- Tổng quan
- Nội dung
- VB gốc
- Tiếng Anh
- Hiệu lực
- VB liên quan
- Lược đồ
-
Nội dung hợp nhất
Tính năng này chỉ có tại LuatVietnam.vn. Nội dung hợp nhất tổng hợp lại tất cả các quy định còn hiệu lực của văn bản gốc và các văn bản sửa đổi, bổ sung, đính chính... trên một trang. Việc hợp nhất văn bản gốc và những văn bản, Thông tư, Nghị định hướng dẫn khác không làm thay đổi thứ tự điều khoản, nội dung.
Khách hàng chỉ cần xem Nội dung hợp nhất là có thể nắm bắt toàn bộ quy định hiện hành đang áp dụng, cho dù văn bản gốc đã qua nhiều lần chỉnh sửa, bổ sung.
- Tải về
Thông tư 29/2023/TT-BCT ban hành QCVN 12-17:2023/BCT về an toàn sản phẩm thuốc nổ Octogen (HMX)
| Cơ quan ban hành: | Bộ Công Thương |
Số công báo:
Số công báo là mã số ấn phẩm được đăng chính thức trên ấn phẩm thông tin của Nhà nước. Mã số này do Chính phủ thống nhất quản lý.
|
Đang cập nhật |
| Số hiệu: | 29/2023/TT-BCT | Ngày đăng công báo: | Đang cập nhật |
| Loại văn bản: | Thông tư | Người ký: | Nguyễn Sinh Nhật Tân |
| Trích yếu: | Ban hành Quy chuẩn kỹ thuật quốc gia về an toàn sản phẩm vật liệu nổ công nghiệp - thuốc nổ Octogen (HMX) | ||
|
Ngày ban hành:
Ngày ban hành là ngày, tháng, năm văn bản được thông qua hoặc ký ban hành.
|
21/12/2023 |
Ngày hết hiệu lực:
Ngày hết hiệu lực là ngày, tháng, năm văn bản chính thức không còn hiệu lực (áp dụng).
|
Đang cập nhật |
|
Áp dụng:
Ngày áp dụng là ngày, tháng, năm văn bản chính thức có hiệu lực (áp dụng).
|
Đã biết
|
Tình trạng hiệu lực:
Cho biết trạng thái hiệu lực của văn bản đang tra cứu: Chưa áp dụng, Còn hiệu lực, Hết hiệu lực, Hết hiệu lực 1 phần; Đã sửa đổi, Đính chính hay Không còn phù hợp,...
|
Đã biết
|
| Lĩnh vực: | Công nghiệp Hóa chất - Vật liệu nổ công nghiệp | ||
TÓM TẮT THÔNG TƯ 29/2023/TT-BCT
Ngày 21/12/2023, Bộ Công Thương đã ra Thông tư 29/2023/TT-BCT ban hành Quy chuẩn kỹ thuật quốc gia về an toàn sản phẩm vật liệu nổ công nghiệp - thuốc nổ Octogen (HMX). Cụ thể:
1. Bao gói, bảo quản, ghi nhãn thuốc nổ Octogen được quy định như sau:
- Thuốc nổ Octogen dạng tinh thể được bao gói trong 02 túi PE buộc kín, đóng gói vào hòm gỗ hoặc hộp giấy cacton; khối lượng tịnh mỗi hòm/hộp không lớn hơn 25kg;
- Thuốc nổ Octogen được bao gói, bảo quản ở hàm ẩm từ 15% đến 20%;…
2. Phương pháp lấy mẫu như sau: mẫu được lấy ngẫu nhiên 10% số đơn vị bao gói của lô sản phẩm, với lô lớn không lấy quá 30 đơn vị bao gói, với lô nhỏ không nhỏ hơn 20 đơn vị bao gói. Mỗi đơn vị bao gói lấy khoảng 0,3 kg, trộn đều rồi chia theo nguyên tắc phân tư để lấy mẫu đại diện.
Ngoài ra, mẫu được bao gói trong 2 lớp túi PE, ½ mẫu được kiệm nghiệm và ½ mẫu được lưu tại nơi sản xuất hoặc nhập khẩu.
Mặt khác, trên túi đựng mẫu ghi rõ thông tin: Ký mã hiệu sản phẩm, thời gian lấy mẫu, lô, nơi sản xuất, người lấy mẫu.
Thông tư có hiệu lực từ ngày 01/7/2024.
Xem chi tiết Thông tư 29/2023/TT-BCT có hiệu lực kể từ ngày 01/07/2024
Tải Thông tư 29/2023/TT-BCT
|
BỘ CÔNG THƯƠNG |
CỘNG HÒA XÃ HỘI CHỦ NGHĨA VIỆT NAM |
THÔNG TƯ
Ban hành Quy chuẩn kỹ thuật quốc gia về an toàn
sản phẩm vật liệu nổ công nghiệp - thuốc nổ octogen (hmx)
___________________
Căn cứ Luật Tiêu chuẩn và Quy chuẩn kỹ thuật ngày 29 tháng 6 năm 2006;
Căn cứ Luật Quản lý, sử dụng vũ khí, vật liệu nổ và công cụ hỗ trợ ngày 20 tháng 6 năm 2017;
Căn cứ Luật Chất lượng sản phẩm, hàng hóa ngày 21 tháng 11 năm 2007;
Căn cứ Nghị định số 96/2022/NĐ-CP ngày 29 tháng 11 năm 2022 của Chính phủ quy định chức năng, nhiệm vụ, quyền hạn và cơ cấu tổ chức của Bộ Công Thương;
Căn cứ Nghị định số 127/2007/NĐ-CP ngày 01 tháng 8 năm 2007 của Chính phủ quy định chi tiết thi hành một số điều của Luật Tiêu chuẩn và Quy chuẩn kỹ thuật; Nghị định số 78/2018/NĐ-CP ngày 16 tháng 5 năm 2018 của Chính phủ sửa đổi, bổ sung một số điều của Nghị định số 127/2007/NĐ-CP ngày 01 tháng 8 năm 2007 của Chính phủ quy định chi tiết thi hành một số điều Luật Tiêu chuẩn và quy chuẩn kỹ thuật;
Căn cứ Nghị định số 132/2008/NĐ-CP ngày 31 tháng 12 năm 2008 của Chính phủ quy định chi tiết thi hành một số điều của Luật Chất lượng sản phẩm, hàng hóa; Nghị định số 74/2018/NĐ-CP ngày 15 tháng 5 năm 2018 của Chính phủ sửa đổi, bổ sung một số điều của Nghị định số 132/2008/NĐ-CP ngày 31 tháng 12 năm 2008 của Chính phủ quy định chi tiết thi hành một số điều Luật Chất lượng sản phẩm, hàng hóa; Nghị định số 154/2018/NĐ-CP ngày 09 tháng 11 năm 2018 của Chính phủ sửa đổi, bổ sung, bãi bỏ một số quy định về điều kiện đầu tư, kinh doanh trong lĩnh vực quản lý nhà nước của Bộ Khoa học và Công nghệ và một số quy định về kiểm tra chuyên ngành;
Theo đề nghị của Cục trưởng Cục Kỹ thuật an toàn và Môi trường công nghiệp;
Bộ trưởng Bộ Công Thương ban hành Thông tư ban hành Quy chuẩn kỹ thuật quốc gia về an toàn sản phẩm vật liệu nổ công nghiệp - thuốc nổ Octogen (HMX).
