- Tổng quan
- Nội dung
- VB gốc
- Tiếng Anh
- Hiệu lực
- VB liên quan
- Lược đồ
-
Nội dung hợp nhất
Tính năng này chỉ có tại LuatVietnam.vn. Nội dung hợp nhất tổng hợp lại tất cả các quy định còn hiệu lực của văn bản gốc và các văn bản sửa đổi, bổ sung, đính chính... trên một trang. Việc hợp nhất văn bản gốc và những văn bản, Thông tư, Nghị định hướng dẫn khác không làm thay đổi thứ tự điều khoản, nội dung.
Khách hàng chỉ cần xem Nội dung hợp nhất là có thể nắm bắt toàn bộ quy định hiện hành đang áp dụng, cho dù văn bản gốc đã qua nhiều lần chỉnh sửa, bổ sung.
- Tải về
Quyết định 24/QĐ-ĐTĐL 2014 Quy trình tối ưu sử dụng nguồn nhiên liệu khí phục vụ công tác lập lịch huy động ngày tới
| Cơ quan ban hành: | Cục Điều tiết điện lực |
Số công báo:
Số công báo là mã số ấn phẩm được đăng chính thức trên ấn phẩm thông tin của Nhà nước. Mã số này do Chính phủ thống nhất quản lý.
|
Đang cập nhật |
| Số hiệu: | 24/QĐ-ĐTĐL | Ngày đăng công báo: | Đang cập nhật |
| Loại văn bản: | Quyết định | Người ký: | Đặng Huy Cường |
|
Ngày ban hành:
Ngày ban hành là ngày, tháng, năm văn bản được thông qua hoặc ký ban hành.
|
22/04/2014 |
Ngày hết hiệu lực:
Ngày hết hiệu lực là ngày, tháng, năm văn bản chính thức không còn hiệu lực (áp dụng).
|
Đang cập nhật |
|
Áp dụng:
Ngày áp dụng là ngày, tháng, năm văn bản chính thức có hiệu lực (áp dụng).
|
Đã biết
|
Tình trạng hiệu lực:
Cho biết trạng thái hiệu lực của văn bản đang tra cứu: Chưa áp dụng, Còn hiệu lực, Hết hiệu lực, Hết hiệu lực 1 phần; Đã sửa đổi, Đính chính hay Không còn phù hợp,...
|
Đã biết
|
| Lĩnh vực: | Điện lực |
TÓM TẮT QUYẾT ĐỊNH 24/QĐ-ĐTĐL
Ngày 22/4/2014, Cục Điều tiết điện lực đã ra Quyết định 24/QĐ-ĐTĐL về việc ban hành Quy trình tối ưu sử dụng nguồn nhiên liệu khí phục vụ công tác lập lịch huy động ngày tới.
Theo đó, các số liệu đầu vào cho việc tính toán tối ưu nguồn khí trong công tác lập lịch huy động ngày tới bao gồm: Dự kiến phụ tải hệ thống điện; Lịch sửa chữa các nhà máy điện; Trạng thái của các tổ máy phát điện; Khả năng cung cấp nhiên liệu cho các nhà máy điện; Giới hạn khả năng truyền tải của các đường dây liên kết hệ thống điện giữa các miền; Các ràng buộc trong vận hành nhà máy điện và hệ thống điện;…
Bên cạnh đó, trước 10h ngày D-1, đơn vị vận hành hệ thống điện và thị trường điện có trách nhiệm công bố đường giới hạn công suất dự kiến từng chu kỳ giao dịch ngày D của cụm nhà máy điện sử dụng bị giới hạn sản lượng bởi khí tuân thủ theo Quy trình quản lý vận hành hệ thống công nghệ thông tin điều hành thị trường điện và công bố thông tin thị trường điện.
