- Tổng quan
- Nội dung
- VB gốc
- Tiếng Anh
- Hiệu lực
- VB liên quan
- Lược đồ
-
Nội dung hợp nhất
Tính năng này chỉ có tại LuatVietnam.vn. Nội dung hợp nhất tổng hợp lại tất cả các quy định còn hiệu lực của văn bản gốc và các văn bản sửa đổi, bổ sung, đính chính... trên một trang. Việc hợp nhất văn bản gốc và những văn bản, Thông tư, Nghị định hướng dẫn khác không làm thay đổi thứ tự điều khoản, nội dung.
Khách hàng chỉ cần xem Nội dung hợp nhất là có thể nắm bắt toàn bộ quy định hiện hành đang áp dụng, cho dù văn bản gốc đã qua nhiều lần chỉnh sửa, bổ sung.
- Tải về
Thông tư 58/2025/TT-BCT xác định giá dịch vụ phát điện thủy điện tích năng; nội dung chính của hợp đồng mua bán điện
| Cơ quan ban hành: | Bộ Công Thương |
Số công báo:
Số công báo là mã số ấn phẩm được đăng chính thức trên ấn phẩm thông tin của Nhà nước. Mã số này do Chính phủ thống nhất quản lý.
|
Đã biết
|
| Số hiệu: | 58/2025/TT-BCT | Ngày đăng công báo: |
Đã biết
|
| Loại văn bản: | Thông tư | Người ký: | Nguyễn Hoàng Long |
| Trích yếu: | Quy định phương pháp xác định giá dịch vụ phát điện của nhà máy thủy điện tích năng; nội dung chính của hợp đồng mua bán điện | ||
|
Ngày ban hành:
Ngày ban hành là ngày, tháng, năm văn bản được thông qua hoặc ký ban hành.
|
02/12/2025 |
Ngày hết hiệu lực:
Ngày hết hiệu lực là ngày, tháng, năm văn bản chính thức không còn hiệu lực (áp dụng).
|
Đang cập nhật |
|
Áp dụng:
Ngày áp dụng là ngày, tháng, năm văn bản chính thức có hiệu lực (áp dụng).
|
Đã biết
|
Tình trạng hiệu lực:
Cho biết trạng thái hiệu lực của văn bản đang tra cứu: Chưa áp dụng, Còn hiệu lực, Hết hiệu lực, Hết hiệu lực 1 phần; Đã sửa đổi, Đính chính hay Không còn phù hợp,...
|
Đã biết
|
| Lĩnh vực: | Công nghiệp Điện lực | ||
TÓM TẮT THÔNG TƯ 58/2025/TT-BCT
Quy định về giá dịch vụ phát điện và hợp đồng mua bán điện cho nhà máy thủy điện tích năng
Ngày 02/12/2025, Bộ Công Thương đã ban hành Thông tư 58/2025/TT-BCT quy định phương pháp xác định giá dịch vụ phát điện của nhà máy thủy điện tích năng và nội dung chính của hợp đồng mua bán điện. Thông tư này có hiệu lực từ ngày 17/01/2026.
Thông tư áp dụng cho các cơ quan, tổ chức, cá nhân sở hữu nhà máy thủy điện tích năng thuộc danh mục các thủy điện tích năng có giai đoạn vận hành 2025-2030, cũng như các cơ quan, tổ chức, cá nhân khác có liên quan.
- Phương pháp xác định giá dịch vụ phát điện
Giá dịch vụ phát điện của nhà máy thủy điện tích năng được xác định dựa trên các chi phí hợp lý của chủ đầu tư và tỷ suất sinh lợi nội tại không vượt quá 12%. Giá dịch vụ bao gồm giá công suất và giá điện năng, chưa bao gồm thuế giá trị gia tăng và các khoản thuế, phí khác. Giá công suất và giá điện năng được tính toán theo các công thức và phương pháp chi tiết quy định trong Thông tư.
- Nội dung chính của hợp đồng mua bán điện
Hợp đồng mua bán điện giữa bên bán điện (chủ sở hữu nhà máy thủy điện tích năng) và bên mua điện (Tập đoàn Điện lực Việt Nam hoặc các đơn vị đại diện) phải tuân theo các nội dung chính quy định tại Phụ lục III của Thông tư. Hợp đồng có thể được thỏa thuận bổ sung các điều khoản phù hợp với pháp luật Việt Nam. Ngôn ngữ sử dụng trong hợp đồng là tiếng Việt, nhưng có thể thỏa thuận sử dụng thêm tiếng Anh nếu có nhà đầu tư nước ngoài.
- Điều chỉnh giá dịch vụ phát điện
Giá dịch vụ phát điện có thể được điều chỉnh hàng năm dựa trên các yếu tố như chi phí vận hành và bảo dưỡng, tỷ giá quy đổi, và các chi phí khác. Bên bán điện và bên mua điện có trách nhiệm thỏa thuận và tính toán các phương án thanh toán chênh lệch tỷ giá và điều chỉnh giá dịch vụ phát điện theo quy định của Thông tư.
- Phụ lục và các thông số tính toán
Thông tư kèm theo các phụ lục chi tiết về thông số tính toán giá hợp đồng mua bán điện, các mẫu biểu phân tích tài chính của dự án, và các nội dung cần thiết khác để hỗ trợ việc thực hiện và đàm phán hợp đồng mua bán điện. Các thông số này bao gồm đời sống kinh tế của dự án, tỷ lệ chi phí vận hành và bảo dưỡng, và tỷ lệ trượt giá thành phần giá vận hành và bảo dưỡng.
Xem chi tiết Thông tư 58/2025/TT-BCT có hiệu lực kể từ ngày 17/01/2026
Tải Thông tư 58/2025/TT-BCT
| BỘ CÔNG THƯƠNG | CỘNG HÒA XÃ HỘI CHỦ NGHĨA VIỆT NAM |
THÔNG TƯ
Quy định phương pháp xác định giá dịch vụ phát điện của nhà máy thủy điện
tích năng; nội dung chính của hợp đồng mua bán điện
_______________
Căn cứ Luật Điện lực số 61/2024/QH15;
Căn cứ Nghị định số 40/2025/NĐ-CP ngày 26 tháng 02 năm 2025 của Chính phủ quy định chức năng, nhiệm vụ, quyền hạn và cơ cấu tổ chức của Bộ Công Thương;
Theo đề nghị của Cục trưởng Cục Điện lực;
Bộ trưởng Bộ Công Thương ban hành Thông tư quy định phương pháp xác định giá dịch vụ phát điện của nhà máy thủy điện tích năng; nội dung chính của hợp đồng mua bán điện.
Chương I
QUY ĐỊNH CHUNG
Điều 1. Phạm vi điều chỉnh và đối tượng áp dụng
1. Phạm vi điều chỉnh
Thông tư này hướng dẫn khoản 3 Điều 12, khoản 5 Điều 44, điểm g khoản 1 và điểm b khoản 8 Điều 51 của Luật Điện lực số 61/2024/QH15 về nguyên tắc tính giá điện để thực hiện dự án điện lực; phương pháp xác định giá dịch vụ phát điện của nhà máy thủy điện tích năng; nội dung chính của hợp đồng mua bán điện.
2. Thông tư này áp dụng đối với các đối tượng sau đây:
a) Các cơ quan, tổ chức, cá nhân sở hữu nhà máy thủy điện tích năng thuộc danh mục các thủy điện tích năng có giai đoạn vận hành 2025-2030 được quy định tại Quyết định số 768/QĐ-TTg ngày 15 tháng 4 năm 2025 của Thủ tướng Chính phủ về việc Phê duyệt Điều chỉnh Quy hoạch phát triển điện lực quốc gia thời kỳ 2021-2030, tầm nhìn đến năm 2050;
b) Các cơ quan, tổ chức, cá nhân khác có liên quan.
Điều 2. Giải thích từ ngữ
Trong Thông tư này, các từ ngữ dưới đây được hiểu như sau:
1. Bên bán điện là đơn vị phát điện sở hữu nhà máy thủy điện tích năng.
2. Bên mua điện là Tập đoàn Điện lực Việt Nam (hoặc đơn vị đại diện theo phân cấp, ủy quyền), Tổng công ty Điện lực miền Bắc, Tổng công ty Điện lực miền Trung, Tổng công ty Điện lực miền Nam, Tổng công ty Điện lực Thành phố Hà Nội, Tổng công ty Điện lực Thành phố Hồ Chí Minh, các đơn vị mua buôn điện khác theo quy định của thị trường điện cạnh tranh.
3. Chủ đầu tư là cơ quan, tổ chức, cá nhân sở hữu vốn, vay vốn hoặc được giao trực tiếp quản lý, sử dụng vốn để thực hiện hoạt động đầu tư dự án thủy điện tích năng.
