- Tổng quan
- Nội dung
- VB gốc
- Tiếng Anh
- Hiệu lực
- VB liên quan
- Lược đồ
-
Nội dung hợp nhất
Tính năng này chỉ có tại LuatVietnam.vn. Nội dung hợp nhất tổng hợp lại tất cả các quy định còn hiệu lực của văn bản gốc và các văn bản sửa đổi, bổ sung, đính chính... trên một trang. Việc hợp nhất văn bản gốc và những văn bản, Thông tư, Nghị định hướng dẫn khác không làm thay đổi thứ tự điều khoản, nội dung.
Khách hàng chỉ cần xem Nội dung hợp nhất là có thể nắm bắt toàn bộ quy định hiện hành đang áp dụng, cho dù văn bản gốc đã qua nhiều lần chỉnh sửa, bổ sung.
- Tải về
Công văn 709/CHHVN-VPIMO 2021 về việc phổ biến các Nghị quyết IMO tại kỳ họp MEPC lần thứ 75
| Cơ quan ban hành: | Cục Hàng hải Việt Nam |
Số công báo:
Số công báo là mã số ấn phẩm được đăng chính thức trên ấn phẩm thông tin của Nhà nước. Mã số này do Chính phủ thống nhất quản lý.
|
Đang cập nhật |
| Số hiệu: | 709/CHHVN-VPIMO | Ngày đăng công báo: | Đang cập nhật |
| Loại văn bản: | Công văn | Người ký: | Hoàng Hồng Giang |
| Trích yếu: | Về việc phổ biến các Nghị quyết IMO tại kỳ họp MEPC lần thứ 75 | ||
|
Ngày ban hành:
Ngày ban hành là ngày, tháng, năm văn bản được thông qua hoặc ký ban hành.
|
24/02/2021 |
Ngày hết hiệu lực:
Ngày hết hiệu lực là ngày, tháng, năm văn bản chính thức không còn hiệu lực (áp dụng).
|
Đang cập nhật |
|
Áp dụng:
Ngày áp dụng là ngày, tháng, năm văn bản chính thức có hiệu lực (áp dụng).
|
Đã biết
|
Tình trạng hiệu lực:
Cho biết trạng thái hiệu lực của văn bản đang tra cứu: Chưa áp dụng, Còn hiệu lực, Hết hiệu lực, Hết hiệu lực 1 phần; Đã sửa đổi, Đính chính hay Không còn phù hợp,...
|
Đã biết
|
| Lĩnh vực: | Hàng hải | ||
TÓM TẮT CÔNG VĂN 709/CHHVN-VPIMO
Nội dung tóm tắt đang được cập nhật, Quý khách vui lòng quay lại sau!
Tải Công văn 709/CHHVN-VPIMO
| BỘ GIAO THÔNG VẬN TẢI | CỘNG HÒA XÃ HỘI CHỦ NGHĨA VIỆT NAM |
| Số: 709/CHHVN-VPIMO | Hà Nội, ngày 24 tháng 02 năm 2021 |
Kính gửi: Các thành viên Ban Thư ký IMO Việt Nam
Tại kỳ họp lần thứ 75, Ủy ban Bảo vệ môi trường biển (MEPC) thông qua Nghị quyết MEPC.326 (75) và MEPC.327 (75), cụ thể như sau:
- Nghị quyết MEPC.326 (75) về ban hành Hướng dẫn 2020 về giám sát hàm lượng lưu huỳnh trung bình toàn cầu của dầu nhiên liệu sử dụng trên tàu (thay thế Hướng dẫn 2010 về giám sát hàm lượng lưu huỳnh trung bình toàn cầu của dầu nhiên liệu sử dụng trên tàu, ban hành kèm theo Nghị quyết MEPC.192 (61).
- Nghị quyết MEPC.327 (75) về Khuyến khích các quốc gia thành viên xây dựng và đệ trình kế hoạch hành động tự nguyện của quốc gia để giải quyết giảm phát thải GHG từ tàu.
Cục Hàng hải Việt Nam trân trọng gửi Quý thành viên 02 Nghị quyết nêu trên để nghiên cứu, đề xuất triển khai thực hiện (bản gốc và bản dịch tiếng Việt để tham khảo kèm theo).
Trân trọng thông báo và cảm ơn sự phối hợp chặt chẽ của Quý thành viên./.