Điều 1. Ban hành Quy chuẩn kỹ thuật quốc gia
Ban hành kèm theo Thông tư này Quy chuẩn kỹ thuật quốc gia về an toàn sản phẩm vật liệu nổ công nghiệp - thuốc nổ Octogen (HMX).
Ký hiệu: QCVN 12-17:2023/BCT.
Điều 2. Hiệu lực thi hành
1. Thông tư này có hiệu lực từ ngày 01 tháng 7 năm 2024.
2. Quy chuẩn kỹ thuật quốc gia về an toàn sản phẩm vật liệu nổ công nghiệp - thuốc nổ Octogen (HMX) số QCVN 12-17:2023/BCT có hiệu lực từ ngày 01 tháng 7 năm 2024.
Điều 3. Tổ chức thực hiện
Chánh Văn phòng Bộ, Cục trưởng các Cục: Kỹ thuật an toàn và Môi trường công nghiệp, Hóa chất; Vụ trưởng Vụ Khoa học và Công nghệ; Giám đốc Sở Công Thương các tỉnh, thành phố trực thuộc Trung ương; Thủ trưởng các cơ quan, tổ chức và cá nhân có liên quan chịu trách nhiệm thi hành Thông tư này./.
|
Nơi nhận: |
KT. BỘ TRƯỞNG |

CỘNG HÒA XÃ HỘI CHỦ NGHĨA VIỆT NAM
QCVN 12 - 17:2023/BCT
QUY CHUẨN KỸ THUẬT QUỐC GIA
VỀ AN TOÀN SẢN PHẨM VẬT LIỆU NỔ CÔNG NGHIỆP
- THUỐC NỔ OCTOGEN
National technical regulation on safety of industrial explosive
materials - Octogen explosives
HÀ NỘI - 2023
LỜI NÓI ĐẦU
QCVN 12 - 17:2023/BCT do Tổ soạn thảo Quy chuẩn kỹ thuật Quốc gia về an toàn sản phẩm vật liệu nổ công nghiệp - thuốc nổ Octogen biên soạn, Cục Kỹ thuật an toàn và Môi trường công nghiệp trình duyệt, Bộ Khoa học và Công nghệ thẩm định, Bộ trưởng Bộ Công Thương ban hành theo Thông tư số 29/2023/TT-BCT ngày 21 tháng 12 năm 2023.
QUY CHUẨN KỸ THUẬT QUỐC GIA VỀ AN TOÀN SẢN PHẨM VẬT LIỆU NỔ
CÔNG NGHIỆP - THUỐC NỔ OCTOGEN
National technical regulation on safety of industrial explosive materials -
Octogen explosives
I. QUY ĐỊNH CHUNG
1. Phạm vi điều chỉnh
Quy chuẩn kỹ thuật này quy định chỉ tiêu kỹ thuật, phương pháp thử và quy định quản lý đối với thuốc nổ Octogen có mã HS 3602.00.00.
2. Đối tượng áp dụng
Quy chuẩn kỹ thuật này áp dụng cho các tổ chức, cá nhân có hoạt động liên quan tới thuốc nổ Octogen trên lãnh thổ Việt Nam và các tổ chức, cá nhân khác có liên quan.
3. Giải thích từ ngữ
Trong Quy chuẩn kỹ thuật này, các từ ngữ dưới đây được hiểu như sau:
Thuốc nổ Octogen: Thuốc nổ có tên gọi khác là: Cyclotetramethylene tetratrramine, Homocyclonit, Công thức hóa học : - C4H8N8O8, ký hiệu/viết tắt là HMX.
II. QUY ĐỊNH VỀ KỸ THUẬT
4. Tài liệu viện dẫn
Các tài liệu viện dẫn trong Quy chuẩn kỹ thuật này được áp dụng phiên bản được nêu ở dưới đây. Trường hợp tài liệu viện dẫn đã được sửa đổi, bổ sung hoặc thay thế, áp dụng phiên bản mới nhất.
- QCVN 01:2019/BCT - Quy chuẩn kỹ thuật quốc gia về an toàn trong sản xuất, thử nghiệm, nghiệm thu, bảo quản, vận chuyển, sử dụng, tiêu hủy vật liệu nổ công nghiệp và bảo quản tiền chất thuốc nổ;
- QCVN 02:2015/BCT - Quy chuẩn kỹ thuật quốc gia về các loại kíp nổ điện;
- TCVN 6424:1998 - Vật liệu nổ công nghiệp - Xác định khả năng sinh công bằng con lắc xạ thuật;
- TCVN 4851:1989 - Nước để phân tích dùng trong phòng thí nghiệm - Yêu cầu kỹ thuật và phương pháp thử;
- TCVN 4066:1985 - Thuốc thử - Axeton.
5. Chỉ tiêu kỹ thuật
Chỉ tiêu kỹ thuật của thuốc nổ Octogen được quy định tại Bảng 1.