Trong vận hành thời gian thực, khi có yêu cầu giảm khí để đảm bảo an toàn hệ thống cấp khí từ PV Gas, đơn vị vận hành hệ thống điện và thị trường điện căn cứ theo lưu lượng cần giảm và suất tiêu hao nhiệt trung bình của cụm các nhà máy sử dụng khí để tính toán lượng công suất suy giảm tương đương, từ đó giảm công suất các tổ máy tuabin khí theo thứ tự huy động căn cứ vào bản chào giá của các tổ máy trong thị trường và theo các quy định vận hành thị trường phát điện cạnh tranh.
Quyết định có hiệu lực từ ngày ký.
Xem chi tiết Quyết định 24/QĐ-ĐTĐL có hiệu lực kể từ ngày 22/04/2014
Tải Quyết định 24/QĐ-ĐTĐL
|
BỘ CÔNG THƯƠNG |
CỘNG HÒA XÃ HỘI CHỦ NGHĨA VIỆT NAM |
|
Số: 24/QĐ-ĐTĐL |
Hà Nội, ngày 22 tháng 04 năm 2014 |
QUYẾT ĐỊNH
______________
CỤC TRƯỞNG CỤC ĐIỀU TIẾT ĐIỆN LỰC
Căn cứ Quyết định số 153/2008/QĐ-TTg ngày 28 tháng 11 năm 2008 của Thủ tướng Chính phủ quy định chức năng, nhiệm vụ, quyền hạn và cơ cấu tổ chức của Cục Điều tiết điện lực thuộc Bộ Công Thương;
Căn cứ Thông tư số 03/2013/TT-BCT ngày 08 tháng 02 năm 2013 của Bộ Công Thương Quy định vận hành thị trường phát điện cạnh tranh;
Căn cứ Chỉ thị số 16/CT-BCT ngày 09 tháng 12 năm 2011 của Bộ Công Thương về việc đảm bảo cung cấp khí cho phát điện năm 2012 và các năm sau;
Theo đề nghị của Trưởng phòng Thị trường điện lực,
QUYẾT ĐỊNH:
|
Nơi nhận: |
CỤC TRƯỞNG |
QUY TRÌNH
Tối ưu sử dụng nguồn nhiên liệu khí phục vụ công tác lập lịch huy động ngày tới
(Ban hành kèm theo Quyết định số 24 /QĐ-ĐTĐL ngày 22 tháng 04 năm 2014 của Cục trưởng Cục Điều tiết điện lực)
Chương I
QUY ĐỊNH CHUNG
Điều 1. Phạm vi điều chỉnh
Quy trình này quy định trình tự, phương pháp thực hiện và trách nhiệm của các đơn vị trong việc xây dựng, thực hiện phương án huy động các tổ máy phát điện để tối ưu sử dụng nguồn nhiên liệu khí thiên nhiên phục vụ công tác lập lịch huy động ngày tới, giờ tới và vận hành thời gian thực trong thị trường phát điện cạnh tranh.
Điều 2. Đối tượng áp dụng
Quy trình này áp dụng đối với các đơn vị sau đây:
1. Đơn vị vận hành hệ thống điện và thị trường điện.
2. Đơn vị mua buôn duy nhất.
3. Đơn vị phát điện.
4. Tập đoàn Điện lực Việt Nam.
Điều 3. Giải thích từ ngữ
Trong Quy trình này, các thuật ngữ dưới đây được hiểu như sau:
1. Cụm nhà máy điện Cà Mau bao gồm các tổ máy phát điện thuộc nhà máy điện Cà Mau 1 và Nhà máy điện Cà Mau 2.
2. Đơn vị chào giá là các đơn vị trực tiếp nộp bản chào giá trong thị trường điện, bao gồm các đơn vị phát điện hoặc các nhà máy điện được đăng ký chào giá trực tiếp và đơn vị đại diện chào giá cho nhóm nhà máy thủy điện bậc thang.
3. Đơn vị mua buôn duy nhất là đơn vị mua điện duy nhất trong thị trường điện, có chức năng mua toàn bộ điện năng qua thị trường điện và qua hợp đồng mua bán điện.