4. Đơn vị phát điện là đơn vị điện lực sở hữu một hoặc nhiều nhà máy thủy điện tích năng.
5. Đơn vị vận hành hệ thống điện và thị trường điện là Công ty trách nhiệm hữu hạn một thành viên Vận hành hệ thống điện và thị trường điện quốc gia hoặc tên gọi khác tùy thuộc theo cấp độ phát triển thị trường điện cạnh tranh.
6. Năm cơ sở là năm tổng mức đầu tư được phê duyệt sử dụng để tính toán giá dịch vụ phát điện của nhà máy thủy điện tích năng.
7. Nhà máy thủy điện tích năng là nhà máy thủy điện sử dụng hệ thống chứa nước ở các mức cao trình khác nhau để tích trữ thủy năng và phát điện, trong đó nước được bơm từ khu vực chứa nước có cao độ thấp lên khu vực chứa nước có cao độ lớn hơn vào các thời điểm không phát điện để tích trữ thủy năng và xả xuống qua tua-bin để phát điện khi hệ thống điện có nhu cầu.
8. Tổng mức đầu tư là toàn bộ chi phí đầu tư xây dựng của dự án được xác định theo quy định của pháp luật có liên quan, phù hợp với thiết kế cơ sở và các nội dung khác của báo cáo nghiên cứu khả thi đầu tư xây dựng.
Chương II
NGUYÊN TẮC VÀ PHƯƠNG PHÁP XÁC ĐỊNH GIÁ DỊCH VỤ
PHÁT ĐIỆN CỦA NHÀ MÁY THỦY ĐIỆN TÍCH NĂNG
Điều 3. Nguyên tắc xác định giá dịch vụ phát điện
1. Giá dịch vụ phát điện của nhà máy thủy điện tích năng được xây dựng trên cơ sở:
a) Các khoản chi phí hợp lý, hợp lệ của chủ đầu tư trong toàn bộ đời sống kinh tế dự án;
b) Tỷ suất sinh lợi nội tại về tài chính (IRR) không vượt quá 12%.
2. Giá dịch vụ phát điện của nhà máy thủy điện tích năng gồm các thành phần sau:
a) Giá công suất bao gồm giá cố định bình quân, giá vận hành và bảo dưỡng cố định, được xây dựng theo phương pháp quy định tại Điều 4 Thông tư này (đồng/kW/tháng);
b) Giá điện năng là giá biến đổi, được tính toán theo chi phí mua điện thông qua hoạt động tiêu thụ điện để bơm nước lên khu vực chứa nước có cao độ lớn hơn và phát điện, thực hiện các chức năng khác nhằm nâng cao chất lượng điện năng (nếu có), được xây dựng theo phương pháp quy định tại Điều 4 Thông tư này (đồng/kWh).
3. Giá dịch vụ phát điện chưa bao gồm thuế giá trị gia tăng và các khoản thuế, phí, các khoản thu bằng tiền khác theo quy định của cơ quan quản lý nhà nước có thẩm quyền (trừ các khoản thuế, phí đã được tính trong phương án giá dịch vụ phát điện).
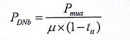
4. Giá dịch vụ phát điện để so với khung giá phát điện năm cơ sở
a) Giá dịch vụ phát điện để so với khung giá phát điện năm cơ sở (PC) (đồng/kWh) không vượt quá khung giá phát điện loại hình nhà máy thủy điện tích năng do Bộ trưởng Bộ Công Thương ban hành tại năm cơ sở, trong đó giá dịch vụ phát điện để so với khung giá phát điện năm cơ sở được tính toán trên cơ sở các thành phần chi phí tương ứng với thành phần chi phí tính toán khung giá phát điện, như sau:

Trong đó:
|
| PCS | Giá công suất quy định tại khoản 1 Điều 4 Thông tư này (đồng/kW/tháng); |
|
| Tmax | Số giờ vận hành công suất cực đại phù hợp với thiết kế cơ sở hoặc thiết kế kỹ thuật được duyệt tương ứng với tổng mức đầu tư được sử dụng trong tính toán giá dịch vụ phát điện; |
|
| PĐNb: | Giá điện năng năm cơ sở quy định tại khoản 2 Điều 4 Thông tư này (đồng/kWh). |
b) Trường hợp năm cơ sở không có khung giá phát điện, giá dịch vụ phát điện được tính toán quy đổi các thành phần chi phí tương ứng để so với khung giá phát điện gần nhất sau năm cơ sở.
Điều 4. Phương pháp xác định giá công suất và giá điện năng năm cơ sở của nhà máy thủy điện tích năng
1. Giá công suất năm cơ sở PCS (đồng/kW/tháng), được xác định theo công thức sau:

Trong đó:
|
| FC: | Giá cố định bình quân được xác định theo quy định tại Điều 5 Thông tư này (đồng/kW/tháng); |
|
| FOMCb: | Giá vận hành và bảo dưỡng cố định năm cơ sở được xác định theo quy định tại Điều 6 Thông tư này (đồng/kW/tháng). |
2. Giá điện năng (PĐNb) (đồng/kWh) năm cơ sở, được xác định theo công thức sau:

Trong đó:
|
| µ: | Hiệu suất chu trình bơm - phát do bên bán điện và bên mua điện thỏa thuận không thấp hơn thiết kế cơ sở/thiết kế kỹ thuật tương ứng với tổng mức đầu tư sử dụng để tính toán giá điện hoặc thông số của nhà chế tạo thiết bị (%); |
|
| ttt: | Tỷ lệ điện tự dùng và tổn thất máy biến áp tăng áp của nhà máy, tổn thất đường dây đến điểm giao nhận điện với hệ thống điện quốc gia (nếu có) do bên bán điện và bên mua điện thỏa thuận hoặc áp dụng theo văn bản của cơ quan có thẩm quyền (nếu có) (%). Trường hợp do hai bên thỏa thuận thì căn cứ theo thiết kế cơ sở được duyệt hoặc theo tài liệu kỹ thuật của nhà chế tạo thiết bị tại thời điểm đàm phán (nếu có) nhưng không vượt quá giá trị tại thiết kế cơ sở được duyệt; |
|
| Pmua: | Đơn giá bán lẻ điện giờ thấp điểm áp dụng cho các ngành sản xuất quy định tại Quyết định quy định về giá bán điện do Bộ trưởng Bộ Công Thương ban hành (đồng/kWh). |
3. Chi phí thí nghiệm, chạy thử, nghiệm thu của nhà máy thủy điện tích năng: Việc thanh toán chi phí thí nghiệm, chạy thử, nghiệm thu phát sinh trước ngày vận hành thương mại do bên bán điện và bên mua điện thỏa thuận bảo đảm không tính trùng trong tổng mức đầu tư dự án được phê duyệt.
Điều 5. Phương pháp xây dựng giá cố định bình quân của nhà máy thủy điện tích năng
1. Giá cố định bình quân của nhà máy điện (FC) được xác định theo phân tích tài chính của dự án theo Biểu mẫu 1 và Biểu mẫu 2 quy định tại Phụ lục II ban hành kèm theo Thông tư này. Các thông số đầu vào để xây dựng FC được xác định theo quy định tại khoản 2 Điều này.
2. Thông số đầu vào chính được sử dụng trong tính toán FC
a) Chi phí đầu tư: Chi phí đầu tư được xác định trên cơ sở tổng mức đầu tư có hiệu lực tại thời điểm đàm phán giá dịch vụ phát điện được sử dụng để tính toán giá dịch vụ phát điện, bao gồm toàn bộ chi phí thuộc trách nhiệm đầu tư của bên bán điện tính đến điểm đấu nối của nhà máy điện nhằm thực hiện cung cấp năng lượng để cân bằng phụ tải cũng như cung cấp các chức năng khác (nếu có) để duy trì hệ thống điện quốc gia vận hành ổn định, tin cậy gồm các hạng mục: nhà máy điện; cơ sở hạ tầng, chi phí đầu tư lưới điện từ nhà máy điện đến điểm đấu nối, các chi phí liên quan khác;
b) Đời sống kinh tế: xác định theo quy định tại Phụ lục I ban hành kèm theo Thông tư này, trừ trường hợp có văn bản của cơ quan nhà nước có thẩm quyền phê duyệt đời sống kinh tế của dự án khác với quy định tại Thông tư này thì áp dụng theo văn bản đó (năm);
c) Công suất lắp đặt của nhà máy điện theo thiết kế được duyệt (kW);
d) Thời gian trích khấu hao từng nhóm tài sản cố định chính (năm): xác định trên cơ sở thời gian trích khấu hao của từng nhóm tài sản cố định chính theo khung thời gian trích khấu hao theo quy định của pháp luật có liên quan trong từng thời kỳ hoặc văn bản của cơ quan nhà nước có thẩm quyền cho phép trích khấu hao khác (nếu có);
đ) Tỷ lệ vốn chủ sở hữu, vốn vay và phân kỳ vốn đầu tư trong tổng mức đầu tư được xác định theo quyết định phê duyệt dự án đầu tư, thực tế huy động vốn cho dự án tại thời điểm đàm phán, phù hợp với quy định do cơ quan nhà nước có thẩm quyền ban hành. Tỷ lệ vốn chủ sở hữu tối thiểu là 15% tổng mức đầu tư dự án;
e) Lãi suất vay vốn và thời gian trả nợ vay trong thời gian vận hành: được xác định trên cơ sở hợp đồng vay vốn, các văn bản, tài liệu giữa chủ đầu tư và các tổ chức tín dụng, ngân hàng cho vay.
