- Tổng quan
- Nội dung
- VB gốc
- Tiếng Anh
- Hiệu lực
- VB liên quan
- Lược đồ
-
Nội dung hợp nhất
Tính năng này chỉ có tại LuatVietnam.vn. Nội dung hợp nhất tổng hợp lại tất cả các quy định còn hiệu lực của văn bản gốc và các văn bản sửa đổi, bổ sung, đính chính... trên một trang. Việc hợp nhất văn bản gốc và những văn bản, Thông tư, Nghị định hướng dẫn khác không làm thay đổi thứ tự điều khoản, nội dung.
Khách hàng chỉ cần xem Nội dung hợp nhất là có thể nắm bắt toàn bộ quy định hiện hành đang áp dụng, cho dù văn bản gốc đã qua nhiều lần chỉnh sửa, bổ sung.
- Tải về
Thông tư 07/2021/TT-BNNPTNT Quy chuẩn kỹ thuật phân cấp và đóng tàu cá dài từ 12 mét đến dưới 24 mét
| Cơ quan ban hành: | Bộ Nông nghiệp và Phát triển nông thôn |
Số công báo:
Số công báo là mã số ấn phẩm được đăng chính thức trên ấn phẩm thông tin của Nhà nước. Mã số này do Chính phủ thống nhất quản lý.
|
Đã biết
|
| Số hiệu: | 07/2021/TT-BNNPTNT | Ngày đăng công báo: |
Đã biết
|
| Loại văn bản: | Thông tư | Người ký: | Phùng Đức Tiến |
|
Ngày ban hành:
Ngày ban hành là ngày, tháng, năm văn bản được thông qua hoặc ký ban hành.
|
26/07/2021 |
Ngày hết hiệu lực:
Ngày hết hiệu lực là ngày, tháng, năm văn bản chính thức không còn hiệu lực (áp dụng).
|
Đã biết
|
|
Áp dụng:
Ngày áp dụng là ngày, tháng, năm văn bản chính thức có hiệu lực (áp dụng).
|
Đã biết
|
Tình trạng hiệu lực:
Cho biết trạng thái hiệu lực của văn bản đang tra cứu: Chưa áp dụng, Còn hiệu lực, Hết hiệu lực, Hết hiệu lực 1 phần; Đã sửa đổi, Đính chính hay Không còn phù hợp,...
|
Đã biết
|
| Lĩnh vực: | Công nghiệp, Nông nghiệp-Lâm nghiệp |
TÓM TẮT THÔNG TƯ 07/2021/TT-BNNPTNT
Ngày 26/7/2021, Bộ Nông nghiệp và Phát triển nông thôn đã ra Thông tư 07/2021/TT-BNNPTNT về việc ban hành “Quy chuẩn kỹ thuật quốc gia về phân cấp và đóng tàu cá có chiều dài lớn nhất từ 12 mét đến dưới 24 mét”.
Theo đó, Quy chuẩn quy định về hoạt động giám sát kỹ thuật, kiểm tra phân cấp tàu cá và các hoạt động liên quan đến thiết kế, đóng mới, cải hoán, phục hồi, sửa chữa, sử dụng tàu cá có chiều dài lớn nhất từ 12m đến dưới 24m. Đồng thời, áp dụng đối với các tổ chức và cá nhân có hoạt động liên quan đến tàu cá gồm: cơ sở đăng kiểm tàu cá, chủ tàu cá, cơ sở thiết kế, đóng mới, cải hoán, phục hồi, sửa chữa tàu cá; cơ sở thiết kế, chế tạo vật liệu và trang thiết bị, máy móc lắp đặt lên tàu.
Bên cạnh đó, khi kiểm tra phân cấp tàu cá đóng mới phải tiến hành kiểm tra thân tàu và trang thiết bị, ổn định, mạn khô, hệ thống máy tàu, trang bị điện, trang bị phòng cháy chữa cháy, trang bị cứu sinh, trang bị hút khô, trang bị vô tuyến điện, trang bị hàng hải, trang bị tín hiệu, trang bị khai thác để đảm bảo rằng các mục tiêu đều thỏa mãn các yêu cầu tương ứng quy định.
Ngoài ra, tất cả các tàu cá đang khai thác phải thực hiện các đợt kiểm tra chu kì sau đây: Kiểm tra hàng năm; Kiểm tra trên đà; Kiểm tra định kỳ. Đối với các tàu vỏ gỗ, đợt kiểm tra hàng năm tiến hành 12 tháng một lần và có thể tiến hành trước hoặc sau ba tháng kể từ ngày hết hạn, nhưng phải đảm bảo chu kỳ kiểm tra không thay đổi.
Thông tư này có hiệu lực kể từ ngày 08/9/2021.
Xem chi tiết Thông tư 07/2021/TT-BNNPTNT có hiệu lực kể từ ngày 08/09/2021
Tải Thông tư 07/2021/TT-BNNPTNT
|
BỘ NÔNG NGHIỆP VÀ PHÁT TRIỂN NÔNG THÔN _________ Số: 07/2021/TT-BNNPTNT |
CỘNG HÒA XÃ HỘI CHỦ NGHĨA VIỆT NAM Độc lập - Tự do - Hạnh phúc ________________________ Hà Nội, ngày 26 tháng 7 năm 2021 |
THÔNG TƯ
Ban hành “Quy chuẩn kỹ thuật quốc gia về phân cấp và đóng tàu cá có chiều dài lớn nhất từ 12 mét đến dưới 24 mét”
____________
Căn cứ Luật Tiêu chuẩn và Quy chuẩn kỹ thuật ngày 29 tháng 6 năm 2006;
Căn cứ Nghị định số 127/2007/NĐ-CP ngày 01 tháng 8 năm 2007 của Chính phủ quy định chi tiết thi hành một số điều của Luật Tiêu chuẩn và Quy chuẩn kỹ thuật;
Căn cứ Nghị định số 15/2017/NĐ-CP ngày 17 tháng 02 năm 2017 của Chính phủ quy định chức năng, nhiệm vụ, quyền hạn và cơ cấu tổ chức của Bộ Nông nghiệp và Phát triển nông thôn;
Theo đề nghị của Tổng cục trưởng Tổng cục Thủy sản và Vụ trưởng Vụ Khoa học công nghệ và Môi trường;
Bộ trưởng Bộ Nông nghiệp và Phát triển nông thôn ban hành quy chuẩn kỹ thuật quốc gia về phân cấp và đóng tàu cá có chiều dài lớn nhất từ 12 mét đến dưới 24 mét.
Điều 1. Ban hành kèm theo Thông tư này quy chuẩn kỹ thuật quốc gia về phân cấp và đóng tàu cá có chiều dài lớn nhất từ 12 mét đến dưới 24 mét.
Mã số: QCVN 02-35:2021/BNNPTNT.
Điều 2. Thông tư này có hiệu lực kể từ ngày 08 tháng 9 năm 2021.
Điều 3. Chánh Văn phòng Bộ, Vụ trưởng Vụ Khoa học công nghệ và Môi trường, Tổng cục trưởng Tổng cục Thủy sản, thủ trưởng các đơn vị có liên quan thuộc Bộ Nông nghiệp và Phát triển nông thôn, thủ trưởng các tổ chức và cá nhân có liên quan chịu trách nhiệm thi hành Thông tư này./.
|
Nơi nhận: - Văn phòng Chính phủ; - Văn phòng Quốc hội; - Văn phòng Chủ tịch nước; - Các Bộ, cơ quan ngang Bộ, cơ quan thuộc Chính phủ; - UBND các tỉnh, thành phố trực thuộc Trung ương; - Cục Kiểm tra văn bản (Bộ Tư pháp); - Cổng TTĐT Chính phủ; Công báo; Website Bộ NN&PTNT; Website Tổng cục Thủy sản; - Lưu: VT, TCTS (100b). |
KT. BỘ TRƯỞNG THỨ TRƯỞNG
Phùng Đức Tiến |
|
CỘNG HÒA XÃ HỘI CHỦ NGHĨA VIỆT NAM
QCVN 02-35:2021/BNNPTNT
QUY CHUẨN KỸ THUẬT QUỐC GIA VỀ PHÂN CẤP VÀ ĐÓNG TÀU CÁ CÓ CHIỀU DÀI LỚN NHẤT TỪ 12M ĐẾN DƯỚI 24M National technical regulations for the classification and construction of fishing vessels of largest length from 12m to less than 24m
HÀ NỘI - 2021
|
QCVN 02-35:2021/BNNPTNT
Lời nói đầu:
|
QCVN 02-35:2021/BNNPTNT do Tổng cục Thủy sản biên soạn và Vụ Khoa học công nghệ và Môi trường trình duyệt, Bộ Khoa học và Công nghệ thẩm định, Bộ Nông nghiệp và Phát triển nông thôn ban hành theo Thông tư số 07/2021/TT-BNNPTNT ngày 26 tháng 07 năm 2021. Quy chuẩn này được biên soạn trên cơ sở Quy phạm phân cấp và đóng tàu cá biển cỡ nhỏ (TCVN 7111:2002). |
QUY CHUẨN KỸ THUẬT QUỐC GIA VỀ PHÂN CẤP VÀ ĐÓNG TÀU CÁ CÓ CHIỀU DÀI LỚN NHẤT TỪ 12M ĐẾN DƯỚI 24M
National technical regulations for the classification and construction of fishing vessels of largest length from 12m to less than 24m
_____________________
I. QUY ĐỊNH CHUNG
General regulations
Chương 1. QUY ĐỊNH CHUNG
1.1. Phạm vi điều chỉnh và đối tượng áp dụng
1.1.1. Phạm vi điều chỉnh
Quy chuẩn này quy định về hoạt động giám sát kỹ thuật/ kiểm tra phân cấp tàu cá và các hoạt động liên quan đến thiết kế, đóng mới, cải hoán, phục hồi, sửa chữa, sử dụng tàu cá có chiều dài lớn nhất từ 12m đến dưới 24m.
1.1.2. Đối tượng áp dụng
Quy chuẩn này áp dụng đối với các tổ chức và cá nhân có hoạt động liên quan đến tàu cá thuộc phạm vi điều chỉnh nêu tại 1.1.1 của Quy chuẩn này, gồm: cơ sở Đăng kiểm tàu cá (viết tắt là “Đăng kiểm”), chủ tàu cá, cơ sở thiết kế, đóng mới, cải hoán, phục hồi, sửa chữa tàu cá; cơ sở thiết kế, chế tạo vật liệu và trang thiết bị, máy móc lắp đặt lên tàu.
1.2. Tài liệu viện dẫn
1.2.1. QCVN 56:2013/BGTVT - Quy chuẩn kỹ thuật quốc gia về phân cấp và đóng tàu làm bằng chất dẻo cốt sợi thủy tinh;
1.2.2. QCVN 64:2013/BGTVT - Quy chuẩn kiểm tra sản phẩm công nghiệp tàu biển;
1.2.3. QCVN 59: 2013/BGTVT Quy chuẩn kỹ thuật quốc gia về hệ thống làm lạnh hàng;
1.2.4. QCVN 21:2015/BGTVT- Quy chuẩn kỹ thuật quốc gia về phân cấp và đóng tàu biển vỏ thép;
1.2.5. QCVN 02-21:2015/BNNPTNT - Quy chuẩn kỹ thuật Quốc gia về trang bị an toàn tàu cá;
1.2.6. QCVN 23: 2016/BGTVT Quy chuẩn kỹ thuật quốc gia về thiết bị nâng trên tàu biển;
1.2.7. TCVN 1072 - 1971 Gỗ - Phân nhóm theo tính chất cơ lý;
1.2.8. TCVN 1073 - 1971 Gỗ tròn - Kích thước cơ bản;
1.2.9. TCVN 1074 - 1971 Gỗ tròn - Khuyết tật;
1.2.10. TCVN 1075 - 1971 Gỗ xẻ - Kích thước cơ bản;
1.2.11. TCVN 1076 - 1971 Gỗ xẻ - Tên gọi và định nghĩa gỗ ở trạng thái độ ẩm 15%.
1.3. Giải thích từ ngữ
Các từ ngữ sử dụng trong Quy chuẩn này được hiểu như sau:
1.3.1. Tàu cá là phương tiện thủy có lắp động cơ hoặc không lắp động cơ, bao gồm: Tàu đánh bắt thủy sản, tàu hậu cần đánh bắt nguồn lợi thủy sản (thu mua, vận chuyển thủy sản; chế biến thủy sản).
1.3.2. Các kích thước cơ bản của tàu được tính bằng mét (m) (Hình 1).