Bảng 1. Chỉ tiêu kỹ thuật của thuốc nổ Octogen
|
TT |
Tên chỉ tiêu |
Đơn vị tính |
Chỉ tiêu |
|---|---|---|---|
|
1 |
Dạng ngoài |
|
Tinh thể màu trắng |
|
2 |
Nhiệt độ nóng chảy |
oC |
Không nhỏ hơn 270 |
|
3 |
Độ axit |
|
|
|
|
Tính theo axit sunphuric |
% |
Không lớn hơn 0,05 |
|
|
Tính theo axit nitric |
% |
Không lớn hơn 0,05 |
|
4 |
Hàm lượng tạp chất không tan trong axeton |
% |
Không lớn hơn 0,25 |
|
5 |
Độ nhạy va đập bằng phương pháp Cast |
% |
Từ 84 đến 100 |
|
6 |
Khả năng sinh công bằng con lắc xạ thuật (so sánh với TNT tiêu chuẩn) |
% |
Không nhỏ hơn 125 |
|
7 |
Tốc độ nổ ở mật độ nén 1,25 g/cm3 |
m/s |
Không nhỏ hơn 6 700 |
6. Bao gói, bảo quản, ghi nhãn
6.1. Thuốc nổ Octogen dạng tinh thể được bao gói trong 02 túi PE buộc kín, đóng vào hòm gỗ hoặc hộp giấy cacton. Khối lượng tịnh mỗi hòm/hộp không lớn hơn 25 kg.
6.2. Thuốc nổ Octogen được bao gói, bảo quản ở hàm ẩm từ 15 % đến 20 %.
6.3. Thực hiện ghi nhãn Thuốc nổ Octogen theo quy định tại khoản 1 Điều 10 Nghị định số 43/2017/NĐ-CP ngày 14 tháng 4 năm 2017 của Chính phủ về nhãn hàng hóa, được sửa đổi, bổ sung bởi khoản 5 Điều 1 Nghị định số 111/2021/NĐ-CP ngày 09 tháng 11 năm 2021 của Chính phủ sửa đổi, bổ sung một số điều Nghị định số 43/2017/NĐ-CP ngày 14 tháng 4 năm 2017 của Chính phủ về nhãn hàng hóa và QCVN 01:2019/BCT
7. Phương pháp thử
7.1. Lấy mẫu
Mẫu được lấy ngẫu nhiên 10 % số đơn vị bao gói của lô sản phẩm, với lô lớn không lấy quá 30 đơn vị bao gói, với lô nhỏ không nhỏ hơn 20 đơn vị bao gói. Mỗi đơn vị bao gói lấy khoảng 0,3 kg, trộn đều rồi chia theo nguyên tắc phân tư để lấy mẫu đại diện. Mẫu được bao gói trong 2 lớp túi PE, 1/2 mẫu được kiểm nghiệm và 1/2 mẫu được lưu tại nơi sản xuất hoặc nhập khẩu. Trên túi đựng mẫu ghi rõ thông tin: Ký mã hiệu sản phẩm, thời gian lấy mẫu, lô, nơi sản xuất, người lấy mẫu.
7.2. Chuẩn bị mẫu
Thuốc nổ Octogen ẩm được để ở điều kiện thường hoặc sấy ở nhiệt độ 50 oC đến 70 oC và độ ẩm tương đối nhỏ hơn 60 %RH đến hàm lượng nhỏ hơn 0,1 %.
7.3. Xác định dạng ngoài
Dạng ngoài của thuốc nổ Octogen được xác định bằng mắt thường. Kết quả kiểm tra phải đạt yêu cầu theo quy định tại Điều 5 của Quy chuẩn kỹ thuật này.
7.4. Xác định nhiệt độ nóng chảy
7.4.1. Nguyên tắc
Nhiệt độ nóng chảy của thuốc nổ Octogen được xác định bằng cách quan sát sự biến đổi trạng thái vật lý của thuốc trong mao quản thủy tinh (capilla) ở khoảng nhiệt độ nhất định.
7.4.2. Thiết bị, dụng cụ, hoá chất
- Cân kỹ thuật, sai số 0,01 g;
- Máy đo điểm chảy, khoảng đo từ 0 oC đến 300 oC, có điều chỉnh tốc độ gia nhiệt đến 0,1 oC/min, sai số 0,1 oC;
- Mao quản thủy tinh (capilla), đường kính ngoài từ 1,4 mm đến 2,0 mm, thành dày từ 0,2 mm đến 0,3 mm và dài từ 90 mm đến 100 mm;
- Kính lúp, độ phóng đại 7 lần;
- Axeton tinh khiết phân tích theo TCVN 4066:1985;
- Hỗn hợp rửa axit cromic (Pha chế từ hỗn hợp K2Cr2O7 không nhỏ hơn 99,7 % và H2SO4 không nhỏ hơn 98 %);
- Chổi rửa loại đường kính 10 mm;
- Bình hút ẩm chứa silicagel;
- Cối, chày bằng sứ hoặc mã não;
- Mẫu thuốc nổ Octogen cần xác định nhiệt độ nóng chảy;
- Đĩa petri (Hộp lồng thủy tinh), đường kính 90 mm.
7.4.3. Phương pháp tiến hành
- Cân từ 03 g đến 05 g mẫu Octogen cho vào hộp lồng, dàn đều mẫu trên bề mặt của hộp lồng. Hộp lồng chứa mẫu được sấy ở nhiệt độ từ 75 0C đến 80 0C đến khối lượng không đổi. Để nguội trong bình hút ẩm;
- Dùng cối sứ nghiền nhỏ mẫu cần xác định nhiệt độ nóng chảy, sau đó nạp vào 03 mao quản thủy tinh với chiều cao thuốc đến 2 mm. Gõ nhẹ capilla trên mặt bàn gỗ để dàn đều lượng thuốc nổ;
- Tăng nhiệt độ của thiết bị gia nhiệt đến 260 oC với tốc độ gia nhiệt 20 oC/min;
- Đặt 03 mao quản thủy tinh có chứa mẫu vào 03 vị trí đo của máy;
- Gia nhiệt với tốc độ 10 oC/min;
- Quan sát sự biến đổi trạng thái vật lý của mẫu bằng kính lúp;
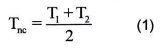
- Quan sát, ghi lại nhiệt độ tại thời điểm mẫu bắt đầu có chảy lỏng (T1) và chảy lỏng hoàn toàn (T2).
7.4.4. Cách tính kết quả
Nhiệt độ nóng chảy (Tnc) của mẫu, theo công thức:

Trong đó:
- Tnc : Nhiệt độ nóng chảy của thuốc nổ Octogen, oC;
- T1 : Nhiệt độ tại thời điểm mẫu bắt đầu nóng chảy, oC;
- T2 : Nhiệt độ tại thời điểm mẫu đã chảy lỏng hoàn toàn, oC.
Thí nghiệm được tiến hành 03 lần, chênh lệch kết quả giữa các lần thí nghiệm đối với cùng một mẫu không được vượt quá 0,5 oC. Kết quả phân tích là giá trị trung bình của 03 lần thí nghiệm, làm tròn số đến 0,1 oC. Kết quả kiểm tra phải đạt yêu cầu theo quy định tại Điều 5 của Quy chuẩn kỹ thuật này.
