạc, lập bản đồ, lưu trữ hồ sơ địa chính và các hoạt động sự nghiệp địa chính khác theo phân cấp;
- Các sự nghiệp kinh tế khác.
2.10. Trợ giá, trợ cước theo chính sách của Nhà nước và Thành phố cho các đối tượng thuộc cấp Thành phố quản lý.
2.11. Hoạt động của các cơ quan Nhà nước, cơ quan Đảng cộng sản Việt Nam do Thành phố quản lý, bao gồm:
- Hoạt động của Văn phòng Thành ủy và các cơ quan Đảng trực thuộc Thành ủy;
- Hoạt động của HĐND Thành phố;
- Hoạt động của Văn phòng Hội đồng nhân dân Thành phố, Văn phòng Ủy ban nhân dân Thành phố; hoạt động của các Sở, Ban, Ngành và các cơ quan quản lý Nhà nước khác thuộc Thành phố.
2.12. Hoạt động của Mặt trận Tổ quốc Thành phố và các tổ chức chính trị - xã hội: Đoàn thanh niên Cộng sản Hồ Chí Minh Thành phố; Hội Cựu chiến binh Thành phố; Hội Liên hiệp phụ nữ Thành phố; Hội Nông dân Thành phố.
2.13. Hỗ trợ các tổ chức chính trị xã hội - nghề nghiệp, tổ chức xã hội và tổ chức xã hội - nghề nghiệp Thành phố theo quy định của pháp luật.
2.14. Thực hiện các chính sách xã hội đối với các đối tượng do cấp Thành phố quản lý. Hoạt động các cơ sở xã hội, hoạt động phòng chống tệ nạn xã hội và các hoạt động xã hội khác;
2.15. Chi thường xuyên các chương trình Quốc gia do Chính phủ giao cho địa phương thực hiện.
2.16. Các khoản chi khác theo quy định của pháp luật.
3. Chi trả nợ lãi các khoản do Thành phố vay.
4. Chi bổ sung quỹ dự trữ tài chính của Thành phố
5. Chi chuyển nguồn từ ngân sách cấp Thành phố năm trước sang ngân sách năm sau,
6. Chi bổ sung cho ngân sách quận, huyện, thị xã.
7. Chi hỗ trợ thực hiện một số nhiệm vụ quy định tại các điểm a, b và c khoản 9 Điều 9 Luật NSNN số 83/2015/QH13 ngày 25/6/2013.
B. NGUỒN THU, NHIỆM VỤ CHI CỦA NGÂN SÁCH QUẬN, HUYỆN, THỊ XÃ.
I- Nguồn thu của ngân sách cấp quận, huyện, thị xã gồm:
1. Các khoản thu ngân sách cấp quận, huyện, thị xã được hưởng 100% gồm:
1.1. Thuế tài nguyên từ các Doanh nghiệp ngoài quốc doanh và hộ sản xuất;
1.2. Lệ phí môn bài thu từ các doanh nghiệp thuộc khu vực kinh tế ngoài quốc doanh;
1.3. Thuế sử dụng đất nông nghiệp từ các doanh nghiệp, tổ chức, nông trường, trạm trại;
1.4. Tiền sử dụng đất đối với loại đất có quy mô diện tích dưới 5000 m2 (nhỏ, lẻ, xen kẹt) không tiếp giáp với đường, phố và tiền đất khác
1.5. Tiền cho thuê đất, mặt nước (không kể thu từ khu vực doanh nghiệp có vốn đầu tư nước ngoài và hoạt động thăm dò, khai thác dầu, khí)
1.6. Thu từ bán tài sản thuộc cấp huyện quản lý;
1.7. Viện trợ không hoàn lại của các tổ chức quốc tế, các tổ chức khác, các cá nhân ở nước ngoài trực tiếp cho quận, huyện, thị xã theo quy định của pháp luật;
1.8. Các khoản phí, lệ phí (phần nộp ngân sách theo quy định) do các cơ quan, đơn vị thuộc quận, huyện, thị xã quản lý thu (không kể lệ phí môn bài, lệ phí trước bạ, phí bảo vệ môi trường);
1.9. Các khoản thu từ xử phạt vi phạm hành chính, phạt, tịch thu khác của ngân sách địa phương theo quy định của pháp luật (phần thuộc ngân sách nhà nước theo quy định) do cấp huyện thực hiện và quản lý;
1.10. Thu từ tài sản được xác lập quyền sở hữu của Nhà nước do các cơ quan, tổ chức, đơn vị thuộc quận, huyện, thị xã xử lý.
1.11. Huy động đóng góp theo quy định của pháp luật và đóng góp tự nguyện từ các tổ chức, cá nhân cho quận, huyện, thị xã;
1.12. Thu kết dư ngân sách cấp quận, huyện, thị xã;
1.13. Thu hỗ trợ khi Nhà nước thu hồi đất đối với đất thuộc cấp huyện quản lý;
1.14. Thu khác theo quy định của pháp luật
2. Các khoản thu phân chia ngân sách cấp quận, huyện, thị xã được hưởng theo tỷ lệ phần trăm (%) gồm:
2.1. Thuế giá trị gia tăng thu từ doanh nghiệp ngoài quốc doanh (không kể thuế giá trị gia tăng hàng nhập khẩu).
2.2. Thuế thu nhập doanh nghiệp thu từ doanh nghiệp ngoài quốc doanh (trừ thuế thu nhập doanh nghiệp từ hoạt động thăm dò khai thác dầu khí).
2.3. Thuế tiêu thụ đặc biệt hàng hóa, dịch vụ thu từ khu vực kinh tế ngoài quốc doanh (không kể thuế TTĐB hàng nhập khẩu).
2.4. Thuế thu nhập cá nhân giao quận, huyện, thị xã quản lý thu;
2.5. Tiền sử dụng đất các dự án giao đất (ngoài dự án di dời theo Quyết định số 09/2007/QĐ-TTg) và đấu giá quyền sử dụng đất đối với loại đất có quy mô diện tích từ 5000 m2 trở lên hoặc đất dưới 5000 m2 tiếp giáp với đường, phố.
2.6. Lệ phí trước bạ xe máy, ô tô, tàu thuyền và tài sản khác; Lệ phí trước bạ nhà đất.
3. Thu bổ sung ngân sách cấp trên;
4. Thu chuyển nguồn từ ngân sách quận, huyện, thị xã năm trước sang ngân sách năm sau;
II- Nhiệm vụ chi của ngân sách cấp quận, huyện, thị xã
1. Chi đầu tư phát triển
Ngân sách quận, huyện, thị xã Sơn Tây chi đầu tư xây dựng, cải tạo, nâng cấp các công trình, dự án kết cấu hạ tầng kinh tế-xã hội không có khả năng thu hồi vốn, không có khả năng xã hội hóa thuộc lĩnh vực phân cấp cho quận, huyện, thị xã trên địa bàn. Cụ thể các lĩnh vực đầu tư phát triển thuộc nhiệm vụ chi của ngân sách cấp huyện, bao gồm:
1.1. Đầu tư xây dựng mới, cải tạo nâng cấp các tuyến đê (kể cả công trình trên đê) từ cấp IV trở xuống và các tuyến đê chưa phân cấp trên địa bàn.
1.2. Đầu tư lĩnh vực Lâm nghiệp: Đầu tư xây dựng mới hoặc cải tạo nâng cấp cơ sở hạ tầng kỹ thuật phục vụ bảo vệ, hỗ trợ trồng rừng sản xuất trên địa bàn theo chính sách hiện hành của nhà nước.
1.3. Đầu tư mới các công trình công viên, vườn hoa, cây xanh, hồ nước
Đầu tư xây dựng mới công viên (gồm cả hồ nước trong công viên), vườn hoa còn lại trên địa bàn, trừ phần Thành phố đầu tư.
Đầu tư trồng mới cây xanh, thảm cỏ trong các khu vực công cộng, trên hệ thống đường đo cấp huyện đầu tư.
1.4. Đầu tư lĩnh vực giao thông
Đầu tư xây dựng mới, cải tạo nâng cấp hệ thống đường bộ còn lại trên địa bàn, trừ đường do Trung ương và Thành phố đầu tư
1.5. Đầu tư bãi đỗ xe: Đầu tư hạ tầng bãi đỗ xe tập trung để phục vụ công cộng còn lại trên địa bàn, trừ những bãi đỗ xe tập trung do Thành phố đầu tư.
1.6. Đầu tư công trình, dự án chiếu sáng công cộng
Đầu tư xây dựng mới hệ thống chiếu sáng công cộng đồng bộ với đầu tư hệ thống đường bộ do cấp huyện đầu tư.
Đầu tư xây dựng, cải tạo nâng cấp hệ thống chiếu sáng công cộng trên các tuyến đường bộ, trong các công viên, vườn hoa và các khu vực công cộng khác do cấp huyện quản lý sau đầu tư.
1.7. Đầu tư công trình vệ sinh môi trường
a. Đầu tư xây dựng mới hoặc cải tạo nâng cấp các khu tập kết rác thải sinh hoạt có phạm vi phục vụ nội huyện.
b. Đầu tư các công trình, dự án khắc phục ô nhiễm môi trường ảnh hưởng trong phạm vi nội huyện.
1.8. Đầu tư công trình thoát nước
Đầu tư xây dựng mới, cải tạo nâng cấp: Hệ thống thoát nước gắn với các khu vực, các tuyến đường do cấp huyện đầu tư; và hệ thống thoát nước còn lại, trừ hệ thống thoát nước do Thành phố đầu tư.
1.9. Đầu tư lĩnh vực Văn hóa - Thể thao:
a. Đầu tư các nhà văn hóa, các trung tâm văn hóa thể thao, nhà thi đấu thể thao, nhà văn hóa thanh- thiếu nhi cấp huyện; nhà văn hóa xã, phường; nhà văn hóa thôn, tổ dân phố, khu dân cư, khu vui chơi cộng đồng.
b. Đầu tư tu bổ, bảo tồn và phát huy giá trị các di tích còn lại trên địa bàn, trừ các di tích Thành phố trực tiếp đầu tư.
1.10. Đầu tư lĩnh vực Giáo dục - Đào tạo
Đầu tư xây dựng mới hoặc cải tạo nâng cấp các trường công lập gồm: trường trung học cơ sở (trừ các trường do cấp Thành phố quản lý); trường chuyên biệt cấp huyện; trường phổ thông có nhiều cấp học trong đó không có cấp học trung học phổ thông; trường phổ thông dân tộc bán trú; trường phổ thông dân tộc nội trú không có cấp trung học phổ thông; trường tiểu học; cơ sở giáo dục mầm non (trừ các trường, cơ sở thực hành sư phạm do Thành phố quản lý); trung tâm Giáo dục nghề nghiệp - Giáo dục thường xuyên cấp huyện; trung tâm bồi dưỡng chính trị quận, huyện, thị xã; các cơ sở giáo dục, đào tạo, dạy nghề cấp huyện có tên gọi khác.
1.11. Đầu tư lĩnh vực y tế:
Đầu tư xây dựng mới, cải tạo nâng cấp: Trung tâm y tế cấp huyện (bao gồm cả các phòng khám đa khoa khu vực, nhà hộ sinh, trạm y tế xã, phường, thị trấn); trung tâm dân số kế hoạch hóa gia đình cấp quận, huyện, thị xã.
1.12. Đầu tư lĩnh vực Quản lý nhà nước:
a. Cải tạo, nâng cấp trụ sở làm việc các cơ quan hành chính, đảng, đoàn thể quận, huyện, thị xã.
b. Đầu tư xây dựng mới, cải tạo hạ tầng kỹ thuật và trụ sở làm việc các cơ quan hành chính, đảng, đoàn thể cấp xã; trụ sở hoặc nơi làm việc của công an và quân sự xã.
1.13. Đầu tư công trình phục vụ tang lễ: Đầu tư xây dựng mới, cải tạo nâng cấp các nghĩa trang, nhà tang lễ còn lại ngoài các nghĩa trang, nhà tang lễ Thành phố đầu tư trên địa bàn (gồm các nghĩa trang nhân dân, nghĩa trang liệt sỹ, đài tưởng niệm, đài liệt sỹ cấp huyện và xã).
1.14. Đầu tư lĩnh vực Thông tin và truyền thông: Các công trình, dự án phục vụ hoạt động phát thanh, truyền thanh cấp huyện, xã.
1.15. Đầu tư các công trình ứng dụng khoa học công nghệ.
1.16. Đầu tư hạ tầng kỹ thuật khu đất đấu giá quyền sử dụng đất trên địa bàn huyện, thị xã; Đầu tư hạ tầng kỹ thuật khu đất đấu giá quyền sử dụng đất trên địa bàn các quận đối với đất nhỏ lẻ, xen kẹt có diện tích dưới 5000 m2 không tiếp giáp với đường phố; đầu tư hạ tầng kỹ thuật khu tái định cư phục vụ giải phóng mặt bằng các dự án cấp huyện.
1.17. Các khoản chi đầu tư phát triển khác thuộc nhiệm vụ chi của ngân sách cấp huyện, cấp xã theo quy định của pháp luật(3).
2. Chi thường xuyên
2.1. Các hoạt động sự nghiệp giáo dục, đào tạo, dạy nghề do quận, huyện, thị xã quản lý:
- Giáo dục mầm non, tiểu học, trung học cơ sở công lập và sự nghiệp giáo dục khác;
- Trung tâm Giáo dục nghề nghiệp - Giáo dục thường xuyên; Dạy nghề, đào tạo nghề; bồi dưỡng kiến thức chính trị do Trung tâm bồi dưỡng chính trị quận, huyện mở và các hình thức bồi dưỡng, đào tạo khác;
2.2. Các nhiệm vụ về quốc phòng, an ninh, bảo đảm trật tự an toàn xã hội của cấp quận, huyện.
2.3. Các hoạt động sự nghiệp y tế, dân số và gia đình do quận, huyện, thị xã quản lý:
- Duy tu sửa chữa Trung tâm y tế cấp huyện (bao gồm cả các phòng khám đa khoa khu vực, nhà hộ sinh, trạm y tế xã, phường, thị trấn); trung tâm dân số kế hoạch hóa gia đình cấp quận, huyện, thị xã.
- Các hoạt động về công tác y tế (vệ sinh phòng bệnh dịch, vệ sinh an toàn thực phẩm), dân số và kế hoạch hóa gia đình;
2.4. Các hoạt động sự nghiệp văn hóa thông tin do quận, huyện, thị xã quản lý:
- Nhà văn hóa, các cơ sở văn hóa và các hoạt động văn hóa khác do cấp huyện quản lý;
- Quản lý, bảo vệ, duy tu, bảo trì các di tích lịch sử - văn hóa được xếp hạng còn lại trên địa bàn trừ các di tích Thành phố trực tiếp quản lý sau đầu tư;
- Các hoạt động thông tin, tuyên truyền khác của quận, huyện, thị xã;
2.5. Các hoạt động sự nghiệp phát thanh của quận, huyện, thị xã;
2.6. Các hoạt động sự nghiệp thể dục thể thao: Bồi dưỡng, huấn luyện vận động viên các đội tuyển cấp quận, huyện trong thời gian tập trung thi đấu; hoạt động của các trung tâm thể dục, thể thao do quận, huyện, thị xã quản lý;
2.7. Các hoạt động sự nghiệp bảo vệ môi trường quận, huyện, thị xã quản lý theo phân cấp của Thành phố, bao gồm:
- Quản lý, duy trì vệ sinh môi trường: quét hút; rửa đường, hè; thu gom, vận chuyển chất thải và công tác vệ sinh môi trường khác trong toàn bộ phạm vi địa giới hành chính (trừ các đường cao tốc).
- Quản lý, vận hành và duy trì các khu tập kết rác thải sinh hoạt có phạm vi phục vụ nội huyện do cấp huyện đầu tư.
- Chi hỗ trợ ảnh hưởng môi trường cho người dân nằm trong vùng ảnh hưởng môi trường của khu xử lý rác thải tập trung theo quy định của Thành phố.
- Sự nghiệp môi trường tại khoản 2 Điều 143 Luật Bảo vệ môi trường số 55/2014/QH13
2.8. Các hoạt động sự nghiệp kinh tế do quận, huyện, thị xã quản lý
- Sự nghiệp giao thông: Quản lý, duy trì, bảo trì và sửa chữa, nâng cấp đường giao thông, hè đường và các công trình giao thông do quận, huyện quản lý theo phân cấp quản lý sau đầu tư;
- Sự nghiệp nông nghiệp, lâm nghiệp, ngư nghiệp do quận, huyện quản lý; chuyển đổi cơ cấu kinh tế phục vụ phát triển mô hình nông thôn mới; chi bảo vệ, phòng chống cháy rừng; phòng chống lụt bão và các nhiệm vụ khác về nông-lâm-ngư nghiệp theo phân cấp quản lý sau đầu tư của Thành phố;
- Sự nghiệp thị chính:
+ Quản lý, duy trì, chăm sóc, bảo tồn các công viên (bao gồm cả bảo đảm chất lượng nước hồ), vườn hoa, cây xanh, thảm cỏ còn lại trên địa bàn, trừ các công viên, vườn hoa, cây xanh thảm cỏ Thành phố quản lý sau đầu tư
+ Các huyện và thị xã Sơn Tây: quản lý, duy tu, bảo trì hệ thống thoát nước, các hồ điều hòa và hệ thống chiếu sáng công cộng còn lại trên địa bàn, trừ phần Thành phố quản lý sau đầu tư (bao gồm cả cấp điện).
