- Tổng quan
- Nội dung
- VB gốc
- Tiếng Anh
- Hiệu lực
- VB liên quan
- Lược đồ
-
Nội dung hợp nhất
Tính năng này chỉ có tại LuatVietnam.vn. Nội dung hợp nhất tổng hợp lại tất cả các quy định còn hiệu lực của văn bản gốc và các văn bản sửa đổi, bổ sung, đính chính... trên một trang. Việc hợp nhất văn bản gốc và những văn bản, Thông tư, Nghị định hướng dẫn khác không làm thay đổi thứ tự điều khoản, nội dung.
Khách hàng chỉ cần xem Nội dung hợp nhất là có thể nắm bắt toàn bộ quy định hiện hành đang áp dụng, cho dù văn bản gốc đã qua nhiều lần chỉnh sửa, bổ sung.
- Tải về
Thông tư 30/2017/TT-BTNMT Định mức kinh tế kỹ thuật đánh giá tài nguyên nước
| Cơ quan ban hành: | Bộ Tài nguyên và Môi trường |
Số công báo:
Số công báo là mã số ấn phẩm được đăng chính thức trên ấn phẩm thông tin của Nhà nước. Mã số này do Chính phủ thống nhất quản lý.
|
Đã biết
|
| Số hiệu: | 30/2017/TT-BTNMT | Ngày đăng công báo: |
Đã biết
|
| Loại văn bản: | Thông tư | Người ký: | Nguyễn Linh Ngọc |
|
Ngày ban hành:
Ngày ban hành là ngày, tháng, năm văn bản được thông qua hoặc ký ban hành.
|
11/09/2017 |
Ngày hết hiệu lực:
Ngày hết hiệu lực là ngày, tháng, năm văn bản chính thức không còn hiệu lực (áp dụng).
|
Đang cập nhật |
|
Áp dụng:
Ngày áp dụng là ngày, tháng, năm văn bản chính thức có hiệu lực (áp dụng).
|
Đã biết
|
Tình trạng hiệu lực:
Cho biết trạng thái hiệu lực của văn bản đang tra cứu: Chưa áp dụng, Còn hiệu lực, Hết hiệu lực, Hết hiệu lực 1 phần; Đã sửa đổi, Đính chính hay Không còn phù hợp,...
|
Đã biết
|
| Lĩnh vực: | Tài nguyên-Môi trường |
TÓM TẮT THÔNG TƯ 30/2017/TT-BTNMT
Đây là nội dung được quy định tại Định mức kinh tế - kỹ thuật điều tra, đánh giá tài nguyên nước do Bộ Tài nguyên và Môi trường ban hành kèm theo Thông tư 30/2017/TT-BTNMT, ngày 11/09/2017.
Định mức này áp dụng cho việc điều tra, đánh giá tài nguyên nước mặt, nước dưới đất và lập dự án điều tra, đánh giá tài nguyên nước với vùng chuẩn có điều kiện áp dụng như: Là vùng đồng bằng, điều kiện đi lại thuận lợi, có diện tích 100km2, mật độ sông suối trung bình của toàn vùng từ 0,5 đến <1,0km/km2 với sông suối có chiều dài từ 10km trở lên và có dòng chảy liên tục; có 01 lưu vực sông, không bị ảnh hưởng triều…
'Ngoài ra, Thông tư còn quy định cụ thể về định mức lao động, định mức thiết bị, định mức dụng cụ, định mức vật liệu, điều kiện áp dụng và các hệ số điều chỉnh đối với việc điều tra, đánh giá tài nguyên nước mặt, nước dưới đất ở các tỷ lệ 1:200.000, 1:100.000, 1:50.000, 1:25.000 và khi lập dự án điều tra, đánh giá tài nguyên nước.
Thông tư này có hiệu lực từ ngày 26/10/2017; thay thế Thông tư số 26/2009/TT-BTNMT ngày 30/11/2009.
Xem chi tiết Thông tư 30/2017/TT-BTNMT có hiệu lực kể từ ngày 26/10/2017
Tải Thông tư 30/2017/TT-BTNMT
|
BỘ TÀI NGUYÊN VÀ Số: 30/2017/TT-BTNMT |
CỘNG HÒA XÃ HỘI CHỦ NGHĨA VIỆT NAM Hà Nội, ngày 11 tháng 9 năm 2017 |
THÔNG TƯ
BAN HÀNH ĐỊNH MỨC KINH TẾ - KỸ THUẬT ĐIỀU TRA, ĐÁNH GIÁ TÀI NGUYÊN NƯỚC
Căn cứ Luật tài nguyên nước số 17/2012/QH13 ngày 21 tháng 6 năm 2012;
Căn cứ Nghị định số 36/2017/NĐ-CP ngày 04 tháng 4 năm 2017 của Chính phủ quy định chức năng, nhiệm vụ, quyền hạn và cơ cấu tổ chức của Bộ Tài nguyên và Môi trường;
Theo đề nghị của Cục trưởng Cục Quản lý tài nguyên nước, Vụ trưởng Vụ Kế hoạch - Tài chính và Vụ trưởng Vụ Pháp chế;
Bộ trưởng Bộ Tài nguyên và Môi trường ban hành Thông tư ban hành định mức kinh tế - kỹ thuật điều tra, đánh giá tài nguyên nước.
Điều 1. Ban hành kèm theo Thông tư này định mức kinh tế - kỹ thuật điều tra, đánh giá tài nguyên nước.
Điều 2. Thông tư này có hiệu lực thi hành kể từ ngày 26 tháng 10 năm 2017 và thay thế Thông tư số 26/2009/TT-BTNMT ngày 30 tháng 11 năm 2009 của Bộ trưởng Bộ Tài nguyên và Môi trường quy định định mức kinh tế - kỹ thuật điều tra, đánh giá tài nguyên nước.
Điều 3. Các Bộ, cơ quan ngang Bộ, cơ quan thuộc Chính phủ, Uỷ ban nhân dân các tỉnh, thành phố trực thuộc Trung ương, Thủ trưởng các đơn vị trực thuộc Bộ Tài nguyên và Môi trường và tổ chức, cá nhân có liên quan chịu trách nhiệm thi hành Thông tư này.
Trong quá trình tổ chức thực hiện, nếu có khó khăn, vướng mắc thì các cơ quan, tổ chức, cá nhân phản ánh kịp thời về Bộ Tài nguyên và Môi trường để xem xét, giải quyết./.
|
Nơi nhận: |
KT. BỘ TRƯỞNG |
ĐỊNH MỨC KINH TẾ - KỸ THUẬT
ĐIỀU TRA, ĐÁNH GIÁ TÀI NGUYÊN NƯỚC
(Ban hành kèm theo Thông tư số 30/2017/TT-BTNMT ngày 11 tháng 9 năm 2017 của Bộ trưởng Bộ Tài nguyên và Môi trường)
Phần I.
QUY ĐỊNH CHUNG
1. Phạm vi điều chỉnh
Định mức kinh tế - kỹ thuật điều tra, đánh giá tài nguyên nước áp dụng cho các nội dung sau:
1.1. Điều tra, đánh giá tài nguyên nước mặt, gồm:
a) Điều tra, đánh giá tài nguyên nước mặt tương ứng với bản đồ tỷ lệ (sau đây gọi tắt là tỷ lệ) 1:200.000;
b) Điều tra, đánh giá tài nguyên nước mặt tỷ lệ 1:100.000;
c) Điều tra, đánh giá tài nguyên nước mặt tỷ lệ 1:50.000;
d) Điều tra, đánh giá tài nguyên nước mặt tỷ lệ 1:25.000.
1.2. Điều tra, đánh giá tài nguyên nước dưới đất, gồm:
a) Điều tra, đánh giá tài nguyên nước dưới đất tỷ lệ 1:200.000;
b) Điều tra, đánh giá tài nguyên nước dưới đất tỷ lệ 1:100.000;
c) Điều tra, đánh giá tài nguyên nước dưới đất tỷ lệ 1:50.000;
d) Điều tra, đánh giá tài nguyên nước dưới đất tỷ lệ 1:25.000.
1.3. Lập dự án điều tra, đánh giá tài nguyên nước.
2. Đối tượng áp dụng
Định mức này áp dụng với các cơ quan quản lý nhà nước, các công ty, đơn vị sự nghiệp, các tổ chức, cá nhân có liên quan đến công tác điều tra, đánh giá tài nguyên nước.
- Luật tài nguyên nước ngày 21 tháng 6 năm 2012;
- Nghị định số 201/2013/NĐ-CP ngày 27 tháng 11 năm 2013 của Chính phủ Quy định chi tiết thi hành một số điều của Luật tài nguyên nước;
- Nghị định số 42/2009/NĐ-CP ngày 07 tháng 5 năm 2009 của Chính phủ về việc phân loại đô thị và cấp quản lý đô thị;
- Nghị định số 204/2004/NĐ-CP ngày 14 tháng 12 năm 2004 của Chính phủ về Chế độ tiền lương đối với cán bộ, công chức, viên chức và lực lượng vũ trang;
- Thông tư số 04/2017/TT-BTNMT ngày 03 tháng 4 năm 2017 của Bộ trưởng Bộ Tài nguyên và Môi trường quy định xây dựng định mức kinh tế - kỹ thuật ngành tài nguyên và môi trường;
- Thông tư liên tịch số 53/2015/TTLT- BTNMT–BNV ngày 08 tháng 12 năm 2015 của liên Bộ Tài nguyên và Môi trường và Bộ Nội vụ quy định mã số và tiêu chuẩn chức danh nghề nghiệp viên chức chuyên ngành tài nguyên và môi trường;
- Thông tư số 26/2015/TT-BLĐTBXH ngày 14 tháng 7 năm 2015 của Bộ trưởng Bộ Lao động - Thương binh và Xã hội hướng dẫn xác định chi phí tiền lương trong giá sản phẩm, dịch vụ công ích sử dụng vốn ngân sách nhà nước, áp dụng Hệ số lương lao động chuyên môn nghiệp vụ;
- Thông tư số 162/2014/TT-BTC của Bộ trưởng Bộ Tài chính ngày 06 tháng 11 năm 2014 quy định chế độ quản lý, tính hao mòn tài sản cố định trong các cơ quan nhà nước, đơn vị sự nghiệp công lập và các tổ chức có sử dụng ngân sách nhà nước;
- Thông tư số 27/2014/TT-BTNMT ngày 30 tháng 5 năm 2014 của Bộ trưởng Bộ Tài nguyên và Môi trường về quy định việc đăng ký khai thác nước dưới đất, mẫu hồ sơ cấp, gia hạn, điều chỉnh, cấp lại giấy phép tài nguyên nước;
- Thông tư số 12/2014/TT-BTNMT ngày 17 tháng 02 năm 2014 của Bộ trưởng Bộ Tài nguyên và Môi trường quy định kỹ thuật điều tra, đánh giá tài nguyên nước mặt;
- Thông tư số 13/2014/TT-BTNMT ngày 17 tháng 02 năm 2014 của Bộ trưởng Bộ Tài nguyên và Môi trường quy định kỹ thuật điều tra, đánh giá tài nguyên nước dưới đất;
- Thông tư số 15/2013/TT-BTNMT ngày 21 tháng 6 năm 2013 của Bộ trưởng Bộ Tài nguyên và Môi trường quy định kỹ thuật lập bản đồ tài nguyên nước dưới đất tỷ lệ 1:50.000;
- Thông tư số 16/2013/TT-BTNMT ngày 21 tháng 6 năm 2013 của Bộ trưởng Bộ Tài nguyên và Môi trường quy định kỹ thuật lập bản đồ tài nguyên nước dưới đất tỷ lệ 1:100.000;
- Thông tư số 17/2013/TT-BTNMT ngày 21 tháng 6 năm 2013 của Bộ trưởng Bộ Tài nguyên và Môi trường quy định kỹ thuật lập bản đồ tài nguyên nước dưới đất tỷ lệ 1:200.000;
- Quyết định số 3182/QĐ-BTNMT ngày 9 tháng 12 năm 2015 của Bộ trưởng Bộ Tài nguyên và Môi trường về việc ban hành chế độ tính hao mòn tài sản cố định đặc thù và tài sản cố định vô hình trong các cơ quan nhà nước, đơn vị sự nghiệp công lập có sử dụng ngân sách nhà nước tại Bộ Tài nguyên và Môi trường;
- Quy định hiện hành của Nhà nước về quản lý, sử dụng công cụ, dụng cụ, máy móc, thiết bị, bảo hộ lao động cho người sản xuất;
- Quy chế, quy định, quy trình kỹ thuật - công nghệ và hướng dẫn kỹ thuật thi công và an toàn lao động hiện hành;
- Trang bị kỹ thuật hiện đang sử dụng phổ biến trong ngành tài nguyên - môi trường.
|
TT |
Nội dung viết tắt |
Viết tắt |
|
1 |
Bảo hộ lao động |
BHLĐ |
|
2 |
Địa chất thuỷ văn |
ĐCTV |
|
3 |
Điều tra, đánh giá tài nguyên nước dưới đất |
ĐTĐGTNNDĐ |
|
4 |
Điều tra, đánh giá tài nguyên nước mặt |
ĐTĐGTNNM |
|
5 |
Định mức lao động |
ĐMLĐ |
|
6 |
Đơn vị tính |
ĐVT |
|
7 |
Điều tra viên TNMT hạng III bậc 1 |
ĐTV1 |
|
8 |
Điều tra viên TNMT hạng III bậc 2 |
ĐTV2 |
|
9 |
Điều tra viên TNMT hạng III bậc 3 |
ĐTV3 |
|
10 |
Điều tra viên TNMT hạng III bậc 4 |
ĐTV4 |
|
11 |
Điều tra viên TNMT hạng III bậc 5 |
ĐTV5 |
|
12 |
Điều tra viên TNMT hạng III bậc 6 |
ĐTV6 |
|
13 |
Điều tra viên TNMT hạng II bậc 1 |
ĐTVC1 |
|
14 |
Kinh tế - xã hội |
KT-XH |
|
15 |
Lái xe bậc 6 |
LX6 |
|
16 |
Lưu vực sông |
LVS |
|
17 |
Nước dưới đất |
NDĐ |
|
18 |
Nước mặt |
NM |
|
19 |
Số thứ tự |
TT |
|
20 |
Tài nguyên nước |
TNN |
|
21 |
Tài nguyên nước dưới đất |
TNNDĐ |
|
22 |
Tài nguyên môi trường |
TNMT |
|
23 |
Tài nguyên nước mặt |
TNNM |
|
24 |
Thời hạn dụng cụ, thiết bị |
Thời hạn (tháng) |
5. Hệ số điều chỉnh
5.1. Điều kiện áp dụng
Điều kiện áp dụng là tổ hợp các yếu tố chính gây ảnh hưởng đến việc thực hiện của bước công việc làm căn cứ để xây dựng tổ hợp điều kiện chuẩn. Các điều kiện của vùng chuẩn được quy định riêng cho từng công việc như sau:
a) Điều tra, đánh giá tài nguyên nước mặt
Định mức được tính cho vùng chuẩn có điều kiện áp dụng như sau:
- Vùng điều tra, đánh giá có diện tích 100 km2;
- Vùng đồng bằng, điều kiện đi lại thuận lợi;
- Mật độ sông suối trung bình của toàn vùng từ 0,5 đến 2, sông suối có chiều dài 10km trở lên và có dòng chảy liên tục;
- Vùng có 1 LVS, không có mối quan hệ liên tỉnh (nếu vùng điều tra là liên tỉnh), liên quốc gia (nếu vùng điều tra bị ảnh hưởng bởi lưu vực sông liên quốc gia);
- Toàn bộ diện tích của vùng điều tra, đánh giá thuộc phạm vi của một đơn vị hành chính cấp tỉnh (nếu vùng điều tra là liên tỉnh) hoặc một đơn vị hành chính cấp huyện (nếu vùng điều tra là nội tỉnh);
- Vùng không bị ảnh hưởng triều.
b) Điều tra, đánh giá tài nguyên nước dưới đất
Định mức được tính cho vùng chuẩn có điều kiện áp dụng như sau:
- Vùng điều tra, đánh giá có diện tích 100 km2;
- Vùng đồng bằng, điều kiện đi lại thuận lợi;
- Toàn bộ diện tích của vùng điều tra, đánh giá thuộc phạm vi của một đơn vị hành chính cấp tỉnh (nếu vùng điều tra là liên tỉnh) hoặc một đơn vị hành chính cấp huyện (nếu vùng điều tra là nội tỉnh);
- Vùng điều tra, đánh giá có mức độ phức tạp của cấu trúc địa chất, địa chất thủy văn thuộc loại trung bình.
5.2. Hệ số điều chỉnh
Hệ số điều chỉnh là hệ số được xây dựng tương ứng với mỗi loại điều kiện chuẩn trong điều kiện áp dụng. Trong trường hợp điều tra, đánh giá tài nguyên nước có điều kiện áp dụng khác với điều kiện chuẩn thì định mức được điều chỉnh theo các hệ số điều chỉnh tương ứng.
Hệ số điều chỉnh là hệ số được xây dựng tương ứng với mỗi loại điều kiện chuẩn trong điều kiện áp dụng. Trong trường hợp điều tra, đánh giá tài nguyên nước có điều kiện áp dụng khác với điều kiện chuẩn thì định mức được điều chỉnh theo các hệ số điều chỉnh tương ứng.
Các hệ số điều chỉnh:
Bảng 1. Hệ số điều chỉnh mức độ phức tạp của điều kiện địa hình (Kđh)
|
TT |
Đặc điểm của vùng |
Kđh |
|
1 |
Vùng đồng bằng |
1,00 |
|
2 |
Vùng trung du |
1,20 |
|
3 |
Vùng miền núi, vùng sâu, vùng xa |
1,40 |
Bảng 2. Hệ số điều chỉnh mức độ phức tạp theo mật độ sông suối (Kmđ)
|
TT |
Mật độ sông suối |
Kmđ |
|---|---|---|
|
1 |
Vùng có mật độ sông suối < 0,5 km/km2 |
0,85 |
|
2 |
Vùng có mật độ sông suối từ 0,5 - < 1,0 km/km2 |
1,00 |
|
3 |
Vùng có mật độ sông suối từ 1,0 - < 1,2 km/km2 |
1,10 |
|
4 |
Vùng có mật độ sông suối từ 1,2 - < 1,5 km/km2 |
1,20 |
|
5 |
Vùng có mật độ sông suối từ 1,5 - < 2,0 km/km2 |
1,35 |
|
6 |
Vùng có mật độ sông suối ≥ 2,0 km/km2 |
1,50 |
Bảng 3. Hệ số điều chỉnh theo số lượng lưu vực sông (Ksl)
|
TT |
Số lượng lưu vực sông và mối quan hệ liên tỉnh, liên quốc gia |
Ksl |
|---|---|---|
|
1 |
Vùng có 1 LVS, không có mối quan hệ liên tỉnh, liên quốc gia |
1,00 |
|
2 |
Vùng có 2 LVS, không có mối quan hệ liên tỉnh, liên quốc gia |
1,10 |
|
3 |
Vùng có > 2 LVS, không có mối quan hệ liên tỉnh, liên quốc gia |
1,20 |
|
4 |
Vùng có LVS có mối quan hệ liên tỉnh, liên quốc gia |
1,30 |
Bảng 4. Hệ số điều chỉnh theo số đơn vị hành chính (Khc)
|
TT |
Số lượng đơn vị hành chính (cấp tỉnh hoặc cấp huyện) |
Khc |
|---|---|---|
|
1 |
Một đơn vị |
1,00 |
|
2 |
Từ 2 đến 5 |
1,05 |
|
3 |
Từ 6 đến 10 |
1,10 |
|
4 |
Từ 11 đến 15 |
1,20 |
|
5 |
Trên 15 |
1,30 |
Bảng 5. Hệ số điều chỉnh theo mức ảnh hưởng triều (Ktt)
|
TT |
Đặc điểm vùng sông |
Ktt |
|---|---|---|
|
1 |
Vùng không ảnh hưởng triều |
1,00 |
|
2 |
Vùng ảnh hưởng triều |
1,40 |
Bảng 7. Hệ số điều chỉnh theo mức độ phức tạp về điều kiện địa chất thủy văn (Kct)
|
TT |
Cấu trúc địa chất thủy văn *[1] |
Kct |
|---|---|---|
|
1 |
Đơn giản |
0,75 |
|
2 |
Trung bình |
1,00 |
|
3 |
Phức tạp |
1,20 |
Bảng 7. Hệ số điều chỉnh theo nội dung khảo sát, đo đạc của đặc điểm vùng lập dự án
|
TT |
Đặc điểm vùng lập dự án |
Kđđ |
|---|---|---|
|
1 |
Vùng lập dự án có thiết kế 02 nội dung khảo sát, đo đạc |
1,00 |
|
2 |
Vùng lập dự án có thiết kế 03 nội dung khảo sát, đo đạc |
1,05 |
|
3 |
Vùng lập dự án có thiết kế 04 nội dung khảo sát, đo đạc |
1,1 |
|
4 |
Vùng lập dự án có thiết kế 05 nội dung khảo sát, đo đạc |
1,15 |
|
5 |
Vùng lập dự án có thiết kế > 05 nội dung khảo sát, đo đạc trở lên |
1,2 |
Bảng 8. Hệ số điều chỉnh mức độ kết hợp của các dạng điều tra, đánh giá (Kkh)
|
TT |
Mức độ kết hợp của các dạng điều tra, đánh giá |
Kkh |
|---|---|---|
|
1 |
Thực hiện 1 công việc điều tra, đánh giá |
1,00 |
|
2 |
Thực hiện kết hợp 2 điều tra, đánh giá |
0,83 |
|
3 |
Thực hiện kết hợp 3 điều tra, đánh giá |
0,78 |
|
4 |
Thực hiện kết hợp 4 điều tra, đánh giá |
0,75 |
|
5 |
Thực hiện kết hợp 5 điều tra, đánh giá |
0,73 |
[1] Các mức độ phức tạp của cấu trúc địa chất, địa chất thuỷ văn được quy định tại Phần III. Phụ lục ban hành kèm theoThông tư này
6. Các quy định khác
6.1. Định mức kinh tế - kỹ thuật điều tra, đánh giá tài nguyên nước bao gồm các thành phần sau:
a. Nội dung công việc: bao gồm các thao tác chính, thao tác phụ để thực hiện bước công việc.
b. Phân loại khó khăn: bao gồm các công việc chưa tính trong định mức, điều kiện áp dụng và hệ số điều chỉnh.
Các công việc chưa tính trong định mức: là các công việc không được tính hao phí lao động, vật liệu, dụng cụ và thiết bị trong định mức này.
c. Định biên lao động: bao gồm số lượng, cơ cấu thành phần, trình độ chuyên môn của một nhóm lao động được tổ chức để thực hiện từng bước công việc cụ thể căn cứ vào tính chất, mức độ phức tạp, yêu cầu về chuyên môn của từng nhóm công việc chính.
d. Định mức lao động là thời gian lao động trực tiếp để sản xuất ra một sản phẩm (hoặc để thực hiện một bước công việc hoặc thực hiện một công việc cụ thể) và thời gian lao động trực tiếp phục vụ trong quá trình kiểm tra nghiệm thu sản phẩm theo quy chế kiểm tra nghiệm thu, đơn vị tính là công nhóm/đơn vị sản phẩm. Đối với những công việc bình thường, một công làm việc tính là 8 giờ.
đ. Định mức vật liệu, dụng cụ và thiết bị:
- Định mức vật liệu: là số lượng vật liệu cần thiết để sản xuất ra một đơn vị sản phẩm (thực hiện một công việc); đơn vị tính theo đơn vị của từng loại vật liệu/đơn vị sản phẩm; định mức vật liệu phụ được tính bằng % định mức vật liệu chính trong bảng định mức vật liệu;
- Định mức dụng cụ và thiết bị: là thời gian sử dụng dụng cụ và thiết bị cần thiết để sản xuất ra một đơn vị sản phẩm (thực hiện một công việc); đơn vị tính là ca/đơn vị sản phẩm; thời hạn sử dụng dụng cụ và thiết bị tính là tháng; định mức dụng cụ phụ được tính bằng % định mức dụng cụ chính trong bảng định mức dụng cụ;
- Điện năng tiêu thụ của các dụng cụ, thiết bị dùng điện được tính trên cơ sở công suất và định mức dụng cụ, thiết bị và được tính theo công thức:
Định mức điện = (công suất thiết bị/giờ × 8 giờ làm việc × số ca sử dụng dụng cụ, thiết bị) + 5% hao hụt.
6.2. Cách tính định mức
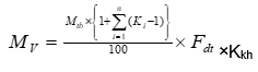
Nếu vùng điều tra, đánh giá có các điều kiện khác với các quy định về điều kiện áp dụng được tính cho vùng chuẩn thì định mức cho vùng cụ thể sẽ được tính theo công thức sau:

Trong đó:
- MV là định mức (lao động, vật liệu, dụng cụ và máy móc thiết bị) vùng điều tra, đánh giá tài nguyên nước có các hệ số điều chỉnh khác với điều kiện áp dụng;
- Mtb là định mức (lao động, dụng cụ, thiết bị và vật liệu) của vùng điều tra, đánh giá ở điều kiện áp dụng;
- Ki là hệ số điều chỉnh thứ i theo mức độ phức tạp của từng yếu tố ảnh hưởng đến định mức của điều kiện áp dụng;
- Fdt là quy mô diện tích tự nhiên của vùng điều tra, đánh giá (km2);
- Kkh là hệ số điều chỉnh theo mức độ kết hợp (áp dụng thực hiện kết hợp từ 2 công việc điều tra, đánh giá trở lên).
7. Trong quá trình áp dụng Định mức kinh tế - kỹ thuật này, nếu có vướng mắc hoặc phát hiện bất hợp lý, đề nghị phản ánh về Bộ Tài nguyên và Môi trường để tổng hợp, điều chỉnh kịp thời.
Phần II
ĐỊNH MỨC KINH TẾ - KỸ THUẬT ĐIỀU TRA, ĐÁNH GIÁ TÀI NGUYÊN NƯỚC
Chương I
ĐIỀU TRA, ĐÁNH GIÁ TÀI NGUYÊN NƯỚC MẶT
1. Công tác ngoại nghiệp
1.1. Chuẩn bị
a) Nhận nhiệm vụ điều tra thực địa;
b) Xác định nội dung, đối tượng, phạm vi điều tra thực địa: các sông có chiều dài ≥ 40 km; các hồ chứa có dung tích ≥ 1.000.000 m3; các công trình cấp nước ≥ 40.000 m3/ngày đêm;
c) Xác định tuyến điều tra, đánh giá trên nền bản đồ địa hình tỷ lệ 1:200.000
- Nghiên cứu đặc điểm địa hình vùng điều tra, tình hình giao thông;
- Đánh giá mức độ khó khăn của địa hình tại khu vực điều tra;
- Xác định tuyến điều tra trên nền bản đồ địa hình: số lượng tuyến/diện tích điều tra là 1/10 km2;
- Yêu cầu các tuyến điều tra phải bám sát theo đối tượng điều tra.
d) Xây dựng phương án, lộ trình đi điều tra tại thực địa;
đ) Chuẩn bị nhân lực, vật liệu, dụng cụ và máy móc, thiết bị phục vụ điều tra;
e) Liên hệ địa phương sẽ tiến hành điều tra, đánh giá TNNM và các công tác chuẩn bị khác;
g) Phục vụ trong quá trình kiểm tra nghiệm thu sản phẩm.
1.2. Tiến hành điều tra thực địa
a) Điều tra, thu thập, cập nhật thông tin, dữ liệu về đặc điểm, tình hình TNNM tại các cơ quan ở địa phương vùng điều tra;
b) Đi lộ trình điều tra tổng hợp theo các tuyến đã xác định dọc hai bên bờ sông, suối, bãi sông và tuyến vuông góc với sông, suối có chiều dài ≥ 40 km và hồ chứa có dung tích ≥ 1.000.000 m3, các công trình cấp nước ≥ 40.000 m3/ngày đêm để quan sát, mô tả, chụp ảnh, sơ họa, thu thập thông tin, dữ liệu về đặc điểm, đặc trưng hình thái sông, đặc điểm hồ; các yếu tố ảnh hưởng đến TNNM;
c) Tiến hành điều tra chi tiết tại các vùng, khu vực, đối tượng trọng điểm, gồm: các sông chính, đoạn sông chịu ảnh hưởng triều và xâm nhập mặn, các đoạn sông cạn kiệt mất dòng, các đoạn sông thường xẩy ra lũ quét, sạt lở đất; đoạn sông bị bồi xói, các đoạn sông có nhập lưu, phân lưu, đoạn sông có hồ chứa đập dâng, đoạn sông nổi cộm về cạnh tranh trong khai thác sử dụng nguồn nước, đoạn sông ô nhiễm suy thoái nguồn nước;
d) Xác định vị trí quan trắc chất lượng và số lượng của TNNM;
đ) Đo các chỉ tiêu chất lượng nước ngoài hiện trường (nhiệt độ, độ pH, độ dẫn điện, độ muối, độ đục và ô xy hòa tan);
e) Lấy và bảo quản mẫu nước tại các vị trí xác định điểm khảo sát đo đạc để phân tích trong phòng;
g) Vận chuyển mẫu từ nơi lấy đến điểm tập kết;
h) Khoanh vùng diện tích điều tra chi tiết;
i) Chỉnh lý số liệu điều tra thực địa, bảo dưỡng thiết bị máy móc hàng ngày;
k) Phục vụ trong quá trình kiểm tra nghiệm thu sản phẩm.
1.3. Tổng hợp, chỉnh lý, hoàn thiện kết quả điều tra thực địa và giao nộp sản phẩm:
a) Chỉnh lý, hoàn thiện các thông tin, dữ liệu điều tra thực địa;
b) Nhập kết quả, thông tin, dữ liệu điều tra thực địa;
c) Xử lý, chỉnh lý các kết quả điều tra;
d) Tổng hợp kết quả điều tra thực địa, xây dựng sơ đồ, biểu bảng thống kê;
đ) Xây dựng báo cáo kết quả điều tra thực địa;
e) Hoàn chỉnh hồ sơ, tài liệu kết quả điều tra thực địa và bàn giao sản phẩm
- Báo cáo kết quả điều tra thực địa;
- Sơ đồ tài liệu thực tế của các tuyến và vị trí các điểm điều tra TNNM, tỷ lệ 1:200.000;
- Các bảng tổng hợp, thống kê kết quả điều tra tổng hợp theo từng lưu vực sông, đơn vị hành chính;
- Các bảng tổng hợp, thống kê kết quả điều tra chi tiết ở từng đoạn sông, hồ và công trình khai thác, sử dụng đối với từng sông, hồ theo từng lưu vực sông, theo đơn vị hành chính;
- Bảng thống kê danh mục các sông và các điểm, khu vực đã điều tra tổng hợp;
- Bảng thống kê danh mục đoạn sông, hồ chứa, ao hồ tự nhiên và các công trình khai thác, sử dụng nước trên sông đã điều tra chi tiết;
- Phiếu điều tra, sổ nhật ký điều tra thực địa và các tài liệu điều tra thực địa khác.
g) Phục vụ trong quá trình kiểm tra nghiệm thu sản phẩm.
2. Công tác nội nghiệp
2.1. Thu thập, rà soát thông tin, dữ liệu và triển khai công tác điều tra, đánh giá TNNM
a) Nghiên cứu đề cương, hồ sơ dự án đã được phê duyệt;
b) Thu thập các thông tin, dữ liệu liên quan đến đánh giá TNNM của vùng điều tra;
c) Rà soát, thống kê, đánh giá tính đầy đủ, mức độ tin cậy của các thông tin, dữ liệu đã thu thập;
d) Thống kê, lập danh mục các thông tin, dữ liệu đã thu thập;
đ) Rà soát, lập kế hoạch triển khai dự án;
e) Giao nhiệm vụ cho các nhóm thực hiện;
g) Phục vụ trong quá trình kiểm tra nghiệm thu sản phẩm.
2.2. Tổng hợp, chỉnh lý, xử lý thông tin, dữ liệu thu thập và kết quả điều tra thực địa theo các nội dung đánh giá
a) Tổng hợp, phân loại, các thông tin, dữ liệu thu thập, điều tra thực địa phục vụ cho việc đánh giá;
b) Đánh giá độ tin cậy của các thông tin, dữ liệu đã thu thập, điều tra và lựa chọn, lập danh mục các thông tin, dữ liệu phục vụ cho việc đánh giá theo nội dung yêu cầu;
c) Nhập số liệu vào máy tính, kiểm tra và đồng bộ hóa thông tin, dữ liệu;
d) Xử lý, tổng hợp thông tin, dữ liệu và xây dựng các biểu, bảng, đồ thị;
đ) Lập sơ đồ điều tra, đánh giá TNNM;
e) Phục vụ trong quá trình kiểm tra nghiệm thu sản phẩm.
2.3. Phân tích, đánh giá hiện trạng, diễn biến TNNM
a) Phân tích, đánh giá các đặc trưng hình thái sông, lưu vực sông, đặc điểm hồ chứa, ao hồ tự nhiên thuộc đối tượng điều tra theo các nhóm thông tin sau:
- Các thông tin chung về số lượng, phạm vi phân bố, hướng chảy, chiều dài, độ rộng, độ dốc, mật độ lưới sông của lưu vực; mô đun dòng chảy;
- Đặc trưng hình thái sông, lưu vực sông và các yếu tố liên quan, gồm: các thông số đặc trưng hình thái sông, lưu vực sông; các hiện tượng lũ, lũ quét; hiện trạng cạn kiệt, mất dòng, đổi dòng;
- Đặc trưng của hồ chứa, ao hồ tự nhiên và các yếu tố liên quan, gồm: các thông số kỹ thuật của hồ chứa, các thông số đặc trưng của ao hồ tự nhiên; mục đích sử dụng, phạm vi cấp nước của hồ chứa, ao hồ tự nhiên; hiệu quả sử dụng của từng hồ chứa, ao hồ tự nhiên;
- Đặc điểm các yếu tố tự nhiên và các ảnh hưởng đến chế độ dòng chảy như địa hình, thảm phủ thực vật, lớp phong hóa, hiện trạng sử dụng đất, các công trình khai thác, sử dụng nước mặt và các yếu tố khác.
b) Phân tích, đánh giá đặc điểm, diễn biến của tài nguyên nước mưa theo lưu vực sông, đơn vị hành chính và vùng điều tra về lượng mưa tháng, mùa, năm; phân bố lượng mưa theo thời gian và không gian; mối quan hệ giữa lượng mưa đến chế độ dòng chảy;
c) Phân tích, đánh giá đặc điểm, diễn biến số lượng TNNM theo lưu vực sông, đơn vị hành chính và vùng điều tra, gồm:
- Đánh giá tổng lượng nước trung bình;
- Xác định tổng lượng nước tương ứng với các mức bảo đảm khác nhau;
- Đặc điểm, đặc trưng phân bố nguồn nước sông theo không gian;
- Đặc điểm phân phối trong năm theo các tháng, mùa lũ, mùa kiệt;
- Biến đổi tổng lượng nước trong thời kỳ nhiều năm;
- Các đặc trưng dòng chảy trong mùa kiệt, tình hình hạn hán, thiếu nước trên các lưu vực sông;
- Đặc điểm, đặc trưng dòng chảy lũ: lưu lượng lũ lớn nhất, mô đun dòng chảy đỉnh lũ;
- Đặc điểm nguồn nước của các hồ chứa; hồ, ao tự nhiên.
d) Phân tích, đánh giá chất lượng nước mặt theo lưu vực sông, đơn vị hành chính và vùng điều tra, gồm:
- Đánh giá khái quát chất lượng nước mặt theo các mục đích sử dụng khác nhau;
- Đánh giá khái quát tính chất vật lý, độ tổng khoáng hóa, hàm lượng các thành phần hoá học cơ bản; nguyên tố vi lượng, nhiễm bẩn, vi sinh và sự biến đổi của các đặc trưng chất lượng nước mặt qua các thời kỳ;
- Đặc điểm vùng triều, vùng nước mặt bị nhiễm mặn vùng ô nhiễm làm ảnh hưởng đến chất lượng nước của các công trình khai thác chính;
- Khoanh vùng chất lượng nước đáp ứng cho các mục đích sử dụng.
đ) Đánh giá khả năng khai thác, sử dụng TNNM phục vụ cho các mục đích, gồm: sinh hoạt, công nghiệp, nông nghiệp, nuôi trồng thủy sản, thủy điện, giao thông thủy, dịch vụ du lịch và các mục đích khác;
e) Phân tích, đánh giá tổng hợp hiện trạng TNNM và tác động của điều kiện tự nhiên, đặc điểm phát triển KT - XH để xác định các vấn đề nổi cộm liên quan đến TNNM;
g) Phục vụ trong quá trình kiểm tra nghiệm thu sản phẩm.
2.4. Chuẩn bị nội dung thông tin và biên tập các bản đồ
a) Chuẩn bị nội dung thông tin cho các bản đồ
- Bản đồ tài liệu thực tế vùng điều tra, đánh giá TNNM, tỷ lệ 1:200.000;
- Bản đồ TNNM, tỷ lệ 1:200.000;
- Bản đồ hiện trạng chất lượng nước mặt, tỷ lệ 1:200.000.
b) Biên tập các bản đồ
Biên tập bản đồ sử dụng nền bản đồ địa hình hệ tọa độ VN2000.
- Bản đồ tài liệu thực tế tài nguyên nước mặt bao gồm các thông tin sau:
+ Hiện trạng hệ thống sông, suối, hồ chứa, hồ ao tự nhiên, các công trình khai thác, sử dụng nước mặt trên sông;
+ Hiện trạng hệ thống sông, hồ: mạng lưới sông suối; sự phân bố các hồ chứa, đập dâng, ao, hồ tự nhiên;
+ Hiện trạng sử dụng đất, thảm phủ thực vật trên lưu vực sông;
+ Các tuyến điều tra tổng hợp, các điểm điều tra chi tiết.
- Bản đồ tài nguyên nước mặt:
+ Mạng lưới sông, suối, hồ chứa, đập dâng, hồ, ao tự nhiên;
+ Lượng mưa năm trung bình của các lưu vực sông;
+ Tổng lượng nước năm trung bình của các lưu vực sông;
+ Mô đun dòng chảy năm trung bình của các lưu vực sông;
+ Tổng lượng nước mùa kiệt trung bình của các lưu vực sông;
+ Tổng lượng nước 3 tháng kiệt nhất;
+ Mô đun dòng chảy tháng kiệt nhất;
+ Lưu lượng nước trung bình tháng nhỏ nhất;
+ Mô đun dòng chảy tháng nhỏ nhất;
+ Lưu lượng nước trung bình tháng lớn nhất;
+ Mô đun đỉnh lũ lớn nhất;
- Bản đồ hiện trạng chất lượng nước mặt:
+ Mạng lưới sông, suối, hồ chứa, đập dâng, hồ, ao tự nhiên, các công trình khai thác, sử dụng trên sông;
+ Các thông số đo nhanh chất lượng nước sông hồ;
+ Các thông số theo kết quả đo đạc, phân tích chất lượng nước.
Các bản đồ được biên tập theo quy định hiện hành của Bộ Tài nguyên và Môi trường.
c. Phục vụ trong quá trình kiểm tra nghiệm thu sản phẩm.
2.5. Tổng hợp, xây dựng hồ sơ sản phẩm kết quả điều tra, đánh giá
a) Báo cáo kết quả điều tra thực địa;
b) Báo cáo tổng hợp kết quả điều tra, đánh giá TNNM;
c) Báo cáo tóm tắt;
d) Các báo cáo chuyên đề
- Đặc điểm hệ thống sông, suối, hồ;
- Đặc điểm tài nguyên nước mưa;
- Đặc điểm, diễn biến số lượng TNNM;
- Đặc điểm, diễn biến chất lượng nước mặt;
- Khả năng khai thác, sử dụng TNNM;
- Các vấn đề nổi cộm liên quan đến TNNM.