7.5. Xác định độ axit
7.5.1. Nguyên tắc
Độ axit của thuốc nổ Octogen được xác định bằng phương pháp chuẩn độ axit - bazơ với chất chỉ thị là quỳ tính theo axit sunphuric hoặc axit nitric.
7.5.2. Dụng cụ, vật tư và hóa chất
- Cân kỹ thuật, sai số 0,01 g;
- Dung dịch NaOH tiêu chuẩn 0,05 N;
- Dung dịch HCl có nồng độ 0,1 N (kiểm tra nồng độ NaOH);
- Chất chỉ thị quỳ (pha dung dịch 1% trong etanol);
- Etanol hàm lượng không nhỏ hơn 99,90 % (pha chỉ thị quỳ);
- Bình tam giác loại 250 ml;
- Nước cất theo TCVN 4851:1989;
- Bình định mức loại 1 000 ml và 500 ml (chuẩn bị dung dịch);
- Hỗn hợp rửa axit cromic (Pha chế từ hỗn hợp K2Cr2O7 không nhỏ hơn 99,7 % và H2SO4 không nhỏ hơn 98 %);
- Axeton tinh khiết phân tích theo TCVN 4066:1985;
- Giá đỡ, kẹp giữ pipet, buret;
- Bếp cách thủy;
- Nhiệt kế rượu có dải đo từ 0 oC đến 100 oC;
- Bình công tơ hút (đựng chỉ thị) dung tích 50 ml.
7.5.3. Phương pháp tiến hành
- Pha dung dịch NaOH 0,05 N: Chuyển toàn bộ lượng NaOH trong ống vào bình định mức 1 000 ml rồi thêm nước cất cho tới vạch ta được 1 000 ml dung dịch chuẩn NaOH 0,1 N (pha trong điều kiện nhiệt độ ở 20 oC để được kết quả chính xác nhất). Lấy 500 ml dung dịch NaOH vừa pha cho vào bình định mức 1 000 ml rồi cho thêm nước cất tới vạch ta được 1 000 ml dung dịch NaOH chuẩn 0,05 N;
- Tiến hành chuẩn lại nồng độ thực của dung dịch NaOH bằng dung dịch HCl chuẩn. Ghi lại nồng độ thực của dung dịch NaOH;
- Cân 10 g thuốc nổ Octogen đã được sấy khô đến khối lượng không đổi với độ chính xác đến 0,01 mg hòa tan trong 150 ml axeton trong bình tam giác 250 ml; đun nóng từ 45 oC đến 50 oC cho mẫu hòa tan hoàn toàn. Thêm vào bình 100 ml nước cất, lắc đều, để lắng;
- Nhỏ vào hỗn hợp 15 giọt dung dịch quỳ và chuẩn bằng dung dịch NaOH, chuẩn độ dung dịch này cho tới khi dung dịch có màu xanh tím. Ghi lại thể tích NaOH tiêu tốn trong quá trình chuẩn độ;
- Tiến hành song song với mẫu trắng (không có thuốc nổ Octogen).
7.5.4. Cách tính kết quả
* Độ axit của thuốc nổ Octogen (tính theo axit sunphuric), tính theo công thức:

Trong đó:
- X: Độ axit của thuốc nổ Octogen (tính theo axit sunphuric), %;
- V1: Thể tích NaOH có nồng độ N1 tiêu tốn trong quá trình chuẩn độ mẫu thuốc nổ octogen, ml;
- V2: Thể tích NaOH có nồng độ N1 tiêu tốn trong quá trình chuẩn độ mẫu trắng, ml;
- N1 : Nồng độ đương lượng thực của dung dịch NaOH chuẩn;
- G : Khối lượng mẫu thuốc nổ Octogen thử nghiệm, g;
- 0,05: Nồng độ dung dịch NaOH tiêu chuẩn, N;
- 0,002452: Lượng axit sunphuric tương ứng với 1 ml dung dịch NaOH 0,05 N, g.
* Độ axit của thuốc nổ Octogen (tính theo axit nitric), tính theo công thức:

trong đó:
- X là độ axit của thuốc nổ tính theo axit nitric, tính bằng %;
- V1 là thể tích dung dịch NaOH có nồng độ N1 tiêu tốn khi chuẩn mẫu thực, ml;
- V2 là thể tích dung dịch NaOH có nồng độ N1 tiêu tốn khi chuẩn mẫu trắng, ml;
- N1 là nồng độ đương lượng gam thực của dung dịch NaOH;
- G là khối lượng mẫu, g;
- 0,05 là nồng độ dung dịch NaOH tiêu chuẩn, N;
- 0,00315 là lượng axit nitric tương ứng với 1 ml dung dịch NaOH 0,05 N, g.
Thí nghiệm được tiến hành 03 lần, giá trị chênh lệch giữa 03 lần xác định không vượt quá 0,002 %. Kết quả phân tích là giá trị trung bình của 03 lần thí nghiệm, làm tròn số đến 0,01 %.
7.6. Xác định hàm lượng tạp chất không tan trong axeton
7.6.1. Nguyên tắc
Hàm lượng tạp chất không tan trong axeton của thuốc nổ Octogen được xác định bằng phương pháp khối lượng, sau khi hoà tan và lọc qua cốc lọc xốp.
7.6.2. Dụng cụ, hoá chất
- Axeton tinh khiết phân tích theo TCVN 4066:1985;
- Hỗn hợp rửa axit cromic (Pha chế từ hỗn hợp K2Cr2O7 không nhỏ hơn 99,7 % và H2SO4 không nhỏ hơn 98 %);
- Nước cất, theo TCVN 4851:1989;
- Phễu lọc xốp số 3 dung tích 60 ml;
- Bơm chân không (Đạt độ chân không tối thiểu 399,96 Pa (3 mmHg));
- Bình hút chân không dung tích 500 ml;
- Bình hút ẩm chứa silicagel hoặc canxi clorua khan;
- Cốc thuỷ tinh chịu nhiệt 100 ml;
- Mặt kính đồng hồ đường kính 50 ml;
- Đũa thủy tinh;
- Tủ sấy, có điều chỉnh nhiệt độ đến 1 oC;
- Cân phân tích, sai số 0,1 mg;
- Bếp cách thủy;
- Nhiệt kế có dải đo từ 0 oC đến 100 oC, giá trị 01 vạch chia 01 oC.