4. Đơn vị phát điện là đơn vị sở hữu một hoặc nhiều nhà máy điện tham gia thị trường điện và ký hợp đồng mua bán điện cho các nhà máy điện này với Đơn vị mua buôn duy nhất.
5. Đơn vị vận hành hệ thống điện và thị trường điện là đơn vị chỉ huy điều khiển quá trình phát điện, truyền tải điện, phân phối điện trong hệ thống điện quốc gia, điều hành giao dịch thị trường điện.
6. Năm N là năm hiện tại vận hành thị trường điện, được tính theo năm dương lịch.
7. Ngày D là ngày vận hành hiện tại.
8. Giờ H là giờ vận hành hiện tại.
9. Nguồn khí PM3 là nguồn khí thiên nhiên được lấy từ mỏ PM3-CAA và lô 46 Cái Nước, cung cấp cho Cụm nhà máy Điện Cà Mau và các hộ tiêu thụ khác.
10. Nguồn khí Nam Côn Sơn là nguồn khí thiên nhiên được lấy từ bể khí Nam Côn Sơn, cung cấp cho các nhà máy điện tuabin khí khu vực Đông Nam Bộ (Phú Mỹ 1, Phú Mỹ 2.1, Phú Mỹ 2.1 mở rộng, BOT - Phú Mỹ 2.2, BOT - Phú Mỹ 3, Phú Mỹ 4, Nhơn Trạch 1, Nhơn Trạch 2, Bà Rịa) và các hộ tiêu thụ khác.
11. Nguồn khí Cửu Long là nguồn khí đồng hành được lấy từ bể khí Cửu Long, cung cấp cho các nhà máy Đạm Phú Mỹ và các hộ thấp áp, lượng dư còn lại cung cấp cho các nhà máy điện Bà Rịa, Phú Mỹ 2.1, Phú Mỹ 2.1 mở rộng và Phú Mỹ 4.
12. Suất hao nhiệt là lượng nhiệt năng tiêu hao của tổ máy hoặc nhà máy điện để sản xuất ra một đơn vị điện năng.
13. Phần mềm lập lịch huy động là hệ thống phần mềm được Đơn vị vận hành hệ thống điện và thị trường điện sử dụng để lập lịch huy động ngày tới và giờ tới cho các tổ máy phát điện trong thị trường điện.
14. Phần mềm tối ưu thủy nhiệt điện ngắn hạn là phần mềm tối ưu thủy nhiệt điện ngắn hạn để tính toán lịch lên xuống và biểu đồ huy động của các tổ máy được Đơn vị vận hành hệ thống điện và thị trường điện sử dụng trong lập kế hoạch vận hành thị trường điện tuần và tính toán lập biểu đồ của các nhà máy điện ngoài thị trường điện.
Chương II
NGUYÊN TẮC CUNG CẤP KHÍ VÀ SỬ DỤNG KHÍ CHO PHÁT ĐIỆN
Điều 4. Nguyên tắc chung
Đơn vị vận hành hệ thống điện và thị trường điện có trách nhiệm phối hợp với đơn vị cấp khí và vận hành hệ thống khí để đảm bảo cung cấp khí cho phát điện tuân thủ theo Chỉ thị số 16/CT-BCT của Bộ Công Thương ngày 09 tháng 12 năm 2011 về việc đảm bảo cung cấp khí cho phát điện năm 2012 và các năm sau.
Điều 5. Nguyên tắc sử dụng nguồn khí PM3
1. Ưu tiên huy động Cụm nhà máy điện Cà Mau để sử dụng nguồn khí PM3 ở mức cao nhất có thể.
2. Lịch huy động của Cụm nhà máy điện Cà Mau được tính toán tối ưu trong bài toán tối ưu chung của toàn hệ thống, theo điều kiện thực tế của khả năng cấp khí, điều kiện thực tế của nhu cầu phụ tải điện, điều kiện vận hành của hệ thống điện quốc gia sau khi huy động các nhà máy thủy điện.
