Danh mục
|
Tổng đài trực tuyến 19006192
|
|
Mục lục
  • Tổng quan
  • Nội dung
  • VB gốc
  • Tiếng Anh
  • Hiệu lực
  • VB liên quan
  • Lược đồ
  • Nội dung hợp nhất 

    Tính năng này chỉ có tại LuatVietnam.vn. Nội dung hợp nhất tổng hợp lại tất cả các quy định còn hiệu lực của văn bản gốc và các văn bản sửa đổi, bổ sung, đính chính... trên một trang. Việc hợp nhất văn bản gốc và những văn bản, Thông tư, Nghị định hướng dẫn khác không làm thay đổi thứ tự điều khoản, nội dung.

    Khách hàng chỉ cần xem Nội dung hợp nhất là có thể nắm bắt toàn bộ quy định hiện hành đang áp dụng, cho dù văn bản gốc đã qua nhiều lần chỉnh sửa, bổ sung.

    =>> Xem hướng dẫn chi tiết cách sử dụng Nội dung hợp nhất

  • Tải về
Mục lục
Lưu
Đây là tiện ích dành cho tài khoản Tiêu chuẩn hoặc Nâng cao Vui lòng Đăng nhập tài khoản để xem chi tiết.
Theo dõi VB
Đây là tiện ích dành cho tài khoản Tiêu chuẩn hoặc Nâng cao Vui lòng Đăng nhập tài khoản để xem chi tiết.
Ghi chú
Báo lỗi
In

Thông tư 14/2012/TT-BCT Quy chuẩn kỹ thuật quốc gia về thuốc nổ nhũ hương

Cơ quan ban hành: Bộ Công Thương
Số công báo:
Số công báo là mã số ấn phẩm được đăng chính thức trên ấn phẩm thông tin của Nhà nước. Mã số này do Chính phủ thống nhất quản lý.
Đã biết
Tiện ích dành cho tài khoản Tiêu chuẩn hoặc Nâng cao. Vui lòng Đăng nhập tài khoản để xem chi tiết.
Số hiệu: 14/2012/TT-BCT Ngày đăng công báo:
Đã biết
Tiện ích dành cho tài khoản Tiêu chuẩn hoặc Nâng cao. Vui lòng Đăng nhập tài khoản để xem chi tiết.
Loại văn bản: Thông tư Người ký: Nguyễn Nam Hải
Ngày ban hành:
Ngày ban hành là ngày, tháng, năm văn bản được thông qua hoặc ký ban hành.
12/06/2012
Ngày hết hiệu lực:
Ngày hết hiệu lực là ngày, tháng, năm văn bản chính thức không còn hiệu lực (áp dụng).
Đã biết
Tiện ích dành cho tài khoản Tiêu chuẩn hoặc Nâng cao. Vui lòng Đăng nhập tài khoản để xem chi tiết.
Áp dụng:
Ngày áp dụng là ngày, tháng, năm văn bản chính thức có hiệu lực (áp dụng).
Đã biết
Tiện ích dành cho tài khoản Tiêu chuẩn hoặc Nâng cao. Vui lòng Đăng nhập tài khoản để xem chi tiết.
Tình trạng hiệu lực:
Cho biết trạng thái hiệu lực của văn bản đang tra cứu: Chưa áp dụng, Còn hiệu lực, Hết hiệu lực, Hết hiệu lực 1 phần; Đã sửa đổi, Đính chính hay Không còn phù hợp,...
Đã biết
Tiện ích dành cho tài khoản Tiêu chuẩn hoặc Nâng cao. Vui lòng Đăng nhập tài khoản để xem chi tiết.
Lĩnh vực: Công nghiệp, Than

TÓM TẮT THÔNG TƯ 14/2012/TT-BCT

Nội dung tóm tắt đang được cập nhật, Quý khách vui lòng quay lại sau!

Tải Thông tư 14/2012/TT-BCT

Tải văn bản tiếng Việt (.pdf) Thông tư 14/2012/TT-BCT PDF (Bản có dấu đỏ)

Đây là tiện ích dành cho tài khoản thành viên. Vui lòng Đăng nhập để xem chi tiết. Nếu chưa có tài khoản, Đăng ký tại đây!