7.6.3. Phương pháp tiến hành
- Chuẩn bị cốc lọc xốp: Rửa sạch cốc lọc xốp bằng nước cất và axeton nóng và được sấy ở nhiệt độ từ 95 0C đến 100 0C trong khoảng 1 h (đến khối lượng không đổi), để nguội trong bình hút ẩm khoảng 30 min. Cân xác định khối lượng cốc lọc xốp đã được sấy (G1);
- Cân 10 g mẫu thuốc nổ Octogen (G) cho vào cốc lọc xốp. Cho axeton đã được đun nóng từ 45 0C đến 50 0C vào khoảng 1/2 thể tích cốc lọc xốp, đặt cốc lọc vào bình hút chân không. Dùng đũa thuỷ tinh khuấy nhẹ cho đến khi thuốc nổ Octogen tan hết thì mở bơm chân không để hút hết dung dịch thuốc nổ Octogen/axeton trong phễu ra. Tiếp tục dùng axeton nóng để rửa sạch đũa thuỷ tinh và cốc lọc xốp nhiều lần bằng axeton nóng cho đến khi hết thuốc nổ (kiểm tra bằng cách nhỏ vài giọt dung dịch thu được ở dưới phễu thủy tinh lên mặt kính đồng hồ, cho bay hơi hoàn toàn, nếu không có vết để lại trên mặt kính đồng hồ là thuốc nổ tan hoàn toàn);
- Đem sấy cốc lọc xốp ở nhiệt độ từ 95 oC đến 100 oC trong khoảng 1 h (đến khối lượng không đổi), để nguội trong bình hút ẩm khoảng 30 min. Cân xác định khối lượng cốc lọc xốp và tạp chất (G2).
7.6.4. Cách tính kết quả
Hàm lượng tạp chất không tan trong axeton của mẫu, tính theo công thức:

Trong đó:
- X: Hàm lượng tạp chất không tan trong axeton, %
- G : khối lượng mẫu, g;
- G1 : khối lượng cốc lọc xốp đã sấy, g;
- G2 : khối lượng cốc lọc xốp và tạp chất, g.
Thử nghiệm được tiến hành 03 lần, chênh lệch kết quả giữa 02 lần thí nghiệm song song đối với cùng một mẫu không vượt quá 0,02 %. Kết quả là trung bình cộng của 03 lần thí nghiệm, làm tròn số đến 0,01 %.
7.7. Xác định độ nhạy va đập bằng phương pháp Cast
7.7.1. Nguyên lý phương pháp
Xác định độ nhạy va đập của thuốc nổ Octogen theo tỷ lệ phần trăm nổ của mẫu bằng thiết bị đo độ nhạy va đập.
7.7.2. Dụng cụ, thiết bị
- Thiết bị xác định độ nhạy va đập có yêu cầu kỹ thuật sau:
+ Chiều cao làm việc không nhỏ hơn 500 mm;
+ Khối lượng quả búa 10,0 ± 0,01 kg;
+ Độ cứng đầu đập của búa: Từ 61 đến 64 HRC;
+ Bề mặt đe thép phải song song với phương nằm ngang, cho phép lệch không lớn hơn 2 mm/m;
+ Độ nhám bề mặt đe thép (Ra) không lớn hơn 3,2 μm;
+ Tỷ lệ phần trăm nổ của mẫu hexogen tinh chế: Từ 60 % đến 84 %;
- Bộ áo cối, cối, chày: Theo quy định tại Phụ lục 1 kèm theo Quy chuẩn kỹ thuật này;
- Tủ sấy, khoảng nhiệt độ làm việc từ 0 đến 200 oC, sai số ± 2 oC;
- Cân phân tích, phạm vi đo từ 0 đến 330 g, sai số ± 0,0002 g;
- Nhiệt ẩm kế:
+ Phạm vi đo độ ẩm từ 0 đến 100 %RH, sai số ± 5 %RH;
+ Phạm vi đo nhiệt độ từ 10 đến 100 oC, sai số ± 1 oC;
- Thước cặp, phạm vi đo từ 0 đến 200 mm, sai số ± 0,02 mm;
- Panme đo ngoài, phạm vi đo từ 0 đến 25 mm, sai số ± 0,001 mm;
- Panme đo trong, phạm vi đo từ 0 đến 25 mm, sai số ± 0,001 mm;
- Dưỡng kiểm tra chiều cao, chiều cao 250 mm, sai số 0,5 mm;
- Dưỡng kiểm tra chiều cao, chiều cao 500 mm, sai số 0,5 mm;
- Dưỡng kiểm tra lỗ cối, từ 9,98 mm đến 10,01 mm, sai số ± 0,0001 mm;
- Dưỡng kiểm tra lỗ cối, từ 10,01 mm đến 10,02 mm, sai số ± 0,0001 mm;
- Bộ sàng, bằng đồng hoặc kim loại màu gồm 03 loại có kích thước mắt sàng 0,20 mm, 0,28 mm và 0,40 mm;
- Bộ chày cối bằng đồng, sứ hoặc mã não;
- Bình hút ẩm chứa silicagel hoặc canxi clorua khan;
- Axeton tinh khiết phân tích theo TCVN 4066:1985.
7.7.3 Chuẩn bị mẫu
- Mẫu được sấy đến khối lượng không đổi tại nhiệt độ từ 60 oC đến 70 oC và được bảo quản trong chén cân, túi PE hoặc vật liệu khác mà không ảnh hưởng đến chất lượng của thuốc;
- Trước khi thử nghiệm, mẫu phải được sấy ở nhiệt độ từ 60 oC đến 70 oC đến khối lượng không đổi, sau đó để trong bình hút ẩm không nhỏ hơn 2 h trước khi thử nghiệm. Nếu mẫu để quá 24 h, trước khi thử nghiệm thực hiện sấy lại trong 01 h ở nhiệt độ từ 60 oC đến 70 oC.