| Nơi nhận: | KT. CỤC TRƯỞNG |
PHỤ LỤC
DANH SÁCH THÀNH VIÊN BAN THƯ KÝ IMO VIỆT NAM
(Kèm theo Công văn số 709/CHHVN-VPIMO ngày 24 tháng 02 năm 2021
của Cục Hàng hải Việt Nam)
| STT | TÊN THÀNH VIÊN | CHỨC VỤ | CƠ QUAN |
| 1. | NGUYỄN NHẬT | Tổng Thư ký | Thứ trưởng Bộ Giao thông Vận tải |
| 2. | NGUYỄN XUÂN SANG | Phó Tổng Thư ký | Cục trưởng Cục Hàng hải Việt Nam |
| 3. | TRẦN KỲ HÌNH | Phó Tổng Thư ký | Cục trưởng Cục Đăng kiểm Việt Nam |
| 4. | LÊ TUẤN ANH | Phó Tổng Thư ký | Vụ trưởng Vụ Hợp tác quốc tế, Bộ GTVT |
| 5. | TRẦN BẢO NGỌC | Ủy viên Ban Thư ký | Vụ trưởng Vụ Vận tải, Bộ GTVT |
| 6. | TRẦN ÁNH DƯƠNG | Ủy viên Ban Thư ký | Vụ trưởng Vụ Môi trường, Bộ GTVT |
| 7. | NGUYỄN VĂN THẠCH | Ủy viên Ban Thư ký | Vụ trưởng Vụ An toàn giao thông, Bộ GTVT |
| 8. | NGUYỄN HỒNG VIỆT | Ủy viên Ban Thư ký | Phó Vụ trưởng Vụ Pháp chế, Bộ GTVT |
| 9. | ĐÀO THANH THẢO | Ủy viên Ban Thư ký | Phó Vụ trưởng Vụ Tài chính, Bộ GTVT |
| 10. | TRẦN VIỆT HÀ | Ủy viên Ban Thư ký | Phó Vụ trưởng Vụ Hợp tác quốc tế, Bộ GTVT |
| 11. | HOÀNG HỒNG GIANG | Ủy viên Ban Thư ký | Phó Cục trưởng Cục Hàng hải Việt Nam |
| 12. | PHẠM XUÂN DƯƠNG | Ủy viên Ban Thư ký | Hiệu trưởng Trường Đại học Hàng hải Việt Nam |
| 13. | NGUYỄN CẢNH TĨNH | Ủy viên Ban Thư ký | Quyền Tổng Giám đốc, Tổng công ty Hàng hải Việt Nam |
| 14. | ĐỒNG TRUNG KIÊN | Ủy viên Ban Thư ký | Tổng Giám đốc Tổng công ty Bảo đảm An toàn hàng hải miền Bắc |
| 15. | PHAN NGỌC QUANG | Ủy viên Ban Thư ký | Tổng Giám đốc Công ty TNHH MTV Thông tin điện tử Hàng hải Việt Nam |
| BẢN DỊCH |
NGHỊ QUYẾT MEPC.326(75)
(thông qua ngày 20/11/2020)
HƯỚNG DẪN 2020 VỀ GIÁM SÁT HÀM LƯỢNG LƯU HUỲNH TRUNG BÌNH
TOÀN CẦU CỦA DẦU NHIÊN LIỆU SỬ DỤNG TRÊN TÀU
ỦY BAN BẢO VỆ MÔI TRƯỜNG BIỂN
NHẮC LẠI Điều 38(a) của Công ước IMO về chức năng của Ủy ban bảo vệ môi trường biển (sau đây gọi tắt là Ủy ban) là ngăn ngừa và kiểm soát ô nhiễm từ tàu biển,
NHẮC LẠI tại phiên họp thứ 61, Ủy ban đã thông qua Nghị quyết MEPC.192 (61) về Hướng dẫn 2010 về giám sát hàm lượng lưu huỳnh trung bình toàn cầu từ dầu nhiên liệu được sử dụng trên tàu,
NHẮC LẠI tại phiên họp thứ 70, Ủy ban đã thông qua Nghị quyết MEPC.280 (70) về Ngày bắt đầu hiệu lực đối với tiêu chuẩn dầu nhiên liệu theo quy định 14.1.3 của Phụ lục VI MARPOL, khẳng định lại “ngày 01/01/2020” là ngày bắt đầu hiệu lực để tàu biển tuân thủ yêu cầu về hàm lượng lưu huỳnh 0.5% m/m,
NHẬN THỨC sự cần thiết phải sửa đổi Hướng dẫn 2010 về giám sát hàm lượng lưu huỳnh trung bình toàn cầu của dầu nhiên liệu được sử dụng trên tàu do ngày hiệu lực của yêu cầu về hàm lượng lưu huỳnh là 0.5% m/m kể từ ngày 01/01/2020 và các loại dầu nhiên liệu khác cũng cần phải tuân thủ giới hạn này,
LƯU Ý rằng quy định 14.2 của Phụ lục VI MARPOL yêu cầu hàm lượng lưu huỳnh trung bình trên toàn cầu của cặn dầu nhiên liệu được cung cấp cho tàu phải được giám sát theo hướng dẫn do IMO xây dựng.
