- Tổng quan
- Nội dung
- VB gốc
- Tiếng Anh
- Hiệu lực
- VB liên quan
- Lược đồ
-
Nội dung hợp nhất
Tính năng này chỉ có tại LuatVietnam.vn. Nội dung hợp nhất tổng hợp lại tất cả các quy định còn hiệu lực của văn bản gốc và các văn bản sửa đổi, bổ sung, đính chính... trên một trang. Việc hợp nhất văn bản gốc và những văn bản, Thông tư, Nghị định hướng dẫn khác không làm thay đổi thứ tự điều khoản, nội dung.
Khách hàng chỉ cần xem Nội dung hợp nhất là có thể nắm bắt toàn bộ quy định hiện hành đang áp dụng, cho dù văn bản gốc đã qua nhiều lần chỉnh sửa, bổ sung.
- Tải về
Thông tư 14/2010/TT-BCT thủ tục xây dựng, ban hành và quản lý giá truyền tải điện
| Cơ quan ban hành: | Bộ Công Thương |
Số công báo:
Số công báo là mã số ấn phẩm được đăng chính thức trên ấn phẩm thông tin của Nhà nước. Mã số này do Chính phủ thống nhất quản lý.
|
Đã biết
|
| Số hiệu: | 14/2010/TT-BCT | Ngày đăng công báo: |
Đã biết
|
| Loại văn bản: | Thông tư | Người ký: | Đỗ Hữu Hào |
|
Ngày ban hành:
Ngày ban hành là ngày, tháng, năm văn bản được thông qua hoặc ký ban hành.
|
15/04/2010 |
Ngày hết hiệu lực:
Ngày hết hiệu lực là ngày, tháng, năm văn bản chính thức không còn hiệu lực (áp dụng).
|
Đã biết
|
|
Áp dụng:
Ngày áp dụng là ngày, tháng, năm văn bản chính thức có hiệu lực (áp dụng).
|
Đã biết
|
Tình trạng hiệu lực:
Cho biết trạng thái hiệu lực của văn bản đang tra cứu: Chưa áp dụng, Còn hiệu lực, Hết hiệu lực, Hết hiệu lực 1 phần; Đã sửa đổi, Đính chính hay Không còn phù hợp,...
|
Đã biết
|
| Lĩnh vực: | Công nghiệp , Điện lực |
TÓM TẮT THÔNG TƯ 14/2010/TT-BCT
04 điều kiện để điều chỉnh chi phí và doanh thu truyền tải điện
Ngày 19/01/2012, Bộ Công Thương ban hành Thông tư số 03/2012/TT-BCT sửa đổi, bổ sung một số điều của Thông tư số 14/2010/TT-BCT về phương pháp lập, trình tự, thủ tục xây dựng, ban hành và quản lý giá truyền tải điện.
Theo quy định mới được sửa đổi, giá truyền tải điện bình quân năm được xác định căn cứ tổng doanh thu truyền tải điện của Tổng công ty Truyền tải điện quốc gia và tổng điện năng Tổng công ty Truyền tải điện quốc gia giao cho các đơn vị phải trả chi phí truyền tải điện tại các điểm giao nhận điện.
Trong đó, Bộ Công Thương giao cho Tổng công ty Truyền tải điện quốc gia lập và duy trì hệ thống sổ sách theo dõi các khoản mục chi phí để xác định lượng chênh lệch chi phí và doanh thu để điều chỉnh vào tổng doanh thu truyền tải điện cho phép. Việc điều chỉnh này chỉ được thực hiện trong năm dương lịch liền trước (N-1) khi: Tổng doanh thu thực tế trong năm của Tổng công ty Truyền tải điện quốc gia khác với tổng doanh thu truyền tải điện cho phép được duyệt; Phát sinh chênh lệch chi phí thực tế hợp lý, hợp lệ so với chi phí được duyệt trong phương án giá truyền tải điện; Phát sinh chi phí cho khắc phục hậu quả do thiên tai và xử lý sự cố bất khả kháng; Phát sinh chi phí đầu tư tài sản truyền tải điện hợp lý ngoài kế hoạch đầu tư lưới truyền tải điện đã được cơ quan có thẩm quyền phê duyệt. Trong đó, năm để điều chỉnh chi phí và doanh thu truyền tải điện sẽ căn cứ vào Năm N là năm dương lịch tính từ ngày 01/01 đến hết ngày 31/12.
Thông tư cũng hướng dẫn xác định chi phí tiền lương theo quy định tại Thông tư số 27/2010/TT-BLĐTBXH ngày 14/9/2010 của Bộ Lao động, Thương binh và Xã hội đối với công ty trách nhiệm hữu hạn một thành viên do Nhà nước làm chủ sở hữu, các văn bản bổ sung sau này và các quy định khác có liên quan.
Thông tư này có hiệu lực thi hành kể từ ngày 05/03/2012, bãi bỏ các quy định trước đây do Bộ Công Thương ban hành trái với Thông tư này.
Xem chi tiết Thông tư 14/2010/TT-BCT có hiệu lực kể từ ngày 01/06/2010
Tải Thông tư 14/2010/TT-BCT
|
BỘ CÔNG THƯƠNG |
CỘNG HÒA XÃ HỘI CHỦ NGHĨA VIỆT NAM |
THÔNG TƯ
QUY ĐỊNH PHƯƠNG PHÁP LẬP, TRÌNH TỰ, THỦ TỤC XÂY DỰNG, BAN HÀNH VÀ QUẢN LÝ GIÁ TRUYỀN TẢI ĐIỆN
Căn cứ Nghị định số 189/2007/NĐ-CP ngày 27 tháng 12 năm 2007 của Chính phủ quy định chức năng, nhiệm vụ, quyền hạn và cơ cấu tổ chức của Bộ Công Thương;
Căn cứ Luật Điện lực ngày 03 tháng 12 năm 2004;
Căn cứ Nghị định số 105/2005/NĐ-CP ngày 17 tháng 8 năm 2005 của Chính phủ quy định chi tiết và hướng dẫn thi hành một số điều của Luật Điện lực;
Căn cứ Quyết định số 153/2008/QĐ-TTg ngày 28 tháng 11 năm 2008 của Thủ tướng Chính phủ quy định chức năng, nhiệm vụ, quyền hạn và cơ cấu tổ chức của Cục Điều tiết điện lực thuộc Bộ Công Thương;
Bộ Công Thương quy định về phương pháp lập, trình tự, thủ tục xây dựng, ban hành và quản lý giá truyền tải điện như sau:
Chương I
QUY ĐỊNH CHUNG
Điều 1. Phạm vi và đối tượng áp dụng
1. Thông tư này quy định về phương pháp lập, trình tự, thủ tục xây dựng ban hành giá và quản lý giá truyền tải điện.
2. Thông tư này áp dụng đối với Tập đoàn Điện lực Việt Nam, Tổng công ty Truyền tải điện quốc gia, Đơn vị vận hành hệ thống điện và thị trường điện quốc gia, Công ty mua bán điện và các đơn vị phải trả chi phí truyền tải điện.
Điều 2. Giải thích từ ngữ
Trong Thông tư này các từ ngữ dưới đây được hiểu như sau:
1. Báo cáo tài chính là báo cáo tài chính đã được kiểm toán do cơ quan kiểm toán độc lập thực hiện.
2. Điểm giao nhận điện là điểm giao nhận điện giữa Công ty mua bán điện với Công ty điện lực gồm các điểm giao nhận điện giữa lưới truyền tải điện và lưới phân phối điện và các điểm giao nhận giữa nhà máy điện phát lên lưới 110kV và lưới phân phối điện của các Công ty điện lực.
3. Đơn vị vận hành hệ thống điện và thị trường điện quốc gia là đơn vị chỉ huy, điều khiển quá trình phát điện, truyền tải điện, phân phối điện trong hệ thống điện quốc gia, điều hành giao dịch thị trường điện.
4. Đơn vị phải trả chi phí truyền tải điện là Công ty điện lực, khách hàng mua điện trực tiếp từ lưới truyền tải điện.
5. Khách hàng mua điện trực tiếp là khách hàng sử dụng điện lớn đấu nối trực tiếp vào lưới truyền tải điện.
6. Lưới truyền tải điện là hệ thống đường dây tải điện, trạm biến áp và các trang thiết bị đồng bộ để tải điện từ các nhà máy điện đến điểm tiếp nhận điện của các Công ty điện lực, bao gồm các đường dây, trạm biến áp từ cấp điện áp 500kV – 100kV có chức năng truyền tải thuộc sở hữu của Tổng công ty Truyền tải điện quốc gia.
7. Năm áp dụng giá bán điện là năm tính từ ngày 01 tháng 3 năm đó đến hết tháng 02 năm kế tiếp.
8. Năm N là năm áp dụng giá bán điện từ ngày 01 tháng 3 năm N đến hết tháng 02 năm kế tiếp.
9. Năm N-1 là năm áp dụng giá bán điện liền trước năm N và là năm tiến hành xây dựng giá truyền tải điện cho năm N.
10. Năm N-2 là năm áp dụng giá bán điện liền trước năm N-1.
11. Tài sản truyền tải điện gồm lưới điện truyền tải, các công trình xây dựng và các trang thiết bị phụ trợ khác được sử dụng cho hoạt động truyền tải điện do Tổng công ty Truyền tải điện quốc gia sở hữu.
12. Tổng công suất giao nhận cực đại (của một đơn vị) là tổng công suất giao nhận lớn nhất các điểm giao nhận điện trong khoảng thời gian từ ngày 01 tháng 3 năm N tới hết tháng 02 năm tiếp theo của một đơn vị phải trả chi phí truyền tải điện.
Chương II
PHƯƠNG PHÁP LẬP VÀ GIÁ TRUYỀN TẢI ĐIỆN
Điều 3. Nguyên tắc xác định giá truyền tải điện bình quân
1. Giá truyền tải điện hàng năm được áp dụng một giá thống nhất toàn quốc không phụ thuộc vào khoảng cách truyền tải điện và điểm giao nhận.
2. Giá truyền tải điện bình quân được xác định hàng năm theo nguyên tắc đảm bảo thu hồi đủ chi phí hợp lệ và có lợi nhuận cho phép để vận hành lưới truyền tải điện đạt chất lượng quy định và đáp ứng các chỉ tiêu tài chính cho đầu tư, phát triển lưới truyền tải điện.

