- Tổng quan
- Nội dung
- Tiêu chuẩn liên quan
- Lược đồ
- Tải về
Tiêu chuẩn TCVN 8642:2011 Thi công hạ chìm ống xi phông kết cấu thép công trình thủy lợi
| Số hiệu: | TCVN 8642:2011 | Loại văn bản: | Tiêu chuẩn Việt Nam |
| Cơ quan ban hành: | Bộ Khoa học và Công nghệ | Lĩnh vực: | |
|
Ngày ban hành:
Ngày ban hành là ngày, tháng, năm văn bản được thông qua hoặc ký ban hành.
|
28/02/2011 |
Hiệu lực:
|
Đã biết
|
| Người ký: | Đang cập nhật |
Tình trạng hiệu lực:
Cho biết trạng thái hiệu lực của văn bản đang tra cứu: Chưa áp dụng, Còn hiệu lực, Hết hiệu lực, Hết hiệu lực 1 phần; Đã sửa đổi, Đính chính hay Không còn phù hợp,...
|
Đã biết
|
TÓM TẮT TIÊU CHUẨN VIỆT NAM TCVN 8642:2011
Tiêu chuẩn Quốc gia TCVN 8642:2011 quy định yêu cầu kỹ thuật thi công hạ chìm ống xi phông kết cấu thép
Ngày 28/02/2011, Bộ Khoa học và Công nghệ đã công bố Tiêu chuẩn Quốc gia TCVN 8642:2011 về yêu cầu kỹ thuật thi công hạ chìm ống xi phông kết cấu thép. Tiêu chuẩn này có hiệu lực ngay khi được công bố và được chuyển đổi từ 14TCN 179:2006. Tiêu chuẩn này do Trung tâm Khoa học và Triển khai kỹ thuật thủy lợi thuộc trường Đại học Thủy lợi biên soạn, dưới sự đề nghị của Bộ Nông nghiệp và Phát triển nông thôn.
Tiêu chuẩn này quy định các yêu cầu kỹ thuật thi công hạ chìm ống xi phông kết cấu thép, sử dụng trong các công trình thủy lợi để dẫn nước qua đáy sông, hồ bằng các phương pháp hạ chìm tự do hoặc có phao hỗ trợ. Ngoài việc tuân thủ các yêu cầu trong tiêu chuẩn này, các biện pháp thi công cũng cần phải theo các quy định của các tiêu chuẩn kỹ thuật khác liên quan.
Đối tượng và phạm vi áp dụng
Tiêu chuẩn này áp dụng cho các công trình thủy lợi có sử dụng ống xi phông kết cấu thép có tiết diện tròn. Việc thi công được tiến hành với nhiều phương pháp như hạ chìm tự do và hạ chìm cưỡng bức, đảm bảo an toàn và hiệu quả kỹ thuật.
Yêu cầu kỹ thuật chế tạo ống
Trong tiêu chuẩn quy định rõ ràng về chế tạo và sơn phủ bảo vệ ống xi phông, bao gồm yêu cầu về vật liệu, kích thước và kiểm tra chất lượng. Cụ thể, các đoạn ống phải có chiều dài từ 6 mét trở lên và được thử nghiệm thủy lực tại nhà máy. Việc hàn các mối liên kết giữa các đoạn ống cũng phải đạt tiêu chuẩn kỹ thuật và được kiểm tra bằng phương pháp không phá hủy.
Thi công lắp ráp và hạ chìm ống xi phông
Quy trình thi công lắp ráp ống xi phông tại hiện trường bao gồm các bước chuẩn bị hào đà, kê kích ống, hàn các đoạn ống lại với nhau và tiến hành thử thủy lực. Tiêu chuẩn cũng đưa ra các yêu cầu tại giai đoạn thi công hạ chìm, như việc xác định thời gian và phương pháp mở âu đà, cũng như đặt lịch hạ chìm ống trong thời gian thích hợp nhất.
Kiểm tra và nghiệm thu
Tiêu chuẩn cũng quy định rõ ràng về các công đoạn kiểm tra và nghiệm thu, bao gồm việc thành lập hội đồng kiểm tra, và kiểm tra chất lượng tất cả các bước từ chế tạo cho đến lắp đặt và thi công. Kết quả kiểm tra phải được lưu trữ và đảm bảo tính pháp lý, bảo đảm rằng tất cả các yêu cầu chất lượng đều được đáp ứng.
Tiêu chuẩn này nhằm mục tiêu hướng dẫn các tổ chức và cá nhân có liên quan thực hiện quy trình thi công hạ chìm ống xi phông kết cấu thép hiệu quả, an toàn và đúng quy định pháp luật, đảm bảo chất lượng công trình thủy lợi.
Tải tiêu chuẩn Việt Nam TCVN 8642:2011
TIÊU CHUẨN QUỐC GIA
TCVN 8642:2011
CÔNG TRÌNH THỦY LỢI YÊU CẦU KỸ THUẬT THI CÔNG HẠ CHÌM ỐNG XI PHÔNG KẾT CẤU THÉP
Hydraulic structures - Technical requirements for construction by sinking method of steel siphon
Lời nói đầu
TCVN 8642: 2011 Công trình thủy lợi – Yêu cầu kỹ thuật thi công hạ chìm ống xi phông kết cấu thép, được chuyển đổi từ 14TCN 179:2006, theo quy định tại khoản 1 điều 69 của Luật Tiêu chuẩn và Quy chuẩn kỹ thuật và điểm a, khoản 1 điều 7 của Nghị định số 127/2007/NĐ-CP ngày 01 tháng 8 năm 2007 của Chính phủ quy định chi tiết thi hành một số điều của Luật Tiêu chuẩn và Quy chuẩn kỹ thuật.
TCVN 8642: 2011 do Trung tâm Khoa học và Triển khai kỹ thuật thủy lợi thuộc trường Đại học Thủy lợi biên soạn, Bộ Nông nghiệp và Phát triển nông thôn đề nghị, Tổng cục Tiêu chuẩn Đo lường Chất lượng thẩm định, Bộ Khoa học và Công nghệ công bố tại Quyết định số 362/QĐ-BKHCN ngày 28 tháng 02 năm 2011.
CÔNG TRÌNH THỦY LỢI YÊU CẦU KỸ THUẬT THI CÔNG HẠ CHÌM ỐNG XI PHÔNG KẾT CẤU THÉP
Hydraulic structures - Technical requirements for construction by sinking method of steel siphon
1 Phạm vi áp dụng
1.1 Tiêu chuẩn này quy định các yêu cầu kỹ thuật thi công hạ chìm ống xi phông kết cấu thép tiết diện tròn dùng trong các công trình thủy lợi dẫn nước vượt qua đáy sông, hồ bằng phương pháp hạ chìm tự do (không có phao hoặc có phao để giữ ổn định) và hạ chìm có phao hỗ trợ (hạ chìm nhiều giai đoạn).
1.2 Khi nghiên cứu biện pháp thi công hạ chìm ống xi phông kết cấu thép, ngoài việc tuân thủ những quy định trong tiêu chuẩn này còn phải tuân thủ các quy định của các tiêu chuẩn kỹ thuật hiện hành khác có liên quan.