Tải văn bản tiếng Việt (.pdf) Thông tư 14/2012/TT-BCT PDF (Bản có dấu đỏ)

Đây là tiện ích dành cho tài khoản thành viên. Vui lòng Đăng nhập để xem chi tiết. Nếu chưa có tài khoản, Đăng ký tại đây!

Tải văn bản tiếng Việt (.doc) Thông tư 14/2012/TT-BCT DOC (Bản Word)

Đây là tiện ích dành cho tài khoản thành viên. Vui lòng Đăng nhập để xem chi tiết. Nếu chưa có tài khoản, Đăng ký tại đây!

Tình trạng hiệu lực: Đã biết
bgdocquyen
Hiệu lực: Đã biết
Tình trạng hiệu lực: Đã biết

BỘ CÔNG THƯƠNG
--------------

Số: 14/2012/TT-BCT

CỘNG HÒA XÃ HỘI CHỦ NGHĨA VIỆT NAM
Độc lập - Tự do - Hạnh phúc
------------------------

Hà Nội, ngày 12 tháng 06 năm 2012

THÔNG TƯ

BAN HÀNH QUY CHUẨN KỸ THUẬT QUỐC GIA VỀ THUỐC NỔ NHŨ TƯƠNG DÙNG

CHO MỎ HẦM LÒ, CÔNG TRÌNH NGẦM KHÔNG CÓ KHÍ VÀ BỤI NỔ

Căn cứ Nghị định số 189/2007/NĐ-CP ngày 27 tháng 12 năm 2007 của Chính phủ quy định chức năng, nhiệm vụ, quyền hạn và cơ cấu tổ chức của Bộ Công Thương và Nghị định số 44/2011/NĐ-CP ngày 14 tháng 6 năm 2011 về sửa đổi, bổ sung Điều 3 Nghị định 189/2007/NĐ-CP ngày 27 tháng 12 năm 2007;

Căn cứ Luật Tiêu chuẩn và Quy chuẩn kỹ thuật ngày 29 tháng 6 năm 2006;

Căn cứ Nghị định số 127/2007/NĐ-CP ngày 01 tháng 8 năm 2007 của Chính phủ quy định chi tiết thi hành một số điều của Luật Tiêu chuẩn và Quy chuẩn kỹ thuật;

Căn cứ Thông tư số 23/2007/TT-BKHCN ngày 28 tháng 9 năm 2007 của Bộ Khoa học và Công nghệ hướng dẫn xây dựng, thẩm định và ban hành quy chuẩn kỹ thuật,

Điều 1. Ban hành kèm theo Thông tư này Quy chuẩn kỹ thuật quốc gia về thuốc nổ nhũ tương dùng cho mỏ hầm lò, công trình ngầm không có khí và bụi nổ.

Đang theo dõi

Điều 2. Thông tư này có hiệu lực thi hành từ ngày 26 tháng 7 năm 2012.

Đang theo dõi

Điều 3. Chánh Văn phòng Bộ, Chánh Thanh tra Bộ, các Vụ trưởng, Tổng cục trưởng, Cục trưởng thuộc Bộ, Giám đốc Sở Công Thương các tỉnh, thành phố trực thuộc Trung ương, Thủ trưởng các cơ quan, tổ chức và cá nhân có liên quan chịu trách nhiệm thi hành Thông tư này./.

Đang theo dõi

Nơi nhận:
- Văn phòng Tổng Bí thư;
- Các Bộ, cơ quan ngang Bộ, cơ quan thuộc Chính phủ;
- Sở Công Thương các tỉnh, TP trực thuộc TW;
- Cục Kiểm tra văn bản QPPL (Bộ Tư pháp);
- Website: Chính phủ; BCT;
- Công báo;
- Lưu: VT, KHCN.

