- Tổng quan
- Nội dung
- VB gốc
- Tiếng Anh
- Hiệu lực
- VB liên quan
- Lược đồ
-
Nội dung hợp nhất
Tính năng này chỉ có tại LuatVietnam.vn. Nội dung hợp nhất tổng hợp lại tất cả các quy định còn hiệu lực của văn bản gốc và các văn bản sửa đổi, bổ sung, đính chính... trên một trang. Việc hợp nhất văn bản gốc và những văn bản, Thông tư, Nghị định hướng dẫn khác không làm thay đổi thứ tự điều khoản, nội dung.
Khách hàng chỉ cần xem Nội dung hợp nhất là có thể nắm bắt toàn bộ quy định hiện hành đang áp dụng, cho dù văn bản gốc đã qua nhiều lần chỉnh sửa, bổ sung.
- Tải về
Thông tư 04/2014/TT-BKHCN đánh giá trình độ công nghệ sản xuất
| Cơ quan ban hành: | Bộ Khoa học và Công nghệ |
Số công báo:
Số công báo là mã số ấn phẩm được đăng chính thức trên ấn phẩm thông tin của Nhà nước. Mã số này do Chính phủ thống nhất quản lý.
|
Đã biết
|
| Số hiệu: | 04/2014/TT-BKHCN | Ngày đăng công báo: |
Đã biết
|
| Loại văn bản: | Thông tư | Người ký: | Nguyễn Quân |
|
Ngày ban hành:
Ngày ban hành là ngày, tháng, năm văn bản được thông qua hoặc ký ban hành.
|
08/04/2014 |
Ngày hết hiệu lực:
Ngày hết hiệu lực là ngày, tháng, năm văn bản chính thức không còn hiệu lực (áp dụng).
|
Đã biết
|
|
Áp dụng:
Ngày áp dụng là ngày, tháng, năm văn bản chính thức có hiệu lực (áp dụng).
|
Đã biết
|
Tình trạng hiệu lực:
Cho biết trạng thái hiệu lực của văn bản đang tra cứu: Chưa áp dụng, Còn hiệu lực, Hết hiệu lực, Hết hiệu lực 1 phần; Đã sửa đổi, Đính chính hay Không còn phù hợp,...
|
Đã biết
|
| Lĩnh vực: | Khoa học-Công nghệ |
TÓM TẮT THÔNG TƯ 04/2014/TT-BKHCN
Ngày 08/04/2014, Bộ Khoa học và Công nghệ đã ban hành Thông tư số 04/2014/TT-BKHCN hướng dẫn đánh giá trình độ công nghệ sản xuất. Các ngành sản xuất được áp dụng nội dung và quy trình đánh giá này bao gồm: Chế biến, chế tạo, lắp ráp và các ngành công nghiệp hỗ trợ.
Theo hướng dẫn của Thông tư này, công nghệ sản xuất được chia thành 04 nhóm thành phần cơ bản: Nhóm thiết bị công nghệ thể hiện trong máy móc, công cụ, phương tiện (viết tắt là T); nhóm nhân lực thể hiện trong năng lực tiếp thu kỹ thuật công nghệ phục vụ sản xuất (H); nhóm thông tin thể hiện trong các tài liệu, dữ liệu thông tin (I); nhóm tổ chức quản lý thể hiện trong công tác tổ chức, quản lý (O).
Việc đánh giá trình độ công nghệ sản xuất của doanh nghiệp hay ngành được thực hiện trên cơ sở mức đạt được của các tiêu chí thuộc bốn nhóm thành phần cơ bản T, H, I, O. Các tiêu chí này bao gồm: Mức độ hao mòn thiết bị, công nghệ; Cường độ vốn thiết bị, công nghệ; Mức độ đổi mới thiết bị, công nghệ; Xuất xứ của thiết bị, công nghệ; Mức độ tự động hóa; Mức độ đồng bộ của TBCN; tỷ lệ chi phí năng lượng sản xuất… Căn cứ vào tổng số điểm đạt được (sử dụng thang điểm 100 điểm) của các tiêu chí này để phân loại trình độ công nghệ theo 04 mức: Tiên tiến, trung bình tiên tiến, trung bình và lạc hậu.
Thông tư này có hiệu lực thi hành kể từ ngày 01/06/2014.
Xem chi tiết Thông tư 04/2014/TT-BKHCN có hiệu lực kể từ ngày 01/06/2014
Tải Thông tư 04/2014/TT-BKHCN
|
BỘ KHOA HỌC VÀ CÔNG NGHỆ Số: 04/2014/TT-BKHCN |
CỘNG HÒA XÃ HỘI CHỦ NGHĨA VIỆT NAM Hà Nội, ngày 08 tháng 04 năm 2014 |
THÔNG TƯ
HƯỚNG DẪN ĐÁNH GIÁ TRÌNH ĐỘ CÔNG NGHỆ SẢN XUẤT
-------------------
Căn cứ Nghị định số 20/2013/NĐ-CP ngày 26 tháng 02 năm 2013 của Chính phủ quy định chức năng, nhiệm vụ, quyền hạn và cơ cấu tổ chức của Bộ Khoa, học và Công nghệ;
Thực hiện Chương trình đổi mới công nghệ quốc gia đến năm 2020 được Thủ tướng Chính phủ phê duyệt tại Quyết định số 677/QĐ-TTg ngày 10 tháng 5 năm 2011;
Xét đề nghị của Vụ trưởng Vụ Đánh giá, Thẩm định và Giám định Công nghệ,
Bộ trưởng Bộ Khoa học và Công nghệ ban hành Thông tư hướng dẫn đánh giá trình độ công nghệ sản xuất.
Chương 1.
NHỮNG QUY ĐỊNH CHUNG
Điều 1. Phạm vi điều chỉnh và đối tượng áp dụng
1. Thông tư này hướng dẫn nội dung và quy trình đánh giá trình độ công nghệ trong các ngành sản xuất, bao gồm: chế biến, chế tạo, lắp ráp và các ngành công nghiệp hỗ trợ.
2. Cơ quan, doanh nghiệp, tổ chức khác và cá nhân tham gia hoạt động đánh giá trình độ công nghệ thực hiện theo các quy định tại Thông tư này.
3. Kết quả đánh giá trình độ công nghệ sản xuất là cơ sở để các cơ quan, doanh nghiệp, tổ chức đề xuất giải pháp, chính sách nhằm đổi mới, nâng cao trình độ công nghệ sản xuất của doanh nghiệp, ngành hoặc địa phương.
Điều 2. Giải thích từ ngữ
Trong Thông tư này, các từ ngữ dưới đây được hiểu như sau:
1. Trình độ công nghệ sản xuất là mức đạt được của công nghệ sản xuất và được đánh giá theo 04 mức: tiên tiến, trung bình tiên tiến, trung bình và lạc hậu.
2. Đánh giá trình độ công nghệ sản xuất là hoạt động phân tích, nhận dạng hiện trạng trình độ công nghệ của doanh nghiệp hay ngành sản xuất theo các tiêu chí nhất định nhằm xác định điểm mạnh, điểm yếu của các thành phần công nghệ để từ đó đề xuất các giải pháp, chính sách nhằm đổi mới công nghệ, nâng cao hiệu quả và trình độ công nghệ sản xuất của doanh nghiệp hoặc ngành.
3. Hệ số đóng góp công nghệ là hệ số thể hiện mức độ đóng góp của công nghệ vào giá trị gia tăng của doanh nghiệp hay ngành.
4. Ngành sản xuất là tập hợp các doanh nghiệp sản xuất cùng một nhóm sản phẩm thuộc phân ngành cấp 2 của ngành công nghiệp chế biến, chế tạo trong Hệ thống ngành kinh tế Việt Nam (ban hành kèm theo Quyết định số 10/2007/QĐ-TTg ngày 23 tháng 01 năm 2007 của Thủ tướng Chính phủ).
5. Dây chuyền công nghệ sản xuất là hệ thống các thiết bị, công cụ, phương tiện được bố trí lắp đặt theo sơ đồ, quy trình công nghệ bảo đảm vận hành đồng bộ để sản xuất sản phẩm.
6. Số lao động là tổng số người làm việc bình quân của doanh nghiệp trong năm thực hiện đánh giá trình độ công nghệ, không tính những người có thời gian làm việc dưới 03 tháng.
Điều 3. Nguyên tắc đánh giá trình độ công nghệ sản xuất
1. Công nghệ sản xuất được chia thành bốn nhóm thành phần cơ bản: Nhóm thiết bị công nghệ thể hiện trong máy móc, công cụ, phương tiện viết tắt là T (Technoware); nhóm nhân lực thể hiện trong năng lực tiếp thu kỹ thuật công nghệ phục vụ sản xuất viết tắt là H (Humanware); nhóm thông tin thể hiện trong các tài liệu, dữ liệu thông tin viết tắt là I (Infoware); nhóm tổ chức, quản lý thể hiện trong công tác tổ chức, quản lý viết tắt là O (Orgaware).
Việc đánh giá trình độ công nghệ sản xuất của doanh nghiệp hay ngành được thực hiện trên cơ sở mức đạt được của các tiêu chí thuộc bốn nhóm thành phần cơ bản T, H, I, O.
2. Đánh giá trình độ công nghệ sản xuất về mặt định lượng, sử dụng thang điểm chung (100 điểm) để đưa về cùng một mặt bằng đánh giá. Căn cứ vào tổng số điểm đạt được của các tiêu chí để phân loại trình độ công nghệ.
Điểm của các tiêu chí được xác định theo số liệu điều tra, thu thập tại doanh nghiệp. Bộ mẫu phiếu điều tra quy định tại Phụ lục I của Thông tư này.
3. Hệ số đóng góp công nghệ được tính toán dựa trên số điểm đạt được của các nhóm T, H, I, O và thể hiện bằng biểu đồ hình thoi là các căn cứ để đưa ra nhận xét và kết luận trong Báo cáo kết quả đánh giá trình độ công nghệ sản xuất.
4. Điểm của một số tiêu chí (tiêu chí 2, 7, 8 và 16) phụ thuộc nhiều vào tính chất, đặc điểm công nghệ của từng ngành và thay đổi thường xuyên theo sự phát triển kinh tế - xã hội. Do đó, để xác định điểm của các tiêu chí này cần dựa trên chuẩn so sánh của mỗi ngành, tại thời điểm đánh giá.
Một số tiêu chí thống nhất áp dụng chuẩn so sánh theo ngành quy định tại Phụ lục II của Thông tư này. Trên cơ sở đề xuất của các Bộ, ngành có liên quan, Bộ Khoa học và Công nghệ xem xét, điều chỉnh chuẩn so sánh cho phù hợp với thực tế phát triển kinh tế - xã hội từng thời kỳ.
Chương 2.
TIÊU CHÍ ĐÁNH GIÁ TRÌNH ĐỘ CÔNG NGHỆ SẢN XUẤT
Điều 4. Nhóm tiêu chí về thiết bị công nghệ - tối đa 45 điểm
Trong đó:

- Gbđ là tổng giá trị các TBCN ban đầu (nguyên giá);
- Gsx là tổng giá trị TBCN hiện tại (đã được khấu hao).
Giá trị TBCN được lấy từ báo cáo tài chính năm liền kề trước năm thực hiện đánh giá trình độ công nghệ của doanh nghiệp. Điểm của tiêu chí này được xác định như sau:
|
- Mức độ hao mòn dưới 15% |
6 điểm |
|
- Mức độ hao mòn từ 15% đến dưới 30% |
5 điểm |
|
- Mức độ hao mòn từ 30% đến dưới 45% |
4 điểm |
|
- Mức độ hao mòn từ 45% đến dưới 60% |
3 điểm |
|
- Mức độ hao mòn từ 60% đến dưới 75% |
2 điểm |
|
- Mức độ hao mòn trên 75% |
1 điểm |

- M là tổng số lao động.
Điểm của tiêu chí này được xác định theo hệ số cường độ vốn TBCN trung bình của từng ngành (Kchuẩn 1) như sau:
|
- Kcđ ³ 2Kchuẩn 1 |
3 điểm |
|
- 2Kchuẩn 1 > Kcđ ³ Kchuẩn 1 |
2 điểm |
|
- Kcđ <>chuẩn 1 |
1 điểm |

- Gtbm là tổng giá trị TBCN mới lắp đặt và vận hành sản xuất trong thời gian 05 năm;
- Gsx là tổng giá trị TBCN hiện tại. Điểm của tiêu chí này được xác định như sau:
|
- Hệ số đổi mới TBCN từ 25% trở lên |
5 điểm |
|
- Hệ số đổi mới TBCN từ 20% đến dưới 25% |
4 điểm |
|
- Hệ số đổi mới TBCN từ 15% đến dưới 20% |
3 điểm |
|
- Hệ số đổi mới TBCN từ 10% đến dưới 15% |
2 điểm |
|
- Hệ số đổi mới TBCN dưới 10% |
1 điểm |
| - Xuất xứ TBCN từ các nước G7 | 3 điểm |
| - Xuất xứ TBCN từ các nước phát triển hoặc các nước mới phát triển | 2 điểm |
| - Xuất xứ TBCN từ các nước còn lại | 1 điểm |

- Gtđh là giá trị các thiết bị tự động hóa, được xác định bằng tổng giá trị các thiết bị tự động hóa nhân với hệ số mức độ tự động hóa chia cho 3 (ba). Hệ số mức độ tự động hóa xác định theo số liệu điều tra thu thập tại Bảng B, Phụ lục II của Thông tư này. - Gsx là tổng giá trị TBCN hiện tại.
Điểm của tiêu chí này được xác định như sau:
|
- Hệ số tự động hóa từ 90% trở lên |
5 điểm |
|
- Hệ số tự động hóa từ 75% đến dưới 90% |
4 điểm |
|
- Hệ số tự động hóa từ 60% đến dưới 75% |
3 điểm |
|
- Hệ số tự động hóa từ 45% đến dưới 60% |
2 điểm |
|
- Hệ số tự động hóa từ 30% đến dưới 45% |
1 điểm |
|
- Hệ số tự động hóa dưới 30% |
0 điểm |

- Gđb là tổng giá trị các TBCN đồng bộ;
- Gsx là tổng giá trị TBCN hiện tại. Trường hợp trong doanh nghiệp có nhiều sản phẩm khác nhau được sản xuất trên nhiều dây chuyền sản xuất thì hệ số đồng bộ của doanh nghiệp tính bằng hệ số đồng bộ trung bình theo giá trị của các dây chuyền sản xuất đó. Điểm của tiêu chí này được xác định như sau:
|
- Hệ số đồng bộ từ 75% trở lên |
4 điểm |
|
- Hệ số đồng bộ từ 60% đến dưới 75% |
3 điểm |
|
- Hệ số đồng bộ từ 45% đến dưới 60% |
2 điểm |
|
- Hệ số đồng bộ dưới 45% |
1 điểm |

|
- Knl £ 0,2Kchuẩn 2 |
6 điểm |
|
- 0,2Kchuẩn 2 <>nl £ Kchuẩn 2 |
5 điểm |
|
- 0,5Kchuẩn 2 <>nl £ Kchuẩn 2 |
4 điểm |
|
- Kchuẩn 2 <>nl £ 1,5Kchuẩn 2 |
3 điểm |
|
- 1,5Kchuẩn 2 <>nl £ 2,0Kchuẩn 2 |
2 điểm |
|
- Knl > 2,0Kchuẩn 2 |
1 điểm |