đ) Các bản đồ
- Bản đồ tài liệu thực tế vùng điều tra, đánh giá TNNM, tỷ lệ 1:200.000;
- Bản đồ TNNM, tỷ lệ 1:200.000;
- Bản đồ hiện trạng chất lượng nước mặt, tỷ lệ 1:200.000.
e) Phụ lục: các bảng tổng hợp, thống kê kết quả điều tra tổng hợp theo từng lưu vực sông, đơn vị hành chính; bảng thống kê danh mục các sông và các điểm, khu vực đã điều tra tổng hợp; danh mục đoạn sông, hồ, ao và công trình khai thác, sử dụng nước đã điều tra chi tiết và thông tin khác;
g) Phục vụ trong quá trình kiểm tra nghiệm thu sản phẩm.
1. Các công việc chưa tính trong định mức
1.1. Khảo sát, đo đạc mực nước, lưu lượng, mặt cắt sông, suối;
1.2. Thuê phương tiện lấy mẫu chất lượng nước mặt; vận chuyển mẫu phân tích chất lượng nước từ vùng điều tra về cơ sở phân tích;
1.3. Lập mô hình dòng chảy nước mặt;
1.4. Phân tích các chỉ tiêu chất lượng nước trong phòng thí nghiệm;
1.5. Vận chuyển mẫu vi trùng, mẫu môi trường từ nơi lấy đến cơ sở phân tích;
1.6. Vận chuyển nhân công, vật liệu, dụng cụ và máy móc, thiết bị từ trụ sở đơn vị thi công đến vùng điều tra và ngược lại;
1.7. In, nhân sao, giao nộp sản phẩm.
2. Điều kiện áp dụng và các hệ số điều chỉnh
2.1. Điều kiện áp dụng
Định mức điều tra, đánh giá TNNM tỷ lệ 1:200.000 được tính cho vùng chuẩn có điều kiện áp dụng được quy định tại mục 5.1 Phần I của Thông tư này.
2.2. Các hệ số điều chỉnh
Khi vùng điều tra, đánh giá khác với các quy định về điều kiện áp dụng nêu trên, thì áp dụng các hệ số điều chỉnh cho định mức lao động, định mức sử dụng vật liệu, dụng cụ và thiết bị được quy định và hướng dẫn áp dụng tại mục 5.2 Phần I của Thông tư này. Các hệ số điều chỉnh được áp dụng cho điều tra, đánh giá TNNM tỷ lệ 1:200.000, gồm:
- Hệ số điều chỉnh theo mức độ khó khăn: Kđh, Kmđ, Ksl, Khc và Ktt;
- Fdt là quy mô diện tích tự nhiên của vùng điều tra, đánh giá (km2);
- Kkh là hệ số điều chỉnh theo mức độ kết hợp (áp dụng trong trường hợp thực hiện từ 2 công việc điều tra, đánh giá trở lên).
I.1.3. Định biên lao động
Bảng 9. Định biên lao động công tác ĐTĐGTNNM tỷ lệ 1:200.000
|
TT |
Nội dung công việc |
Định biên lao động |
|||||||
|---|---|---|---|---|---|---|---|---|---|
|
ĐTVC1 |
ĐTV6 |
ĐTV5 |
ĐTV3 |
ĐTV2 |
ĐTV1 |
LX6 |
Nhóm |
||
|
A |
Công tác ngoại nghiệp |
|
|
|
|
|
|
|
|
|
1 |
Chuẩn bị |
- |
1 |
2 |
2 |
1 |
1 |
1 |
8 |
|
2 |
Tiến hành điều tra thực địa |
- |
1 |
2 |
2 |
1 |
1 |
1 |
8 |
|
3 |
Tổng hợp, chỉnh lý, hoàn thiện kết quả điều tra thực địa và giao nộp sản phẩm |
- |
1 |
2 |
2 |
1 |
1 |
1 |
8 |
|
B |
Công tác nội nghiệp |
|
|
|
|
|
|
|
|
|
1 |
Thu thập, rà soát thông tin, dữ liệu và triển khai công tác ĐTĐGTNNM |
1 |
1 |
2 |
2 |
1 |
1 |
- |
8 |
|
2 |
Tổng hợp, chỉnh lý, xử lý thông tin, dữ liệu thu thập và kết quả điều tra thực địa theo các nội dung đánh giá |
1 |
1 |
2 |
2 |
1 |
1 |
- |
8 |
|
3 |
Phân tích, đánh giá hiện trạng, diễn biến TNNM |
1 |
1 |
2 |
2 |
1 |
1 |
- |
8 |
|
4 |
Chuẩn bị nội dung thông tin và biên tập các bản đồ |
1 |
1 |
2 |
2 |
1 |
1 |
- |
8 |
|
5 |
Tổng hợp, xây dựng hồ sơ, sản phẩm kết quả điều tra, đánh giá |
1 |
1 |
2 |
2 |
1 |
1 |
- |
8 |
I.1.4. Định mức lao động
Bảng 10. Định mức lao động trong công tác ĐTĐGTNNM tỷ lệ 1:200.000
ĐVT: công nhóm/100km2
|
TT |
Nội dung công việc |
Định mức |
|---|---|---|
|
A |
Công tác ngoại nghiệp |
4,83 |
|
1 |
Chuẩn bị |
0,3 |
|
2 |
Tiến hành điều tra thực địa |
3,65 |
|
3 |
Tổng hợp, chỉnh lý, hoàn thiện kết quả điều tra thực địa và giao nộp sản phẩm |
0,88 |
|
B |
Công tác nội nghiệp |
2,63 |
|
1 |
Thu thập, rà soát thông tin, dữ liệu và triển khai công tác ĐTĐGTNNM |
0,12 |
|
2 |
Tổng hợp, chỉnh lý, xử lý thông tin, dữ liệu thu thập và kết quả điều tra thực địa theo các nội dung đánh giá |
0,24 |
|
3 |
Phân tích, đánh giá hiện trạng, diễn biến TNNM |
1,48 |
|
4 |
Chuẩn bị nội dung thông tin và biên tập các bản đồ |
0,24 |
|
5 |
Tổng hợp, xây dựng hồ sơ, sản phẩm kết quả điều tra, đánh giá |
0,55 |
I.2. Định mức thiết bị
Bảng 11. Định mức thiết bị trong công tác ĐTĐGTNNM tỷ lệ 1:200.000
ĐVT: ca/100km2
|
TT |
Danh mục thiết bị |
ĐVT |
Thời hạn (tháng) |
Định mức |
|
|---|---|---|---|---|---|
|
Nội nghiệp |
Ngoại nghiệp |
||||
|
1 |
Điều hòa 2 chiều 12000 BTU - 2,2 KW |
Bộ |
96 |
3,82 |
- |
|
2 |
Máy chiếu 0,5KW |
Cái |
60 |
1,53 |
- |
|
3 |
Máy đo dòng chảy |
Cái |
96 |
- |
5,92 |
|
4 |
Máy đo chất lượng nước cầm tay (Sensor) |
Cái |
96 |
- |
5,92 |
|
5 |
Máy in màu A0 - 0,8KW |
Cái |
60 |
1,53 |
- |
|
6 |
Máy phát điện 5KW |
Cái |
96 |
- |
1,98 |
|
7 |
Máy Photocopy - 1KW |
Cái |
96 |
1,53 |
- |
|
8 |
Máy Scan A0 - 2KW |
Cái |
96 |
1,53 |
- |
|
9 |
Máy Scan A3 - 0,5KW |
Cái |
96 |
1,53 |
- |
|
10 |
Máy tính xách tay - 0,04KW |
Cái |
60 |
3,82 |
5,92 |
|
11 |
Máy GPS cầm tay |
Cái |
120 |
|
9,89 |
|
12 |
Ô tô |
Cái |
180 |
- |
4,83 |
|
13 |
Dầu Diezel |
Lít |
|
- |
1,50 |
|
14 |
Xăng |
Lít |
|
|
8,00 |
|
15 |
Điện năng |
KW |
|
134,63 |
1,99 |
I.3. Định mức dụng cụ
Bảng 12. Định mức dụng cụ trong công tác ĐTĐGTNNM tỷ lệ 1:200.000
ĐVT: ca/100km2
|
TT |
Danh mục dụng cụ |
ĐVT |
Thời hạn (tháng) |
Định mức |
|
|---|---|---|---|---|---|
|
Nội nghiệp |
Ngoại nghiệp |
||||
|
1 |
Ba lô |
Cái |
24 |
- |
31,66 |
|
2 |
Bàn làm việc |
Cái |
96 |
20,46 |
7,91 |
|
3 |
Bình đựng nước uống |
Cái |
36 |
- |
31,66 |
|
4 |
Bộ lưu điện UPS |
Cái |
60 |
20,46 |
- |
|
5 |
Camera kỹ thuật số |
Cái |
60 |
1,71 |
7,91 |
|
6 |
Giầy BHLĐ |
Đôi |
6 |
- |
31,66 |
|
7 |
Máy Fax |
Cái |
60 |
5,12 |
- |
|
8 |
Máy in A4 - 0,5KW |
Cái |
60 |
5,12 |
- |
|
9 |
Máy in màu A3 0,5KW |
Cái |
60 |
5,12 |
- |
|
10 |
Máy Scan A4 0,02KW |
Cái |
96 |
5,12 |
- |
|
11 |
Máy tính 0,6KW |
Cái |
60 |
20,46 |
- |
|
12 |
Mũ BHLĐ |
Cái |
12 |
- |
31,66 |
|
13 |
Ổ ghi CD 0,04 KW |
Cái |
60 |
20,46 |
- |
|
14 |
Phao cứu sinh |
Chiếc |
24 |
- |
31,66 |
|
15 |
Phao đo lưu lượng |
Chiếc |
24 |
- |
7,91 |
|
16 |
Quần áo BHLĐ |
Bộ |
12 |
- |
31,66 |
|
17 |
Quần áo mưa |
Bộ |
12 |
- |
31,66 |
|
18 |
Ủng BHLĐ |
Đôi |
12 |
- |
31,66 |
|
19 |
Điện năng |
KW |
|
175,31 |
- |
|
20 |
Dụng cụ khác |
% |
|
5,00 |
5,00 |
I.4. Định mức vật liệu
Bảng 13. Định mức vật liệu trong công tác ĐTĐGTNNM tỷ lệ 1:200.000
ĐVT: mức sử dụng/100km2
|
TT |
Danh mục vật liệu |
ĐVT |
Định mức |
|
|---|---|---|---|---|
|
Nội nghiệp |
Ngoại nghiệp |
|||
|
1 |
Bản đồ địa hình |
Mảnh |
0,16 |
0,16 |
|
2 |
Bóng đèn compact 55W |
Cái |
0,94 |
0,96 |
|
3 |
Đĩa CD |
Cái |
1,56 |
0,96 |
|
4 |
Giấy A4 |
Gram |
0,78 |
0,20 |
|
5 |
Mực in A0 |
Hộp |
0,02 |
- |
|
6 |
Mực in A3 |
Hộp |
0,05 |
- |
|
7 |
Mực in A3 màu |
Hộp |
0,02 |
- |
|
8 |
Mực in A4 |
Hộp |
0,12 |
0,01 |
|
9 |
Mực photocopy |
Hộp |
0,02 |
- |
|
10 |
Vật liệu khác |
% |
8 |
8 |
Ghi chú: Định mức sử dụng vật liệu, dụng cụ và thiết bị nêu trên tính cho toàn bộ công tác nội nghiệp và ngoại nghiệp, mức cho từng bước được xác định theo bảng hệ số điều chỉnh sau:
Bảng 14. Hệ số điều chỉnh định mức sử dụng vật liệu, dụng cụ và thiết bị cho từng bước công việc của công tác điều tra, đánh giá tỷ lệ 1:200.000
|
TT |
Nội dung công việc |
Hệ số |
|---|---|---|
|
A |
Công tác ngoại nghiệp |
1 |
|
1 |
Chuẩn bị |
0,06 |
|
2 |
Tiến hành điều tra thực địa |
0,76 |
|
3 |
Tổng hợp, chỉnh lý, hoàn thiện kết quả điều tra thực địa và giao nộp sản phẩm |
0,18 |
|
B |
Công tác nội nghiệp |
1 |
|
1 |
Thu thập, rà soát thông tin, dữ liệu và triển khai công tác ĐTĐGTNNM |
0,05 |
|
2 |
Tổng hợp, chỉnh lý, xử lý thông tin, dữ liệu thu thập và kết quả điều tra thực địa theo các nội dung đánh giá |
0,09 |
|
3 |
Phân tích, đánh giá hiện trạng, diễn biến TNNM |
0,56 |
|
4 |
Chuẩn bị nội dung thông tin và biên tập các bản đồ |
0,09 |
|
5 |
Tổng hợp, xây dựng hồ sơ, sản phẩm kết quả điều tra, đánh giá |
0,21 |
1. Công tác ngoại nghiệp
1.1. Chuẩn bị
a) Nhận nhiệm vụ điều tra thực địa;
b) Xác định nội dung, đối tượng, phạm vi điều tra thực địa: các sông có chiều dài ≥ 30 km; các hồ chứa có dung tích ≥ 500.000 m3; các công trình cấp nước ≥ 30.000 m3/ngày đêm;
c) Xác định tuyến điều tra, đánh giá trên nền bản đồ địa hình tỷ lệ 1:100.000
- Nghiên cứu đặc điểm địa hình vùng điều tra, tình hình giao thông;
- Đánh giá mức độ khó khăn của địa hình tại khu vực điều tra;
- Xác định tuyến điều tra trên nền bản đồ địa hình: số lượng tuyến/diện tích điều tra là 1/5 km2;
- Yêu cầu các tuyến điều tra phải bám sát theo đối tượng điều tra.
d) Xây dựng phương án, lộ trình đi điều tra tại thực địa;
đ) Chuẩn bị nhân lực, vật liệu, dụng cụ và máy móc, thiết bị phục vụ điều tra;
e) Liên hệ địa phương sẽ tiến hành điều tra, đánh giá TNNM và các công tác chuẩn bị khác;
g) Phục vụ trong quá trình kiểm tra nghiệm thu sản phẩm.
1.2. Tiến hành điều tra thực địa:
a) Điều tra, thu thập, cập nhật thông tin, dữ liệu về đặc điểm, tình hình TNNM tại các cơ quan ở địa phương vùng điều tra;
b) Đi lộ trình điều tra tổng hợp theo các tuyến đã xác định dọc hai bên bờ sông, suối, bãi sông và tuyến vuông góc với sông, suối có chiều dài ≥ 30 km và hồ chứa có dung tích ≥ 500.000 m3, các công trình cấp nước ≥ 30.000 m3/ngày đêm để quan sát, mô tả, chụp ảnh, sơ họa, thu thập thông tin, dữ liệu về đặc điểm, đặc trưng hình thái sông, đặc điểm hồ; các yếu tố ảnh hưởng đến TNNM;
c) Tiến hành điều tra chi tiết tại các vùng, khu vực, đối tượng trọng điểm, gồm: các sông chính, đoạn sông chịu ảnh hưởng triều và xâm nhập mặn, các đoạn sông cạn kiệt mất dòng, các đoạn sông thường xẩy ra lũ quét, sạt lở đất; đoạn sông bị bồi xói, các đoạn sông có nhập lưu, phân lưu, đoạn sông có hồ chứa đập dâng, đoạn sông nổi cộm về cạnh tranh trong khai thác sử dụng nguồn nước, đoạn sông ô nhiễm suy thoái nguồn nước;
d) Xác định vị trí quan trắc chất lượng và số lượng của TNNM;
đ) Đo các chỉ tiêu chất lượng nước ngoài hiện trường (nhiệt độ, độ pH, độ dẫn điện, độ muối, độ đục và ô xy hòa tan);
e) Lấy và bảo quản mẫu nước tại các vị trí xác định điểm khảo sát đo đạc để phân tích trong phòng;
g) Vận chuyển mẫu từ nơi lấy đến điểm tập kết;
h) Khoanh vùng diện tích điều tra chi tiết;
i) Chỉnh lý số liệu điều tra thực địa, bảo dưỡng thiết bị máy móc hàng ngày;
k) Phục vụ trong quá trình kiểm tra nghiệm thu sản phẩm.
1.3. Tổng hợp, chỉnh lý, hoàn thiện kết quả điều tra thực địa và giao nộp sản phẩm
a) Chỉnh lý, hoàn thiện các thông tin, dữ liệu điều tra thực địa;
b) Nhập thông tin, dữ liệu điều tra thực địa;
c) Xử lý, chỉnh lý các kết quả điều tra;
d) Tổng hợp kết quả điều tra thực địa, xây dựng sơ đồ, biểu bảng thống kê;
đ) Xây dựng báo cáo kết quả điều tra thực địa;
e) Hoàn chỉnh hồ sơ, tài liệu kết quả điều tra thực địa và bàn giao sản phẩm, gồm:
- Báo cáo kết quả điều tra thực địa;
- Sơ đồ tài liệu thực tế của các tuyến và vị trí các điểm điều tra TNNM, tỷ lệ 1:100.000;
- Các bảng tổng hợp, thống kê kết quả điều tra tổng hợp theo từng lưu vực sông, đơn vị hành chính;
- Các bảng tổng hợp, thống kê kết quả điều tra chi tiết ở từng đoạn sông, hồ và công trình khai thác, sử dụng đối với từng sông, hồ theo từng lưu vực sông, theo đơn vị hành chính;
- Bảng thống kê danh mục các sông và các điểm, khu vực đã điều tra tổng hợp;
- Bảng thống kê danh mục đoạn sông, hồ chứa, ao hồ tự nhiên và các công trình khai thác, sử dụng nước trên sông đã điều tra chi tiết;
- Phiếu điều tra, sổ nhật ký điều tra thực địa và các tài liệu điều tra thực địa khác.
g) Phục vụ trong quá trình kiểm tra nghiệm thu sản phẩm.
2. Công tác nội nghiệp
2.1. Thu thập, rà soát thông tin, dữ liệu và triển khai công tác điều tra, đánh giá TNNM
a) Nghiên cứu đề cương, hồ sơ dự án đã được phê duyệt;
b) Thu thập các thông tin, dữ liệu liên quan đến đánh giá TNNM của vùng điều tra;
c) Rà soát, thống kê, đánh giá tính đầy đủ, mức độ tin cậy của các thông tin, dữ liệu đã thu thập;
d) Thống kê, lập danh mục các thông tin, dữ liệu đã thu thập;
đ) Rà soát, lập kế hoạch triển khai dự án;
e) Giao nhiệm vụ cho các nhóm thực hiện;
g) Phục vụ trong quá trình kiểm tra nghiệm thu sản phẩm.
2.2. Tổng hợp, chỉnh lý, xử lý thông tin, dữ liệu thu thập và kết quả điều tra thực địa theo các nội dung đánh giá
a) Tổng hợp, phân loại các thông tin, dữ liệu thu thập và điều tra thực địa phục vụ cho việc đánh giá;
b) Đánh giá độ tin cậy của các thông tin, dữ liệu đã thu thập, điều tra và lựa chọn, lập danh mục các thông tin, dữ liệu phục vụ cho việc đánh giá theo nội dung yêu cầu;
c) Nhập số liệu vào máy tính, kiểm tra và đồng bộ hóa thông tin, dữ liệu;
d) Xử lý, tổng hợp thông tin, dữ liệu, và xây dựng các biểu, bảng, đồ thị;
đ) Lập các sơ đồ điều tra, đánh giá TNNM tỷ lệ 1:100.000;
e) Phục vụ trong quá trình kiểm tra nghiệm thu sản phẩm.
2.3. Phân tích, đánh giá hiện trạng, diễn biến TNNM
a) Phân tích, đánh giá các đặc trưng hình thái sông, lưu vực sông, đặc điểm hồ chứa, ao hồ tự nhiên thuộc đối tượng điều tra theo các nhóm thông tin sau:
- Các thông tin chung về số lượng, phạm vi phân bố, hướng chảy, chiều dài, độ rộng, độ dốc, mật độ lưới sông của lưu vực; mô đun dòng chảy;
- Đặc trưng hình thái sông, lưu vực sông và các yếu tố liên quan, gồm: các thông số đặc trưng hình thái sông, lưu vực sông; các hiện tượng lũ, lũ quét; hiện trạng cạn kiệt, mất dòng, đổi dòng;
- Đặc trưng của hồ chứa, ao hồ tự nhiên và các yếu tố liên quan, gồm: các thông số kỹ thuật của hồ chứa, các thông số đặc trưng của ao hồ tự nhiên; mục đích sử dụng, phạm vi cấp nước của hồ chứa, ao hồ tự nhiên; hiệu quả sử dụng của từng hồ chứa, ao hồ tự nhiên;
- Đặc điểm các yếu tố tự nhiên và các ảnh hưởng đến chế độ dòng chảy như địa hình, thảm phủ thực vật, lớp phong hóa, hiện trạng sử dụng đất, các công trình khai thác, sử dụng nước và các yếu tố khác.
b) Phân tích, đánh giá đặc điểm, diễn biến của tài nguyên nước mưa theo lưu vực sông, đơn vị hành chính và vùng điều tra về lượng mưa tháng, mùa, năm; phân bố lượng mưa theo thời gian và không gian; mối quan hệ giữa lượng mưa đến chế độ dòng chảy;
c) Phân tích, đánh giá đặc điểm, diễn biến số lượng TNNM theo lưu vực sông, đơn vị hành chính và vùng điều tra, gồm:
- Đánh giá tổng lượng nước trung bình;
- Xác định tổng lượng nước tương ứng với các mức bảo đảm khác nhau;
- Đặc điểm, đặc trưng phân bố nguồn nước sông theo không gian;
- Đặc điểm phân phối trong năm theo các tháng, mùa lũ, mùa kiệt;
- Biến đổi tổng lượng nước trong thời kỳ nhiều năm;
- Các đặc trưng dòng chảy trong mùa kiệt, tình hình hạn hán, thiếu nước trên các lưu vực sông;
- Đặc điểm, đặc trưng dòng chảy lũ: lưu lượng lũ lớn nhất, mô đun dòng chảy đỉnh lũ;
- Đặc điểm nguồn nước của các hồ chứa; hồ, ao tự nhiên.
d) Phân tích, đánh giá chất lượng nước mặt theo lưu vực sông, đơn vị hành chính và vùng điều tra, gồm:
- Đánh giá khái quát chất lượng nước mặt theo các mục đích sử dụng khác nhau;
- Đánh giá khái quát tính chất vật lý, độ tổng khoáng hóa, hàm lượng các thành phần hoá học cơ bản; nguyên tố vi lượng, nhiễm bẩn, vi sinh và sự biến đổi của các đặc trưng chất lượng nước mặt qua các thời kỳ;
- Đặc điểm vùng triều, vùng nước mặt bị nhiễm mặn, ô nhiễm làm ảnh hưởng đến chất lượng các công trình khai thác chính;
- Khoanh vùng chất lượng nước đáp ứng cho các mục đích sử dụng.
đ) Đánh giá khả năng khai thác, sử dụng TNNM phục vụ cho các mục đích, gồm: sinh hoạt, công nghiệp, nông nghiệp, nuôi trồng thủy sản, thủy điện, giao thông thủy, dịch vụ du lịch và các mục đích khác;
e) Phân tích, đánh giá tổng hợp hiện trạng TNNM và tác động của điều kiện tự nhiên, đặc điểm phát triển KT - XH đến nước mặt để xác định các vấn đề nổi cộm liên quan đến TNNM;
g) Phục vụ trong quá trình kiểm tra nghiệm thu sản phẩm.
2.4. Chuẩn bị nội dung thông tin và biên tập các bản đồ
a) Chuẩn bị nội dung thông tin cho các bản đồ
- Bản đồ tài liệu thực tế vùng điều tra, đánh giá TNNM, tỷ lệ 1:100.000;
- Bản đồ TNNM, tỷ lệ 1:100.000;
- Bản đồ hiện trạng chất lượng nước mặt, tỷ lệ 1:100.000.
b) Biên tập các bản đồ
Biên tập bản đồ sử dụng nền bản đồ địa hình hệ tọa độ VN2000.
- Bản đồ tài liệu thực tế tài nguyên nước mặt bao gồm các thông tin sau:
+ Hiện trạng hệ thống sông, suối, hồ chứa, hồ ao tự nhiên, các công trình khai thác, sử dụng nước mặt trên sông;
+ Hiện trạng hệ thống sông, hồ: mạng lưới sông suối; sự phân bố các hồ chứa, đập dâng, ao, hồ tự nhiên;
+ Hiện trạng sử dụng đất, thảm phủ thực vật trên lưu vực sông;
+ Các tuyến điều tra tổng hợp, các điểm điều tra chi tiết.
- Bản đồ tài nguyên nước mặt
+ Mạng lưới sông, suối, hồ chứa, đập dâng, hồ, ao tự nhiên;
+ Lượng mưa năm trung bình của các lưu vực sông;
+ Tổng lượng nước năm trung bình của các lưu vực sông;
+ Mô đun dòng chảy năm trung bình của các lưu vực sông;
+ Tổng lượng nước mùa kiệt trung bình của các lưu vực sông;
+ Tổng lượng nước 3 tháng kiệt nhất;
+ Mô đun dòng chảy tháng kiệt nhất;
+ Lưu lượng nước trung bình tháng nhỏ nhất;
+ Mô đun dòng chảy tháng nhỏ nhất;
+ Lưu lượng nước trung bình tháng lớn nhất;
+ Mô đun đỉnh lũ lớn nhất;
- Bản đồ hiện trạng chất lượng nước mặt
+ Mạng lưới sông, suối, hồ chứa, đập dâng, hồ, ao tự nhiên, các công trình khai thác, sử dụng trên sông;
+ Các thông số đo nhanh chất lượng nước sông, hồ;
+ Các thông số theo kết quả đo đạc, phân tích chất lượng nước.
Các bản đồ được biên tập theo quy định hiện hành của Bộ Tài nguyên và Môi trường.
c) Phục vụ trong quá trình kiểm tra nghiệm thu sản phẩm.
2.5. Tổng hợp, xây dựng hồ sơ sản phẩm kết quả điều tra, đánh giá
a) Báo cáo kết quả điều tra thực địa;
b) Báo cáo tổng hợp kết quả điều tra, đánh giá TNNM;
c) Báo cáo tóm tắt;
d) Các báo cáo chuyên đề
- Đặc điểm hệ thống sông, suối, ao hồ;
- Đặc điểm tài nguyên nước mưa;
- Đặc điểm, diễn biến số lượng TNNM;
- Đặc điểm, diễn biến chất lượng nước mặt;
- Khả năng khai thác, sử dụng TNNM;
- Các vấn đề nổi cộm liên quan đến TNNM.
đ) Các bản đồ
- Bản đồ tài liệu thực tế vùng điều tra, đánh giá TNNM, tỷ lệ 1:100.000;
- Bản đồ TNNM, tỷ lệ 1:100.000;
- Bản đồ hiện trạng chất lượng nước mặt, tỷ lệ 1:100.000.
e) Phụ lục: các bảng tổng hợp, thống kê kết quả điều tra tổng hợp theo từng lưu vực sông, đơn vị hành chính; bảng thống kê danh mục các sông và các điểm, khu vực đã điều tra tổng hợp; danh mục đoạn sông, hồ, ao và công trình khai thác, sử dụng nước đã điều tra chi tiết và thông tin khác;
g) Phục vụ trong quá trình kiểm tra nghiệm thu sản phẩm.
1. Các công việc chưa tính trong định mức
1.1. Khảo sát, đo đạc mực nước, lưu lượng, mặt cắt sông, suối;
1.2. Thuê phương tiện lấy mẫu chất lượng nước mặt; vận chuyển mẫu phân tích chất lượng nước từ vùng điều tra về cơ sở phân tích;
1.3. Lập mô hình dòng chảy nước mặt;
1.4. Phân tích các chỉ tiêu chất lượng nước trong phòng thí nghiệm;
1.5. Vận chuyển mẫu vi trùng mẫu môi trường từ nơi lấy đến cơ sở phân tích;
1.6. Vận chuyển nhân công, vật liệu, dụng cụ và máy móc, thiết bị từ trụ sở đơn vị thi công đến vùng điều tra và ngược lại;
1.7. In, nhân sao, giao nộp sản phẩm.
2. Điều kiện áp dụng và các hệ số điều chỉnh
2.1. Điều kiện áp dụng
Định mức điều tra, đánh giá TNNM tỷ lệ 1:100.000 được tính cho vùng chuẩn có điều kiện áp dụng được quy định tại mục 5.1 Phần I của Thông tư này.
2.2. Các hệ số điều chỉnh
Khi vùng điều tra, đánh giá khác với các quy định về điều kiện áp dụng nêu trên, thì áp dụng các hệ số điều chỉnh cho định mức lao động, định mức sử dụng vật liệu, dụng cụ và thiết bị được quy định và hướng dẫn áp dụng tại mục 5.2 Phần I của Thông tư này. Các hệ số điều chỉnh được áp dụng cho điều tra, đánh giá TNNM tỷ lệ 1:100.000, gồm:
- Hệ số điều chỉnh theo mức độ khó khăn: Kđh, Kmđ, Ksl, Khc và Ktt;
- Fdt là quy mô diện tích tự nhiên của vùng điều tra, đánh giá (km2);
- Kkh là hệ số điều chỉnh theo mức độ kết hợp (áp dụng trong trường hợp thực hiện từ 2 công việc điều tra, đánh giá trở lên).
II.1.3. Định biên lao động
Bảng 15. Định biên lao động công tác ĐTĐGTNNM tỷ lệ 1:100.000
|
TT |
Nội dung công việc |
Định biên lao động |
|||||||
|---|---|---|---|---|---|---|---|---|---|
|
ĐTVC1 |
ĐTV6 |
ĐTV5 |
ĐTV3 |
ĐTV2 |
ĐTV1 |
LX6 |
Nhóm |
||
|
A |
Công tác ngoại nghiệp |
|
|
|
|
|
|
|
|
|
1 |
Chuẩn bị |
- |
1 |
2 |
2 |
1 |
1 |
1 |
8 |
|
2 |
Tiến hành điều tra thực địa |
- |
1 |
2 |
2 |
1 |
1 |
1 |
8 |
|
3 |
Tổng hợp, chỉnh lý, hoàn thiện kết quả điều tra thực địa và giao nộp sản phẩm |
- |
1 |
2 |
2 |
1 |
1 |
1 |
8 |
|
B |
Công tác nội nghiệp |
|
|
|
|
|
|
|
|
|
1 |
Thu thập, rà soát thông tin, dữ liệu và triển khai công tác ĐTĐGTNNM |
1 |
1 |
2 |
2 |
1 |
1 |
- |
8 |
|
2 |
Tổng hợp, chỉnh lý, xử lý thông tin, dữ liệu thu thập và kết quả điều tra thực địa theo các nội dung đánh giá |
1 |
1 |
2 |
2 |
1 |
1 |
- |
8 |
|
3 |
Phân tích, đánh giá hiện trạng, diễn biến TNNM |
1 |
1 |
2 |
2 |
1 |
1 |
- |
8 |
|
4 |
Chuẩn bị nội dung thông tin và biên tập các bản đồ |
1 |
1 |
2 |
2 |
1 |
1 |
- |
8 |
|
5 |
Tổng hợp, xây dựng hồ sơ, sản phẩm kết quả điều tra, đánh giá |
1 |
1 |
2 |
2 |
1 |
1 |
- |
8 |
II.1.4. Định mức lao động
Bảng 16. Định mức lao động trong công tác ĐTĐGTNNM tỷ lệ 1:100.000
ĐVT: công nhóm/100km2
|
TT |
Nội dung công việc |
Định mức |
|---|---|---|
|
A |
Công tác ngoại nghiệp |
12,08 |
|
1 |
Chuẩn bị |
0,75 |
|
2 |
Tiến hành điều tra thực địa |
9,13 |
|
3 |
Tổng hợp, chỉnh lý, hoàn thiện kết quả điều tra thực địa và giao nộp sản phẩm |
2,2 |
|
B |
Công tác nội nghiệp |
6,59 |
|
1 |
Thu thập, rà soát thông tin, dữ liệu và triển khai công tác ĐTĐGTNNM |
0,3 |
|
2 |
Tổng hợp, chỉnh lý, xử lý thông tin, dữ liệu thu thập và kết quả điều tra thực địa theo các nội dung đánh giá |
0,59 |
|
3 |
Phân tích, đánh giá hiện trạng, diễn biến TNNM |
3,7 |
|
4 |
Chuẩn bị nội dung thông tin và biên tập các bản đồ |
0,6 |
|
5 |
Tổng hợp, xây dựng hồ sơ, sản phẩm kết quả điều tra, đánh giá |
1,4 |
II.2. Định mức thiết bị
Bảng 17. Định mức thiết bị trong công tác ĐTĐGTNNM tỷ lệ 1:100.000
ĐVT: ca/100km2
|
TT |
Danh mục thiết bị |
ĐVT |
Thời hạn (tháng) |
Định mức |
|
|---|---|---|---|---|---|
|
Nội nghiệp |
Ngoại nghiệp |
||||
|
1 |
Điều hòa 2 chiều 12000 BTU - 2,2 KW |
Bộ |
96 |
9,58 |
- |
|
2 |
Máy chiếu 0,5KW |
Cái |
60 |
3,84 |
- |
|
3 |
Máy đo dòng chảy |
Cái |
96 |
- |
14,81 |
|
4 |
Máy đo chất lượng nước cầm tay (Sensor) |
Cái |
96 |
- |
14,81 |
|
5 |
Máy in màu A0 - 0,8KW |
Cái |
60 |
3,84 |
- |
|
6 |
Máy phát điện 5KW |
Cái |
96 |
- |
4,94 |
|
7 |
Máy Photocopy - 1KW |
Cái |
96 |
3,84 |
- |
|
8 |
Máy Scan A0 - 2KW |
Cái |
96 |
3,84 |
- |
|
9 |
Máy Scan A3 - 0,5KW |
Cái |
96 |
3,84 |
- |
|
10 |
Máy tính xách tay - 0,04KW |
Cái |
60 |
9,58 |
14,81 |
|
11 |
Máy GPS cầm tay |
Cái |
120 |
- |
19,79 |
|
12 |
Ô tô |
Cái |
180 |
- |
12,08 |
|
13 |
Dầu Diezel |
Lít |
|
- |
1,5 |
|
14 |
Xăng |
Lít |
|
|
20 |
|
15 |
Điện năng |
KW |
|
486,30 |
4,97 |
II.3. Định mức dụng cụ
Bảng 18. Định mức dụng cụ trong công tác ĐTĐGTNNM tỷ lệ 1:100.000
ĐVT: ca/100km2
|
TT |
Danh mục dụng cụ |
ĐVT |
Thời hạn (tháng) |
Định mức |
|
|---|---|---|---|---|---|
|
Nội nghiệp |
Ngoại nghiệp |
||||
|
1 |
Ba lô |
Cái |
24 |
- |
79,17 |
|
2 |
Bàn làm việc |
Cái |
96 |
51,27 |
19,79 |
|
3 |
Bình đựng nước uống |
Cái |
36 |
- |
79,17 |
|
4 |
Bộ lưu điện UPS |
Cái |
60 |
51,27 |
- |
|
5 |
Camera kỹ thuật số |
Cái |
60 |
4,27 |
19,79 |
|
6 |
Giầy BHLĐ |
Đôi |
6 |
- |
79,17 |
|
7 |
Máy Fax |
Cái |
60 |
12,82 |
- |
|
8 |
Máy in A4 - 0,5KW |
Cái |
60 |
12,82 |
- |
|
9 |
Máy in màu A3 0,5KW |
Cái |
60 |
12,82 |
- |
|
10 |
Máy Scan A4 0,02KW |
Cái |
96 |
12,82 |
- |
|
11 |
Máy tính 0,6KW |
Cái |
60 |
51,27 |
- |
|
12 |
Mũ BHLĐ |
Cái |
12 |
- |
79,17 |
|
13 |
Ổ ghi CD 0,04 KW |
Cái |
60 |
51,27 |
- |
|
14 |
Phao cứu sinh |
Chiếc |
24 |
- |
79,17 |
|
15 |
Phao đo lưu lượng |
Chiếc |
24 |
- |
19,79 |
|
16 |
Quần áo BHLĐ |
Bộ |
12 |
- |
79,17 |
|
17 |
Quần áo mưa |
Bộ |
12 |
- |
79,17 |
|
18 |
Ủng BHLĐ |
Đôi |
12 |
- |
79,17 |
|
19 |
Điện năng |
KW |
|
439,28 |
- |
|
20 |
Dụng cụ khác |
% |
|
5,00 |
5,00 |
II.4. Định mức vật liệu
Bảng 19. Định mức vật liệu trong công tác ĐTĐGTNNM tỷ lệ 1:100.000
ĐVT: mức sử dụng/100km2
|
TT |
Danh mục vật liệu |
ĐVT |
Định mức |
|
|---|---|---|---|---|
|
Nội nghiệp |
Ngoại nghiệp |
|||
|
1 |
Bản đồ địa hình |
Mảnh |
0,39 |
0,40 |
|
2 |
Bóng đèn compact 55W |
Cái |
2,35 |
2,40 |
|
3 |
Đĩa CD |
Cái |
3,92 |
2,40 |
|
4 |
Giấy A4 |
Gram |
1,96 |
0,50 |
|
5 |
Mực in A0 |
Hộp |
0,06 |
- |
|
6 |
Mực in A3 |
Hộp |
0,12 |
- |
|
7 |
Mực in A3 màu |
Hộp |
0,06 |
- |
|
8 |
Mực in A4 |
Hộp |
0,29 |
0,02 |
|
9 |
Mực photocopy |
Hộp |
0,04 |
- |
|
10 |
Vật liệu khác |
% |
8 |
8 |
Ghi chú: Định mức sử dụng vật liệu, dụng cụ và thiết bị nêu trên tính cho toàn bộ công tác nội nghiệp và ngoại nghiệp, mức cho từng bước được xác định theo bảng hệ số điều chỉnh sau:
Bảng 20. Hệ số điều chỉnh định mức sử dụng vật liệu, dụng cụ và thiết bị cho từng bước công việc của công tác điều tra, đánh giá tỷ lệ 1:100.000
|
TT |
Nội dung công việc |
Hệ số |
|---|---|---|
|
A |
Công tác ngoại nghiệp |
1 |
|
1 |
Chuẩn bị |
0,06 |
|
2 |
Tiến hành điều tra thực địa |
0,76 |
|
3 |
Tổng hợp, chỉnh lý, hoàn thiện kết quả điều tra thực địa và giao nộp sản phẩm |
0,18 |
|
B |
Công tác nội nghiệp |
1 |
|
1 |
Thu thập, rà soát thông tin, dữ liệu và triển khai công tác ĐTĐGTNNM |
0,05 |
|
2 |
Tổng hợp, chỉnh lý, xử lý thông tin, dữ liệu thu thập và kết quả điều tra thực địa theo các nội dung đánh giá |
0,09 |
|
3 |
Phân tích, đánh giá hiện trạng, diễn biến TNNM |
0,56 |
|
4 |
Chuẩn bị nội dung thông tin và biên tập các bản đồ |
0,09 |
|
5 |
Tổng hợp, xây dựng hồ sơ, sản phẩm kết quả điều tra, đánh giá |
0,21 |
III. Điều tra, đánh giá tài nguyên nước mặt tỷ lệ 1:50.000
III.1. Định mức lao động
III.1.1. Nội dung công việc
1. Công tác ngoại nghiệp
1.1. Chuẩn bị
a) Nhận nhiệm vụ điều tra thực địa;
b) Xác định nội dung, đối tượng, phạm vi điều tra thực địa: các sông có chiều dài ≥ 20 km; các hồ chứa có dung tích ≥ 250.000 m3; các công trình cấp nước ≥ 20.000 m3/ngày đêm;
c) Xác định tuyến điều tra, đánh giá trên nền bản đồ địa hình tỷ lệ 1:50.000
- Nghiên cứu đặc điểm địa hình vùng điều tra, tình hình giao thông;
- Đánh giá mức độ khó khăn của địa hình tại khu vực điều tra;
- Xác định tuyến điều tra trên nền bản đồ địa hình: số lượng tuyến/diện tích điều tra là 1/3 km2;
- Yêu cầu các tuyến điều tra phải bám sát theo đối tượng điều tra.
d) Xây dựng phương án, lộ trình đi điều tra tại thực địa;
đ) Chuẩn bị nhân lực, vật liệu, dụng cụ và máy móc, thiết bị phục vụ điều tra;
e) Liên hệ địa phương sẽ tiến hành điều tra, đánh giá TNNM và các công tác chuẩn bị khác;
g) Phục vụ trong quá trình kiểm tra nghiệm thu sản phẩm.