n: Số các đơn vị phải trả chi phí truyền tải điện
Tổng doanh thu truyền tải điện cho phép năm N (
=
+
+ CLN-2
CLN-2: Lượng chênh lệch chi phí và doanh thu truyền tải điện của năm N-2 được điều chỉnh vào tổng doanh thu truyền tải điện cho phép năm N (đồng), được xác định theo phương pháp quy định tại Điều 12 của Thông tư này.
Điều 5. Phương pháp xác định tổng chi phí vốn
= ![]()
LNN: Lợi nhuận truyền tải điện cho phép năm N (đồng)
Đối với những tài sản truyền tải điện có thời gian trích khấu hao khác với quy định tại Thông tư số 203/2009/TT-BTC, Tổng công ty Truyền tải điện quốc gia xây dựng chế độ trích khấu hao các loại tài sản đó, báo cáo Tập đoàn Điện lực Việt Nam xem xét; Tổng công ty Truyền tải điện quốc gia có trách nhiệm trình Cục Điều tiết điện lực thông qua trước khi trình Bộ Tài chính ban hành.
VCSH,N: Trung bình của vốn chủ sở hữu ước tính đến ngày 31 tháng 12 năm N-1 và vốn chủ sở hữu ước tính đến ngày 31 tháng 12 năm N (đồng)
ROEN: Tỷ suất lợi nhuận trên vốn chủ sở hữu của Tổng công ty Truyền tải điện quốc gia (%), được xác định đảm bảo các chỉ tiêu tài chính cho đầu tư, phát triển lưới truyền tải điện gồm tỷ lệ tự đầu tư (Self Financing Ratio – SFR) và tỷ lệ thanh toán nợ (Debt Service Coverage Ratio – DSCR) nhằm tăng dần để đạt mức tương ứng là 25% và 1,5 lần
Tổng công ty Truyền tải điện quốc gia xây dựng phương pháp và quy chế quản lý tăng giảm tài sản truyền tải điện hàng năm, trình Tập đoàn Điện lực Việt Nam thông qua để trình Cục Điều tiết điện lực ban hành.
Điều 6. Phương pháp xác định tổng chi phí vận hành và bảo dưỡng
Trong đó:
2. Phương pháp xác định tổng chi phí vật liệu

b) Tổng chi phí vật liệu đường dây truyền tải điện năm N (
) được xác định theo công thức sau:

Ld,i,h : Tổng chiều dài đường dây truyền tải điện loại d, cấp điện áp i, ở điều kiện địa hình h vận hành trong năm N (km)
d: Chỉ số loại đường dây gồm: đường dây trên không mạch đơn (Đ), đường dây trên không mạch kép (K), cáp ngầm 1 mạch (NĐ), cáp ngầm 2 mạch (NK)
i: Chỉ số cấp điện áp gồm: 110 kV, 220kV, 500kV
h: Chỉ số điều kiện địa hình gồm: đồng bằng (ĐB), trung du và miền núi (TD), núi cao và rừng rậm (NC)
c) Tổng chi phí vật liệu trạm biến áp năm N (
) được xác định theo công thức sau:

Mi, h: Tổng số ngăn lộ cấp điện áp i, ở điều kiện địa hình h vận hành trong năm N (ngăn lộ)
d) Tổng chi phí vật liệu máy biến áp năm N (
) được xác định theo công thức sau:

Si,h: Tổng dung lượng máy biến áp cấp điện áp i, ở điều kiện địa hình h vận hành trong năm N (MVA)
đ) Khối lượng đường dây, số ngăn lộ trạm biến áp và tổng dung lượng máy biến áp dự kiến của năm N theo các cấp điện áp được xác định theo khối lượng thực tế thực hiện tính đến 31 tháng 12 năm N-2, khối lượng tăng thêm của năm N-1 (tính theo số thực hiện đến thời điểm báo cáo và dự kiến khối lượng tăng thêm đến 31 tháng 12 năm N-1) và khối lượng tăng thêm dự kiến của năm N;
e) Đơn giá vật liệu cho đường dây, ngăn lộ trạm biến áp và máy biến áp bao gồm hai thành phần trực tiếp và gián tiếp, trong đó thành phần gián tiếp được xác định theo tỷ lệ phần trăm của thành phần trực tiếp;
g) Tổng công ty Truyền tải điện quốc gia có trách nhiệm xây dựng đơn giá vật liệu, tỷ lệ định mức chi phí vật liệu gián tiếp so với trực tiếp của các loại đường dây, ngăn lộ, máy biến áp ở các cấp điện áp, theo điều kiện địa hình, trình Tập đoàn Điện lực Việt Nam xem xét để trình Cục Điều tiết điện lực ban hành.
3. Phương pháp xác định chi phí tiền lương
b) Chi phí tiền lương được xác định theo quy định tại Thông tư số 15/2007/TT-BLĐTBXH ngày 31 tháng 8 năm 2007 hướng dẫn thực hiện Nghị định số 86/2007/NĐ-CP ngày 28 tháng 5 năm 2007 của Chính phủ quy định quản lý lao động và tiền lương trong công ty trách nhiệm hữu hạn một thành viên do Nhà nước sở hữu 100% vốn điều lệ, các Thông tư hướng dẫn, thay thế, bổ sung sau này và các quy định khác có liên quan;
c) Các chi phí có tính chất lương như chi phí bảo hiểm y tế, bảo hiểm xã hội, bảo hiểm thất nghiệp và kinh phí công đoàn được xác định theo quy định của pháp luật có liên quan.
a) Tổng chi phí sửa chữa lớn năm N(
) của Tổng công ty Truyền tải điện quốc gia được xác định theo công thức sau:

Chi phí sửa chữa lớn không bao gồm chi phí cải tạo, nâng cấp tài sản cố định làm tăng nguyên giá tài sản cố định.
b) Tổng chi phí sửa chữa lớn đường dây truyền tải điện năm N (
) được xác định theo công thức sau:

Ld,i,h: Tổng chiều dài đường dây truyền tải điện loại d, cấp điện áp i, ở điều kiện địa hình h được sửa chữa lớn trong năm N (km)
d: Chỉ số loại đường dây gồm: đường dây trên không mạch đơn (Đ), đường dây trên không mạch kép (K), cáp ngầm 1 mạch (NĐ), cáp ngầm 2 mạch (NK)
i: Chỉ số cấp điện áp gồm: 110 kV, 220kV, 500kV
h: Chỉ số điều kiện địa hình gồm: đồng bằng (ĐB), trung du và miền núi (TD), núi cao và rừng rậm (NC)
c) Tổng chi phí sửa chữa lớn trạm biến áp năm N (
) được xác định theo công thức sau:

Mi,h: Tổng số ngăn lộ cấp điện áp i, ở điều kiện địa hình h được sửa chữa lớn trong năm N (ngăn lộ)
d) Tổng chi phí sửa chữa lớn máy biến áp năm N (
) được xác định theo công thức sau:

Si,h: Tổng dung lượng máy biến áp cấp điện áp i, ở điều kiện địa hình h được sửa chữa lớn trong năm N (MVA)
đ) Tổng chi phí sửa chữa lớn công trình phụ trợ và phục vụ năm N (
) được xác định theo công thức sau:

k: Tỷ lệ định mức chi phí sửa chữa lớn công trình phụ trợ và phục vụ so với tổng chi phí sửa chữa lớn đường dây và trạm biến áp (bao gồm ngăn lộ và máy biến áp) (%)
e) Tổng công ty Truyền tải điện quốc gia có trách nhiệm: xây dựng các định mức và đơn giá sửa chữa lớn trình Tập đoàn Điện lực Việt Nam thông qua để trình Cục Điều tiết điện lực ban hành; xây dựng danh mục các hạng mục sửa chữa lớn hàng năm trình Tập đoàn Điện lực Việt Nam thông qua để tính tổng chi phí sửa chữa lớn năm N.
5. Phương pháp xác định tổng chi phí dịch vụ mua ngoài
b) Tổng chi phí dịch vụ mua ngoài năm N được xác định theo nhu cầu các dịch vụ mua ngoài dự kiến cho năm N trên cơ sở chi phí thực tế thực hiện đã được kiểm toán năm N-2 (tại các hợp đồng dịch vụ mua ngoài và chi phí dịch vụ mua ngoài) và chi phí ước thực hiện năm N-1.
6. Phương pháp xác định tổng chi phí bằng tiền khác
b) Tổng chi phí bằng tiền khác năm N được xác định theo chi phí dự kiến cho năm N trên cơ sở các chi phí thực tế thực hiện đã được kiểm toán năm N-2 và chi phí ước thực hiện năm N-1.
Điều 7. Phương pháp xác định giá truyền tải điện hàng năm cho các đơn vị phải trả chi phí truyền tải điện
1. Giá truyền tải điện (
) (đ/kWh) của năm N cho đơn vị phải trả chi phí truyền tải điện thứ i được xác định theo công thức sau:

TCi: Chi phí truyền tải điện do đơn vị phải trả chi phí truyền tải điện thứ i trả trong năm N (đồng)

TCP,i: Thành phần chi phí truyền tải điện theo công suất (đồng)
TCA,i: Thành phần chi phí truyền tải điện theo điện năng (đồng)
DCi,N-2: Tổng lượng điều chỉnh chi phí truyền tải điện của đơn vị phải trả chi phí truyền tải điện thứ i cho năm (N-2) (đồng)

n: Tổng số các đơn vị phải trả chi phí truyền tải điện.
α, β: Hệ số tỉ lệ thành phần công suất và điện năng trong chi phí truyền tải điện được Cục Điều tiết điện lực quy định hàng năm, với α + β = 1; quy định α = 0 đối với năm 2011

IN-2: Lãi suất trung bình của lãi suất tiền gửi bằng đồng Việt Nam, kỳ hạn 12 tháng trả sau dành cho khách hàng doanh nghiệp vào ngày 31 tháng 12 năm (N-2) của 4 ngân hàng thương mại (Ngân hàng cổ phần Ngoại thương Việt Nam, Ngân hàng cổ phần Công thương Việt Nam, Ngân hàng Đầu tư và Phát triển Việt Nam, Ngân hàng Nông nghiệp và Phát triển nông thôn Việt Nam) cộng 3%
Chi phí truyền tải điện tháng j (TCij) của đơn vị phải trả chi phí truyền tải điện thứ i được xác định theo công thức sau:

Chương III
CƠ CHẾ ĐIỀU CHỈNH DOANH THU TRUYỀN TẢI ĐIỆN
Điều 9. Nguyên tắc điều chỉnh doanh thu truyền tải điện
1. Tổng công ty Truyền tải điện quốc gia có trách nhiệm lập và duy trì hệ thống sổ sách theo dõi các khoản mục chi phí để xác định lượng chênh lệch chi phí và doanh thu của năm N-2 để điều chỉnh vào tổng doanh thu truyền tải điện cho phép năm N.
2. Việc điều chỉnh chi phí và doanh thu truyền tải điện chỉ được thực hiện trong các trường hợp sau:
a) Tổng doanh thu thực tế năm N-2 của Tổng công ty Truyền tải điện quốc gia khác với tổng doanh thu truyền tải điện cho phép được duyệt;
b) Phát sinh chênh lệch chi phí thực tế hợp lý, hợp lệ năm N-2 (căn cứ vào báo cáo tài chính) so với chi phí tính toán được duyệt trong phương án giá truyền tải điện năm N-2 (gồm chi phí khấu hao, chi phí lãi vay dài hạn, chi phí tiền lương, chi phí sửa chữa lớn, chi phí dịch vụ mua ngoài, chênh lệch tỷ giá thực hiện), trừ trường hợp phát sinh chi phí quy định tại điểm c và điểm d Khoản này;
c) Phát sinh chi phí cho khắc phục hậu quả do thiên tai và xử lý sự cố bất khả kháng trong năm N-2;
d) Phát sinh chi phí đầu tư tài sản truyền tải điện hợp lý ngoài kế hoạch đầu tư lưới truyền tải điện năm N-2 được cơ quan nhà nước có thẩm quyền phê duyệt.
Điều 10. Giải quyết chi phí phát sinh cho khắc phục hậu quả do thiên tai, xử lý sự cố bất khả kháng và đầu tư ngoài kế hoạch
1. Trường hợp phát sinh chi phí cho khắc phục hậu quả do thiên tai, xử lý sự cố bất khả kháng, trong thời hạn 15 ngày kể từ ngày xảy ra sự kiện, Tổng công ty Truyền tải điện quốc gia có trách nhiệm báo cáo về các sự kiện và dự toán chi phí phát sinh để khắc phục, trình Tập đoàn Điện lực Việt Nam phê duyệt và báo cáo Cục Điều tiết điện lực.
2. Trường hợp phát sinh chi phí đầu tư tài sản truyền tải điện hợp lý ngoài kế hoạch được duyệt, Tổng công ty Truyền tải điện quốc gia có trách nhiệm lập hồ sơ bổ sung kế hoạch mở rộng lưới truyền tải điện hàng năm, trình Tập đoàn Điện lực Việt Nam thông qua để trình Cục Điều tiết điện lực phê duyệt.
Điều 11. Trách nhiệm duy trì và chế độ báo cáo về lượng chênh lệch chi phí và doanh thu truyền tải điện
Tổng công ty Truyền tải điện quốc gia có trách nhiệm duy trì hệ thống sổ sách theo dõi các khoản mục chi phí và lập báo cáo hàng năm (trong hồ sơ đề nghị phê duyệt tổng doanh thu truyền tải điện) về tình hình tăng giảm lượng chênh lệch điều chỉnh chi phí và doanh thu truyền tải điện (từ ngày 01 tháng 3 năm N-2 cho đến hết tháng 02 năm N-1) gồm:
1. Các khoản điều chỉnh chi phí và doanh thu do chênh lệch chi phí hoặc có chi phí phát sinh trong năm N-2.
2. Lượng chênh lệch chi phí và doanh thu của năm N-2 (CLN-2) được điều chỉnh trong tổng doanh thu truyền tải điện năm N.
3. Số dư lượng chênh lệch chi phí và doanh thu truyền tải điện cho đến hết tháng 02 năm N-1.
Lượng chênh lệch chi phí và doanh thu truyền tải điện