7.7.4. Chuẩn bị thiết bị
- Thiết bị xác định độ nhạy va đập phải được kiểm tra kỹ thuật đạt yêu cầu. Được lau sạch dầu mỡ bảo quản tại vị trí lỗ cối, đầu búa, loại sạch bụi, gỉ (nếu có). Kiểm tra độ nẩy của búa rơi tự do trong điều kiện không có mẫu thử nghiệm tại độ cao 500 mm, đạt yêu cầu khi độ nẩy đạt từ 350 mm đến 375 mm;
- Bộ áo cối, cối, chày phải kiểm tra kỹ thuật đạt yêu cầu theo Phụ lục 1 ban hành kèm theo Quy chuẩn kỹ thuật này. Khe hở giữa chày và cối phải nằm trong khoảng từ 0,02 đến 0,03 mm. Được làm sạch dầu, mỡ, bụi bằng xăng, rửa bằng Axeton, tráng bằng Etanol và sấy khô trong tủ sấy ở nhiệt độ từ 50 oC đến 60 oC trong 01 h. Để nguội trong bình hút ẩm đến nhiệt độ thử nghiệm.
7.7.5. Cách tiến hành
- Cân 0,05 ± 0,002 g mẫu cho mỗi lần thử. Lắp cối vào áo cối, lắp chày thứ nhất vào cối. Chuyển mẫu vào cụm chày, cối vừa chuẩn bị. Cần thận đặt chày thứ 2 lên lớp thuốc nổ, ấn nhẹ và xoay từ 02 đến 03 vòng chày trên để dàn đều thuốc nổ giữa 02 chày;
- Nâng quả búa lên vị trí làm việc (250 mm);
- Lắp bộ chày cối chứa mẫu vào vị trí định vị trên thiết bị. Đặt tấm chắn an toàn trước thiết bị để ngăn cách giữa người thao tác với thiết bị;
- Giải phóng chốt hãm để bứa rơi tự do;
- Kiểm tra xác định mẫu có nổ hay không, ghi lại kết quả. Tiếp tục thử nghiệm cho đến khi hết số mẫu đã chuẩn bị cho 01 lần thử nghiệm. Mẫu được cho là nổ khi quan sát thấy một số hiện tượng sau: Phân hủy (chuyển màu, có mùi, có hơi bay ra); cháy (bốc khói, có vệt hằn, vết xám xuất hiện sau vụ nổ, có tiếng nổ nhỏ); nổ (bốc khói, có vệt hằn, tiếng nổ rõ ràng);
- Tiến hành thử nghiệm song song 02 nhóm, mỗi nhóm 25 phát, xác định tỷ lệ phần trăm nổ của mỗi nhóm, đánh giá kết quả của 02 nhóm song song có nằm trong khoảng trị số nổ tin cậy không. Trường hợp không nằm trong khoảng trị số tin cậy, phải tìm nguyên nhân rồi mới được phép tiến hành làm lại 02 nhóm mới.
Để đánh giá kết quả thử nghiệm của 02 nhóm có sự chênh lệch hay không, tiến hành như sau: Từ kết quả thử nghiệm của mỗi nhóm, tra Phụ lục II của số tin cậy 95 % để xác định khoảng trị số tin cậy của mỗi nhóm (P1, Pn), trong đó P1 là giới hạn tin cậy dưới và Pn là giới hạn tin cậy trên. Chỉ cần kết quả thử nghiệm của 01 nhóm nằm trong khoảng trị số tin cậy của nhóm khác, nghĩa là kết quả thử nghiệm song song của 02 nhóm nằm trong vùng trị số tin cậy.
7.7.6. Biểu thị kết quả
Tính toán tỷ lệ phần trăm nổ thử nghiệm đối với 01 nhóm (25 phát) theo công thức sau:

Trong đó:
- P: là tỷ lệ phần trăm nổ, tính bằng %;
- X là số phát nổ trong tổng số 25 phát.
Khi tỷ lệ phần trăm của 02 nhóm thử nghiệm song song nằm trong vùng trị số tin cậy, lấy trị số bình quân làm kết quả độ nhạy va đập của mẫu thử này.
Kết quả kiểm tra phải đạt yêu cầu theo quy định tại Điều 5 của Quy chuẩn kỹ thuật này.
7.8. Xác định khả năng sinh công bằng con lắc xạ thuật
Thực hiện theo TCVN 6424:1998.
7.9. Xác định tốc độ nổ
7.9.1. Nguyên lý phương pháp
Dùng máy đo thời gian xác định thời gian sóng nổ truyền qua một chiều dài nhất định trên thỏi thuốc, từ đó xác định tốc độ nổ của thuốc nổ.
7.9.2. Vật tư, thiết bị, dụng cụ
- Máy đo tốc độ nổ và dây quang đồng bộ;
- Kíp nổ điện số 8 theo quy định tại QCVN 02:2015/BCT;
- Máy nổ mìn chuyên dụng hoặc nguồn điện một chiều từ 6 V đến 12 V;
- Ống nhựa đường kính ngoài từ 27 đến 32 mm, chiều dài 320 mm;
- Nắp đậy ống nhựa, đường kính trong 33 ± 1 mm, chiều dày 1,0 ± 0,5 mm; lỗ tròn ở tâm có đường kính 7,5 mm;
- Thước vạch chuẩn, có chia vạch đến 1 mm;
- Thước cặp có dải đo từ 0 đến 250 mm, sai số 0,02 mm;
- Chày gỗ chuyên dụng, đường kính 24,5 ± 0,2 mm hoặc 29,5 ± 0,2 mm;
- Khoan chuyên dụng, bằng đồng hoặc kim loại màu, đường kính mũi khoan từ 1,5 mm đến 2,0 mm;
- Etanol hàm lượng không nhỏ hơn 99,0 %;
- Buret 100 ml, vạch chia 0,2 ml;
- Hầm nổ hoặc bãi thử nổ.
7.9.3. Chuẩn bị mẫu
Nghiền mẫu thuốc nổ trong cối sứ, qua rây 20 lỗ/cm2 nhồi vào trong ống nhựa đường kính từ 27 đến 32 mm, dùng chày gỗ chuyên dụng nén nhẹ để thuốc nổ đạt mật độ rắc. Tạo 02 lỗ tra dây quang đường kính 2 mm tại 02 lỗ chờ và 01 lỗ tra kíp đường kính 7,5 mm, sâu từ 25 đến 30 mm tại ở đầu, dọc trục thỏi thuốc nổ đã nhồi trong ống nhựa. Khoảng cách từ đáy kíp đến vị trí dây quang gần nhất phải không nhỏ hơn 50 mm và khoảng cách giữa 02 dây quang không nhỏ hơn 180 mm.
7.9.4. Chuẩn bị đo
- Rải cát để tạo mặt phẳng;
- Dùng thước vạch chuẩn đánh dấu vị trí tạo lỗ tra dây quang;
- Tạo lỗ tra dây quang vuông góc với trục của thỏi thuốc nổ;
- Tạo lỗ tra kíp ở đầu và dọc trục thỏi thuốc nổ.