SAU KHI XEM XÉT, tại phiên họp 75, Ban thư ký đưa ra khuyến nghị sau,
1 THÔNG QUA Hướng dẫn 2020 về giám sát hàm lượng lưu huỳnh trung bình toàn cầu của dầu nhiên liệu sử dụng cho tàu, cụ thể tại phụ lục của Nghị quyết này;
2 KÊU GỌI các quốc gia thành viên và các tổ chức có quan tâm tạo nguồn lực và đội ngũ chuyên gia cần thiết sẵn sàng để thực hiện Hướng dẫn;
3 CHỈ DẪN Ban thư ký sử dụng phương pháp được nêu trong Hướng dẫn khi giám sát hàm lượng lưu huỳnh trung bình toàn cầu của dầu nhiên liệu được sử dụng trên tàu; và
4 HỦY BỎ Hướng dẫn đã được thông qua tại Nghị quyết MEPC. 192 (61) từ ngày hôm nay.
PHỤ LỤC
HƯỚNG DẪN 2020 VỀ GIÁM SÁT HÀM LƯỢNG LƯU HUỲNH TRUNG BÌNH
TOÀN CẦU CỦA DẦU NHIÊN LIỆU SỬ DỤNG TRÊN TÀU
Lời tựa
1 Mục tiêu chính của Hướng dẫn là thiết lập một phương pháp thống nhất để theo dõi hàm lượng lưu huỳnh trung bình của dầu nhiên liệu được cung cấp để sử dụng trên tàu có tính đến giới hạn lưu huỳnh theo yêu cầu của quy định 14 của Phụ lục VI Công ước MARPOL
Giới thiệu
2 Cơ sở của Hướng dẫn này là quy định 14.2 của Phụ lục VI Công ước MARPOL. Quy định 14.2 của Phụ lục VI Công ước MARPOL chỉ đề cập đến nhiên liệu cặn, Hướng dẫn này đã thống nhất cũng sẽ giám sát hàm lượng lưu huỳnh trung bình của dầu nhiên liệu chưng cất.
3 Tuân thủ thời gian hiệu lực của giới hạn hàm lượng lưu huỳnh 0.5% m/m kể từ ngày 01/01/2020, MEPC 74 nhận thức rằng việc một số dầu nhiên liệu có thể nằm trong danh mục dầu nhiên liệu cặn và một số dầu nhiên liệu nằm trong danh mục dầu nhiên liệu chưng cất nên đã thống nhất hàm lượng lưu huỳnh trung bình toàn cầu cần phải được giám sát theo giới hạn lưu huỳnh tại quy định 14 của Phụ lục VI Công ước MARPOL.
4 Theo đó, ba loại dầu dưới đây cần được giám sát hàm lượng lưu huỳnh toàn cầu:
.1 dầu nhiên liệu không vượt quá 0.1%;
.2 dầu nhiên liệu không vượt quá 0.5%, nhưng cao hơn 0.1%; và
.3 dầu nhiên liệu trên 0.50%.
Định nghĩa
5 Hướng dẫn này áp dụng các định nghĩa sau đây:
.1 Dầu cặn:
Dầu nhiên liệu dùng cho mục đích đốt cháy được sử dụng trên tàu có độ nhớt động học ở 40 ° C lớn hơn 11,00 centistokes1 (mm2 / s).
.2 Dầu chưng cất:
Dầu nhiên liệu dùng cho mục đích đốt cháy được sử dụng trên tàu có độ nhớt động học ở 40 ° C thấp hơn hoặc bằng 11,00 centistokes1 (mm2 / s).
.3 Nhà cung cấp dịch vụ lấy mẫu và kiểm tra:
Một công ty, trên cơ sở thương mại, cung cấp dịch vụ thử nghiệm và lấy mẫu dầu nhiên liệu được sử dụng cho tàu nhằm mục đích đánh giá các thông số chất lượng của các loại nhiên liệu này, bao gồm cả hàm lượng lưu huỳnh.
.4 Giá trị tham chiếu Aws_ECA:
Giá trị của hàm lượng lưu huỳnh trung bình trên toàn cầu đối với tổng số dầu nhiên liệu (chưng cất và cặn) có hàm lượng lưu huỳnh không vượt quá 0,10% được cung cấp để sử dụng trên tàu, dựa trên dữ liệu thu thập được trong 3 năm đầu tiên và được xác định trên cơ sở quy định tại các đoạn 6 đến 12 của Hướng dẫn này.
.5 Giá trị tham chiếu Aws_Non-ECA:
Giá trị của hàm lượng lưu huỳnh trung bình trên toàn cầu đối với tổng số dầu nhiên liệu (chưng cất và cặn) có hàm lượng lưu huỳnh không vượt quá 0,50% và trên 0,10%, được cung cấp để sử dụng trên tàu, dựa trên dữ liệu 3 năm đầu tiên được thu thập và như được xác định trên cơ sở quy định tại các đoạn từ 6 đến 12 của Hướng dẫn này.
.6 Giá trị tham chiếu Aws_regulation4:
Giá trị của hàm lượng lưu huỳnh trung bình trên toàn cầu đối với tổng số dầu nhiên liệu (chưng cất và cặn) có hàm lượng lưu huỳnh vượt quá 0,50% được cung cấp để sử dụng trên tàu, dựa trên dữ liệu thu thập được trong 3 năm đầu tiên và được xác định trên cơ sở quy định tại đoạn 6 12 của Hướng dẫn này.
Giám sát và tính toán hàng năm và trung bình 3 năm liên tiếp
Giám sát
6 Việc giám sát phải dựa trên tính toán hàm lượng lưu huỳnh trung bình của nhiên liệu chưng cất và cặn kết hợp trên cơ sở lấy mẫu và thử nghiệm bởi các dịch vụ thử nghiệm độc lập. Bắt đầu lại vào năm 2020, hàm lượng lưu huỳnh trung bình của ba loại nêu trong đoạn 4 phải được tính toán. Sau 3 năm, các giá trị tham chiếu để giám sát sẽ được thiết lập như mô tả trong đoạn 12.