1.2. Tiến hành điều tra thực địa
a) Điều tra, thu thập, cập nhật thông tin, dữ liệu về đặc điểm, tình hình TNNM tại các cơ quan ở địa phương vùng điều tra;
b) Đi lộ trình điều tra tổng hợp theo các tuyến đã xác định dọc hai bên bờ sông, suối, bãi sông và tuyến vuông góc với sông, suối có chiều dài ≥ 20 km và hồ chứa có dung tích ≥ 250.000 m3, các công trình cấp nước ≥ 20.000 m3/ngày đêm để quan sát, mô tả, chụp ảnh, sơ họa, thu thập thông tin, dữ liệu về đặc điểm, đặc trưng hình thái sông, đặc điểm hồ; các yếu tố ảnh hưởng đến TNNM;
c) Tiến hành điều tra chi tiết tại các vùng, khu vực, đối tượng trọng điểm, gồm: các sông chính, đoạn sông chịu ảnh hưởng triều và xâm nhập mặn, các đoạn sông cạn kiệt mất dòng, các đoạn sông thường xẩy ra lũ quét, sạt lở đất; đoạn sông bị bồi xói, các đoạn sông có nhập lưu, phân lưu, đoạn sông có hồ chứa đập dâng, đoạn sông nổi cộm về cạnh tranh trong khai thác sử dụng nguồn nước, đoạn sông ô nhiễm suy thoái nguồn nước;
d) Xác định vị trí quan trắc chất lượng và số lượng của TNNM;
đ) Đo các chỉ tiêu chất lượng nước ngoài hiện trường (nhiệt độ, độ pH, độ dẫn điện, độ muối, độ đục và ô xy hòa tan);
e) Lấy và bảo quản mẫu nước tại các vị trí xác định điểm khảo sát đo đạc để phân tích trong phòng;
g) Vận chuyển mẫu từ nơi lấy đến điểm tập kết;
h) Khoanh vùng diện tích điều tra chi tiết;
i) Chỉnh lý số liệu điều tra thực địa, bảo dưỡng thiết bị máy móc hàng ngày;
k) Phục vụ trong quá trình kiểm tra nghiệm thu sản phẩm.
1.3. Tổng hợp, chỉnh lý, hoàn thiện kết quả điều tra thực địa và giao nộp sản phẩm
a) Chỉnh lý, hoàn thiện các thông tin, dữ liệu điều tra thực địa;
b) Nhập thông tin, dữ liệu điều tra thực địa;
c) Xử lý, chỉnh lý các kết quả điều tra;
d) Tổng hợp kết quả điều tra thực địa, xây dựng sơ đồ, biểu bảng thống kê;
đ) Xây dựng báo cáo kết quả điều tra thực địa;
e) Hoàn chỉnh hồ sơ, tài liệu kết quả điều tra thực địa và bàn giao sản phẩm, gồm:
- Báo cáo kết quả điều tra thực địa;
- Sơ đồ tài liệu thực tế của các tuyến và vị trí các điểm điều tra, tỷ lệ 1:50.000;
- Các bảng tổng hợp, thống kê kết quả điều tra tổng hợp theo từng lưu vực sông, đơn vị hành chính;
- Các bảng tổng hợp, thống kê kết quả điều tra chi tiết ở từng đoạn sông, hồ và công trình khai thác, sử dụng đối với từng sông, hồ theo từng lưu vực sông, theo đơn vị hành chính;
- Bảng thống kê danh mục các sông và các điểm, khu vực đã điều tra tổng hợp;
- Bảng thống kê danh mục đoạn sông, hồ chứa, ao hồ tự nhiên và các công trình khai thác, sử dụng nước trên sông đã điều tra chi tiết;
- Phiếu điều tra, sổ nhật ký điều tra thực địa và các tài liệu điều tra thực địa khác.
g) Phục vụ trong quá trình kiểm tra nghiệm thu sản phẩm.
2. Công tác nội nghiệp
2.1. Thu thập, rà soát thông tin, dữ liệu và triển khai công tác điều tra, đánh giá TNNM
a) Nghiên cứu đề cương, hồ sơ dự án đã được phê duyệt;
c) Rà soát, thống kê, đánh giá tính đầy đủ, mức độ tin cậy của các thông tin, dữ liệu đã thu thập;
d) Thống kê, lập danh mục các thông tin, dữ liệu đã thu thập;
đ) Rà soát, lập kế hoạch triển khai dự án;
e) Giao nhiệm vụ cho các nhóm thực hiện;
g) Phục vụ trong quá trình kiểm tra nghiệm thu sản phẩm.
2.2. Tổng hợp, chỉnh lý, xử lý thông tin, dữ liệu thu thập và kết quả điều tra thực địa theo các nội dung đánh giá
a) Tổng hợp, phân loại, các thông tin, dữ liệu thu thập, điều tra thực địa phục vụ cho việc đánh giá;
b) Đánh giá độ tin cậy của các thông tin, dữ liệu đã thu thập, điều tra và lựa chọn, lập danh mục các thông tin, dữ liệu phục vụ cho việc đánh giá theo nội dung yêu cầu;
c) Nhập số liệu vào máy tính, kiểm tra và đồng bộ hóa thông tin, dữ liệu;
d) Xử lý, tổng hợp thông tin, dữ liệu và xây dựng các biểu, bảng, đồ thị;
đ) Lập sơ đồ điều tra, đánh giá TNNM;
e) Phục vụ trong quá trình kiểm tra nghiệm thu sản phẩm.
2.3. Phân tích, đánh giá hiện trạng, diễn biến TNNM
a) Phân tích, đánh giá các đặc trưng hình thái sông, lưu vực sông, đặc điểm hồ chứa, ao hồ tự nhiên thuộc đối tượng điều tra theo các nhóm thông tin sau:
- Các thông tin chung về số lượng, phạm vi phân bố, hướng chảy, chiều dài, độ rộng, độ dốc, mật độ lưới sông của lưu vực; mô đun dòng chảy;
- Đặc trưng hình thái sông, lưu vực sông và các yếu tố liên quan, gồm: các thông số đặc trưng hình thái sông, lưu vực sông; các hiện tượng lũ, lũ quét; hiện trạng cạn kiệt, mất dòng, đổi dòng;
- Đặc trưng của hồ chứa, ao hồ tự nhiên và các yếu tố liên quan, gồm: các thông số kỹ thuật của hồ chứa, các thông số đặc trưng của ao hồ tự nhiên; mục đích sử dụng, phạm vi cấp nước của hồ chứa, ao hồ tự nhiên; hiệu quả sử dụng của từng hồ chứa, ao hồ tự nhiên;
- Đặc điểm các yếu tố tự nhiên và các ảnh hưởng đến chế độ dòng chảy như địa hình, thảm phủ thực vật, lớp phong hóa, hiện trạng sử dụng đất, các công trình khai thác, sử dụng nước mặt và các yếu tố khác.
b) Phân tích, đánh giá đặc điểm, diễn biến của tài nguyên nước mưa theo lưu vực sông, đơn vị hành chính và vùng điều tra về lượng mưa tháng, mùa, năm; phân bố lượng mưa theo thời gian và không gian; mối quan hệ giữa lượng mưa đến chế độ dòng chảy;
c) Phân tích, đánh giá đặc điểm, diễn biến số lượng TNNM theo lưu vực sông, đơn vị hành chính và vùng điều tra, gồm:
- Đánh giá tổng lượng nước trung bình;
- Xác định tổng lượng nước tương ứng với các mức bảo đảm khác nhau;
- Đặc điểm, đặc trưng phân bố nguồn nước sông theo không gian;
- Đặc điểm phân phối trong năm theo các tháng, mùa lũ, mùa kiệt;
- Biến đổi tổng lượng nước trong thời kỳ nhiều năm;
- Các đặc trưng dòng chảy trong mùa kiệt, tình hình hạn hán, thiếu nước trên các lưu vực sông;
- Đặc điểm, đặc trưng dòng chảy lũ: lưu lượng lũ lớn nhất, mô đun dòng chảy đỉnh lũ;
- Đặc điểm nguồn nước của các hồ chứa; hồ, ao tự nhiên.
d) Phân tích, đánh giá chất lượng nước mặt theo lưu vực sông, đơn vị hành chính và vùng điều tra, gồm:
- Đánh giá khái quát chất lượng nước mặt theo các mục đích sử dụng khác nhau;
- Đánh giá khái quát tính chất vật lý, độ tổng khoáng hóa, hàm lượng các thành phần hoá học cơ bản; nguyên tố vi lượng, nhiễm bẩn, vi sinh và sự biến đổi của các đặc trưng chất lượng nước mặt qua các thời kỳ;
- Đặc điểm vùng triều, vùng nước mặt bị nhiễm mặn vùng ô nhiễm làm ảnh hưởng đến chất lượng nước của các công trình khai thác chính;
- Khoanh vùng chất lượng nước đáp ứng cho các mục đích sử dụng.
đ) Đánh giá khả năng khai thác, sử dụng TNNM phục vụ cho các mục đích, gồm: sinh hoạt, công nghiệp, nông nghiệp, nuôi trồng thủy sản, thủy điện, giao thông thủy, dịch vụ du lịch và các mục đích khác;
e) Phân tích, đánh giá tổng hợp hiện trạng TNNM và tác động của điều kiện tự nhiên, đặc điểm phát triển KT - XH để xác định các vấn đề nổi cộm liên quan đến TNNM;
g) Phục vụ trong quá trình kiểm tra nghiệm thu sản phẩm.
2.4. Chuẩn bị nội dung thông tin và biên tập các bản đồ
a) Chuẩn bị nội dung thông tin cho các bản đồ
- Bản đồ tài liệu thực tế vùng điều tra, đánh giá TNNM, tỷ lệ 1:50.000;
- Bản đồ TNNM, tỷ lệ 1:50.000;
- Bản đồ hiện trạng chất lượng nước mặt, tỷ lệ 1:50.000.
b) Biên tập các bản đồ
Biên tập bản đồ sử dụng nền bản đồ địa hình hệ tọa độ VN2000.
- Bản đồ tài liệu thực tế tài nguyên nước mặt bao gồm các thông tin sau:
+ Hiện trạng hệ thống sông, suối, hồ chứa, hồ ao tự nhiên, các công trình khai thác, sử dụng nước mặt trên sông;
+ Hiện trạng hệ thống sông, hồ: mạng lưới sông suối; sự phân bố các hồ chứa, đập dâng, ao, hồ tự nhiên;
+ Hiện trạng sử dụng đất, thảm phủ thực vật trên lưu vực sông;
+ Các tuyến điều tra tổng hợp, các điểm điều tra chi tiết.
- Bản đồ tài nguyên nước mặt
+ Mạng lưới sông, suối, hồ chứa, đập dâng, hồ, ao tự nhiên;
+ Lượng mưa năm trung bình của các lưu vực sông;
+ Tổng lượng nước năm trung bình của các lưu vực sông;
+ Mô đun dòng chảy năm trung bình của các lưu vực sông;
+ Tổng lượng nước mùa kiệt trung bình của các lưu vực sông;
+ Tổng lượng nước 3 tháng kiệt nhất;
+ Mô đun dòng chảy tháng kiệt nhất;
+ Lưu lượng nước trung bình tháng nhỏ nhất;
+ Mô đun dòng chảy tháng nhỏ nhất;
+ Lưu lượng nước trung bình tháng lớn nhất;
+ Mô đun đỉnh lũ lớn nhất;
- Bản đồ hiện trạng chất lượng nước mặt
+ Mạng lưới sông, suối, hồ chứa, đập dâng, hồ, ao tự nhiên, các công trình khai thác, sử dụng trên sông;
+ Các thông số đo nhanh chất lượng nước sông hồ;
+ Các thông số theo kết quả đo đạc, phân tích chất lượng nước.
Các bản đồ được biên tập theo quy định hiện hành của Bộ Tài nguyên và Môi trường.
c) Phục vụ trong quá trình kiểm tra nghiệm thu sản phẩm.
2.5. Tổng hợp, xây dựng hồ sơ sản phẩm kết quả điều tra, đánh giá
a) Báo cáo kết quả điều tra thực địa;
b) Báo cáo tổng hợp kết quả điều tra, đánh giá TNNM;
c) Báo cáo tóm tắt;
d) Các báo cáo chuyên đề:
- Đặc điểm hệ thống sông, suối, ao hồ;
- Đặc điểm tài nguyên nước mưa;
- Đặc điểm, diễn biến số lượng TNNM;
- Đặc điểm, diễn biến chất lượng nước mặt;
- Khả năng khai thác, sử dụng TNNM;
- Các vấn đề nổi cộm liên quan đến TNNM.
đ) Các bản đồ
- Bản đồ tài liệu thực tế điều tra, đánh giá TNNM, tỷ lệ 1:50.000;
- Bản đồ TNNM, tỷ lệ 1:50.000;
- Bản đồ hiện trạng chất lượng nước mặt, tỷ lệ 1:50.000.
e) Phụ lục: các bảng tổng hợp, thống kê kết quả điều tra tổng hợp theo từng lưu vực sông, đơn vị hành chính; bảng thống kê danh mục các sông và các điểm, khu vực đã điều tra tổng hợp; danh mục đoạn sông, hồ, ao và công trình khai thác, sử dụng nước đã điều tra chi tiết và thông tin khác;
g) Phục vụ trong quá trình kiểm tra nghiệm thu sản phẩm.
1. Các công việc chưa tính trong định mức
1.1. Khảo sát, đo đạc mực nước, lưu lượng, mặt cắt sông, suối;
1.2. Thuê phương tiện lấy mẫu chất lượng nước mặt; vận chuyển mẫu phân tích chất lượng nước từ vùng điều tra về cơ sở phân tích;
1.3. Lập mô hình dòng chảy nước mặt;
1.4. Phân tích các chỉ tiêu chất lượng nước trong phòng thí nghiệm;
1.5. Vận chuyển mẫu vi trùng mẫu môi trường từ nơi lấy đến cơ sở phân tích;
1.6. Vận chuyển nhân công, vật liệu, dụng cụ và máy móc, thiết bị từ trụ sở đơn vị thi công đến vùng điều tra và ngược lại;
1.7. In, nhân sao, giao nộp sản phẩm.
2. Điều kiện áp dụng và các hệ số điều chỉnh
2.1. Điều kiện áp dụng
Định mức điều tra, đánh giá TNNM tỷ lệ 1:50.000 được tính cho vùng chuẩn có điều kiện áp dụng được quy định tại mục 5.1 Phần I của Thông tư này.
2.2. Các hệ số điều chỉnh
Khi vùng điều tra, đánh giá khác với các quy định về điều kiện áp dụng nêu trên, thì áp dụng các hệ số điều chỉnh cho định mức lao động, định mức sử dụng vật liệu, dụng cụ và thiết bị được quy định và hướng dẫn áp dụng tại mục 5.2 Phần I của Thông tư này. Các hệ số điều chỉnh được áp dụng cho điều tra, đánh giá TNNM tỷ lệ 1:50.000, gồm:
- Hệ số điều chỉnh theo mức độ khó khăn: Kđh, Kmđ, Ksl, Khc và Ktt;
- Fdt là quy mô diện tích tự nhiên của vùng điều tra, đánh giá (km2);
- Kkh là hệ số điều chỉnh theo mức độ kết hợp (áp dụng trong trường hợp thực hiện từ 2 công việc điều tra, đánh giá trở lên).
III.1.3. Định biên lao động
Bảng 21. Định biên lao động công tác ĐTĐGTNNM tỷ lệ 1:50.000
|
TT |
Nội dung công việc |
Định biên lao động |
|||||||
|---|---|---|---|---|---|---|---|---|---|
|
ĐTVC1 |
ĐTV6 |
ĐTV5 |
ĐTV3 |
ĐTV2 |
ĐTV1 |
LX6 |
Nhóm |
||
|
A |
Công tác ngoại nghiệp |
|
|
|
|
|
|
|
|
|
1 |
Chuẩn bị |
- |
1 |
2 |
2 |
1 |
1 |
1 |
8 |
|
2 |
Tiến hành điều tra thực địa |
- |
1 |
2 |
2 |
1 |
1 |
1 |
8 |
|
3 |
Tổng hợp, chỉnh lý, hoàn thiện kết quả điều tra thực địa và giao nộp sản phẩm |
- |
1 |
2 |
2 |
1 |
1 |
1 |
8 |
|
B |
Công tác nội nghiệp |
|
|
|
|
|
|
|
|
|
1 |
Thu thập, rà soát thông tin, dữ liệu và triển khai công tác ĐTĐGTNNM |
1 |
1 |
2 |
2 |
1 |
1 |
- |
8 |
|
2 |
Tổng hợp, chỉnh lý, xử lý thông tin, dữ liệu thu thập và kết quả điều tra thực địa theo các nội dung đánh giá |
1 |
1 |
2 |
2 |
1 |
1 |
- |
8 |
|
3 |
Phân tích, đánh giá hiện trạng, diễn biến TNNM |
1 |
1 |
2 |
2 |
1 |
1 |
- |
8 |
|
4 |
Chuẩn bị nội dung thông tin và biên tập các bản đồ |
1 |
1 |
2 |
2 |
1 |
1 |
- |
8 |
|
5 |
Tổng hợp, xây dựng hồ sơ, sản phẩm kết quả điều tra, đánh giá |
1 |
1 |
2 |
2 |
1 |
1 |
- |
|
III.1.4. Định mức lao động
Bảng 22. Định mức lao động trong công tác ĐTĐGTNNM tỷ lệ 1:50.000
ĐVT: công nhóm/100km2
|
TT |
Nội dung công việc |
Định mức |
|---|---|---|
|
A |
Công tác ngoại nghiệp |
21,74 |
|
1 |
Chuẩn bị |
1,35 |
|
2 |
Tiến hành điều tra thực địa |
16,43 |
|
3 |
Tổng hợp, chỉnh lý, hoàn thiện kết quả điều tra thực địa và giao nộp sản phẩm |
3,96 |
|
B |
Công tác nội nghiệp |
11,85 |
|
1 |
Thu thập, rà soát thông tin, dữ liệu và triển khai công tác ĐTĐGTNNM |
0,54 |
|
2 |
Tổng hợp, chỉnh lý, xử lý thông tin, dữ liệu thu thập và kết quả điều tra thực địa theo các nội dung đánh giá |
1,15 |
|
3 |
Phân tích, đánh giá hiện trạng, diễn biến TNNM |
6,65 |
|
4 |
Chuẩn bị nội dung thông tin và biên tập các bản đồ |
1,06 |
|
5 |
Tổng hợp, xây dựng hồ sơ, sản phẩm kết quả điều tra, đánh giá |
2,45 |
III.2. Định mức thiết bị
Bảng 23. Định mức thiết bị trong công tác ĐTĐGTNNM tỷ lệ 1:50.000
ĐVT: ca/100km2
|
TT |
Danh mục thiết bị |
ĐVT |
Thời hạn (tháng) |
Định mức |
|
|---|---|---|---|---|---|
|
Nội nghiệp |
Ngoại nghiệp |
||||
|
1 |
Điều hòa 2 chiều 12000 BTU - 2,2 KW |
Bộ |
96 |
17,23 |
- |
|
2 |
Máy chiếu 0,5KW |
Cái |
60 |
6,91 |
- |
|
3 |
Máy đo dòng chảy |
Cái |
96 |
- |
26,65 |
|
4 |
Máy đo chất lượng nước cầm tay (Sensor) |
Cái |
96 |
- |
26,65 |
|
5 |
Máy in màu A0 - 0,8KW |
Cái |
60 |
6,91 |
- |
|
6 |
Máy phát điện 5KW |
Cái |
96 |
- |
8,89 |
|
7 |
Máy Photocopy - 1KW |
Cái |
96 |
6,91 |
- |
|
8 |
Máy Scan A0 - 2KW |
Cái |
96 |
6,91 |
- |
|
9 |
Máy Scan A3 - 0,5KW |
Cái |
96 |
6,91 |
- |
|
10 |
Máy tính xách tay - 0,04KW |
Cái |
60 |
17,23 |
26,65 |
|
11 |
Máy GPS cầm tay |
Cái |
120 |
9,58 |
14,81 |
|
12 |
Ô tô |
Cái |
180 |
- |
21,74 |
|
13 |
Dầu Diezel |
Lít |
|
- |
1,5 |
|
14 |
Xăng |
Lít |
|
|
36 |
|
15 |
Điện năng |
KW |
|
1.230,25 |
8,95 |
III.3. Định mức dụng cụ
Bảng 24. Định mức dụng cụ trong công tác ĐTĐGTNNM tỷ lệ 1:50.000
ĐVT: ca/100km2
|
TT |
Danh mục dụng cụ |
ĐVT |
Thời hạn (tháng) |
Định mức |
|
|---|---|---|---|---|---|
|
Nội nghiệp |
Ngoại nghiệp |
||||
|
1 |
Ba lô |
Cái |
24 |
- |
142,48 |
|
2 |
Bàn làm việc |
Cái |
96 |
92,19 |
35,61 |
|
3 |
Bình đựng nước uống |
Cái |
36 |
- |
142,48 |
|
4 |
Bộ lưu điện UPS |
Cái |
60 |
92,19 |
- |
|
5 |
Camera kỹ thuật số |
Cái |
60 |
7,68 |
35,61 |
|
6 |
Giầy BHLĐ |
Đôi |
6 |
- |
142,48 |
|
7 |
Máy Fax |
Cái |
60 |
23,05 |
- |
|
8 |
Máy in A4 - 0,5KW |
Cái |
60 |
23,05 |
- |
|
9 |
Máy in màu A3 0,5KW |
Cái |
60 |
23,05 |
- |
|
10 |
Máy Scan A4 0,02KW |
Cái |
96 |
23,05 |
- |
|
11 |
Máy tính 0,6KW |
Cái |
60 |
92,19 |
- |
|
12 |
Mũ BHLĐ |
Cái |
12 |
- |
142,48 |
|
13 |
Ổ ghi CD 0,04 KW |
Cái |
60 |
92,19 |
- |
|
14 |
Phao cứu sinh |
Chiếc |
24 |
- |
142,48 |
|
15 |
Phao đo lưu lượng |
Chiếc |
24 |
- |
35,61 |
|
16 |
Quần áo BHLĐ |
Bộ |
12 |
- |
142,48 |
|
17 |
Quần áo mưa |
Bộ |
12 |
- |
142,48 |
|
18 |
Ủng BHLĐ |
Đôi |
12 |
- |
142,48 |
|
19 |
Điện năng |
KW |
|
693,1 |
- |
|
20 |
Dụng cụ khác |
% |
|
5,00 |
5,00 |
III.4. Định mức vật liệu
Bảng 25. Định mức vật liệu trong công tác ĐTĐGTNNM tỷ lệ 1:50.000
ĐVT: mức sử dụng/100km2
|
TT |
Danh mục vật liệu |
ĐVT |
Định mức |
|
|---|---|---|---|---|
|
Nội nghiệp |
Ngoại nghiệp |
|||
|
1 |
Bản đồ địa hình |
Mảnh |
0,70 |
0,72 |
|
2 |
Bóng đèn compact 55W |
Cái |
4,23 |
4,32 |
|
3 |
Đĩa CD |
Cái |
7,05 |
4,32 |
|
4 |
Giấy A4 |
Gram |
3,52 |
0,90 |
|
5 |
Mực in A0 |
Hộp |
0,11 |
- |
|
6 |
Mực in A3 |
Hộp |
0,21 |
- |
|
7 |
Mực in A3 màu |
Hộp |
0,11 |
- |
|
8 |
Mực in A4 |
Hộp |
0,53 |
0,04 |
|
9 |
Mực photocopy |
Hộp |
0,07 |
- |
|
10 |
Vật liệu khác |
% |
8 |
8 |
Ghi chú: Định mức sử dụng vật liệu, dụng cụ và thiết bị nêu trên tính cho toàn bộ công tác nội nghiệp và ngoại nghiệp, mức cho từng bước được xác định theo bảng hệ số điều chỉnh sau:
Bảng 26. Hệ số điều chỉnh định mức sử dụng vật liệu, dụng cụ và thiết bị cho từng bước công việc của công tác điều tra, đánh giá tỷ lệ 1:50.000
|
TT |
Nội dung công việc |
Hệ số |
|---|---|---|
|
A |
Công tác ngoại nghiệp |
1 |
|
1 |
Chuẩn bị |
0,06 |
|
2 |
Tiến hành điều tra thực địa |
0,76 |
|
3 |
Tổng hợp, chỉnh lý, hoàn thiện kết quả điều tra thực địa và giao nộp sản phẩm |
0,18 |
|
B |
Công tác nội nghiệp |
1 |
|
1 |
Thu thập, rà soát thông tin, dữ liệu và triển khai công tác ĐTĐGTNNM |
0,05 |
|
2 |
Tổng hợp, chỉnh lý, xử lý thông tin, dữ liệu thu thập và kết quả điều tra thực địa theo các nội dung đánh giá |
0,09 |
|
3 |
Phân tích, đánh giá hiện trạng, diễn biến TNNM |
0,56 |
|
4 |
Chuẩn bị nội dung thông tin và biên tập các bản đồ |
0,09 |
|
5 |
Tổng hợp, xây dựng hồ sơ, sản phẩm kết quả điều tra, đánh giá |
0,21 |
IV. Điều tra, đánh giá tài nguyên nước mặt tỷ lệ 1:25.000
IV.1. Định mức lao động
IV.1.1. Nội dung công việc
1. Công tác ngoại nghiệp
1.1. Chuẩn bị
a) Nhận nhiệm vụ điều tra thực địa;
b) Xác định nội dung, đối tượng, phạm vi điều tra thực địa là tất cả các sông có chiều dài >10 km, các hồ chứa có dung tích ≥ 100.000 m3; các công trình cấp nước ≥ 10.000 m3/ngày đêm;
c) Xác định tuyến điều tra, đánh giá trên nền bản đồ địa hình tỷ lệ 1:25.000
- Nghiên cứu đặc điểm địa hình vùng điều tra, tình hình giao thông;
- Đánh giá mức độ khó khăn của địa hình tại khu vực điều tra;
- Xác định tuyến điều tra trên nền bản đồ địa hình: số lượng tuyến/diện tích điều tra là 1/1 km2;
- Yêu cầu các tuyến điều tra phải bám sát theo đối tượng điều tra.
d) Xây dựng phương án, lộ trình đi điều tra tại thực địa;
đ) Chuẩn bị nhân lực, vật liệu, dụng cụ và máy móc, thiết bị phục vụ điều tra;
e) Liên hệ địa phương sẽ tiến hành điều tra, đánh giá TNNM và các công tác chuẩn bị khác;
g) Phục vụ trong quá trình kiểm tra nghiệm thu sản phẩm.
1.2. Tiến hành điều tra thực địa
a) Điều tra, thu thập, cập nhật thông tin, dữ liệu về đặc điểm, tình hình TNNM tại các cơ quan ở địa phương vùng điều tra;
b) Đi lộ trình điều tra tổng hợp theo các tuyến đã xác định dọc hai bên bờ sông, suối, bãi sông và tuyến vuông góc với sông, suối có chiều dài ≥ 10 km và hồ chứa có dung tích ≥ 100.000 m3, các công trình cấp nước ≥ 10.000 m3/ngày đêm để quan sát, mô tả, chụp ảnh, sơ họa, thu thập thông tin, dữ liệu về đặc điểm, đặc trưng hình thái sông, đặc điểm hồ; các yếu tố ảnh hưởng đến TNNM;
c) Tiến hành điều tra chi tiết tại các vùng, khu vực, đối tượng trọng điểm, gồm: các sông chính, đoạn sông chịu ảnh hưởng triều và xâm nhập mặn, các đoạn sông cạn kiệt mất dòng, các đoạn sông thường xẩy ra lũ quét, sạt lở đất; đoạn sông bị bồi xói, các đoạn sông có nhập lưu, phân lưu, đoạn sông có hồ chứa đập dâng, đoạn sông nổi cộm về cạnh tranh trong khai thác sử dụng nguồn nước, đoạn sông ô nhiễm suy thoái nguồn nước;
d) Xác định vị trí quan trắc chất lượng và số lượng của TNNM;
đ) Đo các chỉ tiêu chất lượng nước ngoài hiện trường (nhiệt độ, độ pH, độ dẫn điện, độ muối, độ đục và ô xy hòa tan);
e) Lấy và bảo quản mẫu nước tại các vị trí xác định điểm khảo sát đo đạc để phân tích trong phòng;
g) Vận chuyển mẫu từ nơi lấy đến điểm tập kết;
h) Khoanh vùng diện tích điều tra chi tiết;
i) Chỉnh lý số liệu điều tra thực địa, bảo dưỡng thiết bị máy móc hàng ngày;
k) Phục vụ trong quá trình kiểm tra nghiệm thu sản phẩm.
1.3. Tổng hợp, chỉnh lý, hoàn thiện kết quả điều tra thực địa và giao nộp sản phẩm
a) Chỉnh lý, hoàn thiện các thông tin, dữ liệu điều tra thực địa;
b) Nhập kết quả, thông tin, dữ liệu điều tra thực địa;
c) Xử lý, chỉnh lý các kết quả điều tra;
d) Tổng hợp kết quả điều tra thực địa, xây dựng sơ đồ, biểu bảng thống kê;
đ) Xây dựng báo cáo kết quả điều tra thực địa;
e) Hoàn chỉnh hồ sơ, tài liệu kết quả điều tra thực địa và bàn giao sản phẩm
- Báo cáo kết quả điều tra thực địa;
- Sơ đồ tài liệu thực tế của các tuyến và vị trí các điểm điều tra, tỷ lệ 1:25.000;
- Các bảng tổng hợp, thống kê kết quả điều tra tổng hợp theo từng lưu vực sông, đơn vị hành chính;
- Các bảng tổng hợp, thống kê kết quả điều tra chi tiết ở từng đoạn sông, hồ và công trình khai thác, sử dụng đối với từng sông, hồ theo từng lưu vực sông, theo đơn vị hành chính;
- Bảng thống kê danh mục các sông và các điểm, khu vực đã điều tra tổng hợp;
- Bảng thống kê danh mục đoạn sông, hồ chứa, ao hồ tự nhiên và các công trình khai thác, sử dụng nước trên sông đã điều tra chi tiết;
- Phiếu điều tra, sổ nhật ký điều tra thực địa và các tài liệu điều tra thực địa khác.
g) Phục vụ trong quá trình kiểm tra nghiệm thu sản phẩm.
2. Công tác nội nghiệp
2.1. Thu thập, rà soát thông tin, dữ liệu và chuẩn bị triển khai công tác điều tra, đánh giá TNNM
a) Nghiên cứu đề cương, hồ sơ dự án đã được phê duyệt;
c) Rà soát, thống kê, đánh giá tính đầy đủ, mức độ tin cậy của các thông tin, dữ liệu đã thu thập;
d) Thống kê, lập danh mục các thông tin, dữ liệu đã thu thập;
đ) Rà soát, lập kế hoạch triển khai dự án;
e) Giao nhiệm vụ cho các nhóm thực hiện;
g) Phục vụ trong quá trình kiểm tra nghiệm thu sản phẩm.
2.2. Tổng hợp, chỉnh lý, xử lý thông tin, dữ liệu thu thập và kết quả điều tra thực địa theo các nội dung đánh giá
a) Tổng hợp, phân loại, các thông tin, dữ liệu thu thập, điều tra thực địa phục vụ cho việc đánh giá;
b) Đánh giá độ tin cậy của các thông tin, dữ liệu đã thu thập, điều tra và lựa chọn, lập danh mục các thông tin, dữ liệu phục vụ cho việc đánh giá theo nội dung yêu cầu;
c) Nhập số liệu vào máy tính, kiểm tra và đồng bộ hóa thông tin, dữ liệu;
d) Xử lý, tổng hợp thông tin, dữ liệu và xây dựng các biểu, bảng, đồ thị;
đ) Lập sơ đồ điều tra, đánh giá TNNM;
e) Phục vụ trong quá trình kiểm tra nghiệm thu sản phẩm.
2.3. Phân tích, đánh giá hiện trạng, diễn biến TNNM
a) Phân tích, đánh giá các đặc trưng hình thái sông, lưu vực sông, đặc điểm hồ chứa, ao hồ tự nhiên thuộc đối tượng điều tra theo các nhóm thông tin sau:
- Các thông tin chung về số lượng, phạm vi phân bố, hướng chảy, chiều dài, độ rộng, độ dốc, mật độ lưới sông của lưu vực; mô đun dòng chảy;
- Đặc trưng hình thái sông, lưu vực sông và các yếu tố liên quan, gồm: các thông số đặc trưng hình thái sông, lưu vực sông; các hiện tượng lũ, lũ quét; hiện trạng cạn kiệt, mất dòng, đổi dòng;
- Đặc trưng của hồ chứa, ao hồ tự nhiên và các yếu tố liên quan, gồm: các thông số kỹ thuật của hồ chứa, các thông số đặc trưng của ao hồ tự nhiên; mục đích sử dụng, phạm vi cấp nước của hồ chứa, ao hồ tự nhiên; hiệu quả sử dụng của từng hồ chứa, ao hồ tự nhiên;
- Đặc điểm các yếu tố tự nhiên và các ảnh hưởng đến chế độ dòng chảy như địa hình, thảm phủ thực vật, lớp phong hóa, hiện trạng sử dụng đất, các công trình khai thác, sử dụng nước mặt và các yếu tố khác.
b) Phân tích, đánh giá đặc điểm, diễn biến của tài nguyên nước mưa theo lưu vực sông, đơn vị hành chính và vùng điều tra về lượng mưa tháng, mùa, năm; phân bố lượng mưa theo thời gian và không gian; mối quan hệ giữa lượng mưa đến chế độ dòng chảy;
c) Phân tích, đánh giá đặc điểm, diễn biến số lượng TNNM theo lưu vực sông, đơn vị hành chính và vùng điều tra, gồm:
- Đánh giá tổng lượng nước trung bình;
- Xác định tổng lượng nước tương ứng với các mức bảo đảm khác nhau;
- Đặc điểm, đặc trưng phân bố nguồn nước sông theo không gian;
- Đặc điểm phân phối trong năm theo các tháng, mùa lũ, mùa kiệt;
- Biến đổi tổng lượng nước trong thời kỳ nhiều năm;
- Các đặc trưng dòng chảy trong mùa kiệt, tình hình hạn hán, thiếu nước trên các lưu vực sông;
- Đặc điểm, đặc trưng dòng chảy lũ: lưu lượng lũ lớn nhất, mô đun dòng chảy đỉnh lũ;
- Đặc điểm nguồn nước của các hồ chứa; hồ, ao tự nhiên.
d) Phân tích, đánh giá chất lượng nước mặt theo lưu vực sông, đơn vị hành chính và vùng điều tra, gồm:
- Đánh giá khái quát chất lượng nước mặt theo các mục đích sử dụng khác nhau;
- Đánh giá khái quát tính chất vật lý, độ tổng khoáng hóa, hàm lượng các thành phần hoá học cơ bản; nguyên tố vi lượng, nhiễm bẩn, vi sinh và sự biến đổi của các đặc trưng chất lượng nước mặt qua các thời kỳ;
- Đặc điểm vùng triều, vùng nước mặt bị nhiễm mặn vùng ô nhiễm làm ảnh hưởng đến chất lượng nước của các công trình khai thác chính;
- Khoanh vùng chất lượng nước đáp ứng cho các mục đích sử dụng.
đ) Đánh giá khả năng khai thác, sử dụng TNNM phục vụ cho các mục đích, gồm: sinh hoạt, công nghiệp, nông nghiệp, nuôi trồng thủy sản, thủy điện, giao thông thủy, dịch vụ du lịch và các mục đích khác;
e) Phân tích, đánh giá tổng hợp hiện trạng TNNM và tác động của điều kiện tự nhiên, đặc điểm phát triển KT - XH để xác định các vấn đề nổi cộm liên quan đến TNNM;
g) Phục vụ trong quá trình kiểm tra nghiệm thu sản phẩm.
2.4. Chuẩn bị nội dung thông tin và biên tập các bản đồ
a) Chuẩn bị nội dung thông tin cho các bản đồ
- Bản đồ tài liệu thực tế vùng điều tra, đánh giá TNNM, tỷ lệ 1:25.000;
- Bản đồ TNNM, tỷ lệ 1:25.000;
- Bản đồ hiện trạng chất lượng NM, tỷ lệ 1:25.000.
b) Biên tập các bản đồ
Biên tập bản đồ sử dụng nền bản đồ địa hình hệ tọa độ VN2000.
- Bản đồ tài liệu thực tế tài nguyên nước mặt bao gồm các thông tin sau:
+ Hiện trạng hệ thống sông, suối, hồ chứa, hồ ao tự nhiên, các công trình khai thác, sử dụng nước mặt trên sông;
+ Hiện trạng hệ thống sông, hồ: mạng lưới sông suối; sự phân bố các hồ chứa, đập dâng, ao, hồ tự nhiên;
+ Hiện trạng sử dụng đất, thảm phủ thực vật trên lưu vực sông;
+ Các tuyến điều tra tổng hợp, các điểm điều tra chi tiết.
- Bản đồ tài nguyên nước mặt:
+ Mạng lưới sông, suối, hồ chứa, đập dâng, hồ, ao tự nhiên;
+ Lượng mưa năm trung bình của các lưu vực sông;
+ Tổng lượng nước năm trung bình của các lưu vực sông;
+ Mô đun dòng chảy năm trung bình của các lưu vực sông;
+ Tổng lượng nước mùa kiệt trung bình của các lưu vực sông;
+ Tổng lượng nước 3 tháng kiệt nhất;
+ Mô đun dòng chảy tháng kiệt nhất;
+ Lưu lượng nước trung bình tháng nhỏ nhất;
+ Mô đun dòng chảy tháng nhỏ nhất;
+ Lưu lượng nước trung bình tháng lớn nhất;
+ Mô đun đỉnh lũ lớn nhất;
- Bản đồ hiện trạng chất lượng nước mặt
+ Mạng lưới sông, suối, hồ chứa, đập dâng, hồ, ao tự nhiên, các công trình khai thác, sử dụng trên sông;
+ Các thông số đo nhanh chất lượng nước sông hồ;
+ Các thông số theo kết quả đo đạc, phân tích chất lượng nước.
Các bản đồ được biên tập theo quy định hiện hành của Bộ Tài nguyên và Môi trường.
c) Phục vụ trong quá trình kiểm tra nghiệm thu sản phẩm.
2.5. Tổng hợp, xây dựng hồ sơ sản phẩm kết quả điều tra, đánh giá
a) Báo cáo kết quả điều tra thực địa;
b) Báo cáo tổng hợp kết quả điều tra, đánh giá TNNM;
c) Báo cáo tóm tắt;
d) Các báo cáo chuyên đề
- Đặc điểm hệ thống sông, suối, ao hồ;
- Đặc điểm tài nguyên nước mưa;
- Đặc điểm, diễn biến số lượng TNNM;
- Đặc điểm, diễn biến chất lượng nước mặt;
- Khả năng khai thác, sử dụng TNNM;
- Các vấn đề nổi cộm liên quan đến TNNM.
đ) Các bản đồ
- Bản đồ tài liệu thực tế vùng điều tra, đánh giá TNNM, tỷ lệ 1:25.000;
- Bản đồ TNNM, tỷ lệ 1:25.000;
- Bản đồ hiện trạng chất lượng nước mặt, tỷ lệ 1:25.000.
e) Phụ lục: các bảng tổng hợp, thống kê kết quả điều tra tổng hợp theo từng lưu vực sông, đơn vị hành chính; bảng thống kê danh mục các sông và các điểm, khu vực đã điều tra tổng hợp; danh mục đoạn sông, hồ, ao và công trình khai thác, sử dụng nước đã điều tra chi tiết và thông tin khác;
g) Phục vụ trong quá trình kiểm tra nghiệm thu sản phẩm.