SVN-2: Tổng chi phí phát sinh cho khắc phục hậu quả do thiên tai và xử lý sự cố bất khả kháng; tổng chi phí khấu hao, chi phí lãi vay, lợi nhuận vốn chủ sở hữu của lượng đầu tư phát sinh hợp lý năm N-2 (theo quy định tại điểm c và điểm đ khoản 2 Điều 9 Thông tư này)
IN-1: Lãi suất trung bình của lãi suất tiền gửi bằng đồng Việt Nam, kỳ hạn 12 tháng trả sau dành cho khách hàng doanh nghiệp vào ngày 31 tháng 7 năm N-1 của 4 ngân hàng thương mại (Ngân hàng cổ phần Ngoại thương Việt Nam, Ngân hàng cổ phần Công thương Việt Nam, Ngân hàng Đầu tư và Phát triển Việt Nam, Ngân hàng Nông nghiệp và Phát triển nông thôn Việt Nam) cộng 3%
Chương IV
CƠ CHẾ PHẠT KHÔNG ĐẢM BẢO CHẤT LƯỢNG DỊCH VỤ
Điều 13. Nguyên tắc phạt không đảm bảo chất lượng dịch vụ
1. Tổng công ty Truyền tải điện quốc gia bị phạt không đảm bảo chất lượng dịch vụ truyền tải điện trong trường hợp sự cố mất điện đường dây và máy biến áp truyền tải điện trong năm của lưới truyền tải điện vượt quá định mức quy định cho từng cấp điện áp, trừ sự cố do bất khả kháng (thiên tai) hoặc sự cố không do Tổng công ty Truyền tải điện quốc gia gây ra.
2. Cơ chế phạt được áp dụng hàng năm bằng cách khấu trừ từ quỹ phúc lợi lượng tiền bằng tổng lượng phạt không đảm bảo chất lượng dịch vụ truyền tải điện và chuyển vào quỹ đầu tư phát triển của Tổng công ty Truyền tải điện quốc gia.
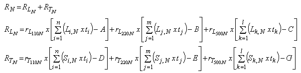
Điều 14. Phương pháp xác định tổng lượng phạt không đảm bảo chất lượng dịch vụ