2 Thuật ngữ và định nghĩa
Trong tiêu chuẩn này sử dụng các thuật ngữ và định nghĩa sau:
2.1
Ống xi phông kết cấu thép dùng trong công trình thủy lợi (Steel siphon used in hydraulic work)
Ống thép có tiết diện tròn, được uốn cong theo hình chữ U, dùng để dẫn nước luồn xuống phía dưới đoạn có công trình khác cắt ngang như đường giao thông, sông ngòi hoặc các công trình thủy lợi khác….
2.2
Lốc ống (To make the steel pipes)
Công nghệ gia công cuốn thép tấm thành ống thép tròn
2.3
Phương pháp hạ chìm (Sinking methods)
Phương pháp thi công lắp đặt ống xi phông vào vị trí đi qua đáy sông, hồ.
2.4
Phương pháp hạ chìm tự do (Free sinking method)
Phương pháp thi công lắp đặt ống xi phông thép đi qua đáy sông, hồ bằng cách bơm nước vào đầy ống xi phông và cho chìm từ từ xuống vị trí công trình. Trong quá trình hạ chìm xi phông có thể sử dụng phao hoặc không sử dụng phao để giữ ổn định vị trí đường ống.
2.5
Phương pháp hạ chìm cưỡng bức (Sinking method by force)
Phương pháp thi công lắp đặt ống xi phông thép đi qua đáy sông, hồ bằng cách bơm nước vào ống xi phông, dùng hệ thống phao neo giữ ống trên mặt nước, mở van cho nước vào phao theo một trình tự nhất định (hoặc cắt phao theo một trình tự nhất định) để hạ chìm xi phông theo từng đợt cho đến khi toàn bộ ống đặt xuống vị trí công trình.
2.6
Âu đà (Canal for assembly of siphon)
Hào để thi công lắp ráp, nối các đoạn ống thành ống xi phông hoàn chỉnh.
2.7
Hào chôn ống (Canal for installation of siphon)
Đường hào đào phía dưới các công trình chắn ngang để lắp đặt ống xi phông.
2.8
Neo ống (Anchorring siphon)
Biện pháp định vị ống xi phông trên mặt nước tại vị trí lắp đặt để chuẩn bị hạ chìm và neo giữ ống trong quá trình hạ chìm.
2.9
Chiều cao lớp phủ ống (High of cover of siphon)
Khoảng cách từ đỉnh ống xi phông đến đáy công trình chắn ngang.
3 Yêu cầu kỹ thuật chế tạo các đoạn ống và đường ống
3.1 Chế tạo và sơn phủ bảo vệ thực hiện theo tiêu chuẩn hiện hành về thiết kế, chế tạo và kiểm tra ống xi phông kết cấu thép trong công trình thủy lợi và các quy định sau:
a) Vật liệu thép chế tạo các đoạn ống không có vết nứt, rạn, nếp gấp, xước, sạn.... Cho phép sử dụng thép có khuyết tật không phải là vết rạn, vết nứt để làm đường ống trong trường hợp khi đã cạo sạch các khuyết tật đó mà độ dày thành ống còn lớn hơn 80 % độ dày thành ống tính toán. Ưu tiên chọn loại thép ống cán nóng không có mối hàn, có kích thước phù hợp để chế tạo các chi tiết của ống xi phông;
b) Chiều dài các đoạn ống từ 6 mét trở lên. Số lượng ống dài dưới 6 mét không vượt quá 10 % tổng số chiều dài ống toàn công trình. Tất cả các ống đều phải được thử nghiệm thủy lực trong nhà máy chế tạo theo quy định của tiêu chuẩn đường ống áp lực.
3.2 Khi chế tạo chi tiết ống xi phông bằng phương pháp lốc từ thép tấm thành ống hàn nối phải đảm bảo các yêu cầu kỹ thuật sau:
a) Vật liệu làm ống phải đảm bảo yêu cầu quy định tại khoản a của 3.1; có đủ hồ sơ, chứng chỉ nguồn gốc, chất lượng theo đúng yêu cầu thiết kế và các quy định hiện hành. Trường hợp sử dụng vật liệu không rõ nguồn gốc bắt buộc phải thí nghiệm xác định các chỉ tiêu cơ lý chính của vật liệu tại các phòng thí nghiệm được cấp có thẩm quyền công nhận và được cơ quan tư vấn thiết kế chấp nhận;
b) Phải lốc ống bằng máy lốc 3 trục để cuốn ống, không được gò ống bằng tay. Hai mặt đầu của đoạn ống phải thẳng góc với đường tâm trục dọc ống. Đường hàn dọc của ống phải vuông góc với mặt đầu ống. Mối hàn dọc ống phải hàn bằng máy. Mối hàn liên kết phải có độ bền vững như chính kim loại làm ống. Mối hàn phải mịn, không nứt, không có rỗ xỉ theo đúng tiêu chuẩn kỹ thuật quy định, tham khảo ở phụ lục A. Tất cả các đường hàn cấp I và cấp II đều được kiểm tra chất lượng bằng phương pháp siêu âm. Sai số cho phép khi gia công chế tạo ống như sau:
- Độ sai lệch đường kính ngoài của các đoạn ống so với kích thước tiêu chuẩn không được vượt quá ±
với d là độ dày thành ống;
- Độ ô van của các đầu ống, xác định bằng tỷ số giữa hiệu đường kính cực đại và cực tiểu của một đầu ống so với đường kính tiêu chuẩn không được lớn hơn
, trong đó D0 là đường kính tiêu chuẩn của đường ống;
- Các sai lệch khác so với bản vẽ thiết kế lấy theo bảng B.1 phụ lục B.
3.3 Các đoạn cút cong phải được sản xuất trong nhà máy chuyên dụng, tuân theo đúng quy định trong tiêu chuẩn hiện hành về thiết, chế tạo, kiểm tra và nghiệm thu ống xi phông kết cấu thép trong công trình thủy lợi.
4 Vận chuyển đường ống
4.1 Căn cứ số lượng, trọng lượng của các chi tiết và đoạn ống, thực trạng quãng đường cần vận chuyển lập phương án vận chuyển từ nơi sản xuất đến công trường thi công xây lắp phù hợp với quy định hiện hành, đặc biệt chú ý tới yếu tố “siêu trường, siêu trọng”.
4.2 Khi kê kích ống xi phông để vận chuyển, khoảng cách giữa các gối kê tính theo công thức (1):