1. Các công việc chưa tính trong định mức
1.1. Khảo sát, đo đạc mực nước, lưu lượng, mặt cắt sông, suối;
1.2. Thuê phương tiện lấy mẫu chất lượng nước mặt; vận chuyển mẫu phân tích chất lượng nước từ vùng điều tra về cơ sở phân tích;
1.3. Lập mô hình dòng chảy nước mặt;
1.4. Phân tích các chỉ tiêu chất lượng nước trong phòng thí nghiệm;
1.5. Vận chuyển mẫu vi trùng mẫu môi trường từ nơi lấy đến cơ sở phân tích;
1.6. Vận chuyển nhân công, vật liệu, dụng cụ và máy móc, thiết bị từ trụ sở đơn vị thi công đến vùng điều tra và ngược lại;
1.7. In, nhân sao, giao nộp sản phẩm.
2. Điều kiện áp dụng và các hệ số điều chỉnh
2.1. Điều kiện áp dụng
Định mức điều tra, đánh giá TNNM tỷ lệ 1:25.000 được tính cho vùng chuẩn có điều kiện áp dụng được quy định tại mục 5.1 Phần I của Thông tư này.
2.2. Các hệ số điều chỉnh
Khi vùng điều tra, đánh giá khác với các quy định về điều kiện áp dụng nêu trên, thì áp dụng các hệ số điều chỉnh cho định mức lao động, định mức sử dụng vật liệu, dụng cụ và thiết bị được quy định và hướng dẫn áp dụng tại mục 5.2 Phần I của Thông tư này. Các hệ số điều chỉnh được áp dụng cho điều tra, đánh giá TNNM tỷ lệ 1:25.000, gồm:
- Hệ số điều chỉnh theo mức độ khó khăn: Kđh, Kmđ, Ksl, Khc và Ktt;
- Fdt là quy mô diện tích tự nhiên của vùng điều tra, đánh giá (km2);
- Kkh là hệ số điều chỉnh theo mức độ kết hợp (áp dụng trong trường hợp thực hiện từ 2 công việc điều tra, đánh giá trở lên).
IV.1.3. Định biên lao động
Bảng 27. Định biên lao động công tác ĐTĐGTNNM tỷ lệ 1:25.000
|
TT |
Nội dung công việc |
Định biên lao động |
|||||||
|---|---|---|---|---|---|---|---|---|---|
|
ĐTVC1 |
ĐTV6 |
ĐTV5 |
ĐTV3 |
ĐTV2 |
ĐTV1 |
LX6 |
Nhóm |
||
|
A |
Công tác ngoại nghiệp |
|
|
|
|
|
|
|
|
|
1 |
Chuẩn bị |
- |
1 |
2 |
2 |
1 |
1 |
1 |
8 |
|
2 |
Tiến hành điều tra thực địa |
- |
1 |
2 |
2 |
1 |
1 |
1 |
8 |
|
3 |
Tổng hợp, chỉnh lý, hoàn thiện kết quả điều tra thực địa và giao nộp sản phẩm |
- |
1 |
2 |
2 |
1 |
1 |
1 |
8 |
|
B |
Công tác nội nghiệp |
|
|
|
|
|
|
|
|
|
1 |
Thu thập, rà soát thông tin, dữ liệu và triển khai công tác ĐTĐGTNNM |
1 |
1 |
2 |
2 |
1 |
1 |
- |
8 |
|
2 |
Tổng hợp, chỉnh lý, xử lý thông tin, dữ liệu thu thập và kết quả điều tra thực địa theo các nội dung đánh giá |
1 |
1 |
2 |
2 |
1 |
1 |
- |
8 |
|
3 |
Phân tích, đánh giá hiện trạng, diễn biến TNNM |
1 |
1 |
2 |
2 |
1 |
1 |
- |
8 |
|
4 |
Chuẩn bị nội dung thông tin và biên tập các bản đồ |
1 |
1 |
2 |
2 |
1 |
1 |
- |
8 |
|
5 |
Tổng hợp, xây dựng hồ sơ, sản phẩm kết quả điều tra, đánh giá |
1 |
1 |
2 |
2 |
1 |
1 |
- |
8 |
IV.1.4. Định mức lao động
Bảng 28. Định mức lao động trong công tác ĐTĐGTNNM tỷ lệ 1:25.000
ĐVT: công nhóm/100km2
|
TT |
Nội dung công việc |
Định mức |
|---|---|---|
|
A |
Công tác ngoại nghiệp |
70,04 |
|
1 |
Chuẩn bị |
4,35 |
|
2 |
Tiến hành điều tra thực địa |
52,93 |
|
3 |
Tổng hợp, chỉnh lý, hoàn thiện kết quả điều tra thực địa và giao nộp sản phẩm |
12,76 |
|
B |
Công tác nội nghiệp |
38,15 |
|
1 |
Thu thập, rà soát thông tin, dữ liệu và triển khai công tác ĐTĐGTNNM |
1,76 |
|
2 |
Tổng hợp, chỉnh lý, xử lý thông tin, dữ liệu thu thập và kết quả điều tra thực địa theo các nội dung đánh giá |
3,3 |
|
3 |
Phân tích, đánh giá hiện trạng, diễn biến TNNM |
21,6 |
|
4 |
Chuẩn bị nội dung thông tin và biên tập các bản đồ |
3,54 |
|
5 |
Tổng hợp, xây dựng hồ sơ, sản phẩm kết quả điều tra, đánh giá |
7,95 |
IV.2. Định mức thiết bị
Bảng 29. Định mức thiết bị trong công tác ĐTĐGTNNM tỷ lệ 1:25.000
ĐVT: ca/100km2
|
TT |
Danh mục thiết bị |
ĐVT |
Thời hạn (tháng) |
Định mức |
|
|---|---|---|---|---|---|
|
Nội nghiệp |
Ngoại nghiệp |
||||
|
1 |
Điều hòa 2 chiều 12000 BTU - 2,2 KW |
Bộ |
96 |
55,48 |
- |
|
2 |
Máy chiếu 0,5KW |
Cái |
60 |
22,24 |
- |
|
3 |
Máy đo dòng chảy |
Cái |
96 |
- |
85,85 |
|
4 |
Máy đo chất lượng nước cầm tay (Sensor) |
Cái |
96 |
- |
85,85 |
|
5 |
Máy in màu A0 - 0,8KW |
Cái |
60 |
22,24 |
- |
|
6 |
Máy phát điện 5KW |
Cái |
96 |
- |
28,65 |
|
7 |
Máy Photocopy - 1KW |
Cái |
96 |
22,24 |
- |
|
8 |
Máy Scan A0 - 2KW |
Cái |
96 |
22,24 |
- |
|
9 |
Máy Scan A3 - 0,5KW |
Cái |
96 |
22,24 |
- |
|
10 |
Máy tính xách tay - 0,04KW |
Cái |
60 |
55,48 |
85,85 |
|
11 |
Máy GPS cầm tay |
Cái |
120 |
- |
114,73 |
|
12 |
Ô tô |
Cái |
180 |
- |
70,04 |
|
13 |
Dầu Diezel |
Lít |
|
- |
1,5 |
|
14 |
Xăng |
Lít |
|
|
60 |
|
15 |
Điện năng |
KW |
|
9.687,95 |
28,84 |
IV.3. Định mức dụng cụ
Bảng 30. Định mức dụng cụ trong công tác ĐTĐGTNNM tỷ lệ 1:25.000
ĐVT: ca/100km2
|
TT |
Danh mục dụng cụ |
ĐVT |
Thời hạn (tháng) |
Định mức |
|
|---|---|---|---|---|---|
|
Nội nghiệp |
Ngoại nghiệp |
||||
|
1 |
Ba lô |
Cái |
24 |
- |
459,04 |
|
2 |
Bàn làm việc |
Cái |
96 |
296,80 |
114,73 |
|
3 |
Bình đựng nước uống |
Cái |
36 |
- |
459,04 |
|
4 |
Bộ lưu điện UPS |
Cái |
60 |
296,80 |
- |
|
5 |
Camera kỹ thuật số |
Cái |
60 |
24,73 |
114,73 |
|
6 |
Giầy BHLĐ |
Đôi |
6 |
- |
459,04 |
|
7 |
Máy Fax |
Cái |
60 |
74,20 |
- |
|
8 |
Máy in A4 - 0,5KW |
Cái |
60 |
74,20 |
- |
|
9 |
Máy in màu A3 0,5KW |
Cái |
60 |
74,20 |
- |
|
10 |
Máy Scan A4 0,02KW |
Cái |
96 |
74,20 |
- |
|
11 |
Máy tính 0,6KW |
Cái |
60 |
296,80 |
- |
|
12 |
Mũ BHLĐ |
Cái |
12 |
- |
459,04 |
|
13 |
Ổ ghi CD 0,04 KW |
Cái |
60 |
296,80 |
- |
|
14 |
Phao cứu sinh |
Chiếc |
24 |
- |
459,04 |
|
15 |
Phao đo lưu lượng |
Chiếc |
24 |
- |
114,73 |
|
16 |
Quần áo BHLĐ |
Bộ |
12 |
- |
459,04 |
|
17 |
Quần áo mưa |
Bộ |
12 |
- |
459,04 |
|
18 |
Ủng BHLĐ |
Đôi |
12 |
- |
459,04 |
|
19 |
Điện năng |
KW |
|
2.231,37 |
- |
|
20 |
Dụng cụ khác |
% |
|
5,00 |
5,00 |
IV.4. Định mức vật liệu
Bảng 31. Định mức vật liệu trong công tác ĐTĐGTNNM tỷ lệ 1:25.000
ĐVT: mức sử dụng/100km2
|
TT |
Danh mục vật liệu |
ĐVT |
Định mức |
|
|---|---|---|---|---|
|
Nội nghiệp |
Ngoại nghiệp |
|||
|
1 |
Bản đồ địa hình |
Mảnh |
2,27 |
2,32 |
|
2 |
Bóng đèn compact 55W |
Cái |
13,61 |
13,92 |
|
3 |
Đĩa CD |
Cái |
22,69 |
13,92 |
|
4 |
Giấy A4 |
Gram |
11,35 |
2,90 |
|
5 |
Mực in A0 |
Hộp |
0,34 |
- |
|
6 |
Mực in A3 |
Hộp |
0,68 |
- |
|
7 |
Mực in A3 màu |
Hộp |
0,34 |
- |
|
8 |
Mực in A4 |
Hộp |
1,70 |
0,12 |
|
9 |
Mực photocopy |
Hộp |
0,23 |
- |
|
10 |
Vật liệu khác |
% |
8 |
8 |
Ghi chú: Định mức sử dụng vật liệu, dụng cụ và thiết bị nêu trên toàn bộ công tác nội nghiệp và ngoại nghiệp, mức cho từng bước được xác định theo bảng hệ số điều chỉnh sau:
Bảng 32. Hệ số điều chỉnh định mức sử dụng vật liệu, dụng cụ và thiết bị cho từng bước công việc của công tác điều tra, đánh giá tỷ lệ 1:25.000
|
TT |
Nội dung công việc |
Hệ số |
|---|---|---|
|
A |
Công tác ngoại nghiệp |
1 |
|
1 |
Chuẩn bị |
0,06 |
|
2 |
Tiến hành điều tra thực địa |
0,76 |
|
3 |
Tổng hợp, chỉnh lý, hoàn thiện kết quả điều tra thực địa và giao nộp sản phẩm |
0,18 |
|
B |
Công tác nội nghiệp |
1 |
|
1 |
Thu thập, rà soát thông tin, dữ liệu và triển khai công tác ĐTĐGTNNM |
0,05 |
|
2 |
Tổng hợp, chỉnh lý, xử lý thông tin, dữ liệu thu thập và kết quả điều tra thực địa theo các nội dung đánh giá |
0,09 |
|
3 |
Phân tích, đánh giá hiện trạng, diễn biến TNNM |
0,56 |
|
4 |
Chuẩn bị nội dung thông tin và biên tập các bản đồ |
0,09 |
|
5 |
Tổng hợp, xây dựng hồ sơ, sản phẩm kết quả điều tra, đánh giá |
0,21 |
Chương II
ĐIỀU TRA, ĐÁNH GIÁ TÀI NGUYÊN NƯỚC DƯỚI ĐẤT
1. Công tác ngoại nghiệp
1.1. Chuẩn bị
a) Nhận nhiệm vụ điều tra thực địa;
b) Xác định nội dung, đối tượng, phạm vi điều tra thực địa: nghiên cứu nhiệm vụ điều tra thực địa và các tài liệu liên quan, xác định khối lượng công việc sẽ thực hiện, xác định ranh giới giữa các thành tạo địa chất chủ yếu, các đứt gãy có trong khu vực trên bản đồ, phạm vi phân bố trên bản đồ của các phức hệ chứa nước lớn, chứa nước yếu và cách nước có trong vùng điều tra;
c) Lập kế hoạch, phương án, lộ trình đi điều tra thực địa: xác định vị trí các tuyến đi lộ trình điều tra thực địa trên nền bản đồ địa hình 1:200.000, xây dựng phương án, kế hoạch cụ thể về thời gian thực hiện công tác điều tra thực địa;
d) Chuẩn bị biểu mẫu, vật liệu, dụng cụ và máy móc thiết bị phục vụ điều tra, kiểm chuẩn, kiểm định và thử nghiệm hoạt động của máy móc trước khi đi điều tra thực địa, chuẩn bị tài liệu, giấy tờ cần thiết và phiếu điều tra, các trang thiết bị, đồ bảo hộ lao động, đóng gói thiết bị, tài liệu, dụng cụ, vật tư để phục vụ cho công tác vận chuyển tới nơi tập kết tại hiện trường;
đ) Liên hệ địa phương và các công tác chuẩn bị khác;
e) Phục vụ trong quá trình kiểm tra nghiệm thu sản phẩm.
1.2. Tiến hành điều tra thực địa
a) Điều tra, thu thập, cập nhật thông tin, dữ liệu về đặc điểm, tình hình khai thác, sử dụng nguồn nước dưới đất tại các cơ quan ở địa phương nơi điều tra;
b) Điều tra theo lộ trình tổng hợp: số lượng tuyến lộ trình cũng như số điểm khảo sát, lấy mẫu trên một km2 xác định cho mỗi vùng phụ thuộc vào tỷ lệ điều tra và mức độ phức tạp về đặc điểm tài nguyên nước dưới đất của vùng
- Với mức độ điều tra tỷ lệ 1:200.000: khoảng cách giữa các điểm khảo sát gần nhất là 2.000m; ở mức độ phức tạp trung bình, trên 1cm2 bản đồ cần phải có 1 điểm khảo sát và phải có ít nhất một lộ trình cắt qua. Số tuyến lộ trình và điểm khảo sát trên 1km2 khảo sát điều tra thực địa nước dưới đất được xác định như sau:
Bảng 33. Số điểm khảo sát và kilomet lộ trình trên 1km2 khảo sát, điều tra tài nguyên nước dưới đất tỷ lệ 1:200.000
|
Tỷ lệ khảo sát, điều tra thực địa TNNDĐ |
Cấp phức tạp của đặc điểm tài nguyên nước dưới đất |
Chưa có bản đồ địa chất thủy văn cùng tỷ lệ |
Đã có bản đồ địa chất thủy văn cùng tỷ lệ |
||
|
Số điểm khảo sát |
Số km lộ trình |
Số điểm khảo sát |
Số km lộ trình |
||
|
1:200.000 |
I |
0,75 |
0,8 |
0,5 |
0,5 |
|
II |
1 |
1,2 |
0,75 |
0,8 |
|
|
III |
1,25 |
1,4 |
1,0 |
1,2 |
|
- Số điểm nghiên cứu nước dưới đất được quy định ít nhất 60% tổng số điểm khảo sát; tại các vùng không có điểm xuất lộ hoặc công trình khảo sát nước dưới đất, ít nhất 30% số điểm khảo sát phải được thay thế bằng các công trình khoan, khai đào;
- Ở những vùng đã có bản đồ địa chất thủy văn cùng tỷ lệ, công tác khảo sát, điều tra tài nguyên nước dưới đất được tiến hành độc lập; ở vùng chưa có bản đồ khảo sát địa chất thủy văn cùng tỷ lệ hoặc đã có nhưng đã được lập trước thời điểm khảo sát trên 20 năm, cần tiến hành khảo sát, điều tra địa chất thủy văn kết hợp với tài nguyên nước dưới đất; ở vùng điều tra tài nguyên nước dưới đất chỉ có một phần diện tích có bản đồ địa chất thủy văn cùng tỷ lệ được thành lập chưa quá 20 năm, công tác khảo sát, điều tra thực địa tài nguyên nước dưới đất được tiến hành độc lập tại phần diện tích đó, phần còn lại được khảo sát, điều tra địa chất thủy văn kết hợp. Nội dung, nhiệm vụ điều tra bổ sung bản đồ địa chất thủy văn thực hiện theo quyết định phê duyệt của cơ quan quản lý nhà nước có thẩm quyền;
- Công tác khảo sát, điều tra thực địa tài nguyên nước dưới đất phải được tiến hành vào thời kỳ mùa khô trong năm.
+ Hành trình điều tra theo tuyến cắt qua các phức hệ chứa nước, tầng chứa nước, các đứt gãy kiến tạo, vuông góc với những cấu trúc chứa nước trong vùng điều tra để quan sát, đo đạc, mô tả, chụp ảnh, sơ họa, khoanh vùng, thu thập thông tin, dữ liệu về đặc điểm, đặc trưng các phức hệ, tầng chứa nước, cách nước; các yếu tố ảnh hưởng đến nguồn nước dưới đất; tổng quan tình hình khai thác, sử dụng nước dưới đất và nhận biết các đối tượng, khu vực điều tra, đánh giá chuyên biệt;
+ Quan sát, mô tả, chụp ảnh, sơ họa, khoanh vùng, thu thập thông tin, dữ liệu về các đặc điểm, đặc trưng khái quát của các phức hệ chứa nước, tầng chứa nước, bao gồm: phạm vi miền cấp, miền thoát, hướng vận động của nước dưới đất, hiện trạng và diễn biến nguồn nước gồm: mực nước, thời gian xuất lộ, lưu lượng xuất lộ, màu sắc, mùi vị theo thời gian trong năm, mùa cạn, mùa lũ và nhiều năm; tình hình khô hạn, thiếu nước, tình hình lũ lụt, cạn kiệt, ô nhiễm nguồn nước và các thông tin, dữ liệu khác liên quan đến nguồn nước dưới đất;
+ Quan sát, đo đạc, mô tả, chụp ảnh, sơ họa, khoanh vùng, thu thập thông tin, dữ liệu về một số yếu tố, hoạt động ảnh hưởng đến nguồn nước dưới đất bao gồm: các công trình khai thác, sử dụng nước dưới đất cho các mục đích sử dụng nước; đặc trưng khái quát của lớp phủ thực vật, độ đốc địa hình, nguồn nước đang sử dụng chủ yếu trong vùng điều tra như sông, hồ, nước dưới đất, công trình cấp nước và các thông tin, số liệu có liên quan;
+ Xác định, khoanh vùng các đối tượng, khu vực điều tra, đánh giá chuyên biệt bao gồm: Các phức hệ, tầng chứa nước, cách nước chủ yếu; các vùng có nguy cơ gây ô nhiễm, xâm nhập mặn và các công trình ảnh hưởng đến chất lượng nước dưới đất;
c) Điều tra tại các vùng, khu vực, đối tượng chuyên biệt: điều tra chi tiết cần quan sát, đo đạc, mô tả, chụp ảnh, sơ họa, thu thập thông tin, dữ liệu của các loại điều tra, bao gồm:
- Đối với các phức hệ, tầng chứa nước, cách nước chủ yếu: phạm vi phân bố, vị trí hành chính và trên bản đồ, thành phần đất đá chủ yếu, đặc điểm địa hình, lớp phủ, lớp phong hóa, mức độ nứt nẻ, vị trí, tọa độ, ranh giới giữa các phức hệ, tầng chứa nước, đặc điểm lớp phủ, hướng vận động của nước dưới đất và một số yếu tố liên quan;
- Vùng có nguy cơ ô nhiễm, xâm nhập mặn (nghĩa trang, điểm khai thác khoáng sản, điểm ô nhiễm chất thải công nghiệp, chất thải của các làng nghề, các kho hóa chất, xăng dầu): các loại hình chủ yếu là nguyên nhân ô nhiễm, phạm vi phân bố, vị trí hành chính và trên bản đồ, các yếu tố ảnh hưởng đến nguy cơ ô nhiễm, xâm nhập và một số yếu tố liên quan;
- Vùng cấp thoát nước tự nhiên: phạm vi phân bố, thuộc phức hệ, tầng chứa nước, vị trí hành chính và trên bản đồ, đặc điểm địa hình, lớp phủ thực vật, lớp phong hóa, mức độ nứt nẻ, sơ bộ vị trí, tọa độ ranh giới vùng cấp, thoát chủ yếu, nơi thoát nước tự nhiên chủ yếu, đặc điểm lớp phủ và một số yếu tố liên quan;
- Giếng khoan, giếng đào khai thác nước dưới đất: tọa độ, vị trí hành chính, xác định vị trí trên bản đồ, sơ bộ chất lượng nước về màu, mùi vị, pH, độ dẫn điện, độ mặn, DO, nhiệt độ; thành phần, mức độ nứt nẻ của đất đá, đặc điểm địa hình, địa mạo, chiều dày và đặc điểm của lớp vỏ phong hóa, lớp phủ thực vật; chiều sâu, đường kính giếng khoan, mực nước tĩnh, địa tầng khai thác nước, lưu lượng hoặc chế độ khai thác, lượng nước khai thác trong ngày, mực nước động hoặc vị trí đặt máy bơm khai thác, ống hút nước, biên độ dao động mực nước, mục đích sử dụng, thời gian khai thác nước và các thông tin khác có liên quan;
- Nguồn lộ: tọa độ, vị trí hành chính, xác định vị trí trên bản đồ, vị trí xuất lộ so với địa hình xung quanh, xác định vị trí trên nền bản đồ, sơ bộ chất lượng nước về màu, mùi, vị, pH, độ dẫn điện, độ mặn, DO, nhiệt độ; thành phần, mức độ nứt nẻ của đất đá, đặc điểm địa hình, địa mạo, chiều dày và đặc điểm của lớp phong hóa, lớp phủ thực vật, đặc điểm xuất lộ, lưu lượng nguồn lộ, hiện trạng sử dụng và các thông tin khác có liên quan;
- Đối với hang động Karst: tọa độ, vị trí hành chính, xác định vị trí trên bản đồ, sơ bộ chất lượng nước về màu, mùi, vị, pH, độ dẫn điện, độ mặn, DO, nhiệt độ, thành phần, mức độ nứt nẻ của đất đá, đặc điểm địa hình, địa mạo, chiều dày và đặc điểm của lớp phong hóa, lớp phủ thực vật, độ cao tương đối của hang so với địa hình xung quanh, tình trạng hiện tại về kích thước hang, mối liên hệ của hang với nước dưới đất và các thông tin khác có liên quan;
d) Lấy và bảo quản mẫu nước phân tích trong phòng thí nghiệm;
đ) Chỉnh lý số liệu điều tra thực địa, bảo dưỡng thiết bị, máy móc hàng ngày bao gồm: kiểm tra, chỉnh lý tài liệu, sổ nhật ký điều tra, bảo dưỡng máy móc thiết bị; sơ bộ nhận định khối lượng, các thông tin đã điều tra để điều chỉnh kế hoạch phương án lộ trình cho ngày hôm sau;
e) Phục vụ trong quá trình kiểm tra nghiệm thu sản phẩm.
1.3. Tổng hợp, chỉnh lý, hoàn thiện kết quả điều tra thực địa và giao nộp sản phẩm
a) Chỉnh lý, hoàn thiện các thông tin, dữ liệu điều tra thực địa: Phiếu điều tra, sổ nhật ký, bản đồ và các tài liệu khác;
b) Nhập kết quả, thông tin, dữ liệu điều tra thực địa vào máy tính;
c) Xử lý, chỉnh lý tổng hợp các tài liệu, số liệu, kết quả điều tra;
d) Xây dựng báo cáo kết quả điều tra thực địa, sơ đồ, biểu bảng, tổng hợp kết quả điều tra thực địa;
đ) Xác định chính xác, cụ thể tọa độ các vị trí cần tiến hành khoan điều tra, khảo sát tài nguyên nước dưới đất, bơm nước thí nghiệm, múc nước thí nghiệm, đổ nước thí nghiệm, lấy mẫu nước, đo địa vật lý, trắc địa, vị trí quan trắc nước dưới đất,… để tiến hành các công tác khảo sát, đo đạc đã được bố trí cùng với nhiệm vụ điều tra, đánh giá;
e) Hoàn chỉnh hồ sơ, tài liệu kết quả điều tra thực địa và bàn giao sản phẩm
- Báo cáo kết quả điều tra thực địa
Sơ đồ tài liệu thực tế các tuyến và vị trí các điểm điều tra trên nền bản đồ 1:200.000; tất cả các đường hành trình cũng như các điểm nghiên cứu, khảo sát trên các hành trình đều phải được thể hiện đầy đủ lên bản đồ địa hình quốc gia có cùng tỷ lệ hoặc lớn hơn một cấp;
Việc đối chiếu, kiểm tra kết quả giải đoán và phân tích tư liệu viễn thám (nếu có) với các yếu tố địa chất, địa chất thủy văn và tài nguyên nước dưới đất ở thực địa trên các hành trình phải được thực hiện, đồng thời phải kiểm tra mức độ chính xác của bản đồ địa chất thủy văn, bản đồ thực địa có cùng tỷ lệ điều tra tài nguyên nước dưới đất với kết quả khảo sát;
- Các bảng tổng hợp, thống kê kết quả điều tra tổng hợp và điều tra chi tiết, thống kê công trình khai thác, sử dụng nước chủ yếu theo cấu trúc chứa nước, vùng điều tra và đơn vị hành chính;
- Bảng thống kê danh mục các khu vực đã điều tra;
- Phiếu điều tra, sổ nhật ký điều tra thực địa và các tài liệu điều tra thực địa khác
Sổ nhật ký khảo sát, điều tra thực địa tài nguyên nước phải được hướng dẫn theo mẫu quy định, thống nhất về kích thước, hình thức và nội dung. Sổ phải được đánh số trang và ghi đầy đủ tên, địa chỉ đơn vị khảo sát, điều tra thực địa, tên nhóm và người khảo sát, điều tra, vùng điều tra, thời gian điều tra, giới hạn số hiệu các điểm khảo sát có trong sổ. Chữ viết ghi chép trong sổ nhật ký và bản đồ thực địa phải đảm bảo không bị nhòe khi gặp nước; toàn bộ các mô tả chỉ viết ở trang bên phải, các nội dung minh họa phải được thể hiện ở trang bên trái; chữ viết không được tẩy xóa, khi viết nhầm có thể gạch đi và viết lại;
Nội dung, hình thức ghi chép, mô tả trong sổ nhật ký và trên bản đồ thực địa phải tuân theo quy định hiện hành về việc thành lập tài liệu nguyên thủy khảo sát, điều tra thực địa;
g) Phục vụ trong quá trình kiểm tra nghiệm thu sản phẩm.
2. Công tác nội nghiệp
2.1. Thu thập, rà soát thông tin, dữ liệu và chuẩn bị triển khai công tác điều tra, đánh giá tài nguyên nước dưới đất
a) Nghiên cứu đề cương, hồ sơ dự án đã được phê duyệt;
b) Thu thập các thông tin, dữ liệu liên quan đến vùng điều tra. Các thông tin, dữ liệu lập dự án phải đảm bảo đầy đủ, chính xác, trung thực, được thu thập theo quy định về thu thập, quản lý, khai thác và sử dụng dữ liệu tài nguyên và môi trường. Trong trường hợp thông tin, dữ liệu chưa đầy đủ cần phải thực hiện một số khối lượng khảo sát, điều tra bổ sung;
c) Rà soát, thống kê, đánh giá mức độ đầy đủ, tin cậy của các thông tin, dữ liệu đã thu thập;
d) Thông tin, dữ liệu thu thập phải được lập danh mục trích xuất các thông tin, dữ liệu chuyên môn, phân loại thông tin, dữ liệu chuyên môn, phân loại thông tin và lập bảng danh mục dữ liệu về Địa chất (số lượng, đặc điểm các phân vị địa chất); địa chất thủy văn (tầng, phức hệ chứa nước, cách nước, thông số địa chất thủy văn, tọa độ, mực nước, lưu lượng, kết quả phân tích mẫu nước tại các điểm quan trắc, thí nghiệm,…), địa vật lý (bản đồ, sơ đồ vị trí, tọa độ phân bố các khu dân cư, công nghiệp, làng nghề,…) và các dữ liệu liên quan khác. Xử lý, kiểm tra các tư liệu liên quan để dự kiến khả năng phân chia các tầng chứa nước, dựa trên đặc điểm địa chất; phân tích đặc điểm các tầng chứa nước, không chứa nước, động thái, quan hệ thủy lực, thông số địa chất thủy văn, chất lượng nước, tình hình nhiễm bẩn, nhiễm mặn, phèn hóa, trữ lượng nước đã được đánh giá, đảm bảo sơ bộ nhận định về điều kiện tự nhiên, ảnh hưởng đến tài nguyên nước để định hướng điều tra cho phù hợp;
đ) Thu thập, phân tích các tư liệu viễn thám
- Thu thập các tư liệu viễn thám có trong vùng điều tra, đánh giá tài nguyên nước dưới đất;
- Hiệu chỉnh ảnh, đăng ký tọa độ ảnh, khử nhiễu, tăng độ hiển thị;
- Sử dụng các thiết bị quang học, các phần mềm chuyên dụng để giải đoán các thông tin cần thiết từ nguồn tư liệu viễn thám đã thu thập được; việc giải đoán có thể được thực hiện ở các cấp độ như giải đoán sơ bộ phục vụ giai đoạn chuẩn bị và lập dự án điều tra đánh giá tài nguyên nước tỷ lệ 1:200.000.
e) Xác định các thông tin, dữ liệu còn thiếu cần thu thập bổ sung;
g) Giao nhiệm vụ điều tra, đánh giá cho các nhóm thực hiện;
h) Phục vụ trong quá trình kiểm tra nghiệm thu sản phẩm.
2.2. Tổng hợp, chỉnh lý, xử lý thông tin, dữ liệu thu thập và kết quả điều tra thực địa theo các nội dung đánh giá
a) Rà soát, phân loại các thông tin, dữ liệu thu thập và điều tra thực địa phục vụ cho việc đánh giá hiện trạng tài nguyên nước dưới đất;
b) Đánh giá độ tin cậy của các thông tin, dữ liệu đã thu thập, điều tra và lựa chọn, lập danh mục các thông tin, dữ liệu phục vụ cho việc đánh giá theo nội dung yêu cầu;
c) Nhập số liệu vào máy tính, kiểm tra, đồng bộ hóa thông tin, dữ liệu;
d) Xử lý, tổng hợp thông tin, dữ liệu và xây dựng các biểu, bảng, đồ thị, gồm:
- Lập danh mục các phức hệ, tầng chứa nước, các thể địa chất nghèo nước hoặc cách nước;
- Lập danh mục vùng có nguy cơ ô nhiễm, xâm nhập mặn;
- Lập danh mục vùng cấp, miền thoát nước tự nhiên;
- Lập danh mục giếng khoan, giếng đào khai thác nước dưới đất;
- Lập danh mục nguồn lộ;
- Lập danh mục hang động Karst.
đ) Lập các sơ đồ điều tra, đánh giá tài nguyên nước dưới đất, gồm:
- Sơ đồ phân bố các cấu trúc chứa nước, phức hệ, tầng chứa nước chủ yếu;
- Sơ đồ phân bố các khu vực cung cấp, thoát nước tự nhiên;
- Sơ đồ phân bố các khu vực có nguy cơ ô nhiễm, xâm nhập mặn nước dưới đất;
- Sơ đồ phân bố các công trình khai thác nước dưới đất, điểm lộ nước, hang động Karst;
- Sơ đồ diện phân bố và chiều dày của lớp vỏ phong hóa;
- Sơ đồ diện phân bố lớp phủ thực vật.
e) Phục vụ trong quá trình kiểm tra nghiệm thu sản phẩm.
2.3. Phân tích đánh giá hiện trạng, diễn biến tài nguyên nước dưới đất
a) Phân tích, đánh giá khái quát đặc điểm, đặc trưng chủ yếu của các cấu trúc chứa nước, thành tạo đất đá chứa nước, phức hệ chứa nước lớn và của các thành tạo địa chất chứa nước yếu hoặc cách nước thuộc phạm vi điều tra, đánh giá, gồm:
- Diện tích phân bố, thành phần đất đá chủ yếu, chiều sâu thế nằm, chiều sâu phân bố trên mặt cắt, nguồn gốc đất đá; diện tích chủ yếu tại một số đơn vị hành chính;
- Đặc tính nứt nẻ; sơ bộ khả năng chứa nước;
- Đặc tính thủy lực chủ yếu, gồm: chiều sâu mực nước tĩnh, độ cao cột áp lực, động thái nước dưới đất tại các điểm lộ, lỗ khoan, giếng khoan đặc trưng, hướng vận động chủ yếu của nước dưới đất;
- Đặc điểm vùng cấp, thoát nước tự nhiên: phạm vi phân bố, vị trí hành chính, các ảnh hưởng đến sự cấp, thoát của nguồn nước dưới đất;
- Đặc điểm các yếu tố chủ yếu ảnh hưởng đến đặc điểm thủy lực: lớp phủ thực vật, lớp phong hóa, đới thông khí và một số yếu tố khác liên quan;
- Đặc điểm các yếu tố ảnh hưởng đến số lượng, chất lượng nguồn nước: các công trình, loại hình chủ yếu có ảnh hưởng đến số lượng, chất lượng nguồn nước, phạm vi phân bố, vị trí hành chính và trên bản đồ;
- Tổng hợp theo bảng các thông số đặc trưng của cấu trúc chứa nước, thành tạo đất đá chứa nước, phức hệ chứa nước lớn và các thành tạo đất đá chứa nước yếu hoặc cách nước với các thông tin chính sau: phạm vi phân bố, vị trí hành chính và trên bản đồ, đặc điểm địa hình, lớp phủ thực vật, lớp phong hóa, mức độ nứt nẻ, vị trí, tọa độ ranh giới giữa các phức hệ, đặc điểm lớp phủ thực vật, hướng vận động của nước dưới đất và một số yếu tố liên quan.
b) Phân tích, đánh giá và phân vùng mức độ chứa nước của các cấu trúc chứa nước, thành tạo đất đá chứa nước lớn và các thành tạo đất đá chứa nước yếu hoặc cách nước thuộc phạm vi điều tra, đánh giá, gồm:
- Phân vùng miền cấp, miền thoát;
- Phân vùng đẳng chiều sâu mực nước, độ cao cột áp lực;
- Phân vùng đẳng bề dày, đẳng đặc tính thấm của lớp đất đá đới thông khí;
- Phân vùng đẳng tính thấm của các cấu trúc chứa nước lớn, phức hệ chứa nước chủ yếu;
- Phân vùng phân bố chủ yếu của lớp phủ thực vật.
c) Phân tích, đánh giá khái quát những đặc trưng cơ bản của trữ lượng động, trữ lượng tĩnh nước dưới đất theo cấu trúc chứa nước, vùng điều tra và đơn vị hành chính, gồm:
- Tổng trữ lượng, trữ lượng động, trữ lượng tĩnh của nước dưới đất;
- Diễn biến trữ lượng theo không gian, thời gian;
- Đặc điểm các công trình, yếu tố chủ yếu ảnh hưởng đến trữ lượng nước dưới đất;
- Khái quát khả năng khai thác của nguồn nước dưới đất tại các công trình khai thác được điều tra: các giếng khoan, giếng đào, các nguồn lộ, hang động karst, khoanh vùng có triển vọng khai thác, sơ bộ trữ lượng có thể khai thác;
d) Phân tích, đánh giá và phân vùng đẳng mô đun dòng ngầm, lượng cung cấp thấm trung bình năm, mùa kiệt, ba tháng kiệt và tháng kiệt nhất cho vùng điều tra;
đ) Phân tích, đánh giá chất lượng và phân vùng chất lượng NDĐ, gồm:
- Đánh giá khái quát chất lượng nước theo các mục đích sử dụng khác nhau;
- Đánh giá khái quát tính chất vật lý, hàm lượng các thành phần hoá học cơ bản, độ tổng khoáng hóa; loại hình hóa học chủ yếu của nước dưới đất; sự biến đổi của chất lượng nước NDĐ qua các thời kỳ;
- Đặc điểm vùng có nguy cơ ô nhiễm, xâm nhập mặn, công trình chính ảnh hưởng đến chất lượng NDĐ: các loại hình chủ yếu là nguyên nhân ô nhiễm, phạm vi phân bố, vị trí hành chính và trên bản đồ; các yếu tố ảnh hưởng đến nguy cơ ô nhiễm, xâm nhập mặn như: Đặc điểm địa hình, lớp phủ thực vật, lớp phong hóa, các công trình chính ảnh hưởng đến chất lượng nước và một số yếu tố liên quan;
- Khoanh vùng chất lượng NDĐ đáp ứng cho mục đích sử dụng khác nhau.
e) Khái quát khả năng khai thác, sử dụng nguồn nước dưới đất phục vụ cấp nước sinh hoạt ở các vùng nông thôn, cấp nước cho các đô thị, các khu vực trọng điểm phát triển KTXH; đánh giá khả năng khai thác, sử dụng nước dưới đất cho từng ngành, từng lĩnh vực theo đơn vị hành chính;
g) Phục vụ trong quá trình kiểm tra nghiệm thu sản phẩm.
2.4. Chuẩn bị nội dung thông tin và biên tập các loại bản đồ
a) Chuẩn bị nội dung thông tin cho các bản đồ, gồm:
- Bản đồ tài liệu thực tế điều tra, đánh giá tài nguyên nước dưới đất tỷ lệ 1:200.000;
- Bản đồ tài nguyên nước dưới đất tỷ lệ 1:200.000;
- Bản đồ chất lượng tài nguyên nước dưới đất tỷ lệ 1:200.000;
- Bản đồ mô đun dòng ngầm tỷ lệ 1:200.000.
b) Biên tập các bản đồ
Biên tập bản đồ sử dụng nền bản đồ địa hình hệ tọa độ VN2000.
- Bản đồ tài liệu thực tế tài nguyên nước dưới đất gồm các thông tin: phân bố các cấu trúc chứa nước, phức hệ, tầng chứa, cách nước, hệ thống sông hồ trên bình diện, hiện trạng sử dụng đất, thảm phủ thực vật trên lưu vực, mực nước, độ sâu mực nước, mực nước hạ thấp, lưu lượng, độ tổng khoáng hóa tại các điểm điều tra, phân bố các điểm nước nóng, nước khoáng, các vùng có chất lượng nước khác nhau và trữ lượng có thể khai thác, các điểm lấy mẫu, phân tích chất lượng nước tại thực địa, các vị trí điều tra thực địa, các vùng cấp, thoát nước dưới đất, hướng vận động chủ yếu của nước dưới đất, vùng có nguy cơ ô nhiễm, các tuyến điều tra, đánh giá và các thông tin khác có liên quan trong điều tra, đánh giá thực địa;
- Bản đồ chất lượng nước dưới đất gồm các thông tin về: lớp thông tin thành phần hóa học của nước tại các vị trí có kết quả phân tích thành phần các nguyên tố vi lượng, thành phần các chất ô nhiễm nhóm hữu cơ, lớp thông tin kết quả mẫu phân tích vi sinh tại từng điểm lấy mẫu, vùng ô nhiễm, xâm nhập mặn, lớp thông tin về chất lượng nước cho các mục tiêu sử dụng và thông tin khác;
- Bản đồ tài nguyên nước dưới đất, gồm các thông tin về: phân bố các cấu trúc chứa nước, phức hệ, tầng chứa, cách nước, hệ thống sông hồ trên bình diện, mực nước, độ sâu mực nước, mực nước hạ thấp, lưu lượng, độ tổng khoáng hóa tại các điểm điều tra và một số thông tin khác, vùng, tầng có triển vọng khai thác, trữ lượng có thể khai thác nước dưới đất, các lớp thông tin về phân bố các cấu trúc chứa nước, phức hệ, tầng chứa, cách nước, đặc trưng nguồn nước, khả năng khai thác và các thông tin khác liên quan đến tài nguyên nước dưới đất, phân bố các điểm nước nóng, nước khoáng, các vùng có chất lượng nước khác nhau và trữ lượng có thể khai thác;
- Bản đồ mô đun dòng ngầm gồm các thông tin: vùng đẳng mô đun dòng ngầm, giá trị mô đun dòng ngầm, các điểm giá trị mô đun dòng ngầm và các thông tin khác.
c) Phục vụ trong quá trình kiểm tra nghiệm thu sản phẩm.
