- Tổng quan
- Nội dung
- VB gốc
- Tiếng Anh
- Hiệu lực
- VB liên quan
- Lược đồ
-
Nội dung hợp nhất
Tính năng này chỉ có tại LuatVietnam.vn. Nội dung hợp nhất tổng hợp lại tất cả các quy định còn hiệu lực của văn bản gốc và các văn bản sửa đổi, bổ sung, đính chính... trên một trang. Việc hợp nhất văn bản gốc và những văn bản, Thông tư, Nghị định hướng dẫn khác không làm thay đổi thứ tự điều khoản, nội dung.
Khách hàng chỉ cần xem Nội dung hợp nhất là có thể nắm bắt toàn bộ quy định hiện hành đang áp dụng, cho dù văn bản gốc đã qua nhiều lần chỉnh sửa, bổ sung.
- Tải về
Quyết định 46/QĐ-ĐTĐL 2019 Quy trình Lập kế hoạch vận hành thị trường điện
| Cơ quan ban hành: | Cục Điều tiết điện lực |
Số công báo:
Số công báo là mã số ấn phẩm được đăng chính thức trên ấn phẩm thông tin của Nhà nước. Mã số này do Chính phủ thống nhất quản lý.
|
Đang cập nhật |
| Số hiệu: | 46/QĐ-ĐTĐL | Ngày đăng công báo: | Đang cập nhật |
| Loại văn bản: | Quyết định | Người ký: | Nguyễn Anh Tuấn |
|
Ngày ban hành:
Ngày ban hành là ngày, tháng, năm văn bản được thông qua hoặc ký ban hành.
|
08/05/2019 |
Ngày hết hiệu lực:
Ngày hết hiệu lực là ngày, tháng, năm văn bản chính thức không còn hiệu lực (áp dụng).
|
Đang cập nhật |
|
Áp dụng:
Ngày áp dụng là ngày, tháng, năm văn bản chính thức có hiệu lực (áp dụng).
|
Đã biết
|
Tình trạng hiệu lực:
Cho biết trạng thái hiệu lực của văn bản đang tra cứu: Chưa áp dụng, Còn hiệu lực, Hết hiệu lực, Hết hiệu lực 1 phần; Đã sửa đổi, Đính chính hay Không còn phù hợp,...
|
Đã biết
|
| Lĩnh vực: | Công nghiệp, Điện lực |
TÓM TẮT QUYẾT ĐỊNH 46/QĐ-ĐTĐL
Ngày 08/5/2019, Cục Điều tiết điện lực ra Quyết định 46/QĐ-ĐTĐL về việc ban hành Quy trình Lập kế hoạch vận hành thị trường điện.
Theo đó, kế hoạch được lập dựa trên các nguyên tắc sau: Đảm bảo an ninh cung cấp điện; Đảm bảo hệ thống điện vận hành an toàn cao nhất trong điều kiện thực tế của hệ thống; Đảm bảo huy động nguồn điện theo mục tiêu tối thiểu hóa chi phí mua điện cho toàn hệ thống; Đảm bảo ràng buộc về nhiên liệu sơ cấp cho các nhà máy nhiệt điện;…
Ngoài ra, việc tính toán lập kế hoạch vận hành thị trường sẽ sử dụng các số liệu đầu vào bao gồm; phụ tải hệ thống điện; thông số thủy văn; kế hoạch bảo dưỡng, sửa chữa; thống số nhà máy thủy điện, nhiệt điện; nhiên liệu; giới hạn truyền tải; tiến độ công trình mới; dịch vụ phụ trợ; kế hoạch xuất, nhập khẩu điện; các số liệu hợp đồng mua bán điện; phương thức giao nhận điện năng; các số liệu chung của thị trường.
Kế hoạch vận hành thị trường sẽ được lập theo từng năm tới, tháng tới, tuần tới.
Quyết định có hiệu lực kể từ ngày ký.
Xem chi tiết Quyết định 46/QĐ-ĐTĐL có hiệu lực kể từ ngày 08/05/2019
Tải Quyết định 46/QĐ-ĐTĐL
|
BỘ CÔNG THƯƠNG Số: 46/QĐ-ĐTĐL |
CỘNG HÒA XÃ HỘI CHỦ NGHĨA VIỆT NAM Hà Nội, ngày 08 tháng 5 năm 2019 |
BAN HÀNH QUY TRÌNH LẬP KẾ HOẠCH VẬN HÀNH THỊ TRƯỜNG ĐIỆN
_____________
CỤC TRƯỞNG CỤC ĐIỀU TIẾT ĐIỆN LỰC
Căn cứ Quyết định số 3771/QĐ-BCT ngày 02 tháng 10 năm 2017 của Bộ trưởng Bộ Công Thương quy định chức năng, nhiệm vụ, quyền hạn và cơ cấu tổ chức của Cục Điều tiết điện lực;
Căn cứ Thông tư số 45/2018/TT-BCT ngày 15 tháng 11 năm 2018 của Bộ trưởng Bộ Công Thương Quy định vận hành thị trường bán buôn điện cạnh tranh và sửa đổi, bổ sung một số điều của Thông tư số 56/2014/TT-BCT ngày 19 tháng 12 năm 2014 của Bộ Công Thương quy định phương pháp xác định giá phát điện, trình tự kiểm tra hợp đồng mua bán điện;
Theo đề nghị của Trưởng phòng Thị trường điện,
QUYẾT ĐỊNH:
Điều 1. Ban hành kèm theo Quyết định này Quy trình Lập kế hoạch vận hành thị trường điện hướng dẫn thực hiện Thông tư số 45/2018/TT-BCT ngày 15 tháng 11 năm 2018 của Bộ trưởng Bộ Công Thương Quy định vận hành thị trường bán buôn điện cạnh tranh và sửa đổi, bổ sung một số điều của Thông tư số 56/2014/TT-BCT ngày 19 tháng 12 năm 2014 của Bộ Công Thương quy định phương pháp xác định giá phát điện, trình tự kiểm tra hợp đồng mua bán điện.
Điều 2. Quyết định này có hiệu lực thi hành kể từ ngày ký.
Điều 3. Chánh Văn phòng Cục, các Trưởng phòng, Giám đốc Trung tâm Nghiên cứu phát triển thị trường điện lực và Đào tạo thuộc Cục Điều tiết điện lực, Tổng giám đốc Tập đoàn Điện lực Việt Nam, Giám đốc các đơn vị điện lực và đơn vị có liên quan chịu trách nhiệm thi hành Quyết định này./.
|
Nơi nhận: |
CỤC TRƯỞNG |
LẬP KẾ HOẠCH VẬN HÀNH THỊ TRƯỜNG ĐIỆN
(Ban hành kèm theo Quyết định số 46/QĐ-ĐTĐL Ngày 08 tháng 5 năm 2019 của Cục trưởng Cục Điều tiết điện lực)
Chương I
QUY ĐỊNH CHUNG
Điều 1. Phạm vi điều chỉnh
Quy trình này quy định về phương pháp, trình tự thực hiện và trách nhiệm của các đơn vị trong tính toán, lập kế hoạch vận hành thị trường bán buôn điện cạnh tranh.
Điều 2. Đối tượng áp dụng
Quy trình này áp dụng đối với các đơn vị sau đây:
1. Đơn vị mua buôn điện.
2. Đơn vị phát điện.
3. Đơn vị vận hành hệ thống điện và thị trường điện.
4. Đơn vị truyền tải điện.
5. Tập đoàn Điện lực Việt Nam.
Điều 3. Giải thích từ ngữ
Trong quy trình này, các từ ngữ dưới đây được hiểu như sau:
1. Công suất công bố là mức công suất sẵn sàng lớn nhất của tổ máy phát điện được các đơn vị chào giá hoặc Đơn vị vận hành hệ thống điện và thị trường điện và đơn vị phát điện ký hợp đồng cung cấp dịch vụ phụ trợ công bố theo lịch vận hành thị trường điện.
2. Công suất phát ổn định thấp nhất của nhà máy điện được xác định bằng công suất phát ổn định thấp nhất (Pmin) của một tổ máy của nhà máy điện được lập lịch huy động trong mô hình mô phỏng thị trường điện của chu kỳ đó.
3. Chu kỳ giao dịch là 60 phút, tính từ thời điểm bắt đầu của mỗi giờ trong ngày giao dịch. Khi các điều kiện về cơ sở hạ tầng được đáp ứng, Cục Điều tiết điện lực xem xét giảm chu kỳ giao dịch xuống 30 phút.
4. Chương trình tối ưu thủy nhiệt điện ngắn hạn là phần mềm tối ưu thủy nhiệt điện ngắn hạn để tính toán lịch lên xuống và biểu đồ huy động của các tổ máy được Đơn vị vận hành hệ thống điện và thị trường điện sử dụng trong lập kế hoạch vận hành thị trường điện tuần tới.
5. Dịch vụ phụ trợ là các dịch vụ điều tần, dự phòng quay, dự phòng khởi động nhanh, vận hành phải phát để đảm bảo an ninh hệ thống điện, điều chỉnh điện áp và khởi động đen.
6. Đơn vị chào giá là đơn vị trực tiếp nộp bản chào giá trong thị trường điện, bao gồm đơn vị phát điện hoặc các nhà máy điện được đăng ký chào giá trực tiếp và đơn vị đại diện chào giá cho nhóm nhà máy thủy điện bậc thang.
7. Đơn vị mua buôn điện là đơn vị điện lực có chức năng mua buôn điện trên thị trường điện giao ngay (tại các điểm giao nhận giữa lưới truyền tải điện và lưới phân phối điện và tại các điểm giao nhận với các nhà máy điện trên lưới phân phối). Trong giai đoạn đầu vận hành thị trường điện, đơn vị mua buôn điện bao gồm 05 Tổng công ty Điện lực thuộc Tập đoàn Điện lực Việt Nam (Tổng công ty Điện lực miền Bắc, miền Trung, miền Nam, Thành phố Hà Nội và Thành phố Hồ Chí Minh).
8. Đơn vị mua điện là đơn vị tham gia thị trường bán buôn điện với vai trò là bên mua điện, bao gồm đơn vị mua buôn điện và Tập đoàn Điện lực Việt Nam (Công ty Mua bán điện - theo ủy quyền của Tập đoàn Điện lực Việt Nam).
9. Đơn vị phát điện là đơn vị sở hữu một hoặc nhiều nhà máy điện tham gia thị trường điện và ký hợp đồng mua bán điện cho các nhà máy điện này với đơn vị mua điện.
10. Đơn vị phát điện gián tiếp giao dịch là đơn vị phát điện có nhà máy điện không chào giá trực tiếp trên thị trường điện và không áp dụng cơ chế thanh toán trên thị trường điện.
11. Đơn vị phát điện trực tiếp giao dịch là Đơn vị phát điện có nhà máy điện được chào giá trực tiếp trên thị trường điện.
12. Đơn vị truyền tải điện là đơn vị điện lực được cấp phép hoạt động điện lực trong lĩnh vực truyền tải điện, chịu trách nhiệm quản lý, vận hành lưới điện truyền tải quốc gia.
13. Đơn vị vận hành hệ thống điện và thị trường điện là đơn vị chỉ huy điều khiển quá trình phát điện, truyền tải điện, phân phối điện trong hệ thống điện quốc gia, điều hành giao dịch thị trường điện.
14. Giá công suất thị trường là mức giá cho một đơn vị công suất tác dụng xác định cho mỗi chu kỳ giao dịch, áp dụng để tính toán khoản thanh toán công suất cho các Đơn vị phát điện trong thị trường điện.
15. Giá điện năng thị trường là mức giá cho một đơn vị điện năng xác định cho mỗi chu kỳ giao dịch, áp dụng để tính toán khoản thanh toán điện năng cho các đơn vị phát điện trong thị trường điện.
16. Giá thị trường điện toàn phần là tổng giá điện năng thị trường và giá công suất thị trường của mỗi chu kỳ giao dịch.
17. Giá trần bản chào là mức giá cao nhất mà đơn vị chào giá được phép chào cho một tổ máy phát điện trong bản chào giá ngày tới.
18. Giá trần thị trường điện là mức giá điện năng thị trường cao nhất được xác định cho từng năm.
19. Giá trị cắt giảm phụ tải là thông số sử dụng trong mô hình tính toán, đặc trưng cho giá trị hàm phạt khi mô hình tính toán đưa ra kết quả có cắt giảm phụ tải do thiếu nguồn.
20. Giá trị nước là mức giá biên kỳ vọng tính toán cho lượng nước tích trong các hồ thủy điện khi được sử dụng để phát điện thay thế cho các nguồn nhiệt điện trong tương lai, tính quy đổi cho một đơn vị điện năng.
21. Hệ số suy giảm hiệu suất là chỉ số suy giảm hiệu suất của tổ máy phát điện theo thời gian vận hành.
22. Hệ số tải trung bình năm hoặc tháng là tỷ lệ giữa tổng sản lượng điện năng phát trong 01 năm hoặc 01 tháng và tích của tổng công suất đặt với tổng số giờ tính toán hệ số tải năm hoặc tháng.
23. Hệ thống thông tin thị trường điện là hệ thống các trang thiết bị và cơ sở dữ liệu phục vụ quản lý, trao đổi thông tin thị trường điện do Đơn vị vận hành hệ thống điện và thị trường điện quản lý.
24. Hợp đồng mua bán điện là hợp đồng mua bán điện ký kết giữa đơn vị mua điện với đơn vị phát điện trực tiếp giao dịch theo mẫu do Bộ Công Thương ban hành.
25. Khối phụ tải là thông số sử dụng trong mô hình tính toán giá trị nước, được xác định từ một cặp giá trị (khoảng thời gian (giờ); phụ tải (MWh)). Trong tính toán giá trị nước, phụ tải một tuần bao gồm tối thiểu 05 (năm) khối phụ tải.
26. Lập lịch có ràng buộc là việc sắp xếp thứ tự huy động các tổ máy phát điện theo phương pháp tối thiểu chi phí mua điện có xét đến các ràng buộc kỹ thuật trong hệ thống điện.
27. Lập lịch không ràng buộc là việc sắp xếp thứ tự huy động các tổ máy phát điện theo phương pháp tối thiểu chi phí mua điện không xét đến các ràng buộc kỹ thuật trong hệ thống điện.
28. Mô hình mô phỏng thị trường điện là hệ thống các phần mềm mô phỏng huy động các tổ máy phát điện và tính giá điện năng thị trường được Đơn vị vận hành hệ thống điện và thị trường điện sử dụng trong lập kế hoạch vận hành năm, tháng và tuần.
29. Mô hình tính toán giá trị nước là hệ thống các phần mềm tối ưu thủy nhiệt điện để tính toán giá trị nước được Đơn vị vận hành hệ thống điện và thị trường điện sử dụng trong lập kế hoạch vận hành năm, tháng và tuần.
30. Mực nước giới hạn là mực nước thượng lưu thấp nhất của hồ chứa thủy điện cuối mỗi tháng trong năm hoặc cuối mỗi tuần trong tháng do Đơn vị vận hành hệ thống điện và thị trường điện tính toán và công bố theo quy định tại Quy trình thực hiện đánh giá an ninh hệ thống điện trung hạn và ngắn hạn do Cục Điều tiết điện lực ban hành hướng dẫn thực hiện Quy định hệ thống điện truyền tải do Bộ Công Thương ban hành.
31. Mực nước tối ưu là mực nước thượng lưu của hồ chứa thủy điện vào thời điểm cuối mỗi tháng hoặc cuối mỗi tuần, đảm bảo việc sử dụng nước cho mục đích phát điện đạt hiệu quả cao nhất và đáp ứng các yêu cầu ràng buộc, do Đơn vị vận hành hệ thống điện và thị trường điện tính toán, công bố.
32. Năm N là năm hiện tại vận hành thị trường điện, được tính theo năm dương lịch.
33. Ngày D là ngày giao dịch hiện tại.
34. Ngày giao dịch là ngày diễn ra các hoạt động giao dịch thị trường điện, tính từ 00h00 đến 24h00 hàng ngày.
35. Nhà máy điện BOT là nhà máy điện được đầu tư theo hình thức Xây dựng - Kinh doanh - Chuyển giao thông qua hợp đồng giữa nhà đầu tư và cơ quan nhà nước có thẩm quyền.
36. Nhà máy điện mới tốt nhất là nhà máy nhiệt điện mới đưa vào vận hành có giá phát điện bình quân tính toán cho năm tới thấp nhất và giá hợp đồng mua bán điện được thoả thuận căn cứ theo khung giá phát điện cho nhà máy điện chuẩn do Bộ Công Thương ban hành. Nhà máy điện mới tốt nhất được lựa chọn hằng năm để sử dụng trong tính toán giá công suất thị trường.
37. Nhà máy thủy điện chiến lược đa mục tiêu là nhà máy thủy điện được quy định tại Quyết định số 2012/QĐ-TTg ngày 24 tháng 10 năm 2016 của Thủ tướng Chính phủ phê duyệt danh mục nhà máy điện lớn có ý nghĩa đặc biệt quan trọng về kinh tế - xã hội, quốc phòng, an ninh và Quyết định số 4712/QĐ-BCT ngày 02 tháng 12 năm 2016 của Bộ trưởng Bộ Công Thương phê duyệt danh mục nhà máy điện phối hợp vận hành với nhà máy điện lớn có ý nghĩa đặc biệt quan trọng về kinh tế - xã hội, quốc phòng, an ninh.
38. Nhóm nhà máy thủy điện bậc thang là tập hợp các nhà máy thủy điện, trong đó lượng nước xả từ hồ chứa của nhà máy thuỷ điện bậc thang trên chiếm toàn bộ hoặc phần lớn lượng nước về hồ chứa nhà máy thuỷ điện bậc thang dưới và giữa hai nhà máy điện này không có hồ chứa điều tiết nước lớn hơn 01 tuần.
39. Phụ tải hệ thống là tổng sản lượng điện năng của toàn hệ thống điện tính quy đổi về đầu cực các tổ máy phát điện và sản lượng điện năng nhập khẩu trong một chu kỳ giao dịch trừ đi sản lượng của các nhà máy phát điện có tổng công suất đặt nhỏ hơn hoặc bằng 30MW không tham gia thị trường điện và sản lượng của các nhà máy thủy điện bậc thang trên cùng một dòng sông thuộc một đơn vị phát điện có tổng công suất đặt nhỏ hơn hoặc bằng 60MW (đáp ứng tiêu chuẩn áp dụng biểu giá chi phí tránh được do Bộ Công Thương ban hành).
40. Phụ tải hệ thống điện miền là tổng sản lượng điện năng tiêu thụ của toàn hệ thống điện miền có tính đến điện năng xuất khẩu và tổn thất trên lưới điện truyền tải, tổn thất trên lưới điện phân phối thuộc miền.
41. Phụ tải hệ thống điện quốc gia là tổng phụ tải hệ thống điện các miền và tổn thất trên các đường dây liên kết miền.
42. Phụ tải nội bộ của các nhà máy điện thuộc khu công nghiệp là lượng điện năng tiêu thụ trong khu công nghiệp nhằm phục vụ nhu cầu và mục đích sản xuất trong nội bộ nhà máy điện và khu công nghiệp.
43. Quy trình dự báo nhu cầu phụ tải hệ thống điện là Quy trình dự báo nhu cầu phụ tải hệ thống điện do Cục Điều tiết điện lực ban hành.
44. Quy trình lập kế hoạch bảo dưỡng, sửa chữa lưới điện và nhà máy điện trong hệ thống điện quốc gia là Quy trình lập kế hoạch bảo dưỡng, sửa chữa lưới điện và nhà máy điện trong hệ thống điện quốc gia do Cục Điều tiết điện lực ban hành.
45. Sản lượng kế hoạch năm là sản lượng điện năng của nhà máy điện dự kiến được huy động trong năm tới.
46. Sản lượng kế hoạch tháng là sản lượng điện năng của nhà máy điện dự kiến được huy động các tháng trong năm.
47. Sản lượng phát lớn nhất của nhà máy điện là tổng sản lượng điện có thể phát được của cả nhà máy trong một chu kỳ giao dịch có xét đến kế hoạch bảo dưỡng, sửa chữa.
48. Sản lượng phát lớn nhất tháng của nhà máy điện là tổng sản lượng phát lớn nhất của nhà máy điện trong các chu kỳ giao dịch của tháng tới.
49. Suất hao nhiệt là lượng nhiệt năng tiêu hao của tổ máy hoặc nhà máy điện để sản xuất ra một đơn vị điện năng.
50. Thành viên tham gia thị trường điện là các đơn vị tham gia vào các hoạt động giao dịch hoặc cung cấp dịch vụ trên thị trường điện được quy định tại Điều 2 Thông tư số 45/2018/TT-BCT ngày 15 tháng 11 năm 2018 của Bộ trưởng Bộ Công Thương về Quy định vận hành thị trường bán buôn điện cạnh tranh và sửa đổi, bổ sung một số điều của Thông tư số 56/2014/TT-BCT ngày 19 tháng 12 năm 2014 của Bộ trưởng Bộ Công Thương Quy định phương pháp xác định giá phát điện, trình tự kiểm tra hợp đồng mua bán điện.
51. Tháng M là tháng vận hành thị trường điện hiện tại, được tính theo tháng dương lịch.
52. Thông tư số 45/2018/TT-BCT là Thông tư số 45/2018/TT-BCT ngày 15 tháng 11 năm 2018 của Bộ trưởng Bộ Công Thương về Quy định vận hành thị trường bán buôn điện cạnh tranh và sủa đổi, bổ sung một số điều của Thông tư số 56/2014/TT-BCT ngày 19 tháng 12 năm 2014 của Bộ trưởng Bộ Công Thương Quy định phương pháp xác định giá phát điện, trình tự kiểm tra hợp đồng mua bán điện.
53. Thông tư số 25/2016/TT-BCT là Thông tư số 25/2016/TT-BCT ngày 30 tháng 11 năm 2016 của Bộ trưởng Bộ Công Thương quy định hệ thống điện truyền tải.
54. Thông tư số 42/2015/TT-BCT là Thông tư số 42/2015/TT-BCT ngày 01 tháng 12 năm 2015 của Bộ trưởng Bộ Công Thương quy định đo đếm điện năng trong hệ thống điện.
55. Tổng số giờ tính toán hệ số tải năm là tổng số giờ của cả năm N đối với các tổ máy đã vào vận hành thương mại từ năm N-1 trở về trước hoặc là tổng số giờ tính từ thời điểm vận hành thương mại của tổ máy đến hết năm đối với các tổ máy đưa vào vận hành thương mại trong năm N, trừ đi thời gian sửa chữa của tổ máy theo kế hoạch đã được phê duyệt trong năm N.
56. Tổng số giờ tính toán hệ số tải tháng là tổng số giờ của cả tháng M đối với các tổ máy đã vào vận hành thương mại từ tháng M-1 trở về trước hoặc là tổng số giờ tính từ thời điểm vận hành thương mại của tổ máy đến hết tháng đối với các tổ máy đưa vào vận hành trong tháng M, trừ đi thời gian sửa chữa của tổ máy theo kế hoạch đã được phê duyệt trong tháng M.
57. Trang thông tin điện tử thị trường điện là trang thông tin điện tử có chức năng công bố thông tin vận hành thị trường điện.
58. Tuần T là tuần vận hành thị trường điện hiện tại, bắt đầu từ 00h00 thứ Hai đến 24h00 Chủ nhật.
59. Xác suất ngừng máy sự cố là xác suất bất khả dụng do nguyên nhân sự cố của một tổ máy, được tính bằng tỉ lệ phần trăm (%) giữa số chu kỳ ngừng máy sự cố trên tổng của số chu kỳ khả dụng và số chu kỳ ngừng máy sự cố.
Chương II
NGUYÊN TẮC VÀ SỐ LIỆU ĐẦU VÀO PHỤC VỤ LẬP KẾ HOẠCH VẬN HÀNH THỊ TRƯỜNG ĐIỆN
Mục 1. NGUYÊN TẮC LẬP KẾ HOẠCH VẬN HÀNH THỊ TRƯỜNG ĐIỆN
Điều 4. Nguyên tắc lập kế hoạch vận hành thị trường điện
1. Đảm bảo an ninh cung cấp điện, đảm bảo hệ thống điện vận hành an toàn cao nhất trong điều kiện thực tế của hệ thống.
2. Đảm bảo công bằng, minh bạch đối với các thành viên tham gia thị trường điện.
3. Tuân thủ yêu cầu về chống lũ, tưới tiêu và duy trì dòng chảy sinh thái theo các quy trình vận hành hồ chứa thủy điện được phê duyệt và các đăng ký của Đơn vị phát điện có xác nhận của cơ quan có thẩm quyền tại địa phương.
4. Đảm bảo ràng buộc về nhiên liệu sơ cấp cho các nhà máy nhiệt điện.
5. Đảm bảo các điều kiện kỹ thuật cho phép của các tổ máy phát điện và lưới điện truyền tải.
6. Đảm bảo thực hiện các thoả thuận về sản lượng và công suất trong các hợp đồng xuất, nhập khẩu điện; hợp đồng mua bán điện của các nhà máy điện.
7. Đảm bảo huy động nguồn điện theo mục tiêu tối thiểu hoá chi phí mua điện cho toàn hệ thống.
Điều 5. Hệ thống chương trình lập kế hoạch vận hành thị trường điện
Hệ thống chương trình lập kế hoạch vận hành thị trường điện năm, tháng và tuần tới là một hoặc nhiều phần mềm có các chức năng sau:
1. Tính toán giá trị nước theo quy định tại Phụ lục 1 Quy trình này.
2. Mô phỏng thị trường điện theo quy định tại Phụ lục 16 Quy trình này.
3. Phân loại tổ máy, tính toán giá trần bản chào của các tổ máy nhiệt điện.
4. Lựa chọn giá trần thị trường điện.
5. Tính toán lựa chọn nhà máy điện mới tốt nhất.
6. Tính toán giá công suất thị trường.
7. Tính toán sản lượng hợp đồng năm, tháng, tuần và cho từng chu kỳ giao dịch.
8. Tính toán giá phát điện bình quân.
9. Tính toán tối ưu thủy nhiệt điện ngắn hạn.
10. Các chức năng cần thiết khác.
Mục 2. SỐ LIỆU ĐẦU VÀO CHO LẬP KẾ HOẠCH VẬN HÀNH THỊ TRƯỜNG ĐIỆN
Điều 6. Số liệu đầu vào
Số liệu đầu vào được sử dụng tính toán lập kế hoạch vận hành thị trường điện và tính toán giá trị nước bao gồm:
1. Phụ tải hệ thống điện.
2. Thông số thủy văn.
3. Kế hoạch bảo dưỡng, sửa chữa.
4. Thông số nhà máy thủy điện.
5. Thông số nhà máy nhiệt điện.
6. Nhiên liệu.
7. Giới hạn truyền tải.
8. Tiến độ công trình mới.
9. Kế hoạch xuất, nhập khẩu điện.
10. Dịch vụ phụ trợ.
11. Các số liệu hợp đồng mua bán điện.
12. Phương thức giao nhận điện năng.
13. Các số liệu chung của thị trường.
Điều 7. Phụ tải hệ thống điện
Đơn vị vận hành hệ thống điện và thị trường điện và các đơn vị liên quan có trách nhiệm dự báo phụ tải hệ thống điện theo quy định tại Quy trình dự báo nhu cầu phụ tải hệ thống điện.
Điều 8. Thủy văn
1. Đơn vị mua điện có trách nhiệm cung cấp cho Đơn vị vận hành hệ thống điện và thị trường điện tất cả chuỗi số liệu thống kê lưu lượng nước về hồ thủy điện từng tuần trong quá khứ của các nhà máy thủy điện dự kiến vận hành trong các chu kỳ tính toán lập kế hoạch theo mẫu quy định tại Phụ lục 3 Quy trình này.
2. Đơn vị phát điện sở hữu nhà máy thủy điện có trách nhiệm cung cấp cho Đơn vị vận hành hệ thống điện và thị trường điện chuỗi số liệu thống kê lưu lượng nước về hồ thủy điện trong quá khứ theo yêu cầu của Đơn vị vận hành hệ thống điện và thị trường điện.
3. Đơn vị vận hành hệ thống điện và thị trường điện có trách nhiệm cập nhật các thông số về mực nước bắt buộc phải đảm bảo trong các giai đoạn vận hành của các hồ chứa thủy điện theo các quy trình vận hành liên hồ chứa, quy trình vận hành hồ chứa được cấp có thẩm quyền phê duyệt.
4. Căn cứ chuỗi số liệu thống kê do các đơn vị cung cấp, Đơn vị vận hành hệ thống điện và thị trường điện có trách nhiệm tính toán chuỗi lưu lượng nước về theo các phương pháp quy định tại Phụ lục 3 Quy trình này.
Điều 9. Kế hoạch bảo dưỡng, sửa chữa
Đơn vị vận hành hệ thống điện và thị trường điện và các đơn vị liên quan có trách nhiệm lập kế hoạch bảo dưỡng, sửa chữa thiết bị điện cho các tổ máy phát điện, đường dây truyền tải điện và các thiết bị kết nối liên quan theo quy định tại Quy trình lập kế hoạch bảo dưỡng, sửa chữa lưới điện và nhà máy điện trong hệ thống điện quốc gia.
Điều 10. Thông số nhà máy thủy điện
1. Đơn vị phát điện sở hữu nhà máy thủy điện đang vận hành có trách nhiệm cung cấp các thông số kỹ thuật của nhà máy đã được quy định trong hợp đồng mua bán điện và đặc tính hồ chứa cho Đơn vị vận hành hệ thống điện và thị trường điện theo quy định tại Phụ lục 4 Quy trình này.
2. Đơn vị phát điện sở hữu nhà máy điện BOT phối hợp với Đơn vị mua điện (ký hợp đồng mua bán điện với đơn vị phát điện) cung cấp các thông số của nhà máy cho Đơn vị vận hành hệ thống điện và thị trường điện theo quy định tại Phụ lục 4 Quy trình này.
3. Đơn vị vận hành hệ thống điện và thị trường điện có trách nhiệm xác định mực nước dự kiến của các hồ thủy điện tại thời điểm bắt đầu chu kỳ tính toán lập kế hoạch vận hành thị trường điện.
Điều 11. Thông số nhà máy nhiệt điện
1. Đơn vị phát điện sở hữu nhà máy nhiệt điện có trách nhiệm cung cấp các thông số kỹ thuật của nhà máy đã được quy định trong hợp đồng mua bán điện cho Đơn vị vận hành hệ thống điện và thị trường điện theo quy định tại Phụ lục 5 Quy trình này.
2. Đơn vị phát điện sở hữu nhà máy điện BOT phối hợp với Đơn vị mua điện (ký hợp đồng mua bán điện với đơn vị phát điện) cung cấp các thông số của nhà máy cho Đơn vị vận hành hệ thống điện và thị trường điện theo quy định tại Phụ lục 5 Quy trình này.
3. Đơn vị mua điện có trách nhiệm cung cấp cho Đơn vị vận hành hệ thống điện và thị trường điện các số liệu theo quy định tại Khoản 1, Khoản 2 Điều 22 Thông tư số 45/2018/TT-BCT và các số liệu về chi phí khởi động theo biểu mẫu quy định tại Phụ lục 5 Quy trình này để phục vụ công tác tính toán mô phỏng thị trường điện và tính toán giá trần bản chào của tổ máy nhiệt điện.
4. Đơn vị phát điện sở hữu nhà máy nhiệt điện có trách nhiệm cung cấp suất hao nhiệt thô cho Đơn vị vận hành hệ thống điện và thị trường điện theo quy định tại Phụ lục 5 Quy trình này phục vụ mô phỏng giới hạn nhiên liệu trong mô phỏng thị trường điện. Trong trường hợp không có số liệu suất hao nhiệt thô do Đơn vị phát điện cung cấp, Đơn vị vận hành hệ thống điện và thị trường điện sử dụng suất hao nhiệt thô trung bình theo số liệu tiêu thụ nhiên liệu khí năm N-1 phục vụ mô phỏng giới hạn nhiên liệu khí trong mô phỏng thị trường điện.
Điều 12. Nhiên liệu
1. Đơn vị mua điện có trách nhiệm cung cấp cho Đơn vị vận hành hệ thống điện và thị trường điện các số liệu về giá nhiên liệu theo quy định tại Phụ lục 6 Quy trình này.
2. Căn cứ trên các số liệu được Tập đoàn Điện lực Việt Nam cung cấp, Đơn vị vận hành hệ thống điện và thị trường điện có trách nhiệm cập nhật các số liệu về giới hạn cung cấp khí và kế hoạch bảo dưỡng, sửa chữa các hệ thống cung cấp khí theo quy định tại Phụ lục 6 Quy trình này.
Điều 13. Giới hạn truyền tải
Đơn vị vận hành hệ thống điện và thị trường điện có trách nhiệm xác định giới hạn truyền tải, đặc tính tổn thất truyền tải của các đường dây truyền tải liên kết hệ thống điện miền phục vụ tính toán lập kế hoạch vận hành thị trường điện.
Điều 14. Tiến độ công trình mới
1. Đơn vị mua điện có trách nhiệm cung cấp cho Đơn vị vận hành hệ thống điện và thị trường điện:
a) Số liệu về tiến độ các nhà máy mới dự kiến vận hành trong các chu kỳ tính toán lập kế hoạch vận hành thị trường điện theo quy định tại Phụ lục 7 Quy trình này;
b) Thông số kỹ thuật của các nhà máy điện mới dự kiến vận hành trong các chu kỳ tính toán lập kế hoạch vận hành thị trường điện theo biểu mẫu quy định tại Phụ lục 4 Quy trình này đối với các nhà máy thủy điện và Phụ lục 5 Quy trình này đối với các nhà máy nhiệt điện.
2. Đơn vị truyền tải điện có trách nhiệm cung cấp số liệu về tiến độ và thông số kỹ thuật các đường dây mới cho Đơn vị vận hành hệ thống điện và thị trường điện theo biểu mẫu quy định tại Phụ lục 7 Quy trình này.
Điều 15. Kế hoạch xuất, nhập khẩu điện
1. Số liệu sử dụng trong lập kế hoạch vận hành thị trường điện năm tới, tháng tới
a) Số liệu dự báo xuất, nhập khẩu điện từng tháng về điện năng, công suất cực đại;
b) Biểu đồ xuất, nhập khẩu điện ngày điển hình tại các điểm đấu nối.
2. Số liệu dùng trong việc lập kế hoạch vận hành thị trường điện tuần tới
a) Số liệu dự báo xuất, nhập khẩu điện từng tuần về điện năng, công suất cực đại;
b) Biểu đồ xuất nhập khẩu điện ngày điển hình (ngày làm việc, ngày lễ, ngày thứ Bảy, ngày Chủ nhật) tại các điểm đấu nối.
3. Đơn vị vận hành hệ thống điện và thị trường điện có trách nhiệm phối hợp với Đơn vị mua điện (ký hợp đồng xuất, nhập khẩu điện) tính toán và công bố các số liệu về xuất, nhập khẩu điện.
Điều 16. Dịch vụ phụ trợ
1. Các loại hình dịch vụ phụ trợ cho vận hành hệ thống điện trong thị trường điện bao gồm:
a) Điều tần;
b) Dự phòng quay;
c) Dự phòng khởi động nhanh;
d) Điều chỉnh điện áp;
đ) Khởi động đen;
e) Tổ máy phải phát để đảm bảo an ninh hệ thống điện.
2. Đơn vị vận hành hệ thống điện và thị trường điện có trách nhiệm xác định nhu cầu các loại dịch vụ phụ trợ theo quy định tại Quy định hệ thống điện truyền tải do Bộ Công Thương ban hành.
Điều 17. Số liệu hợp đồng mua bán điện
1. Đơn vị mua điện có trách nhiệm cung cấp cho Đơn vị vận hành hệ thống điện và thị trường điện các số liệu trong hợp đồng mua bán điện về giá điện và sản lượng điện của các đơn vị phát điện theo biểu mẫu quy định tại Phụ lục 8 Quy trình này.
2. Đơn vị mua điện có trách nhiệm cung cấp cho Đơn vị vận hành hệ thống điện và thị trường điện các số liệu hợp đồng mua bán điện của các nhà máy BOT theo biểu mẫu quy định tại Phụ lục 8 Quy trình này.
3. Đơn vị vận hành hệ thống điện và thị trường điện có trách nhiệm thu thập số liệu về chi phí định mức của các nhà máy thủy điện chiến lược đa mục tiêu đã được Tập đoàn Điện lực Việt Nam trình Cục Điều tiết điện lực phê duyệt theo quy định tại Quy định phương pháp, trình tự xác định chi phí hàng năm và giá điện của nhà máy thủy điện chiến lược đa mục tiêu do Bộ Công Thương ban hành.
4. Đơn vị vận hành hệ thống điện và thị trường điện có trách nhiệm thu thập các thông tin về chi phí mua điện từ các nhà máy điện BOT, các nhà máy thủy điện chiến lược đa mục tiêu và các nhà máy điện cung cấp dịch vụ phụ trợ của Tập đoàn Điện lực Việt Nam để tính toán giá phát điện bình quân năm N+1.
Điều 18. Phương thức giao nhận điện năng
Đơn vị mua điện có trách nhiệm cung cấp cho Đơn vị vận hành hệ thống điện và thị trường điện phương thức giao nhận điện năng theo Quy định đo đếm điện năng trong hệ thống điện do Bộ Công Thương ban hành.
Điều 19. Số liệu chung của thị trường điện
1. Các số liệu chung của thị trường điện bao gồm các thông số hàm phạt, các thông số thiết lập trong các chương trình tính toán sử dụng trong lập kế hoạch vận hành thị trường điện.
2. Đơn vị vận hành hệ thống điện và thị trường điện có trách nhiệm xác định các số liệu chung của thị trường theo quy định tại Phụ lục 9 Quy trình này để thực hiện tính toán lập kế hoạch vận hành thị trường điện.
3. Các số liệu chung của thị trường điện được Cục Điều tiết điện lực phê duyệt kèm theo Báo cáo lập kế hoạch vận hành thị trường điện năm tới.
4. Trong trường hợp cần thay đổi các số liệu chung của thị trường điện để đảm bảo các mục tiêu vận hành thị trường điện, đảm bảo an ninh hệ thống và trong các trường hợp đặc biệt khác, Đơn vị vận hành hệ thống điện và thị trường điện xác định các số liệu mới phù hợp, trình Cục Điều tiết điện lực phê duyệt.
Điều 20. Xử lý trong các trường hợp không có đầy đủ số liệu
1. Trong trường hợp các đơn vị tham gia thị trường phát điện cạnh tranh cung cấp số liệu không đầy đủ hoặc không chính xác, Đơn vị vận hành hệ thống điện và thị trường điện có quyền yêu cầu các đơn vị cung cấp lại số liệu. Các đơn vị tham gia thị trường điện có trách nhiệm cập nhật và cung cấp các số liệu chính xác theo yêu cầu của Đơn vị vận hành hệ thống điện và thị trường điện.
2. Trong trường hợp các đơn vị không tuân thủ các yêu cầu về cung cấp số liệu hoặc cung cấp không đảm bảo kịp thời và chính xác theo quy định, Đơn vị vận hành hệ thống điện và thị trường điện có trách nhiệm thu thập, tính toán các số liệu tối ưu nhất để thay thế cho các số liệu đầu vào còn thiếu hoặc không chính xác. Số liệu tự thu thập, tính toán phải được nêu trong hồ sơ trình Tập đoàn Điện lực Việt Nam và Cục Điều tiết điện lực về kế hoạch vận hành thị trường điện.
Chương III
KẾ HOẠCH VẬN HÀNH THỊ TRƯỜNG ĐIỆN NĂM TỚI
Điều 21. Nội dung, trình tự lập kế hoạch vận hành thị trường điện năm tới
1. Đơn vị vận hành hệ thống điện và thị trường điện có trách nhiệm lập kế hoạch vận hành thị trường điện năm tới, bao gồm các bước sau:
a) Dự báo phụ tải, bao gồm phụ tải hệ thống điện quốc gia và phụ tải hệ thống điện miền;
b) Tính toán giá trị nước và mực nước tối ưu các hồ chứa thuỷ điện;
c) Tính toán giới hạn giá bản chào của tổ máy nhiệt điện;
d) Xác định các phương án giá trần thị trường;
đ) Lựa chọn nhà máy điện mới tốt nhất;
e) Tính toán giá công suất thị trường tương ứng với các phương án giá trần thị trường;
g) Tính toán giá phát điện bình quân cho năm tới, giá phát điện bình quân cho các nhà máy điện trực tiếp tham gia thị trường điện theo từng phương án giá trần thị trường;
h) Tính toán sản lượng kế hoạch, sản lượng hợp đồng năm và phân bổ sản lượng hợp đồng năm vào các tháng trong năm của các Đơn vị phát điện trực tiếp giao dịch.
2. Đơn vị vận hành hệ thống điện và thị trường điện có trách nhiệm sử dụng hệ thống chương trình lập kế hoạch vận hành thị trường điện theo quy định tại Điều 5 Quy trình này để tính toán lập kế hoạch vận hành thị trường điện năm tới theo trình tự quy định tại Phụ lục 1 Quy trình này.
Điều 22. Cung cấp số liệu phục vụ lập kế hoạch vận hành thị trường điện năm tới
1. Trước ngày 15 tháng 7 hằng năm, đơn vị tham gia thị trường điện và đơn vị liên quan có trách nhiệm cung cấp cho Đơn vị vận hành hệ thống điện và thị trường điện các số liệu theo quy định tại Quy trình lập kế hoạch bảo dưỡng, sửa chữa lưới điện và nhà máy điện trong hệ thống điện quốc gia. Đơn vị phát điện sở hữu nhà máy điện thuộc khu công nghiệp có trách nhiệm cung cấp thêm nhu cầu phụ tải nội bộ dự kiến từng tháng của năm tiếp theo.
2. Trước 01 tháng 8 hằng năm, đơn vị tham gia thị trường điện và các đơn vị liên quan có trách nhiệm cung cấp cho Đơn vị vận hành hệ thống điện và thị trường điện các số liệu theo quy định tại Quy trình dự báo nhu cầu phụ tải hệ thống điện.
3. Trước ngày 01 tháng 9 hằng năm, đơn vị tham gia thị trường điện và đơn vị liên quan có trách nhiệm cung cấp cho Đơn vị vận hành hệ thống điện và thị trường điện các số liệu theo quy định tại Điều 8, Điều 10, Điều 11, Điều 12, Điều 13, Điều 14, Điều 15, Điều 16, Điều 17 và Điều 18 Quy trình này.
4. Trước ngày 10 tháng 11 hằng năm, đơn vị mua buôn điện có trách nhiệm cập nhật và cung cấp số liệu phụ tải dự báo năm tới cho Đơn vị vận hành hệ thống điện và thị trường điện để phục vụ công tác tính toán phân bổ sản lượng hợp đồng cho đơn vị mua buôn điện.
Điều 23. Chuẩn bị các số liệu đầu vào cho lập kế hoạch vận hành thị trường điện năm tới
1. Trước ngày 15 tháng 8 hằng năm, Đơn vị vận hành hệ thống điện và thị trường điện có trách nhiệm hoàn thành việc lập kế hoạch bảo dưỡng sửa chữa thiết bị điện cho các tổ máy phát điện, đường dây truyền tải điện và các thiết bị kết nối liên quan.
2. Trước ngày 01 tháng 9 hằng năm, Đơn vị vận hành hệ thống điện và thị trường điện có trách nhiệm hoàn thành dự báo phụ tải.
3. Trước ngày 01 tháng 10 hằng năm, trên cơ sở các thông tin được các đơn vị cung cấp, Đơn vị vận hành hệ thống điện và thị trường điện có trách nhiệm xác định các thông số và cập nhật vào các chương trình tính toán.
Điều 24. Phân loại nhà máy thủy điện theo điều tiết hồ chứa