Trường hợp tổng vốn vay tại các hợp đồng vay vốn hoặc các văn bản tài liệu có tính pháp lý giữa chủ đầu tư và các tổ chức tín dụng thấp hơn tổng vốn vay trong phương án tính toán giá điện, phần vốn vay còn thiếu được bên bán điện và bên mua điện thỏa thuận trên cơ sở nguyên tắc: Thời gian trả nợ vay tối thiểu là 10 năm và quy định về lãi suất vốn vay như sau:
e1) Lãi suất vốn vay ngoại tệ được xác định bằng lãi suất bình quân SOFR (Secured Overnight Financing Rate) kỳ hạn bình quân 180 ngày (180 Days - Average) của 36 tháng liền kề tính từ thời điểm ngày đầu tiên của tháng 3, tháng 6, tháng 9 hoặc tháng 12 gần nhất của năm đàm phán được công bố bởi Fed (Trang thông tin điện tử: www.newyorkfed.org) cộng với tỷ lệ các khoản phí thu xếp khoản vay của ngân hàng là 3%/năm;
e2) Lãi suất vốn vay nội tệ được xác định bằng trung bình của lãi suất tiền gửi bằng đồng Việt Nam kỳ hạn 12 tháng trả sau dành cho khách hàng cá nhân của 60 tháng trước liền kề tính từ thời điểm ngày đầu tiên của tháng 3, tháng 6, tháng 9 hoặc tháng 12 gần nhất của năm đàm phán của bốn ngân hàng thương mại (Ngân hàng thương mại cổ phần Ngoại thương Việt Nam, Ngân hàng thương mại cổ phần Công thương Việt Nam, Ngân hàng thương mại cổ phần Đầu tư và Phát triển Việt Nam, Ngân hàng Nông nghiệp và Phát triển nông thôn Việt Nam hoặc đơn vị kế thừa hợp pháp của các ngân hàng này) cộng với tỷ lệ dịch vụ phí của các ngân hàng là 3%/năm.
g) Thuế suất thuế thu nhập doanh nghiệp, các loại thuế, phí khác: xác định theo quy định của pháp luật có liên quan.
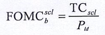
Điều 6. Phương pháp xây dựng giá vận hành và bảo dưỡng cố định của nhà máy thủy điện tích năng
Giá vận hành và bảo dưỡng cố định Năm cơ sở (FOMCb) (đồng/kW/tháng) được xác định như sau:

Trong đó:
|
|
| Giá vận hành và bảo dưỡng theo chi phí sửa chữa lớn và các chi phí khác năm cơ sở, được xác định theo quy định tại khoản 1 Điều này (đồng/kW/tháng); |
|
|
| Giá vận hành và bảo dưỡng theo chi phí nhân công năm cơ sở, được xác định theo quy định tại khoản 2 Điều này (đồng/kW/tháng). |
1. Giá vận hành và bảo dưỡng theo chi phí sửa chữa lớn và các chi phí khác năm cơ sở (
) (đồng/kW/tháng) được xác định theo công thức sau:

Trong đó:
|
| Plđ: | Công suất lắp đặt của nhà máy điện theo thiết kế được duyệt (kW); |
|
| TCscl: | Tổng chi phí sửa chữa lớn và chi phí khác (đồng/tháng) tại năm cơ sở được xác định như sau: |

Trong đó:
|
| VĐTXD+TB: | Tổng chi phí xây dựng và chi phí thiết bị được xác định trên cơ sở tổng mức đầu tư quy định tại điểm a khoản 2 Điều 5 Thông tư này (đồng); |
|
| kscl: | Tỷ lệ chi phí sửa chữa lớn và chi phí khác (%) của nhà máy điện do bên bán điện và bên mua điện thỏa thuận và không vượt quá quy định tại Phụ lục I ban hành kèm theo Thông tư này. |
2. Giá vận hành và bảo dưỡng theo chi phí nhân công năm cơ sở (
) (đồng/kW/tháng) được xác định theo công thức sau:

Trong đó:
|
| Plđ: | Công suất lắp đặt của nhà máy điện theo thiết kế được duyệt (kW); |
|
| TCnc: | Tổng chi phí nhân công (đồng/tháng) tại năm cơ sở được xác định như sau: |

Trong đó:
|
| VĐTXD+TB: | Tổng chi phí xây dựng và chi phí thiết bị được xác định trên cơ sở tổng mức đầu tư quy định tại điểm a khoản 2 Điều 5 Thông tư này (đồng); |
|
| knc: | Tỷ lệ chi phí nhân công (%) của nhà máy điện do bên bán điện và bên mua điện thỏa thuận và không vượt quá quy định tại Phụ lục I ban hành kèm theo Thông tư này. |
Chương III
NGUYÊN TẮC, PHƯƠNG PHÁP XÁC ĐỊNH GIÁ HỢP ĐỒNG MUA
BÁN ĐIỆN THEO TỪNG NĂM CỦA HỢP ĐỒNG MUA BÁN ĐIỆN
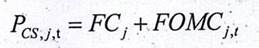
Điều 7. Nguyên tắc xác định giá cố định từng năm của hợp đồng mua bán điện
1. Bên bán điện và bên mua điện có quyền thỏa thuận áp dụng FC cho từng năm trong thời hạn hợp đồng. Trường hợp bên bán điện và bên mua điện thống nhất quy đổi FC đã thỏa thuận thành giá cố định từng năm thì việc xác định các mức giá cố định này phải tuân thủ các nguyên tắc quy định tại khoản 2 Điều này.
2. Trên cơ sở các điều kiện vay vốn thực tế và khả năng tài chính của dự án, bên bán điện và bên mua điện thỏa thuận FC thành giá cố định từng năm (FCj - Giá cố định năm j) với điều kiện bảo đảm giá cố định bình quân không thay đổi so với mức giá đã được bên bán điện và bên mua điện thỏa thuận và tuân thủ theo các nguyên tắc sau:
a) Tỷ suất chiết khấu tài chính khi tính toán giá cố định từng năm (do bên bán điện và bên mua điện thỏa thuận) bằng tỷ suất sinh lợi nội tại về tài chính (IRR) của nhà máy điện;
b) Chủ đầu tư thực hiện nghĩa vụ hoàn trả các khoản vay cho đầu tư xây dựng nhà máy điện theo thời hạn hoàn trả vốn vay.
Điều 8. Nguyên tắc điều chỉnh giá dịch vụ phát điện từng năm trong hợp đồng mua bán điện
1. Các thành phần giá vận hành và bảo dưỡng của nhà máy thủy điện tích năng được điều chỉnh theo nguyên tắc sau:
a) Thành phần giá vận hành và bảo dưỡng theo chi phí sửa chữa lớn và chi phí khác được điều chỉnh theo tỷ lệ trượt chi phí bình quân quy định tại Phụ lục I ban hành kèm theo Thông tư này. Bên bán điện và bên mua điện xem xét thỏa thuận, thống nhất cơ chế điều chỉnh thành phần giá vận hành và bảo dưỡng theo chi phí sửa chữa lớn và chi phí khác đối với các hạng mục có nguồn gốc ngoại tệ (nếu có);
b) Thành phần giá vận hành và bảo dưỡng theo chi phí nhân công được điều chỉnh theo chỉ số giá tiêu dùng (CPI) do Cơ quan Thống kê quốc gia công bố nhưng không vượt quá 2,5%/năm.
2. Hằng năm, căn cứ tổng vốn vay ngoại tệ, kế hoạch trả nợ vốn vay ngoại tệ, số liệu trả nợ gốc vay thực tế, tỷ giá quy đổi đã được bên bán điện và bên mua điện thỏa thuận trong phương án giá dịch vụ phát điện, tỷ giá quy đổi thực hiện năm liền kề trước, bên bán điện và bên mua điện thực hiện tính toán và thỏa thuận phương án thanh toán chênh lệch tỷ giá. Chênh lệch tỷ giá (FED) (đồng) được tính toán theo công thức sau:

Trong đó:
m: Số loại ngoại tệ trong phương án giá dịch vụ phát điện bên bán điện và bên mua điện thống nhất (loại);
n: Số lần trả gốc ngoại tệ i trong năm tính toán (lần);
Di,j: Số nợ gốc ngoại tệ trả thực tế lần j của loại ngoại tệ i trong năm tính toán;
: Tỷ giá quy đổi lần thanh toán j của loại ngoại tệ i trong năm tính toán;
: Tỷ giá quy đổi cơ sở loại ngoại tệ i bên bán điện và bên mua điện thống nhất trong phương án giá dịch vụ phát điện (.../đồng).