- Công tác quy hoạch; đo đạc, lập bản đồ và lưu trữ hồ sơ địa chính theo phân cấp;
- Các hoạt động thương mại, du lịch theo phân cấp quản lý. Hoạt động quản lý hệ thống các chợ, các trung tâm thương mại do cấp quận, huyện quản lý theo phân cấp;
- Các sự nghiệp kinh tế khác;
2.9. Hoạt động của các cơ quan Nhà nước, cơ quan Đảng cộng sản Việt Nam thuộc quận, huyện, thị xã quản lý:
- Hoạt động của Văn phòng quận, huyện ủy, thị ủy và các cơ quan khác trực thuộc quận, huyện ủy, thị ủy;
- Hoạt động của HĐND quận, huyện, thị xã;
- Hoạt động của Văn phòng Hội đồng nhân dân và Ủy ban nhân dân quận, huyện, thị xã; các phòng, ban và các cơ quan quản lý Nhà nước khác thuộc quận, huyện, thị xã quản lý;
2.10. Hoạt động của Mặt trận Tổ quốc; Đoàn thanh niên cộng sản Hồ Chí Minh; Hội cựu chiến binh; Hội Liên hiệp phụ nữ; Hội Nông dân cấp huyện;
2.11. Hỗ trợ các tổ chức chính trị xã hội - nghề nghiệp, tổ chức xã hội và tổ chức xã hội - nghề nghiệp quận, huyện theo quy định của pháp luật;
2.12. Thực hiện các chính sách xã hội đối với các đối tượng do quận, huyện, thị xã quản lý; hoạt động các cơ sở xã hội do quận, huyện, thị xã quản lý; phòng chống các tệ nạn xã hội, hoạt động chăm sóc trẻ em và các hoạt động xã hội khác theo phân cấp;
2.13. Chi ứng dụng tiến bộ khoa học, công nghệ
2.14. Các khoản chi khác theo quy định của pháp luật;
3. Chi bổ sung cho ngân sách xã, phường, thị trấn;
4. Chi chuyển nguồn từ ngân sách quận, huyện, thị xã năm trước sang ngân sách năm sau.
C. NGUỒN THU, NHIỆM VỤ CHI CỦA NGÂN SÁCH XÃ, PHƯỜNG, THỊ TRẤN
I. Nguồn thu của ngân sách xã, phường, thị trấn gồm:
1. Các khoản thu ngân sách xã, phường, thị trấn được hưởng 100%:
1.1. Lệ phí môn bài thu từ cá nhân, hộ kinh doanh;
1.2. Thuế sử dụng đất nông nghiệp thu từ các hộ sản xuất;
1.3. Thuế sử dụng đất phi nông nghiệp;
1.4. Thu bán tài sản nhà nước do xã, phường, thị trấn quản lý;
1.5. Viện trợ không hoàn lại của các tổ chức quốc tế, các tổ chức khác, các cá nhân ở nước ngoài trực tiếp cho xã, phường, thị trấn theo quy định của pháp luật;
1.6. Các khoản thu phí, lệ phí cho ngân sách xã, phường, thị trấn (không kể lệ phí môn bài, lệ phí trước bạ, phí bảo vệ môi trường).
1.7. Các khoản thu từ xử phạt vi phạm hành chính, phạt, tịch thu và thu khác của ngân sách địa phương theo quy định của pháp luật (phần thuộc ngân sách nhà nước theo quy định) do xã, phường, thị trấn thực hiện và quản lý;
1.8. Thu từ tài sản được xác lập quyền sở hữu nhà nước do xã, phường, thị trấn xử lý.
1.9. Thu từ quỹ đất công, công ích và hoa lợi công sản do xã, phường, thị trấn quản lý;
1.10. Thu đền bù thiệt hại khi Nhà nước thu hồi đất đối với đất thuộc xã, phường, thị trấn quản lý;
1.11. Huy động đóng góp theo quy định của pháp luật và đóng góp tự nguyện từ các tổ chức, cá nhân cho xã, phường, thị trấn;
1.12. Thu kết dư ngân sách;
1.13. Các khoản thu khác theo quy định của pháp luật.
2. Các khoản thu ngân sách xã, phường, thị trấn được hưởng theo tỷ lệ phần trăm phân chia
2.1. Lệ phí trước bạ nhà đất.
3. Thu bổ sung từ ngân sách cấp trên;
4. Thu chuyển nguồn từ ngân sách xã, phường, thị trấn năm trước sang ngân sách năm sau.
II. Nhiệm vụ chi của ngân sách xã, phường, thị trấn
1. Chi đầu tư phát triển
Chi đầu tư xây dựng, cải tạo các công trình kết cấu hạ tầng kinh tế - xã hội thuộc phạm vi quản lý theo phân cấp của quận, huyện, thị xã (nếu có) và trong phạm vi ngân sách của xã, phường, thị trấn, gồm:
1.1. Đầu tư các công trình trên địa bàn theo phân cấp từ nguồn tăng thu, kết dư ngân sách xã, phường, thị trấn, nguồn đóng góp tự nguyện của các tổ chức, cá nhân cho ngân sách xã, phường, thị trấn.
1.2. Đầu tư xây dựng mới, cải tạo nâng cấp các công trình trên địa bàn xã, phường, thị trấn theo phân cấp của cấp huyện từ nguồn thu đấu giá quyền sử dụng đất được cấp lại, tiền đền bù thiệt hại khi nhà nước thu hồi đất và các nguồn khác theo quy định của pháp luật mới.
1.3. Đầu tư các công trình trên địa bàn theo phân cấp từ nguồn bổ sung có mục tiêu từ ngân sách cấp trên.
2. Chi thường xuyên
2.1. Chi cho công tác dân quân, tự vệ và bảo đảm trật tự an toàn xã hội trên địa bàn xã, phường, thị trấn theo quy định của pháp luật và của Thành phố:
- Chi thực hiện các chính sách chế độ đối với lực lượng công an viên, công an xã, ban bảo vệ dân phố theo Pháp lệnh Công an xã và lực lượng dân quân tự vệ theo Luật Dân quân tự vệ.
- Huấn luyện dân quân tự vệ, lực lượng dự bị động viên và bảo đảm hoạt động sẵn sàng chiến đấu của dân quân tự vệ; đăng ký, tổ chức thanh niên đi làm nghĩa vụ quân sự, tiếp đón quân nhân hoàn thành nghĩa vụ quân sự trở về; tổ chức hội nghị tập huấn, kỷ niệm ngày truyền thống dân quân tự vệ và các hoạt động khác;
- Tuyên truyền, vận động và tổ chức phong trào quần chúng bảo vệ an ninh trật tự trên địa bàn; hỗ trợ các chiến dịch giữ gìn an ninh, trật tự an toàn xã hội; hỗ trợ công tác phòng cháy chữa cháy; hỗ trợ sơ kết, tổng kết phong trào quần chúng bảo vệ an ninh và các hoạt động khác về đảm bảo an ninh trật tự.
2.2. Các hoạt động sự nghiệp văn hóa thông tin; truyền thanh; thể dục thể thao: Nhà truyền thống, thư viện, nhà văn hóa, đài truyền thanh, thiết chế văn hóa và các hoạt động văn hóa, thông tin, thể dục thể thao; xây dựng đời sống văn hóa thôn, tổ dân phố và các sự nghiệp văn hóa khác.
2.3. Các hoạt động về bảo vệ môi trường tại khoản 3 Điều 143 Luật Bảo vệ môi trường số 55/2014/QH13.
2.4. Chi sự nghiệp kinh tế theo phân cấp gồm:
- Chi công tác khuyến nông, khuyến lâm, khuyến ngư và các nhiệm vụ khác về quản lý Nông - lâm - ngư nghiệp;
- Quản lý đất đai, lưu trữ hồ sơ địa chính và các hoạt động sự nghiệp địa chính khác phân cấp cho xã, phường, thị trấn.
- Các hoạt động sự nghiệp kinh tế khác.
2.5. Hoạt động của Hội đồng nhân dân, cơ quan quản lý Nhà nước ở xã, phường, thị trấn:
- Hoạt động của Hội đồng nhân dân và Ủy ban nhân dân xã, phường, thị trấn;
- Hỗ trợ hoạt động các thôn, tổ dân phố.
2.6. Hoạt động của Đảng ủy xã, phường, thị trấn và hỗ trợ hoạt động các chi bộ trực thuộc.
2.7. Hoạt động của Mặt trận Tổ quốc (kể cả hoạt động của Ban Thanh tra nhân dân, Ban công tác Mặt trận) và các tổ chức chính trị - xã hội xã, phường, thị trấn: Đoàn thanh niên cộng sản Hồ Chí Minh; Hội Cựu chiến binh: Hội Liên hiệp phụ nữ, Hội Nông dân;
2.8. Hỗ trợ hoạt động các hội đặc thù theo quy định của Thành phố và các tổ chức xã hội khác của xã, phường, thị trấn theo quy định của pháp luật.
2.9. Hoạt động tuyên truyền, phổ biến giáo dục pháp luật, hoạt động hòa giải ở cấp xã.
2.10. Chi công tác đảm bảo xã hội:
- Chi về công tác xã hội, phòng chống các tệ nạn xã hội: Ma túy, mại dâm và các hoạt động xã hội khác do xã, phường, thị trấn quản lý;
- Thăm hỏi gia đình chính sách, các hoạt động tình nghĩa nhân các ngày truyền thống, lễ, tết; trợ cấp xã hội cho người già cô đơn, trẻ mồ côi, người tàn tật không nơi nương tựa và thực hiện các chính sách xã hội khác đối với các đối tượng do xã, thị trấn quản lý (không thuộc đối tượng chính sách, hưởng trợ cấp thường xuyên do Phòng Lao động - Thương binh và Xã hội quận, huyện, thị xã cấp).
- Công tác xã hội khác như: Công tác tìm kiếm cứu nạn, trợ cấp cứu đói, hỏa hoạn, thiên tai, tai nạn...
2.10. Các khoản chi thường xuyên khác theo quy định của pháp luật;
3. Chi chuyển nguồn từ ngân sách xã, phường, thị trấn năm trước sang ngân sách năm sau.
1 Tiền sử dụng đất quận Hoàng Mai theo cơ chế tại Quyết định số 1867/QĐ-UBND ngày 04/5/2012 của UBND Thành phố; tiền sử dụng đất quận Long Biên theo cơ chế tại văn bản số 160/HĐND-KTNS ngày 28/4/2016 của Thường trực HĐND Thành phố và văn bản số 9954/UBND-KH&ĐT ngày 27/12/2013 của UBND Thành phố; Tiền đấu giá quyền sử dụng đất tại khu đô thị mới Cầu Giấy.
2 Quy định tại Khoản c, mục 1, Điều 38 Luật Ngân Sách năm 2015.
3 Quy định tại Khoản c, mục 1, Điều 38 Luật Ngân Sách năm 2015.
PHỤ LỤC SỐ 02
ĐỊNH MỨC PHÂN BỔ CHI NGÂN SÁCH THÀNH PHỐ HÀ NỘI GIAI ĐOẠN 2017-2020
(Kèm theo Nghị quyết số 13/2016/NQ-HĐND ngày 05/12/2016 của HĐND Thành phố)
A. Định mức phân bổ chi đầu tư xây dựng cơ bản
1. Nguyên tắc xây dựng các tiêu chí và định mức phân bổ vốn đầu tư XDCB giai đoạn 2017 – 2020
(1) Đảm bảo phù hợp với các quy định của Luật Đầu tư công năm 2014, Luật Ngân sách nhà nước năm 2015, Quyết định số 40/2015/QĐ-TTg ngày 14/9/2015 của Thủ tướng Chính phủ, Quyết định số 41/2016/QĐ-UBND ngày 19/9/2016 của UBND Thành phố; trên cơ sở phát huy và khắc phục những tồn của giai đoạn trước.
(2) Đảm bảo sự tương quan hợp lý giữa các quận, huyện và thị xã để góp phần thu hẹp dần khoảng cách về trình độ phát triển kinh tế xã hội giữa các quận, huyện và thị xã.
(3) Sử dụng có hiệu quả vốn đầu tư của ngân sách nhà nước, tạo điều kiện để thu hút tối đa các nguồn vốn khác cho đầu tư phát triển.
(4) Bảo đảm mức vốn kế hoạch của mỗi quận, huyện không thấp hơn so với giai đoạn trước và đảm bảo tính công khai, minh bạch, công bằng trong việc phân bổ vốn đầu tư phát triển.
(5) Khắc phục sự bất cập, phân bổ vốn chưa hợp lý giữa các đơn vị trong giai đoạn trước; ưu tiên các huyện nghèo còn nhiều xã chưa hoàn thành xây dựng nông thôn mới.
(6) Đối với những đơn vị sau khi tính toán có mức kế hoạch thấp hơn năm 2016 thì sẽ áp dụng nguyên tắc điều chỉnh tăng từ 1,1-1,2 lần so với kế hoạch năm 2016 theo quy định tại Quyết định số 40/2015/QĐ-TTg ngày 14/9/2015 của Thủ tướng Chính phủ và đảm bảo việc chuẩn xác lại hệ số điều chỉnh tăng, giảm so với giai đoạn gốc trước nếu trước đây phân bổ vốn chưa hợp lý (quá cao, hoặc quá thấp).
(7) Việc giảm bớt số vốn của các đơn vị có số thu cao để điều tiết cho các đơn vị có số thu thấp cần đảm bảo nguyên tắc: số vốn phân cấp còn lại năm 2017 không thấp hơn số vốn của đơn vị được bổ sung đạt mức cao nhất, không thấp hơn 10% so với năm trước.
2. Tiêu chí phân bổ vốn đầu tư phát triển
(1) Tiêu chí dân số của mỗi quận, huyện, thị xã gồm: Dân số trung bình và số người dân tộc thiểu số.
(2) Tiêu chí về trình độ phát triển, gồm: Tỷ lệ hộ nghèo, số thu nội địa (không bao gồm số thu sử dụng đất) và tỷ lệ điều tiết về ngân sách thành phố.
(3) Tiêu chí diện tích, gồm: Diện tích đất tự nhiên của các địa phương và tỷ lệ diện tích đất trồng lúa trên tổng diện tích đất tự nhiên.
(4) Tiêu chí về đơn vị hành chính cấp xã; số xã miền núi.
3. Định mức phân bổ
(1) Tiêu chí dân số:
- Dân số đến 40.000 người được 10 điểm.
- Dân số trên 40.000 người, cứ tăng thêm 10.000 người được thêm 3 điểm.
(2) Tiêu chí dân tộc thiểu số: Cứ 400 người được 4 điểm.
(3) Tiêu chí tỷ lệ hộ nghèo: cứ 1,3% hộ nghèo được 3,5 điểm.
(4) Thu nội địa:
- Đến 100 tỷ đồng được 3 điểm.
- Trên 100 tỷ đến 1.000 tỷ đồng, cứ 50 tỷ đồng tăng thêm được tính thêm 4 điểm.
- Trên 1.000 tỷ đến 3.000 tỷ đồng, cứ 50 tỷ đồng tăng thêm được tính thêm 6 điểm.
- Trên 3.000 tỷ đồng, cứ 50 tỷ đồng tăng thêm được tính thêm 9 điểm.
(5) Tỷ lệ điều tiết về ngân sách cấp trên:
- Cứ 5% điều tiết về ngân sách Thành phố được 2 điểm.
- Trên 5% đến 20%, cứ tăng 5% điều tiết về ngân sách Thành phố được tính thêm 4 điểm.
- Trên 20% đến 50%, cứ tăng 5% điều tiết về ngân sách Thành phố được tính thêm 8 điểm.
(6) Diện tích đất tự nhiên:
- Đến 20 km2 được 6 điểm.
- Trên 20 km2 đến 50 km2, cứ 10 km2 tăng thêm được tính thêm 2 điểm.
- Trên 50 km2 đến 100 km2, cứ 10 km2 tăng thêm được tính thêm 1 điểm.
- Trên 100 km2, cứ 10 km2 tăng thêm được tính thêm 0,5 điểm,
(7) Tỷ lệ diện tích đất trồng lúa/tổng diện tích tự nhiên (Theo số liệu quy hoạch đất trồng lúa của Thành phố năm 2014):
- Đến 20% không được tính điểm.