Điều 6. Nguyên tắc sử dụng nguồn khí Nam Côn Sơn và Cửu Long
1. Nguồn khí Cửu Long được ưu tiên sử dụng trước nguồn khí Nam Côn Sơn để sử dụng hết lượng khí đồng hành.
2. Phối hợp với đơn vị cấp khí và vận hành hệ thống khí đảm bảo cung cấp khí Nam Côn Sơn cho các nhà máy điện BOT Phú Mỹ 2.2 và Phú Mỹ 3 theo cam kết của hợp đồng mua bán điện tương ứng.
3. Tính toán việc sử dụng khí của các nhà máy điện trực tiếp tham gia thị trường điện căn cứ theo lịch huy động được lập theo bản chào giá của các Đơn vị phát điện trên cơ sở sử dụng tối ưu sử dụng nguồn khí theo quy định tại Điều 8 Quy trình này.
Chương III
TÍNH TOÁN TỐI ƯU NGUỒN KHÍ TRONG CÔNG TÁC LẬP KẾ HOẠCH NGÀY TỚI
Điều 7. Số liệu đầu vào
Các số liệu đầu vào cho việc tính toán tối ưu nguồn khí trong công tác lập lịch huy động ngày tới bao gồm:
1. Dự kiến phụ tải hệ thống điện: Đơn vị vận hành hệ thống điện và thị trường điện và các đơn vị liên quan có trách nhiệm dự báo phụ tải hệ thống điện theo quy định tại Quy trình dự báo nhu cầu phụ tải điện hệ thống điện quốc gia do Cục Điều tiết điện lực ban hành.
2. Lịch sửa chữa các nhà máy điện: Là lịch sửa chữa của các nhà máy điện đã được Đơn vị vận hành hệ thống điện và thị trường điện phê duyệt tuân thủ theo Quy trình lập kế hoạch bảo dưỡng, sửa chữa thiết bị điện trong hệ thống điện truyền tải do Cục Điều tiết điện lực ban hành.
3. Trạng thái của các tổ máy phát điện: Do Đơn vị vận hành hệ thống điện và thị trường điện cập nhật từ trạng thái vận hành hiện tại, lịch sửa chữa của các nhà máy và thông tin cập nhật được cung cấp từ các Đơn vị phát điện.
4. Khả năng cung cấp nhiên liệu cho các nhà máy điện: Do PV Gas cung cấp theo biểu mẫu tại Phụ lục 2 Quy trình này.
5. Suất hao nhiệt của tổ máy nhiệt điện (HR) được xác định bằng suất hao nhiệt được thống nhất trong hợp đồng hoặc trong hồ sơ đàm phán hợp đồng mua bán điện do Đơn vị mua buôn duy nhất cung cấp và được hiệu chỉnh theo hệ số suy giảm hiệu suất. Trường hợp suất hao nhiệt trong hợp đồng là suất hao nhiệt bình quân cả đời dự án thì không cần phải điều chỉnh theo hệ số suy giảm hiệu suất. Trong trường hợp trong hợp đồng hoặc hồ sơ đàm phán hợp đồng chỉ có đường đặc tính suất hao tại các mức tải thì suất hao nhiệt của các tổ máy được xác định tại mức tải tương ứng với sản lượng điện năng phát bình quân nhiều năm của nhà máy điện được quy định trong hợp đồng mua bán điện. Trường hợp tổ máy nhiệt điện không có số liệu suất hao nhiệt trong hợp đồng hoặc trong hồ sơ đàm phán hợp đồng mua bán điện, suất hao nhiệt của nhà máy điện đó được xác định bằng suất hao nhiệt của nhà máy điện chuẩn cùng nhóm theo công nghệ phát điện và công suất đặt. Đơn vị vận hành hệ thống điện và thị trường điện có trách nhiệm tính toán suất tiêu hao nhiệt của nhà máy điện chuẩn.