Khoảng cách từ đáy kíp đến vị trí dây quang gần nhất phải không nhỏ hơn 50 mm và khoảng cách giữa 02 dây quang không nhỏ hơn 180 mm sao cho dây quang thứ hai cách đầu còn lại của thỏi thuốc không nhỏ hơn 50 mm.
Chuẩn bị mẫu và cách đấu dây với mẫu thuốc nổ được thể hiện tại Hình 1.

1. Dây quang 2. Kíp nổ điện số 8 3. Thuốc nổ Octogen
Hình 1. Sơ đồ chuẩn bị mẫu và cách đấu dây với mẫu thuốc nổ
7.9.5. Tiến hành đo
- Tra kíp vào lỗ đã tạo trên thỏi thuốc;
- Cài đặt khoảng cách giữa hai dây Start và Stop trên máy đo. Kiểm tra sự sẵn sàng của máy đo (sẵn sàng ghi lại các dữ liệu của quá trình nổ);
- Tiến hành kích nổ mẫu thỏi thuốc nổ, máy đo sẽ bắt đầu thu nhận thông tin về tốc độ nổ. Kết quả đo được phân tích trên máy tính bằng phần mềm đi kèm máy.
Thí nghiệm được tiến hành tối thiểu 03 lần, sai số giữa các kết quả đo không được lớn hơn ± 200 m/s. Kết quả là giá trị trung bình của các phép thử, làm tròn đến số nguyên.
7.9.6. Tính kết quả
Tốc độ nổ quy đổi của thuốc nổ Octogen ở mật độ nén 1,25 g/cm3 được tính theo công thức sau:
D1,25 = Da + KOctogen • (1,25 - a)
Trong đó:
D1,25: Tốc độ nổ của Octogen ở mật độ nén 1,25 g/cm3;
Da: Tốc độ nổ của Octogen ở mật độ rắc;
KOctogen: Hệ số quy đổi của thuốc nổ Octogen là 3480;
a: mật độ rắc đo được khi tạo mẫu.
7.10. Quy định về an toàn trong thử nghiệm
Phải tuân thủ quy định về an toàn trong bảo quản, sử dụng, tiêu hủy vật liệu nổ công nghiệp theo quy định tại QCVN 01:2019/BCT trong quá trình thử nghiệm và tiêu hủy mẫu không đạt yêu cầu.
7.11. Quy định về sử dụng phương tiện đo
Phương tiện đo phải được kiểm định, hiệu chuẩn theo quy định của pháp luật về đo lường. Trong toàn bộ thời gian quy định của chu kỳ kiểm định, hiệu chuẩn, đặc tính kỹ thuật đo lường của phương tiện đo phải được duy trì trong suốt quá trình sử dụng.
III. QUY ĐỊNH VỀ QUẢN LÝ
8. Quy định về quản lý
8.1. Thuốc nổ Octogen phải công bố hợp quy phù hợp quy định kỹ thuật tại Điều 5 của Quy chuẩn kỹ thuật này, gắn dấu hợp quy (dấu CR) và ghi nhãn hàng hóa trước khi lưu thông trên thị trường.
8.2. Thuốc nổ Octogen sản xuất trong nước, nhập khẩu phải thực hiện kiểm tra nhà nước về chất lượng hàng hóa theo quy định tại Nghị định số 132/2008/NĐ-CP ngày 31 tháng 12 năm 2008 của Chính phủ quy định chi tiết thi hành một số điều của Luật Chất lượng sản phẩm, hàng hóa; Nghị định số 74/2018/NĐ-CP ngày 15 tháng 5 năm 2018 của Chính phủ sửa đổi, bổ sung một số điều của Nghị định số 132/2008/NĐ-CP ngày 31 tháng 12 năm 2008 của Chính phủ quy định chi tiết thi hành một số điều Luật Chất lượng sản phẩm, hàng hóa Nghị định số 154/2018/NĐ-CP ngày 09 tháng 11 năm 2018 của Chính phủ sửa đổi, bổ sung, bãi bỏ một số quy định về điều kiện đầu tư, kinh doanh trong lĩnh vực quản lý nhà nước của Bộ Khoa học và Công nghệ và một số quy định về kiểm tra chuyên ngành.
9. Công bố hợp quy
9.1. Việc công bố hợp quy thuốc nổ Octogen sản xuất trong nước, nhập khẩu phải dựa trên kết quả chứng nhận của tổ chức chứng nhận được Bộ Công Thương chỉ định theo quy định tại Thông tư số 36/2019/TT-BCT ngày 29 tháng 11 năm 2019 của Bộ trưởng Bộ Công Thương quy định quản lý chất lượng sản phẩm, hàng hóa thuộc trách nhiệm quản lý của Bộ Công Thương (sau đây viết tắt là Thông tư số 36/2019/TT-BCT) hoặc được thừa nhận theo quy định của Thông tư số 27/2007/TT-BKHCN ngày 31 tháng 10 năm 2007 của Bộ trưởng Bộ Khoa học và Công nghệ hướng dẫn việc ký kết và thực hiện các Hiệp định và thỏa thuận thừa nhận lẫn nhau kết quả đánh giá sự phù hợp (sau đây viết tắt là Thông tư số 27/2007/TT-BKHCN).
9.2. Chứng nhận hợp quy
Chứng nhận hợp quy đối với thuốc nổ Octogen sản xuất trong nước, nhập khẩu thực hiện theo phương thức 5 “Thử nghiệm mẫu điển hình và đánh giá quá trình sản xuất; giám sát thông qua thử nghiệm mẫu lấy tại nơi sản xuất hoặc trên thị trường hoặc lô hàng nhập khẩu kết hợp với đánh giá quá trình sản xuất” hoặc phương thức 7 “Thử nghiệm, đánh giá lô sản phẩm, hàng hóa” tại cơ sở sản xuất theo quy định tại khoản 1 Điều 5 Thông tư số 28/2012/TT-BKHCN ngày 12 tháng 12 năm 2012 của Bộ trưởng Bộ Khoa học và Công nghệ quy định về công bố hợp chuẩn, công bố hợp quy và phương thức đánh giá sự phù hợp với tiêu chuẩn, quy chuẩn kỹ thuật (sau đây viết tắt là Thông tư số 28/2012/TT-BKHCN).