Tính toán trung bình hàng năm
7 Cơ sở của việc giám sát là tính toán hàng năm, hàm lượng lưu huỳnh trung bình của nhiên liệu cặn và nhiên liệu chưng cất trong 3 danh mục ở đoạn 4.
8 Việc tính toán hàm lượng lưu huỳnh trung bình được thực hiện như sau:
Đối với một năm dương lịch nhất định, hàm lượng lưu huỳnh của các mẫu được phân tích (một mẫu cho mỗi lần cung cấp nhiên liệu trong đó hàm lượng lưu huỳnh được xác định bằng việc phân tích dầu nhiên liệu) được ghi lại. Hàm lượng lưu huỳnh trong các mẫu dầu nhiên liệu được phân tích nhân với khối lượng tương ứng của chúng, sau đó cộng lại, rồi chia cho tổng khối lượng dầu nhiên liệu được phân tích trong mỗi loại như được đưa ra trong đoạn 4.
9 Công thức toán học của phương pháp tính toán được miêu tả tại phụ lục của Hướng dẫn này.
10 Để làm cơ sở cho các quyết định đầy đủ thông tin, cần có một biểu đồ minh họa về sự phân bố hàm lượng lưu huỳnh toàn cầu dựa trên số lượng dầu nhiên liệu liên quan đến từng phạm vi hàm lượng lưu huỳnh tăng dần mỗi năm:
.1 nhiên liệu cặn và nhiên liệu chưng cất có hàm lượng lưu huỳnh dưới hoặc bằng 1%: tính % lưu huỳnh theo gia số 0.1%; và
.2 nhiên liệu cặn và nhiên liệu chưng cất có hàm lượng lưu huỳnh trên 1%: tính % lưu huỳnh theo gia số 0.5%
Trung bình 3 năm liên tiếp
11 Hàm lượng trung bình 3 năm liên tiếp được tính toán như sau:
Acr = (Ac1 + Ac2 + Ac3)/3
Trong đó:
Acr = hàm lượng lưu huỳnh trung bình trong dầu được giao trong 3 năm liên tiếp được lấy mẫu
Ac1, Ac2, Ac3 = hàm lượng lưu huỳnh trung bình trong dầu được giao trong mỗi năm được lấy mẫu
Acr sẽ được tính toán lại mỗi năm bằng cách thêm dữ liệu mới nhất cho Ac và xóa dữ liệu cũ nhất.
Đối với tính toán trung bình hàng năm, tất cả các loại dầu nhiên liệu ít hơn 0,05% lưu huỳnh phải được tính là 0,03%.
Thiết lập giá trị tham chiếu
12 Các giá trị tham chiếu của hàm lượng lưu huỳnh trung bình trên toàn cầu đối với từng loại dầu nhiên liệu trong đoạn 4 được cung cấp để sử dụng trên tàu phải là Awx, trong đó x = ws_ECA, ws_Non-ECA, ws_regulation4 và Awx = Acr được tính vào tháng 1 của năm sau 3 năm đầu tiên mà dữ liệu được thu thập trên cơ sở Hướng dẫn này. Aw phải được biểu thị dưới dạng phần trăm.
Nhà cung cấp dịch vụ lấy mẫu và kiểm tra
13 Hiện có 3 nhà cung cấp dịch vụ lấy mẫu và kiểm tra theo Hướng dẫn này.
14 Bất kỳ nhà cung cấp dịch vụ nào cũng phải được MEPC chấp thuận, tuân thủ các tiêu chí sau đây:
.1 được MEPC chấp thuận, áp dụng các tiêu chí sau;
.2 có đội ngũ nhân viên quản lý và kỹ thuật viên có trình độ chuyên môn, có đại diện tại các địa phương và phạm vi địa lý phù hợp để đảm bảo dịch vụ chất lượng, kịp thời;
.3 cung cấp dịch vụ tuân thủ Bộ Quy tắc đạo đức;
.4 độc lập về lợi ích thương mại đối với kết quả của dịch vụ;
.5 thực hiện và duy trì hệ thống chất lượng được quốc tế công nhận, được chứng nhận bởi một tổ chức đánh giá độc lập, nhằm đảm bảo khả năng tái tạo và tính lặp lại của các dịch vụ được đánh giá nội bộ, giám sát và thực hiện trong các điều kiện được kiểm soát; và
.6 lấy một số lượng đáng kể các mẫu hàng năm cho mục đích giám sát toàn cầu hàm lượng lưu huỳnh trung bình của nhiên liệu chưng cất và cặn.