6. Giới hạn khả năng truyền tải của các đường dây liên kết hệ thống điện giữa các miền: Được cập nhật theo kế hoạch sửa chữa lưới điện đã được Đơn vị vận hành hệ thống điện và thị trường điện phê duyệt theo Quy trình lập kế hoạch bảo dưỡng, sửa chữa thiết bị điện trong hệ thống điện truyền tải do Cục Điều tiết điện lực ban hành.
7. Các ràng buộc trong vận hành nhà máy điện và hệ thống điện.
8. Trạng thái nối lưới của các tổ máy tuabin khí được xác định theo dữ liệu vận hành quá khứ hoặc từ kết quả tính toán chế độ hệ thống điện (nếu có).
Điều 8. Trình tự tính toán giới hạn công suất từng giờ cho cụm các nhà máy tuabin khí bị giới hạn sản lượng bởi khí
1. Đơn vị vận hành hệ thống điện và thị trường điện phải tính toán giới hạn công suất từng giờ cho cụm các nhà máy tuabin khí bị giới hạn sản lượng bởi khí theo trình tự sau:
a) Xác định trạng thái nối lưới của các tổ máy tuabin khí trong từng chu kỳ giao dịch của ngày D từ dữ liệu vận hành quá khứ hoặc từ kết quả tính toán chế độ hệ thống điện (nếu có);
b) Tính toán nhu cầu tiêu thụ khí lớn nhất của từng tổ máy trong ngày D từ trạng thái nối lưới trong ngày D và suất hao nhiệt của các tổ máy;

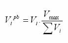
Vipb: Là tổng lượng khí được phân bổ cho tổ máy điện i;
Vi: Là nhu cầu tiêu thụ khí lớn nhất của tổ máy điện i;
Vmax: Là lượng khí cấp lớn nhất của ngày D cấp cho các tổ máy điện.
d) Tính toán giới hạn sản lượng điện ngày lớn nhất của từng tổ máy tương ứng với lượng khí được phân bổ từ lượng khí phân bổ cho từng tổ máy và suất hao nhiệt của tổ máy;
đ) Giới hạn sản lượng điện ngày của từng tổ máy và các giới hạn khác để hạn chế các nguy cơ quá tải trên lưới được đưa vào Phần mềm tối ưu thủy nhiệt điện ngắn hạn để tính toán đưa ra biểu đồ huy động từng giờ của các tổ máy tuabin khí;
e) Tính toán đường giới hạn công suất từng chu kỳ giao dịch ngày D của cụm các nhà máy chạy khí sử dụng chung nguồn khí từ kết quả tính toán biểu đồ huy động của các tổ máy tuabin khí như sau:
- Đường giới hạn công suất từng chu kỳ giao dịch ngày D của cụm nhà máy điện sử dụng nguồn khí PM3: Được tính bằng tổng công suất từng giờ của các tổ máy Cà Mau 1 & 2;
- Đường giới hạn công suất từng chu kỳ giao dịch ngày D của cụm nhà máy điện sử dụng nguồn khí Nam Côn Sơn và Cửu Long: Được tính bằng tổng công suất từng giờ của các tổ máy tuabin khí sử dụng nguồn khí Nam Côn Sơn và Cửu Long.
2. Trong trường hợp bình thường giới hạn công suất từng giờ của cụm các nhà máy tuabin khí bị giới hạn sản lượng bởi khí được tính toán theo trình tự tính toán tại Khoản 1 Điều này.
3. Trường hợp có giới hạn khí từng giờ theo yêu cầu của PV Gas cho từng Cụm nhà máy điện cụ thể, Đơn vị vận hành hệ thống điện và thị trường điện có trách nhiệm cập nhật giới hạn khí từng giờ này như một ràng buộc trong việc tính toán lập biểu đồ của các nhà máy điện ngoài thị trường điện cũng như tính toán lập lịch huy động ngày tới của các tổ máy trong thị trường điện.