Tđt: Thời gian điều tiết hồ chứa (ngày);
Vhi: Thể tích hữu ích (triệu m3);
Qmax: Lưu lượng nước chạy máy tối đa của nhà máy (m3/s).
2. Căn cứ thời gian điều tiết hồ chứa theo tính toán, các nhà máy thủy điện được phân loại thành ba nhóm sau:
a) Nhóm nhà máy thủy điện có hồ chứa điều tiết trên 01 tuần: Gồm các nhà máy thủy điện có thời gian điều tiết (Tđt) lớn hơn 07 ngày;
b) Nhóm nhà máy thủy điện có hồ chứa điều tiết từ 02 ngày đến 01 tuần: Gồm các nhà máy thủy điện có thời gian điều tiết (Tđt) từ 02 ngày đến 07 ngày;
c) Nhóm nhà máy thủy điện có hồ chứa điều tiết dưới 02 ngày: Gồm các nhà máy thủy điện có thời gian điều tiết (Tđt) nhỏ hơn 02 ngày.
Điều 25. Xác định suất hao nhiệt của tổ máy nhiệt điện
1. Suất hao nhiệt của tổ máy nhiệt điện được xác định theo thứ tự ưu tiên như sau:
a) Đơn vị mua điện có trách nhiệm cung cấp suất hao nhiệt hợp đồng đã được hiệu chỉnh theo hệ số suy giảm hiệu suất cho Đơn vị vận hành hệ thống điện và thị trường điện theo khung thời gian quy định tại Điều 22 Quy trình này. Trường hợp suất hao nhiệt trong hợp đồng là suất hao nhiệt bình quân cả đời dự án thì không cần phải điều chỉnh theo hệ số suy giảm hiệu suất;
b) Trong trường hợp trong hợp đồng hoặc hồ sơ đàm phán hợp đồng chỉ có đường đặc tính suất hao tại các mức tải thì suất hao nhiệt của các tổ máy được xác định là suất hao nhiệt tại mức tải tương ứng với sản lượng điện năng phát bình quân nhiều năm của nhà máy điện được quy định trong hợp đồng mua bán điện;
c) Trong trường hợp tổ máy nhiệt điện không có số liệu suất hao nhiệt trong hợp đồng hoặc trong hồ sơ đàm phán hợp đồng mua bán điện, suất hao nhiệt của tổ máy nhiệt điện đó được xác định bằng suất hao nhiệt của nhà máy nhiệt điện chuẩn cùng nhóm theo công nghệ phát điện và công suất đặt. Đơn vị vận hành hệ thống điện và thị trường điện có trách nhiệm tính toán suất tiêu hao nhiệt của nhà máy điện chuẩn.
2. Hệ số suy giảm hiệu suất của tổ máy nhiệt điện được xác định theo thứ tự ưu tiên như sau:
a) Hệ số suy giảm hiệu suất của tổ máy nhiệt điện được xác định bằng hệ số suy giảm hiệu suất trong hợp đồng hoặc trong hồ sơ đàm phán hợp đồng mua bán điện;
b) Trường hợp nhà máy nhiệt điện không có số liệu hệ số suy giảm hiệu suất trong hợp đồng hoặc trong hồ sơ đàm phán hợp đồng mua bán điện, áp dụng hệ số suy giảm hiệu suất của nhà máy điện chuẩn cùng nhóm với nhà máy điện đó.
Điều 26. Xác định nhu cầu dịch vụ phụ trợ cho năm tới
Đơn vị vận hành hệ thống điện và thị trường điện có trách nhiệm tính toán xác định nhu cầu các loại hình dịch vụ phụ trợ cho năm tới theo quy định tại Điều 20 Thông tư số 45/2018/TT-BCT, Quy định hệ thống điện truyền tải do Bộ Công Thương ban hành và theo thời gian biểu quy định tại Phụ lục 2 Quy trình này.
Điều 27. Tính toán giá trị nước năm tới
1. Đơn vị vận hành hệ thống điện và thị trường điện có trách nhiệm tính toán giá trị nước năm tới theo nguyên tắc quy định tại Phụ lục 17 và theo thời gian biểu quy định tại Phụ lục 2 Quy trình này.
2. Quy định về tính toán giá trị nước năm tới
a) Chu kỳ tính toán giá trị nước năm tới là 52 tuần tính từ ngày đầu tiên của năm N có xét đến 03 năm tiếp theo;
b) Số liệu đầu vào của 03 năm tiếp theo được lấy bằng số liệu của 52 tuần đầu tiên;
c) Mực nước tại thời điểm bắt đầu chu kỳ tính toán là mực nước dự kiến được Đơn vị vận hành hệ thống điện và thị trường điện tính toán, cập nhật căn cứ trên mực nước thực tế của từng hồ tại thời điểm tính toán và lượng nước cần sử dụng từ thời điểm tính toán đến thời điểm bắt đầu chu kỳ tính toán;
d) Kết quả tính toán giá trị nước 52 tuần đầu tiên trong chu kỳ tính toán được sử dụng trong quá trình lập kế hoạch vận hành năm tới.
3. Kết quả tính toán giá trị nước phục vụ quá trình lập kế hoạch vận hành năm tới bao gồm các số liệu sau:
a) Giá trị nước 52 tuần đầu tiên trong chu kỳ tính toán của các nhà máy thủy điện (đồng/kWh);
b) Sản lượng điện phát 52 tuần đầu tiên trong chu kỳ tính toán của các nhà máy thủy điện (GWh);
c) Công suất khả dụng 52 tuần đầu tiên trong chu kỳ tính toán của các tổ máy (MW);
d) Mực nước tối ưu 52 tuần trong chu kỳ tính toán của các nhà máy thủy điện (m).
Điều 28. Tính toán mô phỏng thị trường điện năm tới
1. Trước ngày 15 tháng 11 hằng năm, Đơn vị vận hành hệ thống điện và thị trường điện có trách nhiệm tính toán mô phỏng thị trường điện theo quy định tại Phụ lục 16 và theo thời gian biểu quy định tại Phụ lục 2 Quy trình này.
2. Trong tính toán mô phỏng thị trường, các tổ máy được cập nhật vào chương trình mô phỏng thị trường như sau:
a) Các tổ máy nhiệt điện sử dụng chi phí biến đổi theo quy định tại Khoản 3 Điều 17 Thông tư số 45/2018/TT-BCT;
b) Các tổ máy thủy điện sử dụng thông số kỹ thuật tổ máy, đặc tính hồ chứa và thông số thủy văn;
c) Các tổ máy chưa có đầy đủ số liệu được mô phỏng là tổ máy với sản lượng cố định bằng sản lượng trong kế hoạch vận hành hệ thống điện.
3. Kết quả mô phỏng thị trường bao gồm:
a) Giá trị nước của các hồ thủy điện trong từng tuần của năm tới (đồng/kWh);
b) Mực nước tối ưu các hồ chứa thủy điện từng tuần và từng tháng của năm tới (m);
c) Sản lượng dự kiến của các tổ máy trong từng tuần của năm tới (MWh);
d) Giá biên dự kiến các miền.
Điều 29. Phân loại tổ máy nhiệt điện năm tới
1. Các tổ máy nhiệt điện được phân loại thành ba nhóm như sau:
a) Nhóm tổ máy chạy nền;
b) Nhóm tổ máy chạy lưng;
c) Nhóm tổ máy chạy đỉnh.
2. Đơn vị vận hành hệ thống điện và thị trường điện có trách nhiệm tính toán phân loại tổ máy chạy nền, chạy lưng và chạy đỉnh năm tới và theo thời gian biểu quy định tại Phụ lục 2 Quy trình này.
3. Việc phân loại các tổ máy chạy nền, chạy lưng và chạy đỉnh được xác định căn cứ trên kết quả tính toán hệ số tải trung bình của tổ máy nhiệt điện.
4. Số liệu đầu vào phục vụ tính toán phân loại tổ máy:
a) Kết quả tính toán tổng sản lượng điện năng dự kiến của các tổ máy nhiệt điện trong kế hoạch vận hành thị trường điện năm tới theo phương pháp lập lịch có ràng buộc;
b) Công suất đặt của nhà máy, công suất đặt của từng tổ máy, số tổ máy;
c) Thời điểm đưa tổ máy mới vào vận hành thương mại.
5. Trình tự tính toán phân loại tổ máy chạy nền, chạy lưng, chạy đỉnh cho kế hoạch vận hành năm tới được thực hiện như sau:
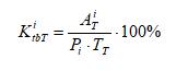
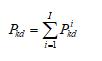
a) Từ kết quả tính toán mô phỏng thị trường điện theo Điều 27 Quy trình này, xác định được tổng sản lượng điện năng dự kiến trong năm tới của từng tổ máy nhiệt điện.