- Từ trên 20% đến 30%, cứ 1% diện tích tăng thêm được tính 0,5 điểm.
- Trên 30% đến 50%, cứ 1% diện tích tăng thêm được tính 1 điểm.
- Trên 50% trở lên, cứ 1% diện tích tăng thêm được tính 2 điểm.
(8) Số đơn vị hành chính: Mỗi xã được tính 1 điểm.
(9) Số xã miền núi: Mỗi xã miền núi được tính 0,5 điểm.
4. Cách tính điểm và phân bổ vốn đầu tư phân cấp cho các quận huyện thị xã
Căn cứ vào các tiêu chí trên để tính ra số điểm của từng quận, huyện và tổng số điểm của 30 quận, huyện làm căn cứ để phân bổ vốn đầu tư trong cân đối, theo các công thức sau:
(1) Điểm của tiêu chí dân số:
Điểm của tiêu chí này là tổng điểm của 02 tiêu chí: số dân và số người dân tộc thiểu số.
- Gọi tổng số điểm tiêu chí dân số chung của huyện thứ i là Ai.
- Gọi số điểm của số dân huyện thứ i là hi.
- Gọi số điểm của số người dân tộc thiểu số huyện thứ i là ki.
Điểm của tiêu chí dân số huyện thứ i sẽ là:
Ai = hi + ki.
(2) Điểm của tiêu chí trình độ phát triển:
Điểm của tiêu chí này là tổng điểm của 03 tiêu chí: tỷ lệ hộ nghèo; thu nội địa; tỷ lệ điều tiết về ngân sách Thành phố.
- Gọi tổng số điểm tiêu chí trình độ phát triển của huyện thứ i là Bi.
- Gọi số điểm của tiêu chí tỷ lệ nghèo huyện thứ i là ni.
- Gọi số điểm của tiêu chí thu nội địa huyện thứ i là oi.
- Gọi số điểm của tiêu chí tỷ lệ điều tiết về ngân sách Thành phố là pi.
Điểm của tiêu chí trình độ phát triển huyện thứ i sẽ là:
Bi = ni + oi + pi
(3) Điểm của tiêu chí diện tích:
Điểm của tiêu chí này là tổng điểm của 02 tiêu chí: diện tích tự nhiên; tỷ lệ diện tích đất trồng lúa/ tổng diện tích tự nhiên.
- Gọi tổng số điểm tiêu chí diện tích của huyện thứ i là Ci.
- Gọi số điểm diện tích tự nhiên là qi.
- Gọi số điểm của tỷ lệ diện tích đất trồng lúa/tổng diện tích tự nhiên là ri.
Điểm của tiêu chí diện tích là:
Ci = qi + ri
(4) Điểm của tiêu chí đơn vị hành chính cấp xã:
Điểm của tiêu chí này là tổng điểm của 02 tiêu chí: số đơn vị hành chính cấp xã của quận huyện; số đơn vị hành chính xã miền núi của quận huyện.
- Gọi số điểm của tiêu chí đơn vị hành chính huyện thứ i là Di.
- Gọi số điểm của tiêu chí số đơn vị hành chính cấp xã của huyện thứ i là si.
- Gọi số điểm của tiêu chí số đơn vị hành chính xã miền núi của huyện thứ i là ti.
Tổng số điểm của tiêu chí đơn vị hành chính huyện thứ i sẽ là:
Di = si + ti
(5) Tổng số điểm của quận huyện thứ i:
Gọi tổng số điểm của quận huyện thứ i là Xi:
Xi = Ai + Bi + Ci + Di
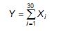
(6) Tổng số điểm của 30 quận, huyện, thị xã là Y, ta có:

(7) Số vốn định mức cho 1 điểm phân bổ được tính theo công thức:
- Gọi K là tổng số vốn trong cân đối ngân sách địa phương (không bao gồm thu chuyển quyền sử dụng đất, đấu giá đất).
- Z là số vốn định mức cho một điểm phân bổ vốn đầu tư, ta có:

(8) Tổng số vốn đầu tư phân cấp cho từng quận huyện được tính theo công thức:
Gọi Vi là số vốn đầu tư phân cấp cho quận huyện thứ i (không bao gồm thu chuyển quyền sử dụng đất, đấu giá đất), thì:
Vi = Z x Xi
Trên cơ sở định mức phân bổ nêu trên, tổng vốn đầu tư phân cấp cho quận, huyện, thị xã sẽ phụ thuộc vào tổng số điểm được tính cho từng quận, huyện, thị xã.
B. Định mức phân bổ chi thường xuyên ngân sách thành phố Hà Nội giai đoạn 2017-2020
1. Định mức phân bổ chi khác ngân sách quản lý hành chính, Đảng, đoàn thể
|
TT |
Nội dung |
Đơn vị tính |
Định mức |
|
I |
Cơ quan hành chính |
|
|
|
1 |
Đơn vị dự toán cấp 1 |
|
|
|
|
Biên chế dưới 100 |
Đồng/biên chế /năm |
55.000.000 |
|
|
Từ biên chế thứ 100 đến dưới 200 |
Đồng/biên chế /năm |
54.000.000 |
|
|
Từ biên chế thứ 200 trở lên |
Đồng/biên chế /năm |
53.000.000 |
|
2 |
Đơn vị dự toán cấp 2 |
|
|
|
|
Biên chế dưới 100 |
Đồng/biên chế /năm |
52.000.000 |
|
|
Từ biên chế thứ 100 đến dưới 200 |
Đồng/biên chế /năm |
51.000.000 |
|
|
Từ biên chế thứ 200 trở lên |
Đồng/biên chế /năm |
50.000.000 |
|
II |
Các tổ chức chính trị - xã hội |
|
|
|
1 |
Hội Liên hiệp phụ nữ Thành phố |
Đồng/biên chế /năm |
67.000.000 |
|
2 |
Hội Cựu Chiến Binh Thành phố |
Đồng/biên chế /năm |
67.000.000 |
|
3 |
Hội Nông dân Thành phố |
Đồng/biên chế /năm |
67.000.000 |
|
4 |
Đoàn thanh niên cộng sản HCM thành phố Hà Nội |
Đồng/biên chế /năm |
67.000.000 |
|
III |
Cơ quan điều hành chung |
|
|
|
1 |
Các cơ quan thuộc Thành ủy |
Đồng/biên chế /năm |
73.000.000 |
|
2 |
Văn phòng UBND Thành phố |
Đồng/biên chế /năm |
73.000.000 |
|
3 |
Văn phòng HĐND Thành phố |
Đồng/biên chế /năm |
73.000.000 |
|
4 |
Ủy ban Mặt trận Tổ quốc |
Đồng/biên chế /năm |
73.000.000 |
Một số định mức phân bổ ngân sách của thành phố Hà Nội giai đoạn 2017-2020 đã quy định tại Điểm 1 Mục I thuộc Phần B của Phụ lục số 02 ban hành kèm theo Nghị quyết số 13/2016/NQ-HĐND ngày 05/12/2016 được điều chỉnh tăng theo quy định tại Khoản 1 Điều 1 Nghị quyết số 02/2018/NQ-HĐND ngày 05/07/2018.
Trong đó:
a. Định mức phân bổ chi khác đơn vị dự toán cấp I được áp dụng cho Văn phòng các sở, ban, ngành (được cấp ngân sách theo quy định của Luật Ngân sách nhà nước, hoặc được giao biên chế) thuộc Thành phố.
b. Định mức phân bổ chi khác cho đơn vị dự toán cấp II: Là các cơ quan hành chính trực thuộc các Sở, ban, ngành của Thành phố.
c. Định mức phân bổ nêu trên là cơ sở để thực hiện chế độ tự chủ, tự chịu trách nhiệm về sử dụng biên chế và kinh phí quản lý hành chính đối với các cơ quan nhà nước theo Thông tư liên tịch số 71/2014/TTLT-BTC-BNV ngày 30/5/2014 của Liên Bộ: Tài chính - Nội vụ hướng dẫn Nghị định số 130/2005/NĐ-CP ngày 17/10/2005 và Nghị định số 117/2013/NĐ-CP ngày 07/10/2013 của Chính phủ quy định chế độ tự chủ, tự chịu trách nhiệm về sử dụng kinh phí quản lý hành chính đối với các cơ quan nhà nước.
d. Định mức phân bổ nêu trên đảm bảo kinh phí cho các nội dung chi sau:
- Các khoản chi hành chính phục vụ hoạt động thường xuyên bộ máy các cơ quan.
- Các khoản chi nghiệp vụ hàng năm: chi tập huấn bồi dưỡng chuyên môn nghiệp vụ; chi quản lý ngành, lĩnh vực; chi thực hiện chỉ đạo, kiểm tra của ngành; chi công tác tuyên truyền phổ biến giáo dục pháp luật, rà soát, xây dựng và hoàn thiện các văn bản quy phạm pháp luật; chi ứng dụng công nghệ thông tin; chi thực hiện các hoạt động kiểm soát thủ tục hành chính, thực hiện cải cách hành chính; xây dựng, áp dụng, duy trì và cải tiến hệ thống quản lý chất lượng; bồi dưỡng đối với cán bộ công chức, viên chức làm công tác tiếp công dân, xử lý đơn thư khiếu nại tố cáo; bồi dưỡng, cấp trang phục đối với trưởng bộ phận, công chức, lao động hợp đồng làm việc tại bộ phận tiếp nhận hồ sơ và trả kết quả giải quyết thủ tục hành chính; kinh phí chỉnh lý tài liệu lưu trữ; kinh phí hoạt động của đảng, đoàn thể, hoạt động ban vì sự tiến bộ phụ nữ và kinh phí đảm bảo hoạt động thường xuyên khác của bộ máy.
- Các khoản kinh phí mua sắm trang thiết bị văn phòng phục vụ hoạt động thường xuyên cho các chức danh, phòng làm việc của chức danh, cán bộ, công chức theo định mức máy móc, thiết bị văn phòng phổ biến1 quy định tại Quyết định số 58/2015/QĐ-TTg ngày 17/11/2015 của Thủ tướng Chính phủ và kinh phí mua sắm công cụ, dụng cụ; kinh phí duy tu, sửa chữa nhỏ thường xuyên tài sản cố định.
e. Định mức phân bổ trên không bao gồm:
- Tiền lương, phụ cấp và các khoản đóng góp theo lương2.
- Các khoản chi: Kinh phí đối ứng thực hiện các dự án theo phân cấp; thuê trụ sở; tổ chức đại hội, hội nghị ngành; hoạt động các Ban chỉ đạo, tổ công tác liên ngành; mua ô tô, sửa chữa vừa và sửa chữa lớn trụ sở; mua sắm trang thiết bị chuyên dùng theo các Đề án được cấp có thẩm quyền phê duyệt; các khoản chi đặc thù mang tính chất riêng biệt, các nhiệm vụ chi đặc thù phát sinh không thường xuyên và các khoản chi khác không thuộc định mức phân bổ quy định tại điểm d nêu trên.
f. Các hội có tính chất đặc thù được ngân sách cấp kinh phí hoạt động theo số biên chế được giao, bao gồm chi khác theo định mức của cơ quan hành chính và quỹ tiền lương, phụ cấp, các khoản đóng góp theo thực tế.
g. Các tổ chức chính trị xã hội - nghề nghiệp, tổ chức xã hội, tổ chức xã hội - nghề nghiệp được ngân sách nhà nước hỗ trợ theo nhiệm vụ Nhà nước giao theo quy định của Luật Ngân sách nhà nước.
h. Dự toán chi khác quản lý hành chính, Đảng, đoàn thể các năm tiếp theo trong thời kỳ ổn định (từ năm 2018) được điều chỉnh tăng thêm hàng năm theo tỷ lệ do UBND Thành phố trình HĐND Thành phố quyết định theo khả năng cân đối ngân sách.
1 Quy định tại Mục I, II, IV Phần A và Mục I Phần B Phụ lục số 02 Quyết định số 58/2015/QĐ-TTg ngày 17/11/2015 của Thủ tướng Chính phủ quy định tiêu chuẩn, định mức, chế độ quản lý sử dụng máy móc, thiết bị của cơ quan nhà nước, tổ chức, đơn vị sự nghiệp công lập.
2 Quỹ tiền lương, phụ cấp của số biên chế được duyệt, thực có mặt tính đến thời điểm lập dự toán, được xác định trên cơ sở mức lương thực tế theo ngạch, bậc, chức vụ; phụ cấp và các khoản đóng góp theo chế; Quỹ tiền lương, phụ cấp của số biên chế được duyệt nhưng chưa tuyển dụng, được xác định theo mức lương cơ sở, hệ số lương 2,34/biên chế và các khoản đóng góp theo chế độ.
2. Chi sự nghiệp giáo dục, đào tạo và dạy nghề
2.1. Sự nghiệp giáo dục (cấp học phổ thông):
|
TT |
Nội dung |
Đơn vị tính |
Định mức |
|
|
Định mức |
Trong đó: Chi khác (tối thiểu) |
|||
|
1 |
Trung học phổ thông |
Đồng/học sinh /năm |
7.300.000 |
1.800.000 |
|
2 |
THPT chuyên Hà Nội Amsterdam |
Đồng/học sinh /năm |
18.000.000 |
8.000.000 |
|
3 |
THPT chuyên Nguyễn Huệ |
Đồng/học sinh /năm |
18.000.000 |
8.000.000 |
|
4 |
THPT chuyên còn lại3 |
Đồng/học sinh /năm |
12.000.000 |
5.400.000 |
|
5 |
Khối trường khuyết tật4 |
Đồng/học sinh /năm |
15.000.000 |
5.500.000 |
|
6 |
Trường Dân tộc nội trú5 |
Đồng/học sinh /năm |
19.200.000 |
8.400.000 |
Trong đó:
a. Trường hợp định mức không đảm bảo quỹ tiền lương và chi khác tối thiểu, ngân sách sẽ cấp bù, đảm bảo chi khác không thấp hơn mức tối thiểu.
b. Đối với các trường học nằm trên địa bàn các xã thuộc diện chương trình 135, xã miền núi và xã thuộc bãi giữa Sông Hồng, định mức phân bổ được tính tăng thêm 10% so với định mức nêu trên.
2.2. Sự nghiệp đào tạo và dạy nghề:
- Đối với các trường Đại học, Cao đẳng, Trung học, dạy nghề, Trung tâm dịch vụ việc làm, Tạp chí giáo dục Thủ đô và các Trường đào tạo, bồi dưỡng cán bộ: Thực hiện theo cơ chế tự chủ tại Nghị định số 16/2015/NĐ-CP ngày 14/2/2015 của Chính phủ.
- Đối với kinh phí đào tạo, bồi dưỡng: dự toán kinh phí được xây dựng trên cơ sở Kế hoạch đào tạo, bồi dưỡng hàng năm của Thành phố và các chế độ chi hiện hành.
3. Chi sự nghiệp y tế, dân số kế hoạch hóa gia đình
|
TT |
Nội dung |
Đơn vị tính |
Định mức |
|
I |
Chữa bệnh |
|
|
|
1 |
Bệnh viện hạng 1 |
Đồng/giường bệnh/năm |
55.000.000 |
|
2 |
Bệnh viện hạng 2 |
Đồng/giường bệnh/năm |
45.000.000 |
|
|
Trong đó: |
|
|
|
|
- Bệnh viện Thận Hà Nội |
|
|
|
|
+ Giường bệnh |
Đồng/giường bệnh/năm |
45.000.000 |
|
|
+ Ca chạy thận |
Đồng/ca |
170.000 |
|
3 |
Bệnh viện hạng 3 |
Đồng/giường bệnh/năm |
40.000.000 |
|
4 |
Các bệnh viện đặc thù |
|
|
|
4.1 |
Bệnh viện tâm thần Hà Nội, Bệnh viện tâm thần Mỹ Đức, Bệnh viện tâm thần ban ngày Mai Hương |
|
Thực hiện cơ chế giao nhiệm vụ khám bệnh, chữa bệnh, chăm sóc và nuôi dưỡng người bệnh phong, tâm thần và lập dự toán kinh phí thực hiện cơ chế giao nhiệm vụ theo quy định tại Thông tư số 36/2016/TT-BYT của Bộ Y tế |
|
4.2 |
Khu điều trị Phong thuộc Bệnh viện Da liễu Hà Nội |
|
|
|
4.3 |
Bệnh viện 09 |
|
|
|
|
- Giường bệnh (bao gồm cả tiền ăn cho bệnh nhân theo quy định) |
Đồng/giường bệnh/năm |
45.000.000 |
|
|
- Hoạt động bộ máy |
Đồng/biên chế/năm |
Áp dụng định mức phân bổ chi khác của đơn vị dự toán cấp 2 khối cơ quan hành chính |
|
4.4 |
Bệnh viện phục hồi chức năng |
|
|
|
|
- Giường bệnh (bao gồm cả tiền ăn cho bệnh nhân theo quy định) |
Đồng/giường bệnh/năm |
45.000.000 |
|
|
- Hoạt động bộ máy |
|
Thực hiện theo cơ chế tự chủ tại Nghị định 16/2015/NĐ-CP của Chính phủ |
|
5 |
Trung tâm cấp cứu 115 Hà Nội |
|
Thực hiện theo cơ chế tự chủ tại Nghị định 16/2015/NĐ-CP của Chính phủ |
|
II |
Phòng bệnh |
|
|
|
1 |
Trung tâm y tế quận, huyện, thị xã và các trung tâm chuyên khoa |
|
Thực hiện theo cơ chế tự chủ tại Nghị định 16/2015/NĐ-CP của Chính phủ |
|
2 |
Phòng dịch |
Đồng/người dân/năm |
6.000 |
|
3 |
Các hoạt động sự nghiệp y tế |
Đồng/người dân/năm |
16.000 |
|
4 |
Vệ sinh an toàn thực phẩm |
Đồng/người dân/năm |
8.000 |
|
5 |
Dân số, kế hoạch hóa gia đình |
Đồng/người dân/năm |
4.000 |
Trong đó:
a. Đối với các Bệnh viện hạng 1, 2, 3:
- Định mức phân bổ ngân sách trên được áp dụng cho năm 2017.