Hình 1. Kích thước và các phần của thân tàu
1.3.2.1. Chiều dài tàu (L) là khoảng cách đo từ mặt trước sống mũi đến đường tâm trục bánh lái trên đường nước chở hàng thiết kế toàn tải hoặc bằng 96% chiều dài đường nước chở hàng thiết kế toàn tải, lấy giá trị nào lớn hơn.
1.3.2.2. Chiều dài lớn nhất (Lmax) là khoảng cách đo từ mép ngoài của sống mũi tới mép ngoài của sống đuôi (đối với tàu vỏ kim loại) hoặc từ mặt ngoài của sống mũi tới mặt ngoài sống đuôi (đối với tàu vỏ vật liệu khác) theo phương nằm ngang tại mặt cắt dọc giữa tàu.
1.3.2.3. Chiều dài tàu để xác định mạn khô (Lf) là 96% chiều dài tàu (L), trên đường nước chở hàng thiết kế toàn tải đo tại 85% chiều cao mạn nhỏ nhất của tàu.
1.3.2.4. Chiều rộng lớn nhất của tàu (Bmax) là khoảng cách nằm ngang đo từ mép ngoài của sườn mạn bên này đến mép ngoài sườn mạn bên kia (với tàu vỏ kim loại) hoặc mặt ngoài vỏ mạn bên này đến mặt ngoài vỏ mạn bên kia (với các vỏ vật liệu khác) ở mặt trên tấm boong mạn tại vị trí rộng nhất của thân tàu.
1.3.2.5. Chiều rộng tàu (B) là khoảng cách nằm ngang đo từ mép ngoài của sườn mạn bên này đến mép ngoài sườn mạn bên kia (với tàu vỏ kim loại) hoặc mặt ngoài vỏ mạn bên này đến mặt ngoài vỏ mạn bên kia (với các vỏ vật liệu khác) ở đường nước thiết kế toàn tải tại mặt cắt ngang giữa tàu.
1.3.2.6. Chiều cao mạn tàu (D) là khoảng cách thẳng đứng đo từ mặt trên của tấm vỏ giữa đáy đến đỉnh xà boong mạn khô ở mạn (đối với tàu vỏ kim loại) hoặc đo từ mặt dưới của tấm vỏ đáy đến mặt trên của tấm boong ở mạn (đối với các vỏ vật liệu khác) tại mặt cắt ngang giữa tàu.
1.3.2.7. Chiều chìm của tàu (d) là khoảng cách thẳng đứng đo từ mặt trên (với tàu vỏ kim loại) hoặc mặt dưới (với các vỏ vật liệu khác) của tấm vỏ đáy đến đường nước thiết kế toàn tải tại mặt cắt ngang giữa tàu.
1.3.2.8. Đường nước thiết kế toàn tải là đường nước ứng với trạng thái tàu đầy tải (có đủ hàng/thuyền viên và dự trữ...) phụ thuộc vào dấu mạn khô đã được ấn định cho tàu.
1.3.2.9. Các phần của thân tàu:
a) Phần đuôi tàu là đoạn từ đường vuông góc đuôi đến 0,3L.
b) Phần giữa tàu là đoạn từ 0,3L đến 0,7L.
c) Phần mũi tàu là đoạn từ 0,7L đến đường vuông góc mũi.
1.3.3. Tàu đang khai thác là tàu cá đang được sử dụng để đánh bắt, dịch vụ thủy sản, thu mua vận chuyển trên biển và chế biến các loại thủy sản cố định hoặc đang di chuyển trên biển.
1.3.4. Tàu đóng mới: Tàu cá được coi là đóng mới nếu quá trình thi công đóng tàu từ khi sống chính (ky) được đặt hoặc giai đoạn đóng mới tương tự đến khi hoàn chỉnh con tàu.
“Giai đoạn đóng mới tương tự” là giai đoạn mà kết cấu được hình thành đã có thể bắt đầu nhận dạng được con tàu và việc lắp đặt con tàu đó đã bắt đầu được ít nhất 1% khối lượng dự tính của tất cả các vật liệu kết cấu.
1.3.5. Tàu được sửa chữa lớn: Tàu cá được coi là sửa chữa lớn nếu như quá trình công nghệ phải thay thế một hoặc các cơ cấu chính của thân tàu mà không làm ảnh hưởng đến tính năng kỹ thuật của tàu như:
1.3.5.1. Thay thế sống chính (ky).
1.3.5.2. Thay thế phần sống mũi.
1.3.5.3. Thay thế phần sống đuôi.
1.3.5.4. Các cơ cấu khung xương được thay thế một khối lượng bằng hoặc lớn hơn 30% toàn bộ cơ cấu thân tàu.
1.3.5.5. Số ván vỏ (đối với tàu gỗ), tôn bao (đối với tàu thép) được thay thế bằng hoặc lớn hơn 40% toàn bộ ván vỏ (gỗ), tôn bao (thép).
1.3.6. Tàu được cải hoán: Tàu cá được coi là cải hoán nếu như những thay đổi (Thay đổi kích thước chính của tàu, thay đổi công dụng hoặc thay đổi nghề, thay đổi máy chính, thay đổi vùng hoạt động) làm ảnh hưởng đến tính năng kỹ thuật của tàu.
1.3.7. Mẫu tàu cá truyền thống (hay mẫu dân gian) là mẫu tàu được đóng và sử dụng lâu năm ở tại một địa phương, được địa phương xây dựng thành mẫu chuẩn dưới dạng hồ sơ thiết kế kỹ thuật và được Đăng kiểm thẩm định, công nhận.
1.3.8. Chủ tàu cá là cá nhân hoặc pháp nhân sở hữu tàu cá.
1.3.9. Cơ sở sản xuất là các cơ sở đóng mới, cải hoán, phục hồi, sửa chữa tàu cá; các cơ sở sản xuất trang thiết bị lắp đặt trên tàu cá.
1.3.10. Nơi trú ẩn là vùng nước tự nhiên hay nhân tạo mà tàu thuyền có thể trú ẩn khi sự an toàn của tàu bị đe dọa.
1.3.11. Nếu không có quy định nào khác, những từ ngữ không có trong các phần của Quy chuẩn này áp dụng theo quy định tại 1.2 Chương 1, Phần 1A, QCVN 21-1:2015/BGTVT.
Chương 2. QUY ĐỊNH VỀ HOẠT ĐỘNG GIÁM SÁT KỸ THUẬT
2.1. Cơ sở tiến hành hoạt động giám sát
2.1.1. Hoạt động giám sát của Đăng kiểm dựa trên cơ sở các quy định của Quy chuẩn này và các quy chuẩn, tiêu chuẩn có liên quan để xác định trạng thái kỹ thuật của tàu, vật liệu, sản phẩm (máy móc, trang thiết bị, ...) dùng trong đóng mới, cải hoán, phục hồi, sửa chữa tàu cá phù hợp với các yêu cầu của Quy chuẩn này.
2.1.2. Vật liệu, máy móc, trang thiết bị đã được Đăng kiểm kiểm tra và thỏa mãn các yêu cầu của Quy chuẩn này và các quy chuẩn khác có liên quan mới được lắp đặt xuống tàu.
2.1.3. Hoạt động giám sát của Đăng kiểm không làm thay công việc của tổ chức kiểm tra chất lượng của cơ sở sản xuất.
2.2. Áp dụng đối với tàu có chiều dài L dưới 12 mét nhưng có chiều dài Lmax lớn nhất từ 12 mét trở lên
Tàu có chiều dài (L) dưới 12 mét, có chiều dài lớn nhất (Lmax) từ 12 mét trở lên được áp dụng đối với tàu có chiều dài 12 mét quy định tại Quy chuẩn này.
2.3. Áp dụng đối với tàu đang đóng mới, trang thiết bị đang chế tạo
Đối với tàu cá đang đóng mới, trang thiết bị đang chế tạo theo hồ sơ kỹ thuật đã được Đăng kiểm thẩm định trước khi Quy chuẩn này có hiệu lực, được thực hiện theo quy định của các quy phạm áp dụng lúc thẩm định các hồ sơ kỹ thuật đó.
2.4. Áp dụng đối với tàu đang khai thác
Việc cải hoán, phục hồi tàu đang khai thác phải được tiến hành trên cơ sở những quy định tại Quy chuẩn này.
2.5. Trường hợp đặc biệt
2.5.1. Cho phép sử dụng vật liệu, kết cấu, trang thiết bị lắp đặt trên tàu khác với các quy định của Quy chuẩn này với điều kiện chúng phải có đặc tính tương đương so với yêu cầu của Quy chuẩn.
Trong trường hợp kể trên, phải trình cho Đăng kiểm những số liệu chứng minh được rằng những vật liệu, kết cấu hoặc những thiết bị và sản phẩm đó thỏa mãn các điều kiện bảo đảm an toàn của tàu, an toàn cho môi trường và bảo đảm an toàn tính mạng con người, hàng hóa khi hoạt động trên biển.
2.5.2. Nếu kết cấu tàu, máy móc, trang thiết bị, vật liệu đã được sử dụng nhưng chưa được công nhận là đã được kiểm nghiệm đầy đủ trong khai thác thì Đăng kiểm có thể yêu cầu tiến hành thí nghiệm đặc biệt trong thời gian đóng tàu, còn trong sử dụng thì có thể rút ngắn thời hạn của kiểm tra định kỳ hoặc tăng khối lượng kiểm tra chúng. Khi cần thiết Đăng kiểm có thể ghi các hạn chế vào các chứng chỉ cấp cho tàu và hồ sơ lưu của tàu. Các hạn chế trên sẽ hết hiệu lực khi có xác nhận của Đăng kiểm rằng các trường hợp ngoại lệ trên thỏa mãn các yêu cầu của Quy chuẩn trong quá trình khai thác.
II. QUY ĐỊNH KỸ THUẬT
Phần 1 - A. QUY ĐỊNH VỀ PHÂN CẤP VÀ GIÁM SÁT KỸ THUẬT TÀU CÁ
Regulations for the Classification and technical supervision
Chương 1. CẤP TÀU
1.1. Nguyên tắc chung
1.1.1. Các tàu cá quy định tại mục 1.1.1 Chương 1, phần I của Quy chuẩn này sẽ được Đăng kiểm trao cấp với các ký hiệu cấp tàu như quy định ở 1.1.2 dưới đây, nếu được Đăng kiểm tiến hành kiểm tra phân cấp thân tàu và trang thiết bị; hệ thống máy tàu; trang bị điện; phương tiện phòng, phát hiện và chữa cháy; phương tiện thoát nạn; ổn định; chống chìm; mạn khô; trang bị an toàn, trang thiết bị khai thác và xác nhận tất cả đều thỏa mãn các yêu cầu của Quy chuẩn này.
1.1.2. Mọi tàu cá đã được Đăng kiểm trao cấp phải duy trì cấp tàu theo các quy định ở Chương 2, Phần 1-B quy chuẩn này.
1.2. Ký hiệu cấp tàu
1.2.1. Ký hiệu cơ bản: *VFR hoặc *VFR hoặc (*) VFR
Trong đó:
1.2.1.1. VFR (Vietnam Fishing Vessels Register): Biểu tượng của Đăng kiểm tàu cá đã thực hiện giám sát, phân cấp tàu cá thỏa mãn các quy định quy chuẩn này.
1.2.1.2. *: Biểu tượng tàu cá được Đăng kiểm tàu cá giám sát trong đóng mới.
1.2.1.3. *: Biểu tượng tàu cá được giám sát trong đóng mới của Tổ chức phân cấp khác được Đăng kiểm tàu cá ủy quyền hoặc công nhận.
1.2.1.4. (*): Biểu tượng tàu cá không được Đăng kiểm tàu cá giám sát trong đóng mới hoặc được giám sát của Tổ chức phân cấp khác chưa được Đăng kiểm tàu cá công nhận.
1.2.2. Thân tàu (Hull)
Thân tàu sẽ được Đăng kiểm trao cấp với ký hiệu và ý nghĩa như sau:
1.2.2.1. *VFRH: Thân tàu có thiết kế được Đăng kiểm thẩm định phù hợp với các quy định của Quy chuẩn này và được được Đăng kiểm kiểm tra phân cấp trong đóng mới phù hợp với thiết kế đã được thẩm định.
1.2.2.2. *VFRH: Thân tàu được Tổ chức phân cấp khác được Đăng kiểm công nhận hoặc ủy quyền thẩm định thiết kế, giám sát kỹ thuật trong đóng mới và sau đó được Đăng kiểm kiểm tra phân cấp thỏa mãn các quy định của Quy chuẩn này.
1.2.2.3. (*) VFRH: Thân tàu không được bất kỳ Tổ chức phân cấp nào (hoặc Tổ chức phân cấp không được Đăng kiểm công nhận) thẩm định thiết kế, giám sát kỹ thuật trong đóng mới, nhưng sau đó được Đăng kiểm kiểm tra phân cấp thỏa mãn các quy định của Quy chuẩn này.
1.2.2.4. Thân tàu được làm bằng vật liệu gỗ hoặc chất dẻo cốt sợi thủy tinh, ký hiệu thân tàu lần lượt lượt thêm chữ G hoặc C, ví dụ: *VFRHG, *VFRHC.
1.2.3. Hệ thống máy tàu (Machinery installation)
Hệ thống máy tàu của tàu tự chạy sẽ được Đăng kiểm trao cấp với ký hiệu và ý nghĩa như sau:
1.2.3.1. *VFRM: Hệ thống máy tàu có thiết kế và được Đăng kiểm thẩm định phù hợp với các quy định của Quy chuẩn này và được Đăng kiểm kiểm tra phân cấp trong chế tạo và lắp đặt lên tàu phù hợp với hồ sơ thiết kế đã được thẩm định.
1.2.3.2. *_VFRM: Hệ thống máy tàu do một tổ chức khác được Đăng kiểm ủy quyền hoặc công nhận tiến hành xét thẩm định thiết kế, kiểm tra trong chế tạo sau đó được Đăng kiểm kiểm tra phân cấp thỏa mãn các quy định của Quy chuẩn này.
1.2.3.3. (*) VFRM: Hệ thống máy tàu không được bất kỳ tổ chức phân cấp nào (hoặc Tổ chức phân cấp không được Đăng kiểm công nhận) thẩm định thiết kế nhưng sau đó được Đăng kiểm kiểm tra phân cấp thỏa mãn các quy định của Quy chuẩn này.
1.2.4. Dấu hiệu bổ sung
1.2.4.1. Thân tàu
a) Nếu tàu cá thoả mãn các quy định của Quy chuẩn này và hoạt động trong vùng biển hạn chế sẽ được bổ sung thêm các dấu hiệu I, II, III vào sau ký hiệu cơ bản của thân tàu với các ý nghĩa sau đây:
(1) Dấu hiệu I: Tàu cá được phép hoạt động ở vùng biển hở hạn chế, cách xa bờ hoặc nơi trú ẩn không quá 200 hải lý.
(2) Dấu hiệu II: Tàu cá được phép hoạt động ở vùng biển hở hạn chế cách bờ hoặc nơi trú ẩn không quá 100 hải lý.
(3) Dấu hiệu III: Tàu cá hoạt động ở vùng biển hở hạn chế, cách bờ hoặc nơi trú ẩn không quá 50 hải lý.
b) Những tàu hoạt động theo nhóm hoặc hoạt động theo tàu mẹ thì vùng hoạt động hạn chế quy định (1), (2) của 1.2.4.1-a có thể mở rộng nhưng không quá bán kính hoạt động của radio liên lạc giữa tàu con và tàu mẹ hoặc giữa tàu thành viên với tàu chỉ huy nhưng không được quá 20 hải lý.
1.2.4.2. Các dấu hiệu quy định tại 1.2.4.1, phải được ghi vào sổ Đăng kiểm của tàu.
1.2.4.3. Máy tàu
Dấu hiệu A được thêm vào sau dấu hiệu cơ bản của máy tàu với ý nghĩa không cần người trực ca thường xuyên trong buồng máy nhưng phải có người trực ca thường xuyên ở buồng điều khiển chính.
1.2.4.4. Dấu hiệu: EXP (experimental) - dấu hiệu thí nghiệm
Dấu hiệu này được thêm vào sau các dấu hiệu nêu ở 1.2.4.1 và 1.2.4.3 đối với các tàu có thí nghiệm về kết cấu, vật liệu, trang bị, nghề nghiệp mới.
1.2.4.5. Dấu hiệu về công dụng (nghề)
Dấu hiệu về công dụng của tàu được ghi vào sau dấu hiệu cơ bản của tàu và được ngăn cách với dấu hiệu cơ bản bởi dấu Tàu lưới vây (V), tàu lưới kéo (K), tàu câu (C), tàu chụp (Ch), tàu lưới rê (R), tàu dịch vụ hậu cần (Dv).
1.3. Duy trì cấp tàu
1.3.1. Tàu cá, trang thiết bị lắp đặt trên tàu cá đã được Đăng kiểm trao cấp phải được Đăng kiểm kiểm tra chu kì hoặc kiểm tra bất thường nhằm duy trì cấp của chúng phù hợp với các yêu cầu của Quy chuẩn này.
1.3.2. Trường hợp tàu hoặc thiết bị đã được phân cấp mà có những thay đổi hoặc sửa chữa có ảnh hưởng đến nội dung kiểm tra trước đó được quy định ở 1.1.1 Chương 1, phần I của Quy chuẩn này thì tàu hoặc trang thiết bị đó phải được Đăng kiểm kiểm tra theo nội dung và khối lượng do Đăng kiểm quy định phù hợp với quy chuẩn này.
1.4. Giấy đề nghị kiểm tra
1.4.1. Việc kiểm tra phân cấp sẽ được Đăng kiểm thực hiện sau khi nhận được giấy đề nghị của chủ tàu hoặc nhà máy đóng tàu.
1.4.2. Việc kiểm tra chu kỳ để duy trì cấp sẽ được Đăng kiểm thực hiện sau khi nhận được Giấy đề nghị kiểm tra của chủ tàu, thuyền trưởng hoặc đại diện của chủ tàu.
1.5. Chứng nhận cấp tàu
1.5.1. Đăng kiểm sẽ chứng nhận cấp tàu trong sổ đăng kiểm tàu cá/tàu công vụ thủy sản nếu tàu được Đăng kiểm kiểm tra phân cấp thỏa mãn các yêu cầu của Quy chuẩn này.
1.5.2. Đăng kiểm sẽ xác nhận vào sổ đăng kiểm tàu cá/tàu công vụ thủy sản để công nhận tính hiệu lực của cấp tàu sau khi đăng kiểm viên kết thúc việc kiểm tra hàng năm hoặc kiểm tra trung gian và xác nhận tàu thỏa mãn các quy định của Quy chuẩn này.
1.5.3. Đăng kiểm sẽ chứng nhận cấp tàu trong sổ đăng kiểm tàu cá/tàu công vụ thủy sản sau khi tàu đã hoàn thành đợt kiểm tra định kỳ, phù hợp với quy định tại 1.1.1. Phần 1- A Chương 1 của Quy chuẩn này, nếu đăng kiểm viên xác nhận thoả mãn các quy định của Quy chuẩn này.
1.5.4. Chứng nhận cấp tàu có hiệu lực trong thời hạn không quá 5 năm tính từ ngày hoàn thành kiểm tra phân cấp hoặc kiểm tra định kỳ.
1.5.5. Lưu giữ, cấp lại và trả lại sổ đăng kiểm tàu cá/tàu công vụ thủy sản.
1.5.5.1. Thuyền trưởng có trách nhiệm lưu giữ sổ đăng kiểm tàu cá/tàu công vụ thủy sản trên tàu và phải trình cho Đăng kiểm khi có yêu cầu.
1.5.5.2. Chủ tàu hoặc thuyền trưởng phải có trách nhiệm yêu cầu Đăng kiểm cấp lại ngay sổ đăng kiểm tàu cá/tàu công vụ thủy sản khi sổ đăng kiểm tàu cá/tàu công vụ thủy sản bị mất hoặc bị rách nát.
1.5.5.3. Chủ tàu hoặc thuyền trưởng phải trả lại Đăng kiểm sổ đăng kiểm tàu cá/tàu công vụ thủy sản khi tàu đã bị thu hồi cấp tàu theo quy định ở 3.2 Phần III, Quy chuẩn này.
1.5.5.4. Chủ tàu hoặc thuyền trưởng phải trả lại Đăng kiểm sổ đăng kiểm tàu cá/tàu công vụ thủy sản khi đã bị mất mà tìm lại được.
1.6. Hồ sơ kiểm tra phân cấp và duy trì cấp tàu
1.6.1. Đăng kiểm phải cấp hồ sơ kỹ thuật cho tàu và thiết bị được lắp đặt trên tàu sau khi đã kết thúc các nội dung kiểm tra phân cấp hoặc kiểm tra duy trì cấp. Các quy định ở 1.5.5 phải được đưa vào hồ sơ kỹ thuật.
Trong trường hợp này, sổ đăng kiểm tàu cá/tàu công vụ thủy sản theo quy định 1.5.5 phải được coi là "Hồ sơ Kỹ thuật".
1.6.2. Các Giấy chứng nhận khác
Nếu có yêu cầu, Đăng kiểm sẽ cấp cho chủ tàu hoặc người đại diện chủ tàu Giấy chứng nhận về các hạng mục, các trang thiết bị lắp đặt trên tàu được ghi trong Sổ quản lý kỹ thuật tàu cá.
Chương 2. KIỂM TRA PHÂN CẤP
2.1. Kiểm tra phân cấp tàu
Để được phân cấp và cấp giấy chứng nhận phân cấp, các tàu cá quy định tại 1.1.1 Chương 1 Phần I của Quy chuẩn này phải được Đăng kiểm kiểm tra với các hình thức kiểm tra:
2.1.1. Kiểm tra lần đầu
Tàu cá quy định tại 1.1.1 Chương 1 Phần I của Quy chuẩn này, phải được Đăng kiểm kiểm tra lần đầu để phân cấp phù hợp với những quy định ở Chương 2, Phần 1-B quy chuẩn này.
2.1.2. Kiểm tra chu kỳ
Tàu cá quy định tại 1.1.1 Chương 1 Phần I của Quy chuẩn này, phải được Đăng kiểm kiểm tra chu kỳ phù hợp với những quy định ở Chương 2, Phần 1-B quy chuẩn này.
2.1.3. Kiểm tra bất thường được quy định tại Chương 3 Phần I của Quy chuẩn này
2.2. Chuẩn bị kiểm tra
2.2.1. Thông báo kiểm tra
Khi cần đưa tàu vào kiểm tra theo yêu cầu của Quy chuẩn này, chủ tàu có trách nhiệm thông báo trước cho Đăng kiểm biết nơi đưa tàu vào kiểm tra, thời gian tiến hành kiểm tra để đăng kiểm viên có thể thực hiện công việc kiểm tra vào thời điểm thích hợp nhất.
2.2.2. Chuẩn bị kiểm tra
2.2.2.1. Chủ tàu phải chịu trách nhiệm thực hiện tất cả công việc chuẩn bị cho đợt kiểm tra phân cấp, kiểm tra chu kỳ, các kiểm tra khác và việc đo chiều dày được quy định trong Phần này cũng như những công việc cần thiết phục vụ cho công việc kiểm tra do đăng kiểm viên yêu cầu. Công việc chuẩn bị phải bao gồm việc bố trí lối đi thuận tiện và an toàn, phương tiện và các hồ sơ cần thiết phục vụ cho công việc kiểm tra, các Giấy chứng nhận và biên bản về việc thực hiện kiểm tra và đo chiều dày, mở kiểm tra thiết bị, gỡ bỏ các chất bẩn/vật cản và làm sạch. Thiết bị kiểm tra, đo và thử mà đăng kiểm viên dựa vào đó để ra các quyết định ảnh hưởng đến cấp tàu phải được xác định và hiệu chuẩn theo tiêu chuẩn được Đăng kiểm công nhận. Tuy nhiên, đăng kiểm viên có thể chấp nhận các dụng cụ đo đơn giản (ví dụ như thước lá, thước dây, dưỡng đo kích thước mối hàn, micrometer) mà không cần xác định hoặc hiệu chuẩn với điều kiện chúng được thiết kế phù hợp với hàng thương mại, bảo dưỡng tốt và định kỳ được so sánh với các mẫu thử hoặc, dụng cụ tương tự. Đăng kiểm viên cũng có thể chấp nhận thiết bị được lắp trên tàu và sử dụng chúng để kiểm tra các trang thiết bị trên tàu (ví dụ như áp kế, nhiệt kế hoặc đồng hồ đo vòng quay) được dựa vào hồ sơ hiệu chuẩn hoặc so với các số đo của các dụng cụ đa năng.
2.2.2.2. Chủ tàu phải bố trí một giám sát viên (sau đây gọi là đại diện của chủ tàu) nắm vững các hạng mục kiểm tra để chuẩn bị tốt công việc phục vụ kiểm tra và giúp đỡ đăng kiểm viên khi có yêu cầu trong suốt quá trình kiểm tra.
2.2.2.3. Trước khi bắt đầu kiểm tra, đăng kiểm viên, đại diện của chủ tàu và đại diện cơ sở sản xuất phải họp để thông qua kế hoạch kiểm tra.
2.2.3. Hoãn kiểm tra
Việc kiểm tra có thể bị hoãn lại nếu như công việc chuẩn bị kiểm tra theo quy định ở 2.2.2.1 chưa hoàn tất, hoặc vắng mặt những người có trách nhiệm tham gia vào đợt kiểm tra theo quy định ở 2.2.2.2 hoặc đăng kiểm viên nhận thấy không đảm bảo an toàn để tiến hành việc kiểm tra.
2.2.4. Khuyến nghị
Thông qua kết quả kiểm tra, nếu thấy cần thiết phải sửa chữa, đăng kiểm viên phải thông báo kết quả kiểm tra cho chủ tàu (hoặc đại diện của chủ tàu). Sau khi nhận được thông báo này, chủ tàu phải tiến hành công việc sửa chữa cần thiết và kết quả sửa chữa phải được đăng kiểm viên kiểm tra xác nhận.
2.2.5. Quy trình thử, sửa chữa hư hỏng và hao mòn
2.2.5.1. Thử tốc độ
Phải tiến hành thử tốc độ tàu nếu vào các đợt kiểm tra định kỳ hoặc bất thường, tàu được hoán cải hoặc sửa chữa có ảnh hưởng tốc độ của tàu. Trong mọi đợt kiểm tra, đăng kiểm viên có thể yêu cầu thử máy chính khi thấy cần thiết.
2.2.5.2. Thử nghiêng lệch
Phải tiến hành thử nghiêng lệch nếu vào các đợt kiểm tra định kỳ, tàu được hoán cải hoặc sửa chữa có ảnh hưởng lớn đến ổn định của tàu. Trong mọi đợt kiểm tra, đăng kiểm viên có thể yêu cầu thử nghiêng lệch khi thấy cần thiết.
2.2.5.3. Sửa chữa hư hỏng và hao mòn
Nếu chiều dày của vật liệu kết cấu thân tàu, kích thước của các trang thiết bị v.v... giảm xuống dưới mức hao mòn và hư hỏng quá giới hạn cho phép, v.v... thì phải được thay bằng kết cấu mới có kích thước bằng kích thước nguyên bản khi đóng mới hoặc bằng kích thước mà Đăng kiểm cho phép.
2.3. Các loại kiểm tra khác
Trường hợp tàu bị tai nạn, đưa vào sửa chữa, cải hoán, tàu quá hạn đăng kiểm theo quy định muốn hoạt động trở lại phải được Đăng kiểm giám sát và kiểm tra xác nhận thỏa mãn các yêu cầu của Quy chuẩn này.
Chương 3. GIÁM SÁT KỸ THUẬT
3.1. Quy định chung
3.1.1. Khối lượng giám sát kỹ thuật và phân cấp tàu
Khi giám sát kỹ thuật và phân cấp tàu, Đăng kiểm thực hiện các công việc sau:
Thẩm định hồ sơ thiết kế theo quy định của Quy chuẩn này và các tiêu chuẩn kỹ thuật có liên quan.
3.1.1.2. Giám sát chế tạo vật liệu và trang thiết bị được dùng để trang bị, sửa chữa tàu cá theo quy định của Quy chuẩn này.
3.1.1.3. Giám sát đóng mới, cải hoán, phục hồi, sửa chữa tàu cá.
3.1.1.4. Kiểm tra chu kỳ tàu đang khai thác.
3.1.1.5. Trao cấp tàu, xác nhận lại cấp tàu, phục hồi cấp tàu; Ghi vào sổ đăng kiểm tàu cá, sổ quản lý kỹ thuật tàu cá và các chứng chỉ khác của Đăng kiểm.
3.1.2. Nguyên tắc giám sát kỹ thuật
3.1.2.1. Cơ sở sản xuất khi yêu cầu Đăng kiểm kiểm tra đóng mới, cải hoán, phục hồi, sửa chữa tàu cá và chế tạo trang thiết bị dùng trong đóng tàu phải đảm bảo điều kiện để Đăng kiểm thực hiện việc kiểm tra theo các quy định của Quy chuẩn này và các tiêu chuẩn có liên quan. Đăng kiểm chỉ kiểm tra, giám sát những cơ sở sản xuất đã được công nhận đủ điều kiện thực hiện.
3.1.2.2. Phương pháp giám sát của Đăng kiểm: đối với các trang thiết bị, vật liệu sản xuất hàng loạt, Đăng kiểm kiểm tra theo phương pháp chọn mẫu ngẫu nhiên, trừ trường hợp giám sát theo quy trình được quy định riêng.
3.1.2.3. Chủ tàu, cơ sở sản xuất có trách nhiệm tạo điều kiện thuận lợi để Đăng kiểm viên tiến hành kiểm tra, thử nghiệm vật liệu và các sản phẩm theo quy định của Quy chuẩn này.
3.1.2.4. Chủ tàu, thuyền trưởng khi yêu cầu Đăng kiểm kiểm tra chu kỳ với những tàu đang khai thác phải đảm bảo đủ các điều kiện để Đăng kiểm thực hiện việc kiểm tra theo quy định của Quy chuẩn này, đồng thời phải báo cáo cho Đăng kiểm biết tất cả sự cố, vị trí hư hỏng, việc sửa chữa tàu cá giữa hai lần kiểm tra.
3.1.2.5. Đăng kiểm có thể từ chối không giám sát kỹ thuật nếu điều kiện thực hiện giám sát không đảm bảo hoặc chủ tàu, cơ sở sản xuất vi phạm có hệ thống các quy định của Quy chuẩn này, vi phạm hợp đồng giám sát hoặc không có mặt các đại diện kể trên.
3.1.2.6. Trường hợp có tranh chấp về kỹ thuật giữa Đăng kiểm và chủ tàu, cơ sở sản xuất, thì chủ tàu, cơ sở sản xuất có quyền kiến nghị lên Đăng kiểm cấp trên. Ý kiến kết luận của người đứng đầu cơ quan Đăng kiểm trung ương là quyết định cuối cùng.
3.1.2.7. Trường hợp phát hiện các sản phẩm đã được cấp giấy chứng nhận nhưng có khuyết tật, Đăng kiểm có quyền yêu cầu khắc phục các khuyết tật đó. Trường hợp các khuyết tật không thể khắc phục thì Đăng kiểm thu hồi, hủy bỏ các giấy chứng nhận đã cấp.
3.2. Hình thức giám sát
Đăng kiểm có thể giám sát trực tiếp hoặc giám sát gián tiếp. Hình thức giám sát sẽ do Đăng kiểm quy định cho từng trường hợp cụ thể.
3.2.1. Giám sát trực tiếp
Giám sát trực tiếp là hình thức giám sát do Đăng kiểm viên trực tiếp thực hiện.
3.2.2. Giám sát gián tiếp
3.2.2.1. Giám sát gián tiếp là hình thức giám sát do cán bộ kỹ thuật của cơ sở sản xuất được Đăng kiểm ủy quyền tiến hành dựa trên các hồ sơ đã được Đăng kiểm thẩm định và các quy định của Quy chuẩn, các tiêu chuẩn có liên quan.
3.2.2.2. Nếu phát hiện người được ủy quyền có vi phạm trong quá trình giám sát hoặc chất lượng giám sát gián tiếp không đạt yêu cầu, Đăng kiểm hủy bỏ kết quả giám sát gián tiếp đó.
3.3. Giám sát chế tạo vật liệu và sản phẩm
3.3.1. Quy định chung
3.3.1.1. Danh mục sản phẩm chịu sự giám sát của Đăng kiểm được quy định trong Quy chuẩn này. Trường hợp cần thiết, Đăng kiểm yêu cầu giám sát việc chế tạo các vật liệu và sản phẩm chưa được quy định trong Quy chuẩn này.
3.3.1.2. Việc sử dụng vật liệu, kết cấu, quy trình công nghệ mới trong đóng mới tàu cá, trong chế tạo vật liệu và sản phẩm mới phải chịu sự giám sát của Đăng kiểm trước khi áp dụng vào sản xuất phải được Đăng kiểm chấp thuận.
3.3.1.3. Tất cả sản phẩm đầu tiên được chế tạo theo hồ sơ kỹ thuật đã được Đăng kiểm thẩm định thì phải tiến hành thử nghiệm dưới sự giám sát của Đăng kiểm tại những trạm thử hoặc phòng thí nghiệm được công nhận. Trường hợp cần thiết, Đăng kiểm yêu cầu thử trong thực tế.
3.3.1.4. Các quy định tại 3.3.1.1, 3.3.1.2 và 3.3.1.3 không áp dụng với các thiết bị vô tuyến điện. Thiết bị vô tuyến điện áp dụng theo quy định tại Mục 2.4, phần II, QCVN 02-21:2015/BNNPTNT.
3.3.2. Công nhận kết quả thử nghiệm của các trạm thử và các phòng thí nghiệm
Đăng kiểm công nhận kết quả thử nghiệm của các trạm thử và phòng thí nghiệm đã được công nhận theo quy định.
3.4. Giám sát đóng mới, cải hoán, phục hồi, sửa chữa của đăng kiểm
3.4.1. Đăng kiểm thực hiện việc giám sát đóng mới, cải hoán, phục hồi, sửa chữa tàu cá theo hồ sơ thiết kế đã được thẩm định.
3.4.2. Theo hướng dẫn giám sát kỹ thuật và điều kiện cụ thể, Đăng kiểm quy định khối lượng kiểm tra, đo đạc và thử nghiệm trong quá trình giám sát.
3.5. Kiểm tra tàu đang khai thác
3.5.1. Trách nhiệm của chủ tàu
3.5.1.1. Tàu đã được phân cấp phải được kiểm tra chu kỳ và kiểm tra bất thường để xác nhận lại cấp tàu đã trao. Hình thức kiểm tra chu kỳ được quy định trong các phần cụ thể của Quy chuẩn này.
3.5.1.2. Chủ tàu có trách nhiệm đưa tàu vào kiểm tra chu kỳ theo đúng thời hạn quy định. Trường hợp xin hoãn kiểm tra, chủ tàu phải thực hiện theo các quy định có liên quan trong các phần tương ứng của Quy chuẩn này.
3.5.2. Lắp đặt sản phẩm mới
Trường hợp lắp đặt lên tàu cá đang khai thác các trang thiết bị mới thuộc phạm vi áp dụng của Quy chuẩn này, phải tuân thủ đầy đủ các quy định ở 3.3.1.
Chương 4. HỒ SƠ KỸ THUẬT
4.1. Hồ sơ thiết kế
4.1.1. Trình thẩm định hồ sơ thiết kế kỹ thuật
4.1.1.1. Hồ sơ thiết kế kỹ thuật của tàu cá, các sản phẩm công nghiệp lắp đặt trên tàu cá phải được Đăng kiểm thẩm định với khối lượng được quy định trong các phần tương ứng của Quy chuẩn này trước khi chế tạo chúng.
4.1.1.2. Đối với tàu cá và các sản phẩm công nghiệp khi đóng mới và chế tạo không có thiết kế kỹ thuật được thẩm định hoặc tàu cá và các sản phẩm công nghiệp có các kết cấu đặc biệt thì Đăng kiểm sẽ căn cứ hồ sơ thiết kế kỹ thuật đóng mới quy định tại mục 1.1.2 chương 1 phần 1-B của Quy chuẩn này để quy định khối lượng hồ sơ kỹ thuật trình thẩm định cho từng trường hợp cụ thể.
4.1.2. Sửa đổi hồ sơ thiết kế đã được thẩm định
Sau khi thiết kế đã được Đăng kiểm thẩm định, nếu người thiết kế muốn thay đổi thiết kế phải trình Đăng kiểm hồ sơ thiết kế sửa đổi để Đăng kiểm thẩm định trước khi tiến hành thi công. Trường hợp tàu đang được đóng mới, cải hoán, hồ sơ thiết kế sửa đổi phải kèm theo yêu cầu của chủ tàu.
4.1.3. Trình thẩm định hồ sơ thiết kế hoàn công
Trong quá trình đóng mới, cải hoán mà có sửa đổi so với thiết kế được thẩm định thì phải lập hồ sơ kỹ thuật hoàn công và phải được Đăng kiểm thẩm định lại trước khi Đăng kiểm trao cấp cho tàu. Khối lượng hồ sơ thiết kế hoàn công và những thay đổi so với hồ sơ thiết kế được thẩm định phải phù hợp theo quy định tại 1.1.2.6 Chương 1, Phần 1-B, Quy chuẩn này.
4.1.4. Trình thẩm định hồ sơ thiết kế cải hoán hoặc phục hồi
Thiết kế cải hoán là thiết kế cho tàu hiện có nhằm mục đích cải tạo hoặc thay đổi một số phần như vỏ, máy, điện, tính năng, công dụng, cấp tàu hoặc khả năng khai thác của tàu đó. Trường hợp thay đổi máy cùng chủng loại (cùng nhãn hiệu, cùng các thông số kỹ thuật...) thì không phải là thiết kế cải hoán.
4.1.5. Những yêu cầu đối với hồ sơ thiết kế kỹ thuật
4.1.5.1. Hồ sơ thiết kế kỹ thuật trình thẩm định phải thể hiện đầy đủ các số liệu cần thiết để chứng minh được rằng chúng hoàn toàn thỏa mãn các quy định của Quy chuẩn này.
4.1.5.2. Bản tính để xác định các thông số và tham số được sử dụng phải phù hợp với các yêu cầu của tiêu chuẩn hoặc theo phương pháp tính đã được Đăng kiểm chấp nhận. Phương án áp dụng tính toán phải đảm bảo chính xác. Những bản tính bằng máy tính phải thực hiện theo chương trình Đăng kiểm công nhận, nếu thấy cần thiết, Đăng kiểm có thể yêu cầu tính toán theo một chương trình khác hoặc phương pháp khác.
4.1.6. Thời gian hiệu lực của hồ sơ thiết kế kỹ thuật đã thẩm định
4.1.6.1. Thời hạn hiệu lực của hồ sơ thiết kế kỹ thuật của tàu cá hoặc của sản phẩm công nghiệp đã được Đăng kiểm thẩm định là 5 năm tính từ ngày thẩm định. Hết thời hạn hiệu lực hồ sơ thiết kế kỹ thuật phải trình thẩm định lại với thời gian 2,5 năm một lần. Kể từ ngày thẩm định sau 2,5 năm thiết kế không được thi công thì thiết kế phải được trình thẩm định lại.
4.1.6.2. Mọi hồ sơ đã được Đăng kiểm thẩm định đều phải được sửa lại theo các thông báo bổ sung, sửa đổi thường kỳ Quy chuẩn của Đăng kiểm khi trình thẩm định thiết kế.
4.2. Các chứng chỉ do Đăng kiểm cấp
Những tàu cá mang cấp của Đăng kiểm do Đăng kiểm kiểm tra xác nhận phải thỏa mãn các yêu cầu của Quy chuẩn thì Đăng kiểm sẽ cấp các biên bản kiểm tra kỹ thuật và các hồ sơ phù hợp với nội dung và kết quả kiểm tra.
4.3. Sổ đăng kiểm tàu cá
Những tàu cá/tàu công vụ thủy sản mang cờ Việt Nam được Đăng kiểm kiểm tra phân cấp nếu thỏa mãn các quy định của Quy chuẩn này và các tiêu chuẩn có liên quan mà tàu phải áp dụng thì tàu sẽ được cấp Giấy chứng nhận an toàn kỹ thuật tàu cá/tàu công vụ thủy sản và Sổ đăng kiểm tàu cá/tàu công vụ thủy sản. Thời hạn hiệu lực của Giấy chứng nhận an toàn kỹ thuật tàu cá/tàu công vụ thủy sản không được vượt quá thời hạn hiệu lực của Chứng nhận cấp tàu.
Phần 1 - B. QUY ĐỊNH VỀ NỘI DUNG KIỂM TRA PHÂN CẤP
Regulationson content of classifications
Chương 1. KIỂM TRA LẦN ĐẦU
1.1. Kiểm tra đóng mới
1.1.1. Yêu cầu chung
Khi kiểm tra phân cấp tàu cá đóng mới phải tiến hành kiểm tra thân tàu và trang thiết bị, ổn định, mạn khô, hệ thống máy tàu, trang bị điện, trang bị phòng cháy chữa cháy, trang bị cứu sinh, trang bị hút khô, trang bị vô tuyến điện, trang bị hàng hải, trang bị tín hiệu, trang bị khai thác để đảm bảo rằng các mục tiêu nêu trên đều thỏa mãn các yêu cầu tương ứng quy định trong Quy chuẩn này.
1.1.2. Hồ sơ kỹ thuật trình thẩm định
Để được Đăng kiểm phân cấp, trước khi thi công đóng mới tàu cá phải trình hồ sơ thiết kế kỹ thuật cho Đăng kiểm thẩm định như sau:
1.1.2.1. Đối với các loại tàu cá có chiều dài từ 15m đến dưới 24m:
a) Phần thân tàu
(1) Thuyết minh chung.
(2) Quy trình thử.
(3) Tính chọn kết cấu.
(4) Bản tính cân bằng, ổn định và mạn khô;
(5) Bản vẽ mạn khô và thước nước, dấu hiệu chở hàng.
(6) Đường hình (trị số tuyến hình của các đường sườn thực tế và sự phù hợp của chúng trên 3 mặt chiếu).
(7) Bố trí chung (cả cắt dọc, boong, các khoang, thượng tầng).
(8) Tỷ lệ bonjean.
(9) Đường cong thủy lực.
(10) Đường cong Pantokaren.
(11) Kết cấu (gồm các bản vẽ: kết cấu cơ bản, phần mũi, sống mũi, phần lái, sống lái, các vách ngang, mặt cắt ngang, cabin).
(12) Sơ đồ các hệ: cầu thang, lan can, cập tàu, cứu sinh, cửa hầm tàu.
(13) Khai triển tôn (tàu vỏ thép).
(14) Bệ máy: gồm bệ máy chính và bệ máy phụ.
(15) Giá đỡ trục chân vịt.
(16) Khoang lạnh.
b) Phần máy
(1) Thuyết minh chung.
(2) Quy trình thử.
(3) Tính dao động xoắn hệ trục (áp dụng trong trường hợp động cơ chính là động cơ đốt trong có công suất lớn hơn 110 kW): Bản tính tần số dao động tự do đối với dao động 1 nút và 2 nút hoặc nhiều nút nếu cần; kết quả tính ứng suất dao động xoắn tại mỗi vòng quay cộng hưởng nằm trong dải vòng quay đến 120% số vòng quay liên tục lớn nhất. Đối với động cơ đi-ê-den, kết quả tính ứng suất dao động xoắn của khuỷu xuất hiện trong dải vòng quay từ 90 đến 120% gây ra bởi cộng hưởng của bậc chính đầu tiên (bậc thứ n hoặc bậc n/2, trong đó n là số xi lanh) có vòng quay tới hạn trên 120% vòng quay liên tục lớn nhất; kết quả tính mô men xoắn lớn nhất do dao động xoắn gây ra trên khớp nối đàn hồi giữa bánh đà và hộp số.
(4) Tính sức bền cánh chân vịt đối với chân vịt thiết kế mới.
(5) Bố trí chung buồng máy.
(6) Lắp đặt máy chính.
(7) Hệ trục: Bản tính hệ trục, tính toán sức bền hệ trục; bản vẽ bố trí hệ trục, bản vẽ lắp kèm theo các chi tiết chính như trục chân vịt, trục trung gian, trục đẩy, ống bao trục và các chi tiết có liên quan, khớp nối trục và bu lông khớp nối, ống lót; trục truyền công suất từ động cơ tới máy công tác.
(8) Chân vịt: Bản vẽ chân vịt; tài liệu, các thông số của chân vịt (công suất liên tục lớn nhất và số vòng quay (vg/ph) liên tục lớn nhất của máy chính, các chi tiết của prôfin cánh, đường kính, bước, tỷ số mặt đĩa, tỷ số bước chân vịt, độ nghiêng hoặc góc nghiêng, số lượng cánh, khối lượng, các đặc tính kỹ thuật của vật liệu). Bản tính chiều dài ép chân vịt lên trục (chỉ yêu cầu khi lắp ép chân vịt).
(9) Thiết bị truyền động của máy chính và các động cơ dẫn động cho các máy phụ: Các số liệu cần thiết để tính toán độ bền các bộ phận chính của thiết bị truyền động (công suất truyền, tốc độ đầu vào và đầu ra...); bản vẽ kết cấu tổng thành và các chi tiết chính; bản tính cơ cấu truyền động.
(10) Hệ thống đường ống toàn tàu: Các bản vẽ (có ghi vật liệu, kích thước, kiểu, áp suất và nhiệt độ thiết kế của ống, van): Sơ đồ hệ thống đường ống toàn tàu, trong buồng máy (nhiên liệu, dầu nhờn, hút khô, nước sinh hoạt, nước làm mát). Bản tính thủy lực các hệ thống ống trên tàu.
(11) Sơ đồ các hệ: Khí nén, khí xả, truyền lệnh, điều khiển từ xa.
(12) Lắp đặt cụm máy phụ.
(13) Lắp đặt các bình khí nén (nếu máy khởi động bằng khí nén).
(14) Bản kê phụ tùng dự trữ.
c) Phần trang thiết bị
(1) Thiết bị neo
(i) Thuyết minh, tính toán.
(ii) Bản vẽ bố trí hệ neo.
(2) Thiết bị lái
(i) Thuyết minh, tính toán.
(ii) Bản vẽ bố trí hệ lái.
(iii) Bản vẽ nhóm trụ lái (bản vẽ lắp kèm theo các chi tiết chính như trục lái, bánh lái, ống bao trục, xéc tơ lái, bích nối, bu lông bích nối và các chi tiết có liên quan).
(3) Trang thiết bị nghề cá
(i) Thuyết minh, tính toán và kiểm nghiệm bền các chi tiết.
(ii) Quy trình thử.
(iii) Bản vẽ bố trí trang thiết bị nghề cá.
(iv) Bản vẽ kết cấu của cơ cấu nâng hạ (kích thước các thành phần kết cấu, đặc điểm kỹ thuật của vật liệu và chi tiết liên kết).
(v) Bản vẽ kết cấu hệ thống truyền động cho máy khai thác.
(vi) Bản vẽ chi tiết, bản vẽ lắp các chi tiết tháo được, các chi tiết cố định của trang thiết bị nghề cá (kích thước, đặc điểm kỹ thuật của vật liệu, kết cấu các chi tiết với thân tàu).
(vii) Sơ đồ hệ thống cấp năng lượng, hệ thống điều khiển, bảo vệ.
(4) Thiết bị lạnh
(i) Thuyết minh, các bản tính nhiệt, thông số kỹ thuật của các máy làm lạnh.
(ii) Bản vẽ bố trí hệ thống lạnh, sơ đồ hệ thống lạnh, các bản vẽ về các bình chịu áp lực, sơ đồ mạng điện của hệ thống làm lạnh và bố trí các thiết bị điện.
(5) Trang bị điện
(i) Thuyết minh, tính toán hệ thống điện; bản tính nguồn điện;
(ii) Sơ đồ hệ thống đi dây điện toàn tàu, trong đó ghi rõ: dòng điện định mức, kiểu và quy cách cáp điện, trị số và dải điều chỉnh của các bộ ngắt mạch, các cầu chì và công tắc.
(iii) Sơ đồ nguyên lý bảng điện chính, bảng điện sự cố và các bảng điện phụ.
(iv) Bản vẽ bố trí mặt trước bảng điện chính và bảng điện sự cố.
(v) Hệ thống chiếu sáng (bao gồm cả đèn hàng hải).
(vi) Hệ thống thông tin liên lạc, tín hiệu, báo động.
(vii) Bản vẽ bố trí thiết bị điện và lắp đặt cáp điện.
(6) Trang bị cứu sinh
(i) Danh mục các thiết bị cứu sinh (bao gồm các thông tin về nhà sản xuất, kiểu loại sản phẩm)
(ii) Bản vẽ bố trí trang bị cứu sinh
(7) Trang bị phòng, phát hiện và chữa cháy
(i) Sơ đồ hệ thống chữa cháy, bản vẽ thể hiện các vật liệu cách nhiệt nơi chúng được lắp đặt.
(ii) Bản kê, mô tả chi tiết các thiết bị phòng, phát hiện và chữa cháy.
(8) Trang bị vô tuyến điện, thiết bị hàng hải
(i) Danh mục các thiết bị vô tuyến điện, thiết bị hàng hải lắp đặt trên tàu (bao gồm các thông tin về nhà sản xuất, kiểu và giấy chứng nhận của thiết bị).
(ii) Sơ đồ khối của các thiết bị vô tuyến điện, thiết bị hàng hải (bao gồm cả kết nối giữa các khối chức năng, bộ nguồn và ăng ten)
(iii) Bản vẽ bố trí thiết bị vô tuyến điện, thiết bị hàng hải và ăng ten
(9) Trang bị tín hiệu
(i) Danh mục các thiết bị tín hiệu (bao gồm các thông tin về nhà sản xuất, kiểu loại sản phẩm)
(ii) Sơ đồ bố trí trang bị tín hiệu
(10) Trang bị chống thủng, chống chìm
(i) Sơ đồ bố trí trang bị chống thủng, chống chìm
(ii) Bản kê trang bị
(11) Hệ chằng buộc
(i) Thuyết minh và tính hệ chằng buộc
(ii) Sơ đồ bố trí hệ chằng buộc
d) Các tài liệu bằng chữ của các trang thiết bị (thuyết minh, bản tính, quy trình thử, bản kê) không nhất thiết phải lập riêng cho từng trang thiết bị, những tài liệu này có thể gộp chung thành một tài liệu cho trang thiết bị.
Đối với các bản vẽ của trang thiết bị và các bản vẽ khác có thể vẽ ghép nhưng phải đảm bảo thể hiện đầy đủ.
đ) Ngoài các bản vẽ và hồ sơ quy định ở 1.2.1.1 trên, phải trình cho đăng kiểm thẩm định: Bản thông báo ổn định và theo quy định ở 1.3.1.1 của Chương này.
1.1.2.2. Đối với các tàu cá có chiều dài từ 12m đến dưới 15m
a) Phần thân tàu: Được miễn giảm các tài liệu sau:
(1) Bản vẽ mạn khô và thước nước, dấu hiệu chở hàng
(2) Tỷ lệ bonjean
(3) Đường cong thủy lực
(4) Đường cong Pantokaren
(5) Sơ đồ các hệ: cầu thang, lan can, cập tàu, cứu sinh, cửa hầm tàu.
b) Phần máy: Được miễn giảm các tài liệu sau:
(1) Tính hệ động lực nếu máy chính có công suất nhỏ hơn 75 kW
(2) Tính hệ trục nếu máy chính có công suất nhỏ hơn 75kW
(3) Sơ đồ các hệ: Khí nén, khí xả, truyền lệnh, điều khiển từ xa
(4) Tính toán thiết bị truyền động.
c) Phần trang thiết bị nghề cá
(1) Thuyết minh, tính toán và quy trình thử.
(2) Bản vẽ bố trí trang thiết bị nghề cá.
(3) Hệ thống lạnh: như quy định tại 1.1.2.1 - c(4).
(4) Các trang thiết bị: Khai thác, hàng hải, cứu sinh, phòng cháy chữa cháy, chằng buộc, vô tuyến điện, tín hiệu phải có thuyết minh về các trang thiết bị, bản vẽ có thể hiện trên bản vẽ Bố trí chung.
1.1.2.3. Đối với tàu gỗ đóng theo mẫu truyền thống:
Tàu cá vỏ gỗ đóng theo mẫu truyền thống phải trình Đăng kiểm hồ sơ thiết kế mẫu được sao duyệt trước khi thi công đóng mới.
1.1.2.4. Đối với tàu cá vỏ gỗ bọc chất dẻo cốt sợi thủy tinh hoặc xi măng lưới thép:
a) Bản vẽ mặt cắt lớp bọc và liên kết giữa lớp bọc với vỏ tàu.
b) Quy trình bọc.
1.1.2.5. Ngoài các hồ sơ và bản vẽ quy định tại 1.1.2.1, 1.1.2.2, 1.1.2.3 và 1.1.2.4 trên, Đăng kiểm có thể yêu cầu trình thẩm định thêm các hồ sơ và bản vẽ khác nếu thấy cần thiết.
1.1.2.6. Các bản vẽ thiết kế hoàn công
Đối với trường hợp trong quá trình thi công, lắp đặt có sửa đổi so với hồ sơ thiết kế kỹ thuật được thẩm định, trước khi Đăng kiểm cấp đầy đủ hồ sơ kỹ thuật cho tàu đi hoạt động, chủ tàu cá phải trình Đăng kiểm các bản vẽ hoàn công với mức giới hạn sửa đổi như sau:
a) Bố trí chung
b) Mặt cắt ngang giữa tàu, các bản vẽ quy cách kích thước (kết cấu cơ bản), các bản vẽ boong, khai triển tôn vỏ (đối với tàu vỏ thép), các vách ngang, bản vẽ bánh lái, trục lái và các bản vẽ các nắp đậy khoang cá.
c) Sơ đồ đường ống dằn và hút khô tàu.
d) Các bản vẽ kết cấu chống cháy.
đ) Bố trí thiết bị chữa cháy.
e) Các bản vẽ và thông tin về tầm nhìn lầu lái.
g) Sơ đồ dung tích khoang két.
1.2. Kiểm tra đóng mới không có sự giám sát của Đăng kiểm
1.2.1. Đối với tàu đóng mới không có sự giám sát của Đăng kiểm, để được phân cấp phải được Đăng kiểm kiểm tra theo quy định tại 1.1.1, Phần1-A và trình cho Đăng kiểm các hồ sơ theo quy định tại 1.1.2, Phần 1 -B.
1.2.2. Khối lượng kiểm tra theo các phần được quy định tại 1.1.1, Phần 1-A sẽ được Đăng kiểm quy định cho từng trường hợp cụ thể.
1.3. Thử nghiêng ngang và thử đường dài
1.3.1. Thử nghiêng lệch
1.3.1.1. Trong kiểm tra phân cấp tàu phải tiến hành thử nghiêng lệch sau khi kết thúc giai đoạn đóng tàu và trước khi thử đường dài. Khi xuất xưởng, trên tàu phải có “bản thông báo ổn định” dựa trên kết quả thử nghiêng lệch và bản thông báo ổn định này phải được Đăng kiểm thẩm định.
1.3.1.2. Khi kiểm tra phân cấp các tàu đã đóng mà không có Đăng kiểm giám sát kỹ thuật, Đăng kiểm có thể sẽ miễn thử nghiêng ngang nếu tàu có bản thông báo ổn định được lập theo kết quả thử nghiêng ngang và tàu không bị sửa chữa hoặc hoán cải v.v. làm thay đổi tính ổn định của tàu.
1.3.1.3. Đăng kiểm có thể miễn thử nghiêng ngang cho từng tàu riêng lẻ nếu có đầy đủ số liệu từ cuộc thử của các tàu đóng cùng loạt hoặc có các biện pháp tương ứng khác được Đăng kiểm chấp nhận.
1.3.2. Thử đường dài
Khi kiểm tra phân cấp phải thử đường dài với sự có mặt của: Đăng kiểm, cơ sở đóng tàu, chủ tàu và cơ quan thiết kế.
Khi thử đường dài, phải tiến hành thử các mục dưới đây trong điều kiện đủ tải, thời tiết tốt và biển lặng và ở vùng biển không bị hạn chế độ sâu đối với chiều chìm. Nếu điều kiện tải trọng không thực hiện đủ thì Đăng kiểm có thể cho phép thử với điều kiện tải trọng thích hợp:
1.3.2.1. Thử tốc độ.
1.3.2.2. Thử lùi.
1.3.2.3. Thử thiết bị lái, thử chuyển từ lái chính sang lái phụ.
1.3.2.4. Thử quay vòng.
1.3.2.5. Thử hoạt động máy chính, máy phụ và các hệ thống phục vụ và được xác nhận rằng không có trục trặc trong quá trình hoạt động của cuộc thử.
1.3.2.6. Thử hoạt động các tời neo.
1.3.2.7. Thử hoạt động hệ thống điều khiển từ xa của máy chính và các hệ thống điều khiển tự động khác nếu có.
1.3.2.8. Thử hoạt động của tất cả các trang thiết bị khác.
1.3.2.9. Thử các mục khác nếu Đăng kiểm thấy cần thiết.
1.3.2.10. Trong trường hợp kiểm tra phân cấp các tàu đóng không có sự giám sát của cơ quan Đăng kiểm nội dung thử đường dài do Đăng kiểm quy định cho từng trường hợp cụ thể.
1.3.3. Thử hoạt động
Khi kiểm tra phân cấp tàu đánh cá phải tiến hành thử hoạt động đánh cá của hệ thống trang thiết bị khai thác.
1.4. Sự có mặt của Đăng kiểm khi kiểm tra
Khi kiểm tra đóng mới, Đăng kiểm phải có mặt trong các bước sau đây:
1.4.1. Khi kiểm tra thân tàu:
Khi tiến hành kiểm tra vật liệu.
1.4.1.2. Khi kiểm tra phóng dạng.
1.4.1.3. Khi vật liệu và các chi tiết được chế tạo xong và được đưa lắp ráp vào thân tàu.
1.4.1.4. Khi lắp ráp khung xương.
1.4.1.5. Khi lắp ráp xong khung xương của tổng đoạn (nếu tàu đóng theo tổng đoạn).
1.4.1.6. Khi lắp ráp hoàn chỉnh khung xương phần thân tàu.
1.4.1.7. Khi lắp ráp tôn vỏ (ván vỏ nếu là tàu gỗ).
1.4.1.8. Khi lắp ráp hoàn chỉnh vỏ bao của tổng đoạn (nếu tàu đóng theo tổng đoạn).
1.4.1.9. Khi lắp ráp hoàn chỉnh tôn vỏ hoặc ván vỏ nếu là tàu gỗ.
1.4.1.10. Khi đấu các tổng đoạn (áp dụng với tàu đóng theo tổng đoạn).
1.4.1.11. Khi kiểm tra chất lượng mối hàn.
1.4.1.12. Khi thử kín nước hoặc thử không phá hủy.
1.4.1.13. Khi kẻ đường nước chở hàng.
1.4.1.14. Trước khi hạ thủy.
1.4.1.15. Khi thử nghiêng ngang.
1.4.1.16. Khi thử tại bến.
1.4.1.17. Khi thử đường dài.
1.4.1.18. Khi đăng kiểm thấy cần thiết.
1.4.2. Kiểm tra hệ thống máy tàu sau:
1.4.2.1. Khi kiểm tra vật liệu chế tạo các chi tiết trong hệ thống máy tàu.
1.4.2.2. Khi lắp đặt các thiết bị động lực quan trọng (máy chính, máy phụ).
1.4.2.3. Khi lắp đặt các trang thiết bị và thử hoạt động chúng.
1.4.2.4. Khi thử tại bến.
1.4.2.5. Khi thử đường dài.
1.4.2.6. Khi Đăng kiểm thấy cần thiết.
1.5. Thử thủy lực và thử kín nước (thử áp lực)
Khi kiểm tra tàu cá trong đóng mới (trừ tàu vỏ gỗ), phải tiến hành thử thủy lực, thử kín nước theo các quy định dưới đây:
1.5.1. Đối với phần thân tàu và trang thiết bị phải theo những quy định ghi ở trong Bảng 1/1-B dưới đây.
1.5.2. Đối với hệ thống máy tàu, tùy theo từng loại thiết bị Đăng kiểm sẽ quy định riêng cho việc thử thủy lực và kín nước theo yêu cầu của Quy chuẩn này và QCVN 21:2015/BGTVT.
Bảng 1/1-B Thử thủy lực
|
STT |
Đối tượng áp dụng |
Loại thử, áp lực hoặc cột áp thử |
Chú thích |
|
1 |
Khoang đuôi, khoang mũi và khoang ống bao trục |
Thử thủy lực có cột nước đến đường nước chở hàng |
Nếu các khoang được sử dụng như két chứa và khó thực hiện việc thử thủy lực trên đà đối với cột nước thử quy định, có thể thay thế thử kín nước bằng thử kín khí |
|
2 |
Khoang xích đặt phía sau vách chống va |
Thử thủy lực có cột nước đến đỉnh của hầm xích |
- |
|
3 |
Vách kín nước, các phần hõm của vách, hầm trục và các hầm kín nước khác |
Thử bằng vòi rồng có áp suất nước không nhỏ hơn 0,2 MPa tại đầu phun |
Khi chúng tạo thành một phần của két sâu hoặc của khoang mũi thì thử theo quy định ở các mục tương ứng trên |
|
4 |
Miệng khoang hàng có nắp kín nước |
Thử bằng vòi rồng có áp suất nước không nhỏ hơn 0,2 MPa tại đầu phun |
Thử khi nắp miệng khoang ở vị trí đóng |
|
5 |
Bánh lái lưu tuyến |
Thử kín nước với áp suất thử bằng 0,05 MPa tại đầu phun |
- |
Chương 2. KIỂM TRA TÀU ĐANG KHAI THÁC
2.1. Yêu cầu chung
2.1.1. Tất cả các tàu cá đang khai thác phải thực hiện các đợt kiểm tra chu kì sau đây:
2.1.1.1. Kiểm tra hàng năm.
2.1.1.2. Kiểm tra trên đà.
2.1.1.3. Kiểm tra định kì.
2.1.2. Tất cả các bước kiểm tra và thử phù hợp với những yêu cầu trong Chương này phải được tiến hành thỏa mãn các yêu cầu của Đăng kiểm trên cơ sở những quy định của Quy chuẩn này và hướng dẫn của Đăng kiểm.
2.1.3. Khi kiểm tra chu kỳ, Đăng kiểm có thể thay đổi các yêu cầu của đợt kiểm tra chu kì được quy định trong Chương này có xét đến kích thước tàu, vùng hoạt động, tuổi tàu, vật liệu thân tàu, kết cấu, kết quả các đợt kiểm tra lần cuối và trạng thái kĩ thuật thực tế của tàu.
2.1.4. Đối với các két bằng thép, nếu lớp sơn bảo vệ còn tốt thì nội dung kiểm tra bên trong hoặc yêu cầu đo chiều dày tôn quy định ở Chương này có thể được Đăng kiểm xem xét và quyết định trong từng trường hợp cụ thể.
2.2. Thời hạn kiểm tra chu kì
2.2.1. Yêu cầu chung
2.2.1.1. Một đợt kiểm tra chu kì quy định tại 2.1.1 được coi là hoàn thành sau khi các đợt kiểm tra chu kì tương ứng cả về thân tàu và hệ thống máy tàu đã được kết thúc, trừ khi có sự thỏa thuận riêng với Đăng kiểm.
2.2.1.2. Thời hạn kiểm tra chu kì được quy định từ 2.2.2 đến 2.2.4 nếu như Đăng kiểm không có quy định nào khác.
2.2.2. Kiểm tra hàng năm
2.2.2.1. Đối với các tàu vỏ thép, FRP hoặc vỏ gỗ có bọc ngoài, các đợt kiểm tra hàng năm tiến hành 12 tháng một lần, các đợt kiểm tra hàng năm phải được tiến hành trong khoảng thời gian ba tháng trước hoặc ba tháng sau tính từ ngày ấn định kiểm tra hàng năm của đợt kiểm tra lần đầu hoặc đợt kiểm tra định kì trước đó nhưng phải đảm bảo chu kỳ kiểm tra không thay đổi.
2.2.2.2. Đối với các tàu vỏ gỗ, đợt kiểm tra hàng năm tiến hành 12 tháng một lần và có thể tiến hành trước hoặc sau ba tháng kể từ ngày hết hạn, nhưng phải đảm bảo chu kỳ kiểm tra không thay đổi.
2.2.3. Kiểm tra trên đà
2.2.3.1. Thời hạn kiểm tra:
a) Kiểm tra trên đà tàu cá phải được tiến hành trong khoảng thời gian không vượt quá 2,5 năm và có thể tiến hành trùng với đợt kiểm tra hàng năm lần hai hoặc lần ba. Trong 5 năm phải kiểm tra trên đà 2 lần, một trong 2 lần đó phải trùng với kiểm tra định kỳ.
b) Khi có yêu cầu của chủ tàu, Đăng kiểm có thể cho phép gia hạn đợt kiểm tra trên đà tàu cá không nhiều hơn 6 tháng tính từ ngày hết hạn, nhưng không làm thay đổi chu kỳ kiểm tra.
2.2.4. Kiểm tra định kì
2.2.4.1. Thời hạn kiểm tra
Kiểm tra định kì phải được thực hiện trong khoảng thời hạn 5 năm. Kiểm tra định kì lần thứ nhất phải được thực hiện trong khoảng thời hạn 5 năm, tính từ ngày kết thúc đóng tàu hoặc tính từ ngày kiểm tra định kì để phân cấp và sau đó cứ năm năm một lần, tính từ ngày kết thúc đợt kiểm tra định kì lần trước.
2.2.4.2. Bắt đầu kiểm tra định kì
Kiểm tra định kì có thể được bắt đầu vào đợt kiểm tra hàng năm lần thứ tư sau đợt kiểm tra phân cấp hoặc sau đợt kiểm tra định kì lần trước và được kéo dài trong cả năm để kết thúc vào ngày kiểm tra hàng năm lần thứ năm. Để chuẩn bị cho đợt kiểm tra định kì, trong lần kiểm tra hàng năm lần thứ tư phải tiến hành đo chiều dày cơ cấu thân tàu, nếu điều kiện thực tế cho phép.
2.2.4.3. Kiểm tra định kì trước thời hạn
Kiểm tra định kì có thể được tiến hành trước thời hạn nhưng không được sớm hơn 12 tháng, trừ khi có thỏa thuận trước với Đăng kiểm.
2.2.4.4. Kết thúc kiểm tra định kì
Nếu đợt kiểm tra định kì mà khối lượng kiểm tra không được kết thúc toàn bộ vào cùng một lúc thì ngày kết thúc đợt kiểm tra định kì sẽ là ngày mà tại đó các yêu cầu kiểm tra về cơ bản đã thỏa mãn.
2.2.4.5. Không cho phép gia hạn thời hạn kiểm tra định kỳ 5 năm của tàu cá.
2.2.5. Kiểm tra trục chân vịt
Kiểm tra trục chân vịt phải được thực hiện trong khoảng thời hạn được quy định ở 2.9.
2.3. Nội dung kiểm tra hàng năm thân tàu
2.3.1. Trong mỗi lần kiểm tra hàng năm vào giữa các đợt kiểm tra định kỳ, phải kiểm tra trạng thái chung của thân tàu và các trang thiết bị theo thực tế cho phép, đồng thời phải lưu ý các điểm sau đây :
2.3.2. Thành miệng khoang hàng và phương tiện đóng kín nắp miệng khoang hàng ở trên boong lộ và bên trong thượng tầng hở, phương tiện đảm bảo kín thời tiết hoặc kín nước của các nắp miệng khoang hàng bằng thép.
2.3.3. Kết cấu vách trước và vách sau của thượng tầng, vách lộ của lầu boong và lối đi lại của thuyền viên và nắp miệng buồng máy cùng các phương tiện đóng kín.
2.3.4. Cửa kín nước và van đóng ở vách kín nước (kể cả thử các cửa kín nước).
2.3.5. Các cửa bốc xếp hàng hóa, cửa trời, các lỗ mở, các lỗ người chui và các lỗ xả, cửa húp lô và các lỗ khoét khác bên dưới boong mạn khô hoặc boong thượng tầng và các phương tiện đóng.
2.3.6. Các thành quầy, ống thông gió đến các buồng phía dưới boong mạn khô hoặc đến các boong thượng tầng kín và ống thông gió trên boong thời tiết cùng với các phương tiện đóng kín chúng.
2.3.7. Lỗ xả nước, các ống xả khác và các van nằm dưới boong mạn khô.
2.3.8. Mạn chắn sóng, lan can bảo vệ, nắp đậy các lỗ thoát nước mặt boong, dây vịn, lối đi và các phương tiện tương tự khác.
2.3.9. Dấu hiệu đường nước chở hàng.
2.3.10. Thiết bị neo và chằng buộc.
2.3.11. Sự rò rỉ của vách kín nước.
2.3.12. Hệ thống thoát nước.
2.3.13. Trang bị phòng và chữa cháy bao gồm cả thử hoạt động nếu thực tế cho phép. Tiến hành kiểm tra xác nhận rằng không có sự thay đổi lớn trong kết cấu phòng chống cháy.
2.3.14. Đối với tàu trên 5 tuổi, nếu thấy cần thiết thì phải tiến hành kiểm tra bên trong và đo chiều dày ở các két dằn bằng thép dùng nước biển làm nước dằn khi mặt trong của két không được sơn bảo vệ ngay từ lúc đóng.
2.4. Nội dung kiểm tra trên đà
Trong từng đợt kiểm tra trên đà, phải thực hiện các yêu cầu sau đây:
2.4.1. Tàu cá phải được đặt trên các căn có đủ độ cao trong ụ khô hoặc trên triền đà và được vệ sinh sạch sẽ, khi cần có thể dựng dàn giáo để kiểm tra tấm bao, sống đuôi và bánh lái. Cần chú ý đến những kết cấu dễ bị ăn mòn nhanh hoặc bị hư hỏng do va đập, mắc cạn và tấm đáy bị biến dạng quá mức.
2.4.2. Lỗ hút nước biển và lỗ xả qua mạn nằm phía dưới đường nước phải được kiểm tra. Các van, khóa vòi cùng với các chi tiết cố định chúng vào vỏ tàu phải được tháo ra và kiểm tra. Việc tháo chúng có thể được Đăng kiểm xem xét và miễn giảm nếu chúng đã được tháo và kiểm tra vào đợt kiểm tra trên đà lần trước.
2.4.3. Bánh lái phải được nâng lên hoặc tháo ra và chốt lái, gu dông và các chi tiết khác của hệ lái phải được kiểm tra. Việc kiểm tra này có thể được hoãn nếu Đăng kiểm thấy trạng thái của ổ đỡ bánh lái còn tốt qua xem xét số liệu đo các khe hở của bánh lái.
2.4.4. Phải kiểm tra chân vịt và phần sau của bạc đuôi của trục chân vịt. Phải xác định khe hở trong bạc đuôi và độ kín của vòng đệm kín dầu (nếu ổ đỡ được bôi trơn bằng dầu).
2.5. Nội dung kiểm tra định kỳ thân tàu (thép, FRP, gỗ bọc ngoài)
2.5.1. Kiểm tra định kỳ lần thứ nhất (đối với các tàu cá 5 tuổi trở xuống)
Trong đợt kiểm tra định kì lần thứ nhất, phải tiến hành kiểm tra tỉ mỉ các hạng mục quy định cho đợt kiểm tra hàng năm và phải thỏa mãn các yêu cầu sau đây:
2.5.1.1. Các khoang phải được vệ sinh sạch sẽ để kiểm tra. Các tấm lát sàn buồng máy ván lát sàn, ván lát hông, lớp lót và lớp bọc ống phải tháo ra nếu thấy cần thiết để kiểm tra kết cấu.
2.5.1.2. Những vùng có đáy đôi thì phải tháo lớp ván lát với mức độ đủ để kiểm tra trạng thái của tôn đáy.
2.5.1.3. Phải vệ sinh sạch sẽ các két, các két nước (các két dùng chứa nước ngọt và nước biển) và các khoảng cách li để kiểm tra. Phải chú ý đến việc đảm bảo an toàn trong khi kiểm tra.
2.5.1.4. Phải vệ sinh sạch sẽ két chứa dầu đốt, tẩy sạch khí và kiểm tra. Phải chú ý đến việc đảm bảo an toàn trong khi kiểm tra.
2.5.1.5. Nếu các khoang hàng được bọc cách nhiệt để chở hàng đông lạnh thì phải tháo lớp bọc cách nhiệt tại khu vực hai đầu khoang hàng và miệng khoang hàng để kiểm tra trạng thái của khung sườn và tôn.
2.5.1.6. Phải kiểm tra tất cả các boong, lớp ốp của boong và kết cấu thượng tầng. Phải xác định được rằng các thành phần phủ boong được liên kết chắc chắn với tôn boong.
2.5.1.7. Phải kiểm tra neo và xích neo khi đã được trải ra, kiểm tra lỗ neo, hầm xích neo và mắt nối xích neo. Đăng kiểm phải xác nhận được rằng tàu cá được trang bị đủ cáp chằng buộc.
2.5.1.8. Phải thấy được rằng kết cấu và trang bị phòng cháy đang ở trạng thái tốt.
2.5.1.9. Trong các két bằng thép có áp dụng biện pháp hạn chế ăn mòn phải kiểm tra trạng thái lớp phủ hoặc biện pháp chống ăn mòn.
2.5.2. Kiểm tra định kì lần thứ hai (đối với các tàu cá trên 5 tuổi đến 10 tuổi)
Trong đợt kiểm tra định kì lần thứ hai, phải thực hiện tất cả các yêu cầu của đợt kiểm tra định kì lần thứ nhất và thêm những yêu cầu sau đây:
2.5.2.1. Trên các tàu cá có đáy đơn hoặc đáy đôi phải tháo các tấm ván lát sàn với số lượng đủ để kiểm tra một cách thỏa đáng tất cả các kết cấu nằm phía dưới ván lát.
2.5.2.2. Phải vệ sinh kỹ các két dầu đốt, tẩy khí và kiểm tra. Chú ý đảm bảo an toàn khi kiểm tra.
2.5.2.3. Neo và xích neo phải được trải ra để kiểm tra. Khi một chi tiết xích bị mòn mà đường kính trung bình ở chỗ mòn nhất bị giảm 12% trở lên so với đường kính danh nghĩa thì phải thay chi tiết xích này.
2.5.3. Kiểm tra định kì lần thứ ba (đối với các tàu cá trên 10 tuổi đến 15 tuổi)
Trong đợt kiểm tra định kì lần thứ ba, phải thực hiện mọi yêu cầu của đợt kiểm tra định kì lần thứ hai và phải thỏa mãn thêm những yêu cầu sau đây:
2.5.3.1. Khi Đăng kiểm yêu cầu, phải tháo các ván lát và lớp lót trong các khoang cá và các tấm lát sàn trong buồng máy với số lượng đủ để kiểm tra. Tàu phải được làm sạch gỉ bên trong và bên ngoài để tiện cho việc kiểm tra khung sườn và các tấm bao cùng với các lỗ xả, lỗ thoát nước, ống thông hơi và ống đo.
2.5.3.2. Phải vệ sinh sạch sẽ các két dầu đốt, két dầu nhờn, tẩy sạch khí để kiểm tra. Chú ý đảm bảo an toàn khi kiểm tra.
2.5.3.3. Khi Đăng kiểm yêu cầu, phải tháo ván lát và các chi tiết nằm trên các boong thép để kiểm tra tấm phía dưới.
2.5.3.4. Khi Đăng kiểm yêu cầu phải tháo lớp lót ở vùng các cửa húp lô và kiểm tra các tấm vỏ.
2.5.3.5. Phải kiểm tra trạng thái kĩ thuật của các cột và trụ cần cẩu. Có thể yêu cầu đo chiều dày của các kết cấu nếu Đăng kiểm thấy cần thiết.
2.5.3.6. Nếu các khoang hàng được bọc cách nhiệt để chở hàng đông lạnh thì phải tháo lớp bọc cách nhiệt đủ để Đăng kiểm kiểm tra xác định trạng thái tấm vỏ và khung sườn.
2.5.4. Kiểm tra định kì lần thứ tư (đối với các tàu cá trên 15 tuổi đến 20 tuổi)
Trong đợt kiểm tra định kì lần thứ tư, phải thực hiện tất cả các yêu cầu của đợt kiểm tra định kì lần thứ hai và phải vệ sinh các két nhiên liệu và két dầu nhờn, tẩy sạch khí để kiểm tra.
2.5.5. Kiểm tra định kì lần thứ năm (đối với các tàu cá trên 20 tuổi đến 25 tuổi)
Trong đợt kiểm, tra định kì lần thứ năm phải thực hiện tất cả các yêu cầu của đợt kiểm tra định kì lần thứ tư.
2.5.6. Kiểm tra định kỳ lần thứ sáu (đối với các tàu cá trên 25 tuổi)
Trong đợt kiểm tra định kỳ lần thứ sáu, ngoài việc thực hiện tất cả những yêu cầu của đợt kiểm tra định kỳ lần thứ ba còn phải thực hiện tất cả các yêu cầu của đợt kiểm tra định kỳ lần thứ tư.
2.5.7. Đo chiều dày các kết cấu (trừ tàu gỗ)
2.5.7.1. Phải tiến hành đo chiều dày của các kết cấu phù hợp với những yêu cầu quy định ở Chương này trong các đợt kiểm tra định kì.
2.5.7.2. Khi tiến hành đo chiều dày phải thực hiện những yêu cầu dưới đây:
a) Phải tiến hành đo chiều dày các kết cấu bằng các máy đo siêu âm thích hợp hoặc bằng các phương tiện khác được Đăng kiểm công nhận. Khi Đăng kiểm yêu cầu, phải chứng minh độ chính xác của thiết bị đo.
b) Phải tiến hành đo chiều dày của các cơ cấu trong khoảng thời gian 12 tháng trước khi kết thúc đợt kiểm tra định kì dưới sự giám sát trực tiếp của Đăng kiểm.
c) Biên bản đo chiều dày phải được lập và trình Đăng kiểm.
2.5.7.3. Qua kết quả kiểm tra tiếp cận, Đăng kiểm có thể yêu cầu tăng thêm khối lượng đo chiều dày cơ cấu khi cần thiết.
2.5.7.4. Phải thực hiện những yêu cầu về đo chiều dày các cơ cấu theo quy định ở Bảng 2/1-B dưới đây.
2.5.8. Thử áp lực
Trong mỗi đợt kiểm tra định kì, phải tiến hành thử áp lực các két phù hợp với những yêu cầu ở mục này.
2.5.8.1. Phải tiến hành thử áp lực các két bằng áp suất tương ứng với cột áp cực đại có thể trải qua trong thực tế khai thác của tàu.
2.5.8.2. Đăng kiểm có thể tăng số lượng các két thử áp lực khi thấy cần thiết.
2.5.8.3. Trong mỗi đợt kiểm tra định kì phải tiến hành thử áp lực các két theo quy định ở Bảng 3/1-B.
2.6. Nội dung kiểm tra định kỳ thân tàu vỏ gỗ
Nội dung kiểm tra định kỳ thân tàu vỏ gỗ được quy định như ở mục 2.5 nhưng tuổi tàu được tính giảm đi 5 năm. Tức là nội dung kiểm tra định kỳ lần thứ hai áp dụng cho thân tàu vỏ gỗ 5 tuổi, định kỳ lần thứ 3 áp dụng cho thân tàu vỏ gỗ 10 tuổi. Việc đo kích thước các cơ cấu bằng gỗ phải được tiến hành vào đợt kiểm tra trên đà giữa mỗi đợt kiểm tra định kỳ (vào năm thứ 2 hoặc năm thứ 3) và vào mỗi đợt kiểm tra định kỳ.
Bảng 2/1-B. Quy định về đo chiều dày đối với tàu cá
|
TT |
Loại kiểm tra |
Các kết cấu được đo chiều đày |
|
1 |
Các loại kiểm tra định kì |
Các phần kết cấu sau đây: (a) Từng tấm boong tính toán trong vùng 0,5L giữa tàu. (b) Từng tấm và phần tử kết cấu ở một mặt cắt ngang trong vùng 0,5L giữa tàu. (c) Từng tấm ở một dải tấm mạn được lựa chọn ở khu vực khoang chở cá ngoài vùng 0,5L giữa tàu ở mỗi mạn phía trên đường nước dằn. |
|
2 |
Trong tất cả các khoang chở cá, phần mút của sườn khỏe (phần mỏng nhất của sườn, nếu là sườn ghép) với số lượng thỏa đáng (ít nhất bằng 1/3 toàn bộ số sườn trong mỗi khoang chở cá) của sườn khoang và các mã mút ở phần trước, phần giữa và phần sau của mỗi khoang ở cả hai mạn và tất cả các tấm chân của mỗi vách ngang kín nước. |
|
|
3 |
Cả hai đầu và phần giữa của từng thành quầy miệng khoang chở cá. |
Bảng 3/1. B Quy định về thử áp lực đối với tàu
|
Loại kiểm tra |
Các két được thử áp lực |
|
Các đợt kiểm tra định kỳ |
1 Các két nước 2 Các két dầu đốt 3 Các két dầu nhờn (Việc thử áp lực các két này có thể được miễn giảm với điều kiện là sau khi kiểm tra bên trong và bên ngoài các két, Đăng kiểm viên thấy trạng thái các két này còn tốt.) |
2.7. Kiểm tra hàng năm hệ thống máy tàu
Trong mỗi đợt kiểm tra hàng năm phải thực hiện các yêu cầu sau đây:
2.7.1. Phải tiến hành kiểm tra toàn bộ máy chính, hệ thống truyền công suất, hệ trục, động cơ dẫn động không phải là máy chính, máy phụ, hệ thống đường ống và các hệ thống điều khiển chúng. Ngoài ra, Đăng kiểm có thể yêu cầu mở kiểm tra các hạng mục khác nếu thấy cần thiết để xác nhận rằng chúng đang ở trạng thái làm việc tốt.
2.7.2. Phải kiểm tra toàn bộ buồng máy, đường thoát nạn sự cố, đặc biệt chú ý đến nguy cơ cháy và nổ.
2.7.3. Phải kiểm tra tất cả các thiết bị lái chính và phụ kể cả thiết bị đi kèm và hệ thống điều khiển để xác nhận rằng chúng đang ở trạng thái làm việc tốt.
a) Phải thử để xác nhận rằng phương tiện thông tin liên lạc giữa lầu lái và trạm điều khiển máy cũng như giữa lầu lái và buồng đặt máy lái đang ở trạng thái làm việc tốt.
b) Phải kiểm tra các van, khóa vòi và bầu lọc của hệ thống hút khô kể cả các van hút khô sự cố. Phải thử hoạt động hệ thống hút khô kể cả các bơm, cần điều khiển và chuông báo mực nước, nếu lắp, để xác nhận rằng chúng đang ở trạng thái làm việc tốt. Tuy nhiên, có thể miễn thử hoạt động, nếu như Đăng kiểm nhận thấy hệ thống đạt yêu cầu qua kết quả kiểm tra chung, qua trạng thái làm việc trong khi hành hải và qua kết quả thử do thuyền viên đã tiến hành.
2.7.4. Thiết bị an toàn
Đối với máy chính, động cơ dẫn động máy phụ quan trọng đối với máy chính, động cơ dẫn động máy phát điện, phải thử các thiết bị an toàn sau đây để xác nhận rằng chúng đang ở trạng thái làm việc tốt. Tuy nhiên, có thể miễn thử nếu như Đăng kiểm nhận thấy hệ thống đạt yêu cầu qua kết quả kiểm tra chung, qua trạng thái làm việc trong khi hành hải và qua kết quả thử do thuyền viên đã tiến hành.
2.7.5. Phải thử hoạt động của thiết bị đóng mở từ xa của két dầu đốt và két dầu bôi trơn để xác nhận rằng chúng đang ở trạng thái làm việc tốt.
2.7.6. Phải kiểm tra toàn bộ trang bị điện, cơ cấu đóng mạch và thiết bị điện khác và phải thử hoạt động khi thực tế cho phép.
2.7.7. Phải tiến hành thử hoạt động toàn bộ nguồn điện sự cố và các thiết bị đi kèm và phải chứng minh được rằng toàn bộ hệ thống đang ở trạng thái làm việc tốt và nếu chúng được tự động hóa thì phải thử ở dạng tự động hóa.
2.7.8. Nếu xét thấy cần thiết, phải kiểm tra các phần việc do chủ tàu tự mở ra để bảo dưỡng.
2.7.9. Nếu có lắp thiết bị điều khiển tự động và/hoặc từ xa cho các máy có công dụng quan trọng thì phải thử chúng để chứng minh rằng chúng đang ở trạng thái làm việc tốt.
2.8. Kiểm tra định kì hệ thống máy và thiết bị tàu cá
Trong mỗi đợt kiểm tra định kì (60 tháng), phải thực hiện các yêu cầu kiểm tra sau đây:
2.8.1. Hệ trục
Phải kiểm tra tất cả các trục, ổ chặn và ổ đỡ đường trục. Không cần thiết phải mở để kiểm tra phần dưới của các ổ đỡ nếu độ đồng tâm của hệ trục và độ mài mòn còn nằm trong giới hạn cho phép.
2.8.2. Thiết bị truyền động
Nếu Đăng kiểm thấy cần thiết thì phải mở hộp giảm tốc để kiểm tra các cơ cấu, bánh răng, các răng, trục và ổ đỡ.
2.8.3. Máy phụ
Nếu Đăng kiểm thấy cần thiết thì phải mở để kiểm tra các máy nén khí, các bầu làm mát, bầu lọc và/hoặc các máy phân li dầu, các cơ cấu an toàn và tất cả các bơm, các chi tiết có công dụng quan trọng.
2.8.4. Thiết bị lái
Phải kiểm tra tất cả thiết bị lái chính và lái phụ kể cả thiết bị đi kèm và hệ thống điều khiển và phải xác nhận rằng chúng đang ở trạng thái làm việc tốt. Nếu Đăng kiểm thấy cần thiết, thì các thiết bị trên phải được mở ra để kiểm tra. Phải thử các hạng mục từ 2.8.4.1 đến 2.8.4.5 sau đây với kết quả đạt yêu cầu.
2.8.4.1. Thử hoạt động kể cả việc chuyển đổi nguồn cung cấp điện.
2.8.4.2. Thử hoạt động sự đóng ngắt tự động và từ xa của hệ thống khởi động nguồn điện.
2.8.4.3. Thử cung cấp nguồn điện xoay chiều.
2.8.4.4. Thử hoạt động hệ thống điều khiển kể cả hệ thống chuyển đổi nguồn điện.
2.8.4.5. Thử hoạt động thiết bị báo động, đồng hồ chỉ báo góc lái và đồng hồ chỉ báo hành trình của lái.
2.8.5. Các tời
Các tời neo và tời buộc dây phải được kiểm tra và thử hoạt động. Nếu Đăng kiểm thấy cần thiết, phải mở chúng để kiểm tra thêm.
2.8.6. Căn bệ đỡ
Phải kiểm tra các bu lông bệ đỡ và các căn của máy chính và máy phụ, hộp bánh răng, ổ đỡ chặn và ổ đỡ đường trục.
2.8.7. Bình khí nén
Phải tiến hành vệ sinh sạch sẽ bên trong để kiểm tra bên trong và bên ngoài tất cả các bình chứa khí nén và bình chịu áp lực khác có công dụng quan trọng cùng với các chi tiết và van an toàn của chúng. Nếu các bình không được kiểm tra bên trong thì chúng phải được thử thủy lực đến 1,5 lần áp suất làm việc.
2.8.8. Hệ thống bơm và đường ống
2.8.8.1. Hệ thống hút khô: Khi Đăng kiểm thấy cần thiết, phải mở để kiểm tra các van, khóa vòi và bầu lọc của hệ thống hút khô kể cả van hút khô sự cố. Phải thử hoạt động hệ thống hút khô bao gồm bơm, cần điều khiển từ xa và chuông báo động mức nước, nếu lắp, để xác nhận rằng chúng đang ở trạng thái làm việc tốt.
2.8.8.2. Hệ thống dầu đốt, dầu bôi trơn và các đầu nối của ống nước dằn, và trang bị đóng của két sâu, cùng tất cả các bầu lọc áp lực, bình hâm và bình làm mát có công dụng quan trọng phải được mở để kiểm tra bên trong hoặc phải được thử hoạt động khi Đăng kiểm thấy cần thiết. Phải kiểm tra tất cả các cơ cấu an toàn của các mục đã nêu trên.
2.8.8.3. Các két dầu dễ cháy: Két dầu đốt kiểu rời, phải được kiểm tra bên trong và bên ngoài. Trong đợt kiểm tra định kì lần thứ nhất, có thể hoãn việc kiểm tra bên trong các két nếu như qua kết quả kiểm tra bên ngoài thấy chúng vẫn đang ở trạng thái làm việc tốt. Tất cả các chi tiết, phụ tùng và cơ cấu ngắt từ xa phải được kiểm tra khi thực tế cho phép. Phải tiến hành thử hoạt động thiết bị đóng mở từ xa các két dầu đốt và két dầu bôi trơn để xác nhận rằng chúng đang ở trạng thái làm việc tốt.
2.8.9. Kiểm tra phụ tùng dự trữ.
2.8.10. Điều khiển tự động và từ xa:
Nếu trên tàu có lắp thiết bị điều khiển tự động và/hoặc từ xa dùng cho các máy móc có công dụng quan trọng thì chúng phải được thử để chứng minh rằng chúng đang ở trạng, thái làm việc tốt.
2.8.11. Động cơ đốt trong (chính và phụ có công dụng quan trọng)
2.8.11.1. Những chi tiết sau đây phải được mở để kiểm tra: Xi lanh, nắp xi lanh, các van và cơ cấu van, các bơm dầu và phụ tùng, các bơm quét khí, các quạt quét khí và cơ cấu dẫn động chúng, tua bin tăng áp, pit tông, cần pit tông, đầu chữ thập, cơ cấu dẫn hướng, thanh truyền, trục khuỷu và tất cả các ổ đỡ, sự cố định thân động cơ và cơ cấu phòng nổ của các te, trục cam và bánh răng dẫn động trục cam, các bơm đính kèm và bầu làm mát, đệm giảm chấn và khớp nối hệ trục.
2.8.11.2. Độ đồng tâm của trục khuỷu cũng phải được kiểm tra và nếu cần phải đặt lại trục.
2.8.12. Thiết bị an toàn
Đối với máy chính, động cơ dẫn động máy phụ quan trọng đối với máy chính và động cơ lai máy phát điện, phải thử các thiết bị an toàn sau đây để xác nhận rằng chúng đang ở trạng thái làm việc tốt.
2.8.12.1. Thiết bị đề phòng quá vận tốc.
2.8.12.2. Thiết bị đóng mở tự động và báo động trong trường hợp mất áp lực dầu bôi trơn hoặc áp lực dầu bôi trơn thấp dưới mức quy định.
2.8.13. Trang bị điện
Trang bị điện sử dụng trên tàu phải được kiểm tra như sau:
2.8.13.1. Phải kiểm tra các chi tiết lắp ráp trên bảng điện chính, bảng điện khu vực và bảng điện nhánh, phải kiểm tra thiết bị bảo vệ quá tải dòng và cầu chì để xác nhận rằng chúng được bảo vệ phù hợp với mạch điện tương ứng.
2.8.13.2. Cáp điện phải được kiểm tra khi thực tế cho phép mà không được làm xáo trộn nhiều đến vị trí của chúng.
2.8.13.3. Tất cả các máy phát điện phải được chạy ở điều kiện mang tải hoặc riêng biệt hoặc hòa tải. Nếu thực tế cho phép, phải thử hoạt động của bộ điều tốc, bộ ngắt dòng của máy phát và rơ le gắn vào chúng.
2.8.13.4. Phải thử điện trở cách điện của máy phát, bảng điện, động cơ, bầu hâm, mạng chiếu sáng, cáp điện và phải điều chỉnh nếu chúng không thỏa mãn yêu cầu quy định.
2.8.13.5. Phải thử nguồn điện sự cố và các thiết bị có liên quan để chứng minh rằng toàn bộ hệ thống làm việc tốt và nếu chúng được tự động hóa thì phải thử ở dạng tự động hoá.
2.8.13.6. Phải thử hệ thống đèn hành trình để xác nhận rằng chúng hoạt động theo đúng chức năng.
2.8.13.7. Phải thử phương tiện thông tin liên lạc giữa lầu lái và trạm điều khiển hệ thống máy tàu cũng như giữa lầu lái và buồng đặt máy lái để xác nhận rằng chúng đang ở trạng thái làm việc tốt.
2.8.13.8. Phải thử phương tiện ngắt sự cố của động cơ điện của bơm dầu đốt, bơm dầu hàng, quạt thông gió và quạt hút gió của nồi hơi để xác nhận rằng chúng đang ở trạng thái làm việc tốt.
2.8.13.9. Phải thử khóa liên động phục vụ cho việc thao tác an toàn của thiết bị điện, động cơ và các thiết bị điều khiển chúng để xác nhận rằng chúng đang ở trạng thái làm việc tốt.
2.8.14. Thiết bị làm lạnh hàng
Nếu trên tàu có lắp các thiết bị làm lạnh hàng không được Đăng kiểm phân cấp thì phải tiến hành kiểm tra như sau:
2.8.14.1. Kiểm tra trạng thái của các cơ cấu an toàn lắp vào thiết bị để đảm bảo rằng chúng đang ở trạng thái tốt.
2.8.14.2. Phải kiểm tra các máy móc trong điều kiện làm việc và đảm bảo rằng chúng đang ở trạng thái làm việc tốt và phải không có dấu hiệu rò các công chất làm lạnh.
2.8.14.3. Các chi tiết của các bầu ngưng, bầu bốc hơi và bình chứa phải được bóc hết lớp cách nhiệt để thử áp lực. Áp suất thử phải bằng 90% áp suất thiết kế. Tuy nhiên, có thể thay việc thử áp lực bằng phương pháp thử khác được Đăng kiểm công nhận là thích hợp. Nếu có lắp van an toàn và các van này được điều chỉnh hoạt động ở dưới áp suất thiết kế thì có thể giảm áp suất thử xuống đến 90% áp suất đạt van an toàn. Theo ý kiến của Đăng kiểm, có thể miễn giảm việc thử áp lực kể trên, nếu không dùng NH3 (R717) làm công chất làm lạnh.
2.8.15. Phải tiến hành kiểm tra buồng máy, đặc biệt chú ý đến nguy cơ gây cháy và nổ. Phải kiểm tra các lối thoát nạn sự cố.
2.9. Kiểm tra trục chân vịt của tàu
2.9.1. Thời hạn kiểm tra
2.9.1.1. Các đợt kiểm tra thường kỳ phải được thực hiện trong khoảng thời hạn quy định sau đây:
a) Trục chân vịt có khả năng chống lại sự ăn mòn của nước biển một cách hữu hiệu phải được kiểm tra ít nhất một lần trong thời hạn 5 năm.
b) Trục chân vịt không được quy định như trên phải được kiểm tra ít nhất một lần trong thời hạn 2,5 năm.
2.9.1.2. Ngoài những yêu cầu quy định ở 2.9.1.1 trên, các đợt kiểm tra thường kì có thể được hoãn không quá 6 tháng khi chủ tàu yêu cầu và được Đăng kiểm chấp thuận. Việc hoãn kiểm tra này chỉ có thể cho một lần trong khoảng thời gian giữa các đạt kiểm tra thường kì.
2.9.2. Các chi tiết được kiểm tra
2.9.2.1. Trục chân vịt
Chân vịt phải được tháo ra và kiểm tra đoạn trục lắp chân vịt như sau :
a) Trục được lắp với chân vịt bằng then phải được kiểm tra bằng phương pháp dò vết nứt tính từ đầu mút phần côn của trục (hoặc tính từ mép sau của áo trục, nếu có) đến 1/3 chiều dài của đoạn côn trục phía đuôi.
b) Trục không được lắp với chân vịt bằng then phải được kiểm tra bằng phương pháp dò khuyết tật ở phần trước của đoạn côn trục phía đuôi. Khi chân vịt được lắp ép vào trục, phải xác nhận rằng chiều dài đoạn trục được ép phải nằm trong giới hạn cho phép.
c) Đối với trục được nối bằng bích nối ở phía sau, thì vành bích và bu lông khớp nối phải được kiểm tra bằng phương pháp dò vết nứt một cách hữu hiệu.
2.9.2.2. Ngoài các phần của trục được yêu cầu ở 2.9.2.1-a (nắp chống ăn mòn phải được tháo ra nếu là trục loại 2), các áo trục, vành bích nối của trục trung gian hoặc của trục chân vịt và bu lông khớp nối phải được kiểm tra khi trục được rút ra khỏi các ổ đỡ của ống bao trục.
2.9.2.3. Ổ đỡ của ống bao trục (hoặc ổ đỡ của giá đỡ trục chân vịt; nếu có) phải được kiểm tra.
2.9.2.4. Phải đo độ mài mòn của các ổ đỡ.
2.9.2.5. Các phần chính của cơ cấu đệm kín ống bao trục (hoặc cơ cấu đệm kín giá đỡ trục chân vịt, nếu có) phải được mở ra để kiểm tra.
2.9.2.6. Các bu lông cố định cánh chân vịt phải được kiểm tra bằng phương pháp dò khuyết tật.
2.9.2.7. Phải kiểm tra đường kính trong của củ chân vịt lắp với đoạn côn của trục chân vịt.
2.9.2.8. Nếu ổ đỡ trong ống bao trục được bôi trơn bằng nước thì phải kiểm tra đường ống dẫn nước biển vào để bôi trơn.
2.9.2.9. Nếu ổ đỡ trong ống bao trục được bôi trơn bằng dầu thì phải kiểm tra chuông báo động mức dầu không an toàn của két dầu bôi trơn, đồng hồ đo nhiệt độ dầu và bơm tuần hoàn dầu bôi trơn (nếu có).
2.9.2.10. Nếu ổ đỡ trong ống bao trục được bôi trơn bằng dầu thì phải kiểm tra sổ nhật kí dầu bôi trơn.
2.9.3. Hoãn kiểm tra
Khi hoãn kiểm tra, phải thực hiện các công việc sau đây:
2.9.3.1. Trục chân vịt để lộ trong buồng máy phải được kiểm tra.
2.9.3.2. Số liệu về độ mài mòn (nếu tàu có trang bị dụng cụ đo) ở phần sau của ổ đỡ trong ống bao trục (hoặc là đầu sau của ổ đỡ trong giá đỡ trục chần vịt, nếu có) phải được kiểm tra.
2.9.3.3. Đệm kín của ống bao trục (hoặc đệm kín của giá đỡ trục chân vịt, nếu có) phải được kiểm tra.
2.9.3.4. Phải xác nhận rằng trục không làm việc ở vòng quay cộng hưởng.
2.9.3.5. Phải tiến hành kiểm tra theo nội dung quy định ở 2.9.2.8, 2.9.2.9, 2.9.2.10 đưa ra ở trên.
2.10. Quy trình thử, hao mòn và hư hỏng
2.10.1. Thử nghiêng ngang
Thử nghiêng ngang phải được tiến hành vào dịp kiểm tra định kì, hoặc cải hoán nếu việc cải hoán hoặc sửa chữa có thể ảnh hưởng nhiều đến ổn định của tàu cá. Hơn nữa, thử nghiêng ngang có thể được yêu cầu tiến hành trong bất cứ đợt kiểm tra nào nếu Đăng kiểm thấy cần thiết.
2.10.2. Thử tốc độ
Phải tiến hành thử tốc độ vào đợt kiểm tra định kì hoặc kiểm tra bất thường nếu việc hoán cải hoặc sửa chữa có thể ảnh hưởng đến tốc độ của tàu cá. Thử tàu hoặc thử máy tàu có thể được yêu cầu trong bất kì đợt kiểm tra nào nếu Đăng kiểm thấy cần thiết.
2.10.3. Thử đánh cá
Sau khi đóng mới, hoán cải hoặc sửa chữa lớn, tàu đánh cá phải được thử đánh cá để xác định mức độ hoạt động an toàn của trang thiết bị và tính năng của tàu ở trạng thái đánh bắt cá.
Quy trình thử đánh cá phải được thông qua hội đồng thử nghiệm thu tàu.
2.10.4. Sửa chữa hao mòn và hư hỏng
Nơi nào chiều dày vật liệu của kết cấu thân tàu, kích thước các cơ cấu của thiết bị, bị giảm xuống dưới giới hạn quy định, phải được thay bằng cơ cấu mới có kích thước như thiết kế ban đầu. Tuy nhiên, nếu kích thước ban đầu lớn hơn kích thước yêu cầu hoặc được Đăng kiểm chấp nhận, thì yêu cầu này có thể được thay đổi có xét đến vị trí, mức độ và chủng loại.
Chương 3. KIỂM TRA BẤT THƯỜNG
3.1. Yêu cầu chung
Ngoài việc kiểm tra lần đầu và các đợt kiểm tra chu kỳ, Đăng kiểm cũng tiến hành kiểm tra bất thường tàu hoặc từng phần máy móc, thân tàu, trang thiết bị lắp đặt trên tàu theo yêu cầu của chủ tàu, bảo hiểm, hoặc theo chỉ thị đặc biệt của Nhà nước nhằm xác nhận tàu đã thỏa mãn những yêu cầu của Quy chuẩn trong các trường hợp:
3.1.1. Bị tai nạn vào sửa chữa.
3.1.2. Đã ngưng hoạt động thời gian nay đưa trở lại hoạt động, nhưng thời điểm kiểm tra không phù hợp với các đợt kiểm tra chu kì.
3.1.3. Ngoài ra, trong mọi trường hợp Đăng kiểm sẽ xem xét giải quyết các yêu cầu của chủ tàu khi nhận được đơn đề nghị kiểm tra.
3.2. Nội dung kiểm tra bất thường
3.2.1. Căn cứ vào mục đích kiểm tra, tuổi tàu và trạng thái kỹ thuật của tàu, khối lượng, nội dung và trình tự kiểm tra bất thường được Đăng kiểm quy định cho từng trường hợp cụ thể trên cơ sở các quy định của quy chuẩn này.
3.2.2. Đối với tàu bị tai nạn thì việc kiểm tra bất thường phải được tiến hành ngay sau khi tàu bị tai nạn. Việc kiểm tra này nhằm mục đích phát hiện hư hỏng, xác định khối lượng công việc cần thiết để khắc phục những hậu quả do tai nạn gây ra và tiến hành thử nghiệm nếu cần thiết cũng như xác định khả năng và điều kiện giữ cấp của tàu.
3.2.3. Đối với tàu cá đã ngừng hoạt động trong một thời gian, muốn đưa tàu trở lại hoạt động, Đăng kiểm phải xem xét tỉ mỉ nội dung kiểm tra của tàu trước khi ngừng hoạt động, thời hạn tàu ngừng hoạt động và tình trạng bảo quản trong suốt thời gian tàu ngừng hoạt động nhằm định ra chính xác nội dung và khối lượng kiểm tra để trao cấp cho tàu hoạt động.
Phần 2. KẾT CẤU THÂN TÀU
Hull contraction
Chương 1. KẾT CẤU THÂN TÀU VỎ THÉP
1.1. Yêu cầu chung
1.1.1. Phạm vi áp dụng
Những quy định của Chương 1 này được áp dụng cho việc thiết kế và đóng mới tàu cá vỏ thép, vùng hoạt động không hạn chế, có tỷ số kích thước thiết kế như sau:
|
L |
≤ 20; |
B |
≤ 4 |
|
D |
D |
Nếu các tỉ số kích thước chính của tàu vượt giới hạn nêu trên thì kết cấu của tàu trong từng trường hợp cụ thể phải được Đăng kiểm xem xét riêng trên cơ sở các quy định của Quy chuẩn này.
1.1.1.2. Những tàu đánh cá đang khai thác hoặc đã đóng trước ngày Quy chuẩn này có hiệu lực vẫn áp dụng Quy chuẩn mà trước đây đã áp dụng thiết kế và đóng chúng.
1.1.1.3. Những tàu đánh cá đang khai thác hoặc đã đóng trước ngày Quy chuẩn này có hiệu lực, khi lên đà sửa chữa hoặc hoán cải, phục hồi, phải được Đăng kiểm xem xét cụ thể, trên cơ sở áp dụng những quy định của Quy chuẩn này.
1.1.2. Vật liệu
1.1.2.1. Vật liệu thép dùng để chế tạo các cơ cấu thân tàu phải thỏa mãn các yêu cầu quy định tại Phần 7, QCVN 21:2015/BGTVT.
1.1.2.2. Những quy định của chương này về kích thước các cơ cấu thân tàu tương ứng với loại thép thường có giới hạn chảy ReH (hoặc sY) = 235 MPa. Nếu sử dụng vật liệu có giới hạn chảy lớn hơn thì tính toán kích thước cơ cấu có thể áp dụng hệ số vật liệu k = ReH/ R'eH trong đó R'eH là giới hạn chảy của vật liệu thực tế sử dụng.
1.1.3. Độ bền kết cấu
1.1.3.1. Độ bền và kết cấu thân tàu, thượng tầng, lầu, nắp buồng máy, lối đi và các kết cấu khác và thiết bị tàu phải đủ chống lại các điều kiện dự tính được trong quá trình hoạt động và phải thỏa mãn yêu cầu của Đăng kiểm.
1.1.3.2. Các vách, phương tiện đóng mở các lỗ khoét của vách, phương pháp thử vách, phải phù hợp với các điều khoản Quy chuẩn này và với các yêu cầu khác của Đăng kiểm. Tàu ít nhất phải có vách chống va và các vách kín nước giới hạn buồng máy. Những vách này phải kéo đến boong công tác.
1.1.3.3. Vách chống va phải bố trí tại khoảng cách d tới trụ trước không nhỏ hơn 0,05L và không lớn hơn 0,08L. Vách có thể có bậc hay chỗ lõm phù hợp không gian vùng vách.
1.1.3.4. Các ống qua vách chống va phải trang bị van điều khiển từ boong công tác và hộp van phải được bảo vệ trong khoang mũi. Không bố trí cửa, lỗ chui, ống thông gió hoặc các lỗ hở vùng dưới boong công tác của vách này.
1.1.3.5. Khoang mũi không dùng chứa nhiên liệu.
1.2. Kích thước các cơ cấu thân tàu
1.2.1. Tải trọng tính toán
1.2.1.1. Tải trọng tính toán đối với các yếu tố cơ cấu thân tàu được tính toán ứng với tải trọng cực đại, trong đó chiều cao sóng tính toán phụ thuộc vào vùng hoạt động của tàu được quy định ở 1.2.4, Chương 1, Phần 1 -A quy chuẩn này.
1.2.1.2. Áp suất tính toán Pd tác dụng lên đáy tàu, được tính theo công thức sau:
Pd = ρg(d+h3%)) kPa
Trong đó:
- d - chiều chìm ở trạng thái toàn tải của tàu, m
- h3% - chiều cao sóng tính toán, m
- ρ - khối lượng riêng của nước biển, lấy bằng 1,025 t/m3
1.2.1.3. Áp suất Pm tính toán tác dụng lên mạn tàu phân bổ theo quy luật hình tam giác, được tính theo công thức sau:
Pm = 0,66g(d+h3%) kPa
Trong đó: d, h3%- như quy định ở 1.2.1.2.
1.2.1.4. Áp suất Pb tính toán tác dụng lên boong tàu được tính theo công thức sau:
Pb = Pwo - 0,75Pst kPa
Trong đó:
- Pst = ρg(z+h3%) kPa
- Pwo = 1,15 ρgCw/2 kPa
- Cw = 0,3L + 5
- z - khoảng cách từ đường nước toàn tải đến boong đang xét, m
- d, h3%- như quy định ở 1.2.1.2
1.2.1.5. Chiều cao sóng đặc trưng h3%
a) h3%= 1,5 m ứng với gió cấp 6 (gió mạnh),
b) h3% = 3,5 m-4,5m ứng với gió cấp 7-8 (biển động),
c) h3%= 6 - 8,5m ứng với gió cấp 8-9 (áp thấp nhiệt đới),
d) h3% = 8,5 m -11m ứng với gió cấp 10-11 (bão vừa và mạnh).
1.2.1.6. Ứng suất cho phép được lấy như sau:
a) Đối với tôn bao (đáy và mạn) : [sa] = 0,70 ReH, Mpa
b) Đối với tôn boong : [sa] = 1,00 ReH, Mpa
c) Đối với các cơ cấu đáy và mạn : [sa] = 0,80 ReH, Mpa
d) Đối với các cơ cấu boong : [sa] = 0,65 ReH, MPa
1.2.2. Kích thước các cơ cấu thân tàu
1.2.2.1. Khoảng sườn
Khoảng cách chuẩn giữa các sườn ở vùng giữa tàu được xác định theo công thức sau:
s = 0,01L + 0,25 m
Cho phép lấy khoảng sườn lớn hơn khoảng sườn chuẩn, nhưng trong mọi trường hợp không lớn hơn 0,5 m.
1.2.2.2. Các cơ cấu đáy tàu
a) Tấm đáy: Chiều dày tôn không được nhỏ hơn trị số tính toán theo công thức sau:
t = 22,4.s.(Pd/[sa] )1/2 ,mm
Trong đó:
- s - khoảng sườn, m
- Pd - áp suất tính toán tác dụng lên đáy tàu, kPa
- [sa] - ứng suất cho phép, MPa
Tấm đáy giữa phải có chiều dày lớn hơn tấm đáy tối thiểu là 1mm. Trong mọi trường hợp chiều dày tôn đáy không nhỏ hơn 4mm.
b) Đà ngang đáy: Kích thước của đà ngang đáy không nhỏ hơn các trị số sau đây:
(1) Chiều cao tại mặt phẳng dọc tâm: h = 0,0078L + 0,1 m
(2) Chiều dày đà ngang đáy : t = 0,035L + 3,5 mm
(3) Chiều rộng tấm mép đà ngang đáy không được nhỏ hơn 10 lần chiều dày của nó.
(4) Chiều dày bản mép phải bằng hoặc lớn hơn chiều dày bản thành.
c) Sống chính đáy: Kích thước của sống chính đáy không nhỏ hơn các trị số sau đây:
(1) Chiều cao tại mặt phẳng dọc tâm: h = 0,0078L + 0,1 m
(2) Chiều dày sống chính đáy: t = 0,035L + 5 mm
1.2.2.3. Các cơ cấu mạn
a) Tấm mạn: Chiều dày tôn mạn được tính theo công thức sau đây, trong mọi trường hợp chiều dày tôn mạn không nhỏ hơn 4mm:
t = 120.s.(d/[sa])1/2 mm
Trong đó:
- s - khoảng sườn, m
- d - chiều chìm tàu ở trạng thái toàn tải, m
- [sa]- ứng suất cho phép đối với cơ cấu mạn, MPa
b) Sườn: Mođun chống uốn của mặt cắt sườn không nhỏ hơn trị số tính theo công thức sau:
z = 0,2.Pm.s.d2.103/[sa] cm3
Trong đó:
- Pm - áp suất tính toán tác dụng lên mạn tàu, kPa
- s, d, [sa]- như được quy định ở a.
c) Sườn khỏe và sống dọc mạn: Đối với các tàu có chiều cao mạn D > 2,0m phải gia cường thân tàu bằng sườn khỏe hoặc sống dọc mạn. Mođun chống uốn của mặt cắt sườn khỏe và sống dọc mạn không được nhỏ hơn trị số tính theo công thức:
z = Pm.s.l2.103/(17.[sa]) cm3
Trong đó:
- Pm - áp suất tính toán tác dụng lên mạn tàu, kPa
- l - nhịp sống dọc mạn/sườn khỏe, m
- s,[σa] - như được quy định ở a.
1.2.2.4. Các cơ cấu boong tàu
Tấm boong: Chiều dày tôn boong được tính theo công thức sau đây, trong mọi trường hợp chiều dày tôn boong không được nhỏ hơn 4mm:
t = 100.s/[σa]1/2 mm
Trong đó:
- [σa] : ứng suất cho phép đối với tấm boong, MPa
- s - khoảng cách giữa các xà ngang boong, m
Xà ngang boong:
Mođun chống uốn của mặt cắt xà ngang boong không được nhỏ hơn trị số tính theo công thức sau:
z = 0,2Pb.s.l2.103/ [σa] cm3
Trong đó:
- s, [σa] - như quy định ở trên
- l - nhịp xà ngang boong, m
Sống dọc boong:
Mođun chống uốn mặt cắt của sống dọc boong không được nhỏ hơn trị số tính theo công thức sau:
z = Pb.s.l2.103/ (16. [σa]) cm3
Trong đó:
- s, [σa] - như quy định ở trên
- l - nhịp sống dọc boong, m
- Pb - áp suất tính toán tác dụng lên boong tàu, kPa
1.2.2.5. Sống mũi, sống đuôi
a) Sống mũi: Đường kính của mặt cắt ngang sống mũi làm bằng thép tròn không được nhỏ hơn trị số tính theo công thức sau:
d = 25 + 0,96L mm
Phần sống mũi nằm phía trên đường nước toàn tải có thể giảm diện tích đến còn 70% trị số tính theo công thức trên
Có thể thay mặt cắt sống mũi trong bằng mặt cắt khác có độ bền tương đương.
b) Sống đuôi: kích thước của mặt cắt ngang đoạn dưới sống đuôi không được nhỏ hơn trị số tính theo công thức dưới đây:
Chiều dày của mặt cắt : t = 7 + 0,25L +0,8D2 mm
Chiều rộng của mặt cắt: b = 35 + 2L mm
Trong đó: D - chiều cao mạn tàu, m
1.2.2.6. Vách ngang kín nước
Tàu phải có tối thiểu 3 vách ngang kín nước, gồm vách mũi và các vách giới hạn của buồng máy
Chiều dày vách ngang kín nước được tính theo công thức sau đây
t = 100.s/([σa])1/2 mm
Tấm tôn chân vách, có chiều rộng không nhỏ hơn 0,9m, phải lớn hơn trị số tính theo công thức sau đây:
b = 120.s.(d/[σa])1/2 mm
Trong mọi trường hợp, chiều dày tôn vách không nhỏ hơn trị số:
tmin = 5s + 1 mm
Trong đó: s - khoảng cách các nẹp vách, m
Mođun chống uốn của nẹp vách không được nhỏ hơn trị số tính theo công thức sau đây:
z = P.s.l2.103/(8,5[σa]) cm3
Trong đó: P - áp suất tính toán cho vách, P = r.g.D kPa
1.2.2.7. Cabin
Chiều dày tôn boong cabin không nhỏ hơn trị số tính theo công thức sau:
t = 0,03L + 2,5 mm
Chiều dày tôn vách cabin không được nhỏ hơn trị số tính theo công thức sau:
t = 22.s.(P/235)1/2 mm
Trong đó:
- P - áp suất tính toán cho vách cabin, P = 9kPa
- s- khoảng cách các nẹp đứng của vách cabin, m
- Trong mọi trường hợp chiều dày tôn vách cabin không nhỏ hơn 3mm
Mođun chống uốn của xà ngang boong cabin không được nhỏ hơn trị số tính theo công thức sau:
z = P.s.l2.103/(7ReH) cm3
Trong đó:
- P - áp suất tính toán của boong cabin, P = 5 kPa
- s - khoảng cách các xà ngang, m
- l - nhịp xà ngang, m
Mođun chống uốn của nẹp đứng vách cabin không được nhỏ hơn trị số tính theo công thức sau:
z = 85P.s.l2.103/ReH cm3
Trong đó:
- P - áp suất tính toán của boong cabin, P = 4,7(3 - Zo) kPa
- l - nhịp nẹp, m
- Zo - khoảng cách từ đường nước toàn tải đến mặt boong có nẹp, m
1.2.2.8. Bệ máy
Chiều dày của các thành phần chính của bệ máy được xác định bằng các công thức sau:
a) Chiều dày tấm bản cánh mặt bệ máy
t = t0 + s/c (mm) ,
Trong đó:
- s : khoảng sườn (mm),
- c : 200 BHP/20 với BHP - công suất định mức máy (HP),
- t0 =((2,5-N/20) BHP)1/3
- N - số xi lanh của máy.
b) Chiều dày thành bệ máy
t1 = 0,65t0 (1+ (h-1)/10) ( mm)
Trong đó:
- h = 1,1 m - chiều cao thành bệ máy,
c) Chiều dày đà ngang bệ máy, mã (mm)
t2 = 0,77 t1 .
1.3. Các quy định khác về cơ cấu và liên kết chúng
1.3.1. Sự thay đổi mặt cắt hoặc chuyển tiếp các cơ cấu thân tàu cần phải trơn đều. nếu có lỗ khoét ở các cơ cấu, lỗ khoét phải có góc lượn đều, chiều cao lỗ khoét không được vượt quá 0,5 lần chiều cao mặt cắt của cơ cấu bị khoét lỗ.
1.3.2. Các cơ cấu dọc phải đảm bảo tính liên tục tối thiểu là suốt một khoang (từ vách ngang này đến vách ngang kia), ở vùng kết thúc cơ cấu dọc cần tránh kết thúc đột ngột mà phải có biện pháp làm giảm tập trung ứng suất như đặt mã hoặc kéo dài và giảm dần mặt cắt trong phạm vi không nhỏ hơn 1,5 lần chiều cao mặt cắt hoặc khoảng sườn. Đầu kết thúc phải được liên kết chắc chắn với cơ cấu ngang.
1.3.3. Không được bố trí quá 2 cơ cấu dọc cơ bản cùng kết thúc ở một mặt cắt ngang thân tàu, phải bố trí so le tối thiểu một khoảng sườn và đối xứng qua mặt phẳng dọc tâm tàu.
Khoảng cách giữa các lỗ khoét ở cơ cấu dọc và lỗ khoét ở cơ cấu ngang chui qua không được nhỏ hơn chiều cao của cơ cấu ngang đó, nếu cần thiết phải có biện pháp gia cường thích đáng miệng lỗ khoét.
1.3.4. Mã liên kết giữa các cơ cấu phải có kích thước cạnh tối thiểu không nhỏ hơn 1/8 chiều dài cơ cấu được liên kết, chiều dày mã được lấy bằng chiều dày cơ cấu liên kết.
1.4. Mạn chắn sóng
1.4.1. Chiều cao mạn chắn sóng: Chiều cao mạn chắn sóng không được nhỏ hơn 0,6m.
1.4.2. Trong trường hợp chiều cao mạn chắn sóng nhỏ hơn 0,6m thì bắt buộc trên đó phải có rào bảo hiểm có thể tháo dỡ được, đảm bảo tổng chiều cao không nhỏ hơn 0,6m.
1.5. Cửa thoát nước đặt tại mạn chắn sóng
1.5.1. Những nơi mà mạn chắn sóng trên boong công tác tạo dáng như giếng, diện tích các cửa khoét tại mạn chắn sóng chắn sóng (A) tính bằng m2, mỗi mạn, tính cho mỗi giếng trên boong công tác phải xác định trong quan hệ với chiều dài (l) và chiều cao của mạn chắn sóng khu vực giếng như sau đây:
A = K.l m2
Trong đó:
- K = 0,07 cho tàu dài 24 m,
- K = 0,05 cho tàu dài 12 m.
Với các chiều dài khác sử dụng nội suy tuyến tính xác định K (l không lớn hơn 70% chiều dài L tàu)
1.5.1.2. Nếu mạn chắn sóng cao hơn 1,2 m diện tích đòi hỏi tại A tăng 0,004 m2 tính trên mỗi m dài của giếng cho mỗi 0,1 m khoảng cách biệt chiều cao.
1.5.1.3. Nếu mạn chắn sóng nhỏ hơn 0,9 m, diện tích đòi hỏi tại A giảm 0,004 m2 tính trên mỗi m dài của giếng cho mỗi 0,1m khoảng cách biệt chiều cao.
1.5.2. Diện tích các cửa thoát nước trên mạn chắn sóng tính theo mục 1.5.1.1 sẽ tăng nếu Đăng kiểm cho rằng độ cong dọc tàu không đủ để tàu nhanh chóng và hiệu quả tránh phủ nước.
1.5.3. Diện tích các cửa thoát nước trên mạn chắn sóng nhỏ nhất cho mỗi giếng tại boong thượng tầng phải không nhỏ hơn 1/2 của A ngoại trừ những nơi boong thượng tầng tạo boong công tác để làm cá thì diện tích tối thiểu không nhỏ hơn 75% của A.
1.5.4. Miền thuộc các cửa thoát nước trên mạn chắn sóng phải bố trí dọc chiều dài mạn chắn sóng đảm bảo rằng boong thoát nước nhanh và hiệu quả. Mép dưới phần này phải sát boong, nếu có thể. Hai phần ba của toàn bộ phần này mỗi mạn phải giúp cho 1/2 của giếng gần điểm thấp của đường cong dọc, và một số phần diện tích này nằm gần có thể mép giếng.
1.5.5. Kết cấu che chắn, bảo quản máy móc thiết bị trên boong bố trí thích hợp để hiệu quả của các cửa thoát nước trên mạn chắn sóng không bị xâm hại hoặc nước tràn lên boong. Chúng có thể khóa khi dùng, không gây khó cho xả nước tràn lên tàu.
1.5.6. Miền các cửa thoát nước trên mạn chắn sóng trên 0,3m phải có các thanh đặt cách nhau không quá 0,23 m không nhỏ hơn 0,15 m hoặc thiết bị khác có tác dụng bảo vệ. Che chắn các cửa thoát nước trên mạn chắn sóng, nếu có, phải là thiết kế được thẩm định. Không chốt các cửa thoát nước trên mạn chắn sóng, nhưng có thể lắp bằng tấm chắn bên ngoài bằng bản lề đặt phía trên và gờ bên trong. Các bố trí này không được làm giảm diện tích hữu hiệu các cửa thoát nước đang nêu. Mỗi tấm chắn hoặc nắp chắn cao su tại các cửa thoát nước trên mạn chắn sóng phải được gắn chặt với bản lề phía trên. Tấm chắn phải được đóng tự do, không bị dính. Bản lề làm từ vật liệu không bị han rỉ. Không có các thiết bị chốt các tấm này.
1.6. Kết cấu kín nước
Tàu cần phải được thiết kế sao cho khi vận hành bình thường thì không có khả năng nước biển lọt vào trong tàu. Khi đó cần phải thực hiện các yêu cầu chung sau:
1.6.1. Phải dự tính số cực tiểu các lỗ ở phần vỏ mạn tàu thấp hơn boong.
1.6.2. Tàu phải được trang bị, ngoài vách ngăn khoang mũi (vách chống va), còn ít nhất các vách ngăn kín nước bao quanh buồng máy. Các vách ngăn này kéo cao tới tận boong. Trên các tàu không boong, các vách ngăn kín nước của buồng máy cần phải được dựng đến tận mức cao nhất của chiều chìm vận hành.
1.6.3. Việc lắp đặt các cửa ra vào, các lỗ thông gió ở vách ngăn khoang mũi thấp hơn boong bị cấm.
1.6.4. Tất cả các lỗ ở vỏ tàu dẫn vào các phòng được bố trí thấp hơn boong phải được trang bị các phương tiện hữu hiệu ngăn chặn sự công phá của nước vào các khoang tàu.
1.6.5. Các lỗ ở trên boong mà có thể trong một thời gian dài được mở khi tiến hành đánh bắt hoặc khi tiến hành bốc dỡ hàng hóa cần phải được bố trí sao cho gần nhất đối với mặt cắt dọc tâm của tàu (càng gần càng tốt).
1.6.6. Lối đi vào các phòng cơ bản hoặc các khoang ở phía dưới boong (buồng máy, buồng sinh hoạt) tốt nhất nên bố trí trong thượng tầng hoặc cabin.
1.6.7. Các cửa để đi qua vào các cấu trúc trên boong (thượng tầng, cabin, hành lang), nắp hầm hàng, các cửa thông sáng và cửa sổ phải có độ bền tương đương với các thành phần kết cấu của vỏ tàu mà chúng được lắp vào.
1.7. Các cửa ra vào thượng tầng và cabin
1.7.1. Tất cả các cửa ra vào thượng tầng, cabin và lỗ khoét đặt ở vách biên của thượng tầng và cabin phải là loại cửa kín nước và chịu được tác động của biển.
1.7.2. Các cửa này phải có khả năng đóng mở nhanh chóng và phải đóng mở từ hai phía.
1.7.3. Các cửa phải được mở ra phía ngoài. Trường hợp không thể mở ra phía ngoài phải được Đăng kiểm xem xét và chấp nhận.
1.7.4. Độ cao gờ cửa ở vách biên thượng tầng không nhỏ hơn 0,38m, ở vách biên cabin nằm trên thượng tầng không nhỏ hơn 0,23m.
1.8. Các cửa hoặc lỗ khoét ở các vách ngang kín nước:
1.8.1. Số lượng các lỗ khoét hoặc cửa ở các vách ngang kín nước phải là nhỏ nhất, kết cấu cửa phải đảm bảo sao cho cửa có độ bền tương đương vách đặt cửa và đảm bảo kín nước.
1.8.2. Các cửa này phải được đóng/ mở thuận tiện và nhanh chóng từ cả hai phía
1.8.3. Các đường ống xuyên qua vách kín nước phải có ống bọc, đặt tấm nệm hoặc có kết cấu đảm bảo kín nước.
1.8.4. Cửa trên vách kín nước yêu cầu phải được đóng kín khi tàu đi biển.
1.9. Nắp hầm và thành quầy
1.9.1. Các lỗ khoét hoặc miệng hầm hàng ở boong trống trải phải có nắp đậy đủ bền và đảm bảo kín nước. Những nắp đậy kiểu này không được đóng từ phía trong.
1.9.2. Độ bền của nắp đậy thông thường tương đương với độ bền của boong đặt lỗ khoét hoặc miệng hầm hàng.
1.9.3. Nắp đậy có thể là kiểu bản lề, kiểu tháo lắp được v.v. miễn sao chúng đủ độ bền và đảm bảo kín nước.
1.9.4. Nói chung trong quá trình khai thác trên biển, các cửa hầm hoặc lỗ khoét trên boong phải thường xuyên đóng kín. Tuy nhiên những lỗ khoét nhỏ và được bố trí gần mặt phẳng dọc tâm có thể được mở khi cần thiết.
1.9.5. Chiều cao thành quầy của lỗ khoét hoặc miệng hầm hàng không được nhỏ hơn trị số sau đây:
1.9.5.1. Đối với nắp kiểu bản lề: 0,23m, hoặc độ cao mà khi tàu nghiêng đến 250 mép trên thành quầy không ngập nước, lấy trị số nào lớn hơn.
1.9.5.2. Đối với nắp đậy kiểu tháo lắp được chiều cao này không nhỏ hơn 0,30m hoặc độ cao mà khi tàu nghiêng đến 250 mép trên thành quầy không ngập nước, lấy trị số nào lớn hơn.
1.10. Các cửa thông sáng mạn và boong
1.10.1. Nói chung phải hạn chế đặt cửa thông sáng mạn đến mức tối đa có thể. Nếu phải đặt cửa thông sáng mạn thì trong mọi trường hợp mép dưới cửa phải cao hơn đường nước toàn tải ít nhất là 0,15m.
1.10.2. Cửa thông sáng mạn phải là cửa có kết cấu đủ bền và đảm bảo kín nước, ngoài kính ra còn phải có nắp thép kín nước kiểu bản lề và được đóng chặt khi cần thiết.
1.10.3. Đường kính cửa thông sáng mạn không được lớn hơn 0,25m.
1.10.4. Các cửa thông sáng boong phải là loại cửa có kết cấu bắt chặt không mở được. kết cấu cửa phải có độ bền tương đương vùng gắn cửa, vành cửa nên làm bằng thép hoặc hợp kim nhôm - magiê hoặc đồng thau. Kính sử dụng phải là kính chuyên dùng, cửa phải có nắp thép chống bão kiểu bản lề, khi cần thiết có thể đóng chặt bảo đảm kín nước. các tai hồng hoặc đai ốc sử dụng để đóng kín phải được làm bằng các chất liệu không rỉ.
1.10.5. Đường kính cửa thông sáng boong không được vượt quá 0,20m và có chấn song bảo vệ.
1.11. Thông gió
1.11.1. Các ống thông gió phải đặt càng gần mặt phẳng dọc tâm càng tốt; đồng thời phải bố trí chúng ở boong thượng tầng hoặc boong trên.
1.11.2. Các ống thông gió phải có kết cấu sao cho nước không thể tràn vào khi có mưa bão hoặc khi tàu nghiêng 250. Trong mọi trường hợp chiều cao ống thông gió không được nhỏ hơn 0,30m.
Chương 2. KẾT CẤU THÂN TÀU VỎ GỖ
2.1. Yêu cầu chung
2.1.1. Vật liệu:
2.1.1.1. Các loại gỗ dùng để chế tạo các cơ cấu của tàu phải phù hợp với quy định sau:
a) Gỗ dùng để đóng tàu phải có khối lượng riêng tối thiểu bằng 0,7 tấn/m3, độ ẩm không quá 15%, không bị xiên thớ và phải phù hợp với những quy định của Bảng 1/2.
Bảng 1/2. Định mức khuyết tật cho phép của gỗ
|
TT |
Đặc tính chất lượng chung |
Dạng khuyết tật cho phép |
Ví dụ mô tả |
||
|
Loại 1 |
Loại 2 |
||||
|
(1) |
Tính chất chung |
Đối với gỗ được sấy khô nhân tạo, cho phép có các vệt màu xanh và vệt cứng màu xám. Không cho phép: có các khe nứt do băng giá, chỗ hư hỏng do sâu bọ, chỗ hư hỏng bởi cây ký sinh, chỗ nứt vòng, chỗ mục đỏ, chỗ mục trắng, các dải đỏ |
- Cho phép có các vệt màu xanh, các hư hỏng bề mặt do sâu bọ, các dải cứng màu xám và đỏ. - Không cho phép: có các khe nứt do băng giá, chỗ hư hỏng bởi cây ký sinh, chỗ mục đỏ, chỗ mục trắng |
- |
|
|
(2) |
Chất lượng cắt |
Tùy theo phạm vi áp dụng được Đăng kiểm chấp thuận để đánh giá các khuyết tật của gỗ. |
- |
||
|
(3) |
Chiều rộng của vòng năm |
Đối với vòng nằm ngoài tại 50% mặt cắt ngang của vật cắt tính tới bề mặt lớn nhất là 4 mm. Nếu chiều rộng vòng năm ở mặt cắt ngang của phiến gỗ khác nhau, thì để xác định dùng phiến gỗ có chiều rộng vòng năm lớn nhất. |
- |
||
|
(4) |
Mắt cây |
Những mắt cây chưa hỏng và xếp đặc phải được xét tới nếu đường kính mắt ở gỗ tấm lớn hơn 10 mm, ở gỗ súc lớn hơn 20 mm. |
- |
||
|
(4.1) |
Những mắt đơn |
Mắt đơn không được vượt quá các giá trị nêu từ (i) đến (iii) mục này dưới đây: |
- |
||
|
(i) |
Gỗ súc |
d1/b = d2/h ≤ 1/5 |
d1/b = d2/h ≤ 1/3 |
|
|
|
(ii) |
Gỗ tấm |
a1 + a2 + a3/2b ≤ 1/5 |
a1 + a2 + a3/2b ≤ 1/3 |
|
|
|
(ii) |
Gỗ tròn |
a/d ≤ 1/6 |
a/d ≤ 1/4 |
|
|
|
(4.2) |
Các mắt cây tập hợp trên chiều dài 150 mm |
Kích thước và số lượng mắt cây không được vượt quá các giá trị nêu từ (i) đến (iii) mục này dưới đây:
|
- |
||
|
(i) |
Gỗ súc |
d1 + d2/b ≤ 2/5 |
d1 + d2/b ≤ 2/3 |
|
|
|
(ii) |
Gỗ tấm |
a1 + a2 + … + |
a1 + a2 + … + |
|
|
|
(iii) |
Gỗ tròn |
a1 + a2 + a3/d ≤ 1/3 |
a1 + a2 + a3/d ≤ 1/2 |
|
|
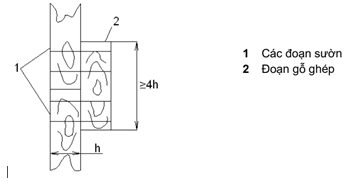
|
(5) |
Thớ xiên đo theo vết nứt trên chiều dài 1000 mm |
a ≤ 100 mm |
a ≤ 200 mm |
|
|
|
(6) |
Lệch thớ, đo theo hướng thớ trên chiều dài 1000 mm |
aF ≤ 70 mm |
aF ≤ 120 mm |
|
|
b) Gỗ nhóm I nhóm II và nhóm III được dùng để chế tạo khung xương của tàu. Không được dùng gỗ nhóm IV, nhóm V và nhóm VI để làm sườn, sống mạn và mã nối, sống đuôi, sống mũi, trục lái, ống bao trục chân vịt và bệ máy.
c) Ván vỏ vùng dưới đường nước phải là gỗ nhóm II hoặc nhóm III. Ván vỏ vùng trên đường nước và ván boong có thể là gỗ nhóm IV. Ván boong, ván mạn và ván vách biên của thượng tầng và của lầu có thể là gỗ nhóm V. Ván vách ngang kín nước có thể là gỗ nhóm IV.
d) Ngoài ra, gỗ còn phải thỏa mãn các quy định khác của các tiêu chuẩn quốc gia đã công bố sau đây:
TCVN 1072 -71 Gỗ - Phân nhóm theo tính chất cơ lý.
TCVN 1073 - 71 Gỗ tròn - Kích thước cơ bản.
TCVN 1074 - 71 Gỗ tròn - Khuyết tật.
TCVN 1075 - 71 Gỗ xẻ - Kích thước cơ bản.
TCVN 1076 - 71 Gỗ xẻ - Tên gọi và định nghĩa gỗ ở trạng thái độ ẩm 15%.
2.1.1.2. Kích thước của gỗ xẻ tính toán được theo Quy chuẩn này phải được lấy tròn đến trị số gần nhất và lớn hơn quy định trong TCVN 1075 - 71.
2.1.1.3. Gỗ dùng để đóng tàu được phân thành 6 nhóm theo TCVN 1072-71.
2.1.2. Quy cách các cơ cấu thân tàu
Quy cách các cơ cấu thân tàu được xác định theo các bảng từ 4/2 đến 25/2, phụ thuộc vào các thông số kích thước cơ bản của tàu: L, B, D.
Kết cấu thân tàu vỏ gỗ có quan hệ kích thước như sau:
12m ≤ Lmax < 24m
7 ≤ L/D ≤ 10
3 ≤ L/B ≤ 4,5
3 ≤ l = D + B/2 ≤ 7
10 ≤ β = B(L/10 +2) ≤ 30.
2.2. Kích thước các cơ cấu thân tàu