2.5. Tổng hợp, xây dựng hồ sơ sản phẩm kết quả điều tra, đánh giá
a) Báo cáo kết quả điều tra thực địa;
b) Báo cáo tổng hợp kết quả điều tra, đánh giá tài nguyên nước dưới đất;
c) Báo cáo tóm tắt;
d) Các báo cáo chuyên đề:
- Đặc điểm tài nguyên nước dưới đất;
- Hiện trạng và diễn biến tài nguyên nước dưới đất;
- Đặc điểm chất lượng tài nguyên nước dưới đất.
đ) Các bản đồ
- Bản đồ tài liệu thực tế điều tra, đánh giá tài nguyên nước dưới đất tỷ lệ 1:200.000;
- Bản đồ tài nguyên nước dưới đất tỷ lệ 1:200.000;
- Bản đồ chất lượng nước dưới đất tỷ lệ 1:200.000;
- Bản đồ mô đun dòng ngầm tỷ lệ 1:200.000;
- Các bản vẽ, mặt cắt khác.
e) Phụ lục: các bảng tổng hợp, thống kê kết quả điều tra tổng hợp, chi tiết theo phức hệ, tầng, cấu trúc chứa nước và theo đơn vị hành chính; bảng thống kê danh mục các điểm đã điều tra chi tiết và thông tin khác.
g) Phục vụ trong quá trình kiểm tra nghiệm thu sản phẩm.
1. Các công việc chưa tính trong định mức
1.1. Các công việc khảo sát đo đạc: khoan, bơm, múc nước, đổ nước thí nghiệm, đo địa vật lý, đo trắc địa và quan trắc năm thủy văn;
1.2. Thu thập, phân tích ảnh viễn thám;
1.3. Lập mô hình dòng chảy nước dưới đất;
1.4. Phân tích các chỉ tiêu chất lượng nước trong phòng thí nghiệm;
1.5. Vận chuyển mẫu vi trùng mẫu môi trường từ nơi lấy đến cơ sở phân tích;
1.6. Vận chuyển nhân công, vật liệu, dụng cụ và máy móc, thiết bị từ trụ sở đến vùng điều tra và ngược lại;
1.7. Vận chuyển mẫu phân tích chất lượng nước từ vùng điều tra đến cơ sở phân tích;
1.8. In, nhân sao, giao nộp sản phẩm.
2. Điều kiện áp dụng và các hệ số điều chỉnh
2.1. Điều kiện áp dụng
Định mức điều tra, đánh giá tài nguyên nước dưới đất tỷ lệ 1:200.000 được tính cho vùng chuẩn có điều kiện áp dụng được quy định tại mục 5.1 Phần I của Thông tư này.
2.2. Các hệ số điều chỉnh
Khi vùng điều tra, đánh giá khác với các quy định về điều kiện áp dụng nêu trên, thì áp dụng các hệ số điều chỉnh cho định mức lao động, định mức sử dụng vật liệu, dụng cụ và thiết bị được quy định và hướng dẫn áp dụng tại mục 5.2 Phần I của Thông tư này. Các hệ số điều chỉnh được áp dụng cho điều tra, đánh giá TNNM tỷ lệ 1:200.000, gồm:
- Hệ số điều chỉnh theo mức độ khó khăn: Kđh, Khc và Kct;
- Fdt là quy mô diện tích tự nhiên của vùng điều tra, đánh giá (km2);
- Kkh là hệ số điều chỉnh theo mức độ kết hợp của các điều tra đánh giá (áp dụng trong trường hợp thực hiện từ 2 công việc điều tra, đánh giá trở lên).
I.1.3. Định biên lao động
Bảng 34. Định biên lao động công tác ĐTĐGTNNDĐ tỷ lệ 1:200.000
|
TT |
Nội dung công việc |
Định biên lao động |
||||||
|---|---|---|---|---|---|---|---|---|
|
ĐTVC1 |
ĐTV6 |
ĐTV5 |
ĐTV4 |
ĐTV3 |
LX6 |
Nhóm |
||
|
A |
Công tác ngoại nghiệp |
|
|
|
|
|
|
|
|
1 |
Chuẩn bị |
- |
3 |
2 |
1 |
1 |
1 |
8 |
|
2 |
Tiến hành điều tra thực địa |
- |
3 |
2 |
1 |
1 |
1 |
8 |
|
3 |
Tổng hợp, chỉnh lý, hoàn thiện kết quả điều tra thực địa và giao nộp sản phẩm |
- |
3 |
2 |
1 |
1 |
1 |
8 |
|
B |
Công tác nội nghiệp |
|
|
|
|
|
|
|
|
1 |
Thu thập, rà soát thông tin, dữ liệu và triển khai công tác ĐTĐGTNNDĐ |
1 |
2 |
4 |
1 |
- |
- |
8 |
|
2 |
Tổng hợp, chỉnh lý, xử lý thông tin, dữ liệu thu thập và kết quả điều tra thực địa theo các nội dung đánh giá |
1 |
2 |
4 |
1 |
- |
- |
8 |
|
3 |
Phân tích, đánh giá hiện trạng, diễn biến tài nguyên nước dưới đất |
1 |
2 |
4 |
1 |
- |
- |
8 |
|
4 |
Chuẩn bị nội dung thông tin và biên tập các bản đồ |
1 |
2 |
4 |
1 |
- |
- |
8 |
|
5 |
Tổng hợp, xây dựng hồ sơ, sản phẩm kết quả điều tra, đánh giá |
1 |
2 |
4 |
1 |
- |
- |
8 |
I.1.4. Định mức lao động
Bảng 35. Định mức lao động trong công tác ĐTĐGTNNDĐ tỷ lệ 1:200.000
ĐVT: công nhóm/100km2
|
TT |
Nội dung công việc |
Định mức |
|---|---|---|
|
A |
Công tác ngoại nghiệp |
4,3 |
|
1 |
Chuẩn bị |
0,33 |
|
2 |
Tiến hành điều tra thực địa |
3,7 |
|
3 |
Tổng hợp, chỉnh lý, hoàn thiện kết quả điều tra thực địa và giao nộp sản phẩm |
0,27 |
|
B |
Công tác nội nghiệp |
2,35 |
|
1 |
Thu thập, rà soát thông tin, dữ liệu và triển khai công tác ĐTĐGTNNDĐ |
0,17 |
|
2 |
Tổng hợp, chỉnh lý, xử lý thông tin, dữ liệu thu thập và kết quả điều tra thực địa theo các nội dung đánh giá |
0,35 |
|
3 |
Phân tích, đánh giá hiện trạng, diễn biến tài nguyên nước dưới đất |
0,87 |
|
4 |
Chuẩn bị nội dung thông tin và biên tập các bản đồ |
0,2 |
|
5 |
Tổng hợp, xây dựng hồ sơ, sản phẩm kết quả điều tra, đánh giá |
0,76 |
I.2. Định mức thiết bị
Bảng 36. Định mức thiết bị trong công tác ĐTĐGTNNDĐ tỷ lệ 1:200.000
ĐVT: ca/100km2
|
TT |
Danh mục thiết bị |
ĐVT |
Thời hạn (tháng) |
Định mức |
|
|---|---|---|---|---|---|
|
Nội nghiệp |
Ngoại nghiệp |
||||
|
1 |
Điều hòa 2 chiều 12000 BTU - 2,2 Kw |
Bộ |
96 |
2,79 |
- |
|
2 |
Máy chiếu 0,5KW |
Cái |
60 |
1,11 |
- |
|
3 |
Máy đo chất lượng nước cầm tay (Sensor) |
Cái |
96 |
- |
6,13 |
|
4 |
Máy in màu A0 - 0,8KW |
Cái |
60 |
1,11 |
- |
|
5 |
Máy phát điện 5KW |
Cái |
96 |
- |
2,04 |
|
6 |
Máy Photocopy - 1KW |
Cái |
96 |
1,11 |
- |
|
7 |
Máy Scan A0 - 2KW |
Cái |
96 |
1,11 |
- |
|
8 |
Máy Scan A3 - 0,5KW |
Cái |
96 |
1,11 |
- |
|
9 |
Máy tính xách tay - 0,04KW |
Cái |
60 |
2,79 |
6,13 |
|
10 |
Máy GPS cầm tay |
Cái |
120 |
- |
7,91 |
|
11 |
Ô tô |
Cái |
180 |
- |
4,3 |
|
12 |
Dầu Diezel |
Lít |
|
- |
1,5 |
|
13 |
Xăng |
Lít |
|
- |
8 |
|
14 |
Điện năng |
KW |
|
50,33 |
2,06 |
I.3. Định mức dụng cụ
Bảng 37. Định mức dụng cụ trong công tác ĐTĐGTNNDĐ tỷ lệ 1:200.000
ĐVT: ca/100km2
|
TT |
Danh mục dụng cụ |
ĐVT |
Thời hạn (tháng) |
Định mức |
|
|---|---|---|---|---|---|
|
Nội nghiệp |
Ngoại nghiệp |
||||
|
1 |
Bình cứu hoả |
Bình |
24 |
11,12 |
- |
|
2 |
Ba lô |
Cái |
24 |
- |
70,81 |
|
3 |
Bàn làm việc |
Cái |
96 |
44,46 |
17,70 |
|
4 |
Bình đựng nước uống |
Bình |
36 |
- |
70,81 |
|
5 |
Bộ đo mực nước giếng khoan |
Bộ |
60 |
- |
17,70 |
|
6 |
Bộ dụng cụ đo mực nước di chuyển bằng điện |
Cái |
24 |
- |
17,70 |
|
7 |
Bộ lưu điện UPS |
Cái |
60 |
44,46 |
- |
|
8 |
Camera kỹ thuật số |
Cái |
60 |
3,71 |
17,70 |
|
9 |
Đèn xạc điện |
Cái |
24 |
- |
17,70 |
|
10 |
Êke |
Bộ |
36 |
11,12 |
5,90 |
|
11 |
Ghế văn phòng |
Cái |
96 |
44,46 |
17,70 |
|
12 |
Giầy BHLĐ |
Đôi |
6 |
- |
70,81 |
|
13 |
Máy Fax |
Cái |
60 |
11,12 |
- |
|
14 |
Máy in A4 - 0,5KW |
Cái |
60 |
11,12 |
- |
|
15 |
Máy in màu A3 0,5KW |
Cái |
60 |
3,71 |
- |
|
16 |
Máy Scan A4 0,02KW |
Cái |
96 |
11,12 |
5,90 |
|
17 |
Máy tính 0,6KW |
Cái |
60 |
44,46 |
- |
|
18 |
Máy tính bỏ túi |
Cái |
60 |
44,46 |
17,70 |
|
19 |
Mũ BHLĐ |
Cái |
12 |
- |
70,81 |
|
20 |
Ổ ghi CD 0,04 KW |
Cái |
60 |
44,46 |
- |
|
21 |
Ổn áp 10A |
Cái |
96 |
11,12 |
- |
|
22 |
Quần áo BHLĐ |
Bộ |
12 |
- |
70,81 |
|
23 |
Quần áo mưa |
Bộ |
12 |
- |
70,81 |
|
24 |
Ủng BHLĐ |
Đôi |
12 |
- |
70,81 |
|
25 |
Điện năng |
KW |
|
353,58 |
0,99 |
|
26 |
Dụng cụ khác |
% |
|
5,00 |
5,00 |
I.4. Định mức vật liệu
Bảng 38. Định mức vật liệu trong công tác ĐTĐGTNNDĐ tỷ lệ 1:200.000
ĐVT: mức sử dụng/100km2
|
TT |
Danh mục vật liệu |
ĐVT |
Định mức |
|
|---|---|---|---|---|
|
Nội nghiệp |
Ngoại nghiệp |
|||
|
1 |
Bản đồ địa hình |
Mảnh |
0,15 |
0,16 |
|
2 |
Bìa mầu A4 |
Gram |
0,28 |
0,14 |
|
3 |
Bút kim |
Cái |
0,70 |
0,36 |
|
4 |
Bút nhớ dòng (highlight) |
Cái |
0,70 |
0,36 |
|
5 |
Bút xoá |
Cái |
0,77 |
0,40 |
|
6 |
Giấy A4 |
Gram |
0,77 |
0,20 |
|
7 |
Mực in A0 |
Hộp |
0,01 |
- |
|
8 |
Mực in A3 |
Hộp |
0,01 |
- |
|
9 |
Mực in A3 màu |
Hộp |
0,01 |
- |
|
10 |
Mực in A4 |
Hộp |
0,05 |
- |
|
11 |
Mực in phun màu |
Hộp |
0,01 |
- |
|
12 |
Mực photocopy |
Hộp |
0,01 |
- |
|
13 |
Sổ ghi chép |
Quyển |
0,39 |
0,16 |
|
14 |
Vật liệu khác |
% |
8,00 |
8,00 |
Ghi chú: Định mức sử dụng vật liệu, dụng cụ và thiết bị nêu trên tính cho toàn bộ công tác nội nghiệp và ngoại nghiệp, mức cho từng bước được xác định theo bảng hệ số điều chỉnh sau:
Bảng 39. Hệ số điều chỉnh định mức sử dụng vật liệu, dụng cụ và thiết bị cho từng bước công việc của công tác điều tra, đánh giá tỷ lệ 1:200.000
|
TT |
Nội dung công việc |
Hệ số |
|---|---|---|
|
A |
Công tác ngoại nghiệp |
1 |
|
1 |
Chuẩn bị |
0,08 |
|
2 |
Tiến hành điều tra thực địa |
0,86 |
|
3 |
Tổng hợp, chỉnh lý, hoàn thiện kết quả điều tra thực địa và giao nộp sản phẩm |
0,06 |
|
B |
Công tác nội nghiệp |
1 |
|
1 |
Thu thập, rà soát thông tin, dữ liệu và triển khai công tác ĐTĐGTNNDĐ |
0,07 |
|
2 |
Tổng hợp, chỉnh lý, xử lý thông tin, dữ liệu thu thập và kết quả điều tra thực địa theo các nội dung đánh giá |
0,15 |
|
3 |
Phân tích, đánh giá hiện trạng, diễn biến tài nguyên nước dưới đất |
0,37 |
|
4 |
Chuẩn bị nội dung thông tin và biên tập các bản đồ |
0,09 |
|
5 |
Tổng hợp, xây dựng hồ sơ, sản phẩm kết quả điều tra, đánh giá |
0,32 |
II. Điều tra, đánh giá tài nguyên nước dưới đất tỷ lệ 1:100.000
II.1. Định mức lao động
II.1.1. Nội dung công việc
1. Công tác ngoại nghiệp
1.1. Chuẩn bị
a) Nhận nhiệm vụ điều tra thực địa;
b) Xác định nội dung, đối tượng, phạm vi điều tra thực địa: nghiên cứu nhiệm vụ điều tra thực địa và các tài liệu liên quan, xác định khối lượng công việc sẽ thực hiện, xác định ranh giới giữa các thành tạo địa chất chủ yếu, các đứt gãy có trong khu vực trên bản đồ, phạm vi phân bố trên bản đồ của các phức hệ chứa nước lớn, chứa nước yếu và cách nước có trong vùng điều tra;
c) Lập kế hoạch, phương án, lộ trình đi điều tra thực địa: xác định vị trí các tuyến đi lộ trình điều tra thực địa trên nền bản đồ địa hình 1:100.000, xây dựng phương án, kế hoạch cụ thể về thời gian thực hiện công tác điều tra thực địa;
d) Chuẩn bị biểu mẫu, vật liệu, dụng cụ và máy móc thiết bị phục vụ điều tra, kiểm chuẩn, kiểm định và thử nghiệm hoạt động của máy móc trước khi đi điều tra thực địa, chuẩn bị tài liệu, giấy tờ cần thiết và phiếu điều tra, các trang thiết bị, đồ bảo hộ lao động, đóng gói thiết bị, tài liệu, dụng cụ, vật tư để phục vụ cho công tác vận chuyển tới nơi tập kết tại hiện trường;
đ) Liên hệ địa phương và các công tác chuẩn bị khác;
e) Phục vụ trong quá trình kiểm tra nghiệm thu sản phẩm.
1.2. Tiến hành điều tra thực địa
a) Điều tra, thu thập, cập nhật thông tin, dữ liệu về đặc điểm, tình hình khai thác, sử dụng nguồn nước dưới đất tại các cơ quan ở địa phương nơi điều tra;
b) Điều tra theo lộ trình tổng hợp: số lượng tuyến lộ trình cũng như số điểm khảo sát, lấy mẫu trên một km2 xác định cho mỗi vùng phụ thuộc vào tỷ lệ điều tra và mức độ phức tạp về đặc điểm tài nguyên nước dưới đất của vùng
- Với mức độ điều tra tỷ lệ 1:100.000: khoảng cách giữa các điểm khảo sát gần nhất là 1.000m; ở mức độ phức tạp trung bình, trên 1cm2 bản đồ cần phải có 1 điểm khảo sát và phải có ít nhất một lộ trình cắt qua. Số tuyến lộ trình và điểm khảo sát trên 1km2 khảo sát điều tra thực địa nước dưới đất được xác định như sau:
Bảng 40. Số điểm khảo sát và kilomet lộ trình trên 1km2 khảo sát, điều tra tài nguyên nước dưới đất tỷ lệ 1:100.000
|
Tỷ lệ khảo sát, điều tra thực địa TNNDĐ |
Cấp phức tạp của đặc điểm tài nguyên nước dưới đất |
Chưa có bản đồ địa chất thủy văn cùng tỷ lệ |
Đã có bản đồ địa chất thủy văn cùng tỷ lệ |
||
|
Số điểm khảo sát |
Số km lộ trình |
Số điểm khảo sát |
Số km lộ trình |
||
|
1:100.000 |
I |
1,2 |
1,4 |
1,0 |
0,9 |
|
II |
1,5 |
1,5 |
1,2 |
1,2 |
|
|
III |
1,8 |
1,6 |
1,4 |
1,5 |
|
- Số điểm nghiên cứu nước dưới đất được quy định ít nhất 60% tổng số điểm khảo sát; tại các vùng không có điểm xuất lộ hoặc công trình khảo sát nước dưới đất, ít nhất 30% số điểm khảo sát phải được thay thế bằng các công trình khoan, khai đào;
- Ở những vùng đã có bản đồ địa chất thủy văn cùng tỷ lệ, công tác khảo sát, điều tra tài nguyên nước dưới đất được tiến hành độc lập; ở vùng chưa có bản đồ khảo sát địa chất thủy văn cùng tỷ lệ hoặc đã có nhưng đã được lập trước thời điểm khảo sát trên 20 năm, cần tiến hành khảo sát, điều tra địa chất thủy văn kết hợp với tài nguyên nước dưới đất; ở vùng điều tra tài nguyên nước dưới đất chỉ có một phần diện tích có bản đồ địa chất thủy văn cùng tỷ lệ được thành lập chưa quá 20 năm, công tác khảo sát, điều tra thực địa tài nguyên nước dưới đất được tiến hành độc lập tại phần diện tích đó, phần còn lại được khảo sát, điều tra địa chất thủy văn kết hợp. Nội dung, nhiệm vụ điều tra bổ sung bản đồ địa chất thủy văn thực hiện theo quyết định phê duyệt của cơ quan quản lý nhà nước có thẩm quyền;
- Công tác khảo sát, điều tra thực địa tài nguyên nước dưới đất phải được tiến hành vào thời kỳ mùa khô trong năm.
+ Hành trình điều tra theo tuyến cắt qua các phức hệ chứa nước, tầng chứa nước, các đứt gãy kiến tạo, vuông góc với những cấu trúc chứa nước trong vùng điều tra để quan sát, đo đạc, mô tả, chụp ảnh, sơ họa, khoanh vùng, thu thập thông tin, dữ liệu về đặc điểm, đặc trưng các phức hệ, tầng chứa nước, cách nước; các yếu tố ảnh hưởng đến nguồn nước dưới đất; tổng quan tình hình khai thác, sử dụng nước dưới đất và nhận biết các đối tượng, khu vực điều tra, đánh giá chuyên biệt;
+ Quan sát, mô tả, chụp ảnh, sơ họa, khoanh vùng, thu thập thông tin, dữ liệu về các đặc điểm, đặc trưng khái quát của các phức hệ chứa nước, tầng chứa nước, bao gồm: phạm vi miền cấp, miền thoát, hướng vận động của nước dưới đất, hiện trạng và diễn biến nguồn nước gồm: mực nước, thời gian xuất lộ, lưu lượng xuất lộ, màu sắc, mùi vị theo thời gian trong năm, mùa cạn, mùa lũ và nhiều năm; tình hình khô hạn, thiếu nước, tình hình lũ lụt, cạn kiệt, ô nhiễm nguồn nước và các thông tin, dữ liệu khác liên quan đến nguồn nước dưới đất;
+ Quan sát, đo đạc, mô tả, chụp ảnh, sơ họa, khoanh vùng, thu thập thông tin, dữ liệu về một số yếu tố, hoạt động ảnh hưởng đến nguồn nước dưới đất bao gồm: các công trình khai thác, sử dụng nước dưới đất cho các mục đích sử dụng nước; đặc trưng khái quát của lớp phủ thực vật, độ đốc địa hình, nguồn nước đang sử dụng chủ yếu trong vùng điều tra như sông, hồ, nước dưới đất, công trình cấp nước và các thông tin, số liệu có liên quan;
+ Xác định, khoanh vùng các đối tượng, khu vực điều tra, đánh giá chuyên biệt bao gồm: Các phức hệ, tầng chứa nước, cách nước chủ yếu; các vùng có nguy cơ gây ô nhiễm, xâm nhập mặn và các công trình ảnh hưởng đến chất lượng nước dưới đất;
c) Điều tra tại các vùng, khu vực, đối tượng chuyên biệt: điều tra chi tiết cần quan sát, đo đạc, mô tả, chụp ảnh, sơ họa, thu thập thông tin, dữ liệu của các loại điều tra, bao gồm:
- Đối với các phức hệ, tầng chứa nước, cách nước chủ yếu: phạm vi phân bố, vị trí hành chính và trên bản đồ, thành phần đất đá chủ yếu, đặc điểm địa hình, lớp phủ, lớp phong hóa, mức độ nứt nẻ, vị trí, tọa độ, ranh giới giữa các phức hệ, tầng chứa nước, đặc điểm lớp phủ, hướng vận động của nước dưới đất và một số yếu tố liên quan;
- Vùng có nguy cơ ô nhiễm, xâm nhập mặn (nghĩa trang, điểm khai thác khoáng sản, điểm ô nhiễm chất thải công nghiệp, chất thải của các làng nghề, các kho hóa chất, xăng dầu): các loại hình chủ yếu là nguyên nhân ô nhiễm, phạm vi phân bố, vị trí hành chính và trên bản đồ, các yếu tố ảnh hưởng đến nguy cơ ô nhiễm, xâm nhập và một số yếu tố liên quan;
- Vùng cấp thoát nước tự nhiên: phạm vi phân bố, thuộc phức hệ, tầng chứa nước, vị trí hành chính và trên bản đồ, đặc điểm địa hình, lớp phủ thực vật, lớp phong hóa, mức độ nứt nẻ, sơ bộ vị trí, tọa độ ranh giới vùng cấp, thoát chủ yếu, nơi thoát nước tự nhiên chủ yếu, đặc điểm lớp phủ và một số yếu tố liên quan;
- Giếng khoan, giếng đào khai thác nước dưới đất: tọa độ, vị trí hành chính, xác định vị trí trên bản đồ, sơ bộ chất lượng nước về màu, mùi vị, pH, độ dẫn điện, độ mặn, DO, nhiệt độ; thành phần, mức độ nứt nẻ của đất đá, đặc điểm địa hình, địa mạo, chiều dày và đặc điểm của lớp vỏ phong hóa, lớp phủ thực vật; chiều sâu, đường kính giếng khoan, mực nước tĩnh, địa tầng khai thác nước, lưu lượng hoặc chế độ khai thác, lượng nước khai thác trong ngày, mực nước động hoặc vị trí đặt máy bơm khai thác, ống hút nước, biên độ dao động mực nước, mục đích sử dụng, thời gian khai thác nước và các thông tin khác có liên quan;
- Nguồn lộ: tọa độ, vị trí hành chính, xác định vị trí trên bản đồ, vị trí xuất lộ so với địa hình xung quanh, xác định vị trí trên nền bản đồ, sơ bộ chất lượng nước về màu, mùi, vị, pH, độ dẫn điện, độ mặn, DO, nhiệt độ; thành phần, mức độ nứt nẻ của đất đá, đặc điểm địa hình, địa mạo, chiều dày và đặc điểm của lớp phong hóa, lớp phủ thực vật, đặc điểm xuất lộ, lưu lượng nguồn lộ, hiện trạng sử dụng và các thông tin khác có liên quan;
- Đối với hang động Karst: tọa độ, vị trí hành chính, xác định vị trí trên bản đồ, sơ bộ chất lượng nước về màu, mùi, vị, pH, độ dẫn điện, độ mặn, DO, nhiệt độ, thành phần, mức độ nứt nẻ của đất đá, đặc điểm địa hình, địa mạo, chiều dày và đặc điểm của lớp phong hóa, lớp phủ thực vật, độ cao tương đối của hang so với địa hình xung quanh, tình trạng hiện tại về kích thước hang, mối liên hệ của hang với nước dưới đất và các thông tin khác có liên quan;
đ) Lấy và bảo quản mẫu nước phân tích trong phòng thí nghiệm;
e) Chỉnh lý số liệu điều tra thực địa, bảo dưỡng thiết bị, máy móc hàng ngày bao gồm: kiểm tra, chỉnh lý tài liệu, sổ nhật ký điều tra, bảo dưỡng máy móc thiết bị; sơ bộ nhận định khối lượng, các thông tin đã điều tra để điều chỉnh kế hoạch phương án lộ trình cho ngày hôm sau;
g) Phục vụ trong quá trình kiểm tra nghiệm thu sản phẩm.
1.3. Tổng hợp, chỉnh lý, hoàn thiện kết quả điều tra thực địa và giao nộp sản phẩm
a) Chỉnh lý, hoàn thiện các thông tin, dữ liệu điều tra thực địa: Phiếu điều tra, sổ nhật ký, bản đồ và các tài liệu khác;
b) Nhập kết quả, thông tin, dữ liệu điều tra thực địa vào máy tính;
c) Xử lý, chỉnh lý tổng hợp các tài liệu, số liệu, kết quả điều tra;
d) Xây dựng báo cáo kết quả điều tra thực địa, sơ đồ, biểu bảng, tổng hợp kết quả điều tra thực địa;
đ) Xác định chính xác, cụ thể tọa độ các vị trí cần tiến hành khoan điều tra, khảo sát tài nguyên nước dưới đất, bơm nước thí nghiệm, múc nước thí nghiệm, đổ nước thí nghiệm, lấy mẫu nước, đo địa vật lý, trắc địa, vị trí quan trắc nước dưới đất,… để tiến hành các công tác khảo sát, đo đạc đã được bố trí cùng với nhiệm vụ điều tra, đánh giá;
e) Hoàn chỉnh hồ sơ, tài liệu kết quả điều tra thực địa và bàn giao sản phẩm
- Báo cáo kết quả điều tra thực địa
Sơ đồ tài liệu thực tế các tuyến và vị trí các điểm điều tra trên nền bản đồ 1:100.000; tất cả các đường hành trình cũng như các điểm nghiên cứu, khảo sát trên các hành trình đều phải được thể hiện đầy đủ lên bản đồ địa hình quốc gia có cùng tỷ lệ hoặc lớn hơn một cấp;
Việc đối chiếu, kiểm tra kết quả giải đoán và phân tích tư liệu viễn thám (nếu có) với các yếu tố địa chất, địa chất thủy văn và tài nguyên nước dưới đất ở thực địa trên các hành trình phải được thực hiện, đồng thời phải kiểm tra mức độ chính xác của bản đồ địa chất thủy văn, bản đồ thực địa có cùng tỷ lệ điều tra tài nguyên nước dưới đất với kết quả khảo sát;
- Các bảng tổng hợp, thống kê kết quả điều tra tổng hợp và điều tra chi tiết, thống kê công trình khai thác, sử dụng nước chủ yếu theo cấu trúc chứa nước, vùng điều tra và đơn vị hành chính;
- Bảng thống kê danh mục các khu vực đã điều tra;
- Phiếu điều tra, sổ nhật ký điều tra thực địa và các tài liệu điều tra thực địa khác
+ Sổ nhật ký khảo sát, điều tra thực địa tài nguyên nước phải được hướng dẫn theo mẫu quy định, thống nhất về kích thước, hình thức và nội dung. Sổ phải được đánh số trang và ghi đầy đủ tên, địa chỉ đơn vị khảo sát, điều tra thực địa, tên nhóm và người khảo sát, điều tra, vùng điều tra, thời gian điều tra, giới hạn số hiệu các điểm khảo sát có trong sổ. Chữ viết ghi chép trong sổ nhật ký và bản đồ thực địa phải đảm bảo không bị nhòe khi gặp nước; toàn bộ các mô tả chỉ viết ở trang bên phải, các nội dung minh họa phải được thể hiện ở trang bên trái; chữ viết không được tẩy xóa, khi viết nhầm có thể gạch đi và viết lại;
+ Nội dung, hình thức ghi chép, mô tả trong sổ nhật ký và trên bản đồ thực địa phải tuân theo quy định hiện hành về việc thành lập tài liệu nguyên thủy khảo sát, điều tra thực địa;
g) Phục vụ trong quá trình kiểm tra nghiệm thu sản phẩm.
2. Công tác nội nghiệp
2.1. Thu thập, rà soát thông tin, dữ liệu và chuẩn bị triển khai công tác điều tra, đánh giá tài nguyên nước dưới đất
a) Nghiên cứu đề cương, hồ sơ dự án đã được phê duyệt;
b) Thu thập các thông tin, dữ liệu liên quan đến vùng điều tra. Các thông tin, dữ liệu lập dự án phải đảm bảo đầy đủ, chính xác, trung thực, được thu thập theo quy định về thu thập, quản lý, khai thác và sử dụng dữ liệu tài nguyên và môi trường. Trong trường hợp thông tin, dữ liệu chưa đầy đủ cần phải thực hiện một số khối lượng khảo sát, điều tra bổ sung;
c) Rà soát, thống kê, đánh giá mức độ đầy đủ, tin cậy của các thông tin, dữ liệu đã thu thập;
d) Thông tin, dữ liệu thu thập phải được lập danh mục trích xuất các thông tin, dữ liệu chuyên môn, phân loại thông tin, dữ liệu chuyên môn, phân loại thông tin và lập bảng danh mục dữ liệu về địa chất (số lượng, đặc điểm các phân vị địa chất); địa chất thủy văn (tầng, phức hệ chứa nước, cách nước, thông số địa chất thủy văn, tọa độ, mực nước, lưu lượng, kết quả phân tích mẫu nước tại các điểm quan trắc, thí nghiệm,…), địa vật lý (bản đồ, sơ đồ vị trí, tọa độ phân bố các khu dân cư, công nghiệp, làng nghề,…) và các dữ liệu liên quan khác. Xử lý, kiểm tra các tư liệu liên quan để dự kiến khả năng phân chia các tầng chứa nước, dựa trên đặc điểm địa chất; phân tích đặc điểm các tầng chứa nước, không chứa nước, động thái, quan hệ thủy lực, thông số địa chất thủy văn, chất lượng nước, tình hình nhiễm bẩn, nhiễm mặn, phèn hóa, trữ lượng nước đã được đánh giá, đảm bảo sơ bộ nhận định về điều kiện tự nhiên, ảnh hưởng đến tài nguyên nước để định hướng điều tra cho phù hợp;
đ) Thu thập, phân tích các tư liệu viễn thám
- Thu thập các tư liệu viễn thám có trong vùng điều tra, đánh giá tài nguyên nước dưới đất;
- Hiệu chỉnh ảnh, đăng ký tọa độ ảnh, khử nhiễu, tăng độ hiển thị;
- Sử dụng các thiết bị quang học, các phần mềm chuyên dụng để giải đoán các thông tin cần thiết từ nguồn tư liệu viễn thám đã thu thập được; việc giải đoán có thể được thực hiện ở các cấp độ như giải đoán sơ bộ phục vụ giai đoạn chuẩn bị và lập dự án điều tra đánh giá tài nguyên nước tỷ lệ 1:100.000;
e) Xác định các thông tin, dữ liệu còn thiếu cần thu thập bổ sung;
g) Giao nhiệm vụ điều tra, đánh giá cho các nhóm thực hiện;
h) Phục vụ trong quá trình kiểm tra nghiệm thu sản phẩm.
2.2. Tổng hợp, chỉnh lý, xử lý thông tin, dữ liệu thu thập và kết quả điều tra thực địa theo các nội dung đánh giá
a) Rà soát, phân loại các thông tin, dữ liệu thu thập và điều tra thực địa phục vụ cho việc đánh giá hiện trạng tài nguyên nước dưới đất;
b) Đánh giá độ tin cậy của các thông tin, dữ liệu đã thu thập, điều tra và lựa chọn, lập danh mục các thông tin, dữ liệu phục vụ cho việc đánh giá theo nội dung yêu cầu;
c) Nhập số liệu vào máy tính, kiểm tra, đồng bộ hóa thông tin, dữ liệu;
d) Xử lý, tổng hợp thông tin, dữ liệu và xây dựng các biểu, bảng, đồ thị, gồm:
- Lập danh mục các phức hệ, tầng chứa nước, các thể địa chất nghèo nước hoặc cách nước;
- Lập danh mục vùng có nguy cơ ô nhiễm, xâm nhập mặn;
- Lập danh mục vùng cấp, miền thoát nước tự nhiên;
- Lập danh mục giếng khoan, giếng đào khai thác nước dưới đất;
- Lập danh mục nguồn lộ;
- Lập danh mục hang động Karst.
đ) Lập các sơ đồ điều tra, đánh giá tài nguyên nước dưới đất, gồm:
- Sơ đồ phân bố các cấu trúc chứa nước, phức hệ, tầng chứa nước chủ yếu;
- Sơ đồ phân bố các khu vực cung cấp, thoát nước tự nhiên;
- Sơ đồ phân bố các khu vực có nguy cơ ô nhiễm, xâm nhập mặn nước dưới đất;
- Sơ đồ phân bố các công trình khai thác nước dưới đất, điểm lộ nước, hang động Karst;
- Sơ đồ diện phân bố và chiều dày của lớp vỏ phong hóa;
- Sơ đồ diện phân bố lớp phủ thực vật.
e) Phục vụ trong quá trình kiểm tra nghiệm thu sản phẩm.
2.3. Phân tích đánh giá hiện trạng, diễn biến tài nguyên nước dưới đất
a) Phân tích, đánh giá khái quát đặc điểm, đặc trưng chủ yếu của các cấu trúc chứa nước, thành tạo đất đá chứa nước, phức hệ chứa nước lớn và của các thành tạo địa chất chứa nước yếu hoặc cách nước thuộc phạm vi điều tra, đánh giá, gồm:
- Diện tích phân bố, thành phần đất đá chủ yếu, chiều sâu thế nằm, chiều sâu phân bố trên mặt cắt, nguồn gốc đất đá; diện tích chủ yếu tại một số đơn vị hành chính;
- Đặc tính nứt nẻ; sơ bộ khả năng chứa nước;
- Đặc tính thủy lực chủ yếu, gồm: chiều sâu mực nước tĩnh, độ cao cột áp lực, động thái nước dưới đất tại các điểm lộ, lỗ khoan, giếng khoan đặc trưng, hướng vận động chủ yếu của nước dưới đất;
- Đặc điểm vùng cấp, thoát nước tự nhiên: phạm vi phân bố, vị trí hành chính, các ảnh hưởng đến sự cấp, thoát của nguồn nước dưới đất;
- Đặc điểm các yếu tố chủ yếu ảnh hưởng đến đặc điểm thủy lực: lớp phủ thực vật, lớp phong hóa, đới thông khí và một số yếu tố khác liên quan;
- Đặc điểm các yếu tố ảnh hưởng đến số lượng, chất lượng nguồn nước: các công trình, loại hình chủ yếu có ảnh hưởng đến số lượng, chất lượng nguồn nước, phạm vi phân bố, vị trí hành chính và trên bản đồ;
- Tổng hợp theo bảng các thông số đặc trưng của cấu trúc chứa nước, thành tạo đất đá chứa nước, phức hệ chứa nước lớn và các thành tạo đất đá chứa nước yếu hoặc cách nước với các thông tin chính sau: phạm vi phân bố, vị trí hành chính và trên bản đồ, đặc điểm địa hình, lớp phủ thực vật, lớp phong hóa, mức độ nứt nẻ, vị trí, tọa độ ranh giới giữa các phức hệ, đặc điểm lớp phủ thực vật, hướng vận động của nước dưới đất và một số yếu tố liên quan.
b) Phân tích, đánh giá và phân vùng mức độ chứa nước của các cấu trúc chứa nước, thành tạo đất đá chứa nước lớn và các thành tạo đất đá chứa nước yếu hoặc cách nước thuộc phạm vi điều tra, đánh giá, gồm:
- Phân vùng miền cấp, miền thoát;
- Phân vùng đẳng chiều sâu mực nước, độ cao cột áp lực;
- Phân vùng đẳng bề dày, đẳng đặc tính thấm của lớp đất đá đới thông khí;
- Phân vùng đẳng tính thấm của các cấu trúc chứa nước lớn, phức hệ chứa nước chủ yếu;
- Phân vùng phân bố chủ yếu của lớp phủ thực vật.
c) Phân tích, đánh giá khái quát những đặc trưng cơ bản của trữ lượng động, trữ lượng tĩnh nước dưới đất theo cấu trúc chứa nước, vùng điều tra và đơn vị hành chính, gồm:
- Tổng trữ lượng, trữ lượng động, trữ lượng tĩnh của nước dưới đất;
- Diễn biến trữ lượng theo không gian, thời gian;
- Đặc điểm các công trình, yếu tố chủ yếu ảnh hưởng đến trữ lượng nước dưới đất;
- Khái quát khả năng khai thác của nguồn nước dưới đất tại các công trình khai thác được điều tra: các giếng khoan, giếng đào, các nguồn lộ, hang động Karst, khoanh vùng có triển vọng khai thác, sơ bộ trữ lượng có thể khai thác;
d) Phân tích, đánh giá và phân vùng đẳng mô đun dòng ngầm, lượng cung cấp thấm trung bình năm, mùa kiệt, ba tháng kiệt và tháng kiệt nhất cho vùng điều tra;
đ) Phân tích, đánh giá chất lượng và phân vùng chất lượng NDĐ, gồm:
- Đánh giá khái quát chất lượng nước theo các mục đích sử dụng khác nhau;
- Đánh giá khái quát tính chất vật lý, hàm lượng các thành phần hoá học cơ bản, độ tổng khoáng hóa; loại hình hóa học chủ yếu của nước dưới đất; sự biến đổi của chất lượng nước NDĐ qua các thời kỳ;
- Đặc điểm vùng có nguy cơ ô nhiễm, xâm nhập mặn, công trình chính ảnh hưởng đến chất lượng NDĐ: các loại hình chủ yếu là nguyên nhân ô nhiễm, phạm vi phân bố, vị trí hành chính và trên bản đồ; các yếu tố ảnh hưởng đến nguy cơ ô nhiễm, xâm nhập mặn như: Đặc điểm địa hình, lớp phủ thực vật, lớp phong hóa, các công trình chính ảnh hưởng đến chất lượng nước và một số yếu tố liên quan;
- Khoanh vùng chất lượng NDĐ đáp ứng cho mục đích sử dụng khác nhau.
e) Khái quát khả năng khai thác, sử dụng nguồn nước dưới đất phục vụ cấp nước sinh hoạt ở các vùng nông thôn, cấp nước cho các đô thị, các khu vực trọng điểm phát triển KTXH; đánh giá khả năng khai thác, sử dụng nước dưới đất cho từng ngành, từng lĩnh vực theo đơn vị hành chính;
g) Phục vụ trong quá trình kiểm tra nghiệm thu sản phẩm.