Phương pháp tính toán được tiêu chuẩn hóa
15 Trước ngày 31 tháng 1 của năm sau đó, mỗi nhà cung cấp dịch vụ lấy mẫu và kiểm tra phải cung cấp các thông tin cần thiết để tính hàm lượng lưu huỳnh trung bình của nhiên liệu cặn và nhiên liệu chưng cất cho Ban thư ký IMO hoặc một tổ chức thứ ba khác đã đồng ý trên cơ sở một hình thức được hai bên nhất trí, được MEPC phê duyệt. Bên này sẽ xử lý thông tin và sẽ cung cấp kết quả theo định dạng đã thống nhất cho MEPC. Theo quan điểm của cạnh tranh, thông tin liên quan nên được coi là nhạy cảm.
PHỤ LỤC
PHƯƠNG PHÁP TÍNH HÀM LƯỢNG LƯU HUỲNH TRUNG BÌNH DỰA TRÊN SỐ LƯỢNG
Lưu ý: “tất cả các giao dịch giao dầu nhiên liệu” được nói đến là “tất cả các giao dịch giao dầu” đã được lấy mẫu và kiểm nghiệm cho mục đích giám sát
Tính toán có trọng số cho số lượng

Trong đó:
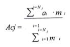
Acj = hàm lượng lưu huỳnh trung bình của tất cả các giao dịch giao dầu được lấy mẫu trên toàn cầu của năm thứ j
ai = hàm lượng lưu huỳnh của một mẫu của lần giao dịch dầu thứ i
Nj = tổng số của toàn bộ mẫu trong năm thứ j
mi = tổng số nhiên liệu với hàm lượng lưu huỳnh của ai
NGHỊ QUYẾT MEPC.327(75)
(thông qua ngày 20/11/2020)
KHUYẾN KHÍCH CÁC QUỐC GIA THÀNH VIÊN XÂY DỰNG VÀ ĐỆ TRÌNH KẾ HOẠCH HÀNH ĐỘNG TỰ NGUYỆN CỦA QUỐC GIA ĐỂ GIẢI QUYẾT GIẢM PHÁT THẢI GHG TỪ TÀU
ỦY BAN BẢO VỆ MÔI TRƯỜNG BIỂN,
NHẮC LẠI Điều 38(a) của Công ước IMO về chức năng của Ủy ban bảo vệ môi trường biển (sau đây gọi tắt là Ủy ban) là ngăn ngừa và kiểm soát ô nhiễm từ tàu biển,
ĐÃ THÔNG QUA Nghị quyết MEPC.304 (72) về Chiến lược IMO ban đầu về giảm phát thải GHG từ tàu biển (Chiến lược ban đầu),
LƯU Ý rằng Chiến lược ban đầu bao gồm, Chiến lược ban đầu bao gồm một biện pháp ngắn hạn để khuyến khích các quốc gia xây dựng và cập nhật các kế hoạch hành động quốc gia nhằm phát triển các chính sách và chiến lược để giải quyết phát thải GHG từ vận tải biển quốc tế phù hợp với các hướng dẫn do IMO xây dựng, có tính đến sự cần thiết phải tránh các biện pháp khu vực hoặc đơn phương,
LƯU Ý rằng vai trò của các quốc gia thành viên trong việc gia tăng các nỗ lực giảm phát thải trên tất cả các lĩnh vực liên quan đến vận tải biển không nhất thiết do các công ước IMO điều chỉnh,
LƯU Ý Nghị quyết MEPC.323 (74) về kêu gọi các quốc gia thành viên khuyến khích sự hợp tác tự nguyện giữa cảng và vận tải biển nhằm đóng góp giảm phát thải GHG từ tàu biển,
GHI NHẬN rằng nhiều quốc gia thành viên đã thực hiện nhiều hành động cấp quốc gia để giảm thiểu phát thải GHG từ tàu biển,
KHUYẾN CÁO các quốc gia thành viên đã xây dựng kế hoạch hành động quốc gia chia sẻ kinh nghiệm với IMO,
GHI NHẬN rằng IMO, trong năm 2015, đã phát động Dự án Đối tác sử dụng hiệu quả năng lượng hàng hải toàn cầu (GloMEEP) với 10 quốc gia đang phát triển là các quốc gia thí điểm (LPCs). Trong khuôn khổ Dự án, IMO cung cấp các tài liệu hướng dẫn chung để hỗ trợ LPCs xây dựng chiến lược quốc gia để giải quyết vấn đề phát thải từ tàu biển,
ĐỒNG THỜI GHI NHẬN giá trị của việc huy động nguồn tài nguyên quốc gia, thúc đẩy chia sẻ thông tin và kinh nghiệm và hợp tác giữa tất cả các bên liên quan,
CÂN NHẮC khuyến nghị của Cuộc họp Nhóm công tác chuyên đề của kỳ họp thứ 6 về giảm thiểu phát thải GHG từ tàu biển (ISWG-GHG 6),
1 Kêu gọi các quốc gia thành viên tình nguyện đệ trình Kế hoạch hành động quốc gia lên IMO, vạch ra các chính sách và hành động tương ứng, càng sớm càng tốt và cập nhật
2 GỢI Ý về Kế hoạch hành động quốc gia có thể bao gồm nhưng không giới hạn các nội dung sau. (a) cải thiện các sắp xếp thể chế và pháp luật trong nước nhằm triển khai có hiệu quả các công ước hiện có của IMO, (b) xây dựng các hoạt động nhằm tăng cường hơn nữa tính hiệu quả về sử dụng năng lượng của tàu, (c) triển khai nghiên cứu và sử dụng các nhiên liệu thay thế các bon thấp và không các bon, (d) đẩy nhanh các hoạt động giảm phát thải tại cảng, tuân thủ Nghị quyết MEPC.323 (74), (e) thúc đẩy tăng cường năng lực, nâng cao nhận thức và hợp tác khu vực và (f) tạo điều kiện phát triển cơ sở hạ tầng cảng xanh;
3 KÊU GỌI các quốc gia thành viên xây dựng các điều kiện (pháp lý, chính sách, thể chế...) để hỗ trợ giảm phát thải từ tàu, phù hợp với điều kiện, hoàn cảnh và ưu tiên của mỗi quốc gia;