Điều 9. Sử dụng giới hạn công suất trong lập lịch huy động ngày tới
1. Các đường giới hạn công suất được tính toán theo quy định tại Điều 8 Quy trình này được sử dụng như một ràng buộc trong việc tính toán lập biểu đồ của các nhà máy ngoài thị trường điện cũng như tính toán lập lịch huy động ngày tới của các tổ máy trong thị trường điện.
2. Lịch huy động cụ thể của các tổ máy trực tiếp tham gia thị trường điện được tính toán căn cứ theo bản chào giá của các tổ máy và các quy định trong Quy trình Lập lịch huy động tổ máy, vận hành thời gian thực và tính toán thanh toán trong thị trường điện.
Điều 10. Công bố thông tin giới hạn khí ngày
Trước 10h ngày D-1 Đơn vị vận hành hệ thống điện và thị trường điện có trách nhiệm công bố đường giới hạn công suất dự kiến từng chu kỳ giao dịch ngày D của cụm nhà máy điện sử dụng bị giới hạn sản lượng bởi khí tuân thủ theo Quy trình quản lý vận hành hệ thống công nghệ thông tin điều hành thị trường điện và công bố thông tin thị trường điện.
Chương IV
TÍNH TOÁN TỐI ƯU NGUỒN KHÍ TRONG CÔNG TÁC LẬP LỊCH HUY ĐỘNG GIỜ TỚI VÀ VẬN HÀNH THỜI GIAN THỰC
Điều 11. Giới hạn khí trong tính toán lập lịch huy động giờ tới
1. Đường giới hạn công suất từng chu kỳ giao dịch ngày D của cụm nhà máy điện sử dụng chung nguồn khí được sử dụng để tính toán lập lịch huy động giờ tới trong các chu kỳ tương ứng.
2. Trường hợp có yêu cầu thay đổi lưu lượng cấp khí từ PV Gas, Đơn vị vận hành hệ thống điện và thị trường điện được phép thay đổi đường giới hạn công suất cho các chu kỳ giao dịch tiếp theo trên nguyên tắc hạn chế tối đa việc thay đổi tổng lượng khí ngày, các sai lệch nếu có sẽ được điều chỉnh vào ngày D+1 nhưng không vượt quá khả năng cấp khí ngày D+1.
3. Trường hợp có yêu cầu huy động thêm hoặc bớt các tổ máy tuabin khí so với phương thức huy động ngày tới để đáp ứng nhu cầu hệ thống, Đơn vị vận hành hệ thống điện và thị trường điện được phép thay đổi đường giới hạn công suất cho các chu kỳ giao dịch tiếp theo trên nguyên tắc hạn chế tối đa việc thay đổi tổng lượng khí ngày, các sai lệch nếu có sẽ được điều chỉnh vào ngày D+1.
4. Trình tự thực hiện khi có yêu cầu thay đổi lưu lượng cấp khí từ PV Gas như sau:
a) Đơn vị vận hành hệ thống điện và thị trường điện thông báo với PV Gas về dự kiến nhu cầu tiêu thụ khí trong các chu kỳ giao dịch tiếp theo, hai bên phối hợp để đưa ra lưu lượng thay đổi trong chu kỳ tới và các chu kỳ tiếp theo phù hợp với đặc điểm hệ thống điện quốc gia và khả năng cung cấp khí của hệ thống khí;
b) Từ lưu lượng cấp khí thay đổi và suất hao nhiệt trung bình của cụm các nhà máy điện sử dụng khí, Đơn vị vận hành hệ thống điện và thị trường điện tính toán được lượng công suất thay đổi tương đương;
c) Căn cứ theo giới hạn công suất từng chu kỳ giao dịch ngày D và lượng công suất thay đổi tương đương, Đơn vị vận hành hệ thống điện và thị trường điện tính toán giới hạn công suất cập nhật cho chu kỳ tới và 03 (ba) chu kỳ tiếp theo;
d) Giá trị giới hạn công suất cập nhật này được sử dụng như một ràng buộc trong Phần mềm lập lịch huy động để tính toán lập lịch huy động giờ tới.