- Giai đoạn 2018 - 2020: Giá dịch vụ công theo lộ trình quy định tại Nghị định 16/2015/NĐ-CP được tính bổ sung thêm chi phí quản lý, các bệnh viện thực hiện cơ chế tự chủ tài chính theo phân loại đơn vị sự nghiệp công tự đảm bảo chi thường xuyên.
- Trường hợp giá dịch vụ y tế của thành phố Hà Nội chưa được Bộ Y tế điều chỉnh kịp thời theo lộ trình xây dựng giá tại Nghị định 16/2015/NĐ-CP, ngân sách Thành phố đảm bảo phần chi phí chưa được kết cấu vào giá dịch vụ y tế tại từng thời điểm, phù hợp với từng đối tượng người bệnh có thẻ BHYT và chưa có thẻ BHYT.
b. Định mức tính theo dân số được áp dụng cho:
- Chi phòng dịch: Chi cho các nhiệm vụ phòng chống dịch thường xuyên cấp Thành phố hàng năm, không bao gồm chi phòng chống dịch đột xuất.
- Chi hoạt động sự nghiệp y tế bao gồm: chi hoạt động nghiệp vụ thường xuyên, lập các dự án kêu gọi viện trợ, chi các chương trình y tế (phòng bệnh, khám và điều trị một số bệnh ngoại trú theo chỉ đạo của Bộ Y tế).
- Chi công tác dân số, kế hoạch hóa gia đình: Chi cho công tác xây dựng, triển khai kế hoạch; tổ chức thực hiện các hoạt động truyền thông, vận động trong lĩnh vực dân số, kế hoạch hóa gia đình; quản lý về quy mô, cơ cấu, chất lượng dân số; kiểm tra, thanh tra, xử lý các vi phạm và các nhiệm vụ về tăng cường công tác dân số, kế hoạch hóa gia đình đối với cấp Thành phố theo Nghị quyết của HĐND Thành phố.
c. Nguồn thu từ dịch vụ khám bệnh, chữa bệnh của cơ sở y tế công lập được để lại đơn vị sử dụng theo quy định. Trường hợp nguồn tài chính của đơn vị không đảm bảo hoạt động thường xuyên, được cấp có thẩm quyền phân loại là đơn vị sự nghiệp công tự bảo đảm một phần chi thường xuyên hoặc đơn vị sự nghiệp công do Nhà nước đảm bảo chi thường xuyên, tiếp tục được ngân sách nhà nước bảo đảm kinh phí theo quy định.
4. Chi sự nghiệp văn hóa, thể thao và du lịch
|
STT |
Nội dung |
Đơn vị tính |
Định mức |
|
1 |
Các hoạt động sự nghiệp văn hóa (*) |
Đồng/người dân/năm |
13.000 |
|
2 |
Các hoạt động sự nghiệp thể dục thể thao |
|
|
|
|
Thể thao quần chúng |
Đồng/người dân/năm |
3.000 |
|
|
Thể thao thành tích cao |
|
Theo chế độ chi và đối tượng thực tế |
|
3 |
Sự nghiệp du lịch |
|
Theo Chương trình phát triển du lịch hàng năm |
Trong đó:
(*) Định mức không bao gồm kinh phí thực hiện các kế hoạch, chương trình, dự án theo phê duyệt của cấp có thẩm quyền; kinh phí duy trì cơ sở vật chất của Bảo tàng Hà Nội và Trung tâm bảo tồn di sản Thăng Long - Hà Nội; kinh phí thực hiện các nhiệm vụ này được bố trí trên cơ sở dự toán hàng năm theo quy định.
5. Chi sự nghiệp thông tin và truyền thông
Dự toán chi được xây dựng hàng năm trên cơ sở nhiệm vụ chi, định mức, đơn giá theo quy định hiện hành và khả năng cân đối của ngân sách.
6. Chi sự nghiệp phát thanh truyền hình
Đài phát thanh và truyền hình Hà Nội thực hiện theo cơ chế tự chủ của đơn vị sự nghiệp công tại Nghị định 16/2015/NĐ-CP của Chính phủ. Chi sự nghiệp phát thanh truyền hình được tính toán theo dự toán kinh phí do Thành phố đặt hàng với Đài phát thanh và truyền hình Hà Nội hàng năm để thực hiện tuyên truyền các nhiệm vụ chính trị của Thành phố.
7. Chi sự nghiệp đảm bảo xã hội
Dự toán chi đảm bảo xã hội và các hoạt động xã hội được xây dựng hàng năm trên cơ sở đối tượng thực tế và chế độ chi theo quy định; đảm bảo kinh phí hoạt động và chế độ chi nuôi dưỡng người có công, chi trợ cấp cho các đối tượng bảo trợ xã hội sống trong các Trung tâm, các cơ sở bảo trợ xã hội thuộc Sở Lao động Thương binh và Xã hội, chi thực hiện chương trình xây dựng nhà ở, xóa nhà dột nát cho người nghèo và các nhiệm vụ chi đảm bảo xã hội khác theo quy định.
8. Chi quốc phòng
Nội dung nhiệm vụ chi của ngân sách Thành phố, phạm vi chi hỗ trợ của ngân sách Thành phố cho quốc phòng theo quy định tại Nghị định của Chính như quy định về quản lý, sử dụng ngân sách và tài sản của Nhà nước đôi với một số hoạt động thuộc lĩnh vực quốc phòng, an ninh; Nghị định 03/2016/NĐ-CP ngày 05/01/2016 của Chính phủ hướng dẫn thực hiện Luật Dân quân tự vệ.
Hàng năm, căn cứ vào nhiệm vụ quốc phòng của Thành phố, chế độ, chính sách chi và khả năng cân đối ngân sách, UBND Thành phố xác định mức phân bổ hợp lý phù hợp trình HĐND Thành phố quyết định.
9. Chi an ninh
Nội dung nhiệm vụ chi của ngân sách Thành phố, phạm vi chi hỗ trợ của ngân sách Thành phố cho an ninh, trật tự, an toàn xã hội và công tác phòng cháy chữa cháy theo quy định tại Nghị định của Chính phủ quy định về quản lý, sử dụng ngân sách và tài sản của Nhà nước đối với một số hoạt động thuộc lĩnh vực quốc phòng, an ninh; Nghị định số 73/2009/NĐ-CP ngày 07/9/2010 của Chính phủ quy định chi tiết thi hành một số điều của Pháp lệnh Công an xã.
Hàng năm, căn cứ vào nhiệm vụ an ninh, trật tự, an toàn xã hội và công tác phòng cháy chữa cháy của Thành phố, chế độ, chính sách chi và khả năng cân đối ngân sách, UBND Thành phố xác định mức phân bổ hợp lý phù hợp trình HĐND Thành phố quyết định.
10. Chi sự nghiệp khoa học công nghệ
Dự toán chi sự nghiệp khoa học công nghệ được bố trí theo chỉ tiêu Trung ương giao, các nhiệm vụ chi nghiên cứu khoa học của Thành phố và khả năng cân đối ngân sách.
11. Chi sự nghiệp kinh tế
Dự toán chi hàng năm được xây dựng trên cơ sở nhiệm vụ chi, định mức kinh tế kỹ thuật, đơn giá theo quy định hiện hành và khả năng cân đối ngân sách.
12. Chi sự nghiệp môi trường
Việc xác định dự toán chi sự nghiệp môi trường hàng năm và trong thời kỳ ổn định của ngân sách Thành phố trên cơ sở:
- Phù hợp với khả năng cân đối ngân sách Thành phố, tăng cường công tác thu hút các nguồn vốn xã hội hóa để giảm chi ngân sách.
- Đảm bảo kinh phí thực hiện các nhiệm vụ theo phân cấp, gồm:
+ Duy trì vệ sinh môi trường trên các đường cao tốc do Thành phố quản lý; quản lý, vận hành và duy trì các khu/nhà máy xử lý chất thải, bãi chôn lấp rác thải sinh hoạt, đất thải tập trung, các trạm trung chuyển chất thải do Thành phố đầu tư.
+ Sự nghiệp môi trường khác: theo quy định tại Khoản 1 Điều 143 Luật Bảo vệ môi trường.
13. Chi thường xuyên khác của ngân sách
Dự toán chi hàng năm được xây dựng trên cơ sở nhiệm vụ cụ thể Thành phố giao, chế độ quy định và khả năng cân đối ngân sách.
14. Chi nghiệp vụ đặc thù, đột xuất thành phố giao; chi mua sắm phương tiện và tài sản cố định; chi sửa chữa lớn cơ sở vật chất
Đối với những nhiệm vụ chi này chưa xác định được định mức phân bổ chi ngân sách. Việc xác định dự toán các khoản chi này thực hiện theo nguyên tắc sau:
- Chi nghiệp vụ đặc thù, đột xuất thành phố giao hàng năm, hoặc đột xuất phục vụ nhiệm vụ chính trị: được bố trí dự toán theo khối lượng nhiệm vụ được giao và chế độ chi tiêu theo quy định hiện hành.
- Chi mua sắm phương tiện và tài sản cố định dùng cho công tác chung (không bao gồm chi mua sắm trang thiết bị văn phòng cho cá nhân đã được bố trí trong định mức phân bổ quản lý hành chính): Dự toán được xác định trên cơ sở tiêu chuẩn định mức, nhu cầu thực tế của đơn vị và khả năng cân đối ngân sách.
- Chi sửa chữa vừa và lớn tài sản cố định: Dự toán được xác định trên cơ sở nhu cầu thực tế hợp lý của đơn vị, các dự án được duyệt theo quy định và khả năng cân đối của ngân sách.
15. Các đơn vị sự nghiệp công thực hiện cơ chế tự chủ theo quy định của Nghị định số 16/2015/NĐ-CP ngày 14/02/2015 của Chính phủ. Đối với các đơn vị do ngân sách nhà nước đảm bảo chi thường xuyên được áp dụng định mức phân bổ chi khác của đơn vị dự toán cấp 2 khối cơ quan hành chính.
II. Định mức phân bổ chi thường xuyên ngân sách cấp quận, huyện, thị xã
1. Định mức phân bổ chi khác ngân sách quản lý hành chính, Đảng, Đoàn thể
|
TT |
Nội dung |
Đơn vị tính |
Định mức |
|
I |
Cơ quan hành chính |
|
|
|
|
Cơ quan hành chính thuộc quận, huyện, thị xã. |
Đồng/biên chế /năm |
50.000.000 |
|
II |
Các tổ chức chính trị - xã hội quận, huyện, thị xã |
|
|
|
1 |
Hội Liên hiệp phụ nữ |
Đồng/biên chế /năm |
60.000.000 |
|
2 |
Hội Cựu Chiến binh |
Đồng/biên chế /năm |
60.000.000 |
|
3 |
Hội Nông dân |
Đồng/biên chế /năm |
60.000.000 |
|
4 |
Đoàn thanh niên cộng sản HCM |
Đồng/biên chế /năm |
60.000.000 |
|
III |
Các cơ quan điều hành chung |
|
|
|
1 |
Các cơ quan Đảng thuộc quận, huyện, thị ủy |
Đồng/biên chế /năm |
65.000.000 |
|
2 |
Văn phòng UBND quận, huyện, thị xã |
Đồng/biên chế /năm |
65.000.000 |
|
3 |
Văn phòng HĐND quận, huyện, thị xã |
Đồng/biên chế /năm |
65.000.000 |
|
4 |
Ủy ban MTTQ quận, huyện, thị xã |
Đồng/biên chế /năm |
65.000.000 |
Một số định mức phân bổ ngân sách của thành phố Hà Nội giai đoạn 2017-2020 đã quy định tại Điểm 1 Mục II thuộc Phần B của Phụ lục số 02 ban hành kèm theo Nghị quyết số 13/2016/NQ-HĐND ngày 05/12/2016 được điều chỉnh tăng theo quy định tại Khoản 1 Điều 1 Nghị quyết số 02/2018/NQ-HĐND ngày 05/07/2018.
Trong đó:
a. Định mức phân bổ trên áp dụng cho khối các phòng, ban thuộc UBND quận, huyện, thị xã; cơ quan thuộc quận ủy, huyện ủy, thị ủy; Văn phòng HĐND, UBND quận, huyện, thị xã, Ủy ban Mặt trận Tổ quốc và các tổ chức chính trị - xã hội; được tính theo biên chế được giao.
b. Định mức phân bổ trên là cơ sở để thực hiện chế độ tự chủ, tự chịu trách nhiệm về sử dụng biên chế và kinh phí quản lý hành chính đối với các cơ quan nhà nước theo Thông tư liên tịch số 71/2014/TTLT-BTC-BNV ngày 30/5/2014 của Liên Bộ; Tài chính - Nội vụ hướng dẫn Nghị định số 130/2005/NĐ-CP ngày 17/10/2005 và Nghị định số 117/2013/NĐ-CP ngày 07/10/2013 của Chính phủ quy định chế độ tự chủ, tự chịu trách nhiệm về sử dụng kinh phí quản lý hành chính đối với các cơ quan nhà nước.
c. Định mức phân bổ nêu trên đảm bảo kinh phí cho các nội dung chi sau:
- Các khoản chi hành chính phục vụ hoạt động thường xuyên bộ máy các cơ quan.
- Các khoản chi nghiệp vụ hàng năm: chi tập huấn bồi dưỡng chuyên môn nghiệp vụ; chi quản lý ngành, lĩnh vực; chi thực hiện chỉ đạo, kiểm tra của ngành; chi công tác tuyên truyền phổ biến giáo dục pháp luật, rà soát, xây dựng và hoàn thiện các văn bản quy phạm pháp luật; chi ứng dụng công nghệ thông tin; chi thực hiện các hoạt động kiểm soát thủ tục hành chính, thực hiện cải cách hành chính; xây dựng, áp dụng, duy trì và cải tiến hệ thống quản lý chất lượng; bồi dưỡng đối với cán bộ công chức, viên chức làm công tác tiếp công dân, xử lý đơn thư khiếu nại tố cáo; bồi dưỡng, cấp trang phục đối với trưởng bộ phận, công chức, lao động hợp đồng làm việc tại bộ phận tiếp nhận hồ sơ và trả kết quả giải quyết thủ tục hành chính; trang phục ngành (không có tính chất đặc thù); kinh phí chỉnh lý tài liệu lưu trữ; kinh phí hoạt động của đảng, đoàn thể và kinh phí đảm bảo hoạt động thường xuyên khác của bộ máy.