: Hệ số tải trung bình năm của tổ máy i (%);
: Tổng sản lượng điện năng dự kiến trong năm tới của tổ máy i, xác định từ kết quả tính toán mô phỏng thị trường điện (MWh);
![]()
: Công suất đặt của tổ máy i (MW);
: Tổng số chu kỳ tính toán hệ số tải năm.
6. Đơn vị vận hành hệ thống điện và thị trường điện có trách nhiệm sử dụng mô hình mô phỏng thị trường để xác định hệ số tải trung bình năm của các tổ máy phát điện:
a) Nhóm tổ máy chạy nền: Bao gồm các tổ máy phát điện có hệ số tải trung bình năm lớn hơn hoặc bằng 60%;
b) Nhóm tổ máy chạy lưng: Bao gồm các tổ máy phát điện có hệ số tải trung bình năm lớn hơn 25% và nhỏ hơn 60%;
c) Nhóm tổ máy chạy đỉnh: Bao gồm các tổ máy phát điện có hệ số tải trung bình năm nhỏ hơn hoặc bằng 25%.
Điều 30. Tính toán giá trần bản chào của tổ máy nhiệt điện
Đơn vị vận hành hệ thống điện và thị trường điện có trách nhiệm tính toán và công bố số liệu đầu vào và kết quả tính toán giá trần bàn chào của các tổ máy nhiệt điện theo quy định tại Điều 22 Thông tư số 45/2018/TT-BCT.
Điều 31. Xác định giá trần thị trường điện áp dụng cho các đơn vị phát điện
Đơn vị vận hành hệ thống điện và thị trường điện có trách nhiệm tính toán các phương án giá trần thị trường điện theo quy định tại Điều 23 Thông tư số 45/2018/TT-BCT và theo thời gian biểu quy định tại Phụ lục 2 Quy trình này.
Điều 32. Lựa chọn nhà máy điện mới tốt nhất
1. Nhà máy điện mới tốt nhất cho năm N là nhà máy điện tham gia thị trường điện đáp ứng đủ các tiêu chí sau:
a) Bắt đầu vận hành phát điện toàn bộ công suất đặt trong năm N-1 trừ trường hợp quy định tại Khoản 3 Điều này;
b) Là nhà máy điện chạy nền, được phân loại theo tiêu chí tại Điều 29 Quy trình này;
c) Sử dụng công nghệ nhiệt điện than hoặc tua-bin khí chu trình hỗn hợp;
d) Có chi phí phát điện toàn phần trung bình thấp nhất cho 01 kWh.
2. Trước ngày 01 tháng 10 hằng năm, Đơn vị mua điện có trách nhiệm lập danh sách các nhà máy điện đáp ứng các tiêu chí quy định tại Điểm a, Điểm c Khoản 1 Điều này và cung cấp các số liệu hợp đồng mua bán điện của các nhà máy điện này cho Đơn vị vận hành hệ thống điện và thị trường điện để xác định nhà máy điện mới tốt nhất theo mẫu quy định tại Phụ lục 15. Các số liệu bao gồm:
a) Giá biến đổi cho năm N;
b) Giá cố định năm N được thỏa thuận trong hợp đồng mua bán điện áp dụng cho thanh toán trong năm N;
c) Sản lượng điện năng thỏa thuận để tính giá hợp đồng.
3. Trong trường hợp có ít hơn 03 (ba) nhà máy điện đáp ứng các tiêu chí quy định tại các Điểm a, Điểm b và Điểm c Khoản 1 Điều này, Đơn vị vận hành hệ thống điện và thị trường điện bổ sung danh sách các nhà máy mới đã lựa chọn cho năm N-1 để đảm bảo số lượng không ít hơn 03 (ba) nhà máy điện và yêu cầu bên mua điện cập nhật, cung cấp lại các số liệu quy định tại Khoản 2 Điều này để tính toán, lựa chọn nhà máy điện mới tốt nhất cho năm N.

: Giá phát điện toàn phần trung bình trong năm N của nhà máy điện (đồng/kWh);
: Giá cố định cho năm N theo hợp đồng mua bán điện của nhà máy điện (đồng/kWh);
: Giá biến đổi cho năm N theo hợp đồng mua bán điện của nhà máy điện (đồng/kWh);
: Sản lượng điện năng thỏa thuận để tính giá hợp đồng cho năm N của nhà máy điện (kWh);
: Sản lượng điện năng dự kiến trong năm N của nhà máy điện xác định từ mô hình mô phỏng thị trường theo phương pháp lập lịch có ràng buộc (kWh).
5. Đơn vị vận hành hệ thống điện và thị trường điện có trách nhiệm tính toán danh sách các nhà máy điện mới tốt nhất được sắp xếp theo thứ tự giá phát điện toàn phần trung bình từ thấp đến cao theo thời gian biểu quy định tại Phụ lục 2 Quy trình này. Nhà máy điện mới tốt nhất lựa chọn cho năm N là nhà máy điện có giá phát điện toàn phần trung bình thấp nhất từ kết quả tính toán theo quy định tại Khoản 4 Điều này.
Điều 33. Xác định giá công suất thị trường
1. Số liệu phục vụ tính giá công suất thị trường bao gồm:
a) Giá điện năng thị trường dự kiến của các chu kỳ giao dịch trong năm N được xác định từ mô hình mô phỏng thị trường điện cho mỗi phương án giá trần thị trường điện;
b) Sản lượng dự kiến của nhà máy điện mới tốt nhất tại các chu kỳ giao dịch trong năm N xác định từ mô hình mô phỏng thị trường theo phương pháp lập lịch có ràng buộc được quy đổi về vị trí đo đếm (kWh);
c) Chi phí phát điện toàn phần trung bình cho 01 kWh của nhà máy điện mới tốt nhất xác định tại Khoản 4 Điều 32 Quy trình này (đồng/kWh);
d) Biểu đồ phụ tải hệ thống các ngày điển hình các tháng trong năm;
đ) Công suất cực đại, cực tiểu của phụ tải hệ thống trong từng tháng.
2. Đơn vị vận hành hệ thống điện và thị trường điện có trách nhiệm thu thập các số liệu quy định tại Khoản 1 Điều này và tính toán giá công suất thị trường.
3. Căn cứ kết quả tính toán mô phỏng thị trường quy định tại Điều 27 và các phương án giá trần thị trường quy định tại Điều 31 Quy trình này, Đơn vị vận hành hệ thống điện và thị trường điện có trách nhiệm xác định giá công suất thị trường theo nguyên tắc được quy định tại Điều 26 Thông tư số 45/2018/TT-BCT và theo thời gian biểu quy định tại Phụ lục 2 Quy trình này.
Điều 34. Xác định sản lượng hợp đồng năm và phân bổ từng tháng
1. Trước ngày 10 tháng 10 hằng năm, Đơn vị vận hành hệ thống điện và thị trường điện có trách nhiệm tính toán sản lượng hợp đồng năm và phân bổ sản lượng hợp đồng năm vào các tháng trong năm cho từng nhà máy điện và bên mua điện theo quy định tại Điều 27, Điều 28 Thông tư số 45/2018/TT-BCT.
2. Việc tính toán sản lượng hợp đồng năm và phân bổ sản lượng hợp đồng năm vào các tháng trong năm phải được điều chỉnh phù hợp với lịch bảo dưỡng sửa chữa, sản lượng phát lớn nhất, sản lượng phát tối thiểu trong tháng của các nhà máy điện, có xem xét đến xác suất sự cố và thực tế vận hành của các nhà máy điện trong 5 năm trước.
3. Trường hợp sau khi điều chỉnh theo Khoản 2 Điều này, tổng sản lượng hợp đồng các tháng trong năm không bằng sản lượng hợp đồng năm, sản lượng hợp đồng tháng được điều chỉnh phân bổ theo tỷ lệ sản lượng phụ tải hệ thống điện từng tháng trên nguyên tắc đảm bảo tổng sản lượng hợp đồng năm không thay đổi và đảm bảo nguyên tắc quy định tại Khoản 2 Điều này.
4. Trước ngày 15 tháng 11 hằng năm, Đơn vị vận hành hệ thống điện và thị trường điện có trách nhiệm gửi kết quả tính toán sản lượng hợp đồng năm, tháng cho Đơn vị mua điện và các đơn vị phát điện trực tiếp giao dịch để kiểm tra.
5. Đơn vị phát điện và đơn vị mua điện có trách nhiệm phối hợp với Đơn vị vận hành hệ thống điện và thị trường điện trong việc kiểm tra, xử lý các sai lệch trong kết quả tính toán sản lượng hợp đồng năm, tháng và ký kết sản lượng hợp đồng năm, tháng theo quy định tại Điều 29 Thông tư số 45/2018/TT-BCT.
Điều 35. Kiểm tra, thẩm định kế hoạch vận hành thị trường điện năm
1. Trước ngày 01 tháng 11 năm N, sau khi đã kiểm tra và hoàn thiện các tính toán lập kế hoạch vận hành thị trường điện năm tới, Đơn vị vận hành hệ thống điện và thị trường điện có trách nhiệm lập Báo cáo kế hoạch vận hành thị trường điện năm trình Tập đoàn Điện lực Việt Nam thẩm định.
2. Báo cáo kế hoạch vận hành thị trường điện năm bao gồm các thông số đầu vào, thuyết minh và kết quả tính toán, nội dung cơ bản bao gồm:
a) Số liệu đầu vào (theo quy định tại Điều 6 Quy trình này);
b) Giá trị nước và kết quả giá trị nước từng tuần, mực nước tối ưu từng tháng của các hồ thủy điện cho năm tới;
c) Kết quả tính toán, phân loại tổ máy và giá trần các tổ máy nhiệt điện;
d) Các phương án giá trần thị trường;
đ) Kết quả tính toán, lựa chọn nhà máy mới tốt nhất;
e) Kết quả tính toán giá công suất thị trường;
g) Kết quả tính toán Qc năm và Qc tháng của các nhà máy điện;
h) Kết quả giá phát điện bình quân cho năm tới theo từng phương án giá trần thị trường;
i) Kết quả tính toán, phân loại nhà máy thủy điện theo điều tiết hồ chứa.
Điều 36. Phê duyệt, công bố kế hoạch vận hành thị trường điện năm
1. Trước ngày 15 tháng 11 năm N, sau khi thẩm định, Tập đoàn Điện lực Việt Nam có trách nhiệm trình Cục Điều tiết điện lực thẩm định phê duyệt kế hoạch vận hành thị trường điện năm N+1.
2. Cục Điều tiết điện lực có trách nhiệm xác định và công bố tỷ lệ sản lượng thanh toán theo giá hợp đồng cho đơn vị phát điện hằng năm tuỳ theo từng loại hình công nghệ trên nguyên tắc sau:
a) Đảm bảo hài hoà các mục tiêu:
- Khuyến khích cạnh tranh hiệu quả trong thị trường điện;
- Ổn định doanh thu của đơn vị phát điện;
- Ổn định giá phát điện bình quân, phù hợp với quy định xây dựng biểu giá bán lẻ điện.
b) Tỷ lệ sản lượng điện năng thanh toán theo giá hợp đồng được quy định cho nhà máy điện theo loại hình công nghệ (thủy điện, nhiệt điện), tỷ lệ này không cao hơn 95% và không thấp hơn 60%.
3. Đơn vị vận hành hệ thống điện và thị trường điện có trách nhiệm công bố các thông tin về kế hoạch vận hành thị trường điện năm N+1 đã được Cục Điều tiết điện lực phê duyệt theo quy định tại Khoản 2, Khoản 3 Điều 30 Thông tư số 45/2018/TT-BCT lên trang thông tin điện tử thị trường điện theo quy định tại Quy trình quản lý vận hành hệ thống công nghệ thông tin điều hành thị trường điện và công bố thông tin thị trường điện.
4. Trong thời hạn 15 ngày làm việc kể từ ngày công bố kế hoạch vận hành thị trường điện năm, trên cơ sở sản lượng hợp đồng tại điểm giao nhận do Đơn vị vận hành hệ thống điện và thị trường điện tính toán và công bố, Đơn vị mua điện và Đơn vị phát điện trực tiếp giao dịch có trách nhiệm ký kết, bổ sung phụ lục về sản lượng hợp đồng năm, sản lượng hợp đồng tháng tại điểm giao nhận vào hợp đồng mua bán điện.
Chương IV
KẾ HOẠCH VẬN HÀNH THỊ TRƯỜNG ĐIỆN THÁNG TỚI
Điều 37. Nội dung và trình tự lập kế hoạch vận hành thị trường điện tháng tới
1. Đơn vị vận hành hệ thống điện và thị trường điện có trách nhiệm lập kế hoạch vận hành thị trường điện tháng tới, bao gồm các bước sau:
a) Dự báo phụ tải, bao gồm phụ tải hệ thống điện quốc gia và phụ tải hệ thống điện miền;
b) Tính toán giá trị nước, mực nước tối ưu, sản lượng dự kiến của nhà máy thủy điện bậc thang và nhà máy thủy điện có hồ chứa điều tiết trên một tuần;
c) Tính toán phân loại tổ máy và tính toán giá trần bản chào của tổ máy nhiệt điện;
d) Tính toán sản lượng dự kiến của các nhà máy thủy điện chiến lược đa mục tiêu;
đ) Xác định sản lượng hợp đồng từng chu kỳ của từng nhà máy điện;
e) Xác định nhu cầu dịch vụ dự phòng điều chỉnh tần số, danh sách các tổ máy phát điện đủ điều kiện cung cấp dịch vụ dự phòng điều chỉnh tần số trong kế hoạch vận hành tháng tới.
2. Đơn vị vận hành hệ thống điện và thị trường điện có trách nhiệm sử dụng hệ thống chương trình lập kế hoạch vận hành thị trường điện tại Điều 5 Quy trình này để tính toán lập kế hoạch vận hành tháng theo quy định tại Sơ đồ 2 Phụ lục 1 Quy trình này.
Điều 38. Cung cấp số liệu phục vụ lập kế hoạch vận hành thị trường điện tháng tới
1. Trước ngày 15 hằng tháng, các đơn vị tham gia thị trường điện có trách nhiệm cập nhật và cung cấp cho Đơn vị vận hành hệ thống điện và thị trường điện các số liệu theo các quy định tại Điều 8, Điều 10, Điều 11, Điều 13, Điều 14, Điều 15, Điều 16, Điều 17 và Điều 18 Quy trình này và theo quy định tại Quy trình lập kế hoạch bảo dưỡng, sửa chữa lưới điện và nhà máy điện trong hệ thống điện quốc gia.
2. Trước ngày 20 hằng tháng, đơn vị tham gia thị trường điện và đơn vị liên quan có trách nhiệm cung cấp cho Đơn vị vận hành hệ thống điện và thị trường điện các số liệu theo quy định tại Điều 22 Quy trình này và quy định tại Quy trình dự báo nhu cầu phụ tải hệ thống điện. Các đơn vị phát điện sở hữu nhà máy điện thuộc khu công nghiệp có trách nhiệm cung cấp thêm nhu cầu phụ tải nội bộ dự kiến của tháng tiếp theo.
3. Trước ngày 20 hằng tháng, đơn vị mua buôn điện có trách nhiệm dự báo phụ tải từng chu kỳ giao dịch của tháng tới và gửi Đơn vị vận hành hệ thống điện và thị trường điện để phục vụ lập kế hoạch vận hành tháng tới.
Điều 39. Chuẩn bị các số liệu đầu vào cho lập kế hoạch vận hành thị trường điện tháng tới
1. Trước ngày 20 hằng tháng, Đơn vị vận hành hệ thống điện và thị trường điện có trách nhiệm dự kiến phụ tải tháng tới theo quy định tại Quy trình dự báo nhu cầu phụ tải hệ thống điện.
2. Trước ngày 20 hằng tháng, Đơn vị vận hành hệ thống điện và thị trường điện có trách nhiệm dự kiến kế hoạch bảo dưỡng sửa chữa thiết bị điện cho các tổ máy phát điện, đường dây truyền tải điện và các thiết bị kết nối liên quan cho tháng tới.
3. Trước 07 ngày làm việc cuối cùng hằng tháng, Đơn vị vận hành hệ thống điện và thị trường điện có trách nhiệm hoàn thành việc lập kế hoạch bảo dưỡng sửa chữa thiết bị điện cho các tổ máy phát điện, đường dây truyền tải điện và các thiết bị kết nối liên quan cho tháng tới theo quy định tại Quy trình lập kế hoạch bảo dưỡng, sửa chữa lưới điện và nhà máy điện trong hệ thống điện quốc gia.
4. Trước ngày 20 hằng tháng, trên cơ sở các thông tin được các đơn vị cung cấp, Đơn vị vận hành hệ thống điện và thị trường điện có trách nhiệm xác định các thông số và cập nhật vào các chương trình tính toán.
Điều 40. Tính toán giá trị nước tháng tới
1. Trước ngày 20 hằng tháng, Đơn vị vận hành hệ thống điện và thị trường điện có trách nhiệm tính toán giá trị nước của các hồ thủy điện trong tháng tới theo quy định tại Phụ lục 17 Quy trình này.
2. Quy định về tính toán giá trị nước tháng tới
a) Chu kỳ tính toán giá trị nước tháng tới là 52 tuần tính từ ngày đầu tiên của tháng M có xét đến 03 năm tiếp theo;
b) Số liệu đầu vào của 03 năm tiếp theo được lấy bằng số liệu của 52 tuần đầu tiên;
c) Mực nước tại thời điểm bắt đầu chu kỳ tính toán là mực nước được Đơn vị vận hành hệ thống điện và thị trường điện tính toán, cập nhật căn cứ trên mực nước thực tế của từng hồ tại thời điểm tính toán và lượng nước cần sử dụng từ thời điểm tính toán đến thời điểm bắt đầu chu kỳ tính toán;
d) Kết quả tính toán giá trị nước của 05 tuần đầu tiên trong chu kỳ tính toán được sử dụng trong quá trình lập kế hoạch vận hành tháng tới.
3. Kết quả tính toán giá trị nước phục vụ quá trình lập kế hoạch vận hành tháng tới bao gồm các số liệu sau:
a) Giá trị nước 05 tuần đầu tiên trong chu kỳ tính toán của các nhà máy thủy điện (đồng/kWh);
b) Sản lượng điện phát 05 tuần đầu tiên trong chu kỳ tính toán của các nhà máy thủy điện (GWh);
c) Công suất khả dụng 05 tuần đầu tiên trong chu kỳ tính toán của các tổ máy (MW);
d) Mực nước tối ưu từng tuần trong chu kỳ tính toán của các nhà máy thủy điện (m).
Điều 41. Tính toán mô phỏng thị trường tháng tới
1. Trước ngày 23 hằng tháng, Đơn vị vận hành hệ thống điện và thị trường điện có trách nhiệm tính toán mô phỏng thị trường điện theo phương pháp và trình tự quy định tại Phụ lục 16 Quy trình này.
2. Các tổ máy trong chương trình mô phỏng thị trường được cập nhật như sau:
a) Giá bản chào các tổ máy nhiệt điện từng giờ trong một tuần bằng nhau và được cập nhật bằng kết quả chi phí biến đổi của nhiệt điện từng tuần trong tháng tới;
b) Các tổ máy thủy điện mô phỏng đặc tính kỹ thuật, đặc tính hồ chứa, lưu lượng nước về, mực nước hồ chứa thủy điện từ kết quả của chương trình tính toán giá trị nước;
c) Công suất các tổ máy từng giờ trong tuần được cập nhật bằng công suất khả dụng của các tổ máy;

: Công suất tối đa từng giờ của tổ máy i trong tuần T (MW);
: Sản lượng của tổ máy i trong tuần T được tính toán từ chương trình tính toán giá trị nước (MWh).
3. Tính toán mô phỏng thị trường đưa ra sản lượng từng giờ của từng tổ máy theo phương pháp lập lịch có ràng buộc (MWh).
Điều 42. Phân loại tổ máy nhiệt điện tháng tới
1. Trước ngày 23 hằng tháng, Đơn vị vận hành hệ thống điện và thị trường điện có trách nhiệm sử dụng mô hình mô phỏng thị trường được quy định tại Điều 41 Quy trình này để xác định hệ số tải trung bình tháng của các tổ máy phát điện, phân loại các tổ máy chạy nền, chạy lưng và chạy đỉnh trong tháng tới.