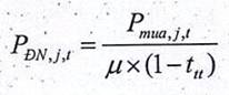
Điều 9. Phương pháp xác định giá hợp đồng mua bán điện của nhà máy thủy điện tích năng tại thời điểm thanh toán
1. Giá hợp đồng mua bán điện tại thời điểm thanh toán tiền điện tháng t, năm j bao gồm thành phần giá công suất
(đồng/kW/tháng) và thành phần giá điện năng PĐN,j,t (đồng/kWh) được quy định như sau:
a) Giá công suất tháng t, năm j được xác định theo công thức sau:
![]()
Trong đó:
|
| FCj: | Giá cố định năm j được xác định theo quy định tại Điều 5, Điều 7 Thông tư này (đồng/kW/tháng); |
|
| FOMCj,t: | Giá vận hành và bảo dưỡng cố định tháng t, năm j được xác định theo quy định tại khoản 2 Điều này (đồng/kW/tháng). |
b) Giá điện năng tháng t, năm j được xác định theo công thức sau:

Trong đó:
|
| µ:
| Hiệu suất chu trình bơm - phát theo quy định tại khoản 2 Điều 4 Thông tư này (%); |
|
| ttt: | Tỷ lệ điện tự dùng và tổn thất máy biến áp tăng áp của nhà máy, tổn thất đường dây đến điểm giao nhận điện với hệ thống điện quốc gia (nếu có) theo quy định tại khoản 2 Điều 4 Thông tư này (%); |
|
| Pmua,j,t
| Đơn giá mua điện bình quân (theo giá bán lẻ điện cho các ngành sản xuất quy định tại Quyết định quy định về giá bán điện do Bộ trưởng Bộ Công Thương ban hành) trong các giờ bơm nước của tháng t năm j theo yêu cầu của Đơn vị vận hành hệ thống điện và thị trường điện quốc gia (đồng/kWh). |
2. Giá vận hành và bảo dưỡng cố định tháng t, năm j được xác định theo công thức sau:
![]()
Trong đó:
|
|
| Giá vận hành và bảo dưỡng theo chi phí sửa chữa lớn và các chi phí khác năm j, được xác định theo quy định tại điểm a khoản này (đồng/kW/tháng); |
|
|
| Giá vận hành và bảo dưỡng theo chi phí nhân công tháng t, năm j, được xác định theo quy định tại điểm b khoản này (đồng/kW/tháng). |
a) Thành phần
được xác định theo công thức sau:
![]()
Trong đó:
|
|
| Giá vận hành và bảo dưỡng theo chi phí sửa chữa lớn và chi phí khác năm cơ sở được xác định theo phương pháp quy định tại khoản 1 Điều 6 Thông tư này; |
|
| i: | Tỷ lệ trượt giá thành phần giá vận hành và bảo dưỡng theo chi phí sửa chữa lớn và chi phí khác theo quy định tại Phụ lục I ban hành kèm theo Thông tư này; |
|
| l: | Số thứ tự năm thanh toán tính từ Năm cơ sở (đối với Năm cơ sở l=1). |
b) Thành phần
được xác định như sau:

Trong đó:
|
|
| Giá vận hành và bảo dưỡng theo chi phí nhân công năm cơ sở được xác định theo phương pháp quy định tại khoản 2 Điều 6 Thông tư này; |
|
| i1: | Tỷ lệ trượt giá thành phần giá vận hành và bảo dưỡng theo chi phí nhân công, xác định theo tỷ lệ chỉ số CPI năm (j-1) so với năm (j-2) do Cơ quan Thống kê quốc gia ban hành trong tháng 12 năm (j-1) nhưng không vượt quá 2,5%/năm; |
|
| l: | Số thứ tự năm thanh toán tính từ Năm cơ sở (đối với Năm cơ sở l = 1, i1 = 0). |
Chương IV
HỢP ĐỒNG MUA BÁN ĐIỆN
Điều 10. Nội dung chính hợp đồng mua bán điện
1. Nội dung chính hợp đồng mua bán điện quy định tại Phụ lục III ban hành kèm theo Thông tư này là cơ sở cho bên bán điện và bên mua điện thỏa thuận và ký kết. Bên bán điện và bên mua điện có quyền thỏa thuận, thống nhất bổ sung các điều khoản được quy định cụ thể trong hợp đồng mua bán điện phù hợp quy định pháp luật của Việt Nam.
2. Ngôn ngữ sử dụng là tiếng Việt. Trường hợp bên bán điện có nhà đầu tư nước ngoài, bên bán điện và bên mua điện có thể thỏa thuận sử dụng thêm hợp đồng với ngôn ngữ sử dụng bằng tiếng Anh.
Điều 11. Tài liệu phục vụ đàm phán hợp đồng mua bán điện giữa bên bán điện và bên mua điện
1. Dự thảo hợp đồng mua bán điện theo các nội dung chính quy định tại Phụ lục III ban hành kèm theo Thông tư này.
2. Chấp thuận chủ trương đầu tư hoặc quyết định chủ trương đầu tư hoặc giấy chứng nhận đăng ký đầu tư của dự án.
3. Quyết định đầu tư xây dựng công trình kèm theo thuyết minh và báo cáo thẩm định dự án đầu tư nhà máy của tư vấn độc lập, các tài liệu kèm theo.
4. Quyết định phê duyệt tổng mức đầu tư của dự án có hiệu lực tại thời điểm đàm phán giá dịch vụ phát điện và các nội dung chính trong thiết kế cơ sở của dự án đầu tư có liên quan đến việc đàm phán hợp đồng mua bán điện, báo cáo thẩm định thiết kế cơ sở và văn bản thông báo kết quả thẩm định thiết kế cơ sở, thẩm định tổng mức đầu tư của cơ quan quản lý nhà nước về xây dựng theo quy định (nếu có).
5. Thỏa thuận đấu nối nhà máy điện vào hệ thống điện quốc gia kèm theo phương án đấu nối của nhà máy thủy điện tích năng.
6. Hợp đồng vay vốn hoặc các văn bản, tài liệu giữa chủ đầu tư và các bên cho vay, kế hoạch hoặc thực tế giải ngân các nguồn vốn vay.
7. Tài liệu tính toán tổn thất công suất và điện năng của máy biến áp, đường dây từ máy biến áp tăng áp đến điểm đấu nối với hệ thống điện quốc gia và tài liệu tính toán điện tự dùng trong nhà máy thủy điện tích năng.
8. Các tài liệu liên quan khác (nếu có).
Chương V
TỔ CHỨC THỰC HIỆN
Điều 12. Trách nhiệm của Cục Điện lực
Hướng dẫn và kiểm tra việc thực hiện quy định tại Thông tư này. Trong trường hợp cần thiết, đề xuất việc sửa đổi, bổ sung Thông tư để phù hợp với nhu cầu thực tiễn và đồng bộ với quy định pháp luật có liên quan.
Điều 13. Trách nhiệm của Đơn vị vận hành hệ thống điện và thị trường điện
1. Theo từng giai đoạn, tính toán xác định nhu cầu lắp đặt, quy mô công suất của nhà máy thủy điện tích năng, bảo đảm phù hợp Quy hoạch phát triển điện lực quốc gia, nhu cầu hệ thống điện.
2. Lập kế hoạch và lập lịch huy động công suất các tổ máy của nhà máy thủy điện tích năng phục vụ yêu cầu vận hành an toàn và tối ưu hệ thống điện quốc gia; xác định và thông báo kế hoạch vận hành, thời điểm bơm nước, phát điện và thực hiện các chức năng khác nhằm nâng cao chất lượng điện năng hệ thống điện quốc gia từ nhà máy thủy điện tích năng phù hợp với tình hình phụ tải và cân bằng hệ thống.
3. Phối hợp với bên bán điện, bên mua điện và các bên liên quan trong quá trình thực hiện hợp đồng mua bán điện, bảo đảm việc thực hiện các chức năng khác nhằm nâng cao chất lượng điện năng hệ thống điện quốc gia đúng quy định kỹ thuật và phù hợp với các quy định của pháp luật về vận hành hệ thống điện và thị trường điện.
4. Vận hành tối ưu hệ thống điện khi thực hiện điều độ, huy động công suất các tổ máy và thực hiện các chức năng khác của nhà máy thủy điện tích năng.