trong đó:
L là khoảng cách giữa các gối kê, cm;
R2 là ứng suất tính toán cho phép của ống xi phông, MPa;
W là mô đun chống uốn của ống, cm3;
Dtr là đường kính trong, cm;
Dng là đường kính ngoài của ống, cm;
h là hệ số tỷ lệ:
;
G là trọng lượng 1 cm ống, MPa.cm;
k0 là hệ số mô men của gối đỡ dầm liên tục, lấy theo bảng 1.

Hình 1 – Sơ đồ kê ống trên phương tiện vận chuyển
Bảng 1 - Hệ số mô men gối đỡ k0
| Số gối đỡ | Hệ số k0 |
| 2 | 0,500 |
| 3 | 0,125 |
| 4 | 0,100 |
| 5 | 0,107 |
| 6 | 0,105 |
| > 7 | 0,106 |
4.3 Các đoạn ống và chi tiết đường ống khi xếp trên xe để vận chuyển phải được chằng buộc và che chắn cẩn thận. Quá trình cẩu bốc hàng lên xe, vận chuyển và tháo dỡ hàng hoá xuống hiện trường thi công phải đảm bảo an toàn tuyệt đối. Phải sử dụng các phương tiện cơ giới để di chuyển đường ống, không được lăn ống tự do.
4.4 Phải có bãi đủ rộng để chứa các đoạn ống và các chi tiết của đường ống.
4.5 Hồ sơ giao nhận hàng thực hiện theo quy định hiện hành.
5 Thi công lắp ráp các đoạn ống và chi tiết đường ống tại hiện trường thành ống xi phông hoàn chỉnh
5.1 Âu đà
5.1.1 Nên chọn tuyến hào thi công lắp ráp có phương thẳng trùng với tuyến công trình. Trường hợp không thể chọn được theo phương thẳng tuyến công trình thì tuỳ vào điều kiện địa hình khu vực thi công có thể chọn theo phương song song với bờ sông hoặc phương khác nhưng phải đảm bảo điều kiện thuận lợi để lai dắt ống ra vị trí tuyến công trình, điều kiện về giải phóng mặt bằng và san lấp hoàn trả mặt bằng sau khi hạ chìm.
5.1.2 Nền tuyến hào phải đảm bảo ổn định để các gối kê không bị lún không đều trong quá trình lắp ráp và thử thủy lực nghiệm thu sau khi đã lắp ráp hoàn chỉnh ống xi phông.
5.1.3 Căn cứ vào đặc điểm thủy văn và đặc điểm thủy triều khu vực hạ chìm xi phông để chọn cao trình đáy hào phù hợp, đảm bảo khi mở âu đà cho nước vào trong hào có đủ độ sâu nước để ống xi phông có thể nổi để đưa ra vị trí tuyến công trình.
5.1.4 Chọn mái hào thi công lắp ráp phải căn cứ vào tài liệu địa chất để đảm bảo không bị sạt lở trong quá trình thi công lắp ráp ống. Hệ số độ dốc mái m của tuyến hào có thể dựa vào kết quả tính toán ổn định mái đào, hoặc lấy theo bảng C.1 phụ lục C. Chiều rộng đáy hào phải đảm bảo điều kiện hoạt động thi công lắp ráp ống.
5.2 Hệ thống kê kích ống trong hào thi công lắp ráp
5.2.1 Nên dùng gỗ để làm gối đỡ. Khoảng cách giữa các gối đỡ quy định tại 4.2. Các gối phải đảm bảo điều kiện ổn định về lún, ổn định về độ bền, ổn định về lật và trượt trong quá trình thi công lắp ráp và kiểm tra thử thủy lực. Kiểm tra về độ bền và ổn định của hệ thống kê kích với trường hợp ống xi phông đã hoàn chỉnh và đầy nước khi thử thủy lực.
5.2.2 Tính toán kết cấu hệ thống kê kích theo phương pháp cơ học kết cấu với sơ đồ tính toán là dầm liên tục cùng làm việc với nền, với các tải trọng sau:
a) Trọng lượng ống, kể cả trọng lượng các mặt bích, trọng lượng lớp bảo vệ chống rỉ. Nếu xi phông gồm nhiều ống thì kể cả trọng lượng các liên kết các ống;
b) Trọng lượng nước trong ống;
c) Trọng lượng các gân gia cường (nếu có);
d) Trọng lượng các gối đỡ;
e) Lực đàn hồi của nền.
5.3 Hàn các đoạn ống thành ống xi phông hoàn chỉnh tại hiện trường
5.3.1 Công nhân hàn phải có chứng chỉ thợ hàn ống áp lực. Khi hàn phải tuân theo quy trình công nghệ đã được phê duyệt như vật liệu hàn, loại que hàn, loại máy hàn, phương pháp hàn...
5.3.2 Hàn đối đầu. Khi hàn các đoạn ống phải được kê để đảm bảo đồng trục, bố trí đường hàn dọc lắp nối liên tiếp phải lệch nhau và khoảng cách theo chu vi ống giữa các đường hàn dọc không được nhỏ hơn 5 lần chiều dầy đường ống, xem quy định tại A.2 phụ lục A.
5.3.3 Mối hàn nhiều lớp phải làm sạch xỉ lớp hàn trước rồi mới hàn lớp tiếp theo. Các mối hàn phải đảm bảo kỹ thuật và mỹ thuật.
5.3.4 Các đường hàn phải được kiểm tra bằng phương pháp không phá hủy.
5.3.5 Sau khi đã kiểm tra các đường hàn đạt tiêu chuẩn quy định mới được hàn mặt bích 2 đầu ống. Trên mặt bích ở một đầu phải đặt van bơm nước. Van thoát khí nhất thiết phải đặt ở cả các mặt bích 2 đầu ống và phải đặt sát phía trên bên trong của ống để đảm bảo bơm đạt áp suất khi thử thủy lực.
5.4 Ghép các đường ống
5.4.1 Nếu xi phông có từ 2 ống trở lên phải liên kết các ống song song với nhau, các ống cách nhau một khoảng bằng b, xem quy định tại D.2 và hình D.2 phụ lục D.
5.4.2 Các liên kết đường ống phải đảm bảo đủ độ bền nhưng đủ “lỏng” cho phép các ống dịch chuyển nhỏ tương đối so với nhau do tốc độ chìm không đều trong quá trình hạ chìm, xem hình D.1 phụ lục D.
5.5 Liên kết phao với đường ống
Dây buộc liên kết phao với đường ống xi phông phải đảm bảo các yêu cầu kỹ thuật sau:
a) Không bị đứt do lực đẩy nổi lớn nhất của phao;
b) Phao không bị tụt ra khỏi khỏi dây khi phao chìm không đều trong suốt quá trình hạ chìm;
c) Có đủ chiều dài theo thiết kế để đảm bảo giữ đường ống nằm thẳng ở vị trí dừng hạ chìm giai đoạn 1 chờ hạ chìm giai đoạn 2 (nếu đường ống phải hạ chìm 2 giai đoạn như thiết kế quy định);
d) Nên dùng loại dây đủ chịu lực nhưng thuận lợi cho giải phóng phao khi xi phông đã chìm tới cao độ thiết kế.
5.6 Thử nghiệm thủy lực
5.6.1 Đường ống sau khi đã hàn và lắp nối hoàn chỉnh nhất thiết phải thử thủy lực. Áp suất thử thủy lực xác định theo công thức (2):
Pth = kPlv (2)
trong đó:
Pth là áp suất thử, MPa;
Plv là áp suất làm việc của ống xi phông, MPa;
k là hệ số lấy bằng 1,25 đến 1,50.
5.6.2 Thời gian duy trì áp suất thử nghiệm không ít hơn 5 phút đảm bảo trong suốt quá trình thử nghiệm áp suất thử không bị tụt, toàn bộ đường ống không có hiện tượng thấm nước.
5.7 Sơn phủ và bọc chống rỉ
5.7.1 Đường ống trước khi sơn phủ và bọc chống rỉ phải được đánh sạch rỉ cho tới lúc có ánh kim. Bề mặt trước khi sơn phải khô, không bị ẩm.
5.7.2 Vật liệu sử dụng để sơn phủ bảo vệ bề mặt phải có đủ nhãn mác, đúng chủng loại và chỉ tiêu kỹ thuật theo yêu cầu thiết kế. Phải thực hiện theo đúng quy trình sơn phủ và quy trình bảo dưỡng sơn do thiết kế quy định.
5.7.3 Mặt trong và mặt ngoài đường ống được sơn chống rỉ theo trình tự: sơn lót trước và sơn chống rỉ sau. Có thể dùng máy phun hay bút lông để sơn phủ. Thời gian để khô ở nhiệt độ từ 18 oC đến 20 oC sau mỗi đợt sơn (sơn lót hoặc sơn phủ) không ít hơn 24 giờ. Phương pháp sơn theo quy định hiện hành về sơn đường ống áp lực. Sơn lót mặt trong phải là loại không có chất độc hại đối với đối tượng nước do xi phông cấp.
5.7.4 Toàn bộ mặt ngoài ống xi phông sau khi sơn chống rỉ phải bọc 2 lớp vải tẩm nhựa đường với chiều dày lớp bọc d lớn hơn 6 mm. Trước khi bọc lớp vải nhựa đường cần sơn lót bằng nhựa đường được chế tạo từ nhựa đường (NĐ) pha xăng không chì (X) theo tỷ lệ sau:
- Theo khối lượng: NĐ: X = 1: 2;
- Theo thể tích: NĐ: X = 1: 3.
Nếu không bọc chống rỉ bằng vải tẩm nhựa đường, cho phép bảo vệ bằng phun phủ kẽm hoặc sử dụng protectơ, thực hiện theo quy định của thiết kế.
6 Thi công hạ chìm đường ống
6.1 Đào hào chôn ống
6.1.1 Cắm cọc tiêu cho tuyến ống
6.1.1.1 Hai bên bờ phải cắm cọc tiêu định vị tuyến đường ống khi đào hào và trong quá trình hạ chìm.
6.1.1.2 Nếu nước sông (hồ) tại khu vực hạ chìm nông có thể cắm một số cọc tiêu trên tuyến đào ngang sông (hồ). Trên các cọc tiêu này được đánh số cùng với mốc cao trình để xác định cao trình đào hào cho toàn tuyến, xem hình 2.
6.1.1.3 Thả hàng cọc tiêu giới hạn chiều rộng tuyến đào và mỗi hàng đào.