Li,N (Lj,N, Lk,N): Tổng chiều dài đường dây truyền tải điện 110kV (220kV, 500kV) bị mất điện khi xảy ra sự cố thứ i (j, k) (km)
Si,N (Sj,N, Sk,N): Tổng công suất lắp đặt máy biến áp có điện áp phía cao thế 110kV (220kV, 500kV) bị mất điện khi xảy ra sự cố thứ i (j, k) (MVA)
ti (tj, tk): Thời gian mất điện đường dây truyền tải điện hoặc máy biến áp có điện áp phía cao thế 110kV (220kV, 500kV) khi xảy ra sự cố thứ i (j, k) (phút)
n (m, l): Số lần sự cố đường dây truyền tải điện hoặc máy biến áp có điện áp phía cao thế 110kV (220kV, 500kV) trong năm N (từ 01 tháng 9 năm N-1 đến 31 tháng 8 năm N)
= X110 x GTT N
Suất phạt không đảm bảo chất lượng dịch vụ truyền tải điện do sự cố mất điện đường dây truyền tải trong năm N tính cho mỗi kilomet đường dây truyền tải điện 220kV trong một phút [đồng/(kmxphút)], được tính theo công thức sau:
= X220 x GTT N
Suất phạt không đảm bảo chất lượng dịch vụ truyền tải điện do sự cố mất điện đường dây truyền tải trong năm N tính cho mỗi kilomet đường dây truyền tải điện 500kV trong một phút [đồng/(kmxphút)], được tính theo công thức sau:
= X500 x GTT N
Suất phạt không đảm bảo chất lượng dịch vụ truyền tải điện do sự cố mất điện máy biến áp trong năm N tính cho mỗi MVA công suất máy biến áp có điện áp phía cao thế 110kV trong một phút [đồng/(MVAxphút)], được tính theo công thức sau:
= Y110 x GTT N
Suất phạt không đảm bảo chất lượng dịch vụ truyền tải điện do sự cố mất điện máy biến áp trong năm N tính cho mỗi MVA công suất máy biến áp có điện áp phía cao thế 220kV trong một phút [đồng/(MVAxphút)], được tính theo công thức sau:
= Y220 x GTT N
Suất phạt không đảm bảo chất lượng dịch vụ truyền tải điện do sự cố mất điện máy biến áp trong năm N tính cho mỗi MVA công suất máy biến áp có điện áp phía cao thế 500kV trong một phút [đồng/(MVAxphút)], được tính theo công thức sau:
= Y500 x GTT N
X220: Hệ số phạt không đảm bảo chất lượng dịch vụ truyền tải điện do sự cố mất điện đường dây truyền tải điện 220kV [1/(km x phút)]
X500: Hệ số phạt không đảm bảo chất lượng dịch vụ truyền tải điện do sự cố mất điện đường dây truyền tải điện 500kV [1/(km x phút)]
Y110: Hệ số phạt không đảm bảo chất lượng dịch vụ truyền tải điện do sự cố mất điện máy biến áp truyền tải điện 110kV [1/(MVA x phút)]
Y220: Hệ số phạt không đảm bảo chất lượng dịch vụ truyền tải điện do sự cố mất điện máy biến áp truyền tải điện 220kV [1/(MVA x phút)]
Y500: Hệ số phạt không đảm bảo chất lượng dịch vụ truyền tải điện do sự cố mất điện máy biến áp truyền tải điện 500kV [1/(MVA x phút)]
A (B, C): Định mức phạt sự cố mất điện đường dây truyền tải điện 110kV (220kV, 500kV)
D (E, G): Định mức phạt sự cố mất điện máy biến áp truyền tải điện 110kV (220kV, 500kV)
3. Các sự cố đường dây và máy biến áp truyền tải điện được tính khi xác định lượng phạt không đảm bảo chất lượng dịch vụ truyền tải điện là các sự cố có thời gian mất điện lớn hơn hoặc bằng một phút. Thời gian mất điện của các sự cố đường dây và máy biến áp truyền tải điện được tính tròn theo phút.
Điều 15. Trình tự, thủ tục thực hiện cơ chế phạt không đảm bảo chất lượng dịch vụ
1. Trước ngày 01 tháng 10 hàng năm (năm N), Tổng công ty Truyền tải điện quốc gia phải báo cáo thống kê sự cố đường dây truyền tải điện (thời gian mất điện ti, chiều dài đường dây sự cố Li,N cho mỗi sự cố), sự cố máy biến áp truyền tải điện (thời gian mất điện ti, tổng công suất lắp đặt máy biến áp bị sự cố Si,N cho mỗi sự cố) của lưới truyền tải điện từ ngày 01 tháng 9 năm N-1 đến hết ngày 31 tháng 8 năm N gửi Đơn vị vận hành hệ thống điện và thị trường điện quốc gia.
2. Trước ngày 01 tháng 11 hàng năm (năm N), Đơn vị vận hành hệ thống điện và thị trường điện quốc gia có trách nhiệm kiểm tra, xác nhận báo cáo thống kê sự cố đường dây, máy biến áp truyền tải điện từ ngày 01 tháng 9 năm N-1 đến hết ngày 31 tháng 8 năm N, gửi báo cáo cho Cục Điều tiết điện lực và gửi bản sao báo cáo cho Tổng công ty Truyền tải điện quốc gia để làm cơ sở xác định lượng phạt không đảm bảo chất lượng dịch vụ truyền tải điện của năm N.
3. Trước ngày 01 tháng 12 hàng năm (năm N), Tổng công ty Truyền tải điện quốc gia có trách nhiệm báo cáo Cục Điều tiết điện lực giải trình thống kê sự cố đường dây, máy biến áp truyền tải điện từ ngày 01 tháng 9 năm N-1 đến hết ngày 31 tháng 8 năm N; tính toán lượng phạt không đảm bảo chất lượng dịch vụ truyền tải điện năm N; trình Tập đoàn Điện lực Việt Nam thông qua để trình Cục Điều tiết điện lực phê duyệt làm cơ sở thực hiện.
Chương V
TRÌNH TỰ, THỦ TỤC THẨM ĐỊNH, PHÊ DUYỆT VÀ THANH TOÁN GIÁ TRUYỀN TẢI ĐIỆN
Điều 16. Trình tự, thủ tục thẩm định và chấp thuận tổng doanh thu truyền tải điện
1. Trước ngày 15 tháng 9 hàng năm (năm N-1), Tổng công ty Truyền tải điện quốc gia lập hồ sơ thẩm định tổng doanh thu truyền tải điện cho năm tính giá (năm N) từ ngày 01 tháng 3 năm N đến ngày 28 tháng 02 năm N + 1, trình Tập đoàn Điện lực Việt Nam thông qua để trình Cục Điều tiết điện lực thẩm định và có văn bản chấp thuận. Trường hợp hồ sơ không hợp lệ theo quy định tại Điều 17 của Thông tư này, Tổng công ty Truyển tải điện quốc gia có trách nhiệm hoàn chỉnh, bổ sung trong thời hạn năm (05) ngày kể từ ngày nhận được yêu cầu của Cục Điều tiết điện lực.
Trường hợp cần thiết, Cục Điều tiết điện lực được sử dụng tư vấn để thẩm định hồ sơ trình duyệt tổng doanh thu truyền tải điện của Tổng công ty Truyền tải điện quốc gia.