|
- Knl £ 0,2Kchuẩn 3 |
6 điểm |
|
- 0,2Kchuẩn 3 <>nvl £ 0,5Kchuẩn 3 |
5 điểm |
|
- 0,5Kchuẩn 3 <>nvl £ 1,0Kchuẩn 3 |
4 điểm |
|
- 1,0Kchuẩn 3 <>nvl £ 1,5Kchuẩn 3 |
3 điểm |
|
- 1,5Kchuẩn 3 <>nvl £ 2,0Kchuẩn 3 |
2 điểm |
|
- 2,0Kchuẩn 3 <>nvl £ 2,5Kchuẩn 3 |
1 điểm |
|
- Knvl > 2,5Kchuẩn 3 |
0 điểm |
| - Đạt tiêu chuẩn quốc gia và xuất khẩu trên 50% | 3 điểm |
| - Có chứng chỉ đạt tiêu chuẩn quốc gia | 2 điểm |
| - Chưa có chứng chỉ đạt tiêu chuẩn quốc gia | 1 điểm |
| - Có CGCN, ƯDCN mới và được bảo hộ quyền SHTT | 4 điểm |
| - Có CGCN và có ƯDCN nhưng chưa được bảo hộ quyền SHTT hoặc có ƯDCN và đã được bảo hộ quyền SHTT | 3 điểm |
| - Có CGCN hoặc có ƯDCN mới | 2 điểm |
| - Trường hợp khác | 1 điểm |
Điều 5. Nhóm tiêu chí về nhân lực - tối đa 22 điểm

Trong đó:
- M1 là số lao động có trình độ đại học, cao đẳng trở lên và được bố trí đúng ngành nghề được đào tạo;
- M là tổng số lao động. Điểm của tiêu chí này được xác định như sau:
|
- Tỷ lệ đại học, cao đẳng từ 20% trở lên |
4 điểm |
|
- Tỷ lệ đại học, cao đẳng từ 10% đến dưới 20% |
3 điểm |
|
- Tỷ lệ đại học, cao đẳng từ 5% đến dưới 10% |
2 điểm |
|
- Tỷ lệ đại học, cao đẳng từ 2,5% đến dưới 5% |
1 điểm |
|
- Tỷ lệ đại học, cao đẳng dưới 2,5% |
0 điểm |

- M2 là số thợ bậc cao trong doanh nghiệp (bậc 5 trở lên đối với thang lương 6 bậc hoặc 7 bậc, bậc 4 trở lên đối với thang lương 5 bậc, bậc cao nhất đối với thang lương có 4 bậc trở xuống);
- Mtt là tổng số lao động trực tiếp. Điểm của tiêu chí này được xác định như sau:
|
- Tỷ lệ thợ bậc cao từ 20% trở lên |
4 điểm |
|
- Tỷ lệ thợ bậc cao từ 10% đến dưới 20% |
3 điểm |
|
- Tỷ lệ thợ bậc cao từ 5% đến dưới 10% |
2 điểm |
|
- Tỷ lệ thợ bậc cao dưới 5% |
1 điểm |

Trong đó:
- M3 là số cán bộ quản lý có trình độ đại học trở lên, phù hợp với chức danh quản lý trong doanh nghiệp; - Mql là tổng số cán bộ khối quản lý trong doanh nghiệp. Điểm của tiêu chí này được xác định như sau:
|
- H3 ³ 50% |
2 điểm |
|
- 50% > H3 ³ 25% |
1 điểm |
|
- H3 <> |
0 điểm |
| - H4 ³ 80% | 3 điểm |
| - 80% > H4 ³ 50% | 2 điểm |
| - 50% > H4 ³ 20% | 1 điểm |
| - H4 <> | 0 điểm |
| - Kđt ³ 3,0% | 5 điểm |
| - 3,0% > Kđt ³ 1,5% | 4 điểm |
| - 1,5% > Kđt ³ 0,5% | 3 điểm |
| - 0,5% > Kđt ³ 0,1% | 2 điểm |
| - Kđt <> | 1 điểm |
| - Kns ³ 2,0Kchuẩn 4 | 4 điểm |
| - 2,0Kchuẩn 4 > Kns ³ Kchuẩn 4 | 3 điểm |
| - Kchuẩn 4 > Kns ³ 0,5Kchuẩn 4 | 2 điểm |
| - 0,5Kchuẩn 4 > Kns ³ 0,25Kchuẩn 4 | 1 điểm |
| - Kns <>chuẩn 4 | 0 điểm |
Điều 6. Nhóm tiêu chí về thông tin - tối đa 15 điểm
| - Có đầy đủ 3 nội dung thông tin phục vụ sản xuất | 4 điểm |
| - Có 2 trong 3 nội dung thông tin phục vụ sản xuất | 3 điểm |
| - Có 1 trong 3 nội dung thông tin phục vụ sản xuất | 2 điểm |
| - Các thông tin phục vụ sản xuất chưa đầy đủ | 1 điểm |
| - Có đầy đủ các nội dung thông tin phục vụ quản lý | 4 điểm |
| - Có 3 trong 4 nội dung thông tin phục vụ quản lý | 3 điểm |
| - Có 2 trong 4 nội dung thông tin phục vụ quản lý | 2 điểm |
| - Thiếu 3 nội dung thông tin phục vụ quản lý | 1 điểm |
| - Đầy đủ các phương tiện thông tin cơ bản (điện thoại, fax, máy vi tính, mạng LAN, mạng internet,...) | 3 điểm |
| - Chỉ thiếu mạng LAN hoặc internet | 2 điểm |
| - Thiếu mạng LAN và internet | 1 điểm |
| - Không có các phương tiện thông tin cơ bản | 0 điểm |
| - Tỷ lệ chi phí thông tin từ 0,25% trở lên | 4 điểm |
| - Tỷ lệ chi phí thông tin từ 0,05% đến dưới 0,25% | 3 điểm |
| - Tỷ lệ chi phí thông tin từ 0,01% đến dưới 0,05% | 2 điểm |
| - Tỷ lệ chi phí thông tin dưới 0,01% | 1 điểm |
Điều 7. Nhóm tiêu chí về tổ chức, quản lý - tối đa 18 điểm
| - Ktbtt ³ 75% | 5 điểm |
| - 75% > Ktbtt ³ 60% | 4 điểm |
| - 60% > Ktbtt ³ 45% | 3 điểm |
| - 45% > Ktbtt ³ 30% | 2 điểm |
| - 30% > Ktbtt ³ 15% | 1 điểm |
| - Ktbtt <> | 0 điểm |