- Các khoản kinh phí mua sắm trang thiết bị văn phòng phục vụ hoạt động thường xuyên cho các chức danh, phòng làm việc của chức danh, cán bộ, công chức theo định mức máy móc, thiết bị văn phòng phổ biến6 quy định tại Quyết định số 58/2015/QĐ-TTg ngày 17/11/2015 của Thủ tướng Chính phủ và kinh phí mua sắm công cụ, dụng cụ; kinh phí duy tu, sửa chữa nhỏ thường xuyên tài sản cố định.
d. Định mức phân bổ trên không bao gồm:
- Tiền lương, phụ cấp và các khoản đóng góp theo lương7
- Các khoản chi: Kinh phí đối ứng thực hiện các dự án theo phân cấp; thuê trụ sở; tổ chức đại hội, hội nghị ngành; hoạt động các Ban chỉ đạo, tổ công tác liên ngành; mua ô tô, sửa chữa vừa và sửa chữa lớn trụ sở; mua sắm trang thiết bị chuyên dùng theo các Đề án được cấp có thẩm quyền phê duyệt; các khoản chi đặc thù mang tính chất riêng biệt, các nhiệm vụ chi đặc thù phát sinh không thường xuyên và các khoản chi khác không thuộc định mức phân bổ quy định tại điểm c nêu trên.
e. Các hội có tính chất đặc thù được ngân sách cấp kinh phí hoạt động theo số biên chế được giao, bao gồm chi khác theo định mức của cơ quan hành chính và quỹ tiền lương, phụ cấp, các khoản đóng góp theo thực tế.
f. Các tổ chức chính trị xã hội - nghề nghiệp, tổ chức xã hội, tổ chức xã hội - nghề nghiệp được ngân sách nhà nước hỗ trợ theo nhiệm vụ Nhà nước giao theo quy định của Luật Ngân sách nhà nước.
g. Dự toán chi khác quản lý hành chính, Đảng, đoàn thể các năm tiếp theo trong thời kỳ ổn định (từ năm 2018) được điều chỉnh tăng thêm hàng năm theo tỷ lệ do UBND Thành phố trình HĐND Thành phố quyết định theo khả năng cân đối ngân sách.
6 Quy định tại Mục I Phần A và Mục I Phần B Phụ lục số 03 Quyết định số 58/2015/QĐ-TTg ngày 17/11/2015 của Thủ tướng Chính phủ quy định tiêu chuẩn, định mức, chế độ quản lý, sử dụng máy móc, thiết bị của cơ quan nhà nước, tổ chức, đơn vị sự nghiệp công lập.
7 Quỹ tiền Iươmg, phụ cấp của số biên chế được duyệt, thực có mặt tính đến thời điểm lập dự toán, được xác định trên cơ sở mức lương thực tế theo ngạch, bậc, chức vụ; phụ cấp và các khoản đóng góp theo chế; Quỹ tiền lương, phụ cấp của số biên chế được duyệt nhưng chưa tuyển dụng, được xác định theo mức lương cơ sở, hệ số lương 2,34/biên chế và các khoản đóng góp theo chế độ.
2. Chi sự nghiệp giáo dục, đào tạo, dạy nghề
|
TT |
Nội dung |
Đơn vị tính |
Định mức |
||
|
Định mức |
Trong đó: Chi khác (tối thiểu) |
||||
|
I |
Giáo dục |
|
|
|
|
|
1 |
Khối Mầm non |
Đồng/học sinh /năm |
7.500.000 |
1.800.000 |
|
|
2 |
Khối Tiểu học |
Đồng/học sinh /năm |
5.200.000 |
1.300.000 |
|
|
3 |
Khối THCS |
Đồng/học sinh /năm |
7.200.000 |
1.700.000 |
|
|
4 |
Khối trường khuyết tật8 |
Đồng/học sinh /năm |
14.500.000 |
5.500.000 |
|
|
II |
Đào tạo, dạy nghề |
|
|
|
|
|
1 |
Trung tâm bồi dưỡng chính trị |
|
Thực hiện theo cơ chế tự chủ tại Nghị định 16/2015/NĐ-CP của Chính phủ |
||
|
2 |
Trung tâm Giáo dục nghề nghiệp- Giáo dục thường xuyên |
|
|||
|
3 |
Chi đào tạo, bồi dưỡng cán bộ |
Đồng/người dân/năm |
9.000 |
|
|
|
III |
Chi sự nghiệp giáo dục đào tạo chung |
|
1,5% tổng chi sự nghiệp giáo dục đào tạo |
||
Trong đó:
a. Trường hợp định mức không đảm bảo quỹ tiền lương và chi khác tối thiểu, ngân sách sẽ cấp bù, đảm bảo chi khác không thấp hơn mức tối thiểu.
b. Đối với các trường học nằm trên địa bàn các xã thuộc diện chương trình 135, xã miền núi và xã thuộc bãi giữa Sông Hồng, định mức phân bổ được tính tăng thêm 10% so với định mức nêu trên.
8 Áp dụng đối với học sinh khuyết tật học tại các trường do quận, huyện, thị xã quản lý.
3. Chi sự nghiệp y tế, dân số kế hoạch hóa gia đình
|
TT |
Nội dung |
Đơn vị tính |
Định mức |
|
1 |
Trung tâm dân số kế hoạch hóa gia đình |
|
Thực hiện theo cơ chế tự chủ tại Nghị định 16/2015/NĐ-CP của Chính phủ |
|
2 |
Chi hoạt động sự nghiệp y tế |
|
|
|
- |
Dân số, kế hoạch hóa gia đình (*) |
Đồng/người dân/năm |
4.000 |
|
- |
Chi phòng bệnh, các hoạt động sự nghiệp y tế; phòng chống HIV/AIDS, vệ sinh an toàn thực phẩm |
Đồng/người dân/năm |
5.000 |
(*) Chưa bao gồm thù lao cho cộng tác viên dân số tại các thôn, tổ dân phố.
4. Chi sự nghiệp văn hóa, thể thao, du lịch
|
STT |
Nội dung |
Đơn vị tính |
Định mức |
|
1 |
Hoạt động bộ máy các đơn vị sự nghiệp |
|
Thực hiện theo cơ chế tự chủ tại Nghị định 16/2015/NĐ-CP của Chính phủ |
|
2 |
Hoạt động sự nghiệp văn hóa (*) |
Đồng/người dân /năm |
9.000 |
|
3 |
Hoạt động sự nghiệp thể thao |
Đồng/người dân /năm |
6.000 |
|
4 |
Hoạt động sự nghiệp du lịch |
Đồng/người dân /năm |
2.500 |
(*) Đảm bảo một phần kinh phí cho công tác duy tu, duy trì các di tích theo quy định của Luật Di sản đối với các di tích theo phân cấp quản lý hiện hành và tăng cường kinh phí theo Chương trình số 04-Ctr/TU ngày 26/4/2016 của Thành ủy Hà Nội về phát triển văn hóa-xã hội, nâng cao chất lượng nguồn nhân lực Thủ đô, xây dựng người Hà Nội thanh lịch, văn minh giai đoạn 2016 - 2020.
5. Chi sự nghiệp phát thanh, truyền hình
|
STT |
Nội dung |
Đơn vị tính |
Định mức |
|
1 |
Hoạt động bộ máy của đài |
|
Thực hiện theo cơ chế tự chủ tại Nghị định 16/2015/NĐ-CP |
|
2 |
Hoạt động sự nghiệp phát thanh |
Đồng/đài/năm |
730.000.000 |
6. Chi sự nghiệp đảm bảo xã hội
|
STT |
Nội dung |
Đơn vị tính |
Định mức |
|
1 |
Hoạt động bộ máy các đơn vị sự nghiệp |
|
Thực hiện theo cơ chế tự chủ tại Nghị định 16/2015/NĐ-CP của Chính phủ |
|
2 |
Chi đảm bảo xã hội cho các đối tượng xã hội |
|
Tính theo thực tế đối tượng và chế độ chi |
|
3 |
Các hoạt động xã hội |
Đồng/người dân/năm |
7.500 |
|
4 |
Công tác bảo vệ và chăm sóc trẻ em (*) |
Đồng/người dân/năm |
1.500 |
Trong đó:
a. Định mức phân bổ kinh phí chi đảm bảo xã hội bao gồm kinh phí chi trợ cấp hàng tháng cho các đối tượng bảo trợ xã hội sống tại cộng đồng, chế độ bảo hiểm y tế, chế độ mai táng phí cho các đối tượng9 và các hoạt động đảm bảo xã hội khác theo quy định.
b. Định mức phân bổ kinh phí chi các hoạt động xã hội bao gồm kinh phí chi các hoạt động công tác xã hội, phòng chống tệ nạn xã hội; tổ chức hội nghị, chi khánh tiết; các ngày lễ, tết truyền thống; thăm hỏi, động viên các đối tượng chính sách xã hội; chế độ thăm viếng nghĩa trang, mộ liệt sỹ và các nhiệm vụ chi hoạt động xã hội khác theo quy định.
(*) Chưa bao gồm thù lao cho cộng tác viên dân số làm công tác bảo vệ, chăm sóc trẻ em.
7. Chi quốc phòng
- Định mức phân bổ ngân sách cho các quận, huyện, thị xã có số dân từ 200.000 người trở lên: 13.000 đồng/người/năm (đã bao gồm kinh phí thực hiện Luật Dân quân tự vệ, Nghị định số 03/2016/NĐ-CP ngày 05/01/2016 của Chính phủ và tăng cường kinh phí theo Chương trình 05-Ctr/TU của Thành ủy về tăng cường quốc phòng, an ninh, bảo đảm trật tự, an toàn xã hội trong tình hình mới).
- Đối với những quận, huyện, thị xã có số dân từ 150.000 đến dưới 200.000 người, định mức phân bổ ngân sách được tính theo hệ số 1,2; nhưng tối đa không vượt quá định mức phân bổ của quận, huyện có dân số 200.000 dân.
- Đối với những quận, huyện, thị xã có số dân dưới 150.000 định mức phân bổ ngân sách được tính theo hệ số 1,5; nhưng tối đa không vượt quá định mức phân bổ của quận, huyện có dân số 150.000 dân.
8. Chi an ninh
- Định mức phân bổ ngân sách cho các quận, huyện, thị xã có số dân từ 200.000 người trở lên: 11.000 đồng/người/năm (đã bao gồm kinh phí thực hiện Pháp lệnh Công an xã, Nghị định 73/2009/NĐ-CP ngày 07/9/2009 của Chính phủ quy định chi tiết thi hành một số điều của Pháp lệnh Công an xã, nhiệm vụ phòng cháy chữa cháy theo quy định và tăng cường kinh phí theo Chương trình 05-Ctr/TU của Thành ủy về tăng cường quốc phòng, an ninh, bảo đảm trật tự, an toàn xã hội trong tình hình mới).
- Đối với những quận, huyện, thị xã có số dân từ 150.000 đến dưới 200.000 người, định mức phân bổ ngân sách được tính theo hệ số 1,2. nhưng tối đa không vượt quá định mức phân bổ của quận, huyện có dân số 200.000 dân.
- Đối với những quận, huyện, thị xã có số dân dưới 150.000 định mức phân bổ ngân sách được tính theo hệ số 1,5, nhưng tối đa không vượt quá định mức phân bổ của quận, huyện có dân số 150.000 dân.
9. Chi mua sắm phương tiện, tài sản cố định và sửa chữa lớn tài sản cố định
Bố trí tỷ lệ 3% tổng chi theo định mức các khoản chi thường xuyên của 08 lĩnh vực chi thường xuyên nêu trên.
11. Chi sự nghiệp kinh tế
Bố trí theo tỷ lệ phần trăm (%) trên tổng số chi thường xuyên của 09 lĩnh vực chi thường xuyên theo định mức nêu trên; trong đó, đối với các quận là 6%; đối với các huyện là 10%, thị xã Sơn Tây là 13%.
11. Chi sự nghiệp môi trường
a. Thu gom, vận chuyển rác thải sinh hoạt:
Được xác định trên cơ sở khối lượng nhiệm vụ được giao quản lý, duy trì, đơn giá do UBND Thành phố ban hành và kết quả đấu thầu tập trung lĩnh vực vệ sinh môi trường được cấp có thẩm quyền phê duyệt.
Định mức phân bổ nêu trên không bao gồm kinh phí quản lý, vận hành và duy trì các khu tập kết rác thải sinh hoạt do các huyện, thị xã quản lý theo phân cấp (nếu có). Căn cứ quy mô, công suất thực tế và thời gian hoạt động của khu tập kết rác thải sinh hoạt, định mức kinh tế kỹ thuật, đơn giá chuyên ngành, ngân sách Thành phố bổ sung có mục tiêu cho các huyện, thị xã để thực hiện.
b. Sự nghiệp môi trường khác:
Định mức phân bổ giai đoạn 2017-2020 là 0,5% tổng chi thường xuyên ngân sách cấp huyện để thực hiện các nhiệm vụ chi đã được quy định tại Khoản 2 Điều 143 Luật Bảo vệ môi trường10.
Kinh phí sự nghiệp môi trường khác còn dư sau khi đã đáp ứng đủ các nhiệm vụ chi theo quy định của Luật Bảo vệ môi trường, được sử dụng để chi cho các hoạt động thu gom, vận chuyển rác thải sinh hoạt.
12. Chi thường xuyên khác của ngân sách
Bố trí bằng 1,5% tổng chi thường xuyên của 09 lĩnh vực (từ mục 01 đến mục 09 nêu trên) của ngân sách cấp quận, huyện, thị xã.
9 Áp dụng cho các đối tượng theo quy định tại Quyết định số 290/2005/QĐ-TTg ngày 08/11/2005 của Thủ tướng Chính phủ về chế độ, chính sách đối với một số đối tượng trực tiếp tham gia kháng chiến chống Mỹ cứu nước nhưng chưa được hưởng chính sách của Đảng và Nhà nước; các cựu chiến binh theo quy định tại Nghị định 150/2006/NĐ-CP ngày 12/12/2006 của Chính phủ quy định chi tiết và hướng dẫn thi hành một số điều Pháp lệnh Cựu chiến binh; các cựu thanh niên xung phong theo quy định tại Quyết định số 170/2008/QĐ-TTg ngày 18/12/2008 của Thủ tướng Chính phủ về chế độ đối với thanh niên xung phong thời kỳ kháng chiến chống Pháp; các đối tượng theo quy định tại Quyết định số 62/2011/QĐ-TTg ngày 09/11/2011 của Thủ tướng Chính phủ về chế độ, chính sách đối với đối tượng tham gia chiến tranh bảo vệ tổ quốc, làm nhiệm vụ quốc tế ở Căm-pu-chi-a, giúp bạn Lào sau ngày 30/4/1975 đã phục viên, xuất ngũ, thôi việc; các đối tượng bảo trợ xã hội theo quy định tại Nghị định 136/2013/NĐ-CP ngày 21/10/2013 của Chính phủ quy định chính sách trợ giúp xã hội đối với đối tượng bảo trợ xã hội; dân công hỏa tuyến theo quy định tại Quyết định số 49/2015/QĐ-TTg ngày 14/10/2015 của Thủ tướng Chính phủ về một số chế độ, chính sách đối với dân công hỏa tuyến tham gia kháng chiến chống Pháp, chống Mỹ, chiến tranh bảo vệ Tổ quốc và làm nhiệm vụ quốc tế.
10 Ủy ban nhân dân cấp huyện có trách nhiệm sau:
a) Ban hành theo thẩm quyền quy định, chương trình, kế hoạch về bảo vệ môi trường;
b) Tổ chức thực hiện chiến lược, chương trình, kế hoạch và nhiệm vụ về bảo vệ môi trường;
c) Xác nhận, kiểm tra việc thực hiện kế hoạch bảo vệ môi trường theo thẩm quyền;
d) Hàng năm, tổ chức đánh giá và lập báo cáo công tác bảo vệ môi trường;
đ) Truyền thông, phổ biến, giáo dục chính sách và pháp luật về bảo vệ môi trường;
e) Kiểm tra, thanh tra, xử lý vi phạm pháp luật về bảo vệ môi trường; giải quyết khiếu nại, tố cáo, kiến nghị về bảo vệ môi trường theo quy định của pháp luật về khiếu nại, tố cáo và quy định của pháp luật có liên quan;
g) Phối hợp với Ủy ban nhân dân cấp huyện có liên quan giải quyết các vấn đề môi trường liên huyện;
h) Chỉ đạo công tác quản lý nhà nước về bảo vệ môi trường của Ủy ban nhân dân cấp xã;
i) Chịu trách nhiệm trước Ủy ban nhân dân cấp tỉnh nếu để xảy ra ô nhiễm môi trường nghiêm trọng trên địa bàn.
13. Các đơn vị sự nghiệp công thực hiện cơ chế tự chủ theo quy định của Nghị định số 16/2015/NĐ-CP ngày 14/02/2015 của Chính phủ. Đối với các đơn vị do ngân sách nhà nước đảm bảo chi thường xuyên được áp dụng định mức phân bổ chi khác là 45.000.000 đồng .
Điều chỉnh tăng một số định mức phân bổ ngân sách của thành phố Hà Nội giai đoạn 2017-2020 đã quy định tại Điểm 13 Mục II thuộc Phần B của Phụ lục số 02 ban hành kèm theo Nghị quyết số 13/2016/NQ-HĐND ngày 05/12/2016 theo quy định tại Khoản 1 Điều 1 Nghị quyết số 02/2018/NQ-HĐND ngày 05/07/2018.
14. Các năm tiếp theo trong thời kỳ ổn định (từ năm 2018) các lĩnh vực tính theo định mức được xem xét, điều chỉnh tăng thêm hàng năm theo tỷ lệ do UBND Thành phố trình HĐND quyết định theo khả năng cân đối ngân sách.