2. Trước ngày 10 tháng 10 hàng năm (năm N-1), Cục Điều tiết điện lực có văn bản chấp thuận tổng doanh thu truyền tải điện cho phép năm N của Tổng công ty Truyền tải điện quốc gia để làm cơ sở phê duyệt giá truyền tải điện.
Điều 17. Hồ sơ trình thẩm định tổng doanh thu truyền tải điện
Hồ sơ trình thẩm định tổng doanh thu truyền tải điện hàng năm (năm N) của Tổng công ty Truyền tải điện quốc gia gồm:
1. Tờ trình thẩm định tổng doanh thu truyền tải điện năm N của Tổng công ty Truyền tải điện quốc gia.
2. Thuyết minh và các bảng tính tổng doanh thu truyền tải điện năm N, gồm:
a) Phân tích, đánh giá tình hình thực hiện các chỉ tiêu sản lượng điện giao, tỷ lệ tổn thất truyền tải, suất sự cố đường dây và máy biến áp ở các cấp điện áp, tình hình thực hiện doanh thu, các chi phí đến ngày 31 tháng 8 và ước thực hiện đến hết năm N-1; phân tích, đánh giá tình hình thực hiện lợi nhuận, vốn chủ sở hữu, các chỉ tiêu tài chính như tỷ suất lợi nhuận trên vốn chủ sở hữu, cơ cấu vốn chủ sở hữu và vốn vay, tỉ lệ tự đầu tư, tỉ lệ thanh toán nợ đến ngày 30 tháng 6 và ước thực hiện đến hết ngày 31 tháng 12 năm N-1 và hết năm N-1 căn cứ số liệu thực hiện đến ngày 31 tháng 8 năm N-1;
b) Thuyết minh và tính toán tổng chi phí vốn cho phép
năm N của Tổng công ty Truyền tải điện quốc gia, gồm:
- Tổng chi phí trả lãi vay dài hạn phải trả năm N cho công trình truyền tải điện: bảng tính lãi các khoản vay dự kiến phải trả trong năm N;
- Vốn chủ sở hữu ước tính đến hết năm N-1 và dự kiến đến hết năm N: thuyết minh và bảng tính chi tiết tình hình tăng giảm vốn chủ sở hữu năm N-1 và năm N;
- Lợi nhuận dự kiến năm N, tỷ suất lợi nhuận trên vốn chủ sở hữu, tỷ lệ tự đầu tư, tỉ lệ thanh toán nợ.
c) Thuyết minh và tính toán tổng chi phí vận hành cho phép năm N (
) của Tổng công ty Truyền tải điện quốc gia, gồm:
- Tổng chi phí tiền lương năm N: thuyết minh và bảng tính chi phí tiền lương;
- Tổng chi phí sửa chữa lớn năm N: thuyết minh và bảng tính chi phí sửa chữa lớn trong năm N theo quy định tại khoản 4 Điều 6 Thông tư này;
- Tổng chi phí dịch vụ mua ngoài năm N: thuyết minh và bảng tính chi phí dịch vụ mua ngoài theo các hạng mục thực tế thực hiện năm N-2, ước thực hiện năm N-1 và dự kiến cho năm N;
- Tổng chi phí bằng tiền khác năm N: thuyết minh và bảng tính chi phí bằng tiền khác thực tế năm N-2, ước thực hiện năm N-1 và dự kiến cho năm N.
d) Thuyết minh và tính toán lượng chênh lệch chi phí và doanh thu truyền tải điện năm N-2; báo cáo tình hình tăng giảm lượng chênh lệch chi phí và doanh thu truyền tải điện;
đ) Thuyết minh và tính toán tổng doanh thu truyền tải điện cho phép năm N.
3. Các tài liệu kèm theo, gồm:
a) Danh mục các dự án đầu tư sẽ hoàn thành và đưa vào vận hành năm N-1 và dự kiến thực hiện năm N phù hợp với Quy hoạch phát triển điện lực quốc gia và kế hoạch mở rộng lưới truyền tải điện hàng năm của Tổng công ty Truyền tải điện quốc gia đã được duyệt;
b) Thống kê hạng mục và giá trị tài sản cố định truyền tải điện tăng thêm và giảm đi ước tính đến hết năm N-1 và kế hoạch năm N theo từng tháng. Đối với tài sản chưa đưa vào vận hành phải có chi tiết các công trình lưới điện, các tài sản khác có tổng hợp giá trị;
c) Bảng tổng hợp các biến động về số lao động thường xuyên và chính thức trong bảng lương của Tổng công ty và các đơn vị ước tính đến hết năm N-1 và kế hoạch năm N;
d) Tổng hợp vật tư dự phòng hiện có và dự kiến bổ sung ước tính đến hết năm N-1 và năm N;
đ) Danh mục các hạng mục sửa chữa lớn tài sản cố định năm N-1 và dự kiến cho năm N;
e) Báo cáo tài chính năm N-2: bảng cân đối kế toán, báo cáo kết quả sản xuất kinh doanh, báo cáo lưu chuyển tiền tệ, báo cáo thuyết minh;
g) Định mức các thành phần chi phí sử dụng trong hồ sơ được cấp có thẩm quyền phê duyệt.
Điều 18. Trình tự lập giá truyền tải điện
1. Trước ngày 01 tháng 4 hàng năm (năm N-1), đơn vị phải trả chi phí truyền tải điện có trách nhiệm gửi số liệu tổng công suất cực đại và điện năng nhận thực tế tại từng điểm giao nhận của năm N-2 cho Tổng công ty Truyền tải điện quốc gia để làm cơ sở tính toán thành phần điều chỉnh DCN-2 của năm N-2.
2. Trước ngày 01 tháng 8 hàng năm (năm N-1), đơn vị phải trả chi phí truyền tải điện có trách nhiệm lập dự báo điện năng giao nhận và tổng công suất cực đại tại tất cả các điểm giao nhận điện cho năm N và gửi Đơn vị vận hành hệ thống điện và thị trường điện quốc gia. Đơn vị vận hành hệ thống điện và thị trường điện quốc gia có trách nhiệm tổng hợp, tính toán dự báo điện năng giao nhận và tổng công suất cực đại của từng đơn vị phải trả chi phí truyền tải điện phù hợp với nhu cầu phụ tải năm N của hệ thống điện.
Trường hợp đơn vị phải trả chi phí truyền tải điện không gửi số liệu dự báo thì Đơn vị vận hành hệ thống điện và thị trường điện quốc gia được sử dụng các số liệu của năm N-2 để làm số liệu tính toán giá truyền tải điện cho năm N.
3. Trước ngày 05 tháng 10 hàng năm (năm N-1), Đơn vị vận hành hệ thống điện và thị trường điện quốc gia có trách nhiệm gửi kết quả dự báo điện năng nhận và tổng công suất cực đại năm N của từng đơn vị phải trả chi phí truyền tải điện cho Tổng công ty Truyền tải điện quốc gia để làm cơ sở tính giá và chi phí truyền tải điện năm N cho từng đơn vị.