KT. BỘ TRƯỞNG
THỨ TRƯỞNG




Nguyễn Nam Hải

QCVN 05:2012/BCT

QUY CHUẨN KỸ THUẬT QUỐC GIA

VỀ THUỐC NỔ NHŨ TƯƠNG DÙNG CHO MỎ HẦM LÒ, CÔNG TRÌNH NGẦM

KHÔNG CÓ KHÍ VÀ BỤI NỔ

National technical Standards and Regulations of Emulsion explosives for blasting

in underground mines without detonation gas and dust

Lời nói đầu

QCVN 05:2012/BCT do Vụ Khoa học và Công nghệ soạn thảo, trình duyệt; Bộ Khoa học và Công nghệ thẩm định; Bộ Công Thương ban hành kèm theo Thông tư số 14/2012/TT-BCT ngày 12 tháng 6 năm 2012.

QUY CHUẨN KỸ THUẬT QUỐC GIA

VỀ THUỐC NỔ NHŨ TƯƠNG DÙNG CHO MỎ HẦM LÒ, CÔNG TRÌNH NGẦM

KHÔNG CÓ KHÍ VÀ BỤI NỔ

National technical Standards and Regulations of Emulsion explosives

 for blasting in underground mines without detonation gas and dust

I. QUY ĐỊNH CHUNG

1. Phạm vi điều chỉnh

Quy chuẩn kỹ thuật này quy định chỉ tiêu kỹ thuật và phương pháp thử đối với thuốc nổ nhũ tương dùng cho mỏ hầm lò, công trình ngầm không có khí và bụi nổ.

2. Đối tượng áp dụng

Quy chuẩn này áp dụng đối với mọi tổ chức, cá nhân trong và ngoài nước hoạt động liên quan tới thuốc nổ nhũ tương dùng cho mỏ hầm lò, công trình ngầm không có khí và bụi nổ trên lãnh thổ Việt Nam, trừ trường hợp Điều ước quốc tế mà Việt Nam là thành viên có quy định khác.

3. Tài liệu viện dẫn

3.1. QCVN 02:2008/BCT Quy chuẩn kỹ thuật quốc gia về an toàn trong bảo quản, vận chuyển, sử dụng và tiêu hủy vật liệu nổ công nghiệp.

3.2. TCVN 6422:1998 - Vật liệu nổ công nghiệp - Xác định tốc độ nổ.

3.3. TCVN 6421:1998 - Vật liệu nổ công nghiệp - Xác định khả năng sinh công bằng cách đo sức nén trụ chì.

3.4. TCVN 6423:1998 - Vật liệu nổ công nghiệp - Phương pháp xác định khả năng sinh công bằng bom chì.

3.5. TCVN 6425:1998 - Vật liệu nổ công nghiệp - Phương pháp xác định khoảng cách truyền nổ.

3.6. TCVN 6424:1998 - Vật liệu nổ công nghiệp - Phương pháp xác định khả năng sinh công bằng con lắc xạ thuật.

3.7. TCVN 4851:1989 - Nước dùng để phân tích trong phòng thí nghiệm - Yêu cầu kỹ thuật và phương pháp thử.

4. Giải thích từ ngữ

Trong Quy chuẩn này, những từ ngữ dưới đây được hiểu như sau:

4.1. Thuốc nổ: Là hóa chất hoặc hỗn hợp hóa chất được sản xuất, sử dụng nhằm tạo ra phản ứng nổ dưới tác động của các kích thích cơ, nhiệt, hóa hoặc điện.

4.2. Độ nhạy nổ: Là ngưỡng để thuốc nổ có thể phát nổ khi bị kích thích bằng sóng xung kích, va đập, ma sát hoặc ngọn lửa.

4.3. Công trình ngầm: là công trình thi công dưới lòng đất không phục vụ việc khai thác khoáng sản.

4.4. Mỏ hầm lò: là công trình thi công dưới lòng đất để phục vụ việc khai thác khoáng sản.

II. QUY ĐỊNH KỸ THUẬT

1. Thành phần chế tạo

Thành phần chế tạo của thuốc nổ nhũ tương dùng cho mỏ hầm lò không có khí và bụi nổ, được nêu ở Bảng 1.