Trong đó:
- Gspm là tổng giá trị sản phẩm được đổi mới;
- Gspnt là tổng giá trị sản phẩm sản xuất ra trong năm trước;
- Gsptt là tổng giá trị sản phẩm được tiêu thụ; - Gsp là tổng giá trị sản phẩm sản xuất; Điểm của tiêu chí này được xác định như sau:
|
- Chỉ số phát triển đổi mới sản phẩm từ 15% trở lên |
4 điểm |
|
- Chỉ số phát triển đổi mới sản phẩm từ 5% đến dưới 15% |
3 điểm |
|
- Chỉ số phát triển đổi mới sản phẩm từ 1% đến dưới 5% |
2 điểm |
|
- Chỉ số phát triển đổi mới sản phẩm dưới 1% |
1 điểm |
| - Có đầy đủ chiến lược phát triển | 2 điểm |
| - Chưa có chiến lược phát triển đầy đủ | 1 điểm |
| - Đã được cấp chứng chỉ ISO 9001 hoặc HACCP, SA 8000, GMP,... | 3 điểm |
| - Đã xây dựng và áp dụng theo ISO 9001 hoặc HACCP, SA 8000, GMP,... nhưng chưa được cấp chứng chỉ | 2 điểm |
| - Có hệ thống quản lý sản xuất nhưng chưa áp dụng theo ISO 9001 hoặc HACCP, SA 8000, GMP,... | 1 điểm |
| - Đạt tiêu chuẩn ISO 14001 | 4 điểm |
| - Xử lý chất thải đạt yêu cầu từ 70% trở lên | 3 điểm |
| - Xử lý chất thải đạt yêu cầu từ 50% đến dưới 70% | 2 điểm |
| - Xử lý chất thải đạt yêu cầu từ 30% đến dưới 50% | 1 điểm |
| - Xử lý chất thải đạt yêu cầu dưới 30% | 0 điểm |
Chương 3.
NỘI DUNG VÀ QUY TRÌNH ĐÁNH GIÁ TRÌNH ĐỘ CÔNG NGHỆ SẢN XUẤT
Điều 8. Đánh giá trình độ công nghệ sản xuất của doanh nghiệp
1. Xác định số điểm từng nhóm thành phần công nghệ (T, H, I, O) và tổng số điểm các nhóm thành phần công nghệ của doanh nghiệp theo hướng dẫn tại mục 1 và mục 2, Phụ lục III của Thông tư này.
2. Tính toán hệ số đóng góp công nghệ của doanh nghiệp và vẽ biểu đồ hình thoi theo hướng dẫn tại mục 3 và mục 7, Phụ lục III của Thông tư này.
3. Phân loại trình độ công nghệ theo tổng số điểm đạt được và hệ số đóng góp công nghệ của doanh nghiệp:
a) Trình độ công nghệ lạc hậu: hệ số đóng góp công nghệ nhỏ hơn 0,3 hoặc tổng số điểm các thành phần công nghệ nhỏ hơn 35 điểm;
b) Trình độ công nghệ trung bình: hệ số đóng góp công nghệ từ 0,3 trở lên và tổng số điểm các thành phần công nghệ từ 35 điểm đến dưới 60 điểm;
c) Trình độ công nghệ trung bình tiên tiến: hệ số đóng góp công nghệ từ 0,5 trở lên và tổng số điểm các thành phần công nghệ từ 60 điểm đến dưới 75 điểm;
d) Trình độ công nghệ tiên tiến: hệ số đóng góp công nghệ từ 0,65 trở lên và tổng số điểm các thành phần công nghệ bằng hoặc trên 75 điểm.
Điều 9. Đánh giá trình độ công nghệ sản xuất của ngành
1. Xác định số điểm các nhóm thành phần công nghệ (T, H, I, O), tổng số điểm các thành nhóm phần công nghệ của ngành sản xuất theo hướng dẫn tại mục 4 và mục 5, Phụ lục III của Thông tư này.
2. Tính toán hệ số đóng góp công nghệ và vẽ biểu đồ hình thoi cho ngành sản xuất được đánh giá theo hướng dẫn tại mục 6 và mục 7, Phụ lục III của Thông tư này.
3. Phân loại trình độ công nghệ của ngành sản xuất dựa trên tổng số điểm đạt được và hệ số đóng góp công nghệ của ngành (thực hiện tương tự như hướng dẫn đối với doanh nghiệp tại khoản 3, Điều 8 Thông tư này).
4. Căn cứ vào kết quả phân loại trình độ công nghệ, hệ số đóng góp công nghệ, biểu đồ hình thoi của từng doanh nghiệp, so sánh với kết quả của các doanh nghiệp khác cùng một ngành sản xuất và so sánh với kết quả chung của ngành sản xuất đó.
Điều 10. Quy định về phân tích, đánh giá
1. Những nội dung quy định trong Thông tư này hướng dẫn chung để đánh giá trình độ công nghệ sản xuất của doanh nghiệp hoặc đánh giá trình độ công nghệ sản xuất của ngành hoặc địa phương. Khi có nhu cầu đánh giá trình độ công nghệ sản xuất, các tổ chức căn cứ hướng dẫn để xây dựng kế hoạch đánh giá trình độ công nghệ cụ thể cho doanh nghiệp, ngành hay địa phương.
2. Khi tiến hành đánh giá trình độ công nghệ sản xuất của ngành hoặc địa phương phải thực hiện lần lượt các bước sau:
a) Lựa chọn mẫu doanh nghiệp đại diện cho ngành hoặc địa phương;
b) Đánh giá trình độ công nghệ từng doanh nghiệp;
c) Đánh giá trình độ công nghệ từng ngành trên cơ sở tính toán, tổng hợp kết quả đánh giá trình độ công nghệ các doanh nghiệp thuộc ngành đó;
d) Đánh giá tổng quát trình độ công nghệ của địa phương trên cơ sở tổng hợp kết quả đánh, giá trình độ công nghệ các ngành thuộc địa phương.
Điều 11. Quy trình đánh giá trình độ công nghệ sản xuất
1. Công tác chuẩn bị
a) Thành lập nhóm đánh giá trình độ công nghệ, gồm tối thiểu 03 thành viên là những cán bộ có chuyên môn phù hợp và có kinh nghiệm trong các ngành sản xuất sản phẩm, trong đó có 01 thành viên là trưởng nhóm.
b) Nhóm đánh giá trình độ công nghệ xây dựng kế hoạch đánh giá trình độ công nghệ sản xuất, gồm các nội dung cơ bản sau:
- Mục tiêu đánh giá;
- Xác định các ngành sản xuất, số lượng doanh nghiệp cần đánh giá;
- Thời gian và tiến độ thực hiện các bước;
- Dự toán kinh phí triển khai.
Việc xác định mục tiêu, ngành và số lượng doanh nghiệp cần đánh giá trình độ công nghệ sản xuất thực hiện theo định hướng của cơ quan chủ quản phù hợp với đặc điểm của từng ngành hoặc từng địa phương.
c) Kế hoạch đánh giá trình độ công nghệ sản xuất được cơ quan có thẩm quyền phê duyệt trước khi triển khai.
2. Tổ chức điều tra thu thập số liệu tại doanh nghiệp
a) Tổ chức đào tạo, tập huấn công tác điều tra thu thập thông tin, số liệu cho các thành viên nhóm đánh giá trình độ công nghệ.
b) Cử thành viên nhóm đánh giá trình độ công nghệ đến các doanh nghiệp thu thập thông tin, số liệu. Các thành viên có thể được phân thành các tổ và được giao nhiệm vụ cụ thể phù hợp với tình hình thực tế điều tra thu thập thông tin, số liệu tại doanh nghiệp.
c) Tập hợp số liệu, viết báo cáo điều tra.
3. Phân tích đánh giá
a) Tập hợp các phiếu điều tra từ các doanh nghiệp;
b) Xử lý thông tin, kiểm tra số liệu điều tra;
c) Tính toán, vẽ biểu đồ, phân loại, nhận xét về trình độ công nghệ sản xuất các doanh nghiệp;
d) Tính toán, vỗ biểu đồ, phân loại, nhận xét về trình độ công nghệ sản xuất của từng ngành;
đ) Viết báo cáo kết quả đánh giá trình độ công nghệ sản xuất.
4. Tổng kết
a) Họp báo cáo kết quả đánh giá trình độ công nghệ sản xuất;
b) Hoàn thiện, gửi, lưu giữ các báo cáo và số liệu điều tra;
c) Nghiệm thu, thanh quyết toán tài chính theo quy định.
Chương 4.
KINH PHÍ VÀ TỔ CHỨC THỰC HIỆN
Điều 12. Kinh phí thực hiện
1. Kinh phí thực hiện đánh giá trình độ công nghệ sản xuất của ngành hoặc địa phương được lấy từ nguồn ngân sách sự nghiệp khoa học và công nghệ và các nguồn huy động hợp pháp khác của ngành hoặc địa phương.
2. Nội dung chi, mức chi được áp dụng theo quy định về định mức xây dựng và phân bổ dự toán kinh phí đối với nhiệm vụ khoa học và công nghệ có sử dụng ngân sách hiện hành trên cơ sở phù hợp với mức dự toán chi ngân sách nhà nước hằng năm được giao.
3. Việc thanh, quyết toán kinh phí thực hiện theo quy định của Luật ngân sách nhà nước và các văn bản hướng dẫn.
4. Trường hợp doanh nghiệp tự tổ chức đánh giá trình độ công nghệ sản xuất để nghiên cứu xây dựng chiến lược đổi mới công nghệ, nâng cao năng lực sản xuất kinh doanh của mình thì kinh phí do doanh nghiệp đó tự chi trả.
Điều 13. Tổ chức thực hiện
1. Căn cứ vào yêu cầu của từng ngành, từng địa phương, định kỳ theo kế hoạch 5 năm, các Bộ, ngành và Ủy ban nhân dân các tỉnh, thành phố trực thuộc trung ương chỉ đạo thực hiện việc đánh giá trình độ công nghệ sản xuất thuộc phạm vi quản lý của mình và gửi Báo cáo kết quả đánh giá trình độ công nghệ sản xuất về Bộ Khoa học và Công nghệ để tổng hợp, xây dựng cơ sở dữ liệu chung toàn quốc.