Hình 2 - Sơ đồ bố trí cọc tiêu tuyến đường ống
6.1.2 Phương pháp đào và thiết bị đào hào chôn ống
6.1.2.1 Nên chọn phương pháp đào hào chôn ống bằng cơ giới để đảm bảo yêu cầu về kinh tế, kỹ thuật và thời gian thi công. Thiết bị lựa chọn phải phù hợp với điều kiện địa hình thực tế, yêu cầu tiến độ thi công của công trình. Thời gian đào hào bằng cơ giới có thể tính theo công thức (3):
![]()
trong đó:
N là thời gian đào cần thiết, ngày, d;
w là tổng khối lượng đất phải đào, m3;
n là số ca máy làm việc trong một ngày, ca;
V là năng suất làm việc của thiết bị đào, m3/d;
K là hệ số ảnh hưởng của thời tiết, thủy triều. Thông thường K lấy bằng 0,5.
6.1.2.2 Trong quá trình thi công đào hào phải có biển báo cảnh giới để đảm bảo an toàn chung cho các phương tiện qua lại công trường.
6.1.3 Kích thước hào
Chiều rộng đáy hào chôn ống được xác định theo công thức (4):
![]()
trong đó:
Bd là chiều rộng đáy hào, m;
B là bề rộng của hào tương ứng với cao trình tim ống xi phông, m;
a là khoảng cách từ đáy đường ống tới đáy hào, m;
Dng là đường kính ngoài của ống xi phông, m;
m1 là hệ số độ dốc mái đào của hào chôn ống (hệ số mái dốc). Hệ số mái dốc m1 có thể dựa vào kết quả tính toán ổn định mái đào, hoặc lấy theo bảng C.2 phụ lục C.
6.1.4 Kiểm tra đào hào
6.1.4.1 Có thể sử dụng các phương pháp sau đây để kiểm tra chất lượng đào hào dưới nước (kiểm tra tim tuyến, kích thước, cao trình đào tuyến hào đặt và chôn ống xi phông):
a) Kiểm tra bằng phương pháp thả quả rọi tại các vị trí tim hào và hai bên hào để xác định độ sâu của hào;
b) Kiểm tra bằng máy siêu âm (hồi âm);
c) Kiểm tra bằng thợ lặn.
6.1.4.2 Phải kiểm tra trong 3 ngày liên tục trước ngày hạ chìm xi phông. Kết quả đo kiểm tra được vẽ liên tục trên toàn tuyến hạ chìm và so sánh với các số liệu thiết kế để đánh giá chất lượng đường hào. Các sai số về kích thước đường hào phải nằm trong giá trị cho phép theo quy định của thiết kế.
6.1.4.3 Nếu kết quả kiểm tra cho thấy chưa đạt được yêu cầu của thiết kế bắt buộc phải xử lý kể cả tim tuyến hào, kích thước hào, độ sâu đáy hào và cao trình đáy hào cho đến khi đạt yêu cầu mới cho phép hạ chìm xi phông.
6.2 Xác định thời gian hạ chìm xi phông
6.2.1 Ngày hạ chìm xi phông được xác định trên cơ sở kết quả điều tra khảo sát và tính toán đặc trưng thủy văn và lịch thủy triều. Phải chọn ngày có đỉnh triều thấp nhất trong tháng để hạ chìm. Phải theo dõi chặt chẽ tài liệu đo mực nước và đo gió từng giờ của trạm thủy văn gần công trình nhất trong suốt 30 ngày liên tục cho đến ngày hạ chìm. Nếu khu vực hạ chìm không có trạm thủy văn đo đạc các yếu tố nói trên thì nhà thầu thi công phải tổ chức đo đạc để xác định chính xác thời điểm hạ chìm xi phông.
6.2.2 Giờ mở cửa âu đà cho nước vào phải đảm bảo mở xong cửa âu trước giờ đỉnh triều cao nhất trong ngày hạ chìm.
6.2.3 Giờ hạ chìm là giờ có đỉnh triều thấp nhất trong ngày hạ chìm. Đây là thời điểm dòng chảy gần như dừng và lưu tốc rất nhỏ.
6.2.4 Một tuần trước ngày hạ chìm phải thông báo liên tục trên các phương tiện thông tin đại chúng lệnh cấm các phương tiện giao thông đi qua tuyến hạ chìm trong thời gian hạ chìm xi phông.
6.2.5 Trước giờ mở cửa âu đà phải bố trí biển báo cấm các phương tiện đi vào khu vực hạ chìm. Phải có công an và lực lượng cảnh giới ở cả hai phía thượng lưu và hạ lưu, cách tuyến hạ chìm 2,0 km về mỗi phía để ngăn không cho các phương tiện giao thông đi vào khu vực hạ chìm cho tới khi công tác hạ chìm kết thúc và khi có lệnh thông tuyến đường thủy.
6.3 Lai dắt đường ống ra tuyến công trình
Kết hợp giữa lai dắt bằng tầu và lai dắt thủ công. Chọn tốc độ lai dắt đủ chậm đảm bảo an toàn về độ bền cho đường ống.
6.4 Định vị đường ống trên tuyến hạ chìm
6.4.1 Bố trí hệ thống tời có công suất đảm bảo giữ ổn định phương dọc trong suốt quá trình hạ chìm xi phông, tham khảo hình E.1 phụ lục E.
6.4.2 Bố trí đủ tầu có tời để neo giữ theo phương ngang (phương vuông góc với tuyến hào). Các tời neo giữ phương ngang không nên phân bố đều dọc đường ống mà nên bố trí phía giữa sông dày hơn, phía bờ thưa hơn trên cơ sở xác định phân bố vận tốc dòng chẩy dọc tuyến hạ chìm, xem điều E.2 phụ lục E và giải bài toán đường ống với các tời neo giữ là một bài toán hệ thanh không gian, mà các dây tời được coi là các dây mềm (chỉ chịu kéo, không chịu nén và cũng không chịu uốn) để đảm bảo các tời chịu lực tương tự nhau và giữ đường ống nằm thẳng trên tuyến hào (đường đàn hồi của ống gần thẳng). Các lực tác dụng vào hệ thanh là lực nước và gió tác dụng lên ống, xem phụ lục E. Trên cơ sở kết quả tính toán này mà yêu cầu tời nào cần kéo căng thêm, tời nào cần thả chùng thêm.
6.4.3 Đặt các cọc tiêu được đánh số và có thước đo trên đỉnh đường ống để quan sát độ sâu hạ chìm trong suốt quá trình hạ chìm và quan sát mức độ chìm không đều của các ống. Các cọc tiêu phải đảm bảo đủ độ cao (luôn luôn nhô trên mặt nước) và phải ổn định trong suốt quá trình hạ chìm.
6.5 Thông tin liên lạc
Phải bố trí đủ phương tiện chiếu sáng, đảm bảo thông tin liên lạc thông suốt giữa ban chỉ đạo và các bộ phận thi công hạ chìm trong suốt thời gian hạ chìm. Phải có máy bộ đàm liên lạc giữa ban chỉ đạo và bộ phận kiểm tra thực nghiệm để ban chỉ đạo kịp thời ra lệnh điều khiển bơm nước và điều chỉnh kéo căng hay thả chùng các tời neo giữ, đảm bảo an toàn cho đường ống và đảm bảo hạ ống đúng tuyến thiết kế.
6.6 Bơm nước hạ chìm
6.6.1 Tính toán số lượng máy bơm theo công thức (5):
![]()
trong đó:
k là hệ số dự trữ, lấy bằng 2;
W là tổng lượng nước cần bơm vào ống, m3;
n là số máy bơm cần thiết;
Q là lưu lượng một máy bơm, m3/h;
T là thời gian dự kiến cần bơm, h.
6.6.2 Chọn vị trí đặt máy bơm thuận lợi khi bơm nước hạ chìm. Nguồn nước cấp cho máy bơm để bơm vào đường ống phải là nước ngọt.
6.6.3 Các máy bơm đều cấp nước vào một đường ống chung và nước từ đường ống chung được chia vào các ống xi phông (nếu xi phông có nhiều đường ống). Trên các đường ống đều bố trí van điều tiết, đồng hồ đo áp lực, đồng hồ đo lưu lượng, có vòi xả nước thừa và điều tiết lưu lượng vào từng ống theo yêu cầu của công tác hạ chìm. Đường ống chia nước vào các xi phông phải đủ dài đáp ứng đủ khi xi phông chìm xuống đáy hào.
6.7 Công tác kiểm tra
6.7.1 Kiểm tra xác định trạng thái ứng suất – biến dạng của đường ống
6.7.1.1 Với đường ống dài nhất thiết phải tiến hành kiểm tra thực nghiệm xác định trạng thái ứng suất – biến dạng ở mặt cắt xẩy ra ứng suất lớn nhất trong quá trình hạ chìm và một số mặt cắt khác.
6.7.1.2 Có thể dùng máy đo biến dạng và dùng cảm biến đo độ sâu (đo áp lực) đặt tại một số mặt cắt để xác định độ sâu hạ chìm trong suốt quá trình hạ chìm, dùng cảm biến điện trở (đat tric, straingate) dán tại một số mặt cắt cả theo phương đứng và theo phương ngang của ống, xem hình 3. Bắt buộc phải đo tại mặt cắt có ứng suất lớn nhất sẽ xẩy ra trong quá trình hạ chìm, để xác định trạng thái ứng suất – biến dạng của đường ống, xác định mô men uốn theo phương đứng và phương ngang, từ đó suy ra độ cong (bán kính cong) của ống theo phương đứng, phương ngang. Phương pháp tính toán kiểm tra tham khảo phụ lục F.