Điều 14. Trách nhiệm của Tập đoàn Điện lực Việt Nam
Chủ trì, phối hợp với bên mua điện, bên bán điện tính toán, thống nhất phương án thanh toán chênh lệch tỷ giá trong thực hiện hợp đồng mua bán điện theo quy định tại Thông tư này.
Điều 15. Trách nhiệm của Bên mua điện
1. Chủ trì, phối hợp với bên bán điện tính toán, thống nhất phương án thanh toán chênh lệch tỷ giá trong thực hiện hợp đồng mua bán điện theo quy định tại Thông tư này (nếu có).
2. Đàm phán hợp đồng mua bán điện với bên bán điện theo quy định tại Thông tư này; chịu trách nhiệm, bảo đảm tính chính xác, hợp lý, hợp lệ của số liệu, tài liệu cung cấp cho cơ quan liên quan trong quá trình kiểm tra (nếu có).
3. Phối hợp với bên bán điện tính toán, thống nhất chênh lệch tỷ giá trong thực hiện hợp đồng mua bán điện theo quy định tại Thông tư này, cung cấp cho Tập đoàn Điện lực Việt Nam để xem xét phương án thanh toán.
Điều 16. Trách nhiệm của Bên bán điện
1. Đàm phán với bên mua điện về hợp đồng mua bán điện theo quy định; chịu trách nhiệm, bảo đảm tính chính xác, hợp lý, hợp lệ của số liệu, tài liệu cung cấp.
2. Cung cấp đầy đủ các thông tin, chịu trách nhiệm, bảo đảm tính chính xác, hợp lý, hợp lệ của số liệu, tài liệu cung cấp cho các đơn vị, cơ quan liên quan trong quá trình đàm phán.
3. Cung cấp thông tin cho Bên mua điện và Đơn vị vận hành hệ thống điện và thị trường điện về các chức năng khác của nhà máy thủy điện tích năng nhằm nâng cao chất lượng điện năng hệ thống điện quốc gia mà nhà máy thủy điện tích năng đã được đầu tư, xây dựng.
4. Phối hợp với bên mua điện tính toán, thống nhất phương án thanh toán chênh lệch tỷ giá trong thực hiện hợp đồng mua bán điện hằng năm theo quy định tại Thông tư này (nếu có).
5. Bồi thường cho Bên mua điện khoản chi phí do thiệt hại thực tế khi bên bán điện không đáp ứng yêu cầu về công suất khả dụng tại thời điểm hệ thống cần huy động theo nguyên tắc quy định tại phụ lục hợp đồng mua bán điện và được Bên bán điện, Bên mua điện thỏa thuận trong quá trình ký kết hợp đồng mua bán điện.
Điều 17. Điều chỉnh giá dịch vụ phát điện
Bên bán điện và bên mua điện thực hiện đàm phán lại giá dịch vụ phát điện tại hợp đồng mua bán điện đã ký theo quy định tại khoản 4 Điều 52 của Luật Điện lực số 61/2024/QH15.
Điều 18. Hiệu lực thi hành
1. Thông tư này có hiệu lực thi hành kể từ ngày 17 tháng 01 năm 2026.
2. Kể từ ngày Thông tư này có hiệu lực, các nhà máy thủy điện tích năng chưa ký hợp đồng mua bán điện thì thực hiện theo quy định của Thông tư này./.
| Nơi nhận: | KT. BỘ TRƯỞNG |
Phụ lục I
CÁC THÔNG SỐ ĐƯỢC SỬ DỤNG TÍNH TOÁN
GIÁ HỢP ĐỒNG MUA BÁN ĐIỆN
(Ban hành kèm theo Thông tư số 58/2025/TT-BCT ngày 02 tháng 12 năm 2025
của Bộ trưởng Bộ Công Thương)
| TT | Hạng mục | Thông số |
|---|---|---|
| I | Đời sống kinh tế | 40 năm |
| II | Tỷ lệ chi phí vận hành và bảo dưỡng của nhà máy (%/năm) |
|
| 1 | Tỷ lệ chi phí sửa chữa lớn và chi phí khác (kscl) |
|
| 1.1 | Quy mô công suất từ 150MW trở xuống | 1,2% |
| 1.2 | Quy mô công suất từ 151MW đến 300MW | 0,9% |
| 1.3 | Quy mô công suất từ 301 MW trở lên | 0,6% |
| 2 | Tỷ lệ chi phí nhân công (knc) |
|
| 2.1 | Quy mô công suất từ 150MW trở xuống | 0,8% |
| 2.2 | Quy mô công suất từ 151MW đến 300MW | 0,5% |
| 2.3 | Quy mô công suất từ 301 MW trở lên | 0,3% |
| III | Tỷ lệ trượt thành phần giá vận hành và bảo dưỡng theo chi phí sửa chữa lớn và chi phí khác (%/năm) | 2,5%/năm |
Phụ lục II
CÁC MẪU BIỂU PHÂN TÍCH TÀI CHÍNH CỦA DỰ ÁN
(Ban hành kèm theo Thông tư số 58 /2025/TT-BCT ngày 02 tháng 12 năm 2025 của Bộ trưởng Bộ Công Thương)
Biểu 1 – Dự toán kết quả kinh doanh
Đơn vị tính:……………
| STT | Nội dung | Năm N | Năm N+1 | Năm N+2 | … | Tổng cộng |
| I | Tổng thu nhập |
|
|
|
|
|
| 1 | Doanh thu từ bán điện |
|
|
|
|
|
| 2 | Lợi ích khác thu được từ dự án (nếu có) |
|
|
|
|
|
| 3 | Trợ giá (nếu có) |
|
|
|
|
|
| II | Tổng chi phí |
|
|
|
|
|
| 1 | Chi phí khấu hao tài sản cố định |
|
|
|
|
|
| 2 | Chi phí vận hành và bảo dưỡng |
|
|
|
|
|
| 3 | Chi phí khác (nếu có) |
|
|
|
|
|
| 4 | Chi phí lãi vay |
|
|
|
|
|
| III | Lợi nhuận trước thuế (I)-(II) |
|
|
|
|
|
| IV | Thuế thu nhập doanh nghiệp |
|
|
|
|
|
| V | Lợi nhuận sau thuế (III)-(IV) |
|
|
|
|
|
Ghi chú: Doanh thu từ bán điện chưa bao gồm thuế giá trị gia tăng, thuế tài nguyên nước, tiền cấp quyền khai thác tài nguyên nước, phí môi trường rừng, phí bảo vệ môi trường và các loại thuế phí khác (nếu có). Biểu 01 lập từ năm bắt đầu có thu nhập.
Biểu 2 - Dòng tích lũy tài chính và các chỉ tiêu tài chính
Đơn vị tính:……………
| STT | Nội dung | … | Năm N-1 | Năm N | Năm N+1 | … | Tổng cộng |
| I | Nguồn |
|
|
|
|
|
|
| 1 | Doanh thu từ bán điện |
|
|
|
|
|
|
| 2 | Lợi ích khác thu được từ dự án (nếu có) |
|
|
|
|
|
|
| 3 | Trợ giá (nếu có) |
|
|
|
|
|
|
| 4 | Giá trị còn lại của Tài sản cố định (tính vào năm cuối dự án) |
|
|
|
|
|
|
| 5 | Giá trị thu hồi vốn lưu động (tính vào năm cuối dự án) |
|
|
|
|
|
|
| II | Sử dụng |
|
|
|
|
|
|
| 1 | Vốn chủ sở hữu, vốn vay (phân bổ theo tiến độ dự án) |
|
|
|
|
|
|
| 2 | Chi phí khác (nếu có) |
|
|
|
|
|
|
| 3 | Trả gốc vay |
|
|
|
|
|
|
| 4 | Chi phí lãi vay |
|
|
|
|
|
|
| 5 | Thuế thu nhập doanh nghiệp |
|
|
|
|
|
|
| III | Tích lũy tài chính (I)-(II) |
|
|
|
|
|
|
| IV | Tích lũy tài chính chiết khấu |
|
|
|
|
|
|
| V | Tích lũy tài chính chiết khấu lũy kế |
|
|
|
|
|
|
Ghi chú: Doanh thu từ bán điện chưa bao gồm thành phần vận hành và bảo dưỡng, thuế giá trị gia tăng, thuế tài nguyên nước, tiền cấp quyền khai thác tài nguyên nước, phí môi trường rừng, và các loại thuế phí khác (nếu có).
Biểu 02 lập từ năm bắt đầu xây dựng.