2. Doanh nghiệp có nghĩa vụ phối hợp và cung cấp số liệu khi Bộ, ngành hoặc Ủy ban nhân dân các tỉnh, thành phố trực thuộc trung ương triển khai đánh giá trình độ công nghệ sản xuất theo quy định của Luật Thống kê và các văn bản hành chính có liên quan.
3. Tổ chức khoa học và công nghệ, tổ chức cung ứng dịch vụ khoa học và công nghệ được tham gia thực hiện tư vấn, cung cấp nhân lực, tham gia thực hiện một phần hoặc ký hợp đồng thực hiện trọn gói quá trình đánh giá trình độ công nghệ sản xuất.
4. Vụ Đánh giá, Thẩm định và Giám định Công nghệ thuộc Bộ Khoa học và Công nghệ có trách nhiệm hướng dẫn, hỗ trợ, theo dõi các Bộ, ngành, địa phương triển khai thực hiện hoạt động đánh giá trình độ công nghệ sản xuất; xây dựng và cập nhật cơ sở dữ liệu chung về trình độ công nghệ sản xuất.
5. Định kỳ, các Bộ, ngành theo chức năng quản lý của mình, căn cứ vào số liệu kết quả đánh giá trình độ công nghệ sản xuất của kỳ trước và xu hướng phát triển công nghệ xác định lại chuẩn so sánh của một số tiêu chí phù hợp theo từng ngành, gửi về Bộ Khoa học và Công nghệ để tổng hợp, thống nhất áp dụng chung trên phạm vi toàn quốc.
Điều 14. Hiệu lực thi hành
1. Thông tư này có hiệu lực kể từ ngày 01 tháng 6 năm 2014.
2. Trong quá trình thực hiện, nếu có vấn đề khó khăn, vướng mắc đề nghị các tổ chức, cá nhân phản ánh về Bộ Khoa học và Công nghệ để sửa đổi, bổ sung cho phù hợp.
|
Nơi nhận: |
BỘ TRƯỞNG |
PHỤ LỤC I
PHIẾU ĐIỀU TRA CÔNG NGHỆ SẢN XUẤT
(Ban hành kèm theo Thông tư số 04/2014/TT-BKHCN ngày 08 tháng 4 năm 2014 của Bộ trưởng Bộ Khoa học và Công nghệ)
A. THÔNG TIN CHUNG CỦA DOANH NGHIỆP
1. Tên doanh nghiệp:
- Tiếng Việt: ................................................................................................................
- Tiếng Anh: ................................................................................................................
- Viết tắt: .....................................................................................................................
2. Địa chỉ: ...................................................................................................................
...................................................................................................................................
3. Tel: ……………………………………………………….. 4. Fax: .....................................
5. Email: ……………………………………………………. 6. Website: ...............................
7. Loại hình DN:
|
£ DN Nhà nước |
£ DN Tư nhân |
£ Công ty TNHH |
|
£ DN 100% vốn nước ngoài |
£ DN Liên doanh |
£ Công ty Cổ phần |
8. Quy mô doanh nghiệp:
|
£ nhỏ |
£ vừa |
£ lớn |
9. Ngành nghề đăng ký sản xuất kinh doanh:
...................................................................................................................................
...................................................................................................................................
...................................................................................................................................
10. Địa chỉ cơ sở sản xuất:
- Nhà máy 1 ................................................................................................................
- Nhà máy 2 ................................................................................................................
- Nhà máy 3 ................................................................................................................
11. Cơ quan chủ quản hoặc công ty mẹ, công ty có cổ phần chi phối:
...................................................................................................................................
...................................................................................................................................
12. Giám đốc điều hành: ..............................................................................................
13. Người đại diện Pháp luật: .......................................................................................
B. THÔNG TIN THIẾT BỊ, CÔNG NGHỆ CỦA DOANH NGHIỆP
|
TT |
Tên thiết bị, công nghệ |
Số lượng |
Xuất xứ |
Năng suất sản phẩm |
Năng suất thực tế |
Công suất điện năng (Kw) |
Năm sản xuất |
Năm đưa vào sử dụng |
Hệ số mức độ tự động hóa |
Nguyên giá (VNĐ) |
Giá trị còn lại (VNĐ) |
||
|
Bán tự động hoặc máy vạn năng, chuyên dùng |
Tự động, chương trình cố định |
Tự động, chương trình linh hoạt |
|||||||||||
|
1 |
|
|
|
|
|
|
|
|
|
|
|
|
|
|
2 |
|
|
|
|
|
|
|
|
|
|
|
|
|
|
3 |
|
|
|
|
|
|
|
|
|
|
|
|
|
|
4 |
|
|
|
|
|
|
|
|
|
|
|
|
|
|
5 |
|
|
|
|
|
|
|
|
|
|
|
|
|
|
6 |
|
|
|
|
|
|
|
|
|
|
|
|
|
|
7 |
|
|
|
|
|
|
|
|
|
|
|
|
|
|
… |
……….. |
|
|
|
|
|
|
|
|
|
|
|
|
|
|
Tổng |
|
|
|
|
|
|
|
|
|
|
|
|
Ghi chú:
- Chỉ nêu những máy móc, thiết bị chính.
- Số liệu giá trị thiết bị lấy theo Báo cáo tài chính của năm liền kề trước năm điều tra.
- Đối với một số ngành sản xuất (như cơ khí, sản xuất trang phục...) máy móc, thiết bị là máy vạn năng không ghi công suất sản phẩm thiết kế, công suất thực tế ghi số giờ vận hành trung bình trên một ca sản xuất.
- Hệ số mức độ tự động hóa các thiết bị quy định: bằng 1 đối với máy bán tự động, máy vạn năng, chuyên dùng; bằng 2 đối với máy tự động chương trình cố định; bằng 3 đối với máy tự động chương trình linh hoạt).
C. THÔNG TIN SẢN XUẤT CỦA DOANH NGHIỆP
|
TT |
Thông tin chung |
Đơn vị tính |
Số lượng |
Giá trị (VNĐ) |
|
2.1 |
Sản phẩm sản xuất: |
|
|
|
|
|
- Tên sản phẩm 1: |
|
|
|
|
|
- Tên sản phẩm 2: |
|
|
|
|
|
- Tên sản phẩm 3: |
|
|
|
|
|
- Sản phẩm khác: |
|
|
|
|
2.2 |
Sản phẩm xuất khẩu: |
|
|
|
|
2.3 |
Nguyên liệu: |
|
|
|
|
|
- Nguyên liệu 1: |
|
|
|
|
|
- Nguyên liệu 2: |
|
|
|
|
|
- Nguyên liệu 3: |
|
|
|
|
|
- Nguyên liệu khác: |
|
|
|
|
2.4 |
Nhiên liệu: |
|
|
|
|
|
- Xăng dầu: |
Kg (lít) |
|
|
|
|
- Than, củi: |
Kg |
|
|
|
|
- Nhiên liệu khác: |
|
|
|
|
2.5 |
Tổng tiêu thụ điện năng: |
Kwh |
|
|
Ghi chú:
- Chỉ điều tra tối đa 3 sản phẩm có doanh thu cao nhất, các sản phẩm khác thống kê giá trị gộp trong mục sản phẩm khác.
- Nguyên vật liệu (NVL) sản xuất chỉ thống kê 03 loại NVL chính, các NVL khác thống kê giá trị gộp trong mục NVL khác.
- Nhiên liệu (NL) chỉ thống kê xăng, dầu, các NL còn lại thống kê giá trị gộp trong mục NL khác.
- Số liệu giá trị lấy theo Báo cáo tài chính của năm liền kề năm điều tra.
D. ỨNG DỤNG ĐỔI MỚI CÔNG NGHỆ
|
TT |
Tên công nghệ |
Nghiên cứu ứng dụng công nghệ mới |
Nhận chuyển giao công nghệ |
Hợp đồng chuyển giao công nghệ |
|||||
|
Năm |
Giá trị |
Xuất xứ |
Năm |
Quy trình công nghệ (giá trị) |
Bí quyết công nghệ (giá trị) |
Đào tạo |
Sở hữu công nghiệp (giá trị) |
||
|
1 |
|
|
|
|
|
|
|
|
|
|
2 |
|
|
|
|
|
|
|
|
|
|
3 |
|
|
|
|
|
|
|
|
|
|
4 |
|
|
|
|
|
|
|
|
|
|
5 |
|
|
|
|
|
|
|
|
|
|
6 |
|
|
|
|
|
|
|
|
|
|
7 |
|
|
|
|
|
|
|
|
|
|
|
Tổng cộng |
|
|
|
|
|
|
|
|
Ghi chú:
- Số liệu giá trị lấy theo tổng chi phí nghiên cứu ứng dụng của mỗi công nghệ, giá trị hợp đồng chuyển giao công nghệ và các chi phí khác để nhận chuyển giao công nghệ đó.
- Số liệu có liên quan đến tài chính lấy từ báo cáo tài chính của năm liền kề trước năm điều tra.
Đ. THÔNG TIN NHÂN LỰC
1. Số lao động của doanh nghiệp:
|
1.1 |
Trực tiếp sản xuất |
Số lượng: |
Số ca: |
|
1.2 |
Quản lý |
Số lượng: |
|
|
1.3 |
Nghiên cứu và phát triển |
Số lượng: |
|
|
1.4 |
Kỹ thuật và công nghệ |
Số lượng: |
|
|
1.5 |
Gián tiếp khác |
Số lượng: |
|
|
|
Tổng số |
|
|
2. Số lao động phân theo chất lượng lao động:
|
2.1 |
Trình độ chuyên môn phù hợp: |