CHÚ DẪN:
1, 2 là đat tric điện trở;
3 là cảm biến đo độ sâu.
Hình 3 - Bố trí các đầu cảm biến
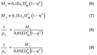
6.7.1.3 Sau khi có số liệu đo biến dạng, tính toán xác định mô men uốn ống và độ cong của ống theo các phương đứng và phương ngang, áp dụng theo các công thức sau:

trong đó:
Mx là mô men uốn theo phương ngang, N.m;
My là mô men uốn theo phương thẳng đứng, N.m;
rd là bán kính cong của ống theo phương đứng, m;
rn là bán kính cong của ống theo phương ngang, m;
E là mô đun đàn hồi của thép làm ống, N/m2;
e1 là biến dạng của cảm biến 1 theo phương dọc ống;
e2 là biến dạng của cảm biến 2 theo phương dọc ống;
![]()
Dtr là đường kính trong của ống, m;
Dng là đường kính ngoài của ống, m.
6.7.1.4 Kết quả tính toán các giá trị mô men uốn và độ cong phải nhỏ hơn giá trị cho phép như quy định của thiết kế vừa đảm bảo ống không bị phá hoại và ống hạ chìm đúng tuyến hào. Nếu không đảm bảo các điều kiện này thì phải điều chỉnh tốc độ bơm nước và điều chỉnh độ căng của các tời neo giữ theo phương dọc, phương ngang.
6.7.2 Kiểm tra sau khi ống chìm tới đáy hào
Sau khi hạ chìm xi phông nhất thiết phải cho thợ lặn kiểm tra xem đường ống chìm có đúng vị trí tuyến hào không kể cả phương dọc và phương ngang. Nếu phát hiện thấy sai lệch phải xử lý.
6.8 Thử nghiệm thủy lực sau khi đường ống chìm tới đáy hào
Sau khi ống chìm tới đáy hào phải kiểm tra thử nghiệm thủy lực theo quy định ở 5.6.
6.9 Cắt bỏ phao
Nếu công tác hạ chìm phải sử dụng phao hỗ trợ thì phải cắt bỏ phao sau khi ống đã chìm tới đáy hào. Phải có biện pháp đảm bảo an toàn lao động khi giải phóng phao.
6.10 Neo giữ ống xi phông
Biện pháp neo giữ ống xi phông không bị trôi nổi trong quá trình vận hành thực hiện theo quy định của thiết kế. Có thể áp dụng các biện pháp sau:
a) Neo giữ bằng các khối gia tải:
- Sử dụng các khối gia tải chuyên dùng bằng gang hoặc bê tông;
- Dùng các lớp vỏ bọc nặng toàn bộ đường ống;
- Dùng các khối gia tải bằng rọ đá vỏ lưới thép;
b) Lấp phủ bề mặt đường ống:
- Nếu không sử dụng khối gia tải thì áp dụng biện pháp lấp phủ bề mặt đường ống. Vật liệu lấp phủ và quy trình lấp phủ theo quy định của thiết kế;
- Có thể tham khảo cấu tạo lớp phủ quy định tại điều D.2 và hình D.2 phụ lục D;
- Sau khi lấp phủ đường ống phải kiểm tra bằng thợ lặn, nếu chưa đạt yêu cầu như thiết kế quy định phải tiến hành sửa chữa cho đến khi đạt yêu cầu.
6.11 Kiểm tra trạng thái ứng suất đường ống sau khi đã neo giữ hoặc lấp phủ bề mặt
Kiểm tra trạng thái ứng suất đường ống sau khi đã neo giữ hoặc lấp phủ bề mặt bằng phương pháp thực nghiệm và so sánh với kết quả tính toán lý thuyết. Các kết quả này không được vượt quá ứng suất cho phép:
a) Kiểm tra bằng thực nghiệm: Xác định các giá trị ứng suất tại một số mặt cắt, quy định tại 6.7.1.
b) Tính toán bằng lý thuyết: Sơ đồ tính toán là dầm (ống) trên nền đàn hồi với các tải trọng cơ bản sau:
- Trọng lượng bản thân ống và trọng lượng lớp bọc chống rỉ;
- Trọng lượng các gân gia cường và trọng lượng các cút;
- Trọng lượng nước trong ống;
- Áp lực đẩy nổi;
- Trọng lượng lớp đất phủ phía trên ống và lực đàn hồi của đất.
6.12 Các công việc khác
6.12.1 Kiểm tra lần cuối để khẳng định đã hoàn thành toàn bộ công tác hạ chìm xi phông thì phát lệnh giải phóng giao thông đường thủy.
6.12.2 Giải phóng khu lắp ráp hoàn trả lại mặt bằng.
6.12.3 Lắp ráp hoàn thiện các bộ phận còn lại của xi phông như khớp co dãn, cửa vào, cửa ra, lưới chắn rác, bể lắng cát theo đúng quy định của thiết kế
7 Kiểm tra và nghiệm thu
7.1 Quy định chung
7.1.1 Nhà thầu thi công tự tổ chức bộ phận kiểm tra các công đoạn sản xuất, thi công hạ chìm xi phông do mình đảm nhận theo đúng đồ án thiết kế và chịu trách nhiệm với chủ đầu tư về chất lượng sản phẩm sản xuất ra theo đúng quy định hiện hành.
7.1.2 Chủ đầu tư và tư vấn thiết kế tổ chức lực lượng kiểm tra, giám sát chất lượng công trình theo đúng quy định hiện hành về quản lý chất lượng công trình xây dựng.
7.1.3 Phải thành lập hội đồng kiểm tra, nghiệm thu chất lượng của ống xi phông trong các công đoạn sản xuất từ chuẩn bị vật liệu, gia công, chế tạo, lắp ráp, thử nghiệm trước khi hạ chìm, chuẩn bị hạ chìm đến khi hoàn thành toàn bộ công tác hạ chìm. Hồ sơ kiểm tra, nghiệm thu phải đảm bảo tính pháp lý và thực hiện theo quy định hiện hành.
7.2 Nội dung kiểm tra, nghiệm thu
7.2.1 Nội dung kiểm tra, nghiệm thu căn cứ vào đồ án thiết kế được duyệt. Các dụng cụ và phương tiện dùng để kiểm tra chất lượng sản phẩm phải phù hợp với các quy định về đo lường.
7.2.2 Chế tạo các đoạn ống và bộ phận của đường ống, bao gồm vật liệu, kích thước, chất lượng các mối hàn, chất lượng sơn phủ và bảo vệ bề mặt đường ống, thử thủy lực các đoạn ống.
7.2.3 Bốc dỡ và chuyên chở các đoạn ống và chi tiết đường ống tới công trường lắp ráp bao gồm: phương tiện chuyên chở; kê kích và chằng buộc giữ ổn định trong quá trình vận chuyển; cẩu bốc lên và bốc xuống; bãi để các đoạn ống; chất lượng các đoạn ống và bộ phận đường ống sau khi đã tập kết ở bãi chứa.
7.2.4 Chất lượng âu đà bao gồm: cao độ và kích thước âu đà; phương tiện kê kích và giữ ổn định đường ống trong quá trình lắp ráp.
7.2.5 Lắp ráp các đoạn ống và chi tiết thành đường ống hoàn chỉnh bao gồm các nội dung chính sau:
a) Số lượng các đọan ống;
b) Công tác hàn ống: trình độ tay nghề của công nhân hàn, loại máy hàn, que hàn, phương pháp hàn, chất lượng đường hàn;
c) Van bơm nước, van xả khí;
d) Sơn lót, sơn chống rỉ, bọc chống rỉ;
e) Thử thủy lực toàn bộ đường ống;
f) Liên kết các đường ống (nếu xi phông có nhiều đường ống);
g) Các cọc tiêu trên đỉnh ống;
h) Lắp đặt các đầu cảm biến phục vụ thí nghiệm.
7.2.6 Kiểm tra công tác hạ chìm xi phông, bao gồm các nội dung chính sau:
a) Thông báo về thời gian hạ chìm và thời gian cấm giao thông thủy qua tuyến hạ chìm trên các phương tiện thông tin đại chúng;
b) Đào hào chôn ống gồm định vị tuyến đặt ống, kích thước hào;
c) Ngày giờ mở âu đà, kích thước cửa âu;
d) Phương tiện lai dắt ống;
e) Các phương tiện thông tin liên lạc, phương tiện chiếu sáng;
f) Bố trí lực lượng cảnh giới phía thượng lưu và hạ lưu tuyến hạ chìm;
g) Phương tiện và biện pháp neo giữ đường ống;
h) Liên kết phao với đường ống gồm loại phao và số lượng phao, các liên kết, phương pháp giải phóng phao;
i) Vị trí nguồn nước và phương tiện cấp nước để hạ chìm đường ống;
k) Ngày giờ hạ chìm;
l) Công tác chuẩn bị thực nghiệm đo ứng suất – biến dạng;
m) Công tác đảm bảo an toàn lao động trong quá trình hạ chìm.
7.2.7 Kiểm tra chất lượng đường ống sau khi hạ chìm bao gồm:
a) Vị trí của ống xi phông theo phương dọc và phương ngang;
b) Ứng suất – biến dạng đường ống sau khi hạ chìm;
c) Giải phóng phao;
d) Thử nghiệm thủy lực;
e) Công tác chôn lấp đường ống và chống trôi nổi đường ống.
7.2.8 Kiểm tra thi công các hạng mục công trình khác, bao gồm
a) Khớp nối ống xi phông;
b) Cửa vào, cửa ra ống xi phông;
c) Lưới chắn rác và lưới bảo vệ ống xi phông;
d) Bể lắng chất thải rắn, ống xả cặn của ống xi phông.
7.2.9 Kiểm tra chất lượng sản phẩm sau mỗi công đoạn sản xuất và từng hạng mục công trình theo quy trình công nghệ đã lập và quy định tại các điều của tiêu chuẩn này. Nếu công đoạn nào, hạng mục công trình nào không đạt yêu cầu thì phải sửa chữa hoặc làm lại cho đúng yêu cầu của thiết kế mới được thi công các công đoạn tiếp theo.
7.2.10 Người kiểm tra chất lượng sản phẩm phải lập sổ nhật ký theo dõi kết quả kiểm tra của từng công đoạn sản xuất và từng hạng mục công trình.
7.2.11 Chỉ tiến hành tổng nghiệm thu và bàn giao công trình xi phông đưa vào sử dụng sau khi đã hoàn tất các công việc kiểm tra và nghiệm thu cho từng hạng mục công trình, cho từng công đoạn sản xuất và cho toàn bộ đường ống xi phông sau khi đã hạ chìm an toàn và ổn định theo các quy định trong tiêu chuẩn này và các quy định hiện hành khác có liên quan.
PHỤ LỤC A
(Tham khảo)
YÊU CẦU KỸ THUẬT HÀN ỐNG XI PHÔNG
A.1 Sơ đồ vị trí các loại đường hàn