: Hệ số tải trung bình tháng của tổ máy i (%);
: Tổng sản lượng điện năng dự kiến trong tháng tới của tổ máy i, xác định từ kết quả tính toán kế hoạch vận hành tháng được xác định tại Điều 41 Quy trình này (MWh);

: Công suất đặt của tổ máy i (MW);
: Tổng số chu kỳ tính toán hệ số tải tháng.
3. Căn cứ hệ số tải trung bình tháng từ kết quả mô phỏng, các tổ máy được phân loại thành ba nhóm sau:
a) Nhóm tổ máy chạy nền bao gồm các tổ máy phát điện có hệ số tải trung bình tháng lớn hơn hoặc bằng 70%;
b) Nhóm tổ máy chạy lưng bao gồm các tổ máy phát điện có hệ số tải trung bình tháng lớn hơn 25% và nhỏ hơn 70%;
c) Nhóm tổ máy chạy đỉnh bao gồm các tổ máy phát điện có hệ số tải trung bình tháng nhỏ hơn hoặc bằng 25%.
Điều 43. Điều chỉnh giá trần bản chào của tổ máy nhiệt điện
1. Trước ngày 23 hằng tháng, Đơn vị vận hành hệ thống điện và thị trường điện có trách nhiệm tính toán và điều chỉnh giá trần bản chào các tổ máy nhiệt điện trong tháng tới theo phương pháp quy định tại Điều 22 Thông tư số 45/2018/TT-BCT.
2. Trước ngày 23 hằng tháng, sau khi tính toán điều chỉnh giá trần bản chào các tổ máy nhiệt điện trong tháng tới, Đơn vị vận hành hệ thống điện và thị trường điện có trách nhiệm công bố số liệu đầu vào và kết quả giá trần bản chào, giá trung bình của các giá trần bản chào của các tổ máy nhiệt điện trong tháng tới.
Điều 44. Tính toán sản lượng hợp đồng cho nhà máy điện mới tham gia thị trường điện giữa năm vận hành
1. Trước ngày 20 tháng M, đơn vị phát điện có kế hoạch đưa nhà máy điện vào vận hành thương mại trong tháng tới có trách nhiệm cung cấp các thông tin về kinh tế và kỹ thuật của nhà máy điện cho Đơn vị vận hành hệ thống điện và thị trường điện để tính toán kế hoạch vận hành tháng tới và các tháng tiếp theo trong năm N.
2. Trước ngày 23 hằng tháng, Đơn vị vận hành hệ thống điện và thị trường điện có trách nhiệm tính toán sản lượng hợp đồng tháng cho nhà máy điện (tính từ tháng nhà máy điện tham gia thị trường điện đến hết năm N) trong kế hoạch vận hành thị trường điện tháng tới.

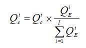
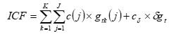
: Tổng sản lượng hợp đồng tháng M của nhà máy điện (kWh);
: Sản lượng kế hoạch tháng M của nhà máy điện theo kế hoạch vận hành thị trường điện tháng tới (kWh);
: Tỷ lệ sản lượng thanh toán theo giá hợp đồng áp dụng cho năm N được quy định tại Khoản 4 Điều 16 Thông tư số 45/2018/TT-BCT (%).
Điều 45. Điều chỉnh sản lượng hợp đồng tháng
1. Trước ngày 23 hằng tháng, Đơn vị vận hành hệ thống điện và thị trường điện tính toán, tổng hợp, báo cáo Cục Điều tiết điện lực các trường hợp điều chỉnh sản lượng hợp đồng tháng M+1 và các tháng cuối năm theo quy định tại Khoản 1, Khoản 2, Khoản 3 Điều 37 Thông tư số 45/2018/TT-BCT và quy định tại Quy trình tính toán thanh toán trong thị trường điện.
2. Trước ngày 24 hằng tháng, Cục Điều tiết điện lực xem xét và phê duyệt việc điều chỉnh sản lượng hợp đồng tháng M+1 và các tháng cuối năm cho các Đơn vị phát điện.
Điều 46. Xác định sản lượng hợp đồng từng chu kỳ
1. Trước 05 ngày cuối cùng tháng M, Đơn vị vận hành hệ thống điện và thị trường điện có trách nhiệm tính toán phân bổ sản lượng hợp đồng từng chu kỳ trong tháng tới cho từng nhà máy điện và đơn vị mua điện theo quy định tại Điều 38, Điều 40 Thông tư số 45/2018/TT-BCT.
2. Trước 05 ngày cuối cùng tháng M, Đơn vị vận hành hệ thống điện và thị trường điện có trách nhiệm công bố lên trang thông tin điện tử thị trường điện số liệu đầu vào phục vụ tính toán và kết quả tính toán sản lượng hợp đồng sơ bộ trong tháng cho đơn vị mua điện và đơn vị phát điện trực tiếp giao dịch. Đơn vị mua điện và đơn vị phát điện có trách nhiệm phối hợp với Đơn vị vận hành hệ thống điện và thị trường điện hoàn thành kiểm tra các sai lệch trong kết quả tính toán sản lượng hợp đồng từng chu kỳ giao dịch trong tháng tới ít nhất 03 ngày trước ngày cuối cùng của tháng M. Đơn vị vận hành hệ thống điện và thị trường điện có trách nhiệm gửi kết quả tính toán sản lượng hợp đồng từng chu kỳ giao dịch chính thức trong tháng cho đơn vị mua điện và đơn vị phát điện trực tiếp giao dịch ít nhất 03 ngày trước ngày cuối cùng của tháng M.
Điều 47. Kiểm tra, phê duyệt và công bố kế hoạch vận hành thị trường điện tháng tới
1. Sau khi đã kiểm tra và hoàn thiện các tính toán lập kế hoạch vận hành thị trường điện tháng tới, Đơn vị vận hành hệ thống điện và thị trường điện có trách nhiệm trình Tập đoàn Điện lực Việt Nam kế hoạch vận hành thị trường điện tháng tới.
2. Kế hoạch vận hành thị trường điện tháng bao gồm các thông số đầu vào và thuyết minh tính toán, nội dung cơ bản bao gồm:
a) Giá trị nước, mực nước tối ưu của các nhà máy thủy điện bậc thang và nhà máy thủy điện có hồ chứa điều tiết trên một tuần hằng tuần trong tháng tới;
b) Giá trần bản chào cho từng tổ máy nhiệt điện trong tháng tới;
c) Giá trung bình của các giá trần bản chào của các tổ máy nhiệt điện tham gia thị trường điện;
đ) Sản lượng thanh toán theo giá hợp đồng từng chu kỳ của các nhà máy điện trong tháng tới;
d) Sản lượng dự kiến phát từng chu kỳ của các nhà máy điện trong tháng tới.
3. Tập đoàn Điện lực Việt Nam có trách nhiệm xem xét và phê duyệt kế hoạch vận hành thị trường điện tháng đã lập.
4. Trước 03 ngày cuối cùng tháng M, sau khi kế hoạch vận hành thị trường điện tháng được Tập đoàn Điện lực Việt Nam phê duyệt, đơn vị vận hành hệ thống điện và thị trường điện có trách nhiệm công bố kế hoạch vận hành thị trường điện tháng lên trang thông tin điện tử thị trường điện theo quy định Quy trình vận hành hệ thống thông tin thị trường và công bố thông tin.
5. Trước ngày cuối cùng hằng tháng, trên cơ sở Qc tại điểm giao nhận do Đơn vị vận hành hệ thống điện và thị trường điện tính toán và công bố, Đơn vị mua điện và đơn vị phát điện trực tiếp giao dịch có trách nhiệm ký xác nhận sản lượng hợp đồng tháng được điều chỉnh theo quy định tại Điều 45 Quy trình này và sản lượng hợp đồng từng chu kỳ giao dịch theo kết quả tính toán của Đơn vị vận hành hệ thống điện và thị trường điện.
Chương V
LẬP KẾ HOẠCH VẬN HÀNH HỆ THỐNG ĐIỆN VÀ THỊ TRƯỜNG ĐIỆN TUẦN TỚI
Điều 48. Nội dung, trình tự lập kế hoạch vận hành hệ thống điện và thị trường điện tuần tới
1. Đơn vị vận hành hệ thống điện và thị trường điện có trách nhiệm lập kế hoạch vận hành hệ thống điện và thị trường điện tuần tới, bao gồm các nội dung sau:
a) Dự báo phụ tải, bao gồm phụ tải hệ thống điện quốc gia và phụ tải hệ thống điện miền;
b) Tổng sản lượng điện dự kiến phát của từng nhà máy điện trong tuần tới;
c) Giá trị nước và sản lượng dự kiến hàng giờ của nhà máy thủy điện chiến lược đa mục tiêu;
d) Giá trị nước của các nhà máy thuỷ điện bậc thang, các nhà máy thuỷ điện có hồ chứa điều tiết trên một tuần;
đ) Sản lượng hợp đồng tuần, sản lượng hợp đồng từng chu kỳ giao dịch của các nhà máy thủy điện có hồ chứa điều tiết từ 02 ngày đến 01 tuần;
e) Giá trị nước cao nhất của các nhà máy thủy điện tham gia thị trường điện;
g) Sản lượng dự kiến từng chu kỳ của các nhà máy thuỷ điện có hồ chứa dưới 02 ngày;
h) Mực nước tối ưu tuần của các hồ chứa thủy điện;
i) Mực nước giới hạn tuần của các hồ chứa thủy điện có khả năng điều tiết trên 01 tuần;
k) Lịch bảo dưỡng, sửa chữa nguồn và lưới điện trong tuần tới;
l) Xác định nhu cầu dịch vụ dự phòng điều chỉnh tần số, danh sách các tổ máy dự kiến cung cấp dịch vụ dự phỏng điều chỉnh tần số trong kế hoạch vận hành tuần tới;
m) Các kiến nghị, đề xuất để đảm bảo vận hành hệ thống điện và thị trường điện ổn định, an toàn, tin cậy.
2. Đơn vị vận hành hệ thống điện và thị trường điện có trách nhiệm sử dụng các công cụ phần mềm tính toán theo quy định tại Điều 5 Quy trình này để tính toán lập kế hoạch vận hành hệ thống điện và thị trường điện tuần theo trình tự quy định tại Sơ đồ 3 Phụ lục 1 Quy trình này.
Điều 49. Cung cấp số liệu phục vụ lập kế hoạch vận hành hệ thống điện và thị trường điện tuần tới
1. Trước 08h00 thứ Ba hằng tuần, đơn vị tham gia thị trường điện và đơn vị liên quan có trách nhiệm cung cấp cho Đơn vị vận hành hệ thống điện và thị trường điện các số liệu theo quy định tại Quy trình dự báo nhu cầu phụ tải hệ thống điện.
2. Trước 15h00 thứ Ba hằng tuần, đơn vị tham gia thị trường điện và đơn vị liên quan có trách nhiệm cung cấp cho Đơn vị vận hành hệ thống điện và thị trường điện các số liệu theo quy định tại Điều 8, Điều 10, Điều 11, Điều 12, Điều 13, Điều 14, Điều 15, Điều 16, Điều 17 và Điều 18 Quy trình này và theo quy định của Quy trình lập kế hoạch bảo dưỡng, sửa chữa lưới điện và nhà máy điện trong hệ thống điện quốc gia.
Điều 50. Chuẩn bị số liệu đầu vào cho lập kế hoạch vận hành hệ thống điện và thị trường điện tuần tới
Trước 17h00 thứ Ba hằng tuần, Đơn vị vận hành hệ thống điện và thị trường điện có trách nhiệm:
1. Dự kiến phụ tải tuần tới theo phương pháp quy định tại Quy trình dự báo nhu cầu phụ tải hệ thống điện.
2. Dự kiến kế hoạch bảo dưỡng sửa chữa thiết bị điện cho các tổ máy phát điện, đường dây truyền tải điện và các thiết bị kết nối liên quan cho tuần tới.
3. Xác định các thông số và cập nhật vào các chương trình tính toán căn cứ trên cơ sở các thông tin được các đơn vị liên quan cung cấp.
Điều 51. Tính toán giá trị nước tuần tới
1. Trước 10h00 thứ Tư hằng tuần, Đơn vị vận hành hệ thống điện và thị trường điện có trách nhiệm tính toán giá trị nước của các hồ thủy điện trong tuần tới theo nguyên tắc quy định tại Phụ lục 1 Quy trình này.
2. Quy định về tính toán giá trị nước tuần tới
a) Chu kỳ tính toán giá trị nước tuần tới là 52 tuần tính từ ngày đầu tiên của tuần T có xét đến 03 năm tiếp theo;
b) Số liệu đầu vào của 03 năm tiếp theo được lấy bằng số liệu của 52 tuần đầu tiên;
c) Mực nước tại thời điểm bắt đầu chu kỳ tính toán là mực nước được Đơn vị vận hành hệ thống điện và thị trường điện tính toán, cập nhật căn cứ trên mực nước thực tế của từng hồ tại thời điểm tính toán và lượng nước cần sử dụng từ thời điểm tính toán đến thời điểm bắt đầu chu kỳ tính toán;
d) Kết quả tính toán giá trị nước của 01 tuần đầu tiên trong chu kỳ tính toán được sử dụng trong quá trình xác định giới hạn giá chào và biểu đồ phát của nhà máy thủy điện trong tuần tới.
3. Kết quả tính toán giá trị nước phục vụ quá trình lập kế hoạch vận hành tuần tới bao gồm các số liệu sau:
a) Giá trị nước 01 tuần đầu tiên trong chu kỳ tính toán của nhà máy thủy điện chiến lược đa mục tiêu (đồng/kWh);
b) Sản lượng điện phát 01 tuần đầu tiên trong chu kỳ tính toán của nhà máy thủy điện chiến lược đa mục tiêu (GWh);
c) Giá trị nước 01 tuần đầu tiên trong chu kỳ tính toán của các nhóm nhà máy thủy điện bậc thang (đồng/kWh);
d) Giá trị nước 01 tuần đầu tiên trong chu kỳ tính toán của các nhà máy thủy điện khác có hồ chứa điều tiết trên 01 tuần (đồng/kWh);
đ) Mực nước tối ưu từng tuần trong chu kỳ tính toán của các nhà máy thủy điện (m).
Điều 52. Tính toán kế hoạch vận hành nguồn điện tuần tới
1. Trước 15h00 thứ Tư hằng tuần, Đơn vị vận hành hệ thống điện và thị trường điện có trách nhiệm tính toán kế hoạch vận hành nguồn điện tuần sử dụng chương trình tối ưu thủy nhiệt điện ngắn hạn.
2. Giá bản chào và công suất các tổ máy trong chương trình tối ưu được cập nhật như sau:
a) Giá bản chào các tổ máy nhiệt điện từng giờ trong một tuần bằng nhau và được cập nhật bằng giá biến đổi các tổ máy nhiệt điện tuần tới;
b) Các tổ máy thủy điện được mô phỏng theo quy định tại Phụ lục 16 Quy trình này.
3. Điều tiết hồ chứa thủy điện tuần tới căn cứ trên dự báo lưu lượng nước về trung bình tuần của hồ chứa thủy điện, mực nước thượng lưu đầu tuần và mực nước thượng lưu cuối tuần
a) Dự báo lưu lượng nước về trung bình tuần tới được xác định căn cứ trên lưu lượng nước về trung bình 07 ngày liền kề trước đó và có điều chỉnh thêm ±20% nếu lưu lượng nước về trung bình 07 ngày liền kề chênh lệch với lưu lượng nước về trung bình 10 ngày liền kề quá ±20%;
b) Mực nước thượng lưu đầu tuần tới của các nhà máy thủy điện có hồ chứa điều tiết trên một tuần được tính toán căn cứ trên mực nước hiện tại, sản lượng dự kiến các ngày còn lại trong tuần hiện tại và dự báo lưu lượng nước về trung bình các ngày còn lại trong tuần theo nguyên tắc sau:
- Sản lượng dự kiến các ngày còn lại trong tuần hiện tại được tính toán bằng sản lượng điện thực tế trung bình các ngày đã qua, trong đó có xét đến ngày thường, ngày lễ, ngày thứ Bảy và ngày Chủ nhật, số ngày trung bình bằng số ngày từ thời điểm tính toán đến cuối tuần;
- Dự báo lưu lượng nước về trung bình các ngày còn lại trong tuần hiện tại được tính bằng lưu lượng nước về thực tế trung bình của các ngày liền trước thời điểm tính toán, số ngày trung bình bằng 03 ngày liền kề trước đó.
c) Mực nước thượng lưu cuối tuần của các nhà máy thủy điện có hồ chứa điều tiết dưới 01 tuần được cập nhật bằng mực nước thượng lưu đầu tuần tới;
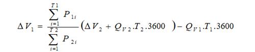
Bước 1: Xác định thể tích chênh lệch giữa đầu tuần và cuối tuần:


: Thời gian trong tuần (giờ);
![]()
: Thời gian từ đầu tuần tới đến cuối tháng (giờ);
: Công suất khả dụng của nhà máy tại giờ thứ i trong tuần có tính đến lịch, bảo dưỡng sửa chữa (MW);
: Công suất khả dụng của nhà máy tại giờ thứ i từ đầu tuần đến cuối tháng có tính đến kế hoạch bảo dưỡng, sửa chữa (MW);
: Chênh lệch thể tích giữa đầu tuần và cuối tuần (m3);
: Dự kiến lưu lượng nước về trung bình tính toán tuần (m3/s);
: Chênh lệch thể tích giữa đầu tuần đến cuối tháng (m3);
: Lưu lượng nước về trung bình tính toán tháng đã được phê duyệt (m3/s).
Bước 2: Xác định mực nước cuối tuần từ đặc tính thể tích - mực nước và thể tích chênh lệch đầu tuần và cuối tuần.
4. Kết quả tính toán từ chương trình tối ưu thủy nhiệt điện ngắn hạn bao gồm: Sản lượng điện (MWh) từng chu kỳ của nhà máy điện bao gồm nhà máy thủy điện chiến lược đa mục tiêu, các nhà máy thủy điện có hồ chứa điều tiết từ 02 ngày đến 01 tuần và các nhà máy điện khác.
Điều 53. Tính toán kế hoạch vận hành lưới điện truyền tải tuần tới
Trước 15h00 thứ Tư hằng tuần, Đơn vị vận hành hệ thống điện và thị trường điện có trách nhiệm tính toán kế hoạch vận hành lưới điện truyền tải tuần tới theo trình tự sau:
1. Tính toán cân bằng công suất hệ thống điện quốc gia tại các thời điểm cao điểm và thấp điểm trong ngày tương ứng với kết quả dự báo nhu cầu phụ tải điện tại các thời điểm đó.
2. Xây dựng cơ sở dữ liệu cho tính toán các chế độ vận hành lưới điện tại thời điểm cao điểm và thấp điểm trong ngày căn cứ kết quả dự báo phụ tải, cân bằng công suất và cấu hình lưới điện của hệ thống điện.
3. Tính toán dòng điện ngắn mạch tại các thanh cái 500kV, 220kV và 110kV trong lưới điện truyền tải.
4. Tính toán chế độ vận hành bình thường của lưới điện tại các thời điểm cao điểm và thấp điểm trong ngày; cảnh báo các phần tử của lưới điện (đường dây hoặc máy biến áp) mang tải cao theo quy định tại Điều 59 Thông tư số 25/2016/TT-BCT; đánh giá khả năng đáp ứng nhu cầu phụ tải điện của lưới điện quốc gia, vùng, miền.
5. Tính toán chế độ vận hành lưới điện khi sự cố phần tử nguy hiểm trong hệ thống điện (chế độ N-1) tại các thời điểm cao điểm và thấp điểm trong ngày. Cảnh báo các phần tử của lưới điện (đường dây hoặc máy biến áp) có khả năng xảy ra sự cố nguy hiểm.
6. Tính toán và quy định biểu đồ điện áp các điểm nút chính trong hệ thống điện quốc gia.
7. Tính toán các chế độ vận hành đặc biệt khác (nếu cần).
8. Đề xuất các giải pháp để đảm bảo vận hành lưới điện an toàn, tin cậy.
Điều 54. Tính toán sản lượng hợp đồng tuần

: Sản lượng hợp đồng tuần tới (kWh);
![]()
: Tỷ lệ sản lượng thanh toán theo giá hợp đồng áp dụng cho tuần tới (%) của nhà máy.

i: Chu kỳ giao dịch thứ i trong tuần;
I: Tổng số chu kỳ giao dịch trong tuần;
:Sản lượng hợp đồng của nhà máy điện trong chu kỳ giao dịch i (kWh);
: Sản lượng dự kiến phát của nhà máy điện trong chu kỳ giao dịch i theo kế hoạch vận hành hệ thống điện và thị trường điện tuần tới (kWh);
: Sản lượng hợp đồng tuần của nhà máy điện được xác định tại Khoản 1 Điều này (kWh).
3. Trường hợp sản lượng hợp đồng của các nhà máy thủy điện nhỏ hơn công suất phát ổn định thấp nhất thì có thể điều chỉnh bằng 0 MW hoặc bằng công suất phát ổn định thấp nhất.
4. Trong giai đoạn chống lũ, tưới tiêu, trường hợp sản lượng hợp đồng của nhà máy thủy điện trong chu kỳ giao dịch i thấp hơn công suất phát để đảm bảo yêu cầu xả nước tối thiểu thì sản lượng hợp đồng của nhà máy điện trong các chu kỳ này được điều chỉnh tương ứng để nhà máy thủy điện đảm bảo thực hiện đầy đủ yêu cầu về chống lũ, tưới tiêu.
5. Tổng sản lượng chênh lệch do việc điều chỉnh theo quy định tại Khoản 3 Điều này được phân bổ theo tỷ lệ phụ tải trên nguyên tắc đảm bảo sản lượng hợp đồng tuần là không đổi.
Điều 55. Kiểm tra, phê duyệt, công bố kế hoạch vận hành hệ thống điện và thị trường điện tuần tới
1. Trước ngày 15h00 thứ Năm hằng tuần, sau khi đã kiểm tra và hoàn thành các tính toán lập kế hoạch vận hành hệ thống điện và thị trường điện tuần tới, Đơn vị vận hành hệ thống điện và thị trường điện có trách nhiệm trình Tập đoàn Điện lực Việt Nam phê duyệt kế hoạch vận hành hệ thống điện và thị trường điện tuần tới.
2. Trước 10h00 thứ Sáu hằng tuần, Tập đoàn Điện lực Việt Nam có trách nhiệm phê duyệt kế hoạch vận hành hệ thống điện và thị trường điện tuần tới.
3. Trước 15h00 thứ Sáu hằng tuần, Đơn vị vận hành hệ thống điện và thị trường điện có trách nhiệm công bố kế hoạch vận hành hệ thống điện và thị trường điện tuần tới lên trang thông tin điện tử thị trường điện theo quy định tại Quy trình quản lý vận hành hệ thống công nghệ thông tin điều hành thị trường điện và công bố thông tin thị trường điện.
4. Đơn vị mua điện và Đơn vị phát điện sở hữu nhà máy thủy điện có hồ chứa điều tiết từ 02 ngày đến 01 tuần có trách nhiệm ký kết, xác nhận sản lượng hợp đồng tuần căn cứ vào các thông tin được Đơn vị vận hành hệ thống điện và thị trường điện công bố./.
Phụ lục 1
TRÌNH TỰ KẾ HOẠCH VẬN HÀNH THỊ TRƯỜNG ĐIỆN
(Ban hành kèm theo Quy trình lập kế hoạch vận hành thị trường điện)
Sơ đồ 1
LẬP KẾ HOẠCH VẬN HÀNH THỊ TRƯỜNG ĐIỆN NĂM TỚI