9.3. Thử nghiệm phục vụ việc chứng nhận hợp quy phải được thực hiện bởi tổ chức thử nghiệm được Bộ Công Thương chỉ định theo quy định tại Thông tư số 36/2019/TT-BCT hoặc tổ chức được thừa nhận theo quy định của Thông tư số 27/2007/TT-BKHCN.
9.4. Trình tự, thủ tục và hồ sơ công bố hợp quy
Trình tự, thủ tục và hồ sơ công bố hợp quy đối với thuốc nổ Octogen sản xuất trong nước và nhập khẩu thực hiện theo quy định tại Thông tư số 36/2019/TT-BCT.
10. Sử dụng dấu hợp quy
Dấu hợp quy phải tuân thủ theo khoản 2 Điều 4 của quy định về chứng nhận hợp chuẩn, chứng nhận hợp quy và công bố hợp chuẩn, công bố hợp quy ban hành kèm theo Thông tư số 28/2012/TT-BKHCN.
IV. TRÁCH NHIỆM CỦA TỔ CHỨC, CÁ NHÂN
11. Trách nhiệm của tổ chức, cá nhân
11.1. Trách nhiệm của tổ chức sản xuất, kinh doanh, nhập khẩu thuốc nổ Octogen
11.1.1. Tổ chức sản xuất, kinh doanh thuốc nổ Octogen phải đảm bảo yêu cầu quy định tại Phần II, thực hiện quy định tại Phần III của Quy chuẩn kỹ thuật này và đảm bảo chất lượng phù hợp với quy định tại Luật Chất lượng sản phẩm hàng hóa.
11.1.2. Tổ chức sản xuất, nhập khẩu thuốc nổ Octogen phải đăng ký bản công bố hợp quy tại Sở Công Thương nơi đăng ký kinh doanh theo quy định tại Thông tư số 36/2019/TT-BCT.
11.2. Trách nhiệm của cơ quan quản lý nhà nước
11.2.1. Cục Kỹ thuật an toàn và Môi trường công nghiệp chủ trì phối hợp với Vụ Khoa học và Công nghệ thuộc Bộ Công Thương, các đơn vị có liên quan hướng dẫn, kiểm tra việc thực hiện Quy chuẩn kỹ thuật này.
11.2.2. Sở Công Thương các tỉnh, thành phố trực thuộc Trung ương kiểm tra, đôn đốc về thực hiện các thủ tục công bố hợp quy theo quy định tại Quy chuẩn kỹ thuật này kiểm tra việc tuân thủ các quy định về quản lý chất lượng thuốc nổ Octogen của các doanh nghiệp trên địa bàn quản lý.
V. TỔ CHỨC THỰC HIỆN
12. Tổ chức thực hiện
12.1. Quy chuẩn kỹ thuật này có hiệu lực thi hành kể từ ngày 01 tháng 7 năm 2024.
12.2. Trong quá trình thực hiện Quy chuẩn kỹ thuật này, trường hợp tổ chức, cá nhân có khó khăn, vướng mắc đề nghị phản ánh về Bộ Công Thương để xem xét, hướng dẫn.
12.3. Trong trường hợp các văn bản quy phạm pháp luật, Tiêu chuẩn viện dẫn tại Quy chuẩn kỹ thuật này có sửa đổi, bổ sung hoặc được thay thế thì thực hiện theo quy định tại văn bản hiện hành./.
Phụ lục 1
Bộ dụng cụ áo cối, cối, chày

|
1. Áo cối |
2. Cối |
3. Thuốc nổ |
4. Chày |
Hình 1. Bộ dụng cụ áo cối, cối, chày

Áo cối được chế tạo bằng thép dụng cụ theo
1435-74 hoặc tương đương có độ cứng từ 61 HRC đến 63 HRC
Kích thước tính bằng mm
Hình 2. Áo cối

Cối được chế tạo bằng thép dụng cụ theo
1435-74 hoặc tương đương
có độ cứng từ 61 HRC đến 63 HRC
Kích thước tính bằng mm
Hình 3. Cối

Chày được chế tạo bằng thép vòng bi theo
801-78 hoặc tương
đương có độ cứng từ 63 HRC đến 65 HRC
Kích thước tính bằng mm
Hình 4. Chày
Phụ lục 2
Bảng kê khoảng tin cậy xác suất nổ
|
P |
n |
|||
|
25 |
50 |
|||
|
P1 |
Pn |
P1 |
Pn |
|
|
100 |
100 |
86 |
100 |
93 |
|
96 |
100 |
80 |
100 |
87 |
|
92 |
99 |
74 |
98 |
81 |
|
88 |
98 |
69 |
96 |
75 |
|
84 |
96 |
64 |
93 |
71 |
|
80 |
93 |
59 |
90 |
66 |
|
76 |
91 |
55 |
87 |
62 |
|
72 |
88 |
51 |
84 |
57 |
|
68 |
85 |
47 |
80 |
53 |
|
64 |
82 |
44 |
77 |
49 |
|
60 |
79 |
39 |
74 |
45 |
|
56 |
76 |
35 |
70 |
41 |
|
52 |
72 |
31 |
66 |
37 |
|
48 |
69 |
28 |
63 |
34 |
|
44 |
65 |
24 |
59 |
30 |
|
40 |
61 |
21 |
55 |
26 |
|
36 |
58 |
18 |
51 |
23 |
|
32 |
54 |
15 |
47 |
19 |
|
28 |
49 |
12 |
43 |
16 |
|
24 |
45 |
9 |
38 |
13 |
|
20 |
41 |
7 |
34 |
10 |
|
16 |
36 |
4 |
29 |
7 |
|
12 |
31 |
3 |
25 |
4 |
|
8 |
26 |
1 |
19 |
2 |
|
4 |
20 |
0 |
14 |
1 |
|
0 |
14 |
0 |
7 |
0 |
|
Ghi chú: n là số phát thử nghiệm của 01 nhóm; P1, Pn là giới hạn tin cậy trên và giới hạn tin cậy dưới vùng trị số tin cậy của kết quả xác định nhóm đó. |
||||
Bạn chưa Đăng nhập thành viên.
Đây là tiện ích dành cho tài khoản thành viên. Vui lòng Đăng nhập để xem chi tiết. Nếu chưa có tài khoản, vui lòng Đăng ký tại đây!
Bạn chưa Đăng nhập thành viên.
Đây là tiện ích dành cho tài khoản thành viên. Vui lòng Đăng nhập để xem chi tiết. Nếu chưa có tài khoản, vui lòng Đăng ký tại đây!