Điều 12. Giới hạn khí trong vận hành thời gian thực
1. Trong vận hành thời gian thực, khi có yêu cầu giảm khí để đảm bảo an toàn hệ thống cấp khí từ PV Gas, Đơn vị vận hành hệ thống điện và thị trường điện căn cứ theo lưu lượng cần giảm và suất tiêu hao nhiệt trung bình của cụm các nhà máy sử dụng khí để tính toán lượng công suất suy giảm tương đương, từ đó giảm công suất các tổ máy tuabin khí theo thứ tự huy động căn cứ vào bản chào giá của các tổ máy trong thị trường và theo các quy định vận hành thị trường phát điện cạnh tranh.
2. Trong tính toán giờ tới tại các chu kỳ tiếp theo, Đơn vị vận hành hệ thống điện và thị trường điện có trách nhiệm cập nhật yêu cầu giảm khí từ PV Gas để tính toán giới hạn công suất cập nhật tương tự tại Điều 11 Quy trình này.
Điều 13. Công bố thông tin điều chỉnh giới hạn khí giờ
Trong tính toán giờ tới, khi có điều chỉnh mức giới hạn khí giờ so với phương án giới hạn khí ngày đã công bố từ ngày D-1, Đơn vị vận hành hệ thống điện và thị trường điện công bố lại Đường giới hạn công suất từng giờ được sử dụng trong tính toán lập lịch huy động giờ tới lên Cổng thông tin điện tử thị trường điện theo Quy trình quản lý vận hành hệ thống công nghệ thông tin điều hành thị trường điện và công bố thông tin thị trường điện./.
PHỤ LỤC 1
SƠ ĐỒ MÔ TẢ QUÁ TRÌNH TÍNH TOÁN GIỚI HẠN KHÍ NGÀY
(Ban hành kèm theo Quy trình tối ưu sử dụng nguồn nhiên liệu khí phục vụ công tác lập lịch huy động ngày tới)

PHỤ LỤC 2
BIỂU MẪU CUNG CẤP THÔNG TIN
(Ban hành kèm theo Quy trình tối ưu sử dụng nguồn nhiên liệu khí phục vụ công tác lập lịch huy động ngày tới)
|
Giờ |
Sản lượng giờ tối đa (kscm/h) |
Ghi chú |
|||
|
|
|
|
|||
|
|
|
|
|||
|
|
|
|
|||
|
|
|
|
|||
|
|
|
|
|||
|
|
|
|
|||
|
|
|
|
|||
|
|
|
|
|||
|
|
|
|
|||
|
|
|
|
|||
|
|
|
|
|||
|
|
|
|
|||
|
|
|
|
|||
|
|
|
|
|||
|
|
|
|
|||
|
|
|
|
|||
|
|
|
|
|||
|
|
|
|
|||
|
|
|
|
|||
|
|
|
|
|||
|
|
|
|
|||
|
|
|
|
|||
|
|
|
|
|||
|
|
|
|
|||
|
Tổng lượng khí ngày tối đa |
|
|
|||
|
Chuyển Fax |
Ngày/Giờ |
Họ và tên |
Chức vụ |
Chữ ký |
|
|
|
|
|
|
|
|
|
|
|
|
|
|
|
Bạn chưa Đăng nhập thành viên.
Đây là tiện ích dành cho tài khoản thành viên. Vui lòng Đăng nhập để xem chi tiết. Nếu chưa có tài khoản, vui lòng Đăng ký tại đây!
Bạn chưa Đăng nhập thành viên.
Đây là tiện ích dành cho tài khoản thành viên. Vui lòng Đăng nhập để xem chi tiết. Nếu chưa có tài khoản, vui lòng Đăng ký tại đây!