Sơ đồ 2
LẬP KẾ HOẠCH VẬN HÀNH THỊ TRƯỜNG ĐIỆN THÁNG TỚI

Sơ đồ 3
LẬP KẾ HOẠCH VẬN HÀNH THỊ TRƯỜNG ĐIỆN TUẦN TỚI

Phụ lục 2
THỜI GIAN BIỀU LẬP KẾ HOẠCH VẬN HÀNH THỊ TRƯỜNG ĐIỆN
(Ban hành kèm theo Quy trình lập kế hoạch vận hành thị trường điện)
|
Thời hạn |
Hoạt động |
Đơn vị thực hiện |
Đơn vị phối hợp |
Thời gian áp dụng |
Chu kỳ |
Nội dung, kết quả |
|
|---|---|---|---|---|---|---|---|
|
Ngày |
Giờ |
||||||
|
Ngày 15 tháng 7 năm N-1 |
|
Cung cấp số liệu về kế hoạch bảo dưỡng, sửa chữa các tổ máy và lưới truyền tải |
PC, ĐVMĐ, TNO, NMĐ |
SMO |
Năm N |
Hằng năm |
- Kế hoạch bảo dưỡng, sửa chữa các tổ máy và lưới truyền tải; - Phụ tải nội bộ (đối với NMĐ thuộc khu công nghiệp). |
|
Ngày 01 tháng 8 năm N-1 |
|
Dự báo phụ tải năm tới gửi SMO |
PC, ĐVMĐ |
SMO |
Năm N |
Hằng năm |
- Số liệu dự báo phụ tải và xuất nhập khẩu điện. |
|
Ngày 01 tháng 9 năm N-1 |
|
Cung cấp các số liệu phục vụ tính toán lập kế hoạch vận hành thị trường điện năm gửi SMO |
PC, ĐVMĐ, TNO, NMĐ |
SMO |
Năm N |
Hằng năm |
- Mô phỏng các tổ máy thủy điện và nhiệt điện; - Mô phỏng các hồ thủy điện; - Tiến độ các công trình mới; - Lưu lượng nước về các hồ thủy điện; - Các số liệu về nhiên liệu và giới hạn nhiên liệu; - Danh sách các tổ máy đáp ứng yêu cầu là nhà máy BNE; - Khả năng truyền tải và tổn thất đường dây liên kết hệ thống; - Các yêu cầu an ninh hệ thống; - Các số liệu hợp đồng mua bán điện; - Kế hoạch xuất nhập khẩu điện; - Các ràng buộc khác; - Các thông số chung của thị trường |
|
Ngày 15 tháng 8 năm N-1 |
|
Kế hoạch bảo dưỡng, sửa chữa các tổ máy và lưới truyền tải |
SMO |
|
Năm N |
Hằng năm |
Hoàn thành việc lập kế hoạch bảo dưỡng sửa chữa thiết bị điện cho các tổ máy phát điện, đường dây truyền tải điện và các thiết bị kết nối liên quan. |
|
Ngày 01 tháng 9 năm N-1 |
|
Dự báo phụ tải năm tới và 4 năm tiếp theo |
SMO |
|
Năm N |
Hằng năm |
- Các số liệu về phụ tải năm theo quy định tại Thông tư số 25/2016/TT-BCT. |
|
Ngày 01 tháng 10 năm N-1 |
|
Danh sách lựa chọn nhà máy mới tốt nhất |
EVN (Công ty Mua bán điện) |
SMO |
Năm N |
Hằng năm |
Danh sách lựa chọn nhà máy mới tốt nhất. |
|
Ngày 01 tháng 10 năm N-1 |
|
Dự báo phụ tải gửi SMO |
PC, NMĐ KCN |
SMO |
Năm N |
Hằng năm |
- Số liệu phụ tải dự báo năm tới |
|
Ngày 05 tháng 10 năm N-1 |
|
Tính toán mô phỏng thị trường |
SMO |
|
Năm N |
Hằng năm |
- Giá trị nước của các hồ thủy điện trong từng tuần của năm tới; - Mực nước tối ưu; - Giá điện năng thị trường dự kiến; - Sản lượng dự kiến của các tổ máy trong từng tuần của năm tới (GWh); |
|
Ngày 08 tháng 10 năm N-1 |
|
Phân loại tổ máy và tính giá trần nhiệt điện; |
SMO |
|
Năm N |
Hằng năm |
- Phân loại các tổ máy nhiệt điện - Giá trần của các tổ máy nhiệt điện |
|
Ngày 10 tháng 10 năm N-1 |
|
Lựa chọn các phương án giá trần thị trường; Lựa chọn nhà máy BNE; Tính toán giá công suất thị trường; Xác định sản lượng hợp đồng năm và phân bổ sản lượng hợp đồng tháng;
|
SMO |
|
Năm N |
Hằng năm |
- Các phương án giá trần thị trường; - Chi phí phát điện toàn phần trung bình của các nhà máy điện trong danh sách lựa chọn là nhà máy BNE; - Kết quả lựa chọn nhà máy BNE; - Sản lượng hợp đồng năm tại điểm giao nhận của từng nhà máy điện; - Sản lượng hợp đồng tháng tại điểm giao nhận của từng nhà máy điện; - Đơn giá CAN cho từng giờ trong năm tới; - Giá thị trường toàn phần bình quân.
|
|
Trước ngày 01 tháng 11 năm N-1 |
|
Trình EVN kiểm tra, thẩm định KHVH TTĐ năm |
SMO |
EVN |
Năm N |
Hằng năm |
|
|
Trước ngày 15 tháng 11 năm N-1 |
|
Trình Cục ĐTĐL phê duyệt KHVH TTĐ năm |
EVN |
A0 |
Năm N |
Hằng năm |
Hoàn thành và trình các kết quả tính toán sau: - Giá trị nước hằng tuần; - Mực nước giới hạn tháng; - Giá trần bản chào các tổ máy nhiệt điện; - Kết quả lựa chọn nhà máy BNE; - Kết quả tính toán, phân loại tổ máy nhiệt điện và phân loại nhà máy thủy điện theo điều tiết hồ chứa. - Sản lượng hợp đồng năm tại vị trí đo đếm của từng nhà máy điện; - Sản lượng hợp đồng hằng tháng tại vị trí đo đếm trong năm; - Các phương án giá trần thị trường; - Giá công suất thị trường (CAN) hàng giờ. - Kết quả giá phát điện bình quân cho năm tới, giá phát điện bình quân cho các Nhà máy điện trực tiếp tham gia thị trường điện theo từng phương án giá trần thị trường điện; Hồ sơ trình bao gồm cả các thông số đầu vào và thuyết minh tính toán |
|
Trước ngày 15 tháng 11 năm N-1 |
|
Gửi kết quả tính toán sản lượng hợp đồng năm, tháng |
SMO |
|
Năm N |
Hằng năm |
Gửi Đơn vị mua điện và các đơn vị phát điện trực tiếp giao dịch các kết quả tính toán sau: - Sản lượng hợp đồng năm tại vị trí đo đếm của từng nhà máy điện; - Sản lượng hợp đồng hằng tháng tại vị trí đo đếm trong năm; |
|
Trước ngày 25 tháng 11 năm N-1 |
|
Xử lý các sai lệch trong tính toán sản lượng hợp đồng năm, tháng |
ĐVMĐ, NMĐ |
|
Năm N |
Hằng năm |
Kiểm tra, phối hợp với SMO xử lý các sai lệch trong tính toán sản lượng hợp đồng năm, tháng |
|
Ngày 15 tháng M-1 |
|
Cung cấp số liệu phục vụ tính toán lập kế hoạch vận hành thị trường điện tháng gửi SMO |
PC, SB, TNO, NMĐ |
SMO |
Tháng M |
Hằng tháng |
- Kế hoạch bảo dưỡng, sửa chữa các tổ máy và lưới truyền tải; - Mô phỏng các tổ máy thủy điện và nhiệt điện; - Mô phỏng các hồ thủy điện; - Tiến độ các công trình mới; - Lưu lượng nước về các hồ thủy điện; - Các số liệu về nhiên liệu và giới hạn nhiên liệu; - Khả năng truyền tải và tổn thất đường dây liên kết hệ thống; - Các yêu cầu an ninh hệ thống; - Kế hoạch xuất nhập khẩu điện. - Các ràng buộc khác. |
|
Ngày 20 tháng M-1 |
|
Dự báo phụ tải gửi SMO |
PC, SB, NMĐ KCN |
SMO |
Tháng M |
Hằng tháng |
- Các số liệu phụ tải tháng theo quy định tại Thông tư số 25/2016/TT-BCT. - Phụ tải nội bộ các NMĐ thuộc khu công nghiệp |
|
Ngày 20 tháng M-1 |
|
Tính toán giá trị nước tháng tới |
SMO |
|
Tháng M |
Hằng tháng |
- Giá trị nước của các hồ thủy điện trong từng tuần của tháng tới; - Công suất khả dụng của các tổ máy trong từng tuần của tháng tới (MW); - Sản lượng dự kiến của các tổ máy trong từng tuần của tháng tới (GWh); |
|
Ngày 23 tháng M-1 |
|
Tính toán mô phỏng thị trường tháng; Phân loại tổ máy và điều chỉnh giá trần bản chào nhiệt điện; Xác định sản lượng hợp đồng giờ. |
SMO |
|
Tháng M |
Hằng tháng |
- Giá trần bản chào nhiệt điện trong tháng M;- Giá trung bình của các giá trần bản chào của các tổ máy nhiệt điện tham gia thị trường điện; - Sản lượng dự kiến phát từng giờ trong tháng của các nhà máy điện; - Sản lượng thanh toán toán theo giá hợp đồng hàng giờ trong tháng. |
|
05 ngày cuối tháng M-1 |
|
Tính toán và công bố sản lượng hợp đồng sơ bộ tháng M lên cổng thông tin điện tử |
SMO |
|
Tháng M |
Hàng tháng |
- Tính toán sản lượng hợp đồng sơ bộ tháng M; - Công bố qua cổng thông tin điện tử kết quả sơ bộ |
|
Trước 03 ngày cuối tháng M-1 |
|
Kiểm tra các sai lệch trong kết quả sản lượng hợp đồng |
NMĐ,PC,SB |
SMO |
Tháng M |
Hàng tháng |
- Kiểm tra và phẩn hồi kết quả phân bổ sản lượng hợp đồng |
|
Trước 03 ngày cuối tháng M-1 |
|
Trình EVN phê duyệt kế hoạch vận hành thị trường điện tháng |
SMO |
EVN |
Tháng M |
Hằng tháng |
- Giá trị nước hằng tuần trong tháng; - Mực nước giới hạn các tuần trong tháng; - Giá trần bản chào nhiệt điện trong tháng M; - Giá trung bình của các giá trần bản chào của các tổ máy nhiệt điện tham gia thị trường điện; - Sản lượng dự kiến phát từng giờ trong tháng của các nhà máy điện; - Sản lượng thanh toán toán theo giá hợp đồng hàng giờ trong tháng. |
|
Trước 03 ngày cuối tháng M-1 |
|
Công bố kế hoạch vận hành cho tháng M |
SMO |
|
Tháng M |
Hằng tháng |
Công bố các nội dung của kế hoạch vận hành cho tháng M đã được EVN phê duyệt. |
|
Thứ Ba tuần T-1 |
8h00 |
Dự báo phụ tải tuần gửi SMO |
PC |
SMO |
Tuần T |
Hằng tuần |
- Các số liệu phụ tải tuần theo quy định tại Thông tư số 25/2016/TT-BCT. |
|
Thứ Ba tuần T-1 |
15h00 |
Cung cấp số liệu phục vụ tính toán lập kế hoạch vận hành thị trường điện tuần gửi SMO |
PC, TNO, NMĐ |
SMO |
Tuần T |
Hằng tuần |
- Kế hoạch bảo dưỡng, sửa chữa; - Thủy văn; - Nhiên liệu; - Truyền tải; - Kế hoạch xuất nhập khẩu điện; - Dịch vụ phụ; - Các ràng buộc khác. |
|
Thứ Tư tuần T-1 |
10h00 |
Tính toán giá trị nước |
SMO |
|
Tuần T |
Hằng tuần |
- Giá trị nước của các hồ thủy điện trong tuần tới; |
|
Thứ Tư tuần T-1 |
15h00 |
Tính toán kế hoạch vận hành thị trường điện tuần tới |
SMO |
|
Tuần T |
Hằng tuần |
- Sản lượng từng giờ nhà máy thủy điện chiến lược đa mục tiêu, các nhà máy thủy điện có hồ chứa điều tiết từ 02 ngày đến 01 tuần và sản lượng của các nhà máy điện khác; - Các giải pháp để đảm bảo vận hành lưới điện an toàn tin cậy; - Sản lượng hợp đồng tuần và phân bổ sản lượng hợp đồng giờ của các các nhà máy thủy điện có hồ chứa điều tiết từ 02 ngày đến 01 tuần. |
|
Thứ Năm tuần T-1 |
15h00 |
Hoàn thành và trình EVN phê duyệt kế hoạch vận hành hệ thống điện tuần tới |
SMO |
EVN |
Tuần T |
Hằng tuần |
- Dự báo phụ tải, bao gồm phụ tải hệ thống điện quốc gia và phụ tải hệ thống điện miền; - Tổng sản lượng điện dự kiến phát của từng nhà máy điện trong tuần tới; - Giá trị nước và sản lượng dự kiến hàng giờ của nhà máy thủy điện chiến lược đa mục tiêu; - Giá trị nước của các nhóm nhà máy thuỷ điện bậc thang, các nhà máy thuỷ điện có hồ chứa điều tiết trên 01 tuần; - Mực nước tối ưu phía thượng lưu các hồ chứa thủy điện; - Qc tuần, Qc giờ của các nhà máy thủy điện có hồ chứa điều tiết từ 02 ngày đến 01 tuần; - Giá trị nước cao nhất của các nhà máy thủy điện tham gia thị trường điện. - Sản lượng dự kiến hàng giờ của các nhà máy thuỷ điện có hồ chứa dưới 02 ngày; - Mực nước giới hạn tuần của các hồ chứa thủy điện có khả năng điều tiết trên 01 tuần; - Kế hoạch bảo dưỡng, sửa chữa nguồn và lưới điện trong tuần tới; - Các kiến nghị, đề xuất để đảm bảo vận hành hệ thống điện và thị trường điện ổn định, an toàn, tin cậy. |
|
Thứ Sáu tuần T-1 |
10h00 |
Phê duyệt kế hoạch vận hành hệ thống điện và thị trường điện tuần tới |
|
SMO |
Tuần T |
Hằng tuần |
|
|
Thứ Sáu tuần T-1 |
15h00 |
Công bố kế hoạch vận hành hệ thống điện và thị trường điện tuần tới |
SMO |
NMĐ, SB, TNO |
Tuần T |
Hằng tuần |
Công bố các kết quả sau: - Dự báo phụ tải, bao gồm phụ tải hệ thống điện quốc gia và phụ tải hệ thống điện miền; - Giá trị nước, mực nước tối ưu của các nhà máy thủy điện, giá trị nước cao nhất của các nhà máy thủy điện tham gia thị trường điện cho tuần T; - Mực nước giới hạn tuần của các hồ chứa thủy điện có khả năng điều tiết trên 01 tuần; - Lịch bảo dưỡng sửa chữa nguồn và lưới điện tuần tới. - Công bố sản lượng hợp đồng tuần, sản lượng hợp đồng giờ của các nhà máy thủy điện có hồ chứa điều tiết từ 02 ngày đến 01 tuần.
|
Phụ lục 3
SỐ LIỆU THỦY VĂN
(Ban hành kèm theo Quy trình lập kế hoạch vận hành thị trường điện)
I. SỐ LIỆU THỦY VĂN TRONG LẬP KẾ HOẠCH VẬN HÀNH THỊ TRƯỜNG ĐIỆN
1. Số liệu thủy văn được sử dụng trong việc tính toán lập kế hoạch năm bao gồm:
a) Bộ số liệu các năm trong quá khứ bao gồm lưu lượng nước về trung bình từng tuần của từng hồ thủy điện;
b) Số liệu dự báo lưu lượng nước về trung bình từng tuần trong năm tới (năm N+1) theo phương án tần suất 65% làm cơ sở và các phương án tần suất khác để so sánh, kiểm tra theo yêu cầu của Cục Điều tiết điện lực.
2. Số liệu thủy văn được sử dụng trong việc tính toán lập kế hoạch tháng bao gồm:
a) Bộ số liệu các năm trong quá khứ bao gồm lưu lượng nước về trung bình từng tuần của từng hồ thủy điện;
b) Số liệu dự báo lưu lượng nước về trung bình từng tuần trong 52 tuần tới bắt đầu từ tuần đầu tiên của tháng tới theo các phương án tần suất 65% làm cơ sở và các phương án tần suất khác để so sánh, kiểm tra theo yêu cầu của Cục Điều tiết điện lực.
3. Số liệu thủy văn được sử dụng trong việc tính toán lập kế hoạch tuần bao gồm:
a) Bộ số liệu các năm trong quá khứ bao gồm lưu lượng nước về trung bình từng tuần của từng hồ thủy điện;
b) Số liệu dự báo lưu lượng nước về trung bình từng tuần trong 52 tuần tới theo các phương án tần suất 65% làm cơ sở và các phương án tần suất khác để so sánh, kiểm tra theo yêu cầu của Cục Điều tiết điện lực;
c) Số liệu dự báo lưu lượng nước về các hồ thủy điện trong tuần tới của Đơn vị vận hành hệ thống điện và thị trường điện.
II. BIỂU MẪU CUNG CẤP SỐ LIỆU
1. Biểu mẫu cung cấp số liệu lưu lượng nước về các năm quá khứ
|
Tuần Năm |
(Ngày) |
(Tháng) |
(Năm) |
(Hồ thủy điện) |
(Nhánh) |
Đơn vị m3/s |
|||||||||||
|
1 |
2 |
3 |
4 |
5 |
6 |
7 |
8 |
9 |
10 |
.. |
52 |
||||||
|
Năm N-n |
|
|
|
|
|
|
|
|
|
|
|
|
|||||
|
… |
|
|
|
|
|
|
|
|
|
|
|
|
|||||
|
Năm N-1 |
|
|
|
|
|
|
|
|
|
|
|
|
|||||
2. Biểu mẫu cung cấp số liệu lưu lượng nước về tuần quá khứ và dự báo tuần tới
|
Ngày Tuần |
(Ngày) |
(Tháng) |
(Năm) |
(Hồ thủy điện) |
(Nhánh) |
||||||
|
T2 |
T3 |
T4 |
T5 |
T6 |
T7 |
CN |
|||||
|
Tuần T-2 |
|
|
|
|
|
|
|
||||
|
Dự báo Tuần T |
|
|
|
|
|
|
|
||||
Phụ lục 4
SỐ LIỆU NHÀ MÁY THỦY ĐIỆN
(Ban hành kèm theo Quy trình lập kế hoạch vận hành thị trường điện)
I. SỐ LIỆU
1. Mô phỏng thủy điện sử dụng trong tính toán giá trị nước
a) Các thông số thủy điện
- Số tổ máy của nhà máy;
- Công suất nhà máy (MW);
- Khả năng điều tiết của hồ thủy điện (có hồ chứa điều tiết lớn hơn một tuần hay chạy theo lưu lượng nước về);
- Dung tích tối thiểu, tối đa (triệu m3);
- Lưu lượng chạy máy tối thiểu (m3/s);
- Lưu lượng chạy máy tối đa (m3/s);
- Lưu lượng nước ra tối đa (m3/s);
- Khả năng điều tiết xả của hồ chứa theo dạng có điều tiết hay tự tràn;
- Mực nước đầu chu kỳ tính toán lập kế hoạch (m);
- Cấu hình hệ thống hồ thủy điện bao gồm đường xả, đường chạy máy, đường tổn thất;
- Xác suất sự cố FOR (%): Là tỷ lệ giữa sản lượng thiếu hụt do ngừng sự cố dự kiến so với tổng sản lượng tối đa của cả năm;
- Xác suất ngừng máy tổng hợp (bao gồm cả ngừng máy có kế hoạch và xác suất ngừng máy do sự cố) COR (%): Là tỷ lệ giữa sản lượng thiếu hụt do ngừng sự cố dự kiến và ngừng máy có kế hoạch so với tổng sản lượng tối đa của cả năm;
- Chi phí vận hành và bảo dưỡng biến đổi (VNĐ/MWh);
- Hiệu suất của tua bin, máy phát (p.u);
- Khả năng điều tiết của hồ chứa chạy theo lưu lượng nước về (p.u);
- Dung tích hữu ích của hồ chứa chạy theo lưu lượng nước về (triệu m3);
- Quan hệ giữa dung tích và hệ số suất hao: Thể hiện đường đặc tính giữa quan hệ của thể tích hồ (triệu m3) và hệ số suất hao của nhà máy (MW/m3/s);
- Quan hệ giữa diện tích và thể tích: Thể hiện đường đặc tính giữa quan hệ của diện tích hồ (km2) và thể tích hồ (triệu m3);
- Quan hệ giữa dung tích và cột nước: Thể hiện đường đặc tính giữa quan hệ của thể tích hồ (triệu m3) và cột nước (m);
- Quan hệ giữa lượng nước tổn thất và thể tích hồ: Thể hiện đặc tính quan hệ giữa lượng nước tổn thất (m3/s) với thể tích hồ (triệu m3);
- Quan hệ giữa mực nước hạ lưu và lưu lượng nước ra: Thể hiện đường quan hệ giữa mực nước hạ lưu (m) tương ứng với tổng lưu lượng nước ra (m3/s);
- Quan hệ giữa lưu lượng nước về và lưu lượng chạy máy: Thể hiện đường đặc tính không giảm trong quan hệ giữa lưu lượng nước về (m3/s) với lưu lượng nước chạy máy (m3/s). Đường đặc tính này được áp dụng cho các nhà máy thủy điện có hồ chứa điều tiết dưới một tuần trong hệ thống thủy điện bậc thang khi phải điều tiết lưu lượng nước chạy máy theo lưu lượng nước về;
- Khả năng cung cấp dự phòng quay của nhà máy, tổ máy (%).
b) Các yêu cầu vận hành hồ chứa
- Dung tích cảnh báo từng tuần (triệu m3);
- Dung tích phòng lũ từng tuần (triệu m3);
- Giới hạn lưu lượng nước ra tối thiểu từng tuần (m3/s);
- Giới hạn lưu lượng nước ra tối đa từng tuần (m3/s);
- Lưu lượng nước điều tiết cho nông nghiệp từng tuần (m3/s).
2. Mô phỏng thủy điện sử dụng trong tính toán mô phỏng thị trường
a) Các thông số tổ máy
- Tên nhà máy, tổ máy;
- Tốc độ tăng tải theo từng dải công suất phát (MW/giờ);
- Tốc độ giảm tải theo từng dải công suất phát (MW/giờ);
- Công suất tối thiểu của tổ máy từng giờ (MW);
- Công suất tối đa của tổ máy từng giờ (MW);
- Khả năng cung cấp dự phòng quay tối đa từng giờ (MW);
- Trạng thái huy động của tổ máy từng giờ (nối lưới hay không nối lưới);
- Vùng cấm của tổ máy (MW).
b) Các số liệu về giá
- Dải công suất (MW) và giá tương ứng (VNĐ);
- Dải công suất dự phòng quay (MW) và giá tương ứng (VNĐ);
3. Mô phỏng thủy điện sử dụng trong tính toán chương trình tối ưu
a) Các thông số hồ thủy điện, tuabin
- Mực nước dâng bình thường, mực nước chết (m);
- Cột nước tối đa, cột nước tính toán, cột nước tối thiểu của tuabin (m);
- Mực nước hạ lưu (m);
- Mực nước đầu chu kỳ tính toán lập kế hoạch (m);
- Mực nước cuối chu kỳ tính toán lập kế hoạch (m);
- Thứ tự huy động các tổ máy thủy điện trong nhà máy;
- Lưu lượng nước về hồ từng giờ (m3/s).
b) Mô phỏng cấu hình hệ thống thủy điện
- Đường nước chạy máy, xả;
- Thời gian dòng chảy từ hồ trên tới hồ dưới (giờ);