4 KHUYẾN KHÍCH các quốc gia thành viên sớm thực hiện các hành động khởi động để tạo điều kiện thuận lợi cho việc giảm phát thải GHG từ tàu trước khi các biện pháp IMO có hiệu lực;
5 YÊU CẦU Ban thư ký tiếp tục cung cấp hướng dẫn và các bước cần thực hiện (ví dụ thông qua GloMEEP, GMN và các dự án hành trình xanh 2050) để hỗ trợ các quốc gia thành viên, trong đó có các quốc gia đang phát triển, đặc biệt là các quốc gia thuộc SIDS và LDCs để xây dựng Kế hoạch hành động quốc gia;
6 YÊU CẦU Ban thư ký tạo điều kiện thuận lợi chia sẻ thông tin liên quan được cung cấp trong các Kế hoạch hành động đã được đệ trình;
7 YÊU CẦU các quốc gia thành viên chia sẻ thông tin về Nghị quyết này tới tất cả các bên liên quan ở cấp quốc gia bao gồm chính quyền hàng hải, cảng biển, nhà thiết kế tàu, nhà sản xuất động cơ, nhà cung cấp nhiên liệu, thuyền viên và các nhóm quan tâm khác.
ANNEX 3
RESOLUTION MEPC.326(75)
(adopted on 20 November 2020)
2020 GUIDELINES FOR MONITORING THE WORLDWIDE AVERAGE SULPHUR CONTENT OF FUEL OILS SUPPLIED FOR USE ON BOARD SHIPS
THE MARINE ENVIRONMENT PROTECTION COMMITTEE,
RECALLING Article 38(a) of the Convention on the International Maritime Organization concerning the functions of the Marine Environment Protection Committee (hereafter "the Committee") conferred upon it by international conventions for the prevention and control of marine pollution from ships,
RECALLING ALSO that at its sixty-first session, the Committee adopted the 2010 Guidelines for monitoring the worldwide average sulphur content of fuel oils supplied for use on board ships by resolution MEPC.192(61), which were subsequently amended by resolution MEPC.273(69),
RECALLING FURTHER that, at its seventieth session, the Committee adopted resolution MEPC.280(70), Effective date of implementation of the fuel oil standard in regulation 14.1.3 of MARPOL Annex VI, confirming "1 January 2020" as the effective date of implementation for ships to comply with global 0.50% m/m sulphur content of fuel oil requirement,
RECOGNIZING the need to revise the 2010 Guidelines for monitoring the worldwide average sulphur content of fuel oils supplied for use on board ships resulting from the entry into force of the 0.50% m/m sulphur content limit on 1 January 2020 and the potential types of fuel oils which would be used to comply with this limit,
NOTING that regulation 14.2 of MARPOL Annex VI requires that the worldwide average sulphur content of residual fuel oil supplied for use on board ships shall be monitored taking into account guidelines developed by the Organization,
HAVING CONSIDERED, at its seventy-fifth session, the recommendation made by the Secretariat,
1 ADOPTS the 2020 Guidelines for monitoring the worldwide average sulphur content of fuel oils supplied for use on board ships, as set out in the annex to the present resolution;
2 URGES Member Governments and interested organizations to make available the resources and expertise necessary for the implementation of the Guidelines;
3 INSTRUCTS the Secretariat to use the method set out in these Guidelines when monitoring the annual worldwide average sulphur content of fuel oils supplied for use on board ships; and
4 REVOKES the Guidelines adopted by resolution MEPC.192(61) as amended, as from this date.
ANNEX
2020 GUIDELINES FOR MONITORING THE WORLDWIDE AVERAGE SULPHUR CONTENT OF FUEL OILS SUPPLIED FOR USE ON BOARD SHIPS
Preface
1 The primary objective of the Guidelines is to establish an agreed method to monitor the average sulphur contents of fuel oils supplied for use on board ships taking into account the sulphur limit as required by regulation 14 of MARPOL Annex VI.
Introduction
2 The basis for these Guidelines is provided in regulation 14.2 of MARPOL Annex VI. While regulation 14.2 of MARPOL Annex VI only refers to residual fuel, it was agreed to also monitor the average sulphur content of distillate fuel.
3 Following the entry into force of the 0.50% m/m sulphur content limit on 1 January 2020, MEPC 74 recognized that some of the compliant fuel oils may fall within the residual fuel category whereas other compliant fuel oils may fall within the distillate fuel category, thus agreed that the worldwide average sulphur content should be monitored as a consequence of the sulphur limits required by regulation 14 of MARPOL Annex VI.