CHÚ THÍCH:
a) là mối hàn dọc; b) là mối hàn ngang
Hình A.1 – Sơ đồ mối hàn ống xi phông
A.2 Yêu cầu kỹ thuật hàn ống xi phông
A.2.1 Hai mặt đầu của đoạn ống phải thẳng góc với đường tâm trục dọc ống. Tại vị trí mối hàn dọc của ống phải có cùng bán kính với bán kính đường tròn ống. Phân cấp các đường hàn của đường ống cần đảm bảo yêu cầu sau:
- Tất cả các đường hàn dọc vỏ ống phải là đường hàn cấp I;
- Các đường hàn ngang đối với công trình từ cấp II trở lên là đường hàn cấp I. Đối với công trình cấp III cấp IV là đường hàn cấp II. Các đường hàn ở đai tăng cứng, đai mố néo, mố đỡ trung gian, mối bù co giãn cửa kiểm tra là đường hàn cấp II. Còn lại là đường hàn cấp III;
- Chất lượng các loại đường hàn (cấp I, cấp II, cấp II) tham khảo quy định trong bảng A.1.
A.2.2 Khi gia công chế tạo các đoạn ống lắp nối của đường ống cần kết hợp kích cỡ của thép tấm với các quy định về vị trí các đường hàn dọc, hàn ngang đảm bảo sao cho:
a) Đối với những đường ống có đường kính lớn, các đoạn ống lắp nối được chế tạo gồm nhiều tấm thép ghép lại. Khoảng cách theo chu vi ống giữa các đường hàn dọc của các tấm kề nhau, ký hiệu là a, không được nhỏ hơn 5 lần chiều dầy vỏ ống, xem hình A.2;
b) Các đai tăng cường hàn cách đường hàn ngang theo chu vi ống một khoảng không được nhỏ hơn 100 mm;
c) Các đường hàn dọc của các đoạn ống lắp nối nhất thiết phải nằm trong các vùng quy định I, II, III và IV, xem hình A.3;
d) Các đường hàn cốt ống phải vát cạnh, góc vát 600, phần nhô lên mặt trong cột ống không quá 3 mm;
e) Các vành đai phải đặt cách đường hàn ngang của cột ống một đoạn c, xem hình A.3, quy định như sau: c ³ 0,6![]()