Hình 2. Các cơ cấu chính của thân tàu
Chú thích:
|
1. |
Sống dưới đáy |
25. |
Xà dọc trần cabin |
|
2. |
Thanh đệm sống đáy |
26. |
Xà ngang trần cabin |
|
3. |
Sống trên đáy |
27. |
Ván trần cabin |
|
4. |
Thanh dọc đáy |
28. |
Ván sàn cabin |
|
5. |
Thanh dọc hông |
29. |
Tấm phủ mạn chắn sóng |
|
6. |
Thanh dọc mạn |
30. |
Chống va (ván đai mạn) |
|
7. |
Thanh đỡ xà boong cụt |
31. |
Ván lót hầm cá |
|
8. |
Thanh đỡ xà ngang boong |
32. |
Xà ngang lỗ khoét |
|
9. |
Thanh kề sống đáy |
33. |
Vây giảm lắc |
|
10. |
Sườn (cong giang) |
34. |
Ke góc hông (mã hông) |
|
11. |
Xà ngang boong cụt |
35. |
Thanh dọc hông ngoài (ván đai hông) |
|
12. |
Trụ vách |
36. |
Đà ngang đáy |
|
13. |
Ván vỏ (mạn và đáy) |
37. |
Mã nối đà ngang đáy. |
|
14. |
Ván boong |
|
|
|
15. |
Sống dọc nền cabin |
|
|
|
16. |
Ván ốp trong mạn chắn sóng |
|
|
|
17. |
Ván ốp ngoài mạn chắn sóng |
|
|
|
18. |
Ván viền boong |
|
|
|
19. |
Sống dọc miệng hầm |
|
|
|
20. |
Xà ngang boong |
|
|
|
21. |
Cột cabin |
|
|
|
22. |
Bệ máy |
|
|
|
23. |
Thanh đỡ sàn cabin |
|
|
|
24. |
Ván vách cabin |
|
|

Hình 3. Sống mũi và sống lái
2.2.1. Sống dưới đáy
2.2.1.1. Sống dưới đáy phải có mặt cắt liền nhưng nếu mối nối các đoạn sống là theo kiểu mối nối có ngạnh thì sống dưới đáy có thể là mặt cắt ghép 2 hoặc ghép 3.
2.2.1.2. Chiều dài cạnh ngắn (cm) mặt cắt ngang của sống dưới đáy không nhỏ hơn trị số cho trong Bảng 4/2.
2.2.1.3. Tại mỗi phần: phần mũi tàu, phần đuôi tàu và phần giữa tàu chỉ được bố trí nhiều nhất một mối nối sống dưới đáy.
2.2.1.4. Mối nối sống dưới đáy không được đặt dưới bệ máy, ở vị trí vách ngang hoặc mặt cắt đầu miệng khoang, khoảng cách tối thiểu từ mối nối đến các vị trí nêu trên tối thiểu phải bằng 2 khoảng sườn.
2.2.2. Thanh đệm sống đáy
2.2.2.1. Mặt cắt thanh đệm sống đáy có thể là liền, ghép 2 hoặc ghép 3. Mặt cắt mỗi phần tử của thanh phải có chiều rộng vào khoảng 140 đến 160 mm, chiều dày phải không nhỏ hơn 1/4 chiều rộng.
2.2.2.2. Diện tích mặt cắt thanh đệm sống đáy ít nhất phải bằng 2 lần diện tích mặt cắt sống dưới đáy.
2.2.3. Sống trên đáy
2.2.3.1. Sống trên đáy phải là sống liền. Nếu không thể làm sống liền thì có thể dùng sống đáy nối đôi và mối nối các đoạn sống phải là mối nối gài.
2.2.3.2. Chiều dài cạnh ngắn (cm) mặt cắt ngang của sống trên đáy không được nhỏ hơn trị số cho trong Bảng 4/2.
2.2.3.3. Có thể chỉ đặt một sống đáy mặt cắt liền thay cho sống dưới đáy và sống trên đáy nhưng mặt cắt của sống đáy mặt cắt liền tối thiểu không nhỏ hơn tổng diện tích của sống dưới đáy và sống trên đáy.
Bảng 4/2. Kích thước mặt cắt vuông của các cơ cấu (cm)
|
Cơ cấu |
Nhóm gỗ |
L (m) |
||||
|
12≤ L<15 |
15≤ L<18 |
18≤ L<21 |
21≤ L<23 |
L ≥ 23 |
||
|
|
I |
16 |
17 |
18,5 |
19,5 |
21 |
|
Sống dưới đáy |
II |
17,5 |
18,5 |
20 |
21,5 |
23 |
|
|
III |
18,5 |
20 |
21,5 |
23 |
24,5 |
|
|
I |
18,5 |
20 |
21,5 |
23 |
25 |
|
|
II |
20,5 |
22 |
23,5 |
25 |
27 |
|
Sống trên đáy |
III |
22 |
23,5 |
25 |
27 |
29 |
|
|
II |
12 |
13 |
15 |
16 |
16,5 |
|
|
III |
13 |
14 |
16 |
17 |
18 |
2.2.4. Thanh dọc đáy
2.2.4.1. Nếu tàu có chiều dài từ 21 m trở lên và chiều rộng từ 4,8 m trở lên phải đặt 02 thanh dọc đáy mỗi bên mạn. Ở những tàu khác mỗi bên mạn cho phép đặt 01 thanh dọc đáy. Thanh dọc đáy phải là thanh liền. Tuy nhiên có thể dùng dạng thanh nối ghép 2 hoặc 3, nếu mối nối các đoạn thanh dọc đáy là mối nối gài.
2.2.4.2. Tại mỗi phần: phần mũi tàu, phần đuôi tàu và phần giữa tàu, chỉ được bố trí nhiều nhất 01 mối nối thanh dọc đáy.
2.2.4.3. Trong buồng máy, nếu thanh dọc đáy trùng với thanh dọc bệ máy thì ở đó thanh dọc bệ máy được coi là thanh dọc đáy và các đoạn thanh dọc đáy ở ngoài vùng buồng máy phải được nối ốp với thành dọc bệ máy (Bảng 19/2- Quy cách các mối nối).
2.2.4.4. Thanh dọc đáy phải được đặt trực tiếp lên mặt trên của đà ngang đáy và được liên kết với đà ngang đáy bằng bu lông và đinh thuyền.
2.2.4.5. Diện tích của mặt cắt ngang thanh dọc đáy (hoặc tổng diện tích mặt cắt ngang hai thanh dọc đáy nếu đặt hai thanh dọc đáy theo 2.2.4.1 không được nhỏ hơn trị số cho trong Bảng 5/2.
Bảng 5/2. Diện tích mặt cắt thanh dọc đáy (cm2)
|
|
L(m) |
||||||
|
Nhóm gỗ |
12≤L<15 |
15≤L<18 |
18≤L<21 |
B < 4,8 |
B ≥ 4,8 |
B < 4,8 |
B ≥ 4,8 |
|
|
21≤L<23 |
23≤L<24 |
|||||
|
I |
80 |
100 |
120 |
135 |
200 |
165 |
250 |
|
II |
90 |
110 |
145 |
165 |
250 |
200 |
300 |
|
III |
100 |
120 |
170 |
200 |
300 |
230 |
350 |
2.2.4.6. Các thanh dọc bệ máy phải có chiều dài lớn hơn chiều dài máy và phải kéo dài quá về phía mũi và phía đuôi ít nhất 2 khoảng sườn mỗi phía. Các thanh dọc bệ máy phải được liên kết với nhau ít nhất bằng 3 thanh giằng ngang. Chiều dài cạnh ngắn mặt cắt ngang của thanh dọc bệ máy và của thanh giằng ngang phải không nhỏ hơn trị số cho trong Bảng 6/2.
Bảng 6/2. Kích thước bệ máy
|
Công suất máy chính (Ne, KW) |
Ne < 35 |
35≤ Ne <75 |
75≤ Ne <150 |
150≤ Ne <225 |
225≤ Ne <375 |
Ne ≥375 |
|
Kích thước mặt cắt vuông của thanh dọc bệ máy và của thanh giằng ngang bệ máy (cm) |
27 |
30 |
33 |
36 |
39 |
42 |
2.2.5. Thanh dọc hông
2.2.5.1. Ở mỗi bên mạn tàu, tại mặt trong của hông phải đặt ít nhất 2 thanh dọc hông, có chiều rộng tối thiểu bằng 20 cm mỗi thanh, kề nhau. Hoặc đặt một thanh dọc hông có diện tích mặt cắt tương đương 2 thanh. Về hai phía mũi lái có thể giảm dần chiều rộng các thanh dọc hông nhưng không được nhỏ hơn 2/3 trị số nêu trên.
2.2.5.2. Thanh dọc hông có thể nối với nhau từ các đoạn bằng mối nối gài (có ngạnh) hoặc có thể dùng mối nối táp nếu Đăng kiểm chấp nhận.
2.2.5.3. Chiều dày thanh dọc hông không được nhỏ hơn trị số cho trong Bảng 7/2.
Bảng 7/2. Chiều dày của thanh dọc hông (cm)
|
Nhóm gỗ |
L(m) |
||||
|
12≤ L<15 |
15≤ L<18 |
18≤ L<21 |
21≤ L<23 |
L ≥ 23 |
|
|
I |
4,0 |
4,5 |
5 |
5,5 |
6 |
|
II |
4,0 |
4,5 |
5,5 |
6,5 |
7 |
|
III |
5,0 |
5,5 |
6,5 |
7,5 |
8 |
2.2.6. Thanh dọc mạn
2.2.6.1. Những tàu có chiều cao mạn lớn hơn và bằng 2,5m, ở mỗi bên mạn phải đặt ít nhất 1 thanh dọc mạn trực tiếp lên trên mặt trong của thanh sườn.
2.2.6.2. Thanh dọc mạn phải là thanh liền; tuy nhiên nếu dùng mối nối gài thì thanh dọc mạn có thể là thanh ghép 2 hoặc ghép 3.
2.2.6.3. Trong mỗi phần thân tàu được quy định tại 1.3.2.8 Chương 1, Phần I, không được bố trí quá 1 mối nối thanh dọc mạn.
2.2.6.4. Diện tích của mặt cắt thanh dọc không được nhỏ hơn trị số cho trong Bảng 8/2.
Bảng 8/2. Diện tích mặt cắt thanh dọc mạn (cm2)
|
Nhóm gỗ |
L(m) |
|||
|
15≤ L<18 |
18≤ L<21 |
21≤ L<23 |
L ≥ 23 |
|
|
I |
110 |
120 |
130 |
140 |
|
II |
130 |
140 |
150 |
160 |
|
III |
150 |
160 |
170 |
180 |
2.2.7. Thanh đỡ đầu xà ngang boong
2.2.7.1. Tàu phải có thanh đỡ đầu xà ngang boong. Nếu tàu có chiều cao mạn bằng và lớn hơn 2,5m, phải tăng diện tích của mặt cắt thanh đỡ đầu xà ngang boong từ 10 + 20% trị số trong Bảng 9/2.
2.2.7.2. Mối nối các đoạn thanh đỡ đầu xà ngang boong phải là mối nối gài. Ở gần mặt cắt ngang thân tàu, có miệng khoang, không được bố trí mối nối các thanh đỡ đầu xà ngang boong trong cùng một mặt phẳng sườn.
2.2.6.3. Kích thước của mặt cắt ngang thanh đỡ đầu xà ngang boong, không được nhỏ hơn trị số cho trong Bảng 9/2.
2.2.8. Thanh đè đầu xà ngang boong
2.2.8.1. Kích thước của mặt cắt thanh đè đầu xà ngang không được nhỏ hơn trị số cho trong Bảng 9/2.
2.2.8.2. Mối nối các thanh đè đầu xà ngang boong phải là mối nối ngạnh và không được đặt ở mặt cắt ngang thân tàu nơi có đầu miệng khoang.
Bảng 9/2. Kích thước thanh đỡ đầu xà ngang boong trên, thanh phụ đỡ đầu xà ngang boong trên, thanh đè đầu xà ngang boong trên
|
Cơ cấu |
Nhóm gỗ |
L (m) |
||||
|
12≤ L<15 |
15≤ L<18 |
18≤ L<21 |
21≤ L<23 |
L ≥ 23 |
||
|
Thanh đỡ đầu xà ngang boong trên (chiều rộng x chiều dày) |
I |
21x4,5 |
21x5,5 |
24x6,5 |
24x7 |
24x7,5 |
|
II |
21x5,5 |
21x6,5 |
24x7,5 |
24x8 |
24x8,5 |
|
|
III |
21x6,5 |
21x7,5 |
24x9 |
24x9 |
24x9,5 |
|
|
Thanh phụ đỡ đầu xà ngang boong trên (chiều rộng x chiều dày) |
I |
21x3,5 |
21x4,5 |
21x4,5 |
21x5 |
21x5 |
|
II |
21x4 |
21x5 |
21x5 |
21x6 |
21x6 |
|
|
III |
21x5 |
21x6 |
21x6 |
21x7 |
21x7 |
|
|
Thanh đè đầu xà ngang boong trên (chiều rộng x chiều dày) |
I |
21x6 |
21x7 |
24x8 |
24x9 |
24x9 |
|
II |
21x7 |
21x8 |
24x9 |
24x10 |
24x10 |
|
|
III |
21x8 |
21x9 |
24x10,5 |
24x10,5 |
24x10,5 |
|
2.2.9. Sống mũi, sống đuôi
2.2.9.1. Sống mũi
a) Sống mũi phải là thanh liền, chỉ ở phần nối với sống đáy mới được phép nối ghép.
b) Mối nối sống mũi với sống đáy phải là mối nối gài và được táp hai miếng thép ở hai bên, miếng táp này phải có độ bền tương đương với độ bền của cơ cấu gỗ tại mặt cắt được nối.
c) Diện tích của mặt cắt ngang sống mũi không được nhỏ hơn trị số cho trong Bảng 10/2.
2.2.9.2. Sống đuôi
a) Sống đuôi phải là thanh liền, chỉ có phần nối với sống đáy mới được phép nối ghép. Ở hai bên mối nối với sống đáy có thể được táp hai miếng thép có độ bền tương đương với độ bền của cơ cấu gỗ tại mặt cắt được nối.
b) Diện tích của mặt cắt ngang sống đuôi không được nhỏ hơn trị số cho trong Bảng 10/2.
c) Ở vùng lỗ luồn trục chân vịt, diện tích của mặt cắt mỗi nửa sống đuôi không được nhỏ hơn 3/5 diện tích của mặt cắt sống đuôi (theo Bảng 10/2). Chiều dày của mỗi nửa sống đuôi ít nhất phải bằng 1/2 chiều dày sống đuôi (theo Bảng 10/2).
2.2.9.3. Liên kết sống mũi, sống đuôi với sườn xiên
a) Phải đặt bổ sung các thanh gia cường sống mũi và thanh ốp gia cường sống đuôi để liên kết chân sườn xiên. Kích thước của các thanh gia cường tối thiểu phải bằng kích thước của chân sườn xiên liên kết với nó.
b) Ở phần dưới boong trên, theo những khoảng cách đều nhau, phải đặt các mã liên kết sống mũi với mạn tàu, sống đuôi với mạn tàu. Kích thước mã liên kết được quy định ở Bảng 14/2 Số lượng mã được quy định như sau:
Bằng 1 nếu D < 1,5 m.
Bằng 2 nếu 1,5 ≤ D ≤ 3,0 m.
Bằng 3 nếu D > 3,0 m.
Bảng 10/2. Kích thước mặt cắt vuông của các cơ cấu (cm)
|
Cơ cấu |
Nhóm gỗ |
L (m) |
||||
|
12≤ L<15 |
15≤ L<18 |
18≤ L<21 |
21≤ L<23 |
L ≥ 23 |
||
|
Sống mũi, sống đuôi và trục bánh lái |
I |
16 |
17 |
18,5 |
19,5 |
21 |
|
II |
17,5 |
18,5 |
20 |
21,5 |
23 |
|
|
III |
18,5 |
20 |
21,5 |
23 |
24,5 |
|
|
II |
20,5 |
22 |
23,5 |
25 |
27 |
|
|
III |
22 |
23,5 |
25 |
27 |
29 |
|
|
Thanh kề sống đuôi |
I |
11 |
12 |
13,5 |
14,5 |
15,5 |
|
II |
12 |
13 |
15 |
16 |
16,5 |
|
|
III |
13 |
14 |
16 |
17 |
18 |
|
2.2.10. Sườn và đà ngang đáy
2.2.10.1. Thanh sườn phải được đặt trong mặt phẳng vuông góc với mặt phẳng dọc tâm tàu. Chỉ trong trường hợp đặc biệt, ở vùng mũi tàu và đuôi tàu, mới dùng sườn xiên (sườn không nằm trong mặt phẳng vuông góc với mặt phẳng dọc tâm tàu). Sườn xiên phải được nối gài vào thanh gia cường sống mũi và thanh ốp gia cường sống đuôi.
2.2.10.2. Khoảng sườn (khoảng cách giữa 2 tâm của hai mặt cắt thanh sườn kề nhau) không được lớn hơn trị số tính theo công thức sau đây:
S = L + 20cm
Trong đó: L chiều dài tàu, tính bằng mét.
Ở vùng buồng máy và ở vùng có miệng lỗ khoét có chiều dài bằng và lớn hơn 5m thì khoảng sườn không được vượt quá: 0,9(L+20), cm
Đối với các sườn xiên, khoảng sườn được xác định như sau:
- Ở độ cao của boong trên: S = L + 20 cm
- Ở độ cao của đường đáy tàu: S = 2(L + 20) / 3 cm
2.2.10.3. Có hai kiểu thanh sườn được sử dụng:
a) Sườn đơn (mặt cắt liền) là 1 thanh liên tục ở mỗi bên mạn. Có thể liên kết sườn với đà ngang đáy bằng mối nối gài hoặc nối táp (nối đối đầu và có đoạn gỗ táp - xem Hình 4) hoặc táp trực tiếp.
b) Sườn kép (mặt cắt kép) gồm 2 thanh có mặt cắt bằng nhau ghép lại. Chiều dài của đoạn ở đáy phải bằng hoặc lớn hơn B/3 (m). Mỗi thanh sườn kép có thể gồm các đoạn nối táp với nhau, nên đặt mối nối ở mỗi thanh sườn so le nhau (xem Hình 10).

Hình 4. Mối nối táp sườn đơn
2.2.10.4. Diện tích của mặt cắt ngang sườn đơn và của 1 trong 2 thanh sườn kép phải không nhỏ hơn trị số cho trong Bảng 11/2 phụ thuộc vào trị số: l = D + B/2.
Diện tích của mặt cắt ở đỉnh sườn xiên (tại độ cao boong) tối thiểu phải bằng 3/4 diện tích tiết diện 1 của sườn cho trong Bảng 11/2.
Diện tích của mặt cắt chân sườn (ở độ cao đường đáy tàu) tối thiểu phải bằng 4/3 diện tích của mặt cắt 3 sườn cho trong Bảng 11/2.
2.2.10.5. Nếu quy cách sườn không nhỏ hơn trị số cho trong Bảng 11/2 và thỏa mãn điều kiện dưới đây, thì có thể tăng khoảng cách sườn lên đến trị số không lớn hơn 1,25 lần trị số a như quy định ở 2.2.9.2 nói trên:
|
b0.h0 |
< |
b.h |
|
S0 |
S |
Trong đó:
- b - chiều rộng thực chọn của mặt cắt sườn (đo theo phương dọc tàu).
- h - chiều cao thực chọn của mặt cắt sườn (đo theo phương ngang tàu).
- S - khoảng cách sườn thực tế của các sườn đang xét.
- b0, h0, S0 - là chiều rộng, chiều cao của mặt cắt sườn và khoảng sườn (Hình 5).
2.2.10.6. Có thể làm sườn mặt cắt hình chữ nhật, nhưng phải thỏa mãn hai điều kiện sau:
a) Diện tích của mặt cắt ngang không nhỏ hơn trị số cho trong Bảng 11/2.
b) Tỷ lệ giữa chiều rộng mặt cắt và chiều cao mặt cắt (b/h) không nhỏ hơn 0,7 (hướng đặt như Hình 5).
2.2.10.7. Đà ngang đáy: Diện tích của mặt cắt ngang đà ngang đáy tối thiểu phải bằng 4/3 diện tích của mặt cắt 3 của sườn cho trong Bảng 11/2 hoặc lấy bằng 1,1 ÷ 1,2 lần mặt cắt ngang của sườn.

Hình 5. Khoảng cách sườn S
Bảng 11/2. Kích thước mặt cắt vuông của sườn (cm)
|
l = D+B/2 (m) |
l < 3,5 |
3,5 ≤ l <4,0 |
4,0 ≤ l <4,5 |
4,5≤ l <5,0 |
|||||||||||
|
Cơ cấu |
Nhóm gỗ |
Các mặt cắt (*) |
|||||||||||||
|
1 |
2 |
3 |
1 |
2 |
3 |
1 |
2 |
3 |
1 |
2 |
3 |
||||
|
Sườn đơn (**) |
I |
7,0 |
7,5 |
9,0 |
7,5 |
9,0 |
10 |
8,5 |
10,5 |
12 |
10 |
12 |
13 |
||
|
II |
7,5 |
9,0 |
10 |
8,5 |
10 |
11 |
9,5 |
11,5 |
13 |
11 |
13 |
14,5 |
|||
|
III |
8,0 |
9,5 |
11 |
9,0 |
11 |
12 |
10 |
12,5 |
14 |
12 |
14 |
16 |
|||
|
Sườn kep(**) |
I |
5,0 |
6,5 |
7,0 |
5,5 |
7,0 |
8,0 |
6,0 |
8,0 |
9,5 |
7,5 |
9,0 |
10,5 |
||
|
II |
5,5 |
7,0 |
8,0 |
6,5 |
8,0 |
9,0 |
7,5 |
9,0 |
10,5 |
8,5 |
10 |
11,5 |
|||
|
III |
6,0 |
7,5 |
9,0 |
7,0 |
8,5 |
9,5 |
8,0 |
10 |
11,5 |
9,0 |
11 |
12,5 |
|||
|
l = D+B/2 (m) |
5,0 ≤ l <5,5 |
5,5≤ l <6,0 |
6,0≤ l <6,5 |
6,5≤ l <7,0 |
|||||||||||
|
Cơ cấu |
Nhóm gỗ |
Các mặt cắt (*) |
|||||||||||||
|
1 |
2 |
3 |
1 |
2 |
3 |
1 |
2 |
3 |
1 |
2 |
3 |
||||
|
Sườn đơn (**) |
I |
11 |
13,5 |
15 |
12 |
15 |
17 |
13,5 |
17 |
19 |
15 |
18,5 |
21 |
||
|
II |
12 |
15 |
16,5 |
13 |
16,5 |
18,5 |
14,5 |
18,5 |
20,5 |
16 |
20 |
22,5 |
|||
|
III |
13 |
16 |
17,5 |
14 |
17,5 |
20 |
15,5 |
20 |
22 |
17 |
22 |
24 |
|||
|
Sườn kep(**) |
I |
8,5 |
10,5 |
12 |
9,0 |
11,5 |
13,5 |
10 |
13 |
15 |
11,5 |
14,5 |
16,5 |
||
|
II |
9,5 |
11,5 |
13 |
10 |
13 |
15 |
11 |
14,5 |
15,5 |
12,5 |
15,5 |
18 |
|||
|
III |
10 |
12 |
14 |
11 |
14 |
16 |
12 |
15,5 |
17,5 |
13,5 |
16,5 |
19 |
|||
Chú thích:
(*) Mặt cắt 1: Mặt cắt đầu trên sườn ở độ cao của boong trên
Mặt cắt 2: Mặt cắt trung gian sườn ở hông tàu
Mặt cắt 3: Mặt cắt đầu dưới sườn ở đáy tàu.
(**) Sườn đơn: Kích thước cho trong Bảng là kích thước mặt cắt vuông góc của thanh sườn
Sườn kép: Kích thước cho trong Bảng là kích thước mặt cắt vuông góc của mỗi thanh sườn kép.
2.2.11. Xà ngang boong và lỗ khoét trên boong
2.2.11.1. Khoảng cách các xà ngang boong không được lớn hơn 2 khoảng sườn. Xà ngang boong, trừ các xà ngang đầu miệng khoang, phải được đặt trong cùng một mặt phẳng sườn. Xà ngang boong của vùng boong lộ thiên phải có độ cong phù hợp để thoát nước.
2.2.11.2. Diện tích của mặt cắt ngang xà ngang boong, trừ xà ngang đầu miệng khoang và xà ngang boong cụt, không được nhỏ hơn trị số cho trong Bảng 12/2.
2.2.11.3. Chiều cao của mặt cắt ngang xà ngang boong có thể giảm dần đến bằng 9/10 trị số cho trong Bảng 12/2 ở hai mạn tàu. Diện tích của mặt cắt ngang xà ngang cụt có chiều dài nhỏ hơn và bằng 0,25B có thể lấy bằng 0,65 trị số tương ứng trong Bảng 12/2; nếu xà ngang cụt có chiều dài lớn hơn 0,25B thì mặt cắt ngang có thể lấy bằng 0,75 trị số cho trong Bảng.
2.2.11.4. Diện tích của mặt cắt ngang xà ngang đầu miệng khoang và thanh dọc mép miệng khoang không được nhỏ hơn trị số cho trong Bảng 12/2 nhân với hệ số m (Bảng 13/2) phụ thuộc vào l - tỷ số giữa chiều dài miệng khoang và khoảng cách giữa các xà ngang boong được quy định ở 2.2.11.1 nói trên (nếu có cột chống ở mặt phẳng dọc tâm đỡ xà ngang đầu miệng khoang thì lấy B=2B/3).
2.2.11.5. Khoảng cách xà ngang boong có thể được tăng lên đến trị số không lớn hơn 1,25 trị số tương ứng như quy định ở 2.2.11.1 nói trên, nếu diện tích của mặt cắt ngang xà ngang boong tăng lên và thỏa điều kiện:
|
b0.h02 |
< |
b.h2 |
|
S0 |
S |
Trong đó:
- b - chiều rộng thực chọn của mặt cắt ngang xà ngang boong (đo theo phương dọc tàu).
- h - chiều cao thực chọn của mặt cắt ngang xà ngang boong (đo theo phương thẳng đứng).
- S - khoảng cách sườn thực tế của các sườn đang xét.
- b0, h0, S0 - là chiều rộng, chiều cao của mặt cắt sườn và khoảng sườn theo Quy chuẩn.
Bảng 12/2. Kích thước mặt cắt vuông xà ngang boong, thanh dọc mép miệng khoang và xà ngang đầu miệng khoang (cm)
|
Cơ cấu |
Nhóm gỗ |
B (m) |
|||||||
|
B<3,5 |
3,5≤ B<4 |
4≤ B<4,5 |
4,5≤ B<5 |
5≤ B<5,5 |
5,5≤ B<6 |
6≤ B<6,5 |
6,5≤ B<7 |
||
|
Xà ngang boong, thanh dọc mép miệng khoang |
I |
9,5 |
10.5 |
11,5 |
12,5 |
15,5 |
14,5 |
15,5 |
17 |
|
II |
10,5 |
11,5 |
12,5 |
15,5 |
14,5 |
16 |
17 |
18,5 |
|
|
III |
11,5 |
12,5 |
13,5 |
14,5 |
16 |
17 |
18 |
20 |
|
|
Xà ngang đầu miệng khoang |
I |
15 |
16,5 |
18,5 |
20 |
21,5 |
23 |
24,5 |
27 |
|
II |
16,5 |
18 |
20 |
21,5 |
23 |
25,5 |
27 |
29,5 |
|
|
III |
18 |
20 |
21,5 |
23 |
25,5 |
27 |
28,5 |
32 |
|
Bảng 13/2. Hệ số m
|
Tỷ số giữa chiều dài miệng khoang và khoảng cách xà ngang boong theo Quy định |
λ < 2 |
2< λ <5 |
5< λ <7 |
7< λ <9 |
9< λ <11 |
|
Xà ngang đầu miệng khoang |
0,7 |
0,85 |
1,0 |
1,1 |
1,25 |
|
Sống dọc boong |
0,8 |
1,0 |
1,2 |
1,35 |
1,5 |
2.2.11.6. Tại những vị trí trên boong có máy móc, thiết bị hoặc khó thoát nước...phải tăng kích thước của các cơ cấu boong hoặc phải gia cường các cơ cấu boong một cách thích đáng, theo sự thỏa thuận với Đăng kiểm.
2.2.11.7. Mọi xà ngang boong, xà ngang boong cụt có chiều dài > B/4 đều phải nối với các cơ cấu mạn bằng mã ke. Chiều dày mã ke phải bằng và lớn hơn 0,65 chiều rộng của mặt cắt xà ngang boong. Các kích thước khác của mã ke phải không nhỏ hơn trị số cho ở Bảng 14/2. Nếu xà ngang được đặt ở mỗi mặt sườn thì các mã sườn được đặt cách nhau một khoảng sườn, khi đó quy cách mã được lấy theo Bảng 14/2 nhưng với B = B + 1.
2.2.11.8. Trong mọi trường hợp, xà ngang đầu miệng khoang phải được nối với cơ cấu mạn bằng mã ke.
Nếu tàu có chiều dài miệng khoang bằng và lớn hơn 3,5 lần khoảng cách xà ngang boong như quy định ở 2.2.11.5 nói trên, thì xà ngang đầu miệng khoang phải được nối với cơ cấu mạn bằng mã ke và nối với xà dọc chính boong (dọc tâm) bằng 2 mã ke ở hai bên sống. Nếu tàu có chiều dài miệng khoang bằng và lớn hơn 5 lần khoảng cách xà ngang boong được quy định ở 2.2.11.5 thì ngoài mã ke nối với xà dọc chính boong, mỗi đầu xà miệng khoang phải được nối với cơ cấu mạn bằng 2 mã ke. Kích thước của mã ke không nhỏ hơn trị số ghi ở Bảng 14/2, chiều dày của mã ke (đo theo phương dọc tàu) không được nhỏ hơn 0,65 lần chiều rộng xà ngang đầu miệng khoang.
Bảng 14/2. Kích thước mã (cm)
|
Cơ cấu
|
B, m |
Hình dạng mã
|
a |
b |
c |
d |
|
Mã nối xà ngang boong, xà ngang cụt, xà ngang đầu miệng khoang với cơ cấu mạn và sống dọc tâm boong |
B < 3,5 |
|
30 |
45 |
15 |
7,5 |
|
3,5≤ B <4,0 |
35 |
50 |
16 |
8 |
||
|
4,0≤ B <4,5 |
40 |
60 |
17 |
8,5 |
||
|
4,5≤ B <5,0 |
45 |
65 |
18 |
9 |
||
|
5,0≤ B <5,5 |
50 |
75 |
20 |
10 |
||
|
5,5≤ B <6,0 |
55 |
80 |
22 |
11 |
||
|
6,0≤ B <6,5 |
60 |
90 |
24 |
12 |
||
|
6,5≤ B <7,0 |
65 |
95 |
26 |
13 |
||
|
Mã ở sống |
B < 3,5 |
|
70 |
18 |
9 |
|
|
3,5≤ B <4,0 |
80 |
19 |
9,5 |
|||
|
4,0≤ B <4,5 |
90 |
20 |
10 |
|||
|
4,5≤ B <5,0 |
100 |
21 |
10,5 |
|||
|
5,0≤ B <5,5 |
110 |
23 |
11,5 |
|||
|
5,5≤ B <6,0 |
120 |
25 |
12,5 |
|||
|
6,0≤ B <6,5 |
130 |
27 |
13,5 |
|||
|
6,5≤ B <7,0
|
140 |
29 |
14,5 |
|||
2.2.12. Cột chống
2.2.12.1. Nếu sống dọc boong có chiều dài bằng và lớn hơn B/2 thì phải đặt cột chống tại giữa nhịp sống.
2.2.12.2. Diện tích ngang của cột chống phải không nhỏ hơn trị số cho trong Bảng 15/2 phụ thuộc vào trị số sau:
β = B(L/10+2),
Trong đó:
- B - chiều rộng tàu, m
- L - chiều dài tàu, m
Nếu áp dụng biện pháp kết cấu tương đương khác để thay thế cho cột chống phải thỏa mãn các quy định của Quy chuẩn này và được Đăng kiểm chấp nhận.
Bảng 15/2. Kích thước cột chống (cm)
|
Cột chống |
Nhóm gỗ |
|
|||||||
|
β ≤ 15 |
15< β ≤20 |
20< β ≤25 |
25< β ≤30 |
||||||
|
Kích thước mặt cắt vuông của cột chống |
I |
4,5 |
5,5 |
6,5 |
7,5 |
||||
|
II |
5 |
6 |
7 |
8 |
|||||
|
III |
6,5 |
7,5 |
8,5 |
9,5 |
|||||
2.2.13. Ván vỏ (đáy và mạn)
2.2.13.1. Ván vỏ phải bao gồm các thành phần sau:
|
a) Dải ván kề sống đáy (1) b) Các dải ván đáy (2) c) Dải ván đai hông (3) d) Các dải ván mạn (4) đ) Dải ván đai mạn (5) e) Dải ván mép mạn (6) |
|
Hình 6. Các thành phần ván vỏ
Kích thước của các dải ván vỏ nêu trên không được nhỏ hơn trị số tương ứng cho trong Bảng 16/2, với khoảng cách các sườn xác định theo 2.2.10.2
2.2.13.2. Tổng chiều rộng của các dải ván đai mạn ít nhất phải bằng D/4. Chiều dày của ván đai mạn không được nhỏ hơn trị số cho trong Bảng 13/2. Theo chiều cao của tàu, các ván đai mạn phải được đặt ở khoảng giữa của dải đai hông và dải mép mạn.
2.2.13.3. Tổng chiều rộng của các dải đai hông phải đủ để che kín vùng cong hông, chiều dày của các ván đai hông không được nhỏ hơn trị số cho trong Bảng 16/2.
2.2.13.4. Nếu khoảng cách sườn thực của tàu khác với trị số được quy định ở 2.2.10.2 thì chiều dày ván vỏ có thể tăng hoặc giảm bằng cách nhân trị số yêu cầu cho trong Bảng với hệ số h = (0.7r + 0,3); trong đó r là tỷ số giữa khoảng cách sườn thực và khoảng sườn quy định. Tuy nhiên trong mọi trường hợp chiều dày ván vỏ không được nhỏ hơn 45mm.
Bảng 16/2. Kích thước của ván vỏ (cm)
|
Ván |
Nhóm gỗ |
Chiều dài tàu (L, m) |
|||||
|
12≤ L< 15 |
15≤L< 18 |
18≤L<19 |
19≤L<21 |
21≤L<23 |
L ≥ 23 |
||
|
Dải ván kề sống đáy (chiều rộng x chiều dày) |
II |
18x5 |
18x6 |
18x7 |
21x8 |
||
|
III |
18x5,5 |
18x6,5 |
18x8 |
21x9 |
|||
|
IV |
18x6,5 |
18x7,5 |
18x9 |
21x10,5 |
|||
|
Chiều dày các dải ván đáy và ván mạn ngoài |
II |
4 |
4,5 |
4,5 |
5,5 |
||
|
III |
4 |
4,5 |
5 |
6 |
|||
|
IV |
4,5 |
5,5 |
6 |
7 |
|||
|
Chiều dày ván đáy trong, ván mạn trong |
- |
3 |
3,5 |
4 |
|||
|
Chiều dày ván đai hông |
II |
4 |
4,5 |
5 |
5,5 |
6 |
|
|
III |
4,5 |
5 |
5,5 |
6,5 |
7 |
||
|
IV |
5 |
5,5 |
6 |
7,5 |
8 |
||
|
Chiều dày ván đai mạn |
II |
4 |
4,5 |
5 |
5,5 |
6 |
|
|
III |
4,5 |
4,5 |
5,5 |
6,5 |
7 |
||
|
IV |
5 |
5,5 |
6,5 |
7,5 |
8 |
||
|
Dải ván mép mạn (chiều rộng x chiều dày) |
II |
24x4 |
27x5 |
30x6 |
33x6,5 |
||
|
III |
24x5 |
27x6 |
30x7 |
33x7,5 |
|||
|
IV |
24x5,5 |
27x6,6 |
30x8 |
33x8,5 |
|||
|
Chiều dày ván boong và ván viền |
II |
4 |
4,5 |
4,5 |
5 |
5 |
5 |
|
III |
4,5 |
5 |
5 |
5,5 |
5,5 |
6 |
|
|
IV |
5 |
6 |
6,5 |
6,5 |
7 |
7 |
|
2.2.14. Ván boong
2.2.14.1. Chiều rộng của các ván boong không được lớn hơn 250mm. Chiều dày của ván boong không được nhỏ hơn trị số cho trong Bảng 16/2.
2.2.14.2. Nếu khoảng cách các xà boong khác với trị số được quy định ở 2.2.11.1 thì chiều dày của ván boong được lấy bằng trị số cho ở Bảng 16/2 nhân với hệ số h = (0,7r + 0,3); trong đó r là tỷ số giữa khoảng cách sườn thực và khoảng sườn quy định. Tuy nhiên trong mọi trường hợp chiều dày ván boong không được nhỏ hơn 40mm.
2.2.14.3. Ở vùng miệng khoang hàng, miệng buồng máy và miệng các lỗ khoét khác, chỗ đặt thiết bị, máy, ... ván boong phải được gia cường thích đáng theo thỏa thuận với Đăng kiểm.
2.2.14.4. Phải đặt dải ván viền boong có chiều rộng đủ để đảm bảo liên kết dải ván mép mạn với thanh đè đâu xà ngang boong kín nước. Chiều dày của ván viền boong không được nhỏ hơn trị số cho trong Bảng 16/2.
2.2.14.5. Các miệng lỗ khoét ở boong (ngoại trừ miệng buồng máy và khoang hàng) phải có thành quầy và phải có các thanh gỗ viền theo chu vi miệng lỗ khoét. Chiều cao của thành quầy phụ thuộc vào vị trí của miệng lỗ khoét và được lấy như sau:
a) Nếu miệng lỗ khoét nằm ở phần boong lộ thiên thì chiều cao thành quầy tối thiểu phải bằng 300mm.
b) Nếu miệng lỗ khoét nằm ở bên trong thượng tầng có cửa ra vào chắc chắn thì chiều cao thành quầy tối thiểu phải bằng 150mm.
c) Nếu miệng lỗ khoét nằm ở bên trong thượng tầng có cửa ra vào không chắc chắn thì chiều cao thành quầy tối thiểu phải bằng 230mm.
Thành quầy phải có các mã đứng (cột nẹp), khoảng cách các mã đứng phải bằng khoảng cách các xà ngang boong.
2.2.14.6. Chiều rộng của ván thành quầy phải bằng:
a) 100mm – nếu chiều cao của ván thành quầy ³ 400mm
b) 80mm – nếu chiều cao của ván thành quầy ³ 300mm
c) 70mm – nếu chiều cao của ván thành quầy ³ 150mm
Thông thường chiều dày của ván thành quầy phải không nhỏ hơn 1/5 chiều cao của nó.
Kích thước của thành viền và mã đứng miệng thành quầy được lấy bằng kích thước xà ngang boong tại vùng lỗ khoét. Nếu lỗ khoét nhỏ thì có thể giảm chiều cao thành quầy lỗ khoét và quy cách các cơ cấu của thành quầy (ván quầy, thanh viền, mã đứng) đến mức độ thỏa đáng.
2.2.14.7. Nếu miệng buồng máy nằm ở bên trong thượng tầng thì phải có vách quầy miệng buồng máy kéo lên đến boong thượng tầng.
Nếu miệng buồng máy nằm ở boong lộ thiên thì phải có thành quầy. Theo chu vi thành quầy phải có thanh gỗ viền. Chiều cao miệng thành quầy buồng máy cho trong Bảng 17/2.
Nắp miệng buồng máy phải có cửa thông sáng (cửa trời); nếu miệng buồng máy nhỏ thì có thể giảm chiều cao thành quầy. Thành quầy phải đặt các cột nẹp cách nhau không quá một khoảng cách xà ngang boong.
Thanh gỗ viền và gỗ nẹp phải có kích thước bằng kích thước xà ngang boong tại vùng buồng máy.
Chiều dày của ván thành quầy/ vách quầy ít nhất phải bằng 1/5 chiều rộng của nó.
Bảng 17/2. Chiều cao thành quầy miệng buồng máy (cm)
|
Dấu hiệu bổ sung của cấp tàu |
Vị trí miệng buồng máy |
||
|
Ở boong thượng tầng có chiều cao > 1,2 m (kể từ boong chính) |
Ở boong thượng tầng có chiều cao ≤ 1,2 m |
Ở boong chính |
|
|
I |
60 |
90 |
120 |
|
II, III |
30 |
45 |
60 |
2.2.14.8. Miệng khoang hàng ở boong chính:
Miệng khoang hàng phải có thành miệng khoang. Chiều cao tối thiểu của thành miệng khoang phải bằng:
a) 450mm - đối với tàu cấp I hạn chế
b) 300mm - đối với tàu cấp II hạn chế
c) 250mm - đối với tàu cấp III hạn chế
Miệng khoang hàng phải có nắp gỗ kín thời tiết. Trường hợp, mỗi miệng khoang hàng được kết cấu kín thời tiết từ 02 nắp gỗ, chiều cao tối thiểu của thành miệng khoang có thể giảm bằng:
a) 250mm - đối với tàu cấp I hạn chế
b) 200mm - đối với tàu cấp II hạn chế
c) 150mm - đối với tàu cấp III hạn chế.
Chiều dày của ván thành quầy và ván nắp phải không nhỏ hơn chiều dày ván boong. Thành quầy phải đặt các cột nẹp cách nhau không quá một khoảng cách xà ngang boong. Theo mép trên của thành quầy phải có thanh viền, kích thước thanh gỗ viền và cột nẹp được lấy bằng kích thước của xà ngang boong tại vùng miệng khoang hàng.
2.2.15. Mạn chắn sóng và lan can
2.2.15.1. Ở boong lộ thiên nơi thuyền viên qua lại phải đặt mạn chắn sóng hoặc lan can có chiều cao hợp lý đủ để bảo vệ thuyền viên.
2.2.15.2. Nếu đặt mạn chắn sóng, thì mạn chắn sóng phải được khoét lỗ thoát nước để không làm đọng nước trên mặt boong. Diện tích các cửa khoét tại mạn chắn sóng (A) tính bằng m2 tại 1.5.1 Chương 1, Phần 2.
2.2.15.3. Lan can gồm các cột đứng đặt cách nhau một khoảng sườn và các thanh nằm ngang đặt cách nhau không quá 230mm. Cột lan can thường là phần kéo dài của các thanh sườn kéo vượt qua mặt boong.
2.2.16. Thanh đỡ ống bao trục chân vịt (hình 7)
2.2.16.1. Thanh đỡ ống bao trục chân vịt gồm 2 nửa: nửa trên và nửa dưới, ghép lại với nhau, mặt đầu thanh được táp ghép. Thanh đỡ ống bao trục chân vịt được ghép với sống đuôi bằng những thanh gỗ đứng.
Ở những tàu có công suất máy nhỏ hơn hoặc bằng 150 kW, nếu ống bao trục chân vịt được cố định chắc chắn vào 2 trụ đứng liên kết chắc chắn với sống đáy thì không cần đặt thanh đỡ ống bao trục chân vịt. Khi đó, khoảng không gian đặt thanh đỡ ống bao trục chân vịt phải được đổ nhựa đường hoặc bê tông nhựa đường.
2.2.16.2. Chiều rộng và chiều cao của mặt cắt thanh đỡ ống bao trục chân vịt ít nhất phải bằng 2 lần đường kính ống bao trục chân vịt.