2.4. Chuẩn bị nội dung thông tin và biên tập các loại bản đồ
a) Chuẩn bị nội dung thông tin cho các bản đồ, gồm:
- Bản đồ tài liệu thực tế điều tra, đánh giá tài nguyên nước dưới đất tỷ lệ 1:100.000;
- Bản đồ tài nguyên nước dưới đất tỷ lệ 1:100.000;
- Bản đồ chất lượng tài nguyên nước dưới đất tỷ lệ 1:100.000;
- Bản đồ mô đun dòng ngầm tỷ lệ 1:100.000.
b) Biên tập các bản đồ
Biên tập bản đồ sử dụng nền bản đồ địa hình hệ tọa độ VN2000.
- Bản đồ tài liệu thực tế tài nguyên nước dưới đất gồm các thông tin: phân bố các cấu trúc chứa nước, phức hệ, tầng chứa, cách nước, hệ thống sông hồ trên bình diện, hiện trạng sử dụng đất, thảm phủ thực vật trên lưu vực, mực nước, độ sâu mực nước, mực nước hạ thấp, lưu lượng, độ tổng khoáng hóa tại các điểm điều tra, phân bố các điểm nước nóng, nước khoáng, các vùng có chất lượng nước khác nhau và trữ lượng có thể khai thác, các điểm lấy mẫu, phân tích chất lượng nước tại thực địa, các vị trí điều tra thực địa, các vùng cấp, thoát nước dưới đất, hướng vận động chủ yếu của nước dưới đất, vùng có nguy cơ ô nhiễm, các tuyến điều tra, đánh giá và các thông tin khác có liên quan trong điều tra, đánh giá thực địa;
- Bản đồ chất lượng nước dưới đất gồm các thông tin về: lớp thông tin thành phần hóa học của nước tại các vị trí có kết quả phân tích thành phần các nguyên tố vi lượng, thành phần các chất ô nhiễm nhóm hữu cơ, lớp thông tin kết quả mẫu phân tích vi sinh tại từng điểm lấy mẫu, vùng ô nhiễm, xâm nhập mặn, lớp thông tin về chất lượng nước cho các mục tiêu sử dụng và thông tin khác;
- Bản đồ tài nguyên nước dưới đất, gồm các thông tin về: phân bố các cấu trúc chứa nước, phức hệ, tầng chứa, cách nước, hệ thống sông hồ trên bình diện, mực nước, độ sâu mực nước, mực nước hạ thấp, lưu lượng, độ tổng khoáng hóa tại các điểm điều tra và một số thông tin khác, vùng, tầng có triển vọng khai thác, trữ lượng có thể khai thác nước dưới đất, các lớp thông tin về phân bố các cấu trúc chứa nước, phức hệ, tầng chứa, cách nước, đặc trưng nguồn nước, khả năng khai thác và các thông tin khác liên quan đến tài nguyên nước dưới đất, phân bố các điểm nước nóng, nước khoáng, các vùng có chất lượng nước khác nhau và trữ lượng có thể khai thác;
- Bản đồ mô đun dòng ngầm gồm các thông tin: vùng đẳng mô đun dòng ngầm, giá trị mô đun dòng ngầm, các điểm giá trị mô đun dòng ngầm và các thông tin khác.
c) Phục vụ trong quá trình kiểm tra nghiệm thu sản phẩm.
2.5. Tổng hợp, xây dựng hồ sơ sản phẩm kết quả điều tra, đánh giá
a) Báo cáo kết quả điều tra thực địa;
b) Báo cáo tổng hợp kết quả điều tra, đánh giá tài nguyên nước dưới đất;
c) Báo cáo tóm tắt;
d) Các báo cáo chuyên đề
- Đặc điểm tài nguyên nước dưới đất;
- Hiện trạng và diễn biến tài nguyên nước dưới đất;
- Đặc điểm chất lượng tài nguyên nước dưới đất.
đ) Các bản đồ
- Bản đồ tài liệu thực tế điều tra, đánh giá tài nguyên nước dưới đất tỷ lệ 1:100.000;
- Bản đồ tài nguyên nước dưới đất tỷ lệ 1:100.000;
- Bản đồ chất lượng nước dưới đất tỷ lệ 1:100.000;
- Bản đồ mô đun dòng ngầm tỷ lệ 1:100.000;
- Các bản vẽ, mặt cắt khác.
e) Phụ lục: các bảng tổng hợp, thống kê kết quả điều tra tổng hợp, chi tiết theo phức hệ, tầng, cấu trúc chứa nước và theo đơn vị hành chính; bảng thống kê danh mục các điểm đã điều tra chi tiết và thông tin khác.
g) Phục vụ trong quá trình kiểm tra nghiệm thu sản phẩm.
1. Các công việc chưa tính trong định mức
1.1. Các công việc khảo sát đo đạc: khoan, bơm, múc nước, đổ nước thí nghiệm, đo địa vật lý, đo trắc địa và quan trắc năm thủy văn;
1.2. Thu thập, phân tích ảnh viễn thám;
1.3. Lập mô hình dòng chảy nước dưới đất;
1.4. Phân tích các chỉ tiêu chất lượng nước trong phòng thí nghiệm;
1.5. Vận chuyển mẫu vi trùng, mẫu môi trường từ nơi lấy đến cơ sở phân tích;
1.6. Vận chuyển nhân công, vật liệu, dụng cụ và máy móc, thiết bị từ trụ sở đơn vị đến vùng điều tra và ngược lại;
1.7. Vận chuyển mẫu phân tích chất lượng nước từ vùng điều tra đến cơ sở phân tích;
1.8. In, nhân sao, giao nộp sản phẩm.
2. Điều kiện áp dụng và các hệ số điều chỉnh
2.1. Điều kiện áp dụng
Định mức điều tra, đánh giá tài nguyên nước dưới đất tỷ lệ 1:100.000 được tính cho vùng chuẩn có điều kiện áp dụng được quy định tại mục 5.1 Phần I của Thông tư này.
2.2. Các hệ số điều chỉnh
Khi vùng điều tra, đánh giá khác với các quy định về điều kiện áp dụng nêu trên, thì áp dụng các hệ số điều chỉnh cho định mức lao động, định mức sử dụng vật liệu, dụng cụ và thiết bị được quy định và hướng dẫn áp dụng tại mục 5.2 Phần I của Thông tư này. Các hệ số điều chỉnh được áp dụng cho điều tra, đánh giá TNNDĐ tỷ lệ 1:100.000, gồm:
- Hệ số điều chỉnh theo mức độ khó khăn: Kđh, Khc và Kct;
- Fdt là quy mô diện tích tự nhiên của vùng điều tra, đánh giá (km2);
- Kkh là hệ số điều chỉnh theo mức độ kết hợp của các điều tra đánh giá (áp dụng trong trường hợp thực hiện từ 2 công việc điều tra, đánh giá trở lên).
II.1.3. Định biên lao động
Bảng 41. Định biên lao động công tác ĐTĐGTNNDĐ tỷ lệ 1:100.000
|
TT |
Nội dung công việc |
Định biên lao động |
||||||
|---|---|---|---|---|---|---|---|---|
|
ĐTVC1 |
ĐTV6 |
ĐTV5 |
ĐTV4 |
ĐTV3 |
LX6 |
Nhóm |
||
|
A |
Công tác ngoại nghiệp |
|
|
|
|
|
|
|
|
1 |
Chuẩn bị |
- |
3 |
2 |
1 |
1 |
1 |
8 |
|
2 |
Tiến hành điều tra thực địa |
- |
3 |
2 |
1 |
1 |
1 |
8 |
|
3 |
Tổng hợp, chỉnh lý, hoàn thiện kết quả điều tra thực địa và giao nộp sản phẩm |
- |
3 |
2 |
1 |
1 |
1 |
8 |
|
B |
Công tác nội nghiệp |
|
|
|
|
|
|
|
|
1 |
Thu thập, rà soát thông tin, dữ liệu và triển khai công tác ĐTĐGTNNDĐ |
1 |
2 |
4 |
1 |
- |
- |
8 |
|
2 |
Tổng hợp, chỉnh lý, xử lý thông tin, dữ liệu thu thập và kết quả điều tra thực địa theo các nội dung đánh giá |
1 |
2 |
4 |
1 |
- |
- |
8 |
|
3 |
Phân tích, đánh giá hiện trạng, diễn biến tài nguyên nước dưới đất |
1 |
2 |
4 |
1 |
- |
- |
8 |
|
4 |
Chuẩn bị nội dung thông tin và biên tập các bản đồ |
1 |
2 |
4 |
1 |
- |
- |
8 |
|
5 |
Tổng hợp, xây dựng hồ sơ, sản phẩm kết quả điều tra, đánh giá |
1 |
2 |
4 |
1 |
- |
- |
8 |
II.1.4. Định mức lao động
Bảng 42. Định mức lao động trong công tác ĐTĐGTNNDĐ tỷ lệ 1:100.000
ĐVT: công nhóm/100km2
|
TT |
Nội dung công việc |
Định mức |
|---|---|---|
|
A |
Công tác ngoại nghiệp |
7,18 |
|
1 |
Chuẩn bị |
0,55 |
|
2 |
Tiến hành điều tra thực địa |
6,17 |
|
3 |
Tổng hợp, chỉnh lý, hoàn thiện kết quả điều tra thực địa và giao nộp sản phẩm |
0,46 |
|
B |
Công tác nội nghiệp |
5,41 |
|
1 |
Thu thập, rà soát thông tin, dữ liệu và triển khai công tác ĐTĐGTNNDĐ |
0,4 |
|
2 |
Tổng hợp, chỉnh lý, xử lý thông tin, dữ liệu thu thập và kết quả điều tra thực địa theo các nội dung đánh giá |
0,85 |
|
3 |
Phân tích, đánh giá hiện trạng, diễn biến tài nguyên nước dưới đất |
1,97 |
|
4 |
Chuẩn bị nội dung thông tin và biên tập các bản đồ |
0,45 |
|
5 |
Tổng hợp, xây dựng hồ sơ, sản phẩm kết quả điều tra, đánh giá |
1,74 |
II.2. Định mức thiết bị
Bảng 43. Định mức thiết bị trong công tác ĐTĐGTNNDĐ tỷ lệ 1:100.000
ĐVT: ca/100km2
|
TT |
Danh mục thiết bị |
ĐVT |
Thời hạn (tháng) |
Định mức |
|
|---|---|---|---|---|---|
|
Nội nghiệp |
Ngoại nghiệp |
||||
|
1 |
Điều hòa 2 chiều 12000 BTU - 2,2 Kw |
Bộ |
96 |
6,41 |
- |
|
2 |
Máy chiếu 0,5KW |
Cái |
60 |
2,56 |
- |
|
3 |
Máy đo chất lượng nước cầm tay (Sensor) |
Cái |
96 |
- |
10,23 |
|
4 |
Máy in màu A0 - 0,8KW |
Cái |
60 |
2,56 |
- |
|
5 |
Máy phát điện 5KW |
Cái |
96 |
- |
3,41 |
|
6 |
Máy photocopy - 1KW |
Cái |
96 |
2,56 |
- |
|
7 |
Máy Scan A0 - 2KW |
Cái |
96 |
2,56 |
- |
|
8 |
Máy Scan A3 - 0,5KW |
Cái |
96 |
2,56 |
- |
|
9 |
Máy tính xách tay - 0,04KW |
Cái |
60 |
6,41 |
10,23 |
|
10 |
Máy GPS cầm tay |
Cái |
120 |
- |
13,21 |
|
11 |
Ô tô |
Cái |
180 |
- |
7,18 |
|
12 |
Dầu Diezel |
Lít |
|
- |
3,75 |
|
13 |
Xăng |
Lít |
|
- |
20 |
|
14 |
Điện năng |
KW |
|
178,37 |
3,44 |
II.3. Định mức dụng cụ
Bảng 44. Định mức dụng cụ trong công tác ĐTĐGTNNDĐ tỷ lệ 1:100.000
ĐVT: ca/100km2
|
TT |
Danh mục dụng cụ |
ĐVT |
Thời hạn (tháng) |
Định mức |
|
|---|---|---|---|---|---|
|
Nội nghiệp |
Ngoại nghiệp |
||||
|
1 |
Bình cứu hoả |
Bình |
24 |
25,59 |
- |
|
2 |
Ba lô |
Cái |
24 |
- |
118,23 |
|
3 |
Bàn làm việc |
Cái |
96 |
102,36 |
29,56 |
|
4 |
Bình đựng nước uống |
Bình |
36 |
- |
118,23 |
|
5 |
Bộ đo mực nước giếng khoan |
Bộ |
60 |
- |
29,56 |
|
6 |
Bộ dụng cụ đo mực nước di chuyển bằng điện |
Cái |
24 |
- |
29,56 |
|
7 |
Bộ lưu điện UPS |
Cái |
60 |
102,36 |
- |
|
8 |
Camera kỹ thuật số |
Cái |
60 |
8,53 |
29,56 |
|
9 |
Đèn xạc điện |
Cái |
24 |
- |
29,56 |
|
10 |
Êke |
Bộ |
36 |
25,59 |
9,86 |
|
11 |
Ghế văn phòng |
Cái |
96 |
102,36 |
29,56 |
|
12 |
Giầy BHLĐ |
Đôi |
6 |
- |
118,23 |
|
13 |
Máy Fax |
Cái |
60 |
25,59 |
- |
|
14 |
Máy in A4 - 0,5KW |
Cái |
60 |
25,59 |
- |
|
15 |
Máy in màu A3 0,5KW |
Cái |
60 |
8,53 |
- |
|
16 |
Máy Scan A4 0,02KW |
Cái |
96 |
25,59 |
9,86 |
|
17 |
Máy tính 0,6KW |
Cái |
60 |
102,36 |
- |
|
18 |
Máy tính bỏ túi |
Cái |
60 |
102,36 |
29,56 |
|
19 |
Mũ BHLĐ |
Cái |
12 |
- |
118,23 |
|
20 |
Ổ ghi CD 0,04 KW |
Cái |
60 |
102,36 |
- |
|
21 |
Ổn áp 10A |
Cái |
96 |
25,59 |
- |
|
22 |
Quần áo BHLĐ |
Bộ |
12 |
- |
118,23 |
|
23 |
Quần áo mưa |
Bộ |
12 |
- |
118,23 |
|
24 |
Ủng BHLĐ |
Đôi |
12 |
- |
118,23 |
|
25 |
Điện năng |
KW |
|
814 |
1,66 |
|
26 |
Dụng cụ khác |
% |
|
5,00 |
5,00 |
II.4. Định mức vật liệu
Bảng 45. Định mức vật liệu trong công tác ĐTĐGTNNDĐ tỷ lệ 1:100.000
ĐVT: mức sử dụng/100km2
|
TT |
Danh mục vật liệu |
ĐVT |
Định mức |
|
|---|---|---|---|---|
|
Nội nghiệp |
Ngoại nghiệp |
|||
|
1 |
Bản đồ địa hình |
Mảnh |
0,36 |
0,27 |
|
2 |
Bìa mầu A4 |
Gram |
0,64 |
0,24 |
|
3 |
Bút kim |
Cái |
1,60 |
0,60 |
|
4 |
Bút nhớ dòng (highlight) |
Cái |
1,60 |
0,60 |
|
5 |
Bút xoá |
Cái |
1,78 |
0,67 |
|
6 |
Giấy A4 |
Gram |
1,78 |
0,33 |
|
7 |
Mực in A0 |
Hộp |
0,02 |
- |
|
8 |
Mực in A3 |
Hộp |
0,02 |
- |
|
9 |
Mực in A3 màu |
Hộp |
0,02 |
- |
|
10 |
Mực in A4 |
Hộp |
0,11 |
- |
|
11 |
Mực in phun màu |
Hộp |
0,02 |
- |
|
12 |
Mực photocopy |
Hộp |
0,02 |
- |
|
13 |
Sổ ghi chép |
Quyển |
0,89 |
0,27 |
|
14 |
Vật liệu khác |
% |
8 |
8 |
Ghi chú: Định mức sử dụng vật liệu, dụng cụ và thiết bị nêu trên tính cho công tác nội nghiệp và ngoại nghiệp, mức cho từng bước được xác định theo bảng hệ số điều chỉnh sau:
Bảng 46. Hệ số điều chỉnh định mức sử dụng vật liệu, dụng cụ và thiết bị cho từng bước công việc của công tác điều tra, đánh giá tỷ lệ 1:100.000
|
TT |
Nội dung công việc |
Hệ số |
|---|---|---|
|
A |
Công tác ngoại nghiệp |
1 |
|
1 |
Chuẩn bị |
0,08 |
|
2 |
Tiến hành điều tra thực địa |
0,86 |
|
3 |
Tổng hợp, chỉnh lý, hoàn thiện kết quả điều tra thực địa và giao nộp sản phẩm |
0,06 |
|
B |
Công tác nội nghiệp |
1 |
|
1 |
Thu thập, rà soát thông tin, dữ liệu và triển khai công tác ĐTĐGTNNDĐ |
0,07 |
|
2 |
Tổng hợp, chỉnh lý, xử lý thông tin, dữ liệu thu thập và kết quả điều tra thực địa theo các nội dung đánh giá |
0,15 |
|
3 |
Phân tích, đánh giá hiện trạng, diễn biến tài nguyên nước dưới đất |
0,37 |
|
4 |
Chuẩn bị nội dung thông tin và biên tập các bản đồ |
0,09 |
|
5 |
Tổng hợp, xây dựng hồ sơ, sản phẩm kết quả điều tra, đánh giá |
0,32 |
III. Điều tra, đánh giá tài nguyên nước dưới đất tỷ lệ 1:50.000
III.1. Định mức lao động
III.1.1. Nội dung công việc
1. Công tác ngoại nghiệp
1.1. Chuẩn bị
a) Nhận nhiệm vụ điều tra thực địa;
b) Xác định nội dung, đối tượng, phạm vi điều tra thực địa: nghiên cứu nhiệm vụ điều tra thực địa và các tài liệu liên quan, xác định khối lượng công việc sẽ thực hiện, xác định ranh giới giữa các thành tạo địa chất chủ yếu, các đứt gãy có trong khu vực trên bản đồ, phạm vi phân bố trên bản đồ của các phức hệ chứa nước lớn, chứa nước yếu và cách nước có trong vùng điều tra;
c) Lập kế hoạch, phương án, lộ trình đi điều tra thực địa: xác định vị trí các tuyến đi lộ trình điều tra thực địa trên nền bản đồ địa hình 1:50.000, xây dựng phương án, kế hoạch cụ thể về thời gian thực hiện công tác điều tra thực địa;
d) Chuẩn bị biểu mẫu, vật liệu, dụng cụ và máy móc thiết bị phục vụ điều tra, kiểm chuẩn, kiểm định và thử nghiệm hoạt động của máy móc trước khi đi điều tra thực địa, chuẩn bị tài liệu, giấy tờ cần thiết và phiếu điều tra, các trang thiết bị, đồ bảo hộ lao động, đóng gói thiết bị, tài liệu, dụng cụ, vật tư để phục vụ cho công tác vận chuyển tới nơi tập kết tại hiện trường;
đ) Liên hệ địa phương và các công tác chuẩn bị khác;
e) Phục vụ trong quá trình kiểm tra nghiệm thu sản phẩm.
1.2. Tiến hành điều tra thực địa
a) Điều tra, thu thập, cập nhật thông tin, dữ liệu về đặc điểm, tình hình khai thác, sử dụng nguồn nước dưới đất tại các cơ quan ở địa phương nơi điều tra;
b) Điều tra theo lộ trình tổng hợp: số lượng tuyến lộ trình cũng như số điểm khảo sát, lấy mẫu trên một km2 xác định cho mỗi vùng phụ thuộc vào tỷ lệ điều tra và mức độ phức tạp về đặc điểm tài nguyên nước dưới đất của vùng
- Với mức độ điều tra tỷ lệ 1:50.000: khoảng cách giữa các điểm khảo sát gần nhất là 500m; ở mức độ phức tạp trung bình, trên 1cm2 bản đồ cần phải có 1 điểm khảo sát và phải có ít nhất một lộ trình cắt qua. Số tuyến lộ trình và điểm khảo sát trên 1km2 khảo sát điều tra thực địa nước dưới đất được xác định như sau:
Bảng 47. Số điểm khảo sát và kilomet lộ trình trên 1km2 khảo sát, điều tra tài nguyên nước dưới đất tỷ lệ 1:50.000
|
Tỷ lệ khảo sát, điều tra thực địa TNNDĐ |
Cấp phức tạp của đặc điểm tài nguyên nước dưới đất |
Chưa có bản đồ địa chất thủy văn cùng tỷ lệ |
Đã có bản đồ địa chất thủy văn cùng tỷ lệ |
||
|
Số điểm khảo sát |
Số km lộ trình |
Số điểm khảo sát |
Số km lộ trình |
||
|
1:50.000 |
I |
3,2 |
2,0 |
2,8 |
1,6 |
|
II |
3,8 |
2,2 |
3,3 |
1,8 |
|
|
III |
4,2 |
2,5 |
3,8 |
2,2 |
|
- Số điểm nghiên cứu nước dưới đất được quy định ít nhất 60% tổng số điểm khảo sát; tại các vùng không có điểm xuất lộ hoặc công trình khảo sát nước dưới đất, ít nhất 30% số điểm khảo sát phải được thay thế bằng các công trình khoan, khai đào;
- Ở những vùng đã có bản đồ địa chất thủy văn cùng tỷ lệ, công tác khảo sát, điều tra tài nguyên nước dưới đất được tiến hành độc lập; ở vùng chưa có bản đồ khảo sát địa chất thủy văn cùng tỷ lệ hoặc đã có nhưng đã được lập trước thời điểm khảo sát trên 20 năm, cần tiến hành khảo sát, điều tra địa chất thủy văn kết hợp với tài nguyên nước dưới đất; ở vùng điều tra tài nguyên nước dưới đất chỉ có một phần diện tích có bản đồ địa chất thủy văn cùng tỷ lệ được thành lập chưa quá 20 năm, công tác khảo sát, điều tra thực địa tài nguyên nước dưới đất được tiến hành độc lập tại phần diện tích đó, phần còn lại được khảo sát, điều tra địa chất thủy văn kết hợp. Nội dung, nhiệm vụ điều tra bổ sung bản đồ địa chất thủy văn thực hiện theo quyết định phê duyệt của cơ quan quản lý nhà nước có thẩm quyền;
- Công tác khảo sát, điều tra thực địa tài nguyên nước dưới đất phải được tiến hành vào thời kỳ mùa khô trong năm
+ Hành trình điều tra theo tuyến cắt qua các phức hệ chứa nước, tầng chứa nước, các đứt gãy kiến tạo, vuông góc với những cấu trúc chứa nước trong vùng điều tra để quan sát, đo đạc, mô tả, chụp ảnh, sơ họa, khoanh vùng, thu thập thông tin, dữ liệu về đặc điểm, đặc trưng các phức hệ, tầng chứa nước, cách nước; các yếu tố ảnh hưởng đến nguồn nước dưới đất; tổng quan tình hình khai thác, sử dụng nước dưới đất và nhận biết các đối tượng, khu vực điều tra, đánh giá chuyên biệt;
+ Quan sát, mô tả, chụp ảnh, sơ họa, khoanh vùng, thu thập thông tin, dữ liệu về các đặc điểm, đặc trưng khái quát của các phức hệ chứa nước, tầng chứa nước, bao gồm: phạm vi miền cấp, miền thoát, hướng vận động của nước dưới đất, hiện trạng và diễn biến nguồn nước gồm: mực nước, thời gian xuất lộ, lưu lượng xuất lộ, màu sắc, mùi vị theo thời gian trong năm, mùa cạn, mùa lũ và nhiều năm; tình hình khô hạn, thiếu nước, tình hình lũ lụt, cạn kiệt, ô nhiễm nguồn nước và các thông tin, dữ liệu khác liên quan đến nguồn nước dưới đất;
+ Quan sát, đo đạc, mô tả, chụp ảnh, sơ họa, khoanh vùng, thu thập thông tin, dữ liệu về một số yếu tố, hoạt động ảnh hưởng đến nguồn nước dưới đất bao gồm: các công trình khai thác, sử dụng nước dưới đất cho các mục đích sử dụng nước; đặc trưng khái quát của lớp phủ thực vật, độ đốc địa hình, nguồn nước đang sử dụng chủ yếu trong vùng điều tra như sông, hồ, nước dưới đất, công trình cấp nước và các thông tin, số liệu có liên quan;
+ Xác định, khoanh vùng các đối tượng, khu vực điều tra, đánh giá chuyên biệt bao gồm: các phức hệ, tầng chứa nước, cách nước chủ yếu; các vùng có nguy cơ gây ô nhiễm, xâm nhập mặn và các công trình ảnh hưởng đến chất lượng nước dưới đất;
c) Điều tra tại các vùng, khu vực, đối tượng chuyên biệt: điều tra chi tiết cần quan sát, đo đạc, mô tả, chụp ảnh, sơ họa, thu thập thông tin, dữ liệu của các loại điều tra, bao gồm:
- Đối với các phức hệ, tầng chứa nước, cách nước chủ yếu: phạm vi phân bố, vị trí hành chính và trên bản đồ, thành phần đất đá chủ yếu, đặc điểm địa hình, lớp phủ, lớp phong hóa, mức độ nứt nẻ, vị trí, tọa độ, ranh giới giữa các phức hệ, tầng chứa nước, đặc điểm lớp phủ, hướng vận động của nước dưới đất và một số yếu tố liên quan;
- Vùng có nguy cơ ô nhiễm, xâm nhập mặn (nghĩa trang, điểm khai thác khoáng sản, điểm ô nhiễm chất thải công nghiệp, chất thải của các làng nghề, các kho hóa chất, xăng dầu): các loại hình chủ yếu là nguyên nhân ô nhiễm, phạm vi phân bố, vị trí hành chính và trên bản đồ, các yếu tố ảnh hưởng đến nguy cơ ô nhiễm, xâm nhập và một số yếu tố liên quan;
- Vùng cấp thoát nước tự nhiên: phạm vi phân bố, thuộc phức hệ, tầng chứa nước, vị trí hành chính và trên bản đồ, đặc điểm địa hình, lớp phủ thực vật, lớp phong hóa, mức độ nứt nẻ, sơ bộ vị trí, tọa độ ranh giới vùng cấp, thoát chủ yếu, nơi thoát nước tự nhiên chủ yếu, đặc điểm lớp phủ và một số yếu tố liên quan;
- Giếng khoan, giếng đào khai thác nước dưới đất: tọa độ, vị trí hành chính, xác định vị trí trên bản đồ, sơ bộ chất lượng nước về màu, mùi vị, pH, độ dẫn điện, độ mặn, DO, nhiệt độ; thành phần, mức độ nứt nẻ của đất đá, đặc điểm địa hình, địa mạo, chiều dày và đặc điểm của lớp vỏ phong hóa, lớp phủ thực vật; chiều sâu, đường kính giếng khoan, mực nước tĩnh, địa tầng khai thác nước, lưu lượng hoặc chế độ khai thác, lượng nước khai thác trong ngày, mực nước động hoặc vị trí đặt máy bơm khai thác, ống hút nước, biên độ dao động mực nước, mục đích sử dụng, thời gian khai thác nước và các thông tin khác có liên quan;
- Nguồn lộ: tọa độ, vị trí hành chính, xác định vị trí trên bản đồ, vị trí xuất lộ so với địa hình xung quanh, xác định vị trí trên nền bản đồ, sơ bộ chất lượng nước về màu, mùi, vị, pH, độ dẫn điện, độ mặn, DO, nhiệt độ; thành phần, mức độ nứt nẻ của đất đá, đặc điểm địa hình, địa mạo, chiều dày và đặc điểm của lớp phong hóa, lớp phủ thực vật, đặc điểm xuất lộ, lưu lượng nguồn lộ, hiện trạng sử dụng và các thông tin khác có liên quan;
- Đối với hang động Karst: tọa độ, vị trí hành chính, xác định vị trí trên bản đồ, sơ bộ chất lượng nước về màu, mùi, vị, pH, độ dẫn điện, độ mặn, DO, nhiệt độ, thành phần, mức độ nứt nẻ của đất đá, đặc điểm địa hình, địa mạo, chiều dày và đặc điểm của lớp phong hóa, lớp phủ thực vật, độ cao tương đối của hang so với địa hình xung quanh, tình trạng hiện tại về kích thước hang, mối liên hệ của hang với nước dưới đất và các thông tin khác có liên quan;
d) Lấy và bảo quản mẫu nước phân tích trong phòng thí nghiệm;
đ) Chỉnh lý số liệu điều tra thực địa, bảo dưỡng thiết bị, máy móc hàng ngày bao gồm: kiểm tra, chỉnh lý tài liệu, sổ nhật ký điều tra, bảo dưỡng máy móc thiết bị; sơ bộ nhận định khối lượng, các thông tin đã điều tra để điều chỉnh kế hoạch phương án lộ trình cho ngày hôm sau;
e) Phục vụ trong quá trình kiểm tra nghiệm thu sản phẩm.
1.3. Tổng hợp, chỉnh lý, hoàn thiện kết quả điều tra thực địa và giao nộp sản phẩm
a) Chỉnh lý, hoàn thiện các thông tin, dữ liệu điều tra thực địa: phiếu điều tra, sổ nhật ký, bản đồ và các tài liệu khác;
b) Nhập kết quả, thông tin, dữ liệu điều tra thực địa vào máy tính;
c) Xử lý, chỉnh lý tổng hợp các tài liệu, số liệu, kết quả điều tra:
d) Xây dựng báo cáo kết quả điều tra thực địa, sơ đồ, biểu bảng, tổng hợp kết quả điều tra thực địa;
đ) Xác định chính xác, cụ thể tọa độ các vị trí cần tiến hành khoan điều tra, khảo sát tài nguyên nước dưới đất, bơm nước thí nghiệm, múc nước thí nghiệm, đổ nước thí nghiệm, lấy mẫu nước, đo địa vật lý, trắc địa, vị trí quan trắc nước dưới đất để tiến hành các công tác khảo sát, đo đạc đã được bố trí cùng với nhiệm vụ điều tra, đánh giá.
e) Hoàn chỉnh hồ sơ, tài liệu kết quả điều tra thực địa và bàn giao sản phẩm
- Báo cáo kết quả điều tra thực địa
Sơ đồ tài liệu thực tế các tuyến và vị trí các điểm điều tra trên nền bản đồ 1:50.000; tất cả các đường hành trình cũng như các điểm nghiên cứu, khảo sát trên các hành trình đều phải được thể hiện đầy đủ lên bản đồ địa hình quốc gia có cùng tỷ lệ hoặc lớn hơn một cấp;
Việc đối chiếu, kiểm tra kết quả giải đoán và phân tích tư liệu viễn thám (nếu có) với các yếu tố địa chất, địa chất thủy văn và tài nguyên nước dưới đất ở thực địa trên các hành trình phải được thực hiện, đồng thời phải kiểm tra mức độ chính xác của bản đồ địa chất thủy văn, bản đồ thực địa có cùng tỷ lệ điều tra tài nguyên nước dưới đất với kết quả khảo sát.
- Các bảng tổng hợp, thống kê kết quả điều tra tổng hợp và điều tra chi tiết, thống kê công trình khai thác, sử dụng nước chủ yếu theo cấu trúc chứa nước, vùng điều tra và đơn vị hành chính;
- Bảng thống kê danh mục các khu vực đã điều tra;
- Phiếu điều tra, sổ nhật ký điều tra thực địa và các tài liệu điều tra thực địa khác
+ Sổ nhật ký khảo sát, điều tra thực địa tài nguyên nước phải được hướng dẫn theo mẫu quy định, thống nhất về kích thước, hình thức và nội dung. Sổ phải được đánh số trang và ghi đầy đủ tên, địa chỉ đơn vị khảo sát, điều tra thực địa, tên nhóm và người khảo sát, điều tra, vùng điều tra, thời gian điều tra, giới hạn số hiệu các điểm khảo sát có trong sổ. Chữ viết ghi chép trong sổ nhật ký và bản đồ thực địa phải đảm bảo không bị nhòe khi gặp nước; toàn bộ các mô tả chỉ viết ở trang bên phải, các nội dung minh họa phải được thể hiện ở trang bên trái; chữ viết không được tẩy xóa, khi viết nhầm có thể gạch đi và viết lại;
+ Nội dung, hình thức ghi chép, mô tả trong sổ nhật ký và trên bản đồ thực địa phải tuân theo quy định hiện hành về việc thành lập tài liệu nguyên thủy khảo sát, điều tra thực địa.
g) Phục vụ trong quá trình kiểm tra nghiệm thu sản phẩm.
2. Công tác nội nghiệp
2.1. Thu thập, rà soát thông tin, dữ liệu và chuẩn bị triển khai công tác điều tra, đánh giá tài nguyên nước dưới đất
a) Nghiên cứu đề cương, hồ sơ dự án đã được phê duyệt;
b) Thu thập các thông tin, dữ liệu liên quan đến vùng điều tra. Các thông tin, dữ liệu lập dự án phải đảm bảo đầy đủ, chính xác, trung thực, được thu thập theo quy định về thu thập, quản lý, khai thác và sử dụng dữ liệu tài nguyên và môi trường. Trong trường hợp thông tin, dữ liệu chưa đầy đủ cần phải thực hiện một số khối lượng khảo sát, điều tra bổ sung;
c) Rà soát, thống kê, đánh giá mức độ đầy đủ, tin cậy của các thông tin, dữ liệu đã thu thập;
d) Thông tin, dữ liệu thu thập phải được lập danh mục trích xuất các thông tin, dữ liệu chuyên môn, phân loại thông tin, dữ liệu chuyên môn, phân loại thông tin và lập bảng danh mục dữ liệu về Địa chất (số lượng, đặc điểm các phân vị địa chất); địa chất thủy văn (tầng, phức hệ chứa nước, cách nước, thông số địa chất thủy văn, tọa độ, mực nước, lưu lượng, kết quả phân tích mẫu nước tại các điểm quan trắc, thí nghiệm,…), địa vật lý (bản đồ, sơ đồ vị trí, tọa độ phân bố các khu dân cư, công nghiệp, làng nghề,…) và các dữ liệu liên quan khác. Xử lý, kiểm tra các tư liệu liên quan để dự kiến khả năng phân chia các tầng chứa nước, dựa trên đặc điểm địa chất; phân tích đặc điểm các tầng chứa nước, không chứa nước, động thái, quan hệ thủy lực, thông số địa chất thủy văn, chất lượng nước, tình hình nhiễm bẩn, nhiễm mặn, phèn hóa, trữ lượng nước đã được đánh giá, đảm bảo sơ bộ nhận định về điều kiện tự nhiên, ảnh hưởng đến tài nguyên nước để định hướng điều tra cho phù hợp;
đ) Thu thập, phân tích các tư liệu viễn thám
- Thu thập các tư liệu viễn thám có trong vùng điều tra, đánh giá tài nguyên nước dưới đất;
- Hiệu chỉnh ảnh, đăng ký tọa độ ảnh, khử nhiễu, tăng độ hiển thị;
- Sử dụng các thiết bị quang học, các phần mềm chuyên dụng để giải đoán các thông tin cần thiết từ nguồn tư liệu viễn thám đã thu thập được; việc giải đoán có thể được thực hiện ở các cấp độ như giải đoán bổ trợ được tiến hành trong giai đoạn thi công dự án ở các vùng điều tra, đánh giá tài nguyên nước dưới đất tỷ lệ lớn 1:50.000;
e) Xác định các thông tin, dữ liệu còn thiếu cần thu thập bổ sung;
g) Giao nhiệm vụ điều tra, đánh giá cho các nhóm thực hiện;
h) Phục vụ trong quá trình kiểm tra nghiệm thu sản phẩm.
2.2. Tổng hợp, chỉnh lý, xử lý thông tin, dữ liệu thu thập và kết quả điều tra thực địa theo các nội dung đánh giá
a) Rà soát, phân loại các thông tin, dữ liệu thu thập và điều tra thực địa phục vụ cho việc đánh giá hiện trạng tài nguyên nước dưới đất;
b) Đánh giá độ tin cậy của các thông tin, dữ liệu đã thu thập, điều tra và lựa chọn, lập danh mục các thông tin, dữ liệu phục vụ cho việc đánh giá theo nội dung yêu cầu;
c) Nhập số liệu vào máy tính, kiểm tra, đồng bộ hóa thông tin, dữ liệu;
d) Xử lý, tổng hợp thông tin, dữ liệu và xây dựng các biểu, bảng, đồ thị, gồm:
- Lập danh mục các phức hệ, tầng chứa nước, các thể địa chất nghèo nước hoặc cách nước;
- Lập danh mục vùng có nguy cơ ô nhiễm, xâm nhập mặn;
- Lập danh mục vùng cấp, miền thoát nước tự nhiên;
- Lập danh mục giếng khoan, giếng đào khai thác nước dưới đất;
- Lập danh mục nguồn lộ;
- Lập danh mục hang động Karst.
đ) Lập các sơ đồ điều tra, đánh giá tài nguyên nước dưới đất, gồm:
- Sơ đồ phân bố các cấu trúc chứa nước, phức hệ, tầng chứa nước chủ yếu;
- Sơ đồ phân bố các khu vực cung cấp, thoát nước tự nhiên;
- Sơ đồ phân bố các khu vực có nguy cơ ô nhiễm, xâm nhập mặn nước dưới đất;
- Sơ đồ phân bố các công trình khai thác nước dưới đất, điểm lộ nước, hang động Karst;
- Sơ đồ diện phân bố và chiều dày của lớp vỏ phong hóa;
- Sơ đồ diện phân bố lớp phủ thực vật.
e) Phục vụ trong quá trình kiểm tra nghiệm thu sản phẩm.
2.3. Phân tích đánh giá hiện trạng, diễn biến tài nguyên nước dưới đất
a) Phân tích, đánh giá khái quát đặc điểm, đặc trưng chủ yếu của các cấu trúc chứa nước, thành tạo đất đá chứa nước, phức hệ chứa nước lớn và của các thành tạo địa chất chứa nước yếu hoặc cách nước thuộc phạm vi điều tra, đánh giá, gồm:
- Diện tích phân bố, thành phần đất đá chủ yếu, chiều sâu thế nằm, chiều sâu phân bố trên mặt cắt, nguồn gốc đất đá; diện tích chủ yếu tại một số đơn vị hành chính;
- Đặc tính nứt nẻ; sơ bộ khả năng chứa nước;
- Đặc tính thủy lực chủ yếu, gồm: chiều sâu mực nước tĩnh, độ cao cột áp lực, động thái nước dưới đất tại các điểm lộ, lỗ khoan, giếng khoan đặc trưng, hướng vận động chủ yếu của nước dưới đất;
- Đặc điểm vùng cấp, thoát nước tự nhiên: phạm vi phân bố, vị trí hành chính, các ảnh hưởng đến sự cấp, thoát của nguồn nước dưới đất;
- Đặc điểm các yếu tố chủ yếu ảnh hưởng đến đặc điểm thủy lực: lớp phủ thực vật, lớp phong hóa, đới thông khí và một số yếu tố khác liên quan;
- Đặc điểm các yếu tố ảnh hưởng đến số lượng, chất lượng nguồn nước: các công trình, loại hình chủ yếu có ảnh hưởng đến số lượng, chất lượng nguồn nước, phạm vi phân bố, vị trí hành chính và trên bản đồ.