- Dòng chảy tối thiểu, tối đa (m3/s);
- Khả năng tối đa thay đổi dòng chảy (m3/s).
c) Các đường đặc tính của hồ thủy điện, tuabin
- Đặc tính quan hệ giữa công suất, cột nước và lưu lượng chạy máy: Là đường cong mô tả lượng công suất phát của nhà máy thủy điện (MW) khi sử dụng một lượng nước chạy máy (m3/s) ứng với cột nước tính toán, cột nước tối đa và cột nước tối thiểu;
- Đặc tính quan hệ giữa công suất, cột nước: Là đường cong mô tả lượng công suất phát tối đa và tối thiểu của tổ máy thủy điện (MW) khi thay đổi cột nước (m);
- Đặc tính quan hệ giữa mực nước hạ lưu và lưu lượng chạy máy: Là đường cong mô tả sự thay đổi của mực nước hạ lưu (m) khi thay đổi lưu lượng nước chạy máy (m3/s);
- Đặc tính quan hệ giữa thể tích hồ và mực nước thượng lưu: Là đường cong mô tả sự thay đổi của thể tích hồ (triệu m3) với sự thay đổi của mực nước thượng lưu (m).
d) Các giới hạn
- Giới hạn lưu lượng nước chạy máy từng giờ: Tối thiểu và tối đa (m3/s);
- Giới hạn mực nước thượng lưu từng giờ: Tối thiểu và tối đa (m3/s);
- Giới hạn lưu lượng nước ra từng giờ: Tối thiểu và tối đa (m3/s).
|
II. BIỂU MẪU CUNG CẤP SỐ LIỆU
|
||||||||||||||||||||||||||||||||||||||||
|
|
(Tháng) |
(Năm) |
(Nhà máy) |
|||||||||||||||||||||||||||||||||||||
|
Thông số tổ máy |
||||||||||||||||||||||||||||||||||||||||
|
Tổ máy |
Công suất tối đa (MW) |
Công suất tối thiểu (MW) |
Vùng cấm tổ máy (MW) |
Tốc độ tăng tải (MW/phút) |
Tốc độ giảm tải (MW/phút) |
FOR (%) |
COR (%) |
V O&M (đồng/MWh) |
Hiệu suất (%) |
Khả năng cung cấp dự phòng quay (%) |
||||||||||||||||||||||||||||||
|
H1 |
|
|
|
|
|
|
|
|
|
|
||||||||||||||||||||||||||||||
|
H2 |
|
|
|
|
|
|
|
|
|
|
||||||||||||||||||||||||||||||
|
… |
|
|
|
|
|
|
|
|
|
|
||||||||||||||||||||||||||||||
|
Thông số hồ chứa, tuabin |
||||||||||||||||||||||||||||||||||||||||
|
Dung tích tối đa (triệu m3) |
Dung tích tối thiểu (triệu m3) |
Mực nước dâng bình thường (m) |
Mực nước chết(m) |
Cột nước tối đa (m) |
Cột nước tính toán (m) |
Cột nước tối thiểu (m) |
Mực nước hạ lưu (m) |
Khả năng điều tiết |
Khả năng xả (m3/s) |
Lưu lượng chạy máy tối thiểu (m3/s) |
Lưu lượng chạy máy tối đa (m3/s) |
Lưu lượng nước ra tối đa (m3/s) |
Khả năng điều tiết xả |
Khả năng điều tiết của hồ chạy theo lưu lượng nước về |
||||||||||||||||||||||||||
|
|
|
|
|
|
|
|
|
|
|
|
|
|
|
|
||||||||||||||||||||||||||
|
Các đường đặc tính |
||||||||||||||||||||||||||||||||||||||||
|
|
Đặc tính Cột nước x Suất hao |
Đặc tính Thể tích x Suất hao |
Đặc tính Thể tích x Mực nước |
Đặc tính Thể tích x Tổn thất |
Đặc tính nước ra x Mực nước hạ lưu |
Đặc tính Thể tích x Diện tích |
||||||||||||||||||||||||||||||||||
|
STT |
Cột nước (m) |
Suất hao (m3/kWh) |
Thể tích (triệu m3) |
Suất hao (MW/ m 3/s) |
Thể tích (triệu m3) |
Mực nước (m) |
Thể tích (triệu m3) |
Tổn thất (m3/s) |
Tổng lưu lượng nước ra (m3/s) |
Mực nước hạ lưu (m) |
Thể tích (triệu m3) |
Diện tích (km2) |
||||||||||||||||||||||||||||
|
1 |
|
|
|
|
|
|
|
|
|
|
|
|
||||||||||||||||||||||||||||
|
2 |
|
|
|
|
|
|
|
|
|
|
|
|
||||||||||||||||||||||||||||
|
… |
|
|
|
|
|
|
|
|
|
|
|
|
||||||||||||||||||||||||||||
|
|
||||||||||||||||||||||||||||||||||||||||
|
|
Đặc tính Công suất x Cột nước x Q máy (NQH) |
Đặc tính nước về x Lưu lượng chạy máy |
Đặc tính Công suất x Cột nước |
|
||||||||||||||||||||||||||||||||||||
|
STT |
Lưu lượng chạy máy (m3/s) |
Công suất nhà máy ứng với côt nước tổi thiểu (MW) |
Lưu lượng chạy máy (m3/s) |
Công suất nhà máy ứng với côt nước tính toán (MW) |
Lưu lượng chạy máy (m3/s) |
Công suất nhà máy ứng với côt nước tổi đa (MW) |
Lưu lượng nước về (m3/s) |
Lưu lượng chạy máy (m3/s) |
Cột nước (m) |
Công suất tối thiểu tổ máy (MW) |
Công suất tối đa tổ máy (MW) |
|
||||||||||||||||||||||||||||
|
1 |
|
|
|
|
|
|
|
|
|
|
|
|
||||||||||||||||||||||||||||
|
2 |
|
|
|
|
|
|
|
|
|
|
|
|
||||||||||||||||||||||||||||
|
… |
|
|
|
|
|
|
|
|
|
|
|
|
||||||||||||||||||||||||||||
|
Các ràng buộc vận hành |
||||||||||||||||||||||||||||||||||||||||
|
Thời gian |
Dung tích cảnh báo (triệu m3) |
Dung tích phòng lũ (triệu m3) |
Lưu lượng nước ra tối đa (m3/s) |
Lưu lượng nước ra tối thiểu (m3/s) |
Lưu lượng nước cho nông nghiệp (m3/s) |
|||||||||||||||||||||||||||||||||||
|
|
|
|
|
|
|
|||||||||||||||||||||||||||||||||||
|
|
|
|
|
|
|
|||||||||||||||||||||||||||||||||||
|
|
|
|
|
|
|
|||||||||||||||||||||||||||||||||||
|
Cấu hình hệ thống thủy điện |
||||||||||||||||||||||||||||||||||||||||
|
|
Đường nước chạy máy |
Đường nước xả |
Đường nước tổn thất |
|||||||||||||||||||||||||||||||||||||
|
Tên hồ |
|
|
|
|||||||||||||||||||||||||||||||||||||
|
Dòng chảy tối thiểu (m3/s) |
|
|
|
|||||||||||||||||||||||||||||||||||||
|
Dòng chảy tối đa (m3/s) |
|
|
|
|||||||||||||||||||||||||||||||||||||
|
Khả năng tối đa thay đổi dòng chảy (m3/s) |
|
|
|
|||||||||||||||||||||||||||||||||||||
|
Thời gian chảy (giờ) |
|
|
|
|||||||||||||||||||||||||||||||||||||
Phụ lục 5
SỐ LIỆU NHÀ MÁY NHIỆT ĐIỆN
(Ban hành kèm theo Quy trình lập kế hoạch vận hành thị trường điện)
I. SỐ LIỆU
1. Mô phỏng nhiệt điện sử dụng trong tính toán giá trị nước
a) Các thông số nhiệt điện
- Số tổ máy;
- Công suất tối thiểu (MW);
- Công suất tối đa (MW);
- Xác suất sự cố FOR (%): Là tỷ lệ giữa sản lượng thiếu hụt do ngừng sự cố dự kiến so với tổng sản lượng tối đa của cả năm;
- Xác suất ngừng máy tổng hợp (bao gồm cả ngừng máy có kế hoạch và xác suất ngừng máy do sự cố) COR (%): Là tỷ lệ giữa sản lượng thiếu hụt do ngừng sự cố dự kiến và ngừng máy có kế hoạch so với tổng sản lượng tối đa của cả năm;
- Chi phí vận hành và bảo dưỡng biến đổi (VNĐ/MWh);
- Loại hình nhà máy: Nhà máy tiêu chuẩn, nhà máy phải chạy;
- Chi phí khởi động (VNĐ);
- Chi phí vận chuyển nhiên liệu (VNĐ/đơn vị nhiên liệu);
- Đường cong và bảng suất hao nhiệt của tổ máy: Bao gồm 03 điểm cho từng block phụ tải thể hiện quan hệ giữa suất tiêu hao nhiên liệu (đơn vị nhiên liệu/MWh) với công suất tổ máy (%);
b) Các nhiên liệu sử dụng
- Nhiên liệu chính và các nhiên liệu thay thế (khí, dầu);
- Các thông số tương ứng của nhà máy khi sử dụng nhiên liệu thay thế: Chi phí vận hành bảo dưỡng biến đổi (VNĐ/MWh), chi phí vận chuyển nhiên liệu (VNĐ/đơn vị nhiên liệu), công suất tối đa (MW), suất tiêu hao nhiên liệu tương ứng.
c) Các ràng buộc vận hành nhà máy
- Giới hạn công suất tối thiểu cụm nhà máy (MW);
- Khả năng cung cấp dự phòng quay của nhà máy, tổ máy (%);
- Trạng thái vận hành của nhóm nhà máy tua bin khí chu trình hỗn hợp.
2. Mô phỏng nhiệt điện sử dụng trong tính toán mô phỏng thị trường
a) Các thông số tổ máy
- Tên nhà máy, tổ máy;
- Tốc độ tăng tải theo từng dải công suất phát (MW/giờ);
- Tốc độ giảm tải theo từng dải công suất phát (MW/giờ);
- Công suất tối thiểu của tổ máy từng giờ (MW);
- Công suất tối đa của tổ máy từng giờ (MW);
- Khả năng cung cấp dự phòng quay tối đa từng chu kỳ (MW);
- Vùng cấm của tổ máy (MW).
b) Các số liệu về giá
- Dải công suất (MW) và giá tương ứng (VNĐ);
- Dải công suất dự phòng quay (MW) và giá tương ứng (VNĐ).
3. Mô phỏng nhiệt điện sử dụng trong tính toán chương trình tối ưu
a) Thời gian khởi động nóng, lạnh, ấm;
b) Thời gian ngừng để tính khởi động nóng, ấm, lạnh;
c) Chi phí khởi động nóng, lạnh, ấm;
d) Thời gian chạy máy tối thiểu (giờ);
đ) Thời gian ngừng máy tối thiểu (giờ);
e) Số lần khởi động tối đa (lần);
g) Sản lượng phát tối đa (MWh);
h) Tốc độ tăng tải, giảm tải khi khởi động hoặc ngừng máy, tốc độ thay đổi công suất (MW/giờ);
i) Công suất tối thiểu, tối đa của tổ máy (MW);
k) Trạng thái huy động của tổ máy (huy động theo kinh tế hoặc must run);
l) Bản chào giá của tổ máy.
|
II. BIỂU MẪU CUNG CẤP SỐ LIỆU ĐƠN VỊ PHÁT ĐIỆN A. Số liệu chung của đơn vị phát điện
|
|||||||||||||||||||||||||||||
|
(Ngày) |
(Tháng) |
(Năm) |
(Nhà máy) |
||||||||||||||||||||||||||
|
Thông số tổ máy |
|||||||||||||||||||||||||||||
|
Tổ máy |
Nhiên liệu sử dụng |
Đơn vị nhiên liệu |
Công suất tối đa (MW) |
Công suất tối thiểu (MW) |
Vùng cấm tổ máy (MW) |
Tốc độ tăng tải (MW/phút) |
Tốc độ giảm tải (MW/phút) |
FOR (%) |
COR (%) |
V O&M (đồng/MWh) |
Chi phí vận chuyển nhiên liệu (đồng/đơn vị nhiên liệu) |
Khả năng cung cấp dự phòng quay (%) |
|||||||||||||||||
|
S1 |
|
|
|
|
|
|
|
|
|
|
|
|
|||||||||||||||||
|
S2 |
|
|
|
|
|
|
|
|
|
|
|
|
|||||||||||||||||
|
S3 |
|
|
|
|
|
|
|
|
|
|
|
|
|||||||||||||||||
|
… |
|
|
|
|
|
|
|
|
|
|
|
|
|||||||||||||||||
|
Đặc tính tiêu hao nhiên liệu |
|||||||||||||||||||||||||||||
|
|
Nhiên liệu 1 |
Nhiên liệu 2 |
Nhiên liệu 3 |
||||||||||||||||||||||||||
|
STT |
Mức công suất (MW) |
Suất tiêu hao (đơn vị nhiên liệu/MWh) |
Mức công suất (MW) |
Suất tiêu hao (đơn vị nhiên liệu/MWh) |
Mức công suất (MW) |
Suất tiêu hao (đơn vị nhiên liệu/MWh) |
|||||||||||||||||||||||
|
1 |
|
|
|
|
|
|
|||||||||||||||||||||||
|
2 |
|
|
|
|
|
|
|||||||||||||||||||||||
|
3 |
|
|
|
|
|
|
|||||||||||||||||||||||
|
… |
|
|
|
|
|
|
|||||||||||||||||||||||
|
Các ràng buộc vận hành |
|||||||||||||||||||||||||||||
|
Thời gian |
Công suất tối đa (MW) |
Công suất tối thiểu (MW) |
Khởi động nguội |
Khởi động ấm |
Khởi động nóng |
Số lần khởi động tối đa |
|
||||||||||||||||||||||
|
Thời gian ngừng máy (giờ) |
Thời gian khởi động (giờ) |
Thời gian ngừng máy (giờ) |
Thời gian khởi động (giờ) |
Thời gian ngừng máy (giờ) |
Thời gian khởi động (giờ) |
(lần/ngày) |
(lần/tuần) |
|
|||||||||||||||||||||
|
|
|
|
|
|
|
|
|
|
|
|
|
||||||||||||||||||
|
Thời gian
|
Thời gian chạy máy tối thiểu (giờ) |
Thời gian ngừng máy tối thiểu (giờ) |
|
|
|
|
|
|
|
||||||||||||||||||||
|
|
|
|
|
|
|
|
|||||||||||||||||||||||
|
|
|
|
|
|
|
|
|
|
|
|
|
||||||||||||||||||
B. Số liệu phụ tải nội bộ năm tới của đơn vị phát điện sở hữu nhà máy điện thuộc khu công nghiệp
|
Phụ tải |
Tháng 1 |
Tháng 2 |
… |
|
… |
Tháng 12 |
|
Ngày 01 |
|
|
|
|
|
|
|
Ngày 02 |
|
|
|
|
|
|
|
… |
|
|
|
|
|
|
|
|
|
|
|
|
|
|
|
… |
|
|
|
|
|
|
|
Ngày 30 |
|
|
|
|
|
|
|
Ngày 31 |
|
|
|
|
|
|
|
Tổng tháng |
|
|
|
|
|
|
C. Số liệu phụ tải nội bộ tháng tới của đơn vị phát điện sở hữu nhà máy điện thuộc khu công nghiệp
|
Phụ tải |
Giờ 01 |
Giờ 02 |
|
|
Giờ 23 |
Giờ 24 |
Tổng ngày |
|
Ngày 01 |
|
|
|
|
|
|
|
|
Ngày 02 |
|
|
|
|
|
|
|
|
… |
|
|
|
|
|
|
|
|
|
|
|
|
|
|
|
|
|
|
|
|
|
|
|
|
|
|
… |
|
|
|
|
|
|
|
|
Ngày 30 |
|
|
|
|
|
|
|
|
Ngày 31 |
|
|
|
|
|
|
|
|
III. BIỂU MẪU CUNG CẤP SỐ LIỆU ĐƠN VỊ MUA ĐIỆN |
|
(Ngày) |
(Tháng) |
(Năm) |
|
|
|
|
||
|
Nhà máy |
Tổ máy |
Suất hao nhiệt hợp đồng đã hiệu chỉnh hệ số suy giảm hiệu suất (Đơn vị nhiên liệu/kWh) |
Hệ số chi phí phụ |
Chi phí khởi động (đồng/lần) |
||||
|
Nhiên liệu 1 (TBK: Đơn-hỗn hợp) |
Nhiên liệu 2 (TBK: Đơn-hỗn hợp) |
Nhiên liệu 3 (TBK: Đơn-hỗn hợp) |
Nguội |
Ấm |
Nóng |
|||
|
Tên |
Số |
|
|
|
|
|
|
|
|
… |
… |
… |
… |
… |
… |
… |
… |
… |
Phụ lục 6
THÔNG SỐ VỀ NHIÊN LIỆU
(Ban hành kèm theo Quy trình lập kế hoạch vận hành thị trường điện)
I. SỐ LIỆU
1. Mô phỏng nhiên liệu
a) Nhiên liệu
- Mã nhiên liệu;
- Tên nhiên liệu (dầu, khí, than…);
- Đơn vị nhiên liệu (tấn,m3, GJ, BTU…);
- Giá nhiên liệu (VNĐ/đơn vị nhiên liệu).
b) Các ràng buộc sử dụng nhiên liệu
- Giá nhiên liệu dự báo từng tuần cho năm tới (VNĐ/đơn vị nhiên liệu);
- Giới hạn nhiên liệu tối đa từng giờ cho từng tuần trong năm tới (đơn vị nhiên liệu/giờ);
- Giới hạn tổng lượng nhiên liệu từng tuần trong năm tới (ngàn đơn vị nhiên liệu/tuần).
II. BIỂU MẪU CUNG CẤP SỐ LIỆU
A. Biểu mẫu số liệu giá nhiên liệu năm tới
|
Nhiên liệu |
Tháng 01 |
Tháng 02 |
Tháng 03 |
Tháng 04 |
Tháng 05 |
Tháng 06 |
Tháng 07 |
Tháng 08 |
Tháng 09 |
Tháng 10 |
Tháng 11 |
Tháng 12 |
|
|
|
|
|
|
|
|
|
|
|
|
|
|
|
|
|
|
|
|
|
|
|
|
|
|
|
|
B. Biểu mẫu số liệu giá nhiên liệu tháng tới
|
Nhiên liệu |
Tháng M+1 |
Tháng M+2 |
Tháng M+3 |
Tháng M+4 |
Tháng M+5 |
Tháng M+6 |
Tháng M+7 |
Tháng M+8 |
Tháng M+9 |
Tháng M+10 |
Tháng M+11 |
Tháng M+12 |
|
|
|
|
|
|
|
|
|
|
|
|
|
|
|
|
|
|
|
|
|
|
|
|
|
|
|
|
C. Biểu mẫu số liệu giới hạn cung cấp nhiên liệu
|
Nhiên liệu |
Thời gian |
Giới hạn giờ (đơn vị nhiên liệu/giờ) |
Giới hạn tổng (ngàn đơn vị nhiên liệu) |
|
|
|
|
|
|
|
|
|
|
Phụ lục 7
TIẾN ĐỘ CÔNG TRÌNH MỚI
(Ban hành kèm theo Quy trình lập kế hoạch vận hành thị trường điện)
I. SỐ LIỆU
1. Công trình mới bao gồm:
a) Nhà máy điện mới;
b) Đường dây truyền tải mới.
2. Số liệu tiến độ nhà máy điện mới được sử dụng trong tính toán lập kế hoạch bao gồm:
a) Tên nhà máy, tổ máy;
b) Chủ sở hữu;
c) Công suất đặt tổ máy (MW);
d) Thời gian dự kiến đưa vào thử nghiệm theo cập nhật mới nhất;
đ)Thời gian dự kiến đưa vào vận hành tin cậy theo cập nhật mới nhất;
e) Thời gian dự kiến đưa vào vận hành theo Quy hoạch phát triển điện lực quốc gia và các bản sửa đổi đang có hiệu lực;
g) Thời gian dự kiến đưa vào vận hành thương mại theo cập nhật mới nhất.
3. Số liệu tiến độ đường dây liên kết miền mới được sử dụng trong tính toán lập kế hoạch bao gồm:
a) Tên đường dây liên kết;
b) Khả năng tải của đường dây (MW);
c) Thời gian dự kiến đưa vào thử nghiệm theo cập nhật mới nhất;
d) Thời gian dự kiến đưa vào vận hành tin cậy theo cập nhật mới nhất;
đ) Thời gian dự kiến đưa vào vận hành theo Quy hoạch phát triển điện lực quốc gia và các bản sửa đổi đang có hiệu lực.
II. BIỂU MẪU CUNG CẤP SỐ LIỆU
|
TT |
Tên nhà máy, tổ máy |
Công suất đặt (MW) |
Thời gian |
Chủ sở hữu |
Quy hoạch |
||
|
Vận hành thử nghiệm |
Vận hành tin cậy |
Vận hành thương mại |
|||||
|
1 |
|
|
|
|
|
|
|
|
2 |
|
|
|
|
|
|
|
|
3 |
|
|
|
|
|
|
|
|
TT |
Tên đường dây truyền tải |
Giới hạn truyền tải (MW) |
Thời gian |
Quy hoạch |
|
|
Vận hành thử nghiệm |
Vận hành tin cậy |
||||
|
1 |
|
|
|
|
|
|
2 |
|
|
|
|
|
|
3 |
|
|
|
|
|
Phụ lục 8
SỐ LIỆU HỢP ĐỒNG MUA BÁN ĐIỆN
(Ban hành kèm theo Quy trình lập kế hoạch vận hành thị trường điện)
I. SỐ LIỆU
1. Số liệu hợp đồng mua bán điện được sử dụng trong lập kế hoạch vận hành năm bao gồm:
a) Giá biến đổi trong giá hợp đồng mua bán điện dạng sai khác năm N (đồng/kWh);
b) Giá cố định trong giá hợp đồng mua bán điện dạng sai khác năm N (đồng/kWh);
c) Sản lượng điện năng thỏa thuận để tính giá hợp đồng năm N (kWh);
d) Sản lượng điện năng phát bình quân nhiều năm của nhà máy điện được quy định trong hợp đồng mua bán điện (kWh). Trường hợp chưa thỏa thuận được sản lượng điện năng phát bình quân nhiều năm thì sử dụng số liệu sản lượng điện hợp đồng áp dụng cho năm N;
đ) Giá hợp đồng mua bán điện dạng sai khác của các nhà máy điện;
e) Hệ số quy đổi đo đếm điện năng đầu cực máy phát và điểm giao nhận.
II. BIỂU MẪU CUNG CẤP SỐ LIỆU
A. BIỂU MẪU CHO CÁC NHÀ MÁY THAM GIA THỊ TRƯỜNG
|
TT |
Thời gian áp dụng |
Nhà máy |
Giá biến đổi (đồng/kWh) |
Giá cố định (đồng/kWh) |
Sản lượng điện năng thỏa thuận hợp đồng (triệu kWh) |
Sản lượng điện năng phát bình quân nhiều năm (triệu kWh) |
Giá hợp đồng CfD (đồng/kWh) |
Hệ số quy đổi đầu cực/điểm giao nhận |
|
1 |
|
|
|
|
|
|
|
|
|
2 |
|
|
|
|
|
|
|
|
B. BIỂU MẪU CHO CÁC NHÀ MÁY CHỈ BÁN MỘT PHẦN SẢN LƯỢNG LÊN HỆ THỐNG ĐIỆN QUỐC GIA VÀ BOT
|
TT |
Thời gian áp dụng |
Nhà máy |
Giá biến đổi (đồng/kWh) |
Giá hợp đồng (đồng/kWh) |
Lưu ý |
|
1 |
|
|
|
|
|
|
2 |
|
|
|
|
|
Phụ lục 9
SỐ LIỆU CHUNG CỦA THỊ TRƯỜNG ĐIỆN
(Ban hành kèm theo Quy trình lập kế hoạch vận hành thị trường điện)
Các số liệu chung của thị trường bao gồm:
1.Giá trị cắt giảm phụ tải (đồng/kWh).
2.Giá trị phạt khi vi phạm ràng buộc xả nước (đồng/m3).
3.Giá trị phạt khi vi phạm ràng buộc lưu lượng nước ra tối thiểu, tối đa (đồng/m3).
4.Giá trị phạt khi vi phạm giới hạn truyền tải (đồng/kWh).
5.Giá trị phạt khi vi phạm công suất tổ máy (ngàn đồng/MW).
6.Giá trị phạt khi vi phạm vùng cấm tổ máy (ngàn đồng/MW).
7.Giá trị phạt khi vi phạm tốc độ tăng giảm tải (ngàn đồng/MW × giờ).
8.Giá trị phạt khi vi phạm dự phòng quay (đồng/kWh).
9.Giá trị phạt khi vi phạm ràng buộc chung (đồng/kWh).
10.Tỷ lệ khấu hao hằng năm (%).
11.Tỷ giá giữa đồng đô la Mỹ và đồng Việt Nam.
12.Các số liệu cần thiết khác.
Phụ lục 10
QUY ĐỔI PHỤ TẢI TỪNG GIỜ
THÀNH CÁC KHỐI PHỤ TẢI TRONG TUẦN
(Ban hành kèm theo Quy trình lập kế hoạch vận hành thị trường điện)
- Nguyên tắc quy đổi
Việc quy đổi phụ tải từng giờ thành các khối phụ tải trong tuần được thực hiện theo nguyên tắc sau:
- Phụ tải mỗi tuần được chia thành năm khối phụ tải. Mỗi khối phụ tải tương ứng với sản lượng phụ tải trong khoảng thời gian quy định như sau:
|
Khối (k) |
1 |
2 |
3 |
4 |
5 |
|
|
5% |
15% |
30% |
30% |
20% |
Trong đó:
Khối 1: Khối ứng với phần phụ tải đỉnh;
Khối 2, 3, 4, 5: Các khối lần lượt ứng với các phần phụ tải tiếp theo.
- Việc quy đổi phải đảm bảo tổng sản lượng phụ tải trong các khối bằng tổng sản lượng phụ tải trong tuần đó.
- Trình tự thực hiện
- Từ công suất phụ tải hệ thống điện quốc gia dự báo của 168 giờ trong tuần, sắp xếp lại theo thứ tự từ lớn đến bé:

Trong đó:
: Công suất phụ tải hệ thống điện quốc gia giờ thứ i trong tuần;
: Công suất phụ tải hệ thống điện quốc gia đã được sắp xếp theo thứ tự từ lớn đến bé, đứng ở vị trí j.

Hình 1: Sắp xếp theo thứ tự
- Tính toán từng khối phụ tải trong tuần:

Trong đó:
: Sản lượng phụ tải trong khối phụ tải thứ k;
: Tập hợp các giá trị công suất phụ tải nằm trong khối phụ tải thứ k ứng với khoảng thời gian
;
: Khoảng thời gian của khối phụ tải thứ k, tính bằng % thời gian trong 1 tuần.
- Lập lại bước a, b cho phụ tải các tuần còn lại trong toàn bộ chu kỳ tính toán.
- Ví dụ minh họa
- Giả sử có phụ tải dự báo cho 1 tuần (168 giờ) như sau:
|
Giờ |
P |
Giờ |
P |
Giờ |
P |
Giờ |
P |
Giờ |
P |
Giờ |
P |
Giờ |
P |
|
1 |
3,124 |
25 |
3,050 |
49 |
3,105 |
73 |
3,187 |
97 |
3,356 |
121 |
3,289 |
145 |
3,352 |
|
2 |
2,906 |
26 |
3,007 |
50 |
2,889 |
74 |
3,107 |
98 |
3,163 |
122 |
3,163 |
146 |
3,202 |
|
3 |
2,987 |
27 |
3,011 |
51 |
2,871 |
75 |
3,116 |
99 |
3,157 |
123 |
3,181 |
147 |
3,248 |
|
4 |
2,832 |
28 |
2,880 |
52 |
2,796 |
76 |
3,081 |
100 |
3,122 |
124 |
3,179 |
148 |
3,215 |
|
5 |
3,002 |
29 |
2,963 |
53 |
2,906 |
77 |
3,213 |
101 |
3,283 |
125 |
3,306 |
149 |
3,425 |
|
6 |
3,618 |
30 |
3,369 |
54 |
3,900 |
78 |
3,999 |
102 |
3,926 |
126 |
4,144 |
150 |
4,199 |
|
7 |
4,355 |
31 |
4,151 |
55 |
4,603 |
79 |
4,737 |
103 |
4,459 |
127 |
4,731 |
151 |
4,735 |
|
8 |
4,558 |
32 |
4,384 |
56 |
4,628 |
80 |
4,800 |
104 |
4,484 |
128 |
4,922 |
152 |
4,825 |
|
9 |
4,620 |
33 |
4,519 |
57 |
5,008 |
81 |
4,994 |
105 |
4,776 |
129 |
5,010 |
153 |
5,016 |
|
10 |
5,348 |
34 |
5,081 |
58 |
5,513 |
82 |
5,485 |
106 |
5,352 |
130 |
5,159 |
154 |
5,588 |
|
11 |
5,813 |
35 |
5,465 |
59 |
5,932 |
83 |
6,113 |
107 |
5,844 |
131 |
6,076 |
155 |
5,979 |
|
12 |
4,349 |
36 |
4,178 |
60 |
4,579 |
84 |
4,651 |
108 |
4,274 |
132 |
4,649 |
156 |
4,868 |
|
13 |
4,186 |
37 |
3,788 |
61 |
4,295 |
85 |
4,407 |
109 |
4,151 |
133 |
4,372 |
157 |
4,359 |
|
14 |
4,264 |
38 |
3,989 |
62 |
4,541 |
86 |
4,564 |
110 |
4,511 |
134 |
4,694 |
158 |
4,581 |
|
15 |
4,380 |
39 |
4,353 |
63 |
4,663 |
87 |
4,638 |
111 |
4,761 |
135 |
4,788 |
159 |
4,833 |
|
16 |
4,939 |
40 |
4,700 |
64 |
4,884 |
88 |
5,135 |
112 |
5,228 |
136 |
5,260 |
160 |
5,129 |
|
17 |
6,215 |
41 |
6,132 |
65 |
5,952 |
89 |
6,352 |
113 |
6,512 |
137 |
6,584 |
161 |
6,373 |
|
18 |
7,104 |
42 |
6,818 |
66 |
7,416 |
90 |
7,365 |
114 |
7,380 |
138 |
7,485 |
162 |
7,474 |
|
19 |
6,257 |
43 |
6,066 |
67 |
6,620 |
91 |
6,476 |
115 |
6,498 |
139 |
6,580 |
163 |
6,593 |
|
20 |
5,634 |
44 |
5,487 |
68 |
5,860 |
92 |
6,030 |
116 |
5,801 |
140 |
5,854 |
164 |
5,967 |
|
21 |
4,908 |
45 |
4,667 |
69 |
5,212 |
93 |
4,880 |
117 |
5,206 |
141 |
5,208 |
165 |
5,360 |
|
22 |
4,029 |
46 |
3,997 |
70 |
4,392 |
94 |
4,234 |
118 |
4,568 |
142 |
4,399 |
166 |
4,833 |
|
23 |
3,818 |
47 |
3,616 |
71 |
3,978 |
95 |
3,775 |
119 |
3,894 |
143 |
3,985 |
167 |
4,172 |
|
24 |
3,235 |
48 |
3,090 |
72 |
3,332 |
96 |
3,377 |
120 |
3,347 |
144 |
3,551 |
168 |
3,575 |
- Sắp xếp phụ tải từng giờ theo thứ tự phụ tải từ cao xuống thấp:
|
STT |
P |
STT |
P |
STT |
P |
STT |
P |
STT |
P |
STT |
P |
STT |
P |
|
1 |
7,485 |
25 |
5,967 |
49 |
5,129 |
73 |
4,667 |
97 |
4,359 |
121 |
3,818 |
145 |
3,179 |
|
2 |
7,474 |
26 |
5,952 |
50 |
5,081 |
74 |
4,663 |
98 |
4,355 |
122 |
3,788 |
146 |
3,163 |
|
3 |
7,416 |
27 |
5,932 |
51 |
5,016 |
75 |
4,651 |
99 |
4,353 |
123 |
3,775 |
147 |
3,163 |
|
4 |
7,380 |
28 |
5,860 |
52 |
5,010 |
76 |
4,649 |
100 |
4,349 |
124 |
3,618 |
148 |
3,157 |
|
5 |
7,365 |
29 |
5,854 |
53 |
5,008 |
77 |
4,638 |
101 |
4,295 |
125 |
3,616 |
149 |
3,124 |
|
6 |
7,104 |
30 |
5,844 |
54 |
4,994 |
78 |
4,628 |
102 |
4,274 |
126 |
3,575 |
150 |
3,122 |
|
7 |
6,818 |
31 |
5,813 |
55 |
4,939 |
79 |
4,620 |
103 |
4,264 |
127 |
3,551 |
151 |
3,116 |
|
8 |
6,620 |
32 |
5,801 |
56 |
4,922 |
80 |
4,603 |
104 |
4,234 |
128 |
3,425 |
152 |
3,107 |
|
9 |
6,593 |
33 |
5,634 |
57 |
4,908 |
81 |
4,581 |
105 |
4,199 |
129 |
3,377 |
153 |
3,105 |
|
10 |
6,584 |
34 |
5,588 |
58 |
4,884 |
82 |
4,579 |
106 |
4,186 |
130 |
3,369 |
154 |
3,090 |
|
11 |
6,580 |
35 |
5,513 |
59 |
4,880 |
83 |
4,568 |
107 |
4,178 |
131 |
3,356 |
155 |
3,081 |
|
12 |
6,512 |
36 |
5,487 |
60 |
4,868 |
84 |
4,564 |
108 |
4,172 |
132 |
3,352 |
156 |
3,050 |
|
13 |
6,498 |
37 |
5,485 |
61 |
4,833 |
85 |
4,558 |
109 |
4,151 |
133 |
3,347 |
157 |
3,011 |
|
14 |
6,476 |
38 |
5,465 |
62 |
4,833 |
86 |
4,541 |
110 |
4,151 |
134 |
3,332 |
158 |
3,007 |
|
15 |
6,373 |
39 |
5,360 |
63 |
4,825 |
87 |
4,519 |
111 |
4,144 |
135 |
3,306 |
159 |
3,002 |
|
16 |
6,352 |
40 |
5,352 |
64 |
4,800 |
88 |
4,511 |
112 |
4,029 |
136 |
3,289 |
160 |
2,987 |
|
17 |
6,257 |
41 |
5,348 |
65 |
4,788 |
89 |
4,484 |
113 |
3,999 |
137 |
3,283 |
161 |
2,963 |
|
18 |
6,215 |
42 |
5,260 |
66 |
4,776 |
90 |
4,459 |
114 |
3,997 |
138 |
3,248 |
162 |
2,906 |
|
19 |
6,132 |
43 |
5,228 |
67 |
4,761 |
91 |
4,407 |
115 |
3,989 |
139 |
3,235 |
163 |
2,906 |
|
20 |
6,113 |
44 |
5,212 |
68 |
4,737 |
92 |
4,399 |
116 |
3,985 |
140 |
3,215 |
164 |
2,889 |
|
21 |
6,076 |
45 |
5,208 |
69 |
4,735 |
93 |
4,392 |
117 |
3,978 |
141 |
3,213 |
165 |
2,880 |
|
22 |
6,066 |
46 |
5,206 |
70 |
4,731 |
94 |
4,384 |
118 |
3,926 |
142 |
3,202 |
166 |
2,871 |
|
23 |
6,030 |
47 |
5,159 |
71 |
4,700 |
95 |
4,380 |
119 |
3,900 |
143 |
3,187 |
167 |
2,832 |
|
24 |
5,979 |
48 |
5,135 |
72 |
4,694 |
96 |
4,372 |
120 |
3,894 |
144 |
3,181 |
168 |
2,796 |
- Tính số giờ trong từng khối phụ tải theo quy định về số phần trăm (%) thời gian trong 01 tuần:
|
Khối (k) |
1 |
2 |
3 |
4 |
5 |
|
|
5% |
15% |
30% |
30% |
20% |
|
- giờ |
8.4 |
25.2 |
50.4 |
50.4 |
33.6 |
* Lưu ý:
- Số 8,4 giờ cho khối phụ tải thứ nhất có nghĩa: Phụ tải trong khối 1 gồm có phụ tải của 8 giờ đầu và 0,4 phụ tải của giờ thứ 9;
- Số giờ cho các khối phụ tải khác được hiểu theo nghĩa tương tự.
- Tính sản lượng từng khối phụ tải ứng với số giờ tương ứng ta sẽ được giá trị phụ tải cho từng khối phụ tải:
|
Khối (k) |
1 |
2 |
3 |
4 |
5 |
|
- MWh |
60,299 |
154,209 |
248,916 |
203,388 |
103,544 |
|
|
|
|
|
|
|
|
|
|
|
|
|
|
Phụ lục 11
PHƯƠNG PHÁP TÍNH TOÁN CÔNG SUẤT KHẢ DỤNG
TƯƠNG ĐƯƠNG NHÀ MÁY ĐIỆN
(Ban hành kèm theo Quy trình lập kế hoạch vận hành thị trường điện)
- Nguyên tắc tính toán
Việc tính toán công suất khả dụng tương đương nhà máy điện được thực hiện theo nguyên tắc công suất khả dụng tương đương của nhà máy điện trong một tuần tỉ lệ với số thời gian khả dụng của nhà máy điện (không có công tác sửa chữa) trong tuần đó.
- Trình tự thực hiện
- Cập nhật lịch sửa chữa từng tổ máy của Đơn vị phát điện;
- Tính toán số thời gian khả dụng của tổ máy trong một tuần;
- Tính toán công suất khả dụng tương đương của tổ máy trong tuần:

Trong đó:
: Công suất khả dụng tương đương của tổ máy i;
: Công suất khả dụng của tổ máy i trong giờ j, có xét đến lịch sửa chữa của tổ máy;
: Chỉ số tổ máy;
: Chỉ số giờ.
- Tính toán tổng công suất khả dụng tương đương của nhà máy:

Trong đó:
:Công suất khả dụng tương đương của nhà máy;
: Công suất khả dụng tương đương của tổ máy ;
: Số tổ máy thuộc nhà máy;
: Chỉ số tổ máy.
Phụ lục 12
SƠ ĐỒ TRÌNH TỰ TÍNH TOÁN GIÁ TRỊ NƯỚC
(Ban hành kèm theo Quy trình lập kế hoạch vận hành thị trường điện)

Phụ lục 13
SƠ ĐỒ THỰC HIỆN LỰA CHỌN NHÀ MÁY ĐIỆN MỚI TỐT NHẤT
(Ban hành kèm theo Quy trình lập kế hoạch vận hành thị trường điện)
Quá trình lựa chọn nhà máy điện mới tốt nhất

Phụ lục 14
SƠ ĐỒ THỰC HIỆN TÍNH TOÁN GIÁ CÔNG SUẤT THỊ TRƯỜNG
(Ban hành kèm theo Quy trình lập kế hoạch vận hành thị trường điện)