III. Định mức chi thường xuyên của ngân sách cấp xã
1. Định mức khoán chi ngân sách xã (để thực hiện chế độ tự chủ)
a. Đối tượng áp dụng:
Bao gồm cán bộ, công chức và những người hoạt động không chuyên trách cấp xã thuộc:
- Văn phòng Hội đồng nhân dân và Ủy ban nhân dân cấp xã.
- Các bộ phận chuyên môn thuộc UBND cấp xã, gồm: Văn phòng - thống kê; Địa chính - xây dựng - đô thị và môi trường (đối với phường, thị trấn) hoặc Địa chính - nông nghiệp - xây dựng và môi trường (đối với xã); Tài chính - kế toán; Tư pháp - hộ tịch; Ban Văn hóa - xã hội; Ban chỉ huy quân sự; Ban Công an (đối với xã), Ban Bảo vệ dân phố (đối với phường, thị trấn).
- Đảng ủy cấp xã: Văn phòng Đảng ủy cấp xã và các Chi Bộ trực thuộc.
- Ủy ban Mặt trận Tổ quốc và các tổ chức chính trị - xã hội: Đoàn Thanh niên Cộng sản Hồ Chí Minh, Hội Liên hiệp phụ nữ, Hội Nông dân, Hội Cựu chiến binh.
b. Nội dung định mức khoán chi ngân sách xã:
Kinh phí quản lý hành chính thực hiện chế độ tự chủ được xác định và giao dự toán hàng năm (theo định mức khoán chi ngân sách xã), bao gồm:
b.1. Giao quỹ tiền lương theo biên chế: Thực hiện giao quỹ tiền lương theo số lượng biên chế được cấp có thẩm quyền giao là cán bộ, công chức và những người hoạt động không chuyên trách ở cấp xã, ở thôn, tổ dân phố11. Về chỉ tiêu biên chế để xác định giao quỹ tiền lương cụ thể như sau:
- Cán bộ, công chức cấp xã: Số lượng cán bộ, công chức được giao tại Quyết định số 57/2010/QĐ-UBND ngày 17/12/2010 của UBND thành phố, cụ thể: Xã, phường, thị trấn loại 1 tối đa 25 người; loại 2 tối đa 23 người; loại 3 tối đa 21 người. Cán bộ, công chức cấp xã được hưởng chế độ tiền lương, phụ cấp; chế độ bảo hiểm xã hội, bảo hiểm y tế (tính theo mức lương cơ sở 1,21 triệu đồng/người/tháng).
- Người hoạt động không chuyên trách ở cấp xã: số lượng người hoạt động không chuyên trách ở cấp xã có 18 chức danh được giao tại Quyết định số 31/2013/QĐ-UBND ngày 6/8/2013 của UBND thành phố, cụ thể: Xã, phường, thị trấn loại 1 tối đa không quá 22 người; loại 2 tối đa không quá 20 người; loại 3 tối đa không quá 19 người.
- Người hoạt động không chuyên trách ở thôn, tổ dân phố: số lượng người hoạt động không chuyên trách ở thôn, tổ dân phố có 07 chức danh được giao tại Quyết định số 31/2013/QĐ-UBND ngày 6/8/2013 của UBND Thành phố.
Người hoạt động không chuyên trách ở cấp xã; ở thôn, tổ dân phố được hưởng chế độ phụ cấp và được hỗ trợ đóng Bảo hiểm xã hội, Bảo hiểm y tế theo quy định.
Căn cứ mức lương ngạch, bậc hoặc chức vụ; các khoản phụ cấp và các khoản đóng góp (BHXH, BHYT, kinh phí công đoàn) để xác định tổng quỹ tiền lương (mức lương cơ sở 1.210.000 đồng).
b.2. Định mức khoán chi hoạt động theo biên chế được duyệt:
- Tiêu thức để xác định mức khoán chi hoạt động thường xuyên (ngoài quỹ lương) theo biên chế được duyệt, gồm:
+ Cán bộ, công chức cấp xã (Xã, phường loại 1 tối đa 25 biên chế; loại 2 là 23 biên chế; loại 3 là 21 biên chế).
+ Người hoạt động không chuyên trách ở cấp xã (Xã, phường loại 1 tối đa 22 biên chế; loại 2 là 20 biên chế; loại 3 là 19 biên chế).
- Toàn bộ chi phí quản lý hành chính nhà nước phục vụ công tác chuyên môn của các đơn vị xã (nêu trên) được xác định theo định mức khoán chi hoạt động thường xuyên theo chỉ tiêu biên chế (được cấp có thẩm quyền giao).
- Định mức khoán chi hoạt động:
+ Cán bộ, công chức cấp xã là 40 triệu/biên chế/năm.
+ Người hoạt động không chuyên trách ở cấp xã là 20 triệu/biên chế/năm.
- Nội dung chi hoạt động thường xuyên trong định mức, gồm: Dịch vụ công cộng (điện, nước, vệ sinh, thuê mướn lao động, tạp vụ...); Vật tư văn phòng (văn phòng phẩm, mua sắm dụng cụ công cụ văn phòng, văn phòng phẩm khác); Thông tin, tuyên truyền, liên lạc (Điện thoại, cước bưu chính, internet, sách, báo, tạp chí, tủ sách pháp luật); Hội nghị, tiếp khách; Công tác phí trong nước; Sửa chữa, duy tu bảo dưỡng tài sản phục vụ chuyên môn; Chỉnh lý tài liệu lưu trữ; Mua sắm trang thiết bị văn phòng phục vụ hoạt động thường xuyên cho các chức danh, phòng làm việc của chức danh cán bộ, công chức theo định mức quy định tại Quyết định 158/2015/QĐ-TTg ngày 17/11/2015 của Thủ tướng Chính phủ; Chi nhiệm vụ chuyên môn: Hàng hóa, vật tư, trang thiết bị kỹ thuật chuyên dụng; In ấn phô tô tài liệu, hồ sơ; Sách tài liệu chế độ dùng chuyên môn; xây dựng, áp dụng, duy trì và cải tiến hệ thống quản lý chất lượng; bồi dưỡng đối với cán bộ công chức, viên chức làm công tác tiếp công dân, xử lý đơn thư khiếu nại tố cáo; bồi dưỡng, cấp trang phục đối với trưởng bộ phận, công chức, lao động hợp đồng làm việc tại bộ phận tiếp nhận hồ sơ và trả kết quả giải quyết thủ tục hành chính; Xây dựng đề án, chương trình và các khoản chi hành chính khác phục vụ hoạt động thường xuyên của bộ máy chính quyền cấp xã.
11 Quy định tại Nghị định số 92/2009/NĐ-CP ngày 22/10/2009, Nghị định số 29/2013/NĐ-CP ngày 8/4/2013 cửa Chính phủ và Quyết định số 31/2013/QĐ-UBND ngày 6/8/2013 của UBND thành phố)
Điều chỉnh tăng một số định mức phân bổ ngân sách của thành phố Hà Nội giai đoạn 2017-2020 đã quy định tại Điểm 1 Mục III thuộc Phần B của Phụ lục số 02 ban hành kèm theo Nghị quyết số 13/2016/NQ-HĐND ngày 05/12/2016 theo quy định tại Khoản 1 Điều 1 Nghị quyết số 02/2018/NQ-HĐND ngày 05/07/2018.
2. Định mức chi thường xuyên khác ngân sách cấp xã
a. Định mức chi thường xuyên khác ngân sách cấp xã được tính giảm dần theo 07 bậc dân số, cụ thể như sau:
(1) Từ 5.000 người dân trở xuống: định mức 200.000 đồng/người dân.
(2) Từ người dân thứ 5.001 đến 10.000: định mức 160.000 đồng/người dân.
(3) Từ người dân thứ 10.001 đến 15.000: định mức 120.000 đồng/người dân.
(4) Từ người dân thứ 15.001 đến 20.000: định mức 60.000 đồng/người dân.
(5) Từ người dân thứ 20.001 đến 25.000: định mức 50.000 đồng/người dân.
(6) Từ người dân thứ 25.001 đến 30.000: định mức 40.000 đồng/người dân.
(7) Từ người dân thứ 30.001 trở lên: định mức 20.000 đồng/dân.
Trường hợp chi thường xuyên khác của các xã, phường, thị trấn tính theo định mức nêu trên thấp hơn 1.000 triệu đồng thì được đảm bảo mức chi ngân sách tối thiểu là 1.000 triệu đồng/xã, phường, thị trấn.
b. Đối với các xã thuộc diện chương trình 135, xã miền núi và xã thuộc bãi giữa Sông Hồng được tính tăng thêm 15% so với định mức phân bổ nêu trên.
c. Định mức chi thường xuyên khác ngân sách cấp xã đảm bảo kinh phí chi các nội dung sau: Hỗ trợ các Hội đặc thù theo quy định của UBND Thành phố; hoạt động Ban thanh tra nhân dân, giám sát cộng đồng; chi công tác dân quân, tự vệ và bảo đảm trật tự an toàn xã hội trên địa bàn xã, phường, thị trấn (theo phân cấp của thành phố); kinh phí thực hiện Luật dân quân tự vệ, Nghị định 03/2016/NĐ-CP ngày 05/01/2016 của Chính phủ và Nghị định 73/2009/NĐ-CP ngày 7/9/2009 của Chính phủ quy định chi tiết thi hành một số điều của Pháp lệnh Công an xã theo phân cấp; hỗ trợ hoạt động thôn, tổ dân phố về xây dựng khu dân cư, tuyên truyền phổ biến giáo dục pháp luật, công tác hòa giải ở cơ sở; chi hoạt động thường xuyên của các Đảng ủy xã, phường (theo Quyết định số 99-QĐ/TW ngày 30/5/2012 của Ban Bí thư Trung ương và Quyết định 1497-QĐ/TU ngày 16/11/2009 của Thành ủy Hà Nội); tổ chức trao tặng huy hiệu Đảng; kinh phí phục vụ hoạt động của HĐND cấp xã (theo Nghị quyết số 04/2016/NQ-HĐND ngày 01/8/2016); kinh phí khoán chi hoạt động của Ủy ban Mặt trận Tổ quốc, các đoàn thể chính trị - xã hội tại xã, phường, thị trấn; hỗ trợ hoạt động Tổ dân vận xã, phường; hỗ trợ trung tâm học tập cộng đồng; hoạt động Ban chỉ đạo xây dựng nông thôn mới của xã; kinh phí đặt báo cho cơ sở thôn, tổ dân phố; kinh phí trang bị phương tiện bảo vệ dân phố; kinh phí chi hỗ trợ cho hoạt động tìm kiếm cứu nạn, khắc phục hậu quả thiên tai, phòng cháy chữa cháy và chi các hoạt động sự nghiệp khác theo phân cấp nhiệm vụ chi của cấp xã.
d. Định mức chi thường xuyên khác ngân sách cấp xã không bao gồm quỹ tiền lương, phụ cấp, trợ cấp và các khoản đóng góp đối với cán bộ không chuyên trách ở thôn, tổ dân phố; trợ cấp cán bộ xã già yếu nghỉ việc.
3. Bổ sung ngoài định mức kinh phí trợ cấp cán bộ xã già yếu nghỉ việc.
4. Các năm tiếp theo trong thời kỳ ổn định (từ năm 2018), định mức tính phân bổ nêu trên được xem xét, điều chỉnh tăng thêm hàng năm theo tỷ lệ do UBND Thành phố trình HĐND quyết định theo khả năng cân đối ngân sách các cấp./.
PHỤ LỤC SỐ 03
TỶ LỆ PHẦN TRĂM (%) PHÂN CHIA NGUỒN THU GIỮA CÁC CẤP NGÂN SÁCH THÀNH PHỐ HÀ NỘI GIAI ĐOẠN 2017-2020
(Kèm theo Nghị quyết số 13/2016/NQ-HĐND ngày 05/12/2016 của HĐND TP)
|
STT |
Nội dung |
NS Trung ương (%) |
NS Thành phố (%) |
NS quận huyện (%) |
NS xã phường thị trấn (%) |
|
A |
CÁC KHOẢN THU TRONG CÂN ĐỐI NSĐP |
|
|
|
|
|
I |
CÁC KHOẢN THU NGÂN SÁCH ĐỊA PHƯƠNG HƯỞNG 100% |
|
|
|
|
|
1 |
Thuế tài nguyên (không kể thuế tài nguyên thu từ hoạt động thăm dò, khai thác dầu, khí) |
|
|
|
|
|
1.1 |
Thuế tài nguyên từ DNNN, DN có vốn đầu tư nước ngoài |
|
100 |
|
|
|
1.2 |
Thuế tài nguyên từ các doanh nghiệp ngoài quốc doanh và hộ sản xuất |
|
|
100 |
|
|
2 |
Lệ phí môn bài |
|
|
|
|
|
2.1 |
Lệ phí môn bài thu từ DNNN; DN có vốn đầu tư nước ngoài đóng trên địa bàn; các cơ sở kinh tế của cơ quan hành chính, sự nghiệp, Đảng, Đoàn thể, lực lượng vũ trang Thành phố. |
|
100 |
|
|
|
2.2 |
Lệ phí môn bài thu từ các doanh nghiệp ngoài quốc doanh (công ty cổ phần, công ty trách nhiệm hữu hạn, doanh nghiệp tư nhân, hợp tác xã,...) |
|
|
100 |
|
|
2.3 |
Lệ phí môn bài từ cá nhân, hộ kinh doanh: |
|
|
|
100 |
|
3 |
Thuế sử dụng đất nông nghiệp |
|
|
|
|
|
3.1 |
Thu các hộ sản xuất tại địa bàn xã, thị trấn |
|
|
|
100 |
|
3.2 |
Thu từ các doanh nghiệp, tổ chức, nông trường, trạm, trại |
|
|
100 |
|
|
4 |
Thuế sử dụng đất phi nông nghiệp |
|
|
|
100 |
|
5 |
Tiền sử dụng đất, sau khi đã trừ phần kinh phí ứng GPMB và đầu tư hạ tầng (trừ thu tiền sử dụng đất gắn với tài sản trên đất do các cơ quan, tổ chức, đơn vị thuộc Trung ương quản lý) |
|
|
|
|
|
5.1 |