- Tổng hợp theo bảng các thông số đặc trưng của cấu trúc chứa nước, thành tạo đất đá chứa nước, phức hệ chứa nước lớn và các thành tạo đất đá chứa nước yếu hoặc cách nước với các thông tin chính sau: phạm vi phân bố, vị trí hành chính và trên bản đồ, đặc điểm địa hình, lớp phủ thực vật, lớp phong hóa, mức độ nứt nẻ, vị trí, tọa độ ranh giới giữa các phức hệ, đặc điểm lớp phủ thực vật, hướng vận động của nước dưới đất và một số yếu tố liên quan.
b) Phân tích, đánh giá và phân vùng mức độ chứa nước của các cấu trúc chứa nước, thành tạo đất đá chứa nước lớn và các thành tạo đất đá chứa nước yếu hoặc cách nước thuộc phạm vi điều tra, đánh giá, gồm:
- Phân vùng miền cấp, miền thoát;
- Phân vùng đẳng chiều sâu mực nước, độ cao cột áp lực;
- Phân vùng đẳng bề dày, đẳng đặc tính thấm của lớp đất đá đới thông khí;
- Phân vùng đẳng tính thấm của các cấu trúc chứa nước lớn, phức hệ chứa nước chủ yếu;
- Phân vùng phân bố chủ yếu của lớp phủ thực vật.
c) Phân tích, đánh giá khái quát những đặc trưng cơ bản của trữ lượng động, trữ lượng tĩnh nước dưới đất theo cấu trúc chứa nước, vùng điều tra và đơn vị hành chính, gồm:
- Tổng trữ lượng, trữ lượng động, trữ lượng tĩnh của nước dưới đất;
- Diễn biến trữ lượng theo không gian, thời gian;
- Đặc điểm các công trình, yếu tố chủ yếu ảnh hưởng đến trữ lượng nước dưới đất;
- Khái quát khả năng khai thác của nguồn nước dưới đất tại các công trình khai thác được điều tra: các giếng khoan, giếng đào, các nguồn lộ, hang động Karst, khoanh vùng có triển vọng khai thác, sơ bộ trữ lượng có thể khai thác;
d) Phân tích, đánh giá và phân vùng đẳng mô đun dòng ngầm, lượng cung cấp thấm trung bình năm, mùa kiệt, ba tháng kiệt và tháng kiệt nhất cho vùng điều tra;
đ) Phân tích, đánh giá chất lượng và phân vùng chất lượng NDĐ, gồm:
- Đánh giá khái quát chất lượng nước theo các mục đích sử dụng khác nhau;
- Đánh giá khái quát tính chất vật lý, hàm lượng các thành phần hoá học cơ bản, độ tổng khoáng hóa; loại hình hóa học chủ yếu của nước dưới đất; sự biến đổi của chất lượng nước NDĐ qua các thời kỳ;
- Đặc điểm vùng có nguy cơ ô nhiễm, xâm nhập mặn, công trình chính ảnh hưởng đến chất lượng NDĐ: các loại hình chủ yếu là nguyên nhân ô nhiễm, phạm vi phân bố, vị trí hành chính và trên bản đồ; các yếu tố ảnh hưởng đến nguy cơ ô nhiễm, xâm nhập mặn như: Đặc điểm địa hình, lớp phủ thực vật, lớp phong hóa, các công trình chính ảnh hưởng đến chất lượng nước và một số yếu tố liên quan;
- Khoanh vùng chất lượng NDĐ đáp ứng cho mục đích sử dụng khác nhau.
e) Khái quát khả năng khai thác, sử dụng nguồn nước dưới đất phục vụ cấp nước sinh hoạt ở các vùng nông thôn, cấp nước cho các đô thị, các khu vực trọng điểm phát triển KTXH; đánh giá khả năng khai thác, sử dụng nước dưới đất cho từng ngành, từng lĩnh vực theo đơn vị hành chính;
g) Phục vụ trong quá trình kiểm tra nghiệm thu sản phẩm.
2.4. Chuẩn bị nội dung thông tin và biên tập các loại bản đồ
a) Chuẩn bị nội dung thông tin cho các bản đồ, gồm:
- Bản đồ tài liệu thực tế tài nguyên nước dưới đất tỷ lệ 1:50.000;
- Bản đồ tài nguyên nước dưới đất tỷ lệ 1:50.000;
- Bản đồ chất lượng nước dưới đất tỷ lệ 1:50.000;
- Bản đồ mô đun dòng ngầm tỷ lệ 1:50.000.
b) Biên tập các bản đồ
Biên tập bản đồ sử dụng nền bản đồ địa hình hệ tọa độ VN2000.
- Bản đồ tài liệu thực tế tài nguyên nước dưới đất gồm các thông tin: phân bố các cấu trúc chứa nước, phức hệ, tầng chứa, cách nước, hệ thống sông hồ trên bình diện, hiện trạng sử dụng đất, thảm phủ thực vật trên lưu vực, mực nước, độ sâu mực nước, mực nước hạ thấp, lưu lượng, độ tổng khoáng hóa tại các điểm điều tra, phân bố các điểm nước nóng, nước khoáng, các vùng có chất lượng nước khác nhau và trữ lượng có thể khai thác, các điểm lấy mẫu, phân tích chất lượng nước tại thực địa, các vị trí điều tra thực địa, các vùng cấp, thoát nước dưới đất, hướng vận động chủ yếu của nước dưới đất, vùng có nguy cơ ô nhiễm, các tuyến điều tra, đánh giá và các thông tin khác có liên quan trong điều tra, đánh giá thực địa;
- Bản đồ chất lượng nước dưới đất gồm các thông tin về: lớp thông tin thành phần hóa học của nước tại các vị trí có kết quả phân tích thành phần các nguyên tố vi lượng, thành phần các chất ô nhiễm nhóm hữu cơ, lớp thông tin kết quả mẫu phân tích vi sinh tại từng điểm lấy mẫu, vùng ô nhiễm, xâm nhập mặn, lớp thông tin về chất lượng nước cho các mục tiêu sử dụng và thông tin khác;
- Bản đồ tài nguyên nước dưới đất, gồm các thông tin về: phân bố các cấu trúc chứa nước, phức hệ, tầng chứa, cách nước, hệ thống sông hồ trên bình diện, mực nước, độ sâu mực nước, mực nước hạ thấp, lưu lượng, độ tổng khoáng hóa tại các điểm điều tra và một số thông tin khác, vùng, tầng có triển vọng khai thác, trữ lượng có thể khai thác nước dưới đất, các lớp thông tin về phân bố các cấu trúc chứa nước, phức hệ, tầng chứa, cách nước, đặc trưng nguồn nước, khả năng khai thác và các thông tin khác liên quan đến tài nguyên nước dưới đất, phân bố các điểm nước nóng, nước khoáng, các vùng có chất lượng nước khác nhau và trữ lượng có thể khai thác;
- Bản đồ mô đun dòng ngầm gồm các thông tin: vùng đẳng mô đun dòng ngầm, giá trị mô đun dòng ngầm, các điểm giá trị mô đun dòng ngầm và các thông tin khác.
c) Phục vụ trong quá trình kiểm tra nghiệm thu sản phẩm.
2.5. Tổng hợp, xây dựng hồ sơ sản phẩm kết quả điều tra, đánh giá
a) Báo cáo kết quả điều tra thực địa;
b) Báo cáo tổng hợp kết quả điều tra, đánh giá tài nguyên nước dưới đất;
c) Báo cáo tóm tắt;
d) Các báo cáo chuyên đề
- Đặc điểm tài nguyên nước dưới đất;
- Hiện trạng và diễn biến tài nguyên nước dưới đất;
- Đặc điểm chất lượng tài nguyên nước dưới đất.
đ) Các bản đồ
- Bản đồ tài liệu thực tế điều tra, đánh giá tài nguyên nước dưới đất tỷ lệ 1:50.000;
- Bản đồ tài nguyên nước dưới đất tỷ lệ 1:50.000;
- Bản đồ chất lượng tài nguyên nước dưới đất tỷ lệ 1:50.000;
- Bản đồ mô đun dòng ngầm tỷ lệ 1:50.000;
- Các bản vẽ, mặt cắt khác.
e) Phụ lục: các bảng tổng hợp, thống kê kết quả điều tra tổng hợp, chi tiết theo phức hệ, tầng, cấu trúc chứa nước và theo đơn vị hành chính; bảng thống kê danh mục các điểm đã điều tra chi tiết và thông tin khác.
g) Phục vụ trong quá trình kiểm tra nghiệm thu sản phẩm.
1. Các công việc chưa tính trong định mức
1.1. Các công việc khảo sát đo đạc: khoan, bơm, múc nước, đổ nước thí nghiệm, đo địa vật lý, đo trắc địa và quan trắc năm thủy văn;
1.2. Thu thập, phân tích ảnh viễn thám;
1.3. Lập mô hình dòng chảy nước dưới đất;
1.4. Phân tích các chỉ tiêu chất lượng nước trong phòng thí nghiệm;
1.5. Vận chuyển mẫu vi trùng mẫu môi trường từ nơi lấy đến cơ sở phân tích;
1.6. Vận chuyển nhân công, vật liệu, dụng cụ và máy móc, thiết bị từ trụ sở đơn vị đến vùng điều tra và ngược lại;
1.7. Vận chuyển mẫu phân tích chất lượng nước từ vùng điều tra về cơ sở phân tích;
1.8. In, nhân sao, giao nộp sản phẩm.
2. Điều kiện áp dụng và các hệ số điều chỉnh
2.1. Điều kiện áp dụng
Định mức điều tra, đánh giá tài nguyên nước dưới đất tỷ lệ 1:50.000 được tính cho vùng chuẩn có điều kiện áp dụng được quy định tại mục 5.1 Phần I của Thông tư này.
2.2. Các hệ số điều chỉnh
Khi vùng điều tra, đánh giá khác với các quy định về điều kiện áp dụng nêu trên, thì áp dụng các hệ số điều chỉnh cho định mức lao động, định mức sử dụng vật liệu, dụng cụ và thiết bị được quy định và hướng dẫn áp dụng tại mục 5.2 Phần I của Thông tư này. Các hệ số điều chỉnh được áp dụng cho điều tra, đánh giá TNNDĐ tỷ lệ 1:50.000, gồm:
- Hệ số điều chỉnh theo mức độ khó khăn: Kđh, Khc và Kct;
- Fdt là quy mô diện tích tự nhiên của vùng điều tra, đánh giá (km2);
- Kkh là hệ số điều chỉnh theo mức độ kết hợp của các điều tra đánh giá (áp dụng trong trường hợp thực hiện từ 2 công việc điều tra, đánh giá trở lên).
III.1.3. Định biên lao động
Bảng 48. Định biên lao động công tác ĐTĐGTNNDĐ tỷ lệ 1:50.000
|
TT |
Nội dung công việc |
Định biên lao động |
||||||
|---|---|---|---|---|---|---|---|---|
|
ĐTVC1 |
ĐTV6 |
ĐTV5 |
ĐTV4 |
ĐTV3 |
LX6 |
Nhóm |
||
|
A |
Công tác ngoại nghiệp |
|
|
|
|
|
|
|
|
1 |
Chuẩn bị |
- |
3 |
2 |
1 |
1 |
1 |
8 |
|
2 |
Tiến hành điều tra thực địa |
- |
3 |
2 |
1 |
1 |
1 |
8 |
|
3 |
Tổng hợp, chỉnh lý, hoàn thiện kết quả điều tra thực địa và giao nộp sản phẩm |
- |
3 |
2 |
1 |
1 |
1 |
8 |
|
B |
Công tác nội nghiệp |
|
|
|
|
|
|
|
|
1 |
Thu thập, rà soát thông tin, dữ liệu và triển khai công tác ĐTĐGTNNDĐ |
1 |
2 |
4 |
1 |
- |
- |
8 |
|
2 |
Tổng hợp, chỉnh lý, xử lý thông tin, dữ liệu thu thập và kết quả điều tra thực địa theo các nội dung đánh giá |
1 |
2 |
4 |
1 |
- |
- |
8 |
|
3 |
Phân tích, đánh giá hiện trạng, diễn biến tài nguyên nước dưới đất |
1 |
2 |
4 |
1 |
- |
- |
8 |
|
4 |
Chuẩn bị nội dung thông tin và biên tập các bản đồ |
1 |
2 |
4 |
1 |
- |
- |
8 |
|
5 |
Tổng hợp, xây dựng hồ sơ, sản phẩm kết quả điều tra, đánh giá |
1 |
2 |
4 |
1 |
- |
- |
8 |
III.1.4. Định mức lao động
Bảng 49. Định mức lao động trong công tác ĐTĐGTNNDĐ tỷ lệ 1:50.000
ĐVT: công nhóm/100km2
|
TT |
Nội dung công việc |
Định mức |
|---|---|---|
|
A |
Công tác ngoại nghiệp |
16,13 |
|
1 |
Chuẩn bị |
1,23 |
|
2 |
Tiến hành điều tra thực địa |
13,88 |
|
3 |
Tổng hợp, chỉnh lý, hoàn thiện kết quả điều tra thực địa và giao nộp sản phẩm |
1,02 |
|
B |
Công tác nội nghiệp |
12,16 |
|
1 |
Thu thập, rà soát thông tin, dữ liệu và chuẩn bị triển khai công tác ĐTĐGTNNDĐ |
0,9 |
|
2 |
Xử lý, tổng hợp thông tin, dữ liệu thu thập và điều tra thực địa theo nội dung đánh giá |
1,87 |
|
3 |
Phân tích đánh giá hiện trạng, diễn biến tài nguyên nước dưới đất |
4,45 |
|
4 |
Chuẩn bị nội dung thông tin và biên tập các bản đồ |
0,95 |
|
5 |
Tổng hợp, xây dựng hồ sơ sản phẩm kết quả điều tra, đánh giá |
3,99 |
III.2. Định mức thiết bị
Bảng 50. Định mức thiết bị trong công tác ĐTĐGTNNDĐ tỷ lệ 1:50.000
ĐVT: ca/100km2
|
TT |
Danh mục thiết bị |
ĐVT |
Thời hạn (tháng) |
Định mức |
|
|---|---|---|---|---|---|
|
Nội nghiệp |
Ngoại nghiệp |
||||
|
1 |
Điều hòa 2 chiều 12000 BTU - 2,2 KW |
Bộ |
96 |
14,41 |
- |
|
2 |
Máy chiếu 0,5KW |
Cái |
60 |
5,76 |
- |
|
3 |
Máy đo chất lượng nước cầm tay (Sensor) |
Cái |
96 |
- |
22,99 |
|
4 |
Máy in màu A0 - 0,8KW |
Cái |
60 |
5,76 |
- |
|
5 |
Máy phát điện 5KW |
Cái |
96 |
- |
7,65 |
|
6 |
Máy Photocopy - 1KW |
Cái |
96 |
5,76 |
- |
|
7 |
Máy Scan A0 - 2KW |
Cái |
96 |
5,76 |
- |
|
8 |
Máy Scan A3 - 0,5KW |
Cái |
96 |
5,76 |
- |
|
9 |
Máy tính xách tay - 0,04KW |
Cái |
60 |
14,41 |
22,99 |
|
10 |
Máy GPS cầm tay |
Cái |
120 |
- |
29,68 |
|
11 |
Ô tô |
Cái |
180 |
- |
16,13 |
|
12 |
Dầu Diezel |
Lít |
|
- |
6,75 |
|
13 |
Xăng |
Lít |
|
- |
36 |
|
14 |
Điện năng |
KW |
|
710,84 |
7,72 |
III.3. Định mức dụng cụ
Bảng 51. Định mức dụng cụ trong công tác ĐTĐGTNNDĐ tỷ lệ 1:50.000
ĐVT: ca/100km2
|
TT |
Danh mục dụng cụ |
ĐVT |
Thời hạn (tháng) |
Định mức |
|
|---|---|---|---|---|---|
|
Nội nghiệp |
Ngoại nghiệp |
||||
|
1 |
Bình cứu hoả |
Bình |
24 |
57,53 |
- |
|
2 |
Ba lô |
Cái |
24 |
- |
265,61 |
|
3 |
Bàn làm việc |
Cái |
96 |
230,07 |
66,41 |
|
4 |
Bình đựng nước uống |
Bình |
36 |
- |
265,61 |
|
5 |
Bộ đo mực nước giếng khoan |
Bộ |
60 |
- |
66,41 |
|
6 |
Bộ dụng cụ đo mực nước di chuyển bằng điện |
Cái |
24 |
- |
66,41 |
|
7 |
Bộ lưu điện UPS |
Cái |
60 |
230,07 |
- |
|
8 |
Camera kỹ thuật số |
Cái |
60 |
19,18 |
66,41 |
|
9 |
Đèn xạc điện |
Cái |
24 |
- |
66,41 |
|
10 |
Êke |
Bộ |
36 |
57,53 |
22,15 |
|
11 |
Ghế văn phòng |
Cái |
96 |
230,07 |
66,41 |
|
12 |
Giầy BHLĐ |
Đôi |
6 |
- |
265,61 |
|
13 |
Máy Fax |
Cái |
60 |
57,53 |
- |
|
14 |
Máy in A4 - 0,5KW |
Cái |
60 |
57,53 |
- |
|
15 |
Máy in màu A3 0,5KW |
Cái |
60 |
19,18 |
- |
|
16 |
Máy Scan A4 0,02KW |
Cái |
96 |
57,53 |
22,15 |
|
17 |
Máy tính 0,6KW |
Cái |
60 |
230,07 |
- |
|
18 |
Máy tính bỏ túi |
Cái |
60 |
230,07 |
66,41 |
|
19 |
Mũ BHLĐ |
Cái |
12 |
- |
265,61 |
|
20 |
Ổ ghi CD 0,04 KW |
Cái |
60 |
230,07 |
- |
|
21 |
Ổn áp 10A |
Cái |
96 |
57,53 |
- |
|
22 |
Quần áo BHLĐ |
Bộ |
12 |
- |
265,61 |
|
23 |
Quần áo mưa |
Bộ |
12 |
- |
265,61 |
|
24 |
Ủng BHLĐ |
Đôi |
12 |
- |
265,61 |
|
25 |
Điện năng |
KW |
|
1.829,6 |
3,72 |
|
26 |
Dụng cụ khác |
% |
|
5,00 |
5,00 |
III.4. Định mức vật liệu
Bảng 52. Định mức vật liệu trong công tác ĐTĐGTNNDĐ tỷ lệ 1:50.000
ĐVT: mức sử dụng/100km2
|
TT |
Danh mục vật liệu |
ĐVT |
Định mức |
|
|---|---|---|---|---|
|
Nội nghiệp |
Ngoại nghiệp |
|||
|
1 |
Bản đồ địa hình |
Mảnh |
0,80 |
0,60 |
|
2 |
Bìa mầu A4 |
Gram |
1,44 |
0,54 |
|
3 |
Bút kim |
Cái |
3,60 |
1,35 |
|
4 |
Bút nhớ dòng (highlight) |
Cái |
3,60 |
1,35 |
|
5 |
Bút xoá |
Cái |
4,00 |
1,50 |
|
6 |
Giấy A4 |
Gram |
4,00 |
0,75 |
|
7 |
Mực in A0 |
Hộp |
0,04 |
- |
|
8 |
Mực in A3 |
Hộp |
0,04 |
- |
|
9 |
Mực in A3 màu |
Hộp |
0,04 |
- |
|
10 |
Mực in A4 |
Hộp |
0,24 |
- |
|
11 |
Mực in phun màu |
Hộp |
0,04 |
- |
|
12 |
Mực photocopy |
Hộp |
0,04 |
- |
|
13 |
Sổ ghi chép |
Quyển |
2,00 |
0,60 |
|
14 |
Vật liệu khác |
% |
8 |
8 |
Ghi chú: Định mức sử dụng vật liệu, dụng cụ và thiết bị nêu trên tính cho toàn bộ công tác nội nghiệp và ngoại nghiệp, mức cho từng bước được xác định theo bảng hệ số điều chỉnh sau:
Bảng 53. Hệ số điều chỉnh mức cho từng bước công việc
|
TT |
Nội dung công việc |
Hệ số |
|---|---|---|
|
A |
Công tác ngoại nghiệp |
1 |
|
1 |
Chuẩn bị |
0,08 |
|
2 |
Tiến hành điều tra thực địa |
0,86 |
|
3 |
Tổng hợp, chỉnh lý, hoàn thiện kết quả điều tra thực địa và giao nộp sản phẩm |
0,06 |
|
B |
Công tác nội nghiệp |
1 |
|
1 |
Thu thập, rà soát thông tin, dữ liệu và triển khai công tác ĐTĐGTNNDĐ |
0,07 |
|
2 |
Tổng hợp, chỉnh lý, xử lý thông tin, dữ liệu thu thập và kết quả điều tra thực địa theo các nội dung đánh giá |
0,15 |
|
3 |
Phân tích, đánh giá hiện trạng, diễn biến tài nguyên nước dưới đất |
0,37 |
|
4 |
Chuẩn bị nội dung thông tin và biên tập các bản đồ |
0,09 |
|
5 |
Tổng hợp, xây dựng hồ sơ, sản phẩm kết quả điều tra, đánh giá |
0,32 |
IV. Điều tra, đánh giá tài nguyên nước dưới đất tỷ lệ 1:25.000
IV.1. Định mức lao động
IV.1.1. Nội dung công việc
1. Công tác ngoại nghiệp
1.1. Chuẩn bị
a) Nhận nhiệm vụ điều tra thực địa;
b) Xác định nội dung, đối tượng, phạm vi điều tra thực địa: nghiên cứu nhiệm vụ điều tra thực địa và các tài liệu liên quan, xác định khối lượng công việc sẽ thực hiện, xác định ranh giới giữa các thành tạo địa chất chủ yếu, các đứt gãy có trong khu vực trên bản đồ, phạm vi phân bố trên bản đồ của các phức hệ chứa nước lớn, chứa nước yếu và cách nước có trong vùng điều tra;
c) Lập kế hoạch, phương án, lộ trình đi điều tra thực địa: xác định vị trí các tuyến đi lộ trình điều tra thực địa trên nền bản đồ địa hình 1:25.000, xây dựng phương án, kế hoạch cụ thể về thời gian thực hiện công tác điều tra thực địa;
d) Chuẩn bị biểu mẫu, vật liệu, dụng cụ và máy móc thiết bị phục vụ điều tra, kiểm chuẩn, kiểm định và thử nghiệm hoạt động của máy móc trước khi đi điều tra thực địa, chuẩn bị tài liệu, giấy tờ cần thiết và phiếu điều tra, các trang thiết bị, đồ bảo hộ lao động, đóng gói thiết bị, tài liệu, dụng cụ, vật tư để phục vụ cho công tác vận chuyển tới nơi tập kết tại hiện trường;
đ) Liên hệ địa phương và các công tác chuẩn bị khác;
e) Phục vụ trong quá trình kiểm tra nghiệm thu sản phẩm.
1.2. Tiến hành điều tra thực địa
a) Điều tra, thu thập, cập nhật thông tin, dữ liệu về đặc điểm, tình hình khai thác, sử dụng nguồn nước dưới đất tại các cơ quan ở địa phương nơi điều tra;
b) Điều tra theo lộ trình tổng hợp: số lượng tuyến lộ trình cũng như số điểm khảo sát, lấy mẫu trên một km2 xác định cho mỗi vùng phụ thuộc vào tỷ lệ điều tra và mức độ phức tạp về đặc điểm tài nguyên nước dưới đất của vùng
- Với mức độ điều tra tỷ lệ 1:25.000: khoảng cách giữa các điểm khảo sát gần nhất là 250m; ở mức độ phức tạp trung bình, trên 1cm2 bản đồ cần phải có 1 điểm khảo sát và phải có ít nhất một lộ trình cắt qua. Số tuyến lộ trình và điểm khảo sát trên 1km2 khảo sát điều tra thực địa nước dưới đất được xác định như sau:
Bảng 54. Số điểm khảo sát và kilomet lộ trình trên 1km2 khảo sát, điều tra tài nguyên nước dưới đất tỷ lệ 1:25.000
|
Tỷ lệ khảo sát, điều tra thực địa TNNDĐ |
Cấp phức tạp của đặc điểm tài nguyên nước dưới đất |
Chưa có bản đồ địa chất thủy văn cùng tỷ lệ |
Đã có bản đồ địa chất thủy văn cùng tỷ lệ |
||
|
Số điểm khảo sát |
Số km lộ trình |
Số điểm khảo sát |
Số km lộ trình |
||
|
1:25.000 |
I |
5,0 |
2,6 |
3,6 |
2,0 |
|
II |
6,0 |
3,0 |
4,0 |
2,2 |
|
|
III |
7,2 |
3,3 |
4,5 |
2,8 |
|
- Số điểm nghiên cứu nước dưới đất được quy định ít nhất 60% tổng số điểm khảo sát; tại các vùng không có điểm xuất lộ hoặc công trình khảo sát nước dưới đất, ít nhất 30% số điểm khảo sát phải được thay thế bằng các công trình khoan, khai đào;
- Ở những vùng đã có bản đồ địa chất thủy văn cùng tỷ lệ, công tác khảo sát, điều tra tài nguyên nước dưới đất được tiến hành độc lập; ở vùng chưa có bản đồ khảo sát địa chất thủy văn cùng tỷ lệ hoặc đã có nhưng đã được lập trước thời điểm khảo sát trên 20 năm, cần tiến hành khảo sát, điều tra địa chất thủy văn kết hợp với tài nguyên nước dưới đất; ở vùng điều tra tài nguyên nước dưới đất chỉ có một phần diện tích có bản đồ địa chất thủy văn cùng tỷ lệ được thành lập chưa quá 20 năm, công tác khảo sát, điều tra thực địa tài nguyên nước dưới đất được tiến hành độc lập tại phần diện tích đó, phần còn lại được khảo sát, điều tra địa chất thủy văn kết hợp. Nội dung, nhiệm vụ điều tra bổ sung bản đồ địa chất thủy văn thực hiện theo quyết định phê duyệt của cơ quan quản lý nhà nước có thẩm quyền;
- Công tác khảo sát, điều tra thực địa tài nguyên nước dưới đất phải được tiến hành vào thời kỳ mùa khô trong năm
+ Hành trình điều tra theo tuyến cắt qua các phức hệ chứa nước, tầng chứa nước, các đứt gãy kiến tạo, vuông góc với những cấu trúc chứa nước trong vùng điều tra để quan sát, đo đạc, mô tả, chụp ảnh, sơ họa, khoanh vùng, thu thập thông tin, dữ liệu về đặc điểm, đặc trưng các phức hệ, tầng chứa nước, cách nước; các yếu tố ảnh hưởng đến nguồn nước dưới đất; tổng quan tình hình khai thác, sử dụng nước dưới đất và nhận biết các đối tượng, khu vực điều tra, đánh giá chuyên biệt;
+ Quan sát, mô tả, chụp ảnh, sơ họa, khoanh vùng, thu thập thông tin, dữ liệu về các đặc điểm, đặc trưng khái quát của các phức hệ chứa nước, tầng chứa nước, bao gồm: phạm vi miền cấp, miền thoát, hướng vận động của nước dưới đất, hiện trạng và diễn biến nguồn nước gồm: mực nước, thời gian xuất lộ, lưu lượng xuất lộ, màu sắc, mùi vị theo thời gian trong năm, mùa cạn, mùa lũ và nhiều năm; tình hình khô hạn, thiếu nước, tình hình lũ lụt, cạn kiệt, ô nhiễm nguồn nước và các thông tin, dữ liệu khác liên quan đến nguồn nước dưới đất;
+ Quan sát, đo đạc, mô tả, chụp ảnh, sơ họa, khoanh vùng, thu thập thông tin, dữ liệu về một số yếu tố, hoạt động ảnh hưởng đến nguồn nước dưới đất bao gồm: các công trình khai thác, sử dụng nước dưới đất cho các mục đích sử dụng nước; đặc trưng khái quát của lớp phủ thực vật, độ đốc địa hình, nguồn nước đang sử dụng chủ yếu trong vùng điều tra như sông, hồ, nước dưới đất, công trình cấp nước và các thông tin, số liệu có liên quan;
+ Xác định, khoanh vùng các đối tượng, khu vực điều tra, đánh giá chuyên biệt bao gồm: các phức hệ, tầng chứa nước, cách nước chủ yếu; các vùng có nguy cơ gây ô nhiễm, xâm nhập mặn và các công trình ảnh hưởng đến chất lượng nước dưới đất.
c) Điều tra tại các vùng, khu vực, đối tượng chuyên biệt: điều tra chi tiết cần quan sát, đo đạc, mô tả, chụp ảnh, sơ họa, thu thập thông tin, dữ liệu của các loại điều tra, bao gồm:
- Đối với các phức hệ, tầng chứa nước, cách nước chủ yếu: phạm vi phân bố, vị trí hành chính và trên bản đồ, thành phần đất đá chủ yếu, đặc điểm địa hình, lớp phủ, lớp phong hóa, mức độ nứt nẻ, vị trí, tọa độ, ranh giới giữa các phức hệ, tầng chứa nước, đặc điểm lớp phủ, hướng vận động của nước dưới đất và một số yếu tố liên quan;
- Vùng có nguy cơ ô nhiễm, xâm nhập mặn (nghĩa trang, điểm khai thác khoáng sản, điểm ô nhiễm chất thải công nghiệp, chất thải của các làng nghề, các kho hóa chất, xăng dầu): các loại hình chủ yếu là nguyên nhân ô nhiễm, phạm vi phân bố, vị trí hành chính và trên bản đồ, các yếu tố ảnh hưởng đến nguy cơ ô nhiễm, xâm nhập và một số yếu tố liên quan;
- Vùng cấp thoát nước tự nhiên: phạm vi phân bố, thuộc phức hệ, tầng chứa nước, vị trí hành chính và trên bản đồ, đặc điểm địa hình, lớp phủ thực vật, lớp phong hóa, mức độ nứt nẻ, sơ bộ vị trí, tọa độ ranh giới vùng cấp, thoát chủ yếu, nơi thoát nước tự nhiên chủ yếu, đặc điểm lớp phủ và một số yếu tố liên quan;
- Giếng khoan, giếng đào khai thác nước dưới đất: tọa độ, vị trí hành chính, xác định vị trí trên bản đồ, sơ bộ chất lượng nước về màu, mùi vị, pH, độ dẫn điện, độ mặn, DO, nhiệt độ; thành phần, mức độ nứt nẻ của đất đá, đặc điểm địa hình, địa mạo, chiều dày và đặc điểm của lớp vỏ phong hóa, lớp phủ thực vật; chiều sâu, đường kính giếng khoan, mực nước tĩnh, địa tầng khai thác nước, lưu lượng hoặc chế độ khai thác, lượng nước khai thác trong ngày, mực nước động hoặc vị trí đặt máy bơm khai thác, ống hút nước, biên độ dao động mực nước, mục đích sử dụng, thời gian khai thác nước và các thông tin khác có liên quan;
- Nguồn lộ: tọa độ, vị trí hành chính, xác định vị trí trên bản đồ, vị trí xuất lộ so với địa hình xung quanh, xác định vị trí trên nền bản đồ, sơ bộ chất lượng nước về màu, mùi, vị, pH, độ dẫn điện, độ mặn, DO, nhiệt độ; thành phần, mức độ nứt nẻ của đất đá, đặc điểm địa hình, địa mạo, chiều dày và đặc điểm của lớp phong hóa, lớp phủ thực vật, đặc điểm xuất lộ, lưu lượng nguồn lộ, hiện trạng sử dụng và các thông tin khác có liên quan;
- Đối với hang động Karst: tọa độ, vị trí hành chính, xác định vị trí trên bản đồ, sơ bộ chất lượng nước về màu, mùi, vị, pH, độ dẫn điện, độ mặn, DO, nhiệt độ, thành phần, mức độ nứt nẻ của đất đá, đặc điểm địa hình, địa mạo, chiều dày và đặc điểm của lớp phong hóa, lớp phủ thực vật, độ cao tương đối của hang so với địa hình xung quanh, tình trạng hiện tại về kích thước hang, mối liên hệ của hang với nước dưới đất và các thông tin khác có liên quan;
d) Lấy và bảo quản mẫu nước phân tích trong phòng thí nghiệm;
đ) Chỉnh lý số liệu điều tra thực địa, bảo dưỡng thiết bị, máy móc hàng ngày bao gồm: kiểm tra, chỉnh lý tài liệu, sổ nhật ký điều tra, bảo dưỡng máy móc thiết bị; sơ bộ nhận định khối lượng, các thông tin đã điều tra để điều chỉnh kế hoạch phương án lộ trình cho ngày hôm sau;
e) Phục vụ trong quá trình kiểm tra nghiệm thu sản phẩm.
1.3. Tổng hợp, chỉnh lý, hoàn thiện kết quả điều tra thực địa và giao nộp sản phẩm
a) Chỉnh lý, hoàn thiện các thông tin, dữ liệu điều tra thực địa: Phiếu điều tra, sổ nhật ký, bản đồ và các tài liệu khác;
b) Nhập kết quả, thông tin, dữ liệu điều tra thực địa vào máy tính;
c) Xử lý, chỉnh lý tổng hợp các tài liệu, số liệu, kết quả điều tra;
d) Xây dựng báo cáo kết quả điều tra thực địa, sơ đồ, biểu bảng, tổng hợp kết quả điều tra thực địa;
đ) Xác định chính xác, cụ thể tọa độ các vị trí cần tiến hành khoan điều tra, khảo sát tài nguyên nước dưới đất, bơm nước thí nghiệm, múc nước thí nghiệm, đổ nước thí nghiệm, lấy mẫu nước, đo địa vật lý, trắc địa, vị trí quan trắc nước dưới đất để tiến hành các công tác khảo sát, đo đạc đã được bố trí cùng với nhiệm vụ điều tra, đánh giá.
e) Hoàn chỉnh hồ sơ, tài liệu kết quả điều tra thực địa và bàn giao sản phẩm
- Báo cáo kết quả điều tra thực địa
Sơ đồ tài liệu thực tế các tuyến và vị trí các điểm điều tra trên nền bản đồ 1:25.000; tất cả các đường hành trình cũng như các điểm nghiên cứu, khảo sát trên các hành trình đều phải được thể hiện đầy đủ lên bản đồ địa hình quốc gia có cùng tỷ lệ hoặc lớn hơn một cấp;
Việc đối chiếu, kiểm tra kết quả giải đoán và phân tích tư liệu viễn thám (nếu có) với các yếu tố địa chất, địa chất thủy văn và tài nguyên nước dưới đất ở thực địa trên các hành trình phải được thực hiện, đồng thời phải kiểm tra mức độ chính xác của bản đồ địa chất thủy văn, bản đồ thực địa có cùng tỷ lệ điều tra tài nguyên nước dưới đất với kết quả khảo sát.
- Các bảng tổng hợp, thống kê kết quả điều tra tổng hợp và điều tra chi tiết, thống kê công trình khai thác, sử dụng nước chủ yếu theo cấu trúc chứa nước, vùng điều tra và đơn vị hành chính;
- Bảng thống kê danh mục các khu vực đã điều tra;
- Phiếu điều tra, sổ nhật ký điều tra thực địa và các tài liệu điều tra thực địa khác
+ Sổ nhật ký khảo sát, điều tra thực địa tài nguyên nước phải được hướng dẫn theo mẫu quy định, thống nhất về kích thước, hình thức và nội dung. Sổ phải được đánh số trang và ghi đầy đủ tên, địa chỉ đơn vị khảo sát, điều tra thực địa, tên nhóm và người khảo sát, điều tra, vùng điều tra, thời gian điều tra, giới hạn số hiệu các điểm khảo sát có trong sổ. Chữ viết ghi chép trong sổ nhật ký và bản đồ thực địa phải đảm bảo không bị nhòe khi gặp nước; toàn bộ các mô tả chỉ viết ở trang bên phải, các nội dung minh họa phải được thể hiện ở trang bên trái; chữ viết không được tẩy xóa, khi viết nhầm có thể gạch đi và viết lại;
+ Nội dung, hình thức ghi chép, mô tả trong sổ nhật ký và trên bản đồ thực địa phải tuân theo quy định hiện hành về việc thành lập tài liệu nguyên thủy khảo sát, điều tra thực địa.
g) Phục vụ trong quá trình kiểm tra nghiệm thu sản phẩm.
2. Công tác nội nghiệp
2.1. Thu thập, rà soát thông tin, dữ liệu và chuẩn bị triển khai công tác điều tra, đánh giá tài nguyên nước dưới đất
a) Nghiên cứu đề cương, hồ sơ dự án đã được phê duyệt;
b) Thu thập các thông tin, dữ liệu liên quan đến vùng điều tra. Các thông tin, dữ liệu lập dự án phải đảm bảo đầy đủ, chính xác, trung thực, được thu thập theo quy định về thu thập, quản lý, khai thác và sử dụng dữ liệu tài nguyên và môi trường. Trong trường hợp thông tin, dữ liệu chưa đầy đủ cần phải thực hiện một số khối lượng khảo sát, điều tra bổ sung;
c) Rà soát, thống kê, đánh giá mức độ đầy đủ, tin cậy của các thông tin, dữ liệu đã thu thập;
d) Thông tin, dữ liệu thu thập phải được lập danh mục trích xuất các thông tin, dữ liệu chuyên môn, phân loại thông tin, dữ liệu chuyên môn, phân loại thông tin và lập bảng danh mục dữ liệu về Địa chất (số lượng, đặc điểm các phân vị địa chất); địa chất thủy văn (tầng, phức hệ chứa nước, cách nước, thông số địa chất thủy văn, tọa độ, mực nước, lưu lượng, kết quả phân tích mẫu nước tại các điểm quan trắc, thí nghiệm,…), địa vật lý (bản đồ, sơ đồ vị trí, tọa độ phân bố các khu dân cư, công nghiệp, làng nghề,…) và các dữ liệu liên quan khác. Xử lý, kiểm tra các tư liệu liên quan để dự kiến khả năng phân chia các tầng chứa nước, dựa trên đặc điểm địa chất; phân tích đặc điểm các tầng chứa nước, không chứa nước, động thái, quan hệ thủy lực, thông số địa chất thủy văn, chất lượng nước, tình hình nhiễm bẩn, nhiễm mặn, phèn hóa, trữ lượng nước đã được đánh giá, đảm bảo sơ bộ nhận định về điều kiện tự nhiên, ảnh hưởng đến tài nguyên nước để định hướng điều tra cho phù hợp;
đ) Thu thập, phân tích các tư liệu viễn thám
- Thu thập các tư liệu viễn thám có trong vùng điều tra, đánh giá tài nguyên nước dưới đất;
- Hiệu chỉnh ảnh, đăng ký tọa độ ảnh, khử nhiễu, tăng độ hiển thị;
- Sử dụng các thiết bị quang học, các phần mềm chuyên dụng để giải đoán các thông tin cần thiết từ nguồn tư liệu viễn thám đã thu thập được; việc giải đoán có thể được thực hiện ở các cấp độ như giải đoán chi tiết được tiến hành ở giai đoạn thi công dự án phục vụ cho nghiên cứu chi tiết ở các diện tích cần thiết, ứng với tỷ lệ điều tra, đánh giá tài nguyên nước tỷ lệ 1:25.000.
e) Xác định các thông tin, dữ liệu còn thiếu cần thu thập bổ sung;
g) Giao nhiệm vụ điều tra, đánh giá cho các nhóm thực hiện;
h) Phục vụ trong quá trình kiểm tra nghiệm thu sản phẩm.
2.2. Tổng hợp, chỉnh lý, xử lý thông tin, dữ liệu thu thập và kết quả điều tra thực địa theo các nội dung đánh giá
a) Rà soát, phân loại các thông tin, dữ liệu thu thập và điều tra thực địa phục vụ cho việc đánh giá hiện trạng tài nguyên nước dưới đất;
b) Đánh giá độ tin cậy của các thông tin, dữ liệu đã thu thập, điều tra và lựa chọn, lập danh mục các thông tin, dữ liệu phục vụ cho việc đánh giá theo nội dung yêu cầu;
c) Nhập số liệu vào máy tính, kiểm tra, đồng bộ hóa thông tin, dữ liệu;
d) Xử lý, tổng hợp thông tin, dữ liệu và xây dựng các biểu, bảng, đồ thị, gồm:
- Lập danh mục các phức hệ, tầng chứa nước, các thể địa chất nghèo nước hoặc cách nước;
- Lập danh mục vùng có nguy cơ ô nhiễm, xâm nhập mặn;
- Lập danh mục vùng cấp, miền thoát nước tự nhiên;
- Lập danh mục giếng khoan, giếng đào khai thác nước dưới đất;
- Lập danh mục nguồn lộ;
- Lập danh mục hang động Karst.