Số lượng: |
|
|
- Cao đẳng: |
Số lượng: |
|
|
- Đại học và trên đại học: |
Số lượng: |
|
2.2 |
Cán bộ quản lý đại học, trên đại học phù hợp |
Số lượng: |
|
2.3 |
Công nhân qua huấn luyện nghề (kể cả trung cấp) |
Số lượng: |
|
2.4 |
Công nhân bậc cao |
Số lượng: |
|
2.5 |
Công nhân chưa qua đào tạo |
Số lượng: |
3. Chi phí nhân lực:
|
3.1 |
Chi phí lao động |
Giá trị: |
|
|
- Lương |
Giá trị: |
|
|
- Bảo hiểm |
Giá trị: |
|
|
- Các phúc lợi khác |
Giá trị: |
|
|
Tổng cộng |
|
|
3.2 |
Chi phí đào tạo, nghiên cứu và phát triển |
Giá trị: |
|
|
- Chi phí đào tạo |
Giá trị: |
|
|
- Chi phí nghiên cứu và phát triển (R&D) |
Giá trị: |
|
|
Tổng cộng |
|
Ghi chú:
- Công nhân qua huấn luyện: chỉ tính đối với trường hợp được huấn luyện, đào tạo từ 6 tháng trở lên;
- Các phúc lợi khác: ăn giữa ca, đưa đón đi làm, nghỉ mát,….;
- Chi phí R&D bao gồm cả chi phí đầu tư trang thiết bị cho phân tích, kiểm tra chất lượng sản phẩm, chi phí cho sáng kiến, cải tiến máy móc thiết bị, chi phí nâng cao chất lượng sản phẩm và phát triển sản phẩm mới...;
- Số liệu có liên quan đến tài chính lấy từ báo cáo tài chính của doanh nghiệp năm liền kề trước năm điều tra.
E. THÔNG TIN VẬN HÀNH SẢN XUẤT CỦA DOANH NGHIỆP
|
1 |
Công suất sản xuất thiết kế |
Số lượng: |
|
|
2 |
Tổng sản phẩm sản xuất trong năm |
Số lượng: |
Giá trị: |
|
|
- Tổng sản phẩm sản xuất năm trước |
Số lượng: |
Giá trị: |
|
|
- Thay đổi so với năm trước |
% |
Giá trị: |
|
3 |
Tổng sản phẩm đạt tiêu chuẩn trong năm |
Số lượng: |
Giá trị: |
|
4 |
Sản phẩm hỏng trong năm |
Số lượng: |
Giá trị: |
|
5 |
Tổng sản phẩm mới trong năm |
Số lượng: |
Giá trị: |
|
|
- Thay đổi mẫu mã |
Số lượng: |
Giá trị: |
|
|
- Thay đổi tính năng |
Số lượng: |
Giá trị: |
|
|
- Thay đổi chất lượng |
Số lượng: |
Giá trị: |
|
6 |
Tổng sản phẩm tiêu thụ trong năm |
Số lượng: |
Giá trị: |
|
|
- Sản phẩm tiêu thụ trong năm trước |
Số lượng: |
Giá trị: |
|
|
- Thay đổi so với năm trước |
% |
Giá trị: |
|
7 |
Giá trị máy móc, thiết bị (nguyên giá) |
Giá trị: |
|
|
|
- Đầu tư mua sắm máy móc, thiết bị mới |
Giá trị: |
|
|
|
- Sửa chữa máy móc, thiết bị |
Giá trị: |
|
|
8 |
Giá trị còn lại của máy móc, thiết bị |
Giá trị: |
|
|
9 |
Khấu hao TSCĐ trong năm |
Giá trị: |
|
|
10 |
Giá thành sản phẩm |
chiếm: % |
Giá trị: |
|
11 |
Tổng doanh thu trong năm |
Giá trị: |
|
|
12 |
Lợi nhuận trước thuế trong năm |
Giá trị: |
|
|
13 |
Thuế và các khoản phải nộp ngân sách |
Giá trị: |
|
|
14 |
Giá trị gia tăng trong năm (Được tính = Tổng giá trị mục V.3 + VI.9+ VI.12) |
Giá trị: |
|
Ghi chú:
- Số liệu trong năm lấy theo Báo cáo tài chính của năm liền kê trước năm điều tra;
- Số liệu năm trước lấy theo Báo cáo tài chính của năm trước năm điều tra một năm;
- Thay đổi so với năm trước: nếu tăng đánh dấn dương (+), nếu giảm đánh dấu âm (-).
G. THÔNG TIN TỔ CHỨC QUẢN LÝ VÀ BẢO VỆ MÔI TRƯỜNG
1. Chiến lược phát triển
|
1.1 |
Chiến lược phát triển về sản phẩm |
Có: £ |
Không: £ |
|
1.2 |
Chiến lược phát triển về thị trường |
Có: £ |
Không: £ |
|
1.3 |
Chiến lược phát triển về nhân lực |
Có: £ |
Không: £ |
|
1.4 |
Chiến lược phát triển về công nghệ |
Có: £ |
Không: £ |
2. Phương thức tổ chức quản lý
|
2.1 |
Áp dụng tiêu chuẩn ISO 9001 |
Có chứng chỉ: £ |
Chưa có: £ |
|
2.2 |
Áp dụng HACCP |
Có chứng chỉ: £ |
Chưa có: £ |
|
2.3 |
Áp dụng tiêu chuẩn SA 8000 |
Có chứng chỉ: £ |
Chưa có: £ |
|
2.4 |
Áp dụng GMP |
Có chứng chỉ: £ |
Chưa có: £ |
|
2.5 |
Áp dụng tiêu chuẩn quản lý khác |
Có chứng chỉ: £ |
Chưa có: £ |
3. Xử lý chất thải
|
3.1 |
Áp dụng theo chuẩn ISO 14001 |
Có chứng chỉ: £ |
Chưa có: £ |
|
3.2 |
Xử lý chất thải |
Có xử lý: £ |
Chưa xử lý: £ |
|
3.3 |
Xử lý chất thải |
Đạt % |
Chi phí xử lý: |
H. TRANG BỊ THÔNG TIN CỦA DOANH NGHIỆP
1. Hệ thống tài liệu của doanh nghiệp:
|
1.1 |
Tài liệu kỹ thuật |
Đầy đủ: £ |
Không đủ: £ |
|
1.2 |
Tài liệu hướng dẫn vận hành |
Đây đủ: £ |
Không đủ: £ |
|
1.3 |
Định mức kỹ thuật |
|
|
|
|
- Định mức vật tư, phụ tùng thay thế cho thiết bị |
Có: £ |
Không: £ |
|
|
- Định mức nhiên liệu cho thiết bị |
Có: £ |
Không: £ |
|
|
- Định mức nguyên liệu cho sản phẩm |
Có: £ |
Không: £ |
|
|
- Định mức nhiên liệu cho sản phẩm |
Có: £ |
Không: £ |
2. Hệ thống thông tin phục vụ quản lý:
|
2.1 |
Hệ thống quản lý về kỹ thuật sản xuất và đào tạo |
Có: £ |
Không: £ |
|
2.2 |
Hệ thống quản lý chất lượng sản phẩm |
Có: £ |
Không: £ |
|
2.3 |
Hệ thống quản lý thị trường, khách hàng |
Có: £ |
Không: £ |
|
2.4 |
Hệ thống thông tin nhà cung ứng |
Có: £ |
Không: £ |
3. Trang thiết bị thông tin:
|
3.1 |
Trang bị điện thoại, Fax, máy vi tính |
Có: £ |
Không đủ: £ |
|
3.2 |
Mạng cục bộ - LAN |
Có: £ |
Không: £ |
|
3.3 |
Kết nối Internet |
Có: £ |
Không: £ |
4. Chi phí thông tin:
|
4.1 |
Chí phí mua, trao đổi thông tin, quảng cáo... |
Giá trị: |
|
4.2 |
Chí phí dịch vụ điện thoại, Fax, Internet |
Giá trị: |
|
4.3 |
Chí phí đầu tư trang thiết bị Thông tin |
Giá trị: |
|
4.4 |
Chí phí thông tin khác |
Giá trị: |
|
|
Tổng cộng: |
|
PHỤ LỤC II
CHUẨN SO SÁNH THEO NGÀNH
áp dụng đánh giá trình độ công nghệ năm 2014-2015
(Ban hành kèm theo Thông tư số: 04/2014/TT-BKHCN ngày 08 tháng 4 năm 2014 của Bộ trưởng Bộ Khoa học và Công nghệ)
|
Số TT |
Tên ngành công nghiệp chế biến, chế tạo |
Mã ngành |
Cường độ vốn trung bình (triệu đồng) |
Chi phí năng lượng trung bình |
Chi phí nguyên liệu trung bình |
Năng suất lao động trung bình (triệu đồng) |
|
1 |
Sản xuất chế biến thực phẩm |
C.10 |
200 |
7% |
75% |
150 |
|
2 |
Sản xuất đồ uống |
C.11 |
200 |
7% |
45% |
200 |
|
3 |
Sản xuất sản phẩm thuốc lá |
C.12 |
200 |
7% |
45% |
200 |
|
4 |
Dệt |
C.13 |
200 |
7% |
65% |
100 |
|
5 |
Sản xuất trang phục |
C.14 |
200 |
7% |
65% |
100 |
|
6 |
Sản xuất da và các sản phẩm có liên quan |
C.15 |
200 |
7% |
65% |
100 |
|
7 |
Chế biến gỗ và sản xuất sản phẩm từ gỗ, tre, nứa (trừ giường, tủ, bàn, ghế); sản xuất sản phẩm từ rơm, rạ và vật liệu tết bện |
C.16 |
200 |
7% |
65% |
100 |
|
8 |
Sản xuất giấy và sản phẩm từ giấy |
C.17 |
300 |
10% |
65% |
150 |
|
9 |
In, sao chéo bản ghi các loại |
C.18 |
300 |
7% |
65% |
150 |
|
10 |
Sản xuất than cốc, sản phẩm dầu mỏ tinh chế |
C.19 |
300 |
10% |
75% |
150 |
|
11 |
Sản xuất hóa chất và sản phẩm hóa chất |
C.20 |
300 |
10% |
55% |
150 |
|
12 |
Sản xuất thuốc, hóa dược và dược liệu |
C.21 |
300 |
7% |
60% |
200 |
|
13 |
Sản xuất sản phẩm từ cao su và plastic |
C.22 |
300 |
10% |
60% |
150 |
|
14 |
Sản xuất sản phẩm từ khoáng phi kim loại khác |
C.23 |
200 |
10% |
55% |
150 |
|
15 |
Sản xuất kim loại |
C.24 |
300 |
10% |
65% |
150 |
|
16 |
Sản xuất sản phẩm từ kim loại đúc sẵn (trừ máy móc, thiết bị) |
C.25 |
300 |
10% |
65% |
150 |
|
17 |
Sản xuất sản phẩm điện tử, máy vi tính và sản phẩm quang học |
C.26 |
300 |
7% |
55% |
150 |
|
18 |
Sản xuất thiết bị điện |
C.27 |
300 |
7% |
65% |
150 |
|
19 |
Sản xuất máy móc, thiết bị chưa được phân vào đâu |
C.28 |
300 |
7% |
55% |
150 |
|
20 |
Sản xuất xe có động cơ |
C.29 |
300 |
7% |
65% |
150 |
|
21 |
Sản xuất phương tiện vận tải khác |
C.30 |
300 |
7% |
65% |
150 |
|
22 |
Sản xuất giường, tủ, bàn, ghế |
C.31 |
200 |
7% |
55% |
100 |
|
23 |
Công nghiệp chế biến, chế tạo khác |
C.32 |
200 |
7% |
55% |
150 |
PHỤ LỤC III
HƯỚNG DẪN TÍNH TOÁN SỐ LIỆU VÀ VẼ BIỂU ĐỒ ĐÁNH GIÁ TRÌNH ĐỘ CÔNG NGHỆ
(Ban hành kèm theo Thông tư số 04/2014/TT-BKHCN ngày 08 tháng 4 năm 2014 của Bộ trưởng Bộ Khoa học và Công nghệ)
1. Tính điểm của các nhóm thành phần công nghệ của doanh nghiệp:

Trong đó: i là thứ tự các tiêu chí trong Bộ tiêu chí;
T(i) là số điểm của tiêu chí thứ i trong nhóm T;
H(i) là số điểm của tiêu chí thứ i trong nhóm H;
I(i) là số điểm của tiêu chí thứ i trong nhóm I;
O(i) là số điểm của tiêu chí thứ i trong nhóm O.
2. Tính tổng số điểm các nhóm thành phần công nghệ của doanh nghiệp:
t = T + H + I + O
3. Tính toán hệ số đóng góp công nghệ của doanh nghiệp:
Tcc = KTbt.KHbh.KIbi.KObo
với: 
bt = 0,45; bh = 0,22; bi = 0,15; bo = 0,18
- KT là hệ số chỉ mức độ đóng góp công nghệ nhóm T;
- KH là hệ số chỉ mức độ đóng góp công nghệ nhóm H;
- KI là hệ số chỉ mức độ đóng góp công nghệ nhóm I;
- KO là hệ số chỉ mức độ đóng góp công nghệ nhóm O;
- bt là trọng số cường độ đóng góp công nghệ nhóm T;
- bh là trọng số cường độ đóng góp công nghệ nhóm H;
- bi là trọng số cường độ đóng góp công nghệ nhóm I;
- bo là trọng số cường độ đóng góp công nghệ nhóm O
Ví dụ 1: Sau khi đánh giá một doanh nghiệp có kết quả như sau: nhóm thiết bị công nghệ được 45 điểm; nhóm nhân lực được 11 điểm; nhóm thông tin được 3 điểm và nhóm tổ chức - quản lý được 16 điểm. Ta có:
- Tổng số điểm các thành phần công nghệ của doanh nghiệp là:
t = 45 + 11 + 3 + 16 = 75 điểm
- Hệ số đóng góp công nghệ của doanh nghiệp là:

4. Tính điểm của các nhóm thành phần công nghệ của ngành:

Trong đó: - n là số doanh nghiệp của ngành được đánh giá;
- Ti, Hi, Ii, Oi là số điểm đạt được của bốn nhóm thành phần T, H, I, O của doanh nghiệp thứ i;
- Qi - Giá trị gia tăng sản phẩm của doanh nghiệp thứ i.
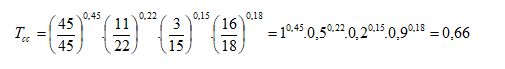
Ví dụ 2: Sau khi đánh giá ngành công nghiệp sản xuất vật liệu xây dựng (sản xuất sản phẩm từ khoáng phi kim loại khác) của tỉnh X có kết quả như sau:
|
TT |
Tên Công ty |
T |
H |
I |
O |
t |
Tcc |
Q |
|
1 |
Công ty TNHH Gạch A |
21 |
12 |
12 |
7 |
52 |
0,51 |
47 |
|
2 |
Công ty CP Gạch B |
35 |
16 |
6 |
9 |
66 |
0,64 |
36 |
|
3 |
Công ty CP xi măng A |
31 |
19 |
7 |
10 |
68 |
0,66 |
149 |
|
4 |
Công ty CP Ngói A |
22 |
7 |
2 |
4 |
35 |
0,32 |
27 |
|
5 |
Công ty CP xi măng B |
37 |
13 |
6 |
9 |
65 |
0,63 |
344 |
Từ công thức trên ta tính toán được điểm của các nhóm thành phần công nghệ của ngành sản xuất vật liệu xây dựng của tỉnh X như sau:

tính tương tự ta được: HN = 14,32; IN = 6,54; ON = 8,87
5. Tính tổng số điểm các nhóm thành phần công nghệ của ngành:
t(N) = TN + HN + IN + ON
6. Tính toán hệ số đóng góp công nghệ của ngành:
Tcc(N) = KT(N)0,45. KH(N)0,22. KI(N)0,15. KO(N)0,18
Trong đó: 
Hệ số đóng góp công nghệ của một ngành cũng có thể tính bằng công thức:

Trong đó: - n là số doanh nghiệp của ngành được đánh giá;
- Tcci là hệ số đóng góp công nghệ của doanh nghiệp thứ i;
- Qi là giá trị gia tăng sản phẩm của doanh nghiệp thứ i.
Ví dụ 3: trong tính toán ở ví dụ 2 ta có: nhóm thiết bị công nghệ được 33,48 điểm; nhóm nhân lực được 14,32 điểm;nhóm thông tin được 6,54 điểm và nhóm tổ chức - quản lý được 8,87 điểm, như vậy:
- Tổng số điểm các nhóm thành phần công nghệ ngành sản xuất vật liệu xây dựng của tỉnh X là:
t(N) = 33,48 + 14,32 + 6,54 + 8,87 = 63,20 điểm
Hệ số đóng góp công nghệ của ngành sản xuất vật liệu xây dựng của tỉnh X là:

= 0,740,45. 0,650,22. 0,490,15. 0,440,18 = 0,62
7. Vẽ biểu đồ hình thoi T, H, I, O:
Bốn nhóm thành phần của công nghệ T, H, I, O được biểu diễn trên hệ tọa độ vuông góc. Trên trục tung oy lấy một điểm có tung độ y = 1. Ký hiệu điểm đó bằng chữ T. Trên trục hoành ox, lấy một điếm có hoành độ x = 1. Ký hiệu điểm đó bằng chữ H. Trên trục tung oy lấy một điểm có tung độ y= - 1. Ký hiệu điểm đó bằng chữ I. Trên trục hoành ox, lấy một điếm có hoành độ x= - 1. Ký hiệu điểm đó bằng chữ O. Nối 4 điểm T, H, I, O ta được một sơ đồ hình thoi (trong trường hợp này là hình vuông) có tên gọi là sơ đồ hình thoi T, H, I, O lý tưởng.
Trên thực tế, kết quả đánh giá từng thành phần công nghệ của doanh nghiệp hoặc ngành sản xuất sản phẩm nói chung không đạt được điểm tối đa. Vì vậy, tứ giác thực tế Ti, Hi, li, Oi (đường nét rời) nằm gọn trong sơ đồ hình thoi T, H, I, O lý tưởng (đường nét liền).
|
Ví dụ 4: Sau khi đánh giá một doanh nghiệp (thứ i) có kết quả như sau: Thiết bị công nghệ được 40 điểm; Nhân lực được 20 điểm; Thông tin được 7 điểm: Tổ chức - Quản lý được 12 điểm. Bốn đỉnh của tứ giác thực tế Ti, Hi, li, Oi sẽ có giá trị tương ứng (không xét dấu) là: y = KTi = 40/45 = 0,89; x = KHi = 20/22 = 0,91; -y = KIi = 7/15 = 0,47 và -x = KOi = 12/18 = 0,67 Sơ đồ tứ giác thực tế Ti, Hi, li, Oi được biểu diễn trên hình vẽ bằng đường nét rời. |
|
So sánh tứ giác thực tế với hình thoi lý tưởng để nhận xét, đánh giá mức độ mạnh yếu của từng thành phần công nghệ.
Bạn chưa Đăng nhập thành viên.
Đây là tiện ích dành cho tài khoản thành viên. Vui lòng Đăng nhập để xem chi tiết. Nếu chưa có tài khoản, vui lòng Đăng ký tại đây!
Bạn chưa Đăng nhập thành viên.
Đây là tiện ích dành cho tài khoản thành viên. Vui lòng Đăng nhập để xem chi tiết. Nếu chưa có tài khoản, vui lòng Đăng ký tại đây!