4. Trước ngày 15 tháng 10 hàng năm (năm N-1), Tổng công ty Truyền tải điện quốc gia có trách nhiệm xác định giá truyền tải điện năm N (gTTi) cho từng đơn vị phải trả chi phí truyền tải điện (căn cứ vào doanh thu truyền tải điện năm N được duyệt và thành phần điều chỉnh của năm N-2), trình Tập đoàn Điện lực Việt Nam thông qua để trình Cục Điều tiết điện lực phê duyệt. Trường hợp hồ sơ không hợp lệ theo quy định tại Điều 19 của Thông tư này, Tổng công ty Truyền tải điện quốc gia có trách nhiệm hoàn chỉnh, bổ sung trong thời hạn năm (05) ngày kể từ ngày nhận được yêu cầu của Cục Điều tiết điện lực.
Điều 19. Hồ sơ trình duyệt giá truyền tải điện
1. Tờ trình đề nghị duyệt giá truyền tải điện
2. Thuyết minh và bảng tính chi phí truyền tải điện của từng đơn vị phải trả chi phí truyền tải điện, gồm:
a) Thành phần chi phí truyền tải điện theo công suất, điện năng;
b) Tổng công suất giao nhận cực đại, tổng điện năng giao nhận dự báo của từng đơn vị phải trả chi phí truyền tải điện ở các điểm giao nhận trong năm N;
c) Tổng lượng điều chỉnh chi phí truyền tải điện của đơn vị phải trả chi phí truyền tải điện năm N-2 (bảng tính chi tiết).
3. Các tài liệu kèm theo, gồm:
a) Dự báo điện năng nhận và tổng công suất cực đại năm N của từng đơn vị phải trả chi phí truyền tải điện do Đơn vị vận hành hệ thống điện và thị trường điện quốc gia lập;
b) Số liệu tổng công suất cực đại và điện năng nhận thực tế tại từng điểm giao nhận của năm N-2 của từng đơn vị phải trả chi phí truyền tải điện.
Điều 20. Thanh toán chi phí truyền tải điện
1. Công ty mua bán điện có trách nhiệm thanh toán chi phí truyền tải điện cho Tổng công ty Truyền tải điện quốc gia. Đơn vị phải trả chi phí truyền tải điện có trách nhiệm thanh toán chi phí truyền tải điện cho Công ty mua bán điện.
2. Trước ngày 10 hàng tháng (tháng T), Tổng công ty Truyền tải điện quốc gia có trách nhiệm gửi Công ty mua bán điện hồ sơ thanh toán chi phí truyền tải điện của tháng trước (tháng T-1 của từng đơn vị phải trả chi phí truyền tải điện và tổng chi phí truyền tải điện tháng T-1 của tất cả các đơn vị.
Trường hợp phát hiện hồ sơ thanh toán có sai sót hoặc chưa đầy đủ, trong thời hạn mười (10) ngày kể từ ngày nhận được hồ sơ thanh toán, Công ty mua bán điện phải thông báo bằng văn bản cho Tổng công ty Truyền tải điện quốc gia để sửa đổi, bổ sung.
3. Trước ngày 15 hàng tháng (tháng T), Công ty mua bán điện có trách nhiệm thanh toán tạm ứng chi phí truyền tải điện tháng T-1 cho Tổng công ty Truyền tải điện quốc gia với số tiền bằng 50% tổng chi phí truyền tải điện được xác định trong hồ sơ thanh toán của tháng T-1.
4. Trước ngày 20 hàng tháng (tháng T), Tổng công ty Truyền tải điện quốc gia gửi Công ty mua bán điện hóa đơn thanh toán tổng chi phí truyền tải điện tháng T-1 (kèm theo hồ sơ thanh toán hoàn chỉnh trong trường hợp có sửa đổi, bổ sung).
5. Trước ngày 05 tháng T+1, Công ty mua bán điện phải thanh toán số tiền chi phí truyền tải điện còn lại của tháng T-1 cho Tổng công ty Truyền tải điện quốc gia theo hóa đơn thanh toán.
Trường hợp số liệu trong hóa đơn khác với số liệu do Tổng công ty Truyền tải điện quốc gia thông báo, Công ty mua bán điện có trách nhiệm thanh toán giá trị tiền theo hóa đơn cho Tổng công ty Truyền tải điện quốc gia. Việc thanh toán số tiền chênh lệch do hai bên thỏa thuận trong hợp đồng.
Chương VI
TỔ CHỨC THỰC HIỆN
Điều 21. Tổ chức thực hiện
1. Cục Điều tiết điện lực có trách nhiệm hướng dẫn, kiểm tra việc thực hiện Thông tư này và giải quyết các tranh chấp phát sinh liên quan. Trong trường hợp Thủ tướng Chính phủ thay đổi thời điểm điều chỉnh giá bán lẻ điện hàng năm, Cục Điều tiết điện lực có trách nhiệm thông báo cho các đơn vị liên quan về thời điểm điều chỉnh, các mốc thời gian lấy số liệu và thời gian thực hiện các bước tính toán giá truyền tải điện.
2. Tập đoàn Điện lực Việt Nam có trách nhiệm chỉ đạo Tổng công ty Truyền tải điện quốc gia thực hiện xây dựng tổng doanh thu và giá truyền tải điện hàng năm; thông qua các bước thực hiện xây dựng giá truyền tải điện hàng năm theo quy định tại Thông tư này và chỉ đạo Công ty mua bán điện và Tổng công ty Truyền tải điện quốc gia ký kết hợp đồng dịch vụ truyền tải điện.
3. Tổng công ty Truyền tải điện quốc gia có trách nhiệm:
a) Xây dựng tổng doanh thu và giá truyền tải điện hàng năm trình Tập đoàn Điện lực Việt Nam thông qua để trình Cục Điều tiết điện lực thẩm định và phê duyệt;
b) Xây dựng các loại đơn giá, định mức chi phí và các loại hệ số; định mức phạt sự cố không đảm bảo chất lượng dịch vụ truyền tải điện, thống kê sự cố đường dây và máy biến áp truyền tải điện đối với từng cấp điện áp 110kV, 220kV, 500kV quy định tại Thông tư này trình Tập đoàn Điện lực Việt Nam thông qua để trình Cục Điều tiết điện lực ban hành.
Điều 22. Hiệu lực thi hành
1. Thông tư này có hiệu lực thi hành kể từ ngày 01 tháng 6 năm 2010.
2. Cục trưởng Cục Điều tiết điện lực, Tổng giám đốc Tập đoàn Điện lực Việt Nam, Tổng giám đốc Tổng công ty Truyền tải điện quốc gia, Giám đốc Trung tâm Điều độ hệ thống điện quốc gia, Giám đốc Công ty mua bán điện, Giám đốc các Tổng công ty Điện lực, các đơn vị phải trả chi phí truyền tải điện và các tổ chức, cá nhân có liên quan chịu trách nhiệm thi hành Thông tư này.
|
Nơi nhận: |
KT. BỘ TRƯỞNG |
Bạn chưa Đăng nhập thành viên.
Đây là tiện ích dành cho tài khoản thành viên. Vui lòng Đăng nhập để xem chi tiết. Nếu chưa có tài khoản, vui lòng Đăng ký tại đây!
Bạn chưa Đăng nhập thành viên.
Đây là tiện ích dành cho tài khoản thành viên. Vui lòng Đăng nhập để xem chi tiết. Nếu chưa có tài khoản, vui lòng Đăng ký tại đây!