Phụ lục III
NỘI DUNG CHÍNH HỢP ĐỒNG MUA BÁN ĐIỆN
(Ban hành kèm theo Thông tư số 58/2025/TT-BCT ngày 02 tháng 12 năm
2025 của Bộ trưởng Bộ Công Thương)
CỘNG HÒA XÃ HỘI CHỦ NGHĨA VIỆT NAM
Độc lập - Tự do - Hạnh phúc
________________________
HỢP ĐỒNG MUA BÁN ĐIỆN
NHÀ MÁY THỦY ĐIỆN TÍCH NĂNG ……………………………………
Giữa
CÔNG TY [tên công ty]
(BÊN BÁN ĐIỆN)
- và -
(tên công ty)
(BÊN MUA ĐIỆN)
HỢP ĐỒNG SỐ: ……./20…/HĐ-NMĐ-[tên Nhà máy thủy điện tích năng]
(Địa danh) …, tháng …/20..…
CỘNG HÒA XÃ HỘI CHỦ NGHĨA VIỆT NAM
Độc lập - Tự do - Hạnh phúc
________________________
HỢP ĐỒNG MUA BÁN ĐIỆN
Căn cứ Luật Điện lực ngày 30 tháng 11 năm 2024;
Căn cứ Luật Thương mại ngày 14 tháng 6 năm 2005;
Căn cứ Bộ luật Dân sự ngày 24 tháng 11 năm 2015;
Căn cứ Thông tư số 58/2025/TT-BCT của Bộ trưởng Bộ Công Thương quy định phương pháp xác định giá dịch vụ phát điện của nhà máy thủy điện tích năng; nội dung chính của hợp đồng mua bán điện;1
Căn cứ nhu cầu mua, bán điện của Bên bán điện và Bên mua điện,
Hôm nay, ngày ……. tháng ……. năm ……. , tại ……………. .
Chúng tôi gồm:
Bên bán điện:______________________________________________
Địa chỉ: __________________________________________________
Điện thoại: ____________________Fax: _______________________
Mã số thuế: _______________________________________________
Tài khoản: ___________________ Ngân hàng ___________________
________________________________________________________
Đại diện: _________________________________________________
Chức vụ: ___________________________ được sự ủy quyền của ____
________________________________________ theo văn bản ủy quyền
số _______________________, ngày _____ tháng _____ năm ____
Bên mua điện:(tên công ty)
Địa chỉ: __________________________________________________
Điện thoại: ____________________Fax: _______________________
Mã số thuế: _______________________________________________
Tài khoản: ___________________ Ngân hàng ___________________
________________________________________________________
Đại diện: _________________________________________________
Chức vụ: ___________________________ được sự ủy quyền của ____
______________________________________ theo văn bản ủy quyền
số _______________________, ngày _____ tháng _____ năm _______
Cùng nhau thống nhất Hợp đồng mua bán điện cho Nhà máy điện…(Tên nhà máy) theo các nội dung sau:
Điều 1. Định nghĩa
Trong Hợp đồng này, các thuật ngữ dưới đây được hiểu như sau:
1. Bên bán điện là Công ty (….) sở hữu Nhà máy điện.
2. Bên mua điện là (…).
3. Công suất khả dụng công bố là (. . .).
4. Điểm đấu nối là (…).
5. Điểm giao nhận điện là (. . . ).
[Các bên đàm phán thống nhất sửa đổi, bổ sung các khoản phù hợp với pháp luật Việt Nam]
Điều 2. Hiệu lực và thời hạn Hợp đồng
1. Hiệu lực Hợp đồng
Hợp đồng có hiệu lực từ ngày được đại diện có thẩm quyền của Bên bán điện và Bên mua điện ký chính thức, trừ trường hợp các bên có thỏa thuận khác.
2. Thời hạn Hợp đồng
Trừ trường hợp gia hạn hoặc chấm dứt Hợp đồng trước thời hạn, thời hạn hợp đồng được tính từ ngày hợp đồng có hiệu lực đến hết […] năm kể từ Ngày vận hành thương mại Nhà máy điện.
[Các bên đàm phán thống nhất sửa đổi, bổ sung các khoản của Điều này phù hợp với pháp luật Việt Nam]
Điều 3. Mua bán dịch vụ phát điện
1. Giá dịch vụ phát điện: Theo Phụ lục V của Hợp đồng.
2. Công suất khả dụng thực hiện: Theo Phụ lục V của Hợp đồng.
3. Sản lượng hợp đồng: Theo Phụ lục V của Hợp đồng.
4. Tiền điện thanh toán: Hàng tháng, Bên mua điện có nghĩa vụ thanh toán cho Bên bán điện các khoản tiền theo quy định tại Phụ lục V Hợp đồng.
[Các bên đàm phán thống nhất sửa đổi, bổ sung các khoản của Điều này phù hợp với pháp luật Việt Nam]
Điều 4. Cam kết thực hiện
[Các bên đàm phán thống nhất bổ sung các khoản phù hợp với Pháp luật Việt Nam]
Điều 5. Nghĩa vụ của Bên bán điện trước ngày vận hành thương mại
1. Yêu cầu về các loại giấy phép và văn bản phê duyệt
…
2. Báo cáo các mốc thời gian thực hiện dự án
…
3. Đấu nối, thử nghiệm và vận hành
…
4. Ngày vận hành thương mại
…
[Các bên đàm phán thống nhất sửa đổi, bổ sung các khoản của Điều này phù hợp với Pháp luật Việt Nam]
Điều 6. Trách nhiệm đấu nối và hệ thống đo đếm
[Các bên đàm phán thống nhất bổ sung các khoản phù hợp với Pháp luật Việt Nam]
Điều 7. Điều độ và vận hành Nhà máy điện
[Các bên đàm phán thống nhất bổ sung các khoản phù hợp với Pháp luật Việt Nam]
Điều 8. Lập hoá đơn và thanh toán
[Các bên đàm phán thống nhất bổ sung các khoản phù hợp với Pháp luật Việt Nam]
Điều 9. Sự kiện ảnh hưởng việc thực hiện Hợp đồng và chế tài áp dụng
[Các bên đàm phán thống nhất bổ sung các khoản phù hợp với Pháp luật Việt Nam]
Điều 10. Chấm dứt Hợp đồng
[Các bên đàm phán thống nhất bổ sung các khoản phù hợp với Pháp luật Việt Nam]
Điều 11. Bồi thường thiệt hại
[Các bên đàm phán thống nhất bổ sung các khoản phù hợp với Pháp luật Việt Nam]
Điều 12. Các trường hợp miễn trách nhiệm đối với hành vi vi phạm
[Các bên đàm phán thống nhất bổ sung các khoản phù hợp với Pháp luật Việt Nam]
Điều 13. Giải quyết tranh chấp
[Các bên đàm phán thống nhất bổ sung các khoản phù hợp với Pháp luật Việt Nam]
Điều 14. Tái cơ cấu ngành điện và chuyển giao quyền và nghĩa vụ
1. Tái cơ cấu ngành điện và chuyển giao quyền và nghĩa vụ tại Bên mua điện
Bên bán điện và Bên mua điện thống nhất chấp nhận trường hợp Bên mua điện có thể phải tổ chức lại, tái cơ cấu hoặc giải thể hoặc bị loại bỏ dần chức năng mua điện để thực hiện kế hoạch chuyển đổi mô hình hoạt động của ngành điện trong các cấp độ thị trường điện cạnh tranh theo lộ trình đã được Thủ tướng Chính phủ phê duyệt hoặc các văn bản thay thế sau này. Khi cơ quan nhà nước có thẩm quyền có quyết định về việc tổ chức lại, tái cơ cấu hoặc giải thể, Bên mua điện có quyền chuyển giao toàn bộ hay một phần các quyền và nghĩa vụ của mình theo Hợp đồng mà không cần có sự chấp thuận của Bên bán điện cho một hoặc nhiều đơn vị kế thừa do cơ quan nhà nước có thẩm quyền quyết định và các đơn vị này có trách nhiệm thực hiện các quyền, nghĩa vụ pháp lý của Bên mua điện theo quy định của pháp luật.
Bên bán điện phải có văn bản chấp thuận mọi sự chuyển giao hoặc ủy quyền thực hiện các quyền, nghĩa vụ theo Hợp đồng này của Bên mua điện.
2. Chuyển giao quyền và nghĩa vụ của Bên bán điện
Bên bán điện chỉ có quyền chuyển giao quyền và nghĩa vụ của mình theo Hợp đồng cho một hoặc nhiều đơn vị kế thừa khi có sự thỏa thuận trước bằng văn bản của Bên mua điện. Văn bản thỏa thuận của Bên mua điện không được từ chối không có lý do việc thực hiện chuyển giao hoặc ủy quyền này của Bên bán điện, trừ trường hợp Bên bán điện có thể ủy quyền hay chuyển nhượng mà không cần có thỏa thuận với Bên mua điện về một số hoặc tất cả các quyền và nghĩa vụ theo Hợp đồng của Bên bán điện liên quan đến cấp vốn hoặc các thu xếp tài chính khác cho Nhà máy điện. Hợp đồng này tiếp tục có hiệu lực để mang lại lợi ích và việc thực hiện các nghĩa vụ của các đơn vị kế thừa hoặc đơn vị được ủy thác hoặc đơn vị được chuyển giao của Bên bán điện.