Hình A.2 – Khoảng cách a của các đường hàn dọc

Hình A.3 – Vị trí các đường hàn dọc của các đường ống lắp nối
Bảng A.1 – Hình dạng đường hàn và các khuyết tật bên ngoài của đường hàn cấp I, II và III
| Tên các khuyết tật | Sơ họa khuyết tật | Đường hàn cấp I | Đường hàn cấp II | Đường hàn cấp III |
| 1. Các vết lõm |
| Không cho phép | Không cho phép | h < 0,05.d không sâu hơn 1 mm. Tổng chiều dài vết lõm £ 25% chiều dài đường hàn |
| 2. Các khuyết tật nằm riêng rẽ trên bề mặt |
| Các khuyết tật riêng đường kính không lớn hơn 1 mm số lượng không quá 3 trên 25 cm đường hàn | Các khuyết tật riêng đường kính không lớn hơn 1 mm số lượng không quá 6 trên 25 cm đường hàn | Các khuyết tật riêng đường kính không lớn hơn 2 mm số lượng không quá 8 trên 25 cm đường hàn |
| 3. Các dẫy và chỗ tập trung các khuyết tật trên bề mặt |
| Không cho phép | 1 dẫy tập trung các khuyết tật có chiều dài dưới 15 mm hoặc 1 chỗ tập trung khuyết tật diện tích < 1 cm2 trên đoạn 25 cm đường hàn | 1 dẫy tập trung các khuyết tật có chiều dài dưới 20 mm hoặc 1 chỗ tập trung khuyết tật diện tích < 2 cm2 trên đoạn 25 cm đường hàn |
| 4. Chiều rộng không đều đặn theo chiều dài đường hàn, b chiều rộng thiết kế, d và e là chiều rộng lớn nhất thực tế của đường hàn |
| Đối với hàn thủ công | ||
| d-e £ 0,1.b không lớn hơn 2 mm | d-e £ 0,1b không lớn hơn 2 mm | d-e £ 0,2b không lớn hơn 4mm | ||
| Đối với đường hàn tự động d - b £ 0,3b b - e £ 0,2b | ||||
| 5. Gờ, bậc lớn của đường hàn |
| Không cho phép | Không cho phép | Không cho phép |
| 6. Sai lệch chiều cao mối hàn góc so với kích thước thiết kế K |
| K1 - K £ 0,1.K K2 - K £ 0,1.K | ||
| 7. Các vết nứt hàn không thấu bề ngoài theo chiều dọc và ngang ở đường hàn, các miệng hàn lõm không dầy, các chỗ đốt thủng và chỗ hở cục bộ |
| Không cho phép | Không cho phép | Không cho phép |
| CHÚ THÍCH: Chỉ cho phép một trong bốn loại (tên) khuyết tật số 1, 2, 3 và 4 có trên chiều dài 25 cm đường hàn | ||||
PHỤ LỤC B
(Quy định)
DUNG SAI CHO PHÉP KHI CHẾ TẠO, LẮP RÁP ĐƯỜNG ỐNG ÁP LỰC
Bảng B.1
| Tên các sai lệch chế tạo, lắp ráp | Sai lệch cho phép |
| 1. Sai lệch đường kính trong trung bình đo ở đầu mỗi đoạn cốt ống lắp nối Dtb: Dtb = - (C1 + C2) trong đó: - Lngoài là chiều dài thực tế của chu vi ngoài của hình tròn đầu đoạn cốt 0. - C1, C2 là chiều dầy thành ống ở 2 điểm đối diện trên cùng một đường kính. |
± 3 mm |
| 2. Hiệu số đường kính trong trung bình của 2 đoạn ống lắp nối với nhau | 1,5 mm + 0,0003.D0 |
| 3. Hiệu số chiều rộng các tấm thép ở trong cùng một đoạn ống. | 2 mm |
| 4. Khe hở cục bộ giữa mép trong của vành tăng cứng với mặt ngoài của dưỡng khi kiểm tra bằng dưỡng có chiều dài 1 500 mm | 2 mm trên chiều dài không quá 200 mm |
| 5. Sai lệch về chiều dài li của đoạn cốt ống theo đường sinh | ± (2mm + 0,0007.li) |
| 6. Hiệu số chiều dài ở các đường sinh của đoạn cốt ống ở các đầu hai đường kính thẳng góc với nhau | 0,0005.li, mm |
| 7. Sai lệch khoảng cách từ vành tăng cứng đến đầu mép đoạn ống | ± 20 mm |
| 8. Sai lệch khoảng cách giữa các vành tăng cứng | ± 30 mm |
| 9. Sai lệch chiều dài L của các chi tiết có hình dạng riêng (côn, cút, ba chạc…) | ± (2mm + 0,0007.L) |
| 10. Độ vát m của các mặt mút đoạn ống trơn | ± 2 mm |
| 11. Sai lệch khe hở giữa mặt trong và mặt ngoài các đoạn co giãn: |
|
| Dk | ± 0,1.K |
| Dk1 | ± 0,2.K |
| 12. Sai lệch tim ống với đường thẳng nối tâm các đoạn ống ngoài cùng trong phạm vi hai gối đỡ kề nhau LK | 0,0005.LK, mm |
| 13. Sai lệch tim mỗi đoạn ống: - Theo bình diện - Theo cao độ |
± 5 mm ± 5 mm |
| 14. Độ xê dịch tâm con lăn trong gối đỡ | ± 3 mm |
| 15. Sai lệch của độ cao tấm đỡ con lăn của gối đỡ | ± 5 mm |
| 16. Sai lệch của độ nghiêng tấm đỡ con lắp của gối đỡ. | 0,3 mm trên 100 mm chiều dài |
Phụ lục C
(Tham khảo)
HỆ SỐ MÁI DỐC CỦA HÀO THI CÔNG
Bảng C.1 - Hệ số mái dốc m của tuyến hào làm âu đà thi công lắp ráp đường ống xi phông
| Loại đất | Độ sâu hào | |
| < 2 m | >2 m | |
| Cát mịn | 1,50 | 2,00 |
| Cát hạt không đều | 1,25 | 1,50 |
| Đất lẫn sỏi sạn (sỏi sạn lớn hơn 40%) | 0,75 | 1,00 |
| Á sét | 0,67 | 1,25 |
| Sét | 0,50 | 0,75 |
| Đất đá cứng | 0,25 | 0,25 |
Bảng C.2 - Hệ số mái dốc m1 của tuyến hào đặt đường ống xi phông
| Loại đất | Độ sâu hào | |
| < 2 m | >2 m | |
| Cát mịn | 2,5 | 3,0 |
| Cát hạt trung | 2,0 | 2,5 |
| Cát hạt không đều | 1,8 | 2,3 |
| Cát hạt thô | 1,6 | 1,8 |
| Đất lẫn sỏi sạn (sỏi sạn lớn hơn 40%) | 1,0 | 1,5 |
| Á cát | 1,5 | 2,0 |
| Á sét | 1,0 | 1,5 |
| Sét | 0,5 | 1,0 |
| Đất đá cứng | 0,5 | 1,0 |
PHỤ LỤC D
(Tham khảo)
SƠ ĐỒ LIÊN KẾT VÀ CHÔN LẤP ĐƯỜNG ỐNG XI PHÔNG
D.1 Liên kết các ống xi phông

Hình D.1 – Sơ đồ liên kết các ống xi phông
D.2 Chôn lấp đường ống
D.2.1 Lấp phủ bề mặt đường ống thực hiện theo hình D.2.

Hình D.2 – Sơ đồ lớp phủ bề mặt đường ống
D.2.2 Các kích thước trong hình D.2 được xác định theo công thức sau:
a > 0,1.(1+ Dng);
B = n.(Dng + b) + b;
Hmin > 0,6 m;
b ³ 0,8.Dng khi Dng < 1 000 mm;
b = 0,8.Dng khi Dng từ 1 000 mm đến 2 000 mm;
b ³ 1,0.Dng khi Dng > 2 000 mm;
Trong đó n là số ống xi phông
PHỤ LỤC E
(Tham khảo)
NEO GIỮ ĐƯỜNG ỐNG TRÊN MẶT NƯỚC CHỜ HẠ CHÌM
E.1 Dạng neo giữ đường ống

Hình E.1 – Sơ đồ bố trí hệ thống neo giữ đường ống chờ hạ chìm
E.2 Tính toán xác định tải trọng tác dụng lên đường ống khi neo giữ trên mặt nước
E.2.1 Áp lực nước tác dụng lên 1 m dài ống xác định theo công thức sau:

trong đó:
pn là lực tác dụng của dòng chảy lên 1 m dài ống, N/m;
Cx là hệ số cản (phụ thuộc vào hình dáng vật cản);
S là diện tích mặt cản của vật vuông góc với dòng chảy, m2.
r là khối lượng riêng của nước tại vị trí hạ chìm, N/m3;
v là vận tốc dòng chảy, m/s.
E.2.2 Vận tốc dòng chảy thay đổi theo mặt cắt ngang sông và theo chiều sâu của lòng sông. Vì ống được neo trên mặt nước nên không đề cập tới vận tốc theo chiều sâu. Quy luật phân bố vận tốc được tính theo công thức sau:

trong đó:
v1 là vận tốc dòng chảy của sông tại vị trí sâu nhất, m/s;
h1 là chiều sâu dòng chảy tại vị trí sâu nhất, m;
v2 là vận tốc dòng chảy tại các vị trí tính toán, m/s;
h2 là độ sâu nước tại các vị trí tính toán, m.
E.2.3 Áp lực gió Pg, N/m2, tác động lrên 1 m2 diện tích ống xác định theo công thức sau:

trong đó:
a là hệ số tỉ lệ, thường lấy a = 1,0;
v là vận tốc gió trung bình, m/s.
PHỤ LỤC F
(Tham khảo)
TÍNH TOÁN XÁC ĐỊNH TRẠNG THÁI ỨNG SUẤT – BIẾN DẠNG CỦA ĐƯỜNG ỐNG
F.1 Xác định chiều dài giới hạn
Trong các bài toán tính toán hạ chìm xi phông thường chia ống thành 2 loại là ống ngắn và ống dài. Để biết ống xi phông có chiều dài L được coi là ống dài hay ống ngắn phải so sánh trị số L với chiều dài giới hạn [L]:
- Ống dài khi L > [L];
- Ống ngắn khi L < [L].
Chiều dài giới hạn [L] được xác định theo công thức:

trong đó:
W là mô đun chống uốn của mặt cắt ngang ống, m3;
[s] là ứng suất cho phép của đường ống, kN/m2;
go là trọng lượng 1 m dài của ống, kN/m;
p là lực đè lên ống, kN/m:
p = go + gn - pđn
pđn là lực đẩy nổi trên 1 m dài ống, kN/m;
gn là trọng lượng trên 1 m dài của nước trong ống, kN/m;
q là lực nâng trên 1 m dài ống, kN/m:
q = pđn – go
F.2 Tính toán nội lực và ứng suất
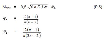
F.2.1 Trường hợp ống dài
F.2.1.1 Khi ống bị uốn cong hình chữ S, sơ đồ các ngoại lực tác dụng lên đoạn ống được mô tả tóm tắt trong hình F.1:


CHÚ DẪN:
a là độ dài đoạn ống đã chứa đầy nước;
b là độ dài đoạn ống chưa chứa nước;
p là lực đè;
q là lực nâng;
S là lực tác dụng của ống lên mặt nước;
R là phản lực của đất tác dụng lên ống.
Hình F.1 - Ống chìm dạng chữ S và sơ đồ tải trọng tác dụng
F.2.1.2 Để tính toán nội lực và ứng suất, sử dụng các công thức tính toán sau đây:
Đặt
ta có phương trình:
(F.2)
Quan hệ này được biểu thị trên đồ thị hình F.2 và hình F.3.


Hình F.2 - Đồ thị quan hệ giữa n và p/q khi p > q

Hình F.3 - Đồ thị quan hệ giữa n và p/q khi p/q < 5
a) Mô men uốn lớn nhất đối với đoạn (a):
![]()
b) Mô men uốn lớn nhất đối với đoạn (b):


Hình F.4 - Đồ thị biểu diễn mối quan hệ các trị số của hệ số ya, yb với tỷ số p/q
c) Ứng suất lớn nhất trong đoạn (a):

d) Ứng suất lớn nhất trong đoạn (b):

trong đó:
δ là chiều dầy thành ống: δ = Dng - Dtr
rtb là bán kính trung bình của ống:
![]()
e) Các hệ số ya, yb phụ thuộc vào tỷ số p/q, xem hình F.4.
F.2.2 Trường hợp ống ngắn
Do độ cứng tương đối của ống ngắn khá lớn, khi bơm nước vào để hạ chìm thì đường ống bị uốn rất ít. Quá trình chìm của ống diễn ra qua ba vị trí mô tả trên hình F.5. Trong trường hợp này vị trí 2 là vị trí nguy hiểm nhất.

Hình F.5 – Sơ đồ hạ chìm xi phông ống ngắn
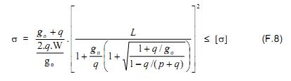
Với trường hợp này ứng suất lớn nhất xuất hiện trong ống phải đảm bảo điều kiện bền, được tính theo công thức (F.8).

Mô men uốn lớn nhất phải đảm bảo điều kiện bền, tính theo công thức (F.9)
![]()
F.2.3 Trường hợp ống có dạng công xôn bị uốn
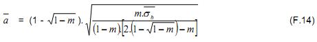
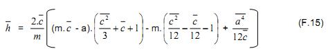
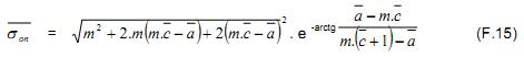
Trường hợp ống bị uốn có dạng công xôn, các bước tính toán cũng tương tự như ống có dạng chứ S đã nêu ở trên. Ứng suất xuất hiện trong ống khi hạ chìm được xác định dựa trên công thức từ công thức F.10 đến công thức F.16 có chứa các đại lượng không thứ nguyên, xem sơ đồ tính toán mô tả trên hình F.6:

Hình F.6 - Sơ đồ tính toán đường ống hạ chìm tự do ống có dạng công xôn bị uốn







trong đó:
yo là độ cao của phần ống nổi tự do trên mặt nước;
là các đại lượng không thứ nguyên;
![]()
b là chiều dài đoạn ống chưa chứa nước;
h là độ sâu của ống đã chìm dưới nước
![]()
sb là ứng suất trong đoạn b;
son là ứng suất trong đoạn ống nổi.
THƯ MỤC TÀI LIỆU THAM KHẢO
[1] TCVN 8298: 2009: Công trình thủy lợi - Chế tạo và lắp ráp thiết bị cơ khí, kết cấu thép - Yêu cầu kỹ thuật.
[2] TCVN 2245 - 99: Hệ thống ISO về dung sai và lắp ghép. Cơ sở của dung sai, sai lệch và lắp ghép.
[3] TCVN 4394: 1986: Kiểm tra không phá hủy. Phân loại và đánh giá khuyết tật mối hàn bằng phương pháp phim rơnghen.
[4] TCVN 4395: 1986: Kiểm tra không phá hủy. Kiểm tra mối hàn kim loại bằng tia rơnghen và gama
[5] TCVN 5400: 1991: Mối hàn. Yêu cầu chung về lấy mẫu để thử cơ tính.
[6] TCVN 5401: 1991: Mối hàn. Phương pháp thử uốn.
[7] TCVN 5402: 1991: Mối hàn. Phương pháp thử uốn va đập.
[8] TCVN 5403: 1991: Mối hàn. Phương pháp thử kéo.
[9] TCXD 165: 1988: Kiểm tra không phá hủy. Kiểm tra chất lượng mối hàn ống thép bằng phương pháp siêu âm.
[10] Technical standards for gates and penstocks - Hydraulic gate and penstock association - Xuất bản năm 1981.
[11] H.B. Kлингepт, A.X. Xoxapин, A.P. Фeйшиcт: Cтaльныe тpyбoпpoводы гидpoэлekтpoтaнций - иэдaтeльcтвo “энpгия” Mockвa – 1973.
[12] C.И. Лeвин: Пoдвoдны тpyбoпpoвoды - Иэдaтeльcтвo “Heдpa” Mockвa - 1970.
MỤC LỤC
Lời nói đầu
1 Phạm vi áp dụng
2 Thuật ngữ và định nghĩa
3 Yêu cầu kỹ thuật chế tạo các đoạn ống và đường ống
4 Vận chuyển đường ống
5 Thi công lắp ráp các đoạn ống và chi tiết đường ống tại hiện trường thành ống xi phông hoàn chỉnh
6 Thi công hạ chìm đường ống
7 Kiểm tra và nghiệm thu
Phụ lục A (Tham khảo): Yêu cầu kỹ thuật hàn ống xi phông
Phụ lục B (Quy định): Dung sai cho phép khi chế tạo, lắp ráp đường ống áp lực
Phụ lục C (Tham khảo): Hệ số mái dốc của hào thi công
Phụ lục D (Tham khảo): Sơ đồ liên kết và chôn lấp đường ống xi phông
Phụ lục E (Tham khảo): Neo giữ đường ống trên mặt nước chờ hạ chìm
Phụ lục F (Tham khảo): Tính toán xác định trạng thái ứng suất - biến dạng của đường ống
Thư mục tài liệu tham khảo
Bạn chưa Đăng nhập thành viên.
Đây là tiện ích dành cho tài khoản thành viên. Vui lòng Đăng nhập để xem chi tiết. Nếu chưa có tài khoản, vui lòng Đăng ký tại đây!