Bảng 1 - Thành phần chế tạo

TT

Tên nguyên liệu

Tỷ lệ khối lượng, %

1

Chất ôxi hóa

80 ÷ 92

2

Pha dầu

5 ÷ 10

3

Nước công nghiệp

5 ÷ 10

4

Chất phụ gia

0,2 ÷ 1,0

 

2. Chỉ tiêu kỹ thuật

Chỉ tiêu kỹ thuật của thuốc nổ nhũ tương dùng cho mỏ hầm lò không có khí và bụi nổ, được nêu ở Bảng 2.

Bảng 2 - Chỉ tiêu kỹ thuật

TT

Tên chỉ tiêu

Mức

Phương pháp thử

1

Khả năng sinh công đo bằng bom chì, cm3

300 ÷ 340

TCVN 6423:1998

2

Hoặc chuyển đổi tương đương sang phương pháp đo khả năng sinh công đo bằng con lắc xạ thuật, % TNT tiêu chuẩn.

1,05 ÷ 1,2

TCVN 6424:1998

3

Độ nén trụ chì, mm

≥ 14

TCVN 6421:1998

4

Tốc độ nổ, m/s

≥ 4.000

TCVN 6422:1998

5

Khối lượng riêng, g/cm3

1,05 ÷ 1,25

-

6

Khả năng chịu nước, giờ

≥ 12

-

7

Khoảng cách truyền nổ, cm

≥ 4

TCVN 6425:1998

8

Độ nhậy nổ

Nhậy với kíp nổ số 8

-

9

Thời hạn đảm bảo

6 tháng

-

3. Đóng thỏi

Thuốc nổ nhũ tương dùng cho mỏ hầm lò không có khí và bụi nổ được đóng thành thỏi ở các quy cách khác nhau theo nhu cầu sử dụng.

4. Bao gói, ghi nhãn

4.1. Bao gói

Thuốc nổ nhũ tương dùng cho mỏ hầm lò, công trình ngầm không có khí và bụi nổ được đóng thỏi bằng màng Polyme. Thuốc nổ sau khi đóng thỏi được bao gói bằng túi PE, dán kín và đóng vào hộp giấy cacton.

4.2. Ghi nhãn

Trên từng thỏi thuốc nổ và bên ngoài thùng bảo quản có in nhãn theo đúng quy định về ghi nhãn hàng hóa Nghị định số 89/2006/NĐ-CP ngày 30 tháng 8 năm 2006 về nhãn hàng hóa và quy chuẩn QCVN 02:2008/BCT.

4.3. Bảo quản, vận chuyển, tiêu hủy

Việc bảo quản, vận chuyển, tiêu hủy thuốc nổ phải thực hiện theo quy định của quy chuẩn QCVN 02:2008/BCT.

III. PHƯƠNG PHÁP THỬ

1. Xác định khối lượng riêng

1.1. Nguyên tắc

Cân, đo khối lượng và thể tích của thỏi thuốc nổ rồi tính ra khối lượng riêng (p) của thỏi thuốc.

1.2. Dụng cụ

1.2.1. Cân kỹ thuật, chính xác đến 10-2 gam.

1.2.2. Ống đong 300 ml, có chia vạch đến 1 ml.

1.2.3. Dao, kéo cắt

1.3. Cách tiến hành

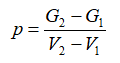
1.3.1. Đổ nước điền vào khoảng 1/3 ống đong sau đó cân để xác định khối lượng ống đong chứa nước. Ghi lại khối lượng ống đong chứa nước (G1) và thể tích nước trong ống đong (V1).

1.3.2. Cắt một phần của thỏi thuốc nổ mẫu (sao cho phần này có thể cho vừa vào ống đong). Bỏ đi phần vỏ và cho phần thuốc nổ vào trong ống đong chứa nước.

1.3.3. Cân ống đong chứa nước và thuốc nổ. Ghi lại khối lượng ống đong chứa nước và thuốc nổ (G2) và thể tích nước cùng thuốc nổ chiếm chỗ trong ống đong (V2).

Khối lượng riêng của thỏi thuốc được tính theo công thức:

            , g/cm3

Thí nghiệm được tiến hành 3 lần để lấy kết quả trung bình, chênh lệch kết quả giữa các lần thử không được sai khác nhau 1%.