Tiền sử dụng đất các dự án di dời theo Quyết định số 09/2007/QĐ-TTg của Thủ tướng Chính phủ và tiền sử dụng đất theo cơ chế đặc thù (1) |
|
100 |
|
|
|
5.2 |
Đối với loại đất có quy mô diện tích từ 5000 m2 trở lên; hoặc đất dưới 5000 m2 tiếp giáp với đường, phố. |
|
|
|
|
|
a |
Tiền sử dụng đất các dự án giao đất (ngoài dự án di dời theo theo Quyết định số 09/2007/QĐ-TTg) |
|
|
|
|
|
|
- Các huyện, thị xã: Sóc Sơn, Ba Vì, Mỹ Đức, Thanh Oai, Phú Xuyên, Ứng Hòa, Chương Mỹ, Thường Tín, Phúc Thọ, Thanh Trì, Sơn Tây |
|
40 |
60 |
|
|
|
- Các huyện: Đông Anh, Gia Lâm, Hoài Đức, Thạch Thất, Quốc Oai, Đan Phượng, Mê Linh |
|
60 |
40 |
|
|
|
- Các quận |
|
70 |
30 |
|
|
b |
Tiền đấu giá quyền sử dụng đất và tiền đất khác |
|
|
|
|
|
|
- Các huyện, thị xã |
|
|
100 |
|
|
|
- Các quận |
|
70 |
30 |
|
|
5.3 |
Đối với loại đất có quy mô diện tích dưới 5000 m2 (nhỏ, lẻ, xen kẹt) không tiếp giáp với đường, phố và tiền đất khác |
|
|
100 |
|
|
6 |
Tiền cho thuê đất, mặt nước (không kể tiền thuê đất, thuê mặt nước từ hoạt động thăm dò, khai thác dầu, khí) |
|
|
|
|
|
6.1 |
Tiền cho thuê mặt đất, mặt nước của DN có vốn đầu tư nước ngoài |
|
100 |
|
|
|
6.2 |
Tiền cho thuê mặt đất, mặt nước (không kể thu từ khu vực doanh nghiệp có vốn đầu tư nước ngoài) |
|
|
100 |
|
|
7 |
Tiền cho thuê và bán nhà ở thuộc sở hữu nhà nước |
|
100 |
|
|
|
8 |
Lệ phí trước bạ |
|
|
|
|
|
8.1 |
Lệ phí trước bạ nhà đất |
|
|
|
|
|
|
- Thu trên địa bàn xã, thị trấn |
|
|
|
100 |
|
|
- Thu trên địa bàn phường |
|
|
70 |
30 |
|
8.2 |
Lệ phí trước bạ xe máy, ô tô, tàu thuyền và tài sản khác |
|
|
|
|
|
|
Quận Hoàn Kiếm |
|
89 |
11 |
|
|
|
Quận Ba Đình |
|
89 |
11 |
|
|
|
Quận Đống Đa |
|
90 |
10 |
|
|
|
Quận Hai Bà Trưng |
|
89 |
11 |
|
|
|
Quận Thanh Xuân |
|
89 |
11 |
|
|
|
Quận Cầu Giấy |
|
89 |
11 |
|
|
|
Quận Nam Từ Liêm |
|
89 |
11 |
|
|
|
Quận Tây Hồ |
|
68 |
32 |
|
|
|
Quận Hoàng Mai |
|
72 |
28 |
|
|
|
Quận Long Biên |
|
79 |
21 |
|
|
|
Các quận, huyện, thị xã còn lại |
|
65 |
35 |
|
|
9 |
Thu từ hoạt động xổ số kiến thiết, kể cả hoạt động xổ số điện toán |
|
100 |
|
|
|
10 |
Các khoản thu hồi vốn của ngân sách địa phương đầu tư tại các tổ chức kinh tế (bao gồm cả gốc và lãi); thu cổ tức, lợi nhuận được chia tại công ty cổ phần, công ty trách nhiệm hữu hạn hai thành viên trở lên có vốn góp của Nhà nước do UBND Thành phố đại diện chủ sở hữu; thu phần lợi nhuận sau thuế còn lại sau khi trích lập các quỹ của doanh nghiệp nhà nước do UBND Thành phố đại diện chủ sở hữu; |
|
100 |
|
|
|
11 |
Thu từ quỹ dự trữ tài chính của Thành phố |
|
100 |
|
|
|
12 |
Thu từ bán tài sản thuộc sở hữu nhà nước |
|
|
|
|
|
|
- Thành phố quản lý |
|
100 |
|
|
|
|
- Cấp huyện quản lý |
|
|
100 |
|
|
|
- Cấp xã quản lý |
|
|
|
100 |
|
13 |
Viện trợ không hoàn lại của các tổ chức quốc tế, các tổ chức khác, các cá nhân ở nước ngoài trực tiếp cho địa phương theo quy định của pháp luật |
|
|
|
|
|
|
- Thành phố |
|
100 |
|
|
|
|
- Cấp huyện |
|
|
100 |
|
|
|
- Xã, phường, thị trấn |
|
|
|
100 |
|
14 |
Phí bảo vệ môi trường (đối với nước thải, đối với khí thải, đối với khai thác khoáng sản) |
|
100 |
|
|
|
15 |
Phí, lệ phí do các cơ quan đơn vị thuộc địa phương tổ chức thu (không kể Lệ phí môn bài, Lệ phí trước bạ, Phí bảo vệ môi trường) |
|
|
|
|
|
|
- Do Thành phố quản lý thu |
|
100 |
|
|
|
|
- Do Quận, huyện, thị xã trực thuộc quản lý thu |
|
|
100 |
|
|
|
- Do Xã, Phường, thị trấn quản lý thu |
|
|
|
100 |
|
|
(Riêng phí thắng cảnh giao UBND TP quyết định cụ thể, phù hợp để đầu tư, bảo vệ khu di tích và tổ chức lễ hội) |
|
|
|
|
|
16 |
Các khoản thu từ xử phạt vi phạm hành chính, phạt, tịch thu khác của ngân sách địa phương theo quy định của pháp luật (phần thuộc ngân sách nhà nước theo quy định) |
|
|
|
|
|
|
- Do cơ quan Trung ương thực hiện và quản lý |
100 |
|
|
|
|
|
- Do cơ quan Thành phố thực hiện và quản lý |
|
100 |
|
|
|
|
- Do cơ quan cấp huyện thực hiện và quản lý |
|
|
100 |
|
|
|
- Do cấp xã, Phường, thị trấn xử thực hiện và quản lý |
|
|
|
100 |
|
17 |
Thu từ tài sản được xác lập quyền sở hữu của Nhà nước do các cơ quan, tổ chức, đơn vị thuộc địa phương xử lý, sau khi trừ đi các chi phí theo quy định của pháp luật |
|
|
|
|
|
|
- Do cơ quan Thành phố thực hiện |
|
100 |
|
|
|
|
- Do cơ quan cấp huyện thực hiện |
|
|
100 |
|
|
|
- Do cấp xã, Phường, thị trấn xử thực hiện |
|
|
|
100 |
|
18 |
Thu từ tiền cấp quyền khai thác khoáng sản phần ngân sách địa phương được hưởng theo quy định của pháp luật; |
|
100 |
|
|
|
19 |
Thu từ quỹ đất công ích và thu hoa lợi công sản khác |
|
|
|
100 |
|
20 |
Tiền bảo vệ, phát triển đất trồng lúa; |
|
100 |
|
|
|
21 |
Tiền đền bù thiệt hại đất |
|
|
|
|
|
|
- Thu tiền đền bù thiệt hại khi Nhà nước thu hồi đất đối với đất thuộc thành phố quản lý. |
|
100 |
|
|
|
|
- Thu tiền đền bù thiệt hại khi Nhà nước thu hồi đất đối với đất thuộc cấp huyện quản lý. |
|
|
100 |
|
|
|
- Thu tiền đền bù thiệt hại khi Nhà nước thu hồi đất đối với đất thuộc cấp xã quản lý. |
|
|
|
100 |
|
22 |
Huy động đóng góp theo quy định của pháp luật và đóng góp tự nguyện từ các tổ chức, cá nhân. |
|
|
|
|
|
|
- Thành phố |
|
100 |
|
|
|
|
- Cấp huyện |
|
|
100 |
|
|
|
- Xã, Phường, thị trấn |
|
|
|
100 |
|
23 |
Thu kết dư ngân sách |
|
|
|
|
|
|
- Thành phố |
|
100 |
|
|
|
|
- Cấp huyện |
|
|
100 |
|
|
|
- Xã, Phường, thị trấn |
|
|
|
100 |
|
24 |
Thu khác ngân sách địa phương |
|
|
|
|
|
|
- Thu khác ngân sách cấp Thành phố |
|
100 |
|
|
|
|
- Thu khác ngân sách cấp huyện |
|
|
100 |
|
|
|
- Thu khác xã, phường, thị trấn |
|
|
|
100 |
|
II |
CÁC KHOẢN THU PHÂN CHIA VỚI NGÂN SÁCH TRUNG ƯƠNG |
|
|
|
|
|
1 |
Thuế giá trị gia tăng bao gồm cả thuế giá trị gia tăng của các nhà thầu phụ phát sinh từ các hoạt động dịch vụ phục vụ hoạt động thăm dò và khai thác dầu, khí (trừ thuế GTGT thu từ hàng hóa nhập khẩu, thuế GTGT thu từ hoạt động thăm dò, khai thác dầu, khí) |
|
|
|
|
|
1.1 |
Thu từ DNNN Trung ương |
65 |
35 |
|
|
|
1.2 |
Thu từ DNNN Địa phương (không kể thuế GTGT từ hoạt động Xổ số kiến thiết) |
65 |
35 |
|
|
|
1.3 |
Thu từ DN có vốn đầu tư nước ngoài |
65 |
35 |
|
|
|
1.4 |
Thu từ khu vực kinh tế CTN ngoài quốc doanh |
|
|
|
|
|
|
Quận Hoàn Kiếm |
65 |
24 |
11 |
|
|
|
Quận Ba Đình |
65 |
24 |
11 |
|
|
|
Quận Đống Đa |
65 |
25 |
10 |
|
|
|
Quận Hai Bà Trưng |
65 |
24 |
11 |
|
|
|
Quận Thanh Xuân |
65 |
24 |
11 |
|
|
|
Quận Cầu Giấy |
65 |
24 |
11 |
|
|
|
Quận Nam Từ Liêm |
65 |
24 |
11 |
|
|
|
Quận Tây Hồ |
65 |
3 |
32 |
|
|
|
Quận Hoàng Mai |
65 |
7 |
28 |
|
|
|
Quận Long Biên |
65 |
14 |
21 |
|
|
|
Các quận, huyện, thị xã còn lại |
65 |
|
35 |
|
|
2 |
Thuế thu nhập doanh nghiệp, bao gồm cả thuế thu nhập doanh nghiệp của các nhà thầu phụ phát sinh từ các hoạt động dịch vụ phục vụ hoạt động thăm dò và khai thác dầu, khí (trừ thuế thu nhập từ hoạt động thăm dò khai thác dầu khí) |
|
|
|
|
|
2.1 |
Thu từ DNNN Trung ương |
65 |
35 |
|
|
|
2.2 |
Thu từ DNNN Địa phương (Không kể thuế TNDN hoạt động Xổ số kiến thiết) |
65 |
35 |
|
|
|
2.3 |
Thu từ DN Đầu tư nước ngoài |
65 |
35 |
|
|
|
2.4 |
Thu từ khu vực kinh tế CTN ngoài quốc doanh |
|
|
|
|
|
|
Quận Hoàn Kiếm |
65 |
24 |
11 |
|
|
|
Quận Ba Đình |
65 |
24 |
11 |
|
|
|
Quận Đống Đa |
65 |
25 |
10 |
|
|
|
Quận Hai Bà Trưng |
65 |
24 |
11 |
|
|
|
Quận Thanh Xuân |
65 |
24 |
11 |
|
|
|
Quận Cầu Giấy |
65 |
24 |
11 |
|
|
|
Quận Nam Từ Liêm |
65 |
24 |
11 |
|
|
|
Quận Tây Hồ |
65 |
3 |
32 |
|
|
|
Quận Hoàng Mai |
65 |
7 |
28 |
|
|
|
Quận Long Biên |
65 |
14 |
21 |
|
|
|
Các quận, huyện, thị xã còn lại |
65 |
|
35 |
|
|
3 |
Thuế tiêu thụ đặc biệt (không kể TTĐB hàng nhập khẩu) |
|
|
|
|
|
3.1 |
Thu từ DNNN Trung ương |
65 |
35 |
|
|
|
3.2 |
Thu từ DNNN Địa phương (Không kể thuế TTĐB từ hoạt động XSKT) |
65 |
35 |
|
|
|
3.3 |
Thu từ DN có vốn đầu tư nước ngoài |
65 |
35 |
|
|
|
3.4 |
Thu từ khu vực kinh tế CTN ngoài quốc doanh |
|
|
|
|
|
|
Quận Hoàn Kiếm |
65 |
24 |
11 |
|
|
|
Quận Ba Đình |
65 |
24 |
11 |
|
|
|
Quận Đống Đa |
65 |
25 |
10 |
|
|
|
Quận Hai Bà Trưng |
65 |
24 |
11 |
|
|
|
Quận Thanh Xuân |
65 |
24 |
11 |
|
|
|
Quận Cầu Giấy |
65 |
24 |
11 |
|
|
|
Quận Nam Từ Liêm |
65 |
24 |
11 |
|
|
|
Quận Tây Hồ |
65 |
3 |
32 |
|
|
|
Quận Hoàng Mai |
65 |
7 |
28 |
|
|
|
Quận Long Biên |
65 |
14 |
21 |
|
|
|
Các quận, huyện, thị xã còn lại |
65 |
|
35 |
|
|
4 |
Thuế thu nhập cá nhân |
|
|
|
|
|
4.1 |
Thuế thu nhập cá nhân nộp thông qua các doanh nghiệp nhà nước, doanh nghiệp có vốn đầu tư nước ngoài thu qua KBNN Hà Nội |
65 |
35 |
|
|
|
4.2 |
Thuế thu nhập cá nhân giao quận, huyện, thị xã quản lý thu (không bao gồm của các doanh nghiệp nhà nước, doanh nghiệp có vốn đầu tư nước ngoài thu qua KBNN Hà Nội) |
|
|
|
|
|
|
Quận Hoàn Kiếm |
65 |
24 |
11 |
|
|
|
Quận Ba Đình |
65 |
24 |
11 |
|
|
|
Quận Đống Đa |
65 |
25 |
10 |
|
|
|
Quận Hai Bà Trưng |
65 |
24 |
11 |
|
|
|
Quận Thanh Xuân |
65 |
24 |
11 |
|
|
|
Quận Cầu Giấy |
65 |
24 |
11 |
|
|
|
Quận Nam Từ Liêm |
65 |
24 |
11 |
|
|
|
Quận Tây Hồ |
65 |
3 |
32 |
|
|
|
Quận Hoàng Mai |
65 |
7 |
28 |
|
|
|
Quận Long Biên |
65 |
14 |
21 |
|
|
|
Các quận, huyện, thị xã còn lại |
65 |
|
35 |
|
|
5 |
Thuế bảo vệ môi trường (không kể Thuế bảo vệ môi trường thu từ hàng hóa nhập khẩu) |
65 |
35 |
|
|
|
III |
Thu bổ sung từ ngân sách cấp trên |
|
|
|
|
|
|
- Thành phố |
|
100 |
|
|
|
|
- Cấp huyện |
|
|
100 |
|
|
|
- Xã, Phường, thị trấn |
|
|
|
100 |
|
IV |
Thu chuyển nguồn từ ngân sách địa phương năm trước sang ngân sách địa phương năm sau |
|
|
|
|
|
|
- Thành phố |
|
100 |
|
|
|
|
- Cấp huyện |
|
|
100 |
|
|
|
- Xã, phường, thị trấn |
|
|
|
100 |
|
|
|
|
|
|
|
(1) Tiền sử dụng đất quận Hoàng Mai theo cơ chế tại Quyết định số 1867/QĐ-UBND ngày 04/5/2012 của UBND Thành phố; tiền sử dụng đất quận Long Biên theo cơ chế tại văn bản số 160/HĐND-KTNS ngày 28/4/2016 của Thường trực HĐND Thành phố và văn bản số 9954/UBND-KH&ĐT ngày 27/12/2013 của UBND Thành phố; Tiền đấu giá đất tại khu đô thị mới Cầu Giấy.