Phụ lục 15
BIỂU MẪU CUNG CẤP SỐ LIỆU PHỤC VỤ LỰA CHỌN
NHÀ MÁY ĐIỆN MỚI TỐT NHẤT
(Ban hành kèm theo Quy trình lập kế hoạch vận hành thị trường điện)
|
STT |
Tên nhà máy |
Thời điểm bắt đầu vận hành thương mại và phát toàn bộ công suất đặt |
Giá biến đổi năm N
|
Giá cố định năm N
|
Sản lượng điện năng thỏa thuận để tính giá hợp đồng |
Lưu ý (nếu có) |
|
(đ/kWh) |
(đ/kWh) |
(kWh) |
||||
|
|
|
|
|
|
|
|
|
|
|
|
|
|
|
|
|
|
|
|
|
|
|
|
|
|
|
|
|
|
|
|
|
|
|
|
|
|
|
|
|
|
|
|
|
|
|
|
Phụ lục 16
MÔ HÌNH MÔ PHỎNG THỊ TRƯỜNG ĐIỆN
(Ban hành kèm theo Quy trình lập kế hoạch vận hành thị trường điện)
I. Quy định chung về tính toán mô phỏng thị trường
1. Công tác tính toán mô phỏng thị trường được thực hiện theo các chu kỳ tính toán được quy định tại Chương III, Chương IV, Chương V Quy trình này.
2. Công tác tính toán mô phỏng thị trường điện được tiến hành bằng Mô hình mô phỏng thị trường điện đáp ứng các yêu cầu kỹ thuật quy định tại Mục II Phụ lục này.
3. Đơn vị vận hành hệ thống điện và thị trường điện có trách nhiệm thu thập, chuẩn bị số liệu đầu vào cần thiết, tiến hành tính toán mô phỏng, xuất kết quả và kiểm tra kết quả thu được.
4. Khi có điều chỉnh, sửa đổi liên quan đến thuật toán, Mô hình mô phỏng thị trường phải được kiểm toán theo quy định tại Điều 113 Thông tư số 45/2018/TT-BCT. Sau khi có kết quả kiểm toán, Đơn vị vận hành hệ thống điện và thị trường điện có trách nhiệm trình Cục Điều tiết điện lực để thông qua các điều chỉnh, sửa đổi Mô hình mô phỏng thị trường.
5. Đơn vị vận hành hệ thống điện và thị trường điện có trách nhiệm công bố thuật toán và các điều chỉnh, sửa đổi này lên Hệ thống thông tin thị trường sau khi được Cục Điều tiết điện lực thông qua theo quy định tại Quy trình quản lý vận hành hệ thống thông tin điều hành thị trường điện và công bố thông tin thị trường điện do Cục Điều tiết điện lực ban hành.
II. Các yêu cầu về mô hình mô phỏng thị trường điện
Mô hình mô phỏng thị trường điện phải đáp ứng các yêu cầu sau đây:
1. Tính toán tối ưu huy động nguồn phối hợp thuỷ - nhiệt điện trong hệ thống điện được mô phỏng như quy định tại Mục III, Mục V và Mục VI Phụ lục này.
2. Đảm bảo mô phỏng được trạng thái vận hành của hệ thống điện với các thông số đầu vào tối thiểu quy định tại Mục V và Mục VI Phụ lục này; thời gian tính toán phải đáp ứng được các yêu cầu của Đơn vị vận hành hệ thống điện và thị trường điện.
3. Chu kỳ tính toán có thể thay đổi được từ 01 ngày đến 01 năm.
4. Có khả năng lựa chọn chạy với kịch bản Lập lịch có ràng buộc và kịch bản Lập lịch không ràng buộc.
5. Có khả năng lựa chọn chạy với kịch bản có tính đến tổn thất truyền tải và không tính đến tổn thất truyền tải.
6. Có khả năng mô phỏng giới hạn nhiên liệu của từng nhà máy điện và/hoặc cụm các nhà máy điện trong các giai đoạn cụ thể.
7. Độ phân giải của kết quả đầu ra tối thiểu phải chi tiết đến 60 phút.
8. Việc nhập số liệu đầu vào và kết xuất kết quả của Mô hình mô phỏng thị trường điện phải được thực hiện dễ dàng và giao tiếp được với các phần mềm và định dạng cơ sở dữ liệu phổ thông khác như Microsoft Excel, SQL, Oracle, Access và các định dạng khác theo yêu cầu thực tế vận hành thị trường điện hoặc theo yêu cầu của Cục Điều tiết điện lực.
III. Hàm mục tiêu Mô hình mô phỏng thị trường điện
Hàm mục tiêu Mô hình mô phỏng thị trường điện là tối thiểu tổng chi phí mua điện cho toàn bộ chu kỳ tính toán. Tổng chi phí mua điện trong chu kỳ tính toán được xác định theo công thức sau:
Chi phí tổng = Chi phí nhiệt điện + Chi phí khởi động + Chi phí thủy điện + Chi phí cho dự phòng quay và điều tần + Chi phí phạt vi phạm ràng buộc + Chi phí điều chỉnh
Trong đó:
-Chi phí nhiệt điện: Là tổng chi phí mua điện từ các nhà máy nhiệt điện, được tính toán căn cứ trên chi phí biến đổi của các tổ máy nhiệt điện (đồng);
-Chi phí khởi động: Là tổng chi phí tương ứng với từng trạng thái khởi động của các nhà máy nhiệt điện thực hiện trong chu kỳ tính toán (đồng);
-Chi phí thủy điện: Là tổng chi phí mua điện từ các nhà máy thuỷ điện, được tính theo bản chào của các nhà máy thuỷ điện này (đồng);
-Chi phí cho dự phòng quay và điều tần: Là tổng chi phí cho các dịch vụ dự phòng quay và điều tần (đồng);
-Chi phí phạt vi phạm ràng buộc: Là tổng chi phí khi vi phạm ràng buộc của các biến (đồng);
-Chi phí điều chỉnh: Là tổng chi phí được sử dụng để cải thiện hoạt động của một số biến xác định (đồng).
IV. Mô phỏng thị trường điện
Việc tính toán mô phỏng thị trường điện phải mô phỏng những số liệu đầu vào sau đây:
1. Mô phỏng hệ thống điện
a) Mô phỏng các vùng trong hệ thống điện theo quy định tại Khoản 1 Mục VI Phụ lục này;
b) Mô phỏng phụ tải hệ thống điện theo quy định tại Khoản 2 Mục VI Phụ lục này;
c) Mô phỏng các ràng buộc của hệ thống điện theo quy định tại Khoản 4 Mục V Quy trình này;
d) Điện năng xuất khẩu tại một nút được mô phỏng thành lượng phụ tải cộng thêm tại nút đó với biểu đồ cố định cho trước.
2. Mô phỏng tổ máy
a) Mô phỏng tổ máy nhiệt điện theo quy định tại Khoản 3 Mục VI Phụ lục này;
b) Mô phỏng tổ máy thuỷ điện theo quy định tại Khoản 4 Mục VI Phụ lục này;
c) Mô phỏng các ràng buộc đặc tính kỹ thuật tổ máy theo quy định tại Khoản 5 Mục V Phụ lục này;
d) Tổ máy đang sửa chữa hoặc chưa đưa vào vận hành được mô phỏng thành tổ máy không có khả năng phát công suất trong thời gian tương ứng;
đ) Tổ máy trong giai đoạn chạy thử nghiệm thu hoặc thí nghiệm có biểu đồ cố định được mô phỏng thành tổ máy bắt buộc phải nối lưới và phát công suất theo biểu đồ cho trước;
e) Điện năng nhập khẩu tại một nút được mô phỏng thành tổ máy bắt buộc phải nối lưới và phát công suất theo biểu đồ cho trước.
3. Chi phí biến đổi của từng tổ máy trong chu kỳ tính toán
4. Mô phỏng thuỷ văn, hồ chứa và dòng chảy
a) Mô phỏng đặc tính thuỷ văn, hồ chứa và cấu trúc dòng chảy theo quy định tại Khoản 5 Mục VI Phụ lục này;
b) Mô phỏng các ràng buộc về thuỷ năng theo quy định tại Khoản 6 Mục V Phụ lục này.
5. Mô phỏng hệ thống cung cấp nhiên liệu
a) Mô phỏng hệ thống cung cấp nhiên liệu theo quy định tại Khoản 7 Mục VI Phụ lục này;
b) Mô phỏng các ràng buộc của hệ thống cung cấp nhiên liệu theo quy định tại Khoản 7 Mục V Phụ lục này.
6. Mô phỏng đường dây liên kết
a) Mô phỏng đường dây liên kết theo quy định tại Khoản 6 Mục VI Phụ lục này;
b) Mô phỏng các ràng buộc của mỗi đường dây liên kết theo quy định tại Khoản 8 Mục V Phụ lục này;
c) Đường dây liên kết trong giai đoạn sửa chữa được mô phỏng thành đường dây không thể truyền tải công suất hoặc ràng buộc giới hạn truyền tải tối đa được giảm tương ứng.
7. Mô phỏng dự phòng quay và điều tần
a) Mô phỏng dự phòng quay và điều tần theo quy định tại Khoản 8 Mục VI Phụ lục này;
b) Mô phỏng các ràng buộc về dự phòng quay và điều tần theo quy định tại Khoản 1 Mục V Phụ lục này.
V. Các ràng buộc của Mô hình mô phỏng thị trường điện
1. Mô hình mô phỏng thị trường điện phải mô tả được tối thiểu các ràng buộc của hệ thống điện theo quy định tại Khoản 6, Khoản 7, Khoản 8, Khoản 9 và Khoản 10 Mục này. Trường hợp thay đổi các ràng buộc của Mô hình mô phỏng thị trường điện, Đơn vị vận hành hệ thống điện và thị trường điện có trách nhiệm tính toán phân tích để các ràng buộc phản ánh đúng bản chất vật lý của hệ thống điện.
2. Trường hợp các ràng buộc bị vi phạm, Mô hình mô phỏng thị trường điện phải đưa ra các thông tin về mức độ vi phạm và đối tượng vi phạm.
3. Mỗi ràng buộc đều phải có các hệ số chi phí phạt vi phạm ràng buộc phù hợp với các kịch bản mô phỏng thị trường điện do Đơn vị vận hành hệ thống điện và thị trường điện xác định.
4. Ràng buộc về hệ thống điện
a) Ràng buộc cân bằng nguồn - tải: Thể hiện tương quan giữa tổng công suất nguồn phát luôn cân bằng với tổng công suất phụ tải (bao gồm cả tổn thất) tại bất kỳ thời điểm nào trong chu kỳ tính toán;
b) Ràng buộc công suất nhóm tổ máy: Mô tả ràng buộc về lượng công suất có thể phát tối đa (hoặc tối thiểu) của một nhóm tổ máy, bao gồm các dữ liệu sau:
-Tên các tổ máy trong nhóm;
-Giá trị công suất giới hạn của nhóm tổ máy tương ứng;
-Khoảng thời gian diễn ra ràng buộc trong chu kỳ tính toán.
5. Ràng buộc về đặc tính kỹ thuật tổ máy
a) Giới hạn công suất phát tối đa (MW);
b) Giới hạn công suất phát tối thiểu (MW);
c) Giới hạn vùng cấm tổ máy (MW);
d) Giới hạn khả năng tăng tải (MW/phút);
đ) Giới hạn khả năng giảm tải (MW/phút);
e) Giới hạn số giờ ngừng máy tối thiểu (giờ);
g) Giới hạn số giờ chạy máy tối thiểu (giờ);
h) Số lần khởi động tối đa trong một khoảng thời gian nhất định;
i) Giới hạn tổng sản lượng phát của tổ máy, nhà máy trong một chu kỳ thời gian nhất định. Chu kỳ thời gian có thể là một ngày (MWh/ngày), một tuần (MWh/tuần) hay một tháng (MWh/tháng).
6. Ràng buộc về thuỷ năng
a) Ràng buộc cân bằng nước: Xét tại một chu kỳ bất kỳ, tại một hồ thuỷ điện bất kỳ phải đảm bảo phương trình cân bằng nước như sau:
Vđầu + Vvề = V cuối + V chạy máy + V xả + V bốc hơi
Trong đó:
-Vđầu: Tổng lượng nước trong hồ tại đầu chu kỳ (m3);
-Vvề: Tổng lượng nước về hồ trong chu kỳ (m3);
-Vcuối: Tổng lượng nước trong hồ tại cuối chu kỳ (m3);
-Vxả: Tổng lượng nước xả trong chu kỳ (m3);
-Vtổn thất: Tổng lượng nước bốc hơi và các hao hụt vật lý khác (m3).
b) Ràng buộc mực nước cuối chu kỳ tính toán (m). Ràng buộc này có thể đưa dưới dạng thể tích hồ cuối chu kỳ tính toán (m3);
c) Giới hạn lượng nước tối thiểu, tối đa trong hồ tại từng thời điểm tính toán (m3). Ràng buộc này có thể được thể hiện dưới dạng giới hạn mực nước hồ tối thiểu, tối đa trong hồ tại từng thời điểm tính toán (m);
d) Giới hạn lượng nước xả xuống hạ lưu qua cửa xả tối thiểu, tối đa tại từng thời điểm tính toán (m3/s);
đ) Giới hạn tổng lượng nước xả xuống hạ lưu (qua cửa xả và qua tuabin) tối thiểu, tối đa tại từng thời điểm tính toán (m3/s);
e) Giới hạn mực nước thượng lưu tối thiểu, tối đa tại từng thời điểm tính toán (m);
g) Giới hạn mực nước hạ lưu tối thiểu, tối đa tại từng thời điểm tính toán (m).
7. Ràng buộc về hệ thống cung cấp nhiên liệu
Mỗi hệ thống cung cấp nhiên liệu phải đáp ứng các ràng buộc sau:
a) Giới hạn cung cấp nhiên liệu của toàn hệ thống cung cấp nhiên liệu và cho từng nhà máy trong hệ thống cung cấp nhiên liệu theo từng chu kỳ giao dịch (BTU/giờ hoặc tương đương);
b) Giới hạn cung cấp nhiên liệu của toàn hệ thống cung cấp nhiên liệu và cho từng nhà máy trong hệ thống cung cấp nhiên liệu tại từng chu kỳ thời gian (BTU/giờ hoặc tương đương). Chu kỳ thời gian có thể là 01 ngày, 01 tuần hoặc 01 tháng;
c) Giới hạn trao đổi nhiên liệu của đường kết nối với hệ thống cung cấp nhiên liệu khác (BTU/giờ hoặc tương đương).
8. Ràng buộc về điện năng đảm bảo của các nhà máy thủy điện tại từng chu kỳ tính toán (kWh).
9. Ràng buộc về đường dây liên kết
a) Giới hạn khả năng truyền tải tối đa từ nút đầu đến nút cuối tại từng thời điểm tính toán (MW);
b) Giới hạn khả năng truyền tải tối đa từ nút cuối đến nút đầu tại từng thời điểm tính toán (MW);
c) Giới hạn công suất của một đường dây truyền tải là giá trị giới hạn nhiệt hoặc giá trị giới hạn ổn định tĩnh của đường dây tuỳ theo giá trị nào nhỏ hơn;
d) Khả năng truyền tải tối đa của đường dây liên kết là giá trị lớn nhất của tổng công suất các đường dây truyền tải cấu thành tương ứng khi một trong số các đường dây truyền tải này đạt mức giới hạn công suất.
10. Ràng buộc về công suất đáp ứng các dịch vụ phụ trợ
a) Tổng công suất dự phòng quay do các tổ máy cung cấp phải lớn hơn hoặc bằng yêu cầu tổng công suất dự phòng quay của toàn hệ thống hoặc tại nút quy định;
b) Tổng công suất dành cho điều tần do các tổ máy cung cấp phải lớn hơn hoặc bằng yêu cầu tổng công suất dành cho điều tần của toàn hệ thống.
VI. Mô hình hệ thống điện trong Mô hình mô phỏng thị trường điện
Mô hình mô phỏng thị trường điện phải mô phỏng được hệ thống điện tối thiểu với các yếu tố sau đây:
1. Mô phỏng các vùng trong hệ thống điện
a) Chương trình mô phỏng hệ thống điện thành những vùng đặc trưng bởi từng nút liên kết với nhau bằng các đường dây truyền tải. Số nút tối thiểu được mô phỏng là 03 (ba) nút và phải có khả năng mở rộng khi cần thiết;
b) Mỗi nút có một phụ tải đặc trưng và mô tả các nhà máy điện, tổ máy điện kết nối vào nút đó.
2. Mô phỏng phụ tải hệ thống điện
Phụ tải điện đặc trưng cho nhu cầu sử dụng điện tại mỗi nút được dự báo theo từng 30 phút hoặc 60 phút của chu kỳ tính toán (MW).
3. Mô phỏng tổ máy nhiệt điện
a) Vị trí đặt (thuộc nút nào trong mô phỏng các vùng trong hệ thống điện);
b) Công suất hữu công định mức (MW);
c) Thời gian khởi động ứng với tối thiểu ba trạng thái nóng, ấm và lạnh (phút);
d) Trạng thái tổ máy: Mỗi tổ máy có thể được mô phỏng tại một trong các trạng thái sau:
-Tổ máy có thể phát công suất;
-Tổ máy không thể phát công suất;
-Tổ máy bắt buộc phải nối lưới và công suất phát phải lớn hơn hoặc bằng công suất tối thiểu;
-Tổ máy được huy động nhưng có giới hạn về sản lượng trong một khoảng thời gian nhất định;
-Tổ máy bắt buộc phải nối lưới và phát công suất theo biểu đồ cho trước.
đ) Suất hao nhiệt (BTU/kWh hoặc kCal/kWh) và nguồn nhiên liệu sử dụng (chỉ rõ tên hệ thống cung cấp nhiên liệu);
e) Xác suất ngừng máy sự cố (%);
g) Chi phí biến đổi của tổ máy được xác định theo quy định tại Khoản 3, Điều 17 Thông tư số 45/2018/TT-BCT;
h) Chi phí khởi động của tổ máy (tương ứng với các trạng thái khởi động nóng, ấm, lạnh) (đồng/lần).
4. Mô phỏng tổ máy thuỷ điện
a) Vị trí đặt (thuộc nút nào trong mô phỏng các vùng trong hệ thống điện) và các đặc tính thuỷ văn tương ứng của lưu vực sông, hồ, đập thuỷ điện được quy định tại Khoản 5 Điều này;
b) Công suất hữu công định mức (MW);
c) Quan hệ giữa cột áp và công suất hữu công khả dụng;
d) Thời gian khởi động (phút);
đ) Trạng thái tổ máy: Mỗi tổ máy có thể được mô phỏng tại một trong các trạng thái sau:
-Tổ máy có thể phát công suất;
-Tổ máy không thể phát công suất;
-Tổ máy bắt buộc phải nối lưới và công suất phát phải lớn hơn hoặc bằng công suất tối thiểu;
-Tổ máy bắt buộc phải nối lưới và phát công suất theo biểu đồ cho trước.
e) Hệ số phát điện (MW/(m3/s));
g) Xác suất ngừng máy sự cố (%);
h) Quan hệ lưu lượng chạy máy với công suất tại các cột áp khác nhau cho tất cả các tổ máy và với riêng từng tổ máy;
5. Mô phỏng thuỷ văn, hồ chứa và dòng chảy
a) Lưu lượng nước về hồ thuỷ điện tại từng giờ trong chu kỳ tính toán (m3/s);
b) Mực nước dâng bình thường (m);
c) Mực nước chết (m);
d) Mực nước đầu chu kỳ tính toán (m);
đ) Hệ số bốc hơi (m3/s);
e) Cấu hình dòng chảy của các nhà máy thủy điện trên cùng một hệ thống sông: Thể hiện sự liên kết giữa các hồ và các đặc tính dòng chảy giữa các hồ; cũng như các ảnh hưởng của sự liên kết, đặc tính này đến khả năng phát điện và lượng nước trong hồ của các nhà máy thuỷ điện trên những dòng chảy đó;
g) Các yêu cầu về lượng nước phải đưa xuống hạ lưu (để phục vụ cho giao thông thủy, tưới tiêu và các yêu cầu khác nếu có) qua cửa xả và/hoặc qua tuabin;
h) Quan hệ giữa thể tích hồ và hệ số phát điện của nhà máy, tổ máy thuỷ điện tương ứng;
i) Quan hệ giữa thể tích hồ và mực nước thượng lưu nhà máy thuỷ điện tương ứng;
k) Quan hệ giữa mực nước hạ lưu và lưu lượng chạy máy của nhà máy thuỷ điện tương ứng.
6. Mô phỏng đường dây liên kết
Đường dây liên kết trong Mô hình mô phỏng thị trường là tập hợp của các đường dây truyền tải nối các vùng tương ứng và phải được mô tả các đặc tính sau đây:
a) Điểm đầu, điểm cuối của đường dây liên kết;
b) Quan hệ giữa tổn thất truyền tải và trào lưu truyền tải (%); tổn thất truyền tải được tính cộng vào phụ tải;
c) Trạng thái đường dây liên kết: Mỗi đường dây liên kết có thể được mô phỏng tại một trong các trạng thái sau:
d) Đường dây có thể truyền tải công suất;
đ) Đường dây không thể truyền tải công suất.
7. Mô phỏng về hệ thống cung cấp nhiên liệu cho các nhà máy nhiệt điện
Mô hình mô phỏng thị trường điện phải mô tả được hệ thống cung cấp nhiên liệu cho các nhà máy nhiệt điện với các đặc tính sau đây:
a) Nhiệt trị nhiên liệu trung bình (BTU/m3 hoặc BTU/kg hoặc tương đương);
b) Các nhà máy, tổ máy nhận nhiên liệu sơ cấp từ hệ thống cung cấp nhiên liệu;
c) Cấu hình kết nối các nhà máy, tổ máy nhận nhiên liệu sơ cấp từ hệ thống cung cấp nhiên liệu;
d) Khả năng kết nối với hệ thống cung cấp nhiên liệu khác.
8. Mô phỏng dự phòng quay và điều tần
Mô hình mô phỏng thị trường phải mô phỏng được lượng công suất dành cho dự phòng quay và điều tần, tối thiểu bao gồm:
a) Tổng nhu cầu công suất cho dự phòng quay và điều tần tại từng bước tính toán;
b) Danh sách các tổ máy tham gia cung cấp dịch vụ dự phòng quay và điều tần (bao gồm lượng công suất và khả năng tăng, giảm công suất khi đáp ứng các dịch vụ này).
VII. Kết quả đầu ra của Mô hình mô phỏng thị trường điện
Mô hình mô phỏng thị trường điện cho mỗi chu kỳ tính toán (chu kỳ tính toán có thể là 01 ngày, 01 tuần, 01 tháng hoặc 01 năm tuỳ theo dữ kiện xác định ban đầu) phải đưa ra được tối thiểu các kết quả sau:
1. Giá biên từng chu kỳ giao dịch của từng nút theo kịch bản mô phỏng Lập lịch có ràng buộc (đồng/kWh).
2. Giá biên từng chu kỳ giao dịch của toàn hệ thống điện theo kịch bản mô phỏng Lập lịch không ràng buộc (đồng/kWh).
3. Giá điện năng thị trường dự kiến.
4. Kết quả của tổ máy thuỷ điện và hồ chứa
a) Mực nước thượng lưu, hạ lưu của mỗi hồ thuỷ điện từng chu kỳ giao dịch trong chu kỳ tính toán (m);
b) Lưu lượng chạy máy từng chu kỳ giao dịch của từng nhà máy/tổ máy (m3/s);
c) Lưu lượng xả từng chu kỳ giao dịch của từng nhà máy/tổ máy (m3/s);
d) Sản lượng điện của nhà máy, tổ máy từng chu kỳ giao dịch (MWh);
đ) Công suất dự phòng quay của tổ máy trong từng chu kỳ giao dịch trong chu kỳ tính toán (MW);
e) Công suất dành cho điều tần của tổ máy trong từng chu kỳ giao dịch trong chu kỳ tính toán (MW);
g) Giá trị điện năng hiệu dụng của từng tổ máy (đồng/kWh).
5. Kết quả của tổ máy nhiệt điện và hệ thống cung cấp nhiên liệu
a) Tổng lượng nhiên liệu tiêu thụ từng chu kỳ giao dịch của từng nhà máy và mỗi hệ thống cung cấp nhiên liệu;
b) Sản lượng điện của nhà máy, tổ máy từng chu kỳ giao dịch (MWh);
c) Công suất dự phòng quay của tổ máy trong từng chu kỳ giao dịch trong chu kỳ tính toán (MW);
d) Công suất dành cho điều tần của tổ máy trong từng chu kỳ giao dịch trong chu kỳ tính toán (MW).
Phụ lục 17
MÔ HÌNH TÍNH TOÁN GIÁ TRỊ NƯỚC
(Ban hành kèm theo Quy trình lập kế hoạch vận hành thị trường điện)
I. Nguyên tắc tính toán giá trị nước
1. Giá trị nước được tính toán, xác định đến độ phân giải từng tuần cho các hồ thủy điện có khả năng điều tiết trên một tuần trong hệ thống điện quốc gia.
2. Tính toán giá trị nước cho các hồ thủy điện bao gồm tính toán giá trị nước cho các tuần trong năm tới, tháng tới và giá trị nước tuần tới.
3. Mô hình tính toán giá trị nước là hệ thống phần mềm tính toán phối hợp tối ưu thủy nhiệt điện được sử dụng để tính toán giá trị nước với chu kỳ tính toán tối thiểu là 01 năm và độ phân giải tối thiểu là 05 năm khối phụ tải một tuần.
4. Bài toán phối hợp tối ưu thủy nhiệt điện trong mô hình tính toán giá trị nước đáp ứng các yêu cầu sau:
a) Hàm mục tiêu của bài toán phối hợp tối ưu thủy nhiệt điện trong mô hình tính toán giá trị nước là tối thiểu hóa tổng chi phí biến đổi của các nhà máy nhiệt điện và các khoản tiền phạt vi phạm ràng buộc trong một chu kỳ tính toán trên toàn hệ thống được mô tả chi tiết tại Mục III Phụ lục này;
b) Bài toán phối hợp tối ưu thủy nhiệt điện trong mô hình tính toán giá trị nước phải mô phỏng được các ràng buộc trong vận hành nhà máy điện và hệ thống điện.
II. Mô hình tính toán giá trị nước
1. Mô hình tính toán giá trị nước là hệ thống phần mềm tính toán phối hợp tối ưu thủy nhiệt điện được sử dụng để tính toán giá trị nước với chu kỳ tính toán tối thiểu là 01 năm và độ phân giải tối thiểu là 05 năm khối phụ tải một tuần.
2. Bài toán phối hợp tối ưu thủy nhiệt điện trong mô hình tính toán giá trị nước đáp ứng các yêu cầu sau:
a) Hàm mục tiêu của bài toán phối hợp tối ưu thủy nhiệt điện trong mô hình tính toán giá trị nước là tối thiểu hóa tổng chi phí biến đổi của các nhà máy nhiệt điện và các khoản tiền phạt vi phạm ràng buộc trong một chu kỳ tính toán trên toàn hệ thống được mô tả chi tiết tại Phụ lục 1 Quy trình này;
b) Bài toán phối hợp tối ưu thủy nhiệt điện trong mô hình tính toán giá trị nước phải mô phỏng được các ràng buộc trong vận hành nhà máy điện và hệ thống điện.
III. Số liệu đầu vào phục vụ tính toán giá trị nước
Đơn vị vận hành hệ thống điện và thị trường điện có trách nhiệm thu thập và cập nhật số liệu để tiến hành tính toán giá trị nước theo quy định tại Mục 2 Chương II Quy trình này.
IV. Hàm mục tiêu của bài toán phối hợp tối ưu thủy nhiệt điện trong mô hình tính toán giá trị nước
Hàm mục tiêu của bài toán phối hợp tối ưu thủy nhiệt điện trong mô hình tính toán giá trị nước là tối thiểu hóa tổng chi phí biến đổi của các nhà máy nhiệt điện và các khoản tiền phạt vi phạm ràng buộc trong một chu kỳ tính toán trên toàn hệ thống.
Mô hình tính toán giá trị nước tiếp cận bài toán phối hợp tối ưu thủy nhiệt điện theo hướng phân tích Tổng chi phí biến đổi thành chi phí vận hành tức thời và chi phí vận hành tương lai. Từ đó, hàm mục tiêu của bài toán phối hợp tối ưu thủy - nhiệt điện là tối thiểu hóa tổng của chi phí vận hành tức thời và chi phí vận hành tương lai.

Trong đó:
|
TC : |
Tổng chi phí biến đổi trong toàn chu kỳ tính toán; |
|
ICF : |
Hàm chi phí tức thời: |
|
|
|
|
K : |
Số khối phụ tải; |
|
J : |
Số nhà máy nhiệt điện; |
|
|
Chi phí vận hành nhà máy nhiệt điện j ($/MWh); |
|
|
Điện năng phát của nhà máy trong khối phụ tải trong giai đoạn (MWh); |
|
|
Hệ số vi phạm ràng buộc vận hành; |
|
|
Lượng ràng buộc vi phạm trong giai đoạn ; |
|
FCF : |
Hàm chi phí tương lai: |
|
|
|
|
|
Chi phí tương lai, tính từ giai đoạn đến cuối chu kỳ tính toán; |
|
|
Thể tích hồ chứa vào thời điểm cuối giai đoạn (106 m3 ); |
|
|
Lượng nước về hồ trong giai đoạn (106 m3 ). |
V. Ràng buộc của bài toán phối hợp tối ưu thủy - nhiệt điện trong mô hình tính toán giá trị nước
Các ràng buộc trong mô hình tính toán giá trị nước được phân làm hai loại như sau:
1. Ràng buộc bắt buộc
a) Phương trình cân bằng nước;
b) Giới hạn thể tích hồ chứa;
c) Lưu lượng chạy máy tối đa nhà máy thủy điện;
d) Lưu lượng chạy máy tối thiểu nhà máy thủy điện;
đ) Giới hạn công suất phát tối đa nhà máy nhiệt điện;
e) Phương trình cân bằng nguồn - tải;
g) Giới hạn công suất truyền tải trên đường dây liên kết.
2. Ràng buộc tùy chọn
a) An ninh hồ chứa thủy điện (thể tích báo động, thể tích điều tiết lũ, thể tích đảm bảo);
b) Giới hạn tổng lượng nước chảy xuống hạ lưu (nước chạy máy và nước xả);
c) Khả năng điều tiết của các thủy điện dòng sông;
d) Tưới tiêu phục vụ nông nghiệp;
đ) Nhà máy nhiệt điện phải phát;
e) Giới hạn nhiên liệu cung cấp cho nhà máy nhiệt điện;
g) Công suất phát tối thiểu của một nhóm nhà máy nhiệt điện;
h) Giới hạn công suất phát của một nhóm nhà máy (cả thủy điện, nhiệt điện);
i) Nhà máy nhiệt điện với nhiều loại nhiên liệu;
k) Huy động tổ máy nhiệt điện (theo từng giai đoạn, theo từng khối tải).
Bạn chưa Đăng nhập thành viên.
Đây là tiện ích dành cho tài khoản thành viên. Vui lòng Đăng nhập để xem chi tiết. Nếu chưa có tài khoản, vui lòng Đăng ký tại đây!
Bạn chưa Đăng nhập thành viên.
Đây là tiện ích dành cho tài khoản thành viên. Vui lòng Đăng nhập để xem chi tiết. Nếu chưa có tài khoản, vui lòng Đăng ký tại đây!