[Các bên đàm phán thống nhất sửa đổi, bổ sung các khoản đảm bảo phù hợp với Pháp luật Việt Nam]
Điều 15. Lưu giữ hồ sơ và cung cấp thông tin
[Các bên đàm phán thống nhất bổ sung các khoản phù hợp với Pháp luật Việt Nam]
Điều 16. Các chi phí khác
Mỗi bên có trách nhiệm nộp các khoản thuế và phí hoặc thanh toán các khoản nợ phát sinh của mình khi thực hiện Hợp đồng. Bên bán điện và Bên mua điện thống nhất Hợp đồng này không bao gồm chi phí truyền tải điện, chi phí phân phối điện hoặc các chi phí tương tự khác và mỗi bên phải có trách nhiệm thanh toán các loại chi phí đó theo quy định của pháp luật.
[Các bên đàm phán thống nhất sửa đổi, bổ sung đảm bảo phù hợp với Pháp luật Việt Nam]
Điều 17. Đại diện có thẩm quyền và trao đổi thông tin
[Các bên đàm phán thống nhất bổ sung các khoản phù hợp với Pháp luật Việt Nam]
Điều 18. Bảo mật thông tin
[Các bên đàm phán thống nhất bổ sung các khoản phù hợp với Pháp luật Việt Nam]
Điều 19. Luật áp dụng và ngôn ngữ hợp đồng mua bán điện
Việc giải thích và thực hiện Hợp đồng này được thực hiện theo quy định của pháp luật Việt Nam.
Ngôn ngữ hợp đồng sử dụng là tiếng Việt. Bên bán điện và Bên mua điện có thể thỏa thuận sử dụng thêm hợp đồng với ngôn ngữ sử dụng bằng tiếng Anh.
Điều 20. Các thoả thuận khác
[Các bên đàm phán thống nhất bổ sung các khoản phù hợp với Pháp luật Việt Nam]
Hợp đồng được lập thành 09 bản có giá trị như nhau, mỗi bên giữ 04 bản. Bên mua điện có trách nhiệm gửi 01 (một) bản tới Cục Điện lực (Bộ Công Thương)./.
| ĐẠI DIỆN BÊN MUA ĐIỆN | ĐẠI DIỆN BÊN BÁN ĐIỆN |
_______________________
[1] Đối với các luật, văn bản là căn cứ đã nêu, các bên hiệu chỉnh theo tên văn bản có hiệu lực tại thời điểm ký Hợp đồng
Phụ lục I
CÁC THÔNG SỐ CHÍNH CỦA NHÀ MÁY ĐIỆN
(Kèm theo Hợp đồng số …ngày … tháng … năm…)
Bao gồm các mô tả, biểu đồ và đặc điểm kỹ thuật của Nhà máy điện
(Thông số chính của Nhà máy điện sẽ được chuẩn xác lại sau khi ký kết hợp đồng mua sắm thiết bị chính của Nhà máy điện.)
[Các bên đàm phán thống nhất sửa đổi, bổ sung phù hợp với Pháp luật Việt Nam]
Phụ lục II
HỆ THỐNG ĐO ĐẾM VÀ THU THẬP SỐ LIỆU
(Kèm theo Hợp đồng số …ngày … tháng … năm…)
I. VỊ TRÍ LẮP ĐẶT VÀ TÍNH NĂNG CỦA HỆ THỐNG ĐO ĐẾM
1. Vị trí lắp đặt hệ thống đo đếm:
2. Tính năng của hệ thống đo đếm phải phù hợp với quy định về đo đếm điện năng do Bộ Công Thương ban hành.
II. YÊU CẦU KỸ THUẬT CỦA HỆ THỐNG ĐO ĐẾM
Các yêu cầu kỹ thuật của thiết bị đo đếm, yêu cầu kỹ thuật mạch đo đếm, biện pháp niêm phong kẹp chì và yêu cầu về hệ thống thu thập và đọc số liệu công tơ phải phù hợp với quy định về đo đếm điện năng do Bộ Công Thương ban hành.
III. VỊ TRÍ ĐO ĐẾM
Bên bán điện và Bên mua điện thống nhất sử dụng các vị trí đo đếm hiện tại của Nhà máy điện như sau:
Vị trí đo đếm chính:
Vị trí đo đếm dự phòng 1:
Vị trí đo đếm dự phòng 2:
Vị trí đo đếm phục vụ vận hành và đối soát số liệu thị trường điện:
IV. PHƯƠNG THỨC XÁC ĐỊNH SẢN LƯỢNG ĐIỆN NĂNG GIAO NHẬN
1. Sản lượng điện giao nhận
a) Sản lượng điện Bên bán điện trong tháng thanh toán được tính theo công thức:
AG =
Trong đó:
AG: Lượng điện năng Bên mua điện thanh toán cho Bên bán điện trong tháng thanh toán (kWh).
b) Sản lượng điện Bên bán điện nhận từ hệ thống điện quốc gia trong tháng thanh toán được tính theo công thức:
AN =
Trong đó:
AN: Lượng điện năng nhận từ lưới của các điểm đo trong tháng (kWh).
3. Trong giai đoạn thị trường điện cạnh tranh, phương thức giao nhận điện năng hàng tháng phải phù hợp với quy định về thị trường điện cạnh tranh do Bộ Công Thương ban hành.
[Các bên đàm phán thống nhất sửa đổi, bổ sung các khoản phù hợp với Pháp luật Việt Nam]
Phụ lục III
THỎA THUẬN CÁC ĐẶC TÍNH VẬN HÀNH
(Kèm theo Hợp đồng số …ngày … tháng … năm…)
[Các bên đàm phán thống nhất bổ sung các nội dung phù hợp với Pháp luật Việt Nam]
Phụ lục IV
THỎA THUẬN HỆ THỐNG SCADA/EMS,
THÔNG TIN LIÊN LẠC, RƠ LE BẢO VỆ VÀ TỰ ĐỘNG
(Kèm theo Hợp đồng số …ngày … tháng … năm…)
[Các bên đàm phán thống nhất bổ sung các nội dung phù hợp với Pháp luật Việt Nam]
Phụ lục V
GIÁ DỊCH VỤ PHÁT ĐIỆN, THANH TOÁN DỊCH VỤ PHÁT ĐIỆN
(Kèm theo Hợp đồng số …ngày … tháng … năm…)
I. GIÁ DỊCH VỤ PHÁT ĐIỆN
1. Giá dịch vụ phát điện tại thời điểm thanh toán tiền điện tháng t, năm j bao gồm thành phần giá công suất
(đồng/kW/tháng) và thành phần giá điện năng PĐN,j,t (đồng/kWh) được quy định như sau:
a) Giá công suất tháng t, năm j được xác định theo công thức sau:
![]()
Trong đó:
|
| Giá cố định năm j (đồng/kW/tháng); |
| FOMCj,t: | Giá vận hành và bảo dưỡng cố định tháng t, năm j (đồng/kW/tháng). |
b) Giá điện năng tháng t, năm j được xác định theo công thức sau:

Trong đó:
| µ:
| Hiệu suất chu trình bơm - phát do bên bán điện và bên mua điện thỏa thuận không thấp hơn thiết kế cơ sở/thiết kế kỹ thuật tương ứng với tổng mức đầu tư sử dụng để tính toán giá điện hoặc thông số của nhà chế tạo thiết bị (%); |
| ttt: | Tỷ lệ tổn thất, tự dùng (%); |
| Pmua,j,t
| Đơn giá mua điện bình quân (theo giá bán lẻ điện cho các ngành sản xuất quy định tại Quyết định quy định về giá bán điện do Bộ trưởng Bộ Công Thương ban hành) trong các giờ bơm nước theo yêu cầu trong tháng t năm j theo yêu cầu của Đơn vị vận hành hệ thống điện và thị trường điện quốc gia (đồng/kWh). |
2. Giá vận hành và bảo dưỡng cố định tháng t, năm j được xác định theo công thức sau:
![]()
Trong đó:
|
| Giá vận hành và bảo dưỡng theo chi phí sửa chữa lớn và các chi phí khác năm j, được xác định theo quy định tại điểm a khoản này (đồng/kW/tháng); |
|
| Giá vận hành và bảo dưỡng theo chi phí nhân công tháng t, năm j, được xác định theo quy định tại điểm b khoản này (đồng/kW/tháng). |
a) Thành phần giá vận hành và bảo dưỡng theo chi phí sửa chữa lớn và chi phí khác năm j
được xác định theo công thức sau:
![]()
Trong đó:
|
| Giá vận hành và bảo dưỡng theo chi phí sửa chữa lớn và chi phí khác năm cơ sở (đồng/kW/tháng); |
| i : | Tỷ lệ trượt giá thành phần giá vận hành và bảo dưỡng theo chi phí sửa chữa lớn và chi phí khác; |
| l: | Số thứ tự năm thanh toán tính từ Năm cơ sở (đối với Năm cơ sở l=1). |
b) Thành phần giá vận hành và bảo dưỡng theo chi phí nhân công tháng t, năm j (
) được xác định như sau:
Trường hợp tổng chi phí nhân công TCnc được tính toán theo tỷ lệ vốn đầu tư xây lắp và thiết bị thì thành phần giá vận hành và bảo dưỡng theo chi phí nhân công được xác định theo công thức sau (đồng/kWh):

Trong đó:
|
| Giá vận hành và bảo dưỡng theo chi phí nhân công năm cơ sở là (đồng/kW/tháng); |
|
| Tỷ lệ trượt giá thành phần giá vận hành và bảo dưỡng theo chi phí nhân công, xác định theo tỷ lệ chỉ số giá tiêu dùng (CPI) năm (j-1) so với năm (j-2) do Cơ quan Thống kê quốc gia ban hành trong tháng 12 năm (j-1) nhưng không vượt quá 2,5%/năm; |
| l: | Số thứ tự năm thanh toán tính từ Năm cơ sở (đối với Năm cơ sở l = 1, i1 = 0). |
II. SẢN LƯỢNG ĐIỆN NĂNG THEO HỢP ĐỒNG
III. CÔNG SUẤT KHẢ DỤNG
III. THANH TOÁN GIÁ DỊCH VỤ PHÁT ĐIỆN
1. Giai đoạn trước ngày vận hành thương mại
Đối với chi phí chạy thử, nghiệm thu trước giai đoạn nhà máy điện vận hành thương mại: Bên bán điện và Bên mua điện thỏa thuận theo hướng dẫn tại Điều 4 Thông tư số 58/2025/TT-BCT của Bộ trưởng Bộ Công Thương quy định phương pháp xác định giá dịch vụ phát điện của nhà máy thủy điện tích năng; nội dung chính của hợp đồng mua bán điện.