Hình 7. Thanh đỡ ống bao trục chân vịt
2.2.17. Vách ngang
2.2.17.1. Mọi tàu phải có vách mũi và vách đuôi kín nước. Tàu tự hành đều phải có các vách giới hạn buồng máy.
2.2.17.2. Số lượng tối thiểu vách ngang kín nước, kể cả vách đầu và đuôi không nhỏ hơn 3.
2.2.17.3. Chiều dày của tấm ván vách ngang không nhỏ hơn chiều dày của tấm ván mạn. Kích thước nẹp vách không nhỏ hơn kích thước sườn thường.
2.2.18. Thượng tầng
2.2.18.1. Các cơ cấu boong, mạn, vách biên thượng tầng và lầu được lấy bằng kích thước mặt cắt của sườn mạn.
2.2.18.2. Kích thước ván boong, ván mạn, ván vách thượng tầng lấy bằng ván mạn.
2.2.19. Cột cẩu, cột buồm
2.2.19.1. Nếu tàu có đặt cột cẩu thì cột cẩu phải được chế tạo bằng gỗ nhóm I hoặc nhóm II. Đường kính của cột cẩu, cột buồm không được nhỏ hơn trị số ghi ở Bảng 18/2 phụ thuộc chiều cao h (m) của cột, tính từ mặt trên của sống trên đáy đến chỗ buộc dây.
Bảng 18/2. Đường kính cột cẩu, cột buồm
|
Mặt cắt |
Ở chân cột |
Ở boong trên |
Ở đỉnh cột |
|
Đường kính (cm) |
3,8 h |
2,3 h |
1,5 h |
2.2.19.2. Số lượng và đường kính cáp chằng buộc phụ thuộc vào chiều cao h của cột, không được nhỏ hơn trị số sau đây:
a) Nếu h < 15 m: 2 dây có đường kính d = 15mm;
b) Nếu h từ 15 m đến 20 m thì phải dùng ít nhất là 2 dây có đường kính d =18 mm;
c) Nếu h lớn hơn 20 m thì phải dùng ít nhất là 3 dây có đường kính d = 20 mm.
2.3. Các liên kết
2.3.1. Các chi tiết để liên kết
2.3.1.1. Các chi tiết để liên kết (bulông, đinh, đinh vít) phải được mạ kẽm, phải đúng theo tiêu chuẩn Việt Nam hiện hành.
2.3.1.2. Có thể sử dụng những chi tiết liên kết chưa được nói đến ở 2.3.1.1nói trên (ví dụ: đinh tre, đinh gỗ). Kích thước của những chi tiết liên kết này phải được tính toán theo nguyên tắc có độ bền tương đương. Bản tính và bản vẽ những chi tiết này phải được Đăng kiểm xem xét riêng.
2.3.1.3. Đai ốc phải được vặn từ phía trong tàu. Dưới đai ốc phải đặt vòng đệm, ở những liên kết quan trọng, bu lông phải được 2 đai ốc hãm.
2.3.1.4. Vít dùng để liên kết ván với cơ cấu phải có chiều dài không nhỏ hơn 2,25 chiều dày của ván cộng thêm với chiều dày của thanh đệm (nếu có). Thanh đệm phải được liên kết trước với cơ cấu, sau đó liên kết với ván. Vít để liên kết hai cơ cấu phải có chiều dài sao cho xuyên xuốt chiều dài cơ cấu thứ nhất, xuyên qua thanh đệm (nếu có), và xuyên sâu ít nhất đến 3/4 chiều dày cơ cấu thứ hai.
2.3.1.5. Nếu dùng để liên kết cơ cấu với ván thì chiều dài của đinh không nhỏ hơn 2,5 chiều dày của ván cộng thêm với chiều dày của thanh đệm (nếu có). Đinh để liên kết hai cơ cấu phải có chiều dài sao cho xuyên xuốt chiều dài cơ cấu thứ nhất, xuyên qua thanh đệm (nếu có), và xuyên sâu ít nhất đến 3/4 chiều dày cơ cấu thứ hai.
2.3.1.6. Đường kính của lỗ để đặt bu lông phải nhỏ hơn đường kính bu lông khoảng 0,5mm.
2.3.1.7. Đầu của đinh và vít để liên kết ván vỏ, ván boong với cơ cấu phải được đóng ăn sâu vào ván 5mm.
2.3.2. Mối nối các đoạn của cơ cấu
2.3.2.1. Mối nối các đoạn của cơ cấu dọc phải được bố trí ở trên mặt của cơ cấu ngang. Khoảng cách các đinh liên kết, khoảng cách từ đinh liên kết đến mép đầu mút mối nối phải bằng 6 lần đường kính của đinh nếu là gỗ nhóm I, nhóm II, nhóm III và bằng 7 lần đường kính của đinh nếu là gỗ nhóm IV và nhóm V.
2.3.2.2. Kích thước của mối nối các đoạn cơ cấu, được quy định ở Bảng 19/2. Đường kính của bu lông được quy định ở Bảng 20/2.
Bảng 19/2. Quy cách mối nối
|
Số |
Các thành phần mối nối |
Chiều dài mối nối (cm) |
Ghi chú |
|
|
1 |
Các đoạn của sống dưới |
5,0h |
h - kích thước mặt cắt theo chiều đinh liên kết |
|
|
2 |
Các đoạn của sống mũi |
3,5h |
||
|
3 |
Sống mũi với sống dưới |
3,5h |
||
|
4 |
Các đoạn của sống trên đáy |
5,0h |
||
|
5 |
Sống trên đáy với thanh gia cường mũi tàu và với thanh gia cường đuôi tàu |
2 khoảng sườn |
Mối nối gài (có ngạnh) |
|
|
6 |
Các đoạn của thanh dọc hông, thanh dọc mạn, thanh đỡ & thanh đè đầu xà ngang boong, dải mép mạn, viền boong và thanh dọc đáy. |
3b |
|
Nếu h ≤ 3b/4, trong đó b là chiều rộng của mặt cắt |
|
3h |
Nếu h > 3b/4, trong đó h là chiều cao của mặt cắt (theo chiều đinh liên kết) |
|||
|
7 |
Nối bệ máy với thanh dọc đáy |
2 khoảng sườn |
Tối thiểu là 3 bulông |
|
Bảng 20/2. Đường kính bulông của mối nối cơ cấu dọc
|
Chiều cao h của mặt cắt cơ cấu được nối (cm) |
h < 18 |
18≤ h <23 |
23≤ h <27 |
|
Đường kính bulông (mm) |
12 |
16 |
18 |
2.3.2.3. Ở phần giữa tàu, mối nối của của đoạn thanh sống đáy dưới, của thanh ván kề sống đáy dưới, của thanh sống đáy trên phải được bố trí so le sao cho các mối nối bất kỳ hai đoạn nào cũng phải cách nhau ít nhất 3 khoảng sườn.
Hai mối nối gần nhau các đoạn thuộc thanh ván kề sống đáy phải cách xa nhau một khoảng ít nhất bằng chiều dài mối nối.
Mối nối các đoạn của hai thanh dọc kề nhau. Mối nối các đoạn của hai thanh dọc đặt ở mặt trong và mặt ngoài của thanh sườn phải cách xa nhau một khoảng ít nhất bằng chiều dài mối nối.
Ở phần giữa tàu: các mối nối ở dải ván vỏ thứ nhất và dải ván vỏ thứ hai phải cách xa nhau ít nhất 3 khoảng sườn, các mối nối ở dải ván vỏ thứ nhất và dải ván vỏ thứ 3 phải cách xa nhau ít nhất 2 khoảng sườn, các mối nối dải ván vỏ thứ nhất và dải ván vỏ thứ 4 phải cách xa nhau ít nhất 1 khoảng sườn.
Các mối nối ở dải ván boong thứ nhất và dải ván boong thứ 2 phải cách xa nhau ít nhất 2 khoảng cách xà ngang boong, các mối nối dải ván boong thứ nhất và dải ván boong thứ 3 phải cách xa nhau ít nhất là 1 khoảng cách xà ngang boong.

Hình 8. Mối nối cơ cấu
2.3.2.4. Nếu 2 đoạn của một sườn đơn được nối đầu với nhau thì phải dùng 1 hoặc 2 đoạn gỗ táp (Hình 9). Chiều dài đoạn gỗ táp ít nhất phải bằng 4 chiều cao mặt cắt sườn tại chỗ có mối nối. Diện tích mặt cắt gỗ táp ít nhất phải bằng diện tích của mặt sườn tại chỗ có mối nối. Về mỗi phía của mối nối ít nhất phải có 2 bu lông siết chặt thanh sườn với thanh gỗ táp. Kích thước của bu lông được xác định theo Bảng 22/2. Nếu mối nối nói trên nằm trên mặt của sống đáy dưới thì chiều dài đoạn gỗ táp ít nhất phải bằng 6 lần chiều cao mặt cắt sườn tại chỗ có mối nối và ở mỗi phía của mối nối ít nhất phải có 3 bu lông. Kích thước bu lông được xác định theo Bảng 22/2.

1 - Các đoạn của một sườn
2 - Các đoạn gỗ táp
Hình 9. Đoạn gỗ táp
Nếu 2 đoạn sườn đơn nối có ngạnh hoặc nối vát thì chiều dài mối nối ít nhất phải bằng 3 lần chiều cao mặt cắt sườn tại chỗ có mối nối. Mỗi mối nối phải có 3 bu lông với kích thước xác định theo Bảng 22/2.
Mối nối ở hai thanh sườn đơn gần nhau phải cách xa nhau một khoảng ít nhất bằng 5 lần chiều cao mặt cắt thanh sườn lớn hơn.
2.3.2.5. Các đoạn của một thanh thuộc sườn kép được nối đối đầu với nhau (Hình 10), ở gần mối nối, 2 thanh của sườn kép được ghép chặt với nhau bằng bu lông. Kích thước của các bu lông được xác định theo Bảng 22/2. Trong khoảng giữa các bu lông, hai thanh của sườn kép được ghép chặt với nhau bằng vít đóng so le nhau.
Khoảng cách các mối nối đoạn của hai thanh thuộc một sườn kép phải cách xa nhau ít nhất 4 lần chiều cao của mặt cắt thanh lớn hơn.
Mối nối gần thanh dọc phải cách thanh dọc hông ít nhất 3 lần chiều cao của mặt cắt thanh lớn hơn.

Hình 10. Mối nối đối đầu sườn kép
2.3.2.6. Đối với những cơ cấu chịu uốn có mắt cắt ghép (ghép 2 hoặc ghép 3) thì mặt cắt phải được ghép sao cho từng từng thành phần mặt cắt làm việc theo mô men quán tính cực đại Jmax của bản thân thành phần đó (Hình 11).
Nếu mặt tiếp xúc của hai chi tiết mà nằm ngang thì mặt tiếp xúc phải được bôi một lớp nhựa đường trước khi được lắp ghép.

Hình 11. Mặt cắt ghép

Hình 12. Mối nối các đoạn ván
2.3.3. Mối liên kết các cơ cấu
2.3.3.1. Thanh gia cường mũi tàu liên kết với sống mũi, với sống đáy bằng bu lông đặt cách nhau không xa quá 45cm. Thanh gia cường đuôi tàu liên kết với sống đuôi, với sống đáy bằng bu lông đặt cách nhau không xa quá 45cm. Sống đuôi liên kết với trụ bánh lái, với gỗ đệm bằng bu lông xuyên suốt đặt cách nhau không xa quá 45cm. Sống đuôi phụ liên kết với sống đuôi, với trụ bánh lái và với gỗ đệm bằng bu lông xuyên suốt đặt cách nhau không quá 45cm.
Kích thước của bu lông được lấy theo Bảng 21/2 với h là chiều dài của bu lông.
Bảng 21/2. Đường kính bulông của mối nối các đoạn sườn
|
Chiều cao h của mặt cắt sườn theo phương bulông (cm) |
h < 18 |
18≤ h <22 |
22≤ h <24 |
|
Đường kính bulông (mm) |
16 |
20 |
22 |
2.3.3.2. Sườn (không kể sườn xiên) được liên kết với sống đáy bằng vít và bu lông. Sườn xiên ở phần đuôi tàu phải được liên kết bằng bu lông xuyên suốt từ thanh kề sống đuôi bên này đến thanh kề sống đuôi bên kia.
Kích thước của vít và bu lông được quy định ở Bảng 23/2 mà h là chiều cao của mặt cắt sườn (cm). Chiều dài của vít được tính theo 2.3.1.4.
2.3.3.3. Ở mỗi khoảng sườn, sống đáy dưới phải được liên kết với sống đáy trên bằng bu lông. Đường kính của bu lông được quy định ở Bảng 23/2 phụ thuộc chiều h của mặt cắt các thanh dọc được liên kết. Chiều dài của vít được tính theo 2.3.1.4.
Ở mỗi khoảng sườn, sống đáy dưới phải được liên kết với sống đáy trên bằng bu lông. Đường kính của các bu lông được quy định ở Bảng 20/2 của phụ lục với h là chiều cao của mặt cắt sống đáy dưới.
Thanh đai hông, thanh dọc đáy được liên kết với sườn bằng bu lông có kích thước theo quy định của Bảng 20/2 phụ thuộc chiều cao h của mặt cắt các thanh dọc được liên kết.
2.3.3.4. Ván vỏ được liên kết với mỗi sườn bằng một số lượng vít phụ thuộc chiều rộng dải ván và kiểu sườn. Số lượng vít được quy định trong Bảng 22/2.
Kích thước vít phụ thuộc chiều dày của ván được quy định ở Bảng 23/2. Chiều dài của vít được tính theo 2.3.1.4.
Nếu dùng đinh vít để liên kết ván vỏ với sườn thì số lượng đinh được lấy theo Bảng 22/2. Đường kính của đinh lấy theo Bảng 23/2 như đối với vít. Chiều dài của đinh được tính theo 2.3.1.5. Lỗ đóng đinh phải được khoan mồi.
Bảng 22/2. Số lượng đinh vít liên kết ván vỏ với sườn
|
Chiều rộng b của dải ván (cm) |
20 ≤ b < 22 |
22 ≤ b < 25 |
25 ≤ b < 30 |
30 ≤ b < 35 |
b ≥ 35 |
|
Với tàu có chiều dài L< 17 m |
2 |
3 |
Sườn kép: 4 Sườn đơn: 3 |
||
|
Với tàu có chiều dài L> 17 m |
3 |
4 |
Sườn kép: 5 Sườn đơn: 4 |
||
2.3.3.5. Dải ván boong có chiều rộng nhỏ hơn 15cm phải được liên kết với mỗi xà ngang boong bằng ít nhất là một đinh. Dải ván boong có chiều rộng bằng và lớn hơn 15 cm phải được liên kết với mỗi xà ngang boong bằng ít nhất là hai đinh. Có thể thay thế đinh bằng bu lông có đường kính thích hợp để liên kết ván boong với xà ngang boong.
Dải ván kề với thanh đỡ đầu xà ngang trên, cứ cách một xà ngang boong, được liên kết với một xà ngang boong trên bằng một bu lông và một đinh, còn ở chiếc xà ngang boong còn lại, được liên kết bằng hai đinh. Đường kính của bu lông được quy định ở Bảng 23/2 phụ thuộc chiều cao h của mặt cắt xà ngang boong. Chiều dài của đinh được tính theo 2.3.1.5.
2.3.3.6. Xà ngang boong trên (trừ xà ngang đầu miệng khoang) được liên kết với thanh đỡ đầu xà ngang bằng bu lông hoặc vít. Xà ngang đầu miệng khoang của boong trên phải được liên kết với thanh đỡ đầu xà bằng bu lông. Kích thước của những bu lông và vít này được xác định theo Bảng 23/2, phụ thuộc chiều cao h của mặt cắt xà ngang boong trên. Chiều dài của vít được lấy theo 2.3.1.4.
2.3.3.7. Thanh đỡ đầu xà ngang boong trên phải được liên kết với từng xà ngang boong bằng bu lông. Thanh đỡ đầu xà ngang boong trên phải được liên kết với thanh mép mạn bằng bu lông tại mỗi sườn.
Ở mỗi chiếc xà ngang boong trên, thanh ván viền phải được liên kết với xà ngang boong và thanh đỡ đầu xà ngang bằng bu lông xuyên suốt. Ở khoảng giữa các xà ngang boong, thanh ván viền phải được liên kết với thanh đỡ đầu xà ngang boong bằng vít.
Thanh ván viền phải được liên kết với dải mép mạn bằng bu lông đặt cách nhau 3 khoảng sườn và bằng vít đặt cách nhau một khoảng sườn. Nếu ván viền là do hai thanh ghép lại thì chúng phải được liên kết với dải mép mạn bằng bu lông đặt cách nhau l khoảng sườn. Đường kính của bu lông (và vít) được quy định ở Bảng 23/2, phụ thuộc chiều dài h của bu lông và vít. Chiều dài của vít được tính theo 2.3.1.4. Thanh ván viền phải được liên kết với chân mạn chắn sóng bằng vít.
Bảng 23/2. Đường kính bulông, vít nối sườn với cơ cấu khác
|
Đường kính (mm) |
Chiều cao h của mặt cắt sườn, cm |
|||||
|
h < 5,5 |
5,5≤ h < 7 |
7≤ h <8,5 |
8,5≤ h <10 |
10≤ h <11,5 |
h ≥ 11,5 |
|
|
Bulông (mm) |
10 |
12 |
16 |
20 |
22 |
25 |
|
Vít (mm) |
8 |
10 |
12 |
16 |
20 |
22 |
2.3.3.8. Nếu kết cấu tàu không có thanh ván viền thì những quy định ở 2.3.3.7 được đổi như sau:
Thanh đỡ đầu xà ngang boong phải được liên kết với mỗi xà ngang boong bằng bu lông và vít, thanh đỡ đầu xà ngang boong được liên kết với thanh mép mạn bằng bu lông đặt cách nhau 3 khoảng sườn và bằng vít đặt cách nhau một khoảng sườn. Những bu lông và vít này được đặt ở trung điểm của khoảng sườn.
Thanh đỡ đầu xà ngang boong được liên kết với chân cột nẹp của mạn chắn sóng bằng bu lông.
Nếu thanh đỡ đầu xà ngang boong gồm hai thanh thì chúng phải được ghép với nhau bằng bu lông đặt cách nhau 1 khoảng sườn.
Kích thước của bu lông và vít nói ở 2.3.3.8 được quy định như ở 2.3.3.7.
2.3.3.9. Mã xà ngang boong, mã sống mũi, mã sống đuôi phải được liên kết bằng bu lông, tại mỗi khớp mã phải có ít nhất 2 bu lông, tại cổ mã phải có ít nhất 1 bu lông. Những chiếc bu lông liên kết mã với cơ cấu mạn phải đi xuyên suốt qua thanh sườn và xuyên suốt của ván vỏ. Những chiếc bu lông liên kết mã với sống mũi phải xuyên suốt sống mũi. Kích thước của bu lông được quy định ở Bảng 21/2, trong đó h là chiều cao của mặt cắt cơ cấu được liên kết với mã.
2.3.3.10. Bệ máy phải được liên kết với mỗi thanh sườn-đà ngang đáy bằng bulông xuyên suốt bệ máy và sườn-đà ngang đáy. Đầu bu lông ngập vào sườn-đà ngang đáy được trát matit hoặc nhựa đường cho đến bằng mặt gỗ. Sườn-đà ngang đáy phải ăn sâu vào bệ máy 20mm. số lượng bu lông tại mỗi thanh sườn-đà ngang đáy phụ thuộc công suất máy. Nếu công suất máy chính nhỏ hơn 150 kW thì số lượng bu lông được bố trí theo sơ đồ Hình 13-a. Nếu công suất máy chính từ 150 kW đến 220 kW thì số lượng bu lông được bố trí theo sơ đồ Hình 13-b. Nếu công suất máy chính bằng và lớn hơn 300 mã lực thì số lượng bu lông được bố trí theo sơ đồ Hình 13-c. đường kính bu lông liên kết bệ máy được quy định ở Bảng 24/2 phụ thuộc công suất máy chính.

1. Bệ máy 2. Sườn
Hình 13. Sơ đồ bố trí số lượng bulông
Bảng 24/2. Đường kính bulông liên kết bệ máy
|
Công suất máy chính (Ne, KW) |
Ne < 35 |
35≤ Ne <75 |
75≤ Ne <150 |
150≤ Ne <225 |
225≤ Ne <375 |
Ne ≥375 |
|
Đường kính bulông (mm) |
20 |
22 |
24 |
25 |
25 |
26 |
2.3.3.11. Ván thượng tầng phải được liên kết với các cơ cấu thượng tầng bằng bu lông đặt cách nhau không xa hơn khoảng cách xà ngang boong thượng tầng. Đường kính bu lông phải nhỏ hơn 12mm.
2.3.3.12. Ván quầy miệng khoang được liên kết với xà ngang miệng khoang và với thanh thép dọc miệng khoang bằng bu lông đặt cách nhau không xa quá 45cm. Kích thước bu lông được xác định theo Bảng 25/2.
Bảng 25/2. Đường kích bu lông liên kết ván quây miệng khoang với xà ngang đầu miệng khoang và với thanh mép dọc miệng khoang
|
Chiều dày của ván t (mm) |
t < 8 |
8 ≤ t <10 |
10 ≤ t |
|
Đường kính bu long (mm) |
12 |
16 |
20 |
2.3.3.13. Mép dọc và mép ngang của ván vỏ, ván boong ở khu vực cần kín nước phải được gọt vát sâu đến 2/3 chiều dày, còn ở các khu vực khác thì chỉ cần ghép khít. Rãnh gọt vát phải được xảm kín, hoặc được xảm 3 lớp dây đay rồi đổ nhựa.
Ở khu vực cần kín nước, đầu đinh cần được ấn sâu vào ván 5 mm, đầu bu lông phải được đặt vào lỗ khoét trong gỗ. Lỗ được xảm dây đay và đậy bằng nút gỗ.
Các liên kết kín nước phải được thử kín nước theo quy định của Đăng kiểm.
2.3.3.14. Ở sống đáy phải khoét rãnh để ghép thanh ván kề sống đáy. Khoảng cách từ mép trên của rảnh đến mặt trên của sống đáy phải nhỏ hơn 1/4 chiều cao của mặt cắt sườn nhưng không nhỏ hơn 2mm.
Ở sống mũi, sống đuôi và trụ bánh lái phải khoét rãnh đủ rộng để ghép ván vỏ và để đóng đinh liên kết ván vỏ. Chân sườn phải được gài sâu vào sống đáy và ghép khít với thanh ván kề sống đáy. Dải ván ngoài boong phải được gài vào trong thanh đè đầu xà ngang boong với chiều sâu ít nhất 2,5cm. Xà ngang đầu miệng khoang phải được gài vào rãnh khoét ở thanh đỡ đầu xà ngang boong.
Thanh mép dọc miệng khoảng phải được gài vào rãnh khoét ở xà ngang đầu miệng khoang.
Rãnh phải có chiều sâu đến 1/4 chiều cao của mặt cắt thanh bị khoét.
Mặt ngoài của ống bao trục chân vịt phải khớp khít với mặt trong của lỗ khoét ở thanh đỡ trục chân vịt và ở sống đuôi.
Ván quầy miệng khoang phải được liên kết trực tiếp với xà ngang đầu miệng khoang và với thanh dọc mép miệng khoang ở 4 góc miệng khoang đầu ván quầy phải được vát cắt 450 để ghép chặt với nhau.
Cột cẩu phải được tì lên thanh bệ và được liên kết vững chắc với thanh ván có lỗ khoét để cột cẩu xuyên qua.
Vị trí mà cột cẩu và trục lái xuyên suốt qua boong phải được gia cường thích đáng theo thỏa thuận với Đăng kiểm.
Ván boong phải được đặt hướng lòng ván vào phía trong tàu.
2.4. Xảm, bọc, thui, sơn
2.4.1. Xảm
2.4.1.1. Rảnh xảm ở mép ván vỏ, ván boong phải có mặt cắt chữ V hoặc chữ U. Chiều sâu rãnh xảm phải bằng 2/3 chiều dày của ván. Độ mở lớn nhất của rảnh bằng từ 3 đến 7 mm theo Hình 14.

Hình 14. Quy cách rãnh xảm
2.4.1.2. Vật liệu xảm có thể là phoi tre, sợi bao tải, sợi lưới hoặc vỏ cây sắn thuyền. Nếu có những số liệu thử nghiệm tin cậy và được Đăng kiểm chấp nhận thì cũng có thể sử dụng những vật liệu xảm khác.
2.4.1.3. Mặt trên của lớp xảm phải thấp hơn mặt ván 2 đến 3 mm và được trát ma tít. Mặt ma tít phải lượn đều và nhô cao hơn mặt ván 2 đến 3 mm.
2.4.2. Bọc, thui, sơn
2.4.2.1. Sau khi được nghiệm thu kín nước theo quy định của Đăng kiểm, ván, vỏ có thể được bọc thép, tráng kẽm hoặc xi măng lưới thép hoặc chất dẻo cốt sợi thủy tinh, thép hoặc xi măng lưới thép hoặc chất dẻo phải bám sát tuyến hình của tàu và gắn chặt vào ván vỏ (nếu bọc thép hoặc xi măng lưới thép thì gắn bằng đinh tráng kẽm). Phải đặc biệt quan tâm đến vấn đề kín nước của các lỗ đóng đinh.
2.4.2.2. Nếu không được bảo vệ bằng lớp tôn tráng kẽm thì phần ván vỏ dưới đường nước phải được hui hoặc quét sơn chống hà.
2.4.2.3. Phần kết cấu tiếp cận với máy và nồi hơi, phần kết cấu dễ có khả năng bị cháy phải được bảo vệ bằng lớp kim loại hoặc bằng lớp vật liệu chịu lửa.
2.4.2.4. Mặt tiếp xúc của hai cơ cấu và phần kết cấu ở chỗ khó thông gió phải được quét sơn chống mục theo tiêu chuẩn Việt Nam hiện hành hoặc được bảo vệ bằng một biện pháp tương đương khác được Đăng kiểm chấp nhận.
Chương 3. THÂN TÀU BẰNG VẬT LIỆU CHẤT DẺO CỐT SỢI THUỶ TINH
3.1. Những quy định chung
3.1.1. Phạm vi áp dụng
3.1.1.1. Những quy định của Chương này được áp dụng cho tàu cá làm bằng vật liệu chất dẻo cốt sợi thủy tinh (sau đây được viết tắt là "tàu FRP") có vùng hoạt động không hạn chế, có chiều dài nhỏ hơn 24 mét, có hình dạng và tỷ lệ kích thước thông dụng.
3.1.1.2. Kết cấu thân tàu, trang thiết bị và các trị số tính toán của các cơ cấu thân tàu FRP có vùng hoạt động hạn chế có thể được thay đổi thích hợp tùy theo điều kiện khai thác.
3.1.1.3. Những quy định của Chương này được áp dụng cho tàu FRP tạo hình theo phương pháp thủ công hoặc phương pháp phun ép, dùng nhựa polyeste không bão hòa và cốt bằng sợi thủy tinh. Những tàu gỗ chỉ được bọc bằng FRP hoặc những tàu có kết cấu tương tự sẽ không được coi là tàu FRP.
3.1.2. Giải thích từ ngữ
Nếu không có quy định khác tại Quy chuẩn này, các từ ngữ được hiểu theo quy định tại 1.2, Phần I QCVN 56:2013/BGTVT.
3.2. Xưởng chế tạo, vật liệu và công nghệ chế tạo
Áp dụng theo quy định tại phần II QCVN 56:2013/BGTVT.
Phần 3. ỔN ĐỊNH VÀ MẠN KHÔ
Stability and Load Lines
Chương 1. NHỮNG YÊU CẦU CHUNG
1.1. Điều kiện áp dụng
1.1.1. Những quy định của Phần này áp dụng cho các tàu cá có boong kín hoạt động ở trạng thái nổi tĩnh.
1.1.2. Các quy định của Phần này được áp dụng cho các tàu đang khai thác ở mức độ hợp lý và có thể thực hiện được. Đối với những tàu do sửa chữa, hoán cải, trang bị lại hoặc hiện đại hóa mà ổn định thay đổi thì bắt buộc áp dụng theo những yêu cầu của phần này.
1.1.3. Những yêu cầu của Phần này không áp dụng cho trạng thái tàu không.
1.2. Khối lượng giám sát
1.2.1. Các yêu cầu chung về trình tự phân cấp, giám sát đóng mới và các đợt kiểm tra phân cấp cũng như quy định về lập hồ sơ kỹ thuật để trình Đăng kiểm thẩm định được trình bày trong Phần I và Phần II của Quy chuẩn này.
1.2.2. Để được phân cấp theo Quy chuẩn này, các tàu cá phải đáp ứng các yêu cầu của Phần này và chịu sự kiểm tra của Đăng kiểm như sau:
1.2.2.1. Trước lúc đóng mới: Kiểm tra và xét thẩm định các hồ sơ kỹ thuật có liên quan đến ổn định của tàu.
1.2.2.2. Trong đóng mới:
a) Giám sát việc thử nghiêng ngang;
b) Kiểm tra và xét thẩm định biên bản thử nghiêng ngang và bản thông báo ổn định.
1.2.2.3. Sử dụng tàu: Tiến hành kiểm tra trong các đợt kiểm tra chu kỳ để phát hiện các thay đổi lượng chiếm nước tàu không trong quá trình sử dụng, sửa chữa và cải hoán nhằm mục đích xác nhận sự phù hợp của bản thông báo ổn định.
1.3. Thử nghiêng ngang
1.3.1. Việc thử nghiêng cần được tiến hành cho:
1.3.1.1. Các tàu cá cùng một thiết kế được đóng hàng loạt theo quy định tại 1.3.2.
1.3.1.2. Tàu cá đóng mới đơn chiếc.
1.3.1.3. Tàu cá khi sửa chữa phục hồi.
1.3.1.4. Các tàu cá sau sửa chữa lớn, trang bị lại hoặc hiện đại hóa theo quy định tại 1.4.3.
1.3.1.5. Các tàu cá sau khi đặt các vật dằn cứng cố định được kiểm tra khẳng định trọng tâm và khối lượng vật dằn hoặc được khẳng định bằng tính toán và được Đăng kiểm chấp nhận.
1.3.1.6. Những tàu chưa được khẳng định chắc chắn về ổn định hoặc cần kiểm tra lại.
1.3.2. Các tàu cá đóng hàng loạt ở một xưởng
1.3.2.1. Các tàu có cùng một thiết kế được đóng hàng loạt ở một xưởng sẽ phải thử nghiêng ngang chiếc đầu tiên trong loạt 5 chiếc liên tục tức là chiếc 1, 6, 11, 16, 21, 26; tuy nhiên căn cứ vào điều kiện địa lý và khả năng công nghệ của đơn vị thi công Đăng kiểm có thể yêu cầu thử nghiêng chiếc thứ 2 của loạt 5 chiếc đầu tiên.
Bắt đầu từ chiếc thứ 12 của loạt, Đăng kiểm có thể cho phép giảm số lượng tàu phải thử nghiêng ngang nếu nhận thấy các tàu có trọng lượng và trọng tâm như quy định tại 1.3 2.2.
1.3.2.2. Chiếc tàu trong loạt mà so với chiếc tàu đầu của loạt có những thay đổi kết cấu làm:
a) Thay đổi lượng chiếm nước tàu không lớn hơn 2% hoặc
b) Tăng cao độ trọng tâm của tàu không quá 4cm hoặc các trị số tính theo công thức sau, lấy trị số nào lớn hơn:
δzg = 0,1(∆1 / ∆0 ) GZm
δzg = 0,05(∆1 / ∆0 ) GM0
Trong đó:
- ∆0 : Lượng chiếm nước tàu không, tấn,
- ∆1 = Lượng chiếm nước của tàu ở trạng thái tải trọng xấu nhất theo giá trị GM0 hoặc GZm, tính bằng (t).
- GZm: Cánh tay đòn ổn định tĩnh lớn nhất ở trạng thái tải trọng xấu nhất khi xét theo trị số của tay đòn này, m.
- GM0 : Chiều cao tâm nghiêng ban đầu đã hiệu chỉnh ở trạng thái tải trọng xấu nhất khi khi xét theo trị số của nó, m .
(c) Chiếc tàu vi phạm các yêu cầu của phần này về các trạng thái tải trọng thiết kế và khi:
Zg = 1,2Zg2 - 0,2Zg1
Trong đó:
- Zg1: Cao độ trọng tâm tàu không trước khi có thay đổi kết cấu.
- Zg2: Cao độ trọng tâm tàu không sau khi có thay đổi kết cấu.
- Zg: Cao độ trọng tâm dự kiến của tàu không.
Chiếc tàu đó về mặt ổn định được coi là tàu đầu tiên của loạt mới và thứ tự thử nghiêng của các tàu kế tiếp phải thỏa mãn yêu cầu tại 1.3.2.
1.3.3. Phải thử nghiêng ngang các tàu cá sau khi sửa chữa lớn, trang bị lại hoặc hiện đại hóa mà sự thay đổi kết cấu so với tính toán gây ra một trong các sai khác sau đây:
1.3.3.1. Thay đổi trọng lượng (trọng lượng tổng cộng của những tải trọng lấy ra và thêm vào) lớn hơn 6% trọng lượng của tàu không.
1.3.3.2. Lượng chiếm nước của tàu thay đổi quá 2%.
1.3.3.3. Thay đổi hoành độ trọng tâm vượt quá 1% chiều dài tàu.
1.3.3.4. Cao độ trọng tâm tàu không lớn hơn giá trị tính theo 1.3.2.2.
1.3.4. Nếu kết quả thử nghiêng của chiếc tàu mới đóng mà cao độ trọng tâm tàu không vượt quá trị số thiết kế thì phải có bản thuyết minh lại nguyên nhân của sự thay đổi đó. Theo kết quả phân tích các tài liệu đã nộp hoặc thiếu các tài liệu đó Đăng kiểm có thể yêu cầu thử nghiêng lại lần thứ 2. Trường hợp này phải nộp cho Đăng kiểm cả 2 biên bản thử nghiêng.
1.3.5. Lượng chiếm nước của tàu khi thử nghiêng phải gần với lượng chiếm nước tàu không. Tổng trọng lượng thiếu phải không lớn hơn 2% so với lượng chiếm nước tàu không, tổng trọng lượng thừa không kể vật dằn và nước dằn theo 1.4.7 là 4%.
1.3.6. Chiều cao tâm nghiêng của tàu khi thử nghiêng không nhỏ hơn 0,2m. Để đạt được điều này cho phép nhận thêm vật dằn. Trường hợp dằn bằng nước ở các bể chứa thì bắt buộc phải bơm thật đầy.
1.3.7. Để đo góc khi thử nghiêng phải dùng 2 dây dọi có chiều dài không nhỏ hơn 2m hoặc 2 máy đo góc nghiêng.
1.3.8. Thử nghiêng được coi là đạt yêu cầu nếu thỏa mãn các yêu cầu quy định tại mục 1.5.11, Phần 10, QCVN 21:2015/BGTVT.
1.3.9. Việc thử nghiêng phải tiến hành với sự có mặt của Đăng kiểm.
1.3.10. Trước khi thử nghiêng, cơ sở sản xuất phải lập quy trình thử nghiêng trình Đăng kiểm và phải được Đăng kiểm chấp thuận.
1.3.11. Có thể sử dụng phương pháp thử nghiêng khác nếu có cho kết quả thử phù hợp với yêu cầu của phần này.
1.4. Các điều kiện đủ ổn định
Trong các trạng thái tải trọng xấu nhất, ổn định của tàu cá phải thỏa mãn điều kiện:
1.4.1. Tàu không bị lật và chống lại được tác dụng đồng thời của áp suất gió và lắc ngang, các thông số về áp suất gió và lắc ngang được xác định ở Chương 2.
1.4.2. Các giá trị của các thông số ổn định trên nước lặng, chiều cao tâm nghiêng ngang ban đầu GM0 không được nhỏ hơn những giá trị quy định ở Chương 2.
1.5. Miễn giảm so với Quy chuẩn
1.5.1. Những tàu cá hoạt động ở vùng hạn chế III có thể được miễn giảm việc kiểm tra theo quy chuẩn ổn định tàu dưới tác động sóng và gió và được coi là đủ ổn định nếu giá trị chiều cao tâm nghiêng ngang ban đầu GM0 không nhỏ hơn những quy định 2.2.1..3.
1.5.2. Những tàu cá không thỏa mãn hoàn toàn các yêu cầu ổn định của Quy chuẩn này thì Đăng kiểm xem xét cho từng trường hợp cụ thể.
1.6. Việc thay đổi vùng hoạt động của tàu cá
1.6.1. Khi thay đổi vùng hoạt động, ổn định của tàu phải thỏa mãn các yêu cầu đối với tàu hoạt động ở vùng mà nó được chuyển đến.
1.6.2. Đối với những tàu mà ổn định của nó không đáp ứng được các yêu cầu của 1.6.1, tùy theo từng trường hợp cụ thể, Đăng kiểm có thể cho phép với các điều kiện bổ sung về thời tiết và vùng hoạt động.
Chương 2. CÁC YÊU CẦU CHUNG VỀ ỔN ĐỊNH
2.1. Đồ thị ổn định
2.1.1. Đồ thị ổn định tĩnh phải được xây dựng tương ứng với các trạng thái tải trọng được quy định là phải kiểm tra ổn định được nêu tại 3.1, trong đó có tính đến lượng hiệu chỉnh do ảnh hưởng mặt tự do của hàng lỏng và các ảnh hưởng khác.
Khi các lỗ khoét ở mạn, ở boong cao nhất, hoặc trong các thượng tầng của tàu mà qua đó nước có thể lọt vào trong thân tàu; thì đồ thị ổn định tĩnh chỉ tính đến góc vào nước và đồ thị ổn định tĩnh phải ngắt ở góc nghiêng đó. Ở những góc nghiêng lớn hơn góc vào nước, tàu được coi là mất ổn định hoàn toàn.
2.1.2. Nếu nước lọt vào thượng tầng qua những lỗ khoét và ngập cả thượng tầng hoặc một phần của thượng tầng; thì ở góc nghiêng lớn hơn góc vào nước phải được coi là không có thượng tầng hoặc một phần của thượng tầng. Trường hợp này, đồ thị ổn định sẽ có bậc.
2.1.3. Đối với những tàu có giới hạn đường của đồ thị ổn định không thỏa mãn vì bị đứt đoạn ở góc vào nước, chỉ được hoạt động ở vùng hạn chế sau khi đã kiểm tra theo 2.2 dưới đây. Tuy nhiên, cần đảm bảo sao cho giới hạn dương giả định của đồ thị tính theo lỗ kín không nhỏ hơn giá trị quy định ở phần này. Điểm ngắt của đồ thị ổn định tĩnh theo góc vào nước không được nhỏ hơn 400.
2.2. Đồ thị ổn định của tàu cá phải đảm bảo các điều kiện sau
Đối với tàu cá cấp hạn chế I và hạn chế II đồ thị ổn định phải đảm bảo các điều kiện sau (Hình 15):

Hình 15. Đồ thị ổn định
2.2.1. Diện tích A1 dưới đồ thị ổn định giữa góc 0° và 30° không nhỏ hơn 0,055 m.rad.
2.2.2. Diện tích A2 dưới đồ thị ổn định giữa góc nghiêng 30° và 40°hoặc giữa góc nghiêng 30° và θf không được nhỏ hơn 0,03 m.rad, lấy giá trị nhỏ hơn; trong đó, θf là góc vào nước.
2.2.3. Diện tích (A1 + A2) không được nhỏ hơn 0,09 m.rad khi nghiêng đến 40° hoặc góc vào nước, lấy giá trị nhỏ hơn.
2.2.4. Tay đòn ổn định lớn nhất GZmax không được nhỏ hơn 0,2m tại góc nghiêng θmax ≥ 30o. Cánh tay đòn ổn định đạt giá trị lớn nhất tại góc nghiêng không nhỏ hơn 25 độ.
2.3. Ổn định tàu dưới tác động sóng và gió
2.3.1. Các tàu cá phải thỏa mãn các yêu cầu về ổn định dưới tác động sóng và gió được quy định theo vùng hoạt động dưới đây:
2.3.1.1. Ổn định của tàu cá hoạt động ở các vùng biển không hạn chế, hạn chế I và hạn chế II được coi là đủ nếu ở trạng thái tải trọng xấu nhất, hệ số K = b/a ≥ 1 (xem Hình 16)
2.3.1.2. Quy định này là bắt buộc đối với tàu cá hoạt động khai thác xa bờ có cấp hạn chế II trở lên. Đối với những tàu cá hoạt động ở vùng biển hạn chế I và II, nếu không thỏa mãn quy định 2.2, thì phải hoạt động ở những vùng hạn chế thấp hơn và với các điều kiện hạn chế bổ sung do Đăng kiểm quy định.
2.3.1.3. Các tàu cá hoạt động ở vùng biển hạn chế III được coi là đủ ổn định mà không phải kiểm tra theo quy chuẩn thời tiết nếu chiều cao tâm nghiêng ban đầu GMo, không nhỏ hơn trị số cho trong Bảng 1/3.
Bảng 1/3 Chiều cao tâm nghiêng ban đầu GM0
|
Tỉ lệ B/D |
Chiều cao tâm nghiêng đủ, m |
|
1,7 |
0,60 |
|
1,8 |
0,63 |
|
1,9 |
0,67 |
|
≥2,0 |
0,70 |
Đối với các tàu hoạt động ở vùng hạn chế III, nếu không thỏa mãn tiêu chuẩn ổn định quy định tại 2.3.1.3, thì áp dụng quy định 1.5.2 Chương I.
2.3.2. Tính toán ổn định tàu dưới tác động sóng và gió
Ổn định của tàu hoạt động trong vùng biển không hạn chế, hạn chế I và hạn chế II được coi là thỏa mãn tiêu chuẩn thời tiết K, nếu tàu thỏa mãn các yêu cầu của 2.3.2.5 dưới tác dụng của sóng gió được chỉ ra dưới đây, và:
2.3.2.1. Tàu chịu tác dụng của gió có tốc độ ổn định và hướng gió vuông góc với mặt hứng gió, với tay đòn gây nghiêng do gió Iw1 xem Hình 16.