4 In view of the above, the three following categories should be used for monitoring the worldwide average sulphur contents of fuel oil:
.1 fuel oil not exceeding 0.10%;
.2 fuel oil not exceeding 0.50%, but above 0.10%; and
.3 fuel oil exceeding 0.50%.
Definitions
5 For the purpose of these Guidelines the following definitions should apply:
.1 Residual fuel:
Fuel oil for combustion purposes delivered to and used on board ships with a kinematic viscosity at 40° C greater than 11.00 centistokes1 (mm2/s).
.2 Distillate fuel:
Fuel oil for combustion purposes delivered to and used on board ships with a kinematic viscosity at 40° C lower than or equal to 11.00 centistokes1 (mm2/s).
.3 Provider of sampling and testing services:
A company that, on a commercial basis, provides testing and sampling services of bunker fuels delivered to ships for the purpose of assessing quality parameters of these fuels, including the sulphur content.
.4 Reference value Aws_ECA:
The value of the worldwide average sulphur content for the total fuel oil (distillate and residual) with a sulphur content not exceeding 0.10% supplied for use on board ships, based on the first 3 years of data collected and as determined on the basis of paragraphs 6 to 12 of these Guidelines.
.5 Reference value Aws_Non-ECA:
The value of the worldwide average sulphur content for the total fuel oil (distillate and residual) with a sulphur content not exceeding 0.50%, but above 0.10%, supplied for use on board ships, based on the first 3 years of data collected and as determined on the basis of paragraphs 6 to 12 of these Guidelines.
.6 Reference value Aws_regulation4:
The value of the worldwide average sulphur content for the total fuel oil (distillate and residual) with a sulphur content exceeding 0.50% supplied for use on board ships, based on the first 3 years of data collected and as determined on the basis of paragraphs 6 to 12 of these Guidelines.
Monitoring and calculation of yearly and 3-year rolling averages
Monitoring
6 Monitoring should be based on calculation of average sulphur content of combined residual and distillate fuels on the basis of sampling and testing by independent testing services. Restarting for year 2020 the average sulphur content of the three categories given in paragraph 4 should be calculated. After 3 years the reference values for monitoring will be set as described in paragraph 12.
Calculation of yearly averages
7 The basis of monitoring is the calculation, on an annual basis, of the average sulphur content of residual fuel and distillate fuel in each of the three categories in paragraph 4.
8 The calculation of the average sulphur content is executed as follows:
For a certain calendar year, the sulphur contents of the samples analysed2 (one sample for each delivery of which the sulphur content is determined by fuel oil analysis) are recorded. The sulphur contents of the fuel oil samples analysed are multiplied by their corresponding mass, then summed, and then divided by the total mass of fuel oil analysed within each category as given in paragraph 4.
9 The mathematical formula for the method of calculation described is given in the appendix to these Guidelines.
10 As a basis for well-informed decisions, a graphical representation of the distribution of the global sulphur content plotted against the quantity of fuel oils associated with each incremental sulphur content range should be made available each year:
.1 residual and distillate fuels for sulphur content below or equal to 1.00%: in terms of the % sulphur in increments of 0.10%; and
.2 residual and distillate fuels for sulphur content above 1.00%: in terms of the % sulphur in increments of 0.50%.
Three-year rolling average
11 The 3-year rolling averages should be calculated as follows:
Acr = (Ac1 + Ac2 + Ac3)/3
in which:
Acr = rolling average S-content of all deliveries tested over a 3-year period
Ac1, Ac2, Ac3 = individual average S-contents of all deliveries tested for each year under consideration
Acr is to be recalculated each year by adding the latest figure for Ac and deleting the oldest.
For the calculation of yearly average, all fuel oils less than 0.05% of sulphur should be calculated as 0.03%.
Setting of the reference values
12 The reference values of the worldwide average sulphur content for each category of fuel oil given in paragraph 4 supplied for use on board ships should be Awx, where x = ws_ECA, ws_Non-ECA, ws_regulation4 and Awx = Acr as calculated in January of the year following the first 3 years in which data were collected on the basis of these Guidelines. Aw should be expressed as a percentage.
Providers of sampling and testing services
13 There are presently three providers of sampling and testing services under these Guidelines.
14 Any additional providers of sampling and testing services will be approved by MEPC in accordance with the following criteria:
.1 be subject to the approval of MEPC, which should apply these criteria;
.2 be provided with a technical and managerial staff of qualified professionals providing adequate geographical coverage and local representation to ensure quality services in a timely manner;
.3 provide services governed by a documented Code of Ethics;
.4 be independent as regards commercial interest in the outcome of monitoring;
.5 implement and maintain an internationally recognized quality system, certified by an independent auditing body, which ensures reproducibility and repeatability of services which are internally audited, monitored and carried out under controlled conditions; and
.6 take a significant number of samples on an annual basis for the purpose of globally monitoring average sulphur content of residual and distillate fuels.