2. Giai đoạn sau ngày vận hành thương mại
2.1.Tiền điện thanh toán (Rtt) của Nhà máy điện được tính toán cụ thể như sau:
Rtt = Rt x (1 + VAT)
Trong đó:
| VAT: | Thuế suất thuế giá trị gia tăng theo quy định của Nhà nước (%); |
| Rt: | Tiền điện thanh toán cho tháng t năm j, chưa bao gồm thuế VAT (đồng) được xác định như sau: |
Rt = Tcđ,t + (PĐN,j,t x Ett,j,t)+ Rk + RTh
Trong đó:
| PĐN,j,t : | Giá điện năng quy định tại điểm b khoản 1 mục I Phụ lục V đính kèm Hợp đồng này (đồng/kWh); |
| Ett,j,t : | Sản lượng điện phát thực tế trong tháng t, năm j (kWh); |
| Rk : | Các chi phí khác là chi phí thanh toán cho việc thí nghiệm tổ máy (đồng) phù hợp với lịch thử nghiệm đã được Đơn vị vận hành hệ thống điện và thị trường điện phê duyệt; |
|
RTh: | Tổng các khoản thuế, phí, các khoản tiền phải nộp trong tháng theo quy định pháp luật có liên quan được Bên bán điện và Bên mua điện thống nhất (kèm theo các chứng từ hợp lệ) (đồng); |
| Tcđ,t: | Tổng chi phí cố định tháng t (đồng) được xác định như sau: |

Trong đó:
| Pcs,j,t : | Giá công suất quy định tại điểm a khoản 1 mục I Phụ lục V đính kèm Hợp đồng này (đồng/kW/tháng); |
|
| Công suất khả dụng thực hiện của tổ máy i tại giờ thứ h (kW); |
| H: | Số giờ trong tháng t (giờ); |
| n: | Số tổ máy của Nhà máy điện. |
Công suất khả dụng thực hiện của tổ máy i tại giờ thứ h trong tháng t được xác định bằng:
+ Đối với tổ máy phát điện có công suất đặt dưới 100MW
Công suất khả dụng công bố (hoặc công suất khả dụng công bố sửa đổi hợp lệ nếu có) nếu công suất phát thực tế bình quân của tổ máy i tại giờ thứ h lớn hơn hoặc bằng 95% công suất được huy động thực tế theo yêu cầu của Đơn vị vận hành hệ thống điện và thị trường điện.
Công suất phát thực tế của tổ máy i tại giờ thứ h (hoặc công suất khả dụng công bố sửa đổi hợp lệ nếu có) nếu công suất phát thực tế bình quân của tổ máy i nhỏ hơn 95% công suất được huy động thực tế theo yêu cầu của Đơn vị vận hành hệ thống điện và thị trường điện.
+ Đối với tổ máy phát điện có công suất đặt từ 100MW trở lên
Công suất khả dụng công bố (hoặc công suất khả dụng công bố sửa đổi hợp lệ nếu có) nếu công suất phát thực tế bình quân của tổ máy i tại giờ thứ h lớn hơn hoặc bằng 97% công suất được huy động thực tế theo yêu cầu của Đơn vị vận hành hệ thống điện và thị trường điện.
Công suất phát thực tế của tổ máy i tại giờ thứ h (hoặc công suất khả dụng công bố sửa đổi hợp lệ nếu có) nếu công suất phát thực tế bình quân của tổ máy i nhỏ hơn 97% công suất được huy động thực tế theo yêu cầu của Đơn vị vận hành hệ thống điện và thị trường điện.
Trường hợp tổ máy sửa chữa theo kế hoạch được Đơn vị vận hành hệ thống điện và thị trường điện duyệt, công suất khả dụng công bố trong giai đoạn đó được tính bằng công suất lắp đặt của tổ máy đó.
2.2. Sau khi kết thúc năm tài chính, Bên bán điện và Bên mua điện thực hiện đối chiếu tiền điện thanh toán của năm. Trường hợp nhà máy không đáp ứng yêu cầu về công suất khả dụng công bố (trừ trường hợp bất khả kháng), Bên bán điện sẽ phải hoàn trả cho Bên mua điện khoản tiền được xác định bằng khoản chênh lệch giữa tổng điện năng ngừng máy thực tế (bao gồm điện năng ngừng máy bắt buộc, điện năng ngừng máy bảo dưỡng, điện năng ngừng máy kế hoạch) và điện năng ngừng máy cho phép (công suất lắp đặt nhân với số giờ ngừng máy cho phép trong năm) nhân với phí bồi thường công suất do hai bên thỏa thuận.
[Các bên đàm phán thống nhất sửa đổi, bổ sung các nội dung liên quan Giá dịch vụ phát điện, thanh toán giá dịch vụ phát điện tại Phụ lục này phù hợp với Pháp luật Việt Nam]
Phụ lục VI
CÁC THÔNG SỐ CHÍNH TRONG TÍNH TOÁN GIÁ
DỊCH VỤ PHÁT ĐIỆN
(Kèm theo Hợp đồng số …ngày … tháng … năm…)
[Các bên đàm phán thống nhất bổ sung các nội dung phù hợp với Pháp luật Việt Nam]
Phụ lục VII
CÁC MỐC TIẾN ĐỘ DỰ ÁN
I. CÁC MỐC TIẾN ĐỘ DỰ ÁN
1. Ngày khởi công chính thức xây dựng Nhà máy điện: […]
2. Ngày bắt đầu tiến hành thí nghiệm liên động: […]
3. Ngày đóng điện lần đầu: […]
4. Ngày thử nghiệm: […]
5. Ngày vận hành thương mại của tổ máy i: […]
6. Ngày vận hành thương mại Nhà máy điện: […]
II. CÁC TÀI LIỆU BÊN BÁN ĐIỆN PHẢI CUNG CẤP CHO BÊN MUA ĐIỆN
Bên bán điện có nghĩa vụ cung cấp cho Bên mua điện bản sao hợp lệ các tài liệu để công nhận Ngày vận hành thương mại như sau: […].
[Các bên đàm phán thống nhất sửa đổi, bổ sung các nội dung phù hợp với Pháp luật Việt Nam]
Bạn chưa Đăng nhập thành viên.
Đây là tiện ích dành cho tài khoản thành viên. Vui lòng Đăng nhập để xem chi tiết. Nếu chưa có tài khoản, vui lòng Đăng ký tại đây!
Bạn chưa Đăng nhập thành viên.
Đây là tiện ích dành cho tài khoản thành viên. Vui lòng Đăng nhập để xem chi tiết. Nếu chưa có tài khoản, vui lòng Đăng ký tại đây!