Hình 16. Ổn định thời tiết
2.3.2.2. Góc nghiêng tĩnh θw1do gió thổi ổn định là góc tạo bởi điểm giao đầu tiên giữa đường nằm ngang Iw1 và đồ thị ổn định tĩnh GZ(θ), tàu sẽ bị nghiêng theo gió một góc bằng biên độ lắc ngang θ1r (xem Hình 16).
2.3.2.3. Vào thời điểm đó một cơn gió giật sẽ tác động lên tàu với momen nghiêng ngang tương ứng với cánh tay đòn lw2.
2.3.2.4. Tiến hành tính toán và so sánh các diện tích “a” và “b” được giới hạn bởi các vạch chéo trên Hình 16. Diện tích “b” được giới hạn bởi đường cong tay đòn ổn định tĩnh GZ(θ), đường thẳng nằm ngang của cánh tay đòn gây nghiêng do gió giật lw2 và góc nghiêng θ50, hoặc là góc vào nước θf, hoặc là góc nghiêng θc (góc tạo bởi điểm cắt nhau thứ 2 giữa đường cong tay đòn ổn định tĩnh GZ(θ) và đường nằm ngang lw2), lấy giá trị góc nào nhỏ hơn.
Diện tích “a” được giới hạn bởi đường cong tay đòn ổn định tĩnh GZ(θ), đường nằm ngang của cánh tay đòn gây nghiêng do gió giật Iw2 và góc nghiêng (θ1r - θw1).
2.3.2.5. Tàu được coi là đủ ổn định K = b / a, với điều kiện diện tích b lớn hơn hoặc bằng diện tích a, tức là K ≥ 1.
2.3.3. Giá trị góc nghiêng tĩnh θw1 không được quá 160 hoặc không được lớn hơn 0,8 lần góc vào nước của mép boong chính, lấy giá trị góc nào nhỏ hơn.
2.3.4. Tính toán cánh tay đòn momen gây nghiêng do áp lực gió
2.3.4.1. Cánh tay đòn gây nghiêng lw1(m) được xem là không đổi đối với tất cả các góc nghiêng và được tính theo công thức:
Iw1 =pv.Av.Zv/(1000.g.∆)
Trong đó:
- pv - Áp suất gió (Pa), được xác định theo Bảng 2/3 tùy thuộc vào vùng hoạt động của tàu
- Zv - Cánh tay đòn gây nghiêng do gió, là khoảng cách thẳng đứng tính từ tâm mặt hứng gió Av đến tâm hình chiếu cạnh phần ngâm nước của tàu hoặc lấy xấp xỉ bằng 1/2 chiều chìm tàu.
- Av - Diện tích mặt hứng gió, m2 được xác định theo 2.3.4.2 dưới đây.
- A - Lượng chiếm nước của tàu, T
- G - Gia tốc trọng trường= 9,81 m/s2
- Cánh tay đòn gây nghiêng lw2 được xác định theo công thức lw2= 1,5 lw1
Bảng 2/3. Áp suất gió Pv [N/m2]
|
Vùng hoạt động |
Tầm hoạt động (hải lý) |
Cấp gió Bôpho |
áp lực gió tính toán, N/m2 |
|
Hạn chế I |
< 200 |
8-9 |
353 |
|
Hạn chế II |
< 100 |
7-8 |
302 |
|
Hạn chế III |
< 50 |
6-7 |
252 |
2.3.4.2. Tính diện tích mặt hứng gió Av
a) Diện tích hứng gió là diện tích hình chiếu phần khô của tàu được quy định tại (b) lên mặt phẳng dọc tâm tàu.
b) Khi tính diện tích hứng gió phải tính đến các hình chiếu của tất cả các thành liên tục và bề mặt của thân tàu, thượng tầng, lầu lái, cột cẩu, ống khói, ống thông hơi, thiết bị cứu sinh, xuồng công tác, các thiết bị trên boong, các dây chằng bị kéo căng khi gió tác dụng kể cả hình chiếu của hàng hóa chở trên boong.
c) Diện tích hứng gió của các bề mặt không liên tục như lan can, tay vịn (trừ cột cẩu), các dây chằng của tàu và các vật thể khác được đưa vào tính toàn bằng cách tăng tổng diện tích hứng gió của các bề mặt liên tục lên 5% ở chiều chìm nhỏ nhất dmin và tăng mô men tĩnh của diện tích đó lên 10%.
2.3.5. Tính biên độ lắc ngang
2.3.5.1. Biên độ lắc ngang của tàu có hông tròn được tính theo công thức

Trong đó:
- k - Hệ số tính đến ảnh hưởng của vây giảm lắc (ki hông hoặc sống vây) và được tính toán theo 2.3.5.2; đối với tàu không có vây giảm lắc k được lấy bằng 1.
- X1 - Hệ số không thứ nguyên được xác định theo Bảng 3/3 phụ thuộc vào tỉ số B/d.
- X2 - Hệ số không thứ nguyên được xác định theo Bảng 4/3 phụ thuộc vào hệ số béo thể tích Cb.
- r - Giá trị r không được lớn hơn 1.
|
r = 0,73 + 0,6 |
(KG - d) |
|
d |
Trong đó:
- KG là chiều cao trọng tâm tàu.
- S - Hệ số không thứ nguyên được xác định theo Bảng 5/3 phụ thuộc vào vùng hoạt động của tàu và chu kỳ lắc ngang Tθ, được xác định theo công thức:

Trong đó: Hệ số quán tính c được xác định theo công thức
|
C = 0,373 + 0,023.(B / d) - 0,043 |
L |
|
100 |
GM0 - Chiều cao tâm nghiêng ban đầu đã tính đến ảnh hưởng của các mặt thoáng của các két dầu, nước.
Bảng 3/3. Hệ số X1
|
B/d |
≤ 2,4 |
2,6 |
2,8 |
3,0 |
3,2 |
3,4 |
3,5 |
3,6 |
4,0 |
4,5 |
5,0 |
5,5 |
6,0 |
≥ 6,5 |
|
X1 |
1,0 |
0,96 |
0,93 |
0,90 |
0,86 |
0,82 |
0,80 |
0,79 |
0,78 |
0,76 |
0,72 |
0,68 |
0,64 |
0,62 |
Bảng 4/3. Hệ số X2
|
Cb |
≤ 0,45 |
0,5 |
0,55 |
0,60 |
0,65 |
≥ 0,7 |
|
X2 |
0,75 |
0,82 |
0,89 |
0,95 |
0,97 |
1,0 |
Bảng 5/3. Hệ số S
|
Vùng hoạt động của tàu |
Tθ, sec |
|||||||||
|
≤ 5 |
6 |
7 |
8 |
10 |
12 |
14 |
16 |
18 |
≥ 20 |
|
|
Không hạn chế |
0,1 |
0,1 |
0,098 |
0,093 |
0,079 |
0,065 |
0,053 |
0,044 |
0,038 |
0,035 |
|
Hạn chế I và hạn chế II |
0,1 |
0,093 |
0,083 |
0,073 |
0,053 |
0,04 |
0,035 |
0,035 |
0,035 |
0,035 |
2.3.5.2. Đối với tàu có vây giảm lắc (ky hông hoặc sống vây), hoặc cả hai, thì hệ số k được xác định theo Bảng 6/3 dưới đây phụ thuộc vào tỉ lệ Ak/L.B, trong đó Ak- tổng diện tích của các ky hông hoặc diện tích hình chiếu hông của sống vây, hoặc tổng diện tích cả hai loại ky.
Bảng 6/3. Hệ số k
|
Ak/LB, % |
0 |
1,0 |
1,5 |
2,0 |
2,5 |
3,0 |
3,5 |
≥ 4,0 |
|
k |
1,0 |
0,98 |
0,95 |
0,88 |
0,79 |
0,74 |
0,72 |
0,70 |
2.3.5.3. Trong khi tính toán biên độ lắc đối với tàu có hông dạng bẻ góc, hệ số k được xem bằng 0,7.
2.3.5.4. Các giá trị trung gian trong các Bảng 3/.3, 4/3, 5/35 và 6/3 được xác định bằng phép nội suy tuyến tính. Các giá trị biên độ lắc được làm tròn đến đơn vị độ.
2.4. Chiều cao tâm nghiêng ngang ban đầu GM0
Chiều cao tâm nghiêng ngang ban đầu GMo đã hiệu chỉnh ở các trạng thái tải (trừ tàu không tải) buộc phải được kiểm tra và không được nhỏ hơn 0,35m.
Chương 3. CÁC YÊU CẦU BỔ SUNG VỀ ỔN ĐỊNH
3.1. Các trạng thái tải trọng
3.1.1. Những tàu cá quy định tại 1.1.1 Chương 1, phần I của Quy chuẩn này phải được kiểm tra ổn định ở các trạng thái tải trọng sau:
Tàu ra ngư trường với 100% nhiên liệu và 100% các dự trữ.
3.1.1.2. Tàu từ ngư trường trở về với 100% sản lượng cá trong hầm và 10% dự trữ và nhiên liệu.
3.1.1.3. Tàu từ ngư trường trở về với 20% sản phẩm ở trong hầm, 70% dự trữ, 10% nhiên liệu.
3.1.1.4. Tàu ở ngư trường, cá thu được ở trên boong, 100% dự trữ, 25% dự trữ nhiên liệu, nắp hầm mở.
3.1.1.5. Các trường hợp tải trọng đặc biệt khác sẽ do Đăng kiểm yêu cầu.
3.1.2. Đối với các tàu sử dụng lưới để đánh cá khi kiểm tra ổn định ở các trạng thái tải trọng 3.1.1.2, 3.1.1.3, 3.1.1.4 phải tính cả lưới ướt trên boong.
3.1.3. Đối với trường hợp 3.1.1.4 khi kiểm tra ổn định phải theo các điều kiện sau:
3.1.3.1. Đối với tàu thu lưới và cá bằng thiết bị nâng thì phải tính trọng lượng treo trên cần bằng sức nâng của cần. Số lượng cá đánh bắt được để trên boong phải được quy định trong thiết kế và đưa vào thông báo ổn định.
3.1.3.2. Biên độ chòng chành của trạng thái này lấy bằng 100, góc miệng hầm hàng nhúng vào nước coi là góc vào nước qua lỗ hở.
3.1.3.3. Chiều cao tâm nghiêng hiệu chỉnh không nhỏ hơn 0,35m. Cánh tay đòn lớn nhất của đồ thị ổn định tĩnh phải thỏa mãn yêu cầu quy định tại 2.2.4.
3.2. Hiệu chỉnh ảnh hưởng của hàng lỏng
Việc tính toán hiệu chỉnh ảnh hưởng của hàng lỏng theo quy định tại Phần 10 QCVN 21:2015/BGTVT.
3.3. Các yêu cầu đối với bản thông báo ổn định
3.3.1. Để đảm bảo ổn định cho tàu trong quá trình sử dụng mỗi tàu phải có một bản thông báo ổn định được Đăng kiểm thẩm định. Thông báo ổn định được lập theo quy định tại Phần 10, QCVN 21:20i5/BGTVT.
3.3.2. Bản thông báo ổn định phải được lập theo kết quả thử nghiêng tàu. Đối với tàu nêu ở 1.3.1.1 bản thông báo ổn định phải lập theo kết quả thử nghiêng của chiếc đầu tiên của nhóm đó. Bản thông báo ổn định đó có thể sử dụng cho nhóm thứ 2 nếu kết quả thử nghiêng chiếc đầu tiên trong nhóm thứ 2 này có lượng chiếm nước tàu không thay đổi quá 2%, chiều cao trọng tâm tàu không lớn hơn trị số tính theo 1.3.2.2 và không vi phạm các quy định trong phần này. Trong trường hợp này các thông tin về lượng chiếm nước và trọng tâm tàu không sẽ được lấy theo kết quả thử nghiêng của nhóm. Đối với các tàu được miễn thử nghiêng theo quy định ở 1.3.2 phải có tài liệu nêu được trọng lượng tính toán tàu không, cao độ trọng tâm tàu không được tính theo 1.3.2.2, đồng thời trong thông báo ổn định phải nêu rõ tàu được miễn thử nghiêng và cao độ trọng tâm xác định theo 1.3.2.2.
3.4. Vùng hạn chế hoặc cấm hoạt động
Ở những vùng có chế độ sóng đặc biệt, vùng có chiều cao sóng tăng đột ngột và độ dốc sóng lớn (sóng ở các vùng cửa sông, vùng nước cạn), vùng có chế độ sóng đặt biệt được xác định theo số liệu của trạm khí tượng thủy văn.
Chương 4. MẠN KHÔ
4.1. Quy định chung
4.1.1. Phạm vi áp dụng
4.1.1.1. Các tàu cá có chiều dài từ 12m đến dưới 24m được ấn định mạn khô tối thiểu theo quy định tại 4.2.1.
4.1.1.2. Ngoài các quy định tại Chương này, các yêu cầu khác áp dụng theo quy định tại Phần 11, QCVN 21:2015/BGTVT.
4.2. Mạn khô của tàu có boong kín
4.2.1. Mạn khô tối thiểu
Mạn khô tối thiểu của tàu được quy định trong Bảng 7/3.
Bảng 7/3. Mạn khô tối thiểu
|
Chiều dài tàu Lf, m |
12 |
15 |
20 |
24 |
|
Mạn khô tối thiểu, mm |
319 |
340 |
375 |
400 |
Ghi chú:
- Mạn khô của các tàu có chiều dài trung gian được xác định theo phương pháp nội suy tuyến tính;
- Trị số mạn khô nói trên được xác lập ở mặt phẳng sườn giữa tàu
4.2.2. Thượng tầng kín
4.2.2.1. Chiều cao tiêu chuẩn của thượng tầng kín được quy định là 1,0m.
4.2.2.2. Chiều dài tính toán của thượng tầng kín có chiều cao tiêu chuẩn (Ltt) được lấy bằng chiều dài thực của nó.
4.2.2.3. Nếu chiều cao thực của thượng tầng nhỏ hơn chiều cao tiêu chuẩn thì chiều dài tính toán của thượng tầng phải giảm đi theo tỷ lệ của chiều cao thực tế và chiều cao tiêu chuẩn. nếu chiều cao thực tế lớn hơn chiều cao tiêu chuẩn thì không được phép tăng chiều dài tính toán của thượng tầng.
4.2.2.4. Nếu thượng tầng kín có chiều cao tiêu chuẩn được bố trí ở mũi tàu thì chiều dài tính toán của nó được tăng lên 1,5 lần.
4.2.3. Hiệu chỉnh mạn khô
4.2.3.1. Hiệu chỉnh mạn khô theo chiều cao mạn
Nếu chiều cao tính toán của mạn (D) vượt quá Lf/15 thị mạn khô phải được tăng lên một lượng bằng:
F1 = (D -Lf/15)Lf/48 mm
4.2.3.2. Hiệu chỉnh theo thượng tầng kín
Nếu thượng tầng kín với chiều cao tiêu chuẩn có chiều dài Ltt> 0,2 Lf thì mạn khô của tàu xác định theo 4.2.1 và hiệu chỉnh theo 4.2.3.1 được giảm đi 5%; nếu Ltt> 0,5 Lf thì mức giảm tương ứng là 20%. Đối với các trị số trung gian của Ltt, lượng hiệu chỉnh được tính theo phương pháp nội suy tuyến tính.
4.2.3.3. Hiệu chỉnh theo góc ngập nước của mép boong
Không phụ thuộc vào các quy định nói trên, mạn khô của tàu phải có giá trị sao cho góc ngập nước của mép boong không nhỏ hơn:
a) 150 đối với tàu có Lf ≤ 17 m
b) 060 đối với tàu có Lf > 17 m
Các tàu có Lf trung gian, góc ngập nước tính theo phương pháp nội suy tuyến tính.
4.2.3.4 Chiều cao mũi tàu từ đường nước đến điểm cao nhất của sống mũi:
Fm ≥ 56Lf [1 - Lf/500)], mm.
Chiều cao lái tàu tại đường vuông góc lái:
F1 ≥ 0,5 Fm, mm
4.3. Dấu mạn khô
Dấu mạn khô của mỗi tàu bao gồm đường tròn có đường kính ngoài bằng 300 mm và đường kính trong bằng 250 mm có một đường nằm ngang dài 450 mm và rộng bằng 25 mm cắt ngang, mép trên của đường nằm ngang này đi qua tâm của vòng tròn. Phần đường tròn bị giới hạn bởi nửa dưới của đường tròn và đoạn nằm ngang được sơn cùng một màu với đường tròn đó.
Tâm của đường tròn đặt cách mép trên của đường boong một khoảng bằng mạn khô mùa hè đã quy định tính theo chiều thằng đứng (Hình 17a hoặc 17b).

Hình 17. Dấu mạn khô
Phần 4. HỆ THỐNG MÁY TÀU
Machinery Installations
Chương 1. QUY ĐỊNH CHUNG
1.1. Phạm vi áp dụng
Những yêu cầu của phần này áp dụng cho máy chính, máy phụ, bộ truyền động bánh răng, các bộ ly hợp, hệ trục, chân vịt và các hệ thống đường ống.
1.2. Vật liệu
Vật liệu dùng cho hệ thống máy phải được lựa chọn có xét đến mục đích và điều kiện làm việc của chúng. Những vật liệu dùng cho các bộ phận chính của động cơ, hệ trục chân vịt, chân vịt phải là những vật liệu được thử và kiểm tra theo các yêu cầu tại Phần 7A, QCVN 21:2015/BGTVT.
1.3. Những yêu cầu chung về hệ thống máy tàu
1.3.1. Hệ thống máy tàu phải có đủ công suất chạy lùi để đảm bảo tính cơ động của tàu ở mọi điều kiện làm việc bình thường. Công suất lùi phải đủ để đảm bảo dừng tàu trong một khoảng thời gian thích hợp.
1.3.2. Đối với máy chính có thiết bị đảo chiều, khi chạy lùi không được làm máy chính quá tải.
1.3.3. Động cơ sử dụng nhiên liệu theo chỉ định của nhà sản xuất. Không được sử dụng nhiên liệu có nhiệt độ chớp cháy thấp hơn 60°C.
1.3.4. Nhà chế tạo phải cung cấp đủ các thông tin cần thiết để đảm bảo rằng máy móc có thể được lắp đặt đúng có xét đến những yếu tố như điều kiện hoạt động và những hạn chế cần thiết khác.
1.3.5. Máy chính, máy phụ và các động cơ dẫn động chúng phải được có khả năng hoạt động trong các điều kiện quy định ở Bảng 1/4 khi chúng được đặt lên tàu. Đăng kiểm có thể chấp nhận các trị số khác với giá trị các góc trong bảng này khi xét đến kiểu, kích cỡ và điều kiện phục vụ trên tàu.
Bảng 1/4. Góc nghiêng
|
Kiểu hệ thống máy |
Giữa tàu |
Mũi và đuôi tàu |
||
|
Góc nghiêng tĩnh (nghiêng ngang) |
Góc nghiêng động (chòng chành ngang) |
Góc nghiêng tĩnh(chúi) |
Góc nghiêng động (chòng chành dọc) |
|
|
Máy chính, các động cơ dẫn động máy phát, máy phụ và các động cơ dẫn động chúng |
150 |
22,50 |
50 |
7,50 |
|
Các máy phát sự cố, bơm chữa cháy sự cố và các động cơ lai chúng, các cơ cấu chuyển mạch, các thiết bị điều khiển tự động từ xa |
22,50 |
22,50 |
100 |
100 |
1.3.6. Máy chính phải có đủ các thiết bị giám sát an toàn và điều khiển các thông số kĩ thuật như: tốc độ, nhiệt độ, áp suất ...và chức năng hoạt động khác.
1.3.7. Động cơ đi-ê-den được lắp đặt trên bệ máy kết cấu thép phải có đủ độ bền và độ cứng vững.
1.3.8. Nếu các động cơ và bệ máy của chúng được đặt trên các đà dọc đáy bằng chất dẻo cốt sợi thủy tinh, phải lưu ý thích đáng để tránh biến dạng quá mức do lực xiết bu lông và tải trọng của động cơ. Trong điều kiện bình thường, nếu nhiệt độ bệ máy của động cơ có thể tăng cao gây ảnh hưởng tới đặc tính rão của các đà dọc bằng chất dẻo cốt sợi thủy tinh trong khu vực bệ máy thì phải cách nhiệt thích đáng cho các sống dọc đáy và bệ máy.
1.3.9. Nếu các động cơ và bệ máy của chúng được đặt trên các đà dọc đáy bằng gỗ hoặc chất dẻo cốt sợi thủy tinh phải có các tấm thép hoặc vật liệu thích hợp khác ở khu vực chân động cơ. Nếu thân tàu là gỗ hoặc chất dẻo cốt sợi thủy tinh và bề mặt thân tàu trong khu vực bệ máy không được bảo vệ đầy đủ chống lại dầu, thì phải đặt các khay hứng ở dưới các bộ phận của động cơ, hộp số và những chỗ có thể rò rỉ nhiên liệu hoặc dầu bôi trơn, đồng thời phải có phương tiện để lấy nhiên liệu hoặc dầu bôi trơn rò rỉ đó hoặc dẫn vào két chứa dầu bẩn. Nếu bề mặt phía trên của các chỗ có các đai ốc và vòng đệm của bu lông bệ máy được đặt sâu, thì bề mặt phía trên của bệ máy phải đủ chỗ cho vật liệu thừa dồn lên khi bu lông bệ máy được xiết chặt.
1.3.10. Máy chính, máy phụ, hộp số, các ổ đỡ chặn của hệ trục phải được bắt chặt vào các bệ đỡ bằng các bu lông chính xác hoặc các cơ cấu chặn để ngăn ngừa chúng bị xê dịch ở tất cả các trạng thái tải có thể có khi tàu hoạt động.
1.3.11. Những bu lông cố định các máy và ổ đỡ hệ trục với bệ của chúng cũng như những bu lông khớp nối các trục phải được hãm chặt nhằm ngăn ngừa khả năng tự lỏng ra.
1.3.12. Khi các máy được lắp đặt trên căn máy làm bằng vật liệu nhựa (chockfast), thiết kế của chúng phải được Đăng kiểm phê duyệt. Vật liệu nhựa được dùng làm căn cũng phải được Đăng kiểm công nhận.
1.3.13. Các bộ phận chuyển động của động cơ và thiết bị cơ khí và điện phải được bảo vệ bằng các nắp đậy, lan can,... chắc chắn để tránh gây thương tích cho thuyền viên, người làm việc trên tàu.
1.3.14. Sàn buồng máy và các lối đi trong khu vực buồng máy phải được lắp cố định và phải có bề mặt chống trượt
1.3.15. Các vị trí lên - xuống và lối đi trong khu vực buồng máy phải có đủ tay vịn 2.3.13. Trừ trường hợp có các phương tiện để che chắn hoặc thu gom dầu rò rỉ thích hợp, không được đặt hệ thống dầu bôi trơn, hệ thống nhiên liệu ngay trực tiếp trên các đường ống khí xả, các bầu giảm âm hoặc các bề mặt có nhiệt độ cao khác và chúng phải đặt xa các thiết bị đó đến mức có thể được.
1.3.16. Động cơ có công suất từ 100kW trở lên không được để rò rỉ nhiên liệu, dầu bôi trơn, các loại khí độc và các loại khí dễ cháy khác có thể gây nên cháy. Đối với những hệ thống máy mà các loại dầu có thể rò rỉ, thì phải có phương tiện thích hợp để dẫn dầu rò rỉ ra chỗ an toàn khác.
1.3.17. Các kết cấu được làm bằng vật liệu cháy được như gỗ và những vật liệu tương tự không được đặt ở phía trên và xung quanh động cơ đi-ê-den có công suất từ 100kW trở lên, trừ khi được bảo vệ thích đáng bằng tấm kim loại hoặc vật liệu chống cháy khác.
1.3.18. Buồng máy phải được thông gió đầy đủ để đảm bảo rẳng khi máy móc đặt trong đó đang hoạt động đủ công suất, thì phải có khả năng duy trì việc cấp đầy đủ không khí cho buồng máy để đảm bảo an toàn và thoải mái cho con người, cho sự hoạt động của máy móc và để ngăn ngừa sự tích tụ các khí dễ cháy.
1.3.19. Thông tin liên lạc giữa buồng lái và buồng máy phải do hai phương tiện đảm bảo truyền lệnh và trả lời cho lầu lái. Phương tiện thứ hai có thể là ống nói.
1.3.20. Máy chính, máy phụ, thiết bị, các hệ thống đường ống phải được bố trí thuận lợi cho việc vận hành và đảm bảo tiếp cận dễ dàng để kiểm tra, bảo dưỡng và sửa chữa khi có sự cố.
1.3.21. Các thiết bị phòng ngừa và bảo vệ máy phải có kết cấu và được lắp đặt sao cho khi bị hỏng chúng không gây ra nguy cơ cháy và nguy hiểm cho người vận hành.
1.3.22. Các động cơ được khởi động bằng điện phải có máy phát điện kèm theo, có khả năng tự động nạp điện cho ắc quy khởi động.
1.3.23. Các động cơ lai máy phát điện phải được lắp đặt trên cùng bệ với máy phát.
1.3.24. Ống xả và các bề mặt nóng khác của máy chính và máy phụ hoặc trong tầm với của người phải được cách nhiệt thích hợp hoặc được bảo vệ bằng cách khác để tránh tai nạn hoặc bỏng; các bề mặt nóng có thể gây cháy phải được bảo vệ khỏi tất cả các tiếp xúc có thể có bằng vật liệu dễ cháy. Bề mặt của các máy, trang thiết bị và đường ống có nhiệt độ lớn hơn 220 oC trong quá trình hoạt động phải được bọc cách nhiệt bằng vật liệu không cháy; nếu các vật liệu này hấp thụ dầu nhờn hoặc dầu đốt, lớp bọc cách nhiệt phải được bao ngoài bằng một lớp vật liệu cách ly khác không ngấm dầu
1.3.25. Phải đặt các đường ống khí xả sao cho vỏ tàu không bị nhiệt khí xả làm nóng.
1.3.26. Đường ống nhựa không được sử dụng cho bất kỳ mục đích nào trong các không gian buồng máy mà sự phá hủy của nó do hỏa hoạn sẽ gây nguy hiểm về an toàn
1.3.27. Các đầu hở của các đường ống khí xả phải được đặt ở những nơi không có đầu lấy gió để không khí đi vào các buồng không bị trộn lẫn với khí xả.
1.3.28. Khi lắp đặt động cơ đốt trong làm mát bằng nước, phải bố trí phương tiện dự phòng khẩn cấp cung cấp nước làm mát. Bộ lọc phải có khả năng được làm sạch mà không làm gián đoạn dòng chảy của nước làm mát.
1.3.29. Các dụng cụ, phụ tùng và thiết bị dự phòng cần thiết để tháo lắp, sửa chữa bảo dưỡng định kỳ và sửa chữa đơn giản cho các máy, thiết bị phải được cất giữ chắc chắn trong một không gian dễ tiếp cận.
Chương 2. ĐỘNG CƠ ĐI-Ê-DEN
2.1. Phạm vi áp dụng
Những yêu cầu quy định trong chương này được áp dụng cho các động cơ đi-ê-den trong được dùng làm máy chính hoặc máy phụ trên tàu cá.
2.2. Vật liệu, kết cấu và độ bền
Vật liệu dùng để chế tạo, các bộ phận chính của các động cơ đi-ê-den và việc thử nghiệm phải tuân theo những theo các yêu cầu quy định Chương 2, Phần 3, QCVN 21: 2015 /BGTVT.
2.3. Thiết bị điều khiển
2.3.1. Những yêu cầu chung đối với trang thiết bị điều khiển
2.3.1.1. Cấu tạo và bố trí các thiết bị khởi động, thiết bị đảo chiều phải đảm bảo sao cho chỉ cần một người có thể thao tác được đối với mỗi động cơ.
2.3.1.2. Kết cấu của thiết bị điều khiển phải loại trừ được khả năng thiết bị đó có thể tự động thay đổi chế độ làm việc của động cơ.
2.3.1.3. Khi động cơ vừa có hệ thống khởi động bằng điện, vừa có hệ thống khởi động bằng tay thì phải trang bị khóa liên động hoặc thiết bị tương tự khác để loại trừ khả năng làm việc đồng thời cả hai hệ thống khởi động. Kết cấu của tay quay khởi động phải đảm bảo an toàn cho người vận hành.
2.3.1.4. Hướng dịch chuyển của cần hoặc vô lăng điều khiển phải được chỉ dẫn bằng mũi tên hoặc chữ viết.
2.3.2. Trang thiết bị điều khiển động cơ chính
Trang thiết bị điều khiển động cơ chính phải có:
2.3.2.1. Bộ điều khiển
2.3.2.2. Đồng hồ đo vòng quay của động cơ
2.3.2.3. Áp kế để đo áp suất của dầu bôi trơn động cơ và hộp số
2.3.2.4. Nhiệt kế để đo nhiệt độ nước làm mát động cơ
2.3.2.5. Tín hiệu báo động khi áp lực dầu bôi trơn bị hạ thấp và khi nhiệt độ nước làm mát động cơ tăng cao hơn giá trị cho phép
2.3.2.6. Dụng cụ để đo dòng điện và điện áp trong lưới điện khởi động bằng ắc quy
2.3.2.7. Thiết bị dừng động cơ khẩn cấp, hoạt động độc lập với việc điều khiển từ xa
2.3.2.8. Hệ thống đèn chiếu sáng ban đêm.
2.3.3. Dụng cụ đo - kiểm tra
2.3.3.1. Các dụng cụ đo - kiểm tra phải được bố trí ở nơi dễ đến và dễ nhìn thấy.
2.3.3.2. Trên các dụng cụ đo áp lực và đo số vòng quay, phải đánh dấu trị số giới hạn bằng dấu hiệu sáng, dễ nhìn.
2.3.3.3. Các dụng cụ đo - kiểm tra (trừ nhiệt kế chất lỏng) phải được các cơ quan có thẩm quyền kiểm tra và được Đăng kiểm công nhận.
2.4. Các yêu cầu khác về động cơ đi-ê-den
Áp dụng theo quy định tại Chương 2, Phần 3, QCVN 21:2015/BGTVT.
2.5. Thử nghiệm sau khi lắp đặt lên tàu
2.5.1. Đối với động cơ đi-ê-den: tiến hành thử các thiết bị bảo vệ vượt tốc, thiết bị báo động áp suất thấp của dầu bôi trơn, báo động nhiệt độ cao của nước làm mát và thiết bị dừng máy khẩn cấp.
2.5.2. Thử rò rỉ dầu ở áp suất làm việc cho các thiết bị làm kín ống bao trục.
2.5.3. Nếu Đăng kiểm cho là cần thiết thì phải thử thủy lực các hệ thống ống được hàn trên tàu giữa các ống hoặc giữa các ống và các van.
2.5.4. Đối với các hệ thống nhiên liệu, phải thử rò rỉ với áp suất bằng giá trị lớn hơn trong hai trị số sau: 1,5 lần áp suất thiết kế hoặc 0,4MPa.
Chương 3. THIẾT BỊ TRUYỀN ĐỘNG
3.1. Phạm vi áp dụng
Những yêu cầu của chương này được áp dụng cho các thiết bị truyền động của máy chính và các động cơ dẫn động cho các máy phát, các máy phụ (trừ các máy phụ chuyên dùng).
3.2. Vật liệu, kết cấu và độ bền
3.2.1. Vật liệu
3.2.1.1. Vật liệu để chế tạo các chi tiết truyền động chính và thử không phá hủy chúng phải theo các quy định của Phần 7A, QCVN 21: 2015 /BGTVT.
3.2.1.2. Thiết bị truyền động phải có kết cấu hợp lí, thỏa mãn công năng và điều kiện làm việc, đủ độ cứng và độ bền.
3.2.2. Kết cấu chung của bánh răng
3.2.2.1. Nếu được ép nóng lên may-ơ thì vành răng phải có độ dày đủ đảm bảo được độ bền cần thiết cũng như độ căng chịu được công suất truyền qua. Nếu việc lắp ép được tiến hành sau khi cắt răng thì phải có kết cấu thích hợp sao cho độ chính xác của răng được đảm bảo hoàn toàn hoặc phải tiến hành gia công tinh các răng sau khi lắp ráp với may-ơ.
3.2.2.2. Nếu các bánh răng có kết cấu hàn thì chúng phải có đủ độ cứng và phải được khử ứng suất trước khi cắt răng.
3.2.2.3. Các bánh răng phải được cân bằng tĩnh.
3.2.2.4. Độ bền của chi tiết bánh răng phải được Đăng kiểm đánh giá qua các tài liệu và bản tính trình thẩm định.
3.2.2.5. Hộp bánh răng phải có đủ độ cứng và kết cấu sao cho việc kiểm tra và bảo dưỡng được thuận tiện.
3.2.3. Kết cấu chung của thiết bị truyền động không phải là bánh răng (khớp nối mềm, li hợp...)
3.2.3.1. Các thiết bị truyền động không phải là các bánh răng phải là thiết bị được Đăng kiểm xét thẩm định về kết cấu, vật liệu, sự hoạt động an toàn, độ tin cậy và có đủ độ bền để chịu được công suất truyền qua.
3.2.3.2. Nếu bộ li hợp của của thiết bị truyền động của các máy chính hoạt động nhờ các hệ thống thủy lực hoặc khí nén thì phải có một bơm dự phòng hoặc một máy nén khí được kết nối để sẵn sàng sử dụng hoặc phải có thiết bị thích hợp khai thác mà nhờ đó có thể đảm bảo tốc độ hành hải tối thiểu cho tàu.
3.2.4. Thiết bị bôi trơn
3.2.4.1. Phải trang bị bộ lọc từ cho hệ thống bôi trơn các bánh răng nếu thực tế có thể thực hiện được.
3.2.4.2. Thiết bị bôi trơn của thiết bị truyền động của máy chính có công suất từ 150kW trở lên phải được trang bị các thiết bị báo động để phát tín hiệu âm thanh và ánh sáng khi hệ thống cấp dầu bị hỏng hoặc áp suất đầu bôi trơn thấp hơn trị số định mức.
Chương 4. HỆ TRỤC
4.1. Phạm vi áp dụng
Những yêu cầu trong chương này áp dụng cho hệ trục chân vịt, hệ trục truyền động từ máy dẫn động đến các máy công tác (máy phát điện, máy phụ của tàu).
4.2. Vật liệu, kết cấu và độ bền
4.2.1. Vật liệu
4.2.1.1. Vật liệu dùng để chế tạo các chi tiết hệ trục (Trục trung gian, trục chặn, trục chân vịt, khớp nối trục, bu lông khớp nối, trục truyền công suất tới các máy phụ) phải thỏa mãn các yêu cầu về vật liệu quy định Phần 7A, QCVN 21:2015/BGTVT;
Thép rèn thỏa mãn các yêu cầu ở 6.1, Phần 7A, QCVN 21:2015/BGTVT.
Thép rèn không rỉ thỏa mãn các yêu cầu ở 6.2, Phần 7A, QCVN 21:2015/BGTVT.
Thanh thép cán không rỉ được thẩm định để sử dụng làm trục thỏa mãn các yêu cầu 3.5.1-2, Phần 7A, QCVN 21:2015/BGTVT.
Vật liệu được Đăng kiểm thẩm định riêng để sử dụng làm trục theo 1.1.1-2, Phần 7A, QCVN 21:2015/BGTVT.
Vật liệu dùng để chế tạo các khớp nối dạng tháo lắp được có thể là thép đúc.
4.2.1.2. Các chi tiết chính của hệ trục, trừ các bu lông khớp nối phải được thử không phá hủy như quy định ở 5.1.10, 6.1.10 hoặc 6.2.10, Phần 7A, QCVN 21:2015/BGTVT.
4.2.1.3. Vật liệu chế tạo trục phải có giới hạn bền kéo danh nghĩa năm trong khoảng 400MPa đến 800 MPa. Việc sử dụng thép các bon rèn có giới hạn kéo danh nghĩa lớn hơn 600 MPa hoặc thép có giới hạn bền kéo danh nghĩa lớn hơn 800 MPa để chế tạo trục phải được Đăng kiểm xem xét chấp nhận trong từng trường hợp cụ thể.
4.2.2. Trục trung gian
4.2.2.1. Đường kính trục trung gian được chế tạo bằng thép rèn (trừ thép rèn không rỉ v.v...) không được nhỏ hơn trị số tính theo công thức sau:

Trong đó:
- d0: Đường kính yêu cầu của trục trung gian (mm)
- H: Công suất liên tục lớn nhất của động cơ (kW)
- N: Vòng quay của trục trung gian ở công suất liên tục lớn nhất (vg/ph)
- k1: Hệ số lấy theo Bảng 2/4.
- Ts: Giới hạn bền kéo danh nghĩa của vật liệu làm trục trung gian (MPa)
- Nếu vật liệu giới hạn bền kéo danh nghĩa lớn hơn 800 MPa thì giới hạn của Ts dùng để tính toán chỉ được lấy tới 800 Mpa.
- K: Hệ số trục rỗng tính theo công thức sau:

- di: Đường kính trong của trục rỗng (mm)
- da: Đường kính ngoài của trục rỗng (mm)
- Nếu di ≤ 0,4 da, co thể lấy K = 1.
4.2.2.2. Đường kính của trục trung gian được chế tạo từ các vật liệu khác với quy định ở 4.2.2.1 trên đây sẽ được Đăng kiểm xem xét riêng.
Bảng 2/4. Trị số k1
|
Trục có khớp nối bích liền |
Trục có khớp nối bích ép nóng, ép nguội hoặc lắp nguội |
Trục có rãnh then (1) |
Trục có lỗ khoét ngang (2) |
Trục có khe khoét dọc (3) |
Trục có then trượt (4) |
|
1,0 |
1,0 |
1,1 |
1,1 |
1,20 |
1,15 |
Chú thích:
(1) Sau một khoảng chiều dài không nhỏ hơn 0.2 d0 tính từ đầu rãnh then, đường kính của trục có thể được giảm từ từ tới đường kính được tính toán với k1=1.0. Bán kính góc lượn ở mặt cắt ngang của đáy rãnh then phải từ 0.0125 d0 trở lên.
(2) Đường kính lỗ khoét không được lớn hơn 0.3 d0.
(3) Chiều dài rãnh khoét phải nhỏ hơn hoặc bằng 1.4d, chiều rộng phải nhỏ hơn hoặc bằng 0.2 d (trong đó: d là đường kính được tính toán với k1 = 1.0).
(4) Dạng của then trượt phải phù hợp với TCVN hoặc tiêu chuẩn tương đương khác.
4.2.2.3. Nếu đường kính trục chặn được quy định ở 4.2.2.1 lớn hơn đường kính của trục trung gian thì đường kính của trục đẩy từ hai phía ngoài ổ đỡ có thể giảm dần về phía mũi hoặc lái bằng cách nhân giá trị đường kính tính theo 4.2.2.1 với 0,9.
4.2.3. Trục chân vịt
4.2.3.1. Đường kính của trục chân vịt được chế tạo từ thép các bon rèn hoặc thép hợp kim thấp rèn không được nhỏ hơn trị số được tính theo công thức sau:

Trong đó:
- ds: Đường kính yêu cầu của trục chân vịt (mm)
- k1: Hệ số liên quan đến thiết kế trục được quy định ở Bảng 2/4
- Ts: Giới hạn bền kéo danh nghĩa của vật liệu trục (MPa) Nếu vật liệu làm trục có giới hạn bền kéo danh nghĩa lớn hơn 600 Mpa thì giới hạn của trị số Ts dùng để tính toán chỉ được lấy tới 600 MPa.
- Các kí hiệu khác xem 4.2.2.1.
4.2.3.2. Đường kính của trục chân vịt được chế tạo bằng các vật liệu có đặc tính như quy định ở Bảng 3/4 không được nhỏ hơn trị số tính theo công thức sau:

Trong đó: k3: hệ số liên quan đến vật liệu trục quy định ở Bảng 3/4. Nếu vật liệu khác với vật liệu được quy định trong bảng này sẽ do Đăng kiểm xem xét và quyết định trong từng trường hợp cụ thể.
4.2.3.3. Đường kính của trục chân vịt khác với trị số được tính theo 4.2.3.1 và 4.2.3.2 trên đây phải được Đăng kiểm xem xét riêng.
4.2.4. Các trục khác
Đường kính của các trục truyền công suất vào máy phát điện hoặc máy phụ có công dụng quan trọng phải phù hợp với những yêu cầu quy định ở 4.2.2.
4.2.5. Đánh giá chi tiết về độ bền
Nói chung, Đăng kiểm có thể xem xét và chấp thuận các giá trị đường kính trục được tính toán không tuân theo các yêu cầu ở 4.2.2, 4.2.3, 4.2.4 và 4.2.5, nếu có các tài liệu và bản tính chi tiết chứng minh rằng chúng đủ bền để trình Đăng kiểm.
4.2.6. Bảo vệ chống ăn mòn cho trục chân vịt
4.2.6.1. Trục chân vịt phải được bảo vệ chống ăn mòn nước biển bằng một trong các phương tiện có hiệu quả sau:
a) Bảo vệ có hiệu quả trục chân vịt chống lại sự tiếp xúc với nước biển bằng phương pháp được Đăng kiểm thẩm định.
b) Dùng các vật liệu SUSF316, SUSF316L, SUSF316-SU hoặc SUSF316L-SU được quy định ở Phần 7A, QCVN 21:2015/BGTVT cho các trục có đường kính không vượt quá 200mm.
c) Dùng vật liệu chống ăn mòn khác với các vật liệu nêu ở b được Đăng kiểm thẩm định.
4.2.6.2. Phải có các phương tiện có hiệu quả để đảm bảo ngăn ngừa nước biển thâm nhập vào phần giữa đầu cuối của áo trục chân vịt hoặc phần sau của ổ đỡ phía sau cùng.
4.2.6.3. Khoảng không gian giữa đai ốc mũ hãm chân vịt, củ chân vịt và trục chân vịt phải chứa đầy mỡ hoặc phải có biện pháp hữu hiệu khác để bảo vệ trục chống ăn mòn của nước biển.
4.2.7. Áo trục chân vịt
Áo trục được lắp vào trục chân vịt phải thỏa mãn những yêu cầu quy định từ 4.2.7.1 đến 4.2.7.3 sau đây:
5.2.7.1. Chiều dày của áo trục không được nhỏ hơn giá trị tính theo công thức sau:

Trong đó:
- t1: Chiều dày của áo trục ở vùng ổ đỡ ống bao trục hoặc ổ đỡ trong giá đỡ tiếp xúc với bề mặt ổ đỡ (mm)
- t2: Chiều dày của áo trục ở các phần còn lại (mm)
- ds: Đường kính (mm) quy định của trục chân vịt tính theo công thức ở 4.2.4.
5.2.7.2. Áo trục phải làm bằng đồng thanh hoặc bằng những vật liệu tương đương, không được có vết rỗ, nứt và những khuyết tật khác.
5.2.7.3. Áo trục phải được lắp vào trục theo phương pháp tránh tập trung ứng suất, như kiểu ép nóng v.v...
Bảng 3/4. Giá trị hệ số k3
|
TT |
Vật liệu |
Thành phần hóa học % |
Giới hạn chảy Remin |
Giới hạn bền Rmin |
k3 |
|
1 |
Thép các bon và thép các bon măng gan |
C: 0.16-0.25 Si ≤ 0.45 S≤0.04 P≤0.04 |
200 |
400 |
119,7 |
|
2 |
Thép không gỉ Austenit loại (316) |
C≤0.08 Mn≤2.0 Si≤1.0 Cr:16.0-18.0 Ni:11.0-13.0 Mo:2.0-3.0 |
175 |
470 |
98,8 |
|
3 |
Thép không gỉ Mactenxit (loại 431) |
C≤0.2 Mn:1,0 Si:0.8 Cr:15-18 Ni:2-3 |
675 |
850 |
89,3 |
|
4 |
Đồng măng gan |
Cu:52-62 Pb≤0.5 Mn≤2.0 Fe≤1.20 Zn=còn lại |
245 |
510 |
87,4 |
|
5 |
Đồng nhôm Nikken |
Ni:4.0-6.0 Al:7.0-11.0 Mn≤2.0 Fe: 2-6 Cu: Còn lại |
390 |
740 |
80,7 |
|
6 |
Hợp kim đồng Nikken (Monel K400) |
Ni:63-68 Mn≤2.0 Fe≤3.0 C≤0.3 Cu: Còn lại |
350 |
550 |
80,7 |
|
7 |
Hợp kim đồng- niken (Monel K500) |
Ni:63-70 Al:2.0-4.0 Mn≤1.5 Fe≤2.0 C≤0.25 Cu: Còn lại |
690 |
960 |
67,5 |
4.2.8. Cố định chân vịt vào trục
4.2.8.1. Nếu chân vịt được lắp ép vào trục chân vịt thì bề mặt lắp ghép phải đủ độ bền để chịu được mô men xoắn truyền qua trục.
4.2.8.2. Nếu dùng then để cố định chân vịt vào trục thì các góc của rãnh then phải được lượn tròn thích đáng và then phải được lắp khít vào rãnh then trên trục chân vịt phải được lượn tròn đều để tránh tập trung ứng suất quá mức.
4.2.8.3. Nếu chân vịt và mặt bích trục chân vịt được nối với nhau bằng bu lông thì các bu lông và chốt bu lông phải đủ bền.
3.2.8.4. Chiều dày mặt bích phía sau của trục chân vịt tại vòng chia không nhỏ hơn 0,27d0, (d0: đường kính trục trung gian, được tính với k1=1,0, K=1,0 và Ts= 400MPa theo 4.2.2).
4.2.9. Ổ đỡ trong ống bao và ổ đỡ trong giá đỡ trục
4.2.9.1. Ổ đỡ sau cùng trong ống bao hoặc ổ đỡ ở giá đỡ trục chân vịt phải thỏa mãn các yêu cầu quy định từ a đến c dưới đây:
a) Trong trường hợp ổ đỡ làm bằng gỗ gai ắc được bôi trơn bằng nước:
(1) Chiều dài ổ đỡ không được nhỏ hơn 4 lần đường kính của trục chân vịt tính theo công thức ở 4.2.4.1.
(2) Phải có biện pháp thích hợp để cung cấp một lượng nước sạch đủ để bôi trơn và làm mát.
b) Trong trường hợp ổ đỡ làm bằng kim loại màu bôi trơn bằng dầu:
(1) Trục chân vịt tính theo công thức 4.2.4.1 hoặc 4.2.4.2, hoặc 1,5 lần giá trị đường kính thật, lấy trị số nào lớn hơn. Tuy nhiên nếu có sự lưu ý đặc biệt đến kết cấu và việc bố trí thoả mãn các quy định khác và được Đăng kiểm chấp nhận thì chiều dài của ổ đỡ có thể ngắn hơn một chút so với quy định trên.
(2) Ống bao trục chân vịt phải luôn chứa đầy dầu và phải sử dụng các giải pháp thích đáng để đo được nhiệt độ của dầu trong ống bao.
(3) Nếu có sử dụng két dầu trọng lực để cấp dầu bôi trơn cho ổ đỡ trong ống bao trục thì phải đặt két này cao hơn chiều chìm chở hàng và phải có thiết bị báo động khi mức dầu thấp. Tuy nhiên, trong trường hợp hệ thống bôi trơn được thiết kế để sử dụng ở điều kiện áp suất dầu tĩnh của két trọng lực nhỏ hơn áp suất nước thì két này không yêu cầu đặt cao hơn chiều chìm chở hàng.
(4) Dầu bôi trơn phải được làm mát bằng cách ngâm ống bao trong nước tại phía đuôi tàu hoặc bằng các biện pháp thích hợp khác.
c) Nếu sử dụng vật liệu làm ổ đỡ không phải quy định ở a và b thì vật liệu, kết cấu và bố trí ổ đỡ phải được Đăng kiểm chấp thuận. Chiều dài của các ổ đỡ này phải thỏa mãn những yêu cầu dưới đây:
(1) Trường hợp ổ đỡ bôi trơn bằng dầu được chế tạo từ vật liệu tổng hợp: đối với ổ đỡ được làm bằng cao su tổng hợp, nhựa hoặc chất dẻo được thẩm định để sử dụng trong ống bao trục bôi trơn bằng dầu thì chiều dài ổ đỡ không được nhỏ hơn 2 lần đường kính của trục chân vịt tính theo công thức ở 4.2.4.1 hoặc 4.2.4.2, hoặc 1,5 lần đường kính thực, lấy giá trị nào lớn hơn. Tuy nhiên đối với các ổ đỡ có kết cầu và bố trí được Đăng kiểm xét thẩm định thì chiều dài của ổ đỡ có thể ngắn hơn so với chiều dài quy định ở trên.
(2) Trường hợp ổ đỡ trục chân vịt làm bằng vật liệu tổng hợp được bôi trơn bằng nước: đối với ổ đỡ làm bằng vật liệu tổng hợp được thẩm định để sử dụng làm ổ đỡ trong ống bao trục bôi trơn bằng nước giống như cao su hoặc chất dẻo thì chiều dài của ổ đỡ không được nhỏ hơn 4 lần đường kính trục tính theo công thức 4.2.4.1 hoặc 4.2.4.2, hoặc 3 lần đường kính thực, lấy trị số nào lớn hơn. Tuy nhiên, đối với những ổ đỡ có kết cấu và bố trí được Đăng kiểm xét thẩm định thì chiều dài của ổ đỡ có thể ngắn hơn so với chiều dài quy định ở trên.
4.2.9.2. Trừ thiết bị làm kín nước biển kiểu hộp bích nén tết, các thiết bị làm kín khác phải được Đăng kiểm thẩm định về vật liệu, kết cấu và bố trí.
4.2.10. Khớp nối trục và bu lông khớp nối
4.2.10.1. Đường kính của bu lông khớp nối tại mặt phẳng lắp ghép của khớp nối phải không được nhỏ hơn trị số tính theo công thức sau:

Trong đó:
- db: Đường kính bu lông (mm),
- d0: Đường kính (mm) của trục trung gian được tính với k1 =1,0 và K=1,0 theo công thức ở 4.2.2.
- n : Số bu lông.
- D: Đường kính vòng chia (mm).
- Ts: Giới hạn bền kéo danh nghĩa của vật liệu làm trục trung gian (MPa).
- Tb: Giới hạn bền kéo danh nghĩa của vật liệu làm bu lông (MPa), nói chung Ts ≤ Tb ≤ 1,7Ts và giới hạn trên của Tb được sử dụng trong tính toán chỉ được lấy tối đa là 1000 (MPa).
4.2.10.2. Chiều dày của mặt bích nối tại vòng chia phải không được nhỏ hơn đường kính yêu cầu của bu lông tính theo công thức ở 4.2.10.1với giả thiết các bu lông phải có độ bền phù hợp với vật liệu làm trục tương ứng. Tuy nhiên, chiều dày đó không được nhỏ hơn 0,2 lần đường kính của trục tương ứng.
4.2.10.3. Bán kính góc lượn ở chân mặt bích phải không được nhỏ hơn 0.08 lần đường kính trục và góc lượn không được nằm trong khu vực lắp đai ốc và bu lông.
4.3. Thử nghiệm
4.3.1. Các ống bao trục, các áo bọc trục chân vịt phải được thử thủy lực với áp suất làm việc lớn nhất được quy định như sau:
4.3.1.1. Ống bao trục: 0,2 MPa
4.3.1.2. Áo trục chân vịt: 0,1 Mpa (phải tiến hành thử trước khi lắp nóng).
4.3.2. Sau khi được lắp đặt lên tàu, thiết bị đệm kín ống bao trục nêu ở 4.2.9.1-b phải được thử rò rỉ trong điều kiện áp suất làm việc của dầu.
Chương 5. CHÂN VỊT
5.1. Phạm vi áp dụng
Những yêu cầu trong chương này áp dụng cho chân vịt bước cố định được thiết kế, chế tạo, lắp đặt trên tàu cá.
5.2. Kết cấu và độ bền
5.2.1. Chiều dày cánh
5.2.1.1. Chiều dày cánh chân vịt tại bán kính 0,25R và 0,60R không được nhỏ hơn trị số theo công thức dưới đây. Chiều dày của cánh chân vịt có độ nghiêng lớn phải tuân thủ thêm các điều kiện khác do Đăng kiểm quy định cho từng trường hợp cụ thể.

Trong đó:
t : Chiều dày cánh (trừ góc lượn của chân cánh) (cm)
H: Công suất liên tục lớn nhất của máy chính (kW)
Z: Số cánh,
N: Số vòng quay liên tục lớn nhất chia cho 100 (vòng/phút/100)
l: Chiều rộng của cánh tại bán kính đang xét (cm)
K1: Hệ số tính theo công thức sau đây tại bán kính đang xét:

Trong đó:
- D: Đường kính chân vịt (m)
- k1, k2, k3: Các hệ số lấy theo Bảng 4/4
- P': Bước tại bán kính đang xét (m)
- P: Bước tại bán kính 0,7R (m) (R là bán kính của chân vịt)
- K2: Hệ số được tính theo công thức sau:

- k4, k5: Các hệ số tra theo Bảng 4/4
- E: Độ nghiêng tại đầu mút cánh (đo từ đường chuẩn mặt bên và lấy giá trị tương đối với độ nghiêng theo chiều ngược) (cm)
- t0: Chiều dày giả định của cánh tại đường tâm của trục chân vịt (t0 có thể nhận được nhờ kéo dài từng đường mép nối chiều dầy đỉnh cánh với chiều dày cánh ở 0,25R, tại hình chiếu của tiết diện cánh dọc theo đường chiều dày cánh lớn nhất (cm)
- K: Hệ số tra theo Bảng 5/4
- S: Hệ số liên quan đến tăng ứng suất do thời tiết. Nếu S> 1,0 thì S lấy bằng 1,0. Nếu S< 0,8 thì giá trị của S lấy bằng 0,8.

- Ds: Chiều cao mạn của tàu dùng trong tính toán sức bền quy định tại 1.2.25, Phần1A-QCVN21:2015 /BGTVT.
- ds: Chiều chìm chở hàng quy định tại 1.2.26 Phần 1A - QCVN 21: 2015/BGTVT.
- W: hệ số liên quan đến ứng suất đổi dấu được tính theo công thức dưới đây:

Nếu W< 2,27 thì giá trị của W lấy bằng 2,27.
Bảng 4/4. Trị số k1, k2, k3, k4, k5
|
Vị trí theo hướng kính |
k1 |
k2 |
k3 |
k4 |
k5 |
|
0,25R |
1,62 |
0,386 |
0,239 |
1,92 |
1,71 |
|
0,35R |
0,827 |
0,308 |
0,131 |
1,79 |
1,56 |
|
0,60R |
0,281 |
0,113 |
0,022 |
1,24 |
1,09 |

A4 = 3,52 tại 0,25R
A4 = 2,41 tại 0,35R
A4 = 1,26 tại 0,60R

- ae: Tỉ số diện tích khai triển của chân vịt
- ω: Nước kèm trung bình định mức ở đĩa chân vịt
- Δω: Giá trị cực đại của dao động nước kèm ở đĩa chân vịt tại bán kính
0,7R. Giá trị của ω và Δω phải được tính toán theo công thức dưới đây, trừ trường hợp tàu nhiều chân vịt hoặc tàu được Đăng kiểm xem xét riêng.

- B: Chiều rộng của tàu (m)
- Cb: Hệ số béo thể tích của tàu.
Bảng 5/4. Trị số K
|
Vật liệu |
K |
|
|
Vật đúc bằng hợp kim đồng |
HBsCI |
1,15 |
|
HBsC2 |
||
|
AlBC3 |
1,30 |
|
|
AlBC4 |
1,15 |
|
Chú thích :
- Đối với cánh làm bằng vật liệu khác vật liệu trong bảng trên thì giá trị K được xác định trong từng trường hợp cụ thể.
- Đối với chân vịt có đường kính từ 2,5m trở xuống, trị số K có thể lấy như giá trị ở bảng trên nhân với các hệ số sau đây :
2-0,4D khi 2,0 < D ≤ 2,5
1,2 khi D ≤ 2,0.
5.2.1.2. Bán kính góc lượn giữa chân của cánh và củ chân vịt không được nhỏ hơn giá trị R0 được tính theo công thức sau tại mặt đạp ở phần cánh có chiều dày lớn nhất:

Trong đó:
- R0: Bán kính yêu cầu của góc lượn (cm),
- tr : Chiều dày yêu cầu (cm) của cánh r bán kính 0,25R quy định tại 5.2.1.1,
- to : Như quy định tại 5.2.1.1,
- rB: Tỉ số củ của chân vịt:
|
rB = |
Đường kính chân vịt đo ở mặt phẳng giữa vuông góc với tâm |
|
Đường kính chân vịt |
- e : 0,25.
5.2.1.3. Ngoài những yêu cầu ở 4.2.1.1 hoặc 4.2.1.2 trên đây, khi đã có các tài liệu chi tiết và bản tính được trình thẩm định, Đăng kiểm vẫn tiến hành xem xét và thẩm định chiều dày của cánh hoặc bán kính góc lượn một cách thích hợp.
5.3. Lắp ép chân vịt
5.3.1. Chiều dài lắp ép chân vịt
5.3.1.1. Nếu chân vịt được ép vào trục chân vịt trong mối ghép không dùng then thực hiện theo quy định tại 7.3.1, Chương 7, Phần 3, QCVN 21:2015/BGTVT.
5.3.1.2. Nếu chân vịt được lắp vào trục chân vịt có sử dụng then thì phần lắp phải đủ bền để truyền mô men xoắn từ trục cho chân vịt.
5.3.2. Củ chân vịt
5.3.2.1. Nếu chân vịt được lắp ép vào trục chân vịt thì mép ở đầu phía mũi của lỗ hình côn của củ chân vịt phải được lượn tròn một cách thích hợp.
5.3.2.2. Củ chân vịt không được nung nóng cục bộ đến nhiệt độ cao tại thời điểm ép chân vịt ra khỏi trục.
5.4. Thử nghiệm
5.4.1. Thử tại xưởng
Chân vịt phải được kiểm tra bước và thử cân bằng tĩnh.
5.4.2. Thử sau khi lắp lên tàu
Khi chân vịt được lắp ép vào trục chân vịt kể cả lắp then hoặc không lắp then, đều phải thử ép để đo và ghi độ dài đoạn còn được ép. Cuộc thử này được tiến hành giống như cuộc thử ở xưởng.
Chương 6. DAO ĐỘNG XOẮN HỆ TRỤC
6.1. Phạm vi áp dụng
6.1.1. Những yêu cầu của Chương này được áp dụng cho thiết bị truyền động để đẩy tàu, hệ trục chân vịt (trừ chân vịt), trục khuỷu của động cơ đi-ê-den dùng làm máy chính có công suất từ 110 KW trở lên.
6.1.2. Những yêu cầu này cũng áp dụng cho hệ trục của máy phụ do động cơ đi-ê-den lai có công suất từ 110 KW trở lên.
6.2. Giới hạn ứng suất cho phép
Áp dụng theo quy định tại 8.2, Chương 8, Phần 3, QCVN 21:2015/BGTVT.
6.3. Vùng vòng quay cấm
Trong trường hợp khi ứng suất dao động xoắn vượt quá giới hạn quy định ở 6.2, thì phải áp dụng vùng vòng quay cấm làm việc theo quy định tại 8.3, Chương 8, Phần 3, QCVN 21:2015/BGTVT.
Chương 7. ỐNG, VAN, PHỤ TÙNG ĐƯỜNG ỐNG VÀ MÁY PHỤ
7.1. Phạm vi áp dụng
Các yêu cầu trong chương này áp dụng cho thiết kế, chế tạo và thử nghiệm ống, van, các loại phụ tùng đường ống và máy phụ lắp đặt trên tàu.
7.2. Phân loại ống
Các ống được phân loại theo loại chất lỏng, áp suất và nhiệt độ thiết kế gồm 3 loại: loại I, II và III như trong Bảng 3/12.1, Chương 12, Phần 3, QCVN 21:2015/BGTVT.
7.3. Vật liệu
7.3.1. Vật liệu chế tạo phải phù hợp với điều kiện làm việc của từng đối tượng: van, phụ tùng đường ống và máy phụ.
7.3.2. Vật liệu ống phải thỏa mãn các điều kiện làm việc của ống và thỏa mãn các yêu cầu có liên quan quy định tại Chương 12, Phần 3, QCVN 21:2015/BGTVT. Tuy nhiên, Đăng kiểm có thể chấp nhận các vật liệu thỏa mãn các tiêu chuẩn mà Đăng kiểm cho là thỏa đáng để dùng cho các ống đồng thời có áp suất thiết kế nhỏ hơn 1 MPa và nhiệt độ thiết kế không quá 2300C.
7.3.3. Những vật liệu thỏa mãn các tiêu chuẩn mà Đăng kiểm cho là phù hợp có thể được sử dụng để làm các van quy định ở a và b dưới đây:
a) Các van và các phụ tùng đường ống dùng cho các ống có đường kính danh nghĩa nhỏ hơn 80mm
b) Các van và phụ tùng đường ống đồng thời có áp suất thiết kế nhỏ hơn 3 MPa và nhiệt độ thiết kế không quá 2300C.
7.3.4. Mặc dù có các yêu cầu trên, các vật liệu dùng cho các ống, các van và các phụ tùng đường ống phải thỏa mãn các yêu cầu về hạn chế sử dụng vật liệu quy định tại Chương 12, Phần 3, QCVN 21:2015/BGTVT.
7.3.5. Cho phép sử dụng các ống chất dẻo để làm:
a) Các ống hút khô của các khoang nhỏ như hầm xích neo được hút khô bằng bơm tay
b) Các ống dẫn nước đi bên trong các két nước
c) Các ống đo mực nước
d) Các ống thoát nước, ống nước vệ sinh, ống thông gió nằm cao hơn boong vách
đ) Đường ống của hệ thống ống dùng cho các khoang chứa cá.
7.3.6. Có thể dùng ống chất dẻo làm đường ống cho hệ thống ống của các khoang cá với các điều kiện sau:
a) Nếu từng khoang cá dùng ống này có đặt chuông báo động mức nước đáy tàu cao
b) Các van hút nước biển có thể dễ dàng đóng được từ trên boong vách.
c) Chỗ ống xuyên qua vách buồng máy phải có van thích hợp
d) Tất cả các chỗ nối vào các kết phải dễ tiếp cận và có van lắp trực tiếp lên két hoặc bằng ống kim loại gắn trực tiếp lên két và nếu các chỗ nối không ở gần đỉnh két thì các van phải có khả năng đóng được từ vị trí trên boong vách hoặc là van chặn một chiều.
7.3.7 Trong những trường hợp khác, việc sử dụng đường ống bằng chất dẻo sẽ được Đăng kiểm xét riêng.
7.4. Chiều dày ống
Nói chung, chiều dày thành ống phải thỏa mãn các yêu cầu được quy định dưới đây.
7.4.1. Chiều dày tối thiểu của ống kim loại
7.4.1.1. Nói chung, chiều dày của thành ống kim loại không được nhỏ hơn các giá trị quy định trong Bảng 9/4 đối với các ống bằng đồng và hợp kim đồng v.v... và Bảng 10/4 đối với các ống thép và ống nhôm.
7.4.1.2. Không yêu cầu có lượng dung sai âm hoặc lượng bù thêm cho thành ống bị giảm đi khi uốn.
7.4.1.3. Nếu đường ống có thể phải chịu tải trong ngoài quá lớn hoặc không thể tiếp cận được trong quá trình khai thác thì Đăng kiểm có thể yêu cầu tăng chiều dày ống.
Bảng 9/4. Chiều dày tối thiểu thành ống bằng đồng, hợp kim đồng, titan và thép không rỉ
|
Đường kính ngoài D (mm) |
Chiều dày tối thiểu (mm) |
|
|
Đồng |
Hợp kim đồng, thép không rỉ |
|
|
D ≤ 10 |
1.0 |
0.8 |
|
10 < D ≤ 20 |
1.2 |
1.0 |
|
20 < D ≤ 44,5 |
1.5 |
1.2 |
|
44,5 < D ≤ 70,8 |
2.5 |
2.0 |
Chú thích: Chiều dày thành ống của hệ thống điều khiển các van từ xa, đi qua các két dằn không được nhỏ hơn:
- 3 mm đối với ống đồng, nhôm.
- 2 mm đối với ống đồng niken, ống thép không rỉ.
7.4.2. Chiều dày tối thiểu của ống chất dẻo
Chiều dày tối thiểu của ống chất dẻo sẽ được Đăng kiểm xem xét trong từng trường hợp cụ thể trên cơ sở phù hợp với các quy định của Quy chuẩn này.
Bảng 10/4. Chiều dày tối thiểu của thành ống bằng thép và nhôm
|
Đường kính ngoài D (mm) |
Chiều dày tối thiểu (mm) |
|
10.2 ≤ 12.0 |
1.6 |
|
13.5 ≤ 17.2 |
1.8 |
|
20 |
2 |
|
21.3 ≤ 25 |
2 |
|
26.9 ≤ 33.7 |
2 |
|
38.0 ≤ 44.5 |
2 |
|
48.3 |
2 |
|
51.0 ≤ 63.5 |
2.3 |
|
70 |
2.6 |
|
76.1 ≤ 82.5 |
2.6 |
Chú thích:
- Đối với các ống được bảo vệ chống ăn mòn có hiệu quả thì chiều dày có thể giảm đi một lượng không quá 0,5 mm
- Đối với các ống có ren, chiều dày tối thiểu phải được đo tại chân ren.
Chương 8. HỆ THỐNG ĐƯỜNG ỐNG
8.1. Phạm vi áp dụng
Các yêu cầu trong chương này áp dụng cho các hệ thống đường ống.
8.2. Đường ống
8.2.1. Nơi xuyên ống qua boong, vách kín nước phải có giải pháp đảm bảo kín nước cho các kết cấu.
8.2.2. Phải có biện pháp thích hợp đề phòng đóng băng ở bề mặt phía trong của các ống hút khô, ống thông hơi, các ống thoát nước nếu chúng đi qua hoặc được bố trí ở trong các khoang cá được bảo quản bằng đá.
8.2.3. Đặt ống trong các khoang cá được bảo quản bằng đá
Không được đặt hoặc để các ống đi qua các khoang cá được bảo quản bằng đá, nếu những đường ống ấy không phục vụ trực tiếp cho các khoang đó. Nếu việc đặt như vậy là không thể tránh được thì ống phải được cách nhiệt cẩn thận. Đối với các ống đo và ống thông hơi cũng phải áp dụng quy định này. Phải có biện pháp đề phòng nước đọng và đóng băng trong các đoạn ống.
8.3. Van hút nước biển và van xả mạn
8.3.1. Vị trí và kết cấu
8.3.1.1. Hộp thông biển và ống xả mạn phải được nối với van hoặc rô- bi- nê.
8.3.1.2. Các tay vặn điều khiển các van hút nước biển phải được nâng cao lên trên sàn buồng máy để có thể dễ dàng đóng mở chúng.
8.4. Hộp thông biển
Các hộp thông biển phải có kết cấu bền vững và không tạo thành túi khí trong hộp.
8.4.1. Lưới lọc của cửa hộp thông biển phải đặt các lưới lọc ở cửa hộp thông biển. Diện tích thông qua có ích của lưới lọc không được nhỏ hơn 2 lần tổng diện tích lối vào của các van hút nước biển.
8.5. Hệ thống hút khô - dằn
8.5.1. Quy định chung
8.5.1.1. Các đường ống hút khô và dằn phải thỏa mãn những yêu cầu có liên quan quy định ở 13.5.1, Chương 13, Phần 3 QCVN 21:2015/BGTVT.
8.5.1.2. Tất cả mọi tàu cá phải được trang bị hệ thống hút khô có khả năng hút khô bất kỳ khoang kín nước nào trên tàu.
8.5.1.3. Khoang kín nước có thể tích nhỏ hơn 7% tổng thể tích dưới boong có thể được xả khô vào khoang bên cạnh bằng van tự đóng. Van tự đóng này phải được bố trí bên ngoài khoang được xả khô và có thể hoạt động được từ vị trí dễ tiếp cận.
8.5.1.4. Số lượng và sản lượng của các bơm hút khô.
Các tàu cá đề cập ở 8.5.1.2 phải được trang bị các bơm hút khô với số lượng tối thiểu và sản lượng tối thiểu như quy định ở Bảng 11/4. Bơm hút khô phải là kiểu tự hút hoặc phải lắp thiết bị tạo chân không cho hệ thống.
8.5.1.5. Đường kính trong của ống hút khô được xác định theo công thức sau:
d = L/1,2 +25
Trong đó:
- d: đường kính trong ống hút khô, mm
- L: chiều dài tàu, m.
Bảng 11/4. Định mức trang bị bơm
|
Chiều dài tàu L (m) |
Bơm tay |
Bơm truyền động cơ giới |
||
|
Số bơm (cái) |
Sản lượng (m3/h) |
Số bơm (cái) |
Sản lượng (m3/h) |
|
|
Tàu có chiều dài 12≤L<15 |
1 |
4,0 |
1 |
8,0 |
|
Tàu có chiều dài 15≤L<20 |
1 |
6,0 |
1 |
10,0 |
|
Tàu có chiều dài 20≤L<24 |
1 |
8,0 |
1 |
12,0 |
8.6. Ống thông hơi
Các ống thông hơi phải thỏa mãn các yêu cầu quy định tại 13.6, Chương 13, Phần 3, QCVN 2i:2015/BGTVT.
8.7. Ống tràn
8.7.1. Quy định chung
8.7.1.1. Phải trang bị các ống tràn nếu các két có thể được nạp bằng bơm theo một trong các trường hợp sau:
a) Nếu tổng diện tích mặt cắt ngang của các ống thông hơi của các két có thể bơm vào nhỏ hơn 1,25 lần tổng diện tích mặt cắt ngang của các ống nạp.
b) Nếu có bất kì lỗ khoét nào ở bên dưới đầu hở của các ống thông hơi cho két.
c) Các két nhiên liệu trực nhật và két lắng nhiên liệu.
8.7.1.2. Các ống tràn không phải của các két nhiên liệu, dầu bôi trơn hoặc két dầu dễ cháy khác phải được dẫn ra ngoài trời hoặc nơi thích hợp.
8.7.1.3. Các ống tràn phải được bố trí sao cho có thể tự xả khô được.
8.7.2. Kích thước của các ống tràn
Tổng diện tích mặt cắt ngang của ống tràn theo quy định ở 8.7.1.1 phải không được nhỏ hơn 1,25 lần tổng diện tích mặt cắt ngang của ống nạp.
8.7.3. Các ống tràn cho các két nhiên liệu, dầu bôi trơn và chất lỏng dễ cháy
Các ống tràn cho các két nhiên liệu, dầu bôi trơn và chất lỏng dễ cháy phải được dẫn tới các két tràn có dung tích đủ chứa dầu tràn.
8.7.4. Các phương tiện ngăn dòng tràn chảy ngược
8.7.4.1. Đầu ra của ống tràn xả qua mạn tàu phải được bố trí trên đường mớn nước qua van một chiều đặt trên tấm vỏ mạn tàu. Nếu các ống tràn không thể bố trí xả qua mạn khô thì phải trang bị bổ sung các phương tiện hữu hiệu để đề phòng nước biển tràn vào trong tàu.
8.7.4.2. Phải có phương tiện thích hợp cho các ống tràn sao cho khi một trong các két bất kì được hút khô thì những két khác không bị ngập do nước biển tràn qua các ống tràn.
8.8. Ống đo
8.8.1. Quy định chung
8.8.1.1. Phải trang bị các ống đo hoặc thiết bị chỉ báo mức chất lỏng cho các két, các khoang cách li hoặc những vùng khó tiếp cận.
8.8.1.2. Gắn biển chỉ tên ở đầu trên các ống đo.
8.8.2. Các đầu trên của ống đo
8.8.2.1. Các ống đo phải được dẫn ra chỗ ở trên boong vách với độ cao có thể tiếp cận được và phải có thiết bị đóng hữu hiệu ở các đầu trên của chúng. Tuy nhiên, các ống đo có thể được dẫn tới các vị trí dễ tiếp cận ở phía trên sàn buồng máy với điều kiện phải có thiết bị đóng kín dưới đây phù hợp với loại két:
a) Các ống đo của các két nhiên liệu
(1) Thiết bị tự đóng kín ở phía cuối ống đo.
(2) Phải có rô bi nê đường kính nhỏ đặt dưới thiết bị rỗng để kiểm tra rằng không có nhiên liệu trước khi mở thiết bị rỗng.
(3) Phải có phương tiện để đảm bảo rằng bất kỳ sự tràn dầu nào qua rô bi nê kiểm tra sẽ không gây nên nguy cơ phát lửa.
b) Các ống đo của các két dầu bôi trơn và các két dầu dễ cháy khác phải có van hoặc rô-bi-nê xả nước tự đóng.
c) Các ống đo của các két khác với các két đề cập ở a, b và các khoang cách li phải có các van hoặc rô bi nê xả nước hoặc mũ chụp có ren lắp vào ống và được giữ bởi dây xích.
8.8.2.2. Các đầu cuối phía trên của các ống đo dùng cho các két nhiên liệu, các két dầu bôi trơn không được kết thúc trong các buồng ở hoặc liền kề với thiết bị điện hoặc các bề mặt bị nung nóng khác.
8.9. Hệ thống nhiên liệu
8.9.1. Quy định chung
8.8.1.1. Các khoang có đặt hệ thống đốt cháy nhiên liệu, các két trực nhật, két lắng, thiết bị làm sạch nhiên liệu phải được thông gió tốt và dễ tiếp cận các két và thiết bị này.
8.8.1.2. Hệ thống nhiên liệu trong buồng máy phải dễ quan sát, kiểm tra bảo dưỡng. Phải chú ý ngăn ngừa rò rỉ dầu sao cho không gây nên cháy.
8.8.1.3. Các van, các rô bi nê và các phụ tùng khác đặt trên các két nhiên liệu phải được bố trí ở những chỗ an toàn tránh được hư hỏng từ phía ngoài.
8.9.2. Hệ thống nhiên liệu của động cơ đi-ê-den có công suất từ 150 kW trở lên
8.9.2.1. Phải có hai bơm cấp nhiên liệu (1 bơm chính, 1 bơm dự phòng) có đủ sản lượng để duy trì việc cấp nhiên liệu khi máy chính hoạt động ở công suất liên tục lớn nhất.
8.9.2.2. Phải đặt các bộ lọc nhiên liệu trên đường ống cấp nhiên liệu cho động cơ đi- ê-den. Các bộ lọc cho máy chính phải có khả năng được làm sạch mà không phải dừng cấp dầu sạch cho động cơ. Phải trang bị van hoặc rôbinê cho các bộ lọc nhiên liệu để xả áp suất trước khi chúng được mở ra.
8.10. Hệ thống dầu bôi trơn của động cơ đi-ê-den
8.10.1. Quy định chung
Khoang tàu có bố trí các két dầu bôi trơn phải được thông gió tốt và có khả năng dễ tiếp cận các két này.
8.10.2. Bơm dầu bôi trơn
Số lượng và sản lượng của các bơm dầu bôi trơn dùng cho máy chính, hệ trục và thiết bị truyền động phải thỏa mãn các yêu cầu dưới đây:
8.10.2.1. Phải có hai bộ bơm dầu bôi trơn (1 bơm chính, 1 bơm dự phòng) có đủ sản lượng để duy trì việc cấp dầu cho máy chính khi hoạt động ở công suất liên tục lớn nhất.
8.10.2.2. Nếu có từ hai máy chính, hệ trục và thiết bị truyền động trở lên thì có thể chấp nhận hệ thống mà mỗi thiết bị có một bơm dầu bôi trơn nhưng với điều kiện là nó có khả năng tạo ra tốc độ hành hải tối thiểu ngay cả khi một trong số chúng không hoạt động được.
8.11. Hệ thống làm mát của động cơ đi-ê-den
8.11.1. Các bơm làm mát
Số lượng và sản lượng của các bơm làm mát phục vụ cho máy chính: phải trang bị hai bộ bơm làm mát (1 bơm chính và một bơm dự phòng) có đủ sản lượng để duy trì việc cấp nước làm mát cho máy chính hoạt động ở chế độ công suất lớn nhất. Đối với các tàu được lắp từ hai động cơ đi-ê-den để lai chân vịt thì không cần trang bị bơm dự phòng.
8.11.2. Hút nước biển
Phải có ít nhất 2 đường lấy nước biển làm mát độc lập qua các van hút nước biển đặt trên hai cửa thông biển hoặc miệng hút nước biển.
8.11.3. Hệ thống làm mát của động cơ đi-ê-den
Nếu nước biển được dùng để làm mát trực tiếp máy chính, máy phụ lai máy phát điện phải trang bị bầu lọc được bố trí giữa van hút nước biển và bơm nước làm mát. Các bầu lọc phải có khả năng vệ sinh được mà không phải dừng cấp nước làm mát đã được lọc cho các động cơ.
8.12. Hệ thống khí nén
Hệ thống khí nén phải thỏa mãn các yêu cầu quy định tại 13.13, Chương 13, Phần 3, QCVN 21:2015/BGTVT.
8.13. Đường ống khí thải
Đường ống khí thải phải thỏa mãn các yêu cầu quy định tại 13.16, Chương 13, Phần 3, QCVN 21:2015/BGTVT.
8.14. Hệ thống thông gió
8.14.1. Ống thông gió
8.14.1.1. Không cho phép đặt ống thông gió qua vách kín nước dưới boong vách.
8.14.1.2. Ống thông gió phải làm bằng vật liệu bền, không han gỉ.
8.14.1.3. Phải đạt được sự kín khí cho ống thông gió để thải hơi và khí dễ cháy, dễ nổ và không được nối ống này với ống thông hơi của các buồng khác.
8.14.2. Thông gió buồng máy
Việc thông gió tự nhiên hay thông gió cơ giới đều phải đảm bảo đủ không khí cần thiết cho phần dưới mặt boong, dưới sàn buồng máy và đẩy các khí nặng hơn không khí từ những chỗ đọng chúng ra ngoài.
8.14.3. Thông gió hòm ắc quy
8.14.3.1. Hệ thống thông gió cho hòm ắc quy phải là hệ thống độc lập và đảm bảo thải khí từ phần trên của hòm.
8.14.3.2. Không khí thổi vào phải được dẫn xuống vùng dưới hòm ác quy bằng ống có chiều dài không quá 5m.
8.14.3.3. Đầu ống nạp không khí phải có lưới ngăn lửa và đặt sao tránh được sự lọt nước và bụi bẩn trong không khí. Mặt trong của ống xả phải chịu được dung dịch điện phân.
8.14.3.4. Lượng không khí cần thiết (m3/h) để thông gió tự nhiên hòm ác quy không nhỏ hơn giá tính theo công thức sau:
Q = 0, 275nI;
Trong đó:
- n: số lượng ắc quy
- I: cường độ dòng định mức nạp ắc quy (A).
8.14.3.5. Diện tích ống thông gió không nhỏ hơn trị số tính theo công thức sau (nhưng không được nhỏ hơn 0,00785 m2):
F = 1,05Q (m2).
Chương 9. CÁC BÌNH CHỊU ÁP LỰC
9.1. Quy định chung
9.1.1. Những quy định trong chương này áp dụng cho các bình chịu áp lực được lắp trên tàu.
9.1.2. Các bình chịu áp lực phải thỏa mãn các yêu cầu có liên quan được quy định ở Phần 3, QCVN 21:2015/BGTVT.
Chương 10. PHỤ TÙNG DỰ TRỮ, DỤNG CỤ VÀ ĐỒ NGHỀ
10.1. Phạm vi áp dụng
10.1.1. Những yêu cầu trong chương này áp dụng cho các phụ tùng dự trữ, các dụng cụ và các đồ nghề dùng cho các động cơ Đi-ê-den có công suất từ 100kW trở lên.
10.1.2. Đối với các tàu được lắp từ hai động cơ đi-ê-den để lai chân vịt thì không cần trang bị phụ tùng dự trữ cho chúng.
10.1.3. Các phụ tùng dự trữ, dụng cụ, đồ nghề quy định trong Chương này phải để trong buồng máy hoặc nơi thuận tiện trên tàu.
10.2. Phụ tùng dự trữ, dụng cụ và đồ nghề
10.2.1. Phụ tùng dự trữ
Phụ tùng dự trữ cho máy chính gồm những bộ phận sau đây:
10.2.1.1. Các van nạp đồng bộ với thân van, đế van, lò xo và các phụ tùng khác cho một xi lanh: 1 bộ.
10.2.1.2. Các van xả đồng bộ với thân van, đế van, lò xo và các phụ tùng khác cho một xi lanh: 1 bộ.
10.2.1.3. Các van nhiên liệu đồng bộ với thân van, lò xo và các phụ tùng khác cho một động cơ: 1 bộ.
10.2.1.4. Các bạc đỡ phía dưới hoặc gộp bạc của thanh truyền của mỗi cỡ và mỗi kiểu đã dung đồng bộ với các bu lông, đai ốc: 1 bộ;
10.2.1.5. Các bạc đỡ phía trên hoặc gộp bạc của thanh truyền của mỗi cỡ và mỗi kiểu đã dung đồng bộ với các bu lông, đai ốc: 1 bộ.
10.2.1.6. Xéc măng, pít tông cho một xi lanh: 1 bộ.
10.2.1.7. Một bơm nhiên liệu hoàn chỉnh hoặc nếu có thể thay thế được ở ngoài biển thì một bộ hoàn chỉnh các bộ phận công tác của một bơm (cặp pít tông p-lông-giơ, các van, các lò xo): 1 bộ.
10.2.1.8. Ống nhiên liệu cao áp cho một cỡ và hình dạng đã dùng đồng bộ với khớp nối: 1 bộ.
10.2.2. Các dụng cụ và đồ nghề
Phải trang bị cho mỗi tàu các dụng cụ và đồ nghề như sau: Các dụng cụ và đồ nghề chuyên dùng để duy trì các công việc sửa chữa hoặc bảo dưỡng máy móc: 1 bộ.
Phần 5. TRANG BỊ ĐIỆN
Electric systems
Chương 1. QUY ĐỊNH CHUNG
1.1. Quy định chung
1.1.1. Phạm vi áp dụng
Những yêu cầu ở Phần này áp dụng cho thiết bị điện và dây dẫn sử dụng trên tàu cá quy định tại mục 1.1.1 Chương 1, phần I của Quy chuẩn này.
1.1.2. Thay thế tương đương
Có thể chấp nhận trang bị không hoàn toàn phù hợp với những yêu cầu của Quy chuẩn này, nếu có lý do xác đáng và được Đăng kiểm chấp nhận tương đương với những quy định nêu trong Phần này.
1.1.3. Giải thích từ ngữ
1.1.3.1. Điều kiện hoạt động và sinh hoạt bình thường: Điều kiện mà ở đó tàu nói chung, máy, thiết bị phục vụ, phương tiện và thiết bị trợ giúp hệ động lực, khả năng lái, hàng hải an toàn, sự an toàn phòng cháy và ngập nước, thông tin tín hiệu nội bộ và bên ngoài, cũng như các điều kiện phục vụ sinh hoạt cho con người làm việc bình thường và đúng chức năng.
1.1.3.2. Điều kiện sự cố: Là điều kiện mà ở đó có tất cả các thiết bị phục vụ cần thiết cho điều kiện hoạt động và sinh hoạt bình thường không làm việc do hư hỏng nguồn điện chính.
1.1.3.3. Nguồn điện chính: Là nguồn cấp điện cho bảng điện chính để phân phối cho tất cả các thiết bị phục vụ cần thiết để duy trì tàu ở điều kiện hoạt động và sinh hoạt bình thường.
1.1.3.4. Trạm phát điện chính: Khu vực bao gồm nguồn điện chính và không gian đặt nguồn điện chính.
1.1.3.5. Bảng điện chính: Là bảng điện được cấp điện trực tiếp bằng nguồn điện chính và dùng để phân phối điện năng cho các thiết bị phục vụ tàu.
1.1.3.6. Nguồn điện sự cố: Là nguồn điện dùng để cấp điện cho bảng điện sự cố khi mất nguồn điện chính.
1.1.3.7. Bảng điện sự cố: Là bảng điện mà trong điều kiện hư hỏng hệ thống cấp nguồn điện chính thì nó được cấp nguồn điện trực tiếp bằng nguồn điện sự cố để phân phối điện cho các thiết bị phục vụ trong trường hợp sự cố.
1.2. Thử nghiệm
1.2.1. Thử tại xưởng
1.2.1.1. Phải tiến hành thử thiết bị điện như nêu dưới đây phù hợp với yêu cầu tương ứng trong Phần này tại xưởng chế tạo hoặc xưởng khác có đầy đủ các thiết bị cho việc thử và kiểm tra.
a) Các máy phát điện phục vụ trên tàu (chính, phụ, sự cố).
b) Các bảng điện chính và sự cố.
c) Các động cơ điện dùng cho máy phụ có công dụng thiết yếu, bao gồm:
(1) Máy phụ chủ yếu phục vụ cho máy chính
(2) Máy phụ dùng vào mục đích điều động và an toàn
(3) Máy phụ dùng cho thiết bị nâng hàng.
d) Các cơ cấu điều khiển các động cơ điện nêu ở (c).
đ) Các biến áp động lực và chiếu sáng có công suất từ 1kVA trở lên đối với loại 1 pha và từ 5kVA trở lên đối với loại 3 pha.
e) Các bộ chỉnh lưu bán dẫn động lực có công suất từ 5kW trở lên và các thiết bị đi kèm chúng được dùng để cấp nguồn cho các thiết bị nêu từ a đến d.
g) Các thiết bị điện khác mà Đăng kiểm thấy cần thiết.
1.2.1.2. Đối với thiết bị được dùng cho máy phụ chuyên dùng cho tàu cá, và Đăng kiểm thấy là cần thiết, thì chúng phải được thử phù hợp với những yêu cầu của Phần này.
1.2.1.3. Đối với thiết bị điện được chế tạo hàng loạt, nếu Đăng kiểm chấp nhận, có thể áp dụng Quy trình thử phù hợp với phương pháp sản xuất thay cho những yêu cầu nêu ở 1.2.1.1 trên.
1.2.1.4. Thiết bị và cáp điện nêu từ a đến đ dưới đây phải chịu thử mẫu cho mỗi sản phẩm:
a) Cầu chì
b) Các bộ ngắt mạch
c) Các công tơ điện từ
d) Thiết bị điện phòng nổ
đ) Cáp điện động lực, chiếu sáng và liên lạc nội bộ.
1.2.1.5. Thiết bị điện và cáp điện có Giấy chứng nhận nếu được Đăng kiểm xem xét chấp nhận thì có thể được miễn giảm một phần hoặc toàn bộ việc thử và kiểm tra.
1.2.2. Thử sau khi lắp đặt trên tàu
Sau khi hoàn thiện lắp đặt mới hoặc sửa chữa, thay thế các thiết bị điện trên tàu thì phải thực hiện thử chúng với sự có mặt của Đăng kiểm viên. Việc thử này được tiến hành để bổ sung cho các công việc thử đã được tiến hành trong xưởng chế tạo.
1.2.2.1. Điện trở cách điện
a) Đồng hồ đo điện trở cách điện: Có thể dùng đồng hồ đo điện trở cách điện kiểu quay tay phát ra điện áp không dưới 500 V để tiến hành đo điện trở cách điện.
b) Mạch động lực và mạch chiếu sáng: Điện trở cách điện giữa các pha hoặc cực với đất và có thể giữa các pha và các cực với nhau phải ít nhất là 1 MΩ. Nếu kết quả đo mà thấp hơn trị số này thì có thể tách riêng từng thiết bị ra.
c) Mạch thông tin, báo động: Các mạch có điện áp không dưới 50V thì điện trở cách điện giữa các dây dẫn với đất phải ít nhất là 1 MΩ. Các mạch có điện áp nhỏ hơn 50V thì trị số này không được nhỏ hơn 0,33 MΩ.
d) Các bảng điện, bảng phân phối: Điện trở cách điện giữa các thanh dẫn và giữa thanh dẫn với đất phải tối thiểu là 1 MΩ. Khi đo phải để các công tắc ở trạng thái ngắt và phải tháo các cầu chì, đèn chỉ báo nối đất, vôn mét, các cuộn dây điện áp, v.v...
đ) Các máy phát và động cơ điện: Điện trở cách điện của cáp điện máy phát và động cơ, các cuộn dây từ trường và cơ cấu điều khiển phải ít nhất là 1 MΩ.
e) Ghi số liệu đo điện trở cách điện: Sau khi đo điện trở cách điện, các số liệu phải được ghi lại và lập thành văn bản có các bên xác nhận.
1.2.2.2. Tính nối đất liên tục
Phải có biện pháp thử để chứng tỏ rằng việc nối đất các thiết bị điện là đảm bảo tốt.
1.2.2.3. Kết quả thử
a) Nhiệt độ phát nóng: Nhiệt độ phát nóng của các thiết bị điện không được vượt quá giới hạn cho phép của vật liệu cách điện dùng trong chúng.
b) Điện áp: Bộ điều chỉnh điện áp của mỗi máy phát phải đảm bảo giữ điện áp không sai lệch quá ±3% điện áp định mức khi tải thay đổi từ 0% đến 100% tải định mức.
c) Động cơ điện: Tất cả các động cơ điện truyền động các máy quan trọng phải hoạt động tốt theo mỗi chức năng của chúng, điều này không bắt buộc phải cho chúng mang hết tải và thời gian thử chỉ cần đủ để khẳng định là chúng thỏa mãn.
1.2.2.4. Thiết bị điện trong các vùng nguy hiểm
Phải tiến hành kiểm tra các thiết bị điện bố trí trong vùng và không gian nguy hiểm để công nhận rằng nó là kiểu được chấp thuận và phù hợp với yêu cầu của Quy chuẩn này và việc lắp đặt chúng không làm ảnh hưởng đến tính nguyên vẹn của kết cấu thân tàu ở các vùng đó. Phải tiến hành thử hoạt động các tín hiệu báo động, khóa liên động liên quan đến thiết bị thông gió trong các buồng nằm trong các vùng nguy hiểm, kết quả thu được phải chứng tỏ rằng nó hoạt động tốt và đúng chức năng.
1.2.3. Thử và kiểm tra bổ sung
Khi thấy cần thiết, Đăng kiểm có thể yêu cầu thử và kiểm tra khác với những yêu cầu đã nêu ở trong Phần này.
Chương 2. THIẾT BỊ ĐIỆN VÀ KẾT CẤU THIẾT BỊ ĐIỆN TÀU
2.1. Yêu cầu chung
2.1.1. Bố trí thiết bị điện và kết cấu
2.1.1.1. Trên mỗi tàu đều phải bố trí nguồn điện chính. Số lượng và công suất của nguồn điện phải đủ để cho tàu hoạt động bình thường ở mọi chế độ. Nguồn điện trên tàu có thể là tổ máy phát hoặc tổ ắc quy.
2.1.1.2. Trên những tàu mà nguồn điện chính là ắc quy thì dung lượng của nó phải đủ đảm bảo cung cấp theo quy định tại 2.1.1.1. Thiết bị điện phải bố trí ở vị trí dễ tới gần, tránh xa các vật liệu dễ cháy, trong vùng được thông gió tốt, được chiếu sáng đủ, không có nguy cơ bị hư hỏng do va chạm cơ khí. Nếu như điều này không thể thực hiện được thì thiết bị điện phải có kết cấu thích hợp hoặc phải được làm kín, khi cần có thể che chắn tốt phần mang điện.
2.1.1.3. Tất cả các thiết bị điện phải có kết cấu và được bố trí sao cho trong điều kiện khai thác bình thường con người không bị điện giật do sờ tay hoặc chạm vào.
2.1.1.4. Các vật liệu cách điện và các cuộn dây cách điện phải có khả năng chịu kéo, hơi ẩm, không khí biển và hơi dầu, trừ khi chúng được bảo vệ đặc biệt.
2.1.1.5. Khi đã ngắt mạch công tắc điều khiển thì không được phép có dòng điện chạy qua mạch điều khiển hoặc các tín hiệu.
2.1.1.6. Thiết bị điện phải làm việc tốt ngay cả khi tàu bị lắc và bị chấn động mạnh.
2.1.1.7. Tất cả các ê-cu và vít dùng để nối các phần mang điện phải được hãm chắc chắn, không có khả năng tự nới lỏng.
2.1.1.8. Các dây dẫn và thiết bị điện phải được đặt cách xa la bàn từ, hoặc được bố trí sao cho từ trường nhiễu gây ra là không đáng kể.
2.1.1.9. Không cho phép đặt thiết bị điện trực tiếp vào kết cấu gỗ trừ thiết bị chiếu sáng trong buồng ở hoặc buồng khô ráo.
2.1.2. Nối đất
2.1.2.1. Tất cả các bộ phận bằng kim loại không có điện áp của các thiết bị điện nhưng trong quá trình vận hành con người có khả năng đụng chạm tới, phải nối đất, trừ các trường hợp sau đây:
a) Thiết bị điện có hai lần cách điện hoặc có cách điện tăng cường.
b) Các thiết bị điện cố định dùng điện áp an toàn không quá 55V dòng một chiều hoặc 55V dòng xoay chiều (không cho phép dùng biến áp tự ngẫu để tạo ra điện áp này).
c) Các bộ phận bằng kim loại của thiết bị điện được cố định trong các vật liệu cách điện hoặc xuyên qua vật liệu cách điện để cách ly với bộ phận có điện áp đã được nối đất sao cho ở điều kiện làm việc bình thường không có xuất hiện điện áp hoặc tiếp xúc với các phần nối đất.
d) Thân của ổ đỡ được cách điện đặc biệt.
đ) Đui đèn và các bộ phận bắt chặt với đèn huỳnh quang, các bộ phận bên ngoài được bắt chặt với đui hoặc đèn được chế tạo bằng vật liệu cách điện hoặc được vặn vào các vật liệu cách điện.
e) Các bộ phận chi tiết cố định dây cáp.
2.1.2.2. Việc nối đất các thiết bị điện phải thỏa mãn các yêu cầu sau:
a) Các thiết bị điện đặt cố định phải được nối đất bằng dây cáp riêng bên ngoài hoặc nối đất bằng lõi nối đất của cáp điện.
b) Cho phép nối đất các thiết bị điện bằng cách đặt trực tiếp trên bề mặt và giá đỡ kim loại hoặc trên các kết cấu nối đất khác tin cậy của tàu. Trong trường hợp này phải cố định thiết bị ít nhất bằng 2 bu lông và đảm bảo tiếp xúc về điện tin cậy giữa thân thiết bị điện với các kết cấu của thân tàu.
c) Tiết diện dây nối đất không được nhỏ hơn 10 mm2 nếu là dây đồng và 50 mm2 nếu là dây thép.
d) Đối với các dụng cụ đo, khí cụ đo có công suất nhỏ và cáp điện dùng cho chúng thì dây nối đất bằng đồng có tiết diện tối thiểu là 1,5 mm2.
đ) Đối với bảng điện chính và bảng điện bờ thì tiết diện dây nối đất lấy bằng 0,5 tiết diện dây cáp đi vào trong bảng điện, nhưng không được lớn hơn 70 mm2 nếu là dây đồng và 700 mm2 nếu là dây thép.
2.1.2.3. Không được đặt thiết bị ngắt mạch trong mạch nối đất của thiết bị điện cố định.
2.1.2.4. Vỏ bọc ngoài và vỏ bọc kim loại của cáp điện phải được nối đất. Phải tiến hành nối đất bằng một trong những cách sau:
a) Bằng dây đồng có tiết diện không nhỏ hơn 2,5 mm2 đối với cáp có tiết diện lõi tới 25 mm2 và không nhỏ hơn 4 mm2 đối với cáp có tiết diện lõi lớn hơn 25 mm2.
b) Kẹp chặt lõi nối đất hoặc vỏ bọc kim loại của cáp với thân tàu bằng các vòng kẹp ôm khít chắc chắn và dẫn điện tốt;
c) Dùng các vòng đệm cáp chế tạo bằng vật liệu chống gỉ, dẫn điện tốt và có tính đàn hồi. Phải nối đất cả hai đầu dây cáp, vỏ của cáp ở đầu cuối cùng thì chỉ cần nối đất ở phía cấp điện.
2.1.2.5. Khi dùng một trong các lõi cáp để nối đất thì phải cố định nó với các phần nối đất bên trong vỏ của thiết bị.
2.1.2.6. Cuộn thứ cấp của biến áp đo lường, biến áp thấp áp, các thiết bị điều khiển truyền động điện đều phải được nối đất.
2.1.2.7. Vị trí nối đất phải đảm bảo dễ tiếp cận để kiểm tra và bảo quản tránh hư hỏng cơ học hoặc do han gỉ gây ra. Bề mặt chỗ nối đất phải được đánh sạch tới ánh kim và được phủ một lớp kim loại chống gỉ. Phải dùng vít hoặc bu lông có đường kính không nhỏ hơn 6 mm để nối đất với thân tàu hay với dây dẫn nối đất.
2.1.2.8. Vỏ kim loại của dụng cụ thiết bị điện lưu động làm việc ở điện áp lớn hơn 24 V phải được nối đất. Việc nối đất ổ cắm phải dùng một cọc cắm nối đất riêng.
2.1.2.9. Cấm dùng ống dẫn, két, bình chứa khí nén và chứa các sản phẩm dầu mỏ làm chỗ nối đất.
2.1.2.10. Đối với các tàu làm bằng chất dẻo cốt sợi thủy tinh (FRP) phải nối đất:
a) Chất phủ các kết cấu kim loại, máy móc và thiết bị mà có nguy cơ nhiễm điện do tĩnh điện hoặc cảm ứng điện từ, trừ trường hợp nó không gây tác hại cho người khi tiếp xúc trực tiếp.
b) Két dầu đốt và đường ống kim loại.
c) Các bộ phận kim loại của van, nắp lỗ chui hoặc các chi tiết khác đặt ở két dầu đốt và đường ống nếu két dầu đốt được làm bằng FPR.
2.1.2.11. Tấm nối đất đối với tàu vỏ gỗ và FRP phải được làm bằng đồng có kích thước tối thiểu 300mm x 400mm hoặc tương đương và được bố trí ở phía ngoài vỏ tàu tại vị trí luôn bị ngập nước trong bất kỳ điều kiện nào của tầu. Có thể dùng bộ phận kim loại của tầu để làm tấm nối đất nếu nó thỏa mãn điều kiện trên.
2.1.3. Khoảng cách cách điện
2.1.3.1. Khoảng cách giữa các phần có điện với nhau và giữa các phần có điện với kim loại nối đất qua bề mặt cách điện hoặc qua không khí phải tương xứng với điện áp làm việc của chúng, có lưu ý đến bản chất của vật liệu cách điện và sự tăng điện áp tức thời do đóng mở mạch hoặc do hư hỏng.
2.1.3.2. Đối với các thanh dẫn thì khoảng cách tối thiểu giữa các pha hoặc các cực với nhau và giữa các pha hoặc các cực với đất là 16 mm.
2.1.4. Thiết bị điện trong vùng có khí dễ nổ
2.1.4.1. Thiết bị điện khi bắt buộc phải lắp đặt trong vùng có khí dễ nổ hoặc dễ cháy (buồng để ắc quy, kho sơn, v.v...) thì chúng phải là loại phòng nổ đã được duyệt, do cơ quan có thẩm quyền chứng nhận hoặc do cơ quan được Đăng kiểm ủy quyền chứng nhận.
2.1.4.2. Các công tắc và thiết bị bảo vệ thiết bị điện đặt trong vùng có khí dễ nổ hoặc dễ cháy phải được lắp đặt ở các pha hoặc các cực và được bố trí ở vùng không nguy hiểm.
2.2. Thiết bị điện
2.2.1. Nguồn điện
2.2.1.1. Nguồn điện chính
a) Trên mỗi tàu đều phải bố trí nguồn điện chính. Số lượng và công suất của nguồn điện phải đủ để cho tàu hoạt động bình thường ở mọi chế độ. Nguồn điện trên tàu có thể là tổ máy phát hoặc tổ ắc quy.
b) Trên những tàu mà nguồn điện chính là ắc quy thì dung lượng của nó phải đủ đảm bảo cung cấp cho các phụ tải trong thời gian không ít hơn 12 giờ mà không phải nạp thêm.
c) Nếu có ý định dùng nguồn điện trên bờ cấp cho tàu thì phải có hộp điện bờ và phải đặt cáp cố định từ hộp điện bờ đến bảng điện chính.
d) Tổ ắc quy không được bố trí trong các buồng chứa động cơ xăng và buồng chứa các két xăng.
2.2.1.2. Nguồn điện sự cố
a) Trên mỗi tàu phải có nguồn điện sự cố ắc quy độc lập, việc bố trí ắc quy phải phù hợp với 2.2.7.1 Chương này.
b) Công suất nguồn điện sự cố phải đảm bảo cung cấp đủ cho các phụ tải dưới đây trong thời gian 3 giờ mà điện áp không giảm quá 10% điện áp định mức:
(1) Chiếu sáng:
(a) Buồng máy, buồng lái.
(b) Chỗ đặt phương tiện cứu sinh, dụng cụ cứu nạn, thiết bị phòng chống cháy.
(c) Hành lang, cầu thang trong ca bin, lối thoát khỏi buồng máy.
(2) Phương tiện liên lạc vô tuyến (nếu như không có ắc quy sự cố dành riêng cho nó).
(3) Hệ thống thông tin, báo động trên tàu. Điều này không áp dụng cho hệ thống dùng nguồn điện là ắc quy.
a) Trên những tàu có nguồn điện chính là máy phát gắn trên động cơ chính làm việc ở chế độ đệm với ắc quy thì có thể coi ắc quy là nguồn điện sự cố.
b) Trên những tàu mà nguồn điện chính là ắc quy thì có thể không cần nguồn điện sự cố nếu dung lượng của nó đảm bảo được yêu cầu 2.1.2 Chương này.
c) Nguồn điện sự cố phải được bố trí tự động cấp điện cho bảng điện sự cố khi mất nguồn điện chính.
2.2.2. Thiết bị chống sét
2.2.2.1. Trên tất cả các cột hoặc cột cao nhất của tàu phải đặt thiết bị chống sét. Thiết bị chống sét phải gồm kim thu sét, dây dẫn và tấm nối đất.
2.2.2.2. Phải thực hiện chống sét bằng một trong những cách sau đây:
a) Nếu thân tàu và cột tàu là kim loại có nối điện tin cậy, còn ở đỉnh cột không có thiết bị điện nào thì có thể coi cột là thiết bị chống sét.
b) Nếu thân tàu và cột tàu là kim loại có nối điện tin cậy, còn ở đỉnh cột có thiết bị điện thì phải đặt kim thu sét cao hơn thiết bị điện đặt ở đỉnh cột một khoảng không nhỏ hơn 300 mm.
c) Nếu cột tàu làm bằng vật liệu không dẫn điện thì phải đặt kim thu sét cao hơn thiết bị điện đặt ở đỉnh cột một khoảng không nhỏ hơn 300 mm. Đầu nối của dây dẫn phải được nối chắc chắn với phần kim loại gần nhất thuộc bộ phận thân tàu.
2.2.2.3 Đường kính kim thu sét không được nhỏ hơn 12 mm. Kim thu sét phải được làm bằng đồng đỏ, hợp kim đồng hoặc bằng thép có mạ lớp chống gỉ.
2.2.2.4. Nếu dây dẫn bằng đồng hoặc hợp kim đồng thì tiết diện không được nhỏ hơn 70 mm2, nếu dây dẫn làm bằng thép thì tiết diện không được nhỏ hơn 100 mm2 và nó phải được bảo vệ chống gỉ.
2.2.2.5. Phải đặt dây dẫn phía ngoài cột, đường dây phải có ít chỗ uốn, nếu có chỗ uốn thì bán kính chỗ uốn phải càng lớn càng tốt.
2.2.2.6. Không được đi dây dẫn qua những chỗ có nguy cơ nổ.
2.2.2.7. Khi tàu nằm trên ụ nổi hoặc triền đà thì nhất thiết phải nối đất cột thu sét chung với ụ nổi hoặc phải được nối đất ở nơi nối đất Quy định chung với triền đà.
2.2.2.8. Liên kết giữa cột thu sét với dây dẫn và với đất phải là liên kết bulông. Bulông phải làm bằng đồng hoặc hợp kim đồng. Nếu bulông bằng thép thì phải mạ lớp chống gỉ.
2.2.2.9. Mặt tiếp xúc chỗ nối bulông giữa dây dẫn với kim thu sét và với “đất” phải có diện tích không nhỏ hơn 100 mm2 nếu bu lông bằng đồng hoặc hợp kim đồng và không nhỏ hơn 1000 mm2 nếu bu lông bằng thép.
2.2.2.10. Các bộ phận kim loại gần dây dẫn phải được nối đất nếu như các bộ phận này không có liên kết với thân tàu theo kiểu nối đất.
2.2.2.11. Điện trở của hệ thống chống sét từ đầu kim thu sét đến điểm tiếp “đất” hoặc vỏ tàu không được vượt quá 0,02 W.
2.2.3. Phụ tùng dự trữ và đồ nghề
Các loại, số lượng phụ tùng dự trữ và đồ nghề đối với thiết bị điện trên tàu sẽ do Đăng kiểm quy định căn cứ vào các thiết bị điện dùng thực tế trên tàu.
2.2.4. Phân phối điện năng
2.2.4.1. Sử dụng thân tàu làm vật dẫn
Không cho phép sử dụng thân tàu làm vật dẫn, trừ trường hợp sau đây:
a) Mạch ắc quy khởi động
b) Mạch có điện áp nhỏ hơn 30 V được đặt ở những nơi khô ráo
c) Mạch đo các đại lượng không điện có điện áp nhỏ hơn 30V
d) Các hệ thống bảo vệ dòng ca tốt dùng để bảo vệ phía ngoài thân tàu
đ) Hệ thống kiểm tra cách điện với điều kiện trong bất kỳ trường hợp nào dòng điện khép kín không lớn hơn 30 mA
e) Hệ thống nối đất cục bộ.
2.2.4.2. Điện áp và tần số
a) Không cho phép sử dụng điện áp lớn hơn 500 V.
b) Tần số 50 Hz hoặc 60 Hz ứng với cấp điện áp 380 V hoặc 440 V được xem là tần số tiêu chuẩn trên tàu.
c) Trong trường hợp đặc biệt Đăng kiểm sẽ xem xét riêng.
2.2.4.3. Cung cấp điện cho các thiết bị, hệ thống
a) Các thiết bị, hệ thống điện quan trọng phải được cấp điện trực tiếp từ bảng điện chính (bao gồm các thiết bị và hệ thống cần cho hành trình và an toàn của tàu). Các thiết bị và hệ thống điện còn lại có thể được cấp theo nhóm hoặc ổ nối.
b) Nếu có thiết bị lái dùng điện thì nó phải được cấp điện bằng 2 đường dây được đặt càng xa nhau càng tốt theo chiều ngang cũng như chiều thẳng đứng thân tàu.
c) Bảng điện hàng hải chính phải được cấp điện bằng 2 đường dây, một từ bảng điện chính, một từ bảng điện gần nhất. Từ bảng điện đến các đèn phải có đường dây riêng biệt. Nếu đèn hàng hải chính dùng điện ắc quy thì không cần có đèn dự phòng.
d) Các bảng điện chiếu sáng phải được cấp điện bằng đường dây riêng biệt. Cho phép đặt các ổ cắm điện trên đường dây chiếu sáng với điều kiện khi cả ổ cắm và đèn hoạt động đồng thời thì dòng điện nhánh cuối không quá 10 A và không gây quá tải dây dẫn.
2.2.5. Thiết bị phân phối
2.2.5.1. Bố trí thiết bị phân phối
a) Thiết bị phân phối phải được đặt ở nơi khô ráo, không tích tụ hơi dầu, hơi ẩm, dễ tiếp cận để khai thác.
b) Bảng điện hàng hải phải được đặt ở buồng lái.
c) Nếu được Đăng kiểm đồng ý, có thể đặt bảng phân phối điện chính ở buồng lái.
2.2.5.2. Yêu cầu về lối đi đến bảng phân phối điện chính
Phía trước và phía sau bảng phân phối điện chính phải có khoảng trống tối thiểu cho người thao tác, phần mang điện phía sau phải được che chắn tránh người vô tình chạm vào. Trường hợp khi mở cánh phía trước bảng phân phối điện chính mà tiếp cận được dễ dàng các thiết bị trong bảng thì có thể không cần có khoảng trống phía sau.
2.2.6. Máy biến áp
Chỉ cho phép dùng máy biến áp khô trên tàu.
2.2.7. Ắc quy
2.2.7.1. Bố trí ắc quy
a) Ắc quy phải được bố trí trong các buồng được thông gió tốt, buồng được chiếu sáng bằng đèn phòng nổ hoặc được chiếu sáng gián tiếp.
b) Tổ ắc quy có dung lượng nhỏ hơn 1000 Ah cho phép đặt ở buồng máy.
c) Các ắc quy phải được cố định chắc chắn để không bị xê dịch khi tàu bị lắc hoặc bị chấn động.
d) Phải đặt riêng biệt ắc quy a xít và ắc quy kiềm.
đ) Tàu nhỏ nếu thiết kế không có buồng chứa ắc quy riêng, dung lượng ắc quy nhỏ hơn 1000 Ah và các ắc quy đặt cả dưới buồng máy thì cần bố trí ắc quy hợp lý tại vị trí phù hợp để cấp nguồn cho khởi động các máy và các nguồn điện sinh hoạt khác và dự phòng.
2.2.7.2. Nạp điện ắc quy
a) Mỗi tổ ắc quy phải được bố trí thiết bị nạp.
b) Các bộ ắc quy có kiểu và dung lượng khác nhau có thiết bị chỉnh dòng nạp.
c) Tổ ắc quy dùng cho thiết bị quan trọng phải đảm bảo nạp với dòng định mức không quá 8 giờ.
d) Trong thiết bị nạp phải có đồng hồ đo điện áp và dòng điện.
2.2.8. Nguồn khởi động điện của các động cơ đốt trong
2.2.8.1. Dung lượng của tổ ắc quy khởi động
a) Dung lượng của tổ ắc quy phải đảm bảo 8 lần khởi động đối với động cơ máy chính và 6 lần với động cơ khác kể từ lúc máy nguội, thời gian khởi động kéo dài không quá 5 giây cho một lần khởi động.
b) Cho phép dùng ắc quy khởi động cấp điện cho các phụ tải với điều kiện nó phải đảm bảo số lần khởi động và thời gian cấp cho các phụ tải không ít hơn 8 giờ mà không phải nạp thêm.
2.2.9. Điều khiển truyền động điện các máy
2.2.9.1. Truyền động điện các máy phải có bảo vệ “O” (trừ truyền động điện các máy lái điện và điện thủy lực).
2.2.9.2. Nếu động cơ truyền động được khởi động trực tiếp có nguy cơ làm sụt áp trạm phát quá mức gây mất đồng bộ các thiết bị khác thì phải có biện pháp khởi động gián tiếp.
2.2.9.3. Truyền động điện quạt gió, bơm dầu phải có nút ngắt từ xa đặt trên buồng lái.
2.2.10. Bảo vệ các thiết bị điện
2.2.10.1. Bảo vệ các máy phát điện
a) Mỗi máy phát làm việc độc lập phải được bảo vệ
(1) Quá tải
(2) Ngắn mạch
b) Mỗi máy phát làm việc song song phải được bảo vệ:
(1) Quá tải
(2) Ngắn mạch
(3) Dòng điện ngược hoặc công suất ngược.
2.2.10.2. Bảo vệ các động cơ điện
Các động cơ điện tối thiểu phải được bảo vệ ngắn mạch, động cơ có công suất lớn hơn 1,5 kW phải được bảo vệ quá tải.
2.2.10.3. Bảo vệ các mạch điện
Các mạch điện phải được bảo vệ ngắn mạch.
2.2.10.4. Bố trí thiết bị bảo vệ
Thiết bị bảo vệ phải được đặt ở tối thiểu 2 pha đối với mạch điện 3 pha và 1 pha hoặc 1 cực đối với mạch điện 2 pha hoặc mạch điện một chiều.
2.2.11. Chiếu sáng
2.2.11.1. Yêu cầu chung
a) Trong các buồng và không gian dễ ẩm ướt (như buồng máy, bếp, nhà vệ sinh, v.v...) và không gian ngoài trời phải dùng các đèn có nắp chụp kín nước.
b) Những nơi dễ bị va chạm cơ khí phải dùng các đèn có bọc lưới thép bảo vệ.
c) Các đèn phải được bố trí sao cho các dây cáp và vật liệu lân cận không bị nung nóng tới quá nhiệt độ cho phép của chúng.
2.2.11.2. Thiết bị ngắt mạch trong mạch chiếu sáng
a) Chỉ cho phép dùng thiết bị ngắt kiểu một cực trong mạch chiếu sáng ở các buồng và không gian khô ráo.
b) Các đèn chiếu sáng ngoài tàu phải được ngắt mạch tập trung trong buồng lái.
2.2.11.3. Ổ cắm điện
a) Ổ cắm dùng cho các đèn di động phải được bố trí ở những nơi thích hợp như buồng máy, buồng lái v.v...
b) Ổ cắm bố trí trên boong phải là loại kín nước được đặt nằm ngang hoặc quay xuống dưới.
2.2.11.4. Cường độ chiếu sáng
Cường độ chiếu sáng trong các buồng làm việc tối thiểu là 75 LUX còn ở các vị trí khác tối thiểu là 50 LUX.
2.2.12. Các hệ thống thông tin, báo động
2.2.12.1. Hệ thống báo cháy
a) Nên bố trí hệ thống báo cháy bằng tay trên tàu.
b) Nút ấn báo cháy phải được sơn màu đỏ, tối thiểu phải được đặt ở buồng máy, boong, buồng sinh hoạt công cộng. Chuông báo cháy phải được đặt ở trong buồng lái và có đèn hiệu chỉ rõ vị trí xảy ra cháy. Nguồn cấp cho hệ thống phải đảm bảo liên tục.
2.2.12.2. Hệ thống báo động
Nếu trên tàu có bố trí hệ thống báo động, thì các chuông báo phải có âm thanh khác với chuông báo cháy. Nút ấn chuông phải được đặt trong buồng lái. Nguồn cấp cho hệ thống phải đảm bảo liên tục.
2.2.13. Cáp điện
2.2.13.1. Yêu cầu chung
a) Cáp điện phải là loại chuyên dùng cho tàu thủy thỏa mãn yêu cầu quy định tại 2.9, Chương 2, Phần 4. QCVN 21:2015/BGTVT.
b) Cho phép dùng dây cáp loại khác ở những nơi khô ráo, khó xảy ra cháy. Điều này sẽ do Đăng kiểm viên xem xét cụ thể và quyết định.
2.2.13.2. Tính chọn cáp điện
a) Việc tính chọn cáp điện phải xét đến điều kiện môi trường và kiểu đi cáp. Nếu như không có các số liệu cụ thể về môi trường thì nên chọn cáp có dòng tải định mức bằng 120% cho cáp có vỏ bọc cao su và 125% cho cáp có vỏ bọc chất hữu cơ của dòng tải lớn nhất mà cáp phải chịu.
b) Việc tính chọn cáp như nêu ở a ở trên cũng phải đảm bảo sao cho nhiệt độ làm việc bình thường của cáp không vượt quá nhiệt độ môi trường đặt cáp 100C.
2.2.13.3. Bố trí cáp điện
a) Cáp điện phải được bố trí càng thẳng càng tốt.
b) Cáp điện phải được đi cách xa vách tối thiểu là 10 mm, xa nguồn nhiệt tối thiểu là 100 mm và két dầu là 50 mm.
c) Khi cần uốn cong cáp thì bán kính uốn cong không nhỏ hơn 6 lần đường kính ngoài của cáp.
d) Ở những nơi có khả năng bị hư hỏng do cơ khí thì phải dùng cáp có vỏ bọc thép hoặc cáp phải được bảo vệ thích hợp.
đ) Cáp đi qua boong, vách phải không được làm hư hại đến tính nguyên vẹn của boong, vách và cáp không bị xây sát.
e) Cáp phải được cố định chắc chắn bằng kẹp sao cho vỏ bọc ngoài của cáp không bị xước hoặc bị ép quá mức. Đầu bắt cáp phải là loại đầu cốt hoặc vành khuyên có tráng thiếc.
g) Cáp chui lên mặt boong phải được đi trong ống và ống phải nhô cao khỏi mặt boong tối thiểu 460 mm.
h) Cáp đi dưới sàn la canh phải được đi trong ống thép liền. Cáp điện xuyên vách ngang qua két nước, két dầu phải đi trong ống thép liền tráng kẽm kín nước.
i) Việc nối cáp với thiết bị điện phải được thực hiện bằng đai ốc hoặc vít, phần vỏ bọc cáp phải đi vào trong thiết bị tối thiểu là 10 mm.
2.3. Kết cấu thiết bị điện
2.3.1. Yêu cầu về thiết kế và chế tạo
2.3.1.1. Thiết bị điện được cấp điện từ bảng điện chính và sự cố phải được thiết kế và chế tạo sao cho chúng có thể hoạt động tốt khi có dao động điện áp và tần số. Nếu không có quy định nào khác, thiết bị điện phải hoạt động tốt khi điện áp và tần số dao động với mức như nêu ở Bảng 1/5 dưới đây. Đối với các hệ thống có đặc thù riêng như: các mạch điện tử mà khả năng chúng không thể hoạt động tốt trong giới hạn được nêu trong bảng nói trên thì chúng phải được cấp điện bằng biện pháp thích hợp (chẳng hạn qua bộ ổn áp v.v...).
2.3.1.2. Các bộ phận thường phải thay thế trong thời gian sử dụng phải có thể tháo ra được dễ dàng. Các bộ phận này phải được thiết kế sao cho khi thay thế các chi tiết hư hỏng thì không cần phải tháo các chi tiết khác và không cần phải dùng các đồ nghề chuyên dùng.
2.3.1.3. Nếu dùng vít chuyên dụng thì phải có biện pháp không để vít tự xoáy ra. Ở các vị trí mà ốc vít thường xuyên phải tháo thì phải có biện pháp loại trừ khả năng mất chúng.
2.3.1.4. Các phần đệm kín của thiết bị điện (nắp, các lỗ kiểm tra v.v...) phải được bảo vệ tương tự như việc bảo vệ vỏ của thiết bị. Đệm chèn kín phải được bắt chặt với nắp hoặc vỏ hộp.
2.3.1.5. Các thiết bị điện mà bên trong có thể tạo ra những chỗ gây tích tụ hơi (dầu, nước) thì phải có biện pháp để dẫn hơi tích tụ ra theo đường riêng. Các cuộn dây, các bộ phận dẫn điện phải được bảo vệ khỏi bị tác động của hơi tích tụ trong thiết bị.
2.3.1.6. Thiết bị điện được làm mát bằng khí cưỡng bức đặt trong buồng có độ ẩm cao, thì phải có hệ thống thông gió sao cho hơi ẩm và hơi dầu không bị hút vào bên trong của thiết bị điện.
Bảng 1/5. Giới hạn dao động điện áp và tần số
|
Thông số dao động |
Giới hạn dao động |
|
|
|
Lâu dài |
Tức thời |
|
Điện áp |
+ 6%, - 10% |
± 20% (1,5 giây) |
|
Tần số |
± 5% |
± 10% (5 giây) |
2.3.2. Bảo vệ tránh điện giật
2.3.2.1. Vỏ kim loại của thiết bị điện làm việc ở điện áp cao hơn điện áp an toàn mà không được cách điện tăng cường hay cách điện kép thì phải được nối đất. Việc nối đất được biểu thị bằng dấu hiệu 1.
2.3.2.2. Các phần kim loại không có điện của thiết bị điện mà trong quá trình vận hành con người có thể chạm vào và khi lớp cách điện bị hỏng có thể trở thành có điện phải được nối đất tin cậy với dấu nối đất 1.
2.3.2.3. Kết cấu thiết bị điện phải phù hợp với công dụng, kiểu, điều kiện làm việc của thiết bị và phải loại trừ được khả năng người đụng chạm vào các phần có điện.
2.3.2.4. Vỏ hộp, tủ và nắp để ngăn cản không cho người không có trách nhiệm lại gần các phần có điện và thông thường không cần mở ra khi vận hành, phải có kết cấu sao cho chỉ có thể mở được chúng bằng đồ nghề chuyên dùng.
2.3.3. Điều kiện môi trường
2.3.3.1. Trừ khi có quy định khác, yêu cầu phải áp dụng điều kiện môi trường như nêu ở Bảng 2/5 và Bảng 3/5 dưới đây cho việc thiết kế, lựa chọn và bố trí các trang bị điện để đảm bảo chúng làm việc có hiệu quả.
2.3.3.2. Thiết bị điện phải đảm bảo làm việc tốt khi có chấn động xảy ra trong khi chúng đang làm việc bình thường.
Bảng 2/5. Nhiệt độ môi trường
|
Không khí |
Nơi đặt, bố trí |
Nhiệt độ (0C) |
|
Trong không gian kín |
0 đến 45 |
|
|
Trong không gian có nhiệt độ lớn hơn 450C và nhỏ hơn 00C |
Tùy theo các điều kiện của vị trí cụ thể |
|
|
Trên boong hở |
0 đến 45 |
|
|
Nước biển |
- |
32 |
Bảng 3/5. Góc nghiêng
|
Tên thiết bị |
Lắc ngang (*) |
Lắc dọc (*) |
||
|
Nghiêng tĩnh |
Nghiêng động |
Nghiêng tĩnh |
Nghiêng động |
|
|
Các thiết bị khác với nêu ở dưới |
150 |
22,5° |
50 |
7,50 |
|
Các thiết bị điện sự cố, cơ cấu đóng ngắt (các bộ ngắt mạch, v.v...), thiết bị điện và điện tử |
22,50 |
22,50 |
100 |
100 |
Ghi chú:
(*) Lắc dọc, lắc ngang có thể xảy ra đồng thời
Phần 6. PHÒNG, PHÁT HIỆN VÀ CHỮA CHÁY
Fire Protection, Detection and Extinctio
Chương 1. QUY ĐỊNH CHUNG
1.1. Phạm vi áp dụng
Kết cấu và trang bị để phòng, phát hiện và chữa cháy của tàu cá phải thoả mãn các quy định trong Phần này.
1.2. Thay thế tương đương
Các kết cấu, trang bị và vật liệu khác sẽ được Đăng kiểm chấp nhận với điều kiện các kết cấu, trang bị và vật liệu đó, tương đương với các quy định ở Phần này.
1.3. Giải thích từ ngữ
Nếu không có quy định nào khác, các thuật ngữ ở Phần này được định nghĩa như sau:
1.3.1. Vật liệu không cháy là vật liệu mà khi nung nóng đến nhiệt độ xấp xỉ 750oC nó không cháy và không thải ra các khí cháy với khối lượng đủ để chúng tự bốc lửa. Mọi vật liệu khác được coi là vật liệu cháy được.
1.3.2. Vật liệu dễ cháy là vật liệu trong một cuộc thử nghiệm tiêu chuẩn độ chịu lửa có thể tự bốc cháy hoặc sinh ra một lượng hơi dễ cháy đủ để nó tự bốc cháy.
1.3.3. Thử nghiệm tiêu chuẩn độ chịu lửa là cuộc thử mà các mẫu thử của vách hoặc boong tương ứng được nung lên trong lò thử nghiệm đạt tới nhiệt độ phù hợp với “đường cong nhiệt độ chuẩn theo thời gian”. Mẫu thử phải có diện tích bề mặt chịu nung không nhỏ hơn 4,65 m2 và chiều cao (hoặc chiều dài boong) bằng 2,44m. Mẫu phải giống kết cấu thực đến mức tối đa và ít nhất phải có một mối nối ở chỗ tương ứng. “Đường cong nhiệt độ chuẩn theo thời gian” là đường cong trơn đi qua các điểm giá trị nhiệt độ sau đây được tính từ nhiệt độ ban đầu của lò:
1.3.1.1. Sau 5 phút đầu tiên: 556oC
1.3.1.2. Sau 10 phút đầu tiên: 659oC
1.3.1.3. Sau 15 phút đầu tiên: 718oC
1.3.1.4. Sau 30 phút đầu tiên: 821oC
1.3.1.5. Sau 60 phút đầu tiên: 925oC
1.3.4. Các không gian hoặc buồng khoang liền kề là các không gian hoặc các buồng khoang tách biệt với các không gian khác bằng các vách, boong hoặc bất kỳ một vách ngăn cố định nào, không có lỗ mở thông hoặc các lỗ mở thông có trang bị phương tiện tự đóng.
1.3.5. Hệ thống phát hiện và báo động cháy là hệ thống kích hoạt tự động hoặc bằng tay, được thiết kế để phát ra tín hiệu báo động khi xảy ra cháy, đồng thời chỉ báo khu vực nơi đang có đám cháy.
1.3.6. Các trang bị dập cháy là các phương tiện dập cháy xách tay chủ động (các thiết bị, các máy móc và các vật tư) được dùng để:
1.3.6.1. Dập tắt đám cháy
1.3.6.2. Đảm bảo các hoạt động chữa cháy hiệu quả của thuyền viên
1.3.6.3. Đảm bảo hoạt động của hệ thống chữa cháy, cung cấp các vật tư, vật liệu để dập cháy.
1.3.7. Các hệ thống và thiết bị chữa cháy là các phương tiện dập cháy chủ động nhằm mục đích dập tắt và ngăn chặn đám cháy lan trên tàu.
1.3.8. Các chất lỏng dễ cháy là các chất lỏng, hỗn hợp chất lỏng hoặc chất lỏng có chứa chất rắn dưới dạng dung dịch hoặc huyền phù (ví dụ sơn, véc-ni, keo xịt, v.v) có thể sinh ra hơi dễ cháy tại nhiệt độ không quá 600C khi thử cốc kín.
1.3.9. Chống cháy bằng kết cấu: Các biện pháp chống cháy bị động bằng kết cấu nhằm mục đích:
1.3.9.1. Ngăn chặn đám cháy
1.3.9.2. Tạo điều kiện để con người sơ tán an toàn khỏi tàu, cũng như là để dập cháy thành công.
Chương 2. KẾT CẤU CHỐNG CHÁY
2.1. Yêu cầu chung
2.1.1. Các vật liệu sử dụng làm vách ngăn cho các khoang khác nhau trên tàu, tại các vị trí có thể xảy ra sự xuyên thấm của các sản phẩm dầu mỏ, phải là loại không cháy.
2.1.2. Phải hạn chế đến mức có thể được việc sử dụng các vật liệu dễ cháy để chế tạo các thành phần kết cấu của tàu như là: thân tàu, lầu boong, vách ngăn và sàn sinh hoạt của chúng, trang bị nội thất và các trang bị cứu sinh.
2.1.3. Đối với tàu vỏ gỗ và FRP, được phép sử dụng gỗ cho các vách ngăn phía trong, thùng, sàn mà không cần tẩm chất chống cháy, ngoại trừ các kết cấu bằng gỗ trong buồng máy. Trần, tường và vách của buồng máy tại các vị trí có thể xảy ra nguy cơ cháy phải được sơn chống cháy hoặc được phủ bởi lớp thép mỏng, độ dày của lớp vật liệu chống cháy không nhỏ hơn 5 mm.
2.1.4. Các vách ngăn, phân chia các không gian sinh hoạt và không gian buồng máy, các két dầu đốt và không gian chứa hàng hóa, liền kề với các khoang khác có chứa các chất có thể tự cháy được phải có một lớp bọc có khả năng chịu lửa trong khoảng thời gian (ít nhất) là 30 phút.
2.1.5. Đối với tàu không có boong liên tục, không nhất thiết phải có các vách ngăn kín hoàn toàn để phân buồng động cơ.
2.1.6. Trên tàu hở không có boong, động cơ phải được che đậy bởi hộp có thể tháo rời được làm bằng vật liệu chống cháy.
2.1.7. Trên tàu không có boong và không có buồng riêng cho máy chính, két nhiên liệu phải đặt cách xa máy chính và đường ống khí xả ít nhất là 800 mm. Trong trường hợp này, két nhiên liệu phải che kín bởi tấm bảo vệ có thể tháo được.
2.1.8. Các ống nạp nhiên liệu cho két nhiên liệu phải dẫn lên boong để tránh nhiên liệu rò rỉ vào thân tàu. Các chỗ nối phải được làm bằng vật liệu không phát sinh tia lửa điện.
2.1.9. Các loại keo, sơn hoặc các loại sơn lót khác có chứa gốc ni-tơ-rô xen-lu-lô hoặc tương tự như các chất nêu trên khi xét đến đặc tính lan truyền lửa của chúng, đều không được sử dụng để làm các lớp bọc ngoài cùng ở trên tàu. Các lớp lót phải không phát sinh ra một lượng đáng kể khói hoặc các chất độc khác.
2.1.10. Các lối thoát từ buồng kho chứa các vật liệu dễ cháy nên được dẫn tới boong hở hoặc một lối đi nối thẳng với boong hở.
2.1.11. Vách, trần, sàn của kho chứa vật liệu dễ cháy nằm kề buồng sinh hoạt, buồng máy, khoang hàng hóa phải được làm bằng thép hoặc vật liệu không cháy và phải có cách nhiệt.
2.1.12. Tại vị trí mà ống khói xuyên qua các boong và vách ngăn bằng gỗ phải có lớp chống cháy, khoảng cách từ thành ống khói đến kết cấu bằng vật liệu cháy được không nhỏ hơn 150 mm về mỗi phía.
2.1.13. Những chất lỏng dễ cháy được phép bảo quản trên tàu phải được chứa trong các bình có dung tích không quá 40 lít và cần cố định chắc chắn trên tàu.
2.2. Hệ thống thông gió
2.2.1. Đường ống thông gió phải được làm bằng vật liệu không cháy.
2.2.2. Cần phải bảo đảm các phương tiện tắt các quạt gió, và đóng các lỗ khoét của hệ thống thông gió từ bên ngoài của các căn phòng được thông gió.
2.2.3. Các ống thông gió của buồng máy hạng A hoặc khoang bếp, như thông lệ, không nên đi qua các phòng ở, phòng phục vụ hoặc phòng lái. Trong những trường hợp ngoại lệ, các ống thông gió phải được làm bằng thép hoặc vật liệu tương đương và được lắp đặt sao cho ống thông gió không bị bắt lửa.
2.2.4. Hệ thống thông gió phục vụ buồng máy, cần phải độc lập với các hệ thống phục vụ cho các phòng khác.
2.2.5. Nếu các ống thông gió phục vụ các phòng ở 2 bên của vách ngăn hay boong loại A thì cần phải lắp đặt những tấm chắn gió. Các tấm chắn gió điều khiển bằng tay cần phải đóng, mở được từ cả 2 phía của vách ngăn hoặc boong.
2.3. Két dầu đốt và két dầu bôi trơn
Không cho phép bố trí két dầu đốt và két dầu bôi trơn và những đường ống dẫn dầu của các két này ở trên động cơ đốt trong và đường ống khí xả, ở trên bảng phân phối điện chính và máy phát điện, ở trên thiết bị dùng điện và ở trên trạm điều khiển động cơ chính trừ khi chúng được che chắn thích hợp.
2.4. Bảo quản các bình ga và các vật liệu dễ cháy
2.4.1. Các bình đựng khí nén hóa lỏng cần phải có nhãn hiệu rõ ràng, có màu sắc được quy định và dòng chữ để thấy ghi tên và công thức hóa học của chất chứa trong đó. Các bình cần phải được cố định chắc chắn.
2.4.2. Các bình có chứa khí dễ bốc cháy hoặc khí nguy hiểm khác, các bình đã được sử dụng cần phải được bảo quản trên boong lộ thiên. Các van, bộ phận điều chỉnh áp suất và các ống đi ra từ các bình này cần được bảo vệ khỏi hư hại đồng thời tránh sự thay đổi nhiệt độ đột ngột, các tác động trực tiếp của tia sáng mặt trời.
2.4.3. Các phòng, trong đó bảo quản các chất lỏng dễ phát lửa (sơn, dầu lửa, xăng...) và nơi được phép cất giữ khí hóa lỏng cần phải có lối vào riêng từ boong lộ thiên. Nếu các vách ngăn giới hạn các khoang này tiếp xúc với các phòng đóng kín khác thì nó phải có kết cấu kín hơi.
2.4.4. Trong các phòng bảo quản các chất lỏng dễ bốc cháy hoặc khí hóa lỏng không được đặt các dây dẫn điện và các thiết bị điện trừ những thứ cần thiết phục vụ cho chính những phòng này. Nếu có một thiết bị điện như vậy thì nó phải đáp ứng yêu cầu đối với thiết bị được đặt trong môi trường dễ bốc cháy. Các nguồn tạo nhiệt cần phải đặt ngoài các phòng này. Các tấm bảng với dòng chữ “Cấm hút thuốc”, “Không được sử dụng lửa”, cần phải được treo tại cửa.
2.4.5. Trên các tàu có trang bị két tích tụ cặn dầu, mỡ bôi trơn cần phải thực hiện việc bảo vệ tránh sự rò rỉ của nhiên liệu hay mỡ bôi trơn vào hầm hàng.
2.4.6. Trong khoang máy cần phải dự tính két đựng dầu cặn, được làm bằng thép hay bằng vật liệu tương đương khác.
2.4.7. Các nơi mà trong đó có sử dụng nhiên liệu lỏng, cần phải được cung cấp các tấm che dập lửa.
2.5. Các lối thoát hiểm
2.5.1. Các thang nghiêng và thang đỉa bố trí tại các phòng có thủy thủ đoàn làm việc cần được bố trí sao cho dễ đến lối thoát lên boong lộ thiên và tiếp theo đến các phương tiện cứu sinh.
2.5.2. Trong chừng mực hợp lý, có tính đến số lượng thuyền viên và kích thước các phòng, cần phải dự tính không ít hơn hai đường thoát hiểm cách nhau tối đa mà có thể bố trí các lối ra thông thường từ mỗi phòng hoặc từ một số các phòng. Lối thoát hiểm thông thường từ các phòng ở và phòng phục vụ ở phía dưới boong lộ thiên cần phải được bố trí sao cho khi đi qua khu vực có thể xảy ra cháy là tới được các boong. Lối thoát thứ 2 có thể là lỗ thoát trên trần, hoặc cửa khoang có kích thước phù hợp, tốt hơn cả dẫn ngay tới boong lộ thiên.
2.6. Hệ thống phát hiện và báo cháy tự động
2.6.1. Nên lắp đặt các dụng cụ cần thiết để tự động phát hiện đám cháy bằng âm thanh hoặc bằng ánh sáng trong buồng máy, phòng ở và các phòng khác có nguy cơ cháy cao hơn bình thường.
2.6.2. Hệ thống phát hiện và báo cháy tự động phải thỏa mãn các yêu cầu tại Phần 5, QCVN 21:2015/BGTVT.
Chương 3. DỤNG CỤ, THIẾT BỊ VÀ HỆ THỐNG CHỮA CHÁY
3.1. Dụng cụ, thiết bị chữa cháy
3.1.1. Yêu cầu chung
Các dụng cụ, thiết bị chữa cháy phải luôn sẵn sàng để sử dụng, được bố trí ở các vị trí dễ tiếp cận. Tất cả các trang bị phải được chứng nhận bởi một tổ chức được Đăng kiểm công nhận, phù hợp với việc sử dụng trên tàu.
3.1.2. Quy định về trang bị
3.1.2.1. Việc bố trí các thiết bị chữa cháy xách tay phải phù hợp với yêu cầu nêu tại Bảng 1/6 dưới đây:
Bảng 1/6. Định mức trang bị thiết bị chữa cháy xách tay
|
TT |
Trang bị theo các buồng |
Loại tàu |
|||
|
Tàu có chiều dài từ 12 đến dưới 15 (m) |
Tàu có chiều dài từ 15 đến dưới 17 (m) |
Tàu có chiều dài từ 17 đến dưới 24 (m) |
|||
|
1 |
Nhà bếp |
Bình bọt xách tay(*) |
1 |
1 |
1 |
|
2 |
Buồng máy |
Bình bọt xách tay |
1 |
1 |
2 |
|
Bình CO2 xách tay |
1 |
1 |
1 |
||
|
3 |
Buồng lái |
Bình bọt xách tay |
- |
- |
1 |
|
Bình CO2 xách tay |
- |
1 |
1 |
||
(*) Bếp sử dụng khí hóa lỏng thay bằng bình chữa cháy xách tay bằng hóa chất khô;
3.1.2.2. Ngoài ra, các tàu phải trang bị các dụng cụ chữa cháy theo yêu cầu tại Bảng 2/6 dưới đây:
Bảng 2/6. Định mức trang bị dụng cụ chữa cháy
|
TT |
Danh mục thiết bị |
Loại tàu |
||
|
Tàu có chiều dài từ 12 đến dưới 15 (m) |
Tàu có chiều dài từ 15 đến dưới 17 (m) |
Tàu có chiều dài từ 17 đến dưới 24 (m) |
||
|
1 |
Xô múc nước chữa cháy cùng với dây có đủ chiều dài để múc nước, loại 10 lít |
1 |
2 |
2 |
|
2 |
Rìu để chữa cháy |
1 |
1 |
1 |
|
3 |
Xà beng nhẹ dùng để chữa cháy. |
1 |
1 |
1 |
|
4 |
Bạt hoặc chăn dập lửa, kích thước 1,5x2,0m |
1 |
2 |
2 |
|
5 |
Thùng kim loại đựng cát dung lượng 50 lít |
1 |
1 |
2 |
|
6 |
Xẻng xúc cát. |
1 |
1 |
2 |
3.1.3. Yêu cầu về kỹ thuật
3.1.3.1. Các bình chữa cháy xách tay phải thỏa mãn các yêu cầu sau đây:
a) Không được sử dụng công chất chữa cháy mà bản thân nó hoặc khi đưa vào sử dụng sẽ phát ra các khí độc hoặc gây ngạt thở với dung lượng nguy hiểm cho người.
b) Các bình chữa cháy xách tay phải có các thiết bị an toàn để ngăn ngừa áp suất trong đó tăng vượt quá giới hạn cho phép.
c) Các bình chữa cháy trong các giá đỡ đặc biệt thuộc kiểu không tách ra phải được bố trí ở các vị trí được bảo vệ chống lại việc bị các tia nắng mặt trời trực tiếp chiếu vào cũng như là bị mưa, ở độ cao không lớn hơn 1,5 m tính từ sàn và ở khoảng cách ít nhất là 1,5m tính từ nguồn nhiệt.
d) Dung tích của các bình bọt xách tay phải không nhỏ hơn 9 lít và không lớn hơn 13,5 lít.
đ) Các bình bột khô xách tay phải chứa không ít hơn 4kg bột và các bình khí CO2 xách tay phải chứa không ít hơn 3 kg khí CO2.
e) Các bình chữa cháy phải được kiểm tra định kỳ theo quy định và phải có khả năng sẵn sàng làm việc trong các điều kiện được dự kiến.
3.1.3.2. Các xô múc nước, thùng đựng cát chữa cháy phải được sơn màu đỏ và phải được sơn (viết) vào chữ “CC”.
3.2. Hệ thống chữa cháy
3.2.1. Yêu cầu chung
Hệ thống chữa cháy phải có kết cấu sao cho chúng vẫn đảm bảo tính tin cậy và sẵn sàng hoạt động ngay lập tức trong bất kỳ tình huống nào.
3.2.2 Hệ thống nước chữa cháy bằng nước
3.2.2.1. Trên các tàu có chiều dài từ 12 m đến dưới 17 m phải trang bị một bơm chữa cháy bằng nước di động. Các tàu có chiều dài từ 17 m đến dưới 24 m phải trang bị một bơm chữa cháy bằng nước cố định.
3.2.2.2. Sản lượng của bơm chữa cháy phải được tính toán đảm bảo cung cấp nước đồng thời tới tất cả các họng nước chữa cháy trên tàu, duy trì áp suất tối thiểu tại các họng chữa cháy là 0,12 MPa.
3.2.3. Các yêu cầu về bơm chữa cháy
3.2.3.1. Các bơm chữa cháy phải sẵn sàng bơm được nước ngay để dập cháy và được dẫn động bằng nguồn năng lượng độc lập. Đăng kiểm có thể cho phép bơm chữa cháy được dẫn động bằng máy chính, nếu hệ thiết bị đẩy (máy chính - hệ trục - chân vịt) được thiết kế để cho phép bơm chữa cháy hoạt động khi tàu không hành trình. Tùy thuộc vào sự chấp thuận của Đăng kiểm, có thể sử dụng một đai có tiết diện ngang hình thang để truyền động từ máy chính tới bơm chữa cháy.
3.2.3.2. Các bơm nước vệ sinh, bơm hút khô và các bơm nước biển khác có thể được sử dụng làm bơm chữa cháy, với điều kiện là chúng thỏa mãn các yêu cầu thiết kế về sản lượng và cột áp. Không cho phép sử dụng các bơm vận chuyển dầu đốt và dầu nhờn làm bơm chữa cháy.
3.2.3.3. Trong các trường hợp đặc biệt và tùy theo sự chấp thuận của Đăng kiểm, các bơm cơ giới di động có thể được sử dụng làm bơm chữa cháy.
3.2.3.4. Các bơm cơ giới chữa cháy di động phải thỏa mãn các yêu cầu sau đây:
a) Phải đảm bảo rằng áp suất không nhỏ hơn 0,1 MPa tại bất kỳ đầu phun chữa cháy nào có đường kính không nhỏ hơn 10 mm.
b) Bơm cơ giới phải có khả năng sẵn sàng khởi động và phải được cung cấp sẵn một lượng nhiên liệu đủ để duy trì sự hoạt động liên tục của bơm trong vòng 1 giờ.
c) Các đặc tính của vòi rồng chữa cháy, các đầu phun chữa cháy (lăng phun) và các phụ tùng kèm theo phải tương đương với các phụ tùng được dùng trên đường ống chữa cháy chính.
3.2.3.5. Bơm chữa cháy cố định và van hút nước biển của nó phải được bố trí bên dưới đường nước chở hàng nhẹ tải.
3.2.4. Đường ống
Đường kính của ống chính và ống nước phục vụ phải đủ để phân phối nước một cách hiệu quả, cho phép một lưu tốc không đổi là 4m/s khi làm việc với áp suất không nhỏ hơn 0,1 MPa. Trong các trường hợp sử dụng các bơm chữa cháy có khả năng cung cấp cho đường ống chữa cháy chính một áp suất vượt quá giá trị áp suất cho phép, chúng phải được trang bị các van xả áp (điều áp) được đặt để hoạt động ở áp suất vượt quá 10% so với áp suất làm việc của đường ống chữa cháy chính.
3.2.5. Các họng chữa cháy và vòi rồng chữa cháy
3.2.5.1. Các họng chữa cháy phải được bố trí sao cho có thể nhanh chóng và dễ dàng đấu nối chúng với các vòi rồng chữa cháy. Số lượng các họng chữa cháy phải đủ để cung cấp một tia nước tới bất kỳ phần nào của tàu chỉ bằng một đoạn vòi rồng có chiều dài không quá 10 m.
3.2.5.2. Các họng chữa cháy phải có chiều cao so với boong không lớn hơn 1 m.
3.2.5.3. Một họng chữa cháy phải được trang bị trong buồng máy, nơi có chứa bơm chữa cháy.
3.2.5.4. Các vòi rồng, đầu phun v.v... chữa cháy phải có thiết bị đầu nối nhanh có kiểu và kích thước kiểu tiêu chuẩn, và được chuyển đổi cho phù hợp với mỗi con tàu cụ thể.
3.2.5.5. Các vòi rồng chữa cháy phải thỏa mãn các yêu cầu sau đây:
a) Chúng phải có chiều dài sao cho đảm bảo việc dập cháy ở bất kỳ nơi nào trên tàu mà đám cháy có thể xảy ra, nhưng chiều dài này không được lớn hơn 10 m;
b) Chúng phải có đường kính đảm bảo duy trì được áp suất tia nước trong suốt quá trình dập cháy.
c) Các vòi rồng chữa cháy, cùng với các đầu phun của chúng phải được bố trí trong một cuộn ống ở gần họng nước chữa cháy hoặc được chứa trong những hộp chuyên dụng.
d) Các đầu phun nước chữa cháy (lăng phun) phải có đường kính không nhỏ hơn 10 mm, chúng phải là loại 2 tác dụng (phun sương và phun tia) và phải có thiết bị đóng mở.
Phần 7. THIẾT BỊ LẠNH TRÊN TÀU CÁ
Cooling equipments
Chương 1. QUY ĐỊNH CHUNG
1.1. Quy định chung
1.1.1. Đối tượng
Những yêu cầu trong Phần này này quy định các điều kiện đảm bảo an toàn cho con người và môi trường trong lắp đặt và sử dụng hệ thống lạnh trên tàu cá được phân cấp theo Quy chuẩn này.
1.1.2. Phạm vi áp dụng
Những yêu cầu trong Phần này được áp dụng trong thiết kế, chế tạo, lắp đặt, thử nghiệm, sử dụng hệ thống lạnh dùng các chất làm lạnh là Freon hoặc Amôniac trên tàu cá trong phạm vi cả nước.
1.2. Giải thích từ ngữ
Trong Quy chuẩn này các thuật ngữ dưới đây được hiểu như sau:
1.2.1. Thiết bị lạnh là tổ hợp máy nén lạnh, thiết bị trao đổi nhiệt, thiết bị phụ như đường ống, van, các thiết bị đo lường, thiết bị tự động.
1.2.2. Buồng lạnh là buồng được hạ nhiệt độ thấp hơn nhiệt độ môi trường.
1.2.3. Buồng máy là buồng đặt máy nén và các thiết bị phụ.
1.3. Những yêu cầu chung
1.3.1. Các bình chịu áp lực dùng cho máy nén lạnh được phân chia vào nhóm I theo quy định ở Chương 10, Phần 3 QCVN 21: 2015/ BGTVT “Quy phạm phân cấp và đóng tàu biển vỏ thép” và đường ống dẫn công chất lạnh chính (sau đây gọi tắt là ống dẫn công chất) thuộc nhóm I theo quy định ở Chương 12, Phần 3 QCVN 21: 2015/BGTVT.
1.3.2. Phải trang bị bình chứa phụ có đủ dung tích cho máy nén lạnh sao cho có thể tiến hành sửa chữa hoặc bảo dưỡng mà không cần xả khí ra ngoài trời. Nhưng nếu công chất của bình chứa lớn nhất có thể chứa được vào trong một số bình khác thì có thể không cần phải trang bị thêm bình chứa phụ.
1.3.3. Các hệ thống lạnh phải được thiết kế, chế tạo, thử nghiệm và lắp đặt phù hợp, nhằm đảm bảo an toàn cho hệ thống và hạn chế thoát công chất lạnh ra không khí gây hại cho sức khỏe con người hoặc công trường.
1.3.4. Thiết bị lạnh phải tránh rung, va đập, co giãn v v... và phải đảm bảo có thiết bị điều khiển tự động an toàn nhằm ngăn ngừa tăng nhiệt và áp suất.
1.3.5. Mỗi không gian đặt thiết bị lạnh bao gồm dàn ngưng tụ và bình chứa gas cao áp sử dụng các công chất lạnh độc hại phải cách li bất cứ khoang kế cận nào bằng vách kín khí. Mỗi khoang chứa thiết bị lạnh bao gồm dàn ngưng tụ và két chứa gas phải đặt hệ thống phát hiện rò rỉ, có đồng hồ báo bên ngoài khoang kề với lối vào và phải đảm bảo có hệ thống thông gió riêng.
1.3.6. Nếu không thể đặt thiết bị lạnh trong chỗ riêng biệt do kích thước của tàu, hệ thống làm lạnh có thể lắp trong buồng máy, đảm bảo rằng công chất lạnh đang dùng không gây hại cho người trong buồng máy, còn với khí rò rỉ, phải đảm bảo rằng thiết bị báo động trang bị tại đây phát tín hiệu cảnh báo mật độ khí tới mức nguy hiểm do hiện tượng rò rỉ xuất hiện trong khoang.
1.3.7. Trong buồng máy làm lạnh và buồng lạnh, thiết bị báo động nối kết với buồng lái hoặc trạm điều khiển hoặc lối thoát.
1.3.8. Nếu có sử dụng công chất lạnh nào có hại cho sức khỏe con người, trong hệ thống lạnh, phải trang bị ít nhất 2 bộ đồ thở, một bộ đặt ở vị trí không phải diện không tiếp cận được đề phòng trường hợp rò rỉ chất làm lạnh. Bộ đồ thở được bố trí như một phần của thiết bị chống cháy trên tàu có thể coi là đáp ứng yêu cầu tất cả hay một phần của điều khoản đảm bảo cho vị trí của nó thỏa mãn cả hai mục đích. Nơi nào có sử dụng bộ đồ thử tự mang bình, phải có bình thay thế.
1.3.9. Hướng dẫn đầy đủ cho hoạt động an toàn này và quy trình cấp cứu cho hệ thống lạnh phải đảm bảo bằng các bố cáo phù hợp dán trên tàu.
1.4. Vật liệu
1.4.1. Không được dùng các van bằng gang đúc trong hệ thống ống dẫn công chất.
1.4.2. Vật liệu được dùng cho bình ngưng tụ được làm mát bằng nước biển phải xét đến sự ăn mòn của nước biển.
1.5. Dụng cụ đo và kiểm tra
Các dụng cụ đo và kiểm tra phải bố trí ở nơi dễ thấy, dễ tiếp cận. Trên thang số của các dụng cụ đo phải đánh dấu, ghi rõ các trị số cho phép lớn nhất và nhỏ nhất trong thông số cần kiểm tra. Các dụng cụ đo, trừ thiết bị đo nhiệt độ phải được kiểm tra và chứng nhận định kỳ của Tổng cục đo lường nhà nước hoặc cơ quan được Đăng kiểm công nhận.
1.6. Điều khiển
Khi thiết bị lạnh có thiết bị điều khiển tự động thì vẫn phải có thiết bị điều khiển bằng tay.
1.7. Phương tiện thoát hiểm
1.7.1. Các buồng lạnh
a) Phải lắp đặt chuông báo động có thể nghe thấy từ bên ngoài.
b) Cửa ra vào buồng lạnh phải mở được từ 02 phía.
1.7.2. Buồng máy phải có 2 cửa ra vào riêng biệt.
1.8. Thông gió buồng máy
Hệ thống thông gió buồng máy phải thỏa mãn quy định tại 8.12, Chương 8, Phần 4 của Quy chuẩn này.
1.9. Hút khô buồng máy, buồng lạnh
Hệ thống hút khô buồng máy, buồng lạnh phải thỏa mãn quy định tại 8.3, Chương 8, Phần 4 của Quy chuẩn này.
Chương 2. HỆ THỐNG LÀM LẠNH
2.1. Thiết kế hệ thống
2.1.1. Điều kiện làm việc
Công suất và tính năng của thiết bị lạnh như máy nén, thiết bị trao đổi nhiệt, bơm dùng cho công chất lạnh, bơm dùng cho chất tải lạnh, đường ống, thiết bị tự động.vv... phải được tính toán bố trí, lắp đặt ổn định trong mọi điều kiện hoạt động của tàu cá.
2.1.2. Độ bền của thiết bị
2.1.2.1. Khi tính toán độ bền của các thiết bị trao đổi nhiệt, bình chịu áp lực và các chi tiết khác chịu áp suất của công chất lạnh, thì phải lấy áp suất ở Bảng 1/7 làm áp suất tính toán.
2.1.2.2. Máy nén phải có đủ độ bền.
Bảng 1/7. Áp suất tính toán
|
Công chất lạnh |
Áp suất tính toán (MPa) |
|
|
Phía áp suất cao |
Phía áp suất thấp |
|
|
Freon 22 |
2,0 |
1,6 |
2.1.2.2. Kích thước của các bình chịu áp lực và các phụ tùng của chúng phải thỏa mãn các yêu cầu quy định ở Phần 7B, QCVN 21:2015/BTVT.
2.1.3. Thiết bị an toàn
2.1.3.1. Giữa xi lanh và van chặn về phía áp suất cao của máy nén phải lắp van an toàn để xả công chất lạnh về phía hút trong trường hợp áp suất tăng cao quá mức. Ở máy nén hai cấp, van an toàn phải được lắp ở mỗi cấp.
2.1.3.2. Các bình và thiết bị kiểu hình ống chịu áp suất của công chất lạnh phải có van an toàn để ngăn ngừa hiện tượng tăng áp suất quá 10% so với áp suất thiết kế.
2.1.3.3. Van an toàn của các bình trung gian của máy nén lạnh hai cấp phải điều chỉnh như ở phía áp suất thấp.
2.1.3.4. Không được đặt thiết bị chặn giữa van an toàn với thiết bị hoặc bình chịu áp lực. Cho phép đặt thiết bị chuyển giữa hai van an toàn với kết cấu sao cho mọi trường hợp thiết bị hoặc bình áp lực được nối với cả hai hoặc một van an toàn.
2.1.3.5. Các ống xả của van an toàn (trừ ống xả quy định tại 2.1.3.1 trên) phải được dẫn ra ngoài mạn tàu dưới mực nước thấp nhất của tàu hoặc dẫn lên boong phía đuôi tàu trong phạm vi không ảnh hưởng đối với thủy thủ và người làm việc trên tàu.
2.1.3.6. Đường ống xả công chất lạnh từ bình hay thiết bị khi có sự cố phải được nối vào ống xả sự cố chung đặt ngoài buồng máy nén lạnh.
2.1.4. Buồng dự trữ công chất lạnh
2.1.4.1. Buồng dự trữ công chất lạnh phải được bố trí tách biệt khỏi các buồng khác. Trong trường hợp dự trữ khối lượng Freon nhỏ được phép miễn thực hiện yêu cầu này, nếu được Đăng kiểm chấp nhận.
2.1.4.2. Các bình chứa chất lỏng làm lạnh phải được cố định sao cho chúng không xê dịch trong điều kiện sóng gió. Giữa các tường mép và các bình chứa công chất lạnh cũng như giữa các bình với nhau phải có tấm ngăn cách bằng vật liệu phi kim loại.
2.1.4.3. Buồng dự trữ công chất lạnh phải được thông gió tốt và bọc cách nhiệt tốt.
2.1.4.4. Không được để các bình chứa khí nén khác trong buồng chứa công chất lạnh.
2.1.4.5. Đường ống tiêu thụ của các bình chứa công chất lạnh dự trữ không được đi qua các buồng ở và các buồng sinh hoạt.
2.1.5. Buồng chứa hàng được làm lạnh
2.1.5.1. Các thiết bị, máy móc, trang bị khác cũng như đường ống làm lạnh và kênh thông gió đặt trong các buồng chứa hàng được làm lạnh phải được cố định vững chắc và được bảo vệ chúng khỏi bị hàng hóa làm hư hỏng.
2.1.5.2. Các buồng chứa hàng được làm lạnh phải có thiết bị đo nhiệt độ.
2.1.6. Cách nhiệt
2.1.6.1. Tất cả các bộ phận bằng kim loại hoặc vật liệu cách nhiệt khác của thân tàu ở phía trong các buồng chứa hàng được làm lạnh phải được bọc cách nhiệt cẩn thận.
2.1.6.2. Vật liệu dùng cho các buồng chứa hàng được làm lạnh phải là loại không bị vi khuẩn phá hoại, khó cháy và không phát ra mùi độc hại.
2.1.6.3. Lớp cách nhiệt của các buồng chứa hàng được làm lạnh phải được bọc một lớp vật liệu thích hợp ở bên ngoài đảm bảo các yêu cầu của QCVN 02- 13:2009/BNN&PTNT.
2.1.6.4. Nếu đường ống đi qua vách hay boong thì chúng cũng phải được bọc cách nhiệt.
2.2. Thử nghiệm
2.2.1. Thử tại xưởng
Các bộ phận của thiết bị làm lạnh trực tiếp chịu áp lực của công chất lạnh phải được thử thủy lực theo quy định ở Bảng 2/7.
Bảng 2/7. Áp suất thử thủy lực
|
Công chất lạnh |
Các chi tiết thử |
Hạng mục thử |
Áp suất thử (MPa) |
|
|
Phía áp suất cao |
Phía áp suất thấp |
|||
|
Freon 22 |
Xylanh máy nén Các te máy nén chịu áp suất của công chất lạnh Bình chứa, thiết bị, van tắc đường ống |
Thử thủy lực |
3,5 |
2,7 |
|
Thử kín |
2,0 |
1,6 |
||
Chú thích:
- Các bộ phận nằm trên đường áp suất trung gian của máy nén hai cấp phải thử thủy lực theo áp suất như với phía áp suất thấp.
- Các bộ phận khi làm việc chịu áp suất của chất lỏng làm lạnh trung gian hay áp suất của nước phải được thử thủy lực với áp suất bằng 2 lần áp suất làm việc nhưng không được nhỏ hơn 0,4 MPa.
2.2.2. Thử sau khi lắp đặt trên tàu
2.2.2.1. Sau khi thiết bị lạnh được lắp đặt trên tàu thì phải tiến hành thử thủy lực tất cả các đường ống, thiết bị và các phụ tùng của chúng với áp suất bằng áp suất làm việc.
2.2.2.2. Sau khi thử thủy lực phải làm khô đường ống. Phải đặc biệt lưu ý làm khô đường ống dẫn Freon.
2.2.2.3. Đường ống dẫn công chất lạnh trung gian cùng với phụ tùng cũng như các đường ống dẫn nước làm mát phải được thử thủy lực với áp suất không nhỏ hơn 1.25 lần áp suất làm việc.
Phần 8. TRANG THIẾT BỊ
Equipments
Chương 1. THIẾT BỊ LÁI
1.1. Quy định chung
1.1.1. Tất cả các tàu các biển cỡ nhỏ tự chạy phải có thiết bị lái tin cậy để đảm bảo lái tàu hữu hiệu, tính quay trở, lượn vòng và tính ổn định hướng đi trong quá trình tàu khai thác. Thiết bị lái có thể là bánh lái, đạo lưu quay, động cơ treo (máy đĩa) và những thiết bị khác được Đăng kiểm chấp nhận.
1.1.2. Những yêu cầu của chương này áp dụng cho những thiết bị lái có sơ đồ như Hình 18. Các loại thiết bị khác phải được Đăng kiểm xem xét chấp nhận.
1.1.3. Những quy định của chương này chỉ áp dụng cho các chi tiết của thiết bị lái được chế tạo từ thép thường, có giới hạn chảy ReH = 235MPa. Nếu trục lái được chế tạo bằng thép có giới hạn chảy lớn hơn 235MPa thì có thể giảm đường kính trục lái theo tỷ lệ:

Hình 18. Sơ đồ thiết bị lái
1.2. Các chi tiết của thiết bị lái
1.2.1. Các thành phần của thiết bị lái thông thường bao gồm:
1.2.1.1. Bánh lái (dạng tấm hoặc lưu tuyến) hoặc đạo lưu
1.2.1.2. Máy lái
1.2.1.3. Cơ cấu dẫn động lái
1.2.1.4. Các ổ đỡ, ki lái, chốt lái.
1.2.2. Trục lái
1.2.2.1. Đường kính đầu trục lái d0, cm, không được nhỏ hơn trị số xác định theo công thức sau đây:

Trong đó:
- K - hệ số, được lấy bằng:
- 2,54 nếu bánh lái làm việc trực tiếp với chân vịt
- 2,25 nếu bánh lái không làm việc trực tiếp với chân vịt.
- A - diện tích bánh lái, m2
- Vs - tốc độ khai thác lớn nhất của tàu ở trạng thái toàn tải, tuy nhiên không được lấy Vs < 8 hải lý/giờ
- r - khoảng cách từ tâm áp lực thủy động đến tâm quay của bánh lái, r được xác định theo công thức sau:

Trong đó:
- A1 - là phần diện tích bánh lái ở phía trước đường tâm trục lái, m2
- hp - chiều cao trung bình của phần bánh lái nằm ở phía sau đường tâm trục lái, m
1.2.2.2. Đường kính trục lái d1 (tại 1 của bánh lái kiểu I) không được nhỏ hơn trị số xác định theo công thức sau đây:

Trong đó:
- h, e - đo theo hình IX. 1.1, m;
- Đường kính trục lái kiểu I ở 3 được lấy bằng d2
1.2.2.3. Đường kính trục lái d2 ở 2 phải không nhỏ hơn trị số xác định theo công thức sau:

Trong đó: l2 được xác định theo hình 18
1.2.3. Chốt lái
1.2.3.1. Đường kính chốt lái dc, cm (kể cả lớp áo nếu có) phải không nhỏ hơn trị số tính theo công thức sau đây:
a) Đối với bánh lái kiểu II (có ki lái):

b) Đối với bánh lái kiểu III (có cả ki lái và sừng):

Trong đó: P- áp suất, được cho trong Bảng 1/8.
1.2.3.2. Chiều dài đoạn hình trụ của chốt lái phải không nhỏ hơn dc và không được lớn hơn 1,3dc.
1.2.3.3. Chiều dài đoạn hình côn chốt dưới bắt chặt vào gót lái hoặc khung sống lái không được nhỏ hơn dc, độ côn không quá 1/10. Đường kính ngoài phần có ren của chốt không được nhỏ hơn 0,8 lần đường kính nhỏ nhất của đoạn hình côn. Chiều cao đai ốc hãm không nhỏ hơn 0,6 lần đường kính ngoài phần có ren. Chốt và đai ốc hãm phải được hãm chặt.
Bảng 1/8. Áp suất (MPa)
|
Vật liệu của bề mặt làm việc |
Áp lực riêng |
|
Thép không rỉ hoặc đồng thanh có bạc gỗ chống mài mòn |
2,4 |
|
Thép không rỉ có bạc chất dẻo tổng hợp chống mài mòn |
5,0 |
|
Thép không rỉ có bạc đồng thau hoặc ngược lại |
6,9 |
1.2.4. Ổ đỡ trục lái
1.2.4.1. Phải lắp các ổ đỡ chặn để đỡ bánh lái và trục lái. Phải có biện pháp chống dịch chuyển theo chiều trục của bánh lái và trục lái lên phía trên. Độ dịch chuyển không được lớn hơn trị số cho phép của kết cấu hệ thống truyền động lái.
1.2.4.2. Ở chỗ trục lái chui qua boong, tại phần trên của ống bao trục lái phải lắp ổ nén tết để ngăn ngừa nước lọt vào trong tàu. Các ổ nén tết phải bố trí ở chỗ dễ tiếp cận để kiểm tra và bảo quản thuận tiện.
1.2.4.3. Phải kiểm tra ổ đỡ đã chọn theo áp lực quy định. Chiều cao làm việc của bạc lót ổ đỡ không được nhỏ hơn trị số tính theo công thức sau đây:

Trong đó:
- di - đường kính trục lái kể cả áo bọc (nếu có) tại ổ đỡ có bạc lót, cm;
- Ri - trị số phản lực tính toán tại ổ đỡ, N, được tính theo công thức sau đây:
a) Tại ổ đỡ trên bánh lái kiểu I:

b) Tại ổ đỡ dưới bánh lái kiểu I:

c) Tại ổ đỡ trên bánh lái kiểu II:

Đối với bánh lái kiểu III, phản lực tại ổ đỡ trên được lấy bằng 0
1.2.5. Hệ thống truyền động lái
1.2.5.1. Nếu không có quy định nào khác, thì mỗi tàu phải có 2 bộ truyền động lái: Bộ truyền động chính và sự cố.
1.2.5.2. Bộ truyền động lái chính phải đảm bảo quay hoàn toàn bánh lái từ 300 mạn này sang 300 mạn kia trong thời gian không quá 28 giây ở tốc độ tiến tối đa của tàu.
1.2.5.3. Bộ truyền động lái sự cố phải độc lập với bộ truyền động lái chính và phải đảm bảo quay hoàn toàn bánh lái từ 150 mạn này sang 150 mạn kia trong thời gian không quá 60 giây ở tốc độ bằng nửa tốc độ tiến tối đa của tàu, nhưng không dưới 5 hải lý/giờ.
1.2.5.4. Bộ truyền động lái chính có thể dùng vô lăng hoặc cần lái, nhưng phải thỏa mãn các yêu cầu của 1.2.5.2 nói trên. Nếu dùng vô lăng thì lực tác động vào vô lăng phải không quá 120N và số vòng quay của vô lăng không quá 25 vòng cho một lần quay lái hoàn toàn.
1.2.5.5. Có thể dùng cần lái bằng palăng làm bộ truyền động lái sự cố hoặc chỉ có cần lái nếu thỏa nếu thỏa mãn quy định 1.2.5.3 nói trên và lực tác động lên cần lái không vượt quá 160N.
1.2.5.6. Thiết bị lái phải có bộ phận hãm để hạn chế góc quay của vô lăng không vượt quá 25 vòng cho một lần quay lái hoàn toàn của bánh lái. Cho phép bánh lái quay sang mỗi bên mạn một góc p theo điều kiện sau:

Trong đó: α là góc quay tối đa theo sự truyền động của bộ truyền động lái, thông thường α = 350.
Các chi tiết của bộ hãm và bộ truyền động lái phải được tính toán với momen xoắn giới hạn trên trục lái Mx = 2,7 d03 KN.cm, khi đó ứng suất phát sinh trong chi tiết không được vượt quá 0,95ReH (ReH giới hạn chảy) của vật liệu chế tạo chi tiết đó.
1.2.6. Bánh lái
1.2.6.1. Bánh lái có thể là dạng bánh lái tấm hoặc dạng lưu tuyến (khí động học). Diện tích bánh lái có thể tính theo phương pháp lý thuyết thông dụng hoặc xác định theo tàu đồng dạng/ mẫu tương ứng đã có.
1.2.6.2. Chiều dày tôn bánh lái:
a) Dạng khí động học: tôn vỏ của bánh lái không được nhỏ hơn trị số theo công thức sau đây:
S = Kdo + 3 mm
Trong đó:
- do - đường kính trục lái, cm
- K = 0,025.
Bên trong bánh lái phải có các xương gia cường, chiều dày xương gia cường không được nhỏ hơn chiều dày vỏ bánh lái.
Tấm mặt trên và tấm mặt dưới của bánh lái phải được hàn kín với vỏ bánh lái, chiều dày của chúng phải không nhỏ hơn 1,2 lần chiều dày tấm vỏ bánh lái. Các tấm mặt phải có nút xả bằng thép không rỉ. Bánh lái phải được thử kín nước bằng áp lực không nhỏ hơn 0,02MPa trong 15 phút sau khi chế tạo.
b) Bánh lái tấm: chiều dày bánh lái không được nhỏ hơn trị số tính theo công thức sau:
S = Kdo + 4 mm
Trong đó: K được lấy bằng 0,08
1.2.6.3. Momen chống uốn ngang của xương gia cường bánh lái, của sống bánh lái kể cả tấm mép kèm (Z, cm3) không được nhỏ hơn trị số tính theo công thức sau:
a) Đối với bánh lái kiểu I: Z = 0,1d23 cm3
Trị số này có thể giảm xuống còn 50% tại mép dưới của bánh lái.
b) Đối với bánh lái kiểu II:

c) Đối với bánh lái kiểu III:

1.2.7. Liên kết trục lái với bánh lái
1.2.7.1. Trục lái có thể liên kết với bánh lái bằng bích liên kết và bu lông hoặc ghép côn. Khi liên kết bằng bích và bu lông thì tất cả các bu lông đai ốc phải được hãm và bắt chặt.
1.2.7.2. Đường kính bu lông liên kết trục lái với bánh lái bằng bích nối ngang phải không nhỏ hơn trị số tính theo công thức sau đây:

Trong đó: di - đường kính trục bánh lái ở mặt bích nối, cm;
Đối với bánh lái kiểu I, II lấy di=d2, bánh lái kiểu III lấy di=do
1.2.7.3. Chiều dày bích nối không được nhỏ hơn đường kính bu lông. Tâm lỗ bu lông phải cách mép ngoài mặt bích một khoảng không nhỏ hơn 1,15db.
1.2.7.4. Nếu mối nối trục bánh lái là mối nối côn, thì chiều dài đoạn côn của trục lái không được nhỏ hơn 1,5 lần đường kính trục lái tại vùng nối, độ côn không quá 1/10.
1.2.7.5. Trên đường sinh của đoạn côn phải đặt then. Diện tích làm việc của then (tích số của chiều dài và chiều rộng then) phải không nhỏ hơn trị số tính theo công thức sau:

Trong đó: ReH - giới hạn chảy của vật liệu làm then, MPa
1.2.7.6. Đường kính ngoài trục lái tại rãnh then phải không nhỏ hơn 0,9 lần đường kính nhỏ nhất của hình côn. Chiều cao đai ốc hãm không được nhỏ hơn 0,8 lần đường kính ngoài của trục lái tại rãnh then. Đai ốc phải được hãm chặt.
Chương 2. THIẾT BỊ NEO, CẬP TÀU, LAI DẮT
2.1. Phạm vi áp dụng
2.1.1. Mọi tàu cần phải trang bị thiết bị neo để neo tàu.
2.1.2. Trong thành phần của thiết bị neo phải có:
2.1.2.1. Neo;
2.1.2.2. Xích neo hoặc dây neo
2.1.2.3. Cơ cấu để thả và kéo neo
2.1.2.4. Bộ phận hãm để giữ chặt neo
2.1.2.5. Các thiết bị để giữ chặt và thả các đầu chính của xích neo hoặc dây neo.
2.1.3. Các thiết bị neo được phân loại theo vị trí trên tàu (mũi và đuôi), theo loại cơ cấu kéo/ thả neo (máy neo kiểu nằm, tời kiểu đứng, tời neo buộc tàu và các kiểu khác) và theo phương pháp bảo quản neo (máng (ống) thả theo hốc tường, để trên boong).
2.2. Lựa chọn thiết bị
2.2.1. Thiết bị neo cần được lựa chọn theo Bảng 2/8 phụ thuộc vào số đặc trưng trang bị Nc.
2.2.2. Số đặc trưng trang bị Nc (m2) được xác định theo công thức sau đây:
Nc = L(B+D)+k.Sl.h
Trong đó:
- L, B, D - là các kích thước của tàu, m
- l, h - chiều dài và chiều cao trung bình thượng tầng và cabin riêng biệt, m
- k - hệ số, được lấy bằng:
+ 1,0 - nếu chiều dài tổng cộng của các thượng tầng và cabin vượt quá nửa chiều dài tàu
+ 0,5 - nếu chiều dài tổng cộng của các thượng tầng và cabin bằng từ 0,25÷0,5 chiều dài tàu
+ nếu chiều dài tổng cộng của các thượng tầng và cabin nhỏ hơn 0,25L, thì k=0.
2.2.3. Việc chọn lựa neo và xích neo (cáp) cần phải phù hợp với đặc trưng trang bị nào trong bảng mà giá trị của nó gần nhất với đặc trưng được tính.
2.2.4. Khi lắp đặt 2 neo trên tàu, khối lượng của một neo được lấy bằng 1/2 khối lượng chọn theo Bảng 2/8 có thể lấy khối lượng của 1 neo bằng 0,6 giá trị theo bảng. Cho phép dùng neo chính thứ 2 để dự trữ với điều kiện nó phải được chuẩn bị sẵn sàng để hoạt động ngay.
2.2.5. Cho phép sử dụng các loại neo sau đây để trang bị cho tàu:
- Neo dạng Hall
- Neo hải quân
- Neo Matrosop.
Không cho phép sử dụng neo Matrosop trên các tàu hoạt động trong các vùng biển có đá ngầm.
2.2.6. Nếu xích neo là loại xích hàn, thì kích thước mối hàn các mắt xích phải phù hợp với các quy định ở Bảng 3/8 phụ thuộc vào khối lượng neo và loại tàu. Nếu chiều dài của các xích neo gồm 1 số chẵn mối nối, thì chiều dài 2 xích neo phải bằng nhau, nếu có số mối nối lẻ thì 1 trong 2 xích phải có 1 cái dài hơn 1 chỗ nối, còn khi các neo có khối lượng khác nhau thì xích dài hơn được nối với neo có khối lượng lớn hơn.
2.2.7. Trong trường hợp sử dụng xích neo đúc, cỡ của chúng có thể giảm 12%.
Bảng 2/8. Thiết bị neo
|
Đặc trưng trang bị Nc |
Loại tàu |
|||||
|
Tự hành |
Không tự hành |
|||||
|
Số lượng neo (cái) |
Khối lượng neo (kg) |
Chiều dài xích, dây cáp (m) |
Số lượng neo (cái) |
Khối lượng neo (kg) |
Chiều dài xích, dây cáp (m) |
|
|
15 |
1 |
25 |
30 |
1 |
25 |
30 |
|
30 |
1 |
40 |
30 |
1 |
40 |
50 |
|
40 |
1 |
50 |
30 |
1 |
50 |
50 |
|
50 |
1 |
75 |
30 |
1 |
75 |
60 |
|
75 |
1 |
100 |
40 |
1 |
100 |
75 |
|
100 |
2 |
150 |
50 |
1 |
150 |
100 |
Bảng 3/8. Kích thước mối hàn
|
Khối lượng neo (Kg) |
Kích thước mối hàn nối (mm) |
Khối lượng neo (kg) |
Kích thước mối hàn nối (mm) |
||
|
Xích có ngáng |
Xích không có ngáng |
Xích có ngáng |
Xích không có ngáng |
||
|
25 |
- |
6,0 |
100 |
- |
14,0 |
|
35 |
- |
8,0 |
150 |
14,0 |
16,0 |
|
50 |
- |
10,0 |
200 |
16,0 |
17,5 |
|
75 |
- |
12,5 |
|
|
|
2.2.8. Cho phép cùng với xích sử dụng cáp thép khi đó lực kéo đứt cáp phải không nhỏ hơn lực kéo đứt của xích tương ứng. Cáp thép cần phải có không ít hơn 114 sợi dây thép va lõi hữu cơ (cáp lụa).
2.2.9. Trên các tàu có số đặc trưng Nc ≤ 100, có thể sử dụng cáp làm từ sợi tổng hợp thay cho xích/ cáp thép.
2.2.10. Đối với neo có khối lượng lớn đến 25kg đường kính hoặc chu vi của cáp cần phải phù hợp với số liệu chỉ ra trong Bảng 4/8.
Bảng 4/8. Đường kính/chu vi cáp (mm)
|
Khối lượng neo, kg |
Đường kính cáp thép |
Chu vi cáp tổng hợp |
|
5 |
2,00 |
|
|
10 |
2,00 |
25 25 35 40 |
|
15 |
4,18 |
|
|
20 |
8,40 |
2.2.11. Máng (ống) thả neo phải thỏa mãn các yêu cầu sau:
2.2.11.1. Đường kính trong của lỗ thả neo phải không nhỏ hơn 10 lần kích thước của mối nối xích, chiều dày thành lỗ không nhỏ hơn 0,4 kích thước mối nối xích.
2.2.11.2. Khi kéo neo, phải đảm bảo cán neo vào lỗ thả neo dễ dàng. Khi thả neo, neo phải dễ dàng thả xuống dưới tác dụng của khối lượng bản thân.
2.2.11.3. Độ gấp khúc của xích khi đi qua bộ phận hãm và lỗ neo phải nhỏ nhất.
2.2.12. Để thả và nâng neo có khối lượng lớn hơn 35 kg, đồng thời giữ tàu ở chỗ thả neo cần phải dự tính cơ cấu hoặc thiết bị tời neo cơ khí hoặc tay cẩu neo. Trong các loại tời neo nên dùng tời neo kiểu đứng, tời neo quay tay kiểu nằm, các tời hoặc các thiết bị trên boong khác.
2.2.13. Đối với mỗi xích neo cần phải có 1 thiết bị hãm xích để cố định xích neo khi kéo và thả neo.
2.2.14. Khi không có lỗ thả neo trong thiết bị neo và không có bộ phận hãm nào để giữ cáp khi thả neo, có thể dùng các vật dụng của thiết bị cập bến (cọc bích, sừng trâu, mỏ vịt) hoặc cần phải dự tính việc cố định các đầu của cáp neo vào các kết cấu của tàu.
2.2.15. Những chỗ tiếp nối chính của xích neo hoặc các đầu chính của cáp cần phải cố định chắc chắn vào thân tàu và có mối ghép có thể tháo được, để dễ dàng tháo các đầu này khi xích neo bị căng.
2.2.16. Xích neo phải được đặt ở chỗ dễ kiểm tra, làm khô, lau chùi và sơn.
2.3. Các yêu cầu về bố trí trên tàu
2.3.1. Khi bố trí các thiết bị neo trên tàu phải tính đến khối lượng và số lượng neo, dạng của đường bao trên tàu ở khu vực xếp đặt thiết bị, sự bố trí và các vật dụng của thiết bị cập bến, đồng thời sự bố trí các vách ngăn của khoang mũi.
2.3.2. Vị trí điều khiển thiết bị neo cần phải đặt sao cho đảm bảo tầm bao quát thiết bị và nhìn rõ xích neo đi qua đĩa xích.
2.3.3. Sự bố trí tương hỗ lỗ thả neo, neo, xích, thùng chứa xích cần phải đảm bảo rải được toàn bộ chiều dài xích neo không cần đến lao động bằng tay.
2.3.4. Bộ phận hãm, giữ neo, xích neo phải được đặt sao cho việc giải phóng và hãm xích neo được thực hiện dễ dàng và an toàn.
2.3.5. Thiết bị giải phóng xích neo khỏi bị gắn chặt với thân tàu cần phải đảm bảo việc thả xích an toàn bất cứ lúc nào.
2.4. Thiết bị cập tàu
2.4.1. Nguyên tắc chung
2.4.1.1. Mỗi tàu cần phải có thiết bị cập tàu, bảo đảm việc thực hiện thao tác cập bến an toàn hiệu quả.
2.4.1.2. Việc thiết kế thiết bị cập tàu phải được thiết kế đồng bộ với thiết bị neo và thiết bị lai dắt, đồng thời với thiết kế các thiết bị trên boong khác.
2.4.1.3. Việc lựa chọn danh mục các vật dụng và cơ cấu của thiết bị cập tàu, cũng như việc bố trí nó trên tàu phải do người thiết kế tiến hành phù hợp với các đặc điểm và chức năng của tàu.
2.4.1.4. Thiết bị cập tàu nói chung phải có các vật dụng và thiết bị chính thức sau:
a) Các thiết bị đảm bảo việc cập bến.
b) Các dây cáp buộc tàu và các vật dụng để cố định, dẫn cáp (cọc bích, sừng trâu, mỏ vịt,lỗ luồn cáp).
c) Các vật dụng và thiết bị hỗ trợ (bộ phận hãm cáp buộc tàu, ống chứa chỉ cáp, đệm chống va, vỏ bánh xe cao su, đệm bện bằng dây ni lông...).
2.4.2. Sự lựa chọn thiết bị
2.4.2.1. Trong các loại thiết bị cập tàu nên dùng tời tàu kiểu đứng với cơ cấu dẫn động bằng tay, đồng thời tời tàu với cơ cấu dẫn động bằng tay. Ngoài ra có thể sử dụng cơ cấu của các thiết bị khác có tang trống kép.
2.4.2.2. Trong các loại dây buộc tàu nên sử dụng dây có sợi kim loại, sợi thực vật hoặc sợi tổng hợp.
2.4.2.3. Cáp cập tàu phải được chọn theo số đặc trưng Nc nêu trên.
2.4.2.4. Lực kéo đứt Fz của cáp cập tàu phải không nhỏ hơn:
Fz = 147Nc + 24500 N
2.4.2.5. Số lượng và chiều dài của cáp cập tàu cần phải được chọn theo Bảng 5/8 phù hợp với số đặc trưng Nc.
Bảng 5/8. Số lượng và chiều dài cáp
|
Đặc trưng cung ứng Nc |
Cáp cập tàu |
|||
|
thép |
Phi kim loại |
|||
|
Số lượng |
Chiều dài cáp, m |
Số lượng |
Chiều dài cáp, m |
|
|
15 |
- |
- |
1 |
25 |
|
30 |
- |
- |
1 |
30 |
|
40 |
- |
- |
1 |
35 |
|
50 |
- |
- |
1 |
40 |
|
75 |
- |
- |
1 |
50 |
|
100 |
1 |
50 |
1 |
50 |
2.4.2.6. Các cọc bích buộc tàu phải làm bằng thép hoặc bằng gang. Đối với các tàu vỏ gỗ, cọc bích buộc tàu có thể chế tạo bằng gỗ đóng tàu. Trên các tàu chỉ có dây cáp thực vật và Kapron, có thể sử dụng cọc bích làm bằng các hợp kim nhẹ.
2.4.2.7. Đường kính ngoài của cọc bích phải không nhỏ hơn 10 lần đường kính của cáp thép hoặc bằng chu vi cáp thực vật.
2.4.2.8. Cọc bích cần phải đặt trên bệ hoặc có tấm đế.
2.4.2.9. Cọc bích, tấm sừng trâu, và các chi tiết khác, đồng thời các bệ của chúng cần phải được lựa chọn sao cho khi chịu lực tác dụng của ứng lực bằng ứng lực đứt đoạn của cáp mà đối với nó chúng đã được dự tính, ứng lực trong các chi tiết không vượt quá 0,95 giới hạn chảy của vật liệu chế tạo chúng.
2.4.3. Các yêu cầu về bố trí trên tàu
2.4.3.1. Việc bố trí các cơ cấu và chi tiết của thiết bị cập tàu cần phải được xác định bởi kích thước và chức năng của tàu.
2.4.3.2. Các vị trí tương hỗ của các chi tiết và thiết bị cần phải bảo đảm các điều kiện an toàn khi làm việc với cáp cập tàu và không làm trở ngại cho việc thực hiện các thao tác cơ bản.
2.4.3.3. Để đảm bảo cho việc cập tàu vào các thiết bị ở bến được hữu hiệu các vật dụng và thiết bị phải được bố trí ở mũi và đuôi tàu.
2.4.3.4. Việc bố trí các thiết bị cần phải đảm bảo khả năng ném dây (thu dây) cáp cập tàu bằng một thiết bị đến mạn bất kỳ nào.
2.4.3.5. Việc bố trí các thiết bị và vật dụng cần phải đảm bảo ngăn chặn sự mòn nhanh hoặc hư hỏng cáp cập tàu, đồng thời sự ma sát của chúng với trống quấn cáp của tời hoặc ma sát khi buộc vào cọc bích.
2.4.3.6. Cọc bích cần được đặt gần với đường định hướng của cáp đi đến trống quấn cáp của tời kéo càng tốt.
2.4.3.7. Để đảm bảo việc rải đều cáp theo toàn bộ chiều dài tang trống quấn cáp, khoảng cách từ trục tang trống tời của thiết bị cập tàu đến thiết bị đổi hướng của cáp cần phải không nhỏ hơn 6 lần chiều dài trống quấn cáp.
2.4.3.8. Khoảng cách từ trục của con lăn định hướng đến trục kéo cáp của tời kéo phải không nhỏ hơn 50 lần đường kính của cáp thép hoặc 15 lần chu vi cáp thực vật hoặc cáp sợi tổng hợp.
2.4.3.9. Góc nghiêng của cáp đi từ tấm sừng trâu đến cọc bích trong mặt phẳng đứng cần phải không lớn hơn 200.
2.4.3.10. Tấm sừng trâu phải được đặt sao cho góc nghiêng của cáp cập tàu đi đến cọc bích là nhỏ nhất.
2.4.3.11. Ở phần giữa tàu, khi đặt cọc bích dọc theo các mạn, lỗ cập tàu cần phải không đối diện với cọc bích.
2.4.3.12. Khi bố trí cọc bích ở mũi kể từ mặt cắt ngang giữa lỗ luồn dây cáp phải được đặt ở phía mũi của cọc bích. Khi bố trí cọc bích ở đuôi kể từ mặt cắt ngang giữa lỗ luồn dây cáp phải đặt ở phía đuôi cọc bích.
2.5. Thiết bị lai dắt
2.5.1. Các nguyên tắc chung
2.5.1.1. Mỗi tàu cỡ nhỏ tự hành và không tự hành cần phải có thiết bị để lai dắt nó an toàn bằng tàu khác.
2.5.1.2. Thiết bị lai dắt của tàu tự hành, được quy định sử dụng vào việc lai dắt, ngoài cái đó cần phải đảm bảo lai dắt an toàn tàu khác bằng phương tiện trong trang bị của mình.
2.5.2. Sự lựa chọn thiết bị
2.5.2.1. Việc lựa chọn số lượng và danh mục các thiết bị và vật dụng của thiết bị lai dắt, đồng thời bố trí chúng trên tàu cần phải được thiết kế tiến hành phù hợp với số đặc trưng Nc, chức năng và loại tàu, đồng thời với đặc điểm sử dụng nó.
2.5.2.2. Thiết bị lai dắt của tàu tự hành gồm:
a) Cáp lai dắt
b) Các vật dụng để cố định và định hướng cáp lai dắt.
2.5.2.3. Việc thiết kế thiết bị lai dắt cần phải tiến hành đồng bộ với việc thiết kế các thiết bị neo, cập tàu và các trang bị mặt boong khác.
2.5.2.4. Cáp lai dắt cần phải được lựa chọn phụ thuộc vào giá trị tính toán sức kéo trên móc kéo. Lực kéo đứt: Fo=K.F
Trong đó:
- F - sức kéo tính trên móc kéo, kN
- K - Hệ số dự trữ độ bền, bằng:
5 - đối với cáp thép
6 - đối với cáp thực vật hoặc tổng hợp.
- Có thể lấy F=0,163Ne (kN). Trong đó Ne - công suất của động cơ chính, kW.
2.5.2.5. Chiều dài của cáp lai dắt được chọn phụ thuộc vào vùng hoạt động, nhưng không được nhỏ hơn 100m.
2.5.2.6. Cáp lai dắt phải có vòng nút ở 1 đầu, còn đầu kia của cáp có dấu hiệu tương ứng.
2.5.2.7. Việc bảo quản cáp cần phải được thực hiện trên trống chứa cáp.
2.5.2.8. Việc gắn chặt móc kéo tàu vào các kết cấu tàu cần phải sao cho để với bất kỳ góc lai dắt thực tế nào móc cũng không chịu lực uốn trong mặt phẳng nằm ngang và không đụng chạm trực tiếp đến kết cấu bất kỳ nào của thân tàu.
2.5.2.9. Đường kính của ống cọc bích lai dắt cần phải không nhỏ hơn 10 lần đường kính của cáp lai dắt bằng thép hoặc chu vi của cáp sợi thực vật hay sợi tổng hợp.
2.5.2.10. Ở phần đuôi tàu, nơi quy định cho việc lai dắt, ở khu vực có thể di chuyển cáp lai dắt cần phải đặt các cung hướng cáp để cáp có thể dịch chuyển sang ngang từ mạn này sang mạn kia, hoặc các thiết bị khác định hướng cáp và ngăn ngừa sự đụng chạm của cáp lai dắt vào các kết cấu của tàu. Số cung hướng cáp được xác định phụ thuộc vào chiều dài phần đuôi tàu, trên các tàu cỡ nhỏ, khi không có khả năng đụng chạm giữa cáp lai dắt và các cấu trúc của tàu, có thể không đặt các cung hướng cáp.
2.5.2.11. Các cung hướng cáp, các cọc đứng gia cố chúng, các vật dụng khác của thiết bị lai dắt, những thứ mà cáp lai dắt có tiếp xúc phải được làm bằng ống hoặc có dạng Profin và có bán kính lượn tròn không nhỏ hơn đường kính của cáp lai dắt.
2.5.3. Các yêu cầu về bố trí trên tàu
2.5.3.1. Việc bố trí các vật dụng của thiết bị lai dắt cần được xác định bởi kích thước và chức năng của tàu.
2.5.3.2. Cọc bích lai dắt và lỗ thả cáp lai dắt cần phải được bố trí ở các đầu mút của tàu.
Chương 3. TRANG BỊ CHỐNG THỦNG, CHỐNG CHÌM, THIẾT BỊ VỆ SINH, AN TOÀN LAO ĐỘNG
3.1. Yêu cầu chung
Mọi tàu cần phải trang bị các dụng cụ chống thủng, chống chìm, thiết bị vệ sinh, an toàn lao động để phòng nạn khi hoạt động và lao động, sản xuất trên biển.
3.2. Trang bị chống thủng, chống chìm
3.2.1. Yêu cầu trang bị
Các tàu phải có trang bị chống thủng, chống chìm theo Bảng 6/8 sau đây:
Bảng 6/8. Số lượng trang bị chống thủng, chống chìm
|
TT |
Tên gọi |
ĐVT |
Chiều dài tàu (m) |
|
|
12 ≤ Lmax < 15 |
15 ≤ Lmax < 24 |
|||
|
1 |
Tấm đệm xơ (0,4 x 0,6) m |
Tấm |
1 |
2 |
|
2 |
Gỗ thông (0,08 x 0,08 x 2,0) m |
thanh |
2 |
4 |
|
3 |
Nút gỗ thông (0,06 x 0,2 x 0,1) m |
chiếc |
8 |
10 |
|
4 |
Xơ đay tẩm nhựa đường |
kg |
10 |
20 |
|
5 |
Chăn sợi (1,5 x 2) m |
Chiếc |
1 |
2 |
|
6 |
Giẻ vụn hoặc phoi tre, sơ dừa |
kg |
1 |
2 |
|
7 |
Cưa gỗ (l = 600 mm) |
chiếc |
1 |
1 |
|
8 |
Đinh 70 mm |
kg |
1 |
2 |
|
9 |
Búa 0,5 kg |
chiếc |
1 |
1 |
|
10 |
Dây thép (Ø3 mm) |
m |
20 |
50 |
|
11 |
Rìu chặt cáp |
chiếc |
1 |
1 |
|
12 |
Tấm gỗ thông (30 x 200 x 2000) mm |
Tấm |
1 |
2 |
|
13 |
Xô múc nước |
cái |
1 |
2 |
|
14 |
Dao |
cái |
1 |
1 |
|
15 |
Xẻng |
cái |
1 |
1 |
|
16 |
Xi măng đông cứng nhanh |
kg |
20 |
50 |
|
17 |
Cát thiên nhiên |
kg |
20 |
50 |
3.2.1. Yêu cầu kỹ thuật
3.2.1.1. Các trang thiết bị chống thủng, chống chìm phải đảm bảo chất lượng, đủ điều kiện để sử dụng, không ẩm mốc, mọt rỉ, hư hỏng.
3.2.1.1. Các trang thiết bị chống thủng, chống chìm phải được để trong cabin hoặc nơi thuận tiện trên tàu.
3.3. Thiết bị vệ sinh, an toàn lao động
3.3.1. Đối với tàu có chiều dài lớn nhất từ 15 mét trở lên phải bố trí nhà vệ sinh tại khu vực cabin boong chính sau lái có diện tích tối thiểu (600 x 800)mm. Nhà vệ sinh phải bố trí đủ ánh sáng, đảm bảo kín nước, an toàn cho người sử dụng.
3.3.2. Tất cả các tàu phải trang bị trang thiết bị bảo hộ lao động (mũ bảo hộ, giày chống trượt, găng tay, quần áo bảo hộ) cho thuyền viên và người làm việc trên tàu tối thiểu mỗi người 01 bộ. Các thiết bị bảo hộ lao động phải đảm bảo tiêu chuẩn, chất lượng, phù hợp với điều kiện lao động, sản xuất trên biển.
Phần 9. TRANG THIẾT BỊ NGHỀ CÁ
Fishing gears and equipments
Chương 1. QUY ĐỊNH CHUNG
1.1. Phạm vi áp dụng
1.1.1. Những yêu cầu của phần này áp dụng cho việc kiểm tra và chế tạo các trang thiết bị nghề cá lắp đặt trên tàu cá Việt Nam.
1.1.2. Tất cả các trang thiết bị nghề cá lắp đặt, trang bị trên tàu cá đều chịu sự kiểm tra giám sát kỹ thuật của Đăng kiểm.
1.2. Thay thế tương đương
1.2.1. Các trang thiết bị nghề cá không tuân theo các yêu cầu của phần này có thể được Đăng kiểm chấp nhận với điều kiện chứng minh được rằng chúng tương đương với những yêu cầu ở phần này.
1.2.2. Các trang thiết bị nghề cá hiện có được thiết kế và chế tạo không tuân theo các yêu cầu của phần này có thể được Đăng kiểm chấp nhận phù hợp các yêu cầu của phần này, với điều kiện chúng thỏa mãn các quy chuẩn hoặc tiêu chuẩn được Đăng kiểm công nhận và thỏa mãn kết quả thử và kiểm tra do Đăng kiểm yêu cầu.
1.3. Giải thích từ ngữ
1.3.1. Trang thiết bị nghề cá bao gồm: Máy khai thác, động lực dẫn động cho máy khai thác, thiết bị truyền động cho máy khai thác, hệ thống thiết bị nâng, hệ thống thiết bị phụ, hệ thống ánh sáng phục vụ đánh bắt hải sản.
1.3.2. Máy khai thác (tời thu, thả lưới, câu) là thiết bị biến chuyển động quay thành chuyển động tịnh tiến của ngư cụ đánh bắt, gồm: Tang ma sát, tang thành cao, máy rũ cá, ...;
1.3.3. Động lực, dẫn động cho máy khai thác là nguồn cung cấp năng lượng cho máy khai thác với các giá trị công suất, vận tốc ổn định, gồm: Động cơ đi-e-den, động cơ điện, động cơ thủy lực.
1.3.4. Thiết bị truyền động cho máy khai thác là cơ cấu truyền chuyển động từ động cơ dẫn động đến cơ cấu chấp hành, như: Hộp số bánh vít - trục vít, hộp số bánh răng trụ, hộp số bánh răng côn, bộ truyền động xích, bộ truyền động các - đăng, ...
1.3.5. Hệ thống thiết bị nâng là các thiết bị dùng để dịch chuyển sản phẩm thủy sản, lương thực, thực phẩm và các loại vật tư khác từ tàu này sang tàu kia, đưa ngư cụ và sản phẩm thủy sản đánh bắt được từ ngoài tàu lên boong, từ boong xuống hầm bảo quản, nâng hạ ngư cụ khai thác (càng, cần đánh cá, tôm, mực); gồm: Cột cẩu, cần cẩu, dây giằng, các chi tiết cố định (giá đỡ chân cần, tai lắp trên đầu cần, v.v... ), các chi tiết tháo được (puli, dây cáp, khuyên treo, móc treo, tăng đơ, ma ní, mắt xoay, kẹp cáp).
1.3.6. Hệ thống thiết bị phụ là các thiết bị được kết cấu để đảm bảo sự làm việc của toàn bộ thiết bị, gồm: các giá máy, gối đỡ, tay đóng phanh, tay gạt ly hợp,.
1.3.7. Hệ thống ánh sáng phục vụ đánh bắt hải sản là hệ thống biến đổi năng lượng điện thành cường độ ánh sáng để dẫn dụ cá, mực trong quá trình khai thác, gồm: Máy phát điện, dàn đèn, bè đèn,...
1.3.8. Hệ thống điều khiển, bảo vệ: Là thiết bị đảm bảo sự làm việc bình thường, ổn định của máy móc ở các chế độ tải trọng và vận tốc cần thiết (có thể được bố trí trực tiếp trên máy hoặc điều khiển từ xa), gồm: Các cơ cấu điều khiển dẫn động, các thiết bị kiểm tra, tín hiệu, các thiết bị bảo vệ và khớp nối liên kết, các thiết bị hãm hoặc thiết bị đo....
1.4. Vật liệu
Vật liệu chế tạo các chi tiết cấu thành sản phẩm thiết bị nghề cá phải thỏa mãn các quy định của Phần7A - QCVN21:2015/BGTVT.
1.5. Quy trình chế tạo
1.5.1. Đối với các trang thiết bị nghề cá chế tạo trong nước yêu cầu phải có thiết kế và thuyết minh tính toán về vật liệu, cấu tạo và sử dụng.
1.5.2. Đối với các trang thiết bị nghề cá nhập khẩu, yêu cầu phải có thuyết minh hướng dẫn sử dụng bằng tiếng Việt và chúng phải được cơ quan kiểm tra kỹ thuật của nước sản xuất công nhận và cấp chứng chỉ.
1.6. Thử và kiểm tra
1.6.1. Tất cả các trang thiết bị nghề cá được lắp đặt trên tàu cá đều phải được Đăng kiểm kiểm tra việc bố trí lắp đặt và thử hoạt động lần đầu và kiểm tra hàng năm.
1.6.2. Chủ tàu phải tạo mọi điều kiện cho kiểm tra và chấp hành nghiêm chỉnh các quy định của Đăng kiểm.
1.7. Đóng dấu xác nhận sản phẩm
1.7.1. Đối với sản phẩm được chế tạo trong nước: Các chi tiết quan trọng của thiết bị và các trang bị nghề cá sau khi được Đăng kiểm kiểm tra giám sát đạt yêu cầu. đều phải được đóng dấu chất lượng và cấp chứng chỉ xác nhận.
1.7.2. Đối với sản phẩm được nhập khẩu: Sau khi được thử hoạt động nếu xét thấy đảm bảo yêu cầu hoạt động thì Đăng kiểm cấp chứng chỉ công nhận cho phép hoạt động.
1.8. Yêu cầu về vệ sinh công trường
1.8.1. Tất cả các trang thiết bị nghề cá trong quá trình hoạt động không được xả thải các chất độc hại gây ô nhiễm môi trường và phải tuân thủ các quy định của Quy chuẩn kỹ thuật quốc gia QCVN02:13:2009/BNNPTNT.
1.8.2. Các chất xả thải độc hại phải có dụng cụ chứa và chỉ được xả thải ở những nơi được quy định.
Chương 2. MÁY KHAI THÁC
2.1. Yêu cầu chung
2.1.1. Bố trí lắp đặt các máy khai thác trên tàu cá
2.1.1.1. Phải phù hợp với thiết kế và yêu cầu sử dụng.
2.1.1.2. Không làm ảnh hưởng đến tính năng của tàu và tính an toàn của tàu trong quá trình khai thác.
2.1.2. Sử dụng và thao tác
2.1.2.1. Việc sử dụng và thao tác các máy khai thác lắp đặt trên tàu cá phải thuận lợi dễ dàng và không làm cản trở đến sự hoạt động của các trang thiết bị khác.
2.1.2.2. Phải có không gian đủ rộng và không bị che khuất tầm nhìn cho người thao tác với các máy khai thác, các thiết bị an toàn phải đảm bảo ngừng máy khẩn cấp khi có trường hợp tai nạn xảy ra.
2.1.2.3. Các máy khai thác cần có phương tiện ngăn ngừa quá tải và ngăn trường hợp sự cố xảy ra đối với nguồn động lực cung cấp cho máy.
2.1.2.4. Máy khai thác phải trang bị phanh đủ khả năng dừng và giữ chế độ làm việc an toàn. Phanh phải có bộ phận điều chỉnh và thử tải tĩnh thích hợp cho điều kiện làm việc an toàn tối đa trước khi lắp xuống tầu. Mỗi trống tang cần có phanh riêng.
2.1.2.5. Khi sử dụng máy khai thác quay tay phải có giải pháp tránh gây tai nạn cho người điều khiển.
2.1.2.6. Máy khai thác có điều khiển tại chỗ và từ xa phải có giải pháp chống hoạt động chồng lấn gây nguy hiểm người thao tác, người điều khiển cần có tầm quan sát rõ máy và vùng lân cận. Công tắc điều khiển ngoài tại vị trí điều khiển từ xa nhất thiết phải có dự phòng được bố trí tại nơi đặt máy.
2.1.3. Sức kéo, an toàn kỹ thuật.
2.1.3.1. Sức kéo của các máy khai thác trang bị cho tàu cá phải được tính toán phù hợp với yêu cầu thiết kế và sử dụng.
2.1.3.2. Các máy này phải bảo đảm an toàn kỹ thuật trong mọi quá trình hoạt động khai thác.
2.2. Quy định về vật liệu, chế tạo và kiểm tra
2.2.1. Vật liệu chế tạo các máy khai thác phải tuân thủ quy định tại 1.4, Chương 1 phần này.
2.2.2. Việc chế tạo các máy khai thác trang bị cho nghề cá của các cơ sở chế tạo trong nước phải được Đăng kiểm tàu cá kiểm tra giám sát về quy trình sản xuất và vật liệu chế tạo nên chúng.
2.3. Thử nghiệm
2.3.1. Đối với các máy móc khai thác trang bị cho nghề cá chế tạo trong nước, Đăng kiểm tàu cá chỉ kiểm tra chọn lọc các chi tiết quan trọng ảnh hưởng trực tiếp đến tính an toàn kỹ thuật của máy móc trang bị khai thác nghề cá.
2.3.2. Việc kiểm tra thử nghiệm vật liệu dùng để chế tạo các chi tiết quan trọng nói trên chỉ tiến hành khi xét thấy cần thiết.
2.3.3. Máy khai thác nhập khẩu lắp đặt cho tàu cá, Đăng kiểm thực hiện kiểm tra sự phù hợp với thiết kế, yêu cầu sử dụng, lắp đặt và thử hoạt động.
Chương 3. ĐỘNG LỰC CHO MÁY KHAI THÁC
3.1. Yêu cầu chung về động lực cho máy khai thác
3.1.1. Động lực cho máy khai thác phải đảm bảo đủ sức kéo của các máy khai thác theo thiết kế hoặc theo yêu cầu sử dụng đồng thời bảo đảm an toàn kỹ thuật trong quá trình hoạt động.
3.1.2. Sẵn sàng cho máy khai thác hoạt động trong bất kỳ tình huống nào khi cần thiết và đáp ứng mọi chế độ hoạt động theo thiết kế hoặc yêu cầu sử dụng an toàn.
3.2. Yêu cầu kỹ thuật đối với động lực cho máy khai thác.
3.2.1. Đối với động lực là tổ hợp động cơ nổ hoặc động cơ điện
3.2.1.1. Công suất của động cơ phải đúng với thiết kế đã tính toán hoặc với yêu cầu sử dụng; truyền dẫn lực đến máy khai thác an toàn, đúng yêu cầu kỹ thuật.
3.2.1.2. Chúng phải được chế tạo, lắp đặt đúng yêu cầu kỹ thuật, vững chắc, thuận tiện thao tác, vận hành, bảo dưỡng, sửa chữa đồng thời đảm bảo các yêu cầu tại
3.1. Chương này.
3.2.1.3. Động cơ đi-ê-den thỏa mãn các yêu cầu theo quy định tại Chương 2, Phần 4, Quy chuẩn này.
3.2.1.4. Động cơ điện thỏa mãn các yêu cầu theo quy định tại Phần 5, Quy chuẩn này.
3.2.1.5. Chúng phải được Đăng kiểm kiểm tra và thử hoạt động theo quy định.
3.2.2. Đối với động lực cho máy khai thác là tổ hợp động cơ bơm thủy lực
3.2.2.1. Công suất của bơm thủy lực phải bảo đảm đúng yêu cầu thiết kế đã tính toán;
3.2.2.2. Bơm thủy lực, các van tiết lưu, các ống dẫn dầu... phải được chế tạo, lắp đặt đúng yêu cầu kỹ thuật đồng thời đảm bảo các yêu cầu nói tại mục 3.1 của chương này và được Đăng kiểm kiểm tra, thử hoạt động theo quy định.
Chương 4. THIẾT BỊ TRUYỀN ĐỘNG CHO MÁY KHAI THÁC
4.1. Yêu cầu chung về thiết bị truyền động cho máy khai thác
4.1.1. Thiết bị truyền động cho máy khai thác phải thỏa mãn các yêu cầu quy định tại Chương 3, Phần 4, Quy chuẩn này.
4.1.2. Sẵn sàng cho máy khai thác hoạt động trong mọi tình huống thời tiết sóng gió khi tàu hoạt động khai thác mà không làm cản trở đến các hoạt động khác.
4.1.3. Trích lực cho máy khai thác phải phù hợp với yêu cầu thiết kế về sức kéo và khả năng trích lực của động cơ chính trên tàu.
4.2. Quy định về vật liệu, chế tạo và kiểm tra
4.2.1. Vật liệu dùng để chế tạo các chi tiết, cụm chi tiết quan trọng phải thỏa mãn quy định tại 1.4 Chương 1 Phần này.
4.2.2. Thiết bị truyền động cho máy khai thác chế tạo trong nước lắp đặt trên tàu cá phải có thiết kế được thẩm định. Nếu chúng được mua từ các cơ sở chế tạo sẵn trong nước hoặc nhập khẩu của nước ngoài chưa được Đăng kiểm giám sát và cấp chứng chỉ thì phải có thuyết minh tính toán kết cấu và hướng dẫn sử dụng.
4.3. Thử nghiệm
4.3.1. Đối với thiết bị truyền động cho máy khai thác chế tạo trong nước, Đăng kiểm chỉ kiểm tra chọn lọc các chi tiết quan trọng ảnh hưởng trực tiếp đến tính an toàn kỹ thuật của chúng.
4.3.2. Việc kiểm tra thử nghiệm vật liệu dùng để chế tạo các chi tiết quan trọng nói trên chỉ tiến hành khi xét thấy cần thiết.
Chương 5. HỆ THỐNG THIẾT BỊ NÂNG
5.1. Quy định chung
5.1.1. Phạm vi áp dụng
5.1.1.1. Nếu không có quy định nào khác trong Quy chuẩn này, các yêu cầu có liên quan của QCVN 21:2015/BGTVT sẽ được áp dụng cho vật liệu, trang thiết bị, việc lắp đặt và chất lượng chế tạo hệ thống thiết bị nâng tàu cá.
5.1.1.2. Nếu không có chỉ dẫn nào khác trong Quy chuẩn này thì các thiết bị nâng được chế tạo hoặc lắp đặt trên tàu cá trước khi Quy chuẩn này có hiệu lực vẫn được phép áp dụng các tiêu chuẩn trước đây để chế tạo và lắp đặt chúng.
5.2. Thay thế tương đương
5.2.1.1. Các thiết bị nâng của tàu cá không tuân theo các yêu cầu của Quy chuẩn này có thể được chấp nhận, với điều kiện Đăng kiểm thấy rằng chúng có khả năng tương đương với các thiết bị nâng của tàu cá tuân theo các yêu cầu của Quy chuẩn này.
5.2.1.2. Mọi thiết bị nâng của tàu cá hiện có được thiết kế và chế tạo không tuân theo các yêu cầu của Quy chuẩn này, đều có thể được Đăng kiểm công nhận, với điều kiện chúng phải tuân theo các Quy chuẩn hoặc Tiêu chuẩn được Đăng kiểm công nhận và phải thỏa mãn kết quả thử và kiểm tra do Đăng kiểm yêu cầu.
5.3. Bố trí chung, kết cấu, vật liệu và hàn
5.3.1 Bố trí chung
5.3.1.1. Việc bố trí và kích thước các cơ cấu của thiết bị nâng (viết tắt là cơ cấu) không được ảnh hưởng đến đèn tín hiệu, đèn hành trình và các chức năng khác của tàu.
5.3.1.2. Nếu một số bộ phận của cơ cấu được sử dụng vào mục đích khác, chẳng hạn như thông gió hoặc các hệ thống hay thiết bị quan trọng được thiết kế cho mục đích khác, kể cả thiết bị khác công dụng lắp trên chúng, thì phải chú ý tránh không cho chúng có ảnh hưởng xấu đến nhau về chức năng cũng như độ bền.
5.3.1.3. Mọi thiết bị của cơ cấu khi làm việc nhô ra khỏi mạn tàu nên có khả năng co vào, gấp lại hoặc tháo rời được để xếp gọn vào trong mạn tàu khi không sử dụng.
5.3.1.4. Phải có thiết bị để cố định các chi tiết chuyển động khi không sử dụng.
5.3.2 Kết cấu chung
5.3.2.1. Ngoài những quy định của Quy chuẩn này, các cơ cấu làm việc trong điều kiện nghiêng chúi khác thường khi thời tiết và điều kiện biển khắc nghiệt, phải tuân theo các yêu cầu bổ sung cho từng điều kiện làm việc theo yêu cầu của Đăng kiểm
5.3.2.2. Hệ thống thiết bị nâng lắp đặt trên tàu cá phải phù hợp với yêu cầu của nghề khai thác và mục đích sử dụng.
5.3.2.3. Thép cán chế tạo thân tàu quy định ở 3.1 Phần 7A của QCVN 21:2015/BGTVT sẽ được dùng cho các thành phần kết cấu theo yêu cầu của các Chương 3, Phần II, QCVN 23:2016/BGTVT. Các loại thép có độ bền cao nếu được sử dụng trong các thành phần kết cấu thì phải tuân theo các yêu cầu đặc biệt do Đăng kiểm quy định. Kết cấu và kích thước của các thành phần kết cấu có chứa hoặc làm bằng các vật liệu không phải là những loại thép nêu trên thì phải được Đăng kiểm xem xét riêng.
5.3.2.4. Các thành phần kết cấu phải được thiết kế sao cho chúng không bị gián đoạn và thay đổi đột ngột đến mức có thể. Các mối liên kết hàn không được bố trí ở những nơi có khả năng tập trung ứng suất.
5.3.2.5. Góc của các lỗ khoét trên thành phần kết cấu phải lượn tròn.
5.3.2.6. Các lỗ khoét làm mất tính đẳng hướng về kích thước của các thành phần kết cấu phải được bố trí sao cho các cạnh dài hoặc trục dài của nó có thể coi là song song với hướng của ứng suất chính.
5.3.2.7. Khi liên kết hai kết cấu có độ cứng khác nhau đáng kể thì phải có biện pháp gia cường thích hợp bằng các mã để đảm bảo tính liên tục về độ cứng của kết cấu. Phải đặc biệt chú ý đến liên kết với kết cấu thân tàu.
5.3.2.8. Puli làm hàng của các thành phần kết cấu phải phù hợp với các yêu cầu quy định tại mục 6.2, Chương 6, Phần II, QCVN 23:20i6/BGTVT.
5.3.3. Tính toán trực tiếp độ bền
Kích thước của các thành phần kết cấu phải được xác định bằng phương pháp tính toán trực tiếp độ bền được Đăng kiểm chấp nhận, sử dụng tải trọng tính toán và ứng suất cho phép nêu ở các chương liên quan, trừ những kết cấu được tính toán bằng công thức nêu ở Chương 3, Phần II, QCVN 23:2016/BGTVT.
5.3.4. Vật liệu
Áp dụng theo quy định tại 1.3.4, Chương 1, Phần II, QCVN 23:2016/BGTVT.
5.3.5. Hàn
Việc hàn các thành phần kết cấu phải phù hợp với các yêu cầu trong Phần 6 của QCVN 21:2015/BGTVT và các yêu cầu bổ sung do Đăng kiểm quy định khi cần thiết, tùy theo dạng kết cấu.
5.3.6. Chống ăn mòn
5.3.6.1. Các thành phần kết cấu phải được chống ăn mòn bằng sơn có chất lượng tốt hoặc bằng các biện pháp thích hợp khác
5.3.6.2. Các thành phần kết cấu có khả năng đọng nước mưa hoặc sương phải có biện pháp tiêu nước thỏa đáng.
5.4. Kiểm tra thiết bị nâng
Áp dụng theo quy định tại Chương 2, Phần II, QCVN 23:2016/BGTVT.
5.5. Các yêu cầu về hệ cần cẩu dây giằng, các chi tiết cố định, các chi tiết tháo được, hệ thống điều khiển, bảo vệ
Áp dụng theo quy định tại Chương 3, Chương 5, Chương 6 và Chương 7, Phần II, QCVN 23:2016/BGTVT.
Phần 10. HỆ THỐNG NGĂN NGỪA Ô NHIỄM BIỀN
Marine pollution prevention systems
Chương 1. QUY ĐỊNH CHUNG
1.1. Phạm vi áp dụng
Các yêu cầu trong Chương này áp dụng cho trang thiết bị ngăn ngừa ô nhiễm do dầu hoặc hỗn hợp dầu từ buồng máy, chất thải rắn sinh hoạt của các tàu cá chạy biển và các điều kiện liên quan đến an toàn vệ sinh thực phẩm, bảo vệ môi trường đối với thuyền viên và phương tiện chế biến và bảo quản hải sản khai thác được trên tàu cá.
1.2. Yêu cầu về kiểm tra
Trang thiết bị ngăn ngừa ô nhiễm được kiểm tra đồng thời với việc kiểm tra tàu quy định tại 1.1 Chương 1, phần I của Quy chuẩn này.
Chương 2. QUY ĐỊNH VỀ TRANG BỊ
2.1. Két dầu bẩn
2.1.1. Yêu cầu chung
2.1.1.1. Tất cả các tàu lắp máy phải trang bị két chứa chất cặn bẩn do làm sạch nhiên liệu, dầu bôi trơn và dầu bị rò trong buồng máy có thể tích thích hợp được lấy theo Bảng 1/10 dưới đây.
2.1.1.2. Các tàu không lắp máy, không yêu cầu trang bị dụng cụ chứa dầu bẩn.
Bảng 1/10. Thể tích két chứa dầu bẩn
|
Công suất máy chính Ne (KW) |
Thể tích dụng cụ chứa (lít) |
|
Ne < 37 |
20 |
|
37 ≤ Ne < 75 |
30 |
|
75 ≤ Ne < 100 |
35 |
|
Ne≥ 100 |
50 |
2.2.2. Vật liệu và kết cấu két chứa dầu bẩn
2.2.2.1. Két chứa dầu bẩn phải được chế tạo bằng thép hoặc các vật liệu tương đương khác. Có thể dùng một hay nhiều két phù hợp để chứa dầu bẩn, các két chứa dầu bẩn phải được cố định chắc chắn.
2.2.2.2. Két chứa phải có nắp đậy kín chắc chắn nhưng phải đóng mở dễ dàng để kiểm tra và vệ sinh.
2.1.3. Phương tiện hút và xả dầu bẩn
2.1.3.1. Phải trang bị các phương tiện thích hợp để hút và xả hỗn hợp dầu bẩn.
2.1.3.2. Tàu có chiều dài lớn nhất dưới 15 mét có thể dùng hệ thống vận chuyển hỗn hợp dầu nước hoặc dùng xô và các biện pháp phù hợp để vận chuyển hỗn hợp dầu bẩn đến trạm tiếp nhận.
2.1.3.3. Tàu có chiều dài lớn nhất từ 15 mét trở lên phải trang bị 01 bơm vận chuyển hỗn hợp dầu nước truyền động bằng cơ giới hoặc bơm tay. Lưu lượng của bơm phải không dưới 0,5 m3/h.
2.1.3.4. Không được xả trực tiếp hỗn hợp dầu bẩn ra mạn tàu.
2.1.4. Bích nối tiêu chuẩn
Phải trang bị cho tất cả các tàu, trên boong chính, bích nối tiêu chuẩn như Hình 19 để xả lên thiết bị tiếp nhận trên bờ các loại cặn dầu và nước đáy tàu nhiễm dầu trong buồng máy.

Hình 19. Bích nối tiêu chuẩn
2.2. Két giữ nước đáy tàu
2.2.1. Yêu cầu chung
2.2.1.1. Tất cả các tàu phải trang bị két giữ nước đáy tàu (két thu hồi hỗn hợp dầu nước) để thu gom nước lẫn dầu được tạo ra trong la canh buồng máy.
2.2.1.2. Két giữ nước đáy tàu phải được trang bị phương tiện có khả năng đo được mực nước bẩn đáy tàu trong két.
2.2.1.3. Két phải đảm bảo không bị rò nước đáy tàu ngay cả khi tàu chúi 10o và lắc 22,5o mỗi bên.
2.2.1.4. Thể tích két giữ nước đáy tàu không được nhỏ hơn các trị số sau:
a) Đối với các tàu có tổng công suất động cơ diesel lớn hơn hoặc bằng 220 kW thì thể tích két giữ nước đáy tàu lớn gấp đôi trị số tính két dầu bẩn, nhưng không nhỏ hơn 0,15 m3 (lấy trị số nào lớn hơn).
b) Đối với các tàu có tổng công suất động cơ diesel nhỏ hơn 220 kW thì thể tích két giữ nước đáy tàu được lấy theo Bảng 2/10.
Bảng 2/10. Thể tích két giữ nước đáy tàu
|
TT |
Tổng công suất máy (kW) |
Thể tích két chứa (m3) |
|
1 |
Nhỏ hơn hoặc bằng 35 |
0,01 |
|
2 |
35 đến 75 |
0,05 |
|
3 |
75 đến 135 |
0,10 |
|
4 |
135 đến 220 |
0,15 |
2.2.1.5. Các yêu cầu về kết cấu két giữ nước đáy tàu tương tự như két dầu bẩn quy định tại 2.2 của Chương này.
2.2.1.6. Việc bố trí phải sao cho có khả năng chuyển nước lẫn dầu do tạo ra trong buồng máy từ tàu vào cả két giữ nước đáy tàu và từ tàu lên phương tiện tiếp nhận, trạm tiếp nhận trên bờ. Trong trường hợp này, két phải được nối thích hợp với bích nối xả tiêu chuẩn được quy định tại 2.1.4 Chương này.
2.2.2. Hệ thống bơm chuyển hỗn hợp dầu nước
2.2.2.1. Bơm để chuyển hỗn hợp dầu nước có thể là bơm tay hoặc bơm điện.
2.2.2.2. Các đường ống xả nước sau thiết bị lọc phải được dẫn lên boong hở hoặc ra mạn ở vị trí cao hơn đường nước đầy tải.
2.2.2.3. Ở chỗ nối của đường ống với các két hoặc các khoang hàng làm két lắng phải bố trí các van hoặc cơ cấu chặn. Các đường ống phải bố trí cách đáy tàu càng xa càng tốt.
2.3. Chất thải rắn sinh hoạt
2.3.1. Chất thải rắn sinh hoạt của thuyền viên trên tàu (gồm: giấy, nhựa, kim loại, cao su, ni lông, thủy tinh và các chất vô cơ khác) phải được lưu giữ trên tàu và chuyển đến nơi quy định trên bờ sau mỗi chuyến biển.
2.3.2. Mỗi tàu phải trang bị thiết bị lưu chứa chất thải rắn (các bao bì hoặc thiết bị phù hợp), có nơi để thuận lợi, chắc chắn và phải được ghi chú cụ thể.
Phần 11. TRANG THIẾT BỊ AN TOÀN
Safety Equipments
Chương 1. QUY ĐỊNH CHUNG
1.1. Những quy định chung
1.1.1. Phạm vi áp dụng
Nếu không có Quy định nào khác, tàu cá quy định tại 1.1.1 Chương 1, phần I của Quy chuẩn này phải trang bị các trang thiết bị an toàn theo quy định tại QCVN 02- 21:2015/BNNPTNT.
III. CÁC QUY ĐỊNH VỀ QUẢN LÝ
Regulations on Management
3.1. Quản lý kỹ thuật tàu cá và trang thiết bị
3.1.1. Quy định chung
Tất cả tàu cá mang cấp của Đăng kiểm và các thiết bị lắp đặt lên tàu đều phải được kiểm tra an toàn kỹ thuật và quản lý theo các quy định tương ứng ở 3.1.2 và 3.1.3 dưới đây.
3.1.2. Quản lý kỹ thuật tàu cá
3.1.2.1. Tàu cá sẽ được ghi vào “Sổ quản lý kỹ thuật tàu cá” sau khi được Đăng kiểm kiểm tra phân cấp và trao cấp.
3.1.2.2. Sổ quản lý kỹ thuật tàu cá phải có các thông tin sau: cấp tàu, dấu hiệu bổ sung, tên tàu, chủ tàu, công dụng, số phân cấp, số đăng ký tàu cá, tổng dung tích, kích thước chính, máy chính, năm, nơi đóng, vật liệu thân tàu và các thông tin cần thiết khác như mạn khô mùa hè, số lượng và kích thước miệng khoang hàng.
3.1.2.3. Sau khi bị rút cấp, tàu sẽ bị xóa tên khỏi Sổ quản lý kỹ thuật tàu cá. Nếu được kiểm tra phân cấp lại, thì tàu sẽ lại được ghi vào Sổ quản lý kỹ thuật tàu cá.
3.1.3. Quản lý các trang thiết bị lắp đặt lên tàu
3.1.3.1. Trang thiết bị phải quản lý
Trang thiết bị lắp đặt lên tàu cá quy định ở từ a đến e dưới đây phải được ghi vào Sổ quản lý kỹ thuật tàu cá cùng với các nội dung về thông số kỹ thuật của tàu, sau khi được Đăng kiểm kiểm tra thỏa mãn các yêu cầu của Quy chuẩn này.
a) Trang thiết bị an toàn.
b) Trang thiết bị nghề cá.
c) Hệ thống lạnh, bảo quản sản phẩm.
d) Hệ thống chống hà trên tàu (đối với tàu vỏ thép).
đ) Thiết bị lái, thiết bị neo.
e) Các thiết bị khác nếu Đăng kiểm thấy cần thiết.
3.1.3.2. Quản lý trang thiết bị
a) Phải ghi vào Sổ quản lý kỹ thuật tàu cá các chi tiết về thiết bị, như: ký hiệu thiết bị, chủ tàu và tên tàu mà trên đó thiết bị được lắp đặt, loại thiết bị.
b) Mô tả chi tiết về đặc điểm và kết cấu của thiết bị.
c) Đăng kiểm phải thực hiện các sửa đổi cần thiết đối với việc mô tả trong Sổ quản lý kỹ thuật tàu cá khi có bất kỳ thay đổi nào của các hạng mục đã ghi trong Sổ.
d) Trong trường hợp có bất kỳ sự thay đổi nào của các hạng mục được ghi vào Sổ quản lý kỹ thuật tàu cá nói trên, chủ tàu phải báo cho Đăng kiểm.
3.1.4. Giấy chứng nhận an toàn kỹ thuật tàu cá
Giấy chứng nhận an toàn kỹ thuật tàu cá trong đó có nội dung về trang thiết bị là Giấy chứng nhận hợp quy cấp cho tàu.
3.2. Rút cấp và sự mất hiệu lực của giấy chứng nhận cấp tàu
3.2.1. Rút cấp
3.2.1.1. Đăng kiểm sẽ rút cấp và thông báo việc rút cấp tàu cho chủ tàu khi:
a) Chủ tàu yêu cầu.
b) Tàu và thiết bị không còn sử dụng được (tàu đã bị giải bản hoặc bị chìm..
c) Tàu hoặc thiết bị không còn phù hợp với yêu cầu của Quy chuẩn theo biên bản kiểm tra của Đăng kiểm.
d) Tàu hoặc thiết bị không được đưa vào kiểm tra theo đúng thời hạn quy định 1.1.1 phần 1 -A Quy chuẩn này.
đ) Chủ tàu không trả lệ phí kiểm tra.
3.2.1.2. Trong trường hợp d hoặc đ ở trên, Đăng kiểm sẽ thông báo đình chỉ hiệu lực của các Giấy chứng nhận hoặc treo cấp tàu.
3.2.2. Phục hồi cấp tàu
Chủ tàu có thể yêu cầu đăng ký phân cấp lại cho tàu đã bị rút cấp, theo trình tự thủ tục như phân cấp lần đầu. Cấp của tàu sẽ được Đăng kiểm quyết định sau khi kiểm tra trạng thái kỹ thuật hiện tại và xem xét đến những đặc điểm của tàu và thiết bị vào lúc tàu bị rút cấp. Khối lượng kiểm tra, loại kiểm tra trong từng trường hợp sẽ do Đăng kiểm xác định tùy thuộc vào chủ tàu, lý do rút cấp cũng như công dụng và vùng hoạt động của tàu.
3.2.3. Sự mất hiệu lực của chứng nhận cấp tàu
Chứng nhận cấp tàu sẽ mất hiệu lực khi:
3.2.3.1. Tàu bị rút cấp như nêu ở 3.2.1.1.
3.2.3.2. Sau khi tàu bị tai nạn và Đăng kiểm không được thông báo để tiến hành kiểm tra bất thường tại cảng xảy ra tai nạn hoặc tại cảng đầu tiên mà tàu tới (trong trường hợp tàu bị tai nạn trên biển).
3.2.3.3. Tàu được hoán cải về kết cấu hoặc có thay đổi về máy móc, thiết bị nhưng không được Đăng kiểm đồng ý hoặc không thông báo cho Đăng kiểm.
Sửa chữa các hạng mục nằm trong hạng mục thuộc sự giám sát của Đăng kiểm nhưng không được Đăng kiểm chấp nhận hoặc không có Đăng kiểm giám sát.
3.2.3.4. Chủ tàu không thực hiện các quy định về kiểm tra duy trì cấp tàu.
3.2.3.5. Tàu ngừng hoạt động trong thời gian quá ba tháng, trừ trường hợp dừng tàu để sửa chữa theo yêu cầu của Đăng kiểm.
3.3. Quản lý hồ sơ
3.3.1. Các hồ sơ do Đăng kiểm cấp
Tàu cá sau khi được Đăng kiểm kiểm tra phân cấp sẽ được cấp các hồ sơ sau đây:
3.3.1.1. Hồ sơ thiết kế được thẩm định, bao gồm các bản vẽ và các tài liệu như quy định ở Phần II và các Phần liên quan (nếu có yêu cầu), kể cả Giấy chứng nhận thẩm định thiết kế, bản ấn định mạn khô, bản số liệu dung tích.
3.3.1.2. Hồ sơ kiểm tra, bao gồm các biên bản kiểm tra/ thử (làm cơ sở cho việc cấp các giấy chứng nhận liên quan), các giấy chứng nhận, kể cả giấy chứng nhận vật liệu và các sản phẩm công nghiệp/ thiết bị lắp đặt lên tàu.
3.3.2. Lưu giữ hồ sơ kiểm tra
Tất cả hồ sơ do Đăng kiểm cấp cho tàu phải được lưu giữ và bảo quản trên tàu. Các hồ sơ này phải được trình cho Đăng kiểm xem xét khi có yêu cầu.
3.3.3. Bảo mật
Tất cả hồ sơ do Đăng kiểm cấp cho tàu (bộ lưu giữ tại Đăng kiểm) sẽ được Đăng kiểm bảo mật và không cung cấp bất kì bản tính/ bản vẽ/ thuyết minh/ nội dung chi tiết nào (kể cả bản sao của chúng) cho bất kì ai khi chưa có sự đồng ý trước của Chủ tàu, trừ trường hợp đặc biệt do yêu cầu của cơ quan có thẩm quyền.
IV. TRÁCH NHIỆM CỦA CÁC TỔ CHỨC, CÁ NHÂN
Responsibilities of Organizations, Individuals
4.1. Trách nhiệm của chủ tàu, các cơ sở thiết kế, đóng mới, hoán cải, phục hồi và sửa chữa tàu; cơ sở thiết kế, chế tạo các trang thiết bị lắp đặt trên tàu cá
4.1.1. Chủ tàu
4.1.1.1. Thực hiện đầy đủ các quy định nêu trong Quy chuẩn này khi tàu được đóng mới, hoán cải, phục hồi, sửa chữa và khai thác để đảm bảo và duy trì tình trạng an toàn kỹ thuật tàu cá và phòng ngừa ô nhiễm môi trường.
4.1.1.2. Lưu giữ hồ sơ kỹ thuật tàu cá, các trang thiết bị lắp đặt trên tàu cá, thực hiện đúng các quy định hiện hành về “Quản lý kỹ thuật tàu cá.”
4.1.2. Các cơ sở thiết kế
4.1.2.1. Thiết kế tàu cá thỏa mãn các quy định của Quy chuẩn này.
4.1.2.2. Cung cấp đầy đủ khối lượng hồ sơ thiết kế theo yêu cầu và trình thẩm định hồ sơ thiết kế theo quy định của Quy chuẩn này.
4.1.2.3. Chịu trách nhiệm về các kết quả tính toán được ghi trong hồ sơ kỹ thuật
4.1.3. Các cơ sở đóng mới, hoán cải, phục hồi và sửa chữa tàu
4.1.3.1. Phải có đủ năng lực, bao gồm cả trang thiết bị, cơ sở vật chất và nhân lực có trình độ chuyên môn đáp ứng nhu cầu đóng mới, hoán cải, phục hồi và sửa chữa tàu cá.
4.1.3.2. Phải đảm bảo tiêu chuẩn chất lượng, an toàn kỹ thuật và phòng ngừa ô nhiễm môi trường khi tiến hành đóng mới, hoán cải, phục hồi và sửa chữa tàu . Đối với các tàu đóng mới, hoán cải và phục hồi còn phải tuân thủ đúng thiết kế được thẩm định.
4.1.3.3. Chịu sự kiểm tra giám sát của Đăng kiểm tàu cá về chất lượng, an toàn kỹ thuật và phòng ngừa ô nhiễm môi trường trong quá trình đóng mới, hoán cải, phục hồi và sửa chữa tàu.
4.1.4. Các cơ sở thiết kế, chế tạo các trang thiết bị lắp đặt trên tàu cá
Thiết kế, chế tạo, nhập khẩu các trang thiết bị an toàn lắp đặt trên tàu cá phải thỏa mãn các yêu cầu của Quy chuẩn này và các quy chuẩn, tiêu chuẩn kỹ thuật có liên quan.
4.2. Trách nhiệm của Đăng kiểm tàu cá
4.2.1. Cơ quan Đăng kiểm tàu cá Trung ương
4.2.1.1. Hướng dẫn thực hiện các quy định của Quy chuẩn này đối với các cơ sở thiết kế, chủ tàu, cơ sở đóng mới, hoán cải, phục hồi và sửa chữa tàu cá; các đơn vị đăng kiểm ở địa phương thuộc hệ thống Đăng kiểm tàu cá trong phạm vi cả nước.
4.2.1.2. Kiểm tra định kỳ hoặc đột xuất việc tuân thủ Quy chuẩn này đối với các đơn vị đăng kiểm ở địa phương.
4.2.1.3. Tổ chức in ấn, phổ biến, tuyên truyền cho các tổ chức, cá nhân có liên quan thực hiện áp dụng Quy chuẩn này.
4.2.1.4. Rà soát, sửa đổi, thay thế, bổ sung, cập nhật liên quan đến Phần II - Quy định kỹ thuật của Quy chuẩn này.
4.2.2. Các đơn vị Đăng kiểm tàu cá
4.2.2.1. Thẩm định thiết kế đóng mới, cải hoán, phục hồi, hoàn công tàu cá, các trang thiết bị lắp đặt trên tàu cá theo quy định của Quy chuẩn này và các quy định hiện hành khác có liên quan của Việt Nam.
4.2.2.2. Kiểm tra chất lượng, an toàn kỹ thuật và phân cấp tàu trong quá trình đóng mới, cải hoán, phục hồi và sửa chữa theo quy định của Quy chuẩn này, phù hợp với hồ sơ thiết kế được thẩm định.
4.2.2.3. Kiểm tra tàu cá trong quá trình hoạt động, bao gồm: Kiểm tra hàng năm, kiểm tra trên đà và kiểm tra định kỳ; kiểm tra bất thường theo quy định của Quy chuẩn này.
4.2.2.4. Kiểm tra vật liệu, máy móc và trang thiết bị trong quá trình chế tạo và nhập khẩu để sử dụng khi đóng mới, hoán cải, phục hồi, sửa chữa tàu.
4.2.2.5. Cấp các giấy chứng nhận và Hồ sơ kỹ thuật cho tàu như quy định ở Phần 1 của Quy chuẩn này.
4.2.2.6. Ghi vào Sổ quản lý kỹ thuật tàu cá các tàu cá đã được kiểm tra, giám sát kỹ thuật và phân cấp.
4.3. Trách nhiệm của Bộ Nông nghiệp và Phát triển nông thôn
Bộ Nông nghiệp và Phát triển nông thôn có trách nhiệm định kỳ hoặc đột xuất kiểm tra việc thực hiện theo Quy chuẩn này của các đơn vị có hoạt động liên quan.
V. TỔ CHỨC THỰC HIỆN
Organize to carry out
5.1. Áp dụng Quy chuẩn
Trong trường hợp các tài liệu được viện dẫn trong Quy chuẩn này có sự thay đổi hoặc hết hiệu lực thi hành và được thay thế mới thì mặc nhiên những điều khoản có viện dẫn này phải tuân thủ theo những viện dẫn tương ứng mới từ văn bản mới.
5.2. Trách nhiệm thi hành
Tổng cục Thủy sản, Sở Nông nghiệp và Phát triển nông thôn có hoạt động thủy sản phải tổ chức thực hiện Quy chuẩn này. Trong quá trình thực hiện, nếu có vướng mắc hoặc đề xuất chuyển đổi nhằm đảm bảo an toàn cho người và phương tiện hoạt động khai thác thủy sản thì các tổ chức, cá nhân đề xuất về Bộ Nông nghiệp và Phát triển nông thôn để xem xét quyết định./.
MỤC LỤC
Lời nói đầu:
I. QUY ĐỊNH CHUNG
Chương 1. QUY ĐỊNH CHUNG
1.1. Phạm vi điều chỉnh và đối tượng áp dụng
1.2. Tài liệu viện dẫn
1.3. Giải thích từ ngữ
Chương 2. QUY ĐỊNH VỀ HOẠT ĐỘNG GIÁM SÁT KỸ THUẬT
2.1. Cơ sở tiến hành hoạt động giám sát
2.2. Áp dụng đối với tàu có chiều dài L dưới 12 mét nhưng có chiều dài Lmax lớn nhất từ 12 mét trở lên
2.3. Áp dụng đối với tàu đang đóng mới, trang thiết bị đang chế tạo
2.4. Áp dụng đối với tàu đang khai thác
2.5. Trường hợp đặc biệt
II. QUY ĐỊNH KỸ THUẬT
Phần 1 - A. QUY ĐỊNH VỀ PHÂN CẤP VÀ GIÁM SÁT KỸ THUẬT TÀU CÁ
Chương 1. CẤP TÀU
1.1. Nguyên tắc chung
1.2. Ký hiệu cấp tàu
1.3. Duy trì cấp tàu
1.4. Giấy đề nghị kiểm tra
1.5. Chứng nhận cấp tàu
1.6. Hồ sơ kiểm tra phân cấp và duy trì cấp tàu
Chương 2. KIỂM TRA PHÂN CẤP
2.1. Kiểm tra phân cấp tàu
2.2. Chuẩn bị kiểm tra
2.3. Các loại kiểm tra khác
Chương 3. GIÁM SÁT KỸ THUẬT
3.1. Quy định chung
3.2. Hình thức giám sát
3.3. Giám sát chế tạo vật liệu và sản phẩm
3.4. Giám sát đóng mới, cải hoán, phục hồi, sửa chữa của đăng kiểm
3.5. Kiểm tra tàu đang khai thác
Chương 4. HỒ SƠ KỸ THUẬT
4.1. Hồ sơ thiết kế
4.2. Các chứng chỉ do Đăng kiểm cấp
4.3. Sổ đăng kiểm tàu cá
Phần 1 - B. QUY ĐỊNH VỀ NỘI DUNG KIỂM TRA PHÂN CẤP
Chương 1. KIỂM TRA LẦN ĐẦU
1.1. Kiểm tra đóng mới
1.2. Kiểm tra đóng mới không có sự giám sát của Đăng kiểm
1.3. Thử nghiêng ngang và thử đường dài
1.4. Sự có mặt của Đăng kiểm khi kiểm tra
1.5. Thử thủy lực và thử kín nước (thử áp lực)
Chương 2. KIỂM TRA TÀU ĐANG KHAI THÁC
2.1. Yêu cầu chung
2.2. Thời hạn kiểm tra chu kì
2.3. Nội dung kiểm tra hàng năm thân tàu
2.4. Nội dung kiểm tra trên đà
2.5. Nội dung kiểm tra định kỳ thân tàu (thép, FRP, gỗ bọc ngoài)
2.6. Nội dung kiểm tra định kỳ thân tàu vỏ gỗ
2.7. Kiểm tra hàng năm hệ thống máy tàu
2.8. Kiểm tra định kì hệ thống máy và thiết bị tàu cá
2.9. Kiểm tra trục chân vịt của tàu
2.10. Quy trình thử, hao mòn và hư hỏng
Chương 3. KIỂM TRA BẤT THƯỜNG
3.1. Yêu cầu chung
3.2. Nội dung kiểm tra bất thường
Phần 2. KẾT CẤU THÂN TÀU
Chương 1. KẾT CẤU THÂN TÀU VỎ THÉP
1.1. Yêu cầu chung
1.2. Kích thước các cơ cấu thân tàu
1.3. Các quy định khác về cơ cấu và liên kết chúng
1.4. Mạn chắn sóng
1.5. Cửa thoát nước đặt tại mạn chắn sóng
1.6. Kết cấu kín nước
1.7. Các cửa ra vào thượng tầng và cabin
1.8. Các cửa hoặc lỗ khoét ở các vách ngang kín nước
1.9. Nắp hầm và thành quầy
1.10. Các cửa thông sáng mạn và boong
Chương 2. KẾT CẤU THÂN TÀU VỎ GỖ
2.1. Yêu cầu chung
2.2. Kích thước các cơ cấu thân tàu
2.3. Các liên kết
2.4. Xảm, bọc, thui, sơn
Chương 3. THÂN TÀU BẰNG VẬT LIỆU CHẤT DẺO CỐT SỢI THUỶ TINH
3.1. Những quy định chung
3.2. Xưởng chế tạo, vật liệu và công nghệ chế tạo
Phần 3. ỔN ĐỊNH VÀ MẠN KHÔ
Chương 1. NHỮNG YÊU CẦU CHUNG
1.1. Điều kiện áp dụng
1.2. Khối lượng giám sát
1.3. Thử nghiêng ngang
1.4. Các điều kiện đủ ổn định
1.5. Miễn giảm so với Quy chuẩn
1.6. Việc thay đổi vùng hoạt động của tàu cá
Chương 2. CÁC YÊU CẦU CHUNG VỀ ỔN ĐỊNH
2.1. Đồ thị ổn định
2.2. Đồ thị ổn định của tàu cá phải đảm bảo các điều kiện sau
2.3. Ổn định tàu dưới tác động sóng và gió
2.4. Chiều cao tâm nghiêng ngang ban đầu GM0
Chương 3. CÁC YÊU CẦU BỔ SUNG VỀ ỔN ĐỊNH
3.1. Các trạng thái tải trọng
3.2. Hiệu chỉnh ảnh hưởng của hàng lỏng
3.3. Các yêu cầu đối với bản thông báo ổn định
3.4. Vùng hạn chế hoặc cấm hoạt động
Chương 4. MẠN KHÔ
4.1. Quy định chung
4.2. Mạn khô của tàu có boong kín
4.3. Dấu mạn khô
Phần 4. HỆ THỐNG MÁY TÀU
Chương 1. QUY ĐỊNH CHUNG
1.1. Phạm vi áp dụng
1.2. Vật liệu
1.3. Những yêu cầu chung về hệ thống máy tàu
Chương 2. ĐỘNG CƠ ĐI-Ê-DEN
2.1. Phạm vi áp dụng
2.2. Vật liệu, kết cấu và độ bền
2.3. Thiết bị điều khiển
2.4. Các yêu cầu khác về động cơ đi-ê-den
2.5. Thử nghiệm sau khi lắp đặt lên tàu
Chương 3. THIẾT BỊ TRUYỀN ĐỘNG
3.1. Phạm vi áp dụng
3.2. Vật liệu, kết cấu và độ bền
Chương 4. HỆ TRỤC
4.1. Phạm vi áp dụng
4.2. Vật liệu, kết cấu và độ bền
4.3. Thử nghiệm
Chương 5. CHÂN VỊT
5.1. Phạm vi áp dụng
5.2. Kết cấu và độ bền
5.3. Lắp ép chân vịt
5.4. Thử nghiệm
Chương 6. DAO ĐỘNG XOẮN HỆ TRỤC
6.1. Phạm vi áp dụng
6.2. Giới hạn ứng suất cho phép
6.3. Vùng vòng quay cấm
Chương 7. ỐNG, VAN, PHỤ TÙNG ĐƯỜNG ỐNG VÀ MÁY PHỤ
7.1. Phạm vi áp dụng
7.2. Phân loại ống
7.3. Vật liệu
7.4. Chiều dày ống
8.1. Phạm vi áp dụng
8.2. Đường ống
8.3. Van hút nước biển và van xả mạn
8.4. Hộp thông biển
8.5. Hệ thống hút khô dằn
8.6. Ống thông hơi
8.7. Ống tràn
8.8. Ống đo
8.9. Hệ thống nhiên liệu
8.10. Hệ thống dầu bôi trơn của động cơ đi-ê-den
8.11. Hệ thống làm mát của động cơ đi-ê-den
8.12. Hệ thống khí nén
8.13. Đường ống khí thải
8.14. Hệ thống thông gió
Chương 9. CÁC BÌNH CHỊU ÁP LỰC
9.1. Quy định chung
Chương 10. PHỤ TÙNG DỰ TRỮ, DỤNG CỤ VÀ ĐỒ NGHỀ
10.1. Phạm vi áp dụng
10.2. Phụ tùng dự trữ, dụng cụ và đồ nghề
Phần 5. TRANG BỊ ĐIỆN
Chương 1. QUY ĐỊNH CHUNG
1.1. Quy định chung
1.2. Thử nghiệm
Chương 2. THIẾT BỊ ĐIỆN VÀ KẾT CẤU THIẾT BỊ ĐIỆN TÀU
2.1. Yêu cầu chung
2.2. Thiết bị điện
2.3. Kết cấu thiết bị điện
Phần 6. PHÒNG, PHÁT HIỆN VÀ CHỮA CHÁY
Chương 1. QUY ĐỊNH CHUNG
1.1. Phạm vi áp dụng
1.2. Thay thế tương đương
1.3. Giải thích từ ngữ
Chương 2. KẾT CẤU CHỐNG CHÁY
2.1. Yêu cầu chung
2.2. Hệ thống thông gió
2.3. Két dầu đốt và két dầu bôi trơn
2.4. Bảo quản các bình ga và các vật liệu dễ cháy
2.5. Các lối thoát hiểm
2.6. Hệ thống phát hiện và báo cháy tự động
Chương 3. DỤNG CỤ, THIẾT BỊ VÀ HỆ THỐNG CHỮA CHÁY
3.1. Dụng cụ, thiết bị chữa cháy
3.2. Hệ thống chữa cháy
Phần 7. THIẾT BỊ LẠNH TRÊN TÀU CÁ
Chương 1. QUY ĐỊNH CHUNG
1.1. Quy định chung
1.2. Giải thích từ ngữ
1.3. Những yêu cầu chung
Chương 2. HỆ THỐNG LÀM LẠNH
2.1. Thiết kế hệ thống
2.2. Thử nghiệm
Phần 8. TRANG THIẾT BỊ
Chương 1. THIẾT BỊ LÁI
1.1. Quy định chung
1.2. Các chi tiết của thiết bị lái
Chương 2. THIẾT BỊ NEO, CẬP TÀU, LAI DẮT
2.1. Phạm vi áp dụng
2.2. Lựa chọn thiết bị
2.3. Các yêu cầu về bố trí trên tàu
2.4. Thiết bị cập tàu
2.5. Thiết bị lai dắt
Chương 3. TRANG BỊ CHỐNG THỦNG, CHỐNG CHÌM, THIẾT BỊ VỆ SINH, AN TOÀN LAO ĐỘNG
3.1. Yêu cầu chung
3.2. Trang bị chống thủng, chống chìm
3.3. Thiết bị vệ sinh, an toàn lao động
Phần 9. TRANG THIẾT BỊ NGHỀ CÁ
Chương 1. QUY ĐỊNH CHUNG
1.1. Phạm vi áp dụng
1.2. Thay thế tương đương
1.3. Giải thích từ ngữ
1.4. Vật liệu
1.5. Quy trình chế tạo
1.6. Thử và kiểm tra
1.7. Đóng dấu xác nhận sản phẩm
1.8. Yêu cầu về vệ sinh công trường
Chương 2. MÁY KHAI THÁC
2.1. Yêu cầu chung
2.2. Quy định về vật liệu, chế tạo và kiểm tra
2.3. Thử nghiệm
Chương 3. ĐỘNG LỰC CHO MÁY KHAI THÁC
3.1. Yêu cầu chung về động lực cho máy khai thác
3.2. Yêu cầu kỹ thuật đối với động lực cho máy khai thác
Chương 4. THIẾT BỊ TRUYỀN ĐỘNG CHO MÁY KHAI THÁC
4.1. Yêu cầu chung về thiết bị truyền động cho máy khai thác
4.2. Quy định về vật liệu, chế tạo và kiểm tra
4.3. Thử nghiệm
Chương 5. HỆ THỐNG THIẾT BỊ NÂNG
5.1. Quy định chung
5.2. Thay thế tương đương
5.3. Bố trí chung, kết cấu, vật liệu và hàn
5.4. Kiểm tra thiết bị nâng
5.5. Các yêu cầu về hệ cần cẩu dây giằng, các chi tiết cố định, các chi tiết tháo được, hệ thống điều khiển, bảo vệ
Phần 10. HỆ THỐNG NGĂN NGỪA Ô NHIỄM BIỂN
Chương 1. QUY ĐỊNH CHUNG
1.1. Phạm vi áp dụng
1.2. Yêu cầu về kiểm tra
Chương 2. QUY ĐỊNH VỀ TRANG BỊ
2.1. Két dầu bẩn
2.2. Két giữ nước đáy tàu
2.3. Chất thải rắn sinh hoạt
Phần 11. TRANG THIẾT BỊ AN TOÀN
Chương 1. QUY ĐỊNH CHUNG
1.1. Những quy định chung
III. CÁC QUY ĐỊNH VỀ QUẢN LÝ
3.1. Quản lý kỹ thuật tàu cá và trang thiết bị
3.2. Rút cấp và sự mất hiệu lực của giấy chứng nhận cấp tàu
3.3. Quản lý hồ sơ
IV. TRÁCH NHIỆM CỦA CÁC TỔ CHỨC, CÁ NHÂN
4.1. Trách nhiệm của chủ tàu, các cơ sở thiết kế, đóng mới, hoán cải, phục hồi và sửa chữa tàu; cơ sở thiết kế, chế tạo các trang thiết bị lắp đặt trên tàu cá
4.2. Trách nhiệm của Đăng kiểm tàu cá
4.3. Trách nhiệm của Bộ Nông nghiệp và Phát triển nông thôn
V. TỔ CHỨC THỰC HIỆN
5.1. Áp dụng Quy chuẩn
Bạn chưa Đăng nhập thành viên.
Đây là tiện ích dành cho tài khoản thành viên. Vui lòng Đăng nhập để xem chi tiết. Nếu chưa có tài khoản, vui lòng Đăng ký tại đây!
Bạn chưa Đăng nhập thành viên.
Đây là tiện ích dành cho tài khoản thành viên. Vui lòng Đăng nhập để xem chi tiết. Nếu chưa có tài khoản, vui lòng Đăng ký tại đây!