Standardized method of calculation
15 Each of the providers of sampling and testing services should, before 31 January of the following year, provide the necessary information for the calculation of the average sulphur content of the residual and distillate fuels to the Secretariat of IMO or another agreed third party on the basis of a mutually agreed format, approved by MEPC. This party will process the information and will provide the outcome in the agreed format to MEPC. From the viewpoint of competitive positions, the information involved should be considered sensitive.
APPENDIX
CALCULATION OF AVERAGE SULPHUR CONTENT BASED ON QUANTITY
Note: wherever "all deliveries" are mentioned, this is meant to refer to all deliveries sampled and tested for sulphur and being taken into account for the purpose of monitoring.
Calculation weighted for quantity

in which:
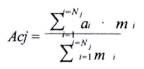
Acj = the average sulphur content of all deliveries sampled worldwide in year j
ai = the sulphur content of individual sample for delivery i
Nj = total number of samples taken in year j
mi = the mass of fuel oils with a sulphur content of ai.
ANNEX 4
RESOLUTION MEPC.327(75)
(adopted on 20 November 2020)
ENCOURAGEMENT OF MEMBER STATES TO DEVELOP AND SUBMIT VOLUNTARY NATIONAL ACTION PLANS TO ADDRESS GHG EMISSIONS FROM SHIPS
THE MARINE ENVIRONMENT PROTECTION COMMITTEE,
RECALLING Article 38(a) of the Convention on the International Maritime Organization (the Organization) concerning the functions of the Marine Environment Protection Committee (the Committee) conferred upon it by international conventions for the prevention and control of marine pollution from ships,
HAVING ADOPTED resolution MEPC.304(72) on Initial IMO Strategy on reduction of GHG emissions from ships (the Initial Strategy),
NOTING that the Initial Strategy includes, inter alia, a candidate short-term measure to encourage the development and update of national action plans to develop policies and strategies to address GHG emissions from international shipping in accordance with guidelines to be developed by the Organization, taking into account the need to avoid regional or unilateral measures,
NOTING ALSO the role of Member States in extending the emission reduction efforts to all shipping-related sectors which are not necessarily covered by the Organization's conventions,
NOTING FURTHER resolution MEPC.323(74) on Invitation to Member States to encourage voluntary cooperation between the port and shipping sectors to contribute to reducing GHG emissions from ships,
RECOGNIZING that many Member States are already taking actions at national level to facilitate the reduction of GHG emissions from ships,
COMMENDS those Member States that have already prepared National Actions Plans and encourages them to share their experiences with the Organization,
RECOGNIZING that IMO has, in 2015, launched the Global Maritime Energy Efficiency Partnership (GloMEEP) Project, with 10 developing countries as Lead Pilot Countries (LPCs). Under the project, by offering several generic guide documents, the Organization has successfully assisted LPCs to develop national strategies to address emissions from ships,
RECOGNIZING ALSO the value of mobilizing national resources, promoting experience and information sharing and cooperation for all national stakeholders,
HAVING CONSIDERED the recommendation of the sixth session of the Intersessional Meeting of the Working Group on Reduction of GHG emissions from ships (ISWG-GHG 6),
1 INVITES Member States to voluntarily submit their National Action Plans to the Organization, outlining respective policies and actions, as soon as possible, and provide
2 SUGGESTS the National Action Plans could include but are not limited to: (a) improving domestic institutional and legislative arrangements for the effective implementation of existing IMO instruments, (b) developing activities to further enhance the energy efficiency of ships, (c) initiating research and advancing the uptake of alternative low-carbon and zero-carbon fuels, (d) accelerating port emission reduction activities, consistent with resolution MEPC.323(74), (e) fostering capacity-building, awareness-raising and regional cooperation and (f) facilitating the development of infrastructure for green shipping;
3 INVITES ALSO Member States to elaborate on those arrangements (legal, policy, institutional, etc.) that they put in place or plan to do so to support emission reduction from ships, in accordance with their national conditions, circumstances and priorities;
4 ENCOURAGES those Member States to initiate early actions to facilitate the reduction of GHG emissions from ships without awaiting the entry into force of measures in the IMO context;
5 REQUESTS the Secretariat to continue to provide guidance and any further action which may be taken (e.g, through the GloMEEP, GMN and Green Voyage 2050 projects) to assist Member States including developing countries, in particular SIDS and LDCs, for the development of National Action Plans;
6 REQUESTS ALSO the Secretariat to facilitate the sharing of relevant information provided in the submitted National Action Plans;
7 REQUESTS FURTHER the Member States to bring this resolution to the attention of all stakeholders on a national scale, including Administrations, ports, ship designers, engine manufacturers, fuel suppliers, seafarers and other interested groups.
Bạn chưa Đăng nhập thành viên.
Đây là tiện ích dành cho tài khoản thành viên. Vui lòng Đăng nhập để xem chi tiết. Nếu chưa có tài khoản, vui lòng Đăng ký tại đây!
Bạn chưa Đăng nhập thành viên.
Đây là tiện ích dành cho tài khoản thành viên. Vui lòng Đăng nhập để xem chi tiết. Nếu chưa có tài khoản, vui lòng Đăng ký tại đây!