2. Xác định khả năng sinh công trong bom chì

Thực hiện theo TCVN 6423:1998 Vật liệu nổ công nghiệp - Xác định khả năng sinh công bằng bom chì.

3. Xác định sức nén trụ chì

Thực hiện theo TCVN 6421:1998 Vật liệu nổ công nghiệp - Xác định khả năng sinh công bằng cách đo sức nén trụ chì.

4. Xác định tốc độ nổ

Thực hiện theo TCVN 6422:1998 Vật liệu nổ công nghiệp - Xác định tốc độ nổ.

5. Xác định khoảng cách truyền nổ

Thực hiện theo TCVN 6425:1998 Vật liệu nổ công nghiệp - Xác định khoảng cách truyền nổ.

IV. TỔ CHỨC THỰC HIỆN

4.1. Vụ Khoa học và Công nghệ thuộc Bộ Công Thương chủ trì phối hợp với các cơ quan liên quan hướng dẫn, kiểm tra, giám sát việc thực hiện Quy chuẩn này.

4.2. Các tổ chức, cá nhân có liên quan đến hoạt động vật liệu nổ công nghiệp trên lãnh thổ Việt Nam tuân thủ các quy định tại Quy chuẩn này.

4.3. Trường hợp các tài liệu viện dẫn trong Quy chuẩn này có sửa đổi, bổ sung hoặc thay thế thì áp dụng theo quy định của văn bản mới./.

Đang theo dõi

Bạn chưa Đăng nhập thành viên.

Đây là tiện ích dành cho tài khoản thành viên. Vui lòng Đăng nhập để xem chi tiết. Nếu chưa có tài khoản, vui lòng Đăng ký tại đây!

Thông tư 14/2012/TT-BCT của Bộ Công Thương về việc ban hành Quy chuẩn kỹ thuật quốc gia về thuốc nổ nhũ hương dùng cho hầm lò, công trình ngầm không có khí và bụi nổ

Bạn chưa Đăng nhập thành viên.

Đây là tiện ích dành cho tài khoản thành viên. Vui lòng Đăng nhập để xem chi tiết. Nếu chưa có tài khoản, vui lòng Đăng ký tại đây!

* Lưu ý: Để đọc được văn bản tải trên Luatvietnam.vn, bạn cần cài phần mềm đọc file DOC, DOCX và phần mềm đọc file PDF.
Từ khóa liên quan: 33/2024/TT-BCT

Văn bản liên quan Thông tư 14/2012/TT-BCT

01

Luật Tiêu chuẩn và Quy chuẩn kỹ thuật số 68/2006/QH11 của Quốc hội

02

Nghị định 127/2007/NĐ-CP của Chính phủ về việc quy định chi tiết thi hành một số điều của Luật Tiêu chuẩn và Quy chuẩn kỹ thuật

03

Thông tư 23/2007/TT-BKHCN của Bộ Khoa học và Công nghệ về việc hướng dẫn xây dựng, thẩm định và ban hành quy chuẩn kỹ thuật

04

Nghị định 189/2007/NĐ-CP của Chính phủ về việc quy định chức năng, nhiệm vụ, quyền hạn và cơ cấu tổ chức của Bộ Công Thương

05

Nghị định 44/2011/NĐ-CP của Chính phủ sửa đổi, bổ sung Điều 3 Nghị định số 189/2007/NĐ-CP ngày 27/12/2007 của Chính phủ quy định chức năng, nhiệm vụ, quyền hạn và cơ cấu tổ chức của Bộ Công Thương

văn bản cùng lĩnh vực

văn bản mới nhất

Chú thích màu chỉ dẫn
Chú thích màu chỉ dẫn:
Các nội dung của VB này được VB khác thay đổi, hướng dẫn sẽ được làm nổi bật bằng các màu sắc:
Sửa đổi, bổ sung, đính chính
Thay thế
Hướng dẫn
Bãi bỏ
Bãi bỏ cụm từ
Bình luận
Click vào nội dung được bôi màu để xem chi tiết.
×