đ) Lập các sơ đồ điều tra, đánh giá tài nguyên nước dưới đất, gồm:
- Sơ đồ phân bố các cấu trúc chứa nước, phức hệ, tầng chứa nước chủ yếu;
- Sơ đồ phân bố các khu vực cung cấp, thoát nước tự nhiên;
- Sơ đồ phân bố các khu vực có nguy cơ ô nhiễm, xâm nhập mặn nước dưới đất;
- Sơ đồ phân bố các công trình khai thác nước dưới đất, điểm lộ nước, hang động Karst;
- Sơ đồ diện phân bố và chiều dày của lớp vỏ phong hóa;
- Sơ đồ diện phân bố lớp phủ thực vật.
e) Phục vụ trong quá trình kiểm tra nghiệm thu sản phẩm.
2.3. Phân tích đánh giá hiện trạng, diễn biến tài nguyên nước dưới đất
a) Phân tích, đánh giá khái quát đặc điểm, đặc trưng chủ yếu của các cấu trúc chứa nước, thành tạo đất đá chứa nước, phức hệ chứa nước lớn và của các thành tạo địa chất chứa nước yếu hoặc cách nước thuộc phạm vi điều tra, đánh giá, gồm:
- Diện tích phân bố, thành phần đất đá chủ yếu, chiều sâu thế nằm, chiều sâu phân bố trên mặt cắt, nguồn gốc đất đá; diện tích chủ yếu tại một số đơn vị hành chính;
- Đặc tính nứt nẻ; sơ bộ khả năng chứa nước;
- Đặc tính thủy lực chủ yếu, gồm: chiều sâu mực nước tĩnh, độ cao cột áp lực, động thái nước dưới đất tại các điểm lộ, lỗ khoan, giếng khoan đặc trưng, hướng vận động chủ yếu của nước dưới đất;
- Đặc điểm vùng cấp, thoát nước tự nhiên: phạm vi phân bố, vị trí hành chính, các ảnh hưởng đến sự cấp, thoát của nguồn nước dưới đất;
- Đặc điểm các yếu tố chủ yếu ảnh hưởng đến đặc điểm thủy lực: lớp phủ thực vật, lớp phong hóa, đới thông khí và một số yếu tố khác liên quan;
- Đặc điểm các yếu tố ảnh hưởng đến số lượng, chất lượng nguồn nước: các công trình, loại hình chủ yếu có ảnh hưởng đến số lượng, chất lượng nguồn nước, phạm vi phân bố, vị trí hành chính và trên bản đồ;
- Tổng hợp theo bảng các thông số đặc trưng của cấu trúc chứa nước, thành tạo đất đá chứa nước, phức hệ chứa nước lớn và các thành tạo đất đá chứa nước yếu hoặc cách nước với các thông tin chính sau: phạm vi phân bố, vị trí hành chính và trên bản đồ, đặc điểm địa hình, lớp phủ thực vật, lớp phong hóa, mức độ nứt nẻ, vị trí, tọa độ ranh giới giữa các phức hệ, đặc điểm lớp phủ thực vật, hướng vận động của nước dưới đất và một số yếu tố liên quan.
b) Phân tích, đánh giá và phân vùng mức độ chứa nước của các cấu trúc chứa nước, thành tạo đất đá chứa nước lớn và các thành tạo đất đá chứa nước yếu hoặc cách nước thuộc phạm vi điều tra, đánh giá, gồm:
- Phân vùng miền cấp, miền thoát;
- Phân vùng đẳng chiều sâu mực nước, độ cao cột áp lực;
- Phân vùng đẳng bề dày, đẳng đặc tính thấm của lớp đất đá đới thông khí;
- Phân vùng đẳng tính thấm của các cấu trúc chứa nước lớn, phức hệ chứa nước chủ yếu;
- Phân vùng phân bố chủ yếu của lớp phủ thực vật.
c) Phân tích, đánh giá khái quát những đặc trưng cơ bản của trữ lượng động, trữ lượng tĩnh nước dưới đất theo cấu trúc chứa nước, vùng điều tra và đơn vị hành chính, gồm:
- Tổng trữ lượng, trữ lượng động, trữ lượng tĩnh của nước dưới đất;
- Diễn biến trữ lượng theo không gian, thời gian;
- Đặc điểm các công trình, yếu tố chủ yếu ảnh hưởng đến trữ lượng nước dưới đất;
- Khái quát khả năng khai thác của nguồn nước dưới đất tại các công trình khai thác được điều tra: các giếng khoan, giếng đào, các nguồn lộ, hang động Karst, khoanh vùng có triển vọng khai thác, sơ bộ trữ lượng có thể khai thác;
d) Phân tích, đánh giá và phân vùng đẳng mô đun dòng ngầm, lượng cung cấp thấm trung bình năm, mùa kiệt, ba tháng kiệt và tháng kiệt nhất cho vùng điều tra;
đ) Phân tích, đánh giá chất lượng và phân vùng chất lượng NDĐ, gồm:
- Đánh giá khái quát chất lượng nước theo các mục đích sử dụng khác nhau;
- Đánh giá khái quát tính chất vật lý, hàm lượng các thành phần hoá học cơ bản, độ tổng khoáng hóa; loại hình hóa học chủ yếu của nước dưới đất; sự biến đổi của chất lượng nước NDĐ qua các thời kỳ;
- Đặc điểm vùng có nguy cơ ô nhiễm, xâm nhập mặn, công trình chính ảnh hưởng đến chất lượng NDĐ: các loại hình chủ yếu là nguyên nhân ô nhiễm, phạm vi phân bố, vị trí hành chính và trên bản đồ; các yếu tố ảnh hưởng đến nguy cơ ô nhiễm, xâm nhập mặn như: Đặc điểm địa hình, lớp phủ thực vật, lớp phong hóa, các công trình chính ảnh hưởng đến chất lượng nước và một số yếu tố liên quan;
- Khoanh vùng chất lượng NDĐ đáp ứng cho mục đích sử dụng khác nhau.
e) Khái quát khả năng khai thác, sử dụng nguồn nước dưới đất phục vụ cấp nước sinh hoạt ở các vùng nông thôn, cấp nước cho các đô thị, các khu vực trọng điểm phát triển KTXH; đánh giá khả năng khai thác, sử dụng nước dưới đất cho từng ngành, từng lĩnh vực theo đơn vị hành chính;
g) Phục vụ trong quá trình kiểm tra nghiệm thu sản phẩm.
2.4. Chuẩn bị nội dung thông tin và biên tập các loại bản đồ
a) Chuẩn bị nội dung thông tin cho các bản đồ, gồm:
- Bản đồ tài liệu thực tế điều tra, đánh giá tài nguyên nước dưới đất tỷ lệ 1:25.000;
- Bản đồ tài nguyên nước dưới đất tỷ lệ 1:25.000;
- Bản đồ chất lượng tài nguyên nước dưới đất tỷ lệ 1:25.000;
- Bản đồ mô đun dòng ngầm tỷ lệ 1:25.000.
b) Biên tập các bản đồ
Biên tập bản đồ sử dụng nền bản đồ địa hình hệ tọa độ VN2000.
- Bản đồ tài liệu thực tế tài nguyên nước dưới đất gồm các thông tin: phân bố các cấu trúc chứa nước, phức hệ, tầng chứa, cách nước, hệ thống sông hồ trên bình diện, hiện trạng sử dụng đất, thảm phủ thực vật trên lưu vực, mực nước, độ sâu mực nước, mực nước hạ thấp, lưu lượng, độ tổng khoáng hóa tại các điểm điều tra, phân bố các điểm nước nóng, nước khoáng, các vùng có chất lượng nước khác nhau và trữ lượng có thể khai thác, các điểm lấy mẫu, phân tích chất lượng nước tại thực địa, các vị trí điều tra thực địa, các vùng cấp, thoát nước dưới đất, hướng vận động chủ yếu của nước dưới đất, vùng có nguy cơ ô nhiễm, các tuyến điều tra, đánh giá và các thông tin khác có liên quan trong điều tra, đánh giá thực địa;
- Bản đồ chất lượng nước dưới đất gồm các thông tin về: lớp thông tin thành phần hóa học của nước tại các vị trí có kết quả phân tích thành phần các nguyên tố vi lượng, thành phần các chất ô nhiễm nhóm hữu cơ, lớp thông tin kết quả mẫu phân tích vi sinh tại từng điểm lấy mẫu, vùng ô nhiễm, xâm nhập mặn, lớp thông tin về chất lượng nước cho các mục tiêu sử dụng và thông tin khác;
- Bản đồ tài nguyên nước dưới đất, gồm các thông tin về: phân bố các cấu trúc chứa nước, phức hệ, tầng chứa, cách nước, hệ thống sông hồ trên bình diện, mực nước, độ sâu mực nước, mực nước hạ thấp, lưu lượng, độ tổng khoáng hóa tại các điểm điều tra và một số thông tin khác, vùng, tầng có triển vọng khai thác, trữ lượng có thể khai thác nước dưới đất, các lớp thông tin về phân bố các cấu trúc chứa nước, phức hệ, tầng chứa, cách nước, đặc trưng nguồn nước, khả năng khai thác và các thông tin khác liên quan đến tài nguyên nước dưới đất, phân bố các điểm nước nóng, nước khoáng, các vùng có chất lượng nước khác nhau và trữ lượng có thể khai thác;
- Bản đồ mô đun dòng ngầm gồm các thông tin: vùng đẳng mô đun dòng ngầm, giá trị mô đun dòng ngầm, các điểm giá trị mô đun dòng ngầm và các thông tin khác.
c) Phục vụ trong quá trình kiểm tra nghiệm thu sản phẩm.
2.5. Tổng hợp, xây dựng hồ sơ sản phẩm kết quả điều tra, đánh giá
a) Báo cáo kết quả điều tra thực địa;
b) Báo cáo tổng hợp kết quả điều tra, đánh giá tài nguyên nước dưới đất;
c) Báo cáo tóm tắt;
d) Các báo cáo chuyên đề
- Đặc điểm tài nguyên nước dưới đất;
- Hiện trạng và diễn biến tài nguyên nước dưới đất;
- Đặc điểm chất lượng tài nguyên nước dưới đất.
đ) Các bản đồ
- Bản đồ tài liệu thực tế điều tra, đánh giá tài nguyên nước dưới đất tỷ lệ 1:25.000;
- Bản đồ tài nguyên nước dưới đất tỷ lệ 1:25.000;
- Bản đồ chất lượng nước dưới đất tỷ lệ 1:25.000;
- Bản đồ mô đun dòng ngầm tỷ lệ 1:25.000;
- Các bản vẽ, mặt cắt khác.
e) Phụ lục: các bảng tổng hợp, thống kê kết quả điều tra tổng hợp, chi tiết theo phức hệ, tầng, cấu trúc chứa nước và theo đơn vị hành chính; bảng thống kê danh mục các điểm đã điều tra chi tiết và thông tin khác.
g) Phục vụ trong quá trình kiểm tra nghiệm thu sản phẩm.
1. Các công việc chưa tính trong định mức
1.1. Các công việc khảo sát đo đạc: khoan, bơm, múc nước, đổ nước thí nghiệm, đo địa vật lý, đo trắc địa và quan trắc năm thủy văn;
1.2. Phân tích ảnh viễn thám;
1.3. Lập mô hình dòng chảy nước dưới đất;
1.4. Phân tích các chỉ tiêu chất lượng nước trong phòng thí nghiệm;
1.5. Vận chuyển mẫu vi trùng, mẫu môi trường từ nơi lấy đến cơ sở phân tích;
1.6. Vận chuyển nhân công, vật liệu, dụng cụ và máy móc, thiết bị từ trụ sở đến vùng điều tra và ngược lại;
1.7. Vận chuyển mẫu phân tích chất lượng nước từ vùng điều tra đến cơ sở phân tích;
1.8. In, nhân sao, giao nộp sản phẩm.
2. Điều kiện áp dụng và các hệ số điều chỉnh
2.1. Điều kiện áp dụng
Định mức điều tra, đánh giá tài nguyên nước dưới đất tỷ lệ 1:25.000 được tính cho vùng chuẩn có điều kiện áp dụng được quy định tại mục 5.1 Phần I của Thông tư này.
2.2. Các hệ số điều chỉnh
Khi vùng điều tra, đánh giá khác với các quy định về điều kiện áp dụng nêu trên, thì áp dụng các hệ số điều chỉnh cho định mức lao động, định mức sử dụng vật liệu, dụng cụ và thiết bị được quy định và hướng dẫn áp dụng tại mục 5.2 Phần I của Thông tư này. Các hệ số điều chỉnh được áp dụng cho điều tra, đánh giá TNNM tỷ lệ 1:25.000, gồm:
- Hệ số điều chỉnh theo mức độ khó khăn: Kđh, Khc và Kct;
- Fdt là quy mô diện tích tự nhiên của vùng điều tra, đánh giá (km2);
- Kkh là hệ số điều chỉnh theo mức độ kết hợp của các điều tra đánh giá (áp dụng trong trường hợp thực hiện từ 2 công việc điều tra, đánh giá trở lên).
IV.1.3. Định biên lao động
Bảng 55. Định biên lao động công tác ĐTĐGTNNDĐ tỷ lệ 1:25.000
|
TT |
Nội dung công việc |
Định biên lao động |
||||||
|---|---|---|---|---|---|---|---|---|
|
ĐTVC1 |
ĐTV6 |
ĐTV5 |
ĐTV4 |
ĐTV3 |
LX6 |
Nhóm |
||
|
A |
Công tác ngoại nghiệp |
|
|
|
|
|
|
|
|
1 |
Chuẩn bị |
- |
3 |
2 |
1 |
1 |
1 |
8 |
|
2 |
Tiến hành điều tra thực địa |
- |
3 |
2 |
1 |
1 |
1 |
8 |
|
3 |
Tổng hợp, chỉnh lý, hoàn thiện kết quả điều tra thực địa và giao nộp sản phẩm |
- |
3 |
2 |
1 |
1 |
1 |
8 |
|
B |
Công tác nội nghiệp |
|
|
|
|
|
|
|
|
1 |
Thu thập, rà soát thông tin, dữ liệu và triển khai công tác ĐTĐGTNNDĐ |
1 |
2 |
4 |
1 |
- |
- |
8 |
|
2 |
Tổng hợp, chỉnh lý, xử lý thông tin, dữ liệu thu thập và kết quả điều tra thực địa theo các nội dung đánh giá |
1 |
2 |
4 |
1 |
- |
- |
8 |
|
3 |
Phân tích, đánh giá hiện trạng, diễn biến tài nguyên nước dưới đất |
1 |
2 |
4 |
1 |
- |
- |
8 |
|
4 |
Chuẩn bị nội dung thông tin và biên tập các bản đồ |
1 |
2 |
4 |
1 |
- |
- |
8 |
|
5 |
Tổng hợp, xây dựng hồ sơ, sản phẩm kết quả điều tra, đánh giá |
1 |
2 |
4 |
1 |
- |
- |
8 |
IV.1.4. Định mức lao động
Bảng 56. Định mức lao động trong công tác ĐTĐGTNNDĐ tỷ lệ 1:25.000
ĐVT: công nhóm/100km2
|
TT |
Nội dung công việc |
Định mức |
|---|---|---|
|
A |
Công tác ngoại nghiệp |
50,01 |
|
1 |
Chuẩn bị |
3,81 |
|
2 |
Tiến hành điều tra thực địa |
43,03 |
|
3 |
Tổng hợp, chỉnh lý, hoàn thiện kết quả điều tra thực địa và giao nộp sản phẩm |
3,17 |
|
B |
Công tác nội nghiệp |
37,7 |
|
1 |
Thu thập, rà soát thông tin, dữ liệu và triển khai công tác ĐTĐGTNNDĐ |
2,79 |
|
2 |
Tổng hợp, chỉnh lý, xử lý thông tin, dữ liệu thu thập và kết quả điều tra thực địa theo các nội dung đánh giá |
5,38 |
|
3 |
Phân tích, đánh giá hiện trạng, diễn biến tài nguyên nước dưới đất |
13,7 |
|
4 |
Chuẩn bị nội dung thông tin và biên tập các bản đồ |
3,07 |
|
5 |
Tổng hợp, xây dựng hồ sơ, sản phẩm kết quả điều tra, đánh giá |
12,76 |
IV.2. Định mức thiết bị
Bảng 57. Định mức thiết bị trong công tác ĐTĐGTNNDĐ tỷ lệ 1:25.000
ĐVT: ca/100km2
|
TT |
Danh mục thiết bị |
ĐVT |
Thời hạn (tháng) |
Định mức |
|
|---|---|---|---|---|---|
|
Nội nghiệp |
Ngoại nghiệp |
||||
|
1 |
Điều hòa 2 chiều 12000 BTU - 2,2 KW |
Bộ |
96 |
44,68 |
- |
|
2 |
Máy chiếu 0,5KW |
Cái |
60 |
17,87 |
- |
|
3 |
Máy đo chất lượng nước cầm tay (Sensor) |
Cái |
96 |
- |
71,27 |
|
4 |
Máy in màu A0 - 0,8KW |
Cái |
60 |
17,87 |
- |
|
5 |
Máy phát điện 5KW |
Cái |
96 |
- |
23,73 |
|
6 |
Máy photocopy - 1KW |
Cái |
96 |
17,87 |
- |
|
7 |
Máy Scan A0 - 2KW |
Cái |
96 |
17,87 |
- |
|
8 |
Máy Scan A3 - 0,5KW |
Cái |
96 |
17,87 |
- |
|
9 |
Máy tính xách tay - 0,04KW |
Cái |
60 |
44,68 |
71,27 |
|
10 |
Máy GPS cầm tay |
Cái |
120 |
- |
92,02 |
|
11 |
Ô tô |
Cái |
180 |
- |
50,01 |
|
12 |
Dầu Diezel |
Lít |
|
- |
21,75 |
|
13 |
Xăng |
Lít |
|
- |
116 |
|
14 |
Điện năng |
KW |
|
5.839,33 |
23,95 |
IV.3. Định mức dụng cụ
Bảng 58. Định mức dụng cụ trong công tác ĐTĐGTNNDĐ tỷ lệ 1:25.000
ĐVT: ca/100km2
|
TT |
Danh mục dụng cụ |
ĐVT |
Thời hạn (tháng) |
Định mức |
|
|---|---|---|---|---|---|
|
Nội nghiệp |
Ngoại nghiệp |
||||
|
1 |
Bình cứu hoả |
Bình |
24 |
178,35 |
- |
|
2 |
Ba lô |
Cái |
24 |
- |
823,51 |
|
3 |
Bàn làm việc |
Cái |
96 |
713,29 |
205,90 |
|
4 |
Bình đựng nước uống |
Bình |
36 |
- |
823,51 |
|
5 |
Bộ đo mực nước giếng khoan |
Bộ |
60 |
- |
205,90 |
|
6 |
Bộ dụng cụ đo mực nước di chuyển bằng điện |
Cái |
24 |
- |
205,90 |
|
7 |
Bộ lưu điện UPS |
Cái |
60 |
713,29 |
- |
|
8 |
Camera kỹ thuật số |
Cái |
60 |
59,45 |
205,90 |
|
9 |
Đèn xạc điện |
Cái |
24 |
- |
205,90 |
|
10 |
Êke |
Bộ |
36 |
178,35 |
68,66 |
|
11 |
Ghế văn phòng |
Cái |
96 |
713,29 |
205,90 |
|
12 |
Giầy BHLĐ |
Đôi |
6 |
- |
823,51 |
|
13 |
Máy Fax |
Cái |
60 |
178,35 |
- |
|
14 |
Máy in A4 - 0,5KW |
Cái |
60 |
178,35 |
- |
|
15 |
Máy in màu A3 0,5KW |
Cái |
60 |
59,45 |
- |
|
16 |
Máy Scan A4 0,02Kw |
Cái |
96 |
178,35 |
68,66 |
|
17 |
Máy tính 0,6Kw |
Cái |
60 |
713,29 |
- |
|
18 |
Máy tính bỏ túi |
Cái |
60 |
713,29 |
205,90 |
|
19 |
Mũ BHLĐ |
Cái |
12 |
- |
823,51 |
|
20 |
Ổ ghi CD 0,04 Kw |
Cái |
60 |
713,29 |
- |
|
21 |
Ổn áp 10A |
Cái |
96 |
178,35 |
- |
|
22 |
Quần áo BHLĐ |
Bộ |
12 |
- |
823,51 |
|
23 |
Quần áo mưa |
Bộ |
12 |
- |
823,51 |
|
24 |
Ủng BHLĐ |
Đôi |
12 |
- |
823,51 |
|
25 |
Điện năng |
KW |
|
5.672,4 |
11,54 |
|
26 |
Dụng cụ khác |
% |
|
5,00 |
5,00 |
IV.4. Định mức vật liệu
Bảng 59. Định mức vật liệu trong công tác ĐTĐGTNNDĐ tỷ lệ 1:25.000
ĐVT: mức sử dụng/100km2
|
TT |
Danh mục vật liệu |
ĐVT |
Định mức |
|
|---|---|---|---|---|
|
Nội nghiệp |
Ngoại nghiệp |
|||
|
1 |
Bản đồ địa hình |
Mảnh |
2,48 |
1,86 |
|
2 |
Bìa mầu A4 |
Gram |
4,47 |
1,67 |
|
3 |
Bút kim |
Cái |
11,17 |
4,19 |
|
4 |
Bút nhớ dòng (highlight) |
Cái |
11,17 |
4,19 |
|
5 |
Bút xoá |
Cái |
12,41 |
4,65 |
|
6 |
Giấy A4 |
Gram |
12,41 |
2,33 |
|
7 |
Mực in A0 |
Hộp |
0,12 |
- |
|
8 |
Mực in A3 |
Hộp |
0,12 |
- |
|
9 |
Mực in A3 màu |
Hộp |
0,12 |
- |
|
10 |
Mực in A4 |
Hộp |
0,74 |
- |
|
11 |
Mực in phun màu |
Hộp |
0,12 |
- |
|
12 |
Mực photocopy |
Hộp |
0,12 |
- |
|
13 |
Sổ ghi chép |
Quyển |
6,21 |
1,86 |
|
14 |
Vật liệu khác |
% |
8 |
8 |
Ghi chú: Định mức sử dụng vật liệu, dụng cụ và thiết bị nêu trên tính cho toàn bộ công tác nội nghiệp và ngoại nghiệp, mức cho từng bước được xác định theo bảng hệ số điều chỉnh sau:
Bảng 60. Hệ số điều chỉnh định mức sử dụng vật liệu, dụng cụ và thiết bị cho từng bước công việc của công tác điều tra, đánh giá tỷ lệ 1:25.000
|
TT |
Nội dung công việc |
Hệ số |
|---|---|---|
|
A |
Công tác ngoại nghiệp |
1 |
|
1 |
Chuẩn bị |
0,08 |
|
2 |
Tiến hành điều tra thực địa |
0,86 |
|
3 |
Tổng hợp, chỉnh lý, hoàn thiện kết quả điều tra thực địa và giao nộp sản phẩm |
0,06 |
|
B |
Công tác nội nghiệp |
1 |
|
1 |
Thu thập, rà soát thông tin, dữ liệu và triển khai công tác ĐTĐGTNNDĐ |
0,07 |
|
2 |
Tổng hợp, chỉnh lý, xử lý thông tin, dữ liệu thu thập và kết quả điều tra thực địa theo các nội dung đánh giá |
0,15 |
|
3 |
Phân tích, đánh giá hiện trạng, diễn biến tài nguyên nước dưới đất |
0,37 |
|
4 |
Chuẩn bị nội dung thông tin và biên tập các bản đồ |
0,09 |
|
5 |
Tổng hợp, xây dựng hồ sơ, sản phẩm kết quả điều tra, đánh giá |
0,32 |
Chương III
LẬP DỰ ÁN ĐIỀU TRA, ĐÁNH GIÁ TÀI NGUYÊN NƯỚC
I. Định mức lao động
I.1. Nội dung công việc
I.1.1. Thu thập các tài liệu liên quan đến vùng lập đề án, dự án;
I.1.2. Tổng hợp phân tích tài liệu;
I.1.3. Thiết kế phương pháp, khối lượng các dạng công tác, dự kiến các kết quả đạt được; sản phẩm giao nộp;
I.1.4. Lập kế hoạch tổ chức thực hiện;
I.1.5. Dự toán kinh phí;
I.1.6. Phân tích hiệu quả và đánh giá mức độ rủi ro của đề án, dự án;
I.1.7. Phục vụ kiểm tra, xét duyệt đề án, dự án.
I.2. Phân loại khó khăn
I.2.1. Các công việc chưa tính trong định mức
Khối lượng khảo sát, điều tra bổ sung đảm bảo đáp ứng thông tin để lập dự án.
I.2.2. Điều kiện áp dụng và các hệ số điều chỉnh
1. Điều kiện áp dụng
Định mức được tính cho vùng chuẩn lập dự án có điều kiện áp dụng như sau:
1.1. Vùng điều tra, đánh giá có diện tích 100 km2;
1.2. Mật độ sông suối trung bình của toàn vùng từ 0,5 đến 2, sông suối có chiều dài 10km trở lên và có dòng chảy liên tục;
1.3. Vùng có 1 LVS, không có mối quan hệ liên tỉnh (nếu vùng điều tra là liên tỉnh), liên quốc gia (nếu vùng điều tra bị ảnh hưởng bởi lưu vực sông liên quốc gia);
1.4. Toàn bộ diện tích của vùng điều tra, đánh giá thuộc phạm vi của một đơn vị hành chính cấp tỉnh (nếu vùng điều tra là liên tỉnh) hoặc một đơn vị hành chính cấp huyện (nếu vùng điều tra là nội tỉnh);
1.5. Vùng điều tra, đánh giá có mức độ phức tạp của cấu trúc địa chất, địa chất thủy văn thuộc loại trung bình;
1.6. Dự án có thiết kế 02 nội dung khảo sát, đo đạc.
2. Các hệ số điều chỉnh
Khi vùng lập dự án khác với các quy định về điều kiện áp dụng nêu trên, thì áp dụng các hệ số điều chỉnh cho định mức lao động, định mức sử dụng vật liệu, dụng cụ và thiết bị được quy định và hướng dẫn áp dụng tại mục 5.2, Phần I của Thông tư này. Các hệ số điều chỉnh được áp dụng cho Lập dự án, gồm:
- Hệ số điều chỉnh theo mức độ khó khăn đối với lập dự án điều tra, đánh giá TNNM: Kmđ, Ksl, Khc, Ktt, Kđđ;
- Hệ số điều chỉnh theo mức độ khó khăn đối với lập dự án điều tra, đánh giá TNNDĐ: Kđh, Khc và Kct, Kđđ;
- Fdt là quy mô diện tích tự nhiên của vùng lập dự án (km2);
- Kkh là hệ số điều chỉnh theo mức độ kết hợp (áp dụng trong trường hợp thực hiện từ 2 công việc điều tra, đánh giá trở lên).
I.3. Định biên lao động
Bảng 61. Định biên lao động công tác Lập dự án ĐTĐGTNN
|
TT |
Nội dung công việc |
Định biên lao động |
||||
|---|---|---|---|---|---|---|
|
ĐTVC1 |
ĐTV6 |
ĐTV5 |
ĐTV3 |
Nhóm |
||
|
1 |
Lập dự án |
1 |
2 |
1 |
1 |
5 |
I.4. Định mức lao động
Bảng 62. Định mức lao động trong công tác Lập dự án ĐTĐGTNN
ĐVT: công nhóm/100km2
|
TT |
Nội dung công việc |
Định mức |
|---|---|---|
|
1 |
Lập dự án |
0,8 |
II. Định mức thiết bị
Bảng 63. Định mức thiết bị trong công tác lập Dự án ĐTĐGTNN
ĐVT: ca/100km2
|
TT |
Danh mục thiết bị |
ĐVT |
Thời hạn (tháng) |
Định mức |
|---|---|---|---|---|
|
Nội nghiệp |
||||
|
1 |
Điều hòa 2 chiều 12000 BTU - 2,2 KW |
Bộ |
96 |
0,59 |
|
2 |
Máy chiếu 0,5KW |
Cái |
60 |
0,24 |
|
3 |
Máy in màu A0 - 0,8KW |
Cái |
60 |
0,24 |
|
4 |
Máy photocopy - 1KW |
Cái |
96 |
0,24 |
|
5 |
Máy Scan A0 - 2KW |
Cái |
96 |
0,24 |
|
6 |
Máy Scan A3 - 0,5KW |
Cái |
96 |
0,24 |
|
7 |
Máy tính xách tay - 0,04KW |
Cái |
60 |
0,59 |
|
8 |
Điện năng |
KW |
|
7,22 |
III. Định mức dụng cụ
Bảng 64. Định mức dụng cụ trong công tác lập dự án ĐTĐGTNN
ĐVT: ca/1 00km2
|
TT |
Danh mục dụng cụ |
Đơn vị tín |
Thời hạn (tháng) |
Nội nghiệp |
|---|---|---|---|---|
|
1 |
Bình cứu hoả |
Bình |
24 |
2,37 |
|
2 |
Bàn làm việc |
Cái |
96 |
9,46 |
|
3 |
Bộ lưu điện UPS |
Cái |
60 |
9,46 |
|
4 |
Camera kỹ thuật số |
Cái |
60 |
0,79 |
|
5 |
Êke |
Bộ |
36 |
2,37 |
|
6 |
Ghế văn phòng |
Cái |
96 |
9,46 |
|
7 |
Máy Fax |
Cái |
60 |
2,37 |
|
8 |
Máy in A4 - 0,5KW |
Cái |
60 |
2,37 |
|
9 |
Máy in màu A3 0,5KW |
Cái |
60 |
0,79 |
|
10 |
Máy Scan A4 0,02KW |
Cái |
96 |
2,37 |
|
11 |
Máy tính 0,6KW |
Cái |
60 |
9,46 |
|
12 |
Máy tính bỏ túi |
Cái |
60 |
9,46 |
|
13 |
Ổ ghi CD 0,04 KW |
Cái |
60 |
9,46 |
|
14 |
Ổn áp 10A |
Cái |
96 |
2,37 |
|
15 |
Điện năng |
KW |
|
78,41 |
|
16 |
Dụng cụ khác |
% |
|
5,00 |
IV. Định mức vật liệu
Bảng 65. Định mức vật liệu trong công tác lập Dự án ĐTĐGTNN
ĐVT: mức sử dụng/100km2
|
TT |
Danh mục vật liệu |
ĐVT |
Định mức |
|---|---|---|---|
|
1 |
Bản đồ địa hình |
Mảnh |
0,033 |
|
2 |
Bìa mầu A4 |
Gram |
0,059 |
|
3 |
Bút kim |
Cái |
0,148 |
|
4 |
Bút nhớ dòng (highlight) |
Cái |
0,148 |
|
5 |
Bút xoá |
Cái |
0,165 |
|
6 |
Giấy A4 |
Gram |
0,165 |
|
7 |
Mực in A0 |
Hộp |
0,002 |
|
8 |
Mực in A3 |
Hộp |
0,002 |
|
9 |
Mực in A3 màu |
Hộp |
0,002 |
|
10 |
Mực in A4 |
Hộp |
0,010 |
|
11 |
Mực in phun màu |
Hộp |
0,002 |
|
12 |
Mực photocopy |
Hộp |
0,002 |
|
13 |
Sổ ghi chép |
Quyển |
0,082 |
|
14 |
Vật liệu khác |
% |
8 |
Phần III
PHỤ LỤC
PHÂN CẤP THEO MỨC ĐỘ PHỨC TẠP CỦA CẤU TRÚC ĐỊA CHẤT, ĐỊA CHẤT THỦY VĂN
|
TT |
Mức độ phức tạp của cấu trúc địa chất thủy văn |
Đặc điểm |
|---|---|---|
|
1 |
Đơn giản |
Có một hoặc 2 tầng chứa nước, diện tích phân bố, bề dày và thành phần thạch học của tầng chứa nước ổn định, các thông số địa chất thủy văn ít biến đổi, có một hoặc 2 cấp phân chia mực nước, thành phần hóa học nước ít thay đổi, nước không bị nhiễm mặn, nguồn cấp chủ yếu là nước mưa và dòng mặt tạm thời |
|
2 |
Trung bình |
Có tới 3 tầng chứa nước khác nhau, có nhiều dạng tồn tại của nước dưới đất, bề dày và thành phần đất đá của tầng chứa nước không ổn định, có tới 2 cấp phân chia mực nước, thành phần hóa học thay đổi không nhiều, nhiễm mặn yếu đến trung bình và có thủy hóa thuận, nguồn cấp là nước mưa, nước mặt và các tầng chứa nước nằm trên |
|
3 |
Phức tạp |
Có từ 4 tầng chứa nước trở lên, độ sâu, diện phân bố, thành phần đất đá của tầng chứa nước biến đổi mạnh có xen các lớp hoặc thấu kính nước yếu, có tới 3 cấp phân chia mực nước trở lên, thành phần hóa học nước thay đổi phức tạp, thủy hóa ngược, nhiễm mặn phổ biến và mặn nhạt xen kẽ, nước có áp và có nhiều nguồn cung cấp khác nhau |
MỤC LỤC
PHẦN I. QUY ĐỊNH CHUNG
PHẦN II. ĐỊNH MỨC KINH TẾ - KỸ THUẬT ĐIỀU TRA, ĐÁNH GIÁ TÀI NGUYÊN NƯỚC
CHƯƠNG I. ĐIỀU TRA, ĐÁNH GIÁ TÀI NGUYÊN NƯỚC MẶT
I. Điều tra, đánh giá tài nguyên nước mặt tỷ lệ 1:200.000
I.1. Định mức lao động
I.1.1. Nội dung công việc
1. Công tác ngoại nghiệp
2. Công tác nội nghiệp
I.1.2. Phân loại khó khăn
1. Các công việc chưa tính trong định mức
2. Điều kiện áp dụng và các hệ số điều chỉnh
I.1.3. Định biên lao động
I.1.4. Định mức lao động
I.2. Định mức thiết bị
I.3. Định mức dụng cụ
I.4. Định mức vật liệu
II. Điều tra, đánh giá tài nguyên nước mặt tỷ lệ 1: 100.000
II.1. Định mức lao động
II.1.1. Nội dung công việc
1. Công tác ngoại nghiệp
2. Công tác nội nghiệp
II.1.2. Phân loại khó khăn
1. Các công việc chưa tính trong định mức
2. Điều kiện áp dụng và các hệ số điều chỉnh
II.1.3. Định biên lao động
II.1.4. Định mức lao động
II.2. Định mức thiết bị
II.3. Định mức dụng cụ
II.4. Định mức vật liệu
III. Điều tra, đánh giá tài nguyên nước mặt tỷ lệ 1:50.000
III.1. Định mức lao động
III.1.1. Nội dung công việc
1. Công tác ngoại nghiệp
2. Công tác nội nghiệp
III.1.2. Phân loại khó khăn
1. Các công việc chưa tính trong định mức
2. Điều kiện áp dụng và các hệ số điều chỉnh
III.1.3. Định biên lao động
III.1.4. Định mức lao động
III.2. Định mức thiết bị
III.3. Định mức dụng cụ
III.4. Định mức vật liệu
IV. Điều tra, đánh giá tài nguyên nước mặt tỷ lệ 1:25.000
IV.1. Định mức lao động
IV.1.1. Nội dung công việc
1. Công tác ngoại nghiệp
2. Công tác nội nghiệp
IV.1.2. Phân loại khó khăn
1. Các công việc chưa tính trong định mức
2. Điều kiện áp dụng và các hệ số điều chỉnh
IV.1.3. Định biên lao động
IV.1.4. Định mức lao động
IV.2. Định mức thiết bị
IV.3. Định mức dụng cụ
IV.4. Định mức vật liệu
CHƯƠNG II. ĐIỀU TRA, ĐÁNH GIÁ TÀI NGUYÊN NƯỚC DƯỚI ĐẤT
I. Điều tra, đánh giá tài nguyên nước dưới đất tỷ lệ 1:200.000
I.1. Định mức lao động
I.1.1. Nội dung công việc
1. Công tác ngoại nghiệp
2. Công tác nội nghiệp
I.1.2. Phân loại khó khăn
1. Các công việc chưa tính trong định mức
2. Điều kiện áp dụng và các hệ số điều chỉnh
I.1.3. Định biên lao động
I.1.4. Định mức lao động
I.2. Định mức thiết bị
I.3. Định mức dụng cụ
I.4. Định mức vật liệu
II. Điều tra, đánh giá tài nguyên nước dưới đất tỷ lệ 1:100.000
II.1. Định mức lao động
II.1.1. Nội dung công việc
1. Công tác ngoại nghiệp
2. Công tác nội nghiệp
II.1.2. Phân loại khó khăn
1. Các công việc chưa tính trong định mức
2. Điều kiện áp dụng và các hệ số điều chỉnh
II.1.3. Định biên lao động
II.1.4. Định mức lao động
II.2. Định mức thiết bị
II.3. Định mức dụng cụ
II.4. Định mức vật liệu
III. Điều tra, đánh giá tài nguyên nước dưới đất tỷ lệ 1:50.000
III.1. Định mức lao động
III.1.1. Nội dung công việc
1. Công tác ngoại nghiệp
2. Công tác nội nghiệp
III.1.2. Phân loại khó khăn
1. Các công việc chưa tính trong định mức
2. Điều kiện áp dụng và các hệ số điều chỉnh
III.1.3. Định biên lao động
III.1.4. Định mức lao động
III.2. Định mức thiết bị
III.3. Định mức dụng cụ
III.4. Định mức vật liệu
IV. Điều tra, đánh giá tài nguyên nước dưới đất tỷ lệ 1:25.000
IV.1. Định mức lao động
IV.1.1. Nội dung công việc
1. Công tác ngoại nghiệp
2. Công tác nội nghiệp
IV.1.2. Phân loại khó khăn
1. Các công việc chưa tính trong định mức
2. Điều kiện áp dụng và các hệ số điều chỉnh
IV.1.3. Định biên lao động
IV.1.4. Định mức lao động
IV.2. Định mức thiết bị
IV.3. Định mức dụng cụ
IV.4. Định mức vật liệu
CHƯƠNG III. LẬP DỰ ÁN ĐIỀU TRA, ĐÁNH GIÁ TÀI NGUYÊN NƯỚC
I. Định mức lao động
I.1. Nội dung công việc
I.1.1. Thu thập các tài liệu liên quan đến vùng lập đề án, dự án;
I.1.2. Tổng hợp phân tích tài liệu;
I.1.3. Thiết kế phương pháp, khối lượng các dạng công tác, dự kiến các kết quả đạt được; sản phẩm giao nộp;
I.1.4. Lập kế hoạch tổ chức thực hiện;
I.1.5. Dự toán kinh phí;
I.1.6. Phân tích hiệu quả và đánh giá mức độ rủi ro của đề án, dự án;
I.1.7. Phục vụ kiểm tra, xét duyệt đề án, dự án.
I.2. Phân loại khó khăn
I.2.1. Các công việc chưa tính trong định mức
I.2.2. Điều kiện áp dụng và các hệ số điều chỉnh
1. Điều kiện áp dụng
2. Các hệ số điều chỉnh
I.3. Định biên lao động
I.4. Định mức lao động
II. Định mức thiết bị
III. Định mức dụng cụ
IV. Định mức vật liệu
PHẦN III. PHỤ LỤC
PHÂN CẤP THEO MỨC ĐỘ PHỨC TẠP CỦA CẤU TRÚC ĐỊA CHẤT, ĐỊA CHẤT THỦY VĂN
Bạn chưa Đăng nhập thành viên.
Đây là tiện ích dành cho tài khoản thành viên. Vui lòng Đăng nhập để xem chi tiết. Nếu chưa có tài khoản, vui lòng Đăng ký tại đây!
Bạn chưa Đăng nhập thành viên.
Đây là tiện ích dành cho tài khoản thành viên. Vui lòng Đăng nhập để xem chi tiết. Nếu chưa có tài khoản, vui lòng Đăng ký tại đây!