PHỤ LỤC SỐ 03
TỶ LỆ PHẦN TRĂM (%) PHÂN CHIA NGUỒN THU GIỮA CÁC CẤP NGÂN SÁCH THÀNH PHỐ HÀ NỘI GIAI ĐOẠN 2017-2020
(Kèm theo Nghị quyết số 13/2016/NQ-HĐND ngày 05/12/2016 của HĐND TP)
|
STT |
Nội dung |
NS Trung ương (%) |
NS Thành phố (%) |
NS quận huyện (%) |
NS xã phường thị trấn (%) |
|
A |
CÁC KHOẢN THU TRONG CÂN ĐỐI NSĐP |
|
|
|
|
|
I |
CÁC KHOẢN THU NGÂN SÁCH ĐỊA PHƯƠNG HƯỞNG 100% |
|
|
|
|
|
1 |
Thuế tài nguyên (không kể thuế tài nguyên thu từ hoạt động thăm dò, khai thác dầu, khí) |
|
|
|
|
|
1.1 |
Thuế tài nguyên từ DNNN, DN có vốn đầu tư nước ngoài |
|
100 |
|
|
|
1.2 |
Thuế tài nguyên từ các doanh nghiệp ngoài quốc doanh và hộ sản xuất |
|
|
100 |
|
|
2 |
Lệ phí môn bài |
|
|
|
|
|
2.1 |
Lệ phí môn bài thu từ DNNN; DN có vốn đầu tư nước ngoài đóng trên địa bàn; các cơ sở kinh tế của cơ quan hành chính, sự nghiệp, Đảng, Đoàn thể, lực lượng vũ trang Thành phố. |
|
100 |
|
|
|
2.2 |
Lệ phí môn bài thu từ các doanh nghiệp ngoài quốc doanh (công ty cổ phần, công ty trách nhiệm hữu hạn, doanh nghiệp tư nhân, hợp tác xã,...) |
|
|
100 |
|
|
2.3 |
Lệ phí môn bài từ cá nhân, hộ kinh doanh: |
|
|
|
100 |
|
3 |
Thuế sử dụng đất nông nghiệp |
|
|
|
|
|
3.1 |
Thu các hộ sản xuất tại địa bàn xã, thị trấn |
|
|
|
100 |
|
3.2 |
Thu từ các doanh nghiệp, tổ chức, nông trường, trạm, trại |
|
|
100 |
|
|
4 |
Thuế sử dụng đất phi nông nghiệp |
|
|
|
100 |
|
5 |
Tiền sử dụng đất, sau khi đã trừ phần kinh phí ứng GPMB và đầu tư hạ tầng (trừ thu tiền sử dụng đất gắn với tài sản trên đất do các cơ quan, tổ chức, đơn vị thuộc Trung ương quản lý) |
|
|
|
|
|
5.1 |
Tiền sử dụng đất các dự án di dời theo Quyết định số 09/2007/QĐ-TTg của Thủ tướng Chính phủ và tiền sử dụng đất theo cơ chế đặc thù (1) |
|
100 |
|
|
|
5.2 |
Đối với loại đất có quy mô diện tích từ 5000 m2 trở lên; hoặc đất dưới 5000 m2 tiếp giáp với đường, phố. |
|
|
|
|
|
a |
Tiền sử dụng đất các dự án giao đất (ngoài dự án di dời theo theo Quyết định số 09/2007/QĐ-TTg) |
|
|
|
|
|
|
- Các huyện, thị xã: Sóc Sơn, Ba Vì, Mỹ Đức, Thanh Oai, Phú Xuyên, Ứng Hòa, Chương Mỹ, Thường Tín, Phúc Thọ, Thanh Trì, Sơn Tây |
|
40 |
60 |
|
|
|
- Các huyện: Đông Anh, Gia Lâm, Hoài Đức, Thạch Thất, Quốc Oai, Đan Phượng, Mê Linh |
|
60 |
40 |
|
|
|
- Các quận |
|
70 |
30 |
|
|
b |
Tiền đấu giá quyền sử dụng đất và tiền đất khác |
|
|
|
|
|
|
- Các huyện, thị xã |
|
|
100 |
|
|
|
- Các quận |
|
70 |
30 |
|
|
5.3 |
Đối với loại đất có quy mô diện tích dưới 5000 m2 (nhỏ, lẻ, xen kẹt) không tiếp giáp với đường, phố và tiền đất khác |
|
|
100 |
|
|
6 |
Tiền cho thuê đất, mặt nước (không kể tiền thuê đất, thuê mặt nước từ hoạt động thăm dò, khai thác dầu, khí) |
|
|
|
|
|
6.1 |
Tiền cho thuê mặt đất, mặt nước của DN có vốn đầu tư nước ngoài |
|
100 |
|
|
|
6.2 |
Tiền cho thuê mặt đất, mặt nước (không kể thu từ khu vực doanh nghiệp có vốn đầu tư nước ngoài) |
|
|
100 |
|
|
7 |
Tiền cho thuê và bán nhà ở thuộc sở hữu nhà nước |
|
100 |
|
|
|
8 |
Lệ phí trước bạ |
|
|
|
|
|
8.1 |
Lệ phí trước bạ nhà đất |
|
|
|
|
|
|
- Thu trên địa bàn xã, thị trấn |
|
|
|
100 |
|
|
- Thu trên địa bàn phường |
|
|
70 |
30 |
|
8.2 |
Lệ phí trước bạ xe máy, ô tô, tàu thuyền và tài sản khác |
|
|
|
|
|
|
Quận Hoàn Kiếm |
|
89 |
11 |
|
|
|
Quận Ba Đình |
|
89 |
11 |
|
|
|
Quận Đống Đa |
|
90 |
10 |
|
|
|
Quận Hai Bà Trưng |
|
89 |
11 |
|
|
|
Quận Thanh Xuân |
|
89 |
11 |
|
|
|
Quận Cầu Giấy |
|
89 |
11 |
|
|
|
Quận Nam Từ Liêm |
|
89 |
11 |
|
|
|
Quận Tây Hồ |
|
68 |
32 |
|
|
|
Quận Hoàng Mai |
|
72 |
28 |
|
|
|
Quận Long Biên |
|
79 |
21 |
|
|
|
Các quận, huyện, thị xã còn lại |
|
65 |
35 |
|
|
9 |
Thu từ hoạt động xổ số kiến thiết, kể cả hoạt động xổ số điện toán |
|
100 |
|
|
|
10 |
Các khoản thu hồi vốn của ngân sách địa phương đầu tư tại các tổ chức kinh tế (bao gồm cả gốc và lãi); thu cổ tức, lợi nhuận được chia tại công ty cổ phần, công ty trách nhiệm hữu hạn hai thành viên trở lên có vốn góp của Nhà nước do UBND Thành phố đại diện chủ sở hữu; thu phần lợi nhuận sau thuế còn lại sau khi trích lập các quỹ của doanh nghiệp nhà nước do UBND Thành phố đại diện chủ sở hữu; |
|
100 |
|
|
|
11 |
Thu từ quỹ dự trữ tài chính của Thành phố |
|
100 |
|
|
|
12 |
Thu từ bán tài sản thuộc sở hữu nhà nước |
|
|
|
|
|
|
- Thành phố quản lý |
|
100 |
|
|
|
|
- Cấp huyện quản lý |
|
|
100 |
|
|
|
- Cấp xã quản lý |
|
|
|
100 |
|
13 |
Viện trợ không hoàn lại của các tổ chức quốc tế, các tổ chức khác, các cá nhân ở nước ngoài trực tiếp cho địa phương theo quy định của pháp luật |
|
|
|
|
|
|
- Thành phố |
|
100 |
|
|
|
|
- Cấp huyện |
|
|
100 |
|
|
|
- Xã, phường, thị trấn |
|
|
|
100 |
|
14 |
Phí bảo vệ môi trường (đối với nước thải, đối với khí thải, đối với khai thác khoáng sản) |
|
100 |
|
|
|
15 |
Phí, lệ phí do các cơ quan đơn vị thuộc địa phương tổ chức thu (không kể Lệ phí môn bài, Lệ phí trước bạ, Phí bảo vệ môi trường) |
|
|
|
|
|
|
- Do Thành phố quản lý thu |
|
100 |
|
|
|
|
- Do Quận, huyện, thị xã trực thuộc quản lý thu |
|
|
100 |
|
|
|
- Do Xã, Phường, thị trấn quản lý thu |
|
|
|
100 |
|
|
(Riêng phí thắng cảnh giao UBND TP quyết định cụ thể, phù hợp để đầu tư, bảo vệ khu di tích và tổ chức lễ hội) |
|
|
|
|
|
16 |
Các khoản thu từ xử phạt vi phạm hành chính, phạt, tịch thu khác của ngân sách địa phương theo quy định của pháp luật (phần thuộc ngân sách nhà nước theo quy định) |
|
|
|
|
|
|
- Do cơ quan Trung ương thực hiện và quản lý |
100 |
|
|
|
|
|
- Do cơ quan Thành phố thực hiện và quản lý |
|
100 |
|
|
|
|
- Do cơ quan cấp huyện thực hiện và quản lý |
|
|
100 |
|
|
|
- Do cấp xã, Phường, thị trấn xử thực hiện và quản lý |
|
|
|
100 |
|
17 |
Thu từ tài sản được xác lập quyền sở hữu của Nhà nước do các cơ quan, tổ chức, đơn vị thuộc địa phương xử lý, sau khi trừ đi các chi phí theo quy định của pháp luật |
|
|
|
|
|
|
- Do cơ quan Thành phố thực hiện |
|
100 |
|
|
|
|
- Do cơ quan cấp huyện thực hiện |
|
|
100 |
|
|
|
- Do cấp xã, Phường, thị trấn xử thực hiện |
|
|
|
100 |
|
18 |
Thu từ tiền cấp quyền khai thác khoáng sản phần ngân sách địa phương được hưởng theo quy định của pháp luật; |
|
100 |
|
|
|
19 |
Thu từ quỹ đất công ích và thu hoa lợi công sản khác |
|
|
|
100 |
|
20 |
Tiền bảo vệ, phát triển đất trồng lúa; |
|
100 |
|
|
|
21 |
Tiền đền bù thiệt hại đất |
|
|
|
|
|
|
- Thu tiền đền bù thiệt hại khi Nhà nước thu hồi đất đối với đất thuộc thành phố quản lý. |
|
100 |
|
|
|
|
- Thu tiền đền bù thiệt hại khi Nhà nước thu hồi đất đối với đất thuộc cấp huyện quản lý. |
|
|
100 |
|
|
|
- Thu tiền đền bù thiệt hại khi Nhà nước thu hồi đất đối với đất thuộc cấp xã quản lý. |
|
|
|
100 |
|
22 |
Huy động đóng góp theo quy định của pháp luật và đóng góp tự nguyện từ các tổ chức, cá nhân. |
|
|
|
|
|
|
- Thành phố |
|
100 |
|
|
|
|
- Cấp huyện |
|
|
100 |
|
|
|
- Xã, Phường, thị trấn |
|
|
|
100 |
|
23 |
Thu kết dư ngân sách |
|
|
|
|
|
|
- Thành phố |
|
100 |
|
|
|
|
- Cấp huyện |
|
|
100 |
|
|
|
- Xã, Phường, thị trấn |
|
|
|
100 |
|
24 |
Thu khác ngân sách địa phương |
|
|
|
|
|
|
- Thu khác ngân sách cấp Thành phố |
|
100 |
|
|
|
|
- Thu khác ngân sách cấp huyện |
|
|
100 |
|
|
|
- Thu khác xã, phường, thị trấn |
|
|
|
100 |
|
II |
CÁC KHOẢN THU PHÂN CHIA VỚI NGÂN SÁCH TRUNG ƯƠNG |
|
|
|
|
|
1 |
Thuế giá trị gia tăng bao gồm cả thuế giá trị gia tăng của các nhà thầu phụ phát sinh từ các hoạt động dịch vụ phục vụ hoạt động thăm dò và khai thác dầu, khí (trừ thuế GTGT thu từ hàng hóa nhập khẩu, thuế GTGT thu từ hoạt động thăm dò, khai thác dầu, khí) |
|
|
|
|
|
1.1 |
Thu từ DNNN Trung ương |
65 |
35 |
|
|
|
1.2 |
Thu từ DNNN Địa phương (không kể thuế GTGT từ hoạt động Xổ số kiến thiết) |
65 |
35 |
|
|
|
1.3 |
Thu từ DN có vốn đầu tư nước ngoài |
65 |
35 |
|
|
|
1.4 |
Thu từ khu vực kinh tế CTN ngoài quốc doanh |
|
|
|
|
|
|
Quận Hoàn Kiếm |
65 |
24 |
11 |
|
|
|
Quận Ba Đình |
65 |
24 |
11 |
|
|
|
Quận Đống Đa |
65 |
25 |
10 |
|
|
|
Quận Hai Bà Trưng |
65 |
24 |
11 |
|
|
|
Quận Thanh Xuân |
65 |
24 |
11 |
|
|
|
Quận Cầu Giấy |
65 |
24 |
11 |
|
|
|
Quận Nam Từ Liêm |
65 |
24 |
11 |
|
|
|
Quận Tây Hồ |
65 |
3 |
32 |
|
|
|
Quận Hoàng Mai |
65 |
7 |
28 |
|
|
|
Quận Long Biên |
65 |
14 |
21 |
|
|
|
Các quận, huyện, thị xã còn lại |
65 |
|
35 |
|
|
2 |
Thuế thu nhập doanh nghiệp, bao gồm cả thuế thu nhập doanh nghiệp của các nhà thầu phụ phát sinh từ các hoạt động dịch vụ phục vụ hoạt động thăm dò và khai thác dầu, khí (trừ thuế thu nhập từ hoạt động thăm dò khai thác dầu khí) |
|
|
|
|
|
2.1 |
Thu từ DNNN Trung ương |
65 |
35 |
|
|
|
2.2 |
Thu từ DNNN Địa phương (Không kể thuế TNDN hoạt động Xổ số kiến thiết) |
65 |
35 |
|
|
|
2.3 |
Thu từ DN Đầu tư nước ngoài |
65 |
35 |
|
|
|
2.4 |
Thu từ khu vực kinh tế CTN ngoài quốc doanh |
|
|
|
|
|
|
Quận Hoàn Kiếm |
65 |
24 |
11 |
|
|
|
Quận Ba Đình |
65 |
24 |
11 |
|
|
|
Quận Đống Đa |
65 |
25 |
10 |
|
|
|
Quận Hai Bà Trưng |
65 |
24 |
11 |
|
|
|
Quận Thanh Xuân |
65 |
24 |
11 |
|
|
|
Quận Cầu Giấy |
65 |
24 |
11 |
|
|
|
Quận Nam Từ Liêm |
65 |
24 |
11 |
|
|
|
Quận Tây Hồ |
65 |
3 |
32 |
|
|
|
Quận Hoàng Mai |
65 |
7 |
28 |
|
|
|
Quận Long Biên |
65 |
14 |
21 |
|
|
|
Các quận, huyện, thị xã còn lại |
65 |
|
35 |
|
|
3 |
Thuế tiêu thụ đặc biệt (không kể TTĐB hàng nhập khẩu) |
|
|
|
|
|
3.1 |
Thu từ DNNN Trung ương |
65 |
35 |
|
|
|
3.2 |
Thu từ DNNN Địa phương (Không kể thuế TTĐB từ hoạt động XSKT) |
65 |
35 |
|
|
|
3.3 |
Thu từ DN có vốn đầu tư nước ngoài |
65 |
35 |
|
|
|
3.4 |
Thu từ khu vực kinh tế CTN ngoài quốc doanh |
|
|
|
|
|
|
Quận Hoàn Kiếm |
65 |
24 |
11 |
|
|
|
Quận Ba Đình |
65 |
24 |
11 |
|
|
|
Quận Đống Đa |
65 |
25 |
10 |
|
|
|
Quận Hai Bà Trưng |
65 |
24 |
11 |
|
|
|
Quận Thanh Xuân |
65 |
24 |
11 |
|
|
|
Quận Cầu Giấy |
65 |
24 |
11 |
|
|
|
Quận Nam Từ Liêm |
65 |
24 |
11 |
|
|
|
Quận Tây Hồ |
65 |
3 |
32 |
|
|
|
Quận Hoàng Mai |
65 |
7 |
28 |
|
|
|
Quận Long Biên |
65 |
14 |
21 |
|
|
|
Các quận, huyện, thị xã còn lại |
65 |
|
35 |
|
|
4 |
Thuế thu nhập cá nhân |
|
|
|
|
|
4.1 |
Thuế thu nhập cá nhân nộp thông qua các doanh nghiệp nhà nước, doanh nghiệp có vốn đầu tư nước ngoài thu qua KBNN Hà Nội |
65 |
35 |
|
|
|
4.2 |
Thuế thu nhập cá nhân giao quận, huyện, thị xã quản lý thu (không bao gồm của các doanh nghiệp nhà nước, doanh nghiệp có vốn đầu tư nước ngoài thu qua KBNN Hà Nội) |
|
|
|
|
|
|
Quận Hoàn Kiếm |
65 |
24 |
11 |
|
|
|
Quận Ba Đình |
65 |
24 |
11 |
|
|
|
Quận Đống Đa |
65 |
25 |
10 |
|
|
|
Quận Hai Bà Trưng |
65 |
24 |
11 |
|
|
|
Quận Thanh Xuân |
65 |
24 |
11 |
|
|
|
Quận Cầu Giấy |
65 |
24 |
11 |
|
|
|
Quận Nam Từ Liêm |
65 |
24 |
11 |
|
|
|
Quận Tây Hồ |
65 |
3 |
32 |
|
|
|
Quận Hoàng Mai |
65 |
7 |
28 |
|
|
|
Quận Long Biên |
65 |
14 |
21 |
|
|
|
Các quận, huyện, thị xã còn lại |
65 |
|
35 |
|
|
5 |
Thuế bảo vệ môi trường (không kể Thuế bảo vệ môi trường thu từ hàng hóa nhập khẩu) |
65 |
35 |
|
|
|
III |
Thu bổ sung từ ngân sách cấp trên |
|
|
|
|
|
|
- Thành phố |
|
100 |
|
|
|
|
- Cấp huyện |
|
|
100 |
|
|
|
- Xã, Phường, thị trấn |
|
|
|
100 |
|
IV |
Thu chuyển nguồn từ ngân sách địa phương năm trước sang ngân sách địa phương năm sau |
|
|
|
|
|
|
- Thành phố |
|
100 |
|
|
|
|
- Cấp huyện |
|
|
100 |
|
|
|
- Xã, phường, thị trấn |
|
|
|
100 |
|
|
|
|
|
|
|
(1) Tiền sử dụng đất quận Hoàng Mai theo cơ chế tại Quyết định số 1867/QĐ-UBND ngày 04/5/2012 của UBND Thành phố; tiền sử dụng đất quận Long Biên theo cơ chế tại văn bản số 160/HĐND-KTNS ngày 28/4/2016 của Thường trực HĐND Thành phố và văn bản số 9954/UBND-KH&ĐT ngày 27/12/2013 của UBND Thành phố; Tiền đấu giá đất tại khu đô thị mới Cầu Giấy.
Bạn chưa Đăng nhập thành viên.
Đây là tiện ích dành cho tài khoản thành viên. Vui lòng Đăng nhập để xem chi tiết. Nếu chưa có tài khoản, vui lòng Đăng ký tại đây!
Bạn chưa Đăng nhập thành viên.
Đây là tiện ích dành cho tài khoản thành viên. Vui lòng Đăng nhập để xem chi tiết. Nếu chưa có tài khoản, vui lòng Đăng